Movatterモバイル変換


[0]ホーム

URL:


WO2018185253A1 - Ligand modified double-stranded nucleic acids - Google Patents

Ligand modified double-stranded nucleic acids
Download PDF

Info

Publication number
WO2018185253A1
WO2018185253A1PCT/EP2018/058797EP2018058797WWO2018185253A1WO 2018185253 A1WO2018185253 A1WO 2018185253A1EP 2018058797 WEP2018058797 WEP 2018058797WWO 2018185253 A1WO2018185253 A1WO 2018185253A1
Authority
WO
WIPO (PCT)
Prior art keywords
strand
conjugate
nucleic acid
modified
nucleotides
Prior art date
Legal status (The legal status is an assumption and is not a legal conclusion. Google has not performed a legal analysis and makes no representation as to the accuracy of the status listed.)
Ceased
Application number
PCT/EP2018/058797
Other languages
French (fr)
Inventor
Judith HAUPTMANN
Adrien WEINGÄRTNER
Dmitry Samarsky
Lucas Bethge
Christian Frauendorf
Alison Gallafent
Current Assignee (The listed assignees may be inaccurate. Google has not performed a legal analysis and makes no representation or warranty as to the accuracy of the list.)
Silence Therapeutics GmbH
Original Assignee
Silence Therapeutics GmbH
Priority date (The priority date is an assumption and is not a legal conclusion. Google has not performed a legal analysis and makes no representation as to the accuracy of the date listed.)
Filing date
Publication date
Application filed by Silence Therapeutics GmbHfiledCriticalSilence Therapeutics GmbH
Publication of WO2018185253A1publicationCriticalpatent/WO2018185253A1/en
Anticipated expirationlegal-statusCritical
Ceasedlegal-statusCriticalCurrent

Links

Classifications

Definitions

Landscapes

Abstract

The invention relates inter alia to conjugate for inhibiting expression of a target gene in a cell, said conjugate comprising a nucleic acid portion and a ligand portion, said nucleic acid portion comprising at least one duplex region that comprises at least a portion of a first strand and at least a portion of a second strand that is at least partially complementary to the first strand, wherein said first strand is at least partially complementary to at least a portion of RNA transcribed from said target gene, wherein said ligand portion comprises at least one or more targeting ligands attached at least to the 3' end of the first strand.

Description

LIGAND MODIFIED DOUBLE-STRANDED NUCLEIC ACIDS
Field of the Invention
The present invention relates to novel nucleic acid conjugate compounds. The invention further relates to compositions comprising said conjugates and their use in medicine, research and diagnostics. The novel conjugate compounds may be used in the treatment of many diseases including central-nervous-system diseases, inflammatory diseases, metabolic disorders, genetic and inherited diseases, oncology, infectious diseases, and ocular disease.
Background of the Invention
Double-stranded RNA (dsRNA) has been shown to block gene expression ( Fire et al., 1998 and Elbashir et al., 2001) and this has been termed RNA interference or "RNAi", mediated by interfering RNA molecules ( iRNA ). Short dsRNA directs gene-specific, post -transcriptional si lencing in many organisms, including vertebrates, and has prov ided a new tool for studying gene function. RNAi is mediated by RNA-induced silencing complex ( RISC ), a sequence- specific, mult i-component nuclease that destroys messenger RNAs homologous to the silencing trigger. iRNAs ( interfering RNA) such as siRNA (short interfering RNA), ant isense RNA, and micro- RNA arc ol igonucleotides that prev ent the format ion of proteins by gene-silencing i.e. inhibiting translation of the protein. Gene-silencing agents are becoming increasingly important for therapeutic applicat ions in medicine.
Thus, means for efficient delivery of oligonucleotides, in particular double stranded siRNAs, to cells in viv o is becoming increasingly important and requires specific targeting and substant ial protection from the extracellular env ironment, particularly serum proteins. One method of achiev ing speci fic targeting is to conjugate a targeting moiety to the iRNA duple agent. The targeting moiety helps in targeting the iR NA duple agent to the required target site and there is a need to design appropriate targeting moieties for the desired receptor sites for the conjugated molecules to be taken up by the cells such as by endocytosis.
For example, the Asialoglycoprotein receptor (ASGP-R ) is a high capacity receptor, which is highly abundant on hcpatocytes. One of the first disclosures of triantennary cluster glycosides was in US patent number US 5,885,968. Conjugates hav ing three GalNAc ligands and comprising phosphate groups are known and are described in Dubber et al . (2003). The ASGP-R shows a 50-fold higher affinity for N-Acetyl-D-Galactosylamine (GalNAc ) than D- Gal. Hepatocytes expressing the Lectin (asialoglycoprotein receptor; ASGPR), which recognizes specifically terminal β-galactosyl subunits of glycosylated proteins or other oligosaccharides
(P. H. Wei gel et. al, 2002,) can be used for targeting a drug to the liver by covalent coupling of galactose or galaetosamine to the drug substance (S.Ishibashi, et. al. 1994). Furthermore the binding affinity can be significant ly increased by the multi-valency effect, which is achieved by the repetition of the targeting unit (E. A. L. Biessen et. al, 1995).
The ASGPR is a mediator for an active endosomai transport of terminal β-galactosyl containing glycoproteins, thus ASGPR is highly suitable for targeted delivery of drug candidates like siRNA, which have to be delivered into a cell ( Akinc et al.). However, targeting ligands developed so far do not always translate to in vivo setting and there is a clear need for more efficacious receptor specific ligand conjugated iRNA duplex agents and methods for their preparation for the in vivo delivery of oligonucleotide therapeutics, nucleic acids and double stranded siRNAs. The present invention attempts to address these needs. Summary of the Invention
The present invention relates to a nucleic acid conjugate compound having a targeting ligand, such as an N-acetyl galaetosamine ligand. These conjugate compounds have been shown to have improved potency and duration in vivo. In addition, the conjugate groups are easy to prepare. The present invention relates to, as a first aspect, a conjugate for inhibiting expression of a target gene in a cell, said conjugate comprising a nucleic acid portion and a ligand portion, said nucleic acid portion comprising at least one duplex region that comprises at least a portion of a first strand and at least a portion of a second strand that is at least partially complementary to the first strand, wherein said first strand is at least partially complementary to at least a portion of RNA transcribed from said target gene, wherein said ligand portion comprises at least one or more targeting ligands attached at least to the 3' end of the first strand.
As used herein, the first strand may be referred to as the antisense strand and the second strand may be referred to as the sense strand. The terms first strand and antisense strand or second strand and sense strand should be treated as interchangeable. The ligand portion of said conjugate may not include one or more targeting ligands attached to the 5 ' end of the first strand.
The ligand portion may further comprise one or more targeting ligands attached to the 3 ' end of the second strand. The ligand portion may further comprise one or more targeting ligands attached to the 5 ' end of the second strand.
The first and second RNA strands according to the first aspect can be conjugated exclusively at their 3' and/or 5' end to the ligand portion wherein two of the four ends of the strands are so conjugated. In particular, two of the four ends of the strands only can be so conjugated to the ligand portion as follows: i. the 5' end of the second strand and the 3' end of the first strand are conjugated to the ligand portion; or ii. the 3' end of the second strand and the 3' end of the first strand are conjugated to a targeting ligand. Preferably, there is no conjugation of the targeting ligand portion to the nucleic acid portion other than to the nucleotide at the end of the respective strand.
In a second aspect, the invention provides a conjugate for inhibiting expression of a target gene in a cell, said conjugate comprising a nucleic acid portion and a ligand portion, said nucleic acid portion comprising at least one duplex region that comprises at least a portion of a first strand and at least a portion of a second strand that is at least partially complementary to the first strand, wherein said first strand is at least partially complementary to at least a portion of RNA transcribed from said target gene, wherein said ligand portion comprises one or more targeting ligands attached to the 3 ' end of the first strand, one or more targeting ligands attached to the 3 ' end of the second strand, one or more targeting ligands attached to the 5 ' end of the second strand, and no targeting ligands attached to the 5 ' end of the first strand.
In a third aspect, the invention provides a conjugate for inhibiting expression of a target gene in a cell, said conjugate comprising a nucleic acid portion and a ligand portion, said nucleic acid portion comprising at least one duplex region that comprises at least a portion of a first strand and at least a portion of a second strand that is at least partially complementary to the „
4 first strand, wherein said first strand is at least partially complementary to at least a portion of RNA transcribed from said target gene, wherein said ligand portion comprises four or more targeting ligands attached at least to the 3 ' end of the first strand, for example four or more Gal Ac targeting ligands, for example a tetra-antennary (tetrameric) Gal Ac targeting ligand.
A conjugate according to the third aspect may have a ligand portion which does not include one or more targeting ligands attached to the 5 ' end of the first strand.
A conjugate according to the third aspect may have a ligand portion which further comprises one or more targeting ligands attached to the 3 ' end of the second strand, for example four or more targeting ligands, for example four or more GalNAc targeting ligands, for example a tetra-antennary GalNAc targeting ligand.
A conjugate according to the third aspect may have a ligand portion which further comprises one or more targeting ligands attached to the 5 ' end of the second strand, for example four or more targeting ligands, for example four or more GalNAc targeting ligands, for example a tetra-antennary GalNAc targeting ligand.
A conjugate according to the third aspect may have a ligand portion which does not include targeting ligands at the other ends of the first and second strands.
In further embodiments, the conjugate may comprise monomeric ligands at one or more ends, may comprise dimeric ligands at one or more ends, or may comprise trimeric ligands at one or more ends. Monomeric and dimeric ligands are preferred. Preferably the conjugate comprises a dimeric ligand at one end only (i.e. the 3' end of the first strand) or comprises a monomeric ligand at two or more ends (one of which is the 3' end of the first strand and preferably not at the 5' end of the first strand).
A conjugate according to any of the above aspects may further comprise at least one phosphorothioate linkage in the nucleic acid portion of said conjugate.
In a fourth aspect, the invention provides a conjugate for inhibiting expression of a target gene in a cell, said conjugate comprising a nucleic acid portion and a ligand portion, said nucleic acid portion comprising at least one duplex region that comprises at least a portion of a first strand and at least a portion of a second strand that is at least partially complementary to the first strand, wherein said first strand is at least partially complementary to at least a portion of RNA transcribed from said target gene, wherein said ligand portion comprises one or more targeting ligands attached to the 3 ' end of the first strand and does not include targeting ligands at the other ends of the first and second strands, and wherein said conjugate further comprises at least one phosphorothioate linkage in the nucleic acid portion of said conjugate.
In a fifth aspect, the invention provides a conjugate for inhibiting expression of a target gene in a cell, said conjugate comprising a nucleic acid portion and a ligand portion, said nucleic acid portion comprising at least one duplex region that comprises at least a portion of a first strand and at least a portion of a second strand that is at least partially complementary to the first strand, wherein said first strand is at least partially complementary to at least a portion of RNA transcribed from said target gene, wherein said ligand portion further comprises one or more targeting ligands attached to at least one of: (a) the 3 ' end of the first strand, and / or (b) the 3 ' end of the second strand, and / or (c) the 5 ' end of the second strand, and does not include targeting ligands at the 5 ' end of the first strand, and wherein said conjugate further comprises at least one phosphorothioate linkage in the nucleic acid portion of said conjugate.
A conjugate according to the fifth aspect may have one or more targeting ligands present at the 3 ' end of the first strand.
A conjugate according to the fifth aspect may have one or more targeting ligands present at the 3 ' end of the second strand. A conjugate according to the fifth aspect may have one or more targeting ligands present at the 5 ' end of the second strand.
The first and second RNA strands according to the fifth aspect can be conjugated exclusively at their 3' and/or 5' ends to the ligand portion wherein two or three of the four ends of the strands only are so conjugated. In particular, two of the four ends of the strands only can be so conjugated to the ligand portion as follows: i. the 5 '-end of the second strand and the 3 ' end of the first strand are conjugated to the ligand portion; ii. the 3' end of the second strand and the 3' end of the first strand are conjugated to a targeting ligand; orr
6 iii. the 3 ' end of the second strand and the 5 ' end of the second strand are conjugated to a targeting ligand.
Alternatively, three of the four ends of the strands can be so conjugated to the ligand portion such that one or more targeting ligands are attached the 3' end of the first strand, one or more targeting ligands are attached to the 3 ' end of the second strand, one or more targeting ligands are attached to the 5 ' end of the second strand, and no targeting ligands are attached to the 5 ' end of the first strand.
A conjugate according to the fifth aspect may comprise a phosphorothioate linkage between nucleotides 1 and 2 at the 5' end of the first strand (reading 5' to 3 '). A conjugate according to the fifth aspect may comprise a phosphorothioate linkage between nucleotides 2 and 3 at the 5' end of the first strand (reading 5' to 3 ').
A conjugate according to the fifth aspect may comprise a phosphorothioate linkage between nucleotides 1 and 2 at the 3' end of the first strand (reading 3' to 5').
A conjugate according to the fifth aspect may comprise a phosphorothioate linkage between nucleotides 2 and 3 at the 3 ' end of the first strand (reading 3 ' to 5 ').
A conjugate according to the fifth aspect may comprise a phosphorothioate linkage between nucleotides 1 and 2 at the 5' end of the second strand (reading 5' to 3').
A conjugate according to the fifth aspect may comprise a phosphorothioate linkage between nucleotides 2 and 3 at the 5' end of the second strand (reading 5' to 3'). A conjugate according to the fifth aspect may comprise a phosphorothioate linkage between nucleotides 1 and 2 at the 3 ' end of the second strand (reading 3' to 5').
A conjugate according to the fifth aspect may comprise a phosphorothioate linkage between nucleotides 2 and 3 at the 3' end of the second strand (reading 3' to 5').
A conjugate according to any of the above aspects may have a nucleic acid portion which is double stranded with blunt ends at one or both ends, or which has at one or more ends a one or two nucleotide overhang.
A conjugate according to any of the above aspects may have ligands which comprise
Gal Ac. Preferably, in the various aspects, there is no conjugation of the targeting ligand portion to the nucleic acid portion other than to the nucleotide at the end of the respective strand.
A conjugate according to any of the above aspects may have ligands which are linked to said nucleic acid portion of said conjugate by tetra-antennary linkers, particularly when the conjugate has only a single conjugated end.
A conjugate according to any of the above aspects may have ligands which are linked to said nucleic acid portion of said conjugate by tri-antennary linkers.
The tri-antennary linker may have the formula I:
[S-X^P-X^B-A-X^Z (I) wherein:
S represents a saccharide;
X1 represents C3-C6 alkylene or (-CH2-CH2-0)m(-CH2)2- wherein m is 1, 2, or 3; P is a modified phosphate;
X2 is alkylene or an alkylene ether of the formula (-CH2)N-0-CH2- where n = 1- 6; A is a branching unit;
X3 represents a bridging unit; Z is the nucleic acid portion; and where the linkage between X3 and Z is a phosphate or thiophosphate.
The connection to Z may be at the 3 ' or 5 ' end of a strand of the nucleic acid portion, suitably at the 3 ' end of the first strand.
A sixth aspect of the invention provides a composition comprising a conjugate of any of the above aspects, and a suitable carrier or excipient.
A seventh aspect of the invention provides a conjugate of any of the first to fifth aspects, or a composition of the sixth aspect, for use in medicine. The use may be for treating one or more of liver disease, genetic disease, hemophilia and bleeding disorder, liver fibrosis, non-alcoholic steatohepatitis (NASH), non-alcoholic fatty liver disease (NAFLD), viral hepatitis, rare diseases (e.g. acromegaly), metabolic diseases (e.g. hypercholesterolemia, dyslipidemia, hypertriglyceridemia), cardiovascular diseases, obesity, hemochromatosis, thalassemia, liver injury, alcoholic liver diseases, alcohol dependence and/or anemia of chronic disease.
An eighth aspect of the invention relates to a method of inhibiting (in vitro or in vivo) the expression of a target gene in a mammalian cell, the method comprising contacting the mammalian cell with a conjugate according to any of the first to fifth aspects of the invention. A ninth aspect of the invention includes method of inducing RNAi in a subject, the method comprising administering to the subject an effective amount of a conjugate of any of the first to fifth aspects or a composition of the sixth aspect of the invention.
The method according to the eighth and ninth aspects may be for use in the treatment of liver disease, genetic disease, hemophilia and bleeding disorder, liver fibrosis, non-alcoholic steatohepatitis (NASH), non-alcoholic fatty liver disease (NAFLD), viral hepatitis, rare diseases (e.g. acromegaly), metabolic diseases (e.g. hypercholesterolemia, dyslipidemia, hypertriglyceridemia), cardiovascular diseases, obesity, hemochromatosis, thalassemia, liver injury, alcoholic liver diseases, alcohol dependence and/or anemia of chronic disease in patient in need thereof, comprising administration of a conjugate of any of the first to fifth aspects or a composition of the sixth aspect of the invention.
In a tenth aspect, the invention provides a method of making a conjugate of the first to fifth aspects, the method comprising adding together the components of the conjugate to form the conjugate.
The nucleic acid is dsRNA, particularly siRNA. The present invention also relates to pharmaceutical compositions comprising the conjugate compound of formula I. The nucleic acid molecule includes a double stranded region that may function in RNA interference and a single stranded region that may function in antisense.
In the various aspects of the invention (unless the stated otherwise) the targeting ligand may be any targeting ligand appropriate for the cell to be targeted. In one preferred embodiment, the targeting ligand targets ASGP receptors, especially such receptors on liver cells. For example, the targeting ligand is or comprises a carbohydrate moiety such as galactose or Gal Ac, preferably GalNAc.
Brief Description of the Figures
Figure 1 depicts Conjugate 1. The last three nucleotides at the 5' ends of the antisense and sense strands and at the 3 ' end of the sense strand are connected by a phosphorothioate linker between each nucleotide. The GalNAc-linker is conjugated via a phosphodiester bond to the 3' end of the antisense strand.
Figure 2 depicts Conjugate 2. The last three nucleotides at the 5' and 3' ends of the antisense and sense strands are connected by a phosphorothioate linker between each nucleotide. The GalNAc-linker is conjugated via a phosphodiester bond to the 3' end of the antisense strand.
Figure 3 depicts Conjugate 3. The last three nucleotides at the 5' and 3' ends of the antisense and sense strands are connected by a phosphorothioate linker between each nucleotide. The serinol-GalNAc-linkers are conjugated via a phosphorothioate bond to the 3' end of the antisense strand as well as to the 5 ' end of the sense strand. Figure 4 depicts Conjugate 4. The last three nucleotides at the 5' and 3 ' ends of the antisense and sense strands are connected by a phosphorothioate linker between each nucleotide. The serinol-GalNAc-linkers are conjugated via a phosphorothioate bond to the 3' end and the 5' end of the sense strand.
Figure 5 depicts Conjugate 5. The last three nucleotides at the 5' and 3 ' ends of the antisense and sense strands are connected by a phosphorothioate linker between each nucleotide. The serinol-GalNAc-linkers are conjugated via a phosphorothioate bond to the 3' end and the 5' end of the sense strand as well as to the 3 ' end of the antisense strand.
Figure 6 shows the conjugation of the targeting portion to the 3' end of the first (antisense) strand; and depicts Conjugate 6 when n = 0, Conjugate 7 when n = 1, Conjugate 8 when n = 2 and Conjugate 9 when n = 3.
Figure 7 depicts Conjugate 10. The last three nucleotides at the 5' ends of the antisense and sense strands and at the 3 ' end of the sense strand are connected by a phosphorothioate linker between each nucleotide. The GalNAc-linker is conjugated via a phosphorothioate bond to the 3' end of the antisense strand. Figure 8 depicts Conjugate 11. The last three nucleotides at the 5' and 3' ends of the antisense and sense strands are connected by a phosphorothioate linker between each nucleotide. The Gal Ac-linker is conjugated via a phosphorothioate bond to the 3' end of the antisense strand. Figure 9 depicts Conjugate 12. The last three nucleotides at the 5' and 3' ends of the antisense and sense strands are connected by a phosphorothioate linker between each nucleotide. The first serinol-GalNAc-linker is conjugated to the 3' of the antisense of the siR A via a phosphodiester whereas the second is linked to the first serinol-GalNAc via a phosphorothioate linkage. Figure 10 depicts Conjugate 13. The last three nucleotides at the 5' ends of the antisense and sense strands and at the 3 ' end of the sense strand are connected by a phosphorothioate linker between each nucleotide. The serinol-GalNAc-linkers are conjugated to each other and to the 3' of the antisense of the siRNA via a phosphorothioate linkage.
Figure 11 depicts Conjugate 14. The last three nucleotides at the 5' and 3' ends of the antisense and sense strands are connected by a phosphorothioate linker between each nucleotide. The serinol-GalNAc-linkers are conjugated to each other and to the 3' of the antisense of the siRNA via a phosphodiester linkage.
Figure 12 depicts Conjugate 15. The last three nucleotides at the 5' ends of the antisense and sense strands and at the 3 ' end of the sense strand are connected by a phosphorothioate linker between each nucleotide. The serinol-GalNAc-linkers are conjugated to each other and to the 3' of the antisense of the siRNA via a phosphodiester linkage.
In Figures 3 to 6 and 9 to 12, the top strand is the antisense strand and the bottom strand is the sense strand i.e.
5' 3'
Antisense ιιιιιιιιιιιιιιιιιιιιιιιιιιιιιιιιιιιιιι
Sense "ΐιιιιιιιιιιιιιιιιιιιιιιιιιιιιιιιιιιι
3' 5' In addition, to show more clearly the connection between the nucleic acid and ligand portions, the nucleotide at the end of the respective conjugated strands is drawn in full.
Figure 13 shows the synthesis of A0077 which is a tree-like trivalent GalNAc conjugated single stranded oligonucleotide and is the starting material in the synthesis of Conjugate 1. Figure 14 shows the synthesis of A0264 which is the precursor to A0268 which is a 3' monomeric Gal Ac conjugated single stranded oligonucleotide and is the starting material in the synthesis of Reference Conjugate 3, Conjugate 3, Conjugate 5 and Conjugate 6.
Figure 15 is a bar chart illustrating the in vitro determination of TTR knockdown using 3'- antisense GalNAc conjugates 1, 2, 10 and 11 in primary murine hepatocytes 24 h following treatment. Reference conjugate 1 (Ref. Conj. 1) represents a non-targeting GalNAc siRNA and "untreated (ut)" represents the control. mRNA level were normalised against actin.
Figure 16 is a bar chart illustrating the in vitro determination of TTR knockdown using 3'- antisense GalNAc conjugates 6, 7, 8 and 9 in primary murine hepatocytes 24 h following treatment. Reference conjugate 1 (Ref. Conj. 1) represents a non-targeting GalNAc siRNA and "untreated (ut)" represents the control. mRNA level were normalised against Ptenll.
Figure 17 is a bar chart illustrating the in vitro determination of TTR knockdown using GalNAc conjugates 3, 4 and 5 in primary murine hepatocytes 24 h following treatment. Reference Conjugate 1 (Ref. Conj. 1) represents a non-targeting GalNAc siRNA and "untreated" ("UT") represents the control. mRNA level were normalised against Ptenll.
Figure 18 is a bar chart illustrating the in vitro determination of TTR knockdown using GalNAc conjugates 7 and 12-15 in primary murine hepatocytes 24 h following treatment. Reference Conjugate 1 (Ref. Conj. 1) represents a non-targeting GalNAc siRNA and "untreated" ("UT") represents the control. mRNA level were normalised against Ptenll. Figure 19 shows a time course of serum TTR in c57BL/6 mice cohorts of n=4 at 7, 14, and 28 days post s.c. treatment with lmg/kg TTR siRNA GalNAc-conjugates 1, 2, 10 and 11 and mock treated (PBS) individuals. TTR protein level in serum is normalized the PBS cohort.
Figure 20 shows a time course of serum TTR in c57BL/6 mice cohorts of n=4 at 7, 14, and 27 days post s.c. treatment with lmg/kg TTR siRNA GalNAc-conjugates 3 to 9 and mock treated (PBS) individuals. TTR protein level in serum is normalized the PBS cohort.
Figure 21 shows serum stability of conjugates 1 , 2, 10 and 11 and control at 37°C over three days.
Figure 22 shows serum stability of Conjugates 6, 7, 8 and 9 and control. Figure 23 shows serum stability of Conjugates 12-15 and control. Figure 24 shows serum stability of Conjugates 3-5 and control. Detailed Description of the Invention
The definitions and explanations below are for the terms as used throughout this entire document including both the specification and the claims. Unless specified otherwise, the following terms have the following meanings:
"Conjugate" or "conjugate group" means an atom or group of atoms bound to an oligonucleotide or oligomeric compound. In general, conjugate groups modify one or more properties of the compound to which they are attached, including, but not limited to pharmacodynamics, pharmacokinetic, binding, absorption, cellular distribution, cellular uptake, charge and/or clearance properties.
"GalNAc" means N-acetyl galactosamine.
Cx-Cy alkyl refers to a saturated aliphatic hydrocarbon group having x-y carbon atoms which may be linear or branched. For example Ci-C6 alkyl and includes Ci , C2, C3, C4, C5 and C6. "Branched" means that at least one carbon branch point is present in the group. For example, tert-butyl and isopropyl are both branched groups. Examples of Ci-C6 alkyl groups include methyl, ethyl, propyl, butyl, 2-methyl-l -propyl, 2-methyl-2-propyl, 2-methyl-l -butyl, 3 methyl- 1 -butyl, 2-methyl-3 -butyl, 2,2-dimethyl-l -propyl, 2-methyl-pentyl, 3-methyl-l- pentyl, 4-methyl-l-pentyl, 2-methyl-2-pentyl, 3-methyl-2-pentyl, 4-methyl-2-pentyl, 2,2- dimethyl-l -butyl, 3, 3 -dimethyl- 1 -butyl, 2-ethyl-l -butyl, n-butyl, isobutyl, tert-butyl, n-pentyl, isopentyl, neopentyl and n-hexyl. This also applies for Ci-C6 alkylene.
Cx-Cy alkoxy refers to a group or part of a group having an -0-Cx_Cy alkyl group according to the definition of Cx_Cy alkyl above. Ci_C3 alkoxy contains from 1 to 3 carbon atoms and includes Ci , C2 and C3. Examples of Ci_C3 alkoxy include methoxy, ethoxy, propoxy and isopropoxy. Alkoxy as employed herein also extends to embodiments in which the or an oxygen atom (e.g. a single oxygen atom) is located within the alkyl chain, for example CH2CH2OCH3 or CH2OCH3. Thus the alkoxy may be linked through carbon to the remainder of the molecule, for example, -CH2CH2OCH3, or alternatively, the alkoxy is linked through oxygen to the remainder of the molecule, for example -OCi_3 alkyl. In certain instances, the alkoxy may be linked through oxygen to the remainder of the molecule but the alkoxy group contains a further oxygen atom, for example -OCH2CH2OCH3. The term "conjugated exclusively at the 3' and/or 5' end" means that the ligand may only be conjugated to the 3' ends and/or the 5' ends of one or both RNA strands, and excludes the possibility for the ligand to be conjugated to the oligonucleotide chain at any other location e.g. to a base. The term "ligand" or "targeting ligand" refers to a moiety (or several moieties) such as a saccharide, such as a galactosamine derivative e.g. GalNAc which may be selected to have an affinity for at least one type of receptor on a target cell. In particular, the receptor is on the surface of a mammalian liver cell, for example, the hepatic asialoglycoprotein receptor (ASGP-R). The term "monomeric ligand" means a ligand comprising only a single moiety which has affinity for at least one type of receptor on a target cell e.g. a single monosaccharide e.g. a single galactosamine derivative (e.g. GalNAc) moiety.
The term "nucleic acid" refers to a ribonucleotide (RNA) molecule composed of monomeric nucleotides. A nucleic acid includes small interfering ribonucleic acid (siRNA). The term "treat" or "treating" or "treatment" may include prophylaxis and means to ameliorate, alleviate symptoms, eliminate the causation of the symptoms either on a temporary or permanent basis, or to prevent or slow the appearance of symptoms of the named disorder or condition. The compounds of the invention are useful in the treatment of humans and non-human animals. By "effective amount" or "therapeutically effective amount" or "effective dose" is meant that amount sufficient to elicit the desired pharmacological or therapeutic effects, thus resulting in effective prevention or treatment of the disorder. Prevention of the disorder is manifested by delaying the onset of the symptoms of the disorder to a medically significant extent. Treatment of the disorder is manifested by a decrease in the symptoms associated with the disorder or an amelioration of the reoccurrence of the symptoms of the disorder.
A "pharmaceutical composition" or "composition" means a mixture of substances suitable for administering to an individual. For example, a pharmaceutical composition can comprise one or more active agents and a pharmaceutical carrier e.g. a sterile aqueous solution.
The targeting ligand may comprise GalNAc. The targeting ligand may comprise a compound of formula I:Λ
14
[S-X^P-X^B-A-X^Z (I) wherein:
S represents a saccharide;
X1 represents C3-C6 alkylene or (-CH2-CH2-0)m(-CH2)2- wherein m is 1, 2, or 3; P is a modified phosphate;
X2 is alkylene or an alkylene ether of the formula (-CH2)N-0-CH2- where n = 1- 6;
A is a branching unit;
X3 represents a bridging unit;
Z is the point of attachment to the nucleic acid portion; and where the linkage between X3 and Z is a phosphate or thiophosphate.
The connection to Z may be at the 3 ' or 5 ' end of a strand of the nucleic acid portion, suitably at the 3 ' end of the antisense strand.
Thus, a conjugate of the invention may comprise formula (I):
[S-X^P-X^B-A-X^Z (I) wherein S represents a saccharide;
X1 represents C3-C6 alkylene or (-CH2-CH2-0)m(-CH2)2- wherein m is 1, 2, or 3; P is a modified phosphate;
X2 is alkylene or an alkylene ether of the formula (-CH2)N-0-CH2- where n = 1- 6; A is a branching unit; X3 represents a bridging unit; Z is the nucleic acid portion; and where the linkage between X3 and Z is a phosphate or thiophosphate. In formula I, branching unit "A" branches into three in order to accommodate the three saccharide ligands. The branching unit is covalently attached to the tethered ligands and the nucleic acid. The branching unit may comprise a branched aliphatic group comprising groups selected from alkyl, amide, disulphide, polyethylene glycol, ether, thioether and hydroxyamino groups. The branching unit may comprise groups selected from alkyl and ether groups.
The branching unit A may have a structure selected from:
Figure imgf000016_0001
wherein each Ai independently represents O, S, C=0 or NH; and each n independently represents an integer from 1 to 20.
The branching unit may have a structure selected from:
Figure imgf000016_0002
wherein each Ai independently represents O, S, C=0 or NH; and each n independently represents an integer from 1 to 20.
The branching unit may have a structure selected from:
Figure imgf000016_0003
wherein Ai is O, S, C=0 or NH; and each n independently represents an integer from 1 to 20.
The branching unit may have the structure:
Figure imgf000017_0001
The branching unit may have the structure:
Figure imgf000017_0002
The branching unit may have the structure:
Figure imgf000017_0003
Optionally, the branching unit consists of only a carbon atom. The "X3" portion of the compounds of formula I is a bridging unit. X3 may also be referred to as the conjugate linker. The bridging unit is linear and is covalently bound to the branching unit and the nucleic acid.
X3 may be selected from -C1-C20 alkylene-, -C2-C20 alkenylene-, an alkylene ether of formula -(C1-C20 alkylene)-0-(Ci-C2o alkylene)-, -C(0)-Ci-C2o alkylene-, -C0-C4 alkylene(Cy)C0-C4 alkylene- wherein Cy represents a substituted or unsubstituted 5 or 6 membered cycloalkylene, arylene, heterocyclylene or heteroarylene ring, -C1-C4 alkylene-NHC(0)-Ci- C4 alkylene-, -C1-C4 alkylene-C(0)NH-Ci-C4 alkylene-, -C1-C4 alkylene-SC(0)-Ci-C4 alkylene-, -C1-C4 alkylene-C(0)S-Ci-C4 alkylene-, -C1-C4 alkylene-OC(0)-Ci-C4 alkylene-, - C1-C4 alkylene-C(0)0-Ci-C4 alkylene-, and -Ci-C6 alkylene-S-S-Ci-Ce alkylene-.
X3 may be an alkylene ether of formula -(C1-C20 alkylene)-0-(Ci-C2o alkylene)-. X3 may be an alkylene ether of formula -(C1-C20 alkylene)-0-(C4-C2o alkylene)-, wherein said (C4-C20 alkylene) is linked to Z. X3 may be selected from the group consisting of -CH2-O-C3H6-, - CH2-O-C4H8-, -CH2-0-C6Hi2- and -CH2-0-C8Hi6-, especially -CH2-0-C4H8-, -CH2-0-C6Hi2- and -CH2-O-C8H16-, wherein in each case the -CH2- group is linked to A.
The targeting ligand may comprise a compound of formula (II):
[S-X^P-X^B-A-X^Z (II) wherein:
S represents a saccharide;
X1 represents C3-C6 alkylene or (-CH2-CH2-0)m(-CH2)2- wherein m is 1, 2, or 3;
P is a modified phosphate;
X2 is C1-C8 alkylene;
A is a branching unit selected from:
Figure imgf000018_0001
= O, NH A1 = O, NH A2 = NH, CH2, O
1 to 4 n = 1 to 4
X3 is a bridging unit;
Z is the nucleic acid portion; and where the linkage between X3 and Z is a phosphate or thiophosphate.
Branching unit A may have the structure:
Figure imgf000019_0001
Branching unit A may have the structure:
Figure imgf000019_0002
, wherein X3 is attached to the nitrogen atom.
X3 may be C1-C20 alkylene. Preferably, X3 is selected from the group consisting of -C3H6-, - C4H8-, -C6Hi2- and -CsHi6-, especially -C4H8-, -C6Hi2- and -CsHi6-.
The targeting ligand may comprise a compound of formula (III):
[S-X^P-X^-A-X^Z (III) wherein:
S represents a saccharide; X1 represents C3-C6 alkylene or (-CH2-CH2-0)m(-CH2)2- wherein m is 1, 2, or 3; P is a modified phosphate;
X2 is an alkylene ether of formula -C3H6-O-CH2-; A is a branching unit;
X3 is an alkylene ether of formula selected from the group consisting of -CH2-O-CH2-, -CH2- O-C2H4-, -CH2-O-C3H6-, -CH2-O-C4H8-, -CH2-0-C5Hio-, -CH2-O-C6H12-, -CH2-O-C7H14-, and -CH2-O-C8H16-, wherein in each case the -CH2- group is linked to A,
Z is the nucleic acid portion; and wherein the linkage between X3 and Z is a phosphate or thiophosphate The branching unit may comprise carbon. Preferably, the carbon unit is carbon. X3 may be selected from the group consisting of -CH2-O-C4H8-, -CH2-O-C5H10-, -CH2-O- C6Hi2-, -CH2-O-C7H14-, and -CH2-O-C8H16-. Preferably, X3 is selected from the group consisting of -CH2-0-C4H8-, -CH2-0-C6Hi2- and -CH2-0-C8Hi6.
For any of the above aspects, P represents a modified phosphate group. P can be represented by:
Y1
O P— o
wherein Y1 and Y2 each independently represent =0, =S, -O", -OH, -SH, -BH3, -OCH2CO2, - OCH2C02Rx, -OCH2C(S)ORx, and -ORx, wherein Rx represents Ci-C6 alkyl and wherein i indicates attachment to the remainder of the compound. For example, Y1 may represent -OH and Y2 may represent =0 or =S; or Y1 may represent -O" and Y2 may represent =0 or =S; Y1 may represent =0 and Y2 may represent -CH3, -SH, -ORx, or -BH3 Y1 may represent =S and Y2 may represent -CH3, ORx or -SH.
It will be understood by the skilled person that in certain instances there will be delocalisation between Y1 and Y2.
Preferably, the modified phosphate group is a thiophosphate group. Thiophosphate groups include bithiophosphate (i.e. where Y1 represents =S and Y2 represents -S") and
monothiophosphate (i.e. where Y1 represents -O" and Y2 represents =S, or where Y1 represents =0 and Y2 represents -S"). Preferably, P is a monothiophosphate. The inventors have found that conjugates having thiophosphate groups in replacement of phosphate groups have improved potency and duration of action in vivo.
P may also be an ethylphosphate (i.e. where Y1 represents =0 and Y2 represents OCH2CH3).
The saccharide, which can also be referred to as the ligand, may be selected to have an affinity for at least one type of receptor on a target cell. In particular, the receptor is on the surface of a mammalian liver cell, for example, the hepatic asialoglycoprotein receptor
(ASGP-R).
For any of the above aspects, the saccharide may be selected from N-acetyl derivatives of one or more of galactosamine, mannose, galactose, glucose, glucosamine and fructose. More generally, the saccharide may, for example, be or comprise a saccharide selected from galactosamine, mannose, galactose, glucose, glucosamine, fucose and fructose and derivatives thereof such as N-acetyl derivatives thereof. Preferably, the saccharide is an N- acetyl derivative of galactosamine, mannose, galactose, glucose, glucosamine, fucose and fructose, such as galactosamine. In an embodiment, the saccharide is two molecules of N- acetyl galactosamine (GalNAc). The compounds of the invention may have 3 ligands which are each preferably N-acetyl galactosamine. The compounds of the invention may have 4 ligands which are each preferably N-acetyl galactosamine.
When the nucleic acid portion of a conjugate according to any of the above aspects has two or more conjugated ends (e.g. 3' and/or 5' ends), the ligand is preferably monomeric, and comprises only a single saccharide e.g. GalNAc.
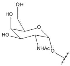
"GalNAc" refers to 2-(Acetylamino)-2-deoxy-D- galactopyranose, commonly referred to in the literature as N-acetyl galactosamine. Reference to "GalNAc" or "N-acetyl
galactosamine" includes both the beta-form: 2-(Acetylamino)-2-deoxy-beta-D- galactopyranose and the alpha- form: 2-(Acetylamino)-2-deoxy-alpha-D- galactopyranose. In certain embodiments, both the beta-form: 2-(Acetylamino)-2-deoxy-beta-D-galactopyranose and alpha- form: 2-(Acetylamino)-2-deoxy-alpha-D-galactopyranose may be used
interchangeably. Preferably, the compounds of the invention comprise the beta- form, 2- (Acetylamino)-2-deoxy-beta-D-galactopyranose.
Figure imgf000021_0001
2-(Acetylamino)-2-deoxy-D-galactopyranose
Figure imgf000022_0001
2-(Acetylamino)-2-deoxy-beta-D-galactopyranose
Figure imgf000022_0002
2-(Acetylamino)-2-deoxy-alpha-D-galactopyranose The "X'-P-X2" portion of the compounds of the present invention may also be referred to as the tether or linker. The linker comprises a linear group and is covalently attached to the saccharide ligand and the branching unit.
For any of the above compounds of formula (III), X1 may be an ethylene glycol stem (-CH2- CH2-0)m(-CH2)2- wherein m is 1, 2, or 3. X1 may be (-CH2-CH2-0)(-CH2)2-. X1 may be (- CH2-CH2-0)2(-CH2)2-. X1 may be (-CH2-CH2-0)3(-CH2)2-. Preferably, X1 is (-CH2-CH2- 0)2(-CH2)2-. Alternatively, X1 represents C3-C6 alkylene. X1 may be propylene. X1 may be butylene. X1 may be pentylene. X1 may be hexylene. Preferably the alkyl is a linear alkylene. In particular, X1 may be butylene.
For compounds of formula (III), X2 represents an alkylene ether of formula -C3H6-0-CH2- i.e. C3 alkoxy methylene, or -CH2CH2CH2OCH2-.
The targeting ligand may comprise the structure:
Figure imgf000023_0001
wherein Z is the point of attachment to the nucleic acid portion, and particularly the point of attachment is the 3 ' end of the antisense strand. The conjugate may be as shown in the above structure wherein Z is the nucleic acid portion. A strand of the conjugate may be as shown in the above structure wherein Z is the nucleic acid portion of the strand.
The targeting ligand may comprise the structure:
Figure imgf000023_0002
wherein Z is the point of attachment to the nucleic acid portion, and particularly the point of attachment is the 3 ' end of the antisense strand. The conjugate may be as shown in the above ^ structure wherein Z is the nucleic acid portion. A strand of the conjugate may be as shown in the above structure wherein Z is the nucleic acid portion of the strand.
The targeting ligand may comprise the structure:
Figure imgf000024_0001
wherein Z is the point of attachment to the nucleic acid portion, and particularly the point of attachment is the 3 ' end of the antisense strand. The conjugate may be as shown in the above structure wherein Z is the nucleic acid portion. A strand of the conjugate may be as shown in the above structure wherein Z is the nucleic acid portion of the strand.
The targeting ligand may comprise the structure:
Figure imgf000024_0002
wherein Z is the point of attachment to the nucleic acid portion, and particularly the point of attachment is the 3 ' end of the antisense strand. The conjugate may be as shown in the above structure wherein Z is the nucleic acid portion. A strand of the conjugate may be as shown in the above structure wherein Z is the nucleic acid portion of the strand. The targeting ligand may comprise the structure:
Figure imgf000025_0001
wherein Z is the point of attachment to the nucleic acid portion, and particularly the point of attachment is the 3 ' end of the antisense strand. The conjugate may be as shown in the above structure wherein Z is the nucleic acid portion. A strand of the conjugate may be as shown in the above structure wherein Z is the nucleic acid portion of the strand.
The targeting ligand may comprise the structure:
Figure imgf000026_0001
wherein Z is the point of attachment to the nucleic acid portion, and particularly the point of attachment is the 3 ' end of the antisense strand. The conjugate may be as shown in the above structure wherein Z is the nucleic acid portion. A strand of the conjugate may be as shown in the above structure wherein Z is the nucleic acid portion of the strand.
The targeting ligand may comprise the structure:
Figure imgf000026_0002
n r
26 wherein Z is the point of attachment to the nucleic acid portion, and particularly the point of attachment is the 3 ' end of the antisense strand. The conjugate may be as shown in the above structure wherein Z is the nucleic acid portion. A strand of the conjugate may be as shown in the above structure wherein Z is the nucleic acid portion of the strand.
The targeting ligand may comprise the structure:
Figure imgf000027_0001
wherein Z is the point of attachment to the nucleic acid portion, and particularly the point of attachment is the 3 ' end of the antisense strand. The conjugate may be as shown in the above structure wherein Z is the nucleic acid portion. A strand of the conjugate may be as shown in the above structure wherein Z is the nucleic acid portion of the strand.
The above 8 structures illustrate examples of tri-antennary linkers.
The tri-antennary linker may also have or comprise the following structure:
Figure imgf000027_0002
wherein O- indicates the point of attachment to a strand of the nucleic acid portion Alternatively, the conjugate may have a ligand which is or comprises:
Figure imgf000028_0001
wherein Y is O or S, and O- indicates the point of attachment to a strand of the nucleic acid portion.
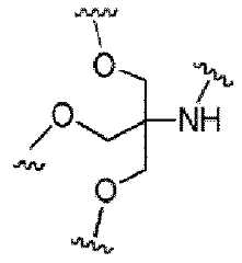
In another embodiment, the nucleic acid portion or the nucleic acid portion of a strand may be attached to a targeting ligand via a serinol-derived linker moiety. A "serinol-derived linker moiety" means the linker moiety comprises the following structure:
Figure imgf000028_0002
An O atom of said structure typically links to an RNA strand and the N atom typically links to the targeting ligand.
The moiety may comprise other groups such as methyl groups, such as a methyl group, for example a methyl group in the alpha-position:
Figure imgf000028_0003
The moiety may comprise a further linker group such as group L defined below, interposed between the N atom of the serinol-derived linker moiety and the targeting ligand. A further linker may also be present interposed between an O atom of the serinol-derived linker moiety and the RNA strand.
Two, three or four serinol-derived linker moieties may be linked in series e.g. as shown below:
Figure imgf000029_0001
wherein n is 1, 2 or 3 and Y is S or O.
In any of the above structures, suitably the ligands are selected from GalNAc and galactose moieties, especially GalNAc moieties e.g. GalNAc. Alternatively, GalNAc may be replaced by another targeting ligand, e.g. a saccharide.
Serinol derived linker moieties may be based on serinol in any stereochemistry i.e. derived from L-serine isomer, D-serine isomer, a racemic serine or other combination of isomers. In In a preferred aspect of the invention, the serinol-GalNAc moiety (SerGN) has the following stereochemistry:
ieties
Figure imgf000029_0002
(S)-Serinol building blocks i.e. is based on an (S)-serinol-amidite or (S)-serinol succinate solid supported building derived from L-serine isomer.
In an embodiment, the conjugate may comprise a strand of formula (IV):
Figure imgf000030_0001
wherein c and d are independently 0 or 1 according to the conditions of the invention as specified below and herein;
wherein:
Z2 is the nucleic acid portion of a strand;
Y is O or S;
Ri is H or methyl;
n is 0, 1, 2 or 3; and
L is:
-(CH2)r-C(0)-, wherein r = 2-12;
-(CH2-CH2-0)s-CH2-C(0)-, wherein s = 1-5;
-(CH2)t-CO-NH-(CH2)t-NH-C(0)-, wherein t is independently is 1-5; -(CH2)u-CO-NH-(CH2)u-C(0)-, wherein u is independently is 1-5; and -(CH2)v-NH-C(0)-, wherein v is 2-12; and
wherein the terminal C(O) is attached to the NH group; wherein c + d is 1 or 2.
For the first (antisense) strand: c is 1. Suitably d is 0.
For the second (sense) strand: in one embodiment c is 1 and d is 0; in another embodiment c is 1 and d is 1 ; in another embodiment c is 0 and d is 1. In one embodiment, Y is O. In another embodiment, Y is S.
In one embodiment, Ri is H or methyl. In one embodiment, Ri is H. In another embodiment, Ri is methyl.
In one embodiment, n is 0, 1, 2 or 3. Suitably, n is 2. In one embodiment, L is selected from the group consisting of: -(CH2)r-C(0)-, wherein r = 2-12;
-(CH2-CH2-0)s-CH2-C(0)-, wherein s = 1-5;3Q
-(CH2)t-CO-NH-(CH2)t-NH-C(0)-, wherein t is independently is 1-5;
-(CH2)u-CO-NH-(CH2)u-C(0)-, wherein u is independently is 1-5; and
-(CH2)v-NH-C(0)-, wherein v is 2-12; wherein the terminal C(O) is attached to the NH group. Suitably, L is -(CH2)r-C(0)-, wherein r = 2-12. Suitably, r = 2-6. More suitably, r = 4 or 6 e.g. 4.
Optionally, a further linker as described above, may be interposed between Z2 and the adjacent O as shown in Formula (IV).
In any of the above aspects, the 3 '-end of the antisense strand may be conjugated to the targeting ligand, such that a conjugate with the following schematic structure is formed: Antisense 5 ι'ιιιιιιιιιιιιιιιιιιιιιιιιιιιιιιιιιιιιι 3' ligand
Sense ιιιιιιιιιιιιιιιιιιιιιιιιιιιιιιιιιιιιιι
3' 5'
In any of the above aspects, the 3 '-end of the antisense strand and the 5 '-end of the sense strand may be conjugated to the targeting ligand, such that a conjugate with the following schematic structure is formed: Antisense 5 ι'ιιιιιιιιιιιιιιιιιιιιιιιιιιιιιιιιιιιιι 3' o r ligand
Sense ^/ n^ ligand
3' 5' . wherein « - indicates the linker which conjugates the ligand to the ends of the nucleic acid portion, wherein the ligand may be a GalNAc moiety such as GalNAc.
In any of the above aspects, the 3 '-end of the antisense strand and the 3 '-end of the sense strand may be conjugated to the targeting ligand, such that a conjugate with the following schematic structure is formed:
Antisense 5' 3'
— ΙΛΛΓ ligand
Sense ligand 'w-
3' 5' In any of the above aspects, the 5 '-end of the sense strand and the 3 '-end of the sense strand may be conjugated to the targeting ligand, such that a conjugate with the following schematic structure is formed:
5' 3'
Antisense ιιιιιιιιιιιιιιιιιιιιιιιιιιιιιιιιιιιιιι
Sense ligand 'vv— ιι \ iw |jganc|
In any of the above aspects, the 3 '-end of the antisense strand, the 5 '-end of the sense strand and the 3 '-end of the sense strand may be conjugated to the targeting ligand, such that a conjugate with the following schematic structure is formed:
5' 3'
Antisense ιιιιιιιιιιιιιιιιιιιιιιιιιιιιιιιιιιιιιι .ΛΛ ligand
Sense ligand 'vv— ιι \ ligand
In any of the above aspects, indicates the linker which conjugates the ligand to the ends of the nucleic acid portion, wherein the ligand may be a GalNAc moiety such as Gal Ac; and
5' 3'
3' 5'
wherein represents the nucleic acid portion.
These schematic diagrams are not intended to limit the number of nucleotides in the first or second strand, nor do the diagrams represent any kind of limitation on complementarity of the bases or any other limitation.
The ligands may be monomeric or multimeric (e.g. dimeric, trimeric, etc.).
In one embodiment, the ligands are monomeric, thus containing a single targeting ligand moiety, e.g. a single GalNAc moiety.
Alternatively, the ligands may be dimeric ligands wherein the ligand portions comprise two serinol-derived linker moieties, each linked to a single targeting ligand moiety.
The ligands may be trimeric ligands wherein the ligand portions comprise three serinol- derived linker moieties, each linked to a single targeting ligand moiety. ^
The ligands may be tetrameric ligands wherein the ligand portions comprise four serinol- derived linker moieties, each linked to a single targeting ligand moiety.
Preferably the conjugate comprises a dimeric serinol-derived ligand at one end only (i.e. the 3' end of the first strand) or comprises a monomeric serinol-derived ligand at two or more ends (one of which is the 3 ' end of the first strand).
A conjugate of the invention may, for example, have linkers as shown in any one of Figures 1-12.
In one embodiment, the targeted cells are hepatocytes. General Synthesis Example compounds can be synthesised according to methods described below and known to the person skilled in the art. Assembly of the oligonucleotide chain and linker building blocks may, for example, be performed by solid phase synthesis applying phosphoramidte methodology. Solid phase synthesis may start from a base or modified building block loaded lcaa CPG. Phosphoramidite synthesis coupling cycle consists of 1) DMT -removal, 2) chain elongation using the required DMT-masked phosphoramidite and an activator, which may be benzylthiotetrazole (BTT), 3) capping of non-elongated oligonucleotide chains, followed by oxidation of the P(III) to P(V) either by Iodine (if phosphodiester linkage is desired) or EDITH (if phosphorothioate linkage is desired) and again capping (Cap/Ox/Cap or Cap/Thio/Cap). GalNAc conjugation may be achieved by peptide bond formation of a GafNAc-carboxylic acid building block to the prior assembled and purified oligonucleotide having the necessary number of amino modified linker building blocks attached. The necessary building blocks are either commercially available or synthesis is described below. All final single stranded products were analysed by AEX-HPLC to prove their purity. Purity is given in %FLP (% full length product) which is the percentage of the UV-area under the assigned product signal in the UV-trace of the AEX-HPLC analysis of the final product. Identity of the respective single stranded products was proved by LC-MS analysis.
Synthesis of Synthons
Scheme 1 : Syntheses of ST 13 synthon
Figure imgf000034_0001
Figure imgf000034_0002
Synthesis of ST13(Ac)9 was achieved by following methods as described in Nair et al. J. Am. Chem. Soc, 2014, 136 (49), pp 16958-16961. Final deacetylation was achieved by treating ST13(Ac)9 with sodium methoxide in methanol.
Scheme 2: Synthesis of (S)-DMT-serinol(TFA) linker synthons
Figure imgf000035_0001
O
O
HN CF3 O
HN X CF,
OH DMTO O
DMT-Serinol(TFA)-succinate 6
Figure imgf000035_0002
7
i) ethyl trifluoroacetate, NEt3, MeOH, 0°C, 16h, 5: 90%, ii) DMTC1, pyridine, 0°C, 16h, 64% over two steps, iii) L1BH4, EtOH/THF (1/1, v/v), 0°C, lh, 76%, iv) 2-cyanoethyl-N,N- diisopropylchloro phosphoramidite, EtNz'Pr2, CH2C12, 56%>, v) succinic anhydride, DMAP, pyridine, RT, 16h, 38%, vi) HBTU, DIEA, amino-lcaa CPG (500A), RT, 18h, 29% (26μηιο1/§ loading).
(S)-DMT-Serinol(TFA)-phosphoramidite 7 can be synthesised from serinol derivative 2 according to literature published methods (Hoevelmann et al. Chem. Sci., 2016,7, 128-135).
(S)-DMT-Serinol(TFA)-succinate 6 can be made by conversion of intermediate 5 with succinic anhydride in presence of a catalyst such as DMAP.
Loading of 6 to a solid support such as a controlled pore glass (CPG support) may be achieved by peptide bond formation to a solid support such as an amino modified native CPG support (500A) using a coupling reagent such as HBTU. The (S)-DMT-Serinol(TFA)- succinate 6 and a coupling reagent such as HBTU is dissolved in a solvent such as CH3CN. A base, such as diisopropylethylamine, is added to the solution, and the reaction mixture is stirred for 2 min. A solid support such as a native amino-lcaa-CPG support (500 A, 3 g, amine content: 136 micromol/g) is added to the reaction mixture and a suspension forms. The suspension is gently shaken at room temperature on a wrist-action shaker for 16h then filtered, and washed with solvent such as DCM and EtOH. The support is dried under vacuum for 2 h. The unreacted amines on the support can be capped by stirring with acetic anhydride/lutidine/N-methylimidazole at room temperature. Washing of the support may be repeated as above. The solid support is dried under vacuum to yield solid support 10.
Scheme 3: Synth is of GalNAc synthon 9
Figure imgf000036_0001
8 GalN(Ac4)-C4-acid 9
(vii) TMSOTf, DCM, hexenol, viii) RuCl3, NaI04, DCM, CH3CN, H20, 46% over two steps.
Synthesis of the GalNAc synthon 9 can be prepared according to methods as described in Nair et al. J. Am. Chem. Soc, 2014, 136 (49), pp 16958-16961, starting from commercially available per-acetylated galactose amine 8.
Synthesis of the 3' anti-sense strand in Conjugates 1, 2, 10 and 11
Oligonucleotide synthesis of 3'trivalent tree-like GalNAc-cluster conjugated oligonucleotides is outlined in Figure 13 as an example. Synthesis is commenced using commercially available GlyC3Am-solid support as in the example compound A0072. Phosphoramidite synthesis coupling cycle is repeated until full length of the product is reached. Upon completion of chain elongation, the protective DMT group of the last coupled amidite building block is removed, as in step 1) of the phosphoramidite synthesis cycle. Finally, the respective oligonucleotides are cleaved from the solid support and set free from additional protective groups by methylamine treatment. This treatment also liberates the amino function in the GlyC3Am(TFA) building block. The crude product is then purified by AEX-HPLC and SEC to yield the precursor oligonucleotide 1 (e.g. A0072) for further conjugation.
Scheme 4: Conjugation of ST23 to the 3' anti-sense strand in Conjugates 1, 2, 10 and 11
Figure imgf000037_0001
Post solid phase synthesis trivalent Gal Ac-conjugation was achieved by pre-activation of the trivalent-Gal Ac-acid (ST13) by a peptide coupling reagent such as HBTU. The pre- activated acid ST 13 was then reacted with the amino-groups in 1 (e.g. A0072) to form the desired conjugates (e.g. A0077), which were further purified by AEX-HPLC and SEC.
Synthesis of the single stranded serinol-derived GalNAc conjugates in Conjugates 3-9
Scheme 5: Synthesis of serinol-derived precursor oligonucleotides
Figure imgf000037_0002
n . 0. m « 1, X * S: 11 * A0264
n ¾ m « 2, X = S: 11 » A0265
n - 1, m - 1. X - S: 11 - A0329 Oligonucleotide synthesis of 3' mono-Gal Ac conjugated oligonucleotides is outlined in Figure 14 as an example. Synthesis was commenced using (S)-DMT-Serinol(TFA)- succinate-lcaa-CPG (10) as in example compound A0264. In case additional serinol building blocks were needed the (S)-DMT-serinol(TFA) amidite (7) was used in the appropriate solid phase synthesis cycle. For example, a second (S)-DMT-serinol(TFA) was coupled in the first cycle to the serinol(TFA)-CPG in order to make the example compound A0265. Afterwards, phosphoramidite synthesis cycle was applied using 5'-DMT-2'OMe-R A or 5'-DMT-2'F- DNA phosphoramidites until full length of the product was reached. Further, to make example compound A0329, the chain assembly was finished with an additional serinol amidite coupling after the base sequence was fully assembled. Upon completion of chain elongation, the protective DMT group of the last coupled amidite building block was removed, as in step 1) of the phosphoramidite synthesis cycle. Finally, the respective oligonucleotides were cleaved from the solid support and set free from additional protective groups by methylamine treatment. This treatment also liberated the amino function in the Serinol(TFA) building block. The crude products were then purified each by AEX-HPLC and SEC to yield the precursor oligonucleotide for further GalNAc conjugation. Scheme 6: GalNAc conjugation Synthesis of serinol-derived precursor oligonucleotides
Figure imgf000038_0001
n = 0, m = 1 , X = S: 12 = A0268
n = 0, m = 2, X = S: 12 = A0269
n = 1 , m = 1 , X = S: 12 = A0330
Post solid phase synthesis GalNAc-conjugation was achieved by pre-activation of the GalN(Ac4)-C4-acid (9) by a peptide coupling reagent such as HBTU. The pre-activated acid 9 was then reacted with the amino-groups in 11 (e.g. A0264) to form the intermediate GalN(Ac4)-conjugates. The acetyl groups protecting the hydroxyl groups in the GalNAc- moities were cleaved off by methylamine treatment to yield the desired example compounds 12 (e.g. A0268), which were further purified by AEX-HPLC and SEC.
Synthesis of the single stranded serinol-derived GalNAc conjugates in Conjugates 12-15 Synthesis of dimeric serinol-derived GalNAc conjugates - Conjugates 12-15
Conjugates 12 to 15 are made in a similar way to that described above for Conjugates 3-9.
The above processes (including Schemes 1 to 6 and Figures 15 and 16) may be easily adapted to replace GalNac with another targeting ligand e.g. a saccharide.
Synthesis of double strands In order to obtain double strand conjugates 1 to 15, the necessary individual single strands are dissolved in a concentration of 60 OD/mL in H20. Both individual oligonucleotide solutions can be added together to a reaction vessel. For easier reaction monitoring a titration can be 3s performed. The first strand is added in 25% excess over the second strand as determined by UV-absorption at 260nm. The reaction mixture is heated e.g. to 80°C for 5min and then slowly cooled to RT. Double strand formation may be monitored by ion pairing reverse phase HPLC. From the UV-area of the residual single strand the needed amount of the second strand can be calculated and added to the reaction mixture. The reaction is heated e.g. to 80°C again and slowly cooled to RT. This procedure can be repeated until less than 10%> of residual single strand is detected.
Conjugation of certain linkers
Tri-antennary linker according to the formula I may be introduced at the 3' end of an oligonucleotide strand by making use of a solid supported branching comprising of two orthogonal protective groups each masking a hydroxyl group. One of the protective groups may be dimethoxytrityl (DMTr), the other may be levulinoyl (lev) or tertbutyldimethylsily (TBDMS). The solid phase synthesis may be commenced by a solid support loaded with a branching described above. The branching may be glycerol or a R A-nucleoside. The branching may be attached to the solid support by a succinate linkage. First, the
oligonucleotide chain may be assembled by making use of the standard oligonucleotide synthesis cycle consisting of 1) DMT-removal, 2) chain elongation using the requi ed DMT- masked phosphoramidite and an activator, which may be benzylthiotetrazole (BTT), 3) capping of non-elongated oligonucleotide chains, followed by oxidation of the P(III) to P(V) either by Iodine (if phosphodiester linkage is desired) or EDITH (if phosphorothioate linkage is desired) and again capping (Cap/Ox/Cap or Cap/Thio/Cap). Upon completion of chain elongation, the protective DMT group of the last coupled amidite building block was removed, as in step 1) of the phosphoramidite synthesis cycle. The resulting 5 '-hydroxyl group may be blocked by acetic acid anhydride as in step 3) of the phosphoramidite synthesis cycle. For conjugation of the tri-antennary linker according to the formula I the remaining protective (e.g. lev or TBDMS) may be removed generating a hydroxyl group that can now be couple to by a phosphoramidite as in step 2) of the phosphoramidite synthesis cycle. The phosphoramidite building block used in this step may be a trimeric branching, such as C4XLT-phos. After this elongation the standard oligonucleotide synthesis cycle may be performed again using ST23-phos to complete the conjugation of the tri-antennary linker by attaching the targeting ligand. Afterwards, cleavage, deprotection and purification may be performed by methods known to person skilled in the art and described in Example 1 of the present invention. Nucleic Acid
In all cases described herein, the nucleic acid is double stranded R A (dsRNA) particularly siRNA.
The nucleic acids may be of any length and can have any number of nucleotides such that they are effective for RNAi. Preferably, the siRNAs range from 15 to 30 nucleotides.
Preferably, the nucleic acid portion comprises 2 RNA strands of 15-30 ribonucleotides, suitably 19-25 or 20-25 e.g. 19-23 ribonucleotides. The duplex region of a double stranded RNA may range from 15 to 30 nucleotide base pairs using the Watson-Crick base pairing. The duplex region may have 1, 2, 3, 4, 5, 6, 7, 8, 9, 10, 11, 12, 13, 14, 15, 16, 17, 18, 19, 20, 21, 22, 23, 24, 25, 26, 27, 28, 29, 30 base pairs.
Thus, in an embodiment, the nucleic acid portion comprises or consists of two RNA strands of 15-30 based-paired ribonucleotides, suitably 19-25 e.g. 19-23 based-paired
ribonucleotides.
Preferably, the nucleic acid has 19 to 23 base pairs. For example, the nucleic acid may be 19, 20, 21, 22 or 23 base pairs in length.
The double stranded iRNAs may be blunt ended at one end or on both ends. The double stranded iRNAs may have overhangs of 1 or more nucleotides one or both strands at one or both ends. The overhangs may be 1, 2, 3, 4, 5, 6, 7, 8, 9, or 10 nucleotides in length.
For any of the above, the nucleic acid may be a modified nucleic acid. The modification may be selected from substitutions or insertions with analogues of nucleic acids or bases and chemical modification of the base, sugar or phosphate moieties.
The nucleic acid may: a) be blunt ended at both ends; b) have an overhang at one end and a blunt end at the other; or c) have an overhang at both ends.
One or more nucleotides on the first and/or second strand may be modified, to form a modified oligo-nucleotide duplex. One or more of the odd numbered nucleotides of the first strand may be modified. One or more of the even numbered nucleotides of the first strand may be modified by at least a second modification, wherein the at least second modification is different from the modification on the one or more odd nucleotides. At least one of the one or more modified even numbered nucleotides may be adjacent to at least one of the one or more modified odd numbered nucleotides.Λ η
40
A plurality of odd numbered nucleotides in the first strand may be modified in the nucleic acid of the invention. A plurality of even numbered nucleotides in the first strand may be modified by a second modification. The first strand may comprise adjacent nucleotides that are modified by a common modification. The first strand may also comprise adjacent nucleotides that are modified by a second different modification.
One or more of the odd numbered nucleotides of the second strand may be modified by a modification that is different to the modification of the odd numbered nucleotides on the first strand and/or one or more of the even numbered nucleotides of the second strand may be by the same modification of the odd numbered nucleotides of the first strand. At least one of the one or more modified even numbered nucleotides of the second strand may be adjacent to the one or more modified odd numbered nucleotides. A plurality of odd numbered nucleotides of the second strand may be modified by a common modification and/or a plurality of even numbered nucleotides may be modified by the same modification that is present on the first strand odd numbered nucleotides. A plurality of odd numbered nucleotides on the second strand may be modified by a second modification, wherein the second modification is different from the modification of the first strand odd numbered nucleotides.
The second strand comprises adjacent nucleotides that are modified by a common
modification, which may be a second modification that is different from the modification of the odd numbered nucleotides of the first strand. In the nucleic acid of the invention, each of the odd numbered nucleotides in the first strand and each of the even numbered nucleotides in the second strand may be modified with a common modification and, each of the even numbered nucleotides may be modified in the first strand with a second modification and each of the odd numbered nucleotides may be modified in the second strand with a second different modification. The nucleic acid of the invention may have the modified nucleotides of the first strand shifted by at least one nucleotide relative to the unmodified or differently modified nucleotides of the second strand.
The modification and / or modifications may each and individually be selected from the group consisting of 3' terminal deoxy thymine, 2' O methyl, a 2' deoxy modification, a 2' amino modification, a 2' alkyl modification, a morpholino modification, a phosphoramidate modification, 5'-phosphorothioate group modification, a 5' phosphate or 5' phosphate mimic „
41 modification and a cholesteryl derivative or a dodecanoic acid bisdecylamide group modification and/or the modified nucleotide may be any one of a locked nucleotide, an abasic nucleotide or a non-natural base comprising nucleotide. At least one modification may be 2'- O-methyl and/or at least one modification may be 2'-F. When the modification is a 2' deoxy modification, suitably only a small portion of the nucleotides may have this modification, for example less than 15%, less than 10% or less than 5%.
By nucleic acid it is meant a nucleic acid comprising two strands comprising nucleotides, that is able to interfere with gene expression. Inhibition may be complete or partial and results in down regulation of gene expression in a targeted manner. The nucleic acid comprises two separate polynucleotide strands; the first strand, which may also be a guide strand; and a second strand, which may also be a passenger strand. The nucleic acid may be an siR A molecule.
The first strand may also be referred to as an antisense strand. The second strand may also be referred to as a sense strand.
The nucleic acid may comprise ribonucleotides, modified ribonucleotides, deoxynucleotides, deoxyribonucleotides, or nucleotide analogues. Suitably only a small portion of the nucleotides may be a deoxynucleotide or a deoxyribonucleotide, for example less than 15%, less than 10% or less than 5%. The nucleic acid may further comprise a double stranded nucleic acid portion or duplex region formed by all or a portion of the first strand (also known in the art as a guide strand) and all or a portion of the second strand (also known in the art as a passenger strand). The duplex region is defined as beginning with the first base pair formed between the first strand and the second strand and ending with the last base pair formed between the first strand and the second strand, inclusive.
By duplex region refers it is meant the region in two complementary or substantially complementary oligonucleotides that form base pairs with one another, either by Watson- Crick base pairing or any other manner that allows for a duplex between oligonucleotide strands that are complementary or substantially complementary. For example, an
oligonucleotide strand having 21 nucleotide units can base pair with another oligonucleotide of 21 nucleotide units, yet only 19 nucleotides on each strand are complementary or „„
42 substantially complementary, such that the "duplex region" consists of 19 base pairs. The remaining base pairs may exist as 5' and 3' overhangs, or as single stranded regions. Further, within the duplex region, 100% complementarity is not required; substantial complementarity is allowable within a duplex region. Substantial complementarity refers to complementarity between the strands such that they are capable of annealing under biological conditions.
Techniques to empirically determine if two strands are capable of annealing under biological conditions are well known in the art. Alternatively, two strands can be synthesised and added together under biological conditions to determine if they anneal to one another.
The portion of the first strand and second strand that form at least one duplex region may be fully complementary and are at least partially complementary to each other.
Depending on the length of a nucleic acid, a perfect match in terms of base complementarity between the first strand and second strand is not necessarily required. However, the first and second strands must be able to hybridise under physiological conditions.
The complementarity between the first strand and second strand in the at least one duplex region may be perfect in that there are no nucleotide mismatches or additional/deleted nucleotides in either strand. Alternatively, the complementarity may not be perfect. The complementarity may be at least 70%, 75%, 80%, 85%, 90% or 95%.
The first strand and the second strand may each comprise a region of complementarity which comprises at least 15 contiguous nucleotides differing by no more than 3 nucleotides. An "overhang" as used herein has its normal and customary meaning in the art, i.e. a single stranded portion of a nucleic acid that extends beyond the terminal nucleotide of a complementary strand in a double strand nucleic acid. The term "blunt end" includes double stranded nucleic acid whereby both strands terminate at the same position, regardless of whether the terminal nucleotide(s) are base paired. The terminal nucleotide of a first strand and a second strand at a blunt end may be base paired. The terminal nucleotide of a first strand and a second strand at a blunt end may not be paired. The terminal two nucleotides of a first strand and a second strand at a blunt end may be base paired. The terminal two nucleotides of a first strand and a second strand at a blunt end may not be paired.
The nucleic acid may have an overhang at one end and a blunt end at the other. The nucleic acid may have an overhang at both ends. The nucleic acid may be blunt ended at both ends. „„
43
The nucleic acid may be blunt ended at the end with the 5' end of the first strand and the 3' end of the second strand or at the 3 '-end of the first strand and the 5' end of the second strand.
The nucleic acid may comprise an overhang at a 3' or 5' end. The nucleic acid may have a 3' overhang on the first strand. The nucleic acid may have a 3' overhang on the second strand. The nucleic acid may have a 5' overhang on the first strand. The nucleic acid may have a 5' overhang on the second strand. The nucleic acid may have an overhang at both the 5' end and 3' end of the first strand. The nucleic acid may have an overhang at both the 5' end and 3' end of the second strand. The nucleic acid may have a 3' overhang on the first strand and a 3' overhang on the second strand. The nucleic acid may have a 5' overhang on the first strand and a 5' overhang on the second strand.
An overhang at the 3 '-end or 5' end of the second strand or the first strand may be selected from consisting of 1, 2, 3, 4 and 5 nucleotides in length. Optionally, an overhang may consist of 1 or 2 nucleotides, which may or may not be modified.
Unmodified polynucleotides, particularly ribonucleotides, may be prone to degradation by cellular nucleases, and, as such, modification/ modified nucleotides may be included in the nucleic acid of the invention.
One or more nucleotides on the second and/or first strand of the nucleic acid of the invention may be modified.
Modifications of the nucleic acid of the present invention generally provide a powerful tool in overcoming potential limitations including, but not limited to, in vitro and in vivo stability and bioavailability inherent to native RNA molecules. The nucleic acid according to the invention may be modified by chemical modifications. Modified nucleic acid can also minimise the possibility of inducing interferon activity in humans. Modification can further enhance the functional delivery of a nucleic acid to a target cell. The modified nucleic acid of the present invention may comprise one or more chemically modified ribonucleotides of either or both of the first strand or the second strand. A ribonucleotide may comprise a chemical modification of the base, sugar or phosphate moieties. The ribonucleic acid may be modified by substitution or insertion with analogues of nucleic acids or bases.
One or more nucleotides of a nucleic acid of the present invention may be modified. The nucleic acid may comprise at least one modified nucleotide. The modified nucleotide may be on the first strand. The modified nucleotide may be in the second strand. The modified „„
44 nucleotide may be in the duplex region. The modified nucleotide may be outside the duplex region, i.e., in a single stranded region. The modified nucleotide may be on the first strand and may be outside the duplex region. The modified nucleotide may be on the second strand and may be outside the duplex region. The 3 '-terminal nucleotide of the first strand may be a modified nucleotide. The 3 '-terminal nucleotide of the second strand may be a modified nucleotide. The 5 '-terminal nucleotide of the first strand may be a modified nucleotide. The 5 '-terminal nucleotide of the second strand may be a modified nucleotide.
An nucleic acid of the invention may have 1 modified nucleotide or a nucleic acid of the invention may have about 2-4 modified nucleotides, or a nucleic acid may have about 4-6 modified nucleotides, about 6-8 modified nucleotides, about 8-10 modified nucleotides, about 10-12 modified nucleotides, about 12-14 modified nucleotides, about 14-16 modified nucleotides about 16-18 modified nucleotides, about 18-20 modified nucleotides, about 20-22 modified nucleotides, about 22-24 modified nucleotides, 24-26 modified nucleotides or about 26-28 modified nucleotides. In each case the nucleic acid comprising said modified nucleotides retains at least 50% of its activity as compared to the same nucleic acid but without said modified nucleotides. The nucleic acid may retain 55%, 60%>, 65%, 70%, 75%, 80%), 85%o, 90%), 95%) or 100% or above of its activity as compared to the same nucleic acid but without said modified nucleotides
The modified nucleotide may be a purine or a pyrimidine. At least half of the purines may be modified. At least half of the pyrimidines may be modified. All of the purines may be modified. All of the pyrimidines may be modified. The modified nucleotides may be selected from the group consisting of a 3' terminal deoxy thymine (dT) nucleotide, a 2' O methyl modified nucleotide, a 2' modified nucleotide, a 2' deoxy modified nucleotide, a locked nucleotide, an abasic nucleotide, a 2' amino modified nucleotide, a 2' alkyl modified nucleotide, a morpholino nucleotide, a phosphoramidate, a non natural base comprising nucleotide, a nucleotide comprising a 5'-phosphorothioate group, a nucleotide comprising a 5' phosphate or 5' phosphate mimic and a terminal nucleotide linked to a cholesteryl derivative or a dodecanoic acid bisdecylamide group.
When the modification is a 2' deoxy modification, suitably only a small portion of the nucleotides may have this modification, for example less than 15%, less than 10% or less than 5%. „„
45
The nucleic acid may comprise a nucleotide comprising a modified nucleotide, wherein the base is selected from 2-aminoadenosine, 2,6-diaminopurine riboside, inosine, pyridin-4-one riboside, pyridin-2-one riboside, phenyl riboside, pseudouridine, 2,4,6-trimethoxy benzene riboside, 3-methyl uridine, dihydrouridine, naphthyl, aminophenyl riboside, 5-alkylcytidine (e.g., 5-methylcytidine), 5-alkyluridine (e.g., ribothymidine), 5-halouridine (e.g., 5- bromouridine), 6-azapyrimidine riboside, 6-alkylpyrimidine riboside (e.g. 6-methyluridine), propyne riboside (e.g. 5-(l-propynyl)-2'-deoxy-Uridine (pdU) or 5-(l-propynyl)-2'- deoxyCytidine (pdC)), queuosine, 2-thiouridine, 4-thiouridine, wybutosine, wybutoxosine, 4- acetylcytidine, 5 -(carboxyhydroxymethyl)uridine, 5 '-carboxymethylaminomethyl-2- thiouridine, 5-carboxymethylaminomethyluridine, beta-D-galactosylqueosine, 1- methyladenosine, 1-methylinosine, 2,2-dimethylguanosine, 3-methylcytidine, 2- methyladenosine, 2-methylguanosine, N6-methyladenosine, 7-methylguanosine, 5- methoxyaminomethyl-2-thiouridine, 5-methylaminomethyluridine, 5- methylcarbonylmethyluridine, 5-methyloxyuridine, 5-methyl-2-thiouridine, 2-methylthio-N6- isopentenyladenosine, beta-D-mannosylqueosine, uridine-5-oxyacetic acid and 2- thiocytidine.
Nucleic acids discussed herein include unmodified RNA as well as RNA which have been modified, e.g., to improve efficacy, and polymers of nucleoside surrogates. Unmodified RNA refers to a molecule in which the components of the nucleic acid, namely sugars, bases, and phosphate moieties, are the same or essentially the same as that which occur in nature, for example as occur naturally in the human body. Modified nucleotide as used herein refers to a nucleotide in which one or more of the components of the nucleic acid, namely sugars, bases, and phosphate moieties, are different from that which occur in nature. While they are referred to as modified nucleotides they will of course, because of the modification, include molecules which are not nucleotides, for example a polynucleotide molecule in which the ribophosphate backbone is replaced with a non-ribophosphate construct that allows hybridisation between strands i.e. the modified nucleotides mimic the ribophosphate backbone.
Many of the modifications described below that occur within a nucleic acid will be repeated within a polynucleotide molecule, such as a modification of a base, or a phosphate moiety, or the a non-linking O of a phosphate moiety. In some cases the modification will occur at all of the possible positions/nucleotides in the polynucleotide but in many cases it will not. A modification may only occur at a 3 Or 5' terminal position, may only occur in a terminal „ ,
46 regions, such as at a position on a terminal nucleotide or in the last 2, 3, 4, 5, or 10 nucleotides of a strand. A modification may occur in a double strand region, a single strand region, or in both. A modification may occur only in the double strand region of an nucleic acid of the invention or may only occur in a single strand region of an nucleic acid of the invention. A phosphorothioate modification at a non-linking O position may only occur at one or both termini, may only occur in a terminal region, e.g., at a position on a terminal nucleotide or in the last 2, 3, 4 or 5 nucleotides of a strand, or may occur in duplex and/or in single strand regions, particularly at termini. The 5' end or 3' ends may be phosphorylated.
Stability of an nucleic acid of the invention may be increased by including particular bases in overhangs, or to include modified nucleotides, in single strand overhangs, e.g., in a 5 Or 3' overhang, or in both. Purine nucleotides may be included in overhangs. All or some of the bases in a 3 Or 5' overhang may be modified. Modifications can include the use of modifications at the 2' OH group of the ribose sugar, the use of deoxyribonucleotides, instead of ribonucleotides, and modifications in the phosphate group, such as phosphothioate modifications. Overhangs need not be homologous with the target sequence.
When the modification is a 2' deoxy modification, suitably only a small portion of the nucleotides may have this modification, for example less than 15%, less than 10% or less than 5%.
The 5'- or 3'- overhangs at the sense strand, antisense strand or both strands of the conjugates of the invention may be phosphorylated. In some embodiments, the overhang region contains two nucleotides having a phosphorothioate between the two nucleotides, where the two nucleotides can be the same or different. In one embodiment, the overhang is present at the 3 '-end of the sense strand, antisense strand or both strands. In one embodiment, this 3 '- overhang is present in the antisense strand. In one embodiment, this 3 '-overhang is present in the sense strand.
Nucleases can hydrolyze nucleic acid phosphodiester bonds. However, chemical modifications to nucleic acids can confer improved properties, and, can render
oligoribonucleotides more stable to nucleases.
Modified nucleic acids, as used herein, can include one or more of: „„
47
(i) alteration, e.g., replacement, of one or both of the non-linking phosphate oxygens and/or of one or more of the linking phosphate oxygens (referred to as linking even if at the 5' and 3' terminus of the nucleic acid of the invention);
(ii) alteration, e.g., replacement, of a constituent of the ribose sugar, e.g., of the 2' hydroxyl on the ribose sugar;
(iii) replacement of the phosphate moiety with "dephospho" linkers;
(iv) modification or replacement of a naturally occurring base;
(v) replacement or modification of the ribose-phosphate backbone;
(vi) modification of the 3' end or 5' end of the R A, e.g., removal, modification or replacement of a terminal phosphate group or conjugation of a moiety, e.g., a fluorescently labeled moiety, to either the 3 Or 5' end of RNA.
The terms replacement, modification, alteration, indicates a difference from a naturally occurring molecule.
Specific modifications are discussed in more detail below. Examples of modified phosphate groups include phosphorothioate, phosphoroselenates, borano phosphates, borano phosphate esters, hydrogen phosphonates, phosphoroamidates, alkyl or aryl phosphonates and phosphotriesters. Phosphorodithioates have both non-linking oxygens replaced by sulphur. One, each or both non-linking oxygens in the phosphate group can be independently any one of S, Se, B, C, H, N, or OR (R is alkyl or aryl). The phosphate linker can also be modified by replacement of a linking oxygen with nitrogen (bridged phosphoroamidates), sulfur (bridged phosphorothioates) and carbon (bridged methylenephosphonates). The replacement can occur at a terminal oxygen. Replacement of the non-linking oxygens with nitrogen is possible.
A modified nucleotide can include modification of the sugar groups. The 2' hydroxyl group (OH) can be modified or replaced with a number of different "oxy" or "deoxy" substituents.
When the modification is a 2' deoxy modification, suitably only a small portion of the nucleotides may have this modification, for example less than 15%, less than 10% or less than 5%. „0
48
Examples of "oxy"-2' hydroxyl group modifications include alkoxy or aryloxy (OR, e.g., R=H, alkyl, cycloalkyl, aryl, aralkyl, heteroaryl or sugar); poly ethylenegly cols (PEG), 0(CH2CH20)nCH2CH20R; "locked" nucleic acids (LNA) in which the 2' hydroxyl is connected, e.g., by a methylene bridge, to the 4' carbon of the same ribose sugar; O-AMINE (AMINE=NH2; alkylamino, dialkylamino, heterocyclyl, arylamino, diaryl amino, heteroaryl amino, or diheteroaryl amino, ethylene diamine, polyamino) and aminoalkoxy,
0(CH2)nAMINE, (e.g., AMINE=NH2; alkylamino, dialkylamino, heterocyclyl, arylamino, diaryl amino, heteroaryl amino, or diheteroaryl amino, ethylene diamine, polyamino).
"Deoxy" modifications include hydrogen halo; amino (e.g., NH2; alkylamino, dialkylamino, heterocyclyl, arylamino, diaryl amino, heteroaryl amino, diheteroaryl amino, or amino acid); NH(CH2CH2NH)nCH2CH2-AMINE (AMINE=NH2; alkylamino, dialkylamino, heterocyclyl, arylamino, diaryl amino, heteroaryl amino, or diheteroaryl amino),
— NHC(0)R (R=alkyl, cycloalkyl, aryl, aralkyl, heteroaryl or sugar), cyano; mercapto; alkyl- thio-alkyl; thioalkoxy; and alkyl, cycloalkyl, aryl, alkenyl and alkynyl, which may be optionally substituted with e.g., an amino functionality. Other substitutents of certain embodiments include 2'-methoxyethyl, 2'-OCH3, 2'-0-allyl, 2'-C-allyl, and 2'-fluoro.
The sugar group can also contain one or more carbons that possess the opposite
stereochemical configuration than that of the corresponding carbon in ribose. Thus, a modified nucleotide may contain a sugar such as arabinose. Modified nucleotides can also include "abasic" sugars, which lack a nucleobase at C— Γ.
These abasic sugars can further contain modifications at one or more of the constituent sugar atoms.
The 2' modifications may be used in combination with one or more phosphate linker modifications (e.g., phosphorothioate). The phosphate group can be replaced by non-phosphorus containing connectors.
Examples of moieties which can replace the phosphate group include siloxane, carbonate, carboxymethyl, carbamate, amide, thioether, ethylene oxide linker, sulfonate, sulfonamide, thioformacetal, formacetal, oxime, methyleneimino, methylenemethylimino,
methylenehydrazo, methylenedimethylhydrazo and methyleneoxymethylimino. In certain embodiments, replacements may include the methylenecarbonylamino and
methylenemethylimino groups.
The phosphate linker and ribose sugar may be replaced by nuclease resistant nucleotides.
Examples include the mophilino, cyclobutyl, pyrrolidine and peptide nucleic acid (PNA) nucleoside surrogates. In certain embodiments, PNA surrogates may be used.
The 3' and 5' ends of an oligonucleotide can be modified. Such modifications can be at the 3' end or the 5' end or both ends of the molecule. They can include modification or replacement of an entire terminal phosphate or of one or more of the atoms of the phosphate group. For example, the 3' and 5' ends of an oligonucleotide can be conjugated to other functional molecular entities such as labeling moieties, e.g., fluorophores (e.g., pyrene, TAMRA, fluorescein, Cy3 or Cy5 dyes) or protecting groups (based e.g., on sulfur, silicon, boron or ester). The functional molecular entities can be attached to the sugar through a phosphate group and/or a linker. The terminal atom of the linker can connect to or replace the linking atom of the phosphate group or the C-3' or C-5' O, N, S or C group of the sugar.
Alternatively, the linker can connect to or replace the terminal atom of a nucleotide surrogate (e.g., PNAs). These spacers or linkers can include e.g.,— (CH2)n— ,— (CH2)nN— ,— (CH2)nO— ,— (CH2)nS— , 0(CH2CH20)nCH2CH20H (e.g., n=3 or 6), abasic sugars, amide, carboxy, amine, oxyamine, oxyimine, thioether, disulfide, thiourea, sulfonamide, or morpholino, or biotin and fluorescein reagents. The 3' end can be an— OH group.
Other examples of terminal modifications include dyes, intercalating agents (e.g., acridines), cross-linkers (e.g., psoralene, mitomycin C), porphyrins (TPPC4, texaphyrin, Sapphyrin), polycyclic aromatic hydrocarbons (e.g., phenazine, dihydrophenazine), artificial
endonucleases (e.g., EDTA), lipophilic carriers (e.g., cholesterol, cholic acid, adamantane acetic acid, 1 -pyrene butyric acid, dihydrotestosterone, l,3-Bis-0(hexadecyl)glycerol, geranyloxyhexyl group, hexadecylglycerol, borneol, menthol, 1,3 -propanediol, heptadecyl group, palmitic acid, myristic acid, 03-(oleoyl)lithocholic acid, 03-(oleoyl)cholenic acid, dimethoxytrityl, or phenoxazine) and peptide conjugates (e.g., antennapedia peptide, Tat peptide), alkylating agents, phosphate, amino, mercapto, PEG (e.g., PEG-40K), MPEG, [MPEG]2, polyamino, alkyl, substituted alkyl, radiolabeled markers, enzymes, haptens (e.g., biotin), transport/absorption facilitators (e.g., aspirin, vitamin E, folic acid), synthetic ribonucleases (e.g., imidazole, bisimidazole, histamine, imidazole clusters, acridine- imidazole conjugates, Eu3+ complexes of tetraazamacrocycles). Terminal modifications can be added for a number of reasons, including to modulate activity or to modulate resistance to degradation. Terminal modifications useful for modulating activity include modification of the 5' end with phosphate or phosphate analogs. Nucleic acids of the invention, on the first or second strand, may be 5' phosphorylated or include a phosphoryl analog at the 5' prime terminus. 5 '-phosphate modifications include those which are compatible with RISC mediated gene silencing. Suitable modifications include: 5'- monophosphate ((HO)2(0)P— 0-5'); 5 '-diphosphate ((HO)2(0)P— O— P(HO)(0)— 0-5'); 5'- triphosphate ((HO)2(0)P— O— (HO)(0)P— O— P(HO)(0)— 0-5'); 5'-guanosine cap (7- methylated or non-methylated) (7m-G-0-5'-(HO)(0)P— O— (HO)(0)P— O— P(HO)(0)— O- 5'); 5 '-adenosine cap (Appp), and any modified or unmodified nucleotide cap structure (N— 0-5 '-(HO)(0)P— O— (HO)(0)P— O— P(HO)(0)— 0-5 '); 5 '-monothiophosphate
(phosphorothioate; (HO)2(S)P— 0-5'); 5'-monodithiophosphate (phosphorodithioate;
(HO)(HS)(S)P— 0-5'), 5'-phosphorothiolate ((HO)2(0)P— S-5'); any additional combination of oxygen/sulfur replaced monophosphate, diphosphate and triphosphates (e.g., 5'-alpha- thiotriphosphate, 5 '-gamma-thio triphosphate, etc.), 5'-phosphoramidates ((HO)2(0)P— NH- 5', (HO)(NH2)(0)P— 0-5'), 5'-alkylphosphonates (R=alkyl=methyl, ethyl, isopropyl, propyl, etc., e.g., RP(OH)(0)— 0-5'-, (OH)2(0)P-5'-CH2-), 5Vinylphosphonate, 5'- alkyletherphosphonates (R=alkylether=methoxymethyl (MeOCH2-), ethoxymethyl, etc., e.g., RP(OH)(0)— 0-5'-). The nucleic acid of the present invention may include one or more phosphorothioate modifications on one or more of the terminal ends of the first and/or the second strand.
Optionally, each or either end of the first strand may comprise one or two or three
phosphorothioate modified nucleotides. Optionally, each or either end of the second strand may comprise one or two or three phosphorothioate modified nucleotides. Optionally, both ends of the first strand and the 5 ' end of the second strand may comprise two
phosphorothioate modified nucleotides. By phosphorothioate modified nucleotide it is meant that the linkage between the nucleotide and the adjacent nucleotide comprises a
phosphorothioate group instead of a standard phosphate group.
The nucleic acid of the present invention may include one or more phosphodithioate modified nucleotides. By phosphorodithioate modified nucleotide it is meant that the linkage between the nucleotide and the adjacent nucleotide comprises a phosphorothioate group instead of a standard phosphate group. Optionally, each or either end of the first strand may comprise one or two or three phosphorodithioate modified nucleotides. Optionally, each or either end of the second strand may comprise one or two or three phosphorodithioate modified nucleotides. Optionally, both ends of the first strand and the 5 ' end of the second strand may comprise two phosphorodithioate modified nucleotides. Suitably, the first strand does not comprise a phosphorodithioate linkage between any of the two, three or four terminal nucleotides at the 5' end. Suitably, there is a phosphorodithioate linkage between each of the two, three or four terminal nucleotides at the 3' end of the first strand. Suitably, there is a phosphorodithioate linkage between each of the two terminal 3' nucleotides, and/or between each of the three 3' terminal nucleotides and/or between each of the three 5' nucleotides of the second strand when there is no phosphorodithioate linkage present at the 5' end of the first strand.
Terminal modifications can also be useful for monitoring distribution, and in such cases the groups to be added may include fluorophores, e.g., fluorscein or an Alexa dye. Terminal modifications can also be useful for enhancing uptake, useful modifications for this include cholesterol. Terminal modifications can also be useful for cross-linking an R A agent to another moiety.
Adenine, guanine, cytosine and uracil are the most common bases found in RNA. These bases can be modified or replaced to provide RNA's having improved properties. E.g., nuclease resistant oligoribonucleotides can be prepared with these bases or with synthetic and natural nucleobases (e.g., inosine, thymine, xanthine, hypoxanthine, nubularine, isoguanisine, or tubercidine) and any one of the above modifications. Alternatively, substituted or modified analogs of any of the above bases and "universal bases" can be employed.
Examples include 2-aminoadenine, 6-methyl and other alkyl derivatives of adenine and guanine, 2-propyl and other alkyl derivatives of adenine and guanine, 5-halouracil and cytosine, 5-propynyl uracil and cytosine, 6-azo uracil, cytosine and thymine, 5-uracil
(pseudouracil), 4-thiouracil, 5-halouracil, 5-(2-aminopropyl)uracil, 5-amino allyl uracil, 8- halo, amino, thiol, thioalkyl, hydroxyl and other 8-substituted adenines and guanines, 5- trifluoromethyl and other 5-substituted uracils and cytosines, 7-methylguanine, 5-substituted pyrimidines, 6-azapyrimidines and N-2, N-6 and 0-6 substituted purines, including 2- aminopropyladenine, 5-propynyluracil and 5-propynylcytosine, dihydrouracil, 3-deaza-5- azacytosine, 2-aminopurine, 5-alkyluracil, 7-alkylguanine, 5-alkyl cytosine, 7-deazaadenine, N6,N6-dimethyladenine, 2,6-diaminopurine, 5-amino-allyl-uracil, N3-methyluracil, substituted 1,2,4-triazoles, 2-pyridinone, 5-nitroindole, 3-nitropyrrole, 5-methoxyuracil, uracil-5-oxyacetic acid, 5-methoxycarbonylmethyluracil, 5-methyl-2-thiouracil, 5- methoxycarbonylmethyl-2-thiouracil, 5 -methylaminomethyl-2-thiouracil, 3 -(3 -amino-3 - carboxypropyl)uracil, 3-methylcytosine, 5-methylcytosine, N<4>-acetyl cytosine, 2- thiocytosine, N6-methyladenine, N6-isopentyladenine, 2-methylthio-N6-isopentenyladenine, N-methylguanines, or O-alkylated bases. As used herein, the terms "non-pairing nucleotide analog" means a nucleotide analog which includes a non-base pairing moiety including but not limited to: 6 des amino adenosine (Nebularine), 4-Me-indole, 3-nitropyrrole, 5-nitroindole, Ds, Pa, N3-Me ribo U, N3-Me riboT, N3-Me dC, N3-Me-dT, Nl-Me-dG, Nl-Me-dA, N3-ethyl-dC, N3-Me dC. In some embodiments the non-base pairing nucleotide analog is a ribonucleotide. In other embodiments it is a deoxyribonucleotide.
As used herein, the term, "terminal functional group" includes without limitation a halogen, alcohol, amine, carboxylic, ester, amide, aldehyde, ketone, ether groups.
Certain moieties may be linked to the 5' terminus of the first strand or the second strand and includes abasic ribose moiety, abasic deoxyribose moiety, modifications abasic ribose and abasic deoxyribose moieties including 2' O alkyl modifications; inverted abasic ribose and abasic deoxyribose moieties and modifications thereof, C6-imino-Pi; a mirror nucleotide including L-DNA and L-R A; 5'OMe nucleotide; and nucleotide analogs including 4',5'- methylene nucleotide; l-(P-D-erythrofuranosyl)nucleotide; 4'-thio nucleotide, carbocyclic nucleotide; 5 '-amino-alkyl phosphate; l,3-diamino-2-propyl phosphate, 3-aminopropyl phosphate; 6-aminohexyl phosphate; 12-aminododecyl phosphate; hydroxypropyl phosphate; 1,5-anhydrohexitol nucleotide; alpha-nucleotide; threo-pentofuranosyl nucleotide; acyclic 3',4'-seco nucleotide; 3,4-dihydroxybutyl nucleotide; 3,5-dihydroxypentyl nucleotide, 5'-5'- inverted abasic moiety; 1,4-butanediol phosphate; 5'-amino; and bridging or non bridging methylphosphonate and 5'-mercapto moieties. The nucleic acids of the invention may include one or more inverted nucleotides, for example inverted thymidine or inverted adenine (for example see Takei, et al., 2002. JBC 277
(26) :23800-06). In particular, the nucleic acids of the invention may comprise a modification wherein the terminal nucleotide at the 3 ' end of at least one of the first strand and the second strand is an inverted nucleotide and is attached to the adjacent nucleotide via the 3' carbon of the terminal nucleotide and the 3' carbon of the adjacent nucleotide and/ or the terminal nucleotide at the 5 ' end of at least one of the first strand and the second strand is an inverted ^ nucleotide and is attached to the adjacent nucleotide via the 5 ' carbon of the terminal nucleotide and the 5' carbon of the adjacent nucleotide. For example, the inverted nucleotide at the 3 ' end of at least one of the first strand and the second strand and/ or the inverted nucleotide at the 5 ' end of at least one of the first strand and the second strand is a purine, such as an adenine.
The nucleic acids of the invention may be included one or more inverted nucleotides, for example inverted thymidine or inverted adenine (for example see Takei, et al, 2002. JBC 277 (26):23800-06).
As used herein, the term "inhibit", "down-regulate", or "reduce" with respect to gene expression means the expression of the gene, or level of RNA molecules or equivalent R A molecules encoding one or more proteins or protein subunits (e.g., mRNA), or activity of one or more proteins or protein subunits, is reduced below that observed in the absence of a nucleic acid of the invention; for example the expression may be reduced to 90%, 80%>, 70%>, 60%, 50%, 40%, 30%, 20%, 10%, 5% or less than that observed in the absence of an inhibitor.
The nucleic acid of the present invention may comprise an abasic nucleotide. The term "abasic" as used herein, refers to moieties lacking a base or having other chemical groups in place of a base at the Γ position, for example a 3',3'-linked or 5',5'-linked deoxyabasic ribose derivative. The nucleic acid may comprise one or more nucleotides on the second and/or first strands that are modified. Alternating nucleotides may be modified, to form modified nucleotides.
Alternating as described herein means to occur one after another in a regular way. In other words, alternating means to occur in turn repeatedly. For example if one nucleotide is modified, the next contiguous nucleotide is not modified and the following contiguous nucleotide is modified and so on. One nucleotide may be modified with a first modification, the next contiguous nucleotide may be modified with a second modification and the following contiguous nucleotide is modified with the first modification and so on, where the first and second modifications are different.
One or more of the odd numbered nucleotides of the first strand of the nucleic acid of the invention may be modified wherein the first strand is numbered 5 ' to 3 ' . The term "odd numbered" as described herein means a number not divisible by two. Examples of odd „Λ
54 numbers are 1, 3, 5, 7, 9, 11 and so on. One or more of the even numbered nucleotides of the first strand of the nucleic acid of the invention may be modified, wherein the first strand is numbered 5' to 3'. The term "even numbered" as described herein means a number which is evenly divisible by two. Examples of even numbers are 2, 4, 6, 8, 10, 12, 14 and so on. One or more of the odd numbered nucleotides of the second strand of the nucleic acid of the invention may be modified wherein the second strand is numbered 3' to 5'. One or more of the even numbered nucleotides of the second strand of the nucleic acid of the invention may be modified, wherein the second strand is numbered 3' to 5'.
One or more or each of the odd numbered nucleotides may be modified in the first strand and one or more or each of the even numbered nucleotides may be modified in the second strand. One or more or each of the alternating nucleotides on either or both strands may be modified by a second modification. One or more or each of the even numbered nucleotides may be modified in the first strand and one or more or each of the even numbered nucleotides may be modified in the second strand. One or more or each of the alternating nucleotides on either or both strands may be modified by a second modification. One or more or each of the odd numbered nucleotides may be modified in the first strand and one or more of the odd numbered nucleotides may be modified in the second strand by a common modification. One or more or each of the alternating nucleotides on either or both strands may be modified by a second modification. One or more or each of the even numbered nucleotides may be modified in the first strand and one or more or each of the odd numbered nucleotides may be modified in the second strand by a common modification. One or more or each of the alternating nucleotides on either or both strands may be modified by a second modification.
RNA Modifications
Modifications of the si NA molecules of the present invention generally provides a powerful tool in overcoming potential limitations including, but not limited to, in vitro and in vivo stability and bioavailability inherent to native RNA molecules. The siRNA according to the invention may be modified by chemical modifications. Modified siRNA can also minimize the possibility of activating interferon activity in humans. Modification can further enhance the functional delivery of a siRNA to a target cell. The modified siRNA of the present invention may comprise one or more chemically modified ribonucleotides of either or both of the antisense strand or the sense strand. A ribonucleotide may comprise a chemical modification of the base, sugar or phosphate moieties. The ribonucleic acid may be modified by substitution or insertion with analogues of nucleic acids or bases.
One or more nucleotides of a siRNA of the present invention may comprise a modified base. In one aspect, the siRNA comprises at least one nucleotide comprising a modified base. In one embodiment, the modified base in on the antisense strand. In another embodiment, the modified base in on the sense strand. In another embodiment, the modified base is in the duplex region. In another embodiment, the modified base is outside the duplex region, i.e., in a single stranded region. In another embodiment, the modified base is on the antisense strand and is outside the duplex region. In another embodiment, the modified base is on the sense strand and is outside the duplex region. In another embodiment, the 3 '-terminal nucleotide of the antisense strand is a nucleotide with a modified base. In another embodiment, the 3'- terminal nucleotide of the sense strand is nucleotide with a modified base. In another embodiment, the 5 '-terminal nucleotide of the antisense strand is nucleotide with a modified base. In another embodiment, the 5 '-terminal nucleotide of the sense strand is nucleotide with a modified base.
In one embodiment, a siRNA may have 1 modified base. In another embodiment, a siRNA may have about 2-4 modified bases. In another embodiment, a siRNA has about 4-6 modified bases. In another embodiment, a siRNA has about 6-8 modified bases. In another
embodiment, a siRNA has about 8-10 modified bases. In another embodiment, a siRNA has about 10-12 modified bases. In another embodiment, a siRNA has about 12-14 modified bases. In another embodiment, a siRNA has about 14-16 modified bases. In another embodiment, a siRNA has about 16-18 modified bases. In another embodiment, a siRNA has about 18-20 modified bases. In another embodiment, a siRNA has about 20-22 modified bases. In another embodiment, a siRNA has about 22-24 modified bases. In another embodiment, a siRNA has about 24-26 modified bases. In another embodiment, a siRNA has about 26-28 modified bases. In each case the siRNA comprising said modified bases retains at least 50% of its activity as compared to the same siRNA but without said modified bases.
The modified base may be a purine or a pyrimidine. In another embodiment, at least half of the purines are modified. In another embodiment, at least half of the pyrimidines are modified. In another embodiment, all of the purines are modified. In another embodiment, all of the pyrimidines are modified. In another embodiment, the siRNA may comprise a nucleotide comprising a modified base, wherein the base is selected from 2-c r
56 aminoadenosine, 2,6-diaminopurine, inosine, pyridin-4-one, pyridin-2-one, phenyl, pseudouracil, 2, 4, 6-trimethoxy benzene, 3-methyl uracil, dihydrouridine, naphthyl, aminophenyl, 5-alkylcytidine (e.g., 5-methylcytidine), 5-alkyluridine (e.g., ribothymidine), 5- halouridine (e.g., 5-bromouridine), 6-azapyrimidine, 6-alkylpyrimidine (e.g. 6- methyluridine), propyne riboside (e.g. 5-(l-propynyl)-2'-deoxy-Uridine (pdU) or 5-(l- propynyl)-2'-deoxyCytidine (pdC)), queuosine, 2-thiouridine, 4-thiouridine, wybutosine, wybutoxosine, 4-acetylcytidine, 5-(carboxyhydroxymethyl)uridine, 5'- carboxymethylaminomethyl-2-thiouridine, 5-carboxymethylaminomethyluridine, beta-D- galactosylqueosine, 1-methyladenosine, 1-methylinosine, 2,2-dimethylguanosine, 3- methylcytidine, 2-methyladenosine, 2-methylguanosine, N6-methyladenosine, 7- methylguanosine, 5-methoxyaminomethyl-2-thiouridine, 5 -methylamino methyluridine, 5- methylcarbonylmethyluridine, 5-methyloxyuridine, 5-methyl-2-thiouridine, 2-methylthio-N6- isopentenyladenosine, beta-D-mannosylqueosine, uridine-5-oxyacetic acid and 2- thiocytidine. In another aspect, a siR A of the present invention comprises an abasic nucleotide. The term "abasic" as used herein, refers to moieties lacking a base or having other chemical groups in place of a base at the Γ position, for example a 3 ',3 '-linked or 5',5'- linked deoxyabasic ribose derivative. As used herein, a nucleotide with a modified base does not include abasic nucleotides. In one aspect, the siRNA comprises at least one abasic nucleotide. In one embodiment, the abasic nucleotide is on the antisense strand. In another embodiment, the abasic nucleotide is on the sense strand. In another embodiment, the abasic nucleotide is in the duplex region. In another embodiment, the abasic nucleotide is outside the duplex region. In another embodiment, the abasic nucleotide is on the antisense strand and is outside the duplex region. In another embodiment, the abasic nucleotide is on the sense strand and is outside the duplex region. In another embodiment, the 3 '-terminal nucleotide of the antisense strand is an abasic nucleotide. In another embodiment, the 3 '-terminal nucleotide of the sense strand is an abasic nucleotide. In another embodiment, the 5 '-terminal nucleotide of the antisense strand is an abasic nucleotide. In another embodiment, the 5 '-terminal nucleotide of the sense strand is an abasic nucleotide. In another embodiment, a siRNA has a number of abasic nucleotides selected from 1, 2, 3, 4, 5 and 6.
Advantages of the nucleic acid molecule of the invention may include: resistance to various nucleases; alleviation of immune response induction; improved circulation and tissue uptake; ^ uptake by cells without additional delivery means; activation of R Ai-mediated target gene down-regulation; ease of manufacture.
Modifications to sugar moiety
Another aspect relates to modifications to a sugar moiety. One or more nucleotides of a siRNA of the present invention may comprise a modified ribose moiety. Modifications at the 2'-position where the 2'-OH is substituted include the non-limiting examples selected from alkyl, substituted alkyl, alkaryl-, arylalkyl-, -F, -CI, -Br, -CN, -CF3, -OCF3, -OCN, -O-alkyl, -S-alkyl, HS-alkyl-O, -O-alkenyl, -S-alkenyl, -N-alkenyl, -SO-alkyl, -alkyl-OSH, -alkyl-OH, -O-alkyl-OH, -O-alkyl-SH, -S-alkyl-OH, -S-alkyl-SH, -alkyl-S-alkyl, -alkyl-O-alkyl, -ON02, -N02, -N3, -NH2, alkylamino, dialkylamino-, aminoalkyl-, aminoalkoxy, aminoacid, aminoacyl-, -ONH2, -O-aminoalkyl, -O-aminoacid, -O-aminoacyl, heterocycloalkyl-, heterocycloalkaryl-, aminoalkylamino-, polyalklylamino-, substituted silyl-, methoxyethyl- (MOE), alkenyl and alkynyl. "Locked" nucleic acids (LNA) in which the 2' hydroxyl is connected, e.g., by a methylene bridge, to the 4' carbon of the same ribose sugar is further included as a 2' modification of the present invention. Preferred substituents are 2'- methoxyethyl, 2*-0-CH3, 2*-0-allyl, 2*-C-allyl, and 2*-fiuoro.
In one embodiment, the siRNA comprises 1-5 2'-modified nucleotides. In another
embodiment, the siRNA comprises 5-10 2'-modified nucleotides. In another embodiment, the siRNA comprises 15-20 2'-modified nucleotides. In another embodiment, the siRNA comprises 20-25 2'-modified nucleotides. In another embodiment, the siRNA comprises 25- 30 2 '-modified nucleotides.
In one embodiment, the siRNA comprises 1-5 2'-0-CH3 modified nucleotides. In another embodiment, the siRNA comprises 5-10 2'-0-CH3 modified nucleotides. In another embodiment, the siRNA comprises 15-20 2'-0-CH3 modified nucleotides. In another embodiment, the siRNA comprises 20-25 2'-0-CH3 modified nucleotides. In another embodiment, the siRNA comprises 25-30 2'-0-CH3 modified nucleotides.
In one embodiment, the siRNA duplex region comprises 1-5 2'-0-CH3 modified nucleotides. In another embodiment, the siRNA duplex region comprises 5-10 2'-0-CH3 modified nucleotides. In another embodiment, the siRNA duplex region comprises 15-20 2'-0-CH3 modified nucleotides. In another embodiment, the siRNA duplex region comprises 20-25 2'- 5s
0-CH3 modified nucleotides. In another embodiment, the siRNA duplex region comprises 25-30 2'-0-CH3 modified nucleotides.
In one embodiment, the siRNA comprises an antisense strand of 19 nucleotides in length and a sense strand 19 nucleotides in length, wherein said antisense strand comprises 2'-0-CH3 modifications at nucleotides 1, 3, 5, 7, 9, 11, 13, 15, 17 and 19, and wherein said sense strand comprises 2'-0-CH3 modifications at nucleotides 2, 4, 6, 8, 10, 12 ,14, 16 and 18, wherein said antisense strand is numbered from 5 '-3' and said sense strand is numbered from 3 '-5'. In another embodiment, the siRNA comprises an antisense strand 20 nucleotides in length and a sense strand 20 nucleotides in length, wherein said antisense strand comprises 2'-0-CH3 modifications at nucleotides 1, 3, 5, 7, 9, 11, 13, 15, 17 and 19, and wherein said sense strand comprises 2'-0-CH3 modifications at nucleotides 2, 4, 6, 8, 10, 12 ,14, 16, 18 and 20 wherein said antisense strand is numbered from 5 '-3' and said sense strand is numbered from 3 '-5'.
In another embodiment, the siRNA comprises an antisense strand 21 nucleotides in length and a sense strand 21 nucleotides in length, wherein said antisense strand comprises 2'-0- CH3 modifications at nucleotides 1, 3, 5, 7, 9, 11, 13, 15, 17, 19 and 21, and wherein said sense strand comprises 2'-0-CH3 modifications at nucleotides 2, 4, 6, 8, 10, 12 ,14, 16, 18 and 20, wherein said antisense strand is numbered from 5 '-3' and said sense strand is numbered from 3 '-5'. In another embodiment, the siRNA comprises an antisense strand 22 nucleotides in length and a sense strand 22 nucleotides in length, wherein said antisense strand comprises 2'-0-CH3 modifications at nucleotides 1, 3, 5, 7, 9, 11, 13, 15, 17, 19 and 21, and wherein said sense strand comprises 2'-0-CH3 modifications at nucleotides 2, 4, 6, 8, 10, 12 ,14, 16, 18, 20 and 22, wherein said antisense strand is numbered from 5'-3' and said sense strand is numbered from 3 '-5'. In another embodiment, the siRNA comprises an antisense strand 23 nucleotides in length and a sense strand 23 nucleotides in length, wherein said antisense strand comprises 2'-0-CH3 modifications at nucleotides 1, 3, 5, 7, 9, 11, 13, 15, 17, 19, 21 and 23, and wherein said sense strand comprises 2'-0-CH3 modifications at nucleotides 2, 4, 6, 8, 10, 12 ,14, 16, 18, 20 and 22 wherein said antisense strand is numbered from 5 '-3' and said sense strand is numbered from 3 '-5'.
In another embodiment, the siRNA comprises an antisense strand 18-23 nucleotides in length and a sense strand 18-23 nucleotides in length, wherein said antisense strand comprises 2'-0- CH3 modifications at nucleotides 3, 5, 7, 9, 11, 13, 15 and 17, and wherein said sense strand comprises 2'-0-CH3 modifications at nucleotides 4, 6, 8, 10, 12 ,14 and 16, wherein said antisense strand is numbered from 5 '-3' and said sense strand is numbered from 3 '-5'. In another embodiment, the siR A comprises an antisense strand 18-23 nucleotides in length and a sense strand 18-23 nucleotides in length, wherein said antisense strand comprises 2'-0- CH3 modifications at nucleotides 5, 7, 9, 11, 13 and 15, and wherein said sense strand comprises 2'-0-CH3 modifications at nucleotides 6, 8, 10, 12 and 14, wherein said antisense strand is numbered from 5 '-3' and said sense strand is numbered from 3 '-5'. In another embodiment, the siRNA comprises an antisense strand 18-23 nucleotides in length and a sense strand 18-23 nucleotides in length, wherein said antisense strand comprises 2'-0-CH3 modifications at nucleotides 1, 9, 11, 13 and wherein said sense strand comprises 2'-0-CH3 modifications at nucleotides 8, 10 and 12, wherein said antisense strand is numbered from 5'- 3' and said sense strand is numbered from 3 '-5'. In another embodiment, the siRNA comprises an antisense strand 18-23 nucleotides in length and a sense strand 18-23 nucleotides in length, wherein said antisense strand comprises 2'-0-CH3 modifications at nucleotides 7, 9 and 11, and wherein said sense strand comprises 2'-0-CH3 modifications at nucleotides 8, 10 and 12, wherein said antisense strand is numbered from 5'-3' and said sense strand is numbered from 3 '-5'. In another embodiment, the siRNA comprises an antisense strand 18-23 nucleotides in length and a sense strand 18-23 nucleotides in length, wherein said antisense strand comprises 2'-0-CH3 modifications at nucleotides 7 and 9, and wherein said sense strand comprises 2'-0-CH3 modifications at nucleotides 8 and 10, wherein said antisense strand is numbered from 5 '-3 ' and said sense strand is numbered from 3 '-5 ' . In another embodiment, the siRNA comprises an antisense strand 18-23 nucleotides in length and a sense strand 18-23 nucleotides in length, wherein said antisense strand comprises 2'-0- CH3 modifications at nucleotides 9 and 11, and wherein said sense strand comprises 2'-0- CH3 modifications at nucleotides 8 and 10, wherein said antisense strand is numbered from 5 '-3 ' and said sense strand is numbered from 3 '-5 ' .
Cleavable Linking Groups
A cleavable linking group is a linker which is stable outside the cell but is cleaved upon entry into a target cell. Cleavage releases the two parts the linker is holding together.
In a preferred embodiment, the nucleic acid of the invention comprises a cleavable linking group that is cleaved at least 10 times or more, preferably at least 100-fold faster in a target cell or under a first reference condition (which can, for example, be selected to mimic or represent intracellular conditions) than in the blood of a subject, or under a second reference ^
60 condition (which can, for example, be selected to mimic or represent conditions found in the blood or serum).
Cleavable linking groups are susceptible to cleavage agents, e.g. pH, redox potential, or the presence of degradative molecules. Degradative molecules include oxidative or reductive enzymes, reductive agents (such as mercaptans), esterases, endosomes or agents than can create an acidic environment, enzymes that can hydrolyze or degrade an acid cleavable linking group by acting as a general acid, peptidases, and phosphatases.
A cleavable linking group may be a disulphide bond, which is susceptible to pH.
A linker may include a cleavable linking group that is cleavable by a particular enzyme. The type of cleavable linking group incorporated into a linker can depend on the target cell. For example, a linker that includes an ester group is preferred when a liver cell is the target. Linkers that contain peptide bonds can be used when targeting cells rich in peptidases, such as liver cells and synoviocytes.
In general, the suitability of a candidate cleavable linking group can be evaluated by testing the ability of a degradative agent (or condition) to cleave the candidate linking group. It will also be desirable to also test the candidate cleavable linking group for the ability to resist cleavage in the blood or when in contact with other non-target tissue. In preferred
embodiments, useful candidate compounds are cleaved at least 2, 4, 10 or 100 times faster in the cell (or under in vitro conditions selected to mimic intracellular conditions) as compared to blood or serum (or under in vitro conditions selected to mimic extracellular conditions).
In one aspect, the cleavable linking group may be a redox cleavable linking group. The redox cleavable linking group may be a disulphide linking group.
In one aspect, the linking group may be a phosphate-based cleavable linking group. Preferred embodiments are -0-P(0)(OH)-0-, -0-P(S)(OH)-0-, -0-P(S)(SH)-0-, -S-P(0)(OH)-0-, -O- P(0)(OH)-S-, -S-P(0)(OH)-S-, -0-P(S)(OH)-S-, -S-P(S)(OH)-0-, -0-Ρ(0)(Η)-0-, -O- P(S)(H)-0-, -S-P(0)(H)-0-, -S-P(S)(H)-0-, -S-P(0)(H)-S-, -0-P(S)(H)-S-. A preferred embodiment is -0-P(0)(OH)-0-.
In one aspect, the cleavable linking group may be an acid cleavable linking group. Preferably the acid cleavable linking group are cleaved in environments where the pH is 6.5 or lower, or^
61 are cleaved by agents such as enzymes that can act as a general acid. Examples of acid cleavable linking groups include but are not limited to hydrazones, esters, and esters of amino acids. Acid cleavable groups can have the general formula -C= N-; C(0)0, or -OC(O). A preferred embodiment is a linking group where the carbon attached to the oxygen of the ester (the alkoxy group) is an aryl group, substituted alkyl group, or tertiary alkyl group such as dimethyl pentyl or t-butyl.
In one embodiment, the cleavable linking group may be an ester-based cleavable linking group. Examples of ester-based cleavable linking groups include but are not limited to esters of alkylene, alkenylene and alkynylene groups. In one embodiment, the cleavable linking group may be a peptide-based cleavable linking group. Peptide-based cleavable linking groups are peptide bonds formed between amino acids to yield oligopeptides (e.g., dipeptides, tripeptides etc.) and polypeptides. The peptide based cleavage group is generally limited to the peptide bond (i.e., the amide bond) formed between amino acids yielding peptides and proteins and does not include the entire amide functional group. Peptide-based cleavable linking groups have the general formula -
NHCHRAC(0)NHCHRBC(0)-, where RA and RB are the R groups of the two adjacent amino acids.
Pattern
In one aspect, the antisense duplex region comprises a plurality of groups of modified nucleotides, referred to herein as "modified groups", wherein each modified group consists of one or more identically modified nucleotides, wherein each modified group is flanked on one or both sides by a second group of nucleotides, referred to herein as "flanking groups", wherein each said flanking group consists of one or more nucleotides that are either unmodified or modified in a manner different from the nucleotides of said modified group. In one embodiment, each modified group in the antisense duplex region is identical, i.e., each modified group consists of an equal number of identically modified nucleotides. In another embodiment, each flanking group has an equal number of nucleotides. In another
embodiment, each flanking group is identical. In another embodiment, the nucleotides of said modified groups in the antisense duplex region comprise a modified base. In another embodiment, the nucleotides of said modified groups comprise a modified phosphate backbone. In another embodiment, the nucleotides of said modified groups comprise a modified 2' position.^
62
In another aspect, the sense duplex region comprises a plurality of groups of modified groups, wherein each modified group consists of one or more identically modified nucleotides, wherein each modified group is flanked on one or both sides by a flanking group, wherein each said flanking group consists of one or more nucleotides that are either unmodified or modified in a manner different from the nucleotides of said modified group. In one embodiment, each modified group in the sense duplex region is identical. In another embodiment, each flanking group has an equal number of nucleotides. In another
embodiment, each flanking group is identical. In another embodiment, the nucleotides of said modified groups in the sense duplex region comprise a modified base. In another
embodiment, the nucleotides of said modified groups comprise a modified phosphate backbone. In another embodiment, the nucleotides of said modified groups comprise a modified 2' position.
In another aspect, the antisense duplex region and the sense duplex region each comprise a plurality of modified groups, wherein each modified group consists of one or more identically modified nucleotides, wherein each modified group is flanked on one or both sides by a flanking group, wherein each said flanking group consists of one or more nucleotides that are either unmodified or modified in a manner different from the nucleotides of said modified group. In one embodiment, each modified group in the antisense duplex region and the sense duplex region are identical. In another embodiment, each flanking group in the antisense duplex region and the sense duplex region each have an equal number of nucleotides. In another embodiment, each flanking group in the antisense duplex region and in the sense duplex region are identical. In another embodiment, the nucleotides of said modified groups in the antisense duplex region and the sense duplex region each comprise the same modified groups and the same flanking groups. In another embodiment, the nucleotides of said modified groups in the antisense duplex region and the sense duplex region each comprise a modified base. In another embodiment, the nucleotides of said modified groups in the antisense duplex region and the sense duplex region each comprise a modified phosphate backbone. In another embodiment, the nucleotides of said modified groups in the antisense duplex region and the sense duplex region each comprise a modified 2' position. In one aspect, the antisense strand comprises a plurality of groups of modified nucleotides, referred to herein as "modified groups", wherein each modified group consists of one or more identically modified nucleotides, wherein each modified group is flanked on one or both sides by a second group of nucleotides, referred to herein as "flanking groups", wherein each said „
63 flanking group consists of one or more nucleotides that are either unmodified or modified in a manner different from the nucleotides of said modified group. In one embodiment, each modified group in the antisense strand is identical, i.e., each modified group consists of an equal number of identically modified nucleotides. In another embodiment, each flanking group has an equal number of nucleotides. In another embodiment, each flanking group is identical. In another embodiment, the nucleotides of said modified groups in the antisense strand comprise a modified base. In another embodiment, the nucleotides of said modified groups comprise a modified phosphate backbone. In another embodiment, the nucleotides of said modified groups comprise a modified 2' position. In another aspect, the sense strand comprises a plurality of groups of modified groups, wherein each modified group consists of one or more identically modified nucleotides, wherein each modified group is flanked on one or both sides by a flanking group, wherein each said flanking group consists of one or more nucleotides that are either unmodified or modified in a manner different from the nucleotides of said modified group. In one embodiment, each modified group in the sense strand is identical. In another embodiment, each flanking group has an equal number of nucleotides. In another embodiment, each flanking group is identical. In another embodiment, the nucleotides of said modified groups in the sense strand comprise a modified base. In another embodiment, the nucleotides of said modified groups comprise a modified phosphate backbone. In another embodiment, the nucleotides of said modified groups comprise a modified 2' position.
In another aspect, the antisense strand and the sense strand each comprise a plurality of modified groups, wherein each modified group consists of one or more identically modified nucleotides, wherein each modified group is flanked on one or both sides by a flanking group, wherein each said flanking group consists of one or more nucleotides that are either unmodified or modified in a manner different from the nucleotides of said modified group. In one embodiment, each modified group in the antisense strand and the sense strand are identical. In another embodiment, each flanking group in the antisense strand and the sense strand each have an equal number of nucleotides. In another embodiment, each flanking group in the antisense strand and in the sense strand are identical. In another embodiment, the nucleotides of said modified groups in the antisense strand and the sense strand each comprise the same modified groups and the same flanking groups. In another embodiment, the nucleotides of said modified groups in the antisense strand and the sense strand each comprise a modified base. In another embodiment, the nucleotides of said modified groups in ,Λ
64 the antisense strand and the sense strand each comprise a modified phosphate backbone. In another embodiment, the nucleotides of said modified groups in the antisense strand and the sense strand each comprise a modified 2' position.
In another aspect, the modified groups and the flanking groups form a regular pattern on the antisense stand. In another aspect, the modified groups and the flanking groups form a regular pattern on the sense strand. In one embodiment, the modified groups and the flanking groups form a regular pattern on the both the antisense strand and the sense strand. In another embodiment, the modified groups and the flanking groups form a regular pattern on the antisense duplex region. In another aspect, the modified groups and the flanking groups form a regular pattern on the sense duplex region. In one embodiment, the modified groups and the flanking groups form a regular pattern on the both the antisense duplex region and the sense duplex region.
In another aspect, the pattern is a spatial or positional pattern. A spatial or positional pattern means that (a) nucleotide(s) are modified depending on their position within the nucleotide sequence of a double-stranded portion. Accordingly, it does not matter whether the nucleotide to be modified is a pyrimidine or a purine. Rather the position of a modified nucleotide is dependent upon: (a) its numbered position on a strand of nucleic acid, wherein the
nucleotides are numbered from the 5 '-end to the 3 '-end with the 5 '-end nucleotide of the strand being position one (both the antisense strand and sense strand are numbered from their respective 5 '-end nucleotide), or (b) the position of the modified group relative to a flanking group. Thus, according to this embodiment, the modification pattern will always be the same, regardless of the sequence which is to be modified.
In one embodiment, each modified group on both the antisense strand and the sense strand is identical. In one embodiment, each modified group on both the antisense duplex region and the sense duplex region is identical. In another embodiment, each modified group and each flanking group on both the antisense strand and the sense strand are identical. In one embodiment, each modified group and each flanking group on both the antisense duplex region and the sense duplex region are identical.
In one embodiment, each modified group, each modified group position, each flanking group and each flanking group position on both the antisense strand and the sense strand are identical. In one embodiment, each modified group, each modified group position, each flanking group and each flanking group position on both the antisense duplex region and ther
65 sense duplex region are identical. In another embodiment, the modified groups on the antisense strand are complementary with the modified groups on the sense strand (the modified groups on the antisense strand and the sense strand are perfectly aligned across from one another). In another embodiment, there are no mismatches in the modified groups such that each modified group on the antisense strand is base paired with each modified group on the sense strand.
In another embodiment, each modified group on the sense strand is shifted by 1, 2, 3, 4 or 5 nucleotides relative to the modified groups on the antisense strand. For example, if each modified group on the sense strand is shifted by one nucleotide or one group of nucleotides and a modified group started at position one on the antisense strand, a modified group on the sense strand would begin at position two. In another embodiment, the modified groups of the antisense strand do not overlap the modified groups of the sense strand, i.e., no nucleotide of a modified group on the antisense strand is base paired with a nucleotide of a modified group on the sense strand.
In one embodiment, deoxyribonucleotides at an end of a strand of nucleic acid are not considered when determining a position of a modified group, i.e., the positional numbering begins with the first ribonucleotide or modified ribonucleotide. In another embodiment, abasic nucleotides at an end of a strand of nucleic acid are not considered when determining a position of a modified group.
In one aspect, a modified group comprises a 5 '-end nucleotide of either or both of the antisense strand and the sense strand. In another embodiment, a flanking group comprises the 5 '-end nucleotide of either or both of the antisense strand and the sense strand. In another embodiment, the 5 '-end nucleotide of either or both of the antisense strand and the sense strand is unmodified. In another embodiment, a modified group comprises the 5 '-most nucleotide of either or both of the antisense duplex region and sense duplex region. In another embodiment, a flanking group comprises the 5 '-most nucleotide of either or both of the antisense duplex region or the sense duplex region. In another embodiment, the 5 '-most nucleotide of either or both of the antisense duplex region or the sense duplex region is unmodified. In one embodiment, the modification at the 2' position is selected from the group comprising amino, fluoro, methoxy, alkoxy and Cl-C3-alkyl. In another embodiment, the modification may be selected from 2'-0-methyl,2'-amino-2'-deoxy, 2'-deoxy-2'-fluoro,r r
66
2'-0-methyl, 2'-0-alkyl, and 2'-0-(Cl-C3-alkyl). In another embodiment, the modification at the 2' position is 2'-0-methyl.
In another aspect, each modified group consists of one nucleotide and each flanking group consists of one nucleotide. In one embodiment, each modified group on the antisense strand is aligned with a flanking group on the sense strand. In another embodiment, the alignment of each modified group on the antisense strand with the modified group on the sense strand is shifted by one or more nucleotides.
Modifications to phosphate backbone
Another aspect relates to modifications to a phosphate backbone. All or a portion of the nucleotides of the siRNA of the invention may be linked through phosphodiester bonds, as found in unmodified nucleic acid. A siRNA of the present invention however, may comprise a modified phosphodiester linkage. The phosphodiester linkages of either the antisense stand or the sense strand may be modified to independently include at least one heteroatom selected from nitrogen and sulfur. In one embodiment, a phosphoester group connecting a ribonucleotide to an adjacent ribonucleotide is replaced by a modified group. In one embodiment, the modified group replacing the phosphoester group is selected from phosphorothioate, methylphosphonate, phosphorodithioate or phosphoramidate group.
In one embodiment, all of the nucleotides of the antisense strand are linked through phosphodiester bonds. In another embodiment, all of the nucleotides of the antisense duplex region are linked through phosphodiester bonds. In another embodiment, all of the nucleotides of the sense strand are linked through phosphodiester bonds. In another embodiment, all of the nucleotides of the sense duplex region are linked through
phosphodiester bonds. In another embodiment, the antisense strand comprises a number of modified phosphoester groups selected from 1, 2, 3, 4, 5, 6, 7, 8, 9 or 10. In another embodiment, the antisense duplex region comprises a number of modified phosphoester groups selected from 1, 2, 3, 4, 5, 6, 7, 8, 9 or 10. In another embodiment, the sense strand comprises a number of modified phosphoester groups selected from 1, 2, 3, 4, 5, 6, 7, 8, 9 or 10. In another embodiment, the sense duplex region comprises a number of modified phosphoester groups selected from 1, 2, 3, 4, 5, 6, 7, 8, 9 or 10. 5 ' and 3 ' end modifications ^
The siRNA of the present invention may include nucleic acid molecules comprising one or more modified nucleotides, abasic nucleotides, acyclic or deoxyribonucleotide at the terminal 5 '- or 3 '-end on either or both of the sense or antisense strands. In one embodiment, the 5 '- and 3 '-end nucleotides of both the sense and antisense strands are unmodified. In another embodiment, the 5 '-end nucleotide of the antisense strand is modified. In another
embodiment, the 5 '-end nucleotide of the sense strand is modified. In another embodiment, the 3 '-end nucleotide of the antisense strand is modified. In another embodiment, the 3 '-end nucleotide of the sense strand is modified. In another embodiment, the 5 '-end nucleotide of the antisense strand and the 5 '-end nucleotide of the sense strand are modified. In another embodiment, the 3 '-end nucleotide of the antisense strand and the 3 '-end nucleotide of the sense strand are modified. In another embodiment, the 5 '-end nucleotide of the antisense strand and the 3 '-end nucleotide of the sense strand are modified. In another embodiment, the 3 '-end nucleotide of the antisense strand and the 5 '-end nucleotide of the sense strand are modified. In another embodiment, the 3 '-end nucleotide of the antisense strand and both the 5 '- and 3 '-end nucleotides of the sense strand are modified. Both the 5 '- and 3 '-end nucleotides of the antisense strand may be modified. In another embodiment, both the 5 '- and 3 '-end nucleotides of the sense strand are modified.
The 5 '-end nucleotide of the antisense strand may be phosphorylated. In another
embodiment, the 5 '-end nucleotide of the sense strand is phosphorylated. In another embodiment, the 5 '-end nucleotides of both the antisense strand and the sense strand are phosphorylated. In another embodiment, the 5 '-end nucleotide of the antisense strand is phosphorylated and the 5 '-end nucleotide of the sense strand has a free hydroxyl group (5 '- OH). In another embodiment, the 5 '-end nucleotide of the antisense strand is phosphorylated and the 5 '-end nucleotide of the sense strand is modified. In another embodiment the 5 '-end nucleotide of the antisense strand carries a 5'-(E)-vinylphosphonate.
Modifications to the 5 '- and 3 '-end nucleotides are not limited to the 5 ' and 3 ' positions on these terminal nucleotides. Examples of modifications to end nucleotides include, but are not limited to, biotin, inverted (deoxy) abasics, amino, fluoro, chloro, bromo, CN, CF, methoxy, imidazole, carboxylate, thioate, Ci to Cio lower alkyl, substituted lower alkyl, alkaryl or arylalkyl, OCF3, OCN, 0-, S-, or N-alkyl; 0-, S-, or N-alkenyl; SO-CH3; S02CH3; ON02; N02, N3; heterocycloalkyl; heterocycloalkaryl; aminoalkylamino; polyalkylamino or substituted silyl, as, among others, described, e.g., in PCT patent application WO 99/54459, European patents EP 0 586 520 Bl or EP 0 618 925 Bl , incorporated by reference in their 08 entireties. As used herein, "alkyl" means Ci-Ci2-alkyl and "lower alkyl" means Ci-C6-alkyl, including Ci-, C2-, C3-, C4-, C5- and C6-alkyl.
In another aspect, the 5 '-end of the antisense strand, the 5 '- end of the sense strand, the 3 '- end of the antisense strand or the 3 '-end of the sense strand may be covalently connected to a prodrug moiety. In one embodiment, the moiety may be cleaved in an endosome. In another the moiety may be cleaved in the cytoplasm.
Examples of different kinds of end modification(s) are presented in Table 1. Table 1 - Examples of end modifications
Antisense strand Sense strand
1. 5 -end free OH free OH
3 -end free OH free OH
2. 5 -end free OH free OH
3 -end end modification end modification
3. 5 -end free OH free OH
3 -end free OH end modification
4. 5 -end free OH free OH
3 -end end modification free OH
5. 5 -end free OH end modification
3 -end free OH free OH
6. 5 -end free OH end modification
3 -end end modification free OH
7. 5 -end free OH end modification
3 -end free OH end modification
8. 5 -end free OH end modification
3 -end end modification end modification
9. 5' end end modification free OH
3' end free OH free OH
10. 5' end end modification end modification
3' end free OH free OH 11. 5' end end modification free OH
3' end free OH end modification
In another embodiment, the terminal 3' nucleotide or two terminal 3 '-nucleotides on either or both of the antisense strand or sense strand is a 2'-deoxynucleotide. In another embodiment, the 2'-deoxynucleotide is a 2'-deoxy-pyrimidine. In another embodiment, the 2'- deoxynucleotide is a 2' deoxy-thymidine. siRNA with overhangs
An overhang at the 3 '-end or 5' end of the sense strand or the antisense strand may be selected from consisting of 1, 2, 3, 4 and 5 nucleotides in length.
The overhang may comprise at least one deoxyribonucleotides and/or a TT dinucleotide. The nucleic acid of the present invention can be produced using routine methods in the art including chemically synthesis or expressing the nucleic acid either in vitro (e.g., run off transcription) or in vivo. For example, using solid phase chemical synthesis or using an expression vector. In one embodiment, the expression vector can produce the nucleic acid of the invention in a target cell. Methods for the synthesis of the nucleic acid molecule described herein are known to persons skilled in the art.
Formulations for delivery of the nucleic acids of the present invention
Conjugates of the invention (such as siRNAs) can be delivered to cells, both in vitro and in vivo, by a variety of methods known to those skilled in the art, including direct contact with cells ("naked" siRNA) or by combination with one or more agents that facilitate targeting or delivery into cells. Such agents and methods include lipoplexes, liposomes, iontophoresis, hydrogels, cyclodextrins, nanocapsules, micro- and nanospheres and proteinaceous vectors. The nucleic acid/vehicle combination may be locally delivered in vivo by direct injection or by use of an infusion pump. Conjugates of the invention (such as siRNAs) can be delivered in vivo by various means including intravenous subcutaneous, intramuscular or intradermal injection or inhalation. The molecules can be used as pharmaceutical agents. Preferably, pharmaceutical agents prevent, modulate the occurrence, treat or alleviate a symptom of a disease state in a subject.7Q
Conjugates of the invention (such as siRNAs) may be formulated as pharmaceutical compositions. The pharmaceutical compositions may be used as medicaments or as diagnostic agents, alone or in combination with other agents. For example, one or more conjugates of the invention (such as siRNAs) can be combined with a delivery vehicle (e.g., liposomes) and excipients, such as carriers, diluents. Other agents such as preservatives and stabilizers can also be added. Methods for the delivery of nucleic acid molecules are known in the art and within the knowledge of the person skilled in the art.
Pharmaceutically acceptable compositions may comprise a therapeutically-effective amount of one or more conjugates of the invention (such as siRNAs), taken alone or formulated with one or more pharmaceutically acceptable carriers, excipient and/or diluents.
Examples of materials which can serve as pharmaceutically-acceptable carriers include: (1) sugars, such as lactose, glucose and sucrose; (2) starches, such as corn starch and potato starch; (3) cellulose, and its derivatives, such as sodium carboxymethyl cellulose, ethyl cellulose and cellulose acetate; (4) powdered tragacanth; (5) malt; (6) gelatin; (7) lubricating agents, such as magnesium state, sodium lauryl sulfate and talc; (8) excipients, such as cocoa butter and suppository waxes; (9) oils, such as peanut oil, cottonseed oil, safflower oil, sesame oil, olive oil, corn oil and soybean oil; (10) glycols, such as propylene glycol; (11) polyols, such as glycerin, sorbitol, mannitol and polyethylene glycol; (12) esters, such as ethyl oleate and ethyl laurate; (13) agar; (14) buffering agents, such as magnesium hydroxide and aluminum hydroxide; (15) alginic acid; (16) pyrogen- free water; (17) isotonic saline; (18) Ringer's solution; (19) ethyl alcohol; (20) pH buffered solutions; (21) polyesters, polycarbonates and/or polyanhydrides; (22) bulking agents, such as polypeptides and amino acids (23) serum component, such as serum albumin, HDL and LDL; and (22) other nontoxic compatible substances employed in pharmaceutical formulations. Stabilisers may be agents that stabilise the conjugates of the invention (such as siRNAs), for example a protein that can complex with the nucleic acid, chelators (e.g. EDTA), salts, RNAse inhibitors, and DNAse inhibitors.
In some cases it is desirable to slow the absorption of the drug from subcutaneous or intramuscular injection in order to prolong the effect of a drug. This may be accomplished by the use of a liquid suspension of crystalline or amorphous material having poor water solubility. The rate of absorption of the drug then depends upon its rate of dissolution which, in turn, may depend upon crystal size and crystalline form. Alternatively, delayed absorption of a parenterally-administered drug form is accomplished by dissolving or suspending the drug in an oil vehicle.
Conjugates of the invention (such as siRNAs) can also be administered in combination with other therapeutic compounds, either administrated separately or simultaneously, e.g., as a combined unit dose. In one embodiment, the invention includes a pharmaceutical composition comprising one or more siRNA conjugates according to the present invention in a physiologically/pharmaceutically acceptable excipient, such as a stabilizer, preservative, diluent, buffer, and the like. Conjugates of the invention (such as siRNAs) may, for example be formulated in water for example water for injection, saline or phosphate buffered saline.
Surfactants
Compositions comprising the conjugates of the invention (such as siRNAs) may include a surfactant. In one embodiment, the conjugate of the invention (such as siRNAs) is formulated as an emulsion that includes a surfactant. A surfactant that is not ionized is a non-ionic surfactant. Examples include non-ionic esters, such as ethylene glycol esters, propylene glycol esters, glyceryl esters etc., nonionic alkanolamides, and ethers such as fatty alcohol ethoxylates, propoxylated alcohols, and ethoxylated/propoxylated block polymers.
A surfactant that carries a negative charge when dissolved or dispersed in water is an anionic surfactant. Examples include carboxylates, such as soaps, acyl lactylates, acyl amides of amino acids, esters of sulfuric acid such as alkyl sulfates and ethoxylated alkyl sulfates, sulfonates such as alkyl benzene sulfonates, acyl isethionates, acyl taurates and sulfosuccinates, and phosphates.
A surfactant that carries a positive charge when dissolved or dispersed in water is a cationic surfactant. Examples include quaternary ammonium salts and ethoxylated amines.
A surfactant that has the ability to carry either a positive or negative charge is an amphoteric surfactant. Examples include acrylic acid derivatives, substituted alkylamides, N- alkylbetaines and phosphatides.
Micelles and Other Membranous Formulations "Micelles" are defined herein as a particular type of molecular assembly in which amphipathic molecules are arranged in a spherical structure such that all the hydrophobic portions of the molecules are directed inward, leaving the hydrophilic portions in contact with the surrounding aqueous phase. The converse arrangement exists if the environment is hydrophobic. A micelle may be formed by mixing an aqueous solution of the nucleic acid, an alkali metal alkyl sulphate, and at least one micelle forming compound.
Exemplary micelle forming compounds include lecithin, hyaluronic acid, pharmaceutically acceptable salts of hyaluronic acid, glycolic acid, lactic acid, chamomile extract, cucumber extract, oleic acid, linoleic acid, linolenic acid, monoolein, monooleates, monolaurates, borage oil, evening of primrose oil, menthol, trihydroxy oxo cholanyl glycine and pharmaceutically acceptable salts thereof, glycerin, polyglycerin, lysine, polylysine, triolein, polyoxyethylene ethers and analogues thereof, polidocanol alkyl ethers and analogues thereof, chenodeoxycholate, deoxycholate, and mixtures thereof.
Phenol and/or m-cresol may be added to the mixed micellar composition to act as a stabiliser and preservative. An isotonic agent such as glycerine may as be added.
Particles
A composition comprising conjugate of the invention (such as siRNAs) may be incorporated into a particle such as a microparticle. Microparticles can be produced by spray-drying, lyophilisation, evaporation, fluid bed drying, vacuum drying, or a combination of these methods
Dosage
Dosage levels for the medicament and pharmaceutical compositions of the invention can be determined by those skilled in the art by routine experimentation. In one embodiment, a unit dose may contain between about 0.01 mg/kg and about 100 mg/kg body weight of siRNA. Alternatively, the dose can be from 10 mg/kg to 25 mg/kg body weight, or 1 mg/kg to 10 mg/kg body weight, or 0.05 mg/kg to 5 mg/kg body weight, or 0.1 mg/kg to 5 mg/kg body weight, or 0.1 mg/kg tol mg/kg body weight, or 0.1 mg/kg to 0.5 mg/kg body weight, or 0.5 mg/kg to 1 mg/kg body weight.
The pharmaceutical composition may be a sterile injectable aqueous suspension or solution, or in a lyophilized form. In one embodiment, the pharmaceutical composition may comprise ^ lyophilized lipoplexes or an aqueous suspension of lipoplexes. The lipoplexes preferably comprises a siR A of the present invention. Such lipoplexes may be used to deliver the siR A of the invention to a target cell either in vitro or in vivo.
The pharmaceutical compositions and medicaments of the present invention may be administered to a mammalian subject in a pharmaceutically effective dose. The mammal may be selected from humans, dogs, cats, horses, cattle, pig, goat, sheep, mouse, rat, hamster and guinea pig.
In one embodiment, a subject is administered an initial dose and one or more maintenance doses of a conjugate of the invention (such as siRNAs). The maintenance dose or doses can be the same or lower than the initial dose, e.g., one-half less of the initial dose. The maintenance doses are, for example, administered no more than once every 2, 5, 10, or 30 days. The treatment regimen may last for a period of time which will vary depending upon the nature of the particular disease, its severity and the overall condition of the patient.
Routes of Delivery A conjugated composition that includes a double stranded siRNA can be delivered to a subject by a variety o routes. Exemplary routes include: subcuteanous, intravenous, topical, rectal, anal, vaginal, nasal, pulmonary, ocular.
The conjugated composit ion can be incorporated into pharmaceutical compositions suitable for administration with a pharmaceut ically acceptable carrier. As used herein the language '"pharmaceutically acceptable carrier" is intended to include any and all solvents, dispersion media, coatings, antibacterial and antifungal agents, isotonic and absorption delaying agents, and the like, compatible with pharmaceutical administration. The use of such media and agents for pharmaceutically active substances is well known in the art. Except insofar as any conventional media or agent is incompat ible with the act ive compound, use thereof in the compositions is contemplated. Supplementary active compounds can also be incorporated into the composit ions.
The composit ions of the present invention may be administered in a number of ways depending upon whether local or systemic treatment is desired and upon the area to be treated. Administration may be topical (including ophthalmic, vaginal, rectal, intranasal, transdermal ), oral or parenteral. Parenteral administration includes intravenous drip. „„
74 subcutaneous, intraperitoneal or intramuscular injection, or intrathecal or intraventricular administration.
The pharmaceutical composition may be specially formulated for administration in solid or liquid form. The composition may be formulated for oral administration, parenteral administration (including, for example, subcutaneous, intramuscular, intravenous, or epidural injection ), topical applicat ion, intravaginal or intrarectal administration, sublingual administration, ocular administration, transdermal administration, or nasal administration. Delivery using subcutaneous or intravenous methods are preferred.
The route and site of administration may be chosen to enhance targeting. For example, to target muscle cells, intramuscular injection into the muscles of interest would be a logical choice. Lung cells might be targeted by administering the iRNA in aerosol form. The vascular endothelial cells could be targeted by coating a balloon catheter with the iRNA and mechanically introducing the iRNA
Target gene
The target gene may be Factor VII, Eg5, PCSK9, TPX2, apoB, SAA, TTR, RSV, PDGF beta gene, Erb-B gene, Src gene, CR gene, GRB2 gene, RAS gene, MEK gene, INK gene, RAF gene, Erkl/2 gene, PCNA(p21) gene, MYB gene, JU gene, FOS gene, BCL-2 gene, hepcidin, Activated Protein C, Cyclin D gene, VEGF gene, EGFR gene, Cyclin A gene, Cyclin E gene, WNT-1 gene, beta-catenin gene, c-MET gene, PKC gene, NFKB gene, STAT3 gene, survivin gene, Her2/Neu gene, topoisomerase I gene, topoisomerase II alpha gene, mutations in the p73 gene, mutations in the p21(WAF 1/CIPl) gene, mutations in the p27(KIPl) gene, mutations in the PPM ID gene, mutations in the RAS gene, mutations in the caveolin I gene, mutations in the MIB I gene, mutations in the MTAI gene, mutations in the M68 gene, mutations in tumor suppressor genes, and mutations in the p53 tumor suppressor gene.
It will be appreciated by one skilled in the art that the modification, modifications of the sugar moiety, pattern, 5' and 3' end modifications, overhangs, formulations, delivery, dosage and routes of delivery as described above may equally be applied to any type of iRNA molecule and is not limited to siRNAs. Ligand targeting conjugates e.g. GalNAc conjugates according to the invention may be used for the treatment of liver diseases, chronic diseases, Thalassemia, drug induced liver injury, hemochromatosis and anemia or anemia of chronic disease. In a further aspect of the invention there is provided a method of delivery of nucleic acids to hepatocytes using the conjugates according to the present invention. The method comprises the steps of contacting the hepatocyte with the compound of the present invention. The method may be used in vitro or in vivo, for diagnostic purposes, therapy or research purposes. Uses and Methods
The conjugates of the present invention may have use in medicine. In particular, the conjugates of the present invention may be used for the treatment of liver disease, genetic disease, hemophilia and bleeding disorder, liver fibrosis, non alcoholic steatohepatitis (NASH), non alcoholic fatty liver disease (NAFLD), viral hepatitis, rare diseases (e.g. acromegaly), metabolic diseases (e.g. hypercholesterolemia, dyslipidemia, hypertriglyceridemia), cardiovascular diseases, obesity, hemochromatosis, thalassemia, liver injury, alcoholic liver diseases, alcohol dependence and/or anemia of chronic disease.
In a further aspect of the invention there is provided a method of delivery of nucleic acids to hepatocytes using the conjugates according to the present invention. The method comprises the steps of contacting the hepatocyte with the compound of the present invention. The method may be used in vitro or in vivo, for diagnostic purposes, therapy or research purposes.
In addition, the invention provides a method of inhibiting (in vitro or in vivo) the expression of a target gene in a mammalian cell, the method comprising contacting the mammalian cell with a conjugate of the invention or a pharmaceutical composition of the invention. There is also provided a method of inducing RNAi in a subject, the method comprising administering to the subject an effective amount of a conjugate of the invention, or a composition of the invention.
In particular, any one of the above methods may be used in the treatment of liver disease, genetic disease, hemophilia and bleeding disorder, liver fibrosis, non alcoholic steatohepatitis (NASH), non alcoholic fatty liver disease (NAFLD), viral hepatitis, rare diseases (e.g. acromegaly), metabolic diseases (e.g. hypercholesterolemia, dyslipidemia, hypertriglyceridemia), cardiovascular diseases, obesity, hemochromatosis, thalassemia, liver injury, alcoholic liver diseases, alcohol dependence and/or anemia of chronic disease in patient in need thereof. The conjugates of the invention, in at least some embodiments, are expected to have one or more the following advantageous properties:
• Good gene knock-down potency in an RNAi setting
• Good duration of action
• Good stability
• Good targeting
EXAMPLES: Abbreviations
%FLP percentage full length product
°C degrees centigrade
1H NMR proton nuclear magnetic resonance
A angstrom(s)
Ac acetyl / acetic
AEX-HPLC Anion Exchange High Pressure Liquid Chromatography
Cap Capping
CEP Cyanoethyl phosphoramidite
CPG controlled pore glass
Da dalton(s)
DCM dichloromethane
DEA diethylamine
DIEA diisoethylamine
DIPEA diisopropylethylamine
DMAP 4-dimethylaminopyridine
DMSO dimethylsulphoxide
DMT® dimethoxytrityl
EDTA ethylenediaminetetraacetic acid
eq equivalent(s)
ESI- electrospray ionisation
Et Ethyl
g gram(s)
h hour(s) „„
HBTU 2-( 1 H-benzotriazo 1- 1 -yl)- 1 , 1 ,3 ,3 -tetramethyluronium hexafluorophosphate
HPLC high performance liquid chromatography
iPr iso -propyl
kg kilogram(s)
lcaa Long chain amino alkyl
LCMS liquid chromatography mass spectrometry
M Molar
Me methyl
min minute(s)
mL millilitre(s)
MPEG Methylated polyethylene glycol
MW molecular weight
nm nanometre
NMI N-methylimidazole
OD Optical density
OX oxidization
PEG polyethyleneglyco 1
PNA peptide nucleic acid
RT room temperature
s.c. subcutaneous
TFA trifluoroacetic acid
THF tetrahydrofuran
TLC thin layer chromatography
TMS trimethylsilyl / trimethylsilane
TTR transthyretin
u micro
UV ultraviolet
v/v volume / volume
Example 1 - Synthesis of conjugates
General Procedures
Example compounds were synthesised according to methods described below and methods known to the person skilled in the art. Assembly of the oligonucleotide chain and linker building blocks was performed by solid phase synthesis applying phosphoramidte
methodology. Gal Ac conjugation was achieved by peptide bond formation of a GalNAc- carboxylic acid building block to the prior assembled and purified oligonucleotide having the necessary number of amino modified linker building blocks attached.
Oligonucleotide synthesis, deprotection and purification followed standard procedures that are known in the art.
All Oligonucleotides were synthesized on an AKTA oligopilot synthesizer using standard phosphoramidite chemistry. Commercially available solid support and 2O-Methyl R A phosphoramidites, 2'Fluoro, 2'Deoxy RNA phosphoramidites (all standard protection, ChemGenes, LinkTech) and commercially available 3 '-Amino Modifier TFA Amino C-6 lcaa CPG 500 A (Chemgenes) were used. Per-acetylated galactose amine 8 is commercially available. Ancillary reagents were purchased from EMP Biotech. Synthesis was performed using a 0.1 M solution of the phosphoramidite in dry acetonitrile and benzylthiotetrazole (BTT) was used as activator (0.3M in acetonitrile). Coupling time was 15 min. A Cap/OX/Cap or Cap/Thio/Cap cycle was applied (Cap: Ac20/NMI/Lutidine/Acetonitrile, Oxidizer: 0.1M h in pyridine/EbO). Phosphorothioates were introduced using standard commercially available thiolation reagent (EDITH, Link technologies). DMT cleavage was achieved by treatment with 3% dichloroacetic acid in toluene. Upon completion of the programmed synthesis cycles a diethylamine (DEA) wash was performed. All oligonucleotides were synthesized in DMT- off mode.
Attachment of the serinol-derived linker moiety was achieved by use of either base-loaded (S)-DMT-Serinol(TFA)-succinate-lcaa-CPG 10 or a (S)-DMT-Serinol(TFA) phosphoramidite 7 (synthesis was performed as described in literature Hoevelmann et al. Chem. Sci., 2016,7, 128-135). Trivalent GalNAc clusters (ST23 /C4XLT) were introduced by successive coupling of the respective trebler amidite derivatives (C4XLT-phos) followed by the GalNAc amidite (ST23-phos). The single strands were cleaved off the CPG by 40% aq. methylamine treatment. The resulting crude oligonucleotide was purified by ion exchange chromatography (Resource Q, 6mL, GE Healthcare) on a AKTA Pure HPLC System using a sodium chloride gradient. Product containing fractions were pooled, desalted on a size exclusion column (Zetadex, EMP Biotech) and lyophilised.
Individual single strands were dissolved in a concentration of 60 OD/mL in H20. Both individual oligonucleotide solutions were added together in a reaction vessel. For easier reaction monitoring a titration was performed. The first strand was added in 25% excess over the second strand as determined by UV-absorption at 260nm. The reaction mixture was heated to 80°C for 5min and then slowly cooled to RT. Double strand formation was monitored by ion pairing reverse phase HPLC. From the UV-area of the residual single strand the needed amount of the second strand was calculated and added to the reaction mixture.
The reaction was heated to 80°C again and slowly cooled to RT. This procedure was repeated until less than 10% of residual single strand was detected.
Synthesis of compounds 2 to 10 and ST 13
Compounds 2 to 5 and DMT-Serinol(TFA)-phosphoramidite 7 were synthesised according to literature published methods (Hoevelmann et al. Chem. Sci., 2016,7, 128-135). Synthesis of Gal Ac synthon 9 was performed as described in Nair et al. J. Am. Chem. Soc, 2014, 136 (49), pp 16958-16961.
(S)-4-(3-(bis(4-methoxyphenyl)(phenyl)methoxy)-2-(2,2,2-trifluoroacetamido)propoxy)- 4-oxobutanoic acid (6). To a solution of 5 in pyridine was added succinic anhydride, followed by DMAP. The resulting mixture was stirred at room temperature overnight. All starting material was consumed, as judged by TLC. The reaction was concentrated. The crude material was chromatographed in silica gel using a gradient 0% to 5% methanol in DCM (+ 1% triethylamine) to afford 1.33 g of 6 (yield = 38%). m/z (ESI-): 588.2 (100%), (calcd. for C30H29F3NO8" [M-H]" 588.6). Ή-NMR: (400 MHz, CDC13) δ [ppm] = 7.94 (d, 1H, NH), 7.39 - 7.36 (m, 2H, CHaryl), 7.29 - 7.25 (m, 7H, CHaryl), 6.82-6.79 (m, 4H, CHaryl), 4.51 - 4.47 (m, 1H), 4.31 - 4.24 (m, 2H), 3.77 (s, 6H, 2xDMTr-OMe), 3.66 - 3.60 (m, 16H, HNEt3+), 3.26 - 3.25 (m, 2H), 2.97 - 2.81 (m, 20H, NEt3), 2.50-2.41 (4H, m), 1.48 - 1.45 (m, 26H, HNEt3+), 1.24 - 1.18 (m, 29H, NEt3).
(S)-DMT-Serinol(TFA)-succinate-lcaa-CPG (10). SO
The (S)-DMT-Serinol(TFA)-succinate (159 mg, 270 umol) and HBTU (113 mg, 299 umol) were dissolved in CH3CN (10 mL). Diisopropylethylamine (DIPEA, 94 μΐ,, 540 umol) was added to the solution, and the mixture was swirled for 2 min followed by addition native amino-lcaa-CPG (500 A, 3 g, amine content: 136 umol/g). The suspension was gently shaken at room temperature on a wrist-action shaker for 16h then filtered, and washed with DCM and EtOH. The solid support was dried under vacuum for 2 h. The unreacted amines on the support were capped by stirring with acetic anhydride/lutidine/N-methylimidazole at room temperature. The washing of the support was repeated as above. The solid was dried under vacuum to yield solid support 10 (3 g, 26 umol/g loading). Trimeric GalNAc Synthon (ST13).
ST13(Ac)9 (3150 mg, 1.570 mmol) was dissolved in Methanol (100 ml) and sodium methoxide (5.4M, 227 mg, 1.512 mmol, 280 μί) was added (via syringe) at room temperature. The resulting mixture was stirred at for lh. Acetonitrile was added (75 ml) and the reaction mixture was concentrated under reduced pressure, m/z (ESI+): 814.5 (100%), (calcd. for C73H131N10O302+ [M+2H]2+ 814.5). Ή NMR (400 MHz, DMSO-d6) δ [ppm] = 7.91-7.72 (m, 9H, NH), 7.08 (s, 1H, NH), 4.90 (d, 3H), 4.77 (m, 3H), 4.20 (d; 3H), 3.70-3.64 (m, 9H), 3.57-3.40 (br, 30H, incl. res. H20), 3.26 (m, 6H), 3.03-3.01 (m, 12H), 2.27-2.25 (m, 6H), 2.07-2.03 (m, 10H), 1.89-1.85 (t, 2H), 1.78 (s, 9H), 1.52-1.41 (m, 22H); 1.21 (m, 12H).
Synthesis of Oligonucleotides All single stranded oligonucleotides were synthesised according to the reaction conditions described above and in Figures 15 and 16.
All final single stranded products were analysed by AEX-HPLC to prove their purity. Purity is given in %FLP (% full length product) which is the percentage of the UV-area under the assigned product signal in the UV-trace of the AEX-HPLC analysis of the final product. Identity of the respective single stranded products (non-modified, amino -modified precursors or GalNAc conjugated oligonucleotides) was proved by LC-MS analysis.
Table 1 : Single stranded oligonucleotides
Product Name \1\Y MW (ESI-) %FLP (11) calc. found (AEX- HPLC)
A0007 STS16001BV1 6845.2 Da 6844.9 Da 95.0% A0072 STS16001AV1-3"NH2 7122.5 Da 7122.2 Da 91.7°/xo
A0076 STS16001A-3"NH2 7154.5 Da 7154.3 Da 92.7°/xo
A0130 STS18001A 6259.9 Da 6259.8 Da 76.5°/xo
A0131 STS18001BL4 7813.2 Da 7813.1 Da 74.3°/xo
A0202 STS16001AV3-3"NH2 7138.5 Da 7183.5 Da 90.2°/xo
A0203 STS16001AV4-3"NH2 7170.5 Da 7170.7 Da 93.5°/xo
A0244 STS16001BV1 6845.2 Da 6844.9 Da 98.2°/xo
A0264 STS16001AV4-lx3*NH2 7112.4 Da 7112.2 Da 95.4°/xo
A0265 STS16001AV4-2x3*NH2 7281.4 Da 7281.4 Da 95.3°/xo
A0323 STS16001AV4-3x3*NH2 7450.4 Da 7450.3 Da 93.8°/xo
A0267 STS16001AV4-4x3*NH2 7619.4 Da 7619.7 Da 87.5°/xo
A0220 STS16001B-5*lxNH2 6982.2 Da 6982.1 Da 95.7°/xo
A0237 STS16001A 6943.3 Da 6943.3 Da 95.6°/xo
A0329 STS16001BV6-3*5*NH2 7183.3 Da 7183.2 Da 88.8°/xo
A0368 STS16001BV1 6845.2 Da 6845.0 Da 93.0°/xo
A0446 STS16001A-2x3*NH2 7265.4 Da 7265.4 Da 88.9°/xo
A0447 STS16001AVl-2x3*NH2 7249.4 Da 7249.5 Da 86.0°/xo
A0448 STS16001A-2x3*NH2 7249.4 Da 7249.4 Da 86.4°/xo
A0449 STS16001AVl-2x3*NH2 7217.4 Da 7217.3 Da 84.7°/
5Ί x NH2 refers to the position (5' end) and number (1 x NH2) of free amino groups which are available for conjugation. For example, 1x3 'NH2 on A0264 means there is free amino group which can be reacted with GalNAc synthon 9 at the 3' end of the strand A0264.
Synthesis of conjugates 1-15
Conjugated singles strands for conjugates 1, 2, 10 and 11
Conjugation of the Gal ac synthon (ST 13) was achieved by coupling to the 3 '-amino function of the respective oligonucleotide strand (1) using a peptide coupling reagent. Therefore, the respective amino -modified precursor molecule was dissolved in H20 (500 OD/mL) and DMSO (DMSO/H20, 2/1, v/v) was added, followed by DIPEA (2.5% of total volume). In a separate reaction vessel pre-activation of the trimeric-GalNAc-synthon (ST 13) was performed by reacting 2 eq. of the carboxylic acid component with 2 eq. of HBTU in presence of 8 eq. DIPEA in DMSO. After 2 min the pre-activated compound ST 13 was added to the solution of the respective amino -modified precursor molecule 1. After 30 min the reaction progress was monitored by LCMS or AEX-HPLC. Upon completion of the conjugation reaction the crude product was precipitated by addition of lOx z'PrOH and O.lx 2M NaCl and harvested by centrifugation and decantation. The resulting pellet was dissolved in H20 and finally purified again by anion exchange and size exclusion chromatography and lyophilised.
Table 2: Single stranded trimeric GalNAc-conjugated oligonucleotides
Product Starting Name MW MW (ESI-) %FLP
Material calc. found (AEX- HPLC)
A0077 A0072 STS16001AV1L11 8732.3 Da 8732.0 Da 98.1%
A0081 A0076 STS16001AL11 8764.3 Da 8764.2 Da 84.8%
A0204 A0202 STS16001AV3L11 8748.3 Da 8748.2 Da 90.0%
A0205 A0203 STS16001AV4L11 8780.3 Da 8780.2 Da 95.8% Conjugated singles strands for conjugates 3 to 9
Conjugation of the Gal ac synthon (9) was achieved by coupling to the serinol-amino function of the respective oligonucleotide strand 11 using a peptide coupling reagent. Therefore, the respective amino -modified precursor molecule 11 was dissolved in H20 (500 OD/mL) and DMSO (DMSO/H2O, 2/1, v/v) was added, followed by DIPEA (2.5% of total volume). In a separate reaction vessel pre-activation of the GalN(Ac4)-C4-acid (9) was performed by reacting 2 eq. (per amino function in the amino -modified precursor oligonucleotide 11) of the carboxylic acid component with 2 eq. of HBTU in presence of 8 eq. DIPEA in DMSO. After 2 min the pre-activated compound 9 was added to the solution of the respective amino -modified precursor molecule. After 30 min the reaction progress was monitored by LCMS or AEX-HPLC. Upon completion of the conjugation reaction the crude product was precipitated by addition of lOx z'PrOH and O.lx 2M NaCl and harvested by centrifugation and decantation. To set free the acetylated hydroxyl groups in the GalNAc moieties the resulting pellet was dissolved in 40% MeNH2 (lmL per 500 OD) and after 15 min at RT diluted in H2O (1 : 10) and finally purified again by anion exchange and size exclusion chromatography and lyophilised to yield the final product 12.
Table 3 : Single stranded monomeric GalNAc-conjugated oligonucleotides
Product Starting Name MW MW (ESI-) %FLP
(12) Material calc. found (AEX-
HPLC)
A0268 A0264 STS16001AV4L33 7415.7 Da 7415.4 Da 96.9%
A0269 A0265 STS16001AV4L34 7888.0 Da 7887.9 Da >99.0%
A0324 A0323 STS16001V4AL35 8360.3 Da 8360.5 Da 95.6%
A0271 A0267 STS16001AV4L36 8832.6 Da 8832.7 Da 82.0% A0241 A0220 STS16001BL20 7285.5 Da 7285.3 Da 91.8%
A0330 A0329 STS16001BV6L42 7789.8 Da 7789.8 Da 95.5%
A0452 A0446 STS16001AL62 7872.1 Da 7871.9 Da 93.7%
A0453 A0447 STS16001AV1L34 7856.1 Da 7855.9 Da 92.9%
A0454 A0448 STS16001AL63 7856.1 Da 7855.8 Da 94.9%
A0455 A0449 STS16001AV1L63 7824.1 Da 7823.8 Da 92.5%
Double strand formation
Individual single strands were dissolved in a concentration of 60 OD/mL in H20. Both individual oligonucleotide solutions were added together in a reaction vessel. For easier reaction monitoring a titration was performed. The first strand was added in 25% excess over the second strand as determined by UV-absorption at 260nm. The reaction mixture was heated to 80°C for 5min and then slowly cooled to RT. Double strand formation was monitored by ion pairing reverse phase HPLC. From the UV-area of the residual single strand the needed amount of the second strand was calculated and added to the reaction mixture. The reaction was heated to 80°C again and slowly cooled to RT. This procedure was repeated until less than 10%> of residual single strand was detected.
Table 4: Nucleic acid conjugates
Product Starting Materials Name % double
strand
First Second
Strand Strand
Conjugate 1 A0077 A0007 STS016V1L11 95.5%
Conjugate 2 A0081 A0007 STS016V2L11 95.2%
Conjugate 3 A0268 A0241 STS16001L24 96.0%
Conjugate 4 A0237 A0330 STS16001V1L42 98.5%
Conjugate 5 A0268 A0330 STS16001V1L43 98.2%
Conjugate 6 A0268 A0244 STS16001L33 97.8%
Conjugate 7 A0269 A0244 STS16001L34 95.0%
Conjugate 8 A0324 A0244 STS16001L35 99.0%
Conjugate 9 A0271 A0244 STS16001L36 96.8%
Conjugate 10 A0204 A0007 STS016V3L11 94.1%
Conjugate 11 A0205 A0007 STS016V4L11 94.0%
Conjugate 12 A0452 A0368 STS16001L62 94.6%
Conjugate 13 A0453 A0368 STS16001V1L34 96.6%
Conjugate 14 A0454 A0368 STS16001L63 95.6%
Conjugate 15 A0455 A0368 STS16001V1L63 94.8%
Ref. Conj. 1 A0130 A0131 STS18001L4 96.8%
Sequences Modifications key for the following sequences: f denotes 2'Fluoro 2'deoxyribo nucleotide m denotes 2Ό Methyl ribonucleotide (ps) denotes phosphorothioate linkage C4XLT is:
Figure imgf000085_0001
C4XLT
ST23 is:
Figure imgf000085_0002
ST23
Synthesis of the phosphoramidite derivatives of C4XLT (C4XLT-phos) as well as ST23 (ST23-phos) can be performed as described in WO2017/174657:
C4XLT-phos:
Figure imgf000085_0003
C4XLT-phos
ST23-phos:
Figure imgf000085_0004
ST23-phos GlyC3Am(GalNAc) is:
Figure imgf000086_0001
The dashed lines indicate positions of terminal hydroxyl group or connection to the oligonucleotide via a phosphorothioate or phosphoroate linkage.
GlyC3Am(TFA)-solid support is:
Figure imgf000086_0002
Conjugate 1
Antisense strand - STS16001AV1L11
5' mU (ps) fU (ps) mA fU mA fG mA fG mC fA mA fG mA fA mC fA mC fU mG fU mU GlyC3Am(GalNAc) 3' Sense strand - STS16001BV1
5- fA (ps) mA (ps) fC mA fG mU fG mU fU mC fU mU fG mC fU mC fU mA fU (ps) mA (ps) fA 3'
Conjugate 2
Antisense strand - STS 16001 AV2L11 5' mU (ps) fU (ps) mA fU mA fG mA fG mC f A mA fG mA fA mC fA mC fU mG (ps)fU (ps)mU GlyC3Am(GalNAc) 3' Sense strand - STS16001BV1
5- fA (ps) mA (ps) fC mA fG mU fG mU fU mC fU mU fG mC fU mC fU mA fU (ps) mA (ps) fA 3'
Conjugate 3 Antisense strand - STS 16001 AL33
5' mU (ps) fU (ps) mA fU mA fG mA fG mC f A mA fG mA fA mC fA mC fU mG (ps) flj (ps) mU (ps) Ser(GN) 3 '
Sense strand - STS16001BL20
5' Ser(GN) (ps) fA mA fC mA fG mU fG mU fU mC fU mU fG mC fU mC fU mA fU (ps) mA (ps) fA 3 '
Conjugate 4
Antisense strand - STS 16001 A mU (ps) fU (ps) mA fU mA fG mA fG mC fA mA fG mA fA mC fA mC fU mG (ps) fU (ps) mU Sense strand - STS16001BV1L42
Ser(GN) (ps) fA (ps) mA (ps) fC mA fG mU fG mU fU mC fU mU fG mC fU mC fU mA fU (ps) mA (ps) fA (ps) Ser(GN)
Conjugate 5
Antisense strand - STS16001AL33 5' mU (ps) fU (ps) mA fU mA fG mA fG mC f A mA f G mA fA mC fA mC fU mG (ps) fU (ps) mU (ps) Ser(GN) 3 '
Sense strand - STS16001BV1L42
5' Ser (GN) (ps) fA (ps) mA (ps) fC mA fG mU fG mU fU mC fU mU fG mC fU mC fU mA fU (ps) mA (ps) fA (ps) Ser (GN) 3 ' Conjugate 6 Antisense strand - STS 16001AL33
5' mU (ps) fU (ps) mA fU mA fG mA fG mC fA mA fG mA fA mC fA mC fU mG (ps) fU (ps) mU (ps) Ser(GN) 3 '
Sense strand - STS16001BV1 5' fA (ps) mA (ps) fC mA fG mU fG mU fU mC fU mU fG mC fU mC fU mA fU (ps) mA (ps) fA 3'
Conjugate 7
Antisense strand - STS16001AL34
5' mU (ps) fU (ps) mA fU mA fG mA fG mC f A mA fG mA fA mC fA mC fU mG (ps) fU (ps) mU (ps) Ser(GN) (ps) Ser(GN) 3 '
Sense strand - STS16001BV1
5' fA (ps) mA (ps) fC mA fG mU fG mU fU mC fU mU fG mC fU mC fU mA fU (ps) mA (ps) fA 3'
Conjugate 8 Antisense strand - STS16001AL35 mU (ps) fU (ps) mA fU mA fG mA fG mC fA mA fG mA fA mC fA mC fU mG (ps) fU (ps) mU (ps) Ser(GN) (ps) Ser(GN) (ps) Ser(GN)
Sense strand - STS16001BV1 fA (ps) mA (ps) fC mA fG mU fG mU fU mC fU mU fG mC fU mC fU mA fU (ps) mA (ps) fA
Conjugate 9
Antisense strand - STS 16001 AL36 mU (ps) fU (ps) mA fU mA fG mA fG mC fA mA fG mA fA mC fA mC fU mG (ps) fU (ps) mU (ps) Ser(GN) (ps) Ser(GN) (ps) Ser(GN) (ps) Ser(GN) Sense strand - STS16001BV1 fA (ps) mA (ps) fC mA fG mU fG mU fU mC fU mU fG mC fU mC fU mA fU (ps) mA (ps) fA
Conjugate 10
Antisense strand - STS16001AV3L1 1 mU (ps) fU (ps) mA fU mA fG mA fG mC fA mA fG mA fA mC fA mC fU mG fU mU (ps) GlyC3Am(GalNAc)
Sense strand - STS 16001BV1 fA (ps) mA (ps) fC mA fG mU fG mU fU mC fU mU fG mC fU mC fU mA fU (ps) mA (ps) fA Conjugate 11
Antisense strand - STS 16001AV4L1 1 mU (ps) fU (ps) mA fU mA fG mA fG mC fA mA fG mA fA mC fA mC fU mG (ps) fU (ps) mU (ps) GlyC3Am(GalNAc)
Sense strand - STS 16001BV1 fA (ps) mA (ps) fC mA fG mU fG mU fU mC fU mU fG mC fU mC fU mA fU (ps) mA (ps) fA
Conjugate 12
Antisense strand - STS 16001 AL62 mU (ps) fU (ps) mA fU mA fG mA fG mC fA mA fG mA fA mC fA mC fU mG (ps) fU (ps) mU Ser(GN) (ps) Ser(GN)
Sense strand - STS 16001BV1 fA (ps) mA (ps) fC mA fG mU fG mU fU mC fU mU fG mC fU mC fU mA fU (ps) mA (ps) fA
Conjugate 13 Antisense strand - STS16001AV1L34 mU (ps) fU (ps) mA fU mA fG mA fG mC fA mA fG mA fA mC fA mC fU mG fU mU (ps) Ser(GN) (ps) Ser(GN)
Sense strand - STS16001BV1 fA (ps) mA (ps) fC mA fG mU fG mU fU mC fU mU fG mC fU mC fU mA fU (ps) mA (ps) fA
Conjugate 14
Antisense strand - STS16001AL63 mU (ps) fU (ps) mA flj mA fG mA fG mC fA mA fG mA fA mC fA mC fU mG (ps) fU (ps) mU Ser(GN) Ser(GN) Sense strand - STS16001BV1 fA (ps) mA (ps) fC mA fG mU fG mU fU mC fU mU fG mC fU mC fU mA fU (ps) mA (ps) fA
Conjugate 15
Antisense strand - STS 16001 AV1L63 mU (ps) fU (ps) mA fU mA fG mA fG mC fA mA fG mA fA mC fA mC fU mG fU mU Ser(GN) Ser(GN)
Sense strand - STS16001BV1 fA (ps) mA (ps) fC mA fG mU fG mU fU mC fU mU fG mC fU mC fU mA fU (ps) mA (ps) fA Reference Conjugate 1
Antisense strand - STS18001A mU(ps)fC(ps)mGfAmAfGmUfAmUfUmCfCmGfCmGfUmA(ps)fC(ps)mG Sense strand - STS18001BL4
[(ST23) (ps)]3 C4XLT(ps)fCmGfUmAfCmGfCmGfGmAfAmUfAmCfUmUfC(ps)mG (ps)fA Control
Antisense strand - TTR JUK04 antisense
5' mU (ps) U (ps) niA U niA G niA G mC A niA G niA A mC A mC U niG U mU 3'
Sense strand - TTR JUK04 sense 5- A (ps) niA (ps) C niA G mU G mU U mC U mU G mC U mC U niA U (ps) niA (ps) A GlyC3Am(GalNAc) 3'
Example 2 - In vitro determination of TTR knockdown of various TTR siRNA GalNAc conjugates
In vitro determination of TTR knockdown of siRNA GalNAc conjugates 1 and 2 was determined in a hepatocyte assay.
Primary Hepatocytes (Life technology) were seeded into 6 well plates (600,000 cells per well) according to manufacturer's protocol and incubated with the respective concentration of the GalNAc conjugate. Cells were harvested 24h post incubation and RNA was isolated and analysed using Taqman analysis as described below: Target gene expression in vitro:
25-100 ng total RNA was used for quantitative TaqMan RT-PCR with the amplicon sets obtained from BioTez GmBH, Berlin, Germany: The TaqMan RT-PCR reactions were carried out with an ABI PRISM 7700 Sequence Detector (Software: Sequence Detection System vl .6.3 (ABI Life Technologies)) or StepOnePlus Real Time PCR System (ABI) using a standard protocol for RT-PCR as described previously (Fehring et al.) with primers and probes at a concentration of 300 and 100 nmol/l respectively. TaqMan data were calculated by using the comparative Ct method. mRNA level were normalised against PTEN.
Amplicon sets for detection of TTR mRNA mmTTR:467U22 TGGACACCAAATCGTACTGGAA mmTTR:550L22 CAGAGTCGTTGGCTGTGAAAAC mmTTR:492U27FL ACTTGGCATTTCCCCGTTCCATGAATT Amplicon sets for detection of PTEN mRNA PTEN CACCGCCAAATTTAACTGCAGA
PTEN AAGGGTTTGATAAGTTCTAGCTGT
PTEN TGCACAGTATCCTTTTGAAGACCATAACCCA
Conjugates 1, 2, 10 and 11 were very effective in reducing TTR levels. Results are shown in Figure 15. Ref. Conj.l represents the negative control.
Conjugates 1, 2, 10 and 11 have the GalNAc ligand attached to the 3' end of the antisense / guide strand. Conventionally, ligands such as GalNAc are attached to sense / passenger strands and were previously not expected to work when attached to the antisense / guide strand. It was therefore unexpected that knock down was achieved in hepatocytes in the above example, when the GalNAc ligand was attached to the 3 ' end of the antisense / guide strand.
Example 3 - In vitro determination of TTR knockdown of various TTR siRNA GalNAc conjugates
Murine primary hepatocytes were seeded into collagen pre-coated 96 well plates (Thermo Fisher Scientific, #A1142803) at a cell density of 30,000 cells per well and treated with siRNA-conjugates at concentrations ranging from ΙΟηΜ to 0.000 InM. 24h post treatment cells were lysed and RNA extracted with InviTrap® RNA Cell HTS 96 Kit / C24 x 96 preps (Stratec #7061300400) according to the manufactures protocol. Transcript levels of TTR and housekeeping mRNA (Ptenll) were quantified by TaqMan analysis.
Target gene expression in primary murine hepatocytes 24h following treatment with TTR- siRNA carrying serial GalNAc-conjugates at the 3 '-end of the anti-sense strand (Conjugates 6, 7, 8 and 9) or Ref. Conj. 1 as non-targeting siRNA-GalNAc conjugate at indicated concentrations or left untreated (UT) is shown in Figure 16.
The data in Figure 16 show that 3' anti-sense conjugates of the invention efficiently target primary hepatocytes and specifically down regulate the target genes messenger RNA as compared to controls ("UT" and Reference Conjugate 1). Surprisingly, constructs with dimeric, trimeric and tetrameric GalNAc-conjugates show equal patency in vitro. Conjugates 3, 4 and 5 were tested in a similar study. The data in Figure 17 show that these three conjugates of the invention efficiently target primary hepatocytes and specifically down regulate the target messenger RNA as compared to controls ("UT" and Reference Conjugate 1). Surprisingly, conjugation of monomeric GalNAc-moieties to two different termini of the siRNA is sufficient for targeting
hepatocytes albeit this is in contrast to the preferred trimeric valency with defined distances (15-25 A) between the carbohydrates to assure high binding affinity to the ASGP-R.
Conjugates 7 and 12-15 were also tested in a similar study.
The data in Figure 18 show that these differently stabilized dimeric 3 ' anti-sense conjugates of the invention efficiently target primary hepatocytes and specifically down regulate the target messenger RNA as compared to controls ("UT" and Reference Conjugate 1).
Example 4 - In vivo time course of serum TTR in mice
C57BL/6 mice were treated s.c. with lmg/kg siRNA-conjugates at day 0. Serum samples were taken at day 7, 14, and 27 by orbital sinus bleeding and stored at -20°C until analysis. Serum TTR quantification was performed with a Mouse Prealbumin ELISA (ALPCO, 41- PALMS/lot 22, 2008003B) according to the manufacturers protocol (sample dilution 1 :8000 or 1 :800).
Time course of serum TTR in c57BL/6 mice cohorts of n=4 at 7, 14, and 27 days post s.c. treatment with lmg/kg TTR siRNA GalNAc-conjugates 1, 2, 10 and 11 and mock treated (PBS) individuals is shown in Figure 19. Time course of serum TTR in c57BL/6 mice cohorts of n=4 at 7, 14, and 27 days post s.c. treatment with lmg/kg TTR siRNA GalNAc-conjugates 3 to 9 and mock treated (PBS) individuals is shown in Figure 20.
The data in Figures 21 and 22 show that the nucleic acid conjugates of the invention inhibit target gene expression in vivo when compared with a negative control (PBS). The data indicate that the first strand is being effectively delivered to the RISC and is effectively inhibit expression of the target gene. Here in particular Conjugates 2, 4 and 5 show improved in vivo performance in terms of initial knock down and especially in duration of knock down.
Example 5 - Serum Stability studies
Serum stability of siRNA conjugates was tested by incubation for 4 hours (4h) or 3 days (3d) or left untreated (Oh) in 50% FCS at 37°C. Following incubation RNA was extracted by phenol/chloroform/isoamyl alcohol extraction and subsequent TBE-Polyacrylamid-gel- ^ electrophoresis. Degradation was visualized as a band shift of the SybrGold stained R A band comparing the different incubation times with and without serum.
Figure 21 shows the results from the serum stability studies in respect of Conjugates 1, 2, 10 and 11 and control. Figure 22 shows the serum stability of Conjugates 6-9 and control. Figure 23 shows the serum stability of Conjugates 12-15 and control. Figure 24 shows the serum stability of Conjugates 3-5 and control
All conjugates are more stable in serum compared to control. The control is an GalNAc- conjugated TTR siRNA with alternating 2'0-methyl and 2' -OH modification and two terminal phosphorothioate linkages. Thus, conjugation of at least the 3' end of the antisense strand improves the serum stability of the claimed conjugates, compared to control.
All patents and patent applications referred to herein are incorporated by reference in their entirety. Throughout the specification and the claims which follow, unless the context requires otherwise, the word 'comprise', and variations such as 'comprises' and 'comprising', will be understood to imply the inclusion of a stated integer, step, group of integers or group of steps but not to the exclusion of any other integer, step, group of integers or group of steps.
94
References
1. Fire, A.; Xu, S.; Montgomery, M. K.; Kostas, S. A.; Driver, S. E.; Mello, C. C,
Potent and specific genetic interference by double-stranded RNA in Caenorhabditis elegans. Nature 1998, 391 (6669), 806-11. 2. Elbashir, S. M.; Lendeckel, W.; Tuschl, T., RNA interference is mediated by 21- and 22-nucleotide RNAs. Genes & development 2001, 15 (2), 188-200.
3. Dubber, M.; Frechet, J. M., Solid-phase synthesis of multivalent glycoconjugates on a DNA synthesizer. Bioconjugate chemistry 2003, 14 (1), 239-46.
4. Weigel, P. H.; Yik, J. H., Glycans as endocytosis signals: the cases of the asialoglycoprotein and hyaluronan/chondroitin sulfate receptors. Biochim Biophys Acta 2002, 1572 (2-3), 341-63.
5. Ishibashi, S.; Hammer, R. E.; Herz, J., Asialoglycoprotein receptor deficiency in mice lacking the minor receptor subunit. J Biol Chem 1994, 269 (45), 27803-6.
6. Biessen, E. A.; Broxterman, H.; van Boom, J. H.; van Berkel, T. J., The cholesterol derivative of a triantennary galactoside with high affinity for hepatic asialoglycoprotein receptor: a potent cholesterol lowering agent. J Med Chem 1995, 38 (11), 1846-52.
7. Akinc, A.; Querbes, W.; De, S.; Qin, J.; Frank-Kamenetsky, M.; Jayaprakash, K. N.; Jayaraman, M.; Rajeev, K. G.; Cantley, W. L.; Dorkin, J. R.; Butler, J. S.; Qin, L.; Racie, T.; Sprague, A.; Fava, E.; Zeigerer, A.; Hope, M. J.; Zerial, M.; Sah, D. W.; Fitzgerald, K.;
Tracy, M. A.; Manoharan, M.; Koteliansky, V.; Fougerolles, A. d.; Maier, M. A., Targeted Delivery of RNAi Therapeutics With Endogenous and Exogenous Ligand-Based
Mechanisms. Molecular therapy: the journal of the American Society of Gene Therapy 2010, 18 (7), 1357-1364.
8. Fehring, V.; Schaeper, U.; Ahrens, K.; Santel, A.; Keil, O.; Eisermann, M.; Giese, K.; Kaufmann, J., Delivery of therapeutic siRNA to the lung endothelium via novel Lipoplex formulation DACC. Mol Ther 2014, 22 (4), 811-20.
9. Prakash, T. P.; Brad Wan, W.; Low, A.; Yu, J.; Chappell, A. E.; Gaus, H.;
Kinberger, G. A.; 0stergaard, M. E.; Migawa, M. T.; Swayze, E. E.; Seth, P. P., Solid-phase synthesis of 5 '-triantennary N-acetylgalactosamine conjugated antisense oligonucleotides using phosphoramidite chemistry. Bioorganic & medicinal chemistry letters 2015, 25 (19), 4127-4130.
10. Li, L.-C; Okino, S. T.; Zhao, H.; Pookot, D.; Place, R. F.; Urakami, S.; Enokida, H.; Dahiya, R., Small dsRNAs induce transcriptional activation in human cells. Proceedings of the National Academy of Sciences 2006, 103 (46), 17337-17342.
11. Nair, J. K.; Willoughby, J. L. S.; Chan, A., Charisse, K., Alam, Md. R.; Wang, Q.; Hoekstra, M.; Kandasamy, P.; Kel'in, A. V.; Milstein, S.; Taneja, N.; O'Shea, J.; Shaikh, S.; Zhang, L.; van der Sluis, R. J.; Jung, M. E.; Akinc, A.; Hutabarat, R.; Kuchimanchi, S.; Fitzgerald, K.; Zimmermann, T.; van Berkel, T. J. C; Maier, M. A.; Rajeev, K. G.; and Manoharan, M., Multivalent N-Acetylgalactosamine-Conjugated siRNA Localizes in
Hepatocytes and Elicits Robust RNAi-Mediated Gene Silencing. Journal of the American Chemical Society 2014, 136 (49), 6958-16961.
12. Hovelmann, F.; Gaspar, I.; Chamiolo, J.; Kasper, M.; Steffen, J.; Ephrussi, A.; Seitz, O., LNA-enhanced DNA FIT-probes for multicolour RNA imaging. Chemical Science 2016, 7 (1), 128-135.

Claims

Claims
1. A conjugate for inhibiting expression of a target gene in a cell, said conjugate comprising a nucleic acid portion and a ligand portion, said nucleic acid portion comprising at least one duplex region that comprises at least a portion of a first strand and at least a portion of a second strand that is at least partially complementary to the first strand, wherein said first strand is at least partially complementary to at least a portion of RNA transcribed from said target gene, wherein said ligand portion comprises at least one or more targeting ligands attached at least to the 3 ' end of the first strand.
2. A conjugate according to claim 1, wherein said ligand portion does not include one or more targeting ligands attached to the 5 ' end of the first strand.
3. A conjugate according to claim 1 or 2, wherein said ligand portion further comprises one or more targeting ligands attached to the 3 ' end of the second strand.
4. A conjugate according to any of claims 1 to 3, wherein said ligand portion further comprises one or more targeting ligands attached to the 5' end of the second strand.
5. A conjugate for inhibiting expression of a target gene in a cell, said conjugate comprising a nucleic acid portion and a ligand portion, said nucleic acid portion comprising at least one duplex region that comprises at least a portion of a first strand and at least a portion of a second strand that is at least partially complementary to the first strand, wherein said first strand is at least partially complementary to at least a portion of RNA transcribed from said target gene, wherein said ligand portion comprises one or more targeting ligands attached to the 3 ' end of the first strand, one or more targeting ligands attached to the 3 ' end of the second strand, one or more targeting ligands attached to the 5' end of the second strand, and no targeting ligands attached to the 5 ' end of the first strand.
6. A conjugate for inhibiting expression of a target gene in a cell, said conjugate comprising a nucleic acid portion and a ligand portion, said nucleic acid portion comprising at least one duplex region that comprises at least a portion of a first strand and at least a portion of a second strand that is at least partially complementary to the first strand, wherein said first strand is at least partially complementary to at least a portion of RNA transcribed from said target gene, wherein said ligand portion comprises four or more targeting ligands attached at least to the 3 ' end of the first strand, preferably four or more Gal Ac targeting ligands, even more preferably a tetra-antennary GalNAc targeting ligand.
7. A conjugate according to claim 6, wherein said ligand portion does not include one or more targeting ligands attached to the 5 ' end of the first strand.
8. A conjugate according to claim 6 or 7, wherein said ligand portion further comprises one or more targeting ligands attached to the 3 ' end of the second strand, preferably four or more targeting ligands, more preferably four or more GalNAc targeting ligands, even more preferably a tetra-antennary GalNAc targeting ligand.
9. A conjugate according to any of claims 6 to 8, wherein said ligand portion further comprises one or more targeting ligands attached to the 5' end of the second strand, preferably four or more targeting ligands, more preferably four or more GalNAc targeting ligands, even more preferably a tetra-antennary GalNAc targeting ligand.
10. A conjugate according to claim 1 or 6, wherein said ligand portion does not include targeting ligands at the other ends of the first and second strands.
11. A conjugate according to any of claims 1 to 10, which further comprises at least one phosphorothioate linkage in the nucleic acid portion of said conjugate.
12. A conjugate for inhibiting expression of a target gene in a cell, said conjugate comprising a nucleic acid portion and a ligand portion, said nucleic acid portion comprising at least one duplex region that comprises at least a portion of a first strand and at least a portion of a second strand that is at least partially complementary to the first strand, wherein said first strand is at least partially complementary to at least a portion of RNA transcribed from said target gene, wherein said ligand portion comprises one or more targeting ligands attached to the 3 ' end of the first strand and does not include targeting ligands at the other ends of the first and second strands, and wherein said conjugate further comprises at least one phosphorothioate linkage in the nucleic acid portion of said conjugate. 9s
13. A conjugate for inhibiting expression of a target gene in a cell, said conjugate comprising a nucleic acid portion and a ligand portion, said nucleic acid portion comprising at least one duplex region that comprises at least a portion of a first strand and at least a portion of a second strand that is at least partially complementary to the first strand, wherein said first strand is at least partially complementary to at least a portion of RNA transcribed from said target gene, wherein said ligand portion further comprises one or more targeting ligands attached to at least one of: (a) the 3' end of the first strand, and / or (b) the 3' end of the second strand, and / or (c) the 5 ' end of the second strand, and does not include targeting ligands at the 5' end of the first strand.
14. A conjugate according to claim 13 wherein said conjugate further comprises at least one phosphorothioate linkage in the nucleic acid portion of said conjugate.
15. A conjugate according to claim 13 or claim 14, wherein said one or more targeting ligands are present at the 3 ' end of the first strand.
16. A conjugate according to any of claims 13 to 15, wherein said one or more targeting ligands are present at the 3 ' end of the second strand.
17. A conjugate according to any of claims 13 to 16, wherein said one or more targeting ligands are present at the 5 ' end of the second strand.
18. A conjugate according to claim 13 or claim 14 wherein said one or more targeting ligands are present at the 3 ' end of the first strand and at the 5 ' end of the second strand and not at the end of the 3 ' end of the second strand.
19. A conjugate according to claim 13 or claim 14 wherein said one or more targeting ligands are present at the 3' and 5' ends of the second strand and not at the 3' end of the first strand.
20. A conjugate according to claim 13 or claim 14 wherein said one or more targeting ligands are present at the 3 ' end of the first strand and at the 3 ' end of the second strand and not at the 5 ' end of the second strand.
21. A conjugate according to claim 13 or claim 14 wherein said one or more targeting ligands are present at the 3' end of the first strand and at the 3' and 5' ends of the second strand.
22. A conjugate according to any of claims 11 to 21, which comprises a phosphorothioate linkage between nucleotides 1 and 2 at the 5' end of the first strand (reading 5' to 3').
23. A conjugate according to any of claims 11 to 22, which comprises a phosphorothioate linkage between nucleotides 2 and 3 at the 5' end of the first strand (reading 5' to 3').
24. A conjugate according to any of claims 11 to 23, which comprises a phosphorothioate linkage between nucleotides 1 and 2 at the 3' end of the first strand (reading 3' to 5').
25. A conjugate according to any of claims 11 to 24 which comprises a phosphorothioate linkage between nucleotides 2 and 3 at the 3' end of the first strand (reading 3' to 5').
26. A conjugate according to any of claims 11 to 25, which comprises a phosphorothioate linkage between nucleotides 1 and 2 at the 5' end of the second strand (reading 5' to 3').
27. A conjugate according to any of claims 11 to 26, which comprises a phosphorothioate linkage between nucleotides 2 and 3 at the 5' end of the second strand (reading 5' to 3').
28. A conjugate according to any of claims 11 to 27, which comprises a phosphorothioate linkage between nucleotides 1 and 2 at the 3' end of the second strand (reading 3' to 5').
29. A conjugate according to any of claims 11 to 28, which comprises a phosphorothioate linkage between nucleotides 2 and 3 at the 3' end of the second strand (reading 3' to 5').
30. A conjugate according to any preceding claim, wherein the nucleic acid portion is double stranded with blunt ends at one or both ends, or has at one or more ends a one or two nucleotide overhang.
31. A conjugate according to any of claims 1 to 5 and 11 to 30 (when not dependent on claims 6 to 9), wherein said ligands comprise GalNAc.
32. A conjugate according to any one of claims 1 to 5 and 11 to 31, wherein the nucleic acid portion of said conjugate has two or more conjugated ends (e.g. 3' and/or 5' ends) and the ligand is monomeric.
33. A conjugate according to any of claims 1 to 5, 11 to 31 (when not dependent on claims 6 to 9), wherein said ligands are linked to said nucleic acid portion of said conjugate by tetra-antennary linkers.
34. A conjugate according to any of claims 1 to 5, 11 to 31 (when not dependent on claims 6 to 10), wherein said ligands are linked to said nucleic acid portion of said conjugate by tri-antennary linkers.
35. A conjugate according to claim 34, wherein said tri-antennary linker has the formula I:
[S-X^P-X^B-A-X^Z (I)
wherein:
S represents a saccharide;
X1 represents C3-C6 alkylene or (-CH2-CH2-0)m(-CH2)2- wherein m is 1, 2, or 3;
P is a modified phosphate;
X2 is alkylene or an alkylene ether of the formula (-CH2)n-0-CH2- where n = 1- 6;
A is a branching unit;
X3 represents a bridging unit;
Z is the nucleic acid portion;
and where the linkage between X3 and Z is a phosphate or thiophosphate.
36. A conjugate according to claim 35 wherein the connection to Z is at the 3' end of the first strand and optionally at the 3' end of the second strand and optionally at the 5 'end of the second strand.
37. A conjugate according to any one of claims 1 to 34 wherein the nucleic acid portion or the nucleic acid portion of a strand is attached to a targeting ligand via a serinol-derived linker moiety.
38. A conjugate according to claim 37 which comprises a strand of formula (IV):
Figure imgf000102_0001
wherein c and d are independently 0 or 1 ;
wherein:
Z2 is the nucleic acid portion of a strand;
Y is O or S;
Ri is H or methyl;
n is 0, 1, 2 or 3; and
L is:
-(CH2)r-C(0)-, wherein r = 2-12;
-(CH2-CH2-0)s-CH2-C(0)-, wherein s = 1-5;
-(CH2)t-CO-NH-(CH2)t-NH-C(0)-, wherein t is independently is 1-5;
-(CH2)u-CO-NH-(CH2)u-C(0)-, wherein u is independently is 1-5; and -(CH2)v-NH-C(0)-, wherein v is 2-12; and
wherein the terminal C(O) is attached to the NH group; wherein c + d is 1 or 2.
39. A conjugate according to claim 35 or 36, wherein said tri-antennary linker is of the following structure:
Figure imgf000102_0002
r is of the following structure:
Figure imgf000103_0001
wherein Y is O or S, and O- indicates the point of attachment to a strand of the nucleic acid portion.
40. A conjugate according to any one of claims 1 to 39 wherein the nucleic acid portion comprises two R A strands of 15-30 ribonucleotides, such as 19-25 e.g. 19-23
ribonucleotides.
41. A method of making a conjugate, as claimed in any one of claims 1 to 40, the method comprising adding together the components of the conjugate to form the conjugate.
42. A composition comprising a conjugate, as claimed in any one of claims 1 to 40, and a suitable carrier or excipient.
43. A conjugate, as claimed in any one of claims 1 to 40, or a composition, as claimed in claim 42, for use in medicine.
44. A conjugate or composition, for use as claimed in claim 43, wherein the use for treating liver disease, genetic disease, hemophilia and bleeding disorder, liver fibrosis, non-alcoholic steatohepatitis (NASH), non-alcoholic fatty liver disease (NAFLD), viral hepatitis, rare diseases (e.g. acromegaly), metabolic diseases (e.g. hypercholesterolemia, dyslipidemia, hypertriglyceridemia), cardiovascular diseases, obesity, hemochromatosis, thalassemia, liver injury, alcoholic liver diseases, alcohol dependence and/or anemia of chronic disease.
45. A method of inhibiting (in vitro or in vivo) the expression of a target gene in a mammalian cell, the method comprising contacting the mammalian cell with a conjugate as defined in any one of claims 1 to 40, or a composition as claimed in claim 42.
46. A method of inducing R Ai in a subject, the method comprising administering to the subject an effective amount of a conjugate as claimed in any one of claims 1 to 40, or a composition as claimed in claim 42.
47. A method as claimed in claim 45 or claim 46 for use in the treatment of liver disease, genetic disease, hemophilia and bleeding disorder, liver fibrosis, non-alcoholic steatohepatitis (NASH), non-alcoholic fatty liver disease (NAFLD), viral hepatitis, rare diseases
(e.g. acromegaly), metabolic diseases (e.g. hypercholesterolemia, dyslipidemia,
hypertriglyceridemia), cardiovascular diseases, obesity, hemochromatosis, thalassemia, liver injury, alcoholic liver diseases, alcohol dependence and/or anemia of chronic disease in patient in need thereof.
PCT/EP2018/0587972017-04-052018-04-05Ligand modified double-stranded nucleic acidsCeasedWO2018185253A1 (en)

Applications Claiming Priority (2)

Application NumberPriority DateFiling DateTitle
EP17165092.22017-04-05
EP171650922017-04-05

Publications (1)

Publication NumberPublication Date
WO2018185253A1true WO2018185253A1 (en)2018-10-11

Family

ID=58544739

Family Applications (1)

Application NumberTitlePriority DateFiling Date
PCT/EP2018/058797CeasedWO2018185253A1 (en)2017-04-052018-04-05Ligand modified double-stranded nucleic acids

Country Status (1)

CountryLink
WO (1)WO2018185253A1 (en)

Cited By (9)

* Cited by examiner, † Cited by third party
Publication numberPriority datePublication dateAssigneeTitle
WO2019193189A1 (en)*2018-04-052019-10-10Silence Therapeutics GmbhsiRNAs WITH AT LEAST TWO LIGANDS AT DIFFERENT ENDS
WO2021239825A1 (en)*2020-05-272021-12-02Silence Therapeutics GmbhNucleic acids for inhibiting expression of cnnm4 in a cell
WO2022175749A1 (en)*2021-02-182022-08-25Oneglobe Holdings LimitedCompositions for conjugating oligonucleotides and carbohydrates
WO2023098908A1 (en)*2021-12-032023-06-08Microbio (Shanghai) Co. Ltd.Modification patterns for small interfering rna molecules with high stability and gene silencing activities
EP3992291A4 (en)*2019-06-282023-08-02Kylonova (Xiamen) Biopharma Co., Ltd.Novel compound and application thereof
WO2023171587A1 (en)*2022-03-082023-09-14大原薬品工業株式会社MODIFIED siRNA FOR SELECTIVELY INHIBITING EXPRESSION OF MUTANT FUS
EP4048801A4 (en)*2019-10-242023-11-22Genevant Sciences Gmbh CONJUGATES AND METHODS OF TREATMENT OF ACROMEGALY
WO2024126687A1 (en)2022-12-162024-06-20Silence Therapeutics GmbhNucleic acids conjugated to an albumin binding moiety
US12285439B2 (en)2018-11-262025-04-29Asociación Centro De Investigación Cooperativa En Biociencias-Cic BioguneMethods for diagnosing and/or treating acute or chronic liver, kidney or lung disease

Citations (7)

* Cited by examiner, † Cited by third party
Publication numberPriority datePublication dateAssigneeTitle
US5885968A (en)1992-08-111999-03-23Rijksuniversiteit Te LeidenTriantennary cluster glycosides, their preparation and use
WO1999054459A2 (en)1998-04-201999-10-28Ribozyme Pharmaceuticals, Inc.Nucleic acid molecules with novel chemical compositions capable of modulating gene expression
EP0586520B1 (en)1991-05-212000-04-19Isis Pharmaceuticals, Inc.Backbone modified oligonucleotide analogs
WO2009073809A2 (en)*2007-12-042009-06-11Alnylam Pharmaceuticals, Inc.Carbohydrate conjugates as delivery agents for oligonucleotides
EP0618925B2 (en)1991-12-242012-04-18Isis Pharmaceuticals, Inc.Antisense oligonucleotides
EP2565278A1 (en)*2010-04-282013-03-06Consejo Superior De Investigaciones Científicas (CSIC)Method for the delivery of oligonucleotides
EP3228326A1 (en)*2016-04-052017-10-11Silence Therapeutics GmbHNucleic acid linked to a trivalent glycoconjugate

Patent Citations (8)

* Cited by examiner, † Cited by third party
Publication numberPriority datePublication dateAssigneeTitle
EP0586520B1 (en)1991-05-212000-04-19Isis Pharmaceuticals, Inc.Backbone modified oligonucleotide analogs
EP0618925B2 (en)1991-12-242012-04-18Isis Pharmaceuticals, Inc.Antisense oligonucleotides
US5885968A (en)1992-08-111999-03-23Rijksuniversiteit Te LeidenTriantennary cluster glycosides, their preparation and use
WO1999054459A2 (en)1998-04-201999-10-28Ribozyme Pharmaceuticals, Inc.Nucleic acid molecules with novel chemical compositions capable of modulating gene expression
WO2009073809A2 (en)*2007-12-042009-06-11Alnylam Pharmaceuticals, Inc.Carbohydrate conjugates as delivery agents for oligonucleotides
EP2565278A1 (en)*2010-04-282013-03-06Consejo Superior De Investigaciones Científicas (CSIC)Method for the delivery of oligonucleotides
EP3228326A1 (en)*2016-04-052017-10-11Silence Therapeutics GmbHNucleic acid linked to a trivalent glycoconjugate
WO2017174657A1 (en)2016-04-052017-10-12Silence Therapeutics GmbhNucleic acid linked to a trivalent glycoconjugate

Non-Patent Citations (19)

* Cited by examiner, † Cited by third party
Title
AKINC, A.; QUERBES, W.; DE, S.; QIN, J.; FRANK-KAMENETSKY, M.; JAYAPRAKASH, K. N.; JAYARAMAN, M.; RAJEEV, K. G.; CANTLEY, W. L.; D: "Targeted Delivery of RNAi Therapeutics With Endogenous and Exogenous Ligand-Based Mechanisms", MOLECULAR THERAPY: THE JOURNAL OF THE AMERICAN SOCIETY OF GENE THERAPY, vol. 18, no. 7, 2010, pages 1357 - 1364, XP055016290, DOI: doi:10.1038/mt.2010.85
BIESSEN, E. A.; BROXTERMAN, H.; VAN BOOM, J. H.; VAN BERKEL, T. J.: "The cholesterol derivative of a triantennary galactoside with high affinity for hepatic asialoglycoprotein receptor: a potent cholesterol lowering agent", J MED CHEM, vol. 38, no. 11, 1995, pages 1846 - 52, XP002552046, DOI: doi:10.1021/jm00011a003
DUBBER, M.; FRECHET, J. M.: "Solid-phase synthesis of multivalent glycoconjugates on a DNA synthesizer", BIOCONJUGATE CHEMISTRY, vol. 14, no. 1, 2003, pages 239 - 46
ELBASHIR, S. M.; LENDECKEL, W.; TUSCHL, T.: "RNA interference is mediated by 21-and 22-nucleotide RNAs", GENES & DEVELOPMENT, vol. 15, no. 2, 2001, pages 188 - 200, XP002206453, DOI: doi:10.1101/gad.862301
FEHRING, V.; SCHAEPER, U.; AHRENS, K.; SANTEL, A.; KEIL, O.; EISERMANN, M.; GIESE, K.; KAUFMANN, J.: "Delivery of therapeutic siRNA to the lung endothelium via novel Lipoplex formulation DACC", MOL THER, vol. 22, no. 4, 2014, pages 811 - 20, XP055250235, DOI: doi:10.1038/mt.2013.291
FIRE, A.; XU, S.; MONTGOMERY, M. K.; KOSTAS, S. A.; DRIVER, S. E.; MELLO, C. C.: "Potent and specific genetic interference by double-stranded RNA in Caenorhabditis elegans", NATURE, vol. 391, no. 6669, 1998, pages 806 - 11, XP002199982, DOI: doi:10.1038/35888
HOEVELMANN ET AL., CHEM. SCI., vol. 7, 2016, pages 128 - 135
HOVELMANN, F.; GASPAR, I.; CHAMIOLO, J.; KASPER, M.; STEFFEN, J.; EPHRUSSI, A.; SEITZ, O.: "LNA-enhanced DNA FIT-probes for multicolour RNA imaging", CHEMICAL SCIENCE, vol. 7, no. 1, 2016, pages 128 - 135, XP055320007, DOI: doi:10.1039/C5SC03053F
ISHIBASHI, S.; HAMMER, R. E.; HERZ, J.: "Asialoglycoprotein receptor deficiency in mice lacking the minor receptor subunit", J BIOL CHEM, vol. 269, no. 45, 1994, pages 27803 - 6
JAYAPRAKASH K. NAIR ET AL: "Multivalent N -Acetylgalactosamine-Conjugated siRNA Localizes in Hepatocytes and Elicits Robust RNAi-Mediated Gene Silencing", JOURNAL OF THE AMERICAN CHEMICAL SOCIETY, vol. 136, no. 49, 10 December 2014 (2014-12-10), pages 16958 - 16961, XP055181463, ISSN: 0002-7863, DOI: 10.1021/ja505986a*
LI, L.-C.; OKINO, S. T.; ZHAO, H.; POOKOT, D.; PLACE, R. F.; URAKAMI, S.; ENOKIDA, H.; DAHIYA, R.: "Small dsRNAs induce transcriptional activation in human cells", PROCEEDINGS OF THE NATIONAL ACADEMY OF SCIENCES, vol. 103, no. 46, 2006, pages 17337 - 17342, XP002589998, DOI: doi:10.1073/PNAS.0607015103
MARC NOTHISEN ET AL: "Structure Tuning of Cationic Oligospermine-siRNA Conjugates for Carrier-Free Gene Silencing", MOLECULAR PHARMACEUTICS, vol. 13, no. 8, 20 July 2016 (2016-07-20), US, pages 2718 - 2728, XP055449435, ISSN: 1543-8384, DOI: 10.1021/acs.molpharmaceut.6b00309*
NAIR ET AL., J. AM. CHEM. SOC., vol. 136, no. 49, 2014, pages 16958 - 16961
NAIR, J. K.; WILLOUGHBY, J. L. S.; CHAN, A.; CHARISSE, K.; ALAM, MD. R.; WANG, Q.; HOEKSTRA, M.; KANDASAMY, P.; KEL'IN, A. V.; MIL: "Multivalent N-Acetylgalactosamine-Conjugated siRNA Localizes in Hepatocytes and Elicits Robust RNAi-Mediated Gene Silencing", JOURNAL OF THE AMERICAN CHEMICAL SOCIETY, vol. 136, no. 49, 2014, pages 6958 - 16961, XP055181463, DOI: doi:10.1021/ja505986a
PRAKASH THAZHA P ET AL: "Solid-phase synthesis of 5'-triantennaryN-acetylgalactosamine conjugated antisense oligonucleotides using phosphoramidite chemistry", BIOORGANIC & MEDICINAL CHEMISTRY LETTERS, PERGAMON, AMSTERDAM, NL, vol. 25, no. 19, 8 August 2015 (2015-08-08), pages 4127 - 4130, XP029264267, ISSN: 0960-894X, DOI: 10.1016/J.BMCL.2015.08.019*
PRAKASH, T. P.; BRAD WAN, W.; LOW, A.; YU, J.; CHAPPELL, A. E.; GAUS, H.; KINBERGER, G. A.; 0STERGAARD, M. E.; MIGAWA, M. T.; SWAY: "Solid-phase synthesis of 5'-triantennary N-acetylgalactosamine conjugated antisense oligonucleotides using phosphoramidite chemistry", BIOORGANIC & MEDICINAL CHEMISTRY LETTERS, vol. 25, no. 19, 2015, pages 4127 - 4130
TAKEI ET AL., JBC, vol. 277, no. 26, 2002, pages 23800 - 06
UENO Y ET AL: "Synthesis and silencing properties of siRNAs possessing lipophilic groups at their 3'-termini", BIOORGANIC & MEDICINAL CHEMISTRY, PERGAMON, GB, vol. 16, no. 16, 15 August 2008 (2008-08-15), pages 7698 - 7704, XP023904514, ISSN: 0968-0896, [retrieved on 20080709], DOI: 10.1016/J.BMC.2008.07.010*
WEIGEL, P. H.; YIK, J. H.: "Glycans as endocytosis signals: the cases of the asialoglycoprotein and hyaluronan/chondroitin sulfate receptors", BIOCHIM BIOPHYS ACTA, vol. 1572, no. 2-3, 2002, pages 341 - 63, XP004380526, DOI: doi:10.1016/S0304-4165(02)00318-5

Cited By (12)

* Cited by examiner, † Cited by third party
Publication numberPriority datePublication dateAssigneeTitle
WO2019193189A1 (en)*2018-04-052019-10-10Silence Therapeutics GmbhsiRNAs WITH AT LEAST TWO LIGANDS AT DIFFERENT ENDS
US12285439B2 (en)2018-11-262025-04-29Asociación Centro De Investigación Cooperativa En Biociencias-Cic BioguneMethods for diagnosing and/or treating acute or chronic liver, kidney or lung disease
EP3992291A4 (en)*2019-06-282023-08-02Kylonova (Xiamen) Biopharma Co., Ltd.Novel compound and application thereof
AU2020305793B2 (en)*2019-06-282024-04-18Kylonova (Xiamen) Biopharma Co., Ltd.Novel compound and application thereof
US12378555B2 (en)2019-06-282025-08-05Kylonova (Xiamen) Biopharma Co., Ltd.Compound and application thereof
EP4048801A4 (en)*2019-10-242023-11-22Genevant Sciences Gmbh CONJUGATES AND METHODS OF TREATMENT OF ACROMEGALY
WO2021239825A1 (en)*2020-05-272021-12-02Silence Therapeutics GmbhNucleic acids for inhibiting expression of cnnm4 in a cell
WO2022175749A1 (en)*2021-02-182022-08-25Oneglobe Holdings LimitedCompositions for conjugating oligonucleotides and carbohydrates
WO2023098908A1 (en)*2021-12-032023-06-08Microbio (Shanghai) Co. Ltd.Modification patterns for small interfering rna molecules with high stability and gene silencing activities
WO2023171587A1 (en)*2022-03-082023-09-14大原薬品工業株式会社MODIFIED siRNA FOR SELECTIVELY INHIBITING EXPRESSION OF MUTANT FUS
JPWO2023171587A1 (en)*2022-03-082023-09-14
WO2024126687A1 (en)2022-12-162024-06-20Silence Therapeutics GmbhNucleic acids conjugated to an albumin binding moiety

Similar Documents

PublicationPublication DateTitle
CA3081905C (en)Nucleic acids for inhibiting expression of lpa in a cell
KR102857148B1 (en) siRNA having vinylphosphonate at the 5&#39; end of the antisense strand
EP3439703B1 (en)Nucleic acid linked to a trivalent glycoconjugate
AU2018363837B2 (en)Nucleic acids for inhibiting expression of a target gene comprising phosphorodithioate linkages
AU2019247637B2 (en)siRNAs with vinylphosphonate at the 5&#39; end of the antisense strand
US11987794B2 (en)Products and compositions
WO2018185253A1 (en)Ligand modified double-stranded nucleic acids
IL321221A (en) Products and compositions
EP3550021A1 (en)Products and compositions for inhibiting expression of a target gene
CA3119239A1 (en)Nucleic acids for inhibiting expression of lpa in a cell
WO2018185252A1 (en)Nucleic acid conjugates
EP3775209A1 (en)Sirnas with at least two ligands at different ends
EP3549610A1 (en)Nucleic acid conjugates
US20230272385A1 (en)siRNAs WITH VINYLPHOSPHONATE AT THE 5&#39; END OF THE ANTISENSE STRAND
EP3385272A1 (en)Further novel oligonucleotide-ligand conjugates
EP3550022A1 (en)Products and compositions
HK40037892A (en)Nucleic acid linked to a trivalent glycoconjugate
HK40035007A (en)Nucleic acids for inhibiting expression of lpa in a cell
HK40035007B (en)Nucleic acids for inhibiting expression of lpa in a cell
HK40003270B (en)Nucleic acid linked to a trivalent glycoconjugate
HK40003270A (en)Nucleic acid linked to a trivalent glycoconjugate

Legal Events

DateCodeTitleDescription
121Ep: the epo has been informed by wipo that ep was designated in this application

Ref document number:18715711

Country of ref document:EP

Kind code of ref document:A1

NENPNon-entry into the national phase

Ref country code:DE

122Ep: pct application non-entry in european phase

Ref document number:18715711

Country of ref document:EP

Kind code of ref document:A1


[8]ページ先頭

©2009-2025 Movatter.jp