








本発明は、非接触センサにて対象者と非接触で検知されたバイタルデータ(生体情報)に基づく処理を行うデータ処理装置と、そのデータ処理装置を含むケアサポートシステムと、データ処理方法とに関するものである。The present invention relates to a data processing apparatus that performs processing based on vital data (biological information) detected in a noncontact manner with a subject using a noncontact sensor, a care support system including the data processing apparatus, and a data processing method. It is a thing.
 従来から、脈波などのバイタルデータを検知する装置が広く用いられており、その一例が例えば特許文献1に開示されている。特許文献1の装置では、対象者の姿勢状態が、脈波情報の測定処理を行う姿勢として適切であるか否かを判定し、姿勢状態が適切であると判定された場合に脈波情報の測定処理を行うことで、測定処理の精度を向上させるようにしている。また、姿勢状態の通知画像を表示部に表示することで、対象者が適切な姿勢状態をとることを容易にしている。Conventionally, a device for detecting vital data such as a pulse wave has been widely used, and an example thereof is disclosed in, for example,
ところで、近年では、介護施設や病院等において、被介護者や患者(以下、対象者とも称する)のバイタルデータを、対象者と非接触で検知するリモートセンシングが行われている。このようなリモートセンシングでは、監視による対象者の負担(監視による圧迫感、心理的な不安)を極力低減するため、対象者に意識させずにバイタルデータを測定(検知)することが望ましい。By the way, in recent years, in a care facility, a hospital, etc., remote sensing which detects vital data of a cared person or a patient (hereinafter, also referred to as a subject) without contacting the subject is performed. In such remote sensing, it is desirable to measure (detect) vital data without the subject being aware, in order to reduce the burden on the subject due to monitoring (pressure feeling due to monitoring, psychological anxiety) as much as possible.
 しかし、特許文献1の構成では、バイタルデータの測定にあたって、画像を表示させて対象者に姿勢の矯正を促すため、対象者に姿勢の矯正ひいてはバイタルデータの測定を意識させることになる。このため、特許文献1の構成は、対象者に意識させずに、対象者と非接触でバイタルデータを検知するリモートセンシングには不向きである。However, in the configuration of
また、測定の分野では、測定誤差や測定機器の性能により、測定値にバラツキが生じることは避けられない。測定値にバラツキが生じると、そのバラツキが、測定誤差や測定機器の性能によるものか、測定値そのものの変化によるものかがわからない。特に、上記のリモートセンシングでは、測定機器を対象者に接触させてバイタルデータを直接測定するわけではないため、測定によって取得されるデータのバラツキは、接触方式の測定に比べて大きくなりやすい。このように、測定値のバラツキが大きい場合、測定値自体が役に立たなくなることもある。Further, in the field of measurement, it is inevitable that the measurement value may be varied due to the measurement error or the performance of the measurement device. If variations occur in the measured value, it is not known whether the variation is due to the measurement error or the performance of the measuring instrument or the change in the measured value itself. In particular, in the above-described remote sensing, vital data is not directly measured by bringing the measuring instrument into contact with the subject, so that the variation in data acquired by the measurement tends to be large compared to the contact type measurement. As described above, when the variation of the measured value is large, the measured value itself may not be useful.
そこで、対象者と非接触でバイタルデータを検知する構成において、測定値(バイタルデータ)にバラツキが存在するという前提のもと、バイタルデータの変化を確実にキャッチ(チェック)し、必要に応じて外部に対して適切にアラート(警告)することが望まれるが、そのような技術は、未だ提案されていない。Therefore, in a configuration in which vital data is detected in a non-contact manner with the subject, variation in vital data is reliably caught (checked) on the premise that variation exists in measured values (vital data), and as necessary It is desirable to alert the outside appropriately, but such a technology has not been proposed yet.
本発明は、上記の問題点を解決するためになされたものであり、その目的は、測定値のバラツキの存在を前提としながら、対象者に意識させずに対象者と非接触で検知されるバイタルデータの変化を確実にキャッチし、必要に応じて外部に適切に警告することができるデータ処理装置およびデータ処理方法と、そのデータ処理装置を備えたケアサポートシステムとを提供することにある。The present invention has been made to solve the above-mentioned problems, and the object thereof is detected in a noncontact manner with a subject without being conscious of the subject, on the premise of the presence of variations in measurement values. It is an object of the present invention to provide a data processing device and a data processing method capable of reliably catching changes in vital data and appropriately alerting the outside when necessary, and a care support system provided with the data processing device.
本発明の一側面に係るデータ処理装置は、現在を含む評価期間よりも過去の所定期間において、非接触センサにて対象者と非接触で検知されたバイタルデータに基づいて、前記所定期間における前記バイタルデータの基準値に対するバラツキ範囲を、過去バラツキ範囲として算出する過去バラツキ範囲算出部と、前記評価期間において、前記非接触センサにて対象者と非接触で検知されたバイタルデータに基づいて、前記過去バラツキ範囲との比較対象となる現在パラメータを算出する現在パラメータ算出部と、前記現在パラメータと前記過去バラツキ範囲とを比較し、その比較結果に基づいて、外部に警告情報を発する比較処理部とを備えている。A data processing apparatus according to an aspect of the present invention is the data processing apparatus according to the first aspect, wherein the non-contact sensor detects contactless data with the subject during a predetermined period before the evaluation period including the present. The past variation range calculation unit calculates the variation range with respect to the reference value of vital data as a past variation range, and the vital period based on vital data detected in non-contact with the subject during the evaluation period. A current parameter calculation unit that calculates a current parameter to be compared with a past variation range, and a comparison processing unit that compares the current parameter with the past variation range and issues warning information to the outside based on the comparison result Is equipped.
本発明の他の側面に係るデータ処理方法は、現在を含む評価期間よりも過去の所定期間において、非接触センサにて対象者と非接触で検知されたバイタルデータに基づいて、前記所定期間における前記バイタルデータの基準値に対するバラツキ範囲を、過去バラツキ範囲として算出する過去バラツキ範囲算出工程と、前記評価期間において、前記非接触センサにて対象者と非接触で検知されたバイタルデータに基づいて、前記過去バラツキ範囲との比較対象となる現在パラメータを算出する現在パラメータ算出工程と、前記現在パラメータと前記過去バラツキ範囲とを比較する比較工程と、前記比較工程での比較結果に基づいて、外部に警告情報を発する警告工程とを含む。In a data processing method according to another aspect of the present invention, during a predetermined period before the evaluation period including the present, based on vital data detected by the non-contact sensor in a non-contact manner with the subject, The past variation range calculation step of calculating the variation range with respect to the reference value of the vital data as the past variation range, and vital data detected in a noncontacting manner by the noncontact sensor during the evaluation period, Based on the comparison result in the comparison step, the current parameter calculation step of calculating the current parameter to be compared with the past variation range, the comparison step of comparing the current parameter and the past variation range, and the comparison step And a warning process for issuing warning information.
本発明のさらに他の側面に係るケアサポートシステムは、対象者の日常の生活を支援するケアサポートシステムであって、対象者と非接触でバイタルデータを検知する非接触センサと、前記非接触センサにて検知された前記バイタルデータを管理する管理サーバーとを備え、前記管理サーバーは、上記データ処理装置を含む。A care support system according to still another aspect of the present invention is a care support system for supporting the daily life of a subject, comprising: a non-contact sensor for detecting vital data in a non-contact manner with the subject; And a management server that manages the vital data detected in the data processing apparatus, the management server including the data processing apparatus.
測定値(バイタルデータ)のバラツキの存在を前提としながら、非接触センサによって対象者に意識させずに対象者と非接触で検知されるバイタルデータの変化を確実にキャッチでき、必要に応じて外部に適切に警告することができる。Based on the presence of variations in measured values (vital data), changes in vital data detected in a noncontact manner with the subject can be reliably caught by the noncontact sensor without making the subject conscious, and as necessary external Can be properly warned.
本発明の実施の一形態について、図面に基づいて説明すれば、以下の通りである。It will be as follows if one embodiment of the present invention is described based on a drawing.
本実施形態のデータ処理装置およびデータ処理方法は、例えば、介護施設に入居している被介護者や、病院に入院している患者(被看護者)の身体に関する情報(生体情報、バイタルデータ)を管理する管理サーバーを備えたケアサポートシステムに適用可能である。なお、ケアサポートシステムには、施設型、訪問型(訪問医療型、訪問介護型、訪問看護型を含む)がある。以下、本実施形態のデータ処理装置およびデータ処理方法について説明する前に、まず、施設型、訪問型の各ケアサポートシステムについて説明する。The data processing apparatus and data processing method according to the present embodiment are, for example, information (biometric information, vital data) on the body of a cared person living in a care facility or a patient (cared person) admitted to a hospital It is applicable to a care support system provided with a management server that manages The care support system includes a facility type and a visiting type (including a visiting medical type, a visiting care type, and a visiting nursing type). Hereinafter, before describing the data processing apparatus and the data processing method of the present embodiment, first, each type of care support system of a facility type and a visit type will be described.
 〔ケアサポートシステム(施設型)〕
 図1は、本実施形態の施設型のケアサポートシステム1の概略の構成を示す説明図である。ケアサポートシステム1は、介護施設に入居している被介護者や、病院に入院している患者(被看護者)の日常の生活を支援するためのシステムであり、見守りシステムとも呼ばれている。被介護者および被看護者は、ケアサポートシステム1による支援の対象、つまり、後述する画像認識システム20や電波検出部30での認識や検出等によって管理される対象者(被検者)である。ここでは、例として、ケアサポートシステム1が介護施設内で構築されている場合について説明する。[Care support system (facility type)]
 FIG. 1 is an explanatory view showing a schematic configuration of a facility type
 介護施設Sには、スタッフステーション100および居室101が設けられている。スタッフステーション100は、介護施設Sで過ごす被介護者の生活をサポートする介護者のいわゆる詰め所である。このスタッフステーション100には、管理サーバー100aが設けられている。管理サーバー100aは、通信回線200を介して、居室101に設置される後述の動体検知ユニット10と通信可能に接続される端末装置であり、中央演算処理装置(CPU;Central Processing Unit)を含んで構成される。なお、通信回線200は、例えば有線LAN(Local Area Network)で構成されるが、無線LANであっても勿論構わない。In the care facility S, a
 管理サーバー100aは、通信回線200を介して、動体検知ユニット10から送信される各種の情報(例えば居室101内の撮影画像や被介護者のバイタルデータ(例えば呼吸状態を示す情報))を受信して管理するとともに、受信した情報を表示部100b1に表示させる。これにより、介護施設Sの介護者やシステムの利用者は、表示部100b1に表示された情報を見て、被介護者の状態(呼吸状態、転倒有無など)を把握することができる。表示部100b1は、例えば管理サーバー100aと通信可能に接続されるパーソナルコンピュータ100bのディスプレイで構成することができる。なお、管理サーバー100aは、パーソナルコンピュータ100bと一体的に構成されてもよい。また、後述する画像認識システム20での画像認識処理により、被介護者が床面に転倒するなど、被介護者の動作が異常であることが認識されたときには、管理サーバー100aは、動体検知ユニット10からその旨の情報を受信して、動体検知ユニット10の光学検出部23で取得される居室101内の撮影画像のデータを、介護者が所有する携帯端末に送信し、被介護者の異常を介護者に知らせることも可能である。The
 居室101は、介護施設Sにおいて少なくとも1つ設けられており、図1では例として居室101が2つ設けられている場合を示している。居室101内には、被介護者が使用するベッド102が1つ設置されている。なお、1つの居室101内に被介護者が二人以上入居する場合、被介護者の各々に対応して複数のベッド102が設置される。At least one
 図2は、動体検知ユニット10が設置された居室101内の様子を模式的に示す説明図である。図1および図2に示すように、動体検知ユニット10は、各居室101の天井部101aに設置され、通信回線200と通信可能に接続されている。居室101が複数のベッド102が設置された多床室である場合、動体検知ユニット10は、各ベッド102に対応して複数(各ベッド102の数だけ)設置される。FIG. 2: is explanatory drawing which shows typically the mode in the
 〔動体検知ユニット〕
 次に、動体検知ユニット10について説明する。図3は、動体検知ユニット10の概略の構成を示すブロック図である。動体検知ユニット10は、居室101内の動体としての被介護者(対象者)の情報(バイタルデータ)を、被介護者とは非接触で検知する非接触センサである。この動体検知ユニット10は、画像認識システム20、電波検出部30およびユニット制御部40を備えている。動体検知ユニット10は、電波検出部30をはじめ、後述する光学検出部23など、種々のセンサを備えていることから、センサボックスとも呼ばれる。[Moving object detection unit]
 Next, the moving
 電波検出部30は、電波の放射および受信によって、居室101内での被介護者の状態を検知するセンサである。電波検出部30は、不図示の放射部および受信部を備えており、例えば24GHz帯のマイクロ波を放射し、被介護者にて反射してドップラーシフトした反射波を受信するマイクロ波ドップラーセンサによって構成される。これにより、電波検出部30は、受信した反射波から、被介護者の呼吸状態(呼吸数)、睡眠状態、心拍数などをバイタルデータとして検出することができる。The radio
 なお、被介護者が呼吸しているとき(睡眠中も含む)、被介護者の呼吸による体の微小な動き(微体動)が生じる。このため、被介護者の呼吸状態や睡眠状態を検出することは、被介護者の微体動を検出するのと同じである。このことから、電波検出部30は、被介護者(被検者)の微体動を検出する微体動検出部として機能しているとも言うことができる。In addition, when the care recipient is breathing (including during sleep), minute movement of the body (micro movement) occurs due to the respiration of the care recipient. For this reason, detecting the respiratory state and the sleep state of the care recipient is the same as detecting the movement of the care recipient. From this, it can be said that the radio
 また、電波検出部30は、電波(マイクロ波)を放射し、被介護者にて反射してきた電波(反射波)の周波数と、放射した電波の周波数とを比較することにより、被介護者の身体の動き(体動)を検出することもできる。なお、電波検出部30は、体動および微体動のどちらか一方のみを検出するセンサであってもよい。In addition, the radio
 ユニット制御部40は、画像認識システム20および電波検出部30の動作を制御するとともに、画像認識システム20および電波検出部30から得た情報に対して画像処理や信号処理を行い、得られた結果を被介護者の状態に関する情報として管理サーバー100aに出力する制御基板である。The
 ユニット制御部40は、主制御部41、情報処理部42、インターフェース部43、記憶部24および画像認識部25を備えている。記憶部24および画像認識部25は、ここではユニット制御部40に設けられているが、ユニット制御部40とは独立して設けられていてもよい。なお、記憶部24および画像認識部25の詳細については後述する。The
 主制御部41は、動体検知ユニット10内の各部の動作を制御するCPUで構成されている。情報処理部42および画像認識部25は、上記のCPUで構成されてもよいし(主制御部41と一体化されていてもよいし)、他の演算部や、特定の処理を行う回路で構成されてもよい。The
 情報処理部42は、画像認識システム20の後述する光学検出部23から出力される情報(例えば画像データ)や、電波検出部30から出力される情報(例えば呼吸状態に関するデータ)に対して、所定のアルゴリズムに基づいた信号処理を行う。信号処理によって得られた情報は、画像認識システム20(特に画像認識部25)での画像認識に利用される。The
 インターフェース部43には、通信回線200のネットワークケーブル(不図示)が電気的に接続される。画像やマイクロ波に基づいて動体検知ユニット10が検出した被介護者の状態に関する情報は、インターフェース部43および通信回線200を介して管理サーバー100aに送信される。A network cable (not shown) of the
 画像認識システム20は、照明部21、照明制御部22および光学検出部23を備えている。The
 照明部21は、暗闇での撮影を可能にすべく、赤外線(例えば近赤外光)を発光するLED(Light Emitting Diode)を含んで構成されており、居室101の天井部101aに位置して、居室101内を照明する。例えば、照明部21は、複数のLEDを有しており、居室101内の床面101b(図2参照)や、天井部101aと床面101bとをつなぐ壁を照明する。照明部21による照明(赤外線の発光)の制御は、照明制御部22によって行われる。The
 光学検出部23は、照明部21の照明のもとで居室101内を撮影して画像を取得する撮像部であり、特に、居室101内の被介護者を撮影して赤外画像を取得する赤外画像センサである。より詳しくは、以下の通りである。The
 図4は、光学検出部23の詳細な構成を示すブロック図である。光学検出部23は、居室101の天井部101aに、照明部21と隣接して配置されており、撮影によって視野方向が直下である直上視点の画像を取得する。この光学検出部23は、レンズ51、撮像素子52、AD(analog/digital)変換部53、画像処理部54および制御演算部55を備えている。FIG. 4 is a block diagram showing the detailed configuration of the
 レンズ51は、例えば固定焦点レンズであり、一般的な超広角レンズや魚眼レンズで構成されている。超広角レンズとしては、対角画角が150°以上のレンズを用いることができる。これにより、天井部101aから床面101bに向かって居室101内を撮影することが可能となる。The
 撮像素子52は、例えばCCD(Charge Coupled Device)やCMOS(Complementary Metal Oxide Semiconductor)といったイメージセンサで構成されている。撮像素子52は、真っ暗な環境でも被介護者の状態が画像として検出できるように、IRカットフィルタを除去して構成されている。撮像素子52からの出力信号は、AD変換部53に入力される。The
 AD変換部53は、撮像素子52によって撮像された画像のアナログの画像信号を受信し、そのアナログの画像信号をデジタルの画像信号に変換する。AD変換部53から出力されるデジタルの画像信号は、画像処理部54に入力される。The
 画像処理部54は、AD変換部53から出力されるデジタルの画像信号を受信し、そのデジタルの画像信号に対して、例えば黒補正、ノイズ補正、色補間、ホワイトバランスなどの画像処理を実行する。画像処理部54から出力される画像処理後の信号は、画像認識部25に入力される。The
 制御演算部55は、撮像素子52の制御に関する例えばAE(Automatic Exposure)などの演算を実行するとともに、撮像素子52に対して露光時間やゲインなどの制御を実行する。また、制御演算部55は、必要に応じて、照明部21に対して好適な光量設定や配光設定などの演算を実行するとともに、制御を実行する。なお、制御演算部55に、上述の照明制御部22の機能を持たせるようにしてもよい。The
 上記した画像認識システム20は、さらに、上述した記憶部24および画像認識部25を備えている。The above-described
 記憶部24は、ユニット制御部40が実行する制御プログラムや各種の情報を記憶するメモリであり、例えばRAM(Random Access Memory)、ROM(Read Only Memory)、不揮発性メモリなどで構成されている。The
 画像認識部25は、光学検出部23にて取得された画像の画像データに対して画像認識処理を行う。より具体的には、画像認識部25は、光学検出部23の画像処理部54が画像処理を実行した後の信号を受信し、例えば対象物の輪郭を抽出してパターンマッチング等の手法で形状を認識する画像認識処理を実行する。これにより、画像認識部25は、居室101内にいる被介護者の状態を認識することができる。居室101内にいる被介護者の状態としては、起床、離床、入床(臥床)、転倒などを想定できる。The
 〔ケアサポートシステム(訪問型)〕
 図5は、訪問型のケアサポートシステム1の概略の構成を示す説明図である。訪問型のケアサポートシステム1は、被介護者や被看護者などの、健康を管理する対象者のそれぞれの自宅(例えば居室110)に上述した動体検知ユニット10を設置し、各動体検知ユニット10を、通信回線200を介して管理サーバー100aと通信可能に接続して構成されており、建物ごとに動体検知ユニット10を設置した点を除けば、施設型のケアサポートシステム1と基本的な構成は同じである。[Care support system (visit type)]
 FIG. 5 is an explanatory view showing a schematic configuration of the visit type
 該システムの利用者NUは、管理サーバー100aと通信回線200を介して無線通信可能な利用者端末300を所有(携帯)している。これにより、利用者NUは、利用者端末300を操作して管理サーバー100aにアクセスして、種々の情報を取得することが可能となる。また、利用者NUは、管理サーバー100aから利用者端末300に送信される各種情報(後述する警告情報も含む)に基づいて、被介護者の状態を把握することが可能となる。A user NU of the system owns (carries) a
 なお、利用者NUとしては、被介護者などの対象者の自宅を訪問して健康を管理する医師、介護士、看護師など、医療、介護または看護に従事する従事者を想定することができる。また、利用者端末300としては、タブレットやスマートフォンなどの多機能型携帯端末や、ノート型パーソナルコンピュータを想定することができる。In addition, as the user NU, a worker who visits a home of a target person such as a cared person and manages the health and can be assumed a worker who is engaged in medical care, care or nursing, such as a care worker or a nurse. . Moreover, as the
 〔データ処理装置について〕
 次に、上述したケアサポートシステム1の管理サーバー100aに適用可能なデータ処理装置について説明する。図6は、本実施形態のデータ処理装置60の概略の構成を示すブロック図である。データ処理装置60は、記憶部61と、通信部62と、制御部63とを有している。[About data processing device]
 Next, a data processing apparatus applicable to the
 記憶部61は、例えばハードディスクで構成されており、動体検知ユニット10から送信される各種情報や、制御部63が実行するプログラムを記憶している。動体検知ユニット10から送信される各種情報には、例えば、対象者の日々の体温、体動(動き、単位時間あたりの動きの回数、動きの量を含む)、微体動(呼吸数)、血圧、睡眠状態などの情報(バイタルデータ)が含まれる。The
 通信部62は、外部(例えば動体検知ユニット10、利用者端末300)との間で情報の入出力を行うためのインターフェースであり、送信回路、受信回路、アンテナなどを含んで構成される。The
 制御部63は、過去バラツキ範囲算出部63aと、現在パラメータ算出部63bと、比較処理部63cと、全体制御部63dとを含んで構成される。制御部63は、例えば単一のCPUで構成されており、過去バラツキ範囲算出部63a、現在パラメータ算出部63b、比較処理部63c、全体制御部63dの各機能を実行する。なお、過去バラツキ範囲算出部63a、現在パラメータ算出部63b、比較処理部63c、全体制御部63dは、別々のCPUで構成されてもよい。全体制御部63dは、データ処理装置60の各部の動作を制御する。The
 過去バラツキ範囲算出部63aは、記憶部61に記憶された情報(特にバイタルデータ)のうち、現在を含む評価期間よりも過去の所定期間において、非接触センサとしての動体検知ユニット10にて対象者と非接触で検知されたバイタルデータに基づいて、所定期間におけるバイタルデータの基準値に対するバラツキ範囲を、過去バラツキ範囲として算出する。The past variation
 現在パラメータ算出部63bは、記憶部61に記憶された情報(特にバイタルデータ)のうち、現在を含む評価期間において、動体検知ユニット10にて対象者と非接触で検知されたバイタルデータに基づいて、上記した過去バラツキ範囲との比較対象となる現在パラメータを算出する。The current parameter calculation unit 63 b is based on vital data detected in a non-contact manner with the subject in the moving
 比較処理部63cは、現在パラメータと過去バラツキ範囲とを比較し、その比較結果に基づいて、外部(例えば利用者端末300)に警告情報(例えば警告信号)を発する。The
 ここで、上記の所定期間、評価期間、基準値、代表値、過去バラツキ範囲、現在パラメータについて、さらに詳細に説明する。図7は、動体検知ユニット10によって非接触で検知された対象者のバイタルデータとしての体温データの変化の一例を、過去の所定期間P1と、現在を含む評価期間P2とで示したグラフである。Here, the predetermined period, the evaluation period, the reference value, the representative value, the past variation range, and the current parameter will be described in more detail. FIG. 7 is a graph showing an example of a change in body temperature data as vital data of a subject detected without contact by the moving
 (所定期間)
 所定期間P1は、評価期間P2よりも過去の期間であり、その始期は、例えばバイタルデータの計測開始(バイタルデータの記憶部61への蓄積開始)とすることができる。所定期間P1の長さは、1日、2日、1週間、1か月などのように任意に設定可能であるが、バイタルデータの計測開始から現在までの経過時間に応じて設定されればよい。例えば、バイタルデータの計測開始(時点d0とする)から現在(時点dpとする)までの期間が1週間である場合、所定期間P1としては、時点d0から5日間(時点dpよりも2日前までの期間)を考えることができる。また、時点d0から時点dpまでの期間が1か月である場合、所定期間P1としては、時点t0から3週間(およそ時点t0から時点dpの前週までの期間)を考えることができる。さらに、時点d0から時点dpまでの期間が3か月である場合、所定期間P1としては、時点t0から2か月(時点t0から時点dpの1か月前までの期間)を考えることができる。このように、所定期間P1は、バイタルデータの計測開始から現在までの経過時間が長くなるにつれて徐々に伸ばしていけばよい。(Predetermined period)
 The predetermined period P1 is a period before the evaluation period P2, and the start of the predetermined period P1 can be, for example, the start of measurement of vital data (the start of accumulation of vital data in the storage unit 61). The length of the predetermined period P1 can be arbitrarily set to one day, two days, one week, one month, etc., but if it is set according to the elapsed time from the start of measurement of vital data to the present Good. For example, when the period from the measurement start of vital data (referred to as time point d0) to the present (referred to as time point dp) is 1 week, the predetermined period P1 is 5 days from time point d0 to 5 days (up to 2 days before time point dp) Period) can be considered. When the period from time point d0 to time point dp is one month, the predetermined time period P1 can be considered three weeks from time point t0 (approximately a time period from time point t0 to the week before time point dp). Furthermore, when the period from time point d0 to time point dp is 3 months, two months (time period from time point t0 to 1 month before time point dp) can be considered as the predetermined time period P1. . Thus, the predetermined period P1 may be gradually extended as the elapsed time from the start of measurement of vital data to the present becomes longer.
 なお、時点d0から時点dpまでの期間があまりに長期(例えば10年)になると、所定期間P1におけるバイタルデータのバラツキ範囲に、10年前のバイタルデータが反映されることもあり得る。バイタルデータは加齢によっても多少変化するため、このような加齢による影響を排除しながら、過去に対する現在のバイタルデータの変化を把握しようとする場合は、古すぎるデータを比較対象であるバラツキ範囲に反映させないことが望ましい。したがって、所定期間P1の始期については、評価期間P2の始期を基準に、最長でも過去1年前に設定することが望ましい。If the period from time point d0 to time point dp is too long (for example, 10 years),
また、所定期間P1は、バイタルデータの計測開始から現在までの経過時間に関係なく、固定期間であってもよい。つまり、所定期間P1は、評価期間P2の直前の過去1か月間、過去3か月間、過去6か月間などに設定されてもよい。In addition, the predetermined period P1 may be a fixed period regardless of the elapsed time from the start of measurement of vital data to the present time. That is, the predetermined period P1 may be set to the past one month immediately before the evaluation period P2, the past three months, the past six months, or the like.
 (評価期間)
 評価期間P2は、現在を含んで過去に遡る期間であればよく、その長さは任意に設定可能である。例えば、評価期間P2は、現在のバイタルデータを1回測定した時点dpだけであってもよいし、直近で3回、5回または10回測定した期間であってもよいし、直近で1日、2日または3日などであってもよい。なお、データの測定回数と期間とは必ずしも比例関係になくてもよい。例えば、短期間で複数回の測定を行うことで、評価期間P2を1日(測定は10回)とすることもできるし、長期間で複数回の測定を行うことで、評価期間P2を10日(測定は10回)とすることもできる。前者のように、短期間で複数回の測定を行うことにより、評価期間P2に用いるデータの精度を上げる(バラツキを低くする)ことができる。(Evaluation period)
 The evaluation period P2 may be any period including the present and going back to the past, and the length can be set arbitrarily. For example, the evaluation period P2 may be only the time point dp at which the current vital data is measured once, or may be a period measured most recently three times, five times, or ten times, or most recently one day , 2 days or 3 days etc. The number of times of measurement of data and the period may not necessarily be proportional to each other. For example, the evaluation period P2 can be set to one day (measurement is 10 times) by performing a plurality of measurements in a short period, or the evaluation period P2 can be 10 by performing a plurality of measurements in a long period. It can also be a day (measurement is 10 times). As in the former case, the accuracy of the data used in the evaluation period P2 can be increased (variation can be reduced) by performing measurement a plurality of times in a short period of time.
 (基準値)
 基準値は、過去の所定期間P1における複数のバイタルデータを代表する値であり、図7では、R1で示される。基準値R1としては、例えば、所定期間P1における複数のバイタルデータの平均値、モード(最頻値)、メジアン(中央値)のいずれかを用いることができる。(Reference value)
 The reference value is a value representing a plurality of vital data in a predetermined past period P1, and is indicated by R1 in FIG. As the reference value R1, for example, any one of an average value of a plurality of vital data in a predetermined period P1, a mode (mode), and a median (median) can be used.
 (代表値)
 代表値は、現在を含む評価期間P2における複数のバイタルデータを代表する値であり、図7では、R2で示される。代表値R2としては、基準値R1と同様に、例えば、評価期間P2における複数のバイタルデータの平均値、モード、メジアンのいずれかを用いることができる。(Typical value)
 The representative value is a value representing a plurality of vital data in the evaluation period P2 including the present, and is shown by R2 in FIG. As the representative value R2, similarly to the reference value R1, for example, any one of an average value of a plurality of vital data in the evaluation period P2, a mode, and a median can be used.
 (過去バラツキ範囲)
 過去バラツキ範囲は、所定期間P1におけるバイタルデータの基準値R1に対するバラツキ範囲(範囲値)を指し、図7ではT1で示される。過去バラツキ範囲T1は、所定期間P1における複数のバイタルデータの標準偏差(バラツキ値、σ値)、分散(σ2)、バイタルデータの最大値と最小値との差、のいずれかを用いて表すことができ、既存の統計的手法によって求めることができる。例えば、過去バラツキ範囲T1は、「基準値R1±3σの範囲」で表わされるが、σの係数は適宜変更して設定することが可能である。(Past variation range)
 The past variation range indicates a variation range (range value) of the vital data with respect to the reference value R1 in the predetermined period P1, and is indicated by T1 in FIG. The past variation range T1 is represented using any of the standard deviation (variation value, σ value), the variance (σ2 ), and the difference between the maximum value and the minimum value of vital data of a plurality of vital data in a predetermined period P1. It can be determined by existing statistical methods. For example, the past variation range T1 is expressed by "the range of the reference value R1 ± 3σ", but the coefficient of σ can be appropriately changed and set.
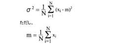
なお、上記の標準偏差(σ値)は、データがN個の値x1、x2、・・・xNをとるとき、以下の式で示される分散σ2の平方根である。The above standard deviation (σ value) is the square root of the variance σ2 represented by the following equation, when the data takes N values x1 , x2 ,... XN.
 (現在パラメータ)
 現在パラメータT2は、過去バラツキ範囲T1との比較対象であり、評価期間P2において検知されたバイタルデータに基づいて算出される。例えば、現在パラメータT2は、1個のバイタルデータそのもの(生データ、ピンポイントデータ)であってもよいし、複数のバイタルデータの代表値R2であってもよいし、代表値R2に対するバラツキ範囲(現在バラツキ範囲T2’)であってもよい。現在バラツキ範囲T2’は、評価期間P2における複数のバイタルデータの標準偏差(バラツキ値、σ値)、分散(σ2)、バイタルデータの最大値と最小値との差、のいずれかを用いて表すことができ、既存の統計的手法によって求めることができる。例えば、現在バラツキ範囲T2’は、「代表値R2±1.5σの範囲」で表わされるが、σの係数は適宜変更して設定することが可能である。(Current parameter)
 The current parameter T2 is an object to be compared with the past variation range T1, and is calculated based on vital data detected in the evaluation period P2. For example, the current parameter T2 may be one vital data itself (raw data, pinpoint data), or may be a representative value R2 of a plurality of vital data, or a variation range with respect to the representative value R2 It may be the present variation range T2 '). The current variation range T2 'is calculated using the standard deviation (variation value, σ value), variance (σ2 ), or the difference between the maximum value and the minimum value of vital data of the plurality of vital data in the evaluation period P2 It can be represented and determined by existing statistical methods. For example, the current variation range T2 'is expressed by "the range of the representative value R2 ± 1.5σ", but the coefficient of σ can be appropriately changed and set.
 〔データ処理の流れ〕
 次に、データ処理装置60の動作について説明する。図8は、データ処理装置60における処理の流れを示すフローチャートである。データ処理装置60では、過去バラツキ範囲算出工程(S1)、現在パラメータ算出工程(S2)、比較工程(S3)、警告工程(S4)が順に行われる。すなわち、データ処理装置60において実行されるデータ処理方法は、過去バラツキ範囲算出工程(S1)、現在パラメータ算出工程(S2)、比較工程(S3)、警告工程(S4)を含む。[Flow of data processing]
 Next, the operation of the
また、図9は、評価期間P2で測定されたバイタルデータの数、現在パラメータT2、過去バラツキ範囲T1、警告条件との対応関係を示す説明図である。本実施形態では、評価期間P2で測定されたバイタルデータの数に応じて、現在パラメータT2を変更し、現在パラメータT2と過去バラツキ範囲T1との比較結果に基づいて警告情報を発するようにしている。以下、上記各工程の詳細について説明する。Further, FIG. 9 is an explanatory view showing the correspondence between the number of vital data measured in the evaluation period P2, the current parameter T2, the past variation range T1, and the warning condition. In the present embodiment, the current parameter T2 is changed according to the number of vital data measured in the evaluation period P2, and warning information is issued based on the comparison result of the current parameter T2 and the past variation range T1. . The details of each of the above steps will be described below.
 (S1;過去バラツキ算出工程)
 過去バラツキ範囲算出部63aは、過去の所定期間P1において、非接触センサ(動体検知ユニット10)にて対象者と非接触で検知されたバイタルデータに基づいて、過去バラツキ範囲T1を算出する。ここでは、所定期間P1における複数のバイタルデータの基準値R1(例えば平均値)に対するバラツキ値として、±3σを用い、-3σ~+3σの範囲に属するバイタルデータの範囲(下限から上限)を、過去バラツキ範囲T1として求める。(S1; past variation calculation process)
 The past variation
 また、上記のバイタルデータとしては、ここでは、動体検知ユニット10にて非接触で検知される体温データ、体動データおよび微体動データの少なくともいずれかを用いるものとする。動体検知ユニット10での体温測定については、赤外の画像センサ(光学検出部23)にて検出される赤外強度に基づき、既存技術である赤外温度計の原理から、体温を求めることができる。このとき、撮影画像から画像認識によって人のシルエットを判断して、人の顔部分を抽出する。そして、顔部分の領域内の異なる場所における体温データの平均値を求め、必要に応じて測定時の室温によって補正する。これにより、体温データをバイタルデータとして取得することができる。Moreover, at least one of body temperature data, body movement data, and body movement data detected in a non-contact manner by the moving
 また、体動測定については、マイクロ波センサ(電波検出部30)によって就寝中の対象者の体動を数値化する。例えば、対象者がベッド上で動いている時間(就寝中に寝返り等によって就寝時間の何割ぐらい動いているか)、動き量(各動き量の累積値でもよい)、動き回数(所定量以上の動きを何回しているか)等を数値で示し、バイタルデータとして用いる。微体動(例えば呼吸数)については、電波検出部30にて呼吸信号(例えば0.2Hz付近)を検知して、1分あたりの呼吸数を求め、これをバイタルデータとして用いる。In addition, for body motion measurement, the body motion of the subject person at bedtime is digitized by a microwave sensor (radio wave detection unit 30). For example, the time during which the subject is moving on the bed (how much of the bedtime is moving by turning over during bedtime), the amount of movement (may be the cumulative value of each amount of movement), the number of movements (more than a predetermined amount) Indicates how many times the movement is made etc. numerically and use it as vital data. For body movement (for example, respiration rate), the radio
 (S2;現在パラメータ算出工程)
 現在パラメータ算出部63bは、評価期間P2において、非接触センサ(動体検知ユニット10)にて対象者と非接触で検知されたバイタルデータに基づいて、現在パラメータT2を算出する。本実施形態では、図9に示すように、評価期間P2で測定されたバイタルデータの数が1個の場合、現在パラメータT2として、上記1個のバイタルデータそのものを用いる(ケース1)。また、評価期間P2で測定されたバイタルデータの数が2~5個の場合、現在パラメータT2として、上記複数のバイタルデータの代表値(例えば平均値)を用いる(ケース2)。(S2; current parameter calculation process)
 The current parameter calculation unit 63b calculates the current parameter T2 based on vital data detected in a noncontact manner with the subject in the noncontact sensor (moving object detection unit 10) in the evaluation period P2. In the present embodiment, as shown in FIG. 9, when the number of vital data measured in the evaluation period P2 is one, the one vital data itself is used as the current parameter T2 (case 1). Further, when the number of vital data measured in the evaluation period P2 is 2 to 5, a representative value (for example, an average value) of the plurality of vital data is used as the current parameter T2 (case 2).
一方、評価期間P2で測定されたバイタルデータの数が6~10個の場合、評価期間P2における複数のバイタルデータの代表値R2(例えば平均値)に対するバラツキ値として、±1.5σを用い、-1.5σ~+1.5σの範囲に属するバイタルデータの範囲(現在バラツキ範囲T2’)を、現在パラメータT2として用いる(ケース3)。On the other hand, when the number of vital data measured in the evaluation period P2 is 6 to 10, ± 1.5σ is used as a variation value for the representative value R2 (eg, average value) of a plurality of vital data in the evaluation period P2, The range of vital data (current variation range T2 ′) belonging to the range of −1.5σ to + 1.5σ is used as the current parameter T2 (case 3).
また、評価期間P2で測定されたバイタルデータの数が11個以上の場合、評価期間P2における複数のバイタルデータの代表値R2(例えば平均値)に対するバラツキ値として、±3σを用い、-3σ~+3σの範囲に属するバイタルデータの範囲(現在バラツキ範囲T2’)を、現在パラメータT2として用いる(ケース4、5)。When the number of vital data measured in the evaluation period P2 is 11 or more, ± 3σ is used as a variation value with respect to the representative value R2 (for example, the average value) of a plurality of vital data in the evaluation period P2 The range (current variation range T2 ′) of vital data belonging to the range of + 3σ is used as the current parameter T2 (cases 4 and 5).
 (S3;比較工程)
 (S4;警告工程)
 比較処理部63cは、現在パラメータT2と過去バラツキ範囲T1とを比較し、その比較結果に基づいて、外部に警告情報を発する。より詳しくは、比較処理部63cは、S2で算出された現在パラメータT2と、S1で算出された過去バラツキ範囲T1とを比較し、所定の警告条件を満足するか否かをケース1~5ごとに判断する(S3)。そして、S3にて所定の警告条件を満足する場合、比較処理部63cは、利用者端末300に対してその旨の警告情報(警告信号)を発する(S4)。一方、S3にて、所定の警告条件を満足しない場合は、比較処理部63cが利用者端末300に警告情報を発することなく、一連の処理を終了する。(S3; comparison process)
 (S4; warning process)
 The
 S3およびS4について、より具体的に説明すると、ケース1では、比較処理部63cは、評価期間P2におけるバイタルデータ(1個)が過去バラツキ範囲T1(基準値±3σ)の上限または下限を超えているか否かを判断する。そして、上記バイタルデータが過去バラツキ範囲T1の上限または下限を少しでも超えている場合には、警告条件を満足するとして、比較処理部63cは利用者端末300に対して警告情報を発する。Explaining S3 and S4 more specifically, in
 ケース2では、比較処理部63cは、評価期間P2における複数のバイタルデータの代表値が過去バラツキ範囲T1の上限または下限を超えているか否かを判断する。そして、上記代表値が過去バラツキ範囲T1の上限または下限を少しでも超えている場合には、警告条件を満足するとして、比較処理部63cは利用者端末300に対して警告情報を発する。In
 ケース3では、比較処理部63cは、評価期間P2における現在バラツキ範囲T2’が過去バラツキ範囲T1の上限または下限を超えているか否かを判断する。そして、現在バラツキ範囲T2’が過去バラツキ範囲T1の上限または下限を少しでも超えている場合には、警告条件を満足するとして、比較処理部63cは利用者端末300に対して警告情報を発する。In
 ケース4では、比較処理部63cは、評価期間P2における現在バラツキ範囲T2’が過去バラツキ範囲T1の上限または下限を所定量(例えば0.5σ)超えているか否かを判断する。そして、現在バラツキ範囲T2’が過去バラツキ範囲T1の上限または下限を所定量超えている場合には、警告条件を満足するとして、比較処理部63cは利用者端末300に対して警告情報を発する。In Case 4, the
 ケース5では、比較処理部63cは、評価期間P2における現在バラツキ範囲T2’の幅と過去バラツキ範囲T1の幅との比が所定範囲を超えているか否かを判断する。なお、上記所定範囲としては、例えば、0.8~1.2の範囲を考えることもできるし、0.5~1.5の範囲を考えることもできる。そして、上記の比が所定範囲を超えている場合には、警告条件を満足するとして、比較処理部63cは利用者端末300に対して警告情報を発する。In
 なお、図9で示した対応関係は一例であり、評価期間P1におけるバイタルデータ数、用いる現在パラメータT2(σの設定を含む)、過去バラツキ範囲T1(σの設定を含む)、警告条件は、種々組み合わせて用いることができ、ケースバイケースで適宜設定されればよい。例えば、評価期間P1におけるバイタルデータ数が11個未満であっても、上記バイタルデータ数が2以上であれば、ケース5のような警告条件に基づく警告を行うようにすることも可能である。The correspondence shown in FIG. 9 is an example, and the number of vital data in the evaluation period P1, the current parameter T2 (including the setting of σ), the past variation range T1 (including the setting of σ), and the warning condition are It may be used in various combinations and may be set appropriately on a case-by-case basis. For example, even if the number of vital data in the evaluation period P1 is less than 11, if the number of vital data is two or more, a warning based on a warning condition such as
 本実施形態のように、非接触センサとしての動体検知ユニット10によって対象者のバイタルデータを非接触で測定(検知)する場合、センサの測定誤差(検知誤差)やセンサ自体の性能は、経時的に大きく変化するものではなく、どの時点の測定においてもほぼ一定と考えられる。このため、過去の所定期間P1におけるバイタルデータのバラツキ範囲(過去バラツキ範囲T1)に対して、現在の評価期間P2におけるバイタルデータそのもの、またはそのバラツキ範囲(現在パラメータT2)が変化した場合、その変化は、測定誤差やセンサ性能によるものではなく、過去に対する現在のバイタルデータの変化によるものと考えることができる。As in the present embodiment, when vital data of a subject is measured (detected) contactlessly by the moving
 そこで、比較処理部63cが、過去バラツキ範囲算出部63aにより算出される過去バラツキ範囲T1と、現在パラメータ算出部63bにより算出される現在パラメータT2とを比較することにより、過去に対する現在のバイタルデータの変化を確実にキャッチ(把握)することができる。例えば、現在パラメータT2が過去バラツキ範囲T1を超える場合には、バイタルデータの変化が大きく、逆に、現在パラメータT2が過去バラツキ範囲T1を超えない場合には、バイタルデータの変化が小さいと判断できる。そして、比較処理部63cが、上記比較結果に基づいて外部(例えば利用者端末300)に警告情報を発することにより、例えばバイタルデータの変化が大きい場合に、利用者端末300に適切に警告して利用者に知らせることができる。Therefore, the
 つまり、本実施形態のデータ処理装置60およびデータ処理方法によれば、測定値(バイタルデータ)にバラツキが存在することを前提とし、そのバラツキが大きくなりやすい非接触センサ(動体検知ユニット10)を用いて、対象者のバイタルデータを非接触で検知する場合でも、過去に対する現在のバイタルデータの変化を確実にキャッチでき、必要に応じて外部に適切に警告することができる。That is, according to the
 また、比較処理部63cは、現在パラメータT2が過去バラツキ範囲T1の上限または下限を超えたときに、警告情報を発する(ケース1~3参照)。現在パラメータT2が過去バラツキ範囲T1の上限または下限を超えると、過去の所定期間P1と現在の評価期間P2とでバイタルデータの変化が大きいと判断できる。したがって、このような場合に警告情報を発することで、バイタルデータの変化が大きいことを外部に知らせることができる。Further, the
 また、比較処理部63cは、現在パラメータT2が過去バラツキ範囲T1の上限または下限を所定量超えたときに、警告情報を発する(ケース4参照)。現在パラメータT2が過去バラツキ範囲T1の上限または下限を超えた場合でも、所定量を超えなければ、過去の所定期間P1と現在の評価期間P2とでバイタルデータの変化の度合いは小さく、所定量を超えた場合は、バイタルデータの変化の度合いが大きいと判断できる。したがって、後者の場合に警告情報を発することで、バイタルデータの変化の度合いが大きいことを外部に知らせることができる。The
 また、現在パラメータT2は、評価期間P2において検知された複数のバイタルデータを代表する代表値R2(例えば平均値、モード、メジアン)を含む(ケース2~5参照)。この場合、比較処理部63cは、現在パラメータT2の代表値R2と過去バラツキ範囲T1との比較により、または、代表値R2を基準とする現在バラツキ範囲T2’と過去バラツキ範囲T1との比較により、バイタルデータの変化をキャッチすることが可能となる。Further, the current parameter T2 includes a representative value R2 (for example, an average value, a mode, a median) representing a plurality of vital data detected in the evaluation period P2 (see
 また、現在パラメータT2は、評価期間P2において検知された複数のバイタルデータの代表値R2に対するバラツキ範囲を、現在バラツキ範囲T2’として含む。この場合、比較処理部63cは、代表値R2を基準とする現在バラツキ範囲T2’と過去バラツキ範囲T1との比較により、つまり、バラツキ範囲同士の比較により、バイタルデータの変化をキャッチすることができる(ケース3、4参照)。Further, the current parameter T2 includes a fluctuation range with respect to the representative values R2 of the plurality of vital data detected in the evaluation period P2 as a current fluctuation range T2 '. In this case, the
 また、現在パラメータT2は、評価期間P2において検知された複数のバイタルデータの代表値R2に対するバラツキ範囲を、現在バラツキ範囲T2’として含み、比較処理部63cは、現在バラツキ範囲T2’の幅と過去バラツキ範囲T1の幅との比が所定範囲を超えたときに、警告情報を発する(ケース5参照)。過去の所定期間P1と現在を含む評価期間P2とで、バイタルデータのバラツキ具合いが変化したとき、その変化が体調の変化を表している場合がある。上記の比が所定範囲を超えると、所定期間P1と評価期間P2とでバイタルデータのバラツキ具合いが変化したと判断できる。したがって、このような場合に、比較処理部63cが外部に警告情報を発することで、過去と現在とで対象者の体調の変化があったことを外部に知らせることが可能となる。Further, the current parameter T2 includes a variation range with respect to the representative values R2 of the plurality of vital data detected in the evaluation period P2 as the current variation range T2 ′, and the
なお、体調変化(異常検出)の感度を上げるために、過去の所定期間P1におけるバイタルデータのバラツキ範囲(過去バラツキ範囲T1)を小さめに設定してもよい。すなわち、例えば、過去バラツキ範囲T1の実際の算出値に対して0.9倍(または0.7倍)した値を、新たに過去バラツキ範囲T1として設定し、現在バラツキ範囲T2’の幅と新たに設定した過去バラツキ範囲T1の幅との比が上記所定範囲を超えたときに、警告情報を発するようにしてもよい。この場合、過去の所定期間P1に対して、現在の評価期間P2におけるバイタルデータの変化(体調変化)が少しであっても、それを検出して警告することが可能となり、体調変化の感度を上げることができる。In order to increase the sensitivity of the physical condition change (abnormality detection), the variation range (past variation range T1) of vital data in the past predetermined period P1 may be set smaller. That is, for example, a value 0.9 times (or 0.7 times) the actual calculated value of the past variation range T1 is newly set as the past variation range T1, and the width of the current variation range T2 'and the new one The warning information may be issued when the ratio to the width of the past variation range T1 set to has exceeded the predetermined range. In this case, it is possible to detect and warn even if the change (physical condition change) of the vital data in the current evaluation period P2 is small for the predetermined period P1 in the past, and the sensitivity of the physical condition change You can raise it.
 また、代表値R2は、現在を含む評価期間P2における複数のバイタルデータの平均値を含む(ケース2~5参照)。この場合、比較処理部63cは、現在パラメータT2としてバイタルデータの平均値または平均値からのバラツキ範囲(現在バラツキ範囲T2’)を用いて過去バラツキ範囲T1と比較し、バイタルデータの変化をキャッチすることが可能となる。Further, the representative value R2 includes the average value of a plurality of vital data in the evaluation period P2 including the present (see
 また、現在バラツキ範囲T2’は、評価期間P2における複数のバイタルデータの標準偏差を用いて表される(ケース3~5参照)。この場合、現在パラメータT2として、バイタルデータの代表値R2に対するバラツキそのものを示す標準偏差(バラツキ値、σ値)を用いて、過去バラツキ範囲T1と比較し、バイタルデータの変化をキャッチすることが可能となる。Further, the current variation range T2 'is represented using the standard deviation of the plurality of vital data in the evaluation period P2 (see
 また、基準値はR1、過去の所定期間P1において検知された複数のバイタルデータの平均値を含む(ケース1~5参照)。この場合、比較処理部63cは、過去の所定期間P1におけるバイタルデータの平均値に対するバラツキ範囲を過去バラツキ範囲T1として用い、現在パラメータT2との比較によって、バイタルデータの変化をキャッチすることが可能となる。Further, the reference value includes R1, an average value of a plurality of vital data detected in a past predetermined period P1 (see
 また、過去バラツキ範囲T1は、過去の所定期間P1における複数のバイタルデータの標準偏差を用いて表される(ケース1~5参照)。この場合、比較処理部63cは、過去バラツキ範囲T1として、バイタルデータの平均値に対するバラツキそのものを示す標準偏差(バラツキ値、σ値)を用い、現在パラメータT2との比較によって、バイタルデータの変化をキャッチすることが可能となる。Further, the past variation range T1 is expressed using the standard deviation of the plurality of vital data in the past predetermined period P1 (see
 また、評価期間P2および所定期間P1で検知される各バイタルデータは、対象者の体温データを含む。この場合、体温データにバラツキが存在する場合でも、比較処理部63cは、過去の所定期間P1と現在の評価期間P2との間での対象者の体温の変化を確実にキャッチすることができる。特に、動体検知ユニット10により、対象者と非接触で体温を測定する場合、接触式の体温計による測定に比べて測定精度は劣り、測定値のバラツキも大きくなるが、本実施形態によれば、そのような非接触による測定であっても(測定値のバラツキが大きくても)、体温の変化を的確にキャッチすることができる。Further, each vital data detected in the evaluation period P2 and the predetermined period P1 includes body temperature data of the subject. In this case, even when there is a variation in the body temperature data, the
 また、評価期間P2および所定期間P1で検知される各バイタルデータは、対象者の体動および微体動の少なくとも一方のデータを含む。この場合、体動(例えば対象者の身体の動き)や微体動(例えば対象者の呼吸数)のデータにバラツキが存在する場合でも、比較処理部63cは、過去の所定期間P1と現在の評価期間P2との間での対象者の体動や微体動の変化を確実にキャッチすることができる。Further, each vital data detected in the evaluation period P2 and the predetermined period P1 includes at least one of body motion and micromotion data of the subject. In this case, even if there is variation in data of body movement (for example, the movement of the body of the subject) or movement of the body (for example, the respiration rate of the subject), the
 また、本実施形態のデータ処理装置60は、ケアサポートシステム1の管理サーバー100aに適用可能である。この場合、非接触センサとしての動体検知ユニット10を用いて対象者のバイタルデータを非接触で検知して、対象者の日常の生活を支援するケアサポートシステムにおいて、上述した本実施形態の効果を得ることができる。Moreover, the
 また、上記のケアサポートシステム1は、動体検知ユニット10を非接触センサとして含み、非接触センサは、対象者を撮影して赤外画像を取得する赤外画像センサ(光学検出部23)を含む。この場合、赤外画像センサにて対象者の体温を非接触で検知して、体温データをバイタルデータとして取得することができる。The above-described
 また、上記のケアサポートシステム1の上記非接触センサ(動体検知ユニット10)は、電波の放射および受信によって前記対象者の体動および微体動の少なくとも一方を検知する電波検出部30を含む。この場合、電波検出部30にて対象者の体動(例えば身体の動き)および微体動(例えば呼吸数)の少なくとも一方を非接触で検知して、バイタルデータを取得することができる。The non-contact sensor (moving object detection unit 10) of the
 なお、以上では、データ処理装置60の比較処理部63cが、利用者端末300に警告情報を発する例について説明したが、動体検知ユニット10に警告情報を出力してもよい。この場合、動体検知ユニット10からスピーカー等による音声出力によって、居室101内の対象者に警告を報知することも可能となる。また、データ処理装置60は、警告情報の外部への出力と併せて、データ処理装置60が設置された部屋で(例えば管理サーバー100aが設置されたスタッフステーション100内で)、表示や音声等によってスタッフ(例えば介護者)に異常を知らせるようにしてもよい。Although the example in which the
なお、以上で説明した本実施形態のデータ処理装置、ケアサポートシステムおよびデータ処理方法は、以下のように表現することもできる。The data processing device, the care support system, and the data processing method of the present embodiment described above can also be expressed as follows.
すなわち、以上で説明したデータ処理装置は、現在を含む評価期間よりも過去の所定期間において、非接触センサにて対象者と非接触で検知されたバイタルデータに基づいて、前記所定期間における前記バイタルデータの基準値に対するバラツキ範囲を、過去バラツキ範囲として算出する過去バラツキ範囲算出部と、前記評価期間において、前記非接触センサにて対象者と非接触で検知されたバイタルデータに基づいて、前記過去バラツキ範囲との比較対象となる現在パラメータを算出する現在パラメータ算出部と、前記現在パラメータと前記過去バラツキ範囲とを比較し、その比較結果に基づいて、外部に警告情報を発する比較処理部とを備えている。That is, the data processing apparatus described above determines the vital data in the predetermined period based on vital data detected by the non-contact sensor in a non-contact manner with the target person in the predetermined period before the evaluation period including the present. The past variation range calculation unit calculates the variation range with respect to the reference value of the data as a past variation range, and the past based on vital data detected in a noncontacting manner with the subject during the evaluation period. A current parameter calculation unit that calculates a current parameter to be compared with the variation range; and a comparison processing unit that compares the current parameter with the past variation range and issues warning information to the outside based on the comparison result. Have.
以上で説明したデータ処理方法は、現在を含む評価期間よりも過去の所定期間において、非接触センサにて対象者と非接触で検知されたバイタルデータに基づいて、前記所定期間における前記バイタルデータの基準値に対するバラツキ範囲を、過去バラツキ範囲として算出する過去バラツキ範囲算出工程と、前記評価期間において、前記非接触センサにて対象者と非接触で検知されたバイタルデータに基づいて、前記過去バラツキ範囲との比較対象となる現在パラメータを算出する現在パラメータ算出工程と、前記現在パラメータと前記過去バラツキ範囲とを比較する比較工程と、前記比較工程での比較結果に基づいて、外部に警告情報を発する警告工程とを含む。In the data processing method described above, the vital data of the predetermined period is detected based on vital data detected by the non-contact sensor in a non-contact manner in a predetermined period before the evaluation period including the present. The past variation range calculation step of calculating the variation range with respect to the reference value as the past variation range, and the past variation range based on vital data detected in a noncontact manner with the subject during the evaluation period. Issue warning information to the outside based on the comparison result of the current parameter calculation step of calculating the current parameter to be compared with the current step, the comparison step of comparing the current parameter and the past variation range, and the comparison step. And a warning process.
上記のデータ処理装置において、前記比較処理部は、前記現在パラメータが前記過去バラツキ範囲の上限または下限を超えたときに、前記警告情報を発してもよい。また、上記のデータ処理方法において、前記警告工程では、前記現在パラメータが前記過去バラツキ範囲の上限または下限を超えたときに、前記警告情報を発してもよい。In the above data processing apparatus, the comparison processing unit may issue the warning information when the current parameter exceeds the upper limit or the lower limit of the past variation range. In the above data processing method, in the warning step, the warning information may be issued when the current parameter exceeds the upper limit or the lower limit of the past variation range.
上記のデータ処理装置において、前記比較処理部は、前記現在パラメータが前記過去バラツキ範囲の上限または下限を所定量超えたときに、前記警告情報を発してもよい。また、上記のデータ処理方法において、前記警告工程では、前記現在パラメータが前記過去バラツキ範囲の上限または下限を所定量超えたときに、前記警告情報を発してもよい。In the above data processing apparatus, the comparison processing unit may issue the warning information when the current parameter exceeds the upper limit or the lower limit of the past variation range by a predetermined amount. In the above data processing method, in the warning step, the warning information may be issued when the current parameter exceeds an upper limit or a lower limit of the past variation range by a predetermined amount.
上記のデータ処理装置において、前記現在パラメータは、前記評価期間において検知された複数のバイタルデータを代表する代表値(例えば平均値、モード、メジアン)を含んでいてもよい。In the above data processing apparatus, the current parameter may include a representative value (for example, an average value, a mode, a median) representative of a plurality of vital data detected in the evaluation period.
上記のデータ処理装置において、前記現在パラメータは、前記評価期間において検知された複数のバイタルデータの前記代表値に対するバラツキ範囲を、現在バラツキ範囲として含んでいてもよい。In the above data processing apparatus, the current parameter may include, as the current variation range, a variation range of the plurality of vital data detected in the evaluation period with respect to the representative value.
上記のデータ処理装置において、前記現在パラメータは、前記評価期間において検知された複数のバイタルデータの代表値に対するバラツキ範囲を、現在バラツキ範囲として含み、前記比較処理部は、前記現在バラツキ範囲の幅と前記過去バラツキ範囲の幅との比が所定範囲を超えたときに、前記警告情報を発してもよい。また、上記のデータ処理方法において、前記現在パラメータは、前記評価期間において検知された複数のバイタルデータの代表値に対するバラツキ範囲を、現在バラツキ範囲として含み、前記警告工程では、前記現在バラツキ範囲の幅と前記過去バラツキ範囲の幅との比が所定範囲を超えたときに、前記警告情報を発してもよい。In the above data processing apparatus, the current parameter includes a variation range with respect to a representative value of a plurality of vital data detected in the evaluation period as a current variation range, and the comparison processing unit determines the width of the current variation range and The warning information may be issued when the ratio to the width of the past variation range exceeds a predetermined range. In the above data processing method, the current parameter includes a variation range with respect to representative values of a plurality of vital data detected in the evaluation period as a current variation range, and in the warning step, the width of the current variation range The warning information may be issued when the ratio of the width of the past variation range to the width of the past variation range exceeds a predetermined range.
上記のデータ処理装置において、前記代表値は、前記評価期間における前記複数のバイタルデータの平均値を含んでいてもよい。In the above data processing apparatus, the representative value may include an average value of the plurality of vital data in the evaluation period.
上記のデータ処理装置において、前記現在バラツキ範囲は、前記評価期間における前記複数のバイタルデータの標準偏差を用いて表されてもよい。In the above data processing apparatus, the current variation range may be expressed using a standard deviation of the plurality of vital data in the evaluation period.
上記のデータ処理装置において、前記基準値は、前記所定期間において検知された複数のバイタルデータの平均値を含んでいてもよい。In the above data processing apparatus, the reference value may include an average value of a plurality of vital data detected in the predetermined period.
上記のデータ処理装置において、前記過去バラツキ範囲は、前記所定期間における前記複数のバイタルデータの標準偏差を用いて表されてもよい。In the above data processing apparatus, the past variation range may be expressed using a standard deviation of the plurality of vital data in the predetermined period.
上記のデータ処理装置において、前記評価期間および前記所定期間で検知される各バイタルデータは、前記対象者の体温データを含んでいてもよい。In the above data processing apparatus, each vital data detected in the evaluation period and the predetermined period may include body temperature data of the subject.
上記のデータ処理装置において、前記評価期間および前記所定期間で検知される各バイタルデータは、前記対象者の体動および微体動の少なくとも一方のデータを含んでいてもよい。In the above data processing apparatus, each vital data detected in the evaluation period and the predetermined period may include at least one of body movement and micro movement data of the subject.
本発明のさらに他の側面に係るケアサポートシステムは、対象者の日常の生活を支援するケアサポートシステムであって、対象者と非接触でバイタルデータを検知する非接触センサと、前記非接触センサにて検知された前記バイタルデータを管理する管理サーバーとを備え、前記管理サーバーは、上述したいずれかのデータ処理装置を含む。A care support system according to still another aspect of the present invention is a care support system for supporting the daily life of a subject, comprising: a non-contact sensor for detecting vital data in a non-contact manner with the subject; And a management server that manages the vital data detected in the above-mentioned. The management server includes any one of the data processing devices described above.
上記のケアサポートシステムにおいて、前記非接触センサは、前記対象者を撮影して赤外画像を取得する光学検出部を含んでいてもよい。In the above-described care support system, the non-contact sensor may include an optical detection unit that captures the subject and obtains an infrared image.
上記のケアサポートシステムにおいて、前記非接触センサは、電波の放射および受信によって前記対象者の体動および微体動の少なくとも一方を検知する電波検出部を含んでいてもよい。In the above-described care support system, the non-contact sensor may include a radio wave detection unit that detects at least one of body movement and microbody movement of the subject by radiation and reception of radio waves.
また、以上で説明した本実施形態のデータ処理方法は、以下のように表現することもできる。Moreover, the data processing method of this embodiment described above can also be expressed as follows.
1.現在を含む評価期間よりも過去の所定期間において、非接触センサにて対象者と非接触で検知されたバイタルデータに基づいて、前記所定期間における前記バイタルデータの基準値に対するバラツキ範囲を、過去バラツキ範囲として算出する過去バラツキ範囲算出工程と、前記評価期間において、前記非接触センサにて対象者と非接触で検知されたバイタルデータに基づいて、前記過去バラツキ範囲との比較対象となる現在パラメータを算出する現在パラメータ算出工程と、前記現在パラメータと前記過去バラツキ範囲とを比較する比較工程と、前記比較工程での比較結果に基づいて、外部に警告情報を発する警告工程とを含むデータ処理方法。1. The variation range of the vital data with respect to the reference value in the predetermined period based on the vital data detected in a noncontacting manner with the subject in a predetermined period before the evaluation period including the present Based on the past variation range calculation step calculated as a range and the vital data detected in a noncontact manner by the noncontact sensor in the evaluation period, current parameters to be compared with the past variation range are selected. A data processing method comprising: calculating a current parameter calculation step; comparing the current parameter with the past variation range; and outputting a warning information to the outside based on a comparison result in the comparison step.
2.前記警告工程では、前記現在パラメータが前記過去バラツキ範囲の上限または下限を超えたときに、前記警告情報を発することを特徴とする前記1に記載のデータ処理方法。2. The data processing method according to 1 above, wherein, in the warning step, the warning information is issued when the current parameter exceeds an upper limit or a lower limit of the past variation range.
3.前記警告工程では、前記現在パラメータが前記過去バラツキ範囲の上限または下限を所定量超えたときに、前記警告情報を発することを特徴とする前記1に記載のデータ処理方法。3. The data processing method according to 1 above, wherein, in the warning step, the warning information is issued when the current parameter exceeds an upper limit or a lower limit of the past variation range by a predetermined amount.
4.前記現在パラメータは、前記評価期間において検知された複数のバイタルデータを代表する代表値を含むことを特徴とする前記1から3のいずれかに記載のデータ処理方法。4. The data processing method according to any one of 1 to 3, wherein the current parameter includes a representative value representing a plurality of vital data detected in the evaluation period.
5.前記現在パラメータは、前記評価期間において検知された複数のバイタルデータの前記代表値に対するバラツキ範囲を、現在バラツキ範囲として含むことを特徴とする前記4に記載のデータ処理方法。5. The data processing method according to 4 above, wherein the current parameter includes a variation range of the plurality of vital data detected in the evaluation period with respect to the representative value as the current variation range.
 6.前記現在パラメータは、前記評価期間において検知された複数のバイタルデータの代表値に対するバラツキ範囲を、現在バラツキ範囲として含み、
 前記警告工程では、前記現在バラツキ範囲の幅と前記過去バラツキ範囲の幅との比が所定範囲を超えたときに、前記警告情報を発することを特徴とする前記1に記載のデータ処理方法。6. The current parameter includes, as a current variation range, a variation range with respect to representative values of a plurality of vital data detected in the evaluation period,
 The data processing method according to 1 above, wherein, in the warning step, the warning information is issued when a ratio between the width of the current variation range and the width of the past variation range exceeds a predetermined range.
7.前記代表値は、前記評価期間における前記複数のバイタルデータの平均値を含むことを特徴とする前記4から6のいずれかに記載のデータ処理方法。7. The data processing method according to any one of 4 to 6, wherein the representative value includes an average value of the plurality of vital data in the evaluation period.
8.前記現在バラツキ範囲は、前記評価期間における前記複数のバイタルデータの標準偏差を用いて表されることを特徴とする前記5から7のいずれかに記載のデータ処理方法。8. The data processing method according to any one of 5 to 7, wherein the current variation range is expressed using a standard deviation of the plurality of vital data in the evaluation period.
9.前記基準値は、前記所定期間において検知された複数のバイタルデータの平均値を含むことを特徴とする前記1から8のいずれかに記載のデータ処理方法。9. The data processing method according to any one of 1 to 8, wherein the reference value includes an average value of a plurality of vital data detected in the predetermined period.
10.前記過去バラツキ範囲は、前記所定期間における前記複数のバイタルデータの標準偏差を用いて表されることを特徴とする前記9に記載のデータ処理方法。10. 9. The data processing method according to 9 above, wherein the past variation range is expressed using a standard deviation of the plurality of vital data in the predetermined period.
11.前記評価期間および前記所定期間で検知される各バイタルデータは、前記対象者の体温データを含むことを特徴とする前記1から10のいずれかに記載のデータ処理方法。11. The data processing method according to any one of 1 to 10, wherein each vital data detected in the evaluation period and the predetermined period includes body temperature data of the subject.
12.前記評価期間および前記所定期間で検知される各バイタルデータは、前記対象者の体動および微体動の少なくとも一方のデータを含むことを特徴とする前記1から11のいずれかに記載のデータ処理方法。12. The data processing according to any one of 1 to 11, wherein each vital data detected in the evaluation period and the predetermined period includes data of at least one of body movement and body movement of the subject. Method.
以上、本発明の実施形態につき説明したが、本発明の範囲はこれに限定されるものではなく、発明の主旨を逸脱しない範囲で種々の変更を加えて実施することができる。The embodiment of the present invention has been described above, but the scope of the present invention is not limited to this, and various modifications can be made without departing from the scope of the invention.
本発明のデータ処理装置およびデータ処理方法は、例えば対象者の日常の生活を支援するケアサポートシステムに利用可能である。The data processing apparatus and data processing method of the present invention can be used, for example, in a care support system that supports the daily life of a subject.
   1   ケアサポートシステム
  10   動体検知ユニット(非接触センサ)
  23   光学検出部
  30   電波検出部
  60   データ処理装置
  63a  過去バラツキ範囲算出部
  63b  現在パラメータ算出部
  63c  比較処理部
 100a  管理サーバー1
 23
| Application Number | Priority Date | Filing Date | Title | 
|---|---|---|---|
| JP2019540811AJPWO2019049530A1 (en) | 2017-09-05 | 2018-07-23 | Data processing device, care support system and data processing method | 
| Application Number | Priority Date | Filing Date | Title | 
|---|---|---|---|
| JP2017170326 | 2017-09-05 | ||
| JP2017-170326 | 2017-09-05 | 
| Publication Number | Publication Date | 
|---|---|
| WO2019049530A1true WO2019049530A1 (en) | 2019-03-14 | 
| Application Number | Title | Priority Date | Filing Date | 
|---|---|---|---|
| PCT/JP2018/027452CeasedWO2019049530A1 (en) | 2017-09-05 | 2018-07-23 | Data processing device, care support system and data processing method | 
| Country | Link | 
|---|---|
| JP (1) | JPWO2019049530A1 (en) | 
| WO (1) | WO2019049530A1 (en) | 
| Publication number | Priority date | Publication date | Assignee | Title | 
|---|---|---|---|---|
| JP2020155069A (en)* | 2019-03-22 | 2020-09-24 | 東芝情報システム株式会社 | State change detection device, state change detection system and state change detection program | 
| CN114343575A (en)* | 2021-12-27 | 2022-04-15 | 福寿康(上海)医疗养老服务有限公司 | Statistical analysis method based on home bed equipment alarm information | 
| WO2023007593A1 (en)* | 2021-07-27 | 2023-02-02 | オリンパス株式会社 | Information collection method, information collection device, and information sharing method for mobile terminal | 
| JP2023034671A (en)* | 2021-08-31 | 2023-03-13 | キヤノンメディカルシステムズ株式会社 | X-ray diagnostic apparatus and medical information processing apparatus | 
| JP2023094448A (en)* | 2021-12-23 | 2023-07-05 | 積水ハウス株式会社 | Watching system | 
| Publication number | Priority date | Publication date | Assignee | Title | 
|---|---|---|---|---|
| JP2012254222A (en)* | 2011-06-09 | 2012-12-27 | Teikyo Heisei Univ | Device for human dynamic face temperature change measurement by thermography and measuring method, and calibrator used for the same | 
| JP2015184905A (en)* | 2014-03-24 | 2015-10-22 | 株式会社エヌ・ティ・ティ・データ | Server device, watching system, and program | 
| JP2017023560A (en)* | 2015-07-24 | 2017-02-02 | メドケア株式会社 | Biological monitor device, and program for biological monitor | 
| JP2017074099A (en)* | 2015-10-13 | 2017-04-20 | 凸版印刷株式会社 | Mental health / breathing training system, hanging-type mental health / breathing training system and surface emitting display | 
| Publication number | Priority date | Publication date | Assignee | Title | 
|---|---|---|---|---|
| JP2012254222A (en)* | 2011-06-09 | 2012-12-27 | Teikyo Heisei Univ | Device for human dynamic face temperature change measurement by thermography and measuring method, and calibrator used for the same | 
| JP2015184905A (en)* | 2014-03-24 | 2015-10-22 | 株式会社エヌ・ティ・ティ・データ | Server device, watching system, and program | 
| JP2017023560A (en)* | 2015-07-24 | 2017-02-02 | メドケア株式会社 | Biological monitor device, and program for biological monitor | 
| JP2017074099A (en)* | 2015-10-13 | 2017-04-20 | 凸版印刷株式会社 | Mental health / breathing training system, hanging-type mental health / breathing training system and surface emitting display | 
| Publication number | Priority date | Publication date | Assignee | Title | 
|---|---|---|---|---|
| JP2020155069A (en)* | 2019-03-22 | 2020-09-24 | 東芝情報システム株式会社 | State change detection device, state change detection system and state change detection program | 
| WO2023007593A1 (en)* | 2021-07-27 | 2023-02-02 | オリンパス株式会社 | Information collection method, information collection device, and information sharing method for mobile terminal | 
| JP2023034671A (en)* | 2021-08-31 | 2023-03-13 | キヤノンメディカルシステムズ株式会社 | X-ray diagnostic apparatus and medical information processing apparatus | 
| JP2023094448A (en)* | 2021-12-23 | 2023-07-05 | 積水ハウス株式会社 | Watching system | 
| CN114343575A (en)* | 2021-12-27 | 2022-04-15 | 福寿康(上海)医疗养老服务有限公司 | Statistical analysis method based on home bed equipment alarm information | 
| Publication number | Publication date | 
|---|---|
| JPWO2019049530A1 (en) | 2020-08-20 | 
| Publication | Publication Date | Title | 
|---|---|---|
| WO2019049530A1 (en) | Data processing device, care support system and data processing method | |
| WO2017214188A1 (en) | Systems and methods for prevention of pressure ulcers | |
| CN108882853B (en) | Triggering measurement of physiological parameters in time using visual context | |
| US20190150798A1 (en) | Respiration monitor | |
| JP2014171574A (en) | Device, system and method each for monitoring respiration | |
| CN107949315A (en) | Abnormity notifying system, abnormal Notification Method and program | |
| JP7120238B2 (en) | Alarm control system, detection unit, care support system, and alarm control method | |
| JP2007229078A (en) | Infant health management/monitoring device | |
| JP7226315B2 (en) | Care support system and information notification control method | |
| JPWO2016190348A1 (en) | Monitoring device | |
| JP7468350B2 (en) | Condition monitoring device and control method for condition monitoring device | |
| WO2018034064A1 (en) | Care support system | |
| JPWO2019021743A1 (en) | Notification control system, detection unit, care support system and notification control method | |
| JP7276336B2 (en) | Computer-implemented programs, information processing systems, and computer-implemented methods | |
| JP7647041B2 (en) | COMPUTER-IMPLEMENTED METHOD, ACTIVITY DETECTION DEVICE, AND SYSTEM FOR PROVIDING INFORMATION TO DETERMINE THE CONDITION OF A CARE RECIPIENT - Patent application | |
| JP7435459B2 (en) | Condition monitoring device and condition monitoring method | |
| US20240049974A1 (en) | Systems, apparatus and methods for acquisition, storage and analysis of health and environmental data | |
| JP7342863B2 (en) | Computer-executed programs, information processing systems, and computer-executed methods | |
| JP2020009378A (en) | Monitoring device | |
| JP7327397B2 (en) | Computer-implemented programs, information processing systems, and computer-implemented methods | |
| CN109106371A (en) | A kind of device and method monitoring physiological parameter | |
| WO2017217285A1 (en) | Care support system | |
| JP2020057222A (en) | Status monitoring device and status monitoring method | |
| US20240315571A1 (en) | A bio-parameter measuring system | |
| JP6984601B2 (en) | Motion detection unit and care support system | 
| Date | Code | Title | Description | 
|---|---|---|---|
| 121 | Ep: the epo has been informed by wipo that ep was designated in this application | Ref document number:18854011 Country of ref document:EP Kind code of ref document:A1 | |
| ENP | Entry into the national phase | Ref document number:2019540811 Country of ref document:JP Kind code of ref document:A | |
| NENP | Non-entry into the national phase | Ref country code:DE | |
| 122 | Ep: pct application non-entry in european phase | Ref document number:18854011 Country of ref document:EP Kind code of ref document:A1 |