











本发明涉及通信技术领域,尤其涉及一种用于在波束赋形中进行数字预失真处理的技术。.The present invention relates to the field of communications technologies, and in particular, to a technique for performing digital predistortion processing in beamforming. .
在5G的大规模mimo(多输入多输出,Multiple Input Multiple Output)应用中,由于存在很多根天线,每个PA(Power Amplifier,功率放大器)不可能应用专用的DPD(Digital Pre-Distortion,数位预失真)。例如,在RF(radio frequency,无线射频)波束赋形中,一个RF通道可以具有很多活跃的天线及它们对应的PA。由于很多物理原因,很难使得所有的PA具有相同的性能。因此,一个选定的PA的单一的DPD不能被用于其它PA,否则天线阵列的ACPR(邻信道功率比,Adjacent Channel Power Ratio)将会很差,并且,波束的辐射方向图不是所需要的那个。为使PA的生产更容易、成本更低,以及所需要的波束图型更精确,补偿器应被设计来使该单一的DPD可以应用于所有的PA。In the 5G large-scale multi-output (Multiple Input Multiple Output) application, due to the existence of many antennas, it is impossible to apply a dedicated DPD (Digital Pre-Distortion) for each PA (Power Amplifier). distortion). For example, in RF (radio frequency) beamforming, an RF channel can have many active antennas and their corresponding PAs. For many physical reasons, it is difficult to make all PAs have the same performance. Therefore, a single DPD of a selected PA cannot be used for other PAs, otherwise the ACPR (Adjacent Channel Power Ratio) of the antenna array will be poor, and the radiation pattern of the beam is not required. That one. To make PA production easier, less costly, and the beam pattern required is more accurate, the compensator should be designed so that the single DPD can be applied to all PAs.
现有技术中,为解决上述问题,通常是一开始在所有的反馈路径中进行相位解旋,随后,以级联的方式为所有PA估计DPD。然而,该方法对于大型天线阵列来讲太过复杂,是不可行的。多反馈路径将带来同步问题。In the prior art, in order to solve the above problem, phase unwinding is usually performed in all feedback paths at first, and then DPD is estimated for all PAs in a cascade manner. However, this method is too complicated for large antenna arrays and is not feasible. Multiple feedback paths will introduce synchronization issues.
发明内容Summary of the invention
本发明的目的是提供一种用于在波束赋形中进行数字预失真处理的方法和装置。It is an object of the present invention to provide a method and apparatus for digital predistortion processing in beamforming.
根据本发明的一个方面,提供了一种在波束赋形中进行数字预失真处理的方法,其中,该方法包括:According to an aspect of the invention, a method of performing digital predistortion processing in beamforming is provided, wherein the method comprises:
a在波束赋形对应的无线射频通道中选择一个参考PA通道,对所述参考PA通道进行数字预失真处理;a selecting a reference PA channel in the radio frequency channel corresponding to the beamforming, and performing digital predistortion processing on the reference PA channel;
b根据所述参考PA通道的输出信号,以及所述无线射频通道中其余各个PA通道在同一时刻的各个输出信号,修正所述其余各个PA通道预先存储的波束赋形权重;b correcting the beamforming weights pre-stored by the remaining PA channels according to the output signals of the reference PA channel and the respective output signals of the remaining PA channels in the radio frequency channel at the same time;
c根据所述参考PA通道的波束赋形权重,以及所述其余各个PA通道修正后的波束赋形权重,对所述无线射频通道执行波束赋形。And performing beamforming on the radio frequency channel according to the beamforming weight of the reference PA channel and the beamforming weights of the remaining respective PA channels.
优选地,所述步骤b包括:Preferably, the step b comprises:
对所述参考PA通道进行延迟处理,使其与所述无线射频通道中其余各个PA通道同步;Performing delay processing on the reference PA channel to synchronize with other PA channels in the radio frequency channel;
其中,所述步骤c包括:Wherein, the step c includes:
根据延迟后的所述参考PA通道的波束赋形权重,以及所述其余各个PA通道的修正后的波束赋形权重,对所述无线射频通道进行波束赋形。The radio frequency channel is beamformed according to the delayed beamforming weight of the reference PA channel and the corrected beamforming weights of the remaining respective PA channels.
优选地,该方法包括:Preferably, the method comprises:
对输入信号进行均分,获得多个所述无线射频通道,其中,每一无线射频通道的功率值相同。The input signals are equally divided to obtain a plurality of the radio frequency channels, wherein each of the radio frequency channels has the same power value.
优选地,所述步骤b包括:Preferably, the step b comprises:
根据所述参考PA通道的输出信号,以及所述无线射频通道中其余各个PA通道在同一时刻的各个输出,利用模拟乘法器和/或模拟除法器,修正所述其余各个PA通道预先存储的波束赋形权重。Correcting the pre-stored beams of the remaining PA channels by using an analog multiplier and/or an analog divider according to an output signal of the reference PA channel and respective outputs of the remaining PA channels in the radio frequency channel at the same time Forming weights.
优选地,所述步骤b包括:Preferably, the step b comprises:
自原始码本中获取所述无线射频通道中其余各个PA通道的预先存储的波束赋形权重;Obtaining pre-stored beamforming weights of the remaining PA channels in the radio frequency channel from the original codebook;
根据所述参考PA通道的输出信号,以及所述无线射频通道中其余各个PA通道同一时刻的各个输出信号,修正所述其余各个PA通道预先存储的波束赋形权重。And correcting beamforming weights pre-stored by the remaining PA channels according to the output signals of the reference PA channel and the respective output signals of the remaining PA channels in the radio frequency channel at the same time.
优选地,所述波束赋形对应的天线阵列线性一致。Preferably, the antenna array corresponding to the beamforming is linearly consistent.
根据本发明的另一个方面,还提供了一种在波束赋形中进行数字预失真处理的处理装置,其中,该处理装置包括:According to another aspect of the present invention, there is also provided a processing apparatus for performing digital predistortion processing in beamforming, wherein the processing apparatus comprises:
选择装置,用于在波束赋形对应的无线射频通道中选择一个参考PA通道,对所述参考PA通道进行数字预失真处理;a selecting device, configured to select a reference PA channel in the radio frequency channel corresponding to the beamforming, and perform digital predistortion processing on the reference PA channel;
修正装置,用于根据所述参考PA通道的输出信号,以及所述无线射频通道中其余各个PA通道在同一时刻的各个输出信号,修正所述其余各个PA通道预先存储的波束赋形权重;a correction device, configured to correct, according to the output signal of the reference PA channel, and the output signals of the remaining PA channels in the radio frequency channel at the same time, the pre-stored beam shaping weights of the remaining PA channels;
执行装置,用于根据所述参考PA通道的波束赋形权重,以及所述其余各个PA通道修正后的波束赋形权重,对所述无线射频通道执行波束赋形。And an executing device, configured to perform beamforming on the radio frequency channel according to a beamforming weight of the reference PA channel and a beamforming weight of the remaining each PA channel.
优选地,所述修正装置用于:Preferably, the correction device is for:
对所述参考PA通道进行延迟处理,使其与所述无线射频通道中其余各个PA通道同步;Performing delay processing on the reference PA channel to synchronize with other PA channels in the radio frequency channel;
其中,所述执行装置用于:Wherein the execution device is used to:
根据延迟后的所述参考PA通道的波束赋形权重,以及所述其余各个PA通道的修正后的波束赋形权重,对所述无线射频通道进行波束赋形。The radio frequency channel is beamformed according to the delayed beamforming weight of the reference PA channel and the corrected beamforming weights of the remaining respective PA channels.
优选地,该处理装置包括:Preferably, the processing device comprises:
均分装置,用于对输入信号进行均分,获得多个所述无线射频通道,其中,每一无线射频通道的功率值相同。The equalizing device is configured to divide the input signals to obtain a plurality of the radio frequency channels, wherein each of the radio frequency channels has the same power value.
优选地,所述修正装置用于:Preferably, the correction device is for:
根据所述参考PA通道的输出信号,以及所述无线射频通道中其余各个PA通道在同一时刻的各个输出,利用模拟乘法器和/或模拟除法器,修正所述其余各个PA通道预先存储的波束赋形权重。Correcting the pre-stored beams of the remaining PA channels by using an analog multiplier and/or an analog divider according to an output signal of the reference PA channel and respective outputs of the remaining PA channels in the radio frequency channel at the same time Forming weights.
优选地,所述修正装置用于:Preferably, the correction device is for:
自原始码本中获取所述无线射频通道中其余各个PA通道的预先存储的波束赋形权重;Obtaining pre-stored beamforming weights of the remaining PA channels in the radio frequency channel from the original codebook;
根据所述参考PA通道的输出信号,以及所述无线射频通道中其余各个PA通道同一时刻的各个输出信号,修正所述其余各个PA通道预先存储的波束赋形权重。According to an output signal of the reference PA channel, and the radio frequency channel thereofEach of the output signals of the respective PA channels at the same time corrects the beamforming weights pre-stored by the remaining PA channels.
优选地,所述波束赋形对应的天线阵列线性一致。Preferably, the antenna array corresponding to the beamforming is linearly consistent.
与现有技术相比,本发明在波束赋形对应的无线射频通道中选择一个参考PA通道,对该参考PA通道进行数字预失真处理,根据所述参考PA通道的输出信号,以及所述无线射频通道中其余各个PA通道在同一时刻的各个输出信号,修正所述其余各个PA通道预先存储的波束赋形权重,进而,根据该参考PA通道的波束赋形权重,以及所述其余各个PA通道修正后的波束赋形权重,对所述无线射频通道执行波束赋形,使得这些无线射频通道的输出信号修正到一致,大大改进该波束赋形的频谱和辐射方向图,采用这种方式,使得该波束赋形对应的天线阵列的指向不会改变,但是会调整对应的副瓣值。本发明根据其他PA通道相对于该参考PA通道的幅度相位差,修正事先储存的波束权重,满足理想波束的形成条件,由于这些幅度相位差是由于PA的特性差异造成的,所以经过修正后的波束赋形权重,消除了这些差异,使得为参考PA设计的DPD也可以用于所有PA,使得每个PA的ACPR符合要求,同时使波束形状接近理想波束。Compared with the prior art, the present invention selects a reference PA channel in the radio frequency channel corresponding to the beamforming, performs digital predistortion processing on the reference PA channel, according to the output signal of the reference PA channel, and the wireless Each of the output signals of the remaining PA channels in the RF channel at the same time corrects the beamforming weights pre-stored by the remaining PA channels, and further, according to the beam shaping weight of the reference PA channel, and the remaining PA channels Correcting the beamforming weights, performing beamforming on the radio frequency channels, correcting the output signals of the radio frequency channels to be consistent, greatly improving the spectrum and radiation pattern of the beamforming, and adopting this manner The orientation of the antenna array corresponding to the beamforming does not change, but the corresponding sidelobe value is adjusted. According to the amplitude phase difference of other PA channels with respect to the reference PA channel, the present invention corrects the previously stored beam weights to satisfy the ideal beam forming conditions. Since these amplitude phase differences are caused by the difference in characteristics of the PA, the modified The beamforming weights eliminate these differences, so that the DPD designed for the reference PA can also be used for all PAs, so that the ACPR of each PA meets the requirements while making the beam shape close to the ideal beam.
通过阅读参照以下附图所作的对非限制性实施例所作的详细描述,本发明的其它特征、目的和优点将会变得更明显:Other features, objects, and advantages of the present invention will become more apparent from the Detailed Description of Description
图1示出根据本发明一个方面的在波束赋形中进行数字预失真处理的方法流程图;1 shows a flow chart of a method of performing digital predistortion processing in beamforming in accordance with an aspect of the present invention;
图2示出根据本发明一个优选实施例的在波束赋形中进行数字预失真处理的示意图;2 is a diagram showing digital predistortion processing in beamforming in accordance with a preferred embodiment of the present invention;
图3至图6示出根据现有技术进行数字预失真处理的示意图;3 to 6 are schematic views showing digital predistortion processing according to the prior art;
图7至图8示出根据本发明另一个优选实施例的在波束赋形中进行数字预失真处理的示意图;7 to 8 are diagrams showing digital predistortion processing in beamforming in accordance with another preferred embodiment of the present invention;
图9示出根据现有技术进行数字预失真处理的示意图;Figure 9 is a diagram showing digital predistortion processing according to the prior art;
图10至图11示出根据本发明另一个优选实施例的在波束赋形中进行数字预失真处理的示意图;10 to 11 are diagrams showing digital predistortion processing in beamforming in accordance with another preferred embodiment of the present invention;
图12示出了补偿和未补偿的波束的辐射方向图。Figure 12 shows the radiation pattern of the compensated and uncompensated beams.
附图中相同或相似的附图标记代表相同或相似的部件。The same or similar reference numerals in the drawings denote the same or similar components.
这里所使用的术语“基站”可以被视为与以下各项同义并且在后文中有时可以被称作以下各项:B节点、演进型B节点、eNodeB、eNB、收发器基站(BTS)、RNC等等,并且可以描述在可以跨越多个技术世代的无线通信网络中与移动端通信并且为之提供无线资源的收发器。除了实施这里所讨论的方法的能力之外,这里所讨论的基站可以具有与传统的众所周知的基站相关联的所有功能。The term "base station" as used herein may be considered synonymous with and may hereinafter sometimes be referred to as a Node B, an evolved Node B, an eNodeB, an eNB, a Transceiver Base Station (BTS), RNC and the like, and can describe a transceiver that communicates with and provides wireless resources to a mobile terminal in a wireless communication network that can span multiple technology generations. In addition to the ability to implement the methods discussed herein, the base stations discussed herein can have all of the functionality associated with conventional well-known base stations.
后面所讨论的方法可以通过硬件、软件、固件、中间件、微代码、硬件描述语言或者其任意组合来实施。当用软件、固件、中间件或微代码来实施时,用以实施必要任务的程序代码或代码段可以被存储在机器或计算机可读介质(比如存储介质)中。(一个或多个)处理器可以实施必要的任务。The methods discussed below can be implemented in hardware, software, firmware, middleware, microcode, hardware description languages, or any combination thereof. When implemented in software, firmware, middleware or microcode, the program code or code segments to carry out the necessary tasks can be stored in a machine or computer readable medium, such as a storage medium. The processor(s) can perform the necessary tasks.
这里所公开的具体结构和功能细节仅仅是代表性的,并且是用于描述本发明的示例性实施例的目的。但是本发明可以通过许多替换形式来具体实现,并且不应当被解释成仅仅受限于这里所阐述的实施例。应当理解的是,虽然在这里可能使用了术语“第一”、“第二”等等来描述各个单元,但是这些单元不应当受这些术语限制。使用这些术语仅仅是为了将一个单元与另一个单元进行区分。举例来说,在不背离示例性实施例的范围的情况下,第一单元可以被称为第二单元,并且类似地第二单元可以被称为第一单元。这里所使用的术语“和/或”包括其中一个或更多所列出的相关联项目的任意和所有组合。The specific structural and functional details disclosed are merely representative and are for the purpose of describing exemplary embodiments of the invention. The present invention may, however, be embodied in many alternative forms and should not be construed as being limited only to the embodiments set forth herein. It should be understood that although the terms "first," "second," etc. may be used herein to describe the various elements, these elements should not be limited by these terms. These terms are used only to distinguish one unit from another. For example, a first unit could be termed a second unit, and similarly a second unit could be termed a first unit, without departing from the scope of the exemplary embodiments. The term "and/or" used herein includes any and all combinations of one or more of the associated listed items.
应当理解的是,当一个单元被称为“连接”或“耦合”到另一单元时,其可以直接连接或耦合到所述另一单元,或者可以存在中间单元。与此相对,当一个单元被称为“直接连接”或“直接耦合”到另一单元时,则不存在中间单元。应当按照类似的方式来解释被用于描述单元之间的关系的其他词语(例如“处于...之间”相比于“直接处于...之间”,“与...邻近”相比于“与...直接邻近”等等)。It should be understood that when a unit is referred to as "connected" or "coupled" to another orderIn meta time, it may be directly connected or coupled to the other unit, or an intermediate unit may be present. In contrast, when a unit is referred to as being "directly connected" or "directly coupled" to another unit, there is no intermediate unit. Other words used to describe the relationship between the units should be interpreted in a similar manner (eg "between" and "directly between" and "adjacent to" Than "directly adjacent to", etc.).
这里所使用的术语仅仅是为了描述具体实施例而不意图限制示例性实施例。除非上下文明确地另有所指,否则这里所使用的单数形式“一个”、“一项”还意图包括复数。还应当理解的是,这里所使用的术语“包括”和/或“包含”规定所陈述的特征、整数、步骤、操作、单元和/或组件的存在,而不排除存在或添加一个或更多其他特征、整数、步骤、操作、单元、组件和/或其组合。The terminology used herein is for the purpose of describing the particular embodiments, The singular forms "a", "an", It is also to be understood that the terms "comprising" and """ Other features, integers, steps, operations, units, components, and/or combinations thereof.
还应当提到的是,在一些替换实现方式中,所提到的功能/动作可以按照不同于附图中标示的顺序发生。举例来说,取决于所涉及的功能/动作,相继示出的两幅图实际上可以基本上同时执行或者有时可以按照相反的顺序来执行。It should also be noted that, in some alternative implementations, the functions/acts noted may occur in a different order than that illustrated in the drawings. For example, two figures shown in succession may in fact be executed substantially concurrently or sometimes in the reverse order, depending on the function/acts involved.
除非另行定义,否则这里使用的所有术语(包括技术和科学术语)都具有与示例性实施例所属领域内的技术人员通常所理解的相同的含义。还应当理解的是,除非在这里被明确定义,否则例如在通常使用的字典中定义的那些术语应当被解释成具有与其在相关领域的上下文中的含义相一致的含义,而不应按照理想化的或者过于正式的意义来解释。All terms (including technical and scientific terms) used herein have the same meaning as commonly understood by one of ordinary skill in the art. It should also be understood that, unless explicitly defined herein, terms such as those defined in commonly used dictionaries should be interpreted as having a meaning consistent with their meaning in the context of the relevant art, and should not be idealized. Or too formal meaning to explain.
下面结合附图对本发明作进一步详细描述。The invention is further described in detail below with reference to the accompanying drawings.
图1示出根据本发明一个方面的在波束赋形中进行数字预失真处理的方法流程图。1 shows a flow chart of a method of performing digital predistortion processing in beamforming in accordance with an aspect of the present invention.
在步骤S101中,处理装置1在波束赋形对应的无线射频通道中选择一个参考PA通道,对所述参考PA通道进行数字预失真处理。In step S101, the
具体地,波束赋形具有对应的无线射频通道,在步骤S101中,处理装置1可以从中选择一个无线射频通道作为参考PA通道,并对该参考PA通道执行数字预失真(DPD)处理,该数字预失真处理例如可以是传统的数字预失真处理。Specifically, the beamforming has a corresponding radio frequency channel, and in step S101,The
优选地,所述波束赋形对应的天线阵列线性一致。Preferably, the antenna array corresponding to the beamforming is linearly consistent.
在此,假定所述波束赋形对应的天线阵列是线性一致的。Here, it is assumed that the antenna array corresponding to the beamforming is linearly uniform.
在步骤S102中,处理装置1根据所述参考PA通道的输出信号,以及所述无线射频通道中其余各个PA通道在同一时刻的各个输出信号,修正所述其余各个PA通道预先存储的波束赋形权重。In step S102, the
具体地,每一个无线射频通道可以事先具有一相应的波束赋形权重,例如,假设有两个无线射频通道,其中一个被选作参考PA通道的无线射频通道的波束赋形权重为w0,输出的通信信号流为x0,另一个无线射频通道的波束赋形权重为w1,由于不同的PA具有不同的性能,因此,假设该另一个无线射频通道的输出通信信号流变为x1,则在步骤S102中,处理装置1根据该参考PA通道的输出信号x0,以及所述无线射频通道中其余PA通道在同一时刻的输出信号x1,修正该其余PA通道预先存储的波束赋形权重w1,则该其余PA通道修正后的波束赋形权重如下:Specifically, each radio frequency channel may have a corresponding beamforming weight in advance. For example, if two radio frequency channels are used, one of the radio frequency channels selected as the reference PA channel has a beamforming weight of w0 . The output communication signal flow is x0 , and the other radio frequency channel has a beamforming weight of w1 . Since different PAs have different performances, it is assumed that the output communication signal flow of the other radio frequency channel becomes x1 , then in step S102, the processing apparatus 1 according to the reference output signal x0 PA passage, and the passage radio frequency channel PA output signal remaining the same time x1, the corrected remaining PA beamforming channels prestored The shape weight w1 , then the remaining PA channel modified beam weights are as follows:
本领域技术人员应能理解,上述各参数仅为举例,而不应对本发明造成任何实际的限制,其他现有或今后可能出现的参数信息,如可适用于本发明,也应包含在本发明保护范围以内,并通过引用的方式包含于此。It should be understood by those skilled in the art that the above parameters are merely examples, and should not impose any practical limitations on the present invention. Other existing or future possible parameter information, such as may be applicable to the present invention, shall also be included in the present invention. It is covered by the scope of protection and is hereby incorporated by reference.
优选地,在步骤S102中,处理装置1根据所述参考PA通道的输出信号,以及所述无线射频通道中其余各个PA通道在同一时刻的各个输出,利用模拟乘法器和/或模拟除法器,修正所述其余各个PA通道预先存储的波束赋形权重。Preferably, in step S102, the
具体地,在步骤S102中,处理装置1可以通过模拟乘法器和/或模拟除法器来实现上述功能,例如,前例中所记载的处理装置1计算得到的另一个无线射频通道的修正后的波束赋形权重处理装置1可以先根据被选作参考PA通道的无线射频通道的输出通信信号流x0,以及另一个无线射频通道的输出通信信号流x1,采用模拟除法器,获得再根据该另一个无线射频通道的预先存储的波束赋形权重w1,采用模拟乘法器,获得该修正后的波束赋形权重Specifically, in step S102, the
优选地,在步骤S102中,处理装置1自原始码本中获取所述无线射频通道中其余各个PA通道的预先存储的波束赋形权重;根据所述参考PA通道的输出信号,以及所述无线射频通道中其余各个PA通道同一时刻的各个输出信号,修正所述其余各个PA通道预先存储的波束赋形权重。Preferably, in step S102, the
具体地,各个无线射频通道的波束赋形权重可以是事先存储在原始码本(codebook)中,在步骤S102中,处理装置1自原始码本中获取各个无线射频通道的预先存储的波束赋形权重,这些预先存储的波束赋形权重既包括该参考PA通道的预先存储的波束赋形权重,也包括其余各个PA通道的预先存储的波束赋形权重;在此,这些波束赋形权重是预先存储在该原始码本中的理想波束的权重。随后,再根据其中参考PA通道的输出信号,以及该无线射频通道中其余各个PA通道同一时刻的各个输出信号,计算所述其余各个PA通道的新的波束赋形权重,从而对该预先存储的波束赋形权重进行修正。在此,处理装置1自原始码本中获取理想波束的权重,以及所述无线射频通道中其余各个PA通道相对于参考PA通道模拟信号差,再根据所述理想波束权重,修正得到新的波束赋形权重。Specifically, the beamforming weights of the respective radio frequency channels may be previously stored in the original codebook. In step S102, the
例如,假设波束赋形具有4个无线射频通道,其中一个被选作参考PA通道的无线射频通道的预先存储的波束赋形权重为w0,其对应的输出通信信号流为x0,该4个无线射频通道中其余各个PA通道的预先存储的波束赋形权重分别为w1,w2,w3,对应的输出信号流分别为x1,x2,x3,波束赋形的码本如下:For example, suppose the beamforming has four radio frequency channels, one of which is selected as the radio channel of the reference PA channel, and the pre-stored beamforming weight is w0 , and the corresponding output communication signal stream is x0 , the 4 The pre-stored beamforming weights of the remaining PA channels in the radio frequency channel are w1 , w2 , w3 , respectively, and the corresponding output signal streams are x1 , x2 , x3 , beam-formed codebooks, respectively. as follows:
波束点是 Beam point is
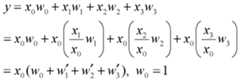
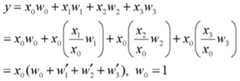
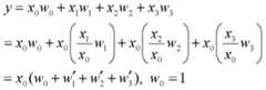
如果所有的PA是相同的,理想的波束将是如下公式:If all PAs are the same, the ideal beam would be the following formula:
y=x0w0+x0w1+x0w2+x0w3 w0=1y=x0 w0 +x0 w1 +x0 w2 +x0 w3 w0 =1
但是由于PA性能的不一致,因此,在步骤S102中,处理装置1重新计算其余各个PA通道的新的波束赋形权重,从而对该预先存储的波束赋形权重进行修正,应用如下的方程:However, due to the inconsistency of the PA performance, in step S102, the processing device 1 recalculates the new beamforming weights of the remaining PA channels, thereby correcting the pre-stored beamforming weights, applying the following equation:
其中,即是其余各个PA通道修正后的波束赋形权重。among them, That is, the beamforming weights of the remaining PA channels are corrected.
在步骤S103中,处理装置1根据所述参考PA通道的波束赋形权重,以及所述其余各个PA通道修正后的波束赋形权重,对所述无线射频通道执行波束赋形。In step S103, the
具体地,当在步骤S102中,处理装置1修正其余各个PA通道预先存储的波束赋形权重从而获得该其余各个PA通道修正后的波束赋形权重之后,在步骤S103中,处理装置1根据该修正后的波束赋形权重,以及该参考PA通道的未变的预先存储的波束赋形权重,对这些无线射频通道执行波束赋形,从而使得这些无线射频通道的输出信号修正到一致,大大改进该波束赋形的频谱和辐射方向图。Specifically, after the
采用这种方式,使得该波束赋形对应的天线阵列的指向不会改变,但是会调整对应的副瓣值。In this way, the orientation of the antenna array corresponding to the beamforming is not changed, but the corresponding sidelobe value is adjusted.
优选地,在步骤S102中,处理装置1对所述参考PA通道进行延迟处理,使其与所述无线射频通道中其余各个PA通道同步;其中,在步骤S103中,处理装置1根据延迟后的所述参考PA通道的波束赋形权重,以及所述其余各个PA通道的修正后的波束赋形权重,对所述无线射频通道进行波束赋形。Preferably, in step S102, the
具体地,由于需要采用模拟乘法器和/或模拟除法器对该无线射频通道中的其余PA通道进行处理,而对参考PA通道不需要进行该种处理,因此,在步骤S102中,处理装置1还需要对所述参考PA通道进行延迟处理,使其与所述无线射频通道中其余各个PA通道同步。Specifically, since the analog PA multiplier and/or the analog divider are required to process the remaining PA channels in the radio frequency channel, the processing is not required for the reference PA channel, and therefore, in step S102, the
例如,如图2中所示,设计了一个补偿的波束赋形权重向量来应用于每个PA。其中,通信信号流x0被传输,随后通过DAC(数字模拟转换器,Digital-to-Analog Converter)转换成模拟波形。该信号被分成n个分支,在此,假设n=4。选择其中一个无线射频通道,如图2中所示的通道1作为参考PA通道,来像通常一样执行DPD。因此,该DPD将是所有PA所执行的统一的DPD。在图2中还可看出,在参考PA通道中应用了一个延迟单位,其在生产中可以被补偿。该类推计算电路的带宽应足够宽。For example, as shown in Figure 2, a compensated beamforming weight vector is designed to be applied to each PA. The communication signal stream x0 is transmitted and then converted into an analog waveform by a DAC (Digital-to-Analog Converter). This signal is divided into n branches, where n = 4 is assumed. Select one of the radio frequency channels,
波束赋形的码本是波束点是在此,假定该天线阵列是线性一致的。Beamformed codebook is Beam point is Here, it is assumed that the antenna array is linearly uniform.
如果所有的PA是相同的,理想的波束将是y=x0w0+x0w1+x0w2+x0w3 w0=1。但是由于PA性能的不一致,可以应用下面的方程,通过除法电路提取x0之间的不同,以获得相位差和振幅差。If all PAs are the same, the ideal beam would be y = x0 w0 + x0 w1 + x0 w2 + x0 w3 w0 =1. However, due to the inconsistency of the PA performance, the following equation can be applied, and the difference between x0 is extracted by the dividing circuit to obtain the phase difference and the amplitude difference.
通过上述推导,波束赋形的权重是一个时变的向量调制器(vector modulator,VM),其累计了PA的差异。这些无线射频通道的修正后的波束赋形权重,使得天线阵列相对参考PA通道再次一致,因此,该波束赋形的频谱和辐射方向图被大大改进。原始的波束赋形码本被应用于该向量调制器。Through the above derivation, the weight of beamforming is a time-varying vector modulator (VM) that accumulates the difference in PA. The modified beamforming weights of these radio frequency channels cause the antenna array to again coincide with the reference PA channel, and thus the spectrum and radiation pattern of the beamforming is greatly improved. The original beamform codebook is applied to the vector modulator.
本领域技术人员应能理解,上述各参数仅为举例,而不应对本发明造成任何实际的限制,其他现有或今后可能出现的参数信息,如可适用于本发明,也应包含在本发明保护范围以内,并通过引用的方式包含于此。It should be understood by those skilled in the art that the above parameters are merely examples, and should not impose any practical limitations on the present invention. Other existing or future possible parameter information, such as may be applicable to the present invention, shall also be included in the present invention. It is covered by the scope of protection and is hereby incorporated by reference.
优选地,该方法还包括步骤S104(未示出)。在步骤S104中,处理装置1对输入信号进行均分,获得多个所述无线射频通道,其中,每一无线射频通道的功率值相同。Preferably, the method further comprises a step S104 (not shown). In step S104, the
具体地,在步骤S104中,处理装置1对波束赋形的输入信号可以进行均分,例如,前例中,输入信号被分成n个分支,每个分支具有相同的功率,在此,假设n=4,则可以获得4个无线射频通道,其中,每一无线射频通道的功率值相同。Specifically, in step S104, the input signal of the beamforming by the
图3至图11分别示出了现有技术以及应用本发明之后的有益效果。3 to 11 respectively show the prior art and the advantageous effects after the application of the present invention.
图3示出了现有技术中具有4个PA的天线阵列的频谱,该4个PA稍有不同。Figure 3 shows the spectrum of an antenna array with 4 PAs in the prior art, which are slightly different.
图4示出了图3中其中一个PA1的频谱,该PA1在仿真中被用作参考PA。Figure 4 shows the spectrum of one of the PA1s of Figure 3, which is used as a reference PA in the simulation.
图5示出了执行DPD后的图4中该参考PA的频谱。FIG. 5 shows the spectrum of the reference PA in FIG. 4 after performing DPD.
图6示出了将该参考PA的单一的DPD直接应用于所有的PA,但是没有任何补偿,的波束的频谱。Figure 6 shows the spectrum of the beam for the single DPD of the reference PA applied directly to all PAs without any compensation.
图7示出了采用本发明的频谱。从图6到图7可以看出,ACPR大约降低了30dB,其意味着直接将参考PA的单一的DPD应用于如图3的所示的所有的PA是不可行的。Figure 7 shows the frequency spectrum in which the present invention is applied. As can be seen from Figure 6 to Figure 7, the ACPR is large.It is reduced by about 30 dB, which means that it is not feasible to directly apply a single DPD of the reference PA to all the PAs as shown in FIG.
图8示出了本发明被补偿后的波束的AM-AM(振幅)曲线。其是线性的,没有饱和弯曲现象。Figure 8 shows the AM-AM (amplitude) curve of the compensated beam of the present invention. It is linear and has no saturation bending.
图9示出了将参考PA的单一的DPD直接应用于所有的PA,但没有补偿,可以看出其完全没有效果。Figure 9 shows that a single DPD with reference PA is applied directly to all PAs, but without compensation, it can be seen that it has no effect at all.
图10和11示出参考PA通道和其他PA通道之间相位和振幅的差。其差可以看出呈线性分布,可以由一组平均值或线性表示。但很遗憾这些线性模型不能被用于整个模拟信号,且在数字域不能被补偿。由此可以看出,不能用简单的线性拟合来解决问题。Figures 10 and 11 show the difference in phase and amplitude between the reference PA channel and the other PA channels. The difference can be seen as a linear distribution and can be represented by a set of mean or linear values. Unfortunately, these linear models cannot be used for the entire analog signal and cannot be compensated in the digital domain. It can be seen that the problem cannot be solved with a simple linear fit.
图12示出了补偿和未补偿的波束的辐射方向图。未补偿由于PA特性不同造成的波束形状,虽然方向不变,但主瓣幅度变小,副瓣增大,且这些恶化会随PA的差异而变化,差异越大,恶化越严重。而补偿后的波束,会接近理想波束。Figure 12 shows the radiation pattern of the compensated and uncompensated beams. The shape of the beam due to the difference in PA characteristics is not compensated. Although the direction is unchanged, the amplitude of the main lobe becomes smaller, the side lobes increase, and these deteriorations vary with the difference of PA. The greater the difference, the more serious the deterioration. The compensated beam will be close to the ideal beam.
本发明的有益效果在于其简单和有效,将放宽PA的生产要求。本发明增强了RF系统的鲁棒性,在该RF波束赋形结构中必须使用一些补偿机制,否则由于PA的令人不满意的非一致性,风险将很高。如果其发生,唯一的办法是补偿(backoff)该工作点(work point),但其将背离DPD的原意。The beneficial effects of the present invention are that it is simple and effective and will relax the production requirements of the PA. The present invention enhances the robustness of the RF system in which some compensation mechanisms must be used, otherwise the risk will be high due to the unsatisfactory inconsistency of the PA. If it does, the only way is to backoff the work point, but it will deviate from the original intention of the DPD.
根据本发明的另一个方面,还提供了一种在波束赋形中进行数字预失真处理的处理装置,其中,该处理装置1包括选择装置、修正装置和执行装置。According to another aspect of the present invention, there is also provided a processing apparatus for performing digital predistortion processing in beamforming, wherein the
其中,选择装置在波束赋形对应的无线射频通道中选择一个参考PA通道,对所述参考PA通道进行数字预失真处理。The selection device selects a reference PA channel in the radio frequency channel corresponding to the beamforming, and performs digital predistortion processing on the reference PA channel.
具体地,波束赋形具有对应的无线射频通道,选择装置可以从中选择一个无线射频通道作为参考PA通道,并对该参考PA通道执行数字预失真(DPD)处理,该数字预失真处理例如可以是传统的数字预失真处理。Specifically, the beamforming has a corresponding radio frequency channel, and the selecting device can select one radio frequency channel as the reference PA channel, and perform digital pre-distortion (DPD) processing on the reference PA channel, for example, the digital pre-distortion processing may be Traditional digital predistortion processing.
优选地,所述波束赋形对应的天线阵列线性一致。Preferably, the antenna array corresponding to the beamforming is linearly consistent.
在此,假定所述波束赋形对应的天线阵列是线性一致的。Here, it is assumed that the antenna array corresponding to the beamforming is linearly uniform.
修正装置根据所述参考PA通道的输出信号,以及所述无线射频通道中其余各个PA通道在同一时刻的各个输出信号,修正所述其余各个PA通道预先存储的波束赋形权重。The correcting means corrects the beam shaping weights pre-stored by the remaining PA channels according to the output signals of the reference PA channel and the respective output signals of the remaining PA channels in the radio frequency channel at the same time.
具体地,每一个无线射频通道可以事先具有一相应的波束赋形权重,例如,假设有两个无线射频通道,其中一个被选作参考PA通道的无线射频通道的波束赋形权重为w0,输出的通信信号流为x0,另一个无线射频通道的波束赋形权重为w1,由于不同的PA具有不同的性能,因此,假设该另一个无线射频通道的输出通信信号流变为x1,则修正装置根据该参考PA通道的输出信号x0,以及所述无线射频通道中其余PA通道在同一时刻的输出信号x1,修正该其余通道预先存储的波束赋形权重w1,则该其余PA通道修正后的波束赋形权重如下:Specifically, each radio frequency channel may have a corresponding beamforming weight in advance. For example, if two radio frequency channels are used, one of the radio frequency channels selected as the reference PA channel has a beamforming weight of w0 . The output communication signal flow is x0 , and the other radio frequency channel has a beamforming weight of w1 . Since different PAs have different performances, it is assumed that the output communication signal flow of the other radio frequency channel becomes x1 , the correction means based on the output signal x0 of the reference PA channel, and the radio frequency channel to rest PA channel output signal in the same timing x1, fix the beamforming weights of the remaining channels previously stored weight w1, the The beamforming weights of the remaining PA channels are as follows:
本领域技术人员应能理解,上述各参数仅为举例,而不应对本发明造成任何实际的限制,其他现有或今后可能出现的参数信息,如可适用于本发明,也应包含在本发明保护范围以内,并通过引用的方式包含于此。It should be understood by those skilled in the art that the above parameters are merely examples, and should not impose any practical limitations on the present invention. Other existing or future possible parameter information, such as may be applicable to the present invention, shall also be included in the present invention. It is covered by the scope of protection and is hereby incorporated by reference.
优选地,修正装置根据所述参考PA通道的输出信号,以及所述无线射频通道中其余各个PA通道在同一时刻的各个输出,利用模拟乘法器和/或模拟除法器,修正所述其余各个PA通道预先存储的波束赋形权重。Preferably, the correcting means corrects the remaining PAs by using an analog multiplier and/or an analog divider according to an output signal of the reference PA channel and respective outputs of the remaining PA channels in the radio frequency channel at the same time. The beam pre-stored beamforming weights.
具体地,修正装置可以通过模拟乘法器和/或模拟除法器来实现上述功能,例如,前例中所记载的处理装置1计算得到Specifically, the correcting means can implement the above functions by means of an analog multiplier and/or an analog divider, for example, the
的另一个无线射频通道的修正后的波束赋形权重修正装置可以先根据被选作参考PA通道的无线射频通道的输出通信信号流x0,以及另一个无线射频通道的输出通信信号流x1,采用模拟除法器,获得再根据该另一个无线射频通道的预先存储的波束赋形权重w1,采用模拟乘法器,获得该修正后的波束赋形权重Modified beamforming weights for another radio frequency channel The first correction means may output the communication signal stream output communication signal stream x0 is chosen as the reference radio channel PA radio frequency channel and other radio frequency channels x1, analog divider, to obtain And then using the analog multiplier to obtain the corrected beamforming weight according to the pre-stored beamforming weight w1 of the other radio frequency channel.
优选地,修正装置自原始码本中获取所述无线射频通道中其余各个PA通道的预先存储的波束赋形权重;根据所述参考PA通道的输出信号,以及所述无线射频通道中其余各个PA通道同一时刻的各个输出信号,修正所述其余各个PA通道预先存储的波束赋形权重。Preferably, the correcting means acquires pre-stored beamforming weights of the remaining PA channels in the radio frequency channel from the original codebook; and according to the output signal of the reference PA channel, and the remaining PAs in the radio frequency channel Each output signal of the channel at the same time corrects the beamforming weights pre-stored by the remaining PA channels.
具体地,各个无线射频通道的波束赋形权重可以是事先存储在原始码本(codebook)中,修正装置自原始码本中获取各个无线射频通道的预先存储的波束赋形权重,这些预先存储的波束赋形权重既包括该参考PA通道的预先存储的波束赋形权重,也包括其余各个PA通道的预先存储的波束赋形权重;在此,这些波束赋形权重是预先存储在该原始码本中的理想波束的权重。随后,再根据其中参考PA通道的输出信号,以及该无线射频通道中其余各个PA通道同一时刻的各个输出信号,计算所述其余各个PA通道的新的波束赋形权重,从而对该预先存储的波束赋形权重进行修正。在此,修正装置自原始码本中获取理想波束的权重,以及所述无线射频通道中其余各个PA通道相对于参考PA通道模拟信号差,再根据所述理想波束权重,修正得到新的波束赋形权重。Specifically, the beamforming weights of the respective radio frequency channels may be pre-stored in the original codebook, and the correcting device obtains pre-stored beamforming weights of the respective radio frequency channels from the original codebook, and these pre-stored weights. The beamforming weight includes both pre-stored beamforming weights of the reference PA channel, and pre-stored beamforming weights of the remaining PA channels; wherein the beamforming weights are pre-stored in the original codebook The weight of the ideal beam in . Then, according to the output signal of the reference PA channel and the output signals of the remaining PA channels in the radio frequency channel at the same time, calculate new beamforming weights of the remaining PA channels, thereby pre-storing the Beamforming weights are corrected. Here, the correcting device obtains the weight of the ideal beam from the original codebook, and the analog signals of the remaining PA channels in the radio frequency channel with respect to the reference PA channel, and then corrects the new beam according to the ideal beam weight. Shape weight.
例如,假设波束赋形具有4个无线射频通道,其中一个被选作参考PA通道的无线射频通道的预先存储的波束赋形权重为w0,其对应的输出通信信号流为x0,该4个无线射频通道中其余各个PA通道的预先存储的波束赋形权重分别为w1,w2,w3,对应的输出信号流分别为x1,x2,x3,波束赋形的码本如下:For example, suppose the beamforming has four radio frequency channels, one of which is selected as the radio channel of the reference PA channel, and the pre-stored beamforming weight is w0 , and the corresponding output communication signal stream is x0 , the 4 The pre-stored beamforming weights of the remaining PA channels in the radio frequency channel are w1 , w2 , w3 , respectively, and the corresponding output signal streams are x1 , x2 , x3 , beam-formed codebooks. as follows:
波束点是 Beam point is
如果所有的PA是相同的,理想的波束将是如下公式:If all PAs are the same, the ideal beam would be the following formula:
y=x0w0+x0w1+x0w2+x0w3 w0=1y=x0 w0 +x0 w1 +x0 w2 +x0 w3 w0 =1
但是由于PA性能的不一致,因此,修正装置重新计算其余各个PA通道的新的波束赋形权重,从而对该预先存储的波束赋形权重进行修正,应用如下的方程:However, due to the inconsistency of the PA performance, the correction device recalculates the new beamforming weights of the remaining PA channels, thereby correcting the pre-stored beamforming weights, applying the following equation:
其中,即是其余各个PA通道修正后的波束赋形权重。among them, That is, the beamforming weights of the remaining PA channels are corrected.
执行装置根据所述参考PA通道的波束赋形权重,以及所述其余各个PA通道修正后的波束赋形权重,对所述无线射频通道执行波束赋形。The executing device performs beamforming on the radio frequency channel according to the beamforming weight of the reference PA channel and the beamforming weights of the remaining respective PA channels.
具体地,当修正装置修正其余各个PA通道预先存储的波束赋形权重从而获得该其余各个PA通道修正后的波束赋形权重之后,执行装置根据该修正后的波束赋形权重,以及该参考PA通道的未变的预先存储的波束赋形权重,对这些无线射频通道执行波束赋形,从而使得这些无线射频通道的输出信号修正到一致,大大改进该波束赋形的频谱和辐射方向图。Specifically, after the modifying device corrects the beamforming weights pre-stored by the remaining PA channels to obtain the beamforming weights of the remaining PA channels, the performing device determines the weights according to the modified beam, and the reference PA. The channel's unaltered pre-stored beamforming weights are used to perform beamforming on these radio frequency channels, thereby correcting the output signals of these radio frequency channels to a uniformity, greatly improving the spectrum and radiation pattern of the beamforming.
采用这种方式,使得该波束赋形对应的天线阵列的指向不会改变,但是会调整对应的副瓣值。In this way, the orientation of the antenna array corresponding to the beamforming is not changed, but the corresponding sidelobe value is adjusted.
优选地,修正装置对所述参考PA通道进行延迟处理,使其与所述无线射频通道中其余各个PA通道同步;其中,执行装置根据延迟后的所述参考PA通道的波束赋形权重,以及所述其余各个PA通道的修正后的波束赋形权重,对所述无线射频通道进行波束赋形。Preferably, the correcting means delays the reference PA channel to make itSynchronizing the remaining PA channels in the radio frequency channel; wherein, the executing device is configured to perform the radio beam shaping weight of the reference PA channel after the delay, and the modified beamforming weights of the remaining PA channels, to the wireless device The RF channel is beamformed.
具体地,由于需要采用模拟乘法器和/或模拟除法器对该无线射频通道中的其余PA通道进行处理,而对参考PA通道不需要进行该种处理,因此,修正装置还需要对所述参考PA通道进行延迟处理,使其与所述无线射频通道中其余各个PA通道同步。Specifically, since the analog PA multiplier and/or the analog divider are required to process the remaining PA channels in the radio frequency channel, and the reference PA channel does not need to perform such processing, the correction device also needs to refer to the reference. The PA channel is delayed to synchronize with the remaining PA channels in the radio frequency channel.
例如,如图2中所示,设计了一个补偿的波束赋形权重向量来应用于每个PA。其中,通信信号流x0被传输,随后通过DAC(数字模拟转换器,Digital-to-Analog Converter)转换成模拟波形。该信号被分成n个分支,在此,假设n=4。选择其中一个无线射频通道,如图2中所示的通道1作为参考PA通道,来像通常一样执行DPD。因此,该DPD将是所有PA所执行的统一的DPD。在图2中还可看出,在参考PA通道中应用了一个延迟单位,其在生产中可以被补偿。该类推计算电路的带宽应足够宽。For example, as shown in Figure 2, a compensated beamforming weight vector is designed to be applied to each PA. The communication signal stream x0 is transmitted and then converted into an analog waveform by a DAC (Digital-to-Analog Converter). This signal is divided into n branches, where n = 4 is assumed. Select one of the radio frequency channels,
波束赋形的码本是波束点是在此,假定该天线阵列是线性一致的。Beamformed codebook is Beam point is Here, it is assumed that the antenna array is linearly uniform.
如果所有的PA是相同的,理想的波束将是y=x0w0+x0w1+x0w2+x0w3 w0=1。但是由于PA性能的不一致,可以应用下面的方程,通过除法电路提取x0之间的不同,以获得相位差和振幅差。If all PAs are the same, the ideal beam would be y = x0 w0 + x0 w1 + x0 w2 + x0 w3 w0 =1. However, due to the inconsistency of the PA performance, the following equation can be applied, and the difference between x0 is extracted by the dividing circuit to obtain the phase difference and the amplitude difference.
通过上述推导,波束赋形的权重是一个时变的向量调制器(vector modulator,VM),其累计了PA的差异。这些无线射频通道的修正后的波束赋形权重,使得天线阵列相对参考PA通道再次一致,因此,该波束赋形的频谱和辐射方向图被大大改进。原始的波束赋形码本被应用于该向量调制器。Through the above derivation, the weight of beamforming is a time-varying vector modulator (VM) that accumulates the difference in PA. The modified beamforming weights of these radio frequency channels cause the antenna array to again coincide with the reference PA channel, and thus the spectrum and radiation pattern of the beamforming is greatly improved. The original beamforming codebook is appliedIn this vector modulator.
本领域技术人员应能理解,上述各参数仅为举例,而不应对本发明造成任何实际的限制,其他现有或今后可能出现的参数信息,如可适用于本发明,也应包含在本发明保护范围以内,并通过引用的方式包含于此。It should be understood by those skilled in the art that the above parameters are merely examples, and should not impose any practical limitations on the present invention. Other existing or future possible parameter information, such as may be applicable to the present invention, shall also be included in the present invention. It is covered by the scope of protection and is hereby incorporated by reference.
优选地,该处理装置1还包括均分装置(未示出)。均分装置对输入信号进行均分,获得多个所述无线射频通道,其中,每一无线射频通道的功率值相同。Preferably, the
具体地,均分装置对波束赋形的输入信号可以进行均分,例如,前例中,输入信号被分成n个分支,每个分支具有相同的功率,在此,假设n=4,则可以获得4个无线射频通道,其中,每一无线射频通道的功率值相同。Specifically, the equalization device can equally divide the beamformed input signal. For example, in the previous example, the input signal is divided into n branches, each branch having the same power. Here, if n=4, it can be obtained. 4 wireless RF channels, wherein each wireless RF channel has the same power value.
需要注意的是,本发明可在软件和/或软件与硬件的组合体中被实施,例如,可采用专用集成电路(ASIC)、通用目的计算机或任何其他类似硬件设备来实现。在一个实施例中,本发明的软件程序可以通过处理器执行以实现上文所述步骤或功能。同样地,本发明的软件程序(包括相关的数据结构)可以被存储到计算机可读记录介质中,例如,RAM存储器,磁或光驱动器或软磁盘及类似设备。另外,本发明的一些步骤或功能可采用硬件来实现,例如,作为与处理器配合从而执行各个步骤或功能的电路。It should be noted that the present invention can be implemented in software and/or a combination of software and hardware, for example, using an application specific integrated circuit (ASIC), a general purpose computer, or any other similar hardware device. In one embodiment, the software program of the present invention may be executed by a processor to implement the steps or functions described above. Likewise, the software program (including related data structures) of the present invention can be stored in a computer readable recording medium such as a RAM memory, a magnetic or optical drive or a floppy disk and the like. Additionally, some of the steps or functions of the present invention may be implemented in hardware, for example, as a circuit that cooperates with a processor to perform various steps or functions.
另外,本发明的一部分可被应用为计算机程序产品,例如计算机程序指令,当其被计算机执行时,通过该计算机的操作,可以调用或提供根据本发明的方法和/或技术方案。而调用本发明的方法的程序指令,可能被存储在固定的或可移动的记录介质中,和/或通过广播或其他信号承载媒体中的数据流而被传输,和/或被存储在根据所述程序指令运行的计算机设备的工作存储器中。在此,根据本发明的一个实施例包括一个装置,该装置包括用于存储计算机程序指令的存储器和用于执行程序指令的处理器,其中,当该计算机程序指令被该处理器执行时,触发该装置运行基于前述根据本发明的多个实施例的方法和/或技术方案。Additionally, a portion of the invention can be applied as a computer program product, such as computer program instructions, which, when executed by a computer, can invoke or provide a method and/or solution in accordance with the present invention. The program instructions for invoking the method of the present invention may be stored in a fixed or removable recording medium and/or transmitted by a data stream in a broadcast or other signal bearing medium, and/or stored in a The working memory of the computer device in which the program instructions are run. Here, an embodiment in accordance with the present invention includes a device including storage for storing computer program instructionsAnd a processor for executing program instructions, wherein when the computer program instructions are executed by the processor, the apparatus is triggered to operate based on the methods and/or technical solutions described above in accordance with various embodiments of the present invention.
对于本领域技术人员而言,显然本发明不限于上述示范性实施例的细节,而且在不背离本发明的精神或基本特征的情况下,能够以其他的具体形式实现本发明。因此,无论从哪一点来看,均应将实施例看作是示范性的,而且是非限制性的,本发明的范围由所附权利要求而不是上述说明限定,因此旨在将落在权利要求的等同要件的含义和范围内的所有变化涵括在本发明内。不应将权利要求中的任何附图标记视为限制所涉及的权利要求。此外,显然“包括”一词不排除其他单元或步骤,单数不排除复数。装置权利要求中陈述的多个单元或装置也可以由一个单元或装置通过软件或者硬件来实现。第一,第二等词语用来表示名称,而并不表示任何特定的顺序。It is apparent to those skilled in the art that the present invention is not limited to the details of the above-described exemplary embodiments, and the present invention can be embodied in other specific forms without departing from the spirit or essential characteristics of the invention. Therefore, the present embodiments are to be considered as illustrative and not restrictive, and the scope of the invention is defined by the appended claims instead All changes in the meaning and scope of equivalent elements are included in the present invention. Any reference signs in the claims should not be construed as limiting the claim. In addition, it is to be understood that the word "comprising" does not exclude other elements or steps. A plurality of units or devices recited in the device claims may also be implemented by a unit or device by software or hardware. The first, second, etc. words are used to denote names and do not denote any particular order.
| Application Number | Priority Date | Filing Date | Title |
|---|---|---|---|
| CN201780095963.6ACN111226397B (en) | 2017-11-10 | 2017-11-10 | A method and apparatus for digital predistortion processing in beamforming |
| PCT/CN2017/110447WO2019090693A1 (en) | 2017-11-10 | 2017-11-10 | Method and device for performing digital pre-distortion processing during beam forming |
| Application Number | Priority Date | Filing Date | Title |
|---|---|---|---|
| PCT/CN2017/110447WO2019090693A1 (en) | 2017-11-10 | 2017-11-10 | Method and device for performing digital pre-distortion processing during beam forming |
| Publication Number | Publication Date |
|---|---|
| WO2019090693A1true WO2019090693A1 (en) | 2019-05-16 |
| Application Number | Title | Priority Date | Filing Date |
|---|---|---|---|
| PCT/CN2017/110447CeasedWO2019090693A1 (en) | 2017-11-10 | 2017-11-10 | Method and device for performing digital pre-distortion processing during beam forming |
| Country | Link |
|---|---|
| CN (1) | CN111226397B (en) |
| WO (1) | WO2019090693A1 (en) |
| Publication number | Priority date | Publication date | Assignee | Title |
|---|---|---|---|---|
| CN111884694A (en)* | 2020-07-28 | 2020-11-03 | 中国联合网络通信集团有限公司 | Beamforming control method, device, electronic device and storage medium |
| Publication number | Priority date | Publication date | Assignee | Title |
|---|---|---|---|---|
| CN111740786B (en)* | 2020-06-10 | 2022-01-25 | 电子科技大学 | Integrated optical waveguide beam forming device |
| CN113131976A (en)* | 2021-03-11 | 2021-07-16 | 西安电子科技大学 | Decimetric wave mixed beam forming method, system and application |
| Publication number | Priority date | Publication date | Assignee | Title |
|---|---|---|---|---|
| US20080144737A1 (en)* | 2006-12-19 | 2008-06-19 | Qualcomm Incorporated | Beamspace-time coding based on channel quality feedback |
| CN102570064A (en)* | 2011-12-31 | 2012-07-11 | 中兴通讯股份有限公司 | Active antenna device and signal transmit-receive method thereof |
| CN103368628A (en)* | 2013-07-18 | 2013-10-23 | 西安科技大学 | Double-current beam forming method based on code books in TD-LTE system |
| EP2981151A1 (en)* | 2008-08-14 | 2016-02-03 | Huawei Technologies Co., Ltd. | Active antenna, base station, method for refreshing amplitudes and phases, and method for processing signals |
| CN106712864A (en)* | 2017-01-20 | 2017-05-24 | 京信通信技术(广州)有限公司 | Smart antenna performance test and optimization method and device |
| Publication number | Priority date | Publication date | Assignee | Title |
|---|---|---|---|---|
| KR101975830B1 (en)* | 2013-04-02 | 2019-05-09 | 한국전자통신연구원 | Beam forming device and method for forming beam thereof |
| CN105450184B (en)* | 2014-08-08 | 2019-01-11 | 瑞昱半导体股份有限公司 | Digital predistortion circuit and method and digital pre-distortion drill circuit |
| CN106817328B (en)* | 2015-11-30 | 2020-08-21 | 南京中兴软件有限责任公司 | Digital predistortion table generation method and device |
| CN105763503B (en)* | 2016-04-25 | 2019-11-19 | 京信通信系统(中国)有限公司 | A kind of digital pre-distortion processing method and device |
| Publication number | Priority date | Publication date | Assignee | Title |
|---|---|---|---|---|
| US20080144737A1 (en)* | 2006-12-19 | 2008-06-19 | Qualcomm Incorporated | Beamspace-time coding based on channel quality feedback |
| EP2981151A1 (en)* | 2008-08-14 | 2016-02-03 | Huawei Technologies Co., Ltd. | Active antenna, base station, method for refreshing amplitudes and phases, and method for processing signals |
| CN102570064A (en)* | 2011-12-31 | 2012-07-11 | 中兴通讯股份有限公司 | Active antenna device and signal transmit-receive method thereof |
| CN103368628A (en)* | 2013-07-18 | 2013-10-23 | 西安科技大学 | Double-current beam forming method based on code books in TD-LTE system |
| CN106712864A (en)* | 2017-01-20 | 2017-05-24 | 京信通信技术(广州)有限公司 | Smart antenna performance test and optimization method and device |
| Publication number | Priority date | Publication date | Assignee | Title |
|---|---|---|---|---|
| CN111884694A (en)* | 2020-07-28 | 2020-11-03 | 中国联合网络通信集团有限公司 | Beamforming control method, device, electronic device and storage medium |
| CN111884694B (en)* | 2020-07-28 | 2023-03-24 | 中国联合网络通信集团有限公司 | Beam forming control method and device, electronic equipment and storage medium |
| Publication number | Publication date |
|---|---|
| CN111226397B (en) | 2022-05-17 |
| CN111226397A (en) | 2020-06-02 |
| Publication | Publication Date | Title |
|---|---|---|
| US10841018B2 (en) | Communication system | |
| JP7013574B2 (en) | Correction device and correction method | |
| US9755583B2 (en) | Using fractional delay computations to improve intermodulation performance | |
| US20220021349A1 (en) | A digital predistortion device and method | |
| WO2016074585A1 (en) | Radio-frequency channel correction method and device | |
| CN111226397B (en) | A method and apparatus for digital predistortion processing in beamforming | |
| JP7081594B2 (en) | Transmitters, communication systems, transmitter control methods and programs | |
| WO2020238208A1 (en) | Digital predistortion structure for hybrid large-scale mimo array based on spatial domain feedback | |
| EP4356517A1 (en) | Systems and methods for multiband linearization using kernel regression | |
| US8761700B2 (en) | Active antenna array with a single common clock and a method for relaying a plurality of radio signals | |
| JP7622756B2 (en) | Signal processing device, signal processing method and program | |
| WO2019129013A1 (en) | Correction device and method | |
| US10715261B2 (en) | Method and apparatus for antenna array calibration using on-board receiver | |
| US9819372B2 (en) | Radio communication device and burst distortion correcting method | |
| US9755675B2 (en) | Distortion compensation device and distortion compensation method | |
| JP2016034121A (en) | Transmitter | |
| US8396420B2 (en) | Active antenna system for a mobile communications network as well as a method for relaying a plurality of radio signals through the active antenna system | |
| US9825658B2 (en) | Distortion compensation apparatus and distortion compensation method | |
| JP7711585B2 (en) | Wireless communication device and wireless transmission method | |
| JP2001326541A (en) | Amplitude and phase change device | |
| WO2024065725A1 (en) | Methods and apparatuses for perfoming digital predistortion using a combintion model | |
| US10153791B2 (en) | Method for transmitting radio signals from a base station, a system and a computer program product | |
| JP6395782B2 (en) | Communication satellite and system | |
| TW202518870A (en) | Digital pre-distortion system and method for beamforming signals | |
| KR20250087708A (en) | Communication method and device |
| Date | Code | Title | Description |
|---|---|---|---|
| 121 | Ep: the epo has been informed by wipo that ep was designated in this application | Ref document number:17931552 Country of ref document:EP Kind code of ref document:A1 | |
| NENP | Non-entry into the national phase | Ref country code:DE | |
| 122 | Ep: pct application non-entry in european phase | Ref document number:17931552 Country of ref document:EP Kind code of ref document:A1 |