Movatterモバイル変換


[0]ホーム

URL:


WO2019025250A1 - Substituted trifluoromethyloxadiazoles for combating phytopathogenic fungi - Google Patents

Substituted trifluoromethyloxadiazoles for combating phytopathogenic fungi
Download PDF

Info

Publication number
WO2019025250A1
WO2019025250A1PCT/EP2018/070121EP2018070121WWO2019025250A1WO 2019025250 A1WO2019025250 A1WO 2019025250A1EP 2018070121 WEP2018070121 WEP 2018070121WWO 2019025250 A1WO2019025250 A1WO 2019025250A1
Authority
WO
WIPO (PCT)
Prior art keywords
alkyl
methyl
hydrogen
group
compounds
Prior art date
Legal status (The legal status is an assumption and is not a legal conclusion. Google has not performed a legal analysis and makes no representation as to the accuracy of the status listed.)
Ceased
Application number
PCT/EP2018/070121
Other languages
French (fr)
Inventor
Wassilios Grammenos
Violeta TERTERYAN-SEISER
Maria Angelica QUINTERO PALOMAR
Thomas Grote
Ian Robert CRAIG
Bernd Mueller
Michael Seet
Georg Christoph RUDOLF
Jan Klaas Lohmann
Christian Winter
Marcus Fehr
Tobias MENTZEL
Christine WIEBE
Current Assignee (The listed assignees may be inaccurate. Google has not performed a legal analysis and makes no representation or warranty as to the accuracy of the list.)
BASF SE
Original Assignee
BASF SE
Priority date (The priority date is an assumption and is not a legal conclusion. Google has not performed a legal analysis and makes no representation as to the accuracy of the date listed.)
Filing date
Publication date
Application filed by BASF SEfiledCriticalBASF SE
Publication of WO2019025250A1publicationCriticalpatent/WO2019025250A1/en
Anticipated expirationlegal-statusCritical
Ceasedlegal-statusCriticalCurrent

Links

Classifications

Definitions

Landscapes

Abstract

Translated fromEnglish

La présente invention concerne des trifluorométhyloxadiazoles de formule I, ou des N-oxydes ou des sels utiles sur le plan agricole de ceux-ci, et leur utilisation pour lutter contre des champignons phytopathogènes ; un procédé de lutte contre des champignons phytopathogènes nuisibles, lequel procédé comprend le traitement des champignons, des plantes, du sol ou des graines à protéger contre des attaques fongiques, avec une quantité efficace d'au moins un composé de formule I, ou un N-oxyde, ou un sel acceptable sur le plan agricole de celui-ci ; la présente invention concerne également des compositions agrochimiques comprenant au moins un composé de formule I, ou un N-oxyde, ou un sel acceptable sur le plan agricole de celles-ci ; et des compositions agrochimiques comprenant en outre des graines.The present invention relates to trifluoromethyloxadiazoles of formula I, or agriculturally useful N-oxides or salts thereof, and their use for controlling phytopathogenic fungi; a method of controlling harmful phytopathogenic fungi, which method comprises treating fungi, plants, soil or seeds to be protected against fungal attack, with an effective amount of at least one compound of formula I, or an -oxide, or an agriculturally acceptable salt thereof; the present invention also relates to agrochemical compositions comprising at least one compound of formula I, or an N-oxide, or an agriculturally acceptable salt thereof; and agrochemical compositions further comprising seeds.

Description

Substituted trifluoromethyloxadiazoles for combating phytopathogenic fungi
The present invention relates to trifluoromethyloxadiazoles of the formula I, or the N-oxides, or the agriculturally useful salts thereof, and the use thereof for controlling phytopathogenic fungi; to a method for combating phytopathogenic harmful fungi, which process comprises treating the fungi, the plants, the soil or seeds to be protected against fungal attack, with an effective amount of at least one compound of the formula I, or an N-oxide, or an agriculturally acceptable salt thereof; and to agrochemical compositions comprising at least one compound of the formula I, or an N-oxide, or an agriculturally acceptable salt thereof; and to agrochemical compositions further comprising seeds.
Similar 5-trifluoromethyl-1 ,2,4-oxadiazoles are known as fungicides from WO 2017/076742. In many cases, in particular at low application rates, the fungicidal activity of known fungicidal compounds is unsatisfactory. Based on this, it was an objective of the present invention to provide compounds having improved activity and/or a broader activity spectrum against phytopathogenic fungi. Another object of the present invention is to provide fungicides with improved toxicological properties. This objective is achieved by the oxadiazole compounds of the formula I, or the N-oxides, or the agriculturally useful salts thereof for controlling
phytopathogenic fungi.
The compounds of the present invention differ from compounds disclosed in the prior art in that no more than one of radicals R1 and R2 is hydrogen.
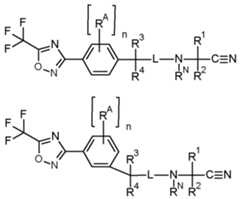
Accordingly, the present invention relates to compounds of the formula I, or the N-oxides, or the agriculturally acceptable salts thereof,
Figure imgf000002_0001
wherein:
A is phenyl or a 5- or 6-membered aromatic heterocycle; wherein the ring member atoms of the aromatic heterocycle include besides carbon atoms 1 , 2, 3 or 4 heteroatoms selected from N, O and S as ring member atoms with the provision that the heterocycle cannot contain 2 contiguous atoms selected from O and S; and wherein the phenyl ring or the aromatic heterocycle is unsubstituted or substituted with 1 , 2, 3 or 4 identical or different groups RA; wherein
RA is halogen, cyano, Ci-C6-alkyl, Ci-C6-haloalkyl, Ci-C6-alkoxy or
Ci-C6-haloalkoxy;
L is -C(=0)- or -C(=S)-;
R1 and R2 independently of each other are selected from the group consisting of hydrogen, Ci-C6-alkyl, Cs-Cs-cycloalkyl, Cs-Cs-cycloalkenyl, C2-C6-alkenyl and C2-C6-alkynyl; and wherein any of the above-mentioned aliphatic or cyclic groups are unsubstituted or substituted with 1 , 2, 3 or up to the maximum possible number of identical or different groups R1a; and with the provision that no more than one of radicals R1 and R2 is hydrogen; or R1 and R2 together with the carbon atom to which they are bound form a saturated 3- to
7-membered carbocycle; and wherein said carbocycle is unsubstituted or substituted with 1 , 2, 3 or up to the maximum possible number of identical or different radicals selected from the group consisting of halogen, Ci-C6-alkyl and Ci-C6-alkoxy;
R1a is halogen, oxo, cyano, NO2, OH, SH, NH2, d-Ce-alkyl, d-Ce-haloalkyl, d-Ce-alkoxy, d-Ce-haloalkoxy, Ci-C6-alkylthio, Ci-C6-haloalkylthio, C3-C8-cycloalkyl, -NHSO2-C1-C4- alkyl, (C=0)-Ci-C4-alkyl, C(=0)-Ci-C4-alkoxy, Ci-C6-alkylsulfonyl, hydroxyCi-C4-alkyl, C(=0)-NH2, C(=0)-NH(Ci-C4-alkyl), Ci-C4-alkylthio-Ci-C4-alkyl, aminoCi-C4-alkyl, C1-C4- alkylamino-Ci-C4-alkyl, diCi-C4-alkylamino-Ci-C4-alkyl, aminocarbonyl-Ci-C4-alkyl or Ci- C4-a I koxy-C1 -C4-a I ky I ;
RN is hydrogen, formyl, Ci-C6-alkyl, C2-C6-alkenyl, C2-C6-alkynyl, Ci-C6-alkoxy,
C3-C8-cycloalkyl, Cs-Cs-cycloalkenyl, C3-C8-cycloalkyl-Ci-C4-alkyl, phenyl-Ci-C4-alkyl, phenyl, pyridinyl, C(=0)-(Ci-C6-alkyl), C(=0)-(C3-C8-cycloalkyl),
C(=0)-(Ci-C6-alkoxy) or -N(RNa)2; wherein
RNa is independently selected from the group consisting of hydrogen, OH, Ci-C6-alkyl, C2-C6-alkenyl, C2-C6-alkynyl, Cs-Cs-cycloalkyl, Cs-Cs-cycloalkenyl, Ci-C6-alkoxy, Ci-C4-alkoxy-Ci-C4-alkyl and Ci-C6-alkylthio;
and wherein any of the aliphatic or cyclic groups in RN are unsubstituted or substituted with 1 , 2, 3 or up to the maximum possible number of identical or different radicals selected from the group consisting of halogen, hydroxy, oxo, cyano, Ci-C6-alkyl,
Ci-C6-alkoxy and Cs-Cs-cycloalkyl;
R3, R4 independently of each other are selected from the group consisting of hydrogen,
halogen, cyano, Ci-C4-alkyl, Ci-C4-alkenyl, Ci-C4-alkynyl, Ci-C4-haloalkyl and
Ci-C4-alkoxy; or
R3 and R4 together with the carbon atom to which they are bound form a saturated 3- to
7-membered carbocycle or a saturated 3- to 6-membered heterocycle; wherein the saturated heterocycle includes beside carbon atoms 1 , 2 or 3 heteroatoms independently selected from the group consisiting of N, O and S as ring member atoms with the provision that the heterocycle cannot contain 2 contiguous atoms selected from O and S; and wherein said N ring member atom is substituted with the group RNb; wherein
RNb is hydrogen, Ci-C6-alkyl or halogen;
and wherein said S ring member atom is unsubstituted or substituted with 1 or 2 oxo radicals; and wherein one or two CH2 groups of the saturated carbocycle or of the saturated heterocycle may be replaced by one or two groups independently selected from -C(=0)- and -C(=S)-; and wherein the carbon ring member atoms of the saturated carbocycle or of the saturated heterocycle are unsubstituted or substituted with a total number of 1 , 2, 3, 4 or up to the maximum possible number of identical or different radicals selected from the group consisting of halogen, cyano, Ci-C6-alkyl, Ci-C6-alkoxy and C3-Cs-cycloalkyl.
Agriculturally acceptable salts of the compounds of the formula I encompass especially the salts of those cations or the acid addition salts of those acids whose cations and anions, respectively, have no adverse effect on the fungicidal action of the compounds I. Suitable cations are thus in particular the ions of the alkali metals, preferably sodium and potassium, of the alkaline earth metals, preferably calcium, magnesium and barium, of the transition metals, preferably manganese, copper, zinc and iron, and also the ammonium ion which, if desired, may be substituted with one to four Ci-C4-alkyl substituents and/or one phenyl or benzyl substituent, preferably diisopropylammonium, tetramethylammonium, tetrabutylammonium,
trimethylbenzylammonium, furthermore phosphonium ions, sulfonium ions, preferably tri(Ci-C4- alkyl)sulfonium, and sulfoxonium ions, preferably tri(Ci-C4-alkyl)sulfoxonium.
Anions of acceptable acid addition salts are primarily chloride, bromide, fluoride,
hydrogensulfate, sulfate, dihydrogenphosphate, hydrogenphosphate, phosphate, nitrate, bicarbonate, carbonate, hexafluorosilicate, hexafluorophosphate, benzoate, and the anions of Ci-C4-alkanoic acids, preferably formate, acetate, propionate and butyrate. They can be formed by reacting a compound I with an acid of the corresponding anion, preferably of hydrochloric acid, hydrobromic acid, sulfuric acid, phosphoric acid or nitric acid.
Compounds of the formula I can exist as one or more stereoisomers. The various stereoisomers include enantiomers, diastereomers, atropisomers arising from restricted rotation about a single bond of asymmetric groups and geometric isomers. They also form part of the subject matter of the present invention. One skilled in the art will appreciate that one stereoisomer may be more active and/or may exhibit beneficial effects when enriched relative to the other stereoisomer(s) or when separated from the other stereoisomer(s). Additionally, the skilled artisan knows how to separate, enrich, and/or to selectively prepare said stereoisomers. The compounds of the invention may be present as a mixture of tautomers or stereoisomers, e.g. a racemate, individual stereoisomers, or as an optically active form.
Compounds of the formula I can be present in different crystal modifications whose biological activity may differ. They also form part of the subject matter of the present invention.
In respect of the variables, the embodiments of the intermediates obtained during preparation of compounds I correspond to the embodiments of the compounds of formula I. The term
"compounds I" refers to compounds of the formula I.
In the definitions of the variables given above, collective terms are used which are generally representative for the substituents in question. The term "Cn-Cm" indicates the number of carbon atoms possible in each case in the substituent or substituent moiety in question.
The term "halogen" refers to fluorine, chlorine, bromine and iodine.
The term "oxo" refers to an oxygen atom =0, which is bound to a carbon atom or sulfur atom, thus forming, for example, a ketonyl -C(=0)- or sulfinyl -S(=0)- group.
The term "Ci-C6-alkyl" refers to a straight-chained or branched saturated hydrocarbon group having 1 to 6 carbon atoms, for example methyl, ethyl, propyl, 1 -methylethyl, butyl, 1 - methylpropyl, 2-methylpropyl, and 1 ,1 -dimethylethyl.
The term "C2-C6-alkenyl" refers to a straight-chain or branched unsaturated hydrocarbon radical having 2 to 6 carbon atoms and a double bond in any position, such as ethenyl, 1 -propenyl, 2- propenyl (allyl), 1 -methylethenyl, 1 -butenyl, 2-butenyl, 3-butenyl, 1 -methyl-1 -propenyl, 2-methyl-
1 - propenyl, 1 -methyl-2-propenyl, 2-methyl-2-propenyl.
The term "C2-C6-alkynyl" refers to a straight-chain or branched unsaturated hydrocarbon radical having 2 to 6 carbon atoms and containing at least one triple bond, such as ethynyl, 1 -propynyl,
2- propynyl (propargyl), 1 -butynyl, 2-butynyl, 3-butynyl, 1 -methyl-2-propynyl.
The term "Ci-C6-haloalkyl" refers to a straight-chained or branched alkyl group having 1 to 6 carbon atoms (as defined above), wherein some or all of the hydrogen atoms in these groups may be replaced by halogen atoms as mentioned above, for example chloromethyl, bromomethyl, dichloromethyl, trichloromethyl, fluoromethyl, difluoromethyl, trifluoromethyl, chlorofluoromethyl, dichlorofluoromethyl, chlorodifluoromethyl, 1 -chloroethyl, 1 -bromoethyl, 1 - fluoroethyl, 2-fluoroethyl, 2,2-difluoroethyl, 2,2,2-trifluoroethyl, 2-chloro-2-fluoroethyl, 2-chloro- 2,2-difluoroethyl, 2,2-dichloro-2-fluoroethyl, 2,2,2-trichloroethyl and pentafluoroethyl, 2- fluoropropyl, 3-fluoropropyl, 2,2-difluoropropyl, 2,3-difluoropropyl, 2-chloropropyl, 3- chloropropyl, 2,3-dichloropropyl, 2-bromopropyl, 3-bromopropyl, 3,3,3-trifluoropropyl, 3,3,3- trichloropropyl, CH2-C2F5, CF2-C2F5, CF(CF3)2, 1 -(fluoromethyl)-2-fluoroethyl, l -(chloromethyl)- 2-chloroethyl, 1 -(bromomethyl)-2-bromoethyl, 4-fluorobutyl, 4-chlorobutyl, 4-bromobutyl or nonafluorobutyl.
The term "Ci-C6-alkoxy" refers to a straight-chain or branched alkyl group having 1 to 6 carbon atoms (as defined above) which is bonded via an oxygen, at any position in the alkyl group, for example methoxy, ethoxy, n-propoxy, 1 -methylethoxy, butoxy, 1 -methylpropoxy, 2- methylpropoxy or 1 ,1 -dimethylethoxy.
The term "Ci-C6-haloalkoxy" refers to a Ci-C6-alkoxy group as defined above, wherein some or all of the hydrogen atoms may be replaced by halogen atoms as mentioned above, for example, OCH2F, OCHF2, OCFs, OCH2CI, OCHCI2, OCCI3, chlorofluoromethoxy, dichlorofluoromethoxy, chlorodifluoromethoxy, 2-fluoroethoxy, 2-chloroethoxy, 2-bromoethoxy, 2-iodoethoxy, 2,2- difluoroethoxy, 2,2,2-trifluoroethoxy, 2-chloro-2-fluoroethoxy, 2-chloro-2,2-difluoroethoxy, 2,2- dichloro-2-fluoroethoxy, 2,2,2-trichloroethoxy, OC2F5, 2-fluoropropoxy, 3-fluoropropoxy, 2,2- difluoropropoxy, 2,3-difluoropropoxy, 2-chloropropoxy, 3-chloropropoxy, 2,3-dichloropropoxy, 2-bromopropoxy, 3-bromopropoxy, 3,3,3-trifluoropropoxy, 3,3,3-trichloropropoxy, OCH2-C2F5, OCF2-C2F5, 1-(CH2F)-2-fluoroethoxy, 1 -(CH2CI)-2-chloroethoxy, 1 -(CH2Br)-2-bromoethoxy, 4-fluorobutoxy, 4-chlorobutoxy, 4-bromobutoxy or nonafluorobutoxy.
The terms "phenyl-Ci-C4-alkyl or heteroaryl-Ci-C4-alkyl" refer to alkyl having 1 to 4 carbon atoms (as defined above), wherein one hydrogen atom of the alkyl radical is replaced by a phenyl or hetereoaryl radical respectively.
The term "Ci-C4-alkoxy-Ci-C4-alkyl" refers to alkyl having 1 to 4 carbon atoms (as defined above), wherein one hydrogen atom of the alkyl radical is replaced by a Ci-C4-alkoxy group (as defined above). Likewise, the term "Ci-C4-alkylthio-Ci-C4-alkyl" refers to alkyl having 1 to 4 carbon atoms (as defined above), wherein one hydrogen atom of the alkyl radical is replaced by a Ci-C4-alkylthio group.
The term "Ci-C6-alkylthio" as used herein refers to straight-chain or branched alkyl groups having 1 to 6 carbon atoms (as defined above) bonded via a sulfur atom. Accordingly, the term "Ci-C6-haloalkylthio" as used herein refers to straight-chain or branched haloalkyi group having 1 to 6 carbon atoms (as defined above) bonded through a sulfur atom, at any position in the haloalkyi group.
The term "Ci-C6-alkylsulfinyl" refers to straight-chain or branched alkyl groups having 1 to 6 carbon atoms (as defined above) bonded through a -S(=0)- moiety, at any position in the alkyl group, for example methylsulfinyl and ethylsulfinyl, and the like. Accordingly, the term "C1-C6- haloalkylsulfinyl" refers to straight-chain or branched haloalkyi group having 1 to 6 carbon atoms (as defined above), bonded through a -S(=0)- moiety, at any position in the haloalkyi group. The term "Ci-C6-alkylsulfonyl" refers to straight-chain or branched alkyl groups having 1 to 6 carbon atoms (as defined above), bonded through a -S(=0)2- moiety, at any position in the alkyl group, for example methylsulfonyl. Accordingly, the term "Ci-C6-haloalkylsulfonyl" refers to straight-chain or branched haloalkyl group having 1 to 6 carbon atoms (as defined above), bonded through a -S(=0)2- moiety, at any position in the haloalkyl group.
The term "Ci-C4-alkoxyimino" refers to a divalent imino radical (Ci-C4-alkyl-0-N=) carrying one Ci-C4-alkoxy group as substituent, e.g. methylimino, ethylimino, propylimino,
1 -methylethylimino, butylimino, 1 -methylpropylimino, 2-methylpropylimino, 1 ,1 - dimethylethylimino and the like.
The term "C3-C8-cycloalkyl-Ci-C6-alkyl" refers to alkyl having 1 to 6 carbon atoms, wherein one hydrogen atom of the alkyl radical is replaced by a Cs-Cs-cycloalkyl group.
The term "hydroxyCi-C4-alkyl" refers to alkyl having 1 to 4 carbon atoms, wherein one hydrogen atom of the alkyl radical is replaced by a OH group.
The term "aminoCi-C4-alkyl" refers to alkyl having 1 to 4 carbon atoms, wherein one hydrogen atom of the alkyl radical is replaced by a Nhb group.
The term "Ci-C6-alkylamino" refers to an amino group, which is substituted with one residue independently selected from the group that is defined by the term Ci-C6-alkyl. Likewise the term "diCi-C6-alkylamino" refers to an amino group, which is substituted with two residues independently selected from the group that is defined by the term Ci-C6-alkyl.
The term "Ci-C4-alkylamino-Ci-C4-alkyl" refers to refers to alkyl having 1 to 4 carbon atoms (as defined above), wherein one hydrogen atom of the alkyl radical is replaced by a Ci-C4-alkyl-NH- group which is bound through the nitrogen. Likewise the term "diCi-C4-alkylamino-Ci-C4-alkyl" refers to refers to alkyl having 1 to 4 carbon atoms (as defined above), wherein one hydrogen atom of the alkyl radical is replaced by a (Ci-C4-alkyl)2N- group which is bound through the nitrogen.
The term "aminocarbonyl-Ci-C4-alkyl" refers to alkyl having 1 to 4 carbon atoms, wherein one hydrogen atom of the alkyl radical is replaced by a -(C=0)-NH2 group.
The term "C2-C6-alkenyl" refers to a straight-chain or branched unsaturated hydrocarbon radical having 2 to 6 carbon atoms and a double bond in any position, such as ethenyl, 1 -propenyl, 2- propenyl (allyl), 1 -methylethenyl, 1 -butenyl, 2-butenyl, 3-butenyl, 1 -methyl-1 -propenyl, 2-methyl-
1 - propenyl, 1 -methyl-2-propenyl, 2-methyl-2-propenyl.
The term "C2-C6-alkynyl" refers to a straight-chain or branched unsaturated hydrocarbon radical having 2 to 6 carbon atoms and containing at least one triple bond, such as ethynyl, 1 -propynyl,
2- propynyl (propargyl), 1 -butynyl, 2-butynyl, 3-butynyl, 1 -methyl-2-propynyl.
The term "Cs-Cs-cycloalkyl" refers to monocyclic saturated hydrocarbon radicals having 3 to 8 carbon ring members such as cyclopropyl (C3H5), cyclobutyl, cyclopentyl, cyclohexyl, cycloheptyl or cyclooctyl.
The term "Cs-Cs-cycloalkenyl" refers to monocyclic partly unsaturated hydrocarbon radicals having 3 to 8 carbon ring members such as cyclopentenyl, cyclohexenyl, cycloheptenyl or cyclooctenyl.
The terms "C(=0)-Ci-C4-alkyl" or "C(=0)-Ci-C4-alkoxy" refer to a radical which is attached through the carbon atom of the -C(=0)- group as indicated by the number valence of the carbon atom.
The term "formyl" refers to a group -C(=0)H.
The term "aliphatic" refers to compounds or radicals composed of carbon and hydrogen and which are non-aromatic compounds. An "alicyclic" compound or radical is an organic compound that is both aliphatic and cyclic. They contain one or more all-carbon rings which may be either saturated or unsaturated, but do not have aromatic character.
The terms "cyclic moiety" or "cyclic group" refer to a radical which is an alicyclic ring or an aromatic ring, such as, for example, phenyl or heteroaryl.
The term "and wherein any of the aliphatic or cyclic groups are unsubstituted or substituted with..." refers to aliphatic groups, cyclic groups and groups, which contain an aliphatic and a cyclic moiety in one group, such as in, for example, C3-C8-cycloalkyl-Ci-C4-alkyl; therefore a group which contains an aliphatic and a cyclic moiety both of these moieties may be substituted or unsubstituted independently of each other.
The term "phenyl" refers to an aromatic ring systems incuding six carbon atoms (commonly referred to as benzene ring. In association with the group A the term "phenyl" is to be interpreted as a benzene ring or phenylene ring, which is attached to both, the oxadiazole moiety and the -CR3R4- group.
The term "heteroaryl", unless defined otherwise, refers to aromatic monocyclic or polycyclic ring systems incuding besides carbon atoms 1 , 2, 3 or 4 heteroatoms independently selected from the group consisting of N, O and S as ring member atoms with the provision that the
heterocycle cannot contain 2 contiguous atoms selected from O and S.
The term "saturated 3- to 7-membered carbocycle" is to be understood as meaning monocyclic saturated carbocycles having 3, 4 or 5 carbon ring members. Examples include cyclopropyl, cyclopentyl, cyclohexyl, cycloheptyl, and the like.
The term " saturated 3- to 7-membered heterocycle, wherein the ring member atoms of said heterocycle include besides carbon atoms 1 , 2 or 3 heteroatoms selected from N, O and S as ring member atoms with the provision that the heterocycle cannot contain 2 contiguous atoms selected from O and S", is to be understood as meaning monocyclic ring systems, for example: a 3- or 4-membered saturated heterocycle which contains 1 or 2 heteroatoms from the group consisting of N, O and S as ring members such as oxirane, aziridine, thiirane, oxetane, azetidine, thiethane, [1 ,2]dioxetane, [1 ,2]dithietane, [1 ,2]diazetidine;
and a 5- or 6-membered saturated heterocycle which contains 1 , 2 or 3 heteroatoms from the group consisting of N , O and S as ring members such as 2-tetrahydrofuranyl, 3- tetrahydrofuranyl, 2-tetrahydrothienyl, 3-tetrahydrothienyl, 2-pyrrolidinyl, 3-pyrrolidinyl,
3-isoxazolidinyl, 4-isoxazolidinyl, 5-isoxazolidinyl, 3-isothiazolidinyl, 4-isothiazolidinyl,
5-isothiazolidinyl, 3-pyrazolidinyl, 4-pyrazolidinyl, 5-pyrazolidinyl, 2-oxazolidinyl, 4-oxazolidinyl, 5-oxazolidinyl, 2-thiazolidinyl, 4-thiazolidinyl, 5-thiazolidinyl, 2-imidazolidinyl, 4-imidazolidinyl, 1 ,2,4-oxadiazolidin-3-yl, 1 ,2,4-oxadiazolidin-5-yl, 1 ,2,4-thiadiazolidin-3-yl, 1 ,2,4-thiadiazolidin-5- yl, 1 ,2,4-triazolidin-3-yl, 1 ,3,4-oxadiazolidin-2-yl, 1 ,3,4-thiadiazolidin-2-yl, 1 ,3,4-triazolidin-2-yl, 2,3-dihydrofur-2-yl, 2,3-dihydrofur-3-yl, 2,4-dihydrofur-2-yl, 2,4-dihydrofur-3-yl, 2,3-dihydrothien-
2- yl, 2,3-dihydrothien-3-yl, 2,4-dihydrothien-2-yl, 2,4-dihydrothien-3-yl, 2-pyrrolin-2-yl, 2-pyrrolin-
3- yl, 3-pyrrolin-2-yl, 3-pyrrolin-3-yl, 2-isoxazolin-3-yl, 3-isoxazolin-3-yl, 4-isoxazolin-3-yl, 2- isoxazolin-4-yl, 3-isoxazolin-4-yl, 4-isoxazolin-4-yl, 2-isoxazolin-5-yl, 3-isoxazolin-5-yl,
4-isoxazolin-5-yl, 2-isothiazolin-3-yl, 3-isothiazolin-3-yl, 4-isothiazolin-3-yl, 2-isothiazolin-4-yl, 3- isothiazolin-4-yl, 4-isothiazolin-4-yl, 2-isothiazolin-5-yl, 3-isothiazolin-5-yl, 4-isothiazolin-5-yl, 2,3- dihydropyrazol-1 -yl, 2,3-dihydropyrazol-2-yl, 2,3-dihydropyrazol-3-yl, 2,3-dihydropyrazol-4-yl, 2,3-dihydropyrazol-5-yl, 3,4-dihydropyrazol-1 -yl, 3,4-dihydropyrazol-3-yl, 3,4-dihydropyrazol-4- yl, 3,4-dihydropyrazol-5-yl, 4,5-dihydropyrazol-1 -yl, 4,5-dihydropyrazol-3-yl, 4,5-dihydropyrazol- 4-yl, 4,5-dihydropyrazol-5-yl, 2,3-dihydrooxazol-2-yl, 2,3-dihydrooxazol-3-yl, 2,3-dihydrooxazol-
4- yl, 2,3-dihydrooxazol-5-yl, 3,4-dihydrooxazol-2-yl, 3,4-dihydrooxazol-3-yl, 3,4-dihydrooxazol-4- yl, 3,4-dihydrooxazol-5-yl, 3,4-dihydrooxazol-2-yl, 3,4-dihydrooxazol-3-yl, 3,4-dihydrooxazol-4- yl, 2-piperidinyl, 3-piperidinyl, 4-piperidinyl, 1 ,3-dioxan-5-yl, 2-tetrahydropyranyl, 4- tetrahydropyranyl, 2-tetrahydrothienyl, 3-hexahydropyridazinyl, 4-hexahydropyridazinyl,
2-hexahydropyrimidinyl, 4-hexahydropyrimidinyl, 5-hexahydropyrimidinyl, 2-piperazinyl, 1 ,3,5- hexahydrotriazin-2-yl and 1 ,2,4-hexahydrotriazin-3-yl and also the corresponding -ylidene radicals; and
a 7-membered saturated heterocycle such as tetra- and hexahydroazepinyl, such as 2,3,4,5- tetrahydro[1 H]azepin-1 -,-2-,-3-,-4-,-5-,-6- or-7-yl, 3,4,5,6-tetrahydro[2H]azepin-2-,-3-,-4-,-5-,-6- or-7-yl, 2,3,4,7-tetrahydro[1 H]azepin-1 -,-2-,-3-,-4-,-5-,-6- or-7-yl, 2,3,6,7-tetrahydro[1 H]azepin-1 - ,-2-, -3-, -4-, -5-, -6- or-7-yl, hexahydroazepin-1 -,-2-,-3- or-4-yl, tetra- and hexahydrooxepinyl such as 2,3,4,5-tetrahydro[1 H]oxepin-2-,-3-,-4-,-5-,-6- or-7-yl, 2,3,4,7-tetrahydro[1 H]oxepin-2-,-3-,-4-,-
5- , -6- or-7-yl, 2,3,6,7-tetrahydro[1 H]oxepin-2-, -3-,-4-,-5-,-6- or-7-yl, hexahydroazepin-1 -,-2-,-3- or-4-yl, tetra- and hexahydro-1 ,3-diazepinyl, tetra- and hexahydro-1 ,4-diazepinyl, tetra- and hexahydro-1 ,3-oxazepinyl, tetra- and hexahydro-1 ,4-oxazepinyl, tetra- and hexahydro-1 ,3- dioxepinyl, tetra- and hexahydro-1 ,4-dioxepinyl and the corresponding -ylidene radicals.
The term"5- or 6-membered aromatic heterocycle" refers to aromatic ring systems incuding besides carbon atoms, 1 , 2, 3 or 4 heteroatoms independently selected from the group consisting of N, O and S, for example, a 5-membered heteroaryl such as pyrrol-1 -yl, pyrrol-2-yl, pyrrol-3-yl, thien-2-yl, thien-3-yl, furan-2-yl, furan-3-yl, pyrazol-1 -yl, pyrazol-3-yl, pyrazol-4-yl, pyrazol-5-yl, imidazol-1 -yl, imidazol-2-yl, imidazol-4-yl, imidazol-5-yl, oxazol-2-yl, oxazol-4-yl, oxazol-5-yl, isoxazol-3-yl, isoxazol-4-yl, isoxazol-5-yl, thiazol-2-yl, thiazol-4-yl, thiazol-5-yl, isothiazol-3-yl, isothiazol-4-yl, isothiazol-5-yl, 1 ,2,4-triazolyl-1 -yl, 1 ,2,4-triazol-3-yl 1 ,2,4-triazol-5- yl, 1 ,2,4-oxadiazol-3-yl, 1 ,2,4-oxadiazol-5-yl and 1 ,2,4-thiadiazol-3-yl, 1 ,2,4-thiadiazol-5-yl; or a 6-membered heteroaryl, such as pyridin-2-yl, pyridin-3-yl, pyridin-4-yl, pyridazin-3-yl, pyridazin-4-yl, pyrimidin-2-yl, pyrimidin-4-yl, pyrimidin-5-yl, pyrazin-2-yl and 1 ,3,5-triazin-2-yl and 1 ,2,4-triazin-3-yl. In respect of the variables, the embodiments of the intermediates correspond to the
embodiments of the compounds I. Preference is given to those compounds I and, where applicable, also to compounds of all subformulae provided herein, e. g. formulae 1.1 , 1.2, I.A, I.B, I.C, I.D, I.E, I.F, I.G, I.H, I.J and I.K, wherein the variables A, RA, n, L, R , Ra, R2, R3, R4, RN, and RNa have independently of each other or more preferably in combination (any possible combination of 2 or more substituents as defined herein) the following meanings:
In one aspect of the invention group A is phenyl which is unsubstituted or substituted with 1 , 2, 3 or 4 identical or different groups RA as defined or preferably defined herein and wherein the group -CR3R4- is attached to the phenyl ring in para-pos\t\on with regard to the oxadiazole group.
In one aspect of the invention A is phenyl which is unsubstituted or substituted with 1 , 2, 3 or 4 identical or different groups RA as defined or preferably defined herein and wherein the group -CR3R4- is attached to the phenyl ring in /^e s-position with regard to the oxadiazole group.
In a further aspect of the invention A is phenyl which is substituted with 1 or 2 identical or different groups RA as defined or preferably defined herein and wherein the group -CR3R4- is attached to the phenyl ring in para-pos\t\on with regard to the oxadiazole group.
In one embodiment A is a 6-membered aromatic heterocycle, wherein the ring member atoms of the aromatic heterocycle include besides carbon atoms 1 or 2 nitrogen atoms as ring member atoms; and wherein the aromatic heterocycle is unsubstituted or substituted with 1 or 2 identical or different groups RA as defined or preferably defined herein; particularly RA is chlorine, fluorine or methyl.
In a further embodiment A is a 6-membered aromatic heterocycle, wherein the ring member atoms of the aromatic heterocycle include besides carbon atoms 1 or 2 nitrogen atoms as ring member atoms; and wherein the aromatic heterocycle is unsubstituted or substituted with 1 or 2 identical or different groups RA as defined or preferably defined herein; particularly RA is chlorine, fluorine or methyl; and wherein the group -CR3R4- is attached to the 6-membered aromatic heterocycle in para-pos\t\on with regard to the oxadiazole group.
In a further preferred embodiment A is a 5-membered aromatic heterocycle, in particular a thiophene ring, more particularly a 2,5-thiophenyl ring, wherein the ring member atoms of the heterocycle include besides carbon atoms 1 , 2, 3 or 4 heteroatoms selected from N, O and S as ring member atoms with the provision that the heterocycle cannot contain 2 contiguous atoms selected from O and S; and wherein the cyclic groups A are unsubstituted or substituted with 1 or 2 identical or different groups RA as defined or preferably defined herein; particularly RA is chlorine, fluorine or methyl.
In one embodiment the invention relates to compounds of the formula I, wherein the moiety A defined as in subformulae (A.1 ) to (A.30),
Figure imgf000009_0001
(A.2) (A3) (A.4) (A.5)
Figure imgf000009_0002
(A.6) (A.7) (A.8) (A.9) (A.10)
Figure imgf000010_0001
(A.13) (A.14)
0)
Figure imgf000010_0002
wherein #1 denotes the position which is bound to the oxadiazole moiety and #2 denotes the position, which is connected to the group -CR3R4- of compounds of the formula I; and wherein A is unsubstituted or substituted with 1 or 2 identical or different groups RA and wherein RA is as defined or preferably defined herein. In another embodiment A as defined in any one of subformulae (A.1 ) to (A.30) is unsubstituted or substituted with 1 or 2 identical or different groups RA; and wherein RA is chlorine, fluorine or methyl. In a preferred embodiment A as defined in any one of subformulae (A.1 ) to (A.30) is unsubstituted.
In a preferred embodiment RA is independently selected from the group consisting of halogen, Ci-C6-alkyl or Cs-Cs-cycloalkyl. In another preferred embodiment RA is independently selected from the group consisting of halogen, methyl or ethyl. More preferably RA is independently selected from the group consisting of halogen, in particular RA is fluorine.
Further embodiments with regard to the meaning of radicals R1 and R2 are as follows:
R1 and R2 independently of each other are selected from the group consisting of hydrogen, Ci-C6-alkyl, Cs-Cs-cycloalkyl, Cs-Cs-cycloalkenyl, C2-C6-alkenyl and C2-C6-alkynyl; and wherein any of the above-mentioned aliphatic or cyclic groups are unsubstituted or substituted with 1 , 2, 3 or up to the maximum possible number of identical or different groups R1a; and with the provision that no more than one of radicals R1 and R2 is hydrogen; or
R1 and R2 together with the carbon atom to which they are bound form a saturated 3- to 7-membered carbocycle; and wherein said carbocycle is unsubstituted or substituted with 1 , 2, 3 or up to the maximum possible number of identical or different radicals selected from the group consisting of halogen, Ci-C6-alkyl and Ci-C6-alkoxy;
Embodiment 1.1 : R1 and R2 independently of each other are selected from the group consisting of hydrogen, Ci-C6-alkyl, C2-C6-alkenyl and C2-C6-alkynyl; and wherein any of the above- mentioned aliphatic groups are unsubstituted or substituted with 1 , 2, 3 or up to the maximum possible number of identical or different radicals selected from the group consisting of halogen, cyano, Ci-C6-alkyl, Ci-C6-haloalkyl, Ci-C6-alkoxy, Ci-C6-haloalkoxy and Cs-Cs-cycloalkyl; and with the provision that no more than one of radicals R1 and R2 is hydrogen.
Embodiment 1.2: R1 and R2 independently of each other are selected from the group consisting of hydrogen and Ci-C6-alkyl; and wherein any of the above-mentioned aliphatic groups are unsubstituted or substituted with 1 , 2, 3 or up to the maximum possible number of identical or different radicals selected from the group consisting of halogen and Ci-C6-alkoxy; and with the provision that no more than one of radicals R1 and R2 is hydrogen.
Embodiment 1.3: R1 and R2 independently of each other are selected from the group consisting of hydrogen, methyl and ethyl; and wherein any of the aliphatic groups are unsubstituted or substituted with 1 , 2, 3 or up to the maximum possible number of identical or different radicals selected from the group consisting of halogen and Ci-C6-alkoxy; and with the provision that no more than one of radicals R1 and R2 is hydrogen.
Embodiment 1.4: R1 is hydrogen and R2 is methyl.
Embodiment 1.5: R1 and R2 are methyl.
Embodiment 1 .6: R1 and R2 together with the carbon atom to which they are bound form a cyclopropyl, cyclobutyl, cyclopentyl or cyclohexyl ring; and wherein said cyclic groups are unsubstituted or substituted with 1 , 2, 3 or up to the maximum possible number of identical or different radicals selected from the group consisting of halogen, Ci-C6-alkyl and Ci-C6-alkoxy. Embodiment 1 .7: R1 and R2 together with the carbon atom to which they are bound form a cyclopropyl ring.
In one embodiment R1a is selected from the group consisting of halogen, cyano, Ci-C6-alkyl, Ci-C6-haloalkyl, Ci-C6-alkoxy, Ci-C6-haloalkoxy and Cs-Cs-cycloalkyl.
In another aspect of the invention R1a is selected from the group consisting of fluorine, chlorine, cyano, methyl, ethyl, methoxy, trifluoromethyl, trifluoromethoxy, difluoromethyl, difluoromethoxy or cyclopropyl.
In a preferred aspect of the invention R1a is selected from the group consisting of halogen, Ci-C6-alkyl and Cs-Cs-cycloalkyl; particularly from methyl, ethyl, fluorine and chlorine; more particularly from fluorine and chlorine. In one aspect of the invention RN is hydrogen, formyl, Ci-C6-alkyl, Ci-C6-alkoxy, C2-C6-alkenyl, propargyl, Cs-Cs-cycloalkyl, Cs-Cs-cycloalkenyl, C3-C8-cycloalkyl-Ci-C4-alkyl, phenyl or -N(RNa)2; and wherein any of the aliphatic or cyclic groups are unsubstituted or substituted with 1 , 2, 3, 4 or up to the maximum possible number of identical or different radicals selected from the group consisting of halogen, cyano, Ci-C6-alkyl and Ci-C6-alkoxy; more preferably from halogen, in particular the radical is fluorine; and wherein RNa is independently selected from the group consisting of hydrogen, OH, Ci-C6-alkyl, C2-C6-alkenyl, C2-C6-alkynyl, Cs-Cs-cycloalkyl and Ci-C6-alkoxy.
In one aspect of the invention RN is -N(RNa)2, wherein RNa is independently selected from the group consisting of hydrogen, OH, Ci-C6-alkyl, C2-C6-alkenyl, C2-C6-alkynyl, Cs-Cs-cycloalkyl and Ci-C6-alkoxy. Preferably RNa is independently selected from the group consisting of hydrogen, OH, methyl, ethyl, /7-propyl, /so-propyl, methoxy, ethoxy, propoxy, vinyl, allyl propargyl, cyclopropyl, C2-C6-alkenyl, C2-C6-alkynyl, Cs-Cs-cycloalkyl and Ci-C6-alkoxy.
In a more preferred aspect RN is methylamino or dimethylamino.
Embodiment 2.1 : RN is hydrogen, formyl, Ci-C6-alkyl, Ci-C6-alkoxy, C2-C6-alkenyl, propargyl, C3-Cs-cycloalkyl, Cs-Cs-cycloalkenyl, C3-Cs-cycloalkyl-Ci-C4-alkyl, phenyl, Ci-C6-alkylamino or diCi-C6-alkylamino; and wherein any of the aliphatic or cyclic groups are unsubstituted or substituted with 1 , 2, 3, 4 or up to the maximum possible number of identical or different radicals selected from the group consisting of halogen, cyano, Ci-C6-alkyl and Ci-C6-alkoxy.
Embodiment 2.2: RN is hydrogen, formyl, methyl, ethyl, /7-propyl, /so-propyl, methoxy, ethyoxy, /7-propyloxy, /so-propyloxy, cyclopropyl, cyclopropyl-CH2-, allyl, phenyl, 4-F-phenyl, 2-F-phenyl, Ci-C6-alkylamino or diCi-C6-alkylamino.
Embodiment 2.3: RN is hydrogen, formyl, Ci-C6-alkyl, Ci-C6-alkoxy, C2-C6-alkenyl, propargyl, C3-Cs-cycloalkyl, Ci-C6-alkylamino or diCi-C6-alkylamino.
Embodiment 2.4: RN is hydrogen, formyl, methyl, ethyl, /7-propyl, /so-propyl, methoxy, ethyoxy, /7-propyloxy, /so-propyloxy, cyclopropyl, cyclopropyl-CH2-, allyl, propargyl, Ci-C6-alkylamino or diCi-C6-alkylamino.
Embodiment 2.5: RN is hydrogen, formyl, Ci-C6-alkyl, Ci-C6-alkoxy, C2-C6-alkenyl, propargyl, Ci-C6-alkylamino or diCi-C6-alkylamino.
Embodiment 2.6: RN is hydrogen, formyl, methy, ethyl, /7-propyl, /so-propyl, methoxy, ethoxy, n- propyloxy, /so-propyloxy, methylamino or dimethylamino.
Embodiment 2.7: RN is hydrogen.
Further embodiments with regard to the meaning of radicals R3 and R4 are as follows:
Embodiment 3.1 : R3 and R4 independently of each other are hydrogen, halogen, cyano, C1-C6- alkyl or Ci-C6-haloalkyl; or R3 and R4 together with the carbon atom to which they are bound form a cyclopropyl ring, which is unsubstituted or substituted with a total number of 1 , 2, 3, 4 or up to the maximum possible number of identical or different radicals selected from the group consisting of halogen, cyano, Ci-C6-alkyl, Ci-C6-alkoxy and Cs-Cs-cycloalkyl.
Embodiment 3.2: R3 and R4 independently of each other are hydrogen, halogen, cyano, C1-C6- alkyl or Ci-C6-haloalkyl; or R3 and R4 together with the carbon atom to which they are bound form a cyclopropyl ring. Embodiment 3.3: R3 and R4 are independently selected from the group consisting of hydrogen, fluorine, chlorine, cyano, methyl, difluoromethyl or trifluoromethyl; or R3 and R4 together with the carbon atom to which they are bound form a cyclopropyl ring.
Embodiment 3.4: R3 and R4 independently of each other are hydrogen or Ci-C4-alkyl;
Embodiment 3.5: R3 and R4 independently of each other are hydrogen, methyl or ethyl.
Embodiment 3.6: R3 and R4 are independently of each other hydrogen, fluorine, chlorine, methyl or trifluoromethyl; or R3 and R4 together with the carbon atom to which they are bound form a cyclopropyl ring, wherein the cyclopropyl ring is unsubstituted.
Embodiment 3.7: R3 and R4 are both hydrogen.
Embodiment 3.8: R3 and R4 are both methyl.
Embodiment 3.9: R3 and R4 are both fluorine.
Embodiment 3.10: R3 and R4 are both trifluoromethyl.
Embodiment 3.1 1 : R3 is hydrogen and R4 is methyl.
Embodiment 3.12: R3 is hydrogen and R4 is trifluoromethyl.
Embodiment 3.13: R3 is methyl and R4 is fluorine.
Embodiment 3.14: R3 and R4 together with the carbon atom to which they are bound form a saturated monocyclic 3- to 5-membered saturated heterocycle or saturated carbocycle; and wherein the saturated heterocycle includes beside one or more carbon atoms no heteroatoms or 1 or 2 heteroatoms independently selected from N, O and S as ring member atoms with the provision that the heterocycle cannot contain 2 contiguous atoms selected from O and S; and wherein the heterocycle or the carbocycle is unsubstituted or substituted 1 , 2, 3, 4 or up to the maximum possible number of identical or different radicals selected from the group consisting of halogen, cyano and Ci-C2-alkyl.
Embodiment 3.15: R3 and R4 together with the carbon atom to which they are bound form a 3- or 4-membered carbocylic ring; and wherein the carbocylic ring is unsubstituted.
Embodiment 3.16: R3 and R4 together with the carbon atom to which they are bound form a cyclopropyl ring, wherein the cyclopropyl ring is unsubstituted.
Embodiment 3.17: R3 and R4 together with the carbon atom to which they are bound form a saturated 3-membered heterocycle; wherein the heterocycle includes beside two carbon atoms one heteroatom selected from N, O and S as ring member atoms with the provision that the heterocycle cannot contain 2 contiguous atoms selected from O and S; and wherein the heterocycle is unsubstituted or substituted 1 , 2, 3, 4 or up to the maximum possible number of identical or different radicals selected from the group consisting of halogen, cyano and
Ci-C2-alkyl.
In one aspect of the present invention the group L is -C(=0)-. In another aspect L is -C(=S)-.
In further aspects of the present invention the embodiments E.1 to E.224 listed in Table E represent preferred combinations of the embodiments, which are defined above for each of the variables RN, L, R1, R2, R3 and R4. Table E:
Figure imgf000014_0001
Figure imgf000015_0001
Figure imgf000016_0001
Figure imgf000017_0001
Figure imgf000018_0001
Figure imgf000019_0001
In one embodiment the invention relates to compounds of the formula I, or the N-oxides, or the agriculturally acceptable salts thereof, wherein:
A is selected from the groups (A.1 ) to (A.30); and wherein group A is unsubstituted or
substituted with 1 radical RA; wherein
RA is halogen, Ci-C6-alkyl or Cs-Cs-cycloalkyl;
L is -C(=0)-;
R1 and R2 are independently selected from the group consisting of hydrogen and Ci-C6-alkyl; and with the provision that no more than one of radicals R1 and R2 is hydrogen; or R1 and R2 together with the carbon atom to which they are bound form a cyclopropyl, cyclobutyl or cyclopentyl ring;
and wherein the Ci-C6-alkyl radical or the cyclic moiety is unsubstituted or substituted with 1 , 2, 3 or up to the maximum possible number of identical or different radicals selected from the group consisting of halogen, cyano, Ci-C6-alkyl, Ci-C6-haloalkyl, Ci-C6-alkoxy, Ci-C6-haloalkoxy and Cs-Cs-cycloalkyl;
RN is hydrogen, formyl, Ci-C6-alkyl, Ci-C6-alkoxy, C2-C6-alkenyl, propargyl, Cs-Cs-cycloalkyl, C3-Cs-cycloalkenyl, C3-Cs-cycloalkyl-Ci-C4-alkyl, phenyl, Ci-C6-alkylamino or diCi-C6- alkylamino; and wherein any of the aliphatic or cyclic groups are unsubstituted or substituted with 1 , 2, 3, 4 or up to the maximum possible number of identical or different radicals selected from the group consisting of halogen, cyano, Ci-C6-alkyl and
Ci-C6-alkoxy;
R3 and R4 are as defined in any one of Embodiments 3.1 to 3.17 defined above, or
R3 and R4 are independently selected from the group consisting of hydrogen, fluorine, chlorine, cyano, methyl, difluoromethyl or trifluoromethyl; or
R3 and R4 together with the carbon atom to which they are bound form a cyclopropyl ring.
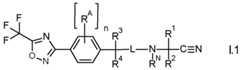
In a further embodiment the invention relates to compounds of the formula 1.1 or to compounds of the formula 1.2, or the N-oxides, or the agriculturally acceptable salts thereof,
Figure imgf000020_0001
wherein n is 0, 1 or 2; and wherein the meaning of the variables L, RN, R3, R4, R1 and R2 are as defined herein or as preferably defined in embodiments E.1 to E.224 in Table E for compounds of the formula I; and wherein RA is as defined or preferably defined herein for compounds of the formula I.
A preferred embodiment relates to compounds of the formula 1.1 or to compounds of the formula I.2 as defined above, wherein the meaning of the variables L, RN, R3, R4, R1 and R2 are as defined herein or as preferably defined in embodiments E.1 to E.224 in Table E for compounds of the formula I; and wherein n is 0 or 1 and RA is halogen, Ci-C6-alkyl or C3-C8- cycloalkyl; in particular fluorine.
Another preferred embodiment relates to compounds of the formula 1.1 or to compounds of the formula 1.2 as defined above, wherein n is 0 and wherein the meaning of the variables L, RN, R3, R4, R1 and R2 are as defined herein or as preferably defined in embodiments E.1 to E.224 in Table E for compounds of the formula I .
In a further embodiment the invention relates to compounds of the formula 1.1 , or the N-oxides, or the agriculturally acceptable salts thereof, wherein:
RA is halogen, Ci-C6-alkyl or Cs-Cs-cycloalkyl;
n is O or l ;
L is -C(=0)-;
R1 and R2 are as defined herein for compounds of the formula I, or as preferably defined in any one of Embodiments 1.1 to 1 .7; particularly R1 and R2 are independently selected from the group consisting of hydrogen, methyl and ethyl; and with the provision that no more than one of radicals R1 and R2 is hydrogen;
RN is hydrogen, formyl, methyl, ethyl, /7-propyl, /so-propyl, methoxy, ethyoxy, /7-propyloxy, iso- propyloxy, cyclopropyl, cyclopropyl-Chb-, allyl, phenyl, 4-F-phenyl, 2-F-phenyl, C1-C6- alkylamino or diCi-C6-alkylamino; preferably RN is hydrogen;
R3 and R4 are independently selected from the group consisting of hydrogen, fluorine, chlorine, methyl or trifluoromethyl; or
R3 and R4 together with the carbon atom to which they are bound form a cyclopropyl ring. In a further embodiment the invention relates to compounds of the formula 1.1 , or the N-oxides, or the agriculturally acceptable salts thereof, wherein:
RA is fluorine;
n is O or l ;
L is -C(=0)-;
R1 and R2 are independently selected from the group consisting of hydrogen, methyl and ethyl; and with the provision that no more than one of radicals R1 and R2 is hydrogen;
RN is hydrogen, formyl, methyl, ethyl, /7-propyl, /so-propyl, methoxy, ethoxy, /7-propyloxy, iso- propyloxy, methylamino or dimethylamino;
R3 and R4 are as defined in any one of Embodiments 3.1 to 3.17 defined above, or
R3 and R4 are independently selected from the group consisting of hydrogen, fluorine, chlorine, methyl or trifluoromethyl; or
R3 and R4 together with the carbon atom to which they are bound form a cyclopropyl ring.
In a further embodiment the invention relates to compounds of the formula 1.1 , or the N-oxides, or the agriculturally acceptable salts thereof, wherein:
n is 0;
L is -C(=0)-;
R1 and R2 are independently selected from the group consisting of hydrogen, methyl and ethyl; and with the provision that no more than one of radicals R1 and R2 is hydrogen;
RN is hydrogen, formyl, methyl, ethyl, /7-propyl, /so-propyl, methoxy, ethoxy, /7-propyloxy, iso- propyloxy, methylamino or dimethylamino;
R3 and R4 are both hydrogen or R3 and R4 are both fluorine. In one embodiment, the present invention relates to compounds of the formulae I.A, I.B, I.C, I.D, I.E, I.F, I.G, I.H, I.J and I.K and to their use for controlling phytopathogenic fungi, wherein the radicals RN, R1 and R2 are as defined or preferably defined herein.
Figure imgf000021_0001
Figure imgf000022_0001
I.J I.K
Preference is given to compounds of the formula I, which are compiled in Tables 1 to 10 below, and which may be used according to the invention.
Table 1 : Compounds of the formula I. A, in which RN, R1 and R2 for each individual compound corresponds in each case to one line A-1 to A-655 of Table A (compounds I.A.A-1 to I.A.A-655). This means, for example, that a compound of formula I. A, wherein RN is hydrogen, R1 is methyl and R2 is methyl (corresponding to the definition A-16 in Table A) is named I.A.A-16.
Table 2: Compounds of the formula I.B, in which RN, R1 and R2 for each individual compound corresponds in each case to one line A-1 to A-655 of Table A (compounds I.B.A-1 to I.B.A-655). Table 3: Compounds of the formula I.C, in which RN, R1 and R2 for each individual compound corresponds in each case to one line A-1 to A-655 of Table A (compounds I.C.A-1 to I.C.A-655) Table 4: Compounds of the formula I.D, in which RN, R1 and R2 for each individual compound corresponds in each case to one line A-1 to A-655 of Table A (compounds I.D.A-1 to I.D.A-655). Table 5: Compounds of the formula I.E, in which RN, R1 and R2 for each individual compound corresponds in each case to one line A-1 to A-655 of Table A (compounds I.E.A-1 to I.E.A-655). Table 6: Compounds of the formula I.F, in which RN, R1 and R2 for each individual compound corresponds in each case to one line A-1 to A-655 of Table A (compounds I.F.A-1 to I.F.A-655). Table 7: Compounds of the formula I.G, in which RN, R1 and R2 for each individual compound corresponds in each case toone line A-1 to A-655 of Table A (compounds I.G.A-1 to I.G.A-655). Table 8: Compounds of the formula I.H, in which RN, R1 and R2 for each individual compound corresponds in each case to one line A-1 to A-655 of Table A (compounds I.H.A-1 to I.H.A-655) Table 9: Compounds of the formula I.J, in which RN, R1 and R2 for each individual compound corresponds in each case toone line A-1 to A-655 of Table A (compounds I.J .A-1 to I.J.A-655). Table 10: Compounds of the formula I.K, in which RN, R1 and R2 for each individual compound corresponds in each case to one line A-1 to A-655 of Table A (compounds I.K.A-1 to I.K.A-655)
Table A: (the term "-CH2-CH2-" means that R1 and R2 together form a cyclopropyl ring; the term "-CH2-CH2-CH2-" means that R1 and R2 together form a cyclobutyl ring; the term "-CH2-CH2-CH2- CH2-" means that R1 and R2 together form a cyclo
Figure imgf000023_0001
Figure imgf000024_0001
Figure imgf000025_0001
Figure imgf000026_0001
Figure imgf000027_0001
Figure imgf000028_0001
Figure imgf000029_0001
Figure imgf000030_0001
Figure imgf000031_0001
Figure imgf000032_0001
Figure imgf000033_0001
A skilled person will recognize that oxadiazole compounds of type I can be accessed by treating phenyl acetic acids of type II, wherein L is -C(=0)-, with amino nitrile compounds of type III under the mediation of amide coupling reagents in organic solvents in the presence of a base. Typical amide coupling reagents include, but are not limited to, alkyl carbodiimides like N, N'- dicylohexylcarbodiimide (DCC), diisopropylcarbodiimide (DIC), 1 -ethyl-3-(3-dimethylamino- propyl)carbodiimid (EDC) or its salts, uronium based agents like1 -[Bis(dimethylamino)- methylene]-1 H-1 ,2,3-triazolo[4,5-b]pyridinium 3-oxid hexafluorophosphate (HATU), O- (benzotriazol-1 -yl)-N,N,N',N'-tetramethyluronium-tetrafluorborat (TBTU), 2-(1 A benzotriazol-l - yl)-1 ,1 ,3,3-tetramethyluronium hexafluorophosphate (HBTU), [[(Z)-(1 -cyano-2-ethoxy-2- oxoethylidene)amino]oxy-morpholin-4-ylmethylidene]-dimethylazanium hexafluorophosphate (COMU), or chlorinating agents like thionyl chloride or oxalyl chloride. For precedents see, for example, WO 2017/076742, WO 2013/066835, WO 2013/008162; Organic Letters, 2015, 17,
.
Figure imgf000033_0002
I
Compounds of formula lb, wherein L is -C(=S)-, can be prepared from compounds of formula la, wherein L represents a carbonyl group, through treatment with Lawesson's reagent or phosphorus pentasulfide in a suitable organic solvent such as, for example, toluene,
tetrahydrofuran, dioxane or ethyl acetate, at a temperature between 0°C and 130°C, preferentially between 60°C and 80°C. For related examples reference is made to Eur. J. Med. Chem. 201 1 , 46(9), 3917-3925; Synthesis 2ΌΌ3, 13, 1929-1958; WO 2006/0123242; WO 20
Figure imgf000033_0003
la (L = (C=0)) lb (L = (C=S))
Compounds of formula II can be prepared according to methods or in analogy to methods described earlier in the prior art, for example in WO 2017/076742. In the first step commercially available nitrile-substituted phenyl acetic acids of formula IV can be reacted with hydroxylamine, or its salt, in an organic solvent, preferentially alcoholic solvents like ethanol or methanol, with a suitable base, such as inorganic carbonate salts like potassium carbonate. The reaction is best performed at elevated temperatures, preferably between 60°C and 80°C to provide
hydroxyamidines as intermediates as described in, for example, WO 2009/074950 and WO 2006/013104. In the second step the cyclisation of said hydroxyamidines to yield oxadiazole compounds of type II can be conducted via treatment with trifluoroacetic anhydride in an organic solvent, preferably an ethereal solvent such as diethyl ether, at temperatures between 0°C and 100°C, preferably at room temperature, as described in WO 2013/008162.
Figure imgf000034_0001
IV II
Compounds of the formula IVa wherein R5 is an organic radical such as, for example, an alkyl, alkenyl or alkynyl group, can be transformed in analogy to the methods mentioned above for compound II to provide oxadiazole substituted phenyl acetic acid esters as intermediates. A skilled person will recognize that ester hydrolysis of said intermediates in basic media, such as diluted aqueous hydroxide solutions, for example sodium hydroxide or lithium hydroxide, preferably under mediation of polar solvents like tetrahydrofuran, dioxane or methanol, at temperatures between 0°C and 100°C, preferential 20°C to 50°C, will yield compounds of type II, as described in WO 2017/076742 or US 2012/220795.
Figure imgf000034_0002
IVa Ha
Compounds IV or IVa can be accessed from the respective halogen analog by palladium catalyzed cyanation as described in Organic Letters 2001 , 9, 171 1 -1714. It is preferred to conduct the reaction at elevated temperature, preferably between 60 and 160 °C.
Figure imgf000034_0003
IV
Compounds of the general formula III, particularly compounds of formula III with RN = H, can be prepared in a one-pot reaction starting from carbonyl compounds of formula V, such as aldehydes or ketones, by reaction with aqueous ammonia or an aqueous ammonium salt solution, for example ammonium hydroxide or ammonium chloride, and ammonia as solution or gaseous reaction partner in organic solvents, preferably alcoholic solvents, such as methanol or ethanol, and with inorganic cyanide salts (MCN), for example sodium cyanide, potassium cyanide, or covalent cyanide compounds such as trimethylsilyl cyanide, at a temperature between 0°C and 100°C, preferable at 20°C to 40°C. Analog procedures are described
2014/0149793, WO 2013/083556, WO 2012/038438, WO 2006/0123792.
Figure imgf000035_0001
V Ilia (RN = H)
N-substituted amino nitrile compounds of formula Illb can be accessed in a similar fashion as compounds of formular Ilia from carbonyl compounds of formula V, such as aldehydes or ketones, through condensation with primary amines to form intermediate imines VI, under mediation of various catalysts, such as Lewis acids, for example zinc chloride (US
2004/0248884) or titanium tetraethoxide (US 2014/0275154), Bronsted acids, for example acetic acid (EP 2792674) or hydrochloric acid (WO 2009/053716), or transition metal catalysts, for example Palladium(ll) salts (US 2010/0036131 ) or sulfated tungstate ( Tet. Lett, 2012, 53(7), 871 -875)). The conversion to amino-nitriles Illb can be achieved under neat conditions { Tet Lett, 2012, 53(7), 871 -875) or aqueous media (EP 2003120) or organic protic solvents, preferable alcoholic solvents, such as methanol, ethanol, or isopropanol, or organic aprotic solvents, such as dichloromethane, at a temperature between -78°C and 100°C, preferable at 20°C to 40°C, with a cyanide reaction partner derived from alkali metal salts, such as sodium cyanide (CN 103936759), or potassium cyanide (CN 103804358), or covalent cyanide compounds, most preferably trimethylsilyl cyanide (WO 2006/066172, WO 2012/1 19559, EP 2792674).
Figure imgf000035_0002
V VI Illb
Compounds of formula Illb can alternatively be prepared from compounds of formula Ilia by reaction with compounds of the formula LG-RN, wherein LG is a leaving group, for example a halogen, such as bromine or iodine, or LG is an organic sulfonate, such as mesyl sulfonate or toluenyl sulfonate, and in the presence of a base like triethylamine or potassium carbonate in a suitable solvent, such as tetrahydrofuran, dichloromethane, toluene, dimethylformamide, and at a temperature between 0°C and 90°C. For related examples reference is made to J. Chem. Soc. P. Trans. 2: Phys. Org. Chem. 1994, 1 1 , 2291 -2300; EP 2168947; WO 2013/036835.
Figure imgf000035_0003
Ilia Illb
Compounds of the formula 111 c, wherein RN is a methyl group, can also be prepared via a reductive amination reaction, initiated by addition of formaldehyde in a suitable protic solvent, such as water or methanol or isopropanol, or aprotic solvent, such as benzene or
tetrahydrofuran, followed by addition of an appropriate reducing agent, such as sodium tetrahydroborate or sodium cyanoborohydride, at a temperature between -10°C and 50°C, preferably between 10°C and 20°C (WO 2006/091885, WO 2008/076415, WO 2012/162635). g
-C≡N
Figure imgf000036_0001
lllc (RN = CH3)
The compounds of the formula I or compositions comprising said compounds according to the invention and the mixtures comprising said compounds and compositions, respectively, are suitable as fungicides. They are distinguished by an outstanding effectiveness against a broad spectrum of phytopathogenic fungi, including soil-borne fungi, which derive especially from the following classes or are closely related to any of them: Ascomycota (Ascomycetes), for example, but not limited to the genus Cocholiobolus, Colletotrichum, Fusarium, Microdochium, Penicillium, Phoma, Magnaporte, Zymoseptoria, and Pseudocercosporella; Basdiomycota (Basidiomycetes), for example, but not limited to the genus Phakospora, Puccinia, Rhizoctonia, Sphacelotheca, Tilletia, Typhula, and Ustilago; Chytridiomycota (Chytridiomycetes), for example, but not limited to the genus Chytridiales, and Synchytrium; Deuteromycetes (syn. Fungi imperfecti), for example, but not limited to the genus Ascochyta, Diplodia, Erysiphe, Fusarium, Phomopsis, and Pyrenophora; Peronosporomycetes (syn. Oomycetes), for example but not limited to the genus Peronospora, Pythium, Phytophthora; Plasmodiophoromycetes, for example but not limited to the genus Plasmodiophora; Zygomycetes, for example, but not limited to the genus Rhizopus.
Some of the compounds of the formula I and the compositions according to the invention are systemically effective and they can be used in crop protection as foliar fungicides, fungicides for seed dressing and soil fungicides. Moreover, they are suitable for controlling harmful fungi, which inter alia occur in wood or roots of plants.
The compounds I and the compositions according to the invention are particularly important in the control of a multitude of phytopathogenic fungi on various cultivated plants, such as cereals, e. g. wheat, rye, barley, triticale, oats or rice; beet, e. g. sugar beet or fodder beet; fruits, such as pomes, stone fruits or soft fruits, e. g. apples, pears, plums, peaches, almonds, cherries, strawberries, raspberries, blackberries or gooseberries; leguminous plants, such as lentils, peas, alfalfa or soybeans; oil plants, such as rape, mustard, olives, sunflowers, coconut, cocoa beans, castor oil plants, oil palms, ground nuts or soybeans; cucurbits, such as squashes, cucumber or melons; fiber plants, such as cotton, flax, hemp or jute; citrus fruit, such as oranges, lemons, grapefruits or mandarins; vegetables, such as spinach, lettuce, asparagus, cabbages, carrots, onions, tomatoes, potatoes, cucurbits or paprika; lauraceous plants, such as avocados, cinnamon or camphor; energy and raw material plants, such as corn, soybean, rape, sugar cane or oil palm; corn; tobacco; nuts; coffee; tea; bananas; vines (table grapes and grape juice grape vines); hop; turf; sweet leaf (also called Stevia); natural rubber plants or ornamental and forestry plants, such as flowers, shrubs, broad-leaved trees or evergreens, e. g. conifers; and on the plant propagation material, such as seeds, and the crop material of these plants. Preferably, compounds I and compositions thereof, respectively are used for controlling a multitude of fungi on field crops, such as potatoes sugar beets, tobacco, wheat, rye, barley, oats, rice, corn, cotton, soybeans, rape, legumes, sunflowers, coffee or sugar cane; fruits; vines; ornamentals; or vegetables, such as cucumbers, tomatoes, beans or squashes. The term "plant propagation material" is to be understood to denote all the generative parts of the plant such as seeds and vegetative plant material such as cuttings and tubers (e. g.
potatoes), which can be used for the multiplication of the plant. This includes seeds, roots, fruits, tubers, bulbs, rhizomes, shoots, sprouts and other parts of plants, including seedlings and young plants, which are to be transplanted after germination or after emergence from soil.
These young plants may also be protected before transplantation by a total or partial treatment by immersion or pouring.
Preferably, treatment of plant propagation materials with compounds I and compositions thereof, respectively, is used for controlling a multitude of fungi on cereals, such as wheat, rye, barley and oats; rice, corn, cotton and soybeans.
The term "cultivated plants" is to be understood as including plants which have been modified by mutagenesis or genetic engineering in order to provide a new trait to a plant or to modify an already present trait.
Mutagenesis includes techniques of random mutagenesis using X-rays or mutagenic chemicals, but also techniques of targeted mutagenesis, to create mutations at a specific locus of a plant genome. Targeted mutagenesis techniques frequently use oligonucleotides or proteins like CRISPR/Cas, zinc-finger nucleases, TALENs or meganucleases to achieve the targeting effect. Genetic engineering usually uses recombinant DNA techniques to create modifications in a plant genome which under natural circumstances cannot readily be obtained by cross breeding, mutagenesis or natural recombination. Typically, one or more genes are integrated into the genome of a plant to add a trait or improve a trait. These integrated genes are also referred to as transgenes in the art, while plant comprising such transgenes are referred to as transgenic plants. The process of plant transformation usually produces several transformation events, wich differ in the genomic locus in which a transgene has been integrated. Plants comprising a specific transgene on a specific genomic locus are usually described as comprising a specific "event", which is referred to by a specific event name. Traits which have been introduced in plants or have been modified include herbicide tolerance, insect resistance, increased yield and tolerance to abiotic conditions, like drought.
Herbicide tolerance has been created by using mutagenesis as well as using genetic engineering. Plants which have been rendered tolerant to acetolactate synthase (ALS) inhibitor herbicides by mutagenesis and breeding comprise plant varieties commercially available under the name Clearfield®.
Herbicide tolerance has been created via the use of transgenes to glyphosate, glufosinate, 2,4- D, dicamba, oxynil herbicides, like bromoxynil and ioxynil, sulfonylurea herbicides, ALS inhibitors and 4-hydroxyphenylpyruvate dioxygenase (HPPD) inhibitors, like isoxaflutole and mesotrione.
Transgenes wich have been used to provide herbicide tolerance traits comprise: for tolerance to glyphosate: cp4 epsps, epsps grg23ace5, mepsps, 2mepsps, gat4601 , gat4621 , goxv247; for tolerance to glufosinate: pat and bar, for tolerance to 2,4-D: aad-1 , aad-12; for tolerance to dicamba: dmo; for tolerance to oxynil herbicies: bxn; for tolerance to sulfonylurea herbicides: zm-hra, csr1 -2, gm-hra, S4-HrA; for tolerance to ALS inhibitors: csr1 -2; and for tolerance to HPPD inhibitors: hppdPF, W336, avhppd-03.
Transgenic corn events comprising herbicide tolerance genes include, but are not limited to, DAS40278, MON801 , MON802, MON809, MON810, MON832, MON8741 1 , MON87419, MON87427, MON88017, MON89034, NK603, GA21 , MZHGOJG, HCEM485, VCO-01981 -5, 676, 678, 680, 33121 , 41 14, 59122, 98140, Bt10, Bt176, CBH-351 , DBT418, DLL25, MS3, MS6, MZIR098, T25, TC1507 and TC6275.
Transgenic soybean events comprising herbicide tolerance genes include, but are not limited to, GTS 40-3-2, MON87705, MON87708, MON87712, MON87769, MON89788, A2704-12, A2704- 21 , A5547-127, A5547-35, DP356043, DAS44406-6, DAS68416-4, DAS-81419-2, GU262, SYHT0H2, W62, W98, FG72 and CV127.
Transgenic cotton events comprising herbicide tolerance genes include, but are not limited to, 19-51 a, 31707, 42317, 81910, 281 -24-236, 3006-210-23, BXN1021 1 , BXN10215, BXN10222, BXN10224, MON1445, MON1698, MON88701 , MON88913, GHB1 19, GHB614, LLCotton25, T303-3 and T304-40.
Transgenic canola events comprising herbicide tolerance genes are for example, but not excluding others, MON88302, HCR-1 , HCN10, HCN28, HCN92, MS1 , MS8, PHY14, PHY23, PHY35, PHY36, RF1 , RF2 and RF3.
Insect resistance has mainly been created by transferring bacterial genes for insecticidal proteins to plants: Transgenes which have most frequently been used are toxin genes of Bac/7/us spp. and synthetic variants thereof, like cry1A, crylAb, cry1Ab-Ac, crylAc, cry1A.105, cry1 F, cry1 Fa2, cry2Ab2, cry2Ae, mcry3A, ecry3.1Ab, cry3Bb1 , cry34Ab1 , cry35Ab1 , cry9C, vip3A(a), vip3Aa20. However, also genes of plant origin, such as genes coding for protease inhibitors, like CpTI and pin 11 , have been transferred to other plants. A further approach uses transgenes such as dvsnf7 to produce double-stranded RNA in plants.
Transgenic corn events comprising genes for insecticidal proteins or double stranded RNA include, but are not limited to, Bt10, Bt1 1 , Bt176, MON801 , MON802, MON809, MON810, MON863, MON8741 1 , MON88017, MON89034, 33121 , 41 14, 5307, 59122, TC1507, TC6275, CBH-351 , MIR162, DBT418 and MZIR098. Transgenic soybean events comprising genes for insecticidal proteins include, but are not limited to, MON87701 , MON87751 and DAS-81419. Transgenic cotton events comprising genes for insecticidal proteins include, but are not limited to, SGK321 , MON531 , MON757, MON1076, MON15985, 31707, 31803, 31807, 31808, 42317, BNLA-601 , Eventl , COT67B, COT102, T303-3, T304-40, GFM Cry1A, GK12, MLS 9124, 281 - 24-236, 3006-210-23, GHB1 19 and SGK321.
Increased yield has been created by using the transgene athb17, being present for example in corn event MON87403, or by using the transgene bbx32, being present for example in the soybean event MON87712.
Cultivated plants comprising a modified oil content have been created by using the transgenes: gm-fad2-1 , Pj.D6D, Nc.Fad3, fad2-1A and fatb1 -A. Soybean events comprising at least one of these genes are: 260-05, MON87705 and MON87769.
Tolerance to abiotic conditions, such as drought, has been created by using the transgene cspB, comprised by the corn event MON87460 and by using the transgene Hahb-4, comprised by soybean event IND-00410-5.
Traits are frequently combined by combining genes in a transformation event or by combining different events during the breeding process resulting in a cultivated plant with stacked traits. Preferred combinations of traits are combinations of herbicide tolerance traits to different groups of herbicides, combinations of insect tolerance to different kind of insects, in particular tolerance to lepidopteran and coleopteran insects, combinations of herbicide tolerance with one or several types of insect resistance, combinations of herbicide tolerance with increased yield as well as combinations of herbicide tolerance and tolerance to abiotic conditions.
Plants comprising singular or stacked traits as well as the genes and events providing these traits are well known in the art. For example, detailed information as to the mutagenized or integrated genes and the respective events are available from websites of the organizations "International Service for the Acquisition of Agri-biotech Applications (ISAAA)"
(http://www.isaaa.org/gmapprovaldatabase) and the "Center for Environmental Risk
Assessment (CERA)" (http://cera-gmc.org/GMCropDatabase). Further information on specific events and methods to detect them can be found for canola events MS1 , MS8, RF3, GT73, MON88302, KK179 in WO01/031042, WO01/041558, WO01/041558, WO02/036831 ,
W01 1/153186, W013/003558, for cotton events MON 1445, MON 15985, MON531
(MON 15985), LLCotton25, MON88913, COT102, 281 -24-236, 3006-210-23, COT67B,
GHB614, T304-40, GHB1 19, MON88701 , 81910 in WO02/034946, WO02/100163,
WO02/100163, WO03/013224, WO04/072235, WO04/039986, WO05/103266, WO05/103266, WO06/128573, WO07/017186, WO08/122406, WO08/151780, W012/134808, W013/1 12527; for corn events GA21 , MON810, DLL25, TC1507, MON863, MIR604, LY038, MON88017, 3272, 59122, NK603, MIR162, MON89034, 98140, 32138, MON87460, 5307, 41 14, MON87427, DAS40278, MON8741 1 , 33121 , MON87403, MON87419 in WO98/044140, US02/102582,
US03/126634, WO04/099447, WO04/01 1601 , WO05/103301 , WO05/061720, WO05/059103, WO06/098952, WO06/039376, US2007/292854, WO07/142840, WO07/140256,
WO08/1 12019, WO09/103049, WO09/1 1 1263, WO10/077816, W01 1/084621 , W01 1/062904, W01 1/022469, W013/169923, W014/1 16854, W015/053998, W015/142571 ; for potato events E12, F10, J3, J55, V1 1 , X17, Y9 in WO14/178910, W014/178913, W014/178941 ,
W014/179276, W016/183445, W017/062831 , W017/062825; for rice events LLRICE06, LLRICE601 , LLRICE62 in WO00/026345, WO00/026356, WO00/026345; and for soybean events H7-1 , MON89788, A2704-12, A5547-127, DP305423, DP356043, MON87701 ,
MON87769, CV127, MON87705, DAS68416-4, MON87708, MON87712, SYHT0H2,
DAS81419, DAS81419 x DAS44406-6, MON87751 in WO04/074492, WO06/130436,
WO06/108674, WO06/108675, WO08/054747, WO08/002872, WO09/064652, WO09/102873, WO10/080829, WO10/037016, W01 1/066384, W01 1/034704, WO12/051 199, WO12/082548, W013/016527, WO13/016516, W014/201235.
The use of compounds I and compositions according to the invention, respectively, on cultivated plants may result in effects which are specific to a cultivated plant comprising a certain gene or event. These effects might involve changes in growth behavior or changed resistance to biotic or abiotic stress factors. Such effects may in particular comprise enhanced yield, enhanced resistance or tolerance to insects, nematodes, fungal, bacterial, mycoplasma, viral or viroid pathogens as well as early vigour, early or delayed ripening, cold or heat tolerance as well as changed amino acid or fatty acid spectrum or content.
The compounds I and compositions thereof, respectively, are particularly suitable for controlling the following plant diseases: Albugo spp. (white rust) on ornamentals, vegetables (e. g. A Candida) and sunflowers (e. g. A tragopogonis); Alternaria spp. (Alternaria leaf spot) on vegetables (e.g. A. daucior A. porri), oilseed rape (A brassicicola or brassicae), sugar beets (A tenuis), fruits (e.g. A grandis), rice, soybeans, potatoes and tomatoes (e. g. A solani, A. grandis or A. alternata), tomatoes (e. g. A solani or A. alternata) and wheat (e.g. A. triticina); Aphanomyces spp. on sugar beets and vegetables; Ascochyta spp. on cereals and vegetables, e. g. A (anthracnose) on wheat and A horde! on barley; Aureobasidium zeae (syn. Kapatiella zeae) on corn; Bipolaris and Drechslera spp. (teleomorph: Cochliobolus spp.), e. g. Southern leaf blight (£>. maydis) or Northern leaf blight (.?. zeicola) on corn, e. g. spot blotch (.?. sorokiniana) on cereals and e. g. z?. cvyzae on rice and turfs; Blumeria (formerly Erysiphe) graminis (powdery mildew) on cereals (e. g. on wheat or barley); Botrytis cinerea (teleomorph: Botryotinia fucke/iana: grey mold) on fruits and berries (e. g. strawberries), vegetables (e. g. lettuce, carrots, celery and cabbages); B. squamosa OK B. allii on onion family), oilseed rape, ornamentals (e.g. B eliptica), vines, forestry plants and wheat; Bremia lactucae (downy mildew) on lettuce; Ceratocystis (syn. Ophiostoma) spp. (rot or wilt) on broad-leaved trees and evergreens, e. g. C. iy/ 7/'(Dutch elm disease) on elms; Cercospora spp. (Cercospora leaf spots) on corn (e. g. Gray leaf spot: C. zeae-maydis), rice, sugar beets (e. g. C. beticoia), sugar cane, vegetables, coffee, soybeans (e. g. C. sojina or C. kikuchii) and rice; Cladobotryum (syn. Dactylium) spp. (e.g. C. mycophilum
(formerly Dactylium dendroides, teleomorph: Nectria albertinii, Nectria rosella syn. Hypomyces rosellus) on mushrooms; Cladosporium spp. on tomatoes (e. g. C. fulvum. leaf mold) and cereals, e. g. C. herbarum (black ear) on wheat; Claviceps purpurea (ergot) on cereals;
Cochliobolus (anamorph: Helminthosporium of Bipolaris) spp. (leaf spots) on corn (C.
carbonum), cereals (e. g. C. sativus, anamorph: B. sorokiniana) and rice (e. g. C. miyabeanus, anamorph: H. oryzae); Colletotrichum (teleomorph: Glomerella) spp. (anthracnose) on cotton (e. g. C. gossypil), corn (e. g. C. gram/n/co/a: Anthracnose stalk rot), soft fruits, potatoes (e. g. C. coccodes. black dot), beans (e. g. C. lindemuthianum), soybeans (e. g. C. truncatum or C. gloeosporioides), vegetables (e.g. C. lagenarium or C. capsici), fruits (e.g. C. acutatum), coffee (e.g. C. coffeanum or C. kahawae) and C. gloeosporioides on various crops; Corticium spp., e. g. C. sasakii (sheath blight) on rice; Corynespora cassiicola (leaf spots) on soybeans and ornamentals; Cycloconium spp., e. g. C. oleaginum on olive trees; Cylindrocarpon spp. (e. g. fruit tree canker or young vine decline, teleomorph: Nectria or Neonectria spp.) on fruit trees, vines (e. g. C. liriodendri, teleomorph: Neonectria liriodendri. Black Foot Disease) and ornamentals; Dematophora (teleomorph: Rosellinia) necatrix (root and stem rot) on soybeans; Diaporthe spp., e. g. D. phaseolorum (damping off) on soybeans; Drechslera {s n.
Helminthosporium, teleomorph: Pyrenophora) spp. on corn, cereals, such as barley (e. g. D. teres, net blotch) and wheat (e. g. D. tritici-repentis. tan spot), rice and turf; Esca (dieback, apoplexy) on vines, caused by Formitiporia (syn. Phellinus) punctata, F. mediterranea,
Phaeomoniella chlamydospora (formerly Phaeoacremonium chlamydosporum),
Phaeoacremonium aleophilum and/or Botryosphaeria obtusa, Elsinoe spp. on pome fruits (E. pyri), soft fruits (E. veneta: anthracnose) and vines (E. ampe/ina: anthracnose); Enty/oma oryzae (leaf smut) on rice; Ep/coccum spp. (black mold) on wheat; Erysiphe spp. (powdery mildew) on sugar beets (E. betae), vegetables (e. g. E. pisi), such as cucurbits (e. g. E.
cichoracearum), cabbages, oilseed rape (e. g. E. cruciferarum); Eutypa lata (Eutypa canker or dieback, anamorph: Cytosporina lata, syn. Libertella blepharis) on fruit trees, vines and ornamental woods; Exserohilum (syn. Helminthosporium) spp. on corn (e. g. E. turcicum);
Fusarium (teleomorph: Gibberella) spp. (wilt, root or stem rot) on various plants, such as F. graminearum or F. cu/morum (root rot, scab or head blight) on cereals (e. g. wheat or barley), F. oxysporum on tomatoes, F. so/an/'(f. sp. glycines now syn. F. virguliforme ) and F. tucumaniae and F. brasiliense each causing sudden death syndrome on soybeans, and F. verticillioides on corn; Gaeumannomyces graminis (take-all) on cereals (e. g. wheat or barley) and corn;
Gibberella spp. on cereals (e. g. <S. ese) and rice (e. g. <S. fujikuroi. Bakanae disease);
Glomerella cingulata on vines, pome fruits and other plants and <S. gossypii on cotton; Grain- staining complex on rice; Guignardia bidwellii (black rot) on vines; Gymnosporangium spp. on rosaceous plants and junipers, e. g. <S. sabinae (rust) on pears; Helminthosporium spp. (syn. Drechslera, teleomorph: Cochliobolus) on corn, cereals, potatoes and rice; Hemileia spp., e. g. A/, vastatrix (coffee leaf rust) on coffee; Isariopsis clavispora (syn. Cladosporium vitis) on vines; Macrophomina phaseolina (syn. phaseoli) (root and stem rot) on soybeans and cotton;
Microdochium (syn. Fusarium) nivale (pink snow mold) on cereals (e. g. wheat or barley);
Microsphaera diffusa (powdery mildew) on soybeans; Monilinia spp., e. g. /ara, fructicola and fructigena (syn. Monilia spp.: bloom and twig blight, brown rot) on stone fruits and other rosaceous plants; Mycosphaerella spp. on cereals, bananas, soft fruits and ground nuts, such as e. g. M. graminicola (anamorph: Zymoseptoria M/c/ formerly Septoria tritici. Septoria blotch) on wheat or M. fijiensis (syn. Pseudocercospora fijiensis. black Sigatoka disease) and M.
musicola on bananas, arachidicola (syn. arachidis or Cercospora arachidis), M. berkeleyi on peanuts, pisi on peas and brassicio/a on brassicas; Peronospora spp. (downy mildew) on cabbage (e. g. F brassicae), oilseed rape (e. g. F. parasitica), onions (e. g. F. destructor), tobacco (F tabacina) and soybeans (e. g. F manshurica); Phakopsora pachyrhizi and F meibomiae (soybean rust) on soybeans; Phialophora spp. e. g. on vines (e. g. F tracheiphila and F tetraspora) and soybeans (e. g. F gregata. stem rot); Phoma lingam (syn. Leptosphaeria biglobosa and Z.. maculans. root and stem rot) on oilseed rape and cabbage, F be/¾e (root rot, leaf spot and damping-off) on sugar beets and F zeae-maydis (syn. Phyllostica zeae) on corn; Phomopsis spp. on sunflowers, vines (e. g. F viticola. can and leaf spot) and soybeans (e. g. stem rot: F phaseoli, teleomorph: Diaporthe phaseolorum); Physoderma maydis (brown spots) on corn; Phytophthora spp. (wilt, root, leaf, fruit and stem root) on various plants, such as paprika and cucurbits (e. g. F capsicl), soybeans (e. g. F megasperma, syn. F sojae), potatoes and tomatoes (e. g. F infestans. late blight) and broad-leaved trees (e. g. F ramorum. sudden oak death); Plasmodiophora brassicae (club root) on cabbage, oilseed rape, radish and other plants; Plasmopara spp., e. g. F viticola (grapevine downy mildew) on vines and F halstedii on sunflowers; Podosphaera spp. (powdery mildew) on rosaceous plants, hop, pome and soft fruits (e. g. F leucotricha on apples) and curcurbits (F xanthii); Polymyxa spp., e. g. on cereals, such as barley and wheat (F graminis) and sugar beets (F betae) and thereby transmitted viral diseases; Pseudocercosporella herpotrichoides (syn. Oculimacula yallundae, 0. acuformis. eyespot, teleomorph: Tapes/a yallundae) on cereals, e. g. wheat or barley;
Pseudoperonospora (downy mildew) on various plants, e. g. F cubensis on cucurbits or F hum/lion hop; Pseudopezicu/a tracheiphila (red fire disease or .rotbrenner', anamorph:
Phialophora) on vines; Puccinia spp. (rusts) on various plants, e. g. F triticina (brown or leaf rust), P. striiformis (stripe or yellow rust), P. horde/ (dwarf rust), P. graminis (stem or black rust) or P. recondita (brown or leaf rust) on cereals, such as e. g. wheat, barley or rye, P. kuehnii (orange rust) on sugar cane and P. asparagion asparagus; Pyrenopeziza spp., e.g. P.
brassicae on oilseed rape; Pyrenophora (anamorph: Drechslera) tritici-repentis (tan spot) on wheat or P. teres (net blotch) on barley; Pyricularia spp., e. g. P. oryzae (teleomorph:
Magnaporthe grisea. rice blast) on rice and P. grisea on turf and cereals; Pythium spp.
(damping-off) on turf, rice, corn, wheat, cotton, oilseed rape, sunflowers, soybeans, sugar beets, vegetables and various other plants (e. g. P. ultimum or P. aphanidermatum) and P. oligandrum on mushrooms; Ramularia spp., e. g. R. co/io-cygni (Ramu\ar\a leaf spots, Physiological leaf spots) on barley and R. beticola on sugar beets; Rhizoctonia spp. on cotton, rice, potatoes, turf, corn, oilseed rape, potatoes, sugar beets, vegetables and various other plants, e. g. R. solani (root and stem rot) on soybeans, R. solani (sheath blight) on rice or R. cerealis (Rhizoctonia spring blight) on wheat or barley; Rhizopus stolonifer (black mold, soft rot) on strawberries, carrots, cabbage, vines and tomatoes; Rhynchosporium secalis and R. commune (scald) on barley, rye and triticale; Sarocladium oryzae and S. a ttenua turn (sheath rot) on rice; Sclerotinia spp. (stem rot or white mold) on vegetables (S. minorand S. scierotiorum) and field crops, such as oilseed rape, sunflowers (e. g. S. scierotiorum) and soybeans, S. ro/fsii (syn. Athelia rolfsii) on soybeans, peanut, vegetables, corn, cereals and ornamentals; Septoria spp. on various plants, e. g. S. glycines (brown spot) on soybeans, S. tritici (syn. Zymoseptoria tritici, Septoria blotch) on wheat and S. (syn. Stagonospora) nodorum (Stagonospora blotch) on cereals;
Uncinula (syn. Erysiphe) necator (powdery mildew, anamorph: Oidium tucker!) on vines;
Setosphaeria spp. (leaf blight) on corn (e. g. S. turcicum, syn. Helminthosporium turcicum) and turf; Sphacelotheca spp. (smut) on corn, (e. g. S. reiliana, syn. Ustilago reiliana. head smut), sorghum und sugar cane; Sphaerotheca fuliginea (syn. Podosphaera xanthii. powdery mildew) on cucurbits; Spongospora subterranea (powdery scab) on potatoes and thereby transmitted viral diseases; Stagonospora spp. on cereals, e. g. S. nodorum (Stagonospora blotch, teleomorph: Leptosphaeria [syn. Phaeosphaeria] nodorum, syn. Septoria nodorum) on wheat; Synchytrium endobioticum on potatoes (potato wart disease); Taphrina spp., e. g. T. deformans (leaf curl disease) on peaches and T. pruni (plum pocket) on plums; Thielaviopsis spp. (black root rot) on tobacco, pome fruits, vegetables, soybeans and cotton, e. g. T. basicola (syn.
Chalara elegans); Tilletia spp. (common bunt or stinking smut) on cereals, such as e. g. T. tritici (syn. T. caries, wheat bunt) and T. controversa (dwarf bunt) on wheat; Trichoderma harzianum on mushrooms, Typhula incarnata (grey snow mold) on barley or wheat; Urocystis spp., e. g. U. occulta (stem smut) on rye; Uromyces spp. (rust) on vegetables, such as beans (e. g. U.
appendiculatus, syn. U. phaseoli), sugar beets (e. g. U. betae or U. beticola) and on pulses (e.g. U. vignae, U. pisi, U. viciae-fabae and U. fabae), Ustilago spp. (loose smut) on cereals (e. g. U. nuda and U. avaenae), corn (e. g. U. maydis. corn smut) and sugar cane; Venturia spp. (scab) on apples (e. g. V. inaequalis) and pears; and Verticillium spp. (wilt) on various plants, such as fruits and ornamentals, vines, soft fruits, vegetables and field crops, e. g. V. longisporum on oilseed rape, V. dahliae on strawberries, oilseed rape, potatoes and tomatoes, and V. fungicola on mushrooms; Zymoseptoria tritici on cereals.
In a preferred embodiment the compounds I, their mixtures with other active compounds as defined herein and compositions thereof, respectively, are particularly suitable for controlling the following plant diseases: Puccinia spp. (rusts) on various plants, for example, but not limited to P. triticina (brown or leaf rust), P. striiformis (stripe or yellow rust), P. horde/ (dwarf rust), P. graminis (stem or black rust) or P. recondita (brown or leaf rust) on cereals, such as e. g. wheat, barley or rye, and Puccinia sorghi (common rust) on maize, Puccinia polysora (southern rust) on maize; P. sorghi (common rust) on maize, P. polysora (southern rust) on maize; P. coronata e.g. on oats, P. sorghiund P. polysora on corn; Puccinia spp. on other crops, e.g. P. heliathi on sunflower, P. arachidis on peanuts; Uromyces spp. on pulses and other crops crops, e.g.
Uromyces viciae-fabae, Uromyces vigniae, Uromyces pisi, U. ciceris-arietini, U. betae syn U. beticola; and Phakopsoraceae spp. on various plants, in particular Phakopsora pachyrhizi and P. meibomiae (soybean rust) on soybeans.
The compounds I and compositions thereof, respectively, are also suitable for controlling harmful fungi in the protection of stored products or harvest and in the protection of materials. The term "protection of materials" is to be understood to denote the protection of technical and non-living materials, such as adhesives, glues, wood, paper and paperboard, textiles, leather, paint dispersions, plastics, cooling lubricants, fiber or fabrics, against the infestation and destruction by harmful microorganisms, such as fungi and bacteria. As to the protection of wood and other materials, the particular attention is paid to the following harmful fungi: Ascomycetes such as Ophiostoma spp., Ceratocystis spp., Aureobasidium pullulans, Sclerophoma spp., Chaetomium spp., Hum/cola spp., Petrie/la spp., Trichurus spp.; Basidiomycetes such as Coniophora spp., Coriolus spp., Gloeophyllum spp., Lentinus spp., Pleurotus spp., Poria pp., Serpula spp. and Tyromyces spp., Deuteromycetes such as Aspergillus spp., Cladosporium spp., Penicillium spp., Trichoderma spp., Alternaria spp., Paecilomyces spp. and Zygomycetes such as Mucorspp., and in addition in the protection of stored products and harvest the following yeast fungi are worthy of note: Candida spp. and Saccharomyces cerevisae.
The method of treatment according to the invention can also be used in the field of protecting stored products or harvest against attack of fungi and microorganisms. According to the present invention, the term "stored products" is understood to denote natural substances of plant or animal origin and their processed forms, which have been taken from the natural life cycle and for which long-term protection is desired. Stored products of crop plant origin, such as plants or parts thereof, for example stalks, leafs, tubers, seeds, fruits or grains, can be protected in the freshly harvested state or in processed form, such as pre-dried, moistened, comminuted, ground, pressed or roasted, which process is also known as post-harvest treatment. Also falling under the definition of stored products is timber, whether in the form of crude timber, such as construction timber, electricity pylons and barriers, or in the form of finished articles, such as furniture or objects made from wood. Stored products of animal origin are hides, leather, furs, hairs and the like. The combinations according the present invention can prevent
disadvantageous effects such as decay, discoloration or mold. Preferably "stored products" is understood to denote natural substances of plant origin and their processed forms, more preferably fruits and their processed forms, such as pomes, stone fruits, soft fruits and citrus fruits and their processed forms.
The compounds of formula I can be present in different crystal modifications whose biological activity may differ. They are likewise subject matter of the present invention.
The compounds I are employed as such or in form of compositions by treating the fungi or the plants, plant propagation materials, such as seeds, soil, surfaces, materials or rooms to be protected from fungal attack with a fungicidally effective amount of the active substances. The application can be carried out both before and after the infection of the plants, plant propagation materials, such as seeds, soil, surfaces, materials or rooms by the fungi.
Plant propagation materials may be treated with compounds I as such or a composition comprising at least one compound I prophylactically either at or before planting or transplanting. The invention also relates to agrochemical compositions comprising an auxiliary and at least one compound I according to the invention.
An agrochemical composition comprises a fungicidally effective amount of a compound I. The term "effective amount" denotes an amount of the composition or of the compounds I, which is sufficient for controlling harmful fungi on cultivated plants or in the protection of materials and which does not result in a substantial damage to the treated plants. Such an amount can vary in a broad range and is dependent on various factors, such as the fungal species to be controlled, the treated cultivated plant or material, the climatic conditions and the specific compound I used.
The compounds I, their N-oxides and salts can be converted into customary types of agrochemical compositions, e. g. solutions, emulsions, suspensions, dusts, powders, pastes, granules, pressings, capsules, and mixtures thereof. Examples for composition types are suspensions (e. g. SC, OD, FS), emulsifiable concentrates (e. g. EC), emulsions (e. g. EW, EO, ES, ME), capsules (e. g. CS, ZC), pastes, pastilles, wettable powders or dusts (e. g. WP, SP, WS, DP, DS), pressings (e. g. BR, TB, DT), granules (e. g. WG, SG, GR, FG, GG, MG), insecticidal articles (e. g. LN), as well as gel formulations for the treatment of plant propagation materials such as seeds (e. g. GF). These and further compositions types are defined in the "Catalogue of pesticide formulation types and international coding system", Technical
Monograph No. 2, 6th Ed. May 2008, CropLife International.
The compositions are prepared in a known manner, such as described by Mollet and
Grubemann, Formulation technology, Wiley VCH, Weinheim, 2001 ; or Knowles, New
developments in crop protection product formulation, Agrow Reports DS243, T&F Informa, London, 2005.
Suitable auxiliaries are solvents, liquid carriers, solid carriers or fillers, surfactants, dispersants, emulsifiers, wetters, adjuvants, solubilizers, penetration enhancers, protective colloids, adhesion agents, thickeners, humectants, repellents, attractants, feeding stimulants, compatibilizers, bactericides, anti-freezing agents, anti-foaming agents, colorants, tackifiers and binders.
Suitable solvents and liquid carriers are water and organic solvents, such as mineral oil fractions of medium to high boiling point, e. g. kerosene, diesel oil; oils of vegetable or animal origin; aliphatic, cyclic and aromatic hydrocarbons, e. g. toluene, paraffin,
tetrahydronaphthalene, alkylated naphthalenes; alcohols, e. g. ethanol, propanol, butanol, benzyl alcohol, cyclohexanol; glycols; DMSO; ketones, e. g. cyclohexanone; esters, e. g.
lactates, carbonates, fatty acid esters, gamma-butyrolactone; fatty acids; phosphonates;
amines; amides, e. g. N-methyl pyrrolidone, fatty acid dimethyl amides; and mixtures thereof. Suitable solid carriers or fillers are mineral earths, e. g. silicates, silica gels, talc, kaolins, limestone, lime, chalk, clays, dolomite, diatomaceous earth, bentonite, calcium sulfate, magnesium sulfate, magnesium oxide; polysaccharides, e. g. cellulose, starch; fertilizers, e. g. ammonium sulfate, ammonium phosphate, ammonium nitrate, ureas; products of vegetable origin, e. g. cereal meal, tree bark meal, wood meal, nutshell meal, and mixtures thereof.
Suitable surfactants are surface-active compounds, such as anionic, cationic, nonionic and amphoteric surfactants, block polymers, polyelectrolytes, and mixtures thereof. Such surfactants can be used as emulsifier, dispersant, solubilizer, wetter, penetration enhancer, protective colloid, or adjuvant. Examples of surfactants are listed in McCutcheon's, Vol.1 : Emulsifiers & Detergents, McCutcheon's Directories, Glen Rock, USA, 2008 (International Ed. or North American Ed.).
Suitable anionic surfactants are alkali, alkaline earth or ammonium salts of sulfonates, sulfates, phosphates, carboxylates, and mixtures thereof. Examples of sulfonates are alkylaryl sulfonates, diphenyl sulfonates, alpha-olefin sulfonates, lignin sulfonates, sulfonates of fatty acids and oils, sulfonates of ethoxylated alkylphenols, sulfonates of alkoxylated arylphenols, sulfonates of condensed naphthalenes, sulfonates of dodecyl- and tridecylbenzenes, sulfonates of naphthalenes and alkyl naphthalenes, sulfosuccinates or sulfosuccinamates. Examples of sulfates are sulfates of fatty acids and oils, of ethoxylated alkylphenols, of alcohols, of ethoxylated alcohols, or of fatty acid esters. Examples of phosphates are phosphate esters. Examples of carboxylates are alkyl carboxylates, and carboxylated alcohol or alkylphenol ethoxylates.
Suitable nonionic surfactants are alkoxylates, N-substituted fatty acid amides, amine oxides, esters, sugar-based surfactants, polymeric surfactants, and mixtures thereof. Examples of alkoxylates are compounds such as alcohols, alkylphenols, amines, amides, arylphenols, fatty acids or fatty acid esters which have been alkoxylated with 1 to 50 equivalents. Ethylene oxide and/or propylene oxide may be employed for the alkoxylation, preferably ethylene oxide.
Examples of N-substituted fatty acid amides are fatty acid glucamides or fatty acid
alkanolamides. Examples of esters are fatty acid esters, glycerol esters or monoglycerides. Examples of sugar-based surfactants are sorbitans, ethoxylated sorbitans, sucrose and glucose esters or alkylpolyglucosides. Examples of polymeric surfactants are home- or copolymers of vinyl pyrrolidone, vinyl alcohols, or vinyl acetate.
Suitable cationic surfactants are quaternary surfactants, for example quaternary ammonium compounds with one or two hydrophobic groups, or salts of long-chain primary amines. Suitable amphoteric surfactants are alkylbetains and imidazolines. Suitable block polymers are block polymers of the A-B or A-B-A type comprising blocks of polyethylene oxide and polypropylene oxide, or of the A-B-C type comprising alkanol, polyethylene oxide and polypropylene oxide. Suitable polyelectrolytes are polyacids or polybases. Examples of polyacids are alkali salts of polyacrylic acid or polyacid comb polymers. Examples of polybases are polyvinyl amines or polyethylene amines.
Suitable adjuvants are compounds, which have a negligible or even no pesticidal activity themselves, and which improve the biological performance of the compound I on the target. Examples are surfactants, mineral or vegetable oils, and other auxiliaries. Further examples are listed by Knowles, Adjuvants and additives, Agrow Reports DS256, T&F Informa UK, 2006, chapter 5.
Suitable thickeners are polysaccharides (e. g. xanthan gum, carboxymethyl cellulose), inorganic clays (organically modified or unmodified), polycarboxylates, and silicates.
Suitable bactericides are bronopol and isothiazolinone derivatives such as alkylisothiazolinones and benzisothiazolinones.
Suitable anti-freezing agents are ethylene glycol, propylene glycol, urea and glycerin.
Suitable anti-foaming agents are silicones, long chain alcohols, and salts of fatty acids.
Suitable colorants (e. g. in red, blue, or green) are pigments of low water solubility and water- soluble dyes. Examples are inorganic colorants (e. g. iron oxide, titan oxide, iron
hexacyanoferrate) and organic colorants (e. g. alizarin-, azo- and phthalocyanine colorants). Suitable tackifiers or binders are polyvinyl pyrrolidones, polyvinyl acetates, polyvinyl alcohols, polyacrylates, biological or synthetic waxes, and cellulose ethers.
Examples for composition types and their preparation are:
i) Water-soluble concentrates (SL, LS)
10-60 wt% of a compound I and 5-15 wt% wetting agent (e. g. alcohol alkoxylates) are dissolved in water and/or in a water-soluble solvent (e. g. alcohols) ad 100 wt%. The active substance dissolves upon dilution with water.
ii) Dispersible concentrates (DC)
5-25 wt% of a compound I and 1 -10 wt% dispersant (e. g. polyvinyl pyrrolidone) are dissolved in organic solvent (e. g. cyclohexanone) ad 100 wt%. Dilution with water gives a dispersion.
iii) Emulsifiable concentrates (EC)
15-70 wt% of a compound I and 5-10 wt% emulsifiers (e. g. calcium dodecylbenzenesulfonate and castor oil ethoxylate) are dissolved in water-insoluble organic solvent (e. g. aromatic hydrocarbon) ad 100 wt%. Dilution with water gives an emulsion.
iv) Emulsions (EW, EO, ES)
5-40 wt% of a compound I and 1 -10 wt% emulsifiers (e. g. calcium dodecylbenzenesulfonate and castor oil ethoxylate) are dissolved in 20-40 wt% water-insoluble organic solvent (e. g. aromatic hydrocarbon). This mixture is introduced into water ad 100 wt% by means of an emulsifying machine and made into a homogeneous emulsion. Dilution with water gives an emulsion.
v) Suspensions (SC, OD, FS)
In an agitated ball mill, 20-60 wt% of a compound I are comminuted with addition of 2-10 wt% dispersants and wetting agents (e. g. sodium lignosulfonate and alcohol ethoxylate), 0.1 -2 wt% thickener (e. g. xanthan gum) and water ad 100 wt% to give a fine active substance suspension. Dilution with water gives a stable suspension of the active substance. For FS type composition up to 40 wt% binder (e. g. polyvinyl alcohol) is added.
vi) Water-dispersible granules and water-soluble granules (WG, SG)
50-80 wt% of a compound I are ground finely with addition of dispersants and wetting agents (e. g. sodium lignosulfonate and alcohol ethoxylate) ad 100 wt% and prepared as water-dispersible or water-soluble granules by means of technical appliances (e. g. extrusion, spray tower, fluidized bed). Dilution with water gives a stable dispersion or solution of the active substance. vii) Water-dispersible powders and water-soluble powders (WP, SP, WS)
50-80 wt% of a compound I are ground in a rotor-stator mill with addition of 1 -5 wt% dispersants (e. g. sodium lignosulfonate), 1 -3 wt% wetting agents (e. g. alcohol ethoxylate) and solid carrier (e. g. silica gel) ad 100 wt%. Dilution with water gives a stable dispersion or solution of the active substance.
viii) Gel (GW, GF)
In an agitated ball mill, 5-25 wt% of a compound I are comminuted with addition of 3-10 wt% dispersants (e. g. sodium lignosulfonate), 1 -5 wt% thickener (e. g. carboxymethyl cellulose) and water ad 100 wt% to give a fine suspension of the active substance. Dilution with water gives a stable suspension of the active substance.
ix) Microemulsion (ME)
5-20 wt% of a compound I are added to 5-30 wt% organic solvent blend (e. g. fatty acid dimethyl amide and cyclohexanone), 10-25 wt% surfactant blend (e. g. alcohol ethoxylate and arylphenol ethoxylate), and water ad 100 %. This mixture is stirred for 1 h to produce spontaneously a thermodynamically stable microemulsion.
x) Microcapsules (CS)
An oil phase comprising 5-50 wt% of a compound I, 0-40 wt% water insoluble organic solvent (e. g. aromatic hydrocarbon), 2-15 wt% acrylic monomers (e. g. methylmethacrylate, methacrylic acid and a di- or triacrylate) are dispersed into an aqueous solution of a protective colloid (e. g. polyvinyl alcohol). Radical polymerization results in the formation of poly(meth)acrylate microcapsules. Alternatively, an oil phase comprising 5-50 wt% of a compound I according to the invention, 0-40 wt% water insoluble organic solvent (e. g. aromatic hydrocarbon), and an isocyanate monomer (e. g. diphenylmethene-4,4'-diisocyanatae) are dispersed into an aqueous solution of a protective colloid (e. g. polyvinyl alcohol). The addition of a polyamine (e. g.
hexamethylenediamine) results in the formation of polyurea microcapsules. The monomers amount to 1 -10 wt%. The wt% relate to the total CS composition.
xi) Dustable powders (DP, DS)
1 -10 wt% of a compound I are ground finely and mixed intimately with solid carrier (e. g. finely divided kaolin) ad 100 wt%.
xii) Granules (GR, FG)
0.5-30 wt% of a compound I is ground finely and associated with solid carrier (e. g. silicate) ad 100 wt%. Granulation is achieved by extrusion, spray-drying or fluidized bed.
xiii) Ultra-low volume liquids (UL)
1 -50 wt% of a compound I are dissolved in organic solvent (e. g. aromatic hydrocarbon) ad 100 wt%.
The compositions types i) to xiii) may optionally comprise further auxiliaries, such as 0.1 -1 wt% bactericides, 5-15 wt% anti-freezing agents, 0.1 -1 wt% anti-foaming agents, and 0.1 -1 wt% colorants.
The agrochemical compositions generally comprise between 0.01 and 95%, preferably between 0.1 and 90%, more preferably between 1 and 70%, and in particular between 10 and 60%, by weight of active substance. The active substances are employed in a purity of from 90% to 100%, preferably from 95% to 100% (according to NMR spectrum).
For the purposes of treatment of plant propagation materials, particularly seeds, solutions for seed treatment (LS), Suspoemulsions (SE), flowable concentrates (FS), powders for dry treatment (DS), water-dispersible powders for slurry treatment (WS), water-soluble powders (SS), emulsions (ES), emulsifiable concentrates (EC), and gels (GF) are usually employed. The compositions in question give, after two-to-tenfold dilution, active substance concentrations of from 0.01 to 60% by weight, preferably from 0.1 to 40%, in the ready-to-use preparations.
Application can be carried out before or during sowing. Methods for applying compound I and compositions thereof, respectively, onto plant propagation material, especially seeds, include dressing, coating, pelleting, dusting, and soaking as well as in-furrow application methods. Preferably, compound I or the compositions thereof, respectively, are applied on to the plant propagation material by a method such that germination is not induced, e. g. by seed dressing, pelleting, coating and dusting.
When employed in plant protection, the amounts of active substances applied are, depending on the kind of effect desired, from 0.001 to 2 kg per ha, preferably from 0.005 to 2 kg per ha, more preferably from 0.05 to 0.9 kg per ha, and in particular from 0.1 to 0.75 kg per ha.
In treatment of plant propagation materials such as seeds, e. g. by dusting, coating or drenching seed, amounts of active substance of from 0.1 to 1000 g, preferably from 1 to 1000 g, more preferably from 1 to 100 g and most preferably from 5 to 100 g, per 100 kilogram of plant propagation material (preferably seeds) are generally required.
When used in the protection of materials or stored products, the amount of active substance applied depends on the kind of application area and on the desired effect. Amounts customarily applied in the protection of materials are 0.001 g to 2 kg, preferably 0.005 g to 1 kg, of active substance per cubic meter of treated material.
Various types of oils, wetters, adjuvants, fertilizer, or micronutrients, and further pesticides (e. g. herbicides, insecticides, fungicides, growth regulators, safeners, biopesticides) may be added to the active substances or the compositions comprising them as premix or, if appropriate not until immediately prior to use (tank mix). These agents can be admixed with the compositions according to the invention in a weight ratio of 1 :100 to 100:1 , preferably 1 :10 to 10:1 .
A pesticide is generally a chemical or biological agent (such as pestidal active ingredient, compound, composition, virus, bacterium, antimicrobial or disinfectant) that through its effect deters, incapacitates, kills or otherwise discourages pests. Target pests can include insects, plant pathogens, weeds, mollusks, birds, mammals, fish, nematodes (roundworms), and microbes that destroy property, cause nuisance, spread disease or are vectors for disease. The term "pesticide" includes also plant growth regulators that alter the expected growth, flowering, or reproduction rate of plants; defoliants that cause leaves or other foliage to drop from a plant, usually to facilitate harvest; desiccants that promote drying of living tissues, such as unwanted plant tops; plant activators that activate plant physiology for defense of against certain pests; safeners that reduce unwanted herbicidal action of pesticides on crop plants; and plant growth promoters that affect plant physiology e.g. to increase plant growth, biomass, yield or any other quality parameter of the harvestable goods of a crop plant.
The user applies the composition according to the invention usually from a predosage device, a knapsack sprayer, a spray tank, a spray plane, or an irrigation system. Usually, the
agrochemical composition is made up with water, buffer, and/or further auxiliaries to the desired application concentration and the ready-to-use spray liquor or the agrochemical composition according to the invention is thus obtained. Usually, 20 to 2000 liters, preferably 50 to 400 liters, of the ready-to-use spray liquor are applied per hectare of agricultural useful area.
According to one embodiment, individual components of the composition according to the invention such as parts of a kit or parts of a binary or ternary mixture may be mixed by the user himself in a spray tank or any other kind of vessel used for applications (e. g. seed treater drums, seed pelleting machinery, knapsack sprayer) and further auxiliaries may be added, if appropriate.
Consequently, one embodiment of the invention is a kit for preparing a usable pesticidal composition, the kit comprising a) a composition comprising component 1 ) as defined herein and at least one auxiliary; and b) a composition comprising component 2) as defined herein and at least one auxiliary; and optionally c) a composition comprising at least one auxiliary and optionally a further active component 3) as defined herein.
Mixing the compounds I or the compositions comprising them in the use form as fungicides with other fungicides results in many cases in an expansion of the fungicidal spectrum of activity being obtained or in a prevention of fungicide resistance development. Furthermore, in many cases, synergistic effects are obtained.
The following list of pesticides II (e. g. pesticidally-active substances and biopesticides), in conjunction with which the compounds I can be used, is intended to illustrate the possible combinations but does not limit them:
A) Respiration inhibitors
Inhibitors of complex III at Q0 site: azoxystrobin (A.1 .1 ), coumethoxystrobin (A.1 .2), coumoxystrobin (A.1.3), dimoxystrobin (A.1 .4), enestroburin (A.1 .5), fenaminstrobin (A.1.6), fenoxystrobin/flufenoxystrobin (A.1 .7), fluoxastrobin (A.1 .8), kresoxim-methyl (A.1.9), mandestrobin (A.1 .10), metominostrobin (A.1 .1 1 ), orysastrobin (A.1 .12), picoxystrobin
(A.1.13), pyraclostrobin (A.1 .14), pyrametostrobin (A.1 .15), pyraoxystrobin (A.1 .16), trifloxy- strobin (A.1 .17), 2-(2-(3-(2,6-dichlorophenyl)-1 -methyl-allylideneaminooxymethyl)-phenyl)- 2-methoxyimino-Nmethyl-acetamide (A.1.18), pyribencarb (A.1 .19), triclopyricarb/chloro- dincarb (A.1.20), famoxadone (A.1.21 ), fenamidone (A.1.21 a), methyl-N[2-[(1 ,4-dimethyl- 5-phenyl-pyrazol-3-yl)oxylmethyl]phenyl]-Nmethoxy-carbamate (A.1.22), metyltetrapole (A.1.25), (Z;2 )-5-[1 -(2,4-dichlorophenyl)pyrazol-3-yl]-oxy-2-methoxyimino-/V,3-dimethyl- pent-3-enamide (A.1 .34), (Z,2 )-5-[1 -(4-chlorophenyl)pyrazol-3-yl]oxy-2-methoxyimino-/V,3- dimethyl-pent-3-enamide (A.1.35), pyriminostrobin (A.1.36), bifujunzhi (A.1 .37), 2-(ortho- ((2,5-dimethylphenyl-oxymethylen)phenyl)-3-methoxy-acrylic acid methylester (A.1.38); - inhibitors of complex III at Q, site: cyazofamid (A.2.1 ), amisulbrom (A.2.2),
[(65,7/?,8 t -8-benzyl-3-[(3-hydroxy-4-methoxy-pyridine-2-carbonyl)amino]-6-methyl-4,9-di- oxo-1 ,5-dioxonan-7-yl] 2-methylpropanoate (A.2.3), fenpicoxamid (A.2.4), florylpicoxamid (A.2.5);
- inhibitors of complex II: benodanil (A.3.1 ), benzovindiflupyr (A.3.2), bixafen (A.3.3), boscalid (A.3.4), carboxin (A.3.5), fenfuram (A.3.6), fluopyram (A.3.7), flutolanil (A.3.8), fluxapyroxad (A.3.9), furametpyr (A.3.10), isofetamid (A.3.1 1 ), isopyrazam (A.3.12), mepronil (A.3.13), oxycarboxin (A.3.14), penflufen (A.3.15), penthiopyrad (A.3.16), pydiflumetofen (A.3.17), pyraziflumid (A.3.18), sedaxane (A.3.19), tecloftalam (A.3.20), thifluzamide (A.3.21 ), inpyrfluxam (A.3.22), pyrapropoyne (A.3.23), fluindapyr (A.3.28), N-[2-[2-chloro-4- (trifluoro-'methy phenoxylpheny -S-idifluoromethy -S-fluoro-l -methyl-pyrazole^- carboxamide (A.3.29), methyl ( )-2-[2-[(5-cyano-2-methyl-phenoxy)methyl]phenyl]-3- methoxy-prop-2-enoate (A.3.30), isoflucypram (A.3.31 ), 2-(difluoromethyl)-AA(1 ,1 ,3-trimethyl- indan-4-yl)pyridine-3-carboxamide (A.3.32), 2-(difluoromethyl)-/V-[(3 )-1 ,1 ,3-trimethylindan- 4-yl]pyridine-3-carboxamide (A.3.33), 2-(difluoromethyl)-N-(3-ethyl-1,1-dimethyl-indan-4-yl)- pyridine-3-carboxamide (A.3.34), 2-(difluoromethyl)-N-[(3 )-3-ethyl-1,1-dimethyl-indan-4-yl]- pyridine-3-carboxamide (A.3.35), 2-(difluoromethyl)-/V-(1 ,1-dimethyl-3-propyl-indan-4-yl)py- ridine-3-carboxamide (A.3.36), 2-(difluoromethyl)-/V-[(3 )-1 ,1-dimethyl-3-propyl-indan-4-yl]- pyridine-3-carboxamide (A.3.37), 2-(difluoromethyl)-N-(3-isobutyl-1,1-dimethyl-indan-4-yl)- pyridine-3-carboxamide (A.3.38), 2-(difluoromethyl)-N-[(3 )-3-isobutyl-1,1-dimethyl-indan- 4-yl]pyridine-3-carboxamide (A.3.39);
- other respiration inhibitors: diflumetorim (A.4.1); nitrophenyl derivates: binapacryl (A.4.2), dinobuton (A.4.3), dinocap (A.4.4), fluazinam (A.4.5), meptyldinocap (A.4.6), ferimzone (A.4.7); organometal compounds: fentin salts, e. g. fentin-acetate (A.4.8), fentin chloride (A.4.9) or fentin hydroxide (A.4.10); ametoctradin (A.4.11); silthiofam (A.4.12);
B) Sterol biosynthesis inhibitors (SBI fungicides)
- C14 demethylase inhibitors: triazoles: azaconazole (B.1.1), bitertanol (B.1.2), bromu- conazole (B.1.3), cyproconazole (B.1.4), difenoconazole (B.1.5), diniconazole (B.1.6), diniconazole-M (B.1.7), epoxiconazole (B.1.8), fenbuconazole (B.1.9), fluquinconazole (B.1.10), flusilazole (B.1.11), flutriafol (B.1.12), hexaconazole (B.1.13), imibenconazole (B.1.14), ipconazole (B.1.15), metconazole (B.1.17), myclobutanil (B.1.18), oxpoconazole (B.1.19), paclobutrazole (B.1.20), penconazole (B.1.21), propiconazole (B.1.22), prothio- conazole (B.1.23), simeconazole (B.1.24), tebuconazole (B.1.25), tetraconazole (B.1.26), triadimefon (B.1.27), triadimenol (B.1.28), triticonazole (B.1.29), uniconazole (B.1.30), 2-(2,4-difluorophenyl)-1,1-difluoro-3-(tetrazol-1-yl)-1-[5-[4-(2,2,2-trifluoroethoxy)phenyl]- 2-pyridyl]propan-2-ol (B.1.31), 2-(2,4-difluorophenyl)-1 ,1-difluoro-3-(tetrazol-1-yl)- 1-[5-[4-(trifluoromethoxy)phenyl]-2-pyridyl]propan-2-ol (B.1.32), ipfentrifluconazole (B.1.37), mefentrifluconazole (B.1.38), 2-(chloromethyl)-2-methyl-5-(p-tolylmethyl)-1-(1 ,2,4-triazol- 1-ylmethyl)cyclopentanol (B.1.43); imidazoles: imazalil (B.1.44), pefurazoate (B.1.45), prochloraz (B.1.46), triflumizol (B.1.47); pyrimidines, pyridines, piperazines: fenarimol (B.1.49), pyrifenox (B.1.50), triforine (B.1.51), [3-(4-chloro-2-fluoro-phenyl)-5-(2,4-difluoro- phenyl)isoxazol-4-yl]-(3-pyridyl)methanol (B.1.52);
- Delta14-reductase inhibitors: aldimorph (B.2.1), dodemorph (B.2.2), dodemorph-acetate (B.2.3), fenpropimorph (B.2.4), tridemorph (B.2.5), fenpropidin (B.2.6), piperalin (B.2.7), spiroxamine (B.2.8);
- Inhibitors of 3-keto reductase: fenhexamid (B.3.1 );
- Other Sterol biosynthesis inhibitors: chlorphenomizole (B.4.1);
C) Nucleic acid synthesis inhibitors
- phenylamides or acyl amino acid fungicides: benalaxyl (C.1.1), benalaxyl-M (C.1.2), kiralaxyl (C.1.3), metalaxyl (C.1.4), metalaxyl-M (C.1.5), ofurace (C.1.6), oxadixyl (C.1.7);
- other nucleic acid synthesis inhibitors: hymexazole (C.2.1), octhilinone (C.2.2), oxolinic acid (C.2.3), bupirimate (C.2.4), 5-fluorocytosine (C.2.5), 5-fluoro-2-(p-tolylmethoxy)pyrimidin- 4-amine (C.2.6), 5-fluoro-2-(4-fluorophenylmethoxy)pyrimidin-4-amine (C.2.7), 5-fluoro- 2-(4-chlorophenylmethoxy)pyrimidin-4 amine (C.2.8);
D) Inhibitors of cell division and cytoskeleton
- tubulin inhibitors: benomyl (D.1.1), carbendazim (D.1.2), fuberidazole (D1.3), thiabendazole (D.1.4), thiophanate-methyl (D.1.5), pyridachlometyl (D.1.6), /V-ethyl-2-[(3-ethynyl-8-methyl- 6-quinolyl)oxy]butanamide (D.1 .8), Nethyl-2-[(3-ethynyl-8-methyl-6-quinolyl)oxy]-2- methylsulfanyl-acetamide (D.1.9), 2-[(3-ethynyl-8-methyl-6-quinolyl)oxy]-/V-(2- fluoroethyl)butanamide (D.1 .10), 2-[(3-ethynyl-8-methyl-6-quinolyl)oxy]-N(2-fluoroethyl)-2- methoxy-acetamide (D.1 .1 1 ), 2-[(3-ethynyl-8-methyl-6-quinolyl)oxy]-Npropyl-butanamide (D.1 .12), 2-[(3-ethynyl-8-methyl-6-quinolyl)oxy]-2-methoxy-Npropyl-acetamide (D.1.13), 2- [(3-ethynyl-8-methyl-6-quinolyl)oxy]-2-methylsulfanyl-N-propyl-acetamide (D.1.14),
2-[(3-ethynyl-8-methyl-6-quinolyl)oxy]-N(2-fluoroethyl)-2-methylsulfanyl-acetamid (D.1.15), 4-(2-bromo-4-fluoro-phenyl)-N(2-chloro-6-fluoro-phenyl)-2,5-dimethyl-pyrazol-3-amine (D.1 .16);
- other cell division inhibitors: diethofencarb (D.2.1 ), ethaboxam (D.2.2), pencycuron (D.2.3), fluopicolide (D.2.4), zoxamide (D.2.5), metrafenone (D.2.6), pyriofenone (D.2.7);
E) Inhibitors of amino acid and protein synthesis
- methionine synthesis inhibitors: cyprodinil (E.1 .1 ), mepanipyrim (E.1 .2), pyrimethanil (E.1.3);
- protein synthesis inhibitors: blasticidin-S (E.2.1 ), kasugamycin (E.2.2), kasugamycin hydro- chloride-hydrate (E.2.3), mildiomycin (E.2.4), streptomycin (E.2.5), oxytetracyclin (E.2.6);
F) Signal transduction inhibitors
- MAP / histidine kinase inhibitors: fluoroimid (F.1 .1 ), iprodione (F.1 .2), procymidone (F.1 .3), vinclozolin (F.1.4), fludioxonil (F.1 .5);
- G protein inhibitors: quinoxyfen (F.2.1 );
G) Lipid and membrane synthesis inhibitors
- Phospholipid biosynthesis inhibitors: edifenphos (G.1.1 ), iprobenfos (G.1 .2), pyrazophos (G.1.3), isoprothiolane (G.1.4);
- lipid peroxidation: dicloran (G.2.1 ), quintozene (G.2.2), tecnazene (G.2.3), tolclofos-methyl (G.2.4), biphenyl (G.2.5), chloroneb (G.2.6), etridiazole (G.2.7);
- phospholipid biosynthesis and cell wall deposition: dimethomorph (G.3.1 ), flumorph (G.3.2), mandipropamid (G.3.3), pyrimorph (G.3.4), benthiavalicarb (G.3.5), iprovalicarb (G.3.6), valifenalate (G.3.7);
- compounds affecting cell membrane permeability and fatty acides: propamocarb (G.4.1 );
- inhibitors of oxysterol binding protein: oxathiapiprolin (G.5.1 ), 2-{3-[2-(1 -{[3,5-bis(difluoro- methyl-1 A pyrazol-l -yl]acetyl}piperidin-4-yl)-1 ,3-thiazol-4-yl]-4,5-dihydro-1 ,2-oxazol-5-yl}- phenyl methanesulfonate (G.5.2), 2-{3-[2-(1 -{[3,5-bis(difluoromethyl)-1 pyrazol-1 -yl]- acetyl}piperidin-4-yl) 1 ,3-thiazol-4-yl]-4,5-dihydro-1 ,2-oxazol-5-yl}-3-chlorophenyl methanesulfonate (G.5.3), 4-[1 -[2-[3-(difluoromethyl)-5-methyl-pyrazol-1 -yl]acetyl]-4-piperidyl]-Nte- tralin-1 -yl-pyridine-2-carboxamide (G.5.4), 4-[1 -[2-[3,5-bis(difluoromethyl)pyrazol-1 -yl]acetyl]- 4-piperidyl]-Ntetralin-1 -yl-pyridine-2-carboxamide (G.5.5), 4-[1 -[2-[3-(difluoromethyl)-5-(tri- fluoromethyl)pyrazol-1 -yl]acetyl]-4-piperidyl]-N-tetralin-1 -yl-pyridine-2-carboxamide (G.5.6), 4-[1 -[2-[5-cyclopropyl-3-(difluoromethyl)pyrazol-1 -yl]acetyl]-4-piperidyl]-Ntetralin-1 -yl-pyri- dine-2-carboxamide (G.5.7), 4-[1 -[2-[5-methyl-3-(trifluoromethyl)pyrazol-1 -yl]acetyl]-4-piperi- dyl]-Ntetralin-1 -yl-pyridine-2-carboxamide (G.5.8), 4-[1 -[2-[5-(difluoromethyl)-3-(trifluoro- methyl)pyrazol-1 -yl]acetyl]-4-piperidyl]-Ntetralin-1-yl-pyridine-2-carboxamide (G.5.9),
4-[1 -[2-[3,5-bis(trifluoromethyl)pyrazol-1 -yl]acetyl]-4-piperidyl]-N-tetralin-1 -yl-pyridine-2-car- boxamide (G.5.10), (4-[1 -[2-[5-cyclopropyl-3-(trifluoromethyl)pyrazol-1 -yl]acetyl]-4-piperidyl]- Ntetralin-1 -yl-pyridine-2-carboxamide (G.5.1 1 ); H) Inhibitors with Multi Site Action
- inorganic active substances: Bordeaux mixture (H.1 .1 ), copper (H .1 .2), copper acetate
(H.1 .3), copper hydroxide (H.1 .4), copper oxychloride (H.1 .5), basic copper sulfate (H .1 .6), sulfur (H.1 .7);
- thio- and dithiocarbamates: ferbam (H.2.1 ), mancozeb (H.2.2), maneb (H .2.3), metam
(H.2.4), metiram (H.2.5), propineb (H.2.6), thiram (H.2.7), zineb (H.2.8), ziram (H.2.9);
- organochlorine compounds: anilazine (H.3.1 ), chlorothalonil (H .3.2), captafol (H.3.3), captan (H.3.4), folpet (H.3.5), dichlofluanid (H.3.6), dichlorophen (H.3.7), hexachlorobenzene (H.3.8), pentachlorphenole (H.3.9) and its salts, phthalide (H.3.10), tolylfluanid (H.3.1 1 ); - guanidines and others: guanidine (H.4.1 ), dodine (H.4.2), dodine free base (H .4.3),
guazatine (H.4.4), guazatine-acetate (H.4.5), iminoctadine (H.4.6), iminoctadine-triacetate (H.4.7), iminoctadine-tris(albesilate) (H.4.8), dithianon (H.4.9), 2,6-dimethyl-1 ,5 ^[1 ,4]di- thiino[2,3-c:5,6-c']dipyrrole-1 , 3,5,7(2 A ,6 )-tetraone (H .4.10);
I) Cell wall synthesis inhibitors
- inhibitors of glucan synthesis: validamycin (1.1 .1 ), polyoxin B (1.1 .2);
- melanin synthesis inhibitors: pyroquilon (1.2.1 ), tricyclazole (I .2.2), carpropamid (1.2.3),
dicyclomet (1.2.4), fenoxanil (1.2.5);
J) Plant defence inducers
- acibenzolar-S-methyl (J.1 .1 ), probenazole (J.1 .2), isotianil (J.1 .3), tiadinil (J.1 .4), prohexa- dione-calcium (J.1 .5); phosphonates: fosetyl (J.1 .6), fosetyl-aluminum (J.1 .7), phosphorous acid and its salts (J.1 .8), calcium phosphonate (J.1 .1 1 ), potassium phosphonate (J.1 .12), potassium or sodium bicarbonate (J.1 .9), 4-cyclopropyl-N(2,4-dimethoxyphenyl)thiadiazole-
5- carboxamide (J.1 .10);
K) Unknown mode of action
- bronopol (K.1 .1 ), chinomethionat (K.1 .2), cyflufenamid (K.1 .3), cymoxanil (K.1 .4), dazomet (K.1 .5), debacarb (K.1 .6), diclocymet (K.1 .7), diclomezine (K.1 .8), difenzoquat (K.1 .9), di- fenzoquat-methylsulfate (K.1 .10), diphenylamin (K.1 .1 1 ), fenitropan (K.1 .12), fenpyrazamine (K.1 .13), flumetover (K.1 .14), flusulfamide (K.1 .15), flutianil (K.1 .16), harpin (K.1 .17), metha- sulfocarb (K.1 .18), nitrapyrin (K.1 .19), nitrothal-isopropyl (K.1 .20), tolprocarb (K.1 .21 ), oxin- copper (K.1 .22), proquinazid (K.1 .23), tebufloquin (K.1 .24), tecloftalam (K.1 .25), triazoxide (K.1 .26), /V-(4-(4-chloro-3-trifluoromethyl-phenoxy)-2,5-dimethyl-phenyl)-Nethyl-N-methyl formamidine (K.1 .27), /Vi(4-(4-fluoro-3-trifluoromethyl-phenoxy)-2,5-dimethyl-phenyl)-N-eth- yl-N-methyl formamidine (K.1 .28), /V-[4-[[3-[(4-chlorophenyl)methyl]-1 ,2,4-thiadiazol-5-yl]- oxy]-2,5-dimethyl-phenyl]-Nethyl-N-methyl-formamidine (K.1 .29), /V^S-bromo-e-indan^-yl- oxy-2-methyl-3-pyridyl)-Nethyl-N-methyl-formamidine (K.1 .30), /V-[5-bromo-6-[1 -(3,5-diflu- orophenyl)ethoxy]-2-methyl-3-pyridyl]-N-ethyl-N-methyl-formamidine (K.1 .31 ), ^[S-bromo-
6- (4-isopropylcyclohexoxy)-2-methyl-3-pyridyl]-Nethyl-N-methyl-formamidine (K.1 .32), /V-[5-bromo-2-methyl-6-(1 -phenylethoxy)-3-pyridyl]-Nethyl-N-methyl-formamidine (K.1 .33), /Vi(2-methyl-5-trifluoromethyl-4-(3-trimethylsilanyl-propoxy)-phenyl)-N-ethyl-N-methyl forma- midine (K.1 .34), /Vi(5-difluoromethyl-2-methyl-4-(3-trimethylsilanyl-propoxy)-phenyl)-N-ethyl- /V-methyl formamidine (K.1 .35), 2-(4-chloro-phenyl)-N[4-(3,4-dimethoxy-phenyl)-isoxazol- 5-yl]-2-prop-2-ynyloxy-acetamide (K.1 .36), 3-[5-(4-chloro-phenyl)-2,3-dimethyl-isoxazolidin- 3-yl]-pyridine (pyrisoxazole) (K.1 .37), 3-[5-(4-methylphenyl)-2,3-dimethyl-isoxazolidin-3 yl]- pyridine (K.1 .38), 5-chloro-1 -(4,6-dimethoxy-pyrimidin-2-yl)-2-methyl-1 A benzoimidazole (K.1 .39), ethyl (2)-3-amino-2-cyano-3-phenyl-prop-2-enoate (K.1 .40), picarbutrazox (K.1 .41 ), pentyl N[6-[[(2)-[(1 -methyltetrazol-5-yl)-phenyl-methylene]amino]oxymethyl]-2-pyridyl]carba- mate (K.1 .42), but-3-ynyl N-[6-[[(2)-[(1 -methyltetrazol-5-yl)-phenyl-methylene]amino]oxy- methyl]-2-pyridyl]carbamate (K.1 .43), ipflufenoquin (K.1 .44), quinofumelin (K.1 .47), 2-(6- benzyl-2-pyridyl)quinazoline (K.1 .50), 2-[6-(3-fluoro-4-methoxy-phenyl)-5-methyl-2- pyridyl]quinazoline (K.1 .51 ), dichlobentiazox (K.1 .52), /Vi(2,5-dimethyl-4-phenoxy-phenyl)-N- ethyl-N-methyl-formamidine (K.1 .53), pyrifenamine (K.1 .54);
M) Growth regulators
abscisic acid (M.1 .1 ), amidochlor, ancymidol, 6-benzylaminopurine, brassinolide, butralin, chlormequat, chlormequat chloride, choline chloride, cyclanilide, daminozide, dikegulac, dimethipin, 2,6-dimethylpuridine, ethephon, flumetralin, flurprimidol, fluthiacet, forchlorfenuron, gibberellic acid, inabenfide, indole-3-acetic acid , maleic hydrazide, mefluidide, mepiquat, mepiquat chloride, naphthaleneacetic acid, /V-6-benzyl adenine, paclobutrazol, prohexadione, prohexadione-calcium, prohydrojasmon, thidiazuron, triapenthenol, tributyl phosphorotrithioate, 2,3,5-tri-iodobenzoic acid , trinexapac-ethyl, uniconazole;
N) Herbicides from classes N.1 to N.15
N.1 Lipid biosynthesis inhibitors: alloxydim, alloxydim-sodium, butroxydim, clethodim,
clodinafop, clodinafop-propargyl, cycloxydim, cyhalofop, cyhalofop-butyl, diclofop, diclofop- methyl, fenoxaprop, fenoxaprop-ethyl, fenoxaprop-P, fenoxaprop-P-ethyl, fluazifop, fluazifop- butyl, fluazifop-P, fluazifop-P-butyl, haloxyfop, haloxyfop-methyl, haloxyfop-P, haloxyfop-P- methyl, metamifop, pinoxaden, profoxydim, propaquizafop, quizalofop, quizalofop-ethyl, quizalofop-tefuryl, quizalofop-P, quizalofop-P-ethyl, quizalofop-P-tefuryl, sethoxydim, tepraloxydim, tralkoxydim, 4-(4'-chloro-4-cyclo-,propyl-2'-fluoro[1 ,1 '-biphenyl]-3-yl)-5-hy- droxy-2,2,6,6-tetramethyl-2 pyran-3(6 75-one (1312337-72-6); 4-(2',4'-dichloro-4-cyclo- propyltU '-bipheny -S-y -S-hydroxy^^^^-tetramethyl^Aji-pyran-SieA j-one (1312337-45- 3); 4-(4'-chloro-4-ethyl-2'-fluoro[1 ,1 '-biphenyl]-3-yl)-5-hydroxy-2,2,6,6-tetramethyl-2 7i-pyran- 3(6^-one (1033757-93-5); 4-(2',4'-dichloro-4-ethyl[1 , 1 '-biphenyl]-3-yl)-2,2,6,6-tetramethyl- 2A -pyran-3,5(4A ,6A )-dione (1312340-84-3); 5-(acetyloxy)-4-(4'-chloro-4-cyclopropyl-2'- fluoro[1 ,r-biphenyl]-3-yl)-3,6-dihydro-2,2,6,6-tetramethyl-2A -pyran-3-one (1312337-48-6);
5-(acetyloxy)-4-(2',4'-dichloro-4-cyclopropyl- [1 , 1 '-biphenyl]-3-yl)-3,6-dihydro-2,2,6,6-tetra- methyl-2A pyran-3-one; 5-(acetyloxy)-4-(4'-chloro-4-ethyl-2'-fluoro[1 ,1 '-biphenyl]-3-yl)- 3,6-dihydro-2,2,6,6-tetramethyl-2 pyran-3-one (1312340-82-1 ); 5-(acetyloxy)-4-(2',4'-di- chloro-4-ethyl[1 ,1 '-biphenyl]-3-yl)-3,6-dihydro-2,2,6,6-tetramethyl-2 7i-pyran-3-one (1033760- 55-2); 4-(4'-chloro-4-cyclopropyl-2'-fluoro[1 ,1 '-biphenyl]-3-yl)-5,6-dihydro-2,2,6,6-tetramethyl- 5-0X0-2 A pyran-3-yl carbonic acid methyl ester (1312337-51 -1 ); 4-(2',4'-dichloro -4-cyclo- propyl- [1 '-biphenylj-S-y -S^-dihydro^^^^-tetramethyl-S-oxo^A pyran-S-yl carbonic acid methyl ester; 4-(4'-chloro-4-ethyl-2'-fluoro[1 ,1 '-biphenyl]-3-yl)-5,6-dihydro-2,2,6,6-tetra- methyl-5-oxo-2 pyran-3-yl carbonic acid methyl ester (1312340-83-2); 4-(2',4'-dichloro- 4-ethyh[1 , 1 '-biphenyl]-3-yl)-5,6-dihydro-2,2,6,6-tetramethyl-5-oxo-2 7i-pyran-3-yl carbonic acid methyl ester (1033760-58-5); benfuresate, butylate, cycloate, dalapon, dimepiperate, EPTC, esprocarb, ethofumesate, flupropanate, molinate, orbencarb, pebulate, prosulfocarb, TCA, thiobencarb, tiocarbazil, triallate, vernolate; N.2 ALS inhibitors: amidosulfuron, azimsulfuron, bensulfuron, bensulfuron-methyl, chlorimuron, chlorimuron-ethyl, chlorsulfuron, cinosulfuron, cyclosulfamuron, ethametsulfuron, ethamet- sulfuron-methyl, ethoxysulfuron, flazasulfuron, flucetosulfuron, flupyrsulfuron, flupyrsulfuron- methyl-sodium, foramsulfuron, halosulfuron, halosulfuron-methyl, imazosulfuron, iodosulfu- ron, iodosulfuron-methyl-sodium, iofensulfuron, iofensulfuron-sodium, mesosulfuron, meta- zosulfuron, metsulfuron, metsulfuron-methyl, nicosulfuron, orthosulfamuron, oxasulfuron, primisulfuron, primisulfuron-methyl, propyrisulfuron, prosulfuron, pyrazosulfuron, pyrazo- sulfuron-ethyl, rimsulfuron, sulfometuron, sulfometuron-methyl, sulfosulfuron, thifensulfuron, thifensulfuron-methyl, triasulfuron, tribenuron, tribenuron-methyl, trifloxysulfuron, triflusul- furon, triflusulfuron-methyl, tritosulfuron, imazamethabenz, imazamethabenz-methyl, imaza- mox, imazapic, imazapyr, imazaquin, imazethapyr; cloransulam, cloransulam-methyl, diclo- sulam, flumetsulam, florasulam, metosulam, penoxsulam, pyrimisulfan, pyroxsulam; bispyri- bac, bispyribac-sodium, pyribenzoxim, pyriftalid, pyriminobac, pyriminobac-methyl, pyrithio- bac, pyrithiobac-sodium, 4-[[[2-[(4,6-dimethoxy-2-pyrimidinyl)oxy]phenyl]methyl]amino]- benzoic acid-1 -methyhethyl ester (420138-41 -6), 4-[[[2-[(4,6-dimethoxy-2-pyrimidinyl)oxy]- phenyl]-"methyl]amino]-benzoic acid propyl ester (420138-40-5), AA(4-bromophenyl)-
2- [(4,6-dimethoxy-2-pyrimidinyl)oxy]benzenemethanamine (420138-01 -8); flucarbazone, flucarbazone-sodium, propoxycarbazone, propoxycarbazone-sodium, thiencarbazone, thiencarbazone-methyl; triafamone;
N.3 Photosynthesis inhibitors: amicarbazone; chlorotriazine; ametryn, atrazine, chloridazone, cyanazine, desmetryn, dimethametryn,hexazinone, metribuzin, prometon, prometryn, pro- pazine, simazine, simetryn, terbumeton, terbuthylazin, terbutryn, trietazin; chlorobromuron, chlorotoluron, chloroxuron, dimefuron, diuron, fluometuron, isoproturon, isouron, linuron, metamitron, methabenzthiazuron, metobenzuron, metoxuron, monolinuron, neburon, sidu- ron, tebuthiuron, thiadiazuron, desmedipham, karbutilat, phenmedipham, phenmedipham- ethyl, bromofenoxim, bromoxynil and its salts and esters, ioxynil and its salts and esters, bromacil, lenacil, terbacil, bentazon, bentazon-sodium, pyridate, pyridafol, pentanochlor, propanil; diquat, diquat-dibromide, paraquat, paraquat-dichloride, paraquat-dimetilsulfate; N.4 protoporphyrinogen-IX oxidase inhibitors: acifluorfen, acifluorfen-sodium, azafenidin, ben- carbazone, benzfendizone, bifenox, butafenacil, carfentrazone, carfentrazone-ethyl, chlor- methoxyfen, cinidon-ethyl, fluazolate, flufenpyr, flufenpyr-ethyl, flumiclorac, flumiclorac-pen- tyl, flumioxazin, fluoroglycofen, fluoroglycofen-ethyl, fluthiacet, fluthiacet-methyl, fomesafen, halosafen, lactofen, oxadiargyl, oxadiazon, oxyfluorfen, pentoxazone, profluazol, pyraclonil, pyraflufen, pyraflufen-ethyl, saflufenacil, sulfentrazone, thidiazimin, tiafenacil, trifludimoxazin, ethyl [3-[2-chloro-4-fluoro-5-(1 -methyl-6-trifluoromethyl-2,4-dioxo-1 ,2,3,4-tetrahydropyrimi- din-3-yl)phenoxy]-2-pyridyloxy]acetate (353292-31-6), AAethyl-3-(2,6-dichloro-4-trifluoro- methylphenoxy)-5-methyl-1 A pyrazole-l -carboxamide (452098-92-9), /V-tetrahydrofurfuryl-
3- (2,6-dichloro-4-trifluoromethylphenoxy)-5-methyl-1 A pyrazole-l -carboxamide (915396-43- 9), AAethyl-3-(2-chloro-6-fluoro-4-trifluoromethyhphenoxy)-5-methyl-1 A pyrazole-l -carbox- amide (452099-05-7), N-tetrahydro-,furfuryl-3-(2-chloro-6-fluoro-4-trifluoro-,methylphenoxy)- 5-methyl-1 A pyrazole-1 -carboxamide (452100-03-7), 3-[7-fluoro-3-oxo-4-(prop-2-ynyl)- S^-dihydro^A benzotl ,4]oxazin-6-yl]-1 ,5-dimethyl-6-thioxo-[1 ,3,5]triazinan-2,4-dione (451484-50-7), 2-(2,2,7-trifluoro-3-oxo-4-prop-2-ynyl-3,4-dihydro-2 7i-benzo[1 ,4]oxazin-6-yl)- 4,5,6,7-tetrahydro-isoindole-1 ,3-dione (13001 18-96-0), 1 -methyl-6-trifluoro-"methyl- 3-(2,2,7-tri-fluoro-3-oxo-4-prop-2-ynyl-3,4-dihydro-2A7Lbenzo[1 ,4]oxazin-6-yl)-1 A pyrimidine- 2,4-dione (13041 13-05-0), methyl ( )-4-[2-chloro-5-[4-chloro-5-(difluoromethoxy)-1 methyl- pyrazol-3-yl]-4-fluoro-phenoxy]-3-methoxy-but-2-enoate (948893-00-3), 3-[7-chloro-5-fluoro- 2-(trifluoromethyl)-1 A benzimidazol^-y -l -methyl-6-(trifluoromethyl)-1 / pyrimidine-2,4-di- one (212754-02-4);
N.5 Bleacher herbicides: beflubutamid, diflufenican, fluridone, flurochloridone, flurtamone,
norflurazon, picolinafen, 4-(3-trifluoromethyhphenoxy)-2-(4-trifluoromethylphenyl)pyrimidine (180608-33-7); benzobicyclon, benzofenap, bicyclopyrone, clomazone, fenquintrione, isoxaflutole, mesotrione, pyrasulfotole, pyrazolynate, pyrazoxyfen, sulcotrione, tefuryltrione, tembotrione, tolpyralate, topramezone; aclonifen, amitrole, flumeturon;
N.6 EPSP synthase inhibitors: glyphosate, glyphosate-isopropylammonium, glyposate- potassium, glyphosate-trimesium (sulfosate);
N.7 Glutamine synthase inhibitors: bilanaphos (bialaphos), bilanaphos-sodium, glufosinate, glufosinate-P, glufosinate-ammonium;
N.8 DHP synthase inhibitors: asulam;
N.9 Mitosis inhibitors: benfluralin, butralin, dinitramine, ethalfluralin, fluchloralin, oryzalin, pen- dimethalin, prodiamine, trifluralin; amiprophos, amiprophos-methyl, butamiphos; chlorthal, chlorthal-dimethyl, dithiopyr, thiazopyr, propyzamide, tebutam; carbetamide, chlorpropham, flamprop, flamprop-isopropyl, flamprop-methyl, flamprop-M-isopropyl, flamprop-M-methyl, propham;
N.10 VLCFA inhibitors: acetochlor, alachlor, butachlor, dimethachlor, dimethenamid, dimethen- amid-P, metazachlor, metolachlor, metolachlor-S, pethoxamid, pretilachlor, propachlor, prop- isochlor, thenylchlor, flufenacet, mefenacet, diphenamid, naproanilide, napropamide, napro- pamide-M, fentrazamide, anilofos, cafenstrole, fenoxasulfone, ipfencarbazone, piperophos, pyroxasulfone, isoxazoline compounds of the formulae 11.1 , II.2, II.3, II.4, II.5, II.6, II.7, II.8 and II.9
Figure imgf000055_0001
II.3 II.4 II.5
Figure imgf000056_0001
Figure imgf000056_0002
N.1 1 Cellulose biosynthesis inhibitors: chlorthiamid, dichlobenil, flupoxam, indaziflam, isoxaben, triaziflam, 1 -cyclohexyl-5-pentafluorphenyloxy-14-[1 ,2,4,6]thiatriazin-3-ylamine (175899-01 -
1 );
N.12 Decoupler herbicides: dinoseb, dinoterb, DNOC and its salts;
N.13 Auxinic herbicides: 2,4-D and its salts and esters, clacyfos, 2,4-DB and its salts and
esters, aminocyclopyrachlor and its salts and esters, aminopyralid and its salts such as aminopyralid-dimethylammonium, aminopyralid-tris(2-hydroxypropyl)ammonium and its esters, benazolin, benazolin-ethyl, chloramben and its salts and esters, clomeprop, clopy- ralid and its salts and esters, dicamba and its salts and esters, dichlorprop and its salts and esters, dichlorprop-P and its salts and esters, fluroxypyr, fluroxypyr-butometyl, fluroxypyr- meptyl, halauxifen and its salts and esters (943832-60-8); MCPA and its salts and esters, MCPA-thioethyl, MCPB and its salts and esters, mecoprop and its salts and esters, meco- prop-P and its salts and esters, picloram and its salts and esters, quinclorac, quinmerac, TBA (2,3,6) and its salts and esters, triclopyr and its salts and esters, 4-amino-3-chloro- 6-(4-chloro-2-fluoro-3-methoxyphenyl)-5-fluoropyridine-2-carboxylic acid, benzyl 4-amino- 3-chloro-6-(4-chloro-2-fluoro-3-methoxyphenyl)-5-fluoropyridine-2-carboxylate (1390661 -72- 9);
N.14 Auxin transport inhibitors: diflufenzopyr, diflufenzopyr-sodium, naptalam, naptalam- sodium;
N.15 Other herbicides: bromobutide, chlorflurenol, chlorflurenol-methyl, cinmethylin, cumyluron, cyclopyrimorate (499223-49-3) and its salts and esters, dalapon, dazomet, difenzoquat, di- fenzoquat-metilsulfate, dimethipin, DSMA, dymron, endothal and its salts, etobenzanid, flu- renol, flurenol-butyl, flurprimidol, fosamine, fosamine-ammonium, indanofan, maleic hydra- zide, mefluidide, metam, methiozolin (403640-27-7), methyl azide, methyl bromide, methyl- dymron, methyl iodide, MSMA, oleic acid, oxaziclomefone, pelargonic acid, pyributicarb, quinoclamine, tridiphane;
O) Insecticides from classes 0.1 to 0.29
0.1 Acetylcholine esterase (AChE) inhibitors: aldicarb (0.1.1 ), alanycarb (0.1.2), bendiocarb (0.1.3), benfuracarb (0.1 .4), butocarboxim (0.1.5), butoxycarboxim (0.1.6), carbaryl (0.1.7), carbofuran (0.1.8), carbosulfan (0.1.9), ethiofencarb (0.1 .10), fenobucarb (0.1 .1 1 ), formetanate (0.1.12), furathiocarb (0.1.13), isoprocarb (0.1.14), methiocarb (0.1.15), methomyl (0.1.16), metolcarb (0.1.17), oxamyl (0.1.18), pirimicarb (0.1.19), propoxur
(0.1.20), thiodicarb (0.1.21), thiofanox (0.1.22), trimethacarb (0.1.23), XMC (0.1.24), xylylcarb (0.1.25), triazamate (0.1.26), acephate (0.1.27), azamethiphos (0.1.28), azinphos-ethyl (0.1.29), azinphosmethyl (0.1.30), cadusafos (0.1.31), chlorethoxyfos
(0.1.32), chlorfenvinphos (0.1.33), chlormephos (0.1.34), chlorpyrifos (0.1.35), chlorpyrifos- methyl (0.1.36), coumaphos (0.1.37), cyanophos (0.1.38), demeton-S-methyl (0.1.39), diazinon (0.1.40), dichlorvos/ DDVP (0.1.41), dicrotophos (0.1.42), dimethoate (0.1.43), dimethylvinphos (0.1.44), disulfoton (0.1.45), EPN (0.1.46), ethion (0.1.47), ethoprophos (0.1.48), famphur (0.1.49), fenamiphos (0.1.50), fenitrothion (0.1.51), fenthion (0.1.52), fosthiazate (0.1.53), heptenophos (0.1.54), imicyafos (0.1.55), isofenphos (0.1.56), isopropyl O-(methoxyaminothio-phosphoryl) salicylate (0.1.57), isoxathion (0.1.58), malathion (0.1.59), mecarbam (0.1.60), methamidophos (0.1.61), methidathion (0.1.62), mevinphos (0.1.63), monocrotophos (0.1.64), naled (0.1.65), omethoate (0.1.66), oxydemeton-methyl (0.1.67), parathion (0.1.68), parathion-methyl (0.1.69), phenthoate
(0.1.70), phorate (0.1.71), phosalone (0.1.72), phosmet (0.1.73), phosphamidon (0.1.74), phoxim (0.1.75), pirimiphos- methyl (0.1.76), profenofos (0.1.77), propetamphos (0.1.78), prothiofos (0.1.79), pyraclofos (0.1.80), pyridaphenthion (0.1.81), quinalphos (0.1.82), sulfotep (0.1.83), tebupirimfos (0.1.84), temephos (0.1.85), terbufos (0.1.86),
tetrachlorvinphos (0.1.87), thiometon (0.1.88), triazophos (0.1.89), trichlorfon (0.1.90), vamidothion (0.1.91);
GABA-gated chloride channel antagonists: endosulfan (0.2.1), chlordane (0.2.2), ethiprole
(0.2.3), fipronil (0.2.4), flufiprole (0.2.5), pyrafluprole (0.2.6), pyriprole (0.2.7);
Sodium channel modulators: acrinathrin (0.3.1), allethrin (0.3.2), d-cis-trans allethrin
(0.3.3), d-trans allethrin (0.3.4), bifenthrin (0.3.5), kappa-bifenthrin (0.3.6), bioallethrin
(0.3.7), bioallethrin S-cylclopentenyl (0.3.8), bioresmethrin (0.3.9), cycloprothrin (0.3.10), cyfluthrin (0.3.11), beta-cyfluthrin (0.3.12), cyhalothrin (0.3.13), lambda-cyhalothrin
(0.3.14), gamma-cyhalothrin (0.3.15), cypermethrin (0.3.16), alpha-cypermethrin (0.3.17), beta-cypermethrin (0.3.18), theta-cypermethrin (0.3.19), zeta-cypermethrin (0.3.20), cyphenothrin (0.3.21), deltamethrin (0.3.22), empenthrin (0.3.23), esfenvalerate (0.3.24), etofenprox (0.3.25), fenpropathrin (0.3.26), fenvalerate (0.3.27), flucythrinate (0.3.28), flumethrin (0.3.29), tau-fluvalinate (0.3.30), halfenprox (0.3.31), heptafluthrin (0.3.32), imiprothrin (0.3.33), meperfluthrin (0.3.34), metofluthrin (0.3.35), momfluorothrin (0.3.36), epsilon-momfluorothrin (0.3.37), permethrin (0.3.38), phenothrin (0.3.39), prallethrin (O.3.40), profluthrin (0.3.41), pyrethrin (pyrethrum) (0.3.42), resmethrin (0.3.43), silafluofen (0.3.44), tefluthrin (0.3.45), kappa-tefluthrin (0.3.46), tetramethylfluthrin (0.3.47), tetramethrin (0.3.48), tralomethrin (0.3.49), transfluthrin (O.3.50), DDT (0.3.51),
methoxychlor (0.3.52);
Nicotinic acetylcholine receptor agonists (nAChR): acetamiprid (0.4.1), clothianidin (0.4.2), cycloxaprid (0.4.3), dinotefuran (0.4.4), imidacloprid (0.4.5), nitenpyram (0.4.6), thiacloprid (0.4.7), thiamethoxam (0.4.8), 4,5-dihydro-AAnitro-1-(2-oxiranylmethyl)-1 A imidazol^-amine (0.4.9), (2 )-1-[(6-chloropyridin-3-yl)methyl]-/V-nitro-2-pentylidene- hydrazinecarboximidamide (0.4.10), 1-[(6-chloropyridin-3-yl)methyl]-7-methyl-8-nitro-5- propoxy-1 ,2,3,5,6,7-hexahydroimidazo[1 ,2-a]pyridine (0.4.1 1 ), nicotine (0.4.12), sulfoxaflor
(0.4.13), flupyradifurone (0.4.14), triflumezopyrim (0.4.15);
0.5 Nicotinic acetylcholine receptor allosteric activators: spinosad (0.5.1 ), spinetoram (0.5.2); 0.6 Chloride channel activators: abamectin (0.6.1 ), emamectin benzoate (0.6.2), ivermectin (0.6.3), lepimectin (0.6.4), milbemectin (0.6.5);
0.7 Juvenile hormone mimics: hydroprene (0.7.1 ), kinoprene (0.7.2), methoprene (0.7.3), fenoxycarb (0.7.4), pyriproxyfen (0.7.5);
0.8 miscellaneous non-specific (multi-site) inhibitors: methyl bromide (0.8.1 ) and other alkyl halides, chloropicrin (0.8.2), sulfuryl fluoride (0.8.3), borax (0.8.4), tartar emetic (0.8.5); 0.9 Chordotonal organ TRPV channel modulators: pymetrozine (0.9.1 ), pyrifluquinazon (0.9.2), flonicamid (0.9.3);
O.10 Mite growth inhibitors: clofentezine (O.10.1 ), hexythiazox (O.10.2), diflovidazin (O.10.3), etoxazole (0.10.4);
0.1 1 Microbial disruptors of insect midgut membranes: Bacillus thuringiensis, Bacillus
sphaericus and the insecticdal proteins they produce: Bacillus thuringiensis subsp.
Israelensis (0.1 1 .1 ), Bacillus sphaericus (0.1 1 .2), Bacillus thuringiensis subsp. aizawai (0.1 1 .3), Bacillus thuringiensis subsp. kurstakHQA ^ A), Bacillus thuringiensis subsp.
tenebrionis (0.1 1 .5), the Bt crop proteins: Cry1 Ab (0.1 1 .6), Cry1 Ac (0.1 1 .7), Cry1 Fa
(0.1 1 .8), Cry2Ab (0.1 1 .9), mCry3A (0.1 1 .10), Cry3Ab (0.1 1 .1 1 ), Cry3Bb (0.1 1 .12), Cry34/35Ab1 (0.1 1 .13);
0.12 Inhibitors of mitochondrial ATP synthase: diafenthiuron (0.12.1 ), azocyclotin (0.12.2), cyhexatin (0.12.3), fenbutatin oxide (0.12.4), propargite (0.12.5), tetradifon (0.12.6);
0.13 Uncouplers of oxidative phosphorylation via disruption of the proton gradient: chlorfenapyr (0.13.1 ), DNOC (0.13.2), sulfluramid (0.13.3);
0.14 Nicotinic acetylcholine receptor (nAChR) channel blockers: bensultap (0.14.1 ), cartap hydrochloride (0.14.2), thiocyclam (0.14.3), thiosultap sodium (0.14.4);
0.15 Inhibitors of the chitin biosynthesis type 0: bistrifluron (0.15.1 ), chlorfluazuron (0.15.2), diflubenzuron (0.15.3), flucycloxuron (0.15.4), flufenoxuron (0.15.5), hexaflumuron
(0.15.6), lufenuron (0.15.7), novaluron (0.15.8), noviflumuron (0.15.9), teflubenzuron (O.15.10), triflumuron (0.15.1 1 );
0.16 Inhibitors of the chitin biosynthesis type 1 : buprofezin (0.16.1 );
0.17 Moulting disruptors: cyromazine (0.17.1 );
0.18 Ecdyson receptor agonists: methoxyfenozide (0.18.1 ), tebufenozide (0.18.2),
halofenozide (0.18.3), fufenozide (0.18.4), chromafenozide (0.18.5);
0.19 Octopamin receptor agonists: amitraz (0.19.1 );
O.20 Mitochondrial complex I II electron transport inhibitors: hydramethylnon (O.20.1 ),
acequinocyl (O.20.2), fluacrypyrim (O.20.3), bifenazate (O.20.4);
0.21 Mitochondrial complex I electron transport inhibitors: fenazaquin (0.21 .1 ), fenpyroximate (0.21 .2), pyrimidifen (0.21 .3), pyridaben (0.21 .4), tebufenpyrad (0.21 .5), tolfenpyrad
(0.21 .6), rotenone (0.21 .7);
0.22 Voltage-dependent sodium channel blockers: indoxacarb (0.22.1 ), metaflumizonev
(0.22.2), 2-[2-(4-cyanophenyl)-1 -[3-(trifluoromethyl)phenyl]ethylidene]-N[4- (difluoromethoxy)phenyl]-hydrazinecarboxamide (0.22.3), AA(3-chloro-2-methylphenyl)-2-[(4- chlorophenyl)-[4-[methyl(methylsulfonyl)amino]phenyl]methylene]-h
(0.22.4);
0.23 Inhibitors of the of acetyl CoA carboxylase: spirodiclofen (0.23.1 ), spiromesifen (0.23.2), spirotetramat (0.23.3), spiropidion (0.23.4);
0.24 Mitochondrial complex IV electron transport inhibitors: aluminium phosphide (0.24.1 ), calcium phosphide (0.24.2), phosphine (0.24.3), zinc phosphide (0.24.4), cyanide (0.24.5); 0.25 Mitochondrial complex II electron transport inhibitors: cyenopyrafen (0.25.1 ), cyflumetofen
(0.25.2);
0.26 Ryanodine receptor-modulators: flubendiamide (0.26.1 ), chlorantraniliprole (0.26.2), cyantraniliprole (0.26.3), cyclaniliprole (0.26.4), tetraniliprole (0.26.5), ( ¾-3-chloro- V-{2- methyl-4-[1 ,2,2,2 -tetrafluoro-1 -(trifluoromethyl)ethyl]phenyl}-/^-(1 -methyl-2- methylsulfonylethyl)phthalamide (0.26.6), (SJ-S-chloro-N^-methyl^-tl ^^^-tetrafluoro-l - (trifluoromethyl)ethyl]phenyl}-Ae-(1 -methyl-2-methylsulfonylethyl)phthalamide (0.26.7), methyl-2-[3,5-dibromo-2-({[3-bromo-1 -(3-chloropyridin-2-yl)-1 pyrazol-S-ylJcarbonyl}- amino)benzoyl]-1 ,2-dimethylhydrazinecarboxylate (0.26.8), N[4,6-dichloro-2-[(diethyl- lambda-4-sulfanylidene)carbamoyl]-phenyl]-2-(3-chloro-2-pyridyl)-5-(trifluoromethyl)pyrazole- 3-carboxamide (0.26.9), N[4-chloro-2-[(diethyl-lambda-4-sulfanylidene)carbamoyl]-6- methyl-phenyl]-2-(3-chloro-2-pyridyl)-5-(trifluoromethyl)pyrazole-3-carboxamide (0.26.10), N[4-chloro-2-[(di-2-propyl-lambda-4-sulfanylidene)carbamoyl]-6-methyl-phenyl]-2-(3-chloro- 2-pyridyl)-5-(trifluoromethyl)pyrazole-3-carboxamide (0.26.1 1 ), N[4,6-dichloro-2-[(di-2- propyl-lambda-4-sulfanylidene)carbamoyl]-phenyl]-2-(3-chloro-2-pyridyl)-5- (trifluoromethyl)pyrazole-3-carboxamide (0.26.12), N[4,6-dibromo-2-[(diethyl-lambda-4- sulfanylidene)carbamoyl]-phenyl]-2-(3-chloro-2-pyridyl)-5-(trifluoromethyl)pyrazole-3- carboxamide (0.26.13), N[2-(5-amino-1 ,3,4-thiadiazol-2-yl)-4-chloro-6-methylphenyl]-3- bromo-1 -(3-chloro-2-pyridinyl)-1 pyrazole-S-carboxamide (0.26.14), 3-chloro-1 -(3-chloro-2- pyridinyl)-/V-[2,4-dichloro-6-[[(1 -cyano-1 -methylethyl)amino]carbonyl]phenyl]-1 A pyrazole- 5-carboxamide (0.26.15), tetrachlorantraniliprole (0.26.16), N[4-chloro-2-[[(1 ,1 - dimethylethyl)amino]carbonyl]-6-methylphenyl]-1 -(3-chloro-2-pyridinyl)-3-(fluoromethoxy)- 1 pyrazole-S-carboxamide (0.26.17), cyhalodiamide (0.26.18);
0.27: Chordotonal organ Modulators - undefined target site: flonicamid (0.27.1 );
0.28. insecticidal active compounds of unknown or uncertain mode of action: afidopyropen
(0.28.1 ), afoxolaner (0.28.2), azadirachtin (0.28.3), amidoflumet (0.28.4), benzoximate (0.28.5), broflanilide (0.28.6), bromopropylate (0.28.7), chinomethionat (0.28.8), cryolite (0.28.9), dicloromezotiaz (O.28.10), dicofol (0.28.1 1 ), flufenerim (0.28.12), flometoquin (0.28.13), fluensulfone (0.28.14), fluhexafon (0.28.15), fluopyram (0.28.16), fluralaner
(0.28.17), metoxadiazone (0.28.18), piperonyl butoxide (0.28.19), pyflubumide (O.28.20), pyridalyl (0.28.21 ), tioxazafen (0.28.22), 1 1 -(4-chloro-2,6-dimethylphenyl)-12-hydroxy-1 ,4- dioxa-9-azadispiro[4.2.4.2]-tetradec-1 1 -en-10-one, 3-(4'-fluoro-2,4-dimethylbiphenyl-3-yl)-4- hydroxy-8-oxa-1 -azaspiro[4.5]dec-3-en-2-one, 1 -[2-fluoro-4-methyl-5-[(2,2,2- trifluoroethyl)sulfinyl]phenyl]-3-(trifluoromethyl)-1 H-\ ,2,4-triazole-5-amine (0.28.23), Bacillus firmus 1-1582 (0.28.24), flupyrimin (0.28.25), fluazaindolizine (0.28.26), 4-[5-(3,5-di- chlorophenyl)-5-(trifluoromethyl)-4A7Lisoxazol-3-yl]-2-methyl-N(1 -oxothietan-3-yl)benzamide (0.28.27), fluxametamide (0.28.28), 5-[3-[2,6-dichloro-4-(3,3- dichloroallyloxy)phenoxy]propoxy]-1 A pyrazole (0.28.1 ), 4-cyano-N[2-cyano-5-[[2,6- dibromo-4-[1 ,2,2,3,3,3-hexafluoro-1 -(trifluoromethyl)propyl]phenyl]carbamoyl]phenyl]-2- methyl-benzamide (0.28.29), 4-cyano-3-[(4-cyano-2-methyl-benzoyl)amino]-N-[2,6-dichloro-
4- [1 ,2,2,3,3,3-hexafluoro-1 -(trifluoromethyl)propyl]phenyl]-2-fluoro-benzamide (O.28.30), N[5-[[2-chloro-6-cyano-4-[1 ,2,2,3,3,3-hexafluoro-1 -(trifluoromethyl)propyl]phenyl]carbamoyl]- 2-cyano-phenyl]-4-cyano-2-methyl-benzamide (0.28.31 ), N-[5-[[2-bromo-6-chloro-4-[2,2,2-tri- fluoro-1 -hydroxy-1 -(trifluoromethyl)ethyl]phenyl]carbamoyl]-2-cyano-phenyl]-4-cyano- 2-methyl-benzamide (0.28.32), N[5-[[2-bromo-6-chloro-4-[1 ,2,2,3,3,3-hexafluoro-1 -(trifluoro- methyl)propyl]phenyl]carbamoyl]-2-cyano-phenyl]-4-cyano-2-methyl-benzamide (0.28.33), 4- cyano-N[2-cyano-5-[[2,6-dichloro-4-[1 ,2,2,3,3,3-hexafluoro-1 -(trifluoromethyl)propyl]phenyl]- carbamoyl]phenyl]-2-methyl-benzamide (0.28.34), 4-cyano-N[2-cyano-5-[[2,6-dichloro-4- [1 ,2,2,2-tetrafluoro-1 -(trifluoromethyl)ethyl]phenyl]carbamoyl]phenyl]-2-methyl-benzami (0.28.35), N[5-[[2-bromo-6-chloro-4-[1 ,2,2,2-tetrafluoro-1 -(trifluoromethyl)ethyl]phenyl]- carbamoyl]-2-cyano-phenyl]-4-cyano-2-methyl-benzamide (0.28.36); 2-(1 ,3-dioxan-2-yl)-6- [2-(3-pyridinyl)-5-thiazolyl]-pyridine (0.28.37), 2-[6-[2-(5-fluoro-3-pyridinyl)-5-thiazolyl]-2- pyridinyl]-pyrimidine (0.28.38), 2-[6-[2-(3-pyridinyl)-5-thiazolyl]-2-pyridinyl]-pynmidine (0.28.39), N-methylsulfonyl-6-[2-(3-pyndyl)thiazol-5-yl]pyridine-2-carboxamide (O.28.40), ΛΑ methylsulfonyl-6-[2-(3-pyridyl)thiazol-5-yl]pyridine-2-carboxamide (0.28.41 ), 1 -[(6-chloro-3- pyridinyl)methyl]-1 ,2,3,5,6,7-hexahydro-5-methoxy-7-methyl-8-nitro-imidazo[1 ,2-a]pyridin (0.28.42), 1 -[(6-chloropyridin-3-yl)methyl]-7-methyl-8-nitro-1 ,2,3,5,6,7-hexahydroimidazo[1 ,2- a]pyridin-5-ol (0.28.43), 1 -isopropyl-A ,5-dimethyl-N-pyridazin-4-yl-pyrazole-4-carboxamide (0.28.44), 1 -(1 ,2-dimethylpropyl)-N-ethyl-5-methyl-N-pyridazin-4-yl-pyrazole-4-carboxamide (0.28.45), A ,5-dimethyl-/V-pyridazin-4-yl-1 -(2,2,2-trifluoro-1 -methyl-ethyl)pyrazole-4-car- boxamide (0.28.46), 1 -[1 -(1 -cyanocyclopropyl)ethyl]-N-ethyl-5-methyl-N-pyridazin-4-yl- pyrazole-4-carboxamide (0.28.47), Nethyl-1 -(2-fluoro-1 -methyl-propyl)-5-meth-yl-N
pyridazin-4-yl-pyrazole-4-carboxamide (0.28.48), 1 -(1 ,2-dimethylpropyl)-/V,5-dimethyl- Npyridazin-4-yl-pyrazole-4-carboxamide (0.28.49), 1 -[1 -(1 -cyanocyclopropyl)ethyl]-/V,5-di- methyl-Npyridazin-4-yl-pyrazole-4-carboxamide (0.28.50), /V-methyl-1 -(2-fluoro-1 -methyl- propyl]-5-methyl-N-pyridazin-4-yl-pyrazole-4-carboxamide (0.28.51 ), 1 -(4,4-di- fluorocyclohexyl)-N-ethyl-5-methyl-N-pyridazin-4-yl-pyrazole-4-carboxamide (0.28.52), 1 -
(4,4-difluorocyclohexyl)-A',5-dimethyl-N-pyridazin-4-yl-pyrazole-4-carboxamide (0.28.53), ΛΑ (1 -methylethyl)-2-(3-pyridinyl)-2 A indazole^-carboxamide (0.28.54), N-cyclopropyl- 2-(3-pyridinyl)-2 indazole-4-carboxamide (0.28.55), cyclohexyl-2-(3-pyridinyl)-2/ indazole-4-carboxamide (0.28.56), 2-(3-pyridinyl)-N-(2,2,2-trifluoroethyl)-2 7i-indazole-4- carboxamide (0.28.57), 2-(3-pyridinyl)-N[(tetrahydro-2-furanyl)methyl]-2A7i-indazole-
5- carboxamide (0.28.58), methyl 2-[[2-(3-pyridinyl)-2 indazol-5- yl]carbonyl]hydrazinecarboxylate (0.28.59), N[(2,2-difluorocyclopropyl)methyl]-2-(3- pyridinyl)-2 indazole-5-carboxamide (O.28.60), N(2,2-difluoropropyl)-2-(3-pyridinyl)-2 indazole-5-carboxamide (0.28.61 ), 2-(3-pyridinyl )-N(2-pyrimidinylmethyl )-2 7Lindazole-5- carboxamide (0.28.62), N-[(5-methyl-2-pyrazinyl)methyl]-2-(3-pyridinyl)-2 7Lindazole-5-car- boxamide (0.28.63), tyclopyrazoflor (0.28.64), sarolaner (0.28.65), lotilaner (0.28.66),
N[4-chloro-3-[[(phenylmethyl)amino]carbonyl]phenyl]-1 -methyl-3-(1 ,1 ,2,2,2-penta- fluoroethyl)-4-(trifluoromethyl)-1 7i-pyrazole-5-carboxamide (0.28.67), M.UN.22a 2-(3- ethylsulfonyl-2-pyndyl)-3-methyl-6-(trifluoromethyl)imidazo[4,5-b]pyridine (0.28.68), 2-[3- ethylsulfonyl-5-(trifluoromethyl)-2-pyridyl]-3-methyl-6-(trifluoromethyl)imi
(0.28.69), 4-[5-(3,5-dichlorophenyl)-5-(trifluoromethyl)-4 isoxazol-3-yl]-N[(4 )-2-ethyl-
3- oxo-isoxazolidin-4-yl]-2-methyl-benzamide (0.28.70), 4-[5-(3,5-dichloro-4-fluoro-phenyl)-5- (trifluoromethyl)-4 isoxazol-3-yl]-N[(4 ^-2-ethyl-3^
benzamide (0.28.71 ), /V-[4-chloro-3-(cyclopropylcarbamoyl)phenyl]-2-methyl-5-(1 ,1 ,2,2,2- pentafluoroethyl)-4-(trifluoromethyl)pyrazole-3-carboxamide (0.28.72), /V-[4-chloro-3-[(1 -cy- anocyclopropyl)carbamoyl]phenyl]-2-methyl-5-(1 ,1 ,2,2,2-pentafluoroethyl)-4-(trifluoromethyl)- pyrazole-3-carboxamide (0.28.73), acynonapyr (0.28.74), benzpyrimoxan (0.28.75), chloro- /V-(1 -cyanocyclopropyl)-5-[1 -[2-methyl-5-(1 ,1 ,2,2,2-pentafluoroethyl)-
4- (trifluoromethyl)pyrazol-3-yl]pyrazol-4-yl]benzamide (0.28.76), oxazosulfyl (0.28.77), [(25,3 ?,4 ?,55,6S)-3,5-dimethoxy-6-methyl-4-propoxy-tetrahydropyran-2-yl]-N[4-[1 -[4-(tri- fluoromethoxy)phenyl]-1 ,2,4-triazol-3-yl]phenyl]carbamate (0.28.78),
[(25,3 ?,4 ?,55,6S)-3,4,5-trimethoxy-6-methyl-tetrahydropyran-2-yl] N-[4-[1 -[4-(trifluoro- methoxy)phenyl]-1 ,2,4-triazol-3-yl]phenyl]carbamate (0.28.79), [(25,3 ?,4 ?,55,6S)-3,5- dimethoxy-6-methyl-4-propoxy-tetrahydropyran-2-yl]-/V-[4-[1 -[4-(1 , 1 ,2,2,2- pentafluoroethoxy)phenyl]-1 ,2,4-triazol-3-yl]phenyl]carbamate (O.28.80), [(25,3 ?,4 ?,55,6S)- 3,4,5-trimethoxy-6-methyl-tetrahydropyran-2-yl]-/V-[4-[1 -[4-(1 ,1 ,2,2,2-penta- fluoroethoxy)phenyl]-1 ,2,4-triazol-3-yl]phenyl]carbamate (0.28.81 ), (22)-3-(2- isopropylphenyl)-2-[( )-[4-[1 -[4-(1 ,1 ,2,2,2-pentafluoroethoxy)phenyl]-1 ,2,4-triazol-3- yl]phenyl]methylenehydrazono]thiazolidin-4-one (0.28.82).
The active substances referred to as component 2, their preparation and their activity e. g. against harmful fungi is known (cf.: http://www.alanwood.net/pesticides/); these substances are commercially available. The compounds described by l UPAC nomenclature, their preparation and their pesticidal activity are also known (cf. Can. J. Plant Sci. 48(6), 587-94, 1968;
EP-A 141 317; EP-A 152 031 ; EP-A 226 917; EP-A 243 970; EP-A 256 503; EP-A 428 941 ;
EP-A 532 022; EP-A 1 028 125; EP-A 1 035 122; EP-A 1 201 648; EP-A 1 122 244,
JP 2002316902; DE 19650197; DE 10021412; DE 102005009458; US 3,296,272;
US 3,325,503; WO 98/46608; WO 99/14187; WO 99/24413; WO 99/27783; WO 00/29404;
WO 00/46148; WO 00/65913; WO 01/54501 ; WO 01/56358; WO 02/22583; WO 02/40431 ;
WO 03/10149; WO 03/1 1853; WO 03/14103; WO 03/16286; WO 03/53145; WO 03/61388;
WO 03/66609; WO 03/74491 ; WO 04/49804; WO 04/83193; WO 05/120234; WO 05/123689;
WO 05/123690; WO 05/63721 ; WO 05/87772; WO 05/87773; WO 06/15866; WO 06/87325; WO 06/87343; WO 07/82098; WO 07/90624, WO 10/139271 , WO 1 1/028657, WO 12/168188,
WO 07/006670, WO 1 1 /77514; WO 13/047749, WO 10/069882, WO 13/047441 , WO 03/16303,
WO 09/90181 , WO 13/007767, WO 13/010862, WO 13/127704, WO 13/024009, WO 13/24010,
WO 13/047441 , WO 13/162072, WO 13/092224, WO 1 1/135833, CN 1907024, CN 1456054,
CN 103387541 , CN 1309897, WO 12/84812, CN 1907024, WO 09094442, WO 14/60177, WO 13/1 16251 , WO 08/013622, WO 15/65922, WO 94/01546, EP 2865265, WO 07/129454,
WO 12/16551 1 , WO 1 1 /081 174, WO 13/47441 , JP2015089883, JP2015120675,
WO20151 19246, WO201 1 135827, WO2012084812). The present invention furthermore relates to agrochemical compositions comprising a mixture of at least one compound I (component 1 ) and at least one further active substance useful for plant protection, e. g. selected from the groups A) to O) (component 2), in particular one further fungicide, e. g. one or more fungicide from the groups A) to K), as described above, and if desired one suitable solvent or solid carrier. Those mixtures are of particular interest, since many of them at the same application rate show higher efficiencies against harmful fungi.
Furthermore, combating harmful fungi with a mixture of compounds I and at least one fungicide from groups A) to K), as described above, is more efficient than combating those fungi with individual compounds I or individual fungicides from groups A) to K).
By applying compounds I together with at least one active substance from groups A) to O) a synergistic effect can be obtained, i.e. more then simple addition of the individual effects is obtained (synergistic mixtures).
This can be obtained by applying the compounds I and at least one further active substance simultaneously, either jointly (e. g. as tank-mix) or seperately, or in succession, wherein the time interval between the individual applications is selected to ensure that the active substance applied first still occurs at the site of action in a sufficient amount at the time of application of the further active substance(s). The order of application is not essential for working of the present invention.
When applying compound I and a pesticide II sequentially the time between both applications may vary e. g. between 2 hours to 7 days. Also a broader range is possible ranging from 0.25 hour to 30 days, preferably from 0.5 hour to 14 days, particularly from 1 hour to 7 days or from 1 .5 hours to 5 days, even more preferred from 2 hours to 1 day.
In the binary mixtures and compositions according to the invention the weight ratio of the component 1 ) and the component 2) generally depends from the properties of the active components used, usually it is in the range of from 1 :10,000 to 10,000:1 , often it is in the range of from 1 :100 to 100:1 , regularly in the range of from 1 :50 to 50:1 , preferably in the range of from 1 :20 to 20:1 , more preferably in the range of from 1 :10 to 10:1 , even more preferably in the range of from 1 :4 to 4:1 and in particular in the range of from 1 :2 to 2:1 .
According to further embodiments of the binary mixtures and compositions, the weight ratio of the component 1 ) and the component 2) usually is in the range of from 1000:1 to 1 :1 , often in the range of from 100: 1 to 1 :1 , regularly in the range of from 50:1 to 1 :1 , preferably in the range of from 20:1 to 1 :1 , more preferably in the range of from 10:1 to 1 :1 , even more preferably in the range of from 4:1 to 1 :1 and in particular in the range of from 2:1 to 1 :1.
According to a further embodiments of the binary mixtures and compositions, the weight ratio of the component 1 ) and the component 2) usually is in the range of from 1 :1 to 1 :1000, often in the range of from 1 :1 to 1 :100, regularly in the range of from 1 :1 to 1 :50, preferably in the range of from 1 :1 to 1 :20, more preferably in the range of from 1 :1 to 1 :10, even more preferably in the range of from 1 :1 to 1 :4 and in particular in the range of from 1 :1 to 1 :2.
In the ternary mixtures, i.e. compositions according to the invention comprising the component 1 ) and component 2) and a compound III (component 3), the weight ratio of component 1 ) and component 2) depends from the properties of the active substances used, usually it is in the range of from 1 :100 to 100:1 , regularly in the range of from 1 :50 to 50:1 , preferably in the range of from 1 :20 to 20:1 , more preferably in the range of from 1 :10 to 10:1 and in particular in the range of from 1 :4 to 4: 1 , and the weight ratio of component 1 ) and component 3) usually it is in the range of from 1 :100 to 100:1 , regularly in the range of from 1 :50 to 50:1 , preferably in the range of from 1 :20 to 20:1 , more preferably in the range of from 1 :10 to 10:1 and in particular in the range of from 1 :4 to 4:1.
Any further active components are, if desired, added in a ratio of from 20:1 to 1 :20 to the component 1 ).
These ratios are also suitable for inventive mixtures applied by seed treatment.
Accordingly, the present invention furthermore relates to mixtures comprising one compound of the formula I (component 1 , a group represented by the expression "(I)") and one pesticide II (component 2), wherein pesticide II is an active ingredients selected from the groups A) to O) defined above.
Further embodiments B-1 to B-684 listed in Table B below relate to mixtures comprising as active components one of the in the present specification individualized compounds of the formula I, which is selected from the group of compounds I.A.A-1 to I.A.A-655, I.B.A-1 to I.B.A- 655, I.C.A-1 to I.C.A-655, I.D.A-1 to I.D.A-655, I.E.A-1 to I.E.A-655, I.F.A-1 to I.F.A-655, I.G.A-1 to I.G.A-655, I.H.A-1 to I.H.A-655, I.J.A-1 to I.J.A-655 and I.K.A-1 to I.K.A-655 as defined in tables 1 to 10 (component 1 , a group represented by the expression "(I)") and one pesticide II selected from the groups A) to O) as defined herein (component 2, for example, (A.1 .1 ) or azoxystrobin, in embodiment B-1 ).
Further embodiments B-1 to B-684 listed in Table B below relate to the mixtures comprising as active components one of the in the present specification individualized compounds of the formula I, which is selected from the group of compounds Ex-1 and Ex-7 as defined in Table I below.
Preferably, the compositions described in Table B comprise the active components in synergistically effective amounts.
Table B:
B-1 : (I) + (A.1 .1 ), B-2: (I) + (A.1.2), B-3: (I) + (A.1 .3), B-4: (I) + (A.1.4), B-5: (I) + (A.1.5), B-6: (I) + (A.1 .6), B-7: (I) + (A.1.7), B-8: (I) + (A.1 .8), B-9: (I) + (A.1 .9), B-10: (I) + (A.1 .10), B-1 1 : (I) + (A.1.1 1 ), B-12: (I) + (A.1 .12), B-13: (I) + (A.1 .13), B-14: (I) + (A.1.14), B-15: (I) + (A.1 .15), B-16: (I) + (A.1.16), B-17: (I) + (A.1.17), B-18: (I) + (A.1.18), B-19: (I) + (A.1 .19), B-20: (I) + (A.1.20), B-21 : (I) + (A.1.21 ), B-22: (I) + (A.1 .21 a), B-23: (I) + (A.1.22), B-24: (I) + (A.1.25), B-25: (I) + (A.1.34), B-26: (I) + (A.1 .35), B-27: (I) + (A.1 .36), B-28: (I) + (A.1.37), B-29: (I) + (A.1 .38), B-30: (I) + (A.2.1 ), B-31 : (I) + (A.2.2), B-32: (I) + (A.2.3), B-33: (I) + (A.2.4), B-34: (I) + (A.2.5), B-35: (I) + (A.3.1 ), B-36: (I) + (A.3.2), B-37: (I) + (A.3.3), B-38: (I) + (A.3.4), B-39: (I) + (A.3.5), B-40: (I) + (A.3.6), B-41 : (I) + (A.3.7), B-42: (I) + (A.3.8), B-43: (I) + (A.3.9), B-44: (I) + (A.3.10), B-45: (I) + (A.3.1 1 ), B-46: (I) + (A.3.12), B-47: (I) + (A.3.13), B-48: (I) + (A.3.14), B-49: (I) + (A.3.15), B-50: (I) + (A.3.16), B-51 : (I) + (A.3.17), B-52: (I) + (A.3.18), B-53: (I) + (A.3.19), B-54: (I) + (A.3.20), B-55: (I) + (A.3.21 ), B-56: (I) + (A.3.22), B-57: (I) + (A.3.23), B-58: (I) + (A.3.24), B-59: (I) + (A.3.25), B-60: (I) + (A.3.26), B-61 : (I) + (A.3.27), B-62: (I) + (A.3.28), B-63: (I) + (A.3.30), B-64: (I) + (A.3.31 ), B-65: (I) + (A.3.32), B-66: (I) + (A.3.33), B-67: (I) + (A.3.34), B-68: (I) + (A.3.35), B-69: (I) + (A.3.36), B-70: (I) + (A.3.37), B-71 : (I) + (A.3.38), B-72: (I) + (A.3.39), B-73: (I) + (A.4.1 ), B-74: (I) + (A.4.2), B-75: (I) + (A.4.3), B-76: (I) + (A.4.4), B-77: (I) + (A.4.5), B-78: (I) + (A.4.6), B-79: (I) + (A.4.7), B-80: (I) + (A.4.8), B-81: (I) + (A.4.9), B-82: (I) + (A.4.10), B-83: (I) + (A.4.11), B-84: (I) + (A.4.12), B-85: (I) + (B.1.1), B-86: (I) + (B.1.2), B-87: (I) + (B.1.3), B-88: (I) + (B.1.4), B-89: (I) + (B.1.5), B-90: (I) + (B.1.6), B-91: (I) + (B.1.7), B-92: (I) + (B.1.8), B-93: (I) + (B.1.9), B-94: (I) + (B.1.10), B-95: (I) + (B.1.11), B-96: (I) + (B.1.12), B-97: (I) + (B.1.13), B-98: (I) + (B.1.14), B-99: (I) + (B.1.15), B-100: (I) + (B.1.16), B-101: (I) + (B.1.17), B-102: (I) +
(B.1.18), B-103: (I) + (B.1.19), B-104: (I) + (B.1.20), B-105: (I) + (B.1.21), B-106: (I) + (B.1.22), B-107: (I) + (B.1.23), B-108: (I) + (B.1.24), B-109: (I) + (B.1.25), B-110: (I) + (B.1.26), B-111: (I) + (B.1.27), B-112: (I) + (B.1.28), B-113: (I) + (B.1.29), B-114: (I) + (B.1.30), B-115: (I) + (B.1.31), B-116: (I) + (B.1.32), B-117: (I) + (B.1.37), B-118: (I) + (B.1.38), B-119: (I) + (B.1.39), B-120: (I) + (B.1.40), B-121: (I) + (B.1.41), B-122: (I) + (B.1.42), B-123: (I) + (B.1.43), B-124: (I) + (B.1.44), B-125: (I) + (B.1.45), B-126: (I) + (B.1.46), B-127: (I) + (B.1.47), B-128: (I) + (B.1.48), B-129: (I) + (B.1.49), B-130: (I) + (B.1.50), B-131: (I) + (B.1.51), B-132: (I) + (B.1.52), B-133: (I) + (B.2.1), B-134: (I) + (B.2.2), B-135: (I) + (B.2.3), B-136: (I) + (B.2.4), B-137: (I) + (B.2.5), B-138: (I) + (B.2.6), B-139: (I) + (B.2.7), B-140: (I) + (B.2.8), B-141: (I) + (B.3.1), B-142: (I) + (B.4.1), B-143: (I) + (C.1.1), B-144: (I) + (C.1.2), B-145: (I) + (C.1.3), B-146: (I) + (C.1.4), B-147: (I) + (C.1.5), B- 148: (I) + (C.1.6), B-149: (I) + (C.1.7), B-150: (I) + (C.2.1), B-151: (I) + (C.2.2), B-152: (I) + (C.2.3), B-153: (I) + (C.2.4), B-154: (I) + (C.2.5), B-155: (I) + (C.2.6), B-156: (I) + (C.2.7), B-157: (I) + (C.2.8), B-158: (I) + (D.1.1), B-159: (I) + (D.1.2), B-160: (I) + (D.1.3), B-161: (I) + (D.1.4), B- 162: (I) + (D.1.5), B-163: (I) + (D.1.6), B-164: (I) + (D.1.7), B-165: (I) + (D.1.8), B-166: (I) + (D.1.9), B-167: (I) + (D.1.10), B-168: (I) + (D.1.11), B-169: (I) + (D.1.12), B-170: (I) + (D.1.13), B- 171: (I) + (D.1.14), B-172: (I) + (D.1.15), B-173: (I) + (D.1.16), B-174: (I) + (D.2.1), B-175: (I) + (D.2.2), B-176: (I) + (D.2.3), B-177: (I) + (D.2.4), B-178: (I) + (D.2.5), B-179: (I) + (D.2.6), B-180: (I) + (D.2.7), B-181: (I) + (E.1.1), B-182: (I) + (E.1.2), B-183: (I) + (E.1.3), B-184: (I) + (E.2.1), B- 185: (I) + (E.2.2), B-186: (I) + (E.2.3), B-187: (I) + (E.2.4), B-188: (I) + (E.2.5), B-189: (I) + (E.2.6), B-190: (I) + (F.1.1), B-191: (I) + (F.1.2), B-192: (I) + (F.1.3), B-193: (I) + (F.1.4), B-194: (I) + (F.1.5), B-195: (I) + (F.2.1), B-196: (I) + (G.1.1), B-197: (I) + (G.1.2), B-198: (I) + (G.1.3), B- 199: (I) + (G.1.4), B-200: (I) + (G.2.1), B-201: (I) + (G.2.2), B-202: (I) + (G.2.3), B-203: (I) + (G.2.4), B-204: (I) + (G.2.5), B-205: (I) + (G.2.6), B-206: (I) + (G.2.7), B-207: (I) + (G.3.1), B-208: (I) + (G.3.2), B-209: (I) + (G.3.3), B-210: (I) + (G.3.4), B-211: (I) + (G.3.5), B-212: (I) + (G.3.6), B-213: (I) + (G.3.7), B-214: (I) + (G.4.1), B-215: (I) + (G.5.1), B-216: (I) + (G.5.2), B-217: (I) +
(G.5.3), B-218: (I) + (G.5.4), B-219: (I) + (G.5.5), B-220: (I) + (G.5.6), B-221: (I) + (G.5.7), B-222: (I) + (G.5.8), B-223: (I) + (G.5.9), B-224: (I) + (G.5.10), B-225: (I) + (G.5.11), B-226: (I) + (H.1.1), B-227: (I) + (H.1.2), B-228: (I) + (H.1.3), B-229: (I) + (H.1.4), B-230: (I) + (H.1.5), B-231: (I) + (H.1.6), B-232: (I) + (H.1.7), B-233: (I) + (H.2.1), B-234: (I) + (H.2.2), B-235: (I) + (H.2.3), B-236: (I) + (H.2.4), B-237: (I) + (H.2.5), B-238: (I) + (H.2.6), B-239: (I) + (H.2.7), B-240: (I) + (H.2.8), B- 241: (I) + (H.2.9), B-242: (I) + (H.3.1), B-243: (I) + (H.3.2), B-244: (I) + (H.3.3), B-245: (I) + (H.3.4), B-246: (I) + (H.3.5), B-247: (I) + (H.3.6), B-248: (I) + (H.3.7), B-249: (I) + (H.3.8), B-250: (I) + (H.3.9), B-251: (I) + (H.3.10), B-252: (I) + (H.3.11), B-253: (I) + (H.4.1), B-254: (I) + (H.4.2), B-255: (I) + (H.4.3), B-256: (I) + (H.4.4), B-257: (I) + (H.4.5), B-258: (I) + (H.4.6), B-259: (I) + (H.4.7), B-260: (I) + (H.4.8), B-261: (I) + (H.4.9), B-262: (I) + (H.4.10), B-263: (I) + (1.1.1), B-264: (I) + (1.1.2), B-265: (I) + (1.2.1), B-266: (I) + (I.2.2), B-267: (I) + (I.2.3), B-268: (I) + (I.2.4), B-269: (I) + (I.2.5), B-270: (I) + (J.1.1), B-271: (I) + (J.1.2), B-272: (I) + (J.1.3), B-273: (I) + (J.1.4), B- 274: (I) + (J.1.5), B-275: (I) + (J.1.6), B-276: (I) + (J.1.7), B-277: (I) + (J.1.8), B-278: (I) + (J.1.9), B-279: (I) + (J.1.10), B-280: (I) + (K.1.1), B-281: (I) + (K.1.2), B-282: (I) + (K.1.3), B-283: (I) + (K.1.4), B-284: (I) + (K.1.5), B-285: (I) + (K.1.6), B-286: (I) + (K.1.7), B-287: (I) + (K.1.8), B-288: (I) + (K.1.9), B-289: (I) + (K.1.10), B-290: (I) + (K.1.11), B-291: (I) + (K.1.12), B-292: (I) +
(K.1.13), B-293: (I) + (K.1.14), B-294: (I) + (K.1.15), B-295: (I) + (K.1.16), B-296: (I) + (K.1.17), B-297: (I) + (K.1.18), B-298: (I) + (K.1.19), B-299: (I) + (K.1.20), B-300: (I) + (K.1.21), B-301: (I) + (K.1.22), B-302: (I) + (K.1.23), B-303: (I) + (K.1.24), B-304: (I) + (K.1.25), B-305: (I) + (K.1.26), B-306: (I) + (K.1.27), B-307: (I) + (K.1.28), B-308: (I) + (K.1.29), B-309: (I) + (K.1.30), B-310: (I) + (K.1.31), B-311: (I) + (K.1.32), B-312: (I) + (K.1.33), B-313: (I) + (K.1.34), B-314: (I) + (K.1.35), B-315: (I) + (K.1.36), B-316: (I) + (K.1.37), B-317: (I) + (K.1.38), B-318: (I) + (K.1.39), B-319: (I) + (K.1.40), B-320: (I) + (K.1.41), B-321: (I) + (K.1.42), B-322: (I) + (K.1.43), B-323: (I) + (K.1.44), B-324: (I) + (K.1.45), B-325: (I) + (K.1.46), B-326: (I) + (K.1.47), B-327: (I) + (K.1.48), B-328: (I) + (K.1.49), B-329: (I) + (K.1.50), B-330: (I) + (K.1.51), B-331: (I) + (K.1.52), B-332: (I) + (K.1.53), B-333: (I) + (K.1.54), B-334: (I) + (0.1.1), B-335: (I) + (0.1.2), B-336: (I) + (0.1.3), B-337: (I) + (0.1.4), B-338: (I) + (0.1.5), B-339: (I) + (0.1.6), B-340: (I) + (0.1.7), B-341: (I) + (0.1.8), B-342: (I) + (0.1.9), B-343: (I) + (0.1.10), B-344: (I) + (0.1.11), B-345: (I) + (0.1.12), B-346: (I) +
(0.1.13), B-347: (I) + (0.1.14), B-348: (I) + (0.1.15), B-349: (I) + (0.1.16), B-350: (I) + (0.1.17), B-351: (I) + (0.1.18), B-352: (I) + (0.1.19), B-353: (I) + (0.1.20), B-354: (I) + (0.1.21), B-355: (I) + (0.1.22), B-356: (I) + (0.1.23), B-357: (I) + (0.1.24), B-358: (I) + (0.1.25), B-359: (I) +
(0.1.26), B-360: (I) + (0.1.27), B-361: (I) + (0.1.28), B-362: (I) + (0.1.29), B-363: (I) + (0.1.30), B-364: (I) + (0.1.31), B-365: (I) + (0.1.32), B-366: (I) + (0.1.33), B-367: (I) + (0.1.34), B-368: (I) + (0.1.35), B-369: (I) + (0.1.36), B-370: (I) + (0.1.37), B-371: (I) + (0.1.38), B-372: (I) +
(0.1.39), B-373: (I) + (0.1.40), B-374: (I) + (0.1.41), B-375: (I) + (0.1.42), B-376: (I) + (0.1.43), B-377: (I) + (0.1.44), B-378: (I) + (0.1.45), B-379: (I) + (0.1.46), B-380: (I) + (0.1.47), B-381: (I) + (0.1.48), B-382: (I) + (0.1.49), B-383: (I) + (0.1.50), B-384: (I) + (0.1.51), B-385: (I) +
(0.1.52), B-386: (I) + (0.1.53), B-387: (I) + (0.1.54), B-388: (I) + (0.1.55), B-389: (I) + (0.1.56), B-390: (I) + (0.1.57), B-391: (I) + (0.1.58), B-392: (I) + (0.1.59), B-393: (I) + (0.1.60), B-394: (I) + (0.1.61), B-395: (I) + (0.1.62), B-396: (I) + (0.1.63), B-397: (I) + (0.1.64), B-398: (I) +
(0.1.65), B-399: (I) + (0.1.66), B-400: (I) + (0.1.67), B-401: (I) + (0.1.68), B-402: (I) + (0.1.69), B-403: (I) + (0.1.70), B-404: (I) + (0.1.71), B-405: (I) + (0.1.72), B-406: (I) + (0.1.73), B-407: (I) + (0.1.74), B-408: (I) + (0.1.75), B-409: (I) + (0.1.76), B-410: (I) + (0.1.77), B-411: (I) +
(0.1.78), B-412: (I) + (0.1.79), B-413: (I) + (0.1.80), B-414: (I) + (0.1.81), B-415: (I) + (0.1.82), B-416: (I) + (0.1.83), B-417: (I) + (0.1.84), B-418: (I) + (0.1.85), B-419: (I) + (0.1.86), B-420: (I) + (0.1.87), B-421: (I) + (0.1.88), B-422: (I) + (0.1.89), B-423: (I) + (0.1.90), B-424: (I) +
(0.1.91), B-425: (I) + (0.2.1), B-426: (I) + (0.2.2), B-427: (I) + (0.2.3), B-428: (I) + (0.2.4), B- 429: (I) + (0.2.5), B-430: (I) + (0.2.6), B-431 : (I) + (0.2.7), B-432: (I) + (0.3.1), B-433: (I) +
(0.3.2), B-434: (I) + (0.3.3), B-435: (I) + (0.3.4), B-436: (I) + (0.3.5), B-437: (I) + (0.3.6), B-438: (I) + (0.3.7), B-439: (I) + (0.3.8), B-440: (I) + (0.3.9), B-441: (I) + (0.3.10), B-442: (I) + (0.3.11), B-443: (I) + (0.3.12), B-444: (I) + (0.3.13), B-445: (I) + (0.3.14), B-446: (I) + (0.3.15), B-447: (I) + (0.3.16), B-448: (I) + (0.3.17), B-449: (I) + (0.3.18), B-450: (I) + (0.3.19), B-451: (I) +
(O.3.20), B-452: (I) + (0.3.21), B-453: (I) + (0.3.22), B-454: (I) + (0.3.23), B-455: (I) + (0.3.24), B-456: (I) + (0.3.25), B-457: (I) + (0.3.26), B-458: (I) + (0.3.27), B-459: (I) + (0.3.28), B-460: (I) + (0.3.29), B-461: (I) + (O.3.30), B-462: (I) + (0.3.31), B-463: (I) + (0.3.32), B-464: (I) +
(0.3.33), B-465: (I) + (0.3.34), B-466: (I) + (0.3.35), B-467: (I) + (0.3.36), B-468: (I) + (0.3.37), B-469: (I) + (0.3.38), B-470: (I) + (0.3.39), B-471 : (I) + (O.3.40), B-472: (I) + (0.3.41 ), B-473: (I) + (0.3.42), B-474: (I) + (0.3.43), B-475: (I) + (0.3.44), B-476: (I) + (0.3.45), B-477: (I) +
(0.3.46), B-478: (I) + (0.3.47), B-479: (I) + (0.3.48), B-480: (I) + (0.3.49), B-481 : (I) + (O.3.50), B-482: (I) + (0.3.51 ), B-483: (I) + (0.3.52), B-484: (I) + (0.4.1 ), B-485: (I) + (0.4.2), B-486: (I) + (0.4.3), B-487: (I) + (0.4.4), B-488: (I) + (0.4.5), B-489: (I) + (0.4.6), B-490: (I) + (0.4.7), B-491 : (I) + (0.4.8), B-492: (I) + (0.4.9), B-493: (I) + (0.4.10), B-494: (I) + (0.4.1 1 ), B-495: (I) +
(0.4.12), B-496: (I) + (0.4.13), B-497: (I) + (0.4.14), B-498: (I) + (0.4.15), B-499: (I) + (0.5.1 ), B-500: (I) + (0.5.2), B-501 : (I) + (0.6.1 ), B-502: (I) + (0.6.2), B-503: (I) + (0.6.3), B-504: (I) + (0.6.4), B-505: (I) + (0.6.5), B-506: (I) + (0.7.1 ), B-507: (I) + (0.7.2), B-508: (I) + (0.7.3), B-509: (I) + (0.7.4), B-510: (I) + (0.7.5), B-51 1 : (I) + (0.8.1 ), B-512: (I) + (0.8.2), B-513: (I) + (0.8.3), B-514: (I) + (0.8.4), B-515: (I) + (0.8.5), B-516: (I) + (0.9.1 ), B-517: (I) + (0.9.2), B-518: (I) + (0.9.3), B-519: (I) + (O.10.1 ), B-520: (I) + (O.10.2), B-521 : (I) + (O.10.3), B-522: (I) + (O.10.4), B-523: (I) + (0.1 1 .1 ), B-524: (I) + (0.1 1 .2), B-525: (I) + (0.1 1 .3), B-526: (I) + (0.1 1 .4), B-527: (I) + (0.1 1 .5), B-528: (I) + (0.1 1 .6), B-529: (I) + (0.1 1 .7), B-530: (I) + (0.1 1 .8), B-531 : (I) +
(0.1 1 .9), B-532: (I) + (0.1 1 .10), B-533: (I) + (0.1 1 .1 1 ), B-534: (I) + (0.1 1 .12), B-535: (I) +
(0.1 1 .13), B-536: (I) + (0.12.1 ), B-537: (I) + (0.12.2), B-538: (I) + (0.12.3), B-539: (I) +
(0.12.4), B-540: (I) + (0.12.5), B-541 : (I) + (0.12.6), B-542: (I) + (0.13.1 ), B-543: (I) + (0.13.2), B-544: (I) + (0.13.3), B-545: (I) + (0.14.1 ), B-546: (I) + (0.14.2), B-547: (I) + (0.14.3), B-548: (I) + (0.14.4), B-549: (I) + (0.15.1 ), B-550: (I) + (0.15.2), B-551 : (I) + (0.15.3), B-552: (I) +
(0.15.4), B-553: (I) + (0.15.5), B-554: (I) + (0.15.6), B-555: (I) + (0.15.7), B-556: (I) + (0.15.8), B-557: (I) + (0.15.9), B-558: (I) + (O.15.10), B-559: (I) + (0.15.1 1 ), B-560: (I) + (0.16.1 ), B-561 : (I) + (0.17.1 ), B-562: (I) + (0.18.1 ), B-563: (I) + (0.18.2), B-564: (I) + (0.18.3), B-565: (I) +
(0.18.4), B-566: (I) + (0.18.5), B-567: (I) + (0.19.1 ), B-568: (I) + (O.20.1 ), B-569: (I) + (O.20.2), B-570: (I) + (O.20.3), B-571 : (I) + (O.20.4), B-572: (I) + (0.21 .1 ), B-573: (I) + (0.21 .2), B-574: (I) + (0.21 .3), B-575: (I) + (0.21 .4), B-576: (I) + (0.21 .5), B-577: (I) + (0.21 .6), B-578: (I) +
(0.21 .7), B-579: (I) + (0.22.1 ), B-580: (I) + (0.22.2), B-581 : (I) + (0.22.3), B-582: (I) + (0.22.4), B-583: (I) + (0.23.1 ), B-584: (I) + (0.23.2), B-585: (I) + (0.23.3), B-586: (I) + (0.23.4), B-587: (I) + (0.24.1 ), B-588: (I) + (0.24.2), B-589: (I) + (0.24.3), B-590: (I) + (0.24.4), B-591 : (I) +
(0.24.5), B-592: (I) + (0.25.1 ), B-593: (I) + (0.25.2), B-594: (I) + (0.26.1 ), B-595: (I) + (0.26.2), B-596: (I) + (0.26.3), B-597: (I) + (0.26.4), B-598: (I) + (0.26.5), B-599: (I) + (0.26.6), B-600: (I) + (0.26.7), B-601 : (I) + (0.26.8), B-602: (I) + (0.26.9), B-603: (I) + (O.26.10), B-604: (I) +
(0.26.1 1 ), B-605: (I) + (0.26.12), B-606: (I) + (0.26.13), B-607: (I) + (0.26.14), B-608: (I) +
(0.26.15), B-609: (I) + (0.26.16), B-610: (I) + (0.26.17), B-61 1 : (I) + (0.26.18), B-612: (I) +
(0.27.1 ), B-613: (I) + (0.28.1 ), B-614: (I) + (0.28.2), B-615: (I) + (0.28.3), B-616: (I) + (0.28.4), B-617: (I) + (0.28.5), B-618: (I) + (0.28.7), B-619: (I) + (0.28.8), B-620: (I) + (0.28.9), B-621 : (I) + (O.28.10), B-622: (I) + (0.28.1 1 ), B-623: (I) + (0.28.12), B-624: (I) + (0.28.13), B-625: (I) +
(0.28.14), B-626 (I) + (0.28.15), B-627 (I) + (0.28.16), B-628 (I) + (0.28.17), B-629
(0.28.18), B-630 (I) + (0.28.19), B-631 (I) + (O.28.20), B-632 (I) + (0.28.21 ), B-633
(0.28.22), B-634 (I) + (0.28.23), B-635 (I) + (0.28.24), B-636 (I) + (0.28.25), B-637
(0.28.26), B-638 (I) + (0.28.27), B-639 (I) + (0.28.28), B-640 (I) + (0.28.29), B-641
(O.28.30), B-642 (I) + (0.28.31 ), B-643 (I) + (0.28.42), B-644 (I) + (0.28.43), B-645
(0.28.44), B-646 (I) + (0.28.45), B-647 (I) + (0.28.46), B-648 (I) + (0.28.47), B-649
(0.28.48), B-650 (I) + (0.28.49), B-651 (I) + (O.28.50), B-652 (I) + (0.28.51 ), B-653 (0 28.52), B-654 (1) + (0.28.53), B-655 (I) + (0.28 54), B-656 (I) + (0.28.55), B-657 (I) +
(0 28.56), B-658 (1) + (0.28.57), B-659 (I) + (0.28 58), B-660 (I) + (0.28.59), B-661 (I) +
(0 28.60), B-662 (1) + (0.28.61 ), B-663 (I) + (0.28 62), B-664 (I) + (0.28.63), B-665 (I) +
(0 28.64), B-666 (1) + (0.28.65), B-667 (I) + (0.28 66), B-668 (I) + (0.28.67), B-669 (I) +
(0 28.68), B-670 (1) + (0.28.69), B-671 (I) + (0.28 70), B-672 (I) + (0.28.71 ), B-673 (I) +
(0 28.72), B-674 (1) + (0.28.73), B-675 (I) + (0.28 74), B-676 (I) + (0.28.75), B-677 (I) +
(0 28.76), B-678 (1) + (0.28.77), B-679 (I) + (0.28 78), B-680 (I) + (0.28.79), B-681 (I) +
(0 28.80), B-682 (1) + (0.28.81 ), B-683 (I) + (0.28 82), B-684 (I) + (A.3.29). The mixtures of active substances can be prepared as compositions comprising besides the active ingredients at least one inert ingredient (auxiliary) by usual means, e. g. by the means given for the compositions of compounds I.
Concerning usual ingredients of such compositions reference is made to the explanations given for the compositions containing compounds I.
The mixtures of active substances according to the present invention are suitable as fungicides, as are the compounds of formula I. They are distinguished by an outstanding effectiveness against a broad spectrum of phytopathogenic fungi, especially from the classes of the
Ascomycetes, Basidiomycetes, Deuteromycetes and Peronosporomycetes (syn. Oomycetes). In addition, it is refered to the explanations regarding the fungicidal activity of the compounds and the compositions containing compounds I, respectively.
I. Synthesis
1.1 ) Preparation of 2-[4-[5-(trifluoromethyl)-1 ,2,4-oxadiazol-3-yl]phenyl]acetyl chloride
To a solution of 2-[4-[5-(trifluoromethyl)-1 ,2,4-oxadiazol-3-yl]phenyl]acetic acid (0.4 g, 1.0 eq., for its preparation see WO 2013/008162) in dichloromethane (10 ml_), oxalyl chloride (0.37 g, 2 eq.) and Λ , V-dimethylformamide (50 mg) was added slowly. The mixture was stirred for 3 hours at ambient temperature. The solvent and excess oxalyl chloride were removed under reduced pressure to afford the title compound (0.4 g) that was used directly without further purification.
1.2) Preparation of N-(1 -cyanoethyl)-2-[4-[5-(trifluoromethyl)-1 ,2,4-oxadiazol-3- yl]phenyl]acetamide (Ex-2)
To a solution of 2-[4-[5-(trifluoromethyl)-1 ,2,4-oxadiazol-3-yl]phenyl]acetyl chloride
(0.5 g, 1.0 eq.) in dichloromethane (20ml_) was added triethylamine (0.52 g, 3 eq.) and 2- aminopropanenitrile (0.18 g, 2.0 eq.). The mixture was stirred overnight at ambient temperature, before it was successively washed with diluted aqueous solutions of hydrochloric acid and water. The organic layer dried over sodium sulfate, filtered, concentrated to dryness, and then purified by flash chromatography (cyclohexane : methyl fe/7-butylether) to afford the title compound as a yellow solid. Melting point: 150 °C.1H-NMR (CDCI3 400 MHz): δ [ppm] = 1 .5 (d, 3H), 3.62 (s, 2H), 4.9 (m, 1 H), 6.0 (m, 1 H), 7.43 (cl, 2H), 8.12 (cl, 2H).
1.3) Preparation of 2,2-difluoro-2-[4-[5-(trifluoromethyl)-1 ,2,4-oxadiazol-3-yl]phenyl]acetyl chloride
To a solution of 2,2-difluoro-2-[4-[5-(trifluoromethyl)-1 ,2,4-oxadiazol-3-yl]phenyl]acetic acid (0.4 g, 1 .0 eq.) (for preparation see WO 2017/076742) in dichloromethane (20 ml_), oxalyl chloride (0.33 g, 2 eq.) and Λ , V-dimethylformamide (50 mg) was added slowly. The mixture was stirred for 3 hours at ambient temperature. The solvent and excess oxalyl chloride were removed under reduced pressure to afford the title compound (0.6 g) that was used directly without further purification.
1.4) Preparation of N-(1 -cyanoethyl)-2,2-difluoro-2-[4-[5-(trifluoromethyl)-1 ,2,4-oxadiazol-3- yl]phenyl]acetamide (Ex-6)
To a solution of 2,2-difluoro-2-[4-[5-(trifluoromethyl)-1 ,2,4-oxadiazol-3-yl]phenyl]acetyl chloride (0.6 g, 1.0 eq.) in dichloromethane (20 ml.) was added triethylamine (0.55 g, 3 eq.) and 2- aminopropanenitrile (0.196 g, 1 eq.). The mixture was stirred overnight at ambient temperature, before it was successively washed with diluted aqueous solutions of hydrochloric acid and water. The organic layer dried over sodium sulfate, filtered, concentrated to dryness, and then purified by flash chromatography (cyclohexane : methyl fe/7-butylether) to afford the title compound as a yellow solid. Melting point: 100 °C.1H-NMR (CDCI3 400 MHz): δ [ppm] = 1.62 (d, 3H), 4.95 (m, 1 H), 7.78 (cl, 2H), 8.22 (cl, 2H).
The compounds listed in Table I were prepared in an analogous manner.
Table I: Compounds Ex-1 to Ex-7 of the formula I.Ex, wherein the meaning of the variables are as defined in each line.
Figure imgf000068_0001
Melting
Ex. HPLC Rt
R3/R4 L RN RVR2 point no (min)*
(°C)
Ex-1 H/H -C(=0)- H CH3/CH3 1 .25 155
Ex-2 H/H -C(=0)- H H/ CHs 1 .06 150
Ex-3 H/H -C(=0)- H H/ CH2CH3 1 .1 1 133 Melting
Ex. HPLC Rt
R3/R4 L RN RVR2 point no (min)*
(°C)
Ex-4 H/H -C(=0)- H CH3/CH2CH3 1 .13 133
Ex-5 F/F -C(=0)- H CH3/CH3 1 .18 93
Ex-6 F/F -C(=0)- H H/ CH3 1 .14 100
Ex-7 F/F -C(=0)- H H/ CH2CH3 1 .19 80
* HPLC: High Performance Liquid Chromatography; HPLC-column Kinetex XB C18 1 ,7μ (50 x 2,1 mm); eluent: acetonitrile / water + 0.1 % trifluoroacetic acid (gradient from 5:95 to 100 : 0 in
I .5 min at 60°C, flow gradient from 0.8 to 1 .0 ml/min in 1 .5 min). MS:
Quadrupol Electrospray lonisation, 80 V (positive mode). Rt: retention time in minutes.
I I . Biological examples for fungicidal activity
The fungicidal action of the compounds of formula I was demonstrated by the following experiments: The spray solutions were prepared in several steps: The stock solution were prepared by mixting acetone and/or dimethylsulfoxide and the wetting agent/emulsifier Wettol, which is based on ethoxylated alkylphenoles, in a relation (volume) solvent-emulsifier of 99 to
I . This mixture was added to 25 mg of the compound to give a total of 5 mL. Water was then added to total volume of 100 mL. This stock solution was diluted with the described solvent- emulsifier-water mixture to the given concentration.
I I.1 ) Curative control of soy bean rust on soy beans caused by Phakopsora pachyrhizi
Leaves of pot-grown soy bean seedlings were inoculated with spores of Phakopsora pachyrhizi. To ensure the success of the artificial inoculation, the plants were transferred to a humid chamber with a relative humidity of about 95% and 20 to 24°C for 24 hours. The next day the plants were cultivated for 3 days in a greenhouse chamber at 23 to 27°C and a relative humidity between 60 and 80%. Then the plants were sprayed to run-off with an aqueous suspension, containing the concentration of active ingredient or their mixture as described below. The plants were allowed to air-dry. Then the trial plants were cultivated for 14 days in a greenhouse chamber at 23 to 27°C and a relative humidity between 60 and 80%. The extent of fungal attack on the leaves was visually assessed as % diseased leaf area.
In this test, the plants which had been treated with 63 ppm of the active compounds Ex-1 , Ex-2, Ex-3, Ex-4, Ex-5, Ex-6, and Ex-7 showed a diseased leaf area of at most 2%, whereas the untreated plants showed 90% diseased leaf area.
11.2) Protective control of soy bean rust on soy beans caused by Phakopsora pachyrhizi
Leaves of pot-grown soy bean seedlings were sprayed to run-off with an aqueous suspension, containing the concentration of active ingredient or their mixture as described below. The plants were allowed to air-dry. The trial plants were cultivated for 2 days in a greenhouse chamber at 23 to 27°C and a relative humidity between 60 and 80%. Then the plants were inoculated with spores of Phakopsora pachyrhizi. To ensure the success the artificial inoculation, the plants were transferred to a humid chamber with a relative humidity of about 95% and 20 to 24°C for 24 hours. The trial plants were cultivated for fourteen days in a greenhouse chamber at 23 to 27°C and a relative humidity between 60 and 80%. The extent of fungal attack on the leaves was visually assessed as % diseased leaf area.
In this test, the plants which had been treated with 63 ppm of the active compounds Ex-1 , Ex-2, Ex-3, Ex-4, Ex-5, Ex-6, and Ex-7 showed a diseased leaf area of 0%, whereas the untreated plants showed 90% diseased leaf area.
11.3) Curative control of brown rust on wheat caused by Puccinia recondita
The first two developed leaves of pot-grown wheat seedling were dusted with spores of Puccinia recondita. To ensure the success the artificial inoculation, the plants were transferred to a humid chamber without light and a relative humidity of 95 to 99% and 20 to 24°C for 24 hours. The next day the plants were cultivated for 3 days in a greenhouse chamber at 20 to 24°C and a relative humidity between 65 and 70%. Then the plants were sprayed to run-off with an aqueous suspension, containing the concentration of active ingredient or their mixture as described below. The plants were allowed to air-dry. Then the trial plants were cultivated for 8 days in a greenhouse chamber at 20 to 24°C and a relative humidity between 65 and 70%. The extent of fungal attack on the leaves was visually assessed as % diseased leaf area.
In this test, the plants which had been treated with 63 ppm of the active compounds Ex-2, Ex-3, Ex-4, Ex-5, Ex-6, and Ex-7 showed a diseased leaf area of at most 6%, whereas the untreated plants showed 80% diseased leaf area.
11.4) Preventative control of brown rust on wheat caused by Puccinia recondita
The first two developed leaves of pot-grown wheat seedling were sprayed to run-off with an aqueous suspension, containing the concentration of active ingredient or their mixture as described below. The next day the plants were inoculated with spores of Puccinia recondita. To ensure the success the artificial inoculation, the plants were transferred to a humid chamber without light and a relative humidity of 95 to 99% and 20 to 24°C for 24 hours. Then the trial plants were cultivated for 6 days in a greenhouse chamber at 20 to 24°C and a relative humidity between 65 and 70%. The extent of fungal attack on the leaves was visually assessed as % diseased leaf area.
In this test, the plants which had been treated with 63 ppm of the active compounds Ex-2, Ex-5, Ex-6, and Ex-7 showed a diseased leaf area of at most 12%, whereas the untreated plants showed 80% diseased leaf area.

Claims

Claims
1 . Compounds of the formula I, or the N-oxides, or the agriculturally acceptable salts thereof,
Figure imgf000071_0001
wherein:
A is phenyl or a 5- or 6-membered aromatic heterocycle; wherein the ring member atoms of the aromatic heterocycle include besides carbon atoms 1 , 2, 3 or 4 heteroatoms selected from N, O and S as ring member atoms with the provision that the heterocycle cannot contain 2 contiguous atoms selected from O and S; and wherein the phenyl ring or the aromatic heterocycle is unsubstituted or substituted with 1 , 2, 3 or 4 identical or different groups RA; wherein
RA is halogen, cyano, Ci-C6-alkyl, Ci-C6-haloalkyl, Ci-C6-alkoxy or
Ci-C6-haloalkoxy;
L is -C(=0)- or -C(=S)-;
R1 and R2 independently of each other are selected from the group consisting of
hydrogen, Ci-C6-alkyl, Cs-Cs-cycloalkyl, Cs-Cs-cycloalkenyl, C2-C6-alkenyl and C2-C6-alkynyl; and wherein any of the above-mentioned aliphatic or cyclic groups are unsubstituted or substituted with 1 , 2, 3 or up to the maximum possible number of identical or different groups R1a; and with the provision that no more than one of radicals R1 and R2 is hydrogen; or
R1 and R2 together with the carbon atom to which they are bound form a saturated 3- to 7-membered carbocycle; and wherein said carbocycle is unsubstituted or substituted with 1 , 2, 3 or up to the maximum possible number of identical or different radicals selected from the group consisting of halogen, Ci-C6-alkyl and Ci-C6-alkoxy;
R1a is halogen, oxo, cyano, N02, OH, SH, NH2, d-Ce-alkyl, d-Ce-haloalkyl,
Ci-C6-alkoxy, Ci-C6-haloalkoxy, Ci-C6-alkylthio, Ci-C6-haloalkylthio, Cs-Cs- cycloalkyl, -NHS02-Ci-C4-alkyl, (C=0)-Ci-C4-alkyl, C(=0)-Ci-C4-alkoxy, Ci-C6- alkylsulfonyl, hydroxyCi-C4-alkyl, C(=0)-NH2, C(=0)-NH(Ci-C4-alkyl), Ci-C4- alkylthio-Ci-C4-alkyl, aminoCi-C4-alkyl, Ci-C4-alkylamino-Ci-C4-alkyl, diCi-C4- alkylamino-Ci-C4-alkyl, aminocarbonyl-Ci-C4-alkyl or Ci-C4-alkoxy-Ci-C4-alkyl;
RN is hydrogen, formyl, Ci-C6-alkyl, C2-C6-alkenyl, C2-C6-alkynyl, Ci-C6-alkoxy,
C3-Cs-cycloalkyl, Cs-Cs-cycloalkenyl, C3-Cs-cycloalkyl-Ci-C4-alkyl, phenyl- Ci-C4-alkyl, phenyl, pyridinyl, C(=0)-(Ci-C6-alkyl), C(=0)-(C3-C8-cycloalkyl), C(=0)-(Ci-C6-alkoxy) or -N(RNa)2; wherein
RNa is independently selected from the group consisting of hydrogen, OH,
Ci-C6-alkyl, C2-C6-alkenyl, C2-C6-alkynyl, Cs-Cs-cycloalkyl, Cs-Cs-cycloalkenyl, Ci-C6-alkoxy, Ci-C4-alkoxy-Ci-C4-alkyl and Ci-C6-alkylthio;
and wherein any of the aliphatic or cyclic groups in RN are unsubstituted or substituted with 1 , 2, 3 or up to the maximum possible number of identical or different radicals selected from the group consisting of halogen, hydroxy, oxo, cyano, Ci-C6-alkyl, Ci-C6-alkoxy and Cs-Cs-cycloalkyl;
R3, R4 independently of each other are selected from the group consisting of hydrogen, halogen, cyano, Ci-C4-alkyl, Ci-C4-alkenyl, Ci-C4-alkynyl, Ci-C4-haloalkyl and
Ci-C4-alkoxy; or
R3 and R4 together with the carbon atom to which they are bound form a saturated 3- to 7-membered carbocycle or a saturated 3- to 6-membered heterocycle; wherein the saturated heterocycle includes beside carbon atoms 1 , 2 or 3 heteroatoms independently selected from the group consisiting of N, O and S as ring member atoms with the provision that the heterocycle cannot contain 2 contiguous atoms selected from O and S; and wherein said N ring member atom is substituted with the group RNb; wherein
RNb is hydrogen, Ci-C6-alkyl or halogen;
and wherein said S ring member atom is unsubstituted or substituted with 1 or 2 oxo radicals; and wherein one or two Chb groups of the saturated carbocycle or of the saturated heterocycle may be replaced by one or two groups independently selected from -C(=0)- and -C(=S)-; and wherein the carbon ring member atoms of the saturated carbocycle or of the saturated heterocycle are unsubstituted or substituted with a total number of 1 , 2, 3, 4 or up to the maximum possible number of identical or different radicals selected from the group consisting of halogen, cyano, C1-C6- alkyl, Ci-C6-alkoxy and Cs-Cs-cycloalkyl.
Compounds according to claim 1 , wherein A in compounds of the formula I is phenyl.
Compounds of the formula 1.1 , or the N-oxides, or the agriculturally acceptable salts thereof,
Figure imgf000072_0001
wherein n is 0 or 1 , and wherein the meaning of the variables RA, L, R3, R4, RN, R1 and R2 are as defined in claim 1 for compounds of the formula I.
Compounds according to any one of claims 1 to 3, wherein n is 0.
Compounds according to any one of claims 1 to 4, wherein L is -C(=0)-.
Compounds according to any one of claims 1 to 5, wherein R1 and R2 are independently selected from the group consisting of hydrogen and Ci-C6-alkyl; and with the provision that no more than one of radicals R1 and R2 is hydrogen; or R1 and R2 together with the carbon atom to which they are bound form a cyclopropyl ring; and wherein the Ci-C6-alkyl radical and the cyclopropyl ring are unsubstituted or substituted with 1 , 2, 3 or up to the maximum possible number of identical or different radicals selected from the group consisting of halogen, cyano, Ci-C6-alkyl, Ci-C6-haloalkyl, Ci-C6-alkoxy, Ci-C6-haloalkoxy and C3-C8- cycloalkyl.
Compounds according to any one of claims 1 to 6, wherein R1 and R2 are independently selected from the group consisting of hydrogen, methyl and ethyl; and with the provision that no more than one of radicals R1 and R2 is hydrogen; or R1 and R2 together with the carbon atom to which they are bound form a cyclopropyl ring.
Compounds according to any one of claims 1 to 7, wherein the radicals R3 and R4 are independently selected from the group consisting of hydrogen, fluorine, chlorine, methyl, difluoromethyl or trifluoromethyl; or R3 and R4 together with the carbon atom to which they are bound form a cyclopropyl ring.
Compounds according to any one of claims 1 to 8, wherein RN is hydrogen, formyl, C1-C6- alkyl, Ci-C6-alkoxy, C2-C6-alkenyl, propargyl, Cs-Cs-cycloalkyl, Cs-Cs-cycloalkenyl, C3-C8- cycloalkyl-Ci-C4-alkyl, phenyl, Ci-C6-alkylamino or diCi-C6-alkylamino; and wherein any of the aliphatic or cyclic groups are unsubstituted or substituted with 1 , 2, 3, 4 or up to the maximum possible number of identical or different radicals selected from the group consisting of halogen, cyano, Ci-C6-alkyl and Ci-C6-alkoxy.
Compounds according to any one of claims 1 to 8, wherein RN is hydrogen, formyl, methy, ethyl, /7-propyl, /so-propyl, methoxy, ethoxy, /7-propyloxy, /so-propyloxy, methylamino or dimethylamino. 1 1 . Compounds of the formula 1.1 , or the N-oxides, or the agriculturally acceptable salts
thereof,
Figure imgf000073_0001
wherein
n is 0;
L is -C(=0)-;
R1 and R2 are independently selected from the group consisting of hydrogen, methyl and ethyl; and with the provision that no more than one of radicals R1 and R2 is hydrogen;
RN is hydrogen, formyl, methyl, ethyl, /7-propyl, /so-propyl, methoxy, ethoxy, /7-propyloxy, /so-propyloxy, methylamino or dimethylamino;
R3 and R4 are both hydrogen or R3 and R4 are both fluorine.
12. An agrochemical composition, which comprises an auxiliary and at least one compound of the formula I, or an N-oxide, or an agriculturally acceptable salt thereof, as defined in any one of claims 1 to 1 1 .
13. An agrochemical composition according to claim 12, further comprising seed, wherein the amount of the compound of the formula I, or an N-oxide, or an agriculturally acceptable salt thereof, is from 0.1 g to 10 kg per 100 kg of seed.
The use of compounds as defined in any one of claims 1 to 1 1 for combating
phytopathogenic harmful fungi.
15. A method for combating phytopathogenic harmful fungi, which process comprises treating the fungi, the plants, the soil or seeds to be protected against fungal attack, with an effective amount of at least one compound of formula I, or an N-oxide, or an agriculturally acceptable salt thereof, as defined in any one of claims 1 to 1 1.
PCT/EP2018/0701212017-08-042018-07-25Substituted trifluoromethyloxadiazoles for combating phytopathogenic fungiCeasedWO2019025250A1 (en)

Applications Claiming Priority (2)

Application NumberPriority DateFiling DateTitle
EP171848672017-08-04
EP17184867.42017-08-04

Publications (1)

Publication NumberPublication Date
WO2019025250A1true WO2019025250A1 (en)2019-02-07

Family

ID=59558259

Family Applications (1)

Application NumberTitlePriority DateFiling Date
PCT/EP2018/070121CeasedWO2019025250A1 (en)2017-08-042018-07-25Substituted trifluoromethyloxadiazoles for combating phytopathogenic fungi

Country Status (1)

CountryLink
WO (1)WO2019025250A1 (en)

Cited By (1)

* Cited by examiner, † Cited by third party
Publication numberPriority datePublication dateAssigneeTitle
US11147275B2 (en)2017-11-232021-10-19Basf SeSubstituted trifluoromethyloxadiazoles for combating phytopathogenic fungi

Citations (178)

* Cited by examiner, † Cited by third party
Publication numberPriority datePublication dateAssigneeTitle
US3296272A (en)1965-04-011967-01-03Dow Chemical CoSulfinyl- and sulfonylpyridines
US3325503A (en)1965-02-181967-06-13Diamond Alkali CoPolychloro derivatives of mono- and dicyano pyridines and a method for their preparation
EP0141317A2 (en)1983-10-211985-05-15BASF Aktiengesellschaft7-Amino-azolo[1,5-a]pyrimidines and fungicides containing them
EP0152031A2 (en)1984-02-031985-08-21Shionogi & Co., Ltd.Azolyl cycloalkanol derivatives and agricultural fungicides
EP0226917A1 (en)1985-12-201987-07-01BASF AktiengesellschaftAcrylic acid esters and fungicides containing these compounds
EP0243970A1 (en)1986-05-021987-11-04Stauffer Chemical CompanyFungicidal pyridyl imidates
EP0256503A2 (en)1986-08-121988-02-24Mitsubishi Kasei CorporationPyridinecarboxamide derivatives and their use as fungicide
EP0428941A1 (en)1989-11-101991-05-29Agro-Kanesho Co., Ltd.Hexahydrotriazine compounds and insecticides
EP0532022A1 (en)1991-09-131993-03-17Ube Industries, Ltd.Acrylate compound, preparation process thereof and fungicide using the same
WO1994001546A1 (en)1992-07-011994-01-20Cornell Research Foundation, Inc.Elicitor of the hypersensitive response in plants
DE19650197A1 (en)1996-12-041998-06-10Bayer Ag 3-thiocarbamoylpyrazole derivatives
WO1998044140A1 (en)1997-04-031998-10-08Dekalb Genetics CorporationGlyphosate resistant maize lines
WO1998046608A1 (en)1997-04-141998-10-22American Cyanamid CompanyFungicidal trifluoromethylalkylamino-triazolopyrimidines
WO1999014187A1 (en)1997-09-181999-03-25Basf AktiengesellschaftBenzamidoxim derivatives, intermediate products and methods for preparing and using them as fungicides
WO1999024413A2 (en)1997-11-121999-05-20Bayer AktiengesellschaftIsothiazole carboxylic acid amides and the application thereof in order to protect plants
WO1999027783A1 (en)1997-12-041999-06-10Dow Agrosciences LlcFungicidal compositions and methods, and compounds and methods for the preparation thereof
WO2000026356A1 (en)1998-11-032000-05-11Aventis Cropscience N. V.Glufosinate tolerant rice
WO2000026345A1 (en)1998-11-032000-05-11Aventis Cropscience N.V.Glufosinate tolerant rice
WO2000029404A1 (en)1998-11-172000-05-25Kumiai Chemical Industry Co., Ltd.Pyrimidinylbenzimidazole and triazinylbenzimidazole derivatives and agricultura/horticultural bactericides
WO2000046148A1 (en)1999-02-022000-08-10Sintokogio, Ltd.Silica gel carrying titanium oxide photocatalyst in high concentration and method for preparation thereof
EP1028125A1 (en)1998-11-302000-08-16Isagro Ricerca S.r.l.Dipeptide compounds having fungicidal activity and their agronomic use
EP1035122A1 (en)1999-03-112000-09-13Rohm And Haas CompanyHeterocyclic subsituted isoxazolidines and their use as fungicides
WO2000065913A1 (en)1999-04-282000-11-09Takeda Chemical Industries, Ltd.Sulfonamide derivatives
WO2001031042A2 (en)1999-10-292001-05-03Aventis Cropscience N.V.Male-sterile brassica plants and methods for producing same
WO2001041558A1 (en)1999-12-082001-06-14Aventis Cropscience N.V.Hybrid winter oilseed rape and methods for producing same
DE10021412A1 (en)1999-12-132001-06-21Bayer Ag Fungicidal active ingredient combinations
WO2001054501A2 (en)2000-01-252001-08-02Syngenta Participations AgHerbicidal composition
EP1122244A1 (en)2000-02-042001-08-08Sumitomo Chemical Company, LimitedUracil compounds and their use
WO2001056358A2 (en)2000-01-282001-08-09Rohm And Haas CompanyEnhanced propertied pesticides
CN1309897A (en)2000-02-242001-08-29沈阳化工研究院Unsaturated oximino ether bactericide
WO2002022583A2 (en)2000-09-182002-03-21E. I. Du Pont De Nemours And CompanyPyridinyl amides and imides for use as fungicides
WO2002034946A2 (en)2000-10-252002-05-02Monsanto Technology LlcCotton event pv-ghgt07(1445) and compositions and methods for detection thereof
EP1201648A1 (en)1999-08-052002-05-02Kumiai Chemical Industry Co., Ltd.Carbamate derivatives and agricultural/horticultural bactericides
WO2002036831A2 (en)2000-10-302002-05-10Monsanto Technology LlcCanola event pv-bngt04(rt73) and compositions and methods for detection thereof
WO2002040431A2 (en)2000-11-172002-05-23Dow Agrosciences LlcCompounds having fungicidal activity and processes to make and use same
JP2002316902A (en)2001-04-202002-10-31Sumitomo Chem Co Ltd Plant disease control agent composition
WO2002100163A2 (en)2001-06-112002-12-19Monsanto Technology LlcCotton event moni5985 and compositions and methods for detection
WO2003010149A1 (en)2001-07-252003-02-06Bayer Cropscience AgPyrazolylcarboxanilides as fungicides
WO2003011853A1 (en)2001-07-302003-02-13Dow Agrosciences Llc6-aryl-4-aminopicolinates and their use as herbicides
WO2003013224A2 (en)2001-08-062003-02-20Bayer Bioscience N.V.Herbicide tolerant cotton plants and methods for producing and identifying same
WO2003014103A1 (en)2001-08-032003-02-20Bayer Cropscience S.A.Iodobenzopyran-4-one derivatives having fungicidal activity
WO2003016303A1 (en)2001-08-202003-02-27Dainippon Ink And Chemicals, Inc.Tetrazoyl oxime derivative and agricultural chemical containing the same as active ingredient
WO2003016286A1 (en)2001-08-172003-02-27Sankyo Agro Company, Limited3-phenoxy-4-pyridazinol derivative and herbicide composition containing the same
WO2003053145A1 (en)2001-12-212003-07-03Nissan Chemical Industries, Ltd.Bactericidal composition
WO2003061388A1 (en)2002-01-182003-07-31Sumitomo Chemical Takeda Agro Company, LimitedFused heterocyclic sulfonylurea compound, herbicide containing the same, and method of controlling weed with the same
WO2003066609A1 (en)2002-02-042003-08-14Bayer Cropscience AktiengesellschaftDisubstituted thiazolyl carboxanilides and their use as microbicides
WO2003074491A1 (en)2002-03-052003-09-12Syngenta Participations AgO-cyclopropyl-carboxanilides and their use as fungicides
CN1456054A (en)2003-03-252003-11-19浙江省化工研究院Methoxy methyl acrylate compounds as bactericidal agent
WO2004011601A2 (en)2002-07-292004-02-05Monsanto Technology, LlcCorn event pv-zmir13 (mon863) plants and compositions and methods for detection thereof
WO2004039986A1 (en)2002-10-292004-05-13Syngenta Participations AgCot102 insecticidal cotton
WO2004049804A2 (en)2002-11-292004-06-17Syngenta Participations AgFungicidal combinations for crop potection
WO2004072235A2 (en)2003-02-122004-08-26Monsanto Technology LlcCotton event mon 88913 and compositions and methods for detection thereof
WO2004074492A1 (en)2003-02-202004-09-02Kws Saat AgGlyphosate tolerant sugar beet
WO2004083193A1 (en)2003-03-172004-09-30Sumitomo Chemical Company, LimitedAmide compound and bactericide composition containing the same
WO2004099447A2 (en)2003-05-022004-11-18Dow Agrosciences LlcCorn event tc1507 and methods for detection thereof
US20040248884A1 (en)2003-01-312004-12-09Aventis Pharma S.A.Novel cyclic urea derivatives, preparation thereof and pharmaceutical use thereof as kinase inhibitors
WO2005059103A2 (en)2003-12-152005-06-30Monsanto Technology LlcCorn plant mon88017 and compositions and methods for detection thereof
WO2005061720A2 (en)2003-12-112005-07-07Monsanto Technology LlcHigh lysine maize compositions and methods for detection thereof
WO2005063721A1 (en)2003-12-192005-07-14E.I. Dupont De Nemours And CompanyHerbicidal pyrimidines
WO2005087772A1 (en)2004-03-102005-09-22Basf Aktiengesellschaft5,6-dialkyl-7-amino-triazolopyrimidines, method for their production, their use for controlling pathogenic fungi and agents containing said compounds
WO2005087773A1 (en)2004-03-102005-09-22Basf Aktiengesellschaft5,6-dialkyl-7-amino-triazolopyrimidines, method for their production, their use for controlling pathogenic fungi and agents containing said compounds
WO2005103301A2 (en)2004-03-252005-11-03Syngenta Participations AgCorn event mir604
WO2005103266A1 (en)2004-03-262005-11-03Dow Agrosciences LlcCry1f and cry1ac transgenic cotton lines and event-specific identification thereof
WO2005120234A2 (en)2004-06-032005-12-22E.I. Dupont De Nemours And CompanyFungicidal mixtures of amidinylphenyl compounds
WO2005123689A1 (en)2004-06-182005-12-29Basf Aktiengesellschaft1-methyl-3-trifluoromethyl-pyrazole-4-carboxylic acid (ortho-phenyl)-anilides and to use thereof as fungicide
WO2005123690A1 (en)2004-06-182005-12-29Basf Aktiengesellschaft1-methyl-3-difluoromethyl-pyrazol-4-carbonic acid-(ortho-phenyl)-anilides, and use thereof as a fungicide
WO2006013104A1 (en)2004-08-052006-02-09Santhera Pharmaceuticals (Schweiz) AgHeterocyclic compounds useful as dpp- iv inhibitors
WO2006015866A1 (en)2004-08-122006-02-16Syngenta Participations AgMethod for protecting useful plants or plant propagation material
WO2006039376A2 (en)2004-09-292006-04-13Pioneer Hi-Bred International, Inc.Corn event das-59122-7 and methods for detection thereof
WO2006066172A1 (en)2004-12-172006-06-22Amgen, Inc.Aminopyrimidine compounds and methods of use
WO2006087343A1 (en)2005-02-162006-08-24Basf AktiengesellschaftPyrazole carboxylic acid anilides, method for the production thereof and agents containing them for controlling pathogenic fungi
WO2006087325A1 (en)2005-02-162006-08-24Basf Aktiengesellschaft5-alkoxyalkyl-6-alkyl-7-amino-azolopyrimidines, method for their production, their use for controlling pathogenic fungi and agents containing said substances
WO2006091885A2 (en)2005-02-242006-08-31Dr Pharma Nova, LlcA registry method and control system for dea schedule ii-v medicines
DE102005009458A1 (en)2005-03-022006-09-07Bayer Cropscience Ag pyrazolylcarboxanilides
WO2006098952A2 (en)2005-03-162006-09-21Syngenta Participations AgCorn event 3272 and methods of detection thereof
WO2006108674A2 (en)2005-04-082006-10-19Bayer Bioscience N.V.Elite event a2704-12 and methods and kits for identifying such event in biological samples
WO2006108675A2 (en)2005-04-112006-10-19Bayer Bioscience N.V.Elite event a5547-127 and methods and kits for identifying such event in biological samples
WO2006123792A1 (en)2005-05-192006-11-23Daiichi Sankyo Company, LimitedTri- or tetra-substituted-3-aminopyrrolidine derivatives
WO2006123242A1 (en)2005-05-182006-11-23Pfizer Limited1, 2, 4 -triazole derivatives as vasopressin antagonists
WO2006130436A2 (en)2005-05-272006-12-07Monsanto Technology LlcSoybean event mon89788 and methods for detection thereof
WO2006128573A2 (en)2005-06-022006-12-07Syngenta Participations AgCe43- 67b, insecticidal transgenic cotton expressing cry1ab
WO2007006670A1 (en)2005-07-072007-01-18Basf AktiengesellschaftN-thio-anthranilamid compounds and their use as pesticides
CN1907024A (en)2005-08-032007-02-07浙江化工科技集团有限公司Methoxyl group displacement methyl acrylate compound bactericidal agent
WO2007017186A1 (en)2005-08-082007-02-15Bayer Bioscience N.V.Herbicide tolerant cotton plants and methods for identifying same
WO2007082098A2 (en)2006-01-132007-07-19Dow Agrosciences Llc6-(poly-substituted aryl)-4-aminopicolinates and their use as herbicides
WO2007090624A2 (en)2006-02-092007-08-16Syngenta Participations AgA method of protecting a plant propagation material, a plant, and/or plant organs
WO2007129454A1 (en)2006-05-082007-11-15Kumiai Chemical Industry Co., Ltd.1,2-benzisothiazole derivative, and agricultural or horticultural plant disease-controlling agent
WO2007140256A1 (en)2006-05-262007-12-06Monsanto Technology, LlcCorn plant and seed corresponding to transgenic event mon89034 and methods for detection and use thereof
WO2007142840A2 (en)2006-06-032007-12-13Syngenta Participations AgCorn event mir162
US20070292854A1 (en)2000-06-222007-12-20Behr Carl FCorn event PV-ZMGT32(nk603) and compositions and methods for detection thereof
WO2008002872A2 (en)2006-06-282008-01-03Pioneer Hi-Bred International, Inc.Soybean event 3560.4.3.5 and compositions and methods for the identification and/or detection thereof
WO2008013622A2 (en)2006-07-272008-01-31E. I. Du Pont De Nemours And CompanyFungicidal azocyclic amides
WO2008054747A2 (en)2006-10-312008-05-08E. I. Du Pont De Nemours And CompanySoybean event dp-305423-1 and compositions and methods for the identification and/or detection thereof
WO2008076415A1 (en)2006-12-142008-06-26Exelixis, Inc.Methods of using mek inhibitors
WO2008112019A2 (en)2006-10-302008-09-18Pioneer Hi-Bred International, Inc.Maize event dp-098140-6 and compositions and methods for the identification and/or detection thereof
WO2008122406A1 (en)2007-04-052008-10-16Bayer Bioscience N.V.Insect resistant cotton plants and methods for identifying same
EP2003120A1 (en)2007-06-122008-12-17Concert Pharmaceuticals Inc.Azapeptide derivatives as HIV protease inhibitors
WO2008151780A1 (en)2007-06-112008-12-18Bayer Bioscience N.V.Insect resistant cotton plants comprising elite event ee-gh6 and methods for identifying same
WO2009053716A1 (en)2007-10-262009-04-30F.Hoffmann-La Roche AgPurine derivatives useful as pi3 kinase inhibitors
WO2009064652A1 (en)2007-11-152009-05-22Monsanto Technology LlcSoybean plant and seed corresponding to transgenic event mon87701 and methods for detection thereof
WO2009074950A2 (en)2007-12-102009-06-18Actelion Pharmaceuticals LtdThiophene derivatives as agonists of s1p1/edg1
WO2009090181A2 (en)2008-01-152009-07-23Bayer Cropscience SaPesticide composition comprising a tetrazolyloxime derivative and a fungicide or an insecticide active substance
WO2009094442A2 (en)2008-01-222009-07-30Dow Agrosciences Llc5-fluoro pyrimidine derivatives
WO2009102873A1 (en)2008-02-152009-08-20Monsanto Technology LlcSoybean plant and seed corresponding to transgenic event mon87769 and methods for detection thereof
WO2009103049A2 (en)2008-02-142009-08-20Pioneer Hi-Bred International, Inc.Plant genomic dna flanking spt event and methods for identifying spt event
WO2009111263A1 (en)2008-02-292009-09-11Monsanto Technology LlcCorn plant event mon87460 and compositions and methods for detection thereof
US20100036131A1 (en)2008-07-302010-02-11University Of Southern CaliforniaN-heterocyclic carbene-amido palladium(ii) catalysts and method of use thereof
EP2168947A1 (en)2007-06-222010-03-31Yoshiaki KisoNovel compound having secretase inhibitory activity
WO2010037016A1 (en)2008-09-292010-04-01Monsanto Technology LlcSoybean transgenic event mon87705 and methods for detection thereof
WO2010069882A1 (en)2008-12-172010-06-24Syngenta Participations AgIsoxazole derivatives for use as fungicides
WO2010077816A1 (en)2008-12-162010-07-08Syngenta Participations AgCorn event 5307
WO2010080829A1 (en)2009-01-072010-07-15Basf Agrochemical Products B.V.Soybean event 127 and methods related thereto
WO2010086820A1 (en)2009-02-022010-08-05Pfizer Inc.4-amino-5-oxo-7, 8-dihydropyrimido [5,4-f] [1,4] oxazepin-6 (5h) -yl) phenyl derivatives, pharmaceutical compositions and uses thereof
WO2010139271A1 (en)2009-06-052010-12-09中国中化股份有限公司E-type phenyl acrylic ester compounds containing substituted anilino pyrimidine group and uses thereof
WO2011022469A2 (en)2009-08-192011-02-24Dow Agrosciences LlcAad-1 event das-40278-9, related transgenic corn lines, and event-specific identification thereof
WO2011028657A1 (en)2009-09-012011-03-10Dow Agrosciences LlcSynergistic fungicidal compositions containing a 5-fluoropyrimidine derivative for fungal control in cereals
WO2011034704A1 (en)2009-09-172011-03-24Monsanto Technology LlcSoybean transgenic event mon 87708 and methods of use thereof
WO2011062904A1 (en)2009-11-232011-05-26Monsanto Technology LlcTransgenic maize event mon 87427 and the relative development scale
WO2011066384A1 (en)2009-11-242011-06-03Dow Agrosciences LlcAad-12 event 416, related transgenic soybean lines, and event-specific identification thereof
WO2011077514A1 (en)2009-12-222011-06-30三井化学アグロ株式会社Plant disease control composition and method for controlling plant diseases by applying the composition
WO2011081174A1 (en)2010-01-042011-07-07日本曹達株式会社Nitrogen-containing heterocyclic compound and agricultural/horticultural germicide
WO2011084621A1 (en)2009-12-172011-07-14Pioneer Hi-Bred International, Inc.Maize event dp-004114-3 and methods for detection thereof
WO2011135827A1 (en)2010-04-272011-11-03Sumitomo Chemical Company, LimitedPesticidal composition and its use
WO2011135833A1 (en)2010-04-282011-11-03Sumitomo Chemical Company, LimitedPlant disease control composition and its use
WO2011153186A1 (en)2010-06-042011-12-08Monsanto Technology LlcTransgenic brassica event mon 88302 and methods of use thereof
WO2012038438A1 (en)2010-09-222012-03-29Janssen Pharmaceutica Nv4,7-DIHYDRO-PYRAZOLO[1,5-a]PYRAZIN-6-YLAMINE DERIVATIVES USEFUL AS INHIBITORS OF BETA-SECRETASE (BACE)
WO2012051199A2 (en)2010-10-122012-04-19Monsanto Technology LlcSoybean plant and seed corresponding to transgenic event mon87712 and methods for detection thereof
WO2012082548A2 (en)2010-12-152012-06-21Syngenta Participations AgSoybean event syht0h2 and compositions and methods for detection thereof
WO2012084812A1 (en)2010-12-202012-06-28Isagro Ricerca S.R.L.Aminoindanes amides having a high fungicidal activity and their phytosanitary compositions
US20120220795A1 (en)2009-11-182012-08-30Hideki AmiiMethod for producing aromatic difluoroacetic acid ester
WO2012119559A1 (en)2011-03-102012-09-13Suzhou Kintor Pharmaceuticals,Inc.Androgen receptor antagonists and uses thereof
WO2012134808A1 (en)2011-03-302012-10-04Monsanto Technology LlcCotton transgenic event mon 88701 and methods of use thereof
WO2012162635A1 (en)2011-05-262012-11-29Sunovion Pharmaceuticals Inc.Metabotropic glutamate receptors 5 modulators and methods of use thereof
WO2012165511A1 (en)2011-05-312012-12-06クミアイ化学工業株式会社Method for controlling diseases in rice plant
WO2012168188A1 (en)2011-06-072012-12-13Bayer Intellectual Property GmbhActive compound combinations
WO2013003558A1 (en)2011-06-302013-01-03Monsanto Technology LlcAlfalfa plant and seed corresponding to transgenic event kk 179-2 and methods for detection thereof
WO2013007767A1 (en)2011-07-132013-01-17Basf SeFungicidal substituted 2-[2-halogenalkyl-4-(phenoxy)-phenyl]-1-[1,2,4]triazol-1-yl-ethanol compounds
WO2013008162A1 (en)2011-07-082013-01-17Novartis AgNovel trifluoromethyl-oxadiazole derivatives and their use in the treatment of disease
WO2013010862A1 (en)2011-07-152013-01-24Basf SeFungicidal alkyl-substituted 2-[2-chloro-4-(4-chloro-phenoxy)-phenyl]-1-[1,2,4]triazol-1-yl-ethanol compounds
WO2013016516A1 (en)2011-07-262013-01-31Dow Agrosciences LlcInsect resistant and herbicide tolerant breeding stack of soybean event pdab9582.814.19.1 and pdab4468.04.16.1
WO2013024010A1 (en)2011-08-122013-02-21Basf SeN-thio-anthranilamide compounds and their use as pesticides
WO2013024009A1 (en)2011-08-122013-02-21Basf SeN-thio-anthranilamide compounds and their use as pesticides
WO2013036835A1 (en)2011-09-082013-03-14Sage Therapeutics, Inc.Neuroactive steroids, compositions, and uses thereof
WO2013047749A1 (en)2011-09-292013-04-04三井化学アグロ株式会社Production method for 4, 4-difluoro-3,4-dihydroisoquinoline derivative
WO2013047441A1 (en)2011-09-262013-04-04日本曹達株式会社Agricultural and horticultural bactericide composition
WO2013066835A2 (en)2011-10-312013-05-10Glaxosmithkline LlcCompounds and methods
WO2013083556A1 (en)2011-12-062013-06-13Janssen Pharmaceutica Nv5-(3-aminophenyl)-5-alkyl-5,6-dihydro-2h-[1,4]oxazin-3-amine derivatives
WO2013092224A1 (en)2011-12-212013-06-27Basf SeUse of strobilurin type compounds for combating phytopathogenic fungi resistant to qo inhibitors
WO2013112527A1 (en)2012-01-232013-08-01Dow Agrosciences LlcHerbicide tolerant cotton event pdab4468.19.10.3
WO2013116251A2 (en)2012-02-012013-08-08E. I. Du Pont De Nemours And CompanyFungicidal pyrazole mixtures
WO2013127704A1 (en)2012-02-272013-09-06Bayer Intellectual Property GmbhActive compound combinations containing a thiazoylisoxazoline and a fungicide
WO2013162072A1 (en)2012-04-272013-10-31Sumitomo Chemical Company, LimitedTetrazolinone compounds and its use as pesticides
CN103387541A (en)2012-05-102013-11-13中国中化股份有限公司Preparation method of substituted pyrazolylether compound
WO2013169923A2 (en)2012-05-082013-11-14Monsanto Technology LlcCorn event mon 87411
WO2014060177A1 (en)2012-10-162014-04-24Syngenta Participations AgFungicidal compositions
CN103804358A (en)2012-11-142014-05-21上海医药集团股份有限公司Biaryl hydantoin derivate and preparation method, medicine composition and application thereof
CN103936759A (en)2014-03-112014-07-23新发药业有限公司Simple preparation method for (3aS,6aR)-1,3-dibenzyl-tetrahydro-4H-thieno[3,4-d]imidazole-2,4-(1H)-dione
WO2014116854A1 (en)2013-01-252014-07-31Pioneer Hi-Bred International, Inc.Maize event dp-033121-3 and methods for detection thereof
US20140275154A1 (en)2013-03-132014-09-18Bristol-Myers Squibb CompanyNovel Compounds for the Treatment of Hepatitis C
WO2014149793A1 (en)2013-03-152014-09-25Eli Lilly And Company1 -hydroxy-benzooxaboroles as antiparasitic agents
WO2014151863A1 (en)2013-03-142014-09-25Amgen Inc.Heteroaryl acid morpholinone compounds as mdm2 inhibitors for the treatment of cancer
EP2792674A1 (en)2011-12-142014-10-22HC Pharmaceutical Co., Ltd.Imidazolidinedione compounds and their uses
WO2014179276A1 (en)2013-05-022014-11-06J.R. Simplot CompanyPotato cultivar j55
WO2014201235A2 (en)2013-06-142014-12-18Monsanto Technology LlcSoybean transgenic event mon87751 and methods for detection and use thereof
WO2015053998A1 (en)2013-10-092015-04-16Monsanto Technology LlcTransgenic corn event mon87403 and methods for detection thereof
EP2865265A1 (en)2014-02-132015-04-29Bayer CropScience AGActive compound combinations comprising phenylamidine compounds and biological control agents
WO2015065922A1 (en)2013-10-282015-05-07Dexcom, Inc.Devices used in connection with continuous analyte monitoring that provide the user with one or more notifications, and related methods
JP2015089883A (en)2013-11-062015-05-11アグロカネショウ株式会社2-amino nicotinic acid benzyl ester derivative and antimicrobial agent comprising the same as active ingredient
JP2015120675A (en)2013-12-252015-07-02アグロカネショウ株式会社 6-Substituted nicotinic acid ester derivatives and fungicides containing the same as active ingredients
WO2015119246A1 (en)2014-02-072015-08-13日産化学工業株式会社Sterilising or bactericidal composition and disease control method
WO2015142571A1 (en)2014-03-202015-09-24Monsanto Technology LlcTransgenic maize event mon 87419 and methods of use thereof
WO2016183445A1 (en)2015-05-142016-11-17J.R. Simplot CompanyPotato cultivar v11
WO2017055473A1 (en)*2015-10-022017-04-06Syngenta Participations AgMicrobiocidal oxadiazole derivatives
WO2017055469A1 (en)*2015-10-022017-04-06Syngenta Participations AgMicrobiocidal oxadiazole derivatives
WO2017062831A1 (en)2015-10-082017-04-13J.R. Simplot CompanyPotato cultivar x17
WO2017062825A1 (en)2015-10-082017-04-13J.R. Simplot CompanyPotato cultivar y9
WO2017076742A1 (en)2015-11-052017-05-11Basf SeSubstituted oxadiazoles for combating phytopathogenic fungi
WO2017081309A1 (en)*2015-11-132017-05-18Basf SeSubstituted oxadiazoles for combating phytopathogenic fungi

Patent Citations (182)

* Cited by examiner, † Cited by third party
Publication numberPriority datePublication dateAssigneeTitle
US3325503A (en)1965-02-181967-06-13Diamond Alkali CoPolychloro derivatives of mono- and dicyano pyridines and a method for their preparation
US3296272A (en)1965-04-011967-01-03Dow Chemical CoSulfinyl- and sulfonylpyridines
EP0141317A2 (en)1983-10-211985-05-15BASF Aktiengesellschaft7-Amino-azolo[1,5-a]pyrimidines and fungicides containing them
EP0152031A2 (en)1984-02-031985-08-21Shionogi & Co., Ltd.Azolyl cycloalkanol derivatives and agricultural fungicides
EP0226917A1 (en)1985-12-201987-07-01BASF AktiengesellschaftAcrylic acid esters and fungicides containing these compounds
EP0243970A1 (en)1986-05-021987-11-04Stauffer Chemical CompanyFungicidal pyridyl imidates
EP0256503A2 (en)1986-08-121988-02-24Mitsubishi Kasei CorporationPyridinecarboxamide derivatives and their use as fungicide
EP0428941A1 (en)1989-11-101991-05-29Agro-Kanesho Co., Ltd.Hexahydrotriazine compounds and insecticides
EP0532022A1 (en)1991-09-131993-03-17Ube Industries, Ltd.Acrylate compound, preparation process thereof and fungicide using the same
WO1994001546A1 (en)1992-07-011994-01-20Cornell Research Foundation, Inc.Elicitor of the hypersensitive response in plants
DE19650197A1 (en)1996-12-041998-06-10Bayer Ag 3-thiocarbamoylpyrazole derivatives
WO1998044140A1 (en)1997-04-031998-10-08Dekalb Genetics CorporationGlyphosate resistant maize lines
WO1998046608A1 (en)1997-04-141998-10-22American Cyanamid CompanyFungicidal trifluoromethylalkylamino-triazolopyrimidines
WO1999014187A1 (en)1997-09-181999-03-25Basf AktiengesellschaftBenzamidoxim derivatives, intermediate products and methods for preparing and using them as fungicides
WO1999024413A2 (en)1997-11-121999-05-20Bayer AktiengesellschaftIsothiazole carboxylic acid amides and the application thereof in order to protect plants
WO1999027783A1 (en)1997-12-041999-06-10Dow Agrosciences LlcFungicidal compositions and methods, and compounds and methods for the preparation thereof
WO2000026356A1 (en)1998-11-032000-05-11Aventis Cropscience N. V.Glufosinate tolerant rice
WO2000026345A1 (en)1998-11-032000-05-11Aventis Cropscience N.V.Glufosinate tolerant rice
WO2000029404A1 (en)1998-11-172000-05-25Kumiai Chemical Industry Co., Ltd.Pyrimidinylbenzimidazole and triazinylbenzimidazole derivatives and agricultura/horticultural bactericides
EP1028125A1 (en)1998-11-302000-08-16Isagro Ricerca S.r.l.Dipeptide compounds having fungicidal activity and their agronomic use
WO2000046148A1 (en)1999-02-022000-08-10Sintokogio, Ltd.Silica gel carrying titanium oxide photocatalyst in high concentration and method for preparation thereof
EP1035122A1 (en)1999-03-112000-09-13Rohm And Haas CompanyHeterocyclic subsituted isoxazolidines and their use as fungicides
WO2000065913A1 (en)1999-04-282000-11-09Takeda Chemical Industries, Ltd.Sulfonamide derivatives
EP1201648A1 (en)1999-08-052002-05-02Kumiai Chemical Industry Co., Ltd.Carbamate derivatives and agricultural/horticultural bactericides
WO2001031042A2 (en)1999-10-292001-05-03Aventis Cropscience N.V.Male-sterile brassica plants and methods for producing same
WO2001041558A1 (en)1999-12-082001-06-14Aventis Cropscience N.V.Hybrid winter oilseed rape and methods for producing same
DE10021412A1 (en)1999-12-132001-06-21Bayer Ag Fungicidal active ingredient combinations
WO2001054501A2 (en)2000-01-252001-08-02Syngenta Participations AgHerbicidal composition
WO2001056358A2 (en)2000-01-282001-08-09Rohm And Haas CompanyEnhanced propertied pesticides
EP1122244A1 (en)2000-02-042001-08-08Sumitomo Chemical Company, LimitedUracil compounds and their use
CN1309897A (en)2000-02-242001-08-29沈阳化工研究院Unsaturated oximino ether bactericide
US20070292854A1 (en)2000-06-222007-12-20Behr Carl FCorn event PV-ZMGT32(nk603) and compositions and methods for detection thereof
WO2002022583A2 (en)2000-09-182002-03-21E. I. Du Pont De Nemours And CompanyPyridinyl amides and imides for use as fungicides
WO2002034946A2 (en)2000-10-252002-05-02Monsanto Technology LlcCotton event pv-ghgt07(1445) and compositions and methods for detection thereof
WO2002036831A2 (en)2000-10-302002-05-10Monsanto Technology LlcCanola event pv-bngt04(rt73) and compositions and methods for detection thereof
WO2002040431A2 (en)2000-11-172002-05-23Dow Agrosciences LlcCompounds having fungicidal activity and processes to make and use same
JP2002316902A (en)2001-04-202002-10-31Sumitomo Chem Co Ltd Plant disease control agent composition
WO2002100163A2 (en)2001-06-112002-12-19Monsanto Technology LlcCotton event moni5985 and compositions and methods for detection
WO2003010149A1 (en)2001-07-252003-02-06Bayer Cropscience AgPyrazolylcarboxanilides as fungicides
WO2003011853A1 (en)2001-07-302003-02-13Dow Agrosciences Llc6-aryl-4-aminopicolinates and their use as herbicides
WO2003014103A1 (en)2001-08-032003-02-20Bayer Cropscience S.A.Iodobenzopyran-4-one derivatives having fungicidal activity
WO2003013224A2 (en)2001-08-062003-02-20Bayer Bioscience N.V.Herbicide tolerant cotton plants and methods for producing and identifying same
WO2003016286A1 (en)2001-08-172003-02-27Sankyo Agro Company, Limited3-phenoxy-4-pyridazinol derivative and herbicide composition containing the same
WO2003016303A1 (en)2001-08-202003-02-27Dainippon Ink And Chemicals, Inc.Tetrazoyl oxime derivative and agricultural chemical containing the same as active ingredient
WO2003053145A1 (en)2001-12-212003-07-03Nissan Chemical Industries, Ltd.Bactericidal composition
WO2003061388A1 (en)2002-01-182003-07-31Sumitomo Chemical Takeda Agro Company, LimitedFused heterocyclic sulfonylurea compound, herbicide containing the same, and method of controlling weed with the same
WO2003066609A1 (en)2002-02-042003-08-14Bayer Cropscience AktiengesellschaftDisubstituted thiazolyl carboxanilides and their use as microbicides
WO2003074491A1 (en)2002-03-052003-09-12Syngenta Participations AgO-cyclopropyl-carboxanilides and their use as fungicides
WO2004011601A2 (en)2002-07-292004-02-05Monsanto Technology, LlcCorn event pv-zmir13 (mon863) plants and compositions and methods for detection thereof
WO2004039986A1 (en)2002-10-292004-05-13Syngenta Participations AgCot102 insecticidal cotton
WO2004049804A2 (en)2002-11-292004-06-17Syngenta Participations AgFungicidal combinations for crop potection
US20040248884A1 (en)2003-01-312004-12-09Aventis Pharma S.A.Novel cyclic urea derivatives, preparation thereof and pharmaceutical use thereof as kinase inhibitors
WO2004072235A2 (en)2003-02-122004-08-26Monsanto Technology LlcCotton event mon 88913 and compositions and methods for detection thereof
WO2004074492A1 (en)2003-02-202004-09-02Kws Saat AgGlyphosate tolerant sugar beet
WO2004083193A1 (en)2003-03-172004-09-30Sumitomo Chemical Company, LimitedAmide compound and bactericide composition containing the same
CN1456054A (en)2003-03-252003-11-19浙江省化工研究院Methoxy methyl acrylate compounds as bactericidal agent
WO2004099447A2 (en)2003-05-022004-11-18Dow Agrosciences LlcCorn event tc1507 and methods for detection thereof
WO2005061720A2 (en)2003-12-112005-07-07Monsanto Technology LlcHigh lysine maize compositions and methods for detection thereof
WO2005059103A2 (en)2003-12-152005-06-30Monsanto Technology LlcCorn plant mon88017 and compositions and methods for detection thereof
WO2005063721A1 (en)2003-12-192005-07-14E.I. Dupont De Nemours And CompanyHerbicidal pyrimidines
WO2005087772A1 (en)2004-03-102005-09-22Basf Aktiengesellschaft5,6-dialkyl-7-amino-triazolopyrimidines, method for their production, their use for controlling pathogenic fungi and agents containing said compounds
WO2005087773A1 (en)2004-03-102005-09-22Basf Aktiengesellschaft5,6-dialkyl-7-amino-triazolopyrimidines, method for their production, their use for controlling pathogenic fungi and agents containing said compounds
WO2005103301A2 (en)2004-03-252005-11-03Syngenta Participations AgCorn event mir604
WO2005103266A1 (en)2004-03-262005-11-03Dow Agrosciences LlcCry1f and cry1ac transgenic cotton lines and event-specific identification thereof
WO2005120234A2 (en)2004-06-032005-12-22E.I. Dupont De Nemours And CompanyFungicidal mixtures of amidinylphenyl compounds
WO2005123689A1 (en)2004-06-182005-12-29Basf Aktiengesellschaft1-methyl-3-trifluoromethyl-pyrazole-4-carboxylic acid (ortho-phenyl)-anilides and to use thereof as fungicide
WO2005123690A1 (en)2004-06-182005-12-29Basf Aktiengesellschaft1-methyl-3-difluoromethyl-pyrazol-4-carbonic acid-(ortho-phenyl)-anilides, and use thereof as a fungicide
WO2006013104A1 (en)2004-08-052006-02-09Santhera Pharmaceuticals (Schweiz) AgHeterocyclic compounds useful as dpp- iv inhibitors
WO2006015866A1 (en)2004-08-122006-02-16Syngenta Participations AgMethod for protecting useful plants or plant propagation material
WO2006039376A2 (en)2004-09-292006-04-13Pioneer Hi-Bred International, Inc.Corn event das-59122-7 and methods for detection thereof
WO2006066172A1 (en)2004-12-172006-06-22Amgen, Inc.Aminopyrimidine compounds and methods of use
WO2006087325A1 (en)2005-02-162006-08-24Basf Aktiengesellschaft5-alkoxyalkyl-6-alkyl-7-amino-azolopyrimidines, method for their production, their use for controlling pathogenic fungi and agents containing said substances
WO2006087343A1 (en)2005-02-162006-08-24Basf AktiengesellschaftPyrazole carboxylic acid anilides, method for the production thereof and agents containing them for controlling pathogenic fungi
WO2006091885A2 (en)2005-02-242006-08-31Dr Pharma Nova, LlcA registry method and control system for dea schedule ii-v medicines
DE102005009458A1 (en)2005-03-022006-09-07Bayer Cropscience Ag pyrazolylcarboxanilides
WO2006098952A2 (en)2005-03-162006-09-21Syngenta Participations AgCorn event 3272 and methods of detection thereof
WO2006108674A2 (en)2005-04-082006-10-19Bayer Bioscience N.V.Elite event a2704-12 and methods and kits for identifying such event in biological samples
WO2006108675A2 (en)2005-04-112006-10-19Bayer Bioscience N.V.Elite event a5547-127 and methods and kits for identifying such event in biological samples
WO2006123242A1 (en)2005-05-182006-11-23Pfizer Limited1, 2, 4 -triazole derivatives as vasopressin antagonists
WO2006123792A1 (en)2005-05-192006-11-23Daiichi Sankyo Company, LimitedTri- or tetra-substituted-3-aminopyrrolidine derivatives
WO2006130436A2 (en)2005-05-272006-12-07Monsanto Technology LlcSoybean event mon89788 and methods for detection thereof
WO2006128573A2 (en)2005-06-022006-12-07Syngenta Participations AgCe43- 67b, insecticidal transgenic cotton expressing cry1ab
WO2007006670A1 (en)2005-07-072007-01-18Basf AktiengesellschaftN-thio-anthranilamid compounds and their use as pesticides
CN1907024A (en)2005-08-032007-02-07浙江化工科技集团有限公司Methoxyl group displacement methyl acrylate compound bactericidal agent
WO2007017186A1 (en)2005-08-082007-02-15Bayer Bioscience N.V.Herbicide tolerant cotton plants and methods for identifying same
WO2007082098A2 (en)2006-01-132007-07-19Dow Agrosciences Llc6-(poly-substituted aryl)-4-aminopicolinates and their use as herbicides
WO2007090624A2 (en)2006-02-092007-08-16Syngenta Participations AgA method of protecting a plant propagation material, a plant, and/or plant organs
WO2007129454A1 (en)2006-05-082007-11-15Kumiai Chemical Industry Co., Ltd.1,2-benzisothiazole derivative, and agricultural or horticultural plant disease-controlling agent
WO2007140256A1 (en)2006-05-262007-12-06Monsanto Technology, LlcCorn plant and seed corresponding to transgenic event mon89034 and methods for detection and use thereof
WO2007142840A2 (en)2006-06-032007-12-13Syngenta Participations AgCorn event mir162
WO2008002872A2 (en)2006-06-282008-01-03Pioneer Hi-Bred International, Inc.Soybean event 3560.4.3.5 and compositions and methods for the identification and/or detection thereof
WO2008013622A2 (en)2006-07-272008-01-31E. I. Du Pont De Nemours And CompanyFungicidal azocyclic amides
WO2008112019A2 (en)2006-10-302008-09-18Pioneer Hi-Bred International, Inc.Maize event dp-098140-6 and compositions and methods for the identification and/or detection thereof
WO2008054747A2 (en)2006-10-312008-05-08E. I. Du Pont De Nemours And CompanySoybean event dp-305423-1 and compositions and methods for the identification and/or detection thereof
WO2008076415A1 (en)2006-12-142008-06-26Exelixis, Inc.Methods of using mek inhibitors
WO2008122406A1 (en)2007-04-052008-10-16Bayer Bioscience N.V.Insect resistant cotton plants and methods for identifying same
WO2008151780A1 (en)2007-06-112008-12-18Bayer Bioscience N.V.Insect resistant cotton plants comprising elite event ee-gh6 and methods for identifying same
EP2003120A1 (en)2007-06-122008-12-17Concert Pharmaceuticals Inc.Azapeptide derivatives as HIV protease inhibitors
EP2168947A1 (en)2007-06-222010-03-31Yoshiaki KisoNovel compound having secretase inhibitory activity
WO2009053716A1 (en)2007-10-262009-04-30F.Hoffmann-La Roche AgPurine derivatives useful as pi3 kinase inhibitors
WO2009064652A1 (en)2007-11-152009-05-22Monsanto Technology LlcSoybean plant and seed corresponding to transgenic event mon87701 and methods for detection thereof
WO2009074950A2 (en)2007-12-102009-06-18Actelion Pharmaceuticals LtdThiophene derivatives as agonists of s1p1/edg1
WO2009090181A2 (en)2008-01-152009-07-23Bayer Cropscience SaPesticide composition comprising a tetrazolyloxime derivative and a fungicide or an insecticide active substance
WO2009094442A2 (en)2008-01-222009-07-30Dow Agrosciences Llc5-fluoro pyrimidine derivatives
WO2009103049A2 (en)2008-02-142009-08-20Pioneer Hi-Bred International, Inc.Plant genomic dna flanking spt event and methods for identifying spt event
WO2009102873A1 (en)2008-02-152009-08-20Monsanto Technology LlcSoybean plant and seed corresponding to transgenic event mon87769 and methods for detection thereof
WO2009111263A1 (en)2008-02-292009-09-11Monsanto Technology LlcCorn plant event mon87460 and compositions and methods for detection thereof
US20100036131A1 (en)2008-07-302010-02-11University Of Southern CaliforniaN-heterocyclic carbene-amido palladium(ii) catalysts and method of use thereof
WO2010037016A1 (en)2008-09-292010-04-01Monsanto Technology LlcSoybean transgenic event mon87705 and methods for detection thereof
WO2010077816A1 (en)2008-12-162010-07-08Syngenta Participations AgCorn event 5307
WO2010069882A1 (en)2008-12-172010-06-24Syngenta Participations AgIsoxazole derivatives for use as fungicides
WO2010080829A1 (en)2009-01-072010-07-15Basf Agrochemical Products B.V.Soybean event 127 and methods related thereto
WO2010086820A1 (en)2009-02-022010-08-05Pfizer Inc.4-amino-5-oxo-7, 8-dihydropyrimido [5,4-f] [1,4] oxazepin-6 (5h) -yl) phenyl derivatives, pharmaceutical compositions and uses thereof
WO2010139271A1 (en)2009-06-052010-12-09中国中化股份有限公司E-type phenyl acrylic ester compounds containing substituted anilino pyrimidine group and uses thereof
WO2011022469A2 (en)2009-08-192011-02-24Dow Agrosciences LlcAad-1 event das-40278-9, related transgenic corn lines, and event-specific identification thereof
WO2011028657A1 (en)2009-09-012011-03-10Dow Agrosciences LlcSynergistic fungicidal compositions containing a 5-fluoropyrimidine derivative for fungal control in cereals
WO2011034704A1 (en)2009-09-172011-03-24Monsanto Technology LlcSoybean transgenic event mon 87708 and methods of use thereof
US20120220795A1 (en)2009-11-182012-08-30Hideki AmiiMethod for producing aromatic difluoroacetic acid ester
WO2011062904A1 (en)2009-11-232011-05-26Monsanto Technology LlcTransgenic maize event mon 87427 and the relative development scale
WO2011066384A1 (en)2009-11-242011-06-03Dow Agrosciences LlcAad-12 event 416, related transgenic soybean lines, and event-specific identification thereof
WO2011084621A1 (en)2009-12-172011-07-14Pioneer Hi-Bred International, Inc.Maize event dp-004114-3 and methods for detection thereof
WO2011077514A1 (en)2009-12-222011-06-30三井化学アグロ株式会社Plant disease control composition and method for controlling plant diseases by applying the composition
WO2011081174A1 (en)2010-01-042011-07-07日本曹達株式会社Nitrogen-containing heterocyclic compound and agricultural/horticultural germicide
WO2011135827A1 (en)2010-04-272011-11-03Sumitomo Chemical Company, LimitedPesticidal composition and its use
WO2011135833A1 (en)2010-04-282011-11-03Sumitomo Chemical Company, LimitedPlant disease control composition and its use
WO2011153186A1 (en)2010-06-042011-12-08Monsanto Technology LlcTransgenic brassica event mon 88302 and methods of use thereof
WO2012038438A1 (en)2010-09-222012-03-29Janssen Pharmaceutica Nv4,7-DIHYDRO-PYRAZOLO[1,5-a]PYRAZIN-6-YLAMINE DERIVATIVES USEFUL AS INHIBITORS OF BETA-SECRETASE (BACE)
WO2012051199A2 (en)2010-10-122012-04-19Monsanto Technology LlcSoybean plant and seed corresponding to transgenic event mon87712 and methods for detection thereof
WO2012082548A2 (en)2010-12-152012-06-21Syngenta Participations AgSoybean event syht0h2 and compositions and methods for detection thereof
WO2012084812A1 (en)2010-12-202012-06-28Isagro Ricerca S.R.L.Aminoindanes amides having a high fungicidal activity and their phytosanitary compositions
WO2012119559A1 (en)2011-03-102012-09-13Suzhou Kintor Pharmaceuticals,Inc.Androgen receptor antagonists and uses thereof
WO2012134808A1 (en)2011-03-302012-10-04Monsanto Technology LlcCotton transgenic event mon 88701 and methods of use thereof
WO2012162635A1 (en)2011-05-262012-11-29Sunovion Pharmaceuticals Inc.Metabotropic glutamate receptors 5 modulators and methods of use thereof
WO2012165511A1 (en)2011-05-312012-12-06クミアイ化学工業株式会社Method for controlling diseases in rice plant
WO2012168188A1 (en)2011-06-072012-12-13Bayer Intellectual Property GmbhActive compound combinations
WO2013003558A1 (en)2011-06-302013-01-03Monsanto Technology LlcAlfalfa plant and seed corresponding to transgenic event kk 179-2 and methods for detection thereof
WO2013008162A1 (en)2011-07-082013-01-17Novartis AgNovel trifluoromethyl-oxadiazole derivatives and their use in the treatment of disease
WO2013007767A1 (en)2011-07-132013-01-17Basf SeFungicidal substituted 2-[2-halogenalkyl-4-(phenoxy)-phenyl]-1-[1,2,4]triazol-1-yl-ethanol compounds
WO2013010862A1 (en)2011-07-152013-01-24Basf SeFungicidal alkyl-substituted 2-[2-chloro-4-(4-chloro-phenoxy)-phenyl]-1-[1,2,4]triazol-1-yl-ethanol compounds
WO2013016516A1 (en)2011-07-262013-01-31Dow Agrosciences LlcInsect resistant and herbicide tolerant breeding stack of soybean event pdab9582.814.19.1 and pdab4468.04.16.1
WO2013016527A1 (en)2011-07-262013-01-31Dow Agrosciences LlcInsect resistant and herbicide tolerant soybean event 9582.814.19.1
WO2013024010A1 (en)2011-08-122013-02-21Basf SeN-thio-anthranilamide compounds and their use as pesticides
WO2013024009A1 (en)2011-08-122013-02-21Basf SeN-thio-anthranilamide compounds and their use as pesticides
WO2013036835A1 (en)2011-09-082013-03-14Sage Therapeutics, Inc.Neuroactive steroids, compositions, and uses thereof
WO2013047441A1 (en)2011-09-262013-04-04日本曹達株式会社Agricultural and horticultural bactericide composition
WO2013047749A1 (en)2011-09-292013-04-04三井化学アグロ株式会社Production method for 4, 4-difluoro-3,4-dihydroisoquinoline derivative
WO2013066835A2 (en)2011-10-312013-05-10Glaxosmithkline LlcCompounds and methods
WO2013083556A1 (en)2011-12-062013-06-13Janssen Pharmaceutica Nv5-(3-aminophenyl)-5-alkyl-5,6-dihydro-2h-[1,4]oxazin-3-amine derivatives
EP2792674A1 (en)2011-12-142014-10-22HC Pharmaceutical Co., Ltd.Imidazolidinedione compounds and their uses
WO2013092224A1 (en)2011-12-212013-06-27Basf SeUse of strobilurin type compounds for combating phytopathogenic fungi resistant to qo inhibitors
WO2013112527A1 (en)2012-01-232013-08-01Dow Agrosciences LlcHerbicide tolerant cotton event pdab4468.19.10.3
WO2013116251A2 (en)2012-02-012013-08-08E. I. Du Pont De Nemours And CompanyFungicidal pyrazole mixtures
WO2013127704A1 (en)2012-02-272013-09-06Bayer Intellectual Property GmbhActive compound combinations containing a thiazoylisoxazoline and a fungicide
WO2013162072A1 (en)2012-04-272013-10-31Sumitomo Chemical Company, LimitedTetrazolinone compounds and its use as pesticides
WO2013169923A2 (en)2012-05-082013-11-14Monsanto Technology LlcCorn event mon 87411
CN103387541A (en)2012-05-102013-11-13中国中化股份有限公司Preparation method of substituted pyrazolylether compound
WO2014060177A1 (en)2012-10-162014-04-24Syngenta Participations AgFungicidal compositions
CN103804358A (en)2012-11-142014-05-21上海医药集团股份有限公司Biaryl hydantoin derivate and preparation method, medicine composition and application thereof
WO2014116854A1 (en)2013-01-252014-07-31Pioneer Hi-Bred International, Inc.Maize event dp-033121-3 and methods for detection thereof
US20140275154A1 (en)2013-03-132014-09-18Bristol-Myers Squibb CompanyNovel Compounds for the Treatment of Hepatitis C
WO2014151863A1 (en)2013-03-142014-09-25Amgen Inc.Heteroaryl acid morpholinone compounds as mdm2 inhibitors for the treatment of cancer
WO2014149793A1 (en)2013-03-152014-09-25Eli Lilly And Company1 -hydroxy-benzooxaboroles as antiparasitic agents
WO2014179276A1 (en)2013-05-022014-11-06J.R. Simplot CompanyPotato cultivar j55
WO2014178913A1 (en)2013-05-022014-11-06J.R. Simplot CompanyPotato cultivar f10
WO2014178941A1 (en)2013-05-022014-11-06J.R. Simplot CompanyPotato cultivar j3
WO2014178910A1 (en)2013-05-022014-11-06J.R. Simplot CompanyPotato cultivar e12
WO2014201235A2 (en)2013-06-142014-12-18Monsanto Technology LlcSoybean transgenic event mon87751 and methods for detection and use thereof
WO2015053998A1 (en)2013-10-092015-04-16Monsanto Technology LlcTransgenic corn event mon87403 and methods for detection thereof
WO2015065922A1 (en)2013-10-282015-05-07Dexcom, Inc.Devices used in connection with continuous analyte monitoring that provide the user with one or more notifications, and related methods
JP2015089883A (en)2013-11-062015-05-11アグロカネショウ株式会社2-amino nicotinic acid benzyl ester derivative and antimicrobial agent comprising the same as active ingredient
JP2015120675A (en)2013-12-252015-07-02アグロカネショウ株式会社 6-Substituted nicotinic acid ester derivatives and fungicides containing the same as active ingredients
WO2015119246A1 (en)2014-02-072015-08-13日産化学工業株式会社Sterilising or bactericidal composition and disease control method
EP2865265A1 (en)2014-02-132015-04-29Bayer CropScience AGActive compound combinations comprising phenylamidine compounds and biological control agents
CN103936759A (en)2014-03-112014-07-23新发药业有限公司Simple preparation method for (3aS,6aR)-1,3-dibenzyl-tetrahydro-4H-thieno[3,4-d]imidazole-2,4-(1H)-dione
WO2015142571A1 (en)2014-03-202015-09-24Monsanto Technology LlcTransgenic maize event mon 87419 and methods of use thereof
WO2016183445A1 (en)2015-05-142016-11-17J.R. Simplot CompanyPotato cultivar v11
WO2017055473A1 (en)*2015-10-022017-04-06Syngenta Participations AgMicrobiocidal oxadiazole derivatives
WO2017055469A1 (en)*2015-10-022017-04-06Syngenta Participations AgMicrobiocidal oxadiazole derivatives
WO2017062831A1 (en)2015-10-082017-04-13J.R. Simplot CompanyPotato cultivar x17
WO2017062825A1 (en)2015-10-082017-04-13J.R. Simplot CompanyPotato cultivar y9
WO2017076742A1 (en)2015-11-052017-05-11Basf SeSubstituted oxadiazoles for combating phytopathogenic fungi
WO2017081309A1 (en)*2015-11-132017-05-18Basf SeSubstituted oxadiazoles for combating phytopathogenic fungi

Non-Patent Citations (13)

* Cited by examiner, † Cited by third party
Title
"Technical Monograph No. 2", May 2008, CROPLIFE INTERNATIONAL, article "Catalogue of pesticide formulation types and international coding system"
CAN. J. PLANT SCI., vol. 48, no. 6, 1968, pages 587 - 94
EUR. J. MED. CHEM., vol. 46, no. 9, 2011, pages 3917 - 3925
J. CHEM. SOC. P. TRANS. 2: PHYS. ORG. CHEM., vol. 11, 1994, pages 2291 - 2300
J. ORG. CHEM., vol. 79, 2014, pages 943 - 954
KNOWLES: "Agrow Reports DS243", 2005, T&F INFORMA, article "New developments in crop protection product formulation"
KNOWLES: "Agrow Reports DS256", 2006, T&F INFORMA UK, article "Adjuvants and additives"
MCCUTCHEON'S: "Emulsifiers & Detergents", vol. 1, 2008, MCCUTCHEON'S DIRECTORIES
MOLLET; GRUBEMANN: "Formulation technology", 2001, WILEY VCH
ORGANIC LETTERS, vol. 17, 2015, pages 3968 - 3971
ORGANIC LETTERS, vol. 9, 2007, pages 1711 - 1714
SYNTHESIS, vol. 13, 2003, pages 1929 - 1958
TET. LETT, vol. 53, no. 7, 2012, pages 871 - 875

Cited By (1)

* Cited by examiner, † Cited by third party
Publication numberPriority datePublication dateAssigneeTitle
US11147275B2 (en)2017-11-232021-10-19Basf SeSubstituted trifluoromethyloxadiazoles for combating phytopathogenic fungi

Similar Documents

PublicationPublication DateTitle
EP3619207B1 (en)Substituted 5-(haloalkyl)-5-hydroxy-isoxazolines for combating phytopathogenic fungi
EP3585773B1 (en)Substituted oxadiazoles for combating phytopathogenic fungi
EP3370525A1 (en)Substituted oxadiazoles for combating phytopathogenic fungi
EP3373732A1 (en)Substituted oxadiazoles for combating phytopathogenic fungi
WO2017085100A1 (en)Substituted oxadiazoles for combating phytopathogenic fungi
EP3373734A1 (en)Substituted oxadiazoles for combating phytopathogenic fungi
EP3371178A1 (en)Substituted oxadiazoles for combating phytopathogenic fungi
EP3371155A1 (en)Use of substituted oxadiazoles for combating phytopathogenic fungi
WO2018202491A1 (en)Substituted trifluoromethyloxadiazoles for combating phytopathogenic fungi
WO2017076757A1 (en)Substituted oxadiazoles for combating phytopathogenic fungi
BR112018067426B1 (en) COMPOUNDS OF FORMULA I, MIXTURE, AGROCHEMICAL COMPOSITION, USE OF COMPOUNDS AND METHOD TO FIGHT HARMFUL PHYTOPATOGENIC FUNGI
WO2018114393A1 (en)Substituted oxadiazoles for combating phytopathogenic fungi
WO2018234139A1 (en) 2 - [[5- (TRIFLUOROMETHYL) -1,2,4-OXADIAZOL-3-YL] ARYLOXY] (THIO) ACETAMIDES FOR THE CONTROL OF PHYTOPATHOGENIC FUNGI
WO2019038042A1 (en)Substituted trifluoromethyloxadiazoles for combating phytopathogenic fungi
WO2018188962A1 (en)Substituted oxadiazoles for combating phytopathogenic fungi
WO2018219797A1 (en)Substituted oxadiazoles for combating phytopathogenic fungi
WO2019219464A1 (en)Substituted trifluoromethyloxadiazoles for combating phytopathogenic fungi
US20200354321A1 (en)New pyridine carboxamides
EP3713936B1 (en)Substituted trifluoromethyloxadiazoles for combating phytopathogenic fungi
US11076596B2 (en)Substituted trifluoromethyloxadiazoles for combating phytopathogenic fungi
WO2019214979A1 (en)Substituted trifluoromethyloxadiazoles for combating phytopathogenic fungi
WO2019025250A1 (en)Substituted trifluoromethyloxadiazoles for combating phytopathogenic fungi
EP3339297A1 (en)Substituted oxadiazoles for combating phytopathogenic fungi
BR112019026423B1 (en) COMPOUNDS, AGROCHEMICAL COMPOSITION, USE OF COMPOUNDS OF FORMULA I AND METHOD TO COMBAT HARMFUL PHYTOPATHOGENIC FUNGI
BR112020008601B1 (en) COMPOUNDS, AGROCHEMICAL COMPOSITION, USE OF COMPOUNDS, METHOD TO COMBAT HARMFUL PHYTOPATHOGENIC FUNGI AND COATED SEED

Legal Events

DateCodeTitleDescription
121Ep: the epo has been informed by wipo that ep was designated in this application

Ref document number:18745601

Country of ref document:EP

Kind code of ref document:A1

NENPNon-entry into the national phase

Ref country code:DE

122Ep: pct application non-entry in european phase

Ref document number:18745601

Country of ref document:EP

Kind code of ref document:A1


[8]ページ先頭

©2009-2025 Movatter.jp