







本发明涉及控制方法技术领域,更具体地,涉及一种车联网下基于MFD和排队长度的路网边界限流控制策略的方法。The present invention relates to the technical field of control methods, and more particularly to a method for controlling a road network boundary current limiting based on MFD and queue length under the Internet of Vehicles.
随着社会经济飞跃发展,汽车保有量剧增,城市交通拥堵问题恶化,已成为城市发展的瓶颈之一。为了减少车辆延误时间和排队长度,缓解交通拥堵,大部分大城市采用先进的交通控制技术,实施了智能化交通信号控制系统。但随着车流不断增多,部分城市交通出现了过饱和交通现象,原有交通控制系统效果受到影响。近期Daganzo和Geroliminis两位学者研究了大量实际交通数据,发现城市交通路网中具有一定客观规律性,即路网的交通运行状态和移动的车辆数之间的联系,该关系其称之为宏观基本图(Macroscopic Fundamental Diagrams,MFD),后续多位学者通过大量实际数据,也证实了宏观基本图的普通性。部分学者提出利用宏观基本图相关理论,对过饱和交通区域进行交通管控,从而改善过饱和交通区域的拥堵情况。如马莹莹提出利用MFD可从宏观层面对路网进行交通信号控制的设想;杜怡曼等提出基于宏观基本图的区域交通总量动态调控技术;Mehdi等研究了基于网络MFD的反馈闸门控制方法,Yosh等针对过饱和路网,提出基于宏观基本图的区域计量控制方法,并验证了该方法的有效性;笔者曾提出基于MFD的路网简单边界限流控制策略,并验证了其有效性。经进一步研究,笔者认为在路网实施周边交通限流策略时,应当避免周边限流交叉口车辆排队溢出造成上游交叉口拥堵的情况,但如何实时判断边界路段是否出现溢流现象成为了问题的关键所在。近期,各国大力发展车联网技术,车联网是智能交通系统的发展方向,在车联网环境下,车辆位置、速度等信息可通过车载终端和路侧单元,实时上传至指挥中心,为实时确定路网车辆数和排队长度提供可靠手段,为改进交通信号控制提供了机遇和条件。。With the rapid development of the social economy, the number of car ownership has increased sharply, and the problem of urban traffic congestion has deteriorated, which has become one of the bottlenecks of urban development. In order to reduce vehicle delay time and queue length and alleviate traffic congestion, most large cities adopt advanced traffic control technology and implement intelligent traffic signal control system. However, with the continuous increase of traffic flow, some urban traffic has experienced supersaturated traffic, and the effect of the original traffic control system is affected. Recently, Daganzo and Geroliminis studied a large number of actual traffic data and found that there is a certain objective regularity in the urban traffic network, that is, the connection between the traffic operation state of the road network and the number of moving vehicles. Macroscopic Fundamental Diagrams (MFD), followed by a large number of actual data, also confirmed the generality of the macroscopic basic map. Some scholars have proposed to use the basic theory of macroscopic maps to control the traffic in supersaturated traffic areas, thus improving the congestion of supersaturated traffic areas. For example, Ma Yingying proposed using MFD to control the traffic signal from the macro layer to the road network; Du Yinman proposed the dynamic control technology of regional traffic total based on the macro basic map; Mehdi et al. studied the feedback gate control method based on network MFD. Yosh et al. proposed a regional metrology control method based on macroscopic basic map for over-saturated road network, and verified the effectiveness of the proposed method. The author proposed a simple boundary current limiting control strategy based on MFD and verified its effectiveness. After further research, the author believes that when the road network implements the surrounding traffic current limiting strategy, it should avoid the situation that the upstream intersection is congested due to the queuing overflow of the surrounding traffic restriction intersection, but how to judge whether the boundary section has overflow phenomenon in real time becomes a problem. The key is. Recently, countries have vigorously developed the technology of vehicle networking. The Internet of Vehicles is the development direction of intelligent transportation systems. In the context of vehicle networking, information such as vehicle position and speed can be uploaded to the command center in real time through the vehicle terminal and the roadside unit. The number of net vehicles and the length of the queue provide a reliable means to provide opportunities and conditions for improving traffic signal control. .
发明内容Summary of the invention
本发明的目的在于克服现有技术的不足,提供一种车联网下基于MFD和排队长度的路网边界限流控制策略的方法,本发明在车联网环境下,实时路网中车辆数和路段最大排队长度,依据宏观基本图,在路网实施周边交通限流控制策略时,实时判断各边界路段的最大排队长度是否超越路段安全排队长度,及时调整路网涌入率,避免边界路段出现溢流现象。The object of the present invention is to overcome the deficiencies of the prior art, and to provide a road network boundary current limiting control strategy based on MFD and queue length under the vehicle network, and the number and the number of vehicles in the real-time road network in the vehicle networking environment According to the macro basic map, when the road network implements the surrounding traffic current limiting control strategy, it can determine in real time whether the maximum queue length of each boundary section exceeds the length of the road safety queue, adjust the inrush rate of the road network in time, and avoid the overflow of the boundary section. Flow phenomenon.
为解决上述技术问题,本发明采用的技术方案是:In order to solve the above technical problems, the technical solution adopted by the present invention is:
提供一种车联网下基于MFD和排队长度的路网边界限流控制方法,具体步骤如下:A road network boundary current limiting control method based on MFD and queue length under the vehicle network is provided, and the specific steps are as follows:
(a)首先获取交通参数;将GPS车载设备均安装至车辆上,实时发送经纬度和速度等信息;(a) first obtain traffic parameters; install GPS on-board equipment to the vehicle, and send information such as latitude and longitude and speed in real time;
(b)其次,划定路网区域的车辆的满足条件,并根据条件判定移动车辆是否落在路网区域内;从待判断的车辆经纬度点向某一个方向引射线,计算和路网边界交点的个数,如果个数是偶数或者0则点在路网区域外部,如果是奇数,则在路网区域内部;将落在路网区域内的车辆数折算成当量交通量,确定路网车辆数N和各路段的流量qi(i表示第i条路段);(b) Secondly, the conditions for satisfying the vehicles in the road network area are determined, and whether the moving vehicle falls within the road network area is determined according to the conditions; the latitude and longitude points of the vehicle to be judged are directed to a certain direction, and the intersection of the road network boundary is calculated. If the number is even or 0, the point is outside the road network area. If it is odd, it is inside the road network area. The number of vehicles falling within the road network area is converted into equivalent traffic volume to determine the road network vehicle. Number N and the flow rate qi of each road segment (i indicates the i-th road segment);
(c)再次,将各路段上各车辆到达各进口停车线距离进行计算,并最终得出最大排队长度qLmax(i),取路段长度Li的95%为路段安全排队长度Lsi,将 qLmax(i)与Lsi进行比较判断车辆是否造成上游交叉口出现交通拥堵;若qLmax(i)≥Lsi,就会造成车辆排队溢出至上上游交叉口,导致上游交叉口出现交通拥堵;(c) Again, calculate the distance from each vehicle on each section to each entrance stop line, and finally obtain the maximum queue length qLmax(i) . 95% of the length of the take-up section Li is the safety queue length Lsi of the road segment, and qLmax (i) Compare with Lsi to determine whether the vehicle causes traffic congestion at the upstream intersection; if qLmax(i) ≥Lsi , the vehicle will be queued to overflow to the upstream upstream intersection, resulting in traffic congestion at the upstream intersection;
(d)最后,对边界交通进行限流控制;当路网趋于拥堵时,对路网实施简单边界限流控制。(d) Finally, the flow control of the boundary traffic is carried out; when the road network tends to be congested, simple boundary current limiting control is implemented on the road network.
本发明车联网下基于MFD和排队长度的路网边界限流控制策略的方法,本发明在车联网环境下,实时路网中车辆数和路段最大排队长度,依据宏观基本图,在路网实施周边交通限流控制策略时,实时判断各边界路段的最大排队长度是否超越路段安全排队长度,及时调整路网涌入率,避免边界路段出现溢流现象。The method for controlling the road network boundary current limiting control based on the MFD and the queuing length in the vehicle networking of the present invention, in the vehicle networking environment, the number of vehicles in the real-time road network and the maximum queue length of the road segment are implemented in the road network according to the macro basic map In the surrounding traffic current limiting control strategy, it is determined in real time whether the maximum queue length of each boundary section exceeds the length of the road safety queue, and the inrush rate of the road network is adjusted in time to avoid overflow phenomenon on the boundary section.
优选地,在步骤(c)中,得出最大排队长度qLmax(i)的步骤如下:Preferably, in step (c), the step of deriving the maximum queuing length qLmax(i) is as follows:
(A)首先进行各车辆到达各进口停车线距离的计算,计算公式如下:(A) First calculate the distance between each vehicle arriving at each entrance stop line, and the calculation formula is as follows:
式中:dij——第i路段上第j车辆到该路段进口停车线的距离;Where: dij - the distance from the jth vehicle on the i-th road to the entrance stop line of the road section;
AJij,AWij——第i路段上第j车辆的经纬度;AJij, AWij - the latitude and longitude of the jth vehicle on the i-th road;
BJij,BWij——第i路段上进口停车线的经纬度;BJij , BWij - the latitude and longitude of the entrance stop line on the i-th road section;
(B)在步骤(A)之后,对各路段上车辆达到停车线的距离集合记为D,表示为:(B) After step (A), the set of distances at which the vehicle reaches the parking line on each road segment is denoted as D, expressed as:
D={dij|i∈L,j∈N};D={dij |i∈L,j∈N};
车辆的瞬间速度集合记为V,表示为:The instantaneous speed set of the vehicle is recorded as V, which is expressed as:
V={vij|i∈L,j∈N}V={vij |i∈L,j∈N}
式中,vij为第i路段上第j车辆的瞬间速度;Where vij is the instantaneous speed of the jth vehicle on the i-th road segment;
(C)在步骤(B)之后,将瞬时速度v≤5km/h的车辆定义为停车排队车辆,从而获得路段上,所有停车排队车辆的排队长度集合记为QL,表示为:(C) After step (B), the vehicle with the instantaneous speed v≤5km/h is defined as the parking queue vehicle, so that the queue length of all the parking queue vehicles is recorded as QL on the road segment, which is expressed as:
QL={dij,vij|i∈L,j∈N,且vij≤5}QL ={dij ,vij |i∈L,j∈N, and vij ≤5}
从而得到第i路段车辆的最大排队长度qLmax(i),可表示为Thereby obtaining the maximum queuing length qLmax(i) of the i-th road vehicle, which can be expressed as
qLmax(i)=max(QLi)qLmax(i) =max(QLi )
从而最终得出最大排队长度qLmax(i)。The resulting maximum queue length qLmax(i) is thus obtained.
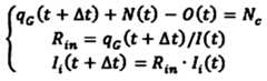
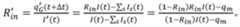
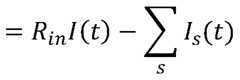
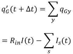
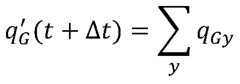
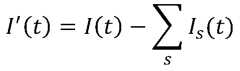
优选地,在步骤(d)中,当路网趋于拥堵时,对路网实施简单边界限流控制,具体步骤利用如下公式:Preferably, in step (d), when the road network tends to be congested, simple boundary current limiting control is implemented on the road network, and the specific steps use the following formula:
式中:t——某一时刻(h);Where: t - a certain moment (h);
Δt——时间步长(h);Δt - time step (h);
qG——受控后的路网边界车流涌入量(pcu/h);qG —— the traffic inflow of the road network boundary after the control (pcu/h);
I——路网t时刻车流涌入量(pcu/h),Ii(t)为t时刻第i个入口的车流涌入量(pcu/h),I——the flow influx of the road network at time t (pcu/h), Ii (t) is the inflow of the i-th entrance at time t (pcu/h),
I(t)=∑Ii (t);I(t)=∑Ii (t);
O(t)——某一时刻路网涌出量(pcu/h);O(t) - the amount of road network gushing at a certain time (pcu/h);
Rin——涌入率(允许的车流涌入比率);Rin - the influx rate (allowed inflow ratio);
根据允许的车流涌入量Ii(t+Δt),采用Webster配时方法,重新计算出限流后各边界交叉口最佳信号周期。Amount of traffic to allow the influx of Ii (t + Δt), when employed with the method according to Webster, the recalculated optimum signal period after each boundary crossing limiting.
优选地,具体步骤如下:Preferably, the specific steps are as follows:
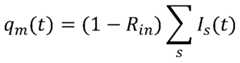
(1)当N(t)≥NC时,路网进入拥挤状态;(1) When N(t)≥NC , the road network enters a crowded state;
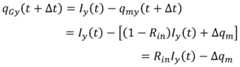
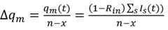
(2)当进入拥挤状态时,计算t时刻所有边界交叉口各进口的最大排队车辆数qLmax(i)(t),若qLmax(i)≥Lsi,则该交叉口进口不实施周边限流策略,按实际交通需求,采用Webster方法,进行配时设计;定义变量qm(t),用于统计所有不适合实施周边限流策略的边界交叉口限流值,变量qm(t)可表示为:(2) When entering the crowded state, calculate the maximum number of queued vehicles qLmax(i) (t) at each boundary intersection at time t, and if qLmax(i) ≥Lsi , the intersection entrance is not implemented around The current limiting strategy uses the Webster method to design the timing according to the actual traffic demand. The variable qm (t) is defined to calculate the boundary value of all boundary intersections that are not suitable for implementing the peripheral current limiting strategy. The variable qm (t ) can be expressed as:
式中,s表示不适合限流的边界交叉口进口路段编号;Where s represents the boundary segment number of the boundary intersection that is not suitable for current limiting;
若qm(t)=0,则按Rin涌入率实施周边限流策略;若qm(t)>0,则将qm(t)平均转移至其它边界交叉口,重新调整涌入率R′in。If qm (t) = 0, the peripheral current limiting strategy is implemented according to the Rin inrush rate; if qm (t) > 0, the qm (t) is averagely transferred to other boundary intersections, and the influx is readjusted. Rate R'in .
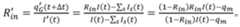
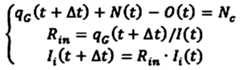
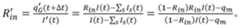
优选地,得出R′in的具体步骤如下:Preferably, derived R'in the following steps:
(1)首先,根据(1) First, according to
式中,n——路网边界交叉口进口路段总数;Where n is the total number of imported road sections at the intersection of road network boundaries;
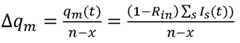
x——路网边界交叉口不适合限流的进口路段数,则n-x为路网边界交叉口适合限流的进口路段数;x——The number of imported road sections where the intersection of the road network boundary is not suitable for current limiting, then n-x is the number of imported road sections suitable for current limiting at the intersection of the road network boundary;
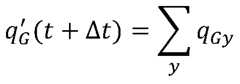
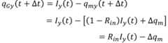
Δqm——个别边界路段存在溢流现象时,其它边界路段应增加的平均限流值;(2)其次,得出路网边界交叉口适合限流的进口应限流值:Δqm —— the average current limit value that should be increased for other boundary road sections when there is overflow phenomenon on individual boundary road sections; (2) Secondly, the inlet current limit value suitable for current limit at the intersection of road network boundary is obtained:
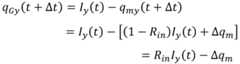
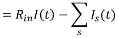
qmy(t+Δt)=(1-Rin)Iy(t)+Δqmqmy (t+Δt)=(1-Rin )Iy (t)+Δqm
式中,y表示适合限流的边界交叉口进口路段编号;Where y represents the boundary segment number of the boundary intersection suitable for current limiting;
(3)再次,得出路网边界交叉口适合限流的各进口新涌入量:(3) Again, the new influx of imports for the restricted flow at the intersection of the road network boundary is obtained:
从而,得出路网边界交叉口适合限流的所有进口新涌入量:Thus, the total influx of all imports suitable for current limiting at the intersection of the road network boundary is obtained:
适合限流的边界交叉口实际涌入量I′(t),公式如下:The actual influx I'(t) of the boundary intersection suitable for current limiting is as follows:
(4)最后得出重新调整后的新涌入率R′in:(4) Finally, the re-adjusted new influx rate R'in :
与现有技术相比,本发明的有益效果是:Compared with the prior art, the beneficial effects of the present invention are:
本发明车联网下基于MFD和排队长度的路网边界限流控制策略的方法,本发明在车联网环境下,实时路网中车辆数和路段最大排队长度,依据宏观基本图,在路网实施周边交通限流控制策略时,实时判断各边界路段的最大排队长度是否超越路段安全排队长度,及时调整路网涌入率,避免边界路段出现溢流现象。The method for controlling the road network boundary current limiting control based on the MFD and the queuing length in the vehicle networking of the present invention, in the vehicle networking environment, the number of vehicles in the real-time road network and the maximum queue length of the road segment are implemented in the road network according to the macro basic map In the surrounding traffic current limiting control strategy, it is determined in real time whether the maximum queue length of each boundary section exceeds the length of the road safety queue, and the inrush rate of the road network is adjusted in time to avoid overflow phenomenon on the boundary section.
图1为实施例车联网下基于MFD和排队长度的路网边界限流控制策略的方法的流程图。1 is a flow chart of a method for implementing a road network boundary current limiting control strategy based on MFD and queue length under the vehicle networking of the embodiment.
图2为实施例天河区体育中心商业区示意图。2 is a schematic view of a commercial area of the Tianhe District Sports Center in the embodiment.
图3为实施例天河商业区路网仿真模型示意图。FIG. 3 is a schematic diagram of a road network simulation model of the Tianhe commercial area in the embodiment.
图4为实施例仿真路网的MFD图形。4 is an MFD graph of an embodiment simulation road network.
图5为实施例过饱和路网各交叉口平均排队长度的示意图。FIG. 5 is a schematic diagram showing the average queue length of each intersection of the supersaturated road network in the embodiment.
图6为实施例过饱和路网各交叉口平均延误时间的示意图。Figure 6 is a schematic diagram showing the average delay time of each intersection of the supersaturated road network in the embodiment.
图7为过饱和路网各交叉口平均停车次数的示意图。Figure 7 is a schematic diagram of the average number of stops at each intersection of a supersaturated road network.
图8为三种策略下过饱和路网各项交通信号控制指标对比表。Figure 8 is a comparison table of traffic signal control indicators for over-saturated road networks under three strategies.
下面结合具体实施方式对本发明作进一步的说明。其中,附图仅用于示例性说明,表示的仅是示意图,而非实物图,不能理解为对本专利的限制;为了更好地说明本发明的实施例,附图某些部件会有省略、放大或缩小,并不代表实际产品的尺寸;对本领域技术人员来说,附图中某些公知结构及其说明可能省略是可以理解的。The invention will now be further described in conjunction with specific embodiments. The drawings are for illustrative purposes only, and are merely illustrative, rather than actual, and are not to be construed as limiting the scope of the invention; Zooming in or out does not represent the size of the actual product; it will be understood by those skilled in the art that certain known structures and their description may be omitted.
本发明实施例的附图中相同或相似的标号对应相同或相似的部件;在本发明的描述中,需要理解的是,若有术语“上”、“下”、“左”、“右”等指示的方位或位置关系为基于附图所示的方位或位置关系,仅是为了便于描述本发明和简化描述,而不是指示或暗示所指的装置或元件必须具有特定的方位、以特定的方位构造和操作,因此附图中描述位置关系的用语仅用于示例性说明,不能理解为对本专利的限制,对于本领域的普通技术人员而言,可以根据具体情况理解上述术语的具体含义。The same or similar reference numerals in the drawings of the embodiments of the present invention correspond to the same or similar components; in the description of the present invention, it is understood that the terms "upper", "lower", "left", "right" are used. The orientation or positional relationship of the indications is based on the orientation or positional relationship shown in the drawings, and is merely for the convenience of describing the present invention and the simplified description, and does not indicate or imply that the device or component referred to has a specific orientation, Azimuth construction and operation, and therefore, the terms of the positional relationship in the drawings are for illustrative purposes only, and are not to be construed as limiting the scope of the invention, and the specific meaning of the above terms may be understood by those of ordinary skill in the art.
实施例Example
如图1至8所示为本发明一种车联网下基于MFD和排队长度的路网边界限流控制策略的方法的实施例,具体步骤如下:FIG. 1 to FIG. 8 are diagrams showing an embodiment of a method for controlling a road network boundary current limiting policy based on MFD and queue length in a vehicle network according to the present invention. The specific steps are as follows:
(a)首先获取交通参数;将GPS车载设备均安装至车辆上,实时发送经纬度和速度等信息;(a) first obtain traffic parameters; install GPS on-board equipment to the vehicle, and send information such as latitude and longitude and speed in real time;
(b)其次,划定路网区域的车辆的满足条件,并根据条件判定移动车辆是否落在路网区域内;从待判断的车辆经纬度点向某一个方向引射线,计算和路网边界交点的个数,如果个数是偶数或者0则点在路网区域外部,如果是奇数,则在路网区域内部;将落在路网区域内的车辆数折算成当量交通量,确定路网车辆数N和各路段的流量qi(i表示第i条路段);(b) Secondly, the conditions for satisfying the vehicles in the road network area are determined, and whether the moving vehicle falls within the road network area is determined according to the conditions; the latitude and longitude points of the vehicle to be judged are directed to a certain direction, and the intersection of the road network boundary is calculated. If the number is even or 0, the point is outside the road network area. If it is odd, it is inside the road network area. The number of vehicles falling within the road network area is converted into equivalent traffic volume to determine the road network vehicle. Number N and the flow rate qi of each road segment (i indicates the i-th road segment);
(c)再次,将各路段上各车辆到达各进口停车线距离进行计算,并最终得出最大排队长度qLmax(i),取路段长度Li的95%为路段安全排队长度Lsi,将qLmax(i)与Lsi进行比较判断车辆是否造成上游交叉口出现交通拥堵;若qLmax(i)≥Lsi,就会造成车辆排队溢出至上上游交叉口,导致上游交叉口出现交通拥堵;(c) Again, calculate the distance from each vehicle on each section to each entrance stop line, and finally obtain the maximum queue length qLmax(i) . 95% of the length of the take-up section Li is the safety queue length Lsi of the road segment, and qLmax (i) Compare with Lsi to determine whether the vehicle causes traffic congestion at the upstream intersection; if qLmax(i) ≥Lsi , the vehicle will be queued to overflow to the upstream upstream intersection, resulting in traffic congestion at the upstream intersection;
(d)最后,对边界交通进行限流控制;当路网趋于拥堵时,对路网实施简单边界限流控制。(d) Finally, the flow control of the boundary traffic is carried out; when the road network tends to be congested, simple boundary current limiting control is implemented on the road network.
其中,在步骤(c)中,得出最大排队长度qLmax(i)的步骤如下:Wherein, in step (c), the steps ofobtaining the maximum queuing length qLmax(i) are as follows:
(A)首先进行各车辆到达各进口停车线距离的计算,计算公式如下:(A) First calculate the distance between each vehicle arriving at each entrance stop line, and the calculation formula is as follows:
式中:dij——第i路段上第j车辆到该路段进口停车线的距离;Where: dij - the distance from the jth vehicle on the i-th road to the entrance stop line of the road section;
AJij,AWij——第i路段上第j车辆的经纬度;AJij, AWij - the latitude and longitude of the jth vehicle on the i-th road;
BJij,BWij——第i路段上进口停车线的经纬度;BJij , BWij - the latitude and longitude of the entrance stop line on the i-th road section;
(B)在步骤(A)之后,对各路段上车辆达到停车线的距离集合记为D,表示为:(B) After step (A), the set of distances at which the vehicle reaches the parking line on each road segment is denoted as D, expressed as:
D={dij|i∈L,j∈N};D={dij |i∈L,j∈N};
车辆的瞬间速度集合记为V,表示为:The instantaneous speed set of the vehicle is recorded as V, which is expressed as:
V={vij|i∈L,j∈N}V={vij |i∈L,j∈N}
式中,vij为第i路段上第j车辆的瞬间速度;Where vij is the instantaneous speed of the jth vehicle on the i-th road segment;
(C)在步骤(B)之后,将瞬时速度v≤5km/h的车辆定义为停车排队车辆,从而获得路段上,所有停车排队车辆的排队长度集合记为QL,表示为:(C) After step (B), the vehicle with the instantaneous speed v≤5km/h is defined as the parking queue vehicle, so that the queue length of all the parking queue vehicles is recorded as QL on the road segment, which is expressed as:
QL={dij,vij|i∈L,j∈N,且vij≤5}QL ={dij ,vij |i∈L,j∈N, and vij ≤5}
从而得到第i路段车辆的最大排队长度qLmax(i),可表示为:Thereby obtaining the maximum queue length qLmax(i) of the i-th road vehicle, which can be expressed as:
qLmax(i)=max(QLi)qLmax(i) =max(QLi )
从而最终得出最大排队长度qLmax(i)。The resulting maximum queue length qLmax(i) is thus obtained.
另外,在步骤(d)中,当路网趋于拥堵时,对路网实施简单边界限流控制,具体步骤利用如下公式:In addition, in step (d), when the road network tends to be congested, a simple boundary current limiting control is implemented on the road network, and the specific steps use the following formula:
式中:t——某一时刻(h);Where: t - a certain moment (h);
Δt——时间步长(h);Δt - time step (h);
qG——受控后的路网边界车流涌入量(pcu/h);qG —— the traffic inflow of the road network boundary after the control (pcu/h);
I——路网t时刻车流涌入量(pcu/h),Ii(t)为t时刻第i个入口的车流涌入量(pcu/h),I(t)=∑Ii(t);I——the flow influx of the road network at time t (pcu/h), Ii (t) is the inflow of the i-th entrance at time t (pcu/h), I(t)=∑Ii (t );
O(t)——某一时刻路网涌出量(pcu/h);O(t) - the amount of road network gushing at a certain time (pcu/h);
Rin——涌入率(允许的车流涌入比率);Rin - the influx rate (allowed inflow ratio);
根据允许的车流涌入量Ii(t+Δt),采用Webster配时方法,重新计算出限流后各边界交叉口最佳信号周期。Amount of traffic to allow the influx of Ii (t + Δt), when employed with the method according to Webster, the recalculated optimum signal period after each boundary crossing limiting.
其中,具体步骤如下:Among them, the specific steps are as follows:
(1)当N(t)≥NC时,路网进入拥挤状态;(1) When N(t)≥NC , the road network enters a crowded state;
(2)当进入拥挤状态时,计算t时刻所有边界交叉口各进口的最大排队车辆数qLmax(i)(t),若qLmax(i)≥Lsi,则该交叉口进口不实施周边限流策略,按实际交通需求,采用Webster方法,进行配时设计;定义变量qm(t),用于统计所有不适合实施周边限流策略的边界交叉口限流值,变量qm(t)可表示为:(2) When entering the crowded state, calculate the maximum number of queued vehicles qLmax(i) (t) at each boundary intersection at time t, and if qLmax(i) ≥Lsi , the intersection entrance is not implemented around The current limiting strategy uses the Webster method to design the timing according to the actual traffic demand. The variable qm (t) is defined to calculate the boundary value of all boundary intersections that are not suitable for implementing the peripheral current limiting strategy. The variable qm (t ) can be expressed as:
式中,s表示不适合限流的边界交叉口进口路段编号;Where s represents the boundary segment number of the boundary intersection that is not suitable for current limiting;
若qm(t)=0,则按Rin涌入率实施周边限流策略;若qm(t)>0,则将qm(t)平均转移至其它边界交叉口,重新调整涌入率R′in。If qm (t) = 0, the peripheral current limiting strategy is implemented according to the Rin inrush rate; if qm (t) > 0, the qm (t) is averagely transferred to other boundary intersections, and the influx is readjusted. Rate R'in .
另外,得出R′in的具体步骤如下,参考图1:Further, the deduced R'in the following steps, with reference to Figure 1:
(1)首先,根据(1) First, according to
式中,n——路网边界交叉口进口路段总数;Where n is the total number of imported road sections at the intersection of road network boundaries;
x——路网边界交叉口不适合限流的进口路段数,则n-x为路网边界交叉口适合限流的进口路段数;x——The number of imported road sections where the intersection of the road network boundary is not suitable for current limiting, then n-x is the number of imported road sections suitable for current limiting at the intersection of the road network boundary;
Δqm——个别边界路段存在溢流现象时,其它边界路段应增加的平均限流值;(2)其次,得出路网边界交叉口适合限流的进口应限流值:Δqm —— the average current limit value that should be increased for other boundary road sections when there is overflow phenomenon on individual boundary road sections; (2) Secondly, the inlet current limit value suitable for current limit at the intersection of road network boundary is obtained:
qmy(t+Δt)=(1-Rin)Iy(t)+Δqmqmy (t+Δt)=(1-Rin )Iy (t)+Δqm
式中,y表示适合限流的边界交叉口进口路段编号;Where y represents the boundary segment number of the boundary intersection suitable for current limiting;
(3)再次,得出路网边界交叉口适合限流的各进口新涌入量:(3) Again, the new influx of imports for the restricted flow at the intersection of the road network boundary is obtained:
从而,得出路网边界交叉口适合限流的所有进口新涌入量:Thus, the total influx of all imports suitable for current limiting at the intersection of the road network boundary is obtained:
适合限流的边界交叉口实际涌入量I′(t),公式如下:The actual influx I'(t) of the boundary intersection suitable for current limiting is as follows:
(4)最后得出重新调整后的新涌入率R′in:(4) Finally, the re-adjusted new influx rate R'in :
具体的应用实施例如下:Specific application implementations are as follows:
以广州天河区体育中心商业区作为研究对象,如图2所示,其中天河北路、天河路、天河东路为该区域的主通道。Taking the commercial district of Guangzhou Tianhe District Sports Center as the research object, as shown in Figure 2, Tianhe North Road, Tianhe Road and Tianhe East Road are the main passages of the area.
1)确定路网宏观基本图1) Determine the basic map of the road network
在Vissim交通仿真软件中,建立了路网交通仿真模型,能够有效的模拟车联网环境,如图3所示。在该路网仿真模型中,模拟交通流从低峰开始,路网边界各路段驶入交通量每隔900s增加100pcu/h,直至高峰的过饱和状态,共仿真27000s,每隔120s采集1次数据,共采集225次数据,最后统计路网移动车辆数(由路段密度ki*路段长度Li计算所得)、边界交叉口的车流涌入量和车流流出量、路段流量进行处理,得该路网的基准MFD,如图3所示。In the Vissim traffic simulation software, a road network traffic simulation model is established, which can effectively simulate the car networking environment, as shown in Figure 3. In the road network simulation model, the simulated traffic flow starts from the low peak, and the traffic volume of each section of the road network boundary increases by 100pcu/h every 900s until the peak is oversaturated. The simulation is 27000s, and it is collected once every 120s. Data, a total of 225 data collection, and finally statistics of the number of mobile vehicles on the road network (calculated from the length of the section ki* section length Li), the traffic inflow at the boundary intersection, the outflow of the traffic, and the traffic volume of the road segment. The benchmark MFD is shown in Figure 3.
由图4的拟合曲线,计算该区域的最大加权流量临界车辆数Nc=1090pcu。可见,当车辆数N>1090pcu时,路网处于过饱和拥堵状态。Calculate the maximum weighted flow of the region from the fitted curve of Figure 4. The number of critical vehicles Nc =1090pcu. It can be seen that when the number of vehicles is N>1090pcu, the road network is in a state of supersaturation congestion.
2)边界限流控制策略仿真2) Simulation of boundary current limiting control strategy
采用C#语言对Vissim提供的com编程接口进行二次开发,对路网实施考虑边界路段排队空间的边界限流控制策略。为了获取边界路段的最大排队长度,在路段安全排队位置设置了排队检测器。当路网仿真至133个周期(仿真时间约为15960s)时,路网进入了拥堵状态,根据边界限流控制策略,得到路网初始涌入率92%,8%的流量需要进行限流。因此,为了简化计算,将边界路段驶入方向的绿灯时长减少8%,重新进行仿真分析。大概在运行了156个周期左右,由于路段CR、ED、FG排队空间有限,出现了排队空间不足的情况,排队溢出至上游交叉口,需要重新调整路网的涌出率,依据考虑路段排队空间的边界限流控制算法,重新计算涌出率为90%,也就是说对路段CR、ED、FG不做限流,对其他边界路段实施90%的涌入率限流,重新进行仿真分析。The C# language is used to redevelop the com programming interface provided by Vissim, and the boundary current limiting control strategy considering the queuing space of the boundary road segment is implemented on the road network. In order to obtain the maximum queue length of the boundary road segment, a queue detector is set in the safe queue position of the road segment. When the road network is simulated to 133 cycles (the simulation time is about 15960s), the road network enters the congestion state. According to the boundary current limiting control strategy, the initial inflow rate of the road network is 92%, and 8% of the traffic needs to be limited. Therefore, in order to simplify the calculation, the green light duration of the boundary section into the direction is reduced by 8%, and the simulation analysis is performed again. About 156 cycles have been run. Due to the limited queuing space of CR, ED and FG, there is a shortage of queue space. When the queue overflows to the upstream intersection, the flooding rate of the road network needs to be re-adjusted. The boundary current limiting control algorithm recalculates the rush rate of 90%, that is, does not limit the flow of CR, ED, and FG, and implements a 90% inrush rate limiting for other boundary sections, and re-simulates the simulation.
分析不实施周边限流策略、简单周边限流策略[11]和考虑排队空间的边界限流控制策略等三种控制策略下,过饱和路网的仿真数据(15960~27000s为过饱和仿真时间段),得到过饱和路网的交通信号控制指标,如图5-7所示。The analysis does not implement the peripheral current limiting strategy, the simple peripheral current limiting strategy[11] and the boundary current limiting control strategy considering the queuing space. The simulation data of the supersaturated road network (15960~27000s is the supersaturation simulation time period) ), get the traffic signal control indicators of the supersaturated road network, as shown in Figure 5-7.
由图8可知,简单周边限流策略和本文算法的平均延误时间比不实施周边限流策略分别降低了12.6%,17.1%;简单周边限流策略和本文算法的平均停车次数比不实施周边限流策略分别降低了6.7%,4.2%;简单周边限流策略和本文算 法的平均排队长度比不实施周边限流策略分别降低了17.7%,18.6%。简单周边限流策略和本文算法的各项交通信号控制指标比不实施周边限流策略均有所改善。It can be seen from Fig. 8 that the average peripheral current limiting strategy and the average delay time of the algorithm are reduced by 12.6% and 17.1%, respectively. The simple peripheral current limiting strategy and the average stopping times of the algorithm are not implemented. The flow strategy was reduced by 6.7% and 4.2% respectively; the simple peripheral current limiting strategy and the average queuing length of the proposed algorithm were reduced by 17.7% and 18.6%, respectively, compared with the implementation of the peripheral current limiting strategy. The simple peripheral current limiting strategy and the various traffic signal control indicators of the algorithm are improved compared with the implementation of the peripheral current limiting strategy.
显然,本发明的上述实施例仅仅是为清楚地说明本发明所作的举例,而并非是对本发明的实施方式的限定。对于所属领域的普通技术人员来说,在上述说明的基础上还可以做出其它不同形式的变化或变动。这里无需也无法对所有的实施方式予以穷举。凡在本发明的精神和原则之内所作的任何修改、等同替换和改进等,均应包含在本发明权利要求的保护范围之内。It is apparent that the above-described embodiments of the present invention are merely illustrative of the present invention and are not intended to limit the embodiments of the present invention. Other variations or modifications of the various forms may be made by those skilled in the art in light of the above description. There is no need and no way to exhaust all of the implementations. Any modifications, equivalent substitutions and improvements made within the spirit and scope of the invention are intended to be included within the scope of the appended claims.
| Application Number | Priority Date | Filing Date | Title | 
|---|---|---|---|
| CN201710550098.1ACN107507415B (en) | 2017-07-06 | 2017-07-06 | Road network boundary current limiting control method based on MFD and queuing length under Internet of vehicles | 
| CN201710550098.1 | 2017-07-06 | 
| Publication Number | Publication Date | 
|---|---|
| WO2019007126A1true WO2019007126A1 (en) | 2019-01-10 | 
| Application Number | Title | Priority Date | Filing Date | 
|---|---|---|---|
| PCT/CN2018/082138CeasedWO2019007126A1 (en) | 2017-07-06 | 2018-04-08 | Mfd and queuing length based road network boundary flow limiting control method under internet of vehicles | 
| Country | Link | 
|---|---|
| CN (1) | CN107507415B (en) | 
| WO (1) | WO2019007126A1 (en) | 
| Publication number | Priority date | Publication date | Assignee | Title | 
|---|---|---|---|---|
| CN111429733A (en)* | 2020-03-24 | 2020-07-17 | 浙江工业大学 | Road network traffic signal control method based on macroscopic basic graph | 
| CN113487861A (en)* | 2021-06-29 | 2021-10-08 | 东南大学 | Multi-mode traffic network boundary control method | 
| CN113947905A (en)* | 2021-10-19 | 2022-01-18 | 交通运输部公路科学研究所 | Traffic operation situation sensing method, module and system | 
| CN115171374A (en)* | 2022-06-27 | 2022-10-11 | 云控智行(上海)汽车科技有限公司 | Overflow queuing prediction and multi-channel traffic signal coordination control algorithm, system and device based on vehicle-road cooperation | 
| Publication number | Priority date | Publication date | Assignee | Title | 
|---|---|---|---|---|
| CN107507415B (en)* | 2017-07-06 | 2020-12-18 | 广东交通职业技术学院 | Road network boundary current limiting control method based on MFD and queuing length under Internet of vehicles | 
| CN108297878B (en)* | 2018-02-06 | 2020-04-24 | 北京百度网讯科技有限公司 | Vehicle control method, device, vehicle-mounted terminal, server and medium | 
| CN108615362A (en)* | 2018-06-22 | 2018-10-02 | 广东交通职业技术学院 | A kind of road traffic flow parameter extracting method under 5G car networkings environment | 
| CN109243177B (en)* | 2018-10-11 | 2021-01-01 | 招商局重庆交通科研设计院有限公司 | Road traffic wide area guidance method | 
| CN109872538B (en)* | 2019-04-16 | 2021-08-31 | 广东交通职业技术学院 | MFD-based saturated intersection group multilayer boundary iterative learning control method and device | 
| CN110766940A (en)* | 2019-09-24 | 2020-02-07 | 重庆交通大学 | Method for evaluating running condition of road signalized intersection | 
| CN111931317B (en)* | 2020-06-03 | 2022-11-11 | 东南大学 | Boundary control method of regional congested road network based on vehicle GPS data | 
| CN111932914B (en)* | 2020-06-03 | 2022-05-13 | 东南大学 | Double-layer boundary control method of road network in urban congested area | 
| CN111932888B (en) | 2020-08-17 | 2021-11-12 | 山东交通学院 | Regional dynamic boundary control method and system for preventing queuing overflow in boundary road sections | 
| CN112609614A (en)* | 2021-01-07 | 2021-04-06 | 广州羽嘉科技有限公司 | Lifting column capable of controlling traffic flow of parking lot | 
| CN113706862B (en)* | 2021-08-04 | 2023-05-12 | 兆边(上海)科技有限公司 | Distributed active equalization control method considering road network capacity constraint | 
| CN114399908B (en)* | 2021-12-10 | 2024-01-05 | 中交第二公路勘察设计研究院有限公司 | Method for judging lane-level queuing length of road intersection by vehicle-mounted ADAS | 
| Publication number | Priority date | Publication date | Assignee | Title | 
|---|---|---|---|---|
| JP2003296870A (en)* | 2002-03-29 | 2003-10-17 | Fujitsu Fip Corp | Prevention and resolution of traffic congestion using traffic flow prediction and case inference | 
| JP2008299458A (en)* | 2007-05-30 | 2008-12-11 | Hitachi Ltd | Vehicle monitoring apparatus and vehicle monitoring method | 
| CN104021682A (en)* | 2014-05-06 | 2014-09-03 | 东南大学 | Oversaturated intersection self-repairing control method | 
| CN105023445A (en)* | 2014-07-04 | 2015-11-04 | 吴建平 | Regional traffic dynamic regulation-control method and system | 
| CN106781558A (en)* | 2017-01-20 | 2017-05-31 | 华南理工大学 | The quick leading method of main channel traffic flow based on macroscopical parent map under car networking | 
| CN107507415A (en)* | 2017-07-06 | 2017-12-22 | 广东交通职业技术学院 | Road network border Current limited Control method based on MFD and queue length under car networking | 
| Publication number | Priority date | Publication date | Assignee | Title | 
|---|---|---|---|---|
| DE10022812A1 (en)* | 2000-05-10 | 2001-11-22 | Daimler Chrysler Ag | Method for determining the traffic situation on the basis of reporting vehicle data for a traffic network with traffic-regulated network nodes | 
| CN106408943A (en)* | 2016-11-17 | 2017-02-15 | 华南理工大学 | Road-network traffic jam discrimination method based on macroscopic fundamental diagram | 
| CN106504536B (en)* | 2016-12-09 | 2019-01-18 | 华南理工大学 | A kind of traffic zone coordination optimizing method | 
| Publication number | Priority date | Publication date | Assignee | Title | 
|---|---|---|---|---|
| JP2003296870A (en)* | 2002-03-29 | 2003-10-17 | Fujitsu Fip Corp | Prevention and resolution of traffic congestion using traffic flow prediction and case inference | 
| JP2008299458A (en)* | 2007-05-30 | 2008-12-11 | Hitachi Ltd | Vehicle monitoring apparatus and vehicle monitoring method | 
| CN104021682A (en)* | 2014-05-06 | 2014-09-03 | 东南大学 | Oversaturated intersection self-repairing control method | 
| CN105023445A (en)* | 2014-07-04 | 2015-11-04 | 吴建平 | Regional traffic dynamic regulation-control method and system | 
| CN106781558A (en)* | 2017-01-20 | 2017-05-31 | 华南理工大学 | The quick leading method of main channel traffic flow based on macroscopical parent map under car networking | 
| CN107507415A (en)* | 2017-07-06 | 2017-12-22 | 广东交通职业技术学院 | Road network border Current limited Control method based on MFD and queue length under car networking | 
| Title | 
|---|
| LIN, XIAOHUI, JOURNAL OF CHINA & FOREIGN HIGHWAY, vol. 34, no. 4, 19 August 2014 (2014-08-19)* | 
| Publication number | Priority date | Publication date | Assignee | Title | 
|---|---|---|---|---|
| CN111429733A (en)* | 2020-03-24 | 2020-07-17 | 浙江工业大学 | Road network traffic signal control method based on macroscopic basic graph | 
| CN113487861A (en)* | 2021-06-29 | 2021-10-08 | 东南大学 | Multi-mode traffic network boundary control method | 
| CN113487861B (en)* | 2021-06-29 | 2022-07-08 | 东南大学 | A method for boundary control of multi-mode traffic network | 
| CN113947905A (en)* | 2021-10-19 | 2022-01-18 | 交通运输部公路科学研究所 | Traffic operation situation sensing method, module and system | 
| CN115171374A (en)* | 2022-06-27 | 2022-10-11 | 云控智行(上海)汽车科技有限公司 | Overflow queuing prediction and multi-channel traffic signal coordination control algorithm, system and device based on vehicle-road cooperation | 
| Publication number | Publication date | 
|---|---|
| CN107507415B (en) | 2020-12-18 | 
| CN107507415A (en) | 2017-12-22 | 
| Publication | Publication Date | Title | 
|---|---|---|
| WO2019007126A1 (en) | Mfd and queuing length based road network boundary flow limiting control method under internet of vehicles | |
| CN101789183B (en) | An adaptive control system and method for an on-ramp | |
| CN108806283B (en) | A traffic signal light control method and vehicle networking platform | |
| CN103280113B (en) | Self-adaptive intersection signal control method | |
| CN105489034B (en) | A kind of complete traffic control system of main line and method | |
| CN107730886B (en) | A dynamic optimization method for traffic signals at urban intersections in the environment of Internet of Vehicles | |
| CN103198681B (en) | A kind of intersection signal control method towards public traffic in priority | |
| CN103000027B (en) | Intelligent traffic guidance method based on floating car under congestion condition | |
| CN113032964B (en) | A kind of intersection signal control method and device for bus priority | |
| WO2018149308A1 (en) | Road traffic optimization method and device and electronic apparatus | |
| CN106846835B (en) | An adaptive coordinated control method for urban area traffic signals | |
| CN108109398A (en) | A kind of overhead expressway Coordinated Ramp Control System and control method | |
| CN106781558B (en) | A method for fast traffic flow in the main channel based on the macro basic diagram under the Internet of Vehicles | |
| CN104952263B (en) | Emergency vehicle priority signal control method based on phase difference progressive and circulatory coordination | |
| CN102289943A (en) | Traffic control method for ensuring smoothness of fly-over crossing | |
| CN113947900A (en) | An intelligent network-connected expressway ramp cooperative control system | |
| CN104183147B (en) | Improve the bus travel speed control method of public transport punctuality rate | |
| CN110349409B (en) | Method for determining intersection steering overflow by using single vehicle track | |
| CN104778845A (en) | Multi-phase-jump and vehicle full-dynamic induction traffic control method | |
| CN105679032B (en) | A kind of traffic control sub-area division method under urban traffic flow hypersaturated state | |
| CN103810868A (en) | Traffic overflow inhibition method based on high altitude video information | |
| CN108898858A (en) | The signal coordinating control method of continuous intersection under a kind of supersaturation traffic behavior | |
| CN108615376A (en) | A kind of integrative design intersection schemes evaluation method based on video detection | |
| CN105206071B (en) | Intersection timing method based on mixed traffic flow Delay Model | |
| CN106548632A (en) | A kind of adjacent upstream and downstream signalized intersections queue length method of estimation | 
| Date | Code | Title | Description | 
|---|---|---|---|
| 121 | Ep: the epo has been informed by wipo that ep was designated in this application | Ref document number:18827407 Country of ref document:EP Kind code of ref document:A1 | |
| NENP | Non-entry into the national phase | Ref country code:DE | |
| 32PN | Ep: public notification in the ep bulletin as address of the adressee cannot be established | Free format text:NOTING OF LOSS OF RIGHTS PURSUANT TO RULE 112(1) EPC (EPO FORM 1205A DATED 14.05.2020) | |
| 122 | Ep: pct application non-entry in european phase | Ref document number:18827407 Country of ref document:EP Kind code of ref document:A1 |