




















本発明の一態様は、新規な発光素子に関する。または、MS/MS分析を行うと、特定の置換基を有するフラグメントイオンが検出される発光素子に関する。または該発光素子を有する発光装置、電子機器、及び照明装置に関する。One embodiment of the present invention relates to a novel light-emitting element. Alternatively, the present invention relates to a light-emitting element in which fragment ions having a specific substituent are detected when MS / MS analysis is performed. Alternatively, the present invention relates to a light-emitting device, an electronic device, and a lighting device each having the light-emitting element.
なお、本発明の一態様は、上記の技術分野に限定されない。本発明の一態様は物、方法、または、製造方法に関する。または、本発明は、プロセス、マシン、マニュファクチャ、または、組成物(コンポジション・オブ・マター)に関する。特に、本発明の一態様は、半導体装置、発光装置、表示装置、照明装置、発光素子、それらの製造方法に関する。Note that one embodiment of the present invention is not limited to the above technical field. One embodiment of the present invention relates to an object, a method, or a manufacturing method. Or this invention relates to a process, a machine, a manufacture, or a composition (composition of matter). In particular, one embodiment of the present invention relates to a semiconductor device, a light-emitting device, a display device, a lighting device, a light-emitting element, and manufacturing methods thereof.
有機化合物を用いたエレクトロルミネッセンス(EL:Electroluminescence)を利用する発光素子(有機EL素子)の実用化が進んでいる。これら発光素子の基本的な構成は、一対の電極間に発光材料を含む有機化合物層(EL層)を挟んだものである。この素子に電圧を印加して、キャリアを注入し、当該キャリアの再結合エネルギーを利用することにより、発光材料からの発光を得ることができる。A light-emitting element (organic EL element) using electroluminescence (EL) using an organic compound has been put into practical use. The basic structure of these light-emitting elements is such that an organic compound layer (EL layer) containing a light-emitting material is sandwiched between a pair of electrodes. Light emission from the light-emitting material can be obtained by applying a voltage to this element, injecting carriers, and utilizing the recombination energy of the carriers.
このような発光素子は自発光型であるため、ディスプレイの画素として用いると、視認性が高く、バックライトが不要である等の利点があり、フラットパネルディスプレイ素子として好適である。また、このような発光素子を用いたディスプレイは、薄型軽量に作製できることも大きな利点である。さらに非常に応答速度が速いことも特徴の一つである。Since such a light-emitting element is a self-luminous type, when used as a display pixel, there are advantages such as high visibility and no need for a backlight, and it is suitable as a flat panel display element. In addition, a display using such a light emitting element has a great advantage that it can be manufactured to be thin and light. Another feature is that the response speed is very fast.
また、これらの発光素子は発光層を二次元に連続して形成することが可能であるため、面状に発光を得ることができる。これは、白熱電球やLEDに代表される点光源、あるいは蛍光灯に代表される線光源では得難い特色である。また、有機化合物からの発光は材料を選択することにより紫外光を含まない発光とできることから、照明等に応用できる面光源としての利用価値も高い。Further, since these light emitting elements can continuously form a light emitting layer in two dimensions, light emission can be obtained in a planar shape. This is a feature that is difficult to obtain with a point light source typified by an incandescent bulb or LED, or a line light source typified by a fluorescent lamp. In addition, since light emitted from an organic compound can be emitted without containing ultraviolet light by selecting a material, the utility value as a surface light source applicable to illumination or the like is also high.
このように有機EL素子を用いたディスプレイや照明装置はさまざまな電子機器に好適であるため、より良好な効率、素子寿命を有する発光素子を求めて研究開発が進められている。特に、EL層には、主として有機化合物が用いられており、発光素子の素子特性向上に大きな影響を与えることから、EL層に用いる有機化合物の選択が重要である。Since displays and illumination devices using organic EL elements are suitable for various electronic devices in this way, research and development are being pursued for light-emitting elements with better efficiency and element lifetime. In particular, an organic compound is mainly used for the EL layer, which has a great influence on the improvement of the element characteristics of the light-emitting element. Therefore, selection of the organic compound used for the EL layer is important.
発光素子に用いることができる有機化合物としては主に高いT1準位やキャリア(電子または正孔)輸送性が必要であるため、含窒素複素芳香環を有する有機化合物が用いられる。特に、2つ以上の窒素を有する含窒素複素芳香環を有する有機化合物(例えば、特許文献1)が有用であるが、含窒素複素芳香環の種類や、含窒素複素芳香環と置換基との結合位置によっては、発光素子の特性に悪影響を与える。そこで、該有機化合物中の個々の結合が有する結合エネルギーが大きい材料を発光素子に用いることが重要である。As an organic compound that can be used for a light-emitting element, a high T1 level and carrier (electron or hole) transportability are mainly required, and thus an organic compound having a nitrogen-containing heteroaromatic ring is used. In particular, an organic compound having a nitrogen-containing heteroaromatic ring having two or more nitrogen atoms (for example, Patent Document 1) is useful, but the type of the nitrogen-containing heteroaromatic ring, the nitrogen-containing heteroaromatic ring and the substituent Depending on the coupling position, the characteristics of the light emitting element are adversely affected. Therefore, it is important to use a material having a large binding energy for each bond in the organic compound for the light-emitting element.
有機EL素子のような有機化合物を用いた発光素子は真空蒸着法や有機溶媒を用いた湿式法により作製される。そのため、有機化合物には真空蒸着時の加熱や、溶媒への溶解といった外部刺激から安定であることが求められる。該有機化合物を用いた発光素子は良好な信頼性を有するため、個々の化学結合が安定である有機化合物を用いた発光素子の開発が求められている。A light emitting element using an organic compound such as an organic EL element is manufactured by a vacuum deposition method or a wet method using an organic solvent. Therefore, organic compounds are required to be stable from external stimuli such as heating during vacuum deposition and dissolution in a solvent. Since a light-emitting element using the organic compound has good reliability, development of a light-emitting element using an organic compound in which individual chemical bonds are stable is required.
そこで、本発明の一態様では、安定な結合を有する有機化合物を用いた新規な発光素子を提供することを課題とする。特に、MS/MS分析を行うと、特定の置換基を有するフラグメントイオンが検出される発光素子を提供することを課題とする。または、本発明の一態様では、発光効率が高い発光素子を提供することを課題とする。または、本発明の一態様では、信頼性が高い発光素子を提供することを課題とする。Therefore, an object of one embodiment of the present invention is to provide a novel light-emitting element using an organic compound having a stable bond. In particular, an object of the present invention is to provide a light-emitting element in which fragment ions having a specific substituent are detected when MS / MS analysis is performed. Another object of one embodiment of the present invention is to provide a light-emitting element with high emission efficiency. Another object of one embodiment of the present invention is to provide a light-emitting element with high reliability.
なお、上記の課題の記載は、他の課題の存在を妨げない。なお、本発明の一態様は、必ずしも、これらの課題の全てを解決する必要はない。上記以外の課題は、明細書等の記載から自ずと明らかであり、明細書等の記載から上記以外の課題を抽出することが可能である。Note that the description of the above problems does not disturb the existence of other problems. Note that one embodiment of the present invention does not necessarily have to solve all of these problems. Problems other than the above are obvious from the description of the specification and the like, and problems other than the above can be extracted from the description of the specification and the like.
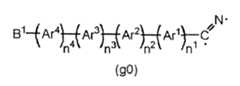
本発明の一態様は、一対の電極間にEL層を有し、該EL層に関してMS/MS分析を行うことで、下記一般式(g0)に示す構造がイオン化したフラグメントイオンが検出される発光素子である。In one embodiment of the present invention, an EL layer is provided between a pair of electrodes, and by performing MS / MS analysis on the EL layer, light emission in which fragment ions in which a structure represented by the following general formula (g0) is ionized is detected It is an element.
一般式(g0)において、Ar1乃至Ar4はそれぞれ独立に置換若しくは無置換の炭素数6乃至25の2価の芳香族炭化水素基を表し、n1乃至n4はそれぞれ独立に0または1を表し、B1は水素、置換若しくは無置換の炭素数6乃至25の芳香族炭化水素基、または置換若しくは無置換の炭素数1乃至20の複素芳香族炭化水素基のいずれか一を表し、炭素(C)及び窒素(N)上の・は不対電子を表す。In the general formula (g0), Ar1 to Ar4 each independently represent a substituted or unsubstituted divalent aromatic hydrocarbon group having 6 to 25 carbon atoms, and n1 to n4 each independently represents 0 or 1 B1 represents anyone of hydrogen, a substituted or unsubstituted aromatic hydrocarbon group having 6 to 25 carbon atoms, or a substituted or unsubstituted heteroaromatic hydrocarbon group having 1 to 20 carbon atoms, * On carbon (C) and nitrogen (N) represents an unpaired electron.
また、上記構成において、下記一般式(g1)に示す構造がイオン化したフラグメントイオンも検出されると好ましい。なお、一般式(g0)と一般式(g1)で表される分子構造が同一の場合、同一のフラグメントイオンが観測されるため、検出されるフラグメントイオンは1種類となる。In the above configuration, it is preferable that fragment ions in which the structure represented by the following general formula (g1) is ionized are also detected. In addition, when the molecular structures represented by the general formula (g0) and the general formula (g1) are the same, the same fragment ion is observed, so that one type of fragment ion is detected.
一般式(G2)において、Ar5乃至Ar8はそれぞれ独立に置換若しくは無置換の炭素数6乃至25の2価の芳香族炭化水素基を表し、m1乃至m4はそれぞれ独立に0または1を表し、B2は水素、置換若しくは無置換の炭素数6乃至25の芳香族炭化水素基、または置換若しくは無置換の炭素数1乃至20の複素芳香族炭化水素基のいずれか一を表し、炭素(C)及び窒素(N)上の・は不対電子を表す。In General Formula (G2), Ar5 to Ar8 each independently represent a substituted or unsubstituted divalent aromatic hydrocarbon group having 6 to 25 carbon atoms, and m1 to m4 each independently represents 0 or 1 B2 represents any one of hydrogen, a substituted or unsubstituted aromatic hydrocarbon group having 6 to 25 carbon atoms, or a substituted or unsubstituted heteroaromatic hydrocarbon group having 1 to 20 carbon atoms, * On carbon (C) and nitrogen (N) represents an unpaired electron.
上記構成において、一般式(g0)中、Ar1乃至Ar4の内少なくとも1つが置換若しくは無置換のフェニレン基であると、良好なキャリア輸送性を有する発光素子を得ることができるため、好ましい。In the above structure, it is preferable that at least one of Ar1 to Ar4 in the general formula (g0) is a substituted or unsubstituted phenylene group because a light-emitting element having favorable carrier transportability can be obtained.
また、上記構成において、一般式(g0)に示す構造がイオン化したフラグメントイオンが下記構造式(100)乃至(103)のいずれか一に帰属されると、良好なキャリア輸送性を示す物質を有する発光素子となるため、駆動電圧を低減することができるため好ましい。In the above structure, when the fragment ion in which the structure represented by the general formula (g0) is ionized belongs to any one of the following structural formulas (100) to (103), the material has a favorable carrier transport property. A light emitting element is preferable because the driving voltage can be reduced.
構造式(100)乃至(103)中、炭素(C)及び窒素(N)上の・は不対電子を表す。In Structural Formulas (100) to (103), “上 の” on carbon (C) and nitrogen (N) represents an unpaired electron.
また、上記構成において、EL層はさらに下記一般式(G0)で表される有機化合物を有し、該フラグメントイオンは該有機化合物に由来すると好ましい。In the above structure, the EL layer preferably further includes an organic compound represented by the following general formula (G0), and the fragment ions are preferably derived from the organic compound.
一般式(G0)において、Aは置換若しくは無置換の窒素原子を二つ以上含む炭素数1乃至20の複素芳香族炭化水素基を表し、Ar1乃至Ar12はそれぞれ独立に置換若しくは無置換の炭素数6乃至25の2価の芳香族炭化水素基を表し、n1乃至n4、m1乃至m4、及びl1乃至l4はそれぞれ独立に0または1を表し、B1乃至B3はそれぞれ独立に、水素、置換若しくは無置換の炭素数6乃至25の芳香族炭化水素基、または置換若しくは無置換の炭素数1乃至20の複素芳香族炭化水素基のいずれか一を表す。In General Formula (G0), A represents a heteroaromatic hydrocarbon group having 1 to 20 carbon atoms containing two or more substituted or unsubstituted nitrogen atoms, and Ar1 to Ar12 are each independently substituted or unsubstituted. A divalent aromatic hydrocarbon group having 6 to 25 carbon atoms; n1 to n4 , m1 to m4 , and l1 to l4 each independently represents 0 or 1; and B1 to B3 Each independently represents hydrogen, a substituted or unsubstituted aromatic hydrocarbon group having 6 to 25 carbon atoms, or a substituted or unsubstituted heteroaromatic hydrocarbon group having 1 to 20 carbon atoms.
一般式(G0)で表される有機化合物中の結合で最も結合エネルギーが低い部分は、Aで表される窒素を二つ以上含む複素芳香環中の窒素−炭素結合、又は、窒素−窒素結合である。一般式(G0)が開裂して検出される一般式(g0)または(g1)で表される構造がイオン化したフラグメントイオンは、該窒素−炭素結合に由来する、C=N結合を有している。上記C=N基が観測されるということは、一般式(G0)で表される有機化合物は、ゆがみ等が少ない安定な構造であると言える。The portion of the bond in the organic compound represented by the general formula (G0) having the lowest bond energy is a nitrogen-carbon bond or a nitrogen-nitrogen bond in a heteroaromatic ring containing two or more nitrogens represented by A. It is. The fragment ion in which the structure represented by the general formula (g0) or (g1) detected by cleavage of the general formula (G0) is ionized has a C═N bond derived from the nitrogen-carbon bond. Yes. The observation of the C═N group means that the organic compound represented by the general formula (G0) has a stable structure with little distortion and the like.
また、上記構成において、EL層はさらに下記一般式(G1)で表される有機化合物を有し、該フラグメントは該有機化合物に由来すると好ましい。さらに、一般式(g0)に示す構造がイオン化したフラグメントイオンは、一般式(100)に示す構造がイオン化したものであると好ましい。In the above structure, the EL layer preferably further includes an organic compound represented by the following general formula (G1), and the fragment is preferably derived from the organic compound. Furthermore, the fragment ion in which the structure represented by the general formula (g0) is ionized is preferably an ionized structure represented by the general formula (100).
一般式(G1)において、Aは置換若しくは無置換の窒素原子を二つ以上含む炭素数1乃至20の複素芳香族炭化水素基を表し、Ar5乃至Ar12はそれぞれ独立に置換若しくは無置換の炭素数6乃至25の2価の芳香族炭化水素基を表し、m1乃至m4、l1乃至l4はそれぞれ独立に0または1を表し、B2及びB3はそれぞれ独立に、水素、置換若しくは無置換の炭素数6乃至25の芳香族炭化水素基、または置換若しくは無置換の炭素数1乃至20の複素芳香族炭化水素基のいずれか一を表し、構造式(100)において炭素(C)及び窒素(N)上の・は不対電子を表す。In General Formula (G1), A represents a heteroaromatic hydrocarbon group having 1 to 20 carbon atoms containing two or more substituted or unsubstituted nitrogen atoms, and Ar5 to Ar12 are each independently substituted or unsubstituted. A divalent aromatic hydrocarbon group having 6 to 25 carbon atoms, m1 to m4 and l1 to l4 each independently represents 0 or 1, B2 and B3 each independently represent hydrogen, This represents any one of a substituted or unsubstituted aromatic hydrocarbon group having 6 to 25 carbon atoms or a substituted or unsubstituted heteroaromatic hydrocarbon group having 1 to 20 carbon atoms, and in the structural formula (100), carbon ( C on nitrogen and nitrogen (N) represents an unpaired electron.
上記構成において、該複素芳香環化合物がトリアジン骨格、ピリミジン骨格、イミダゾール骨格、またはトリアゾール骨格のいずれかを含むと、該有機化合物は高いT1準位を有し、電気化学的に安定なため高い発光効率を有し、且つ高い信頼性を有する発光素子が得られるため好ましい。In the above structure, when the heteroaromatic ring compound includes any of a triazine skeleton, a pyrimidine skeleton, an imidazole skeleton, or a triazole skeleton, the organic compound has a high T1 level and is electrochemically stable, and thus emits light. This is preferable because a light-emitting element having high efficiency and high reliability can be obtained.
また、上記構成において、該EL層は下記一般式(G2)または(G3)で表される有機化合物のいずれか一を有し、該フラグメントイオンは、該有機化合物に由来すると好ましい。In the above structure, the EL layer preferably includes any one of organic compounds represented by the following general formula (G2) or (G3), and the fragment ions are preferably derived from the organic compound.
一般式(G2)及び(G3)において、Ar1乃至Ar12はそれぞれ独立に置換若しくは無置換の炭素数6乃至25の2価の芳香族炭化水素基を表し、n1乃至n4、m1乃至m4、及びl1乃至l4はそれぞれ独立に0または1を表し、B1乃至B3はそれぞれ独立に、水素、置換若しくは無置換の炭素数6乃至25の芳香族炭化水素基、または置換若しくは無置換の炭素数1乃至20の複素芳香族炭化水素基のいずれか一を表し、Qは炭素若しくは窒素を表す。なお、Qが炭素の場合、Qは置換基を有していても良い。また、Qが炭素であり、且つ置換基を有さない場合、QはCHを表す。In General Formulas (G2) and (G3), Ar1 to Ar12 each independently represent a substituted or unsubstituted divalent aromatic hydrocarbon group having 6 to 25 carbon atoms, n1 to n4 , m1 To m4 and l1 to l4 each independently represents 0 or 1, and B1 to B3 each independently represent hydrogen, a substituted or unsubstituted aromatic hydrocarbon group having 6 to 25 carbon atoms, or It represents any one of a substituted or unsubstituted heteroaromatic hydrocarbon group having 1 to 20 carbon atoms, and Q represents carbon or nitrogen. In addition, when Q is carbon, Q may have a substituent. When Q is carbon and has no substituent, Q represents CH.
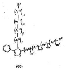
また、上記構成において、EL層はさらに下記一般式(G4)または(G5)で表される有機化合物を有し、該フラグメントは該有機化合物に由来すると好ましい。さらに、一般式(g0)で表される分子構造は一般式(100)で表されると好ましい。In the above structure, the EL layer further includes an organic compound represented by the following general formula (G4) or (G5), and the fragment is preferably derived from the organic compound. Furthermore, the molecular structure represented by the general formula (g0) is preferably represented by the general formula (100).
上記構成において、該EL層を溶媒に溶解し、MS/MS分析を行うと、少なくとも一つのフラグメントイオンのMSスペクトル強度が、プレカーサーイオンスペクトル強度と比較し、100倍以上の強度で検出されると好ましい。In the above configuration, when the EL layer is dissolved in a solvent and MS / MS analysis is performed, the MS spectrum intensity of at least one fragment ion is detected with an intensity of 100 times or more compared to the precursor ion spectrum intensity. preferable.
上記構成において、該有機化合物の分子量が300以上、1000以下であると好ましい。このような構成とすることで、昇華性に優れた有機化合物とすることができる。In the above structure, the organic compound preferably has a molecular weight of 300 or more and 1000 or less. By setting it as such a structure, it can be set as the organic compound excellent in sublimation property.
上記構成において、一般式(G0)乃至(G5)中のB2及びB3の少なくともどちらか一方は置換または無置換のベンゾフラン骨格またはベンゾチオフェン骨格を有すると好ましい。上記構成にすることによって、該有機化合物は高いT1準位を有したまま、耐熱性を向上させることができる。In the above structure, it is preferable that at least one of B2 and B3 in the general formulas (G0) to (G5) has a substituted or unsubstituted benzofuran skeleton or benzothiophene skeleton. With the above structure, the organic compound can have improved heat resistance while having a high T1 level.
また、上記構成において、フラグメントイオンはカチオンであり、MS/MS分析はポジティブモードで検出を行うことが好ましい。上記構成にすることによって、高感度に検出を行うことができる。In the above configuration, the fragment ion is a cation, and the MS / MS analysis is preferably performed in the positive mode. With the above configuration, detection can be performed with high sensitivity.
また、本発明の他の一態様は、上記構成の発光素子と、筐体またはタッチセンサの少なくとも一と、を有する電子機器である。また、本発明の他の一態様は、上記各構成の発光素子と、筐体、接続端子または保護カバーの少なくとも一と、を有する照明装置である。また、本発明の一態様は、発光素子を有する発光装置だけでなく、発光装置を有する電子機器も範疇に含める。従って、本明細書中における発光装置とは、画像表示デバイス、もしくは光源(照明装置含む)を指す。また、発光素子にコネクター、例えばFPC(Flexible Printed Circuit)、TCP(Tape Carrier Package)が取り付けられた表示モジュール、TCPの先にプリント配線板が設けられた表示モジュール、または発光素子にCOG(Chip On Glass)方式によりIC(集積回路)が直接実装された表示モジュールも本発明の一態様である。Another embodiment of the present invention is an electronic device including the light-emitting element having the above structure and at least one of a housing and a touch sensor. Another embodiment of the present invention is a lighting device including the light-emitting element having any of the above structures and at least one of a housing, a connection terminal, and a protective cover. One embodiment of the present invention includes not only a light-emitting device including a light-emitting element but also an electronic device including the light-emitting device. Therefore, a light-emitting device in this specification refers to an image display device or a light source (including a lighting device). In addition, a display module in which a connector such as an FPC (Flexible Printed Circuit) or TCP (Tape Carrier Package) is attached to the light emitting element, a display module in which a printed wiring board is provided at the end of the TCP, or a COG (Chip On) in the light emitting element. A display module in which an IC (integrated circuit) is directly mounted by a glass method is also an embodiment of the present invention.
本発明の一態様によって、安定な結合を有する有機化合物を用いた新規な発光素子を提供することができる。特に、MS/MS分析を行うと、特定の置換基を有するフラグメントイオンが検出される発光素子を提供することができる。また、本発明の一態様では、発光効率が高い発光素子を提供することができる。または、本発明の一態様では、信頼性が高い発光素子を提供することができる。According to one embodiment of the present invention, a novel light-emitting element using an organic compound having a stable bond can be provided. In particular, when MS / MS analysis is performed, a light-emitting element in which fragment ions having a specific substituent can be detected can be provided. In one embodiment of the present invention, a light-emitting element with high emission efficiency can be provided. Alternatively, according to one embodiment of the present invention, a light-emitting element with high reliability can be provided.
なお、これらの効果の記載は、他の効果の存在を妨げない。なお、本発明の一態様は、必ずしも、これらの効果の全てを有する必要はない。なお、これら以外の効果は、明細書、図面、請求項などの記載から、自ずと明らかであり、明細書、図面、請求項などの記載から、これら以外の効果を抽出することが可能である。Note that the description of these effects does not disturb the existence of other effects. Note that one embodiment of the present invention does not necessarily have all of these effects. Note that the effects other than these are obvious from the description of the specification, drawings, claims, and the like, and it is possible to extract other effects from the descriptions of the specification, drawings, claims, and the like.
以下、本発明の実施の態様について図面を用いて詳細に説明する。但し、本発明は以下の説明に限定されず、本発明の趣旨及びその範囲から逸脱することなくその形態及び詳細を様々に変更し得ることが可能である。従って、本発明は以下に示す実施の形態の記載内容に限定して解釈されない。Hereinafter, embodiments of the present invention will be described in detail with reference to the drawings. However, the present invention is not limited to the following description, and various changes can be made in form and details without departing from the spirit and scope of the present invention. Therefore, the present invention is not construed as being limited to the description of the embodiments below.
なお、図面等において示す各構成の、位置、大きさ、範囲などは、理解の簡単のため、実際の位置、大きさ、範囲などを表していない場合がある。このため、開示する発明は、必ずしも、図面等に開示された位置、大きさ、範囲などに限定されない。Note that the position, size, range, and the like of each component shown in the drawings and the like may not represent the actual position, size, range, etc. for easy understanding. Therefore, the disclosed invention is not necessarily limited to the position, size, range, or the like disclosed in the drawings and the like.
また、本明細書等において、第1、第2等として付される序数詞は便宜上用いており、工程順又は積層順を示さない場合がある。そのため、例えば、「第1の」を「第2の」又は「第3の」などと適宜置き換えて説明することができる。また、本明細書等に記載されている序数詞と、本発明の一態様を特定するために用いられる序数詞は一致しない場合がある。In this specification and the like, the ordinal numbers attached as the first and second are used for convenience, and may not indicate the process order or the stacking order. Therefore, for example, the description can be made by appropriately replacing “first” with “second” or “third”. In addition, the ordinal numbers described in this specification and the like may not match the ordinal numbers used to specify one embodiment of the present invention.
また、本明細書等において、図面を用いて発明の構成を説明するにあたり、同じものを指す符号は異なる図面間でも共通して用いる場合がある。In this specification and the like, in describing the structure of the invention with reference to drawings, the same reference numerals may be used in common in different drawings.
また、本明細書等において、「膜」という用語と、「層」という用語とは、互いに入れ替えることが可能である。例えば、「導電層」という用語を、「導電膜」という用語に変更することが可能な場合がある。または、例えば、「絶縁膜」という用語を、「絶縁層」という用語に変更することが可能な場合がある。In addition, in this specification and the like, the terms “film” and “layer” can be interchanged. For example, the term “conductive layer” may be changed to the term “conductive film”. Alternatively, for example, the term “insulating film” may be changed to the term “insulating layer” in some cases.
なお、本明細書等において、室温とは、0℃以上40℃以下の範囲の温度をいう。In this specification and the like, room temperature refers to a temperature in the range of 0 ° C. to 40 ° C.
(実施の形態1)
本実施の形態では、本発明の一態様の発光素子について、図1を用いて以下説明する。(Embodiment 1)
In this embodiment, a light-emitting element of one embodiment of the present invention will be described below with reference to FIGS.
図1(A)は、本発明の一態様の発光素子150の断面模式図である。FIG. 1A is a schematic cross-sectional view of a light-emitting
発光素子150は、一対の電極(電極101及び電極102)を有し、該一対の電極間に設けられたEL層100を有する。EL層100は、少なくとも発光層130を有する。The light-emitting
また、図1(A)に示すEL層100は、発光層130の他に、正孔注入層111、正孔輸送層112、電子輸送層118、及び電子注入層119等の機能層を有する。In addition to the light-emitting
なお、本実施の形態においては、一対の電極のうち、電極101を陽極として、電極102を陰極として説明するが、発光素子150の構成としては、その限りではない。つまり、電極101を陰極とし、電極102を陽極とし、当該電極間の各層の積層を、逆の順番にしてもよい。すなわち、陽極側から、正孔注入層111と、正孔輸送層112と、発光層130と、電子輸送層118と、電子注入層119と、が積層する順番とすればよい。Note that in this embodiment, the
なお、EL層100の構成は、図1(A)に示す構成に限定されず、少なくとも発光層130を有し、正孔注入層111、正孔輸送層112、電子輸送層118、及び電子注入層119はそれぞれ有していても、有していなくても良い。また、EL層100は、正孔または電子の注入障壁を低減する、正孔または電子の輸送性を向上する、正孔または電子の輸送性を阻害する、または電極による消光現象を抑制する、励起子拡散を抑制する、ことができる等の機能を有する機能層を有する構成としてもよい。なお、機能層はそれぞれ単層であっても、複数の層が積層された構成であってもよい。Note that the structure of the
図1(B)は、図1(A)に示す発光層130の一例を示す断面模式図である。図1(B)に示す発光層130は、少なくとも、ホスト材料131と、ゲスト材料132と、を有する。FIG. 1B is a schematic cross-sectional view illustrating an example of the light-emitting
ホスト材料131には含窒素複素芳香族炭化水素基を有する有機化合物が用いられるが、置換基の種類や、結合位置によっては十分な素子特性が得られない場合がある。Although an organic compound having a nitrogen-containing heteroaromatic hydrocarbon group is used as the
ここで本発明者らは、ポジティブモードでMS/MS分析を行った際に一般式(g0)で表されるフラグメントイオンが検出される、下記一般式(G0)で表される有機化合物を発光素子のEL層に用いることで、良好な発光効率、低い駆動電圧、良好な信頼性を有する発光素子が得られることを見出した。なお、該フラグメントイオンはカチオンであると検出強度が高いため好ましく、該カチオンはラジカルカチオンであっても良く、プロトン付加体、ナトリウムイオン付加体、アンモニアイオン付加体などのカチオン付加体であっても良い。Here, the present inventors emit an organic compound represented by the following general formula (G0), in which the fragment ion represented by the general formula (g0) is detected when the MS / MS analysis is performed in the positive mode. It was found that a light-emitting element having good light emission efficiency, low driving voltage, and good reliability can be obtained by using it in the EL layer of the element. The fragment ion is preferably a cation because of its high detection intensity. The cation may be a radical cation or a cation adduct such as a proton adduct, a sodium ion adduct, or an ammonia ion adduct. good.
よって、本発明の一態様は、一対の電極間にEL層を有し、EL層に関してMS/MS分析を行うと、一般式(g0)に示す構造がイオン化したフラグメントイオンが検出される発光素子である。Thus, according to one embodiment of the present invention, a light-emitting element which has an EL layer between a pair of electrodes and detects fragment ions in which the structure represented by the general formula (g0) is ionized when MS / MS analysis is performed on the EL layer It is.
一般式(G0)において、Aは置換若しくは無置換の窒素原子を二つ以上含む炭素数1乃至20の複素芳香族炭化水素基を表し、Ar1乃至Ar12はそれぞれ独立に置換若しくは無置換の炭素数6乃至25の2価の芳香族炭化水素基を表し、n1乃至n4、m1乃至m4、及びl1乃至l4はそれぞれ独立に0または1を表し、B1乃至B3はそれぞれ独立に、水素、置換若しくは無置換の炭素数6乃至25の芳香族炭化水素基、または置換若しくは無置換の炭素数1乃至20の複素芳香族炭化水素基のいずれか一を表す。In General Formula (G0), A represents a heteroaromatic hydrocarbon group having 1 to 20 carbon atoms containing two or more substituted or unsubstituted nitrogen atoms, and Ar1 to Ar12 are each independently substituted or unsubstituted. A divalent aromatic hydrocarbon group having 6 to 25 carbon atoms; n1 to n4 , m1 to m4 , and l1 to l4 each independently represents 0 or 1; and B1 to B3 Each independently represents hydrogen, a substituted or unsubstituted aromatic hydrocarbon group having 6 to 25 carbon atoms, or a substituted or unsubstituted heteroaromatic hydrocarbon group having 1 to 20 carbon atoms.
一般式(g0)において、Ar1乃至Ar4はそれぞれ独立に置換若しくは無置換の炭素数6乃至25の2価の芳香族炭化水素基を表し、n1乃至n4はそれぞれ独立に0または1を表し、B1は水素、置換若しくは無置換の炭素数6乃至25の芳香族炭化水素基、または置換若しくは無置換の炭素数1乃至20の複素芳香族炭化水素基のいずれか一を表し、炭素(C)及び窒素(N)上の・は不対電子を表す。In the general formula (g0), Ar1 to Ar4 each independently represent a substituted or unsubstituted divalent aromatic hydrocarbon group having 6 to 25 carbon atoms, and n1 to n4 each independently represents 0 or 1 B1 represents anyone of hydrogen, a substituted or unsubstituted aromatic hydrocarbon group having 6 to 25 carbon atoms, or a substituted or unsubstituted heteroaromatic hydrocarbon group having 1 to 20 carbon atoms, * On carbon (C) and nitrogen (N) represents an unpaired electron.
一般式(G0)に示す有機化合物は少なくとも窒素原子を2つ以上有する複素芳香環を有する有機化合物である。このような有機化合物は高いT1準位を有するため、ゲスト材料132に燐光材料のような三重項励起子を発光に変換できる材料を用いる場合、そのホスト材料131として好適に用いることができる。また、該有機化合物は電子輸送性に優れるため、発光素子に用いることで、低い駆動電圧を実現することができる。The organic compound represented by the general formula (G0) is an organic compound having a heteroaromatic ring having at least two nitrogen atoms. Since such an organic compound has a high T1 level, when a material capable of converting triplet excitons such as a phosphorescent material into light emission is used for the
一般式(g0)に示す構造がイオン化したフラグメントイオンは、一般式(G0)で表される有機化合物に由来する場合、一般式(g0)で示す構造がイオン化したフラグメントイオンの情報は一般式(G0)で表される、有機化合物の情報を含むことになる。そのため、一般式(g0)で示す構造がイオン化したフラグメントイオンから一般式(G0)で表される有機化合物中の結合の安定性を評価することができる。When the fragment ion in which the structure represented by the general formula (g0) is ionized is derived from the organic compound represented by the general formula (G0), information on the fragment ion in which the structure represented by the general formula (g0) is ionized is represented by the general formula ( The information of the organic compound represented by G0) is included. Therefore, the stability of the bond in the organic compound represented by the general formula (G0) can be evaluated from the fragment ion in which the structure represented by the general formula (g0) is ionized.
一般式(G0)中、Aとしては例えば、置換又は無置換の、トリアジニル基、ピリミジニル基、ピラジル基、トリアゾリル基、イミダゾリル基、キナゾリニル基、キノキサニル基、ジベンゾキナゾリニル基、ジベンゾキノキサリニル基、ベンゾフロピリミジニル基、ベンゾチエノピリミジニル基、ベンゾフロピラジニル基、ベンゾチエノピラジニル基、インドロカルバゾリル基等の3価の基が挙げられる。なお、Aは上記に限定されない。In the general formula (G0), as A, for example, a substituted or unsubstituted triazinyl group, pyrimidinyl group, pyrazyl group, triazolyl group, imidazolyl group, quinazolinyl group, quinoxanyl group, dibenzoquinazolinyl group, dibenzoquinoxalinyl And trivalent groups such as a benzofuropyrimidinyl group, a benzothienopyrimidinyl group, a benzofuropyrazinyl group, a benzothienopyrazinyl group, and an indolocarbazolyl group. A is not limited to the above.
なお、Aは窒素−炭素−窒素(N−C−N)の順で共役二重結合を有し、該共役二重結合中の炭素原子はアリール基若しくはアリーレン基を有すると好ましい。特にAは、トリアジニル基、ピリミジニル基、イミダゾリル基、トリアゾリル基の3価の基であると好ましい。このような置換基は特に高いT1準位や高い電子輸送性を有し、電気化学的にも安定であるため、このような置換基を有する有機化合物を発光素子に用いることで、高い発光効率、低い駆動電圧、良好な信頼性を有する発光素子を提供することができる。A preferably has a conjugated double bond in the order of nitrogen-carbon-nitrogen (N—C—N), and the carbon atom in the conjugated double bond preferably has an aryl group or an arylene group. In particular, A is preferably a trivalent group of a triazinyl group, a pyrimidinyl group, an imidazolyl group, or a triazolyl group. Such a substituent has a particularly high T1 level, a high electron transporting property, and is electrochemically stable. Therefore, by using an organic compound having such a substituent for a light-emitting element, high luminous efficiency can be obtained. Accordingly, a light-emitting element having a low driving voltage and good reliability can be provided.
また、一般に炭素−炭素共役二重結合は窒素−炭素共役二重結合よりも結合エネルギーが大きい。そのため、一般式(G0)におけるAにおいて、Aと結合する2価又は1価の芳香族炭化水素基または複素芳香族炭化水素基(Ar1、Ar5、Ar9またはn1乃至n4、m1乃至m4、l1乃至l4が0の場合はB1乃至B3)はA中の窒素−炭素−窒素(N−C−N)共役二重結合における炭素原子と結合することが好ましい。換言すると、一般式(G0)におけるAが置換基を有する場合、該置換基とAは炭素原子上で結合を有することが好ましい。この場合、窒素原子上で結合を有する場合と比較し、Aと該置換基間の結合エネルギーは大きくなるため、一般式(G0)で表される有機化合物は熱的、化学的に安定な構造となる。そのため、該有機化合物を発光素子に用いた場合、信頼性が良好な発光素子を提供することができる。In general, a carbon-carbon conjugated double bond has a larger binding energy than a nitrogen-carbon conjugated double bond. Therefore, in A in the general formula (G0), a divalent or monovalent aromatic hydrocarbon group or a heteroaromatic hydrocarbon group (Ar1 , Ar5 , Ar9 or n1 to n4 , m bonded to AWhen 1 to m4 and l1 to l4 are 0, B1 to B3 are preferably bonded to a carbon atom in a nitrogen-carbon-nitrogen (N—C—N) conjugated double bond in A. . In other words, when A in General Formula (G0) has a substituent, the substituent and A preferably have a bond on a carbon atom. In this case, since the bond energy between A and the substituent is larger than in the case of having a bond on a nitrogen atom, the organic compound represented by the general formula (G0) has a thermally and chemically stable structure. It becomes. Therefore, when the organic compound is used for a light-emitting element, a light-emitting element with favorable reliability can be provided.
また、上記一般式(G0)中、Bは複素芳香環を有していても良く、芳香族炭化水素基であっても良い。Bが複素芳香環を有する場合、一般式(G0)で表される有機化合物は、キャリア輸送性に優れた構造となるため好ましい。Bが芳香族炭化水素基である場合、合成が容易でかつ、耐熱性に優れた構造となるため好ましい。In the above general formula (G0), B may have a heteroaromatic ring or an aromatic hydrocarbon group. When B has a heteroaromatic ring, the organic compound represented by General Formula (G0) is preferable because it has a structure with excellent carrier transportability. It is preferable that B is an aromatic hydrocarbon group because the structure is easy to synthesize and has excellent heat resistance.
また、一般式(G0)に示す有機化合物はキャリア(電子または正孔)輸送性に優れるため、正孔輸送層112や電子輸送層118としても好適に用いることができる。In addition, since the organic compound represented by the general formula (G0) has excellent carrier (electron or hole) transportability, the organic compound can be preferably used as the
一般式(G0)で表される有機化合物を有する発光素子のEL層に関して、MS/MS分析を行った際、一般式(g0)に示す構造がイオン化したフラグメントイオンが検出されると好ましい。該フラグメントイオンは窒素を二つ以上含む複素芳香族炭化水素基(一般式(G0)中のA)の炭素−窒素共役二重結合部分で該有機化合物が開裂した物質に帰属される。With respect to the EL layer of the light-emitting element having the organic compound represented by the general formula (G0), it is preferable to detect fragment ions in which the structure represented by the general formula (g0) is ionized when MS / MS analysis is performed. The fragment ion belongs to a substance obtained by cleaving the organic compound at a carbon-nitrogen conjugated double bond portion of a heteroaromatic hydrocarbon group containing two or more nitrogen atoms (A in the general formula (G0)).
なお、MS/MS分析は、ポジティブモードで行うことが好ましい。窒素を含む置換基は一般にプロトン親和力が大きいため、ポジティブモードで検出を行うことで、ネガティブモードと比較し、高感度に測定を行うことができる。また共役構造を有する有機化合物はイオン化した際に、カチオンよりもアニオンの方がイオンの寿命が短く不安定であるため、ポジティブモードでの測定の方が、高感度検出が可能となる。なお、MS/MS分析はネガティブモードでも行うことができる。The MS / MS analysis is preferably performed in the positive mode. Since substituents containing nitrogen generally have a high proton affinity, the detection in the positive mode can be performed with higher sensitivity than in the negative mode. In addition, when an organic compound having a conjugated structure is ionized, an anion has a shorter ion lifetime and is more unstable than a cation, and therefore, measurement in the positive mode enables highly sensitive detection. Note that MS / MS analysis can also be performed in a negative mode.
MS/MS分析を行った際に、検出されるフラグメントイオンは、MS/MS分析を行った物質中の結合エネルギーが低い結合が開裂して生成したイオンである。また、一般にC=C結合や炭素−炭素共役二重結合よりも炭素−窒素共役二重結合又は、窒素−窒素結合の方が結合エネルギーは低い。そのため、発光素子に用いられるような、一般式(G0)で表される、共役系が分子全体に広がった構造を有し、窒素を二つ以上含む複素芳香族炭化水素基を有する有機化合物に関してMS/MS分析を行う際は、炭素−窒素共役二重結合又は、窒素−窒素共役二重結合を有する部分構造が開裂しやすいと言える。しかし、分子中に炭素−窒素共役二重結合又は、窒素−窒素結合よりも結合エネルギーが低い部分構造を有する場合、例えば分子中にひずんだ部分構造を有する場合は、一般式(g0)に示す構造がイオン化したフラグメントイオンではなく、該炭素—窒素共役二重結合よりも結合エネルギーが低い部分構造が開裂したフラグメントイオンが検出される。When MS / MS analysis is performed, the detected fragment ions are ions generated by cleavage of a bond having a low binding energy in the material subjected to MS / MS analysis. In general, a carbon-nitrogen conjugated double bond or a nitrogen-nitrogen bond has a lower binding energy than a C═C bond or a carbon-carbon conjugated double bond. Therefore, an organic compound represented by the general formula (G0), which is used in a light-emitting element, has a structure in which a conjugated system extends over the entire molecule and has a heteroaromatic hydrocarbon group containing two or more nitrogen atoms. When performing MS / MS analysis, it can be said that a partial structure having a carbon-nitrogen conjugated double bond or a nitrogen-nitrogen conjugated double bond is easily cleaved. However, when the molecule has a carbon-nitrogen conjugated double bond or a partial structure whose bond energy is lower than that of the nitrogen-nitrogen bond, for example, when the molecule has a distorted partial structure, it is represented by the general formula (g0). Instead of fragment ions whose structure is ionized, fragment ions in which a partial structure having a binding energy lower than that of the carbon-nitrogen conjugated double bond is cleaved are detected.
よって、一般式(G0)に示す有機化合物に関してMS/MS分析を行った際、一般式(g0)でに示す構造がイオン化したフラグメントイオンが検出される場合、一般式(G0)は分子構造のひずみが少ない、分子として安定な構造であると言える。その場合、一般式(G0)に示す有機化合物はキャリア輸送性や信頼性に優れ、発光素子に好適な分子であると言える。Therefore, when MS / MS analysis is performed on the organic compound represented by the general formula (G0), when a fragment ion in which the structure represented by the general formula (g0) is ionized is detected, the general formula (G0) has a molecular structure. It can be said that the structure is stable as a molecule with little distortion. In that case, the organic compound represented by the general formula (G0) is excellent in carrier transportability and reliability and can be said to be a suitable molecule for a light-emitting element.
また、一般式(G0)に示す有機化合物に関してMS/MS分析を行った際、一般式(g0)に示す構造がイオン化したフラグメントイオンと共に、下記一般式(g1)に示す構造がイオン化したフラグメントイオンが同時に検出されると好ましい。一般式(g1)に示す構造がイオン化したフラグメントイオンは、一般式(g0)に示す構造がイオン化したフラグメントイオンと同様に、窒素を二つ以上含む複素芳香族炭化水素基(一般式(G0)中のA)の炭素−窒素共役二重結合部分若しくは窒素−窒素共役二重結合部分で該有機化合物が開裂した構造に由来するイオンに帰属される。なお、一般式(g0)及び一般式(g1)が同一の構造の場合、同一のMS/MSスペクトルが観測される場合がある。Further, when MS / MS analysis was performed on the organic compound represented by the general formula (G0), the fragment ion obtained by ionizing the structure represented by the following general formula (g1) together with the fragment ion obtained by ionizing the structure represented by the general formula (g0) Are preferably detected simultaneously. The fragment ion in which the structure represented by the general formula (g1) is ionized is, similarly to the fragment ion in which the structure represented by the general formula (g0) is ionized, a heteroaromatic hydrocarbon group containing two or more nitrogen atoms (general formula (G0) It is attributed to an ion derived from a structure in which the organic compound is cleaved at the carbon-nitrogen conjugated double bond portion or nitrogen-nitrogen conjugated double bond portion of A). Note that when the general formula (g0) and the general formula (g1) have the same structure, the same MS / MS spectrum may be observed.
一般式(G0)に示す有機化合物中、Aは窒素原子を2つ以上含む炭素数1乃至20の3価の複素芳香族炭化水素基であり、一般式(G0)中で最も結合エネルギーが小さい結合部分を有する置換基であると考えられる。また、その部分は炭素−窒素共役結合部分であると考えられる。Aは少なくとも2カ所の炭素−窒素共役結合部分を有する。一般式(G0)に示す有機化合物に関して、ポジティブモードでMS/MS分析を行った際、一般式(g0)で表されるフラグメントイオンと共に、一般式(g1)に示す構造がイオン化したフラグメントイオンが検出される場合、一般式(g0)に示す構造がイオン化したフラグメントイオンは検出されるが、一般式(g1)に示す構造がイオン化したフラグメントイオンが検出されない場合よりも、一般式(G0)は分子構造にゆがみが少ない、分子として安定な構造であると言える。そのため、分子にひずみ等不安定な部分が少なく、キャリア輸送性や信頼性に優れ、発光素子に好適な分子であると言える。In the organic compound represented by the general formula (G0), A is a trivalent heteroaromatic hydrocarbon group having 1 to 20 carbon atoms including two or more nitrogen atoms, and has the lowest binding energy in the general formula (G0). It is considered to be a substituent having a linking moiety. The part is considered to be a carbon-nitrogen conjugated bond part. A has at least two carbon-nitrogen conjugate moieties. When the MS / MS analysis was performed in the positive mode for the organic compound represented by the general formula (G0), the fragment ion represented by the general formula (g1) was ionized together with the fragment ion represented by the general formula (g0). When detected, a fragment ion in which the structure represented by the general formula (g0) is ionized is detected. However, the general formula (G0) is greater than when a fragment ion in which the structure represented by the general formula (g1) is ionized is not detected. It can be said that the structure is stable as a molecule with little distortion in the molecular structure. Therefore, the molecule has few unstable parts such as strain, is excellent in carrier transportability and reliability, and can be said to be a molecule suitable for a light-emitting element.
なお、一般式(g0)及び一般式(g1)中、Ar1乃至Ar4が置換又は無置換のフェニル基であると好ましい。フェニル基の場合、熱的、化学的に安定であるため、一般式(g0)及び一般式(g1)から推定される有機化合物は、熱的、化学的に安定であるため、信頼性と耐熱性に優れた有機化合物であると言える。In General Formula (g0) and General Formula (g1), Ar1 to Ar4 are preferably a substituted or unsubstituted phenyl group. In the case of a phenyl group, since it is thermally and chemically stable, the organic compound estimated from the general formula (g0) and the general formula (g1) is thermally and chemically stable. It can be said that it is an organic compound with excellent properties.
なお、一般式(G0)乃至一般式(G5)中、Ar1乃至Ar12が置換又は無置換のフェニレン基であると好ましい。フェニレン基の場合、熱的、化学的に安定であり、容易に分子量を増大できることから、信頼性と耐熱性に優れた有機化合物とすることができる。また、該有機化合物が複数のフェニル基を有する場合、その結合位置はメタ位であると好ましい。メタ位結合とすることで、高いT1準位を有することができ、高い発光効率の発光素子を得ることができる。Note that in General Formulas (G0) to (G5), Ar1 to Ar12 are preferably substituted or unsubstituted phenylene groups. In the case of a phenylene group, since it is thermally and chemically stable and can easily increase the molecular weight, an organic compound having excellent reliability and heat resistance can be obtained. When the organic compound has a plurality of phenyl groups, the bonding position is preferably a meta position. By using a meta bond, a high T1 level can be obtained, and a light-emitting element with high emission efficiency can be obtained.
また、一般式(g0)に示す構造がイオン化したフラグメントイオンが下記構造式(100)乃至(103)で表されるいずれかであるとキャリア輸送性の観点から好ましい。この場合、一般式(G0)で表される有機化合物は、一般式(G0)中、窒素原子を2つ以上含む炭素数1乃至20の複素芳香族炭化水素基であるAにフェニル基が一つ若しくは二つ結合した構造を有する。この場合、フェニル基の場合、電気化学的に安定であり、容易に分子量を増大できることから、一般式(G0)で表される有機化合物は信頼性と耐熱性に優れた有機化合物とすることができる。In addition, it is preferable from the viewpoint of carrier transportability that the fragment ion in which the structure represented by the general formula (g0) is ionized is any one of the following structural formulas (100) to (103). In this case, the organic compound represented by the general formula (G0) includes one phenyl group in A which is a heteroaromatic hydrocarbon group having 1 to 20 carbon atoms including two or more nitrogen atoms in the general formula (G0). One or two bonded structures. In this case, in the case of a phenyl group, since it is electrochemically stable and can easily increase the molecular weight, the organic compound represented by the general formula (G0) should be an organic compound having excellent reliability and heat resistance. it can.
また、一般式(G0)で表される有機化合物が下記一般式(G1)で表される有機化合物であると好ましい。一般式(G1)で表される有機化合物は、一般式(G0)中のAにフェニル基が一つ結合した構造を有している。フェニル基は電気化学的に安定であるため、信頼性に優れた有機化合物とすることができる。In addition, the organic compound represented by the general formula (G0) is preferably an organic compound represented by the following general formula (G1). The organic compound represented by the general formula (G1) has a structure in which one phenyl group is bonded to A in the general formula (G0). Since the phenyl group is electrochemically stable, an organic compound having excellent reliability can be obtained.
一般式(G1)において、Aは置換若しくは無置換の窒素原子を二つ以上含む炭素数1乃至20の複素芳香族炭化水素基を表し、Ar5乃至Ar12はそれぞれ独立に置換若しくは無置換の炭素数6乃至25の芳香族炭化水素基を表し、m1乃至m4、l1乃至l4はそれぞれ独立に0または1を表し、B2及びB3はそれぞれ独立に、水素、置換若しくは無置換の炭素数6乃至25の芳香族炭化水素基、または置換若しくは無置換の炭素数1乃至20の複素芳香族炭化水素基のいずれか一を表す。In General Formula (G1), A represents a heteroaromatic hydrocarbon group having 1 to 20 carbon atoms containing two or more substituted or unsubstituted nitrogen atoms, and Ar5 to Ar12 are each independently substituted or unsubstituted. Represents an aromatic hydrocarbon group having 6 to 25 carbon atoms, m1 to m4 and l1 to l4 each independently represents 0 or 1, and B2 and B3 each independently represent hydrogen, substituted or non-substituted It represents any one of a substituted aromatic hydrocarbon group having 6 to 25 carbon atoms or a substituted or unsubstituted heteroaromatic hydrocarbon group having 1 to 20 carbon atoms.
また、一般式(G1)で表される有機化合物を有する発光素子のEL層に関して、ポジティブモードでMS/MS分析を行った場合、構造式(100)に帰属されるフラグメントイオンが検出されると好ましい。構造式(100)に示す構造がイオン化したフラグメントイオンが検出される場合、一般式(G1)で表される有機化合物は、分子構造中にゆがみが少ない、分子として安定な構造であると言える。そのため、キャリア輸送性や信頼性に優れ、発光素子に好適な分子であると言える。In addition, when MS / MS analysis is performed in a positive mode on the EL layer of the light-emitting element having the organic compound represented by the general formula (G1), fragment ions belonging to the structural formula (100) are detected. preferable. When fragment ions in which the structure represented by the structural formula (100) is ionized are detected, it can be said that the organic compound represented by the general formula (G1) has a stable structure as a molecule with little distortion in the molecular structure. Therefore, it can be said that the molecule is excellent in carrier transportability and reliability and is suitable for a light-emitting element.
また、一般式(G0)で表される有機化合物が下記一般式(G2)または(G3)で表される有機化合物であると好ましい。一般式(G2)または(G3)で表される有機化合物は、一般式(G0)中のAがトリアジン環、ピリミジン環、イミダゾール環、トリアゾール環のいずれかである有機化合物を表す。このような複素環は、高いT1準位や高い電子輸送性を有し、また、電気化学的にも安定であるため、このような構造を有する有機化合物を発光素子に用いることで、高い発光効率、低い駆動電圧、良好な信頼性を有する発光素子を提供することができる。特にAが6員環であると電気化学的安定性が5員環よりも優れるため、好ましい。In addition, the organic compound represented by the general formula (G0) is preferably an organic compound represented by the following general formula (G2) or (G3). The organic compound represented by the general formula (G2) or (G3) represents an organic compound in which A in the general formula (G0) is any one of a triazine ring, a pyrimidine ring, an imidazole ring, and a triazole ring. Such a heterocyclic ring has a high T1 level, a high electron transporting property, and is electrochemically stable. Therefore, when an organic compound having such a structure is used for a light-emitting element, high light emission is achieved. A light-emitting element having efficiency, a low driving voltage, and good reliability can be provided. In particular, A is preferably a 6-membered ring because the electrochemical stability is superior to that of a 5-membered ring.
一般式(G2)及び(G3)において、Ar1乃至Ar12はそれぞれ独立に置換若しくは無置換の炭素数6乃至25の芳香族炭化水素基を表し、n1乃至n4、m1乃至m4、及びl1乃至l4はそれぞれ独立に0または1を表し、B1乃至B3はそれぞれ独立に、水素、置換若しくは無置換の炭素数6乃至25の芳香族炭化水素基、置換若しくは無置換の炭素数1乃至20の複素芳香族炭化水素基のいずれか一を表し、Qは炭素若しくは窒素を表す。なお、Qが炭素の場合、Qは置換基を有しても良い。また、Qが炭素であり、且つ置換基を有さない場合、QはCHを表す。In General Formulas (G2) and (G3), Ar1 to Ar12 each independently represent a substituted or unsubstituted aromatic hydrocarbon group having 6 to 25 carbon atoms, and n1 to n4 and m1 to m4 , And l1 to l4 each independently represents 0 or 1, and B1 to B3 each independently represent hydrogen, a substituted or unsubstituted aromatic hydrocarbon group having 6 to 25 carbon atoms, a substituted or
また、上述のように、一般式(G2)または(G3)に示す有機化合物に関して、ポジティブモードでMS/MS分析を行った際、一般式(g0)に示す構造がイオン化したフラグメントイオンが検出される場合、一般式(G2)または(G3)に示す有機化合物には分子構造中にゆがみが少ない、分子として安定な構造であると言える。そのため、キャリア輸送性や信頼性に優れ、発光素子に好適な分子であると言える。In addition, as described above, when an organic compound represented by the general formula (G2) or (G3) is subjected to MS / MS analysis in the positive mode, fragment ions in which the structure represented by the general formula (g0) is ionized are detected. The organic compound represented by the general formula (G2) or (G3) has a stable structure as a molecule with little distortion in the molecular structure. Therefore, it can be said that the molecule is excellent in carrier transportability and reliability and is suitable for a light-emitting element.
また、上述のように、一般式(G2)または(G3)に示す有機化合物に関して、ポジティブモードでMS/MS分析を行った際、一般式(g0)に示す構造がイオン化したフラグメントイオンと共に、一般式(g1)に示す構造がイオン化したフラグメントイオンのMSスペクトルが検出される場合、一般式(g0)に示す構造がイオン化したフラグメントイオンは観測されるが、一般式(g1)に示す構造がイオン化したフラグメントイオンが観測されない場合よりも、一般式(G2)または(G3)に示す有機化合物は分子構造にゆがみが少ない、分子として安定な構造であると言える。そのため、キャリア輸送性や信頼性に優れ、発光素子に好適な分子であると言える。In addition, as described above, when the MS / MS analysis was performed in the positive mode on the organic compound represented by the general formula (G2) or (G3), the structure represented by the general formula (g0) When an MS spectrum of a fragment ion in which the structure represented by the formula (g1) is ionized is detected, a fragment ion in which the structure represented by the general formula (g0) is ionized is observed, but the structure represented by the general formula (g1) is ionized. It can be said that the organic compound represented by the general formula (G2) or (G3) has a stable structure as a molecule with less distortion in the molecular structure than in the case where no fragment ions are observed. Therefore, it can be said that the molecule is excellent in carrier transportability and reliability and is suitable for a light-emitting element.
また、一般式(G0)で表される有機化合物が、下記一般式(G4)または(G5)のいずれかで表される有機化合物であると好ましい。一般式(G4)または(G5)で表される有機化合物は、一般式(G2)または(G3)中の窒素原子を2つまたは3つ含む複素6員環または複素5員環にフェニル基が一つ結合した構造を有している。フェニル基は電気化学的に安定であるため、信頼性に優れた有機化合物とすることができる。In addition, the organic compound represented by the general formula (G0) is preferably an organic compound represented by any one of the following general formulas (G4) and (G5). The organic compound represented by the general formula (G4) or (G5) has a phenyl group on a hetero 6-membered ring or a hetero 5-membered ring containing two or three nitrogen atoms in the general formula (G2) or (G3). It has a combined structure. Since the phenyl group is electrochemically stable, an organic compound having excellent reliability can be obtained.
一般式(G4)及び(G5)において、Ar5乃至Ar12はそれぞれ独立に置換若しくは無置換の炭素数6乃至25の芳香族炭化水素基を表し、m1乃至m4、l1乃至l4はそれぞれ独立に0または1を表し、B2及びB3はそれぞれ独立に、水素、置換若しくは無置換の炭素数6乃至25の芳香族炭化水素基、または置換若しくは無置換の炭素数1乃至20の複素芳香族炭化水素基のいずれか一を表し、Qは炭素若しくは窒素を表す。なお、Qが炭素の場合、Qは置換基を有しても良い。また、Qが炭素であり、且つ置換基を有さない場合、QはCHを表す。In General Formulas (G4) and (G5), Ar5 to Ar12 each independently represent a substituted or unsubstituted aromatic hydrocarbon group having 6 to 25 carbon atoms, m1 to m4 , l1 to l4. Each independently represents 0 or 1, and B2 and B3 each independently represent hydrogen, a substituted or unsubstituted aromatic hydrocarbon group having 6 to 25 carbon atoms, or a substituted or unsubstituted carbon atom having 1 to 20 carbon atoms. Any one of the above heteroaromatic hydrocarbon groups, and Q represents carbon or nitrogen. In addition, when Q is carbon, Q may have a substituent. When Q is carbon and has no substituent, Q represents CH.
また、一般式(G4)または(G5)で表される有機化合物を有する発光素子のEL層を適当な溶媒に溶解させ、MS/MS分析を行った場合、構造式(100)に示す構造がイオン化したフラグメントが検出されると好ましい。構造式(100)に示す構造がイオン化したフラグメントイオンが検出される場合、一般式(G3)で表される有機化合物は、分子中ゆがみが少ない、分子として安定な構造であると言える。そのため、キャリア輸送性や信頼性に優れ、発光素子に好適な分子であると言える。なお、構造式(100)に示す構造がイオン化したフラグメントイオンが検出される場合、m/z=104付近に検出される。When the EL layer of the light-emitting element having the organic compound represented by the general formula (G4) or (G5) is dissolved in a suitable solvent and subjected to MS / MS analysis, the structure represented by the structural formula (100) is Preferably, ionized fragments are detected. When fragment ions in which the structure represented by the structural formula (100) is ionized are detected, the organic compound represented by the general formula (G3) can be said to have a stable structure as a molecule with little distortion in the molecule. Therefore, it can be said that the molecule is excellent in carrier transportability and reliability and is suitable for a light-emitting element. In addition, when the fragment ion which the structure shown to Structural formula (100) ionized is detected, it detects in m / z = 104 vicinity.
また、一般式(G0)に示す有機化合物中を有する発光素子のEL層を適当な溶媒に溶解させ、MS/MS分析を行った場合、一般式(g0)に示す構造がイオン化したフラグメントに帰属される、フラグメントイオンスペクトルの強度が、同時に検出されるプレカーサーイオンスペクトルの強度と比較し、100倍以上の強度で検出されると好ましい。このような強度で検出されるフラグメントは、トリアジン環が開裂した際に見られる場合がある。言い換えると、検出されるプレカーサーイオンスペクトルの強度と比較し、100倍以上の強度でフラグメントイオンスペクトルが得られた場合、MS/MS分析を行った有機化合物中にはトリアジン環が含まれている場合がある。トリアジン環は上述のように、高いT1準位や高い電子輸送性を有し、また、電気化学的にも安定であるため、トリアジン環を有する有機化合物を発光素子に用いることで、高い発光効率、低い駆動電圧、良好な信頼性を有する発光素子を提供することができる。When the EL layer of the light-emitting element having the organic compound represented by the general formula (G0) is dissolved in an appropriate solvent and subjected to MS / MS analysis, the structure represented by the general formula (g0) is attributed to the ionized fragment. It is preferable that the intensity of the fragment ion spectrum detected is 100 times or more higher than the intensity of the precursor ion spectrum detected simultaneously. Fragments detected with such an intensity may be seen when the triazine ring is cleaved. In other words, when a fragment ion spectrum is obtained with an intensity of 100 times or more compared to the intensity of the detected precursor ion spectrum, the organic compound subjected to MS / MS analysis contains a triazine ring. There is. As described above, the triazine ring has a high T1 level, a high electron transport property, and is electrochemically stable. Therefore, by using an organic compound having a triazine ring for a light-emitting element, high emission efficiency can be obtained. Accordingly, a light-emitting element having a low driving voltage and good reliability can be provided.
また、一般式(G0)に示す有機化合物中の分子量は300以上1000以下であると好ましい。このような分子量とすることで、昇華性に優れた有機化合物とすることができるため、真空蒸着を用いた発光素子の作製に有用である。また、耐熱性にも優れた有機化合物とすることができる。The molecular weight of the organic compound represented by the general formula (G0) is preferably 300 to 1000. By setting it as such molecular weight, since it can be set as the organic compound excellent in sublimation property, it is useful for preparation of the light emitting element using vacuum evaporation. Moreover, it can be set as the organic compound excellent also in heat resistance.
また、一般式(G0)乃至(G5)中のB2及びB3の少なくともどちらか一方は、置換はまたは無置換のベンゾフラン骨格またはベンゾチオフェン骨格を有すると好ましい。上記構成にすることによって、該有機化合物は高いT1準位を有したまま、耐熱性を向上させることができる。In addition, it is preferable that at least one of B2 and B3 in the general formulas (G0) to (G5) has a substituted or unsubstituted benzofuran skeleton or benzothiophene skeleton. With the above structure, the organic compound can have improved heat resistance while having a high T1 level.
<発光素子のEL層に対してMS/MS分析を行う方法>
発光素子のEL層に対してMS/MS分析を行う方法を、図2(A)乃至(C)を用いて以下説明する。図2(A)乃至(C)では、所望の溶媒にEL層を溶出させMS/MS分析のサンプルを作製する方法について例示するが、MS/MS分析のサンプル作製方法は以下例示に限られない。<Method of performing MS / MS analysis on EL layer of light-emitting element>
A method for performing MS / MS analysis on the EL layer of the light-emitting element will be described below with reference to FIGS. 2A to 2C illustrate a method for preparing a sample for MS / MS analysis by eluting the EL layer in a desired solvent. However, the sample preparation method for MS / MS analysis is not limited to the following examples. .
図2(A)は、本発明の一態様の発光素子を示す断面模式図である。なお、図2において、図1に示す符号と同様の機能を有する箇所には、同様のハッチパタ−ンとし、符号を省略する場合がある。また、同様の機能を有する箇所には、同様の符号を付し、その詳細な説明は省略する場合がある。FIG. 2A is a schematic cross-sectional view illustrating a light-emitting element of one embodiment of the present invention. In FIG. 2, portions having the same functions as those shown in FIG. 1 may have the same hatch patterns and may be omitted. Moreover, the same code | symbol is attached | subjected to the location which has the same function, and the detailed description may be abbreviate | omitted.
図2(A)は、本発明の一態様の発光素子152の断面模式図である。FIG. 2A is a schematic cross-sectional view of the light-emitting
発光素子152は、一対の基板(基板200及び基板220)の間に、一対の電極(電極101及び電極102)を有し、該一対の電極間に設けられたEL層100を有する。EL層100は、少なくとも発光層130を有する。The light-emitting
なお、発光素子152における他の構成については、発光素子150の構成を参酌すればよい。Note that the structure of the light-emitting
この発光素子のEL層に関してMS/MS分析を行うためにはまず、図2(A)に示すように、発光素子152の基板を剥離する、あるいは封止を切断し、電極を含むEL層180を露出させる必要がある。図2(A)には陰極側の基板を剥離する例を示したが、EL層を露出させる方法はこれに限れられない。例えば、陽極側の基板を剥離しても良く、また、陰極側、陰極側どちらか一方の基板を切断しても良い。In order to perform an MS / MS analysis on the EL layer of this light-emitting element, first, as shown in FIG. 2A, the substrate of the light-emitting
次に、図2(B)に示すように容器300に、露出させた電極を含むEL層180を所望の溶媒310に入れ、撹拌することにより、EL層100に使用されている有機化合物を溶解し、MS/MS分析を行うサンプルを調整する。溶媒310としては、EL層100に使用されている有機化合物が溶解できる有機溶媒が好ましい。例えば、エタノール、メタノール、クロロホルム、ジクロロメタン、トルエン、アセトン、酢酸エチル、アセトニトリル等や、これらの混合溶媒を用いることができる。溶媒310はこれらに限られない。Next, as shown in FIG. 2B, the
上記調整した溶液中の固体をろ過やデカンテ−ション等により不要物と分離することで、EL層100に含まれる有機化合物を有する、サンプル320を調整(図2(C)参照)する。こうして得たサンプル320を、MS/MS分析を行うことで、EL層中の有機材料の情報を得ることができる。なお、溶液に溶解させることで、目的物の分離や精製が容易になるため、分析精度を向上させることができる。The
なお、上記ではEL層を溶解させた溶液状態でのサンプル調整を説明したが、サンプル調整方法はこれに限られない。例えばマトリックス支援レーザー脱離イオン化法(Matrix−Assisted Laser Desorption/Ionization:MALDI)でイオン化を行う場合は、発光素子152の封止を切断し、電極を含むEL層180を露出させるだけで測定を行うことができる。In addition, although the sample adjustment in the solution state which melt | dissolved EL layer was demonstrated above, the sample adjustment method is not restricted to this. For example, when ionization is performed by a matrix-assisted laser desorption ionization method (Matrix-Assisted Laser Desorption / Ionization: MALDI), measurement is performed by simply cutting off the sealing of the
ここで、MS/MS分析(タンデム質量分析)について説明する。MS/MS分析は測定対象である有機化合物をイオン化し、コリジョンセル内において、このイオン化させた有機化合物にエネルギーを加え開裂させ、二次的イオン(プロダクトイオン)を検出する分析手法である。なお、プロダクトイオンは対象である有機化合物が、1回若しくは複数回開裂して得られるイオンである。Here, MS / MS analysis (tandem mass spectrometry) will be described. MS / MS analysis is an analysis technique in which an organic compound to be measured is ionized, and energy is applied to the ionized organic compound in a collision cell for cleavage to detect secondary ions (product ions). The product ion is an ion obtained by cleaving the target organic compound once or multiple times.
イオン化させた有機化合物を開裂させる手法としては、例えば、衝突誘起解離(collision−induced dissociation:CID)やポストソースディケイ(Post−Source Decay:PSD)等が挙げられる。イオン化させた有機化合物を開裂させる手法はこれに限られない。また、衝突誘起解離には不活性ガスを好適に用いることができる。不活性ガスの例としては、窒素、ヘリウム、ネオン、アルゴン、クリプトン、キセノン等が挙げられる。Examples of the method for cleaving the ionized organic compound include collision-induced dissociation (CID) and post-source decay (PSD). The method of cleaving the ionized organic compound is not limited to this. An inert gas can be suitably used for collision-induced dissociation. Examples of the inert gas include nitrogen, helium, neon, argon, krypton, xenon and the like.
また、イオン化にはエレクトロスプレー法(Electrospray Ionization:ESI)や、電子イオン化法(Electron Ionization:EI)、化学イオン化法(Chemical Ionization:CI)、MALDI等が挙げられる。ただし、イオン法はこれに限られない。Examples of ionization include an electrospray method (ESI), an electron ionization method (EI), a chemical ionization method (CI), and MALDI. However, the ion method is not limited to this.
MS/MS分析は微量で測定でき、高感度であるとともに、混合物でも測定が可能であることから、発光素子におけるEL層中の有機化合物分析に適した方法である。また、フラグメントイオンは、測定対象の分子構造中において、相対的に結合エネルギーが低い結合部分の情報を有しているため、フラグメントイオンを解析することで、分子構造の解析を行うことができる。MS / MS analysis is a method suitable for analyzing an organic compound in an EL layer of a light-emitting element because it can be measured in a very small amount, has high sensitivity, and can be measured even in a mixture. Further, since the fragment ion has information on a binding portion having a relatively low binding energy in the molecular structure to be measured, the molecular structure can be analyzed by analyzing the fragment ion.
なお、MS/MS分析を行う装置によっては、有機化合物を開裂させるために使用する不活性ガスの加速電圧が異なる場合があり、また、その単位にNormalizad Collision Energy(NCE)という装置固有の値を用いる場合がある。この場合、各装置のNCEに相当する加速電圧を用いる(例えば、NCEをeV単位に変換する)ことで、異なる装置でも同様の結果を得ることができる。Depending on the MS / MS analysis device, the accelerating voltage of the inert gas used to cleave the organic compound may be different, and the unit has a value unique to the device called Normalized Collation Energy (NCE). May be used. In this case, by using an acceleration voltage corresponding to the NCE of each device (for example, converting NCE into eV units), similar results can be obtained even in different devices.
ここで、本発明者らは、特性が良好な発光素子のEL層に関してMS/MS分析を行った際、一般式(G1)に表されるようなC=N結合を有するフラグメントが観測された場合、測定対象となった有機化合物の分子中には少なくとも、下記一般式(G8)で表される、窒素−炭素−窒素の順で共役二重結合を有し、該共役二重結合中の炭素原子はアリール基を有する構造を、有することを見出した。このような、窒素−炭素−窒素の順で共役二重結合を有する骨格としては、ピリミジン骨格、トリアジン骨格、トリアゾール骨格、イミダゾール骨格が挙げられる。すなわち、一般式(g0)に表されるようなシアノ基を有するフラグメントが観測された場合、MS/MS分析の測定対象となった有機化合物は分子中にピリミジン骨格、トリアジン骨格、トリアゾール骨格、イミダゾール骨格のいずれか若しくは複数を含む場合がある。Here, when the MS / MS analysis was performed on the EL layer of the light-emitting element with favorable characteristics, the present inventors observed a fragment having a C═N bond represented by the general formula (G1). In this case, the organic compound molecule to be measured has at least a conjugated double bond in the order of nitrogen-carbon-nitrogen represented by the following general formula (G8). It has been found that the carbon atom has a structure having an aryl group. Examples of the skeleton having a conjugated double bond in the order of nitrogen-carbon-nitrogen include a pyrimidine skeleton, a triazine skeleton, a triazole skeleton, and an imidazole skeleton. That is, when a fragment having a cyano group as represented by the general formula (g0) is observed, an organic compound that is a measurement target of MS / MS analysis is a pyrimidine skeleton, a triazine skeleton, a triazole skeleton, an imidazole in the molecule. One or more of the skeletons may be included.
一般式(G8)中、Arは芳香族炭化水素基、複素芳香族化合物、またはその組み合わせを表す。該香族炭化水素基としては例えば、置換または無置換の炭素数6乃至25の芳香族炭化水素基、具体的には置換または無置換のフェニル基、ビフェニル基、ナフチル基、フルオレニル基が挙げられる。該複素芳香族化合物としては置換または無置換の炭素数1乃至25の複素芳香環化合物、具体的には、置換または無置換のピリジンニル基、ピリミジニル基、ピラジニル基、トリアジニル基、カルバゾリル基、ジベンゾフラニル基、ジベンゾチオフェニル基、ベンゾナフトフラニル基、ベンゾナフトチオフェニル基、ジベンゾキノキサリニル基、ジベンゾキナゾリニル基、イミダゾリル基、トリアゾリル基等が挙げられる。なお、Arは上記例示に限られない。In General Formula (G8), Ar represents an aromatic hydrocarbon group, a heteroaromatic compound, or a combination thereof. Examples of the aromatic hydrocarbon group include a substituted or unsubstituted aromatic hydrocarbon group having 6 to 25 carbon atoms, specifically, a substituted or unsubstituted phenyl group, biphenyl group, naphthyl group, and fluorenyl group. . Examples of the heteroaromatic compounds include substituted or unsubstituted heteroaromatic compounds having 1 to 25 carbon atoms, specifically, substituted or unsubstituted pyridinenyl groups, pyrimidinyl groups, pyrazinyl groups, triazinyl groups, carbazolyl groups, dibenzofurans. Nyl group, dibenzothiophenyl group, benzonaphthofuranyl group, benzonaphthothiophenyl group, dibenzoquinoxalinyl group, dibenzoquinazolinyl group, imidazolyl group, triazolyl group and the like. Ar is not limited to the above example.
<材料>
次に、本発明の一態様に係る発光素子の構成要素の詳細について、以下説明を行う。<Material>
Next, details of components of the light-emitting element according to one embodiment of the present invention are described below.
≪発光層≫
発光層130は少なくとも、ホスト材料131を有し、さらにゲスト材料132を有すると好ましい。また、ホスト材料131は有機化合物131_1及び有機化合物131_2を有していても良い。発光層130中では、ホスト材料131が重量比で最も多く存在し、ゲスト材料132は、ホスト材料131中に分散される。ゲスト材料132が蛍光性化合物の場合、発光層130のホスト材料131(有機化合物131_1及び有機化合物131_2)のS1準位は、発光層130のゲスト材料(ゲスト材料132)のS1準位よりも高いことが好ましい。また、ゲスト材料132が燐光性化合物の場合、発光層130のホスト材料131(有機化合物131_1及び有機化合物131_2)のT1準位は、発光層130のゲスト材料(ゲスト材料132)のT1準位よりも高いことが好ましい。≪Luminescent layer≫
The light-emitting
有機化合物131_1としては、窒素を二つ以上含む炭素数1乃至20の複素芳香族骨格を有すると好ましい。特に、ピリミジン骨格、及びトリアジン骨格を有する化合物であると好ましい。有機化合物131_1としては、正孔よりも電子の輸送性の高い材料(電子輸送性材料)を用いることができ、1×10−6cm2/Vs以上の電子移動度を有する材料であることが好ましい。The organic compound 131_1 preferably has a heteroaromatic skeleton having 1 to 20 carbon atoms containing two or more nitrogen atoms. In particular, a compound having a pyrimidine skeleton and a triazine skeleton is preferable. As the organic compound 131_1, a material having an electron transport property higher than that of holes (electron transport material) can be used, and the material has an electron mobility of 1 × 10−6 cm2 / Vs or higher. preferable.
具体的には、例えば、4,6−ビス[3−(フェナントレン−9−イル)フェニル]ピリミジン(略称:4,6mPnP2Pm)、4,6−ビス[3−(4−ジベンゾチエニル)フェニル]ピリミジン(略称:4,6mDBTP2Pm−II)、4,6−ビス[3−(9H−カルバゾール−9−イル)フェニル]ピリミジン(略称:4,6mCzP2Pm)などのジアジン骨格を有する複素環化合物や、2−{4−[3−(N−フェニル−9H−カルバゾール−3−イル)−9H−カルバゾール−9−イル]フェニル}−4,6−ジフェニル−1,3,5−トリアジン(略称:PCCzPTzn)、2−{3−[3−(ベンゾ「b」ナフト[1,2−d]フラン−8−イル)フェニル]フェニル}−4,6−ジフェニル−1,3,5−トリアジン(略称:mBnfBPTzn)、2,4,6−トリス(ビフェニル−3−イル)−1,3,5−トリアジン(略称:T2T)、2,4,6−トリス[3’−(ピリジン−3−イル)−ビフェニル−3−イル]−1,3,5−トリアジン(略称:TmPPPyTz)、1−(4−(9H−カルバゾール−9−イル)−フェニル−1−イル)−2,4−ビフェニル−1,2,4−1H−トリアゾール(略称:CzTAZ(1H))などのトリアジン骨格、ピリミジン骨格、トリアゾール骨格を有する複素環化合物は、安定で信頼性が良好であり好ましい。また、当該骨格を有する複素環化合物は、電子輸送性が高く、駆動電圧低減にも寄与する。ここに述べた物質は、主に1×10−6cm2/Vs以上の電子移動度を有する物質である。なお、正孔よりも電子の輸送性の高い物質であれば、上記以外の物質を用いても構わない。Specifically, for example, 4,6-bis [3- (phenanthrene-9-yl) phenyl] pyrimidine (abbreviation: 4,6mPnP2Pm), 4,6-bis [3- (4-dibenzothienyl) phenyl] pyrimidine A heterocyclic compound having a diazine skeleton such as (abbreviation: 4,6mDBTP2Pm-II), 4,6-bis [3- (9H-carbazol-9-yl) phenyl] pyrimidine (abbreviation: 4,6mCzP2Pm); {4- [3- (N-phenyl-9H-carbazol-3-yl) -9H-carbazol-9-yl] phenyl} -4,6-diphenyl-1,3,5-triazine (abbreviation: PCCzPTzn), 2- {3- [3- (benzo [b] naphtho [1,2-d] furan-8-yl) phenyl] phenyl} -4,6-diphenyl-1,3,5-tria (Abbreviation: mBnfBPTzn), 2,4,6-tris (biphenyl-3-yl) -1,3,5-triazine (abbreviation: T2T), 2,4,6-tris [3 ′-(pyridine-3 -Yl) -biphenyl-3-yl] -1,3,5-triazine (abbreviation: TmPPPyTz), 1- (4- (9H-carbazol-9-yl) -phenyl-1-yl) -2,4- A heterocyclic compound having a triazine skeleton, a pyrimidine skeleton, or a triazole skeleton such as biphenyl-1,2,4-1H-triazole (abbreviation: CzTAZ (1H)) is preferable because it is stable and reliable. In addition, the heterocyclic compound having the skeleton has a high electron transporting property and contributes to a reduction in driving voltage. The substances mentioned here are mainly substances having an electron mobility of 1 × 10−6 cm2 / Vs or higher. Note that other than the above substances, any substance that has a property of transporting more electrons than holes may be used.
また、有機化合物131_1としては、ピリジン誘導体やピラジン誘導体、ピリダジン誘導体、ビピリジン誘導体、キノキサリン誘導体、ジベンゾキノキサリン誘導体、フェナントロリン誘導体、プリン誘導体などの化合物も用いることができる。このような有機化合物が1×10−6cm2/Vs以上の電子移動度を有する材料であることが好ましい。As the organic compound 131_1, compounds such as a pyridine derivative, a pyrazine derivative, a pyridazine derivative, a bipyridine derivative, a quinoxaline derivative, a dibenzoquinoxaline derivative, a phenanthroline derivative, and a purine derivative can also be used. Such an organic compound is preferably a material having an electron mobility of 1 × 10−6 cm2 / Vs or higher.
具体的には、例えば、バソフェナントロリン(略称:BPhen)、バソキュプロイン(略称:BCP)などのピリジン骨格を有する複素環化合物や、2−[3−(ジベンゾチオフェン−4−イル)フェニル]ジベンゾ[f,h]キノキサリン(略称:2mDBTPDBq−II)、2−[3’−(ジベンゾチオフェン−4−イル)ビフェニル−3−イル]ジベンゾ[f,h]キノキサリン(略称:2mDBTBPDBq−II)、2−[3’−(9H−カルバゾール−9−イル)ビフェニル−3−イル]ジベンゾ[f,h]キノキサリン(略称:2mCzBPDBq)、2−[4−(3,6−ジフェニル−9H−カルバゾール−9−イル)フェニル]ジベンゾ[f,h]キノキサリン(略称:2CzPDBq−III)、7−[3−(ジベンゾチオフェン−4−イル)フェニル]ジベンゾ[f,h]キノキサリン(略称:7mDBTPDBq−II)、及び、6−[3−(ジベンゾチオフェン−4−イル)フェニル]ジベンゾ[f,h]キノキサリン(略称:6mDBTPDBq−II)、2−[3−(3,9’−ビ−9H−カルバゾール−9−イル)フェニル]ジベンゾ[f,h]キノキサリン(略称:2mCzCzPDBq)、などのピラジン骨格を有する複素芳香環化合物や3,5−ビス[3−(9H−カルバゾール−9−イル)フェニル]ピリジン(略称:35DCzPPy)、1,3,5−トリ[3−(3−ピリジル)フェニル]ベンゼン(略称:TmPyPB)などのピリジン骨格を有する複素環化合物も用いることができる。また、ポリ(2,5−ピリジンジイル)(略称:PPy)、ポリ[(9,9−ジヘキシルフルオレン−2,7−ジイル)−co−(ピリジン−3,5−ジイル)](略称:PF−Py)、ポリ[(9,9−ジオクチルフルオレン−2,7−ジイル)−co−(2,2’−ビピリジン−6,6’−ジイル)](略称:PF−BPy)のような高分子化合物を用いることもできる。なお、正孔よりも電子の輸送性の高い物質であれば、上記以外の物質を用いても構わない。Specifically, for example, heterocyclic compounds having a pyridine skeleton such as bathophenanthroline (abbreviation: BPhen), bathocuproin (abbreviation: BCP), and 2- [3- (dibenzothiophen-4-yl) phenyl] dibenzo [f , H] quinoxaline (abbreviation: 2mDBTPDBq-II), 2- [3 ′-(dibenzothiophen-4-yl) biphenyl-3-yl] dibenzo [f, h] quinoxaline (abbreviation: 2mDBTPBPDBq-II), 2- [ 3 ′-(9H-carbazol-9-yl) biphenyl-3-yl] dibenzo [f, h] quinoxaline (abbreviation: 2mCzBPDBq), 2- [4- (3,6-diphenyl-9H-carbazol-9-yl) ) Phenyl] dibenzo [f, h] quinoxaline (abbreviation: 2CzPDBq-III), 7- [3- (dibe Zothiophen-4-yl) phenyl] dibenzo [f, h] quinoxaline (abbreviation: 7mDBTPDBq-II) and 6- [3- (dibenzothiophen-4-yl) phenyl] dibenzo [f, h] quinoxaline (abbreviation: 6mDBTPDBq-II), 2- [3- (3,9′-bi-9H-carbazol-9-yl) phenyl] dibenzo [f, h] quinoxaline (abbreviation: 2mCzCzPDBq) and other heteroaromatic rings having a pyrazine skeleton Compounds, 3,5-bis [3- (9H-carbazol-9-yl) phenyl] pyridine (abbreviation: 35DCzPPy), 1,3,5-tri [3- (3-pyridyl) phenyl] benzene (abbreviation: TmPyPB) A heterocyclic compound having a pyridine skeleton such as) can also be used. In addition, poly (2,5-pyridinediyl) (abbreviation: PPy), poly [(9,9-dihexylfluorene-2,7-diyl) -co- (pyridine-3,5-diyl)] (abbreviation: PF -Py), poly [(9,9-dioctylfluorene-2,7-diyl) -co- (2,2′-bipyridine-6,6′-diyl)] (abbreviation: PF-BPy) Molecular compounds can also be used. Note that other than the above substances, any substance that has a property of transporting more electrons than holes may be used.
有機化合物131_2としては、窒素を二つ以上含む炭素数1乃至20の複素芳香族骨格を有すると好ましい。特に含窒素複素五員環骨格が好ましい。例えば、イミダゾール骨格、トリアゾール骨格、及びテトラゾール骨格が挙げられる。また、有機化合物131_2としては、電子よりも正孔の輸送性の高い材料(正孔輸送性材料)を用いることができ、1×10−6cm2/Vs以上の正孔移動度を有する材料であることが好ましい。また、該正孔輸送性材料は高分子化合物であっても良い。The organic compound 131_2 preferably has a C 1-20 heteroaromatic skeleton containing two or more nitrogen atoms. A nitrogen-containing hetero five-membered ring skeleton is particularly preferable. Examples thereof include an imidazole skeleton, a triazole skeleton, and a tetrazole skeleton. As the organic compound 131_2, a material having a property of transporting more holes than electrons (a hole transporting material) can be used, and a material having a hole mobility of 1 × 10−6 cm2 / Vs or more. It is preferable that The hole transporting material may be a polymer compound.
具体的には、例えば、3−(4−ビフェニリル)−4−フェニル−5−(4−tert−ブチルフェニル)−1,2,4−トリアゾール(略称:TAZ)、9−[4−(4,5−ジフェニル−4H−1,2,4−トリアゾール−3−イル)フェニル]−9H−カルバゾール(略称:CzTAZ1)、2,2’,2’’−(1,3,5−ベンゼントリイル)トリス(1−フェニル−1H−ベンゾイミダゾール)(略称:TPBI)、2−[3−(ジベンゾチオフェン−4−イル)フェニル]−1−フェニル−1H−ベンゾイミダゾール(略称:mDBTBIm−II)等を用いることができる。Specifically, for example, 3- (4-biphenylyl) -4-phenyl-5- (4-tert-butylphenyl) -1,2,4-triazole (abbreviation: TAZ), 9- [4- (4 , 5-Diphenyl-4H-1,2,4-triazol-3-yl) phenyl] -9H-carbazole (abbreviation: CzTAZ1), 2,2 ′, 2 ″-(1,3,5-benzenetriyl ) Tris (1-phenyl-1H-benzimidazole) (abbreviation: TPBI), 2- [3- (dibenzothiophen-4-yl) phenyl] -1-phenyl-1H-benzimidazole (abbreviation: mDBTBIm-II), etc. Can be used.
有機化合物131_2としては、その他の含窒素五員複素環骨格または3級アミン骨格を有する化合物も好適に用いることができる。具体的には、ピロール骨格または芳香族アミン骨格が挙げられる。例えば、インドール誘導体、カルバゾール誘導体、トリアリールアミン誘導体などが挙げられる。また、有機化合物131_2としては、電子よりも正孔の輸送性の高い材料(正孔輸送性材料)を用いることができ、1×10−6cm2/Vs以上の正孔移動度を有する材料であることが好ましい。また、該正孔輸送性材料は高分子化合物であっても良い。As the organic compound 131_2, other compounds having a nitrogen-containing five-membered heterocyclic skeleton or a tertiary amine skeleton can also be preferably used. Specific examples include a pyrrole skeleton or an aromatic amine skeleton. For example, indole derivatives, carbazole derivatives, triarylamine derivatives, and the like can be given. As the organic compound 131_2, a material having a property of transporting more holes than electrons (a hole transporting material) can be used, and a material having a hole mobility of 1 × 10−6 cm2 / Vs or more. It is preferable that The hole transporting material may be a polymer compound.
これら正孔輸送性の高い材料として、具体的には、芳香族アミン化合物としては、N,N’−ジ(p−トリル)−N,N’−ジフェニル−p−フェニレンジアミン(略称:DTDPPA)、4,4’−ビス[N−(4−ジフェニルアミノフェニル)−N−フェニルアミノ]ビフェニル(略称:DPAB)、N,N’−ビス{4−[ビス(3−メチルフェニル)アミノ]フェニル}−N,N’−ジフェニル−(1,1’−ビフェニル)−4,4’−ジアミン(略称:DNTPD)、1,3,5−トリス[N−(4−ジフェニルアミノフェニル)−N−フェニルアミノ]ベンゼン(略称:DPA3B)等を挙げることができる。As these materials having a high hole transporting property, specifically, as an aromatic amine compound, N, N′-di (p-tolyl) -N, N′-diphenyl-p-phenylenediamine (abbreviation: DTDPPA) 4,4′-bis [N- (4-diphenylaminophenyl) -N-phenylamino] biphenyl (abbreviation: DPAB), N, N′-bis {4- [bis (3-methylphenyl) amino] phenyl } -N, N′-diphenyl- (1,1′-biphenyl) -4,4′-diamine (abbreviation: DNTPD), 1,3,5-tris [N- (4-diphenylaminophenyl) -N— Phenylamino] benzene (abbreviation: DPA3B) and the like.
また、カルバゾール誘導体としては、具体的には、3−[N−(4−ジフェニルアミノフェニル)−N−フェニルアミノ]−9−フェニルカルバゾール(略称:PCzDPA1)、3,6−ビス[N−(4−ジフェニルアミノフェニル)−N−フェニルアミノ]−9−フェニルカルバゾール(略称:PCzDPA2)、3,6−ビス[N−(4−ジフェニルアミノフェニル)−N−(1−ナフチル)アミノ]−9−フェニルカルバゾール(略称:PCzTPN2)、3−[N−(9−フェニルカルバゾール−3−イル)−N−フェニルアミノ]−9−フェニルカルバゾール(略称:PCzPCA1)、3,6−ビス[N−(9−フェニルカルバゾール−3−イル)−N−フェニルアミノ]−9−フェニルカルバゾール(略称:PCzPCA2)、3−[N−(1−ナフチル)−N−(9−フェニルカルバゾール−3−イル)アミノ]−9−フェニルカルバゾール(略称:PCzPCN1)等を挙げることができる。As the carbazole derivative, specifically, 3- [N- (4-diphenylaminophenyl) -N-phenylamino] -9-phenylcarbazole (abbreviation: PCzDPA1), 3,6-bis [N- ( 4-diphenylaminophenyl) -N-phenylamino] -9-phenylcarbazole (abbreviation: PCzDPA2), 3,6-bis [N- (4-diphenylaminophenyl) -N- (1-naphthyl) amino] -9 -Phenylcarbazole (abbreviation: PCzTPN2), 3- [N- (9-phenylcarbazol-3-yl) -N-phenylamino] -9-phenylcarbazole (abbreviation: PCzPCA1), 3,6-bis [N- ( 9-phenylcarbazol-3-yl) -N-phenylamino] -9-phenylcarbazole (abbreviation: PCzPCA) ), 3- [N- (1- naphthyl)-N-(9-phenyl-3-yl) amino] -9-phenylcarbazole (abbreviation: PCzPCN1), and the like.
また、カルバゾール誘導体としては、他に、4,4’−ジ(N−カルバゾリル)ビフェニル(略称:CBP)、1,3,5−トリス[4−(N−カルバゾリル)フェニル]ベンゼン(略称:TCPB)、9−[4−(10−フェニル−9−アントリル)フェニル]−9H−カルバゾール(略称:CzPA)、1,4−ビス[4−(N−カルバゾリル)フェニル]−2,3,5,6−テトラフェニルベンゼン等を用いることができる。As other carbazole derivatives, 4,4′-di (N-carbazolyl) biphenyl (abbreviation: CBP), 1,3,5-tris [4- (N-carbazolyl) phenyl] benzene (abbreviation: TCPB) ), 9- [4- (10-phenyl-9-anthryl) phenyl] -9H-carbazole (abbreviation: CzPA), 1,4-bis [4- (N-carbazolyl) phenyl] -2,3,5, 6-tetraphenylbenzene or the like can be used.
また、N,N−ジフェニル−9−[4−(10−フェニル−9−アントリル)フェニル]−9H−カルバゾール−3−アミン(略称:CzA1PA)、4−(10−フェニル−9−アントリル)トリフェニルアミン(略称:DPhPA)、4−(9H−カルバゾール−9−イル)−4’−(10−フェニル−9−アントリル)トリフェニルアミン(略称:YGAPA)、N,9−ジフェニル−N−[4−(10−フェニル−9−アントリル)フェニル]−9H−カルバゾール−3−アミン(略称:PCAPA)、N,9−ジフェニル−N−{4−[4−(10−フェニル−9−アントリル)フェニル]フェニル}−9H−カルバゾール−3−アミン(略称:PCAPBA)、N,9−ジフェニル−N−(9,10−ジフェニル−2−アントリル)−9H−カルバゾール−3−アミン(略称:2PCAPA)、9−フェニル−3−[4−(10−フェニル−9−アントリル)フェニル]−9H−カルバゾール(略称:PCzPA)、3,6−ジフェニル−9−[4−(10−フェニル−9−アントリル)フェニル]−9H−カルバゾール(略称:DPCzPA)、N,N,N’,N’,N’’,N’’,N’’’,N’’’−オクタフェニルジベンゾ[g,p]クリセン−2,7,10,15−テトラアミン(略称:DBC1)等を用いることができる。N, N-diphenyl-9- [4- (10-phenyl-9-anthryl) phenyl] -9H-carbazol-3-amine (abbreviation: CzA1PA), 4- (10-phenyl-9-anthryl) tri Phenylamine (abbreviation: DPhPA), 4- (9H-carbazol-9-yl) -4 '-(10-phenyl-9-anthryl) triphenylamine (abbreviation: YGAPA), N, 9-diphenyl-N- [ 4- (10-phenyl-9-anthryl) phenyl] -9H-carbazol-3-amine (abbreviation: PCAPA), N, 9-diphenyl-N- {4- [4- (10-phenyl-9-anthryl) Phenyl] phenyl} -9H-carbazol-3-amine (abbreviation: PCAPBA), N, 9-diphenyl-N- (9,10-diphenyl-2-ant ) -9H-carbazol-3-amine (abbreviation: 2PCAPA), 9-phenyl-3- [4- (10-phenyl-9-anthryl) phenyl] -9H-carbazole (abbreviation: PCzPA), 3,6- Diphenyl-9- [4- (10-phenyl-9-anthryl) phenyl] -9H-carbazole (abbreviation: DPCzPA), N, N, N ′, N ′, N ″, N ″, N ′ ″ , N ′ ″-octaphenyldibenzo [g, p] chrysene-2,7,10,15-tetraamine (abbreviation: DBC1) and the like can be used.
また、ポリ(N−ビニルカルバゾール)(略称:PVK)やポリ(4−ビニルトリフェニルアミン)(略称:PVTPA)、ポリ[N−(4−{N’−[4−(4−ジフェニルアミノ)フェニル]フェニル−N’−フェニルアミノ}フェニル)メタクリルアミド](略称:PTPDMA)、ポリ[N,N’−ビス(4−ブチルフェニル)−N,N’−ビス(フェニル)ベンジジン](略称:Poly−TPD)等の高分子化合物を用いることもできる。In addition, poly (N-vinylcarbazole) (abbreviation: PVK), poly (4-vinyltriphenylamine) (abbreviation: PVTPA), poly [N- (4- {N ′-[4- (4-diphenylamino)] Phenyl] phenyl-N′-phenylamino} phenyl) methacrylamide] (abbreviation: PTPDMA), poly [N, N′-bis (4-butylphenyl) -N, N′-bis (phenyl) benzidine] (abbreviation: Polymer compounds such as Poly-TPD can also be used.
さらに、正孔輸送性の高い材料としては、例えば、4,4’−ビス[N−(1−ナフチル)−N−フェニルアミノ]ビフェニル(略称:NPBまたはα−NPD)やN,N’−ビス(3−メチルフェニル)−N,N’−ジフェニル−[1,1’−ビフェニル]−4,4’−ジアミン(略称:TPD)、4,4’,4’’−トリス(カルバゾール−9−イル)トリフェニルアミン(略称:TCTA)、4,4’,4’’−トリス[N−(1−ナフチル)−N−フェニルアミノ]トリフェニルアミン(略称:1’−TNATA)、4,4’,4’’−トリス(N,N−ジフェニルアミノ)トリフェニルアミン(略称:TDATA)、4,4’,4’’−トリス[N−(3−メチルフェニル)−N−フェニルアミノ]トリフェニルアミン(略称:MTDATA)、4,4’−ビス[N−(スピロ−9,9’−ビフルオレン−2−イル)−N−フェニルアミノ]ビフェニル(略称:BSPB)、4−フェニル−4’−(9−フェニルフルオレン−9−イル)トリフェニルアミン(略称:BPAFLP)、4−フェニル−3’−(9−フェニルフルオレン−9−イル)トリフェニルアミン(略称:mBPAFLP)、N−(9,9−ジメチル−9H−フルオレン−2−イル)−N−{9,9−ジメチル−2−[N’−フェニル−N’−(9,9−ジメチル−9H−フルオレン−2−イル)アミノ]−9H−フルオレン−7−イル}フェニルアミン(略称:DFLADFL)、N−(9,9−ジメチル−2−ジフェニルアミノ−9H−フルオレン−7−イル)ジフェニルアミン(略称:DPNF)、2−[N−(4−ジフェニルアミノフェニル)−N−フェニルアミノ]スピロ−9,9’−ビフルオレン(略称:DPASF)、4−フェニル−4’−(9−フェニル−9H−カルバゾール−3−イル)トリフェニルアミン(略称:PCBA1BP)、4,4’−ジフェニル−4’’−(9−フェニル−9H−カルバゾール−3−イル)トリフェニルアミン(略称:PCBBi1BP)、4−(1−ナフチル)−4’−(9−フェニル−9H−カルバゾール−3−イル)トリフェニルアミン(略称:PCBANB)、4,4’−ジ(1−ナフチル)−4’’−(9−フェニル−9H−カルバゾール−3−イル)トリフェニルアミン(略称:PCBNBB)、4−フェニルジフェニル−(9−フェニル−9H−カルバゾール−3−イル)アミン(略称:PCA1BP)、N,N’−ビス(9−フェニルカルバゾール−3−イル)−N,N’−ジフェニルベンゼン−1,3−ジアミン(略称:PCA2B)、N,N’,N’’−トリフェニル−N,N’,N’’−トリス(9−フェニルカルバゾール−3−イル)ベンゼン−1,3,5−トリアミン(略称:PCA3B)、N−(4−ビフェニル)−N−(9,9−ジメチル−9H−フルオレン−2−イル)−9−フェニル−9H−カルバゾール−3−アミン(略称:PCBiF)、N−(1,1’−ビフェニル−4−イル)−N−[4−(9−フェニル−9H−カルバゾール−3−イル)フェニル]−9,9−ジメチル−9H−フルオレン−2−アミン(略称:PCBBiF)、9,9−ジメチル−N−フェニル−N−[4−(9−フェニル−9H−カルバゾール−3−イル)フェニル]フルオレン−2−アミン(略称:PCBAF)、N−フェニル−N−[4−(9−フェニル−9H−カルバゾール−3−イル)フェニル]スピロ−9,9’−ビフルオレン−2−アミン(略称:PCBASF)、2−[N−(9−フェニルカルバゾール−3−イル)−N−フェニルアミノ]スピロ−9,9’−ビフルオレン(略称:PCASF)、2,7−ビス[N−(4−ジフェニルアミノフェニル)−N−フェニルアミノ]スピロ−9,9’−ビフルオレン(略称:DPA2SF)、N−[4−(9H−カルバゾール−9−イル)フェニル]−N−(4−フェニル)フェニルアニリン(略称:YGA1BP)、N,N’−ビス[4−(カルバゾール−9−イル)フェニル]−N,N’−ジフェニル−9,9−ジメチルフルオレン−2,7−ジアミン(略称:YGA2F)などの芳香族アミン化合物等を用いることができる。また、3−[4−(1−ナフチル)−フェニル]−9−フェニル−9H−カルバゾール(略称:PCPN)、3−[4−(9−フェナントリル)−フェニル]−9−フェニル−9H−カルバゾール(略称:PCPPn)、3,3’−ビス(9−フェニル−9H−カルバゾール)(略称:PCCP)、1,3−ビス(N−カルバゾリル)ベンゼン(略称:mCP)、3,6−ビス(3,5−ジフェニルフェニル)−9−フェニルカルバゾール(略称:CzTP)、3,6−ジ(9H−カルバゾール−9−イル)−9−フェニル−9H−カルバゾール(略称:PhCzGI)、2,8−ジ(9H−カルバゾール−9−イル)−ジベンゾチオフェン(略称:Cz2DBT)等のアミン化合物、カルバゾール化合物等を用いることができる。上述した化合物の中でも、ピロール骨格、芳香族アミン骨格を有する化合物は、安定で信頼性が良好であり好ましい。また、当該骨格を有する化合物は、正孔輸送性が高く、駆動電圧低減にも寄与する。Further, as a material having a high hole transporting property, for example, 4,4′-bis [N- (1-naphthyl) -N-phenylamino] biphenyl (abbreviation: NPB or α-NPD), N, N′— Bis (3-methylphenyl) -N, N′-diphenyl- [1,1′-biphenyl] -4,4′-diamine (abbreviation: TPD), 4,4 ′, 4 ″ -tris (carbazole-9) -Yl) triphenylamine (abbreviation: TCTA), 4,4 ′, 4 ″ -tris [N- (1-naphthyl) -N-phenylamino] triphenylamine (abbreviation: 1′-TNATA), 4, 4 ′, 4 ″ -tris (N, N-diphenylamino) triphenylamine (abbreviation: TDATA), 4,4 ′, 4 ″ -tris [N- (3-methylphenyl) -N-phenylamino] Triphenylamine (abbreviation: TDATA), 4,4′-bis [N- (spiro-9,9′-bifluoren-2-yl) -N-phenylamino] biphenyl (abbreviation: BSPB), 4-phenyl-4 ′-(9-phenyl) Fluoren-9-yl) triphenylamine (abbreviation: BPAFLP), 4-phenyl-3 ′-(9-phenylfluoren-9-yl) triphenylamine (abbreviation: mBPAFLP), N- (9,9-dimethyl- 9H-Fluoren-2-yl) -N- {9,9-dimethyl-2- [N′-phenyl-N ′-(9,9-dimethyl-9H-fluoren-2-yl) amino] -9H-fluorene -7-yl} phenylamine (abbreviation: DFLADFL), N- (9,9-dimethyl-2-diphenylamino-9H-fluoren-7-yl) diphenylamine (abbreviation: DPNF) ), 2- [N- (4-diphenylaminophenyl) -N-phenylamino] spiro-9,9′-bifluorene (abbreviation: DPASF), 4-phenyl-4 ′-(9-phenyl-9H-carbazole-) 3-yl) triphenylamine (abbreviation: PCBA1BP), 4,4′-diphenyl-4 ″-(9-phenyl-9H-carbazol-3-yl) triphenylamine (abbreviation: PCBBi1BP), 4- (1 -Naphthyl) -4 '-(9-phenyl-9H-carbazol-3-yl) triphenylamine (abbreviation: PCBBANB), 4,4'-di (1-naphthyl) -4' '-(9-phenyl- 9H-carbazol-3-yl) triphenylamine (abbreviation: PCBNBB), 4-phenyldiphenyl- (9-phenyl-9H-carbazol-3-yl) a (Abbreviation: PCA1BP), N, N′-bis (9-phenylcarbazol-3-yl) -N, N′-diphenylbenzene-1,3-diamine (abbreviation: PCA2B), N, N ′, N ′ '-Triphenyl-N, N', N ''-tris (9-phenylcarbazol-3-yl) benzene-1,3,5-triamine (abbreviation: PCA3B), N- (4-biphenyl) -N- (9,9-dimethyl-9H-fluoren-2-yl) -9-phenyl-9H-carbazol-3-amine (abbreviation: PCBiF), N- (1,1′-biphenyl-4-yl) -N— [4- (9-phenyl-9H-carbazol-3-yl) phenyl] -9,9-dimethyl-9H-fluoren-2-amine (abbreviation: PCBBiF), 9,9-dimethyl-N-phenyl-N- [4- (9 Phenyl-9H-carbazol-3-yl) phenyl] fluoren-2-amine (abbreviation: PCBAF), N-phenyl-N- [4- (9-phenyl-9H-carbazol-3-yl) phenyl] spiro-9 , 9′-bifluoren-2-amine (abbreviation: PCBASF), 2- [N- (9-phenylcarbazol-3-yl) -N-phenylamino] spiro-9,9′-bifluorene (abbreviation: PCASF), 2,7-bis [N- (4-diphenylaminophenyl) -N-phenylamino] spiro-9,9′-bifluorene (abbreviation: DPA2SF), N- [4- (9H-carbazol-9-yl) phenyl ] -N- (4-phenyl) phenylaniline (abbreviation: YGA1BP), N, N′-bis [4- (carbazol-9-yl) phenyl] -N, N An aromatic amine compound such as' -diphenyl-9,9-dimethylfluorene-2,7-diamine (abbreviation: YGA2F) can be used. 3- [4- (1-naphthyl) -phenyl] -9-phenyl-9H-carbazole (abbreviation: PCPN), 3- [4- (9-phenanthryl) -phenyl] -9-phenyl-9H-carbazole (Abbreviation: PCPPn), 3,3′-bis (9-phenyl-9H-carbazole) (abbreviation: PCCP), 1,3-bis (N-carbazolyl) benzene (abbreviation: mCP), 3,6-bis ( 3,5-diphenylphenyl) -9-phenylcarbazole (abbreviation: CzTP), 3,6-di (9H-carbazol-9-yl) -9-phenyl-9H-carbazole (abbreviation: PhCzGI), 2,8- An amine compound such as di (9H-carbazol-9-yl) -dibenzothiophene (abbreviation: Cz2DBT), a carbazole compound, or the like can be used. Among the compounds described above, a compound having a pyrrole skeleton or an aromatic amine skeleton is preferable because it is stable and reliable. In addition, the compound having the skeleton has a high hole transport property and contributes to a reduction in driving voltage.
また、発光層130において、ゲスト材料132としては、特に限定はないが、蛍光性化合物としては、アントラセン誘導体、テトラセン誘導体、クリセン誘導体、フェナントレン誘導体、ピレン誘導体、ペリレン誘導体、スチルベン誘導体、アクリドン誘導体、クマリン誘導体、フェノキサジン誘導体、フェノチアジン誘導体などが好ましく、例えば以下の物質を用いることができる。In the light-emitting
具体的には、5,6−ビス[4−(10−フェニル−9−アントリル)フェニル]−2,2’−ビピリジン(略称:PAP2BPy)、5,6−ビス[4’−(10−フェニル−9−アントリル)ビフェニル−4−イル]−2,2’−ビピリジン(略称:PAPP2BPy)、N,N’−ジフェニル−N,N’−ビス[4−(9−フェニル−9H−フルオレン−9−イル)フェニル]ピレン−1,6−ジアミン(略称:1,6FLPAPrn)、N,N’−ビス(3−メチルフェニル)−N,N’−ビス[3−(9−フェニル−9H−フルオレン−9−イル)フェニル]ピレン−1,6−ジアミン(略称:1,6mMemFLPAPrn)、N,N’−ビス[4−(9−フェニル−9H−フルオレン−9−イル)フェニル]−N,N’−ビス(4−tert−ブチルフェニル)−ピレン−1,6−ジアミン(略称:1,6tBu−FLPAPrn)、N,N’−ビス[4−(9−フェニル−9H−フルオレン−9−イル)フェニル]−N,N’−ジフェニル−3,8−ジシクロヘキシルピレン−1,6−ジアミン(略称:ch−1,6FLPAPrn)、N,N’−ビス[4−(9H−カルバゾール−9−イル)フェニル]−N,N’−ジフェニルスチルベン−4,4’−ジアミン(略称:YGA2S)、4−(9H−カルバゾール−9−イル)−4’−(10−フェニル−9−アントリル)トリフェニルアミン(略称:YGAPA)、4−(9H−カルバゾール−9−イル)−4’−(9,10−ジフェニル−2−アントリル)トリフェニルアミン(略称:2YGAPPA)、N,9−ジフェニル−N−[4−(10−フェニル−9−アントリル)フェニル]−9H−カルバゾール−3−アミン(略称:PCAPA)、ペリレン、2,5,8,11−テトラ(tert−ブチル)ペリレン(略称:TBP)、4−(10−フェニル−9−アントリル)−4’−(9−フェニル−9H−カルバゾール−3−イル)トリフェニルアミン(略称:PCBAPA)、N−N’’−(2−tert−ブチルアントラセン−9,10−ジイルジ−4,1−フェニレン)ビス[N,N’,N’−トリフェニル−1,4−フェニレンジアミン](略称:DPABPA)、N,9−ジフェニル−N−[4−(9,10−ジフェニル−2−アントリル)フェニル]−9H−カルバゾール−3−アミン(略称:2PCAPPA)、N−[4−(9,10−ジフェニル−2−アントリル)フェニル]−N,N’,N’−トリフェニル−1,4−フェニレンジアミン(略称:2DPAPPA)、N,N,N’,N’,N’’,N’’,N’’’,N’’’−オクタフェニルジベンゾ[g,p]クリセン−2,7,10,15−テトラアミン(略称:DBC1)、クマリン30、N−(9,10−ジフェニル−2−アントリル)−N,9−ジフェニル−9H−カルバゾール−3−アミン(略称:2PCAPA)、N−[9,10−ビス(1,1’−ビフェニル−2−イル)−2−アントリル]−N,9−ジフェニル−9H−カルバゾール−3−アミン(略称:2PCABPhA)、N−(9,10−ジフェニル−2−アントリル)−N,N’,N’−トリフェニル−1,4−フェニレンジアミン(略称:2DPAPA)、N−[9,10−ビス(1,1’−ビフェニル−2−イル)−2−アントリル]−N,N’,N’−トリフェニル−1,4−フェニレンジアミン(略称:2DPABPhA)、9,10−ビス(1,1’−ビフェニル−2−イル)−N−[4−(9H−カルバゾール−9−イル)フェニル]−N−フェニルアントラセン−2−アミン(略称:2YGABPhA)、N,N,9−トリフェニルアントラセン−9−アミン(略称:DPhAPhA)、クマリン6、クマリン545T、N,N’−ジフェニルキナクリドン(略称:DPQd)、ルブレン、2,8−ジ−tert−ブチル−5,11−ビス(4−tert−ブチルフェニル)−6,12−ジフェニルテトラセン(略称:TBRb)、ナイルレッド、5,12−ビス(1,1’−ビフェニル−4−イル)−6,11−ジフェニルテトラセン(略称:BPT)、2−(2−{2−[4−(ジメチルアミノ)フェニル]エテニル}−6−メチル−4H−ピラン−4−イリデン)プロパンジニトリル(略称:DCM1)、2−{2−メチル−6−[2−(2,3,6,7−テトラヒドロ−1H,5H−ベンゾ[ij]キノリジン−9−イル)エテニル]−4H−ピラン−4−イリデン}プロパンジニトリル(略称:DCM2)、N,N,N’,N’−テトラキス(4−メチルフェニル)テトラセン−5,11−ジアミン(略称:p−mPhTD)、7,14−ジフェニル−N,N,N’,N’−テトラキス(4−メチルフェニル)アセナフト[1,2−a]フルオランテン−3,10−ジアミン(略称:p−mPhAFD)、2−{2−イソプロピル−6−[2−(1,1,7,7−テトラメチル−2,3,6,7−テトラヒドロ−1H,5H−ベンゾ[ij]キノリジン−9−イル)エテニル]−4H−ピラン−4−イリデン}プロパンジニトリル(略称:DCJTI)、2−{2−tert−ブチル−6−[2−(1,1,7,7−テトラメチル−2,3,6,7−テトラヒドロ−1H,5H−ベンゾ[ij]キノリジン−9−イル)エテニル]−4H−ピラン−4−イリデン}プロパンジニトリル(略称:DCJTB)、2−(2,6−ビス{2−[4−(ジメチルアミノ)フェニル]エテニル}−4H−ピラン−4−イリデン)プロパンジニトリル(略称:BisDCM)、2−{2,6−ビス[2−(8−メトキシ−1,1,7,7−テトラメチル−2,3,6,7−テトラヒドロ−1H,5H−ベンゾ[ij]キノリジン−9−イル)エテニル]−4H−ピラン−4−イリデン}プロパンジニトリル(略称:BisDCJTM)、5,10,15,20−テトラフェニルビスベンゾ[5,6]インデノ[1,2,3−cd:1’,2’,3’−lm]ペリレン(略称:DBP)、などが挙げられる。Specifically, 5,6-bis [4- (10-phenyl-9-anthryl) phenyl] -2,2′-bipyridine (abbreviation: PAP2BPy), 5,6-bis [4 ′-(10-phenyl) -9-anthryl) biphenyl-4-yl] -2,2'-bipyridine (abbreviation: PAPP2BPy), N, N'-diphenyl-N, N'-bis [4- (9-phenyl-9H-fluorene-9 -Yl) phenyl] pyrene-1,6-diamine (abbreviation: 1,6FLPAPrn), N, N′-bis (3-methylphenyl) -N, N′-bis [3- (9-phenyl-9H-fluorene) -9-yl) phenyl] pyrene-1,6-diamine (abbreviation: 1,6 mM emFLPAPrn), N, N′-bis [4- (9-phenyl-9H-fluoren-9-yl) phenyl] -N, N '-Bi (4-tert-Butylphenyl) -pyrene-1,6-diamine (abbreviation: 1,6tBu-FLPAPrn), N, N′-bis [4- (9-phenyl-9H-fluoren-9-yl) phenyl] -N, N'-diphenyl-3,8-dicyclohexylpyrene-1,6-diamine (abbreviation: ch-1,6FLPAPrn), N, N'-bis [4- (9H-carbazol-9-yl) phenyl] -N, N'-diphenylstilbene-4,4'-diamine (abbreviation: YGA2S), 4- (9H-carbazol-9-yl) -4 '-(10-phenyl-9-anthryl) triphenylamine (abbreviation) : YGAPA), 4- (9H-carbazol-9-yl) -4 ′-(9,10-diphenyl-2-anthryl) triphenylamine (abbreviation: 2YGAPPA), , 9-diphenyl-N- [4- (10-phenyl-9-anthryl) phenyl] -9H-carbazol-3-amine (abbreviation: PCAPA), perylene, 2,5,8,11-tetra (tert-butyl) ) Perylene (abbreviation: TBP), 4- (10-phenyl-9-anthryl) -4 ′-(9-phenyl-9H-carbazol-3-yl) triphenylamine (abbreviation: PCBAPA), NN ″ -(2-tert-butylanthracene-9,10-diyldi-4,1-phenylene) bis [N, N ', N'-triphenyl-1,4-phenylenediamine] (abbreviation: DPABPA), N, 9 -Diphenyl-N- [4- (9,10-diphenyl-2-anthryl) phenyl] -9H-carbazol-3-amine (abbreviation: 2PCAPPA), N- [4- ( 9,10-diphenyl-2-anthryl) phenyl] -N, N ′, N′-triphenyl-1,4-phenylenediamine (abbreviation: 2DPAPPA), N, N, N ′, N ′, N ″, N ″, N ′ ″, N ′ ″-octaphenyldibenzo [g, p] chrysene-2,7,10,15-tetraamine (abbreviation: DBC1), coumarin 30, N- (9,10-diphenyl) -2-anthryl) -N, 9-diphenyl-9H-carbazol-3-amine (abbreviation: 2PCAPA), N- [9,10-bis (1,1′-biphenyl-2-yl) -2-anthryl] -N, 9-diphenyl-9H-carbazol-3-amine (abbreviation: 2PCABPhA), N- (9,10-diphenyl-2-anthryl) -N, N ', N'-triphenyl-1,4-phenylene Zia (Abbreviation: 2DPAPA), N- [9,10-bis (1,1′-biphenyl-2-yl) -2-anthryl] -N, N ′, N′-triphenyl-1,4-phenylenediamine (Abbreviation: 2DPABPhA), 9,10-bis (1,1′-biphenyl-2-yl) -N- [4- (9H-carbazol-9-yl) phenyl] -N-phenylanthracen-2-amine ( Abbreviation: 2YGABPhA), N, N, 9-triphenylanthracene-9-amine (abbreviation: DPhAPhA), coumarin 6, coumarin 545T, N, N′-diphenylquinacridone (abbreviation: DPQd), rubrene, 2,8-di -Tert-butyl-5,11-bis (4-tert-butylphenyl) -6,12-diphenyltetracene (abbreviation: TBRb), Nile Red, 5, 2-bis (1,1′-biphenyl-4-yl) -6,11-diphenyltetracene (abbreviation: BPT), 2- (2- {2- [4- (dimethylamino) phenyl] ethenyl} -6- Methyl-4H-pyran-4-ylidene) propanedinitrile (abbreviation: DCM1), 2- {2-methyl-6- [2- (2,3,6,7-tetrahydro-1H, 5H-benzo [ij] Quinolizin-9-yl) ethenyl] -4H-pyran-4-ylidene} propanedinitrile (abbreviation: DCM2), N, N, N ′, N′-tetrakis (4-methylphenyl) tetracene-5,11-diamine (Abbreviation: p-mPhTD), 7,14-diphenyl-N, N, N ′, N′-tetrakis (4-methylphenyl) acenaphtho [1,2-a] fluoranthene-3,10-diamine (abbreviation: p-mPhAFD), 2- {2-isopropyl-6- [2- (1,1,7,7-tetramethyl-2,3,6,7-tetrahydro-1H, 5H-benzo [ij] quinolidine-9. -Yl) ethenyl] -4H-pyran-4-ylidene} propanedinitrile (abbreviation: DCJTI), 2- {2-tert-butyl-6- [2- (1,1,7,7-tetramethyl-2) , 3,6,7-tetrahydro-1H, 5H-benzo [ij] quinolizin-9-yl) ethenyl] -4H-pyran-4-ylidene} propanedinitrile (abbreviation: DCJTB), 2- (2,6- Bis {2- [4- (dimethylamino) phenyl] ethenyl} -4H-pyran-4-ylidene) propanedinitrile (abbreviation: BisDCM), 2- {2,6-bis [2- (8-methoxy-1) , 1,7,7 Tetramethyl-2,3,6,7-tetrahydro-1H, 5H-benzo [ij] quinolizin-9-yl) ethenyl] -4H-pyran-4-ylidene} propanedinitrile (abbreviation: BisDCJTM), 5,10 , 15,20-tetraphenylbisbenzo [5,6] indeno [1,2,3-cd: 1 ′, 2 ′, 3′-lm] perylene (abbreviation: DBP), and the like.
ゲスト材料132(燐光性化合物)としては、イリジウム、ロジウム、または白金系の有機金属錯体、あるいは金属錯体が挙げられ、中でも有機イリジウム錯体、例えばイリジウム系オルトメタル錯体が好ましい。オルトメタル化する配位子としては4H−トリアゾール配位子、1H−トリアゾール配位子、イミダゾール配位子、ピリジン配位子、ピリミジン配位子、ピラジン配位子、あるいはイソキノリン配位子などが挙げられる。金属錯体としては、ポルフィリン配位子を有する白金錯体などが挙げられる。Examples of the guest material 132 (phosphorescent compound) include iridium, rhodium, or platinum-based organometallic complexes, or metal complexes. Among these, organic iridium complexes such as iridium-based orthometal complexes are preferable. Examples of orthometalated ligands include 4H-triazole ligands, 1H-triazole ligands, imidazole ligands, pyridine ligands, pyrimidine ligands, pyrazine ligands, and isoquinoline ligands. Can be mentioned. Examples of the metal complex include a platinum complex having a porphyrin ligand.
青色または緑色に発光ピークを有する物質としては、例えば、トリス{2−[5−(2−メチルフェニル)−4−(2,6−ジメチルフェニル)−4H−1,2,4−トリアゾール−3−イル−κN2]フェニル−κC}イリジウム(III)(略称:Ir(mpptz−dmp)3)、トリス(5−メチル−3,4−ジフェニル−4H−1,2,4−トリアゾラト)イリジウム(III)(略称:Ir(Mptz)3)、トリス[4−(3−ビフェニル)−5−イソプロピル−3−フェニル−4H−1,2,4−トリアゾラト]イリジウム(III)(略称:Ir(iPrptz−3b)3)、トリス[3−(5−ビフェニル)−5−イソプロピル−4−フェニル−4H−1,2,4−トリアゾラト]イリジウム(III)(略称:Ir(iPr5btz)3)、のような4H−トリアゾール骨格を有する有機金属イリジウム錯体や、トリス[3−メチル−1−(2−メチルフェニル)−5−フェニル−1H−1,2,4−トリアゾラト]イリジウム(III)(略称:Ir(Mptz1−mp)3)、トリス(1−メチル−5−フェニル−3−プロピル−1H−1,2,4−トリアゾラト)イリジウム(III)(略称:Ir(Prptz1−Me)3)のような1H−トリアソール骨格を有する有機金属イリジウム錯体や、fac−トリス[1−(2,6−ジイソプロピルフェニル)−2−フェニル−1H−イミダゾール]イリジウム(III)(略称:Ir(iPrpmi)3)、トリス[3−(2,6−ジメチルフェニル)−7−メチルイミダゾ[1,2−f]フェナントリジナト]イリジウム(III)(略称:Ir(dmpimpt−Me)3)のようなイミダゾール骨格を有する有機金属イリジウム錯体や、ビス[2−(4’,6’−ジフルオロフェニル)ピリジナト−N,C2’]イリジウム(III)テトラキス(1−ピラゾリル)ボラート(略称:FIr6)、ビス[2−(4’,6’−ジフルオロフェニル)ピリジナト−N,C2’]イリジウム(III)ピコリナート(略称:FIrpic)、ビス{2−[3’,5’−ビス(トリフルオロメチル)フェニル]ピリジナト−N,C2’}イリジウム(III)ピコリナート(略称:Ir(CF3ppy)2(pic))、ビス[2−(4’,6’−ジフルオロフェニル)ピリジナト−N,C2’]イリジウム(III)アセチルアセトナート(略称:FIr(acac))のような電子吸引基を有するフェニルピリジン誘導体を配位子とする有機金属イリジウム錯体が挙げられる。上述した中でも、4H−トリアゾール骨格、1H−トリアゾール骨格およびイミダゾール骨格のような含窒素五員複素環骨格を有する有機金属イリジウム錯体は、高い三重項励起エネルギーを有し、信頼性や発光効率にも優れるため、特に好ましい。As a substance having an emission peak in blue or green, for example, tris {2- [5- (2-methylphenyl) -4- (2,6-dimethylphenyl) -4H-1,2,4-triazole-3 -Yl-κN2 ] phenyl-κC} iridium (III) (abbreviation: Ir (mppptz-dmp)3 ), tris (5-methyl-3,4-diphenyl-4H-1,2,4-triazolate) iridium ( III) (abbreviation: Ir (Mptz)3 ), tris [4- (3-biphenyl) -5-isopropyl-3-phenyl-4H-1,2,4-triazolato] iridium (III) (abbreviation: Ir (iPrptz)-3b) 3), tris [3- (5-biphenyl) -5-isopropyl-4-phenyl-4H-1,2,4-triazolato] iridium (III) (abbreviation: I(IPr5btz) 3), 4H- or organometallic iridium complex having a triazole skeleton, such as tris [3-methyl-1- (2-methylphenyl) -5-phenyl-1H-1,2,4-triazolato] Iridium (III) (abbreviation: Ir (Mptz1-mp)3 ), tris (1-methyl-5-phenyl-3-propyl-1H-1,2,4-triazolato) iridium (III) (abbreviation: Ir (Prptz1) -Me)3 ) an organometallic iridium complex having a 1H-triazole skeleton, fac-tris [1- (2,6-diisopropylphenyl) -2-phenyl-1H-imidazole] iridium (III) (abbreviation: Ir (iPrpmi)3 ), tris [3- (2,6-dimethylphenyl) -7-methylimidazo [1,2-f] Organometallic iridium complexes having an imidazole skeleton such as phenanthridinato] iridium (III) (abbreviation: Ir (dmpimpt-Me)3 ), and bis [2- (4 ′, 6′-difluorophenyl) pyridinato-N , C2 ′ ] iridium (III) tetrakis (1-pyrazolyl) borate (abbreviation: FIr6), bis [2- (4 ′, 6′-difluorophenyl) pyridinato-N, C2 ′ ] iridium (III) picolinate ( Abbreviations: FIrpic), bis {2- [3 ′, 5′-bis (trifluoromethyl) phenyl] pyridinato-N, C2 ′ } iridium (III) picolinate (abbreviation: Ir (CF3 ppy)2 (pic) ), bis [2- (4 ', 6'-difluorophenyl) pyridinato -N, C2'] iridium (III) acetyl acetate toner (Abbreviation: FIr (acac)) organometallic iridium complex having a ligand of phenylpyridine derivative having an electron-withdrawing group such as and the like. Among the above-mentioned, organometallic iridium complexes having a nitrogen-containing five-membered heterocyclic skeleton such as a 4H-triazole skeleton, a 1H-triazole skeleton, and an imidazole skeleton have high triplet excitation energy, and have high reliability and luminous efficiency. It is particularly preferred because of its superiority.
また、緑色または黄色に発光ピークを有する物質としては、例えば、トリス(4−メチル−6−フェニルピリミジナト)イリジウム(III)(略称:Ir(mppm)3)、トリス(4−t−ブチル−6−フェニルピリミジナト)イリジウム(III)(略称:Ir(tBuppm)3)、(アセチルアセトナト)ビス(6−メチル−4−フェニルピリミジナト)イリジウム(III)(略称:Ir(mppm)2(acac))、(アセチルアセトナト)ビス(6−tert−ブチル−4−フェニルピリミジナト)イリジウム(III)(略称:Ir(tBuppm)2(acac))、(アセチルアセトナト)ビス[4−(2−ノルボルニル)−6−フェニルピリミジナト]イリジウム(III)(略称:Ir(nbppm)2(acac))、(アセチルアセトナト)ビス[5−メチル−6−(2−メチルフェニル)−4−フェニルピリミジナト]イリジウム(III)(略称:Ir(mpmppm)2(acac))、(アセチルアセトナト)ビス{4,6−ジメチル−2−[6−(2,6−ジメチルフェニル)−4−ピリミジニル−κN3]フェニル−κC}イリジウム(III)(略称:Ir(dmppm−dmp)2(acac))、(アセチルアセトナト)ビス(4,6−ジフェニルピリミジナト)イリジウム(III)(略称:Ir(dppm)2(acac))のようなピリミジン骨格を有する有機金属イリジウム錯体や、(アセチルアセトナト)ビス(3,5−ジメチル−2−フェニルピラジナト)イリジウム(III)(略称:Ir(mppr−Me)2(acac))、(アセチルアセトナト)ビス(5−イソプロピル−3−メチル−2−フェニルピラジナト)イリジウム(III)(略称:Ir(mppr−iPr)2(acac))のようなピラジン骨格を有する有機金属イリジウム錯体や、トリス(2−フェニルピリジナト−N,C2’)イリジウム(III)(略称:Ir(ppy)3)、ビス(2−フェニルピリジナト−N,C2’)イリジウム(III)アセチルアセトナート(略称:Ir(ppy)2(acac))、ビス(ベンゾ[h]キノリナト)イリジウム(III)アセチルアセトナート(略称:Ir(bzq)2(acac))、トリス(べンゾ[h]キノリナト)イリジウム(III)(略称:Ir(bzq)3)、トリス(2−フェニルキノリナト−N,C2’)イリジウム(III)(略称:Ir(pq)3)、ビス(2−フェニルキノリナト−N,C2’)イリジウム(III)アセチルアセトナート(略称:Ir(pq)2(acac))のようなピリジン骨格を有する有機金属イリジウム錯体や、ビス(2,4−ジフェニル−1,3−オキサゾラト−N,C2’)イリジウム(III)アセチルアセトナート(略称:Ir(dpo)2(acac))、ビス{2−[4’−(パーフルオロフェニル)フェニル]ピリジナト−N,C2’}イリジウム(III)アセチルアセトナート(略称:Ir(p−PF−ph)2(acac))、ビス(2−フェニルベンゾチアゾラト−N,C2’)イリジウム(III)アセチルアセトナート(略称:Ir(bt)2(acac))など有機金属イリジウム錯体の他、トリス(アセチルアセトナト)(モノフェナントロリン)テルビウム(III)(略称:Tb(acac)3(Phen))のような希土類金属錯体が挙げられる。上述した中でも、ピリミジン骨格を有する有機金属イリジウム錯体は、信頼性や発光効率にも際だって優れるため、特に好ましい。Examples of a substance having an emission peak in green or yellow include tris (4-methyl-6-phenylpyrimidinato) iridium (III) (abbreviation: Ir (mppm)3 ), tris (4-t-butyl). -6-phenylpyrimidinato) iridium (III) (abbreviation: Ir (tBupppm)3 ), (acetylacetonato) bis (6-methyl-4-phenylpyrimidinato) iridium (III) (abbreviation: Ir (mppm) )2 (acac)), (acetylacetonato) bis (6-tert-butyl-4-phenylpyrimidinato) iridium (III) (abbreviation: Ir (tBupppm)2 (acac)), (acetylacetonato) bis [4- (2-norbornyl) -6-phenylpyrimidinato] iridium (III) (abbreviation: Ir (nbppm)2 (Acac)), (acetylacetonato) bis [5-methyl-6- (2-methylphenyl) -4-phenylpyrimidinato] iridium (III) (abbreviation: Ir (mpmppm)2 (acac)), ( Acetylacetonato) bis {4,6-dimethyl-2- [6- (2,6-dimethylphenyl) -4-pyrimidinyl-κN3 ] phenyl-κC} iridium (III) (abbreviation: Ir (dmppm-dmp)2 (acac)), (acetylacetonato) bis (4,6-diphenylpyrimidinato) iridium (III) (abbreviation: Ir (dppm)2 (acac)), an organometallic iridium complex having a pyrimidine skeleton, , (Acetylacetonato) bis (3,5-dimethyl-2-phenylpyrazinato) iridium (III) (abbreviation: Ir (mpp OfIr (mppr-iPr) 2 ( acac)): -Me) 2 (acac)), ( acetylacetonato) bis (5-isopropyl-3-methyl-2-phenylpyrazinato) iridium (III) (abbreviation Organometallic iridium complexes having such a pyrazine skeleton, tris (2-phenylpyridinato-N, C2 ′ ) iridium (III) (abbreviation: Ir (ppy)3 ), bis (2-phenylpyridinato- N, C2 ′ ) iridium (III) acetylacetonate (abbreviation: Ir (ppy)2 (acac)), bis (benzo [h] quinolinato) iridium (III) acetylacetonate (abbreviation: Ir (bzq)2 ( acac)), tris (base down zone [h] quinolinato) iridium (III) (abbreviation: Ir(bzq) 3), tris (2-Feniruki Rinato -N, C2 ') iridium (III) (abbreviation: Ir(pq) 3), bis (2-phenylquinolinato--N, C2') iridium (III) acetylacetonate (abbreviation: Ir (pq)2 (acac)), an organometallic iridium complex having a pyridine skeleton, or bis (2,4-diphenyl-1,3-oxazolate-N, C2 ′ ) iridium (III) acetylacetonate (abbreviation: Ir ( dpo)2 (acac)), bis {2- [4 ′-(perfluorophenyl) phenyl] pyridinato-N, C2 ′ } iridium (III) acetylacetonate (abbreviation: Ir (p-PF-ph)2 (acac)), bis (2-phenyl-benzothiazyl Zola DOO -N, C2 ') iridium (III) acetylacetonate (abbreviation: Ir(bt) 2(aca )) Other organic iridium complex such as tris (acetylacetonato) (monophenanthroline) terbium (III) (abbreviation: rare earth metal complex and the like, such as Tb(acac) 3 (Phen)). Among the above-described compounds, organometallic iridium complexes having a pyrimidine skeleton are particularly preferable because they are remarkably excellent in reliability and luminous efficiency.
また、黄色または赤色に発光ピークを有する物質としては、例えば、(ジイソブチリルメタナト)ビス[4,6−ビス(3−メチルフェニル)ピリミジナト]イリジウム(III)(略称:Ir(5mdppm)2(dibm))、ビス[4,6−ビス(3−メチルフェニル)ピリミジナト](ジピバロイルメタナト)イリジウム(III)(略称:Ir(5mdppm)2(dpm))、ビス[4,6−ジ(ナフタレン−1−イル)ピリミジナト](ジピバロイルメタナト)イリジウム(III)(略称:Ir(d1npm)2(dpm))のようなピリミジン骨格を有する有機金属イリジウム錯体や、(アセチルアセトナト)ビス(2,3,5−トリフェニルピラジナト)イリジウム(III)(略称:Ir(tppr)2(acac))、ビス(2,3,5−トリフェニルピラジナト)(ジピバロイルメタナト)イリジウム(III)(略称:Ir(tppr)2(dpm))、(アセチルアセトナト)ビス[2,3−ビス(4−フルオロフェニル)キノキサリナト]イリジウム(III)(略称:Ir(Fdpq)2(acac))のようなピラジン骨格を有する有機金属イリジウム錯体や、トリス(1−フェニルイソキノリナト−N,C2’)イリジウム(III)(略称:Ir(piq)3)、ビス(1−フェニルイソキノリナト−N,C2’)イリジウム(III)アセチルアセトナート(略称:Ir(piq)2(acac))のようなピリジン骨格を有する有機金属イリジウム錯体の他、2,3,7,8,12,13,17,18−オクタエチル−21H,23H−ポルフィリン白金(II)(略称:PtOEP)のような白金錯体や、トリス(1,3−ジフェニル−1,3−プロパンジオナト)(モノフェナントロリン)ユーロピウム(III)(略称:Eu(DBM)3(Phen))、トリス[1−(2−テノイル)−3,3,3−トリフルオロアセトナト](モノフェナントロリン)ユーロピウム(III)(略称:Eu(TTA)3(Phen))のような希土類金属錯体が挙げられる。上述した中でも、ピリミジン骨格を有する有機金属イリジウム錯体は、信頼性や発光効率にも際だって優れるため、特に好ましい。また、ピラジン骨格を有する有機金属イリジウム錯体は、色度の良い赤色発光が得られる。As a substance having an emission peak in yellow or red, for example, (diisobutyrylmethanato) bis [4,6-bis (3-methylphenyl) pyrimidinato] iridium (III) (abbreviation: Ir (5 mdppm)2 ( dibm)), bis [4,6-bis (3-methylphenyl) pyrimidinato] (dipivaloylmethanato) iridium (III) (abbreviation: Ir (5 mdppm)2 (dpm)), bis [4,6-di (Naphthalen-1-yl) pyrimidinato] (dipivaloylmethanato) iridium (III) (abbreviation: Ir (d1npm)2 (dpm)), an organometallic iridium complex having a pyrimidine skeleton, and (acetylacetonato) bis (2,3,5-triphenylpyrazinato) iridium (III) (abbreviation: Ir(tppr) 2 (ac c)), bis (2,3,5-triphenylpyrazinato) (dipivaloylmethanato) iridium (III) (abbreviation: Ir(tppr) 2 (dpm)), (acetylacetonato) bis [2 , 3-bis (4-fluorophenyl) quinoxalinato] iridium (III) (abbreviation: Ir (Fdpq)2 (acac)), organometallic iridium complexes having a pyrazine skeleton, tris (1-phenylisoquinolinato- N, C2 ′ ) iridium (III) (abbreviation: Ir (piq)3 ), bis (1-phenylisoquinolinato-N, C2 ′ ) iridium (III) acetylacetonate (abbreviation: Ir (piq)2 In addition to organometallic iridium complexes having a pyridine skeleton such as (acac)), 2,3,7,8,12,13,17,18-octaethyl-2 Platinum complexes such as H, 23H-porphyrin platinum (II) (abbreviation: PtOEP), tris (1,3-diphenyl-1,3-propanedionate) (monophenanthroline) europium (III) (abbreviation: Eu ( DBM)3 (Phen)), tris [1- (2-thenoyl) -3,3,3-trifluoroacetonato] (monophenanthroline) europium (III) (abbreviation: Eu (TTA)3 (Phen)) Such rare earth metal complexes are mentioned. Among the above-described compounds, organometallic iridium complexes having a pyrimidine skeleton are particularly preferable because they are remarkably excellent in reliability and luminous efficiency. An organometallic iridium complex having a pyrazine skeleton can emit red light with good chromaticity.
発光層130に含まれる発光材料としては、三重項励起エネルギーを発光に変換できる材料であれば好ましい。該三重項励起エネルギーを発光に変換できる材料としては、燐光性化合物の他に、熱活性化遅延蛍光(Thermally activated delayed fluorescence:TADF)材料が挙げられる。したがって、燐光性化合物と記載した部分に関しては、熱活性化遅延蛍光材料と読み替えても構わない。なお、熱活性化遅延蛍光材料とは、三重項励起エネルギー準位と一重項励起エネルギー準位との差が小さく、逆項間交差によって三重項励起状態から一重項励起状態へエネルギーを変換する機能を有する材料である。そのため、三重項励起状態をわずかな熱エネルギーによって一重項励起状態にアップコンバート(逆項間交差)が可能で、一重項励起状態からの発光(蛍光)を効率よく呈することができる。また、熱活性化遅延蛍光が効率良く得られる条件としては、三重項励起エネルギー準位と一重項励起エネルギー準位のエネルギー差が好ましくは0eVより大きく0.2eV以下、さらに好ましくは0eVより大きく0.1eV以下であることが挙げられる。The light-emitting material contained in the light-emitting
熱活性化遅延蛍光材料が、一種類の材料から構成される場合、例えば以下の材料を用いることができる。When the heat activated delayed fluorescent material is composed of one kind of material, for example, the following materials can be used.
まず、フラーレンやその誘導体、プロフラビン等のアクリジン誘導体、エオシン等が挙げられる。また、マグネシウム(Mg)、亜鉛(Zn)、カドミウム(Cd)、スズ(Sn)、白金(Pt)、インジウム(In)、もしくはパラジウム(Pd)等を含む金属含有ポルフィリンが挙げられる。該金属含有ポルフィリンとしては、例えば、プロトポルフィリン−フッ化スズ錯体(SnF2(ProtoIX))、メソポルフィリン−フッ化スズ錯体(SnF2(Meso IX))、ヘマトポルフィリン−フッ化スズ錯体(SnF2(Hemato IX))、コプロポルフィリンテトラメチルエステル−フッ化スズ錯体(SnF2(Copro III−4Me))、オクタエチルポルフィリン−フッ化スズ錯体(SnF2(OEP))、エチオポルフィリン−フッ化スズ錯体(SnF2(Etio I))、オクタエチルポルフィリン−塩化白金錯体(PtCl2OEP)等が挙げられる。First, fullerene and its derivatives, acridine derivatives such as proflavine, eosin and the like can be mentioned. In addition, metal-containing porphyrins including magnesium (Mg), zinc (Zn), cadmium (Cd), tin (Sn), platinum (Pt), indium (In), palladium (Pd), and the like can be given. Examples of the metal-containing porphyrin include a protoporphyrin-tin fluoride complex (SnF2 (ProtoIX)), a mesoporphyrin-tin fluoride complex (SnF2 (Meso IX)), and a hematoporphyrin-tin fluoride complex (SnF2). (Hemato IX)), coproporphyrin tetramethyl ester-tin fluoride complex (SnF2 (Copro III-4Me)), octaethylporphyrin-tin fluoride complex (SnF2 (OEP)), etioporphyrin-tin fluoride complex (SnF2 (Etio I)), octaethylporphyrin-platinum chloride complex (PtCl2 OEP), and the like.
また、一種の材料から構成される熱活性化遅延蛍光材料としては、π電子過剰型複素芳香環及びπ電子不足型複素芳香環を有する複素環化合物も用いることができる。具体的には、2−(ビフェニル−4−イル)−4,6−ビス(12−フェニルインドロ[2,3−a]カルバゾール−11−イル)−1,3,5−トリアジン(略称:PIC−TRZ)、2−{4−[3−(N−フェニル−9H−カルバゾール−3−イル)−9H−カルバゾール−9−イル]フェニル}−4,6−ジフェニル−1,3,5−トリアジン(略称:PCCzPTzn)、2−[4−(10H−フェノキサジン−10−イル)フェニル]−4,6−ジフェニル−1,3,5−トリアジン(略称:PXZ−TRZ)、3−[4−(5−フェニル−5,10−ジヒドロフェナジン−10−イル)フェニル]−4,5−ジフェニル−1,2,4−トリアゾール(略称:PPZ−3TPT)、3−(9,9−ジメチル−9H−アクリジン−10−イル)−9H−キサンテン−9−オン(略称:ACRXTN)、ビス[4−(9,9−ジメチル−9,10−ジヒドロアクリジン)フェニル]スルホン(略称:DMAC−DPS)、10−フェニル−10H,10’H−スピロ[アクリジン−9,9’−アントラセン]−10’−オン(略称:ACRSA)等が挙げられる。該複素環化合物は、π電子過剰型複素芳香環及びπ電子不足型複素芳香環を有するため、電子輸送性及び正孔輸送性が高く、好ましい。中でも、π電子不足型複素芳香環を有する骨格のうち、ジアジン骨格(ピリミジン骨格、ピラジン骨格、ピリダジン骨格)、またはトリアジン骨格は、安定で信頼性が良好なため、好ましい。また、π電子過剰型複素芳香環を有する骨格の中でも、アクリジン骨格、フェノキサジン骨格、チオフェン骨格、フラン骨格、及びピロール骨格は、安定で信頼性が良好なため、当該骨格の中から選ばれるいずれか一つまたは複数を有することが、好ましい。なお、ピロール骨格としては、インドール骨格、カルバゾール骨格、及び3−(9−フェニル−9H−カルバゾール−3−イル)−9H−カルバゾール骨格、が特に好ましい。なお、π電子過剰型複素芳香環とπ電子不足型複素芳香環とが直接結合した物質は、π電子過剰型複素芳香環のドナー性とπ電子不足型複素芳香環のアクセプター性が共に強く、一重項励起状態のエネルギー準位と三重項励起状態のエネルギー準位との差が小さくなるため、特に好ましい。Also, as a thermally activated delayed fluorescent material composed of a kind of material, a heterocyclic compound having a π-electron rich heteroaromatic ring and a π-electron deficient heteroaromatic ring can also be used. Specifically, 2- (biphenyl-4-yl) -4,6-bis (12-phenylindolo [2,3-a] carbazol-11-yl) -1,3,5-triazine (abbreviation: PIC-TRZ), 2- {4- [3- (N-phenyl-9H-carbazol-3-yl) -9H-carbazol-9-yl] phenyl} -4,6-diphenyl-1,3,5- Triazine (abbreviation: PCCzPTzn), 2- [4- (10H-phenoxazin-10-yl) phenyl] -4,6-diphenyl-1,3,5-triazine (abbreviation: PXZ-TRZ), 3- [4 -(5-phenyl-5,10-dihydrophenazin-10-yl) phenyl] -4,5-diphenyl-1,2,4-triazole (abbreviation: PPZ-3TPT), 3- (9,9-dimethyl- 9H-acridine- 0-yl) -9H-xanthen-9-one (abbreviation: ACRXTN), bis [4- (9,9-dimethyl-9,10-dihydroacridine) phenyl] sulfone (abbreviation: DMAC-DPS), 10-phenyl -10H, 10'H-spiro [acridine-9,9'-anthracene] -10'-one (abbreviation: ACRSA) and the like. Since the heterocyclic compound has a π-electron rich heteroaromatic ring and a π-electron deficient heteroaromatic ring, it is preferable because of its high electron transporting property and hole transporting property. Among these, among skeletons having a π-electron deficient heteroaromatic ring, a diazine skeleton (pyrimidine skeleton, pyrazine skeleton, pyridazine skeleton) or a triazine skeleton is preferable because it is stable and has high reliability. Among skeletons having a π-electron rich heteroaromatic ring, an acridine skeleton, a phenoxazine skeleton, a thiophene skeleton, a furan skeleton, and a pyrrole skeleton are stable and reliable. It is preferable to have one or more. As the pyrrole skeleton, an indole skeleton, a carbazole skeleton, and a 3- (9-phenyl-9H-carbazol-3-yl) -9H-carbazole skeleton are particularly preferable. A substance in which a π-electron rich heteroaromatic ring and a π-electron deficient heteroaromatic ring are directly bonded has both a donor property of a π-electron rich heteroaromatic ring and an acceptor property of a π-electron deficient heteroaromatic ring, This is particularly preferable because the difference between the energy level in the singlet excited state and the energy level in the triplet excited state is small.
また、発光層130において、ホスト材料131およびゲスト材料132以外の材料を有していても良い。Further, the
発光層130に用いることが可能な材料としては、特に限定はないが、例えば、アントラセン誘導体、フェナントレン誘導体、ピレン誘導体、クリセン誘導体、ジベンゾ[g,p]クリセン誘導体等の縮合多環芳香族化合物が挙げられ、具体的には、9,10−ジフェニルアントラセン(略称:DPAnth)、6,12−ジメトキシ−5,11−ジフェニルクリセン、9,10−ビス(3,5−ジフェニルフェニル)アントラセン(略称:DPPA)、9,10−ジ(2−ナフチル)アントラセン(略称:DNA)、2−tert−ブチル−9,10−ジ(2−ナフチル)アントラセン(略称:t−BuDNA)、9,9’−ビアントリル(略称:BANT)、9,9’−(スチルベン−3,3’−ジイル)ジフェナントレン(略称:DPNS)、9,9’−(スチルベン−4,4’−ジイル)ジフェナントレン(略称:DPNS2)、1,3,5−トリ(1−ピレニル)ベンゼン(略称:TPB3)などを挙げることができる。また、これら及び公知の物質の中から、上記ゲスト材料132の励起エネルギー準位より高い一重項励起エネルギー準位または三重項励起エネルギー準位を有する物質を、一種もしくは複数種選択して用いればよい。A material that can be used for the light-emitting
また、例えば、オキサジアゾール誘導体等の複素芳香族骨格を有する化合物を発光層130に用いることができる。具体的には、例えば、2−(4−ビフェニリル)−5−(4−tert−ブチルフェニル)−1,3,4−オキサジアゾール(略称:PBD)や、1,3−ビス[5−(p−tert−ブチルフェニル)−1,3,4−オキサジアゾール−2−イル]ベンゼン(略称:OXD−7)、9−[4−(5−フェニル−1,3,4−オキサジアゾール−2−イル)フェニル]−9H−カルバゾール(略称:CO11)、4,4’−ビス(5−メチルベンゾオキサゾール−2−イル)スチルベン(略称:BzOs)などの複素環化合物が挙げられる。Further, for example, a compound having a heteroaromatic skeleton such as an oxadiazole derivative can be used for the light-emitting
また、複素環を有する金属錯体(例えば亜鉛及びアルミニウム系金属錯体)などを発光層130に用いることができる。例えば、キノリン配位子、ベンゾキノリン配位子、オキサゾール配位子、あるいはチアゾール配位子を有する金属錯体が挙げられる。具体的には、例えば、トリス(8−キノリノラト)アルミニウム(III)(略称:Alq)、トリス(4−メチル−8−キノリノラト)アルミニウム(III)(略称:Almq3)、ビス(10−ヒドロキシベンゾ[h]キノリナト)ベリリウム(II)(略称:BeBq2)、ビス(2−メチル−8−キノリノラト)(4−フェニルフェノラト)アルミニウム(III)(略称:BAlq)、ビス(8−キノリノラト)亜鉛(II)(略称:Znq)など、キノリン骨格またはベンゾキノリン骨格を有する金属錯体等が挙げられる。また、この他ビス[2−(2−ベンゾオキサゾリル)フェノラト]亜鉛(II)(略称:ZnPBO)、ビス[2−(2−ベンゾチアゾリル)フェノラト]亜鉛(II)(略称:ZnBTZ)などのオキサゾール系、またはチアゾール系配位子を有する金属錯体なども用いることができる。In addition, a metal complex having a heterocyclic ring (eg, zinc and aluminum-based metal complex) or the like can be used for the light-emitting
なお、発光層130は2層以上の複数層でもって構成することもできる。例えば、第1の発光層と第2の発光層を正孔輸送層側から順に積層して発光層130とする場合、第1の発光層のホスト材料として正孔輸送性を有する物質を用い、第2の発光層のホスト材料として電子輸送性を有する物質を用いる構成などがある。また、第1の発光層と第2の発光層とが有する発光材料は、同じ材料であっても異なる材料であってもよく、同じ色の発光を呈する機能を有する材料であっても、異なる色の発光を呈する機能を有する材料であってもよい。2層の発光層に、互いに異なる色の発光を呈する機能を有する発光材料をそれぞれ用いることで、複数の発光を同時に得ることができる。特に、2層の発光層が呈する発光により、白色になるよう、各発光層に用いる発光材料を選択すると好ましい。In addition, the
なお、発光層130は、蒸着法(真空蒸着法を含む)、インクジェット法、塗布法、グラビア印刷等の方法で形成することができる。また、上述した材料の他、量子ドットなどの無機化合物または高分子化合物(オリゴマー、デンドリマー、ポリマー等)を有してもよい。The
≪正孔注入層≫
正孔注入層111は、一対の電極の一方(電極101または電極102)からのホール注入障壁を低減することでホール注入を促進する機能を有し、例えば遷移金属酸化物、フタロシアニン誘導体、あるいは芳香族アミンなどによって形成される。遷移金属酸化物としては、モリブデン酸化物やバナジウム酸化物、ルテニウム酸化物、タングステン酸化物、マンガン酸化物などが挙げられる。フタロシアニン誘導体としては、フタロシアニンや金属フタロシアニンなどが挙げられる。芳香族アミンとしてはベンジジン誘導体やフェニレンジアミン誘導体などが挙げられる。ポリチオフェンやポリアニリンなどの高分子化合物を用いることもでき、例えば自己ドープされたポリチオフェンであるポリ(エチレンジオキシチオフェン)/ポリ(スチレンスルホン酸)などがその代表例である。≪Hole injection layer≫
The
正孔注入層111として、正孔輸送性材料と、これに対して電子受容性を示す材料の複合材料を有する層を用いることもできる。あるいは、電子受容性を示す材料を含む層と正孔輸送性材料を含む層の積層を用いても良い。これらの材料間では定常状態、あるいは電界存在下において電荷の授受が可能である。電子受容性を示す材料としては、キノジメタン誘導体やクロラニル誘導体、ヘキサアザトリフェニレン誘導体などの有機アクセプターを挙げることができる。具体的には、7,7,8,8−テトラシアノ−2,3,5,6−テトラフルオロキノジメタン(略称:F4−TCNQ)、クロラニル、2,3,6,7,10,11−ヘキサシアノ−1,4,5,8,9,12−ヘキサアザトリフェニレン(略称:HAT−CN)、1,3,4,5,7,8−ヘキサフルオロテトラシアノ−ナフトキノジメタン(略称:F6−TCNNQ)等の電子吸引基(特にフルオロ基のようなハロゲン基やシアノ基)を有する化合物を挙げることができる。特に、HAT−CNのように複素原子を複数有する縮合芳香環に電子吸引基が結合している化合物が、熱的に安定であり好ましい。また、電子吸引基(特にフルオロ基のようなハロゲン基やシアノ基)を有する[3]ラジアレン誘導体は、電子受容性が非常に高いため好ましく、具体的にはα,α’,α’’−1,2,3−シクロプロパントリイリデントリス[4−シアノ−2,3,5,6−テトラフルオロベンゼンアセトニトリル]、α,α’,α’’−1,2,3−シクロプロパントリイリデントリス[2,6−ジクロロー3,5−ジフルオロ−4−(トリフルオロメチル)ベンゼンアセトニトリル]、α,α’,α’’−1,2,3−シクロプロパントリイリデントリス[2,3,4,5,6−ペンタフルオロベンゼンアセトニトリル]などが挙げられる。また、遷移金属酸化物、例えば第4族乃至第8族金属の酸化物を用いることができる。具体的には、酸化バナジウム、酸化ニオブ、酸化タンタル、酸化クロム、酸化モリブデン、酸化タングステン、酸化マンガン、酸化レニウムなどである。中でも酸化モリブデンは大気中でも安定であり、吸湿性が低く、扱いやすいため好ましい。As the hole-injecting
正孔輸送性材料としては、電子よりも正孔の輸送性の高い材料を用いることができ、1×10−6cm2/Vs以上の正孔移動度を有する材料であることが好ましい。具体的には、発光層130に用いることができる正孔輸送性材料として挙げた芳香族アミン、カルバゾール誘導体、芳香族炭化水素、スチルベン誘導体などを用いることができるが、窒素を二つ以上含む炭素数1乃至20の複素芳香族骨格を有すると特に好ましい。特に含窒素複素五員環骨格が好ましい。また、該正孔輸送性材料は高分子化合物であっても良い。As the hole transporting material, than the electron can be used transport material having high hole is preferably a material having a 1 × 10 -6cm 2 /Vs or more hole mobility. Specifically, aromatic amines, carbazole derivatives, aromatic hydrocarbons, stilbene derivatives, and the like mentioned as hole transporting materials that can be used for the light-emitting
また、正孔輸送性材料として他には芳香族炭化水素が挙げられ、例えば、2−tert−ブチル−9,10−ジ(2−ナフチル)アントラセン(略称:t−BuDNA)、2−tert−ブチル−9,10−ジ(1−ナフチル)アントラセン、9,10−ビス(3,5−ジフェニルフェニル)アントラセン(略称:DPPA)、2−tert−ブチル−9,10−ビス(4−フェニルフェニル)アントラセン(略称:t−BuDBA)、9,10−ジ(2−ナフチル)アントラセン(略称:DNA)、9,10−ジフェニルアントラセン(略称:DPAnth)、2−tert−ブチルアントラセン(略称:t−BuAnth)、9,10−ビス(4−メチル−1−ナフチル)アントラセン(略称:DMNA)、2−tert−ブチル−9,10−ビス[2−(1−ナフチル)フェニル]アントラセン、9,10−ビス[2−(1−ナフチル)フェニル]アントラセン、2,3,6,7−テトラメチル−9,10−ジ(1−ナフチル)アントラセン、2,3,6,7−テトラメチル−9,10−ジ(2−ナフチル)アントラセン、9,9’−ビアントリル、10,10’−ジフェニル−9,9’−ビアントリル、10,10’−ビス(2−フェニルフェニル)−9,9’−ビアントリル、10,10’−ビス[(2,3,4,5,6−ペンタフェニル)フェニル]−9,9’−ビアントリル、アントラセン、テトラセン、ルブレン、ペリレン、2,5,8,11−テトラ(tert−ブチル)ペリレン等が挙げられる。また、この他、ペンタセン、コロネン等も用いることができる。このように、1×10−6cm2/Vs以上の正孔移動度を有し、炭素数14乃至炭素数42である芳香族炭化水素を用いることがより好ましい。Other examples of the hole transporting material include aromatic hydrocarbons, such as 2-tert-butyl-9,10-di (2-naphthyl) anthracene (abbreviation: t-BuDNA), 2-tert- Butyl-9,10-di (1-naphthyl) anthracene, 9,10-bis (3,5-diphenylphenyl) anthracene (abbreviation: DPPA), 2-tert-butyl-9,10-bis (4-phenylphenyl) ) Anthracene (abbreviation: t-BuDBA), 9,10-di (2-naphthyl) anthracene (abbreviation: DNA), 9,10-diphenylanthracene (abbreviation: DPAnth), 2-tert-butylanthracene (abbreviation: t-) BuAnth), 9,10-bis (4-methyl-1-naphthyl) anthracene (abbreviation: DMNA), 2-tert-butyl-9, 0-bis [2- (1-naphthyl) phenyl] anthracene, 9,10-bis [2- (1-naphthyl) phenyl] anthracene, 2,3,6,7-tetramethyl-9,10-di (1 -Naphthyl) anthracene, 2,3,6,7-tetramethyl-9,10-di (2-naphthyl) anthracene, 9,9'-bianthryl, 10,10'-diphenyl-9,9'-bianthryl, 10 , 10′-bis (2-phenylphenyl) -9,9′-bianthryl, 10,10′-bis [(2,3,4,5,6-pentaphenyl) phenyl] -9,9′-bianthryl, Anthracene, tetracene, rubrene, perylene, 2,5,8,11-tetra (tert-butyl) perylene and the like can be mentioned. In addition, pentacene, coronene, and the like can also be used. Thus, it is more preferable to use an aromatic hydrocarbon having a hole mobility of 1 × 10−6 cm2 / Vs or more and having 14 to 42 carbon atoms.
なお、芳香族炭化水素は、ビニル骨格を有していてもよい。ビニル基を有している芳香族炭化水素としては、例えば、4,4’−ビス(2,2−ジフェニルビニル)ビフェニル(略称:DPVBi)、9,10−ビス[4−(2,2−ジフェニルビニル)フェニル]アントラセン(略称:DPVPA)等が挙げられる。In addition, the aromatic hydrocarbon may have a vinyl skeleton. As the aromatic hydrocarbon having a vinyl group, for example, 4,4′-bis (2,2-diphenylvinyl) biphenyl (abbreviation: DPVBi), 9,10-bis [4- (2,2- Diphenylvinyl) phenyl] anthracene (abbreviation: DPVPA) and the like.
また、4−{3−[3−(9−フェニル−9H−フルオレン−9−イル)フェニル]フェニル}ジベンゾフラン(略称:mmDBFFLBi−II)、4,4’,4’’−(ベンゼン−1,3,5−トリイル)トリ(ジベンゾフラン)(略称:DBF3P−II)、1,3,5−トリ(ジベンゾチオフェン−4−イル)−ベンゼン(略称:DBT3P−II)、2,8−ジフェニル−4−[4−(9−フェニル−9H−フルオレン−9−イル)フェニル]ジベンゾチオフェン(略称:DBTFLP−III)、4−[4−(9−フェニル−9H−フルオレン−9−イル)フェニル]−6−フェニルジベンゾチオフェン(略称:DBTFLP−IV)、4−[3−(トリフェニレン−2−イル)フェニル]ジベンゾチオフェン(略称:mDBTPTp−II)等のチオフェン化合物、フラン化合物、フルオレン化合物、トリフェニレン化合物、フェナントレン化合物等を用いることができる。上述した化合物の中でも、ピロール骨格、フラン骨格、チオフェン骨格、芳香族アミン骨格を有する化合物は、安定で信頼性が良好であり好ましい。また、当該骨格を有する化合物は、正孔輸送性が高く、駆動電圧低減にも寄与する。4- {3- [3- (9-phenyl-9H-fluoren-9-yl) phenyl] phenyl} dibenzofuran (abbreviation: mmDBFFLBi-II), 4,4 ′, 4 ″-(benzene-1, 3,5-triyl) tri (dibenzofuran) (abbreviation: DBF3P-II), 1,3,5-tri (dibenzothiophen-4-yl) -benzene (abbreviation: DBT3P-II), 2,8-diphenyl-4 -[4- (9-phenyl-9H-fluoren-9-yl) phenyl] dibenzothiophene (abbreviation: DBTFLP-III), 4- [4- (9-phenyl-9H-fluoren-9-yl) phenyl]- 6-phenyldibenzothiophene (abbreviation: DBTFLP-IV), 4- [3- (triphenylene-2-yl) phenyl] dibenzothiophene (abbreviation: mDB) PTp-II) thiophene compounds, such as, furan compounds, fluorene compounds, triphenylene compounds, can be used phenanthrene compounds. Among the compounds described above, a compound having a pyrrole skeleton, a furan skeleton, a thiophene skeleton, or an aromatic amine skeleton is preferable because it is stable and reliable. In addition, the compound having the skeleton has a high hole transport property and contributes to a reduction in driving voltage.
≪正孔輸送層≫
正孔輸送層112は正孔輸送性材料を含む層であり、正孔注入層111の材料として例示した正孔輸送性材料を使用することができる。正孔輸送層112は正孔注入層111に注入された正孔を発光層130へ輸送する機能を有するため、正孔注入層111のHOMO(Highest Occupied Molecular Orbital、最高被占軌道ともいう)準位と同じ、あるいは近いHOMO準位を有することが好ましい。≪Hole transport layer≫
The
また、1×10−6cm2/Vs以上の正孔移動度を有する物質であることが好ましい。但し、電子よりも正孔の輸送性の高い物質であれば、これら以外の物質を用いてもよい。なお、正孔輸送性の高い物質を含む層は、単層だけでなく、上記物質からなる層が二層以上積層してもよい。In addition, a substance having a hole mobility of 1 × 10−6 cm2 / Vs or higher is preferable. However, any substance other than these may be used as long as it has a property of transporting more holes than electrons. Note that the layer containing a substance having a high hole-transport property is not limited to a single layer, and two or more layers containing the above substances may be stacked.
≪電子輸送層≫
電子輸送層118は、電子注入層119を経て一対の電極の他方(電極101または電極102)から注入された電子を発光層130へ輸送する機能を有する。電子輸送性材料としては、正孔よりも電子の輸送性の高い材料を用いることができ、1×10−6cm2/Vs以上の電子移動度を有する材料であることが好ましい。電子を受け取りやすい化合物(電子輸送性を有する材料)としては、含窒素複素芳香族化合物のようなπ電子不足型複素芳香族や金属錯体などを用いることができる。具体的には、発光層130に用いることができる電子輸送性材料として挙げたピリジン誘導体、ビピリジン誘導体、ピリミジン誘導体、トリアジン誘導体、キノキサリン誘導体、ジベンゾキノキサリン誘導体、フェナントロリン誘導体、トリアゾール誘導体、ベンゾイミダゾール誘導体、オキサジアゾール誘導体などが挙げられるが、窒素を二つ以上含む炭素数1乃至20の複素芳香族骨格を有すると好ましい。特に、ピリミジン骨格、及びトリアジン骨格を有する化合物であると好ましい。また、1×10−6cm2/Vs以上の電子移動度を有する物質であることが好ましい。なお、正孔よりも電子の輸送性の高い物質であれば、上記以外の物質を電子輸送層として用いても構わない。また、電子輸送層118は、単層だけでなく、上記物質からなる層が二層以上積層してもよい。≪Electron transport layer≫
The
また、複素環を有する金属錯体が挙げられ、例えば、キノリン配位子、ベンゾキノリン配位子、オキサゾール配位子、あるいはチアゾール配位子を有する金属錯体が挙げられる。具体的には、例えば、トリス(8−キノリノラト)アルミニウム(III)(略称:Alq)、トリス(4−メチル−8−キノリノラト)アルミニウム(III)(略称:Almq3)、ビス(10−ヒドロキシベンゾ[h]キノリナト)ベリリウム(II)(略称:BeBq2)、ビス(2−メチル−8−キノリノラト)(4−フェニルフェノラト)アルミニウム(III)(略称:BAlq)、ビス(8−キノリノラト)亜鉛(II)(略称:Znq)など、キノリン骨格またはベンゾキノリン骨格を有する金属錯体等が挙げられる。また、この他ビス[2−(2−ベンゾオキサゾリル)フェノラト]亜鉛(II)(略称:ZnPBO)、ビス[2−(2−ベンゾチアゾリル)フェノラト]亜鉛(II)(略称:ZnBTZ)などのオキサゾール系、またはチアゾール系配位子を有する金属錯体なども用いることができる。Moreover, the metal complex which has a heterocyclic ring is mentioned, For example, the metal complex which has a quinoline ligand, a benzoquinoline ligand, an oxazole ligand, or a thiazole ligand is mentioned. Specifically, for example, tris (8-quinolinolato) aluminum (III) (abbreviation: Alq), tris (4-methyl-8-quinolinolato) aluminum (III) (abbreviation: Almq3 ), bis (10-hydroxybenzo) [H] quinolinato) beryllium (II) (abbreviation: BeBq2 ), bis (2-methyl-8-quinolinolato) (4-phenylphenolato) aluminum (III) (abbreviation: BAlq), bis (8-quinolinolato) zinc (II) (abbreviation: Znq) and the like include metal complexes having a quinoline skeleton or a benzoquinoline skeleton. In addition, bis [2- (2-benzoxazolyl) phenolato] zinc (II) (abbreviation: ZnPBO), bis [2- (2-benzothiazolyl) phenolato] zinc (II) (abbreviation: ZnBTZ), etc. A metal complex having an oxazole-based or thiazole-based ligand can also be used.
また、電子輸送層118と発光層130との間に電子キャリアの移動を制御する層を設けても良い。これは上述したような電子輸送性の高い材料に、電子トラップ性の高い物質を少量添加した層であって、電子キャリアの移動を抑制することによって、キャリアバランスを調節することが可能となる。このような構成は、電子輸送性材料の電子輸送性が正孔輸送性材料の正孔輸送性と比べて著しく高い場合に発生する問題(例えば素子寿命の低下)の抑制に大きな効果を発揮する。Further, a layer for controlling the movement of electron carriers may be provided between the
≪電子注入層≫
電子注入層119は電極102からの電子注入障壁を低減することで電子注入を促進する機能を有し、例えば第1族金属、第2族金属、あるいはこれらの酸化物、ハロゲン化物、炭酸塩などを用いることができる。また、先に示す電子輸送性材料と、これに対して電子供与性を示す材料の複合材料を用いることもできる。電子供与性を示す材料としては、第1族金属、第2族金属、あるいはこれらの酸化物などを挙げることができる。具体的には、フッ化リチウム(LiF)、フッ化ナトリウム(NaF)、フッ化セシウム(CsF)、フッ化カルシウム(CaF2)、リチウム酸化物(LiOx)等のようなアルカリ金属、アルカリ土類金属、またはそれらの化合物を用いることができる。また、フッ化エルビウム(ErF3)のような希土類金属化合物を用いることができる。また、電子注入層119にエレクトライドを用いてもよい。該エレクトライドとしては、例えば、カルシウムとアルミニウムの混合酸化物に電子を高濃度添加した物質等が挙げられる。また、電子注入層119に、電子輸送層118で用いることが出来る物質を用いても良い。≪Electron injection layer≫
The
また、電子注入層119に、有機化合物と電子供与体(ドナー)とを混合してなる複合材料を用いてもよい。このような複合材料は、電子供与体によって有機化合物に電子が発生するため、電子注入性および電子輸送性に優れている。この場合、有機化合物としては、発生した電子の輸送に優れた材料であることが好ましく、具体的には、例えば上述した電子輸送層118を構成する物質(金属錯体や複素芳香族化合物等)を用いることができる。電子供与体としては、有機化合物に対し電子供与性を示す物質であればよい。具体的には、アルカリ金属やアルカリ土類金属や希土類金属が好ましく、リチウム、ナトリウム、セシウム、マグネシウム、カルシウム、エルビウム、イッテルビウム等が挙げられる。また、アルカリ金属酸化物やアルカリ土類金属酸化物が好ましく、リチウム酸化物、カルシウム酸化物、バリウム酸化物等が挙げられる。また、酸化マグネシウムのようなルイス塩基を用いることもできる。また、テトラチアフルバレン(略称:TTF)等の有機化合物を用いることもできる。Alternatively, a composite material obtained by mixing an organic compound and an electron donor (donor) may be used for the
なお、上述した、発光層、正孔注入層、正孔輸送層、電子輸送層、及び電子注入層は、それぞれ、蒸着法(真空蒸着法を含む)、インクジェット法、塗布法、グラビア印刷等の方法で形成することができる。また、上述した、発光層、正孔注入層、正孔輸送層、電子輸送層、及び電子注入層には、上述した材料の他、量子ドットなどの無機化合物や、高分子化合物(オリゴマー、デンドリマー、ポリマー等)を用いてもよい。Note that the light emitting layer, the hole injection layer, the hole transport layer, the electron transport layer, and the electron injection layer described above are formed by a vapor deposition method (including a vacuum vapor deposition method), an inkjet method, a coating method, a gravure printing, and the like, respectively. Can be formed by a method. In addition to the above materials, the light emitting layer, hole injection layer, hole transport layer, electron transport layer, and electron injection layer described above include inorganic compounds such as quantum dots, and polymer compounds (oligomers, dendrimers). , Polymers, etc.) may be used.
≪量子ドット≫
量子ドットは、数nm乃至数十nmサイズの半導体ナノ結晶であり、1×103個乃至1×106個程度の原子から構成されている。量子ドットはサイズに依存してエネルギーシフトするため、同じ物質から構成される量子ドットであっても、サイズによって発光波長が異なる。そのため、用いる量子ドットのサイズを変更することによって、容易に発光波長を変更することができる。≪Quantum dots≫
A quantum dot is a semiconductor nanocrystal having a size of several nanometers to several tens of nanometers, and is composed of about 1 × 103 to 1 × 106 atoms. Since quantum dots shift in energy depending on the size, even if the quantum dots are made of the same material, the emission wavelength differs depending on the size. Therefore, the emission wavelength can be easily changed by changing the size of the quantum dots to be used.
また、量子ドットは、発光スペクトルのピーク幅が狭いため、色純度のよい発光を得ることができる。さらに、量子ドットの理論的な内部量子効率はほぼ100%であると言われており、蛍光発光を呈する有機化合物の25%を大きく上回り、燐光発光を呈する有機化合物と同等となっている。このことから、量子ドットを発光材料として用いることによって発光効率の高い発光素子を得ることができる。その上、無機材料である量子ドットは、その本質的な安定性にも優れているため、寿命の観点からも好ましい発光素子を得ることができる。In addition, since the quantum dot has a narrow emission spectrum peak width, it is possible to obtain light emission with good color purity. Furthermore, the theoretical internal quantum efficiency of quantum dots is said to be almost 100%, which is much higher than 25% of organic compounds that exhibit fluorescence and is equivalent to organic compounds that exhibit phosphorescence. For this reason, a light-emitting element with high emission efficiency can be obtained by using quantum dots as a light-emitting material. In addition, quantum dots, which are inorganic materials, are excellent in essential stability, and thus a light-emitting element that is preferable from the viewpoint of life can be obtained.
量子ドットを構成する材料としては、第14族元素、第15族元素、第16族元素、複数の第14族元素からなる化合物、第4族乃至第14族に属する元素と第16族元素との化合物、第2族元素と第16族元素との化合物、第13族元素と第15族元素との化合物、第13族元素と第17族元素との化合物、第14族元素と第15族元素との化合物、第11族元素と第17族元素との化合物、酸化鉄類、酸化チタン類、カルコゲナイドスピネル類、半導体クラスターなどを挙げることができる。The materials constituting the quantum dots include group 14 elements,
具体的には、セレン化カドミウム、硫化カドミウム、テルル化カドミウム、セレン化亜鉛、酸化亜鉛、硫化亜鉛、テルル化亜鉛、硫化水銀、セレン化水銀、テルル化水銀、砒化インジウム、リン化インジウム、砒化ガリウム、リン化ガリウム、窒化インジウム、窒化ガリウム、アンチモン化インジウム、アンチモン化ガリウム、リン化アルミニウム、砒化アルミニウム、アンチモン化アルミニウム、セレン化鉛、テルル化鉛、硫化鉛、セレン化インジウム、テルル化インジウム、硫化インジウム、セレン化ガリウム、硫化砒素、セレン化砒素、テルル化砒素、硫化アンチモン、セレン化アンチモン、テルル化アンチモン、硫化ビスマス、セレン化ビスマス、テルル化ビスマス、ケイ素、炭化ケイ素、ゲルマニウム、錫、セレン、テルル、ホウ素、炭素、リン、窒化ホウ素、リン化ホウ素、砒化ホウ素、窒化アルミニウム、硫化アルミニウム、硫化バリウム、セレン化バリウム、テルル化バリウム、硫化カルシウム、セレン化カルシウム、テルル化カルシウム、硫化ベリリウム、セレン化ベリリウム、テルル化ベリリウム、硫化マグネシウム、セレン化マグネシウム、硫化ゲルマニウム、セレン化ゲルマニウム、テルル化ゲルマニウム、硫化錫、セレン化錫、テルル化錫、酸化鉛、フッ化銅、塩化銅、臭化銅、ヨウ化銅、酸化銅、セレン化銅、酸化ニッケル、酸化コバルト、硫化コバルト、酸化鉄、硫化鉄、酸化マンガン、硫化モリブデン、酸化バナジウム、酸化タングステン、酸化タンタル、酸化チタン、酸化ジルコニウム、窒化ケイ素、窒化ゲルマニウム、酸化アルミニウム、チタン酸バリウム、セレンと亜鉛とカドミウムの化合物、インジウムと砒素とリンの化合物、カドミウムとセレンと硫黄の化合物、カドミウムとセレンとテルルの化合物、インジウムとガリウムと砒素の化合物、インジウムとガリウムとセレンの化合物、インジウムとセレンと硫黄の化合物、銅とインジウムと硫黄の化合物、およびこれらの組合せなどを挙げることができるが、これらに限定されない。また、組成が任意の比率で表される、いわゆる合金型量子ドットを用いても良い。例えば、カドミウムとセレンと硫黄の合金型量子ドットは、元素の含有比率を変化させることで発光波長を変えることができるため、青色発光を得るには有効な手段の一つである。Specifically, cadmium selenide, cadmium sulfide, cadmium telluride, zinc selenide, zinc oxide, zinc sulfide, zinc telluride, mercury sulfide, mercury selenide, mercury telluride, indium arsenide, indium phosphide, gallium arsenide , Gallium phosphide, indium nitride, gallium nitride, indium antimonide, gallium phosphide, aluminum arsenide, aluminum arsenide, aluminum antimonide, lead selenide, lead telluride, lead sulfide, indium selenide, indium telluride, sulfide Indium, gallium selenide, arsenic sulfide, arsenic selenide, arsenic telluride, antimony sulfide, antimony selenide, antimony telluride, bismuth sulfide, bismuth selenide, bismuth telluride, silicon, silicon carbide, germanium, tin, selenium, Tellurium, ho Elemental, carbon, phosphorus, boron nitride, boron phosphide, boron arsenide, aluminum nitride, aluminum sulfide, barium sulfide, barium selenide, barium telluride, calcium sulfide, calcium selenide, calcium telluride, beryllium sulfide, beryllium selenide , Beryllium telluride, magnesium sulfide, magnesium selenide, germanium sulfide, germanium selenide, germanium telluride, tin sulfide, tin selenide, tin telluride, lead oxide, copper fluoride, copper chloride, copper bromide, iodide Copper, copper oxide, copper selenide, nickel oxide, cobalt oxide, cobalt sulfide, iron oxide, iron sulfide, manganese oxide, molybdenum sulfide, vanadium oxide, tungsten oxide, tantalum oxide, titanium oxide, zirconium oxide, silicon nitride, germanium nitride ,Aluminum oxide, Barium tanoate, selenium, zinc and cadmium compound, indium, arsenic and phosphorus compound, cadmium, selenium and sulfur compound, cadmium, selenium and tellurium compound, indium, gallium and arsenic compound, indium, gallium and selenium compound Examples thereof include, but are not limited to, compounds of indium, selenium and sulfur, compounds of copper, indium and sulfur, and combinations thereof. Moreover, you may use what is called an alloy type quantum dot whose composition is represented by arbitrary ratios. For example, an alloy type quantum dot of cadmium, selenium, and sulfur is one of effective means for obtaining blue light emission because the emission wavelength can be changed by changing the content ratio of elements.
量子ドットの構造としては、コア型、コア−シェル型、コア−マルチシェル型などがあり、そのいずれを用いても良いが、コアを覆ってより広いバンドギャップを持つ別の無機材料でシェルを形成することによって、ナノ結晶表面に存在する欠陥やダングリングボンドの影響を低減することができる。これにより、発光の量子効率が大きく改善するためコア−シェル型やコア−マルチシェル型の量子ドットを用いることが好ましい。シェルの材料の例としては、硫化亜鉛や酸化亜鉛が挙げられる。The structure of the quantum dot includes a core type, a core-shell type, and a core-multishell type, and any of them may be used, but the shell is covered with another inorganic material that covers the core and has a wider band gap. By forming, the influence of defects and dangling bonds existing on the nanocrystal surface can be reduced. Thereby, in order to greatly improve the quantum efficiency of light emission, it is preferable to use a core-shell type or core-multishell type quantum dot. Examples of the shell material include zinc sulfide and zinc oxide.
また、量子ドットは、表面原子の割合が高いことから、反応性が高く、凝集が起こりやすい。そのため、量子ドットの表面には保護剤が付着している又は保護基が設けられていることが好ましい。当該保護剤が付着している又は保護基が設けられていることによって、凝集を防ぎ、溶媒への溶解性を高めることができる。また、反応性を低減させ、電気的安定性を向上させることも可能である。保護剤(又は保護基)としては、例えば、ポリオキシエチレンラウリルエーテル、ポリオキシエチレンステアリルエーテル、ポリオキシエチレンオレイルエーテル等のポリオキシエチレンアルキルエーテル類、トリプロピルホスフィン、トリブチルホスフィン、トリヘキシルホスフィン、トリオクチルホスフィン等のトリアルキルホスフィン類、ポリオキシエチレンn−オクチルフェニルエーテル、ポリオキシエチレンn−ノニルフェニルエーテル等のポリオキシエチレンアルキルフェニルエーテル類、トリ(n−ヘキシル)アミン、トリ(n−オクチル)アミン、トリ(n−デシル)アミン等の第3級アミン類、トリプロピルホスフィンオキシド、トリブチルホスフィンオキシド、トリヘキシルホスフィンオキシド、トリオクチルホスフィンオキシド、トリデシルホスフィンオキシド等の有機リン化合物、ポリエチレングリコールジラウレート、ポリエチレングリコールジステアレート等のポリエチレングリコールジエステル類、また、ピリジン、ルチジン、コリジン、キノリン類等の含窒素芳香族化合物等の有機窒素化合物、ヘキシルアミン、オクチルアミン、デシルアミン、ドデシルアミン、テトラデシルアミン、ヘキサデシルアミン、オクタデシルアミン等のアミノアルカン類、ジブチルスルフィド等のジアルキルスルフィド類、ジメチルスルホキシドやジブチルスルホキシド等のジアルキルスルホキシド類、チオフェン等の含硫黄芳香族化合物等の有機硫黄化合物、パルミチン酸、ステアリン酸、オレイン酸等の高級脂肪酸、アルコール類、ソルビタン脂肪酸エステル類、脂肪酸変性ポリエステル類、3級アミン変性ポリウレタン類、ポリエチレンイミン類等が挙げられる。Quantum dots also have high reactivity because of a high proportion of surface atoms, and aggregation is likely to occur. Therefore, it is preferable that a protective agent is attached or a protective group is provided on the surface of the quantum dots. Aggregation can be prevented and solubility in a solvent can be increased by attaching the protective agent or providing a protective group. It is also possible to reduce the reactivity and improve the electrical stability. Examples of the protecting agent (or protecting group) include polyoxyethylene alkyl ethers such as polyoxyethylene lauryl ether, polyoxyethylene stearyl ether, polyoxyethylene oleyl ether, tripropylphosphine, tributylphosphine, trihexylphosphine, Trialkylphosphines such as octylphosphine, polyoxyethylene alkylphenyl ethers such as polyoxyethylene n-octylphenyl ether, polyoxyethylene n-nonylphenyl ether, tri (n-hexyl) amine, tri (n-octyl) Tertiary amines such as amine and tri (n-decyl) amine, tripropylphosphine oxide, tributylphosphine oxide, trihexylphosphine oxide, trioctylphosphite Organic phosphorus compounds such as oxide and tridecylphosphine oxide, polyethylene glycol diesters such as polyethylene glycol dilaurate and polyethylene glycol distearate, and organic nitrogen compounds such as nitrogen-containing aromatic compounds such as pyridine, lutidine, collidine and quinolines , Hexylamine, octylamine, decylamine, dodecylamine, tetradecylamine, hexadecylamine, octadecylamine and other amino alkanes, dibutyl sulfide and other dialkyl sulfides, dimethyl sulfoxide and dibutyl sulfoxide and other dialkyl sulfoxides, and thiophene Organic sulfur compounds such as sulfur-containing aromatic compounds, higher fatty acids such as palmitic acid, stearic acid, oleic acid, alcohols, sorbitan fatty acid esters Fatty acid modified polyesters, tertiary amine modified polyurethanes and polyethylene imines, and the like.
量子ドットは、サイズが小さくなるに従いバンドギャップが大きくなるため、所望の波長の光が得られるように、そのサイズを適宜調整する。結晶のサイズが小さくなるにつれて、量子ドットの発光は青色側へ、つまり、高エネルギー側へシフトするため、量子ドットのサイズを変更させることにより、紫外領域、可視領域、赤外領域のスペクトルの波長領域にわたって、その発光波長を調整することができる。量子ドットのサイズ(直径)は、0.5nm乃至20nm、好ましくは1nm乃至10nmの範囲のものが通常よく用いられる。なお、量子ドットはそのサイズ分布が狭いほど、より発光スペクトルが狭線化し、色純度の良好な発光を得ることができる。また、量子ドットの形状は特に限定されず、球状、棒状、円盤状、その他の形状であってもよい。なお、棒状の量子ドットである量子ロッドは、指向性を有する光を呈する機能を有するため、量子ロッドを発光材料として用いることにより、より外部量子効率が良好な発光素子を得ることができる。Since the band gap increases as the size decreases, the size of the quantum dot is adjusted as appropriate so that light of a desired wavelength can be obtained. As the crystal size decreases, the light emission of the quantum dots shifts to the blue side, that is, to the high energy side, so changing the size of the quantum dots changes the spectral wavelengths in the ultraviolet, visible, and infrared regions. The emission wavelength can be adjusted over a region. As the size (diameter) of the quantum dots, those in the range of 0.5 nm to 20 nm, preferably 1 nm to 10 nm are usually used. In addition, as the quantum dot has a narrower size distribution, the emission spectrum becomes narrower and light emission with good color purity can be obtained. The shape of the quantum dots is not particularly limited, and may be spherical, rod-shaped, disk-shaped, or other shapes. Note that a quantum rod that is a rod-shaped quantum dot has a function of exhibiting light having directivity, and thus a light-emitting element with better external quantum efficiency can be obtained by using the quantum rod as a light-emitting material.
ところで、有機EL素子では多くの場合、発光材料をホスト材料に分散し、発光材料の濃度消光を抑制することによって発光効率を高めている。ホスト材料は発光材料以上の一重項励起エネルギー準位または三重項励起エネルギー準位を有する材料であることが必要である。特に、青色燐光材料を発光材料に用いる場合、それ以上の三重項励起エネルギー準位を有し、且つ、寿命の観点で優れたホスト材料が必要であり、その開発は困難を極めている。ここで、量子ドットは、ホスト材料を用いずに量子ドットのみで発光層を構成しても発光効率を保つことができるため、この点でも寿命という観点から好ましい発光素子を得ることができる。量子ドットのみで発光層を形成する場合には、量子ドットはコア−シェル構造(コア−マルチシェル構造を含む)であることが好ましい。By the way, in many cases, organic EL elements increase luminous efficiency by dispersing a light emitting material in a host material and suppressing concentration quenching of the light emitting material. The host material needs to be a material having a singlet excitation energy level or a triplet excitation energy level higher than that of the light emitting material. In particular, when a blue phosphorescent material is used as a light emitting material, a host material having a triplet excitation energy level higher than that and having an excellent lifetime is required, and its development is extremely difficult. Here, since the quantum dots can maintain the light emission efficiency even if the light emitting layer is constituted only by the quantum dots without using the host material, a light emitting element that is preferable from this point of view can also be obtained. When the light emitting layer is formed only with quantum dots, the quantum dots preferably have a core-shell structure (including a core-multishell structure).
発光層の発光材料に量子ドットを用いる場合、当該発光層の膜厚は3nm乃至100nm、好ましくは10nm乃至100nmとし、発光層中の量子ドットの含有率は1乃至100体積%とする。ただし、量子ドットのみで発光層を形成することが好ましい。なお、当該量子ドットを発光材料としてホストに分散した発光層を形成する場合は、ホスト材料に量子ドットを分散させる、またはホスト材料と量子ドットとを適当な液媒体に溶解または分散させてウェットプロセス(スピンコート法、キャスト法、ダイコート法、ブレードコート法、ロールコート法、インクジェット法、印刷法、スプレーコート法、カーテンコート法、ラングミュア・ブロジェット法など)により形成すればよい。燐光性の発光材料を用いた発光層については、上記ウェットプロセスの他、真空蒸着法も好適に利用することができる。When quantum dots are used for the light emitting material of the light emitting layer, the film thickness of the light emitting layer is 3 nm to 100 nm, preferably 10 nm to 100 nm, and the content of quantum dots in the light emitting layer is 1 to 100% by volume. However, it is preferable to form the light emitting layer only with quantum dots. When forming a light emitting layer in which the quantum dots are dispersed in the host as a light emitting material, the quantum dots are dispersed in the host material, or the host material and the quantum dots are dissolved or dispersed in an appropriate liquid medium. (Spin coating method, casting method, die coating method, blade coating method, roll coating method, ink jet method, printing method, spray coating method, curtain coating method, Langmuir-Blodget method, etc.) may be used. For the light-emitting layer using a phosphorescent light-emitting material, in addition to the wet process, a vacuum vapor deposition method can be suitably used.
ウェットプロセスに用いる液媒体としては、たとえば、メチルエチルケトン、シクロヘキサノン等のケトン類、酢酸エチル等の脂肪酸エステル類、ジクロロベンゼン等のハロゲン化炭化水素類、トルエン、キシレン、メシチレン、シクロヘキシルベンゼン等の芳香族炭化水素類、シクロヘキサン、デカリン、ドデカン等の脂肪族炭化水素類、ジメチルボルムアミド(DMF)、ジメチルスルホキシド(DMSO)等の有機溶媒を用いることができる。Examples of the liquid medium used in the wet process include ketones such as methyl ethyl ketone and cyclohexanone, fatty acid esters such as ethyl acetate, halogenated hydrocarbons such as dichlorobenzene, and aromatic carbonization such as toluene, xylene, mesitylene, and cyclohexyl benzene. Hydrogen, aliphatic hydrocarbons such as cyclohexane, decalin, and dodecane, and organic solvents such as dimethyl boramide (DMF) and dimethyl sulfoxide (DMSO) can be used.
≪一対の電極≫
電極101及び電極102は、発光素子の陽極または陰極としての機能を有する。電極101及び電極102は、金属、合金、導電性化合物、およびこれらの混合物や積層体などを用いて形成することができる。≪A pair of electrodes≫
The
電極101または電極102の一方は、光を反射する機能を有する導電性材料により形成されると好ましい。該導電性材料としては、アルミニウム(Al)またはAlを含む合金等が挙げられる。Alを含む合金としては、AlとL(Lは、チタン(Ti)、ネオジム(Nd)、ニッケル(Ni)、及びランタン(La)の一つまたは複数を表す)とを含む合金等が挙げられ、例えばAlとTi、またはAlとNiとLaを含む合金等である。アルミニウムは、抵抗値が低く、光の反射率が高い。また、アルミニウムは、地殻における存在量が多く、安価であるため、アルミニウムを用いることによる発光素子の作製コストを低減することができる。また、銀(Ag)、またはAgとN(Nは、イットリウム(Y)、Nd、マグネシウム(Mg)、イッテルビウム(Yb)、Al、Ti、ガリウム(Ga)、亜鉛(Zn)、インジウム(In)、タングステン(W)、マンガン(Mn)、スズ(Sn)、鉄(Fe)、Ni、銅(Cu)、パラジウム(Pd)、イリジウム(Ir)、または金(Au)の一つまたは複数を表す)とを含む合金等を用いても良い。銀を含む合金としては、例えば、銀とパラジウムと銅を含む合金、銀と銅を含む合金、銀とマグネシウムを含む合金、銀とニッケルを含む合金、銀と金を含む合金、銀とイッテルビウムを含む合金等が挙げられる。その他、タングステン、クロム(Cr)、モリブデン(Mo)、銅、チタンなどの遷移金属を用いることができる。One of the
また、発光層から得られる発光は、電極101及び電極102の一方または双方を通して取り出される。したがって、電極101または電極102の少なくとも一方は、光を透過する機能を有する導電性材料により形成されると好ましい。該導電性材料としては、可視光の透過率が40%以上100%以下、好ましくは60%以上100%以下であり、かつその抵抗率が1×10−2Ω・cm以下の導電性材料が挙げられる。Light emitted from the light-emitting layer is extracted through one or both of the
また、電極101及び電極102は、光を透過する機能と、光を反射する機能と、を有する導電性材料により形成されても良い。該導電性材料としては、可視光の反射率が20%以上80%以下、好ましくは40%以上70%以下であり、かつその抵抗率が1×10−2Ω・cm以下の導電性材料が挙げられる。例えば、導電性を有する金属、合金、導電性化合物などを1種又は複数種用いて形成することができる。具体的には、例えば、インジウム錫酸化物(Indium Tin Oxide、以下ITO)、珪素または酸化珪素を含むインジウム錫酸化物(略称:ITSO)、酸化インジウム−酸化亜鉛(Indium Zinc Oxide)、チタンを含有した酸化インジウム−錫酸化物、インジウム−チタン酸化物、酸化タングステン及び酸化亜鉛を含有した酸化インジウムなどの金属酸化物を用いることができる。また、光を透過する程度(好ましくは、1nm以上30nm以下の厚さ)の金属薄膜を用いることができる。金属としては、例えば、Ag、またはAgとAl、AgとMg、AgとAu、AgとYbなどの合金等を用いることができる。Further, the
なお、本明細書等において、光を透過する機能を有する材料は、可視光を透過する機能を有し、且つ導電性を有する材料であればよく、例えば上記のようなITOに代表される酸化物導電体に加えて、酸化物半導体、または有機物を含む有機導電体を含む。有機物を含む有機導電体としては、例えば、有機化合物と電子供与体(ドナー)とを混合してなる複合材料、有機化合物と電子受容体(アクセプター)とを混合してなる複合材料等が挙げられる。また、グラフェンなどの無機炭素系材料を用いても良い。また、当該材料の抵抗率としては、好ましくは1×105Ω・cm以下、さらに好ましくは1×104Ω・cm以下である。Note that in this specification and the like, the material having a function of transmitting light may be any material that has a function of transmitting visible light and has conductivity. In addition to a physical conductor, an oxide semiconductor or an organic conductor including an organic substance is included. Examples of the organic conductor containing an organic substance include a composite material obtained by mixing an organic compound and an electron donor (donor), and a composite material obtained by mixing an organic compound and an electron acceptor (acceptor). . In addition, an inorganic carbon-based material such as graphene may be used. The resistivity of the material is preferably 1 × 105 Ω · cm or less, and more preferably 1 × 104 Ω · cm or less.
また、上記の材料の複数を積層することによって電極101及び電極102の一方または双方を形成してもよい。Alternatively, one or both of the
また、光取り出し効率を向上させるため、光を透過する機能を有する電極と接して、該電極より屈折率の高い材料を形成してもよい。このような材料としては、可視光を透過する機能を有する材料であればよく、導電性を有する材料であっても有さない材料であってもよい。例えば、上記のような酸化物導電体に加えて、酸化物半導体、有機物が挙げられる。有機物としては、例えば、発光層、正孔注入層、正孔輸送層、電子輸送層、または電子注入層に例示した材料が挙げられる。また、無機炭素系材料や、光が透過する程度の金属薄膜も用いることができ、数nm乃至数十nmの層を複数積層させてもよい。In order to improve the light extraction efficiency, a material having a higher refractive index than that of the electrode may be formed in contact with the electrode having a function of transmitting light. Such a material may be a material having a function of transmitting visible light, and may be a material having conductivity or not. For example, in addition to the above oxide conductor, an oxide semiconductor and an organic substance can be given. As an organic substance, the material illustrated to the light emitting layer, the positive hole injection layer, the positive hole transport layer, the electron carrying layer, or the electron injection layer is mentioned, for example. In addition, an inorganic carbon-based material or a metal thin film that transmits light can be used, and a plurality of layers of several nm to several tens of nm may be stacked.
電極101または電極102が陰極としての機能を有する場合には、仕事関数が小さい(3.8eV以下)材料を有することが好ましい。例えば、元素周期表の第1族又は第2族に属する元素(リチウム、ナトリウム、セシウム等のアルカリ金属、カルシウム、ストロンチウム等のアルカリ土類金属、マグネシウム等)、これら元素を含む合金(例えば、AgとMg、AlとLi)、ユーロピウム(Eu)、Yb等の希土類金属、これら希土類金属を含む合金、アルミニウム、銀を含む合金等を用いることができる。In the case where the
また、電極101または電極102を陽極として用いる場合、仕事関数の大きい(4.0eV以上)材料を用いることが好ましい。Further, when the
また、電極101及び電極102は、光を反射する機能を有する導電性材料と、光を透過する機能を有する導電性材料との積層としてもよい。その場合、電極101及び電極102は、各発光層からの所望の波長の光を共振させ、所望の波長の光を強めることができるように、光学距離を調整する機能を有することができるため好ましい。The
電極101及び電極102の成膜方法は、スパッタリング法、蒸着法、印刷法、塗布法、MBE(Molecular Beam Epitaxy)法、CVD法、パルスレーザ堆積法、ALD(Atomic Layer Deposition)法等を適宜用いることができる。As a method for forming the
≪基板≫
また、本発明の一態様に係る発光素子は、ガラス、プラスチックなどからなる基板上に作製すればよい。基板上に作製する順番としては、電極101側から順に積層しても、電極102側から順に積層しても良い。<< Board >>
The light-emitting element according to one embodiment of the present invention may be manufactured over a substrate formed of glass, plastic, or the like. As the order of manufacturing on the substrate, the layers may be sequentially stacked from the
なお、本発明の一態様に係る発光素子を形成できる基板としては、例えばガラス、石英、又はプラスチックなどを用いることができる。また可撓性基板を用いてもよい。可撓性基板とは、曲げることができる(フレキシブル)基板のことであり、例えば、ポリカーボネート、ポリアリレート、からなるプラスチック基板等が挙げられる。また、フィルム、無機蒸着フィルムなどを用いることもできる。なお、発光素子、及び光学素子の作製工程において支持体として機能するものであれば、これら以外のものでもよい。あるいは、発光素子、及び光学素子を保護する機能を有するものであればよい。Note that as the substrate over which the light-emitting element according to one embodiment of the present invention can be formed, glass, quartz, plastic, or the like can be used, for example. A flexible substrate may be used. The flexible substrate is a substrate that can be bent (flexible), and examples thereof include a plastic substrate made of polycarbonate and polyarylate. Moreover, a film, an inorganic vapor deposition film, etc. can also be used. Note that other materials may be used as long as they function as a support in the manufacturing process of the light-emitting element and the optical element. Or what is necessary is just to have a function which protects a light emitting element and an optical element.
例えば、本発明等においては、様々な基板を用いて発光素子を形成することが出来る。基板の種類は、特に限定されない。その基板の一例としては、半導体基板(例えば単結晶基板又はシリコン基板)、SOI基板、ガラス基板、石英基板、プラスチック基板、金属基板、ステンレス・スチル基板、ステンレス・スチル・ホイルを有する基板、タングステン基板、タングステン・ホイルを有する基板、可撓性基板、貼り合わせフィルム、繊維状の材料を含む紙、又は基材フィルムなどがある。ガラス基板の一例としては、バリウムホウケイ酸ガラス、アルミノホウケイ酸ガラス、又はソーダライムガラスなどがある。可撓性基板、貼り合わせフィルム、基材フィルムなどの一例としては、以下が挙げられる。例えば、ポリエチレンテレフタレート(PET)、ポリエチレンナフタレート(PEN)、ポリエーテルスルホン(PES)、ポリテトラフルオロエチレン(PTFE)に代表されるプラスチックがある。または、一例としては、アクリル等の樹脂などがある。または、一例としては、ポリプロピレン、ポリエステル、ポリフッ化ビニル、又はポリ塩化ビニルなどがある。または、一例としては、ポリアミド、ポリイミド、アラミド、エポキシ、無機蒸着フィルム、又は紙類などがある。For example, in the present invention and the like, a light emitting element can be formed using various substrates. The kind of board | substrate is not specifically limited. Examples of the substrate include a semiconductor substrate (for example, a single crystal substrate or a silicon substrate), an SOI substrate, a glass substrate, a quartz substrate, a plastic substrate, a metal substrate, a stainless steel substrate, a substrate having stainless steel foil, and a tungsten substrate. , A substrate having a tungsten foil, a flexible substrate, a laminated film, a paper containing a fibrous material, or a base film. Examples of the glass substrate include barium borosilicate glass, aluminoborosilicate glass, and soda lime glass. Examples of a flexible substrate, a laminated film, a base film and the like include the following. For example, there are plastics represented by polyethylene terephthalate (PET), polyethylene naphthalate (PEN), polyethersulfone (PES), and polytetrafluoroethylene (PTFE). Another example is a resin such as acrylic. Alternatively, examples include polypropylene, polyester, polyvinyl fluoride, and polyvinyl chloride. As an example, there are polyamide, polyimide, aramid, epoxy, an inorganic vapor deposition film, papers, and the like.
また、基板として、可撓性基板を用い、可撓性基板上に直接、発光素子を形成してもよい。または、基板と発光素子との間に剥離層を設けてもよい。剥離層は、その上に発光素子を一部あるいは全部完成させた後、基板より分離し、他の基板に転載するために用いることができる。その際、耐熱性の劣る基板や可撓性の基板にも発光素子を転載できる。なお、上述の剥離層には、例えば、タングステン膜と酸化シリコン膜との無機膜の積層構造の構成や、基板上にポリイミド等の樹脂膜が形成された構成等を用いることができる。Alternatively, a flexible substrate may be used as the substrate, and the light emitting element may be formed directly on the flexible substrate. Alternatively, a separation layer may be provided between the substrate and the light-emitting element. The release layer can be used to separate a part from the substrate after the light emitting element is partially or wholly formed thereon, and to transfer the light emitting element to another substrate. At that time, the light-emitting element can be transferred to a substrate having poor heat resistance or a flexible substrate. Note that, for example, a structure of a laminated structure of an inorganic film of a tungsten film and a silicon oxide film or a structure in which a resin film such as polyimide is formed over a substrate can be used for the above-described release layer.
つまり、ある基板を用いて発光素子を形成し、その後、別の基板に発光素子を転置し、別の基板上に発光素子を配置してもよい。発光素子が転置される基板の一例としては、上述した基板に加え、セロファン基板、石材基板、木材基板、布基板(天然繊維(絹、綿、麻)、合成繊維(ナイロン、ポリウレタン、ポリエステル)若しくは再生繊維(アセテート、キュプラ、レーヨン、再生ポリエステル)などを含む)、皮革基板、又はゴム基板などがある。これらの基板を用いることにより、壊れにくい発光素子、耐熱性の高い発光素子、軽量化された発光素子、または薄型化された発光素子とすることができる。That is, a light emitting element may be formed using a certain substrate, and then the light emitting element may be transferred to another substrate, and the light emitting element may be disposed on another substrate. As an example of a substrate to which the light emitting element is transferred, in addition to the above-described substrate, a cellophane substrate, a stone substrate, a wood substrate, a cloth substrate (natural fiber (silk, cotton, hemp), synthetic fiber (nylon, polyurethane, polyester) or There are recycled fibers (including acetate, cupra, rayon, recycled polyester), leather substrates, rubber substrates, and the like. By using these substrates, a light-emitting element that is not easily broken, a light-emitting element with high heat resistance, a light-emitting element that is reduced in weight, or a light-emitting element that is thinned can be obtained.
また、上述した基板上に、例えば電界効果トランジスタ(FET)を形成し、FETと電気的に接続された電極上に発光素子150を作製してもよい。これにより、FETによって発光素子150の駆動を制御するアクティブマトリクス型の表示装置を作製できる。Further, for example, a field effect transistor (FET) may be formed on the above-described substrate, and the light-emitting
以上、本実施の形態に示す構成は、他の実施の形態と適宜組み合わせて用いることができる。As described above, the structure described in this embodiment can be combined as appropriate with any of the other embodiments.
(実施の形態2)
本実施の形態においては、実施の形態1に示す発光素子の構成と異なる構成の発光素子、及び当該発光素子の発光機構について、図3及び図4を用いて、以下説明を行う。なお、図3及び図4において、図1(A)に示す符号と同様の機能を有する箇所には、同様のハッチパターンとし、符号を省略する場合がある。また、同様の機能を有する箇所には、同様の符号を付し、その詳細な説明は省略する場合がある。(Embodiment 2)
In this embodiment, a light-emitting element having a structure different from that of the light-emitting element described in
<発光素子の構成例1>
図3(A)は、発光素子250の断面模式図である。発光素子250は、一対の電極(電極101及び電極102)の間に、複数の発光ユニット(図3(A)においては、発光ユニット106及び発光ユニット108)を有する。なお、発光素子250において、電極101が陽極として機能し、電極102が陰極として機能するとして、以下説明するが、発光素子250の構成としては、逆であっても構わない。<Configuration Example 1 of Light-Emitting Element>
FIG. 3A is a schematic cross-sectional view of the light-emitting
また、図3(A)に示す発光素子250において、発光ユニット106と発光ユニット108とが積層されており、発光ユニット106と発光ユニット108との間には電荷発生層115が設けられる。なお、発光ユニット106と発光ユニット108は、同じ構成でも異なる構成でもよい。In the light-emitting
また、発光素子250は、発光層120と、発光層170と、を有する。また、発光ユニット106は、発光層170の他に、正孔注入層111、正孔輸送層112、電子輸送層113、及び電子注入層114を有する。また、発光ユニット108は、発光層120の他に、正孔注入層116、正孔輸送層117、電子輸送層118、及び電子注入層119を有する。The
電荷発生層115は、正孔輸送性材料に電子受容体であるアクセプター性物質が添加された構成であっても、電子輸送性材料に電子供与体であるドナー性物質が添加された構成であってもよい。また、これらの両方の構成が積層されていても良い。The
電荷発生層115に、有機化合物とアクセプター性物質の複合材料が含まれる場合、該複合材料には実施の形態1に示す正孔注入層111に用いることができる複合材料を用いればよい。有機化合物としては、芳香族アミン化合物、カルバゾール化合物、芳香族炭化水素、高分子化合物(オリゴマー、デンドリマー、ポリマー等)など、種々の化合物を用いることができる。なお、有機化合物としては、正孔移動度が1×10−6cm2/Vs以上である物質を適用することが好ましい。ただし、電子よりも正孔の輸送性の高い物質であれば、これら以外の物質を用いてもよい。有機化合物とアクセプター性物質の複合材料は、キャリア注入性、キャリア輸送性に優れているため、低電圧駆動、低電流駆動を実現することができる。なお、発光ユニットの陽極側の面が電荷発生層115に接している場合は、電荷発生層115が該発光ユニットの正孔注入層または正孔輸送層の役割も担うことができるため、該発光ユニットには正孔注入層または正孔輸送層を設けない構成であっても良い。あるいは、発光ユニットの陰極側の面が電荷発生層115に接している場合は、電荷発生層115が該発光ユニットの電子注入層または電子輸送層の役割も担うことができるため、該発光ユニットには電子注入層または電子輸送層を設けない構成であっても良い。In the case where the
なお、電荷発生層115は、有機化合物とアクセプター性物質の複合材料を含む層と他の材料により構成される層を組み合わせた積層構造として形成してもよい。例えば、有機化合物とアクセプター性物質の複合材料を含む層と、電子供与性物質の中から選ばれた一の化合物と電子輸送性の高い化合物とを含む層とを組み合わせて形成してもよい。また、有機化合物とアクセプター性物質の複合材料を含む層と、透明導電膜を含む層とを組み合わせて形成してもよい。Note that the
なお、発光ユニット106と発光ユニット108とに挟まれる電荷発生層115は、電極101と電極102とに電圧を印加したときに、一方の発光ユニットに電子を注入し、他方の発光ユニットに正孔を注入するものであれば良い。例えば、図3(A)において、電極101の電位の方が電極102の電位よりも高くなるように電圧を印加した場合、電荷発生層115は、発光ユニット106に電子を注入し、発光ユニット108に正孔を注入する。Note that the
なお、電荷発生層115は、光取出し効率の点から、可視光に対して透光性(具体的には、電荷発生層115に対する可視光の透過率が40%以上)を有することが好ましい。また、電荷発生層115は、一対の電極(電極101及び電極102)よりも低い導電率であっても機能する。Note that the
上述した材料を用いて電荷発生層115を形成することにより、発光層が積層された場合における駆動電圧の上昇を抑制することができる。By forming the
また、図3(A)においては、2つの発光ユニットを有する発光素子について説明したが、3つ以上の発光ユニットを積層した発光素子についても、同様に適用することが可能である。発光素子250に示すように、一対の電極間に複数の発光ユニットを電荷発生層で仕切って配置することで、電流密度を低く保ったまま、高輝度発光を可能とし、さらに長寿命な発光素子を実現できる。また、消費電力が低い発光素子を実現することができる。Further, although the light-emitting element having two light-emitting units is described in FIG. 3A, the present invention can be similarly applied to a light-emitting element in which three or more light-emitting units are stacked. As shown in the light-emitting
なお、上記各構成において、発光ユニット106及び発光ユニット108、に用いるゲスト材料が呈する発光色としては、互いに同じであっても異なっていてもよい。発光ユニット106及び発光ユニット108、で互いに同じ色の発光を呈する機能を有するゲスト材料を有する場合、発光素子250は少ない電流値で高い発光輝度を呈する発光素子となり好ましい。また、発光ユニット106及び発光ユニット108、で互いに異なる色の発光を呈する機能を有するゲスト材料を有する場合、発光素子250は多色発光を呈する発光素子となり好ましい。この場合、発光層120及び発光層170のいずれか一方もしくは双方、に発光波長の異なる複数の発光材料を用いることによって、発光素子250が呈する発光スペクトルは異なる発光ピークを有する発光が合成された光となるため、少なくとも二つの極大値を有する発光スペクトルとなる。Note that in each of the above-described configurations, the light emission colors exhibited by the guest materials used for the light-emitting
上記の構成は白色発光を得るためにも好適である。発光層120及び発光層170、の光を互いに補色の関係とすることによって、白色発光を得ることができる。特に、演色性の高い白色発光、あるいは少なくとも赤色と緑色と青色とを有する発光、になるようゲスト材料を選択することが好適である。The above configuration is also suitable for obtaining white light emission. White light emission can be obtained by making the lights of the
また、3つ以上の発光ユニットを積層した発光素子の場合、それぞれの発光ユニットに用いるゲスト材料が呈する発光色は、互いに同じであっても異なっていてもよい。同色の発光を呈する発光ユニットを複数有する場合、この複数の発光ユニットが呈する発光色は、その他の色と比較して、少ない電流値で高い発光輝度を得ることができる。このような構成は、発光色の調整に好適に用いることができる。特に、発光効率が異なり且つ、異なる発光色を呈するゲスト材料を用いる場合に好適である。例えば、3層の発光ユニットを有する場合、同色の蛍光材料を有する発光ユニットを2層、該蛍光材料とは異なる発光色を呈する燐光材料を有する発光ユニットを1層とすることで、蛍光発光と燐光発光の発光強度を調整することができる。すなわち、発光ユニットの数によって発光色の強度を調整することができる。In the case of a light-emitting element in which three or more light-emitting units are stacked, the emission colors exhibited by the guest materials used in the respective light-emitting units may be the same or different from each other. In the case of having a plurality of light emitting units that emit light of the same color, the light emission colors exhibited by the plurality of light emitting units can achieve high light emission luminance with a smaller current value than other colors. Such a configuration can be suitably used for adjusting the emission color. In particular, it is suitable when using guest materials that have different luminous efficiencies and exhibit different luminescent colors. For example, in the case of having three layers of light-emitting units, two layers of light-emitting units having the same color fluorescent material and one layer of a light-emitting unit having a phosphorescent material exhibiting an emission color different from the fluorescent material The emission intensity of phosphorescence can be adjusted. That is, the intensity of the emission color can be adjusted by the number of the light emitting units.
このような蛍光発光ユニットを2層、燐光発光ユニットを1層有する発光素子の場合、青色蛍光材料を含む発光ユニットを2層と黄色燐光材料を含む発光ユニットを1層含有する発光素子または、青色蛍光材料を含む発光ユニットを2層と赤燐光材料及び緑燐光材料を含む発光層ユニットを1層有する発光素子、青色蛍光材料を含む発光ユニットを2層と赤燐光材料、黄色燐光材料、緑燐光材料を含む発光層ユニットを1層有する発光素子、であると効率良く白色発光が得られるため好ましい。In the case of a light emitting device having two layers of such fluorescent light emitting units and one layer of phosphorescent light emitting units, a light emitting device containing two layers of light emitting units containing a blue fluorescent material and one layer of light emitting units containing a yellow phosphorescent material, or blue A light emitting element having two light emitting units containing a fluorescent material and one light emitting layer unit containing a red phosphorescent material and a green phosphorescent material, two light emitting units containing a blue fluorescent material and a red phosphorescent material, a yellow phosphorescent material, and a green phosphorescent material A light-emitting element having one light-emitting layer unit containing a material is preferable because white light emission can be efficiently obtained.
また、発光層120または発光層170の少なくとも一つを層状にさらに分割し、当該分割した層ごとに異なる発光材料を含有させるようにしても良い。すなわち、発光層120、または発光層170の少なくとも一つが2層以上の複数層でもって構成することもできる。例えば、第1の発光層と第2の発光層を正孔輸送層側から順に積層して発光層とする場合、第1の発光層のホスト材料として正孔輸送性を有する材料を用い、第2の発光層のホスト材料として電子輸送性を有する材料を用いる構成などがある。この場合、第1の発光層と第2の発光層とが有する発光材料は、同じ材料であっても異なる材料であってもよく、同じ色の発光を呈する機能を有する材料であっても、異なる色の発光を呈する機能を有する材料であってもよい。互いに異なる色の発光を呈する機能を有する複数の発光材料を有する構成により、三原色や、4色以上の発光色からなる演色性の高い白色発光を得ることもできる。Further, at least one of the
なお、複数のユニットのうち、少なくとも一つのユニットに、実施の形態1で示した構成を適用することによって、発光効率の高く、駆動電圧が低減され、信頼性が良好な発光素子を提供することができる。Note that by applying the structure described in
また、発光ユニット108が有する発光層120は、図3(B)に示すように、ゲスト材料121と、ホスト材料122とを有する。なお、ゲスト材料121は蛍光材料として、以下説明する。Further, the light-emitting
≪発光層120の発光機構≫
発光層120の発光機構について、以下説明を行う。<< Light-Emitting Mechanism of Light-Emitting
The light emission mechanism of the
一対の電極(電極101及び電極102)あるいは電荷発生層から注入された電子および正孔が発光層120において再結合することにより、励起子が生成する。ゲスト材料121と比較してホスト材料122は大量に存在するので、励起子の生成により、ほぼホスト材料122の励起状態が形成される。なお、励起子はキャリア(電子および正孔)対のことである。Excitons are generated by recombination of electrons and holes injected from the pair of electrodes (
形成されたホスト材料122の励起状態が一重項励起状態である場合、ホスト材料122のS1準位からゲスト材料121のS1準位へ一重項励起エネルギーがエネルギー移動し、ゲスト材料121の一重項励起状態が形成される。When the excited state of the formed
ゲスト材料121は蛍光材料であるため、ゲスト材料121において一重項励起状態が形成されると、ゲスト材料121は速やかに発光する。このとき、高い発光効率を得るためには、ゲスト材料121の蛍光量子収率は高いことが好ましい。なお、ゲスト材料121において、キャリアが再結合し、生成した励起状態が一重項励起状態である場合も同様である。Since the
次に、キャリアの再結合によってホスト材料122の三重項励起状態が形成される場合について説明する。この場合のホスト材料122およびゲスト材料121のエネルギー準位の相関を図3(C)に示す。また、図3(C)における表記および符号は、以下の通りである。なお、ホスト材料122のT1準位がゲスト材料121のT1準位より低いことが好ましいため、図3(C)では、この場合を図示するが、ホスト材料122のT1準位がゲスト材料121のT1準位よりも高くてもよい。Next, a case where a triplet excited state of the
・Guest(121):ゲスト材料121(蛍光材料)
・Host(122):ホスト材料122
・SFG:ゲスト材料121(蛍光材料)のS1準位
・TFG:ゲスト材料121(蛍光材料)のT1準位
・SFH:ホスト材料122のS1準位
・TFH:ホスト材料122のT1準位Guest (121): Guest material 121 (fluorescent material)
Host (122):
SFG : S1 level of guest material 121 (fluorescent material) TFG : T1 level of guest material 121 (fluorescent material) SFH : S1 level of host material 122 TFH : T1 of
図3(C)に示すように、三重項−三重項消滅(TTA:Triplet−Triplet Annihilation)によって、キャリアの再結合によって生成した三重項励起子同士が相互作用し、互いに励起エネルギーの受け渡し、及びスピン角運動量の交換を行うことで、結果としてホスト材料122のS1準位(SFH)のエネルギーを有する一重項励起子に変換される反応が生じる(図3(C) TTA参照)。ホスト材料122の一重項励起エネルギーは、SFHから、それよりもエネルギーの低いゲスト材料121のS1準位(SFG)へエネルギー移動が生じ(図3(C) ルートE1参照)、ゲスト材料121の一重項励起状態が形成され、ゲスト材料121が発光する。As shown in FIG. 3 (C), triplet-triplet annihilation (TTA) causes triplet excitons generated by carrier recombination to interact with each other, exchange excitation energy with each other, and by the exchange of spin angular momentum, resulting in S1 level position of the
なお、発光層120における三重項励起子の密度が十分に高い場合(例えば、1×1012m−3以上)では、三重項励起子単体の失活を無視し、2つの近接した三重項励起子による反応のみを考えることができる。When the density of triplet excitons in the
また、ゲスト材料121においてキャリアが再結合し三重項励起状態が形成されるとき、ゲスト材料121の三重項励起状態は熱失活するため、発光に利用することが困難となる。しかしながら、ホスト材料122のT1準位(TFH)がゲスト材料121のT1準位(TFG)より低い場合、ゲスト材料121の三重項励起エネルギーは、ゲスト材料121のT1準位(TFG)からホスト材料122のT1準位(TFH)へエネルギー移動する(図3(C) ルートE2参照)ことが可能であり、その後TTAに利用される。Further, when a carrier is recombined in the
すなわち、ホスト材料122は、三重項励起エネルギーをTTAによって一重項励起エネルギーに変換する機能を有すると好ましい。そうすることで、発光層120で生成した三重項励起エネルギーの一部を、ホスト材料122におけるTTAによって一重項励起エネルギーに変換し、該一重項励起エネルギーをゲスト材料121に移動することで、蛍光発光(Emission)として取り出すことが可能となる。そのためには、ホスト材料122のS1準位(SFH)は、ゲスト材料121のS1準位(SFG)より高いことが好ましい。また、ホスト材料122のT1準位(TFH)は、ゲスト材料121のT1準位(TFG)より低いことが好ましい。That is, the
なお、特に、ゲスト材料121のT1準位(TFG)がホスト材料122のT1準位(TFH)よりも低い場合においては、ホスト材料122とゲスト材料121との重量比は、ゲスト材料121の重量比が低い方が好ましい。具体的には、ホスト材料122を1としたときのゲスト材料121の重量比は、0より大きく0.05以下が好ましい。そうすることで、ゲスト材料121でキャリアが再結合する確率を低減させることができる。また、ホスト材料122のT1準位(TFH)からゲスト材料121のT1準位(TFG)へのエネルギー移動が生じる確率を低減させることができる。Note that in particular, when the T1 level (TFG ) of the
なお、ホスト材料122は単一の化合物で構成されていても良く、複数の化合物から構成されていても良い。The
また、発光ユニット106と発光ユニット108とで発光色が異なるゲスト材料を有する場合、発光層120からの発光が、発光層170からの発光よりも短波長側に発光のピークを有する構成とすることが好ましい。高い三重項励起エネルギー準位を有する材料を用いた発光素子は輝度劣化が早い傾向がある。そこで、短波長な発光を呈する発光層にTTAを用いることによって、輝度劣化の小さい発光素子を提供することができる。In the case where the
<発光素子の構成例2>
図4(A)は、発光素子252の断面模式図である。<Configuration Example 2 of Light-Emitting Element>
FIG. 4A is a schematic cross-sectional view of the light-emitting
図4(A)に示す発光素子252は、先に示した発光素子250と同様に、一対の電極(電極101及び電極102)の間に、複数の発光ユニット(図4(A)においては、発光ユニット106及び発光ユニット110)を有する。少なくとも1つの発光ユニットは、EL層100と同様な構成を有する。なお、発光ユニット106と発光ユニット110は、同じ構成でも異なる構成でもよい。A light-emitting
また、図4(A)に示す発光素子252において、発光ユニット106と発光ユニット110とが積層されており、発光ユニット106と発光ユニット110との間には電荷発生層115が設けられる。例えば、発光ユニット106に、EL層100を用いると好ましい。In the light-emitting
また、発光素子252は、発光層140と、発光層170と、を有する。また、発光ユニット106は、発光層170の他に、正孔注入層111、正孔輸送層112、電子輸送層113、及び電子注入層114を有する。また、発光ユニット110は、発光層140の他に、正孔注入層116、正孔輸送層117、電子輸送層118、及び電子注入層119を有する。The
なお、複数のユニットのうち、少なくとも一つのユニットに、実施の形態1で示した構成を適用することによって、発光効率の高く、駆動電圧が低減され、信頼性が良好な発光素子を提供することができる。Note that by applying the structure described in
発光ユニット110が有する発光層140は、図4(B)で示すように、ゲスト材料141と、ホスト材料142とを有する。また、ホスト材料142は、有機化合物142_1と、有機化合物142_2と、を有する。なお、発光層140が有するゲスト材料141が燐光材料として、以下説明する。The
≪発光層140の発光機構≫
次に、発光層140の発光機構について、以下説明を行う。<< Light-Emitting Mechanism of Light-Emitting
Next, the light emission mechanism of the
発光層140が有する、有機化合物142_1と、有機化合物142_2とは励起錯体を形成する。The organic compound 142_1 and the organic compound 142_2 included in the light-emitting
有機化合物142_1と有機化合物142_2との組み合わせは、互いに励起錯体を形成することが可能な組み合わせであればよいが、一方が正孔輸送性を有する化合物であり、他方が電子輸送性を有する化合物であることが、より好ましい。The combination of the organic compound 142_1 and the organic compound 142_2 may be any combination that can form an exciplex with each other, but one is a compound having a hole transporting property and the other is a compound having an electron transporting property. More preferably.
発光層140における有機化合物142_1と、有機化合物142_2と、ゲスト材料141とのエネルギー準位の相関を図4(C)に示す。なお、図4(C)における表記及び符号は、以下の通りである。
・Guest(141):ゲスト材料141(燐光材料)
・Host(142_1):有機化合物142_1(ホスト材料)
・Host(142_2):有機化合物142_2(ホスト材料)
・TPG:ゲスト材料141(燐光材料)のT1準位
・SPH1:有機化合物142_1(ホスト材料)のS1準位
・TPH1:有機化合物142_1(ホスト材料)のT1準位
・SPH2:有機化合物142_2(ホスト材料)のS1準位
・TPH2:有機化合物142_2(ホスト材料)のT1準位
・SPE:励起錯体のS1準位
・TPE:励起錯体のT1準位FIG. 4C illustrates the correlation of energy levels among the organic compound 142_1, the organic compound 142_2, and the
Guest (141): Guest material 141 (phosphorescent material)
Host (142_1): Organic compound 142_1 (host material)
Host (142_2): Organic compound 142_2 (host material)
·T PG:
有機化合物142_1と有機化合物142_2とは励起錯体を形成し、該励起錯体のS1準位(SPE)とT1準位(TPE)は互いに隣接するエネルギーとなる(図4(C) ルートE3参照)。The organic compound 142_1 and the organic compound 142_2 form an exciplex, and the S1 level (SPE ) and the T1 level (TPE ) of the exciplex are adjacent to each other (FIG. 4C, route E3 reference).
有機化合物142_1及び有機化合物142_2は、一方がホールを、他方が電子を受け取ることで速やかに励起錯体を形成する。あるいは、一方が励起状態となると、速やかに他方と相互作用することで励起錯体を形成する。したがって、発光層140における励起子のほとんどが励起錯体として存在する。励起錯体の励起エネルギー準位(SPEまたはTPE)は、励起錯体を形成するホスト材料(有機化合物142_1及び有機化合物142_2)のS1準位(SPH1及びSPH2)より低くなるため、より低い励起エネルギーでホスト材料142の励起状態を形成することが可能となる。これによって、発光素子の駆動電圧を下げることができる。One of the organic compound 142_1 and the organic compound 142_2 receives a hole and the other receives an electron, so that an exciplex is quickly formed. Alternatively, when one is in an excited state, it rapidly interacts with the other to form an exciplex. Therefore, most excitons in the light-emitting
そして、励起錯体の(SPE)と(TPE)の双方のエネルギーを、ゲスト材料141(燐光材料)のT1準位へ移動させて発光(Emission)が得られる(図4(C) ルートE4、E5参照)。Then, the energy of both the (SPE ) and (TPE ) of the exciplex is transferred to the T1 level of the guest material 141 (phosphorescent material), and emission (Emission) is obtained (FIG. 4C, route E).4,E reference5).
なお、励起錯体のT1準位(TPE)は、ゲスト材料141のT1準位(TPG)より大きいことが好ましい。そうすることで、生成した励起錯体の一重項励起エネルギーおよび三重項励起エネルギーは、励起錯体のS1準位(SPE)およびT1準位(TPE)からゲスト材料141のT1準位(TPG)へエネルギー移動することができる。Note that the T1 level (TPE ) of the exciplex is preferably larger than the T1 level (TPG ) of the
また、励起錯体からゲスト材料141へ効率よく励起エネルギーを移動させるためには、励起錯体のT1準位(TPE)が、励起錯体を形成する各有機化合物(有機化合物142_1および有機化合物142_2)のT1準位(TPH1およびTPH2)と同等か、より小さいことが好ましい。これにより、各有機化合物(有機化合物142_1及び有機化合物142_2)による励起錯体の三重項励起エネルギーのクエンチが生じにくくなり、効率よく励起錯体からゲスト材料141へエネルギー移動が発生する。In addition, in order to efficiently transfer excitation energy from the exciplex to the
また、有機化合物142_1と有機化合物142_2とが、効率よく励起錯体を形成するためには、有機化合物142_1および有機化合物142_2の一方のHOMO準位が他方のHOMO準位より高く、一方のLUMO準位が他方のLUMO準位より高いことが好ましい。例えば、有機化合物142_1が正孔輸送性を有し、有機化合物142_2が電子輸送性を有する場合、有機化合物142_1のHOMO準位が有機化合物142_2のHOMO準位より高いことが好ましく、有機化合物142_1のLUMO準位が有機化合物142_2のLUMO準位より高いことが好ましい。あるいは、有機化合物142_2が正孔輸送性を有し、有機化合物142_1が電子輸送性を有する場合、有機化合物142_2のHOMO準位が有機化合物142_1のHOMO準位より高いことが好ましく、有機化合物142_2のLUMO準位が有機化合物142_1のLUMO準位より高いことが好ましい。具体的には、有機化合物142_1のHOMO準位と有機化合物142_2のHOMO準位とのエネルギー差は、好ましくは0.05eV以上であり、より好ましくは0.1eV以上であり、さらに好ましくは0.2eV以上である。また、有機化合物142_1のLUMO準位と有機化合物142_2のLUMO準位とのエネルギー差は、好ましくは0.05eV以上であり、より好ましくは0.1eV以上であり、さらに好ましくは0.2eV以上である。In addition, in order for the organic compound 142_1 and the organic compound 142_2 to efficiently form an exciplex, one of the organic compounds 142_1 and 142_2 has a higher HOMO level than the other HOMO level, and one LUMO level. Is preferably higher than the other LUMO level. For example, when the organic compound 142_1 has a hole-transport property and the organic compound 142_2 has an electron-transport property, the HOMO level of the organic compound 142_1 is preferably higher than the HOMO level of the organic compound 142_2. The LUMO level is preferably higher than the LUMO level of the organic compound 142_2. Alternatively, when the organic compound 142_2 has a hole-transport property and the organic compound 142_1 has an electron-transport property, the HOMO level of the organic compound 142_2 is preferably higher than the HOMO level of the organic compound 142_1. The LUMO level is preferably higher than the LUMO level of the organic compound 142_1. Specifically, the energy difference between the HOMO level of the organic compound 142_1 and the HOMO level of the organic compound 142_2 is preferably 0.05 eV or more, more preferably 0.1 eV or more, and still more preferably 0.8. 2 eV or more. The energy difference between the LUMO level of the organic compound 142_1 and the LUMO level of the organic compound 142_2 is preferably 0.05 eV or more, more preferably 0.1 eV or more, and further preferably 0.2 eV or more. is there.
また、有機化合物142_1と有機化合物142_2との組み合わせが、正孔輸送性を有する化合物と電子輸送性を有する化合物との組み合わせである場合、その混合比によってキャリアバランスを容易に制御することが可能となる。具体的には、正孔輸送性を有する化合物:電子輸送性を有する化合物=1:9乃至9:1(重量比)の範囲が好ましい。また、該構成を有することで、容易にキャリアバランスを制御することができることから、キャリア再結合領域の制御も簡便に行うことができる。Further, when the combination of the organic compound 142_1 and the organic compound 142_2 is a combination of a compound having a hole transporting property and a compound having an electron transporting property, the carrier balance can be easily controlled by the mixture ratio. Become. Specifically, a compound having a hole transporting property: a compound having an electron transporting property = 1: 9 to 9: 1 (weight ratio) is preferable. In addition, since the carrier balance can be easily controlled by having this configuration, the carrier recombination region can be easily controlled.
発光層140を上述の構成とすることで、発光層140のゲスト材料141(燐光材料)からの発光を、効率よく得ることが可能となる。When the
なお、上記に示すルートE3乃至E5の過程を、本明細書等においてExTET(Exciplex−Triplet Energy Transfer)と呼称する場合がある。別言すると、発光層140は、励起錯体からゲスト材料141への励起エネルギーの供与がある。なお、この場合は必ずしもTPEからSPEへの逆項間交差効率が高い必要はなく、SPEからの発光量子収率が高い必要もないため、材料を幅広く選択することが可能となる。Note that the processes of the routes E3 to E5 described above may be referred to as ExTET (Exciplex-Triple Energy Transfer) in this specification and the like. In other words, the light-emitting
また、発光層170からの発光が、発光層140からの発光よりも短波長側に発光のピークを有する構成とすることが好ましい。短波長の発光を呈する燐光材料を用いた発光素子は輝度劣化が早い傾向がある。そこで、短波長の発光を蛍光発光とすることによって、輝度劣化の小さい発光素子を提供することができる。Further, it is preferable that the light emission from the
<発光層に用いることができる材料の例>
次に、発光層120、発光層140、及び発光層170に用いることのできる材料について、以下説明する。<Examples of materials that can be used for the light emitting layer>
Next, materials that can be used for the light-emitting
≪発光層120に用いることのできる材料≫
発光層120中では、ホスト材料122が重量比で最も多く存在し、ゲスト材料121(蛍光材料)は、ホスト材料122中に分散される。ホスト材料122のS1準位は、ゲスト材料121(蛍光材料)のS1準位よりも高く、ホスト材料122のT1準位は、ゲスト材料121(蛍光材料)のT1準位よりも低いことが好ましい。<< Materials that can be used for the light-emitting
In the
発光層120において、ゲスト材料121としては、特に限定はないが、アントラセン誘導体、テトラセン誘導体、クリセン誘導体、フェナントレン誘導体、ピレン誘導体、ペリレン誘導体、スチルベン誘導体、アクリドン誘導体、クマリン誘導体、フェノキサジン誘導体、フェノチアジン誘導体などが好ましく、実施の形態1で示した蛍光性化合物を好適に用いることができる。In the
また、発光層120において、ホスト材料122に用いることが可能な材料としては、特に限定はないが、例えば、トリス(8−キノリノラト)アルミニウム(III)(略称:Alq)、トリス(4−メチル−8−キノリノラト)アルミニウム(III)(略称:Almq3)、ビス(10−ヒドロキシベンゾ[h]キノリナト)ベリリウム(II)(略称:BeBq2)、ビス(2−メチル−8−キノリノラト)(4−フェニルフェノラト)アルミニウム(III)(略称:BAlq)、ビス(8−キノリノラト)亜鉛(II)(略称:Znq)、ビス[2−(2−ベンゾオキサゾリル)フェノラト]亜鉛(II)(略称:ZnPBO)、ビス[2−(2−ベンゾチアゾリル)フェノラト]亜鉛(II)(略称:ZnBTZ)などの金属錯体、2−(4−ビフェニリル)−5−(4−tert−ブチルフェニル)−1,3,4−オキサジアゾール(略称:PBD)、1,3−ビス[5−(p−tert−ブチルフェニル)−1,3,4−オキサジアゾール−2−イル]ベンゼン(略称:OXD−7)、3−(4−ビフェニリル)−4−フェニル−5−(4−tert−ブチルフェニル)−1,2,4−トリアゾール(略称:TAZ)、2,2’,2’’−(1,3,5−ベンゼントリイル)トリス(1−フェニル−1H−ベンゾイミダゾール)(略称:TPBI)、バソフェナントロリン(略称:BPhen)、バソキュプロイン(略称:BCP)、9−[4−(5−フェニル−1,3,4−オキサジアゾール−2−イル)フェニル]−9H−カルバゾール(略称:CO11)などの複素環化合物、4,4’−ビス[N−(1−ナフチル)−N−フェニルアミノ]ビフェニル(略称:NPBまたはα−NPD)、N,N’−ビス(3−メチルフェニル)−N,N’−ジフェニル−[1,1’−ビフェニル]−4,4’−ジアミン(略称:TPD)、4,4’−ビス[N−(スピロ−9,9’−ビフルオレン−2−イル)−N−フェニルアミノ]ビフェニル(略称:BSPB)などの芳香族アミン化合物が挙げられる。また、アントラセン誘導体、フェナントレン誘導体、ピレン誘導体、クリセン誘導体、ジベンゾ[g,p]クリセン誘導体等の縮合多環芳香族化合物が挙げられ、具体的には、9,10−ジフェニルアントラセン(略称:DPAnth)、N,N−ジフェニル−9−[4−(10−フェニル−9−アントリル)フェニル]−9H−カルバゾール−3−アミン(略称:CzA1PA)、4−(10−フェニル−9−アントリル)トリフェニルアミン(略称:DPhPA)、4−(9H−カルバゾール−9−イル)−4’−(10−フェニル−9−アントリル)トリフェニルアミン(略称:YGAPA)、N,9−ジフェニル−N−[4−(10−フェニル−9−アントリル)フェニル]−9H−カルバゾール−3−アミン(略称:PCAPA)、N,9−ジフェニル−N−{4−[4−(10−フェニル−9−アントリル)フェニル]フェニル}−9H−カルバゾール−3−アミン(略称:PCAPBA)、N,9−ジフェニル−N−(9,10−ジフェニル−2−アントリル)−9H−カルバゾール−3−アミン(略称:2PCAPA)、6,12−ジメトキシ−5,11−ジフェニルクリセン、N,N,N’,N’,N’’,N’’,N’’’,N’’’−オクタフェニルジベンゾ[g,p]クリセン−2,7,10,15−テトラアミン(略称:DBC1)、9−[4−(10−フェニル−9−アントリル)フェニル]−9H−カルバゾール(略称:CzPA)、3,6−ジフェニル−9−[4−(10−フェニル−9−アントリル)フェニル]−9H−カルバゾール(略称:DPCzPA)、9,10−ビス(3,5−ジフェニルフェニル)アントラセン(略称:DPPA)、9,10−ジ(2−ナフチル)アントラセン(略称:DNA)、2−tert−ブチル−9,10−ジ(2−ナフチル)アントラセン(略称:t−BuDNA)、9,9’−ビアントリル(略称:BANT)、9,9’−(スチルベン−3,3’−ジイル)ジフェナントレン(略称:DPNS)、9,9’−(スチルベン−4,4’−ジイル)ジフェナントレン(略称:DPNS2)、3,3’,3’’−(ベンゼン−1,3,5−トリイル)トリピレン(略称:TPB3)などを挙げることができる。また、これら及び公知の物質の中から、上記ゲスト材料121のエネルギーギャップより大きなエネルギーギャップを有する物質を、一種もしくは複数種選択して用いればよい。There is no particular limitation on a material that can be used for the host material 122 in the light-emitting layer 120; for example, tris (8-quinolinolato) aluminum (III) (abbreviation: Alq), tris (4-methyl-) 8-quinolinolato) aluminum (III) (abbreviation: Almq3 ), bis (10-hydroxybenzo [h] quinolinato) beryllium (II) (abbreviation: BeBq2 ), bis (2-methyl-8-quinolinolato) (4- Phenylphenolato) aluminum (III) (abbreviation: BAlq), bis (8-quinolinolato) zinc (II) (abbreviation: Znq), bis [2- (2-benzoxazolyl) phenolato] zinc (II) (abbreviation) : ZnPBO), gold such as bis [2- (2-benzothiazolyl) phenolato] zinc (II) (abbreviation: ZnBTZ) Genus complex, 2- (4-biphenylyl) -5- (4-tert-butylphenyl) -1,3,4-oxadiazole (abbreviation: PBD), 1,3-bis [5- (p-tert- Butylphenyl) -1,3,4-oxadiazol-2-yl] benzene (abbreviation: OXD-7), 3- (4-biphenylyl) -4-phenyl-5- (4-tert-butylphenyl)- 1,2,4-triazole (abbreviation: TAZ), 2,2 ′, 2 ″-(1,3,5-benzenetriyl) tris (1-phenyl-1H-benzimidazole) (abbreviation: TPBI), Bathophenanthroline (abbreviation: BPhen), bathocuproin (abbreviation: BCP), 9- [4- (5-phenyl-1,3,4-oxadiazol-2-yl) phenyl] -9H-carbazole (abbreviation: CO11) Na Heterocyclic compounds, 4,4′-bis [N- (1-naphthyl) -N-phenylamino] biphenyl (abbreviation: NPB or α-NPD), N, N′-bis (3-methylphenyl) -N , N′-diphenyl- [1,1′-biphenyl] -4,4′-diamine (abbreviation: TPD), 4,4′-bis [N- (spiro-9,9′-bifluoren-2-yl) And aromatic amine compounds such as —N-phenylamino] biphenyl (abbreviation: BSPB). In addition, condensed polycyclic aromatic compounds such as anthracene derivatives, phenanthrene derivatives, pyrene derivatives, chrysene derivatives, and dibenzo [g, p] chrysene derivatives can be given. Specifically, 9,10-diphenylanthracene (abbreviation: DPAnth) N, N-diphenyl-9- [4- (10-phenyl-9-anthryl) phenyl] -9H-carbazol-3-amine (abbreviation: CzA1PA), 4- (10-phenyl-9-anthryl) triphenyl Amine (abbreviation: DPhPA), 4- (9H-carbazol-9-yl) -4 ′-(10-phenyl-9-anthryl) triphenylamine (abbreviation: YGAPA), N, 9-diphenyl-N- [4 -(10-phenyl-9-anthryl) phenyl] -9H-carbazol-3-amine (abbreviation: PCAPA), N, 9-diphenyl-N- {4- [4- (10-phenyl-9-anthryl) phenyl] phenyl} -9H-carbazol-3-amine (abbreviation: PCAPBA), N, 9-diphenyl-N- ( 9,10-diphenyl-2-anthryl) -9H-carbazol-3-amine (abbreviation: 2PCAPA), 6,12-dimethoxy-5,11-diphenylchrysene, N, N, N ′, N ′, N ″ , N ″, N ′ ″, N ′ ″-octaphenyldibenzo [g, p] chrysene-2,7,10,15-tetraamine (abbreviation: DBC1), 9- [4- (10-phenyl- 9-anthryl) phenyl] -9H-carbazole (abbreviation: CzPA), 3,6-diphenyl-9- [4- (10-phenyl-9-anthryl) phenyl] -9H-carbazole (abbreviation: DPCzPA), 9 10-bis (3,5-diphenylphenyl) anthracene (abbreviation: DPPA), 9,10-di (2-naphthyl) anthracene (abbreviation: DNA), 2-tert-butyl-9,10-di (2-naphthyl) ) Anthracene (abbreviation: t-BuDNA), 9,9′-bianthryl (abbreviation: BANT), 9,9 ′-(stilbene-3,3′-diyl) diphenanthrene (abbreviation: DPNS), 9,9′- (Stilbene-4,4′-diyl) diphenanthrene (abbreviation: DPNS2), 3,3 ′, 3 ″-(benzene-1,3,5-triyl) tripylene (abbreviation: TPB3), and the like can be given. . In addition, a substance having an energy gap larger than the energy gap of the
なお、発光層120は2層以上の複数層でもって構成することもできる。例えば、第1の発光層と第2の発光層を正孔輸送層側から順に積層して発光層120とする場合、第1の発光層のホスト材料として正孔輸送性を有する物質を用い、第2の発光層のホスト材料として電子輸送性を有する物質を用いる構成などがある。In addition, the
また、発光層120において、ホスト材料122は、一種の化合物から構成されていても良く、複数の化合物から構成されていても良い。あるいは、発光層120において、ホスト材料122およびゲスト材料121以外の材料を有していても良い。Further, in the
≪発光層140に用いることのできる材料≫
発光層140中では、ホスト材料142が重量比で最も多く存在し、ゲスト材料141(燐光材料)は、ホスト材料142中に分散される。発光層140のホスト材料142(有機化合物142_1及び有機化合物142_2)のT1準位は、ゲスト材料141のT1準位よりも高いことが好ましい。<< Materials that can be used for the light-emitting
In the
有機化合物142_1としては、亜鉛やアルミニウム系金属錯体の他、オキサジアゾール誘導体、トリアゾール誘導体、ベンゾイミダゾール誘導体、キノキサリン誘導体、ジベンゾキノキサリン誘導体、ジベンゾチオフェン誘導体、ジベンゾフラン誘導体、ピリミジン誘導体、トリアジン誘導体、ピリジン誘導体、ビピリジン誘導体、フェナントロリン誘導体などが挙げられる。他の例としては、芳香族アミンやカルバゾール誘導体などが挙げられる。具体的には、実施の形態1で示した電子輸送性材料および正孔輸送性材料を用いることができる。また、一般式(G0)で表される有機化合物であるとさらに好ましい。Examples of the organic compound 142_1 include zinc and aluminum-based metal complexes, oxadiazole derivatives, triazole derivatives, benzimidazole derivatives, quinoxaline derivatives, dibenzoquinoxaline derivatives, dibenzothiophene derivatives, dibenzofuran derivatives, pyrimidine derivatives, triazine derivatives, pyridine derivatives, Bipyridine derivatives, phenanthroline derivatives and the like can be mentioned. Other examples include aromatic amines and carbazole derivatives. Specifically, the electron transporting material and the hole transporting material described in
有機化合物142_2としては、有機化合物142_1と励起錯体を形成できる組み合わせが好ましい。具体的には、実施の形態1で示した電子輸送性材料および正孔輸送性材料を用いることができる。この場合、有機化合物142_1と有機化合物142_2とで形成される励起錯体の発光ピークが、ゲスト材料141(燐光材料)の三重項MLCT(Metal to Ligand Charge Transfer)遷移の吸収帯、より具体的には、最も長波長側の吸収帯と重なるように、有機化合物142_1、有機化合物142_2、およびゲスト材料141(燐光材料)を選択することが好ましい。これにより、発光効率が飛躍的に向上した発光素子とすることができる、ただし、燐光材料に替えて熱活性化遅延蛍光材料を用いる場合においては、最も長波長側の吸収帯は一重項の吸収帯であることが好ましい。As the organic compound 142_2, a combination capable of forming an exciplex with the organic compound 142_1 is preferable. Specifically, the electron transporting material and the hole transporting material described in
ゲスト材料141(燐光材料)としては、イリジウム、ロジウム、または白金系の有機金属錯体、あるいは金属錯体が挙げられ、中でも有機イリジウム錯体、例えばイリジウム系オルトメタル錯体が好ましい。オルトメタル化する配位子としては4H−トリアゾール配位子、1H−トリアゾール配位子、イミダゾール配位子、ピリジン配位子、ピリミジン配位子、ピラジン配位子、あるいはイソキノリン配位子などが挙げられる。金属錯体としては、ポルフィリン配位子を有する白金錯体などが挙げられる。具体的には、実施の形態1で示したゲスト材料132として例示した材料を用いることができる。Examples of the guest material 141 (phosphorescent material) include iridium, rhodium, or platinum-based organometallic complexes, or metal complexes. Among these, organic iridium complexes such as iridium-based orthometal complexes are preferable. Examples of orthometalated ligands include 4H-triazole ligands, 1H-triazole ligands, imidazole ligands, pyridine ligands, pyrimidine ligands, pyrazine ligands, and isoquinoline ligands. Can be mentioned. Examples of the metal complex include a platinum complex having a porphyrin ligand. Specifically, the materials exemplified as the
発光層140に含まれる発光材料としては、三重項励起エネルギーを発光に変換できる材料であればよい。該三重項励起エネルギーを発光に変換できる材料としては、燐光材料の他に、熱活性化遅延蛍光材料が挙げられる。したがって、燐光材料と記載した部分に関しては、熱活性化遅延蛍光材料と読み替えても構わない。The light emitting material included in the
また、熱活性化遅延蛍光を示す材料は、単独で逆項間交差により三重項励起状態から一重項励起状態を生成できる材料であっても良いし、励起錯体(Exciplex)を形成する複数の材料から構成されても良い。In addition, the material that exhibits thermally activated delayed fluorescence may be a material that can generate a singlet excited state from a triplet excited state by reverse intersystem crossing alone, or a plurality of materials that form an exciplex (Exciplex). It may be composed of
熱活性化遅延蛍光材料が、一種類の材料から構成される場合、具体的には、実施の形態1で示した熱活性化遅延蛍光材料を用いることができる。When the thermally activated delayed fluorescent material is composed of one type of material, specifically, the thermally activated delayed fluorescent material shown in the first embodiment can be used.
また、熱活性化遅延蛍光材料をホスト材料として用いる場合、励起錯体を形成する2種類の化合物を組み合わせて用いることが好ましい。この場合、上記に示した励起錯体を形成する組み合わせである電子を受け取りやすい化合物と、正孔を受け取りやすい化合物とを用いることが特に好ましい。In addition, when a thermally activated delayed fluorescent material is used as a host material, it is preferable to use a combination of two types of compounds that form an exciplex. In this case, it is particularly preferable to use a compound that easily receives electrons, which is a combination that forms the exciplex shown above, and a compound that easily receives holes.
≪発光層170に用いることのできる材料≫
発光層170に用いることのできる材料としては、実施の形態1に示す発光層に用いることのできる材料を援用すればよく、そうすることで、発光効率の高い発光素子を作製することができる。<< Materials that can be used for light-emitting
As a material that can be used for the light-emitting
また、発光層120、発光層140、及び発光層170に含まれる発光材料の発光色に限定は無く、それぞれ同じでも異なっていても良い。各々から得られる発光が混合されて素子外へ取り出されるので、例えば両者の発光色が互いに補色の関係にある場合、発光素子は白色の光を与えることができる。発光素子の信頼性を考慮すると、発光層120に含まれる発光材料の発光ピーク波長は発光層170に含まれる発光材料のそれよりも短いことが好ましい。Further, the light emission color of the light emitting material contained in the
なお、発光ユニット106、発光ユニット108、発光ユニット110、及び電荷発生層115は、蒸着法(真空蒸着法を含む)、インクジェット法、塗布法、グラビア印刷等の方法で形成することができる。Note that the light-emitting
以上、本実施の形態に示す構成は、他の実施の形態に示した構成と適宜組み合わせて用いることができる。As described above, the structure described in this embodiment can be combined as appropriate with any of the structures described in the other embodiments.
(実施の形態3)
図5(A)は、発光装置を示す上面図、図5(B)は図5(A)をA−BおよびC−Dで切断した断面図である。この発光装置は、発光素子の発光を制御するものとして、点線で示された駆動回路部(ソース側駆動回路)601、画素部602、駆動回路部(ゲート側駆動回路)603を含んでいる。また、604は封止基板、625は乾燥材、605はシール材であり、シール材605で囲まれた内側は、空間607になっている。(Embodiment 3)
5A is a top view illustrating the light-emitting device, and FIG. 5B is a cross-sectional view taken along lines AB and CD of FIG. 5A. This light-emitting device includes a drive circuit portion (source side drive circuit) 601, a
なお、引き回し配線608はソース側駆動回路601及びゲート側駆動回路603に入力される信号を伝送するための配線であり、外部入力端子となるFPC(フレキシブルプリントサーキット)609からビデオ信号、クロック信号、スタート信号、リセット信号等を受け取る。なお、ここではFPCしか図示されていないが、このFPCにはプリント配線基板(PWB:Printed Wiring Board)が取り付けられていても良い。本明細書における発光装置には、発光装置本体だけでなく、それにFPCもしくはPWBが取り付けられた状態を含むものとする。Note that the
次に、上記発光装置の断面構造について図5(B)を用いて説明する。素子基板610上に駆動回路部及び画素部が形成されているが、ここでは、駆動回路部であるソース側駆動回路601と画素部602中の一つの画素が示されている。Next, a cross-sectional structure of the light-emitting device is described with reference to FIG. A driver circuit portion and a pixel portion are formed over the
なお、ソース側駆動回路601はnチャネル型TFT623とpチャネル型TFT624とを組み合わせたCMOS回路が形成される。また、駆動回路は種々のCMOS回路、PMOS回路、NMOS回路で形成しても良い。また本実施の形態では、基板上に駆動回路を形成したドライバー一体型を示すが、必ずしもその必要はなく、駆動回路を基板上ではなく、外部に形成することもできる。Note that the source
また、画素部602はスイッチング用TFT611と電流制御用TFT612とそのドレインに電気的に接続された第1の電極613とを含む画素により形成される。なお、第1の電極613の端部を覆うように絶縁物614が形成されている。絶縁物614は、ポジ型の感光性樹脂膜を用いることにより形成することができる。The
また、絶縁物614上に形成される膜の被覆性を良好なものとするため、絶縁物614の上端部または下端部に曲率を有する面が形成されるようにする。例えば、絶縁物614の材料として感光性アクリルを用いた場合、絶縁物614の上端部のみに曲面をもたせることが好ましい。該曲面の曲率半径は0.2μm以上0.3μm以下が好ましい。また、絶縁物614として、ネガ型、ポジ型、いずれの感光材料も使用することができる。In order to improve the coverage of the film formed over the
第1の電極613上には、EL層616、および第2の電極617がそれぞれ形成されている。ここで、陽極として機能する第1の電極613に用いる材料としては、仕事関数の大きい材料を用いることが望ましい。例えば、ITO膜、またはケイ素を含有したインジウム錫酸化物膜、2wt%以上20wt%以下の酸化亜鉛を含む酸化インジウム膜、窒化チタン膜、クロム膜、タングステン膜、Zn膜、Pt膜などの単層膜の他、窒化チタンとアルミニウムを主成分とする膜との積層、窒化チタン膜とアルミニウムを主成分とする膜と窒化チタン膜との3層構造等を用いることができる。なお、積層構造とすると、配線としての抵抗も低く、良好なオーミックコンタクトがとれ、さらに陽極として機能させることができる。An
また、EL層616は、蒸着マスクを用いた蒸着法、インクジェット法、スピンコート法等の種々の方法によって形成される。EL層616を構成する材料としては、低分子化合物、または高分子化合物(オリゴマー、デンドリマーを含む)であっても良い。The
さらに、EL層616上に形成され、陰極として機能する第2の電極617に用いる材料としては、仕事関数の小さい材料(Al、Mg、Li、Ca、またはこれらの合金や化合物、MgAg、MgIn、AlLi等)を用いることが好ましい。なお、EL層616で生じた光が第2の電極617を透過させる場合には、第2の電極617として、膜厚を薄くした金属薄膜と、透明導電膜(ITO、2wt%以上20wt%以下の酸化亜鉛を含む酸化インジウム、ケイ素を含有したインジウム錫酸化物、酸化亜鉛(ZnO)等)との積層を用いるのが良い。Further, as a material used for the
なお、第1の電極613、EL層616、第2の電極617により、発光素子618が形成されている。発光素子618は実施の形態1及び実施の形態2の構成を有する発光素子であると好ましい。なお、画素部は複数の発光素子が形成されてなっているが、本実施の形態における発光装置では、実施の形態3及び実施の形態4で説明した構成を有する発光素子と、それ以外の構成を有する発光素子の両方が含まれていても良い。Note that the light-emitting
さらにシール材605で封止基板604を素子基板610と貼り合わせることにより、素子基板610、封止基板604、およびシール材605で囲まれた空間607に発光素子618が備えられた構造になっている。なお、空間607には、充填材が充填されており、不活性気体(窒素やアルゴン等)が充填される場合の他、樹脂若しくは乾燥材又はその両方で充填される場合もある。Further, the sealing
なお、シール材605にはエポキシ系樹脂やガラスフリットを用いるのが好ましい。また、これらの材料はできるだけ水分や酸素を透過しない材料であることが望ましい。また、封止基板604に用いる材料としてガラス基板や石英基板の他、FRP(Fiber Reinforced Plastics)、PVF(ポリビニルフロライド)、ポリエステルまたはアクリル等からなるプラスチック基板を用いることができる。Note that an epoxy resin or glass frit is preferably used for the
以上のようにして、実施の形態3及び実施の形態4で説明した発光素子を用いた発光装置を得ることができる。As described above, a light-emitting device using the light-emitting element described in
<発光装置の構成例1>
図6には発光装置の一例として、白色発光を呈する発光素子を形成し、着色層(カラーフィルタ)を形成した発光装置の例を示す。<Configuration Example 1 of Light-Emitting Device>
FIG. 6 illustrates an example of a light emitting device in which a light emitting element that emits white light is formed and a colored layer (color filter) is formed as an example of the light emitting device.
図6(A)には基板1001、下地絶縁膜1002、ゲート絶縁膜1003、ゲート電極1006、1007、1008、第1の層間絶縁膜1020、第2の層間絶縁膜1021、周辺部1042、画素部1040、駆動回路部1041、発光素子の第1の電極1024W、1024R、1024G、1024B、隔壁1026、EL層1028、発光素子の第2の電極1029、封止基板1031、シール材1032などが図示されている。6A shows a
また、図6(A)、図6(B)には着色層(赤色の着色層1034R、緑色の着色層1034G、青色の着色層1034B)を透明な基材1033に設けている。また、黒色層(ブラックマトリックス)1035をさらに設けても良い。着色層及び黒色層が設けられた透明な基材1033は、位置合わせし、基板1001に固定する。なお、着色層、及び黒色層は、オーバーコート層1036で覆われている。また、図6(A)においては、光が着色層を透過せずに外部へと出る発光層と、各色の着色層を透過して外部に光が出る発光層とがあり、着色層を透過しない光は白、着色層を透過する光は赤、青、緑となることから、4色の画素で映像を表現することができる。In FIGS. 6A and 6B, colored layers (a red
図6(B)では赤色の着色層1034R、緑色の着色層1034G、青色の着色層1034Bをゲート絶縁膜1003と第1の層間絶縁膜1020との間に形成する例を示した。図6(B)に示すように着色層は基板1001と封止基板1031の間に設けられても良い。FIG. 6B illustrates an example in which the red
また、以上に説明した発光装置では、TFTが形成されている基板1001側に光を取り出す構造(ボトムエミッション型)の発光装置としたが、封止基板1031側に発光を取り出す構造(トップエミッション型)の発光装置としても良い。In the light-emitting device described above, a light-emitting device having a structure in which light is extracted to the
<発光装置の構成例2>
トップエミッション型の発光装置の断面図を図7に示す。この場合、基板1001は光を通さない基板を用いることができる。TFTと発光素子の陽極とを接続する接続電極を作製するまでは、ボトムエミッション型の発光装置と同様に形成する。その後、第3の層間絶縁膜1037を電極1022を覆って形成する。この絶縁膜は平坦化の役割を担っていても良い。第3の層間絶縁膜1037は第2の層間絶縁膜1021と同様の材料の他、他の様々な材料を用いて形成することができる。<Configuration Example 2 of Light Emitting Device>
A cross-sectional view of a top emission type light emitting device is shown in FIG. In this case, a substrate that does not transmit light can be used as the
発光素子の第1の下部電極1025W、1025R、1025G、1025Bはここでは陽極とするが、陰極であっても構わない。また、図7のようなトップエミッション型の発光装置である場合、下部電極1025W、1025R、1025G、1025Bは反射電極とすることが好ましい。なお、第2の電極1029は光を反射する機能と、光を透過する機能を有すると好ましい。また、第2の電極1029と下部電極1025W、1025R、1025G、1025Bとの間でマイクロキャビティ構造を適用し特定波長の光を増幅する機能を有すると好ましい。EL層1028の構成は、実施の形態2で説明したような構成とし、白色の発光が得られるような素子構造とする。The first
図6(A)、図6(B)、図7において、白色の発光が得られるEL層の構成としては、発光層を複数層用いること、複数の発光ユニットを用いることなどにより実現すればよい。なお、白色発光を得る構成はこれらに限られない。In FIGS. 6A, 6B, and 7, the structure of the EL layer that can emit white light may be realized by using a plurality of light-emitting layers, a plurality of light-emitting units, or the like. . The configuration for obtaining white light emission is not limited to these.
図7のようなトップエミッション構造では着色層(赤色の着色層1034R、緑色の着色層1034G、青色の着色層1034B)を設けた封止基板1031て封止を行うことができる。封止基板1031には画素と画素との間に位置するように黒色層(ブラックマトリックス)1030を設けても良い。着色層(赤色の着色層1034R、緑色の着色層1034G、青色の着色層1034B)や黒色層(ブラックマトリックス)はオーバーコート層によって覆われていても良い。なお封止基板1031は透光性を有する基板を用いる。In the top emission structure as shown in FIG. 7, sealing can be performed with a sealing
また、ここでは赤、緑、青、白の4色でフルカラー表示を行う例を示したが特に限定されず、赤、緑、青の3色でフルカラー表示を行ってもよい。また、赤、緑、青、黄の4色でフルカラー表示を行ってもよい。Although an example in which full color display is performed with four colors of red, green, blue, and white is shown here, the present invention is not particularly limited, and full color display may be performed with three colors of red, green, and blue. Further, full color display may be performed with four colors of red, green, blue, and yellow.
以上のようにして、実施の形態1及び実施の形態2で説明した発光素子を用いた発光装置を得ることができる。As described above, a light-emitting device using the light-emitting element described in
なお、本実施の形態は、他の実施の形態と適宜組み合わせることが可能である。Note that this embodiment can be combined with any of the other embodiments as appropriate.
(実施の形態4)
本実施の形態では、本発明の一態様の電子機器について説明する。(Embodiment 4)
In this embodiment, an electronic device of one embodiment of the present invention will be described.
本発明の一態様は有機ELを用いた発光素子であるため、平面を有し、発光効率が良好な、信頼性の高い電子機器を作製できる。また、本発明の一態様により、曲面を有し、発光効率が良好な、信頼性の高い電子機器を作製できる。また、本発明の一態様により、可撓性を有し、発光効率が良好な、信頼性の高い電子機器を作製できる。Since one embodiment of the present invention is a light-emitting element using an organic EL, a highly reliable electronic device having a flat surface and favorable light emission efficiency can be manufactured. According to one embodiment of the present invention, a highly reliable electronic device having a curved surface and favorable emission efficiency can be manufactured. Further, according to one embodiment of the present invention, a highly reliable electronic device having flexibility and favorable light emission efficiency can be manufactured.
電子機器としては、例えば、テレビジョン装置、デスクトップ型もしくはノート型のパーソナルコンピュータ、コンピュータ用などのモニタ、デジタルカメラ、デジタルビデオカメラ、デジタルフォトフレーム、携帯電話機、携帯型ゲーム機、携帯情報端末、音響再生装置、パチンコ機などの大型ゲーム機などが挙げられる。Electronic devices include, for example, television devices, desktop or notebook personal computers, monitors for computers, digital cameras, digital video cameras, digital photo frames, mobile phones, portable game consoles, personal digital assistants, audio devices Large game machines such as playback devices and pachinko machines are listed.
また、本発明の一態様の発光装置は、外光の強さによらず、高い視認性を実現することができる。そのため、携帯型の電子機器、装着型の電子機器(ウェアラブル機器)、及び電子書籍端末などに好適に用いることができる。In addition, the light-emitting device of one embodiment of the present invention can achieve high visibility regardless of the intensity of external light. Therefore, it can be suitably used for a portable electronic device, a wearable electronic device (wearable device), an electronic book terminal, and the like.
図8(A)、(B)に示す携帯情報端末900は、筐体901、筐体902、表示部903、及びヒンジ部905等を有する。A
筐体901と筐体902は、ヒンジ部905で連結されている。携帯情報端末900は、折り畳んだ状態(図8(A))から、図8(B)に示すように展開させることができる。これにより、持ち運ぶ際には可搬性に優れ、使用するときには大きな表示領域により、視認性に優れる。The
携帯情報端末900には、ヒンジ部905により連結された筐体901と筐体902に亘って、フレキシブルな表示部903が設けられている。The
本発明の一態様を用いて作製された発光装置を、表示部903に用いることができる。これにより、高い歩留まりで携帯情報端末を作製することができる。A light-emitting device manufactured using one embodiment of the present invention can be used for the
表示部903は、文書情報、静止画像、及び動画像等のうち少なくとも一つを表示することができる。表示部に文書情報を表示させる場合、携帯情報端末900を電子書籍端末として用いることができる。The
携帯情報端末900を展開すると、表示部903が大きく湾曲した形態で保持される。例えば、曲率半径1mm以上50mm以下、好ましくは5mm以上30mm以下に湾曲した部分を含んで、表示部903が保持される。表示部903の一部は、筐体901から筐体902にかけて、連続的に画素が配置され、曲面状の表示を行うことができる。When the
表示部903は、タッチパネルとして機能し、指やスタイラスなどにより操作することができる。The
表示部903は、一つのフレキシブルディスプレイで構成されていることが好ましい。これにより、筐体901と筐体902の間で途切れることのない連続した表示を行うことができる。なお、筐体901と筐体902のそれぞれに、ディスプレイが設けられる構成としてもよい。The
ヒンジ部905は、携帯情報端末900を展開したときに、筐体901と筐体902との角度が所定の角度よりも大きい角度にならないように、ロック機構を有することが好ましい。例えば、ロックがかかる(それ以上に開かない)角度は、90度以上180度未満であることが好ましく、代表的には、90度、120度、135度、150度、または175度などとすることができる。これにより、携帯情報端末900の利便性、安全性、及び信頼性を高めることができる。The
ヒンジ部905がロック機構を有すると、表示部903に無理な力がかかることなく、表示部903が破損することを防ぐことができる。そのため、信頼性の高い携帯情報端末を実現できる。When the
筐体901及び筐体902は、電源ボタン、操作ボタン、外部接続ポート、スピーカ、マイク等を有していてもよい。The
筐体901または筐体902のいずれか一方には、無線通信モジュールが設けられ、インターネットやLAN(Local Area Network)、Wi−Fi(登録商標)などのコンピュータネットワークを介して、データを送受信することが可能である。One of the
図8(C)に示す携帯情報端末910は、筐体911、表示部912、操作ボタン913、外部接続ポート914、スピーカ915、マイク916、カメラ917等を有する。A
本発明の一態様を用いて作製された発光装置を、表示部912に用いることができる。これにより、高い歩留まりで携帯情報端末を作製することができる。A light-emitting device manufactured using one embodiment of the present invention can be used for the
携帯情報端末910は、表示部912にタッチセンサを備える。電話を掛ける、或いは文字を入力するなどのあらゆる操作は、指やスタイラスなどで表示部912に触れることで行うことができる。The
また、操作ボタン913の操作により、電源のON、OFF動作や、表示部912に表示される画像の種類の切り替えを行うことができる。例えば、メール作成画面から、メインメニュー画面に切り替えることができる。Further, by operating the
また、携帯情報端末910の内部に、ジャイロセンサまたは加速度センサ等の検出装置を設けることで、携帯情報端末910の向き(縦か横か)を判断して、表示部912の画面表示の向きを自動的に切り替えることができる。また、画面表示の向きの切り替えは、表示部912に触れること、操作ボタン913の操作、またはマイク916を用いた音声入力等により行うこともできる。Further, by providing a detection device such as a gyro sensor or an acceleration sensor inside the
携帯情報端末910は、例えば、電話機、手帳または情報閲覧装置等から選ばれた一つまたは複数の機能を有する。具体的には、スマートフォンとして用いることができる。携帯情報端末910は、例えば、移動電話、電子メール、文章閲覧及び作成、音楽再生、動画再生、インターネット通信、ゲームなどの種々のアプリケーションを実行することができる。The
図8(D)に示すカメラ920は、筐体921、表示部922、操作ボタン923、シャッターボタン924等を有する。またカメラ920には、着脱可能なレンズ926が取り付けられている。A
本発明の一態様を用いて作製された発光装置を、表示部922に用いることができる。これにより、高い歩留まりでカメラを作製することができる。A light-emitting device manufactured using one embodiment of the present invention can be used for the
ここではカメラ920を、レンズ926を筐体921から取り外して交換することが可能な構成としたが、レンズ926と筐体921とが一体となっていてもよい。Here, the
カメラ920は、シャッターボタン924を押すことにより、静止画または動画を撮像することができる。また、表示部922はタッチパネルとしての機能を有し、表示部922をタッチすることにより撮像することも可能である。The
なお、カメラ920は、ストロボ装置や、ビューファインダーなどを別途装着することができる。または、これらが筐体921に組み込まれていてもよい。The
図9(A)乃至(E)は、電子機器を示す図である。これらの電子機器は、筐体9000、表示部9001、スピーカ9003、操作キー9005(電源スイッチまたは操作スイッチを含む)、接続端子9006、センサ9007(力、変位、位置、速度、加速度、角速度、回転数、距離、光、液、磁気、温度、化学物質、音声、時間、硬度、電場、電流、電圧、電力、放射線、流量、湿度、傾度、振動、においまたは赤外線を測定する機能を含むもの)、マイクロフォン9008等を有する。9A to 9E illustrate electronic devices. These electronic devices include a
本発明の一態様を用いて作製された発光装置を、表示部9001に好適に用いることができる。これにより、高い歩留まりで電子機器を作製することができる。A light-emitting device manufactured using one embodiment of the present invention can be favorably used for the
図9(A)乃至(E)に示す電子機器は、様々な機能を有することができる。例えば、様々な情報(静止画、動画、テキスト画像など)を表示部に表示する機能、タッチパネル機能、カレンダー、日付または時刻などを表示する機能、様々なソフトウェア(プログラム)によって処理を制御する機能、無線通信機能、無線通信機能を用いて様々なコンピュータネットワークに接続する機能、無線通信機能を用いて様々なデータの送信または受信を行う機能、記録媒体に記録されているプログラムまたはデータを読み出して表示部に表示する機能、等を有することができる。なお、図9(A)乃至(E)に示す電子機器が有する機能はこれらに限定されず、その他の機能を有していてもよい。The electronic devices illustrated in FIGS. 9A to 9E can have a variety of functions. For example, a function for displaying various information (still images, moving images, text images, etc.) on the display unit, a touch panel function, a function for displaying a calendar, date or time, a function for controlling processing by various software (programs), Wireless communication function, function for connecting to various computer networks using the wireless communication function, function for transmitting or receiving various data using the wireless communication function, and reading and displaying the program or data recorded on the recording medium It can have a function of displaying on the section. Note that the functions of the electronic devices illustrated in FIGS. 9A to 9E are not limited to these, and may have other functions.
図9(A)は腕時計型の携帯情報端末9200を、図9(B)は腕時計型の携帯情報端末9201を、それぞれ示す斜視図である。9A is a perspective view illustrating a wristwatch-type
図9(A)に示す携帯情報端末9200は、移動電話、電子メール、文章閲覧及び作成、音楽再生、インターネット通信、コンピュータゲームなどの種々のアプリケーションを実行することができる。また、表示部9001はその表示面が湾曲して設けられ、湾曲した表示面に沿って表示を行うことができる。また、携帯情報端末9200は、通信規格された近距離無線通信を実行することが可能である。例えば無線通信可能なヘッドセットと相互通信することによって、ハンズフリーで通話することもできる。また、携帯情報端末9200は、接続端子9006を有し、他の情報端末とコネクターを介して直接データのやりとりを行うことができる。また接続端子9006を介して充電を行うこともできる。なお、充電動作は接続端子9006を介さずに無線給電により行ってもよい。A
図9(B)に示す携帯情報端末9201は、図9(A)に示す携帯情報端末と異なり、表示部9001の表示面が湾曲していない。また、携帯情報端末9201の表示部の外形が非矩形状(図9(B)においては円形状)である。A
図9(C)乃至(E)は、折り畳み可能な携帯情報端末9202を示す斜視図である。なお、図9(C)が携帯情報端末9202を展開した状態の斜視図であり、図9(D)が携帯情報端末9202を展開した状態または折り畳んだ状態の一方から他方に変化する途中の状態の斜視図であり、図9(E)が携帯情報端末9202を折り畳んだ状態の斜視図である。9C to 9E are perspective views showing a foldable
携帯情報端末9202は、折り畳んだ状態では可搬性に優れ、展開した状態では、継ぎ目のない広い表示領域により表示の一覧性に優れる。携帯情報端末9202が有する表示部9001は、ヒンジ9055によって連結された3つの筐体9000に支持されている。ヒンジ9055を介して2つの筐体9000間を屈曲させることにより、携帯情報端末9202を展開した状態から折りたたんだ状態に可逆的に変形させることができる。例えば、携帯情報端末9202は、曲率半径1mm以上150mm以下で曲げることができる。The
本実施の形態は、他の実施の形態と適宜組み合わせることができる。This embodiment can be combined with any of the other embodiments as appropriate.
(実施の形態5)
本実施の形態では、本発明の一態様の発光素子を様々な照明装置に適用する一例について、図10及び図11を用いて説明する。本発明の一態様である発光素子を用いることで、発光効率が良好な、信頼性の高い照明装置を作製できる。(Embodiment 5)
In this embodiment, examples of applying the light-emitting element of one embodiment of the present invention to various lighting devices will be described with reference to FIGS. By using the light-emitting element which is one embodiment of the present invention, a highly reliable lighting device with favorable light emission efficiency can be manufactured.
本発明の一態様の発光素子を、可撓性を有する基板上に作製することで、曲面を有する発光領域を有する電子機器、照明装置を実現することができる。By manufacturing the light-emitting element of one embodiment of the present invention over a flexible substrate, an electronic device or a lighting device having a light-emitting region having a curved surface can be realized.
また、本発明の一態様の発光素子を適用した発光装置は、自動車の照明にも適用することができ、例えば、フロントガラス、天井等に照明を設置することもできる。In addition, the light-emitting device to which the light-emitting element of one embodiment of the present invention is applied can also be used for lighting of a car, for example, lighting can be installed on a windshield, a ceiling, or the like.
図10(A)は、多機能端末3500の一方の面の斜視図を示し、図10(B)は、多機能端末3500の他方の面の斜視図を示している。多機能端末3500は、筐体3502に表示部3504、カメラ3506、照明3508等が組み込まれている。本発明の一態様の発光装置を照明3508に用いることができる。10A shows a perspective view of one surface of the
照明3508は、本発明の一態様の発光装置を用いることで、面光源として機能する。したがって、LEDに代表される点光源と異なり、指向性が少ない発光が得られる。例えば、照明3508とカメラ3506とを組み合わせて用いる場合、照明3508を点灯または点滅させて、カメラ3506により撮像することができる。照明3508としては、面光源としての機能を有するため、自然光の下で撮影したような写真を撮影することができる。The
なお、図10(A)、(B)に示す多機能端末3500は、図9(A)乃至図9(C)に示す電子機器と同様に、様々な機能を有することができる。Note that the multi-function terminal 3500 illustrated in FIGS. 10A and 10B can have various functions similar to the electronic devices illustrated in FIGS. 9A to 9C.
また、筐体3502の内部に、スピーカ、センサ(力、変位、位置、速度、加速度、角速度、回転数、距離、光、液、磁気、温度、化学物質、音声、時間、硬度、電場、電流、電圧、電力、放射線、流量、湿度、傾度、振動、におい又は赤外線を測定する機能を含むもの)、マイクロフォン等を有することができる。また、多機能端末3500の内部に、ジャイロ、加速度センサ等の傾きを検出するセンサを有する検出装置を設けることで、多機能端末3500の向き(縦か横か)を判断して、表示部3504の画面表示を自動的に切り替えるようにすることができる。In addition, a speaker, a sensor (force, displacement, position, velocity, acceleration, angular velocity, rotation speed, distance, light, liquid, magnetism, temperature, chemical substance, sound, time, hardness, electric field, current are provided inside the
表示部3504は、イメージセンサとして機能させることもできる。例えば、表示部3504に掌や指で触れ、掌紋、指紋等を撮像することで、本人認証を行うことができる。また、表示部3504に近赤外光を発光するバックライト又は近赤外光を発光するセンシング用光源を用いれば、指静脈、掌静脈などを撮像することもできる。なお、表示部3504に本発明の一態様の発光装置を適用してもよい。The
図10(C)は、防犯用のライト3600の斜視図を示している。ライト3600は、筐体3602の外側に照明3608を有し、筐体3602には、スピーカ3610等が組み込まれている。本発明の一態様の発光素子を照明3608に用いることができる。FIG. 10C is a perspective view of a
ライト3600としては、例えば、照明3608を握持する、掴持する、または保持することで発光することができる。また、筐体3602の内部には、ライト3600からの発光方法を制御できる電子回路を備えていてもよい。該電子回路としては、例えば、1回または間欠的に複数回、発光が可能なような回路としてもよいし、発光の電流値を制御することで発光の光量が調整可能なような回路としてもよい。また、照明3608の発光と同時に、スピーカ3610から大音量の警報音が出力されるような回路を組み込んでもよい。As the light 3600, for example, light can be emitted by holding, holding, or holding the
ライト3600としては、あらゆる方向に発光することが可能なため、例えば、暴漢等に向けて光、または光と音で威嚇することができる。また、ライト3600にデジタルスチルカメラ等のカメラ、撮影機能を有する機能を備えてもよい。Since the light 3600 can emit light in all directions, for example, it can be threatened with light or light and sound toward a thief or the like. The light 3600 may be provided with a camera such as a digital still camera and a function having a photographing function.
図11は、発光素子を室内の照明装置8501として用いた例である。なお、発光素子は大面積化も可能であるため、大面積の照明装置を形成することもできる。その他、曲面を有する筐体を用いることで、発光領域が曲面を有する照明装置8502を形成することもできる。本実施の形態で示す発光素子は薄膜状であり、筐体のデザインの自由度が高い。したがって、様々な意匠を凝らした照明装置を形成することができる。さらに、室内の壁面に大型の照明装置8503を備えても良い。また、照明装置8501、8502、8503に、タッチセンサを設けて、電源のオンまたはオフを行ってもよい。FIG. 11 shows an example in which a light-emitting element is used as an
また、発光素子をテーブルの表面側に用いることによりテーブルとしての機能を備えた照明装置8504とすることができる。なお、その他の家具の一部に発光素子を用いることにより、家具としての機能を備えた照明装置とすることができる。Moreover, it can be set as the illuminating
以上のようにして、本発明の一態様の発光装置を適用して照明装置及び電子機器を得ることができる。なお、適用できる照明装置及び電子機器は、本実施の形態に示したものに限らず、あらゆる分野の電子機器に適用することが可能である。As described above, a lighting device and an electronic device can be obtained by using the light-emitting device of one embodiment of the present invention. Note that applicable lighting devices and electronic devices are not limited to those described in this embodiment and can be applied to electronic devices in various fields.
また、本実施の形態に示す構成は、他の実施の形態に示した構成と適宜組み合わせて用いることができる。The structure described in this embodiment can be combined as appropriate with any of the structures described in the other embodiments.
本実施例では、本発明の一態様に係る発光素子の作製例と、当該発光素子の特性について説明する。また、該発光素子のホスト材料に関してMS/MS分析の測定結果について説明する。本実施例で作製した素子構造の断面図を図1(A)に示す。また、素子構造の詳細を表1に示す。また、使用した化合物の構造と略称を以下に示す。In this example, a manufacturing example of a light-emitting element according to one embodiment of the present invention and characteristics of the light-emitting element will be described. In addition, measurement results of MS / MS analysis for the host material of the light-emitting element will be described. A cross-sectional view of the element structure manufactured in this embodiment is shown in FIG. Details of the element structure are shown in Table 1. The structures and abbreviations of the compounds used are shown below.
<発光素子の作製>
≪発光素子1の作製≫
ガラス基板上に電極101として、ITSO膜を厚さが70nmになるように形成した。なお、電極101の電極面積は、4mm2(2mm×2mm)とした。<Production of light-emitting element>
<< Production of Light-Emitting
An ITSO film having a thickness of 70 nm was formed as an
次に、電極101上に正孔注入層111として、1,3,5−トリ−(4−ジベンゾチオフェニル)−ベンゼン(略称:DBT3P−II)と、MoO3と、を重量比(DBT3P−II:MoO3)が1:0.5になるように、且つ厚さが60nmになるように共蒸着した。Next, as a
次に、正孔注入層111上に正孔輸送層112として、4−フェニル−4’−(9−フェニルフルオレン−9−イル)トリフェニルアミン(略称:BPAFLP)を厚さが20nmになるように蒸着した。Next, 4-phenyl-4 ′-(9-phenylfluoren-9-yl) triphenylamine (abbreviation: BPAFLP) is formed to a thickness of 20 nm as the
次に、正孔輸送層112上に発光層130(1)として、2−{3−[3−(ベンゾ「b」ナフト[1,2−d]フラン−8−イル)フェニル]フェニル}−4,6−ジフェニル−1,3,5−トリアジン(略称:mBnfBPTzn)と、N−(1,1’−ビフェニル−4−イル)−9,9−ジメチル−N−[4−(9−フェニル−9H−カルバゾール−3−イル)フェニル]−9H−フルオレン−2−アミン(略称:PCBBiF)と、ビス[2−(6−フェニル−4−ピリミジニル−κN3)フェニル−κC](2,4−ペンタンジオナト−κ2O,O’)イリジウム(III)(略称:Ir(dppm)2(acac))を重量比がmBnfBPTzn:PCBBiF:Ir(dppm)2(acac)=0.7:0.3:0.05になるように、且つ厚さが20nmになるように共蒸着し、続いて発光層130(2)として、重量比(mBnfBPTzn:PCBBiF:Ir(dppm)2(acac))が0.8:0.2:0.05になるように、且つ厚さが20nmになるように共蒸着した。なお、発光層130(1)及び発光層130(2)において、Ir(dppm)2(acac)が燐光発光を呈するゲスト材料である。Next, 2- {3- [3- (benzo [b] naphtho [1,2-d] furan-8-yl) phenyl] phenyl}-is formed as the light-emitting layer 130 (1) over the hole-
次に、発光層130(2)上に、第1の電子輸送層118−(1)としてmBnfBPTznを厚さが20nmになるように共蒸着した。続けて、第1の電子輸送層118−(1)上に第2の電子輸送層118−(2)として、バソフェナントロリン(略称:BPhen)を膜厚10nmとなるように、蒸着した。Next, mBnfBPTZ was co-deposited on the light emitting layer 130 (2) so as to have a thickness of 20 nm as the first electron transporting layer 118- (1). Subsequently, bathophenanthroline (abbreviation: BPhen) was deposited on the first electron transport layer 118- (1) as the second electron transport layer 118- (2) so as to have a thickness of 10 nm.
次に、第2の電子輸送層118−(2)上に、電子注入層119として、フッ化リチウム(LiF)を厚さが1nmになるように蒸着した。Next, lithium fluoride (LiF) was deposited as an
次に、電子注入層119上に、電極102として、アルミニウム(Al)を厚さが200nmになるように形成した。Next, aluminum (Al) was formed as an
次に、窒素雰囲気のグローブボックス内において、有機EL用封止材を用いて封止するためのガラス基板を、有機材料を形成したガラス基板に固定することで、発光素子1を封止した。具体的には、有機材料を形成したガラス基板上の有機材料の周囲に封止材を塗布し、該基板と封止するためのガラス基板とを貼り合わせ、波長が365nmの紫外光を6J/cm2照射し、80℃にて1時間熱処理した。以上の工程により発光素子1を得た。Next, the
<発光素子のMS/MS分析1>
次に発光素子1のEL層に関して、MS/MS分析を行った。分析は日本電子(株)製リニアTOFオプション(型番:MS−50620LNR)と、TOF/TOFオプション(型番:MS−50610TT)を搭載したMALDI−TOFMS装置(型番:JMS−S3000)により行った。またコリジョンガスにはHeを用いた。測定はポジティブモードで行った。<MS /
Next, MS / MS analysis was performed on the EL layer of the light-emitting
発光素子1のホスト材料である、mBnfBPTzn由来のイオンである、m/z=601付近の成分に関するMS/MS測定結果を図12に示す。FIG. 12 shows an MS / MS measurement result regarding a component in the vicinity of m / z = 601 that is an ion derived from mBnfBPTzn, which is the host material of the light-emitting
図12の各ピークに帰属される分子構造を以下に示す。The molecular structure attributed to each peak in FIG. 12 is shown below.
図12に関して、m/z=602付近に観測されるピークは、プレカーサーイオンである、mBnfBPTznに由来するピークである。m/z=104付近に観測されるフラグメントイオンのピークは、mBnfBPTznにおけるトリアジン環が開裂し生成したカチオンと帰属され、このフラグメントはフェニル基とトリアジン環由来のC=N結合を有すると帰属される。Regarding FIG. 12, the peak observed around m / z = 602 is a peak derived from mBnfBPTzn, which is a precursor ion. The fragment ion peak observed near m / z = 104 is attributed to a cation formed by cleavage of the triazine ring in mBnfBPTzn, and this fragment is attributed to have a C═N bond derived from a phenyl group and a triazine ring. .
<発光素子の特性>
次に、上記作製した発光素子1の特性を測定した。輝度およびCIE色度の測定には色彩輝度計(トプコン社製、BM−5A)を用い、電界発光スペクトルの測定にはマルチチャンネル分光器(浜松ホトニクス社製、PMA−11)を用いた。<Characteristics of light emitting element>
Next, characteristics of the manufactured light-emitting
発光素子1の電流効率−輝度特性を図13に示す。また、電流密度−電圧特性を図14に示す。また、外部量子効率−輝度特性を図15に示す。なお、各発光素子の測定は室温(23℃に保たれた雰囲気)で行った。FIG. 13 shows current efficiency-luminance characteristics of the light-emitting
また、発光素子1に25mA/cm2の電流密度で電流を流した際の発光スペクトルを、図16に示す。図16に示す通り、発光素子1の発光スペクトルは、585nm付近にピークを有しており、発光層130に含まれるゲスト材料である、Ir(dppm)2(acac)の発光に由来していることがわかった。In addition, FIG. 16 shows an emission spectrum when current is passed through the light-emitting
また、1000cd/m2付近における、発光素子1の素子特性を表2に示す。Table 2 shows element characteristics of the light-emitting
上記結果から、本実施例で作製した発光素子1は、良好な駆動電圧、電流効率及び外部量子効率を示していることが分かる。From the above results, it can be seen that the light-emitting
次に、発光素子1に関して、2mAにおける定電流駆動試験を行った。その結果を図17に示す。図17より、発光素子1の輝度半減寿命は500時間を超える良好な値を示した。Next, the
以上より、窒素を2つ以上含む含窒素複素芳香環を有する有機化合物を含み、ポジティブモードでMS/MS分析を行った際、C=N結合を有するフラグメントイオンが観測される発光素子は良好な素子特性を示すことが分かった。As described above, a light-emitting element that includes an organic compound having a nitrogen-containing heteroaromatic ring containing two or more nitrogen atoms and in which fragment ions having a C═N bond are observed when performing MS / MS analysis in a positive mode is favorable. It was found that the device characteristics were exhibited.
本実施例では、実施例1とは異なるMS/MS測定によって発光素子1を分析した結果について説明する。In this example, a result obtained by analyzing the light-emitting
<発光素子のMS/MS分析2>
発光素子1のEL層に関して、実施例1に挙げた方法とは異なる方法で、MS/MS分析を行った。MS/MS分析では、エレクトロスプレーイオン化法(ElectroSpray Ionization、略称:ESI)によるイオン化を行い、Targeted−MS2法により測定を行なった。イオンソースの設定は、シースガス流量を50、Auxガス流量を10、Sweepガス流量を0、スプレー電圧を3.5kV、キャピラリー温度を380℃、Sレンズ電圧を55.0、HESIヒーター温度を350℃に設定し、検出はポジティブモードで行った。<MS /
The EL layer of the light-emitting
以上の条件でイオン化されたm/z=602±2の成分を衝突室(コリジョンセル)内で窒素ガスと衝突させることでフラグメンテーションを起こし、MS/MS分析を行なった。窒素に衝突させる際のイオンを加速するエネルギーNCE(Normalized Collision Energy)は40とし、生成したイオンをフーリエ変換質量分析計(FT MS)で検出した。Fragmentation was caused by colliding a component of m / z = 602 ± 2 ionized under the above conditions with nitrogen gas in a collision chamber (collision cell), and MS / MS analysis was performed. The energy NCE (Normalized Collision Energy) for accelerating ions when colliding with nitrogen was set to 40, and the generated ions were detected by a Fourier transform mass spectrometer (FT MS).
測定サンプルの調整は、発光素子1が有するEL層をアセトニトリル:クロロホルム=7:3の混合溶液に溶解させることで調整した。The measurement sample was adjusted by dissolving the EL layer of the light-emitting
発光素子1のホスト材料である、mBnfBPTzn由来のイオンである、m/z=602付近の成分関するMS/MS測定結果を図18に示す。FIG. 18 shows an MS / MS measurement result regarding a component in the vicinity of m / z = 602, which is an ion derived from mBnfBPTzn, which is the host material of the light-emitting
図18の各ピークに帰属される分子構造を以下に示す。The molecular structure attributed to each peak in FIG. 18 is shown below.
図18の結果から、mBnfBPTznは主として、m/z=602付近、396付近、104付近にプロダクトイオンが検出されることが分かった。m/z=602付近のピークは、プレカーサーイオンである、mBnfBPTznに由来するピークである。m/z=396付近、104付近に検出されるフラグメントイオンは、mBnfBPTznにおけるトリアジン環が開裂し生成したカチオンと帰属される。m/z=396付近のフラグメントイオンはmBnfBPTznが有する、ビフェニルベンゾナフトフラニル基及びC=N結合を有するカチオンと帰属される。また、m/z=104付近に検出されるフラグメントイオンは、mBnfBPTznが有する、フェニル基及びC=N結合を有するカチオンと帰属される。From the results of FIG. 18, it was found that mBnfBPTZn mainly detects product ions in the vicinity of m / z = 602, 396, and 104. The peak near m / z = 602 is a peak derived from mBnfBPTzn, which is a precursor ion. Fragment ions detected in the vicinity of m / z = 396 and 104 are attributed to cations generated by cleavage of the triazine ring in mBnfBPTzn. A fragment ion near m / z = 396 is attributed to a cation having a biphenylbenzonaphthofuranyl group and a C═N bond, which mBnfBPTzn has. Moreover, the fragment ion detected in the vicinity of m / z = 104 is attributed to a cation having a phenyl group and a C═N bond, which mBnfBPTzn has.
また、m/z=104付近のフェニル基及びC=N結合を有するカチオンのピーク強度は、m/z=602付近のプレカーサーイオンのピーク強度と比較し100倍以上の強度で得られていることが分かる。これは、上記測定条件でトリアジン環を有する有機化合物を分析した際に観測される特徴である。すなわち、上記測定条件で有機化合物を測定した際、C=N結合を有すると帰属されるフラグメントイオンが観測され、そのピーク強度がプレカーサーイオンの100倍以上の強度で得られている場合、MS/MSの測定対象となった有機化合物には、トリアジン環が含まれていると推定される。なお、NCEが35以上60以下及びこれに相当する加速電圧で測定を行った場合にも、上記特徴は観測される。これは実施例1の条件で測定した場合には観測されない特徴である。In addition, the peak intensity of a cation having a phenyl group and a C = N bond in the vicinity of m / z = 104 is obtained with an intensity of 100 times or more compared to the peak intensity of a precursor ion in the vicinity of m / z = 602. I understand. This is a characteristic observed when an organic compound having a triazine ring is analyzed under the above measurement conditions. That is, when an organic compound is measured under the above measurement conditions, fragment ions attributed as having a C═N bond are observed, and when the peak intensity is obtained at an
以上より、実施例1と異なるMS/MS分析法で発光素子1を分析した場合においても、窒素を2つ以上含む含窒素複素芳香族炭化水素基を有する有機化合物に関して、MS/MS分析を行うと、C=N結合を有するフラグメントイオンが観測されることが分かった。As described above, even when the light-emitting
本実施例では、実施例1及び実施例2で例示した有機化合物とは異なる有機化合物のMS/MS測定とその測定結果について説明する。In this example, MS / MS measurement of an organic compound different from the organic compounds exemplified in Example 1 and Example 2 and the measurement result will be described.
下記にMS/MS測定を行った有機化合物の名称と構造を示す。The names and structures of organic compounds subjected to MS / MS measurement are shown below.
<T2TのMS/MS分析>
2,4,6−トリス(ビフェニル−3−イル)−1,3,5−トリアジン(略称:T2T)のMS/MS測定について説明する。T2Tは発光素子のホスト材料として好適に用いることができる有機化合物である。イオン化されたm/z=538±2の成分に関して測定を行った。測定方法は実施例2に記載の方法で行い、測定条件はNCEの値のみ異なり、NCE=35で測定した。その測定結果を図19に示す。<MS / MS analysis of T2T>
The MS / MS measurement of 2,4,6-tris (biphenyl-3-yl) -1,3,5-triazine (abbreviation: T2T) will be described. T2T is an organic compound that can be suitably used as a host material of a light-emitting element. Measurements were made on components with ionized m / z = 538 ± 2. The measurement method was the same as that described in Example 2. The measurement conditions differed only in the value of NCE, and measurement was performed at NCE = 35. The measurement results are shown in FIG.
図19の各ピ−クに帰属される分子構造を以下に示す。The molecular structure belonging to each peak in FIG. 19 is shown below.
図19の結果から、T2Tは主として、m/z=538付近、180付近にプロダクトイオンが検出されることが分かった。m/z=538付近のピークは、プレカーサーイオンである、T2Tに由来するピークである。m/z=180付近に検出されるフラグメントイオンは、T2Tにおけるトリアジン環が開裂し生成したカチオンと帰属される。m/z=180付近のこのフラグメントイオンは、T2Tが有する、ビフェニル基及びC=N結合を有するカチオンと帰属される。From the results of FIG. 19, it was found that T2T mainly detects product ions near m / z = 538 and around 180. The peak near m / z = 538 is a peak derived from T2T, which is a precursor ion. Fragment ions detected in the vicinity of m / z = 180 are attributed to cations generated by cleavage of the triazine ring in T2T. This fragment ion near m / z = 180 is attributed to a cation having a biphenyl group and a C═N bond, which T2T has.
また、m/z=180付近のビフェニル基及びC=N結合を有するカチオンのピーク強度は、m/z=538付近のプレカーサーイオンのピ−ク強度と比較し100倍以上の強度で得られていることが分かる。これは、実施例2でも述べたように、上記測定条件でトリアジン環を有する有機化合物を分析した際に観測される特徴である。In addition, the peak intensity of a cation having a biphenyl group near C / N = 180 and m / z = 180 is obtained with an intensity of 100 times or more compared to the peak intensity of a precursor ion near m / z = 538. I understand that. As described in Example 2, this is a characteristic observed when an organic compound having a triazine ring is analyzed under the above measurement conditions.
<TmPPPyTzのMS/MS分析>
2,4,6−トリス(3’−(ピリジン−3−イル)−ビフェニル−3−イル)−1,3,5−トリアジン(略称:TmPPPyTz)のMS/MS測定について説明する。TmPPPyTzは発光素子のホスト材料として好適に用いることができる有機化合物である。イオン化されたm/z=769±2の成分に関して測定を行った。測定方法及び測定条件は実施例2に記載の方法で行った。下記にMS/MS測定を行った有機化合物の名称と構造を示す。また、その測定結果を図20に示す。<MS / MS analysis of TmPPPyTz>
An MS / MS measurement of 2,4,6-tris (3 ′-(pyridin-3-yl) -biphenyl-3-yl) -1,3,5-triazine (abbreviation: TmPPPyTz) will be described. TmPPPyTz is an organic compound that can be suitably used as a host material of a light-emitting element. Measurements were made on components with ionized m / z = 769 ± 2. The measurement method and measurement conditions were the same as those described in Example 2. The names and structures of organic compounds subjected to MS / MS measurement are shown below. The measurement results are shown in FIG.
図20の各ピークに帰属される分子構造を以下に示す。The molecular structure attributed to each peak in FIG. 20 is shown below.
図20の結果から、TmPPPyTzは主として、m/z=769付近、257付近にプロダクトイオンが検出されることが分かった。m/z=769付近のピークは、プレカーサーイオンである、TmPPPyTzに由来するピークである。m/z=257付近に検出されるフラグメントイオンは、TmPPPyTzにおけるトリアジン環が開裂し生成したカチオンと帰属される。m/z=257付近のこのフラグメントイオンは、TmPPPyTzが有する、ビフェニル基及びC=N結合を有するカチオンと帰属される。From the results of FIG. 20, it was found that TmPPyTz mainly detects product ions in the vicinity of m / z = 769 and 257. The peak near m / z = 769 is a peak derived from TmPPPyTz which is a precursor ion. The fragment ion detected in the vicinity of m / z = 257 is attributed to a cation generated by cleavage of the triazine ring in TmPPPyTz. This fragment ion near m / z = 257 is attributed to a cation having a biphenyl group and a C═N bond, which TmPPPyTz has.
また、m/z=257付近のビフェニル基及びC=N結合を有するカチオンのピーク強度は、m/z=769付近のプレカーサーイオンのピーク強度と比較し100倍以上の強度で得られていることが分かる。これは、実施例2でも述べたように、上記測定条件でトリアジン環を有する有機化合物を分析した際に観測される特徴である。In addition, the peak intensity of a cation having a biphenyl group near C / N and a C = N bond in the vicinity of m / z = 257 is obtained with an intensity of 100 times or more compared with the peak intensity of a precursor ion in the vicinity of m / z = 769. I understand. As described in Example 2, this is a characteristic observed when an organic compound having a triazine ring is analyzed under the above measurement conditions.
<CzTAZ(1H)のMS/MS分析>
1−(4−(9H−カルバゾール−9−イル)−フェニル−1−イル)−2,4−ビフェ1,2,4−1H−トリアゾール(略称:CzTAZ(1H))のMS/MS測定について説明する。CzTAZ(1H)は発光素子のホスト材料として好適に用いることができる有機化合物である。イオン化されたm/z=463±2の成分に関して測定を行った。測定方法は実施例2に記載の方法で行った。測定条件はNCEの値のみ異なり、NCE=60で測定した。下記にMS/MS測定を行った有機化合物の名称と構造を示す。また、その測定結果を図21に示す。<MS / MS analysis of CzTAZ (1H)>
MS / MS measurement of 1- (4- (9H-carbazol-9-yl) -phenyl-1-yl) -2,4-
図21の各ピークに帰属される分子構造を以下に示す。The molecular structure attributed to each peak in FIG. 21 is shown below.
図21の結果から、CzTAZ(1H)は主として、m/z=463付近、360付近、194付近、166付近、104付近にプロダクトイオンが検出されることが分かった。m/z=463付近のピークは、プレカーサーイオンである、CzTAZ(1H)に由来するピークである。m/z=360付近に検出されるフラグメントイオンは、CzTAZ(1H)におけるトリアゾール環が開裂し生成したカチオンと帰属される。m/z=104付近のフラグメントイオンは、CzTAZ(1H)における、トリアゾール環が開裂し、さらに、カルバゾールが解離し、生成したカチオンと帰属される。m/z=166付近のフラグメントイオンはCzTAZ(1H)が有するカルバゾール基由来のカチオンであると帰属される。From the results of FIG. 21, it was found that CzTAZ (1H) mainly detects product ions in the vicinity of m / z = 463, 360, 194, 166, and 104. The peak near m / z = 463 is a peak derived from CzTAZ (1H) which is a precursor ion. Fragment ions detected in the vicinity of m / z = 360 are attributed to cations generated by cleavage of the triazole ring in CzTAZ (1H). The fragment ion in the vicinity of m / z = 104 is attributed to a cation formed by cleavage of the triazole ring and dissociation of carbazole in CzTAZ (1H). A fragment ion near m / z = 166 is attributed to a cation derived from a carbazole group possessed by CzTAZ (1H).
m/z=104付近に検出されるフラグメントイオンは、CzTAZ(1H)が有する、フェニル基及びC=N結合を有するカチオンと帰属される。A fragment ion detected in the vicinity of m / z = 104 is attributed to a cation having a phenyl group and a C═N bond, which CzTAZ (1H) has.
以上より、トリアジン環またはトリアゾール環を有する、発光素子に好適に用いることができる有機化合物に関してMS/MS分析を行うと、該環が開裂して生成する、C=N結合を有するフラグメントイオンが検出されることがわかった。As described above, when an MS / MS analysis is performed on an organic compound having a triazine ring or a triazole ring and which can be suitably used for a light-emitting element, a fragment ion having a C═N bond generated by cleavage of the ring is detected. I found out that
(参考例1)
本参考例では、実施例1及び実施例2で用いた、mBnfBPTznの合成方法について説明する。(Reference Example 1)
In this reference example, a method for synthesizing mBnfBPTzn used in Example 1 and Example 2 will be described.
<ステップ1:1−(3−クロロ−2−フルオロフェニル)−2−ナフトールの合成>
200mL三ツ口フラスコに3.4g(19mmol)の3−クロロ−2−フルオロフェニルボロン酸と、4.0g(18mmol)の1−ブロモ−2−ナフトールと、0.13g(0.36mmol)のジ(1−アダマンチル)−n−ブチルホスフィンと、7.6g(72mmol)の炭酸ナトリウムを入れ、フラスコ内を窒素置換した。この混合物に90mLのトルエンと、36mLの水を入れ、減圧しながら攪拌することで脱気した。脱気後、この混合物に40mg(0.18mmol)の酢酸パラジウム(II)を加え、約80℃で15時間攪拌した。攪拌後、この混合物の水層をトルエンで抽出し、得られた抽出溶液と有機層を合わせて、飽和食塩水で洗浄した。得られた有機層を硫酸マグネシウムにより乾燥した。この混合物を自然濾過し、得られた濾液を濃縮したところ、褐色油状物を得た。この油状物をシリカゲルカラムクロマトグラフィー(展開溶媒:トルエン)により精製したところ、目的物の褐色油状物を4.5g、収率91%で得た。ステップ1の合成スキームを下記式(a−1)に示す。<Step 1: Synthesis of 1- (3-chloro-2-fluorophenyl) -2-naphthol>
In a 200 mL three-necked flask, 3.4 g (19 mmol) of 3-chloro-2-fluorophenylboronic acid, 4.0 g (18 mmol) of 1-bromo-2-naphthol, 0.13 g (0.36 mmol) of di ( 1-adamantyl) -n-butylphosphine and 7.6 g (72 mmol) of sodium carbonate were added, and the atmosphere in the flask was replaced with nitrogen. This mixture was deaerated by adding 90 mL of toluene and 36 mL of water and stirring the mixture under reduced pressure. After deaeration, 40 mg (0.18 mmol) of palladium (II) acetate was added to the mixture, and the mixture was stirred at about 80 ° C. for 15 hours. After stirring, the aqueous layer of this mixture was extracted with toluene, and the resulting extracted solution and the organic layer were combined and washed with saturated brine. The obtained organic layer was dried with magnesium sulfate. The mixture was naturally filtered, and the obtained filtrate was concentrated to give a brown oil. When this oily substance was purified by silica gel column chromatography (developing solvent: toluene), 4.5 g of the objective brown oily substance was obtained in a yield of 91%. The synthesis scheme of
<ステップ2:8−クロロベンゾ[b]ナフト[1,2−d]フランの合成>
次に、500mLの三口フラスコに4.5g(16mmol)の1−(3−クロロ−2−フルオロフェニル)−2−ナフトールと、80mLのN−メチル−2−ピロリドン(NMP)と、4.4g(32mmol)の炭酸カリウムを入れた。このフラスコを窒素気流下、150℃で2時間攪拌した。攪拌後、この混合物を室温まで放冷してから約200mLのトルエンを加え、この混合物を約100mLの水に加えた。この混合物の水層をトルエンで抽出し、抽出溶液と有機層を合わせて希塩酸(1.0mol/L)と飽和食塩水で洗浄した。有機層を硫酸マグネシウムにより乾燥し、乾燥後、この混合物を自然ろ過した。得られたろ液を濃縮したところ、油状物を得た。得られた油状物を約50mLのトルエンに溶解し、この溶液をセライト、アルミナ、フロリジールを通して吸引濾過した。得られたろ液を濃縮して得られた固体を、トルエン/ヘキサンにより再結晶した所、目的物の白色針状結晶を3.2g、収率79%で得た。ステップ2の合成スキームを下記式(a−2)に示す。<Step 2: Synthesis of 8-chlorobenzo [b] naphtho [1,2-d] furan>
Next, in a 500 mL three-necked flask, 4.5 g (16 mmol) of 1- (3-chloro-2-fluorophenyl) -2-naphthol, 80 mL of N-methyl-2-pyrrolidone (NMP), 4.4 g (32 mmol) of potassium carbonate was added. The flask was stirred at 150 ° C. for 2 hours under a nitrogen stream. After stirring, the mixture was allowed to cool to room temperature, then about 200 mL of toluene was added and the mixture was added to about 100 mL of water. The aqueous layer of this mixture was extracted with toluene, and the extracted solution and the organic layer were combined and washed with dilute hydrochloric acid (1.0 mol / L) and saturated brine. The organic layer was dried with magnesium sulfate, and after drying, the mixture was naturally filtered. When the obtained filtrate was concentrated, an oily substance was obtained. The obtained oily substance was dissolved in about 50 mL of toluene, and this solution was subjected to suction filtration through celite, alumina and Florisil. The solid obtained by concentrating the obtained filtrate was recrystallized with toluene / hexane to obtain 3.2 g of the objective white needle crystal in a yield of 79%. The synthesis scheme of
<ステップ3:4,4,5,5−テトラメチル−2−(ベンゾ[b]ナフト[1,2−d]フラン−8−イル)−1,3,2−ジオキサボロランの合成>
次に、200mL三口フラスコに2.5g(10mmol)の8−クロロベンゾ[b]ナフト[1,2−d]フランと、3.0g(12mmol)のビス(ピナコラト)ジボロンと、72mg(0.20mmol)のジ(1−アダマンチル)−n−ブチルホスフィンと、3.0g(30mmol)の酢酸カリウムを入れ、フラスコ内を窒素置換した。この混合物に、50mLのキシレンを加え、減圧しながら攪拌することで脱気した。この混合物に82mg(0.10mmol)の[1,1’−ビス(ジフェニルホスフィノ)フェロセン]パラジウム(II)ジクロリド ジクロロメタン付加物を加え、窒素気流下、130℃で4時間攪拌した。攪拌後、この混合物を吸引濾過し、得られたろ液を濃縮して油状物を得た。得られた油状物をシリカゲルカラムクロマトグラフィー(展開溶媒:ヘキサン:トルエン=9:1)により精製したところ固体を得た。得られた固体をヘキサンで洗浄したところ、目的物の白色固体を2.0g、収率59%で得た。ステップ3の合成スキームを下記式(a−3)に示す。<Step 3: Synthesis of 4,4,5,5-tetramethyl-2- (benzo [b] naphtho [1,2-d] furan-8-yl) -1,3,2-dioxaborolane>
Next, in a 200 mL three-necked flask, 2.5 g (10 mmol) of 8-chlorobenzo [b] naphtho [1,2-d] furan, 3.0 g (12 mmol) of bis (pinacolato) diboron, 72 mg (0.20 mmol). ) Di (1-adamantyl) -n-butylphosphine and 3.0 g (30 mmol) of potassium acetate, and the atmosphere in the flask was replaced with nitrogen. To this mixture, 50 mL of xylene was added and degassed by stirring under reduced pressure. To this mixture, 82 mg (0.10 mmol) of [1,1′-bis (diphenylphosphino) ferrocene] palladium (II) dichloride dichloromethane adduct was added and stirred at 130 ° C. for 4 hours under a nitrogen stream. After stirring, the mixture was filtered with suction, and the obtained filtrate was concentrated to give an oil. The obtained oil was purified by silica gel column chromatography (developing solvent: hexane: toluene = 9: 1) to obtain a solid. When the obtained solid was washed with hexane, 2.0 g of a target white solid was obtained in a yield of 59%. The synthesis scheme of
<ステップ4:2−(3−クロロフェニル)−4,6−ジフェニル−1,3,5−トリアジンの合成>
200mL三ツ口フラスコに10g(37mmol)の2−クロロ−4,6−ジフェニル−1,3,5−トリアジンと、5.8g(37mmol)の3−クロロフェニルボロン酸と、7.8g(74mmol)の炭酸ナトリウムを入れ、フラスコ内を窒素置換した。この混合物に150mLのトルエンと、35mLのエタノールと、37mLの水を入れ、減圧しながら攪拌することで脱気した。脱気後、この混合物に0.43g(0.37mmol)のテトラキス(トリフェニルホスフィン)パラジウム(0)を加え、約80℃で3時間攪拌した。攪拌後、この混合物の水層をトルエンで抽出し、得られた抽出溶液と有機層を合わせて、飽和食塩水で洗浄した。得られた有機層を硫酸マグネシウムにより乾燥した。この混合物を自然濾過し、得られた濾液を濃縮したところ、固体を得た。得られた固体を約30mLの熱したトルエンに溶解し、この溶液をセライト、アルミナ、フロリジールを通して吸引濾過した。得られたろ液を濃縮して得た固体メタノールで洗浄し、この固体を吸引濾過により回収した所、目的物の白色固体を11g、収率86%で得た。ステップ4の合成スキームを下記式(a−4)に示す。<Step 4: Synthesis of 2- (3-chlorophenyl) -4,6-diphenyl-1,3,5-triazine>
In a 200 mL three-necked flask, 10 g (37 mmol) 2-chloro-4,6-diphenyl-1,3,5-triazine, 5.8 g (37 mmol) 3-chlorophenylboronic acid, and 7.8 g (74 mmol) carbonic acid. Sodium was added and the atmosphere in the flask was replaced with nitrogen. To this mixture, 150 mL of toluene, 35 mL of ethanol, and 37 mL of water were added, and degassed by stirring while reducing the pressure. After deaeration, 0.43 g (0.37 mmol) of tetrakis (triphenylphosphine) palladium (0) was added to the mixture, and the mixture was stirred at about 80 ° C. for 3 hours. After stirring, the aqueous layer of this mixture was extracted with toluene, and the resulting extracted solution and the organic layer were combined and washed with saturated brine. The obtained organic layer was dried with magnesium sulfate. This mixture was naturally filtered, and the obtained filtrate was concentrated to obtain a solid. The obtained solid was dissolved in about 30 mL of heated toluene, and this solution was subjected to suction filtration through celite, alumina and Florisil. The obtained filtrate was concentrated and washed with solid methanol obtained, and this solid was collected by suction filtration. As a result, 11 g of the desired white solid was obtained in a yield of 86%. The synthesis scheme of
<ステップ5:4,4,5,5−テトラメチル−2−[3−(4,6−ジフェニル−1,3,5−トリアジン−2−イル)フェニル]−1,3,2−ジオキサボロランの合成>
200mL三口フラスコに5.0g(15mmol)の2−(3−クロロフェニル)−4,6−ジフェニル−1,3,5−トリアジンと、4.1g(16mmol)のビス(ピナコラト)ジボロンと、0.21g(0.60mmol)のジ(1−アダマンチル)−n−ブチルホスフィンと、4.4g(45mmol)の酢酸カリウムを入れ、フラスコ内を窒素置換した。この混合物に、74mLのキシレンを加え、減圧しながら攪拌することで脱気した。この混合物を40℃に加熱し、0.12g(0.15mmol)の[1,1’−ビス(ジフェニルホスフィノ)フェロセン]パラジウム(II)ジクロリド ジクロロメタン付加物を加え、窒素気流下、130℃で24時間攪拌した。攪拌後、この混合物を吸引濾過し、得られたろ液を濃縮して油状物を得た。得られた油状物をシリカゲルカラムクロマトグラフィー(展開溶媒:ヘキサン:トルエン=6:1)により精製したところ、白色固体を得た。得られた固体をヘキサンで洗浄したところ、目的物の白色固体を3.4g、収率53%で得た。ステップ5の合成スキームを下記式(a−5)に示す。<Step 5: of 4,4,5,5-tetramethyl-2- [3- (4,6-diphenyl-1,3,5-triazin-2-yl) phenyl] -1,3,2-dioxaborolane Synthesis>
In a 200 mL three-necked flask, 5.0 g (15 mmol) of 2- (3-chlorophenyl) -4,6-diphenyl-1,3,5-triazine, 4.1 g (16 mmol) of bis (pinacolato) diboron, 21 g (0.60 mmol) of di (1-adamantyl) -n-butylphosphine and 4.4 g (45 mmol) of potassium acetate were added, and the atmosphere in the flask was replaced with nitrogen. To this mixture, 74 mL of xylene was added and degassed by stirring under reduced pressure. The mixture was heated to 40 ° C., 0.12 g (0.15 mmol) of [1,1′-bis (diphenylphosphino) ferrocene] palladium (II) dichloride dichloromethane adduct was added, and the nitrogen mixture was flowed at 130 ° C. Stir for 24 hours. After stirring, the mixture was filtered with suction, and the obtained filtrate was concentrated to give an oil. The obtained oil was purified by silica gel column chromatography (developing solvent: hexane: toluene = 6: 1) to obtain a white solid. When the obtained solid was washed with hexane, 3.4 g of the target white solid was obtained in a yield of 53%. The synthesis scheme of
<ステップ6:2−[3−(3−クロロフェニル)フェニル]−4,6−ジフェニル−1,3,5−トリアジンの合成>
200mL三口フラスコに3.0g(6.9mmol)の4,4,5,5−テトラメチル−2−[3−(4,6−ジフェニル−1,3,5−トリアジン−2−イル)フェニル]−1,3,2−ジオキサボロランと、2.4g(10mmol)の3−クロロヨードベンゼンと、43mg(0.14mmol)のトリ(o−トリル)ホスフィンと、1.9g(14mmol)の炭酸カリウムを入れ、フラスコ内を窒素置換した。この混合物に25mLのトルエンと、10mLのエタノールと、7.0mLの水を入れ、減圧しながら攪拌することで脱気した。脱気後、この混合物を40℃で加熱してから、16mg(0.070mmol)の酢酸パラジウム(II)を加え、約80℃で7時間攪拌したところ、固体が析出した。析出した固体を吸引濾過により回収し、約30mLの熱したトルエンに溶解して、セライト、アルミナ、フロリジールを通して吸引濾過した。得られた濾液を濃縮して得た固体をトルエンで再結晶したところ、目的物の白色固体を2.2g、収率77%で得た。ステップ6の合成スキームを下記式(a−6)に示す。<Step 6: Synthesis of 2- [3- (3-chlorophenyl) phenyl] -4,6-diphenyl-1,3,5-triazine>
In a 200 mL three-neck flask, 3.0 g (6.9 mmol) of 4,4,5,5-tetramethyl-2- [3- (4,6-diphenyl-1,3,5-triazin-2-yl) phenyl] -1,3,2-dioxaborolane, 2.4 g (10 mmol) of 3-chloroiodobenzene, 43 mg (0.14 mmol) of tri (o-tolyl) phosphine, and 1.9 g (14 mmol) of potassium carbonate. The flask was purged with nitrogen. To this mixture, 25 mL of toluene, 10 mL of ethanol, and 7.0 mL of water were added, and degassed by stirring under reduced pressure. After deaeration, the mixture was heated at 40 ° C., 16 mg (0.070 mmol) of palladium (II) acetate was added, and the mixture was stirred at about 80 ° C. for 7 hours. As a result, a solid precipitated. The precipitated solid was collected by suction filtration, dissolved in about 30 mL of heated toluene, and suction filtered through celite, alumina, and Florisil. The solid obtained by concentrating the obtained filtrate was recrystallized with toluene to obtain 2.2 g of a target white solid in a yield of 77%. The synthesis scheme of Step 6 is shown by the following formula (a-6).
<ステップ7:2−{3−[3−(ベンゾ「b」ナフト[1,2−d]フラン−8−イル)フェニル]フェニル}−4,6−ジフェニル−1,3,5−トリアジンの合成>
200mL三口フラスコに2.1g(5.0mmol)の2−[3−(3−クロロフェニル)フェニル]−4,6−ジフェニル−1,3,5−トリアジンと、1.7g(5.0mmol)の4,4,5,5−テトラメチル−2−(ベンゾ[b]ナフト[1,2−d]フラン−8−イル)−1,3,2−ジオキサボロランと、3.2g(15mmol)のリン酸三カリウムと、36mg(0.10mmol)のジ(1−アダマンチル)−n−ブチルホスフィンを入れ、フラスコ内を窒素置換した。<Step 7: 2- {3- [3- (benzo [b] naphtho [1,2-d] furan-8-yl) phenyl] phenyl} -4,6-diphenyl-1,3,5-triazine Synthesis>
In a 200 mL three-necked flask, 2.1 g (5.0 mmol) of 2- [3- (3-chlorophenyl) phenyl] -4,6-diphenyl-1,3,5-triazine and 1.7 g (5.0 mmol) of 4,4,5,5-tetramethyl-2- (benzo [b] naphtho [1,2-d] furan-8-yl) -1,3,2-dioxaborolane and 3.2 g (15 mmol) of phosphorus Tripotassium acid and 36 mg (0.10 mmol) of di (1-adamantyl) -n-butylphosphine were added, and the atmosphere in the flask was replaced with nitrogen.
この混合物に25mLのジエチレングリコールジメチルエーテルと、1.2g(15mmol)のtert−ブチルアルコールを加えた。この混合物を減圧しながら攪拌することで脱気した。この混合物に12mg(0.050mmol)の酢酸パラジウム(II)を加え、窒素気流下、80℃で7時間攪拌したところ、固体が析出した。To this mixture was added 25 mL diethylene glycol dimethyl ether and 1.2 g (15 mmol) tert-butyl alcohol. The mixture was degassed by stirring it under reduced pressure. When 12 mg (0.050 mmol) of palladium (II) acetate was added to this mixture and the mixture was stirred at 80 ° C. for 7 hours under a nitrogen stream, a solid was precipitated.
攪拌後、この混合物に水を加えて攪拌した後、この混合物を吸引濾過して固体を回収した。回収した固体を約500mLの熱したトルエンに溶解し、この溶液をセライト、アルミナ、フロリジールを通して吸引濾過した。得られたろ液を濃縮して得た固体をトルエンにより再結晶したところ、目的物の白色粉末を1.8g、収率58%で得た。ステップ7の合成スキームを下記式(a−7)に示す。After stirring, water was added to the mixture and stirred, and then the mixture was suction filtered to recover a solid. The collected solid was dissolved in about 500 mL of heated toluene, and this solution was subjected to suction filtration through Celite, alumina, and Florisil. The solid obtained by concentrating the obtained filtrate was recrystallized with toluene to obtain 1.8 g of a target white powder in a yield of 58%. The synthesis scheme of Step 7 is shown by the following formula (a-7).
得られた白色粉末1.7gをトレインサブリメーション法により昇華精製した。昇華精製条件は、圧力0.018Paで、280℃で白色粉末を加熱した。昇華精製後、mBnfBPTznの白色固体を0.76g、回収率44%で得た。Sublimation purification of 1.7 g of the obtained white powder was performed by a train sublimation method. The sublimation purification conditions were a white powder heated at 280 ° C. under a pressure of 0.018 Pa. After sublimation purification, 0.76 g of a white solid of mBnfBPTZn was obtained with a recovery rate of 44%.
上記ステップ7で得られた白色固体の核磁気共鳴分光法(1H−NMR)により測定した。分析結果を下記に示す。The white solid obtained in Step 7 was measured by nuclear magnetic resonance spectroscopy (1 H-NMR). The analysis results are shown below.
1H−NMR(CDCl3,500MHz):δ=7.56−7.64(m,8H),7.79−7.85(m,6H),7.90(d,J=9.0Hz,1H),7.96(d,J=8.5Hz,1H),8.01−8.05(m,2H),8.31(s,1H),8.45(d,J=8.5Hz,1H),8.70(d,J=8.0Hz,1H),8.80−8.83(m,5H),9.11(s,1H).1 H-NMR (CDCl3 , 500 MHz): δ = 7.56-7.64 (m, 8H), 7.79-7.85 (m, 6H), 7.90 (d, J = 9.0 Hz) , 1H), 7.96 (d, J = 8.5 Hz, 1H), 8.01-8.05 (m, 2H), 8.31 (s, 1H), 8.45 (d, J = 8 .5Hz, 1H), 8.70 (d, J = 8.0 Hz, 1H), 8.80-8.83 (m, 5H), 9.11 (s, 1H).
100 EL層
101 電極
102 電極
106 発光ユニット
108 発光ユニット
110 発光ユニット
111 正孔注入層
112 正孔輸送層
113 電子輸送層
114 電子注入層
115 電荷発生層
116 正孔注入層
117 正孔輸送層
118 電子輸送層
119 電子注入層
120 発光層
121 ゲスト材料
122 ホスト材料
130 発光層
131 ホスト材料
132 ゲスト材料
140 発光層
141 ゲスト材料
142 ホスト材料
142_1 有機化合物
142_2 有機化合物
150 発光素子
152 発光素子
170 発光層
180 EL層
200 基板
220 基板
250 発光素子
252 発光素子
300 容器
310 溶媒
320 サンプル
601 ソース側駆動回路
602 画素部
603 ゲート側駆動回路
604 封止基板
605 シール材
607 空間
608 配線
610 素子基板
611 スイッチング用TFT
612 電流制御用TFT
613 電極
614 絶縁物
616 EL層
617 電極
618 発光素子
623 nチャネル型TFT
624 pチャネル型TFT
900 携帯情報端末
901 筐体
902 筐体
903 表示部
905 ヒンジ部
910 携帯情報端末
911 筐体
912 表示部
913 操作ボタン
914 外部接続ポート
915 スピーカ
916 マイク
917 カメラ
920 カメラ
921 筐体
922 表示部
923 操作ボタン
924 シャッターボタン
926 レンズ
1001 基板
1002 下地絶縁膜
1003 ゲート絶縁膜
1006 ゲート電極
1007 ゲート電極
1008 ゲート電極
1020 層間絶縁膜
1021 層間絶縁膜
1022 電極
1024B 電極
1024G 電極
1024R 電極
1024W 電極
1025B 下部電極
1025G 下部電極
1025R 下部電極
1025W 下部電極
1026 隔壁
1028 EL層
1029 電極
1031 封止基板
1032 シール材
1033 基材
1034B 着色層
1034G 着色層
1034R 着色層
1036 オーバーコート層
1037 層間絶縁膜
1040 画素部
1041 駆動回路部
1042 周辺部
3500 多機能端末
3502 筐体
3504 表示部
3506 カメラ
3508 照明
3600 ライト
3602 筐体
3608 照明
3610 スピーカ
8501 照明装置
8502 照明装置
8503 照明装置
8504 照明装置
9000 筐体
9001 表示部
9003 スピーカ
9005 操作キー
9006 接続端子
9007 センサ
9008 マイクロフォン
9055 ヒンジ
9200 携帯情報端末
9201 携帯情報端末
9202 携帯情報端末100
612 Current control TFT
624 p-channel TFT
900
| Application Number | Priority Date | Filing Date | Title |
|---|---|---|---|
| JP2017-029733 | 2017-02-21 | ||
| JP2017029733 | 2017-02-21 |
| Publication Number | Publication Date |
|---|---|
| WO2018154408A1true WO2018154408A1 (en) | 2018-08-30 |
| Application Number | Title | Priority Date | Filing Date |
|---|---|---|---|
| PCT/IB2018/050863CeasedWO2018154408A1 (en) | 2017-02-21 | 2018-02-13 | Light-emitting element, light-emitting device, electronic device, and illumination device |
| Country | Link |
|---|---|
| WO (1) | WO2018154408A1 (en) |
| Publication number | Priority date | Publication date | Assignee | Title |
|---|---|---|---|---|
| JP2010254676A (en)* | 2009-03-31 | 2010-11-11 | Semiconductor Energy Lab Co Ltd | Derivative comprising heteroaromatic ring, light emitting element employing the same, light emitting apparatus, illumination apparatus, and electronic equipment |
| JP2014157947A (en)* | 2013-02-15 | 2014-08-28 | Idemitsu Kosan Co Ltd | Organic electroluminescence device and electronic device |
| JP2015134743A (en)* | 2013-06-28 | 2015-07-27 | 東ソー株式会社 | Cyclic azine compound, method for producing the same and organic electroluminescent element using the same |
| JP2015534547A (en)* | 2012-09-07 | 2015-12-03 | ローム・アンド・ハース・エレクトロニック・マテリアルズ・コリア・リミテッド | Novel combination of host compound and dopant compound and organic electroluminescent device comprising the same |
| JP2015227323A (en)* | 2013-08-29 | 2015-12-17 | 株式会社半導体エネルギー研究所 | Heterocyclic compound, light emitting element, light emitting device, electronic device, and lighting device |
| JP2016019002A (en)* | 2014-07-09 | 2016-02-01 | ユニバーサル ディスプレイ コーポレイション | Organic electroluminescent materials and devices |
| US20160336519A1 (en)* | 2015-05-15 | 2016-11-17 | Semiconductor Energy Laboratory Co., Ltd. | Light-Emitting Element, Light-Emitting Device, Electronic Device, and Lighting Device |
| WO2018038464A1 (en)* | 2016-08-23 | 2018-03-01 | 주식회사 두산 | Organic compound and organic electroluminescent device comprising same |
| Publication number | Priority date | Publication date | Assignee | Title |
|---|---|---|---|---|
| JP2010254676A (en)* | 2009-03-31 | 2010-11-11 | Semiconductor Energy Lab Co Ltd | Derivative comprising heteroaromatic ring, light emitting element employing the same, light emitting apparatus, illumination apparatus, and electronic equipment |
| JP2015534547A (en)* | 2012-09-07 | 2015-12-03 | ローム・アンド・ハース・エレクトロニック・マテリアルズ・コリア・リミテッド | Novel combination of host compound and dopant compound and organic electroluminescent device comprising the same |
| JP2014157947A (en)* | 2013-02-15 | 2014-08-28 | Idemitsu Kosan Co Ltd | Organic electroluminescence device and electronic device |
| JP2015134743A (en)* | 2013-06-28 | 2015-07-27 | 東ソー株式会社 | Cyclic azine compound, method for producing the same and organic electroluminescent element using the same |
| JP2015227323A (en)* | 2013-08-29 | 2015-12-17 | 株式会社半導体エネルギー研究所 | Heterocyclic compound, light emitting element, light emitting device, electronic device, and lighting device |
| JP2016019002A (en)* | 2014-07-09 | 2016-02-01 | ユニバーサル ディスプレイ コーポレイション | Organic electroluminescent materials and devices |
| US20160336519A1 (en)* | 2015-05-15 | 2016-11-17 | Semiconductor Energy Laboratory Co., Ltd. | Light-Emitting Element, Light-Emitting Device, Electronic Device, and Lighting Device |
| WO2018038464A1 (en)* | 2016-08-23 | 2018-03-01 | 주식회사 두산 | Organic compound and organic electroluminescent device comprising same |
| Title |
|---|
| NAGAI, YUJI ET AL.: "Highly efficient, deep-red organic light-emitting devices using energy transfer from exciplexes", JOURNAL OF MATERIALS CHEMISTRY C, vol. 5, no. 3, 1 January 2017 (2017-01-01), pages 527 - 530, XP055537651* |
| Publication | Publication Date | Title |
|---|---|---|
| JP7625030B2 (en) | Electronic device, display device, electronic device, and lighting device | |
| TWI787279B (en) | Organic compound, light-emitting element, light-emitting device, electronic device, and lighting device | |
| JP7353440B2 (en) | Compound | |
| JP7330322B2 (en) | Organic compound and light-emitting device | |
| JP7354387B2 (en) | Light emitting elements, display devices, electronic equipment and lighting devices | |
| JP2024109691A (en) | Light emitting element | |
| JP7637211B2 (en) | Light-emitting element, light-emitting device, electronic device, and lighting device | |
| JP2018104359A (en) | Organic compound, light emitting element, light emitting device, electronic apparatus, and illumination device | |
| WO2018154408A1 (en) | Light-emitting element, light-emitting device, electronic device, and illumination device |
| Date | Code | Title | Description |
|---|---|---|---|
| 121 | Ep: the epo has been informed by wipo that ep was designated in this application | Ref document number:18757854 Country of ref document:EP Kind code of ref document:A1 | |
| NENP | Non-entry into the national phase | Ref country code:DE | |
| 122 | Ep: pct application non-entry in european phase | Ref document number:18757854 Country of ref document:EP Kind code of ref document:A1 | |
| NENP | Non-entry into the national phase | Ref country code:JP |