Dihydropyridazinones Substituted with Phenylureas Field of application of the invention
The present invention relates to dihydropyridazinone substituted cyclic urea derivatives, a process for their production and the use thereof. Background of the invention
Nicotinamide adenine dinucleotide (NAD) is a biologically important coenzyme that plays a critical role in many cell metabolism-related transformations and in cell signaling [Lin, S-J.; Guarente L. Current Opinion Cell Biol. 2003, 15, 241-146; Ziegler M. Eur. J. Biochem. 2000, 267, 1550-1564].
In mammalian cells, the two step salvaging of NAD+ from NAM (nicotinamide) - nicotinamide pathway - is the most efficient process compared to the de novo synthesis of NAD+ from the essential amino acid L-tryptophan which takes mainly place in the liver [Schramm V. L. et al. PNAS 2009, 106, 13748-13753]. NAMPT (nicotinamide phosphoribosyltransferase also known as pre-B-cell-colony-enhancing factor (PBEF) and visfatin, NMPRT, NMPETase or NAmPRTase, International nomenclature E.C.2.4.2.12) catalyzes the first step of this process, the phosphoribosylation of NAM to NMN (nicotineamide mononucleotide) which is further converted to NAD+ by NMNATs (nicotinemaide mononucleotide adenylyltransferase). NAMPT is the rate-limiting enzyme in the production of NAD+ and its inhibition leads to a rapid depletion of NAD+ [Deng Y. et al. Bioanalysis 2014, 6, 1 145-1457].
In general, an altered cell metabolism is one of the basic characteristics of cancer cells as hypothesized by Otto Heinrich Warburg [Warburg, O. Liber den Stoffwechsel der Carcinomzelle. Klin. Wochenschr. 4, 534-536 (1925)]. Due to the fact that cancer cells show sustained chronic proliferation, these cells have to adapt to a stressful and dynamic microenvironment. This results in an increased need for energy, macromolecules and the maintenance of the cellular redox status [Cairns R. A. et al. Nature Rev. 2011 , 11, 85-95] by cancer cells.
With this regard, NAD+ is used as electron carrier in glycolysis, which is up regulated in cancer cells due to the Warburg effect as well as in mitochondrial oxidative phosphorylation. Further, NAD+ serves as a substrate for several enzymes, for example poly-ADP-ribose polymerases (PARPs) and sirtuins which are involved in DNA repair and gene expression, processes often aberrantly regulated in cancer cells [Berger F et al. 2004 Trends Biochem. Sci. 29, 1 1 1-1 18]. Phosphorylated forms of NAD7NADH also exist and are often employed for biosynthetic and/or cell protection purposes in addition to energy generation. They are also involved in the cellular response to oxidative stress [Massudi H. Redox Rep. 2012, 17, 28-46].
For these reasons, many cancer cells have an increased need for NAD+ and its synthesis is constantly required, rendering cancer cells particularly sensitive for NAMPT inhibition. Moreover it was demonstrated that NAMPT is implicated in the regulation of cell viability during genotoxic or oxidative stress and that NAMPT inhibitors are potentially useful for the treatment of e.g. inflammation, metabolic disorders and cancer [Tong L. et al. Expert Opin. Ther. Targets 2007, 11, 695-705; Galli, M. et al. Cancer Res. 2010, 70, 8-1 1 , J. Med. Chem 2013, 56, 6279- 6296]. Daporinad also known as APO-866, FK866, WK175 or WK22 ((E)-N-[4-(l-benzoylpiperidin-4- yl)butyl]-3-(pyrldine-3-yl)-acrylamide is a highly potent and selective inhibitor of NAMPT which interferes with NAD biosynthesis, ATP generation and induces cell death. An in vivo effect of daporinad was shown in murine renal cell carcinoma model [Anticancer Res 2003; 23:4853- 4858, PubMed:14981935]. Currently a clinical phase II trial is ongoing with this inhibitor of NAMPT for the treatment of chronic lymphocytic leukemia (CLL) and of cutaneous T cell lymphoma (CTL) [ClinicalTrials.gov ldentifier:NCT0043191]. CHS-828 also known as GMX 1778 (N-[6-(4-chlorophenoxy)hexyl]-N'-cyano-N"-4-pyridinyl-guanidine), an inhibitor of NAMPT as well as an inhibitor of NF-κΒ pathway activity [Anticancer Res 2006, 26, 4431-4436], showed in vitro and in vivo highly cytotoxic effects in human breast and lung cancer [Cancer Res. 1999, 59, 5751-5757]. A Phase I study for this compound in patients with solid tumor malignancy was published in the year 2002 [ClinCancerRes 2002, 9, 2843-2850].
The present invention relates to chemical compounds that inhibit NAMPT.
Bioorganic & Medicinal Chemistry Letters (2014), 24(3), 954-962; Journal of Medicinal Chemistry (2014), 57(3), 770-792; WO 2013127269; WO 2013127268; WO 2013127267; Bioorganic & Medicinal Chemistry Letters (2013), 23(17), 4875-4885; US 20120122842 and WO 2012031 197, for example, disclose 2,3-dihydro-1 H-pyrrolo[3,4-c]pyridine derivatives and 5,6- dihydro-6H-pyrrolo[3,4-b]pyridine derivatives as NAMPT imhibitors.
DE10010423, WO9206087 and WO2006064189 disclose 1 -alkyl-6-oxo-1 ,4,5,6- tetrahydropyridazin-3-yl derivatives which may be useful for the treatment of anemia, cardiovascular and DGAT mediated disorders (e.g. diabetes), respectively. WO2012067965 discloses 4-oxo-3,4-dihydrophthalazine phenyl cyclic urea derivatives which may be useful as NAMPT and ROCK inhibitors.
Despite the progress made during the last decades in the treatment of uncontrolled proliferative cellular processes in humans and animals, like cancer diseases, there is still a huge unmet medical need to expand therapeutic options especially based on new drugs selectively addressing new targets.
Description of the Invention
Therefore, inhibitors of NAMPT represent valuable compounds that should complement therapeutic options either as single agents or in combination with other drugs, particularly those NAMPT inhibitors with increased selectivity over other biological targets.
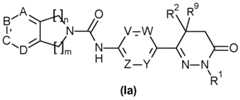
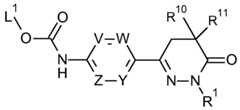
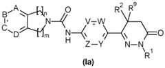
In accordance with a first aspect, the invention relates to compounds of formula (I),
(I)
wherein:
E represents:
(la) (lb)
in which * represents the point of attachment of said group with the rest of the compound of formula (I),
R represents a group selected from : methyl, C2-C6-alkyl, (1 ,3-dioxolan-2-yl)-(Ci-C6-alkyl)-, (1 ,3-dioxan-2-yl)-(Ci -C6-alkyl)-, azetidin-3-yl, (azetidin-3-yl)-(Ci-C6-alkyl)-, oxetan-3-yl, (oxetan-3-yl)-(Ci-C6-alkyl)-, C3-Ce- cycloalkyl, (C3-C6-cycloalkyl)-(Ci-C6-alkyl)-, a 5- to 7-membered heterocycloalkyl group, (5- to 7-membered heterocycloalkyl)-(Ci-C6-alkyl)-, phenyl, phenyl-(Ci-C6-alkyl)-, a 5- to 6- membered heteroaryl group and (5- to 6-membered heteroaryl)-(Ci-C6-alkyl)-, in which 5- to 7-membered heterocycloalkyl and 5- to 6-membered heteroaryl are connected to the rest of the molecule via a carbon atom of the 5- to 7-membered heterocycloalkyl ring or via a carbon atom of the 5- to 6-membered heteroaryl ring, respectively, wherein C2-C6-alkyl is optionally substituted with one or more substituents independently selected from the group consisting of:
halogen, hydroxy, Ci-C3-alkoxy, Ci-C3-haloalkoxy, -N(R5)R6, -SR7, -S(=0)R7, -S(=0)2R7 and -S(=0)(=NR7)R8; wherein azetidin-3-yl and oxetan-3-yl are optionally substituted with one or two substituents independently selected from the group consisting of:
Ci-C4-alkyl, Ci-C4-haloalkyl, Ci-C4-alkoxy, Ci-C4-haloalkoxy, (Ci-C3-alkoxy)-(CrC4-alkyl)- , C3-C6-cycloalkyl and C3-C6-cycloalkyloxy ; wherein C3-C6-cycloalkyl and 5- to 7-membered heterocycloalkyl are optionally substituted with one or more substituents independently selected from the group consisting of:
hydroxy, halogen, cyano, Ci-C4-alkyl, Ci-C4-haloalkyl, Ci-C4-alkoxy, Ci-C4-haloalkoxy, (Ci-C
3-alkoxy)-(Ci-C
4-alkyl)-, C
3-C
6-cycloalkyl, C
3-C
6-cycloalkyloxy, -N(R
5)R
6, -C(=0)OH,
wherein phenyl and 5- to 6-membered heteroaryl are optionally substituted with one or more substituents independently selected from the group consisting of:
halogen, Ci-C
3-alkyl, Ci-C
3-alkoxy-, Ci-C
3-haloalkoxy-, -N(H)R
3, -N(R
3)R
4, -C(=0)OH and
represents H, d-Ce-alkyl-, C
3-C6-cycloalkyl-, Ci-C4-haloalkyl- or phenyl, wherein phenyl is optionally substituted with one or more substituents independently selected from the group consisting of:
halogen, 0-C3-alkyl, CrC3-alkoxy-, CrC3-haloalkoxy- and -N(H)R3, -N(R3)R4 ;
R9 represents H, Ci-C3-alkyl or Ci-C3-haloalkyl; or
R2 and R9 together with the carbon to which they are attached form a C3-C6-cycloalkyl group, a azetidin-3-yl group, a oxetan-3-yl group, or a 5- to 7-membered heterocycloalkyi group containing one heteroatom containing group selected from O, NR12, S , S(=0), S(=0)2, S(=NR12)(=NR13) and S(=0)(=NR12); wherein said C3-C6-cycloalkyl, azetidin-3-yl, oxetan-3-yl, and 5- to 7-membered heterocycloalkyi are optionally substituted with one or more substituents independently selected from the group consisting of:
hydroxy, halogen, cyano, Ci-C3-alkyl, Ci-C3-haloalkyl, Ci-C3-alkoxy, Ci-C3-haloalkoxy, and oxo (=0);
R0 represents Ci-Ce-alkyl, Cs-Ce-cycloalkyl, Ci-C4-haloalkyl or phenyl;
R represents H, Ci-C3-alkyl or Ci-C3-haloalkyl; or R0 and R together with the carbon to which they are attached form a C3-C6-cycloalkyl group, a azetidin-3-yl group, a oxetan-3-yl group, or a 5- to 7-membered heterocycloalkyi group containing one heteroatom containing group selected from O, NR12, S, S(=0), S(=0)2, S(=NR2)(=NR13) and S(=0)(=NR12),
wherein said C3-C6-cycloalkyl, azetidin-3-yl, oxetan-3-yl, and 5- to 7-membered heterocycloalkyi are optionally substituted with one or more substituents independently selected from the group consisting of:
hydroxy, halogen, cyano, Ci-C3-alkyl, Ci-C3-haloalkyl, Ci-C3-alkoxy, Ci-C3-haloalkoxy, and oxo (=0); one or two of A, B, C and D is N and the others are CH or CR4, with the proviso that at least one of A, B, C and D is CH; n is 1 , 2 or 3,
m is 0, 1 , 2 or 3,
with the proviso that n + m is 2, 3 or 4 ;
in which * and
# represent the points of attachment of said group with the rest of the compound of formula (I),
said group being optionally substituted with one or more substituents independently selected from the group consisting of:
halogen, Ci-C3-alkyl, CrC3-alkoxy-, CrC3-haloalkoxy-, R3(H)N- and -N(R3)R4;
R
3, R
4 represent, independently of each other, Ci-C3-alkyl, C
3-C6-cycloalkyl or
alkyl) ;
R
5, R
6 represent, independently of each other hydrogen, Ci-C3-alkyl, C
3-C6-cycloalkyl, -C(=0)- (Ci-C
3-alkyl), -C(=0)-(C
3-C
6-cycloalkyl),
or -C(=0)-0-(C
3-C
6- cycloalkyl); or
R5, R6 together with the nitrogen to which they are attached form an azetidinyl group or a 5- to 7-membered nitrogen containing heterocycloalkyl group optionally containing one additional heteroatom containing group selected from O, NR7, S , S(=0), S(=0)2, S(=NR7)(=NR8) and S(0)(=NR7), said 5- to 7-membered nitrogen containing heterocycloalkyl group optionally containing one additional heteroatom containing group selected from O, NR7, S , S(=0), S(=0)2, S(=NR7)(=NR8) and S(0)(=NR7), being optionally substituted with one or more
substituents independently selected from the group consisting of:
hydroxy, halogen, cyano, Ci-C4-alkyl, Ci-C4-haloalkyl, Ci-C4-alkoxy, C1-C4- haloalkoxy, (Ci-C
3-alkoxy)-(Ci-C4-alkyl)-, C
3-C6-cycloalkyl, C
3-C6-cycloalkyloxy, - N(R
7)R
8, -C(=0)OH, oxo (=0), and
;
R7, R8 represent, independently of each other hydrogen, Ci-C3-alkyl, C3-C6-cycloalkyl, -C(=0)- (Ci-C3-alkyl), -C(=0)-(C3-C6-cycloalkyl), -C(=0)-0-(CrC6-alkyl), or -C(=0)-0-(C3-C6- cycloalkyl); R2, R3 represent, independently of each other, hydrogen, Ci-C3-alkyl, C3-C6-cycloalkyl or -C(=0)-(CrC3-alkyl) ;
R4 represents, independently of each other, halogen, Ci-C3-alkyl, Ci-C3-alkoxy, C1-C3- haloalkoxy, -N(H)R3, -N(R3)R4 or -NH2;
or an N-oxide, a salt, a tautomer or a stereoisomer of said compound, or a salt of said N-oxide, tautomer or stereoisomer.
In a second aspect, the invention relates to compounds of formula (I) as described supra, wherein :
E represents:
(la) (lb)
in which * represents the point of attachment of said group with the rest of the compound of formula (I),
R represents a group selected from :
methyl, C2-C4-alkyl, (1 ,3-dioxolan-2-yl)-(Ci-C4-alkyl)-, (1 ,3-dioxan-2-yl)-(Ci-C4-alkyl)-, azetidin-3-yl, (azetidin-3-yl)-(Ci-C4-alkyl)-, oxetan-3-yl, (oxetan-3-yl)-(Ci-C4-alkyl)-, C3-C6- cycloalkyl, (C3-C6-cycloalkyl)-(Ci-C4-alkyl)-, a 5- to 7-membered heterocycloalkyl group, (5- to 7-membered heterocycloalkyl)-(Ci-C4-alkyl)-, phenyl, phenyl-(Ci-C4-alkyl)-, a 5- to 6-membered heteroaryl group and (5- to 6-membered heteroaryl)-(Ci-C4-alkyl)-, in which 5- to 7-membered heterocycloalkyl and 5- to 6-membered heteroaryl are connected to the rest of the molecule via a carbon atom of the 5- to 7-membered heterocycloalkyl ring or via a carbon atom of the 5- to 6-membered heteroaryl ring, respectively; wherein C2-C4-alkyl is optionally substituted with one or more substituents independently selected from the group consisting of: halogen, hydroxy, Ci-C3-alkoxy, Ci-C3-haloalkoxy, -N(R5)R6, -SR7, -S(=0)R7, -S(=0)2R7 and -S(=0)(=NR7)R8; wherein azetidin-3-yl and oxetan-3-yl are optionally substituted with one or two substituents independently selected from the group consisting of:
Ci-C4-alkyl, Ci-C4-haloalkyl, Ci-C4-alkoxy, Ci-C4-haloalkoxy, (Ci-C3-alkoxy)-(CrC4-alkyl)- , C3-C6-cycloalkyl, and C3-C6-cycloalkyloxy ; wherein C3-C6-cycloalkyl and 5- to 7-membered heterocycloalkyl are optionally substituted with one or more substituents independently selected from the group consisting of:
hydroxy, halogen, cyano, Ci-C4-alkyl, Ci-C4-haloalkyl, Ci-C4-alkoxy, Ci-C4-haloalkoxy, (Ci-C
3-alkoxy)-(Ci-C
4-alkyl)-, C
3-C
6-cycloalkyl, C
3-C
6-cycloalkyloxy, -N(R
5)R
6, -C(=0)OH,
wherein phenyl and 5- to 6-membered heteroaryl are optionally substituted with one or more substituents independently selected from the group consisting of:
halogen, Ci-C3-alkyl, Ci-C3-alkoxy-, Ci-C3-haloalkoxy- -N(H) R3, -N(R3)R4 , -C(=0)OH and -C(=0)0(CrC6-alkyl);
R2 represents H, Ci-C4-alkyl-, C3-C6-cycloalkyl-, Ci-C3-haloalkyl- or phenyl,
wherein phenyl is optionally substituted with one or more substituents independently selected from the group consisting of:
halogen, Ci-C3-alkyl, Ci-C3-alkoxy-, Ci-C3-haloalkoxy- and -N(H)R3, -N(R3)R4 ;
R9 represents H, Ci-C3-alkyl or Ci-C3-haloalkyl; or
R2 and R9 together with the carbon to which they are attached form a C3-C6-cycloalkyl group or a 5- to 6-membered heterocycloalkyl group containing one heteroatom containing group selected from O, NR2, and S; wherein said C3-C6-cycloalkyl and 5- to 6-membered heterocycloalkyl are optionally substituted with one or more substituents independently selected from the group consisting of:
hydroxy, halogen, cyano, Ci-C3-alkyl, Ci-C3-haloalkyl, Ci-C3-alkoxy, Ci-C3-haloalkoxy, and oxo (=0); R0 represents Ci-Ce-alkyl, Cs-Ce-cycloalkyl, Ci-C4-haloalkyl or phenyl;
R represents H, Ci-C3-alkyl or Ci-C3-haloalkyl; or
R0 and R together with the carbon to which they are attached form a C3-C6-cycloalkyl group or a 5- to 7-membered heterocycloalkyl group containing one heteroatom containing group selected from O, N R2, S,
wherein said C3-C6-cycloalkyl and 5- to 7-membered heterocycloalkyl are optionally substituted with one or more substituents independently selected from the group consisting of:
hydroxy, halogen, cyano, Ci-C3-alkyl, Ci-C3-haloalkyl, Ci-C3-alkoxy, Ci-C3-haloalkoxy, and oxo (=0); one or two of A, B, C and D is N and the others are CH or CR4, with the proviso that at least one of A, B, C and D is CH ;
n is 1 , 2 or 3 ;
m is 0, 1 , 2 or 3 ;
with the proviso that n + m is 2, 3 or 4 ;
in which * and
# represent the points of attachment of said group with the rest of the compound of formula (I) ,
said group being optionally substituted with one or more substituents independently selected from the group consisting of:
halogen, Ci-C3-alkyl, Ci-C3-alkoxy- and Ci-C3-haloalkoxy- ;
R
3, R
4 represent, independently of each other Ci-C3-alkyl, Cs-Ce-cycloalkyl or
alkyl) ;
R
5, R
6 represent, independently of each other hydrogen, Ci-C3-alkyl, Cs-Ce-cycloalkyl, -C(=0)- (Ci-C
3-alkyl), -C(=0)-(C
3-C
6-cycloalkyl),
or -C(=0)-0-(C
3-C
6- cycloalkyl); or together with the nitrogen to which they are attached form an azetidinyl group or a 5- to 7-membered nitrogen containing heterocycloalkyi group optionally containing one additional heteroatom containing group selected from O, NR
7, S , S(=0) and S(=0)2 , said 5- to 7-membered nitrogen containing heterocycloalkyi group optionally containing one additional heteroatom containing group selected from O, NR
7, S , S(=0), S(=0)2, being optionally substituted with one or more substituents independently selected from the group consisting of:
hydroxy, halogen, cyano, Ci-C4-alkyl, Ci-C4-haloalkyl, Ci-C4-alkoxy, C1-C4- haloalkoxy, (Ci-C3-alkoxy)-(Ci-C4-alkyl)-, Cs-Ce-cycloalkyl, Cs-Ce-cycloalkyloxy, - N(R
7)R
8, -C(=0)OH, oxo (=0), and
R7, R8 represent, independently of each other hydrogen, Ci-C3-alkyl, Cs-Ce-cycloalkyl, -C(=0)- (Ci-C3-alkyl), -C(=0)-(C3-C6-cycloalkyl), -C(=0)-0-(CrC6-alkyl), or -C(=0)-0-(C3-C6- cycloalkyl);
R2 represents hydrogen, Ci-C3-alkyl, Cs-Ce-cycloalkyl or -C(=0)-(CrC3-alkyl);
R4 represents, independently of each other, halogen, Ci-alkyl, Ci-alkoxy, Ci-haloalkoxy, -
N(H)R3, -N(R3)R4 or -NH2;
or an N-oxide, a salt, a tautomer or a stereoisomer of said compound, or a salt of said N-oxide, tautomer or stereoisomer.
In a third aspect, the invention relates to compounds of formula (I) as described supra, wherein :
E represents:
(la) (lb)
in which * represents the point of attachment of said group with the rest of the compound of formula (I), represents a group selected from :
methyl, C2-C4-alkyl, azetidin-3-yl, (azetidin-3-yl)-(CrC4-alkyl)-, oxetan-3-yl, (oxetan-3-yl)- (Ci-C4-alkyl)-, Cs-Ce-cycloalkyl, (C3-C6-cycloalkyl)-(Ci-C4-alkyl)-, a 5- to 7-membered heterocycloalkyl group, (5- to 7-membered heterocycloalkyl)-(Ci-C4-alkyl)-, phenyl, phenyl-(Ci-C4-alkyl)-, a 5- to 6-membered heteroaryl group and (5- to 6-membered heteroaryl )-(CrC4-alkyl)-, in which 5- to 7-membered heterocycloalkyl and 5- to 6-membered heteroaryl are connected to the rest of the molecule via a carbon atom of the 5- to 7-membered heterocycloalkyl ring or via a carbon atom of the 5- to 6-membered heteroaryl ring, respectively; wherein C2-C4-alkyl is optionally substituted with one or more substituents independently selected from the group consisting of:
halogen, hydroxy, Ci-C3-alkoxy, Ci-C3-haloalkoxy, -N(R5)R6 ;
wherein C3-C6-cycloalkyl and 5- to 7-membered heterocycloalkyl are optionally substituted with one or more substituents independently selected from the group consisting of:
Ci-C4-alkyl, Ci-C4-haloalkyl, Ci-C4-alkoxy, Ci-C4-haloalkoxy, (Ci-C3-alkoxy)-(CrC4-alkyl)- ,C3-C6-cycloalkyl, and oxo (=0) ; wherein phenyl and 5- to 6-membered heteroaryl are optionally substituted with one or more substituents independently selected from the group consisting of:
halogen, Ci-C3-alkyl, CrC3-alkoxy, Ci-C3-haloalkoxy, -C(=0)OH and -C(=0)0(CrC6- alkyl) ; represents H-, Ci-C4-alkyl-, Cs-Ce-cycloalkyl-, Ci-C3-haloalkyl- or phenyl,
wherein phenyl is optionally substituted with one or more substituents independently selected from the group consisting of:
halogen, Ci-C3-alkyl, Ci-C3-alkoxy- and Ci-C3-haloalkoxy- ;
represents H, or Ci-C3-alkyl; or R2 and R9 together with the carbon to which they are attached form a C3-C6-cycloalkyl group or a 5- to 6-membered heterocycloalkyl group containing one heteroatom containing group selected from O, and NR12;
R0 represents Ci-Ce-alkyl, Cs-Ce-cycloalkyl, Ci-C4-haloalkyl or phenyl;
R represents H, or Ci-C3-alkyl; or R0 and R together with the carbon to which they are attached form a C3-C6-cycloalkyl group or a 5- to 6-membered heterocycloalkyl group containing one heteroatom containing group selected from O, NR12,
one or two of A, B, C and D is N and the others are CH or CR4, with the proviso that at least one of A, B, C and D is CH; n is 1 or 2 ;
m is 0, 1 or 2 ;
with the proviso that n + m is 2, 3 or 4;
re resents a group which is selected from :
in which * and * represent the points of attachment of said group with the rest of the compound of formula (I) ;
R3, R4 represent, independently of each other, Ci-C2-alkyl,;
R
5, R
6 represent, independently of each other hydrogen, Ci-C3-alkyl, C3-cycloalkyl,
C3-alkyl), -C(=0)-(C3-C4-cycloalkyl), -C(=0)-0-(CrC4-alkyl), or -C(=0)-0-(C3-C4-cycloalkyl); or
R5, R6 together with the nitrogen to which they are attached form an azetidinyl group or a 5- to
7-membered nitrogen containing heterocycloalkyl group optionally containing one additional heteroatom containing group selected from O, NR7, S , S(=0), S(=0)2, said 5- to 7-membered nitrogen containing heterocycloalkyi group optionally containing one additional heteroatom containing group selected from O, NR7, S , S(=0), S(=0)2 being optionally substituted with one or more substituents independently selected from the group consisting of:
Ci-C4-alkyl, Ci-C4-haloalkyl, Ci-C4-alkoxy, Ci-C4-haloalkoxy, (Ci-C3-alkoxy)-(0-C4-alkyl)- , oxo (=0), and Cs-Ce-cycloalkyl ;
R7 represents, independently of each other hydrogen, Ci-C3-alkyl, Cs-Ce-cycloalkyl, -C(=0)- (Ci-C3-alkyl), -C(=0)-(C3-C4-cycloalkyl), -C(=0)-0-(CrC4-alkyl), or -C(=0)-0-(C3-C4-cycloalkyl) ;
R2 represents hydrogen, or Ci-alkyl;
R4 represents, independently of each other, halogen, Ci-alkyl, Ci-alkoxy, Ci-haloalkoxy, - N(H)R3, -N(R3)R4 or -NH2; or an N-oxide, a salt, a tautomer or a stereoisomer of said compound, or a salt of said N-oxide, tautomer or stereoisomer.
In a fourth aspect, the invention relates to compounds of formula (I) as described supra, wherein :
E represents:
(la) (lb)
in which * represents the point of attachment of said group with the rest of the compound of formula (I), R represents a group selected from :
methyl, C2-C4-alkyl, Cs-Ce-cycloalkyl, (C3-C6-cycloalkyl)-(Ci-C4-alkyl)-, a 5- to 7- membered heterocycloalkyi group, (5- to 7-membered heterocycloalkyl)-(Ci-C4-alkyl)-, phenyl, phenyl-(Ci-C4-alkyl)- and a 5- to 6-membered heteroaryl group, in which 5- to 7-membered heterocycloalkyi and 5- to 6-membered heteroaryl are connected to the rest of the molecule via a carbon atom of the 5- to 7-membered heterocycloalkyi ring or via a carbon atom of the 5- to 6-membered heteroaryl ring, respectively; wherein C2-C4-alkyl is optionally substituted with one or more substituents independently selected from the group consisting of:
halogen, hydroxy, Ci-C3-alkoxy and -N(R5)R6 ; wherein C3-C6-cycloalkyl and 5- to 7-membered heterocycloalkyi are optionally substituted with one or more substituents independently selected from the group consisting of:
Ci-alkyl, and oxo (=0); wherein said phenyl is optionally substituted with one or more substituents independently selected from the group consisting of:
Ci-C
3-alkoxy,Ci-C
3-haloalkoxy- , -C(=0)OH and
R
2 represents H-, Ci-C4-alkyl-, Cs-Ce-cycloalkyl-, or phenyl,
R9 represents H, or Ci-C3-alkyl;
R10 represents Ci-C4-alkyl, C3-C4-cycloalkyl;
R11 represents H, or Ci-C3-alkyl;
in which * represents the point of attachment of said group with the rest of the compound of formula (I),
said groups being optionally substituted one time with R4;
re resents a group which is selected from
in which * and
# represent the points of attachment of said group with the rest of the compound of formula (I),
R3, R4 represent, independently of each other, Ci-alkyl,
R5, R6 represent, independently of each other, hydrogen, Ci-C3-alkyl, or -C(=0)-0-(CrC4-alkyl); or
R5, R6 together with the nitrogen to which they are attached form a 5- to 6-membered nitrogen containing heterocycloalkyl group, optionally containing one additional heteroatom containing group selected from O and NR7 and optionally being substituted with one or more oxo (=0) groups; R7 represents, independently of each other hydrogen, Ci-C3-alkyl or -C(=0)-0-(Ci-C4-alkyl); R2 represents hydrogen, or Ci-alkyl;
R4 represents, independently of each other, N(H)R3, -N(R3)R4 or -NH2; or an N-oxide, a salt, a tautomer or a stereoisomer of said compound, or a salt of said N-oxide, tautomer or stereoisomer.
In a fifth aspect, the invention relates to compounds of formula (I) as described supra, wherein represents:
(la) (lb)
in which * represents the point of attachment of said group with the rest of the compound of formula (I), represents a group selected from :
methyl, ethyl, -CH
2CF
3, cyclopropyl, cyclopentyl, -CH
2CH
2OH, isopropyl, -C
2-C4-alkyl- N(R
5)R
6, phenyl, tetrahydro-2H-pyran-4-yl, 4-(difluoromethoxy)benzyl-, 2,2-difluoroethyl-, 3-methoxypropyl-, 3-hydroxypropyl-, 2-methoxyethyl-, 3-methoxyphenyl-, (tetrahydro-2H- pyran-4-yl)CH
2-, cyclobutyl, 1-methoxypropan-2- l, 1-methylpiperidin-4-yl, 2-
methox ropyl-, cyclopropylmethyl-, and
in which * represents the point of attachment of said group with the rest of the compound of formula (I); represents H-, methyl, ethyl, propan-2-yl or phenyl,
represents H, or Ci-alkyl;
represents Ci-alkyl;
represents H, or Ci-alkyl;
represents a group selected from :
in which * represents the point of attachment of said group with the rest of the compound of formula (I),
said groups being optionally substituted one time with R
4;
re resents a group which is selected from :
in which * and
# represent the points of attachment of said group with the rest of the compound of formula (I),
R5, R6 represent, independently of each other, hydrogen, methyl, or -(C=0)0(ferf-butyl); or R5, R6 together with the nitrogen to which they are attached form morpholinyl, piperidinyl, 1 ,3- dioxo-1 ,3-dihydro-2H-isoindol-2-yl, or piperazinyl optionally substituted with -(C=0)0(fert-butyl), R4 represents -NH2; or an N-oxide, a salt, a tautomer or a stereoisomer of said compound, or a salt of said N-oxide, tautomer or stereoisomer.
In a sixth aspect, the invention relates to compounds of formula (I) as described supra, which have formula (lc) below:
R represents a group selected from :
methyl, C2-C6-alkyl, (1 ,3-dioxolan-2-yl)-(Ci-C6-alkyl)-, (1 ,3-dioxan-2-yl)-(Ci-C6-alkyl)-, azetidin-3- yl, (azetidin-3-yl)-(Ci-C6-alkyl)-, oxetan-3-yl, (oxetan-3-yl)-(CrC6-alkyl)-, C3-C6-cycloalkyl, (C3-C6- cycloalkyl)-(Ci-C6-alkyl)-, a 5- to 7-membered heterocycloalkyi group, (5- to 7-membered heterocycloalkyl)-(Ci-C6-alkyl)-, phenyl, phenyl-(Ci-C6-alkyl)-, a 5- to 6-membered heteroaryl group and (5- to 6-membered heteroaryl)-(Ci-C6-alkyl)-, in which 5- to 7-membered heterocycloalkyi and 5- to 6-membered heteroaryl are connected to the rest of the molecule via a carbon atom of the 5- to 7-membered heterocycloalkyi ring or via a carbon atom of the 5- to 6-membered heteroaryl ring, respectively, wherein C2-C6-alkyl is optionally substituted with one or more substituents independently selected from the group consisting of:
halogen, hydroxy, Ci-C3-alkoxy, CrC3-haloalkoxy, -N(R5)R6, -SR7, -S(=0)R7, -S(=0)2R7 and -S(=0)(=NR7)R8; wherein azetidin-3-yl and oxetan-3-yl are optionally substituted with one or two substituents independently selected from the group consisting of:
Ci-C4-alkyl, Ci-C4-haloalkyl, Ci-C4-alkoxy, Ci-C4-haloalkoxy, (Ci-C3-alkoxy)-(CrC4-alkyl)- , C3-C6-cycloalkyl and C3-C6-cycloalkyloxy ; wherein C3-C6-cycloalkyl and 5- to 7-membered heterocycloalkyi are optionally substituted with one or more substituents independently selected from the group consisting of: hydroxy, halogen, cyano, Ci-C4-alkyl, Ci-C4-haloalkyl, Ci-C4-alkoxy, Ci-C4-haloalkoxy, (Ci-C3-alkoxy)-(Ci-C4-alkyl)-, C3-C6-cycloalkyl, C3-C6-cycloalkyloxy, -N(R5)R6, -C(=0)OH and
wherein phenyl and 5- to 6-membered heteroaryl are optionally substituted with one or more substituents independently selected from the group consisting of:
halogen, Ci-C3-alkyl, Ci-C3-alkoxy-, Ci-C3-haloalkoxy- and -N(H)R3, -N(R3)R4 ; R2 represents H-, d-Ce-alkyl-, C3-C6-cycloalkyl-, Ci-C4-haloalkyl- or phenyl,
wherein phenyl is optionally substituted with one or more substituents independently selected from the group consisting of:
halogen, Ci-C3-alkyl, Ci-C3-alkoxy-, Ci-C3-haloalkoxy- and -N(H)R3, -N(R3)R4 ; one or two of A, B, C and D is N and the others are CH,
n is 1 , 2 or 3,
m is 1 , 2 or 3,
with the proviso that n + m is 2, 3 or 4 ;
in which * and
# represent the points of attachment of said group with the rest of the compound of formula (I),
said group being optionally substituted with one or more substituents independently selected from the group consisting of:
halogen, Ci-C3-alkyl, Ci-C3-alkoxy-, Ci-C3-haloalkoxy-, R3(H)N- and -N(R3)R4; R3, R4 represent, independently of each other, Ci-C3-alkyl, C3-C6-cycloalkyl or -C(=0)-(CrC3- alkyl) ;
R5, R6 represent, independently of each other hydrogen, Ci-C3-alkyl, C3-C6-cycloalkyl or -C(=0)- (CrC3-alkyl) ; or
R5, R6 together with the nitrogen to which they are attached form an azetidinyl group or a 5- to 7- membered nitrogen containing heterocycloalkyi group optionally containing one additional heteroatom containing group selected from O, NR7, S , S(=0), S(=0)2, S(=NR7) (=NR8) and S(0)(=NR7),
said 5- to 7-membered nitrogen containing heterocycloalkyl group optionally containing one additional heteroatom containing group selected from O, NR7, S , S(=0), S(=0)2, S(=NR7) (=NR8) and S(0)(=NR7), being optionally substituted with one or more substituents independently selected from the group consisting of:
hydroxy, halogen, cyano, Ci-C4-alkyl, Ci-C4-haloalkyl, Ci-C4-alkoxy, C1-C4- haloalkoxy, (Ci-C3-alkoxy)-(Ci-C4-alkyl)-, C3-C6-cycloalkyl, C3-C6-cycloalkyloxy, - N(R7)R8, -C(=0)OH and
R7, R8 represent, independently of each other hydrogen, Ci-C3-alkyl, C3-C6-cycloalkyl or -C(=0)- (CrCa-alkyl) ;
or an N-oxide, a salt, a tautomer or a stereoisomer of said compound, or a salt of said N-oxide, tautomer or stereoisomer.
In a seventh aspect, the invention relates to compounds of formula (Ic) as described supra, wherein :
R represents a group selected from :
methyl, C2-C4-alkyl, (1 ,3-dioxolan-2-yl)-(Ci-C4-alkyl)-, (1 ,3-dioxan-2-yl)-(Ci-C4-alkyl)-, azetidin-3- yl, (azetidin-3-yl)-(Ci-C4-alkyl)-, oxetan-3-yl, (oxetan-3-yl)-(CrC4-alkyl)-, C3-C6-cycloalkyl, (C3-C6- cycloalkyl)-(Ci-C4-alkyl)-, a 5- to 7-membered heterocycloalkyl group, (5- to 7-membered heterocycloalkyl)-(Ci-C4-alkyl)-, phenyl, phenyl-(Ci-C4-alkyl)-, a 5- to 6-membered heteroaryl group and (5- to 6-membered heteroaryl)-(Ci-C4-alkyl)-,
in which 5- to 7-membered heterocycloalkyl and 5- to 6-membered heteroaryl are connected to the rest of the molecule via a carbon atom of the 5- to 7-membered heterocycloalkyl ring or via a carbon atom of the 5- to 6-membered heteroaryl ring, respectively; wherein C2-C4-alkyl is optionally substituted with one or more substituents independently selected from the group consisting of:
halogen, hydroxy, Ci-C3-alkoxy, Ci-C3-haloalkoxy, -N(R5)R6, -SR7, -S(=0)R7, -S(=0)2R7 and -S(=0)(=NR7)R8; wherein azetidin-3-yl and oxetan-3-yl are optionally substituted with one or two substituents independently selected from the group consisting of:
Ci-C4-alkyl, Ci-C4-haloalkyl, Ci-C4-alkoxy, Ci-C4-haloalkoxy, (Ci-C3-alkoxy)-(Ci-C4-alkyl)- , C3-C6-cycloalkyl, and C3-C6-cycloalkyloxy ; wherein C3-C6-cycloalkyl and 5- to 7-membered heterocycloalkyl are optionally substituted with one or more substituents independently selected from the group consisting of:
hydroxy, halogen, cyano, Ci-C4-alkyl, Ci-C4-haloalkyl, Ci-C4-alkoxy, Ci-C4-haloalkoxy, (Ci-C3-alkoxy)-(Ci-C4-alkyl)-, C3-C6-cycloalkyl, C3-C6-cycloalkyloxy, -N(R5)R6, -C(=0)OH and -N(H)C(=0)-(CrC3-alkyl) ; wherein phenyl and 5- to 6-membered heteroaryl are optionally substituted with one or more substituents independently selected from the group consisting of:
halogen, Ci-C3-alkyl, Ci-C3-alkoxy-, Ci-C3-haloalkoxy- and -N(H) R3, -N(R3)R4 ;
R2 represents H-, Ci-C4-alkyl-, C3-C6-cycloalkyl-, Ci-C3-haloalkyl- or phenyl,
wherein phenyl is optionally substituted with one or more substituents independently selected from the group consisting of:
halogen, Ci-C3-alkyl, Ci-C3-alkoxy-, Ci-C3-haloalkoxy- and -N(H)R3, -N(R3)R4 ;
one or two of A, B, C and D is N and the others are CH ;
n is 1 , 2 or 3 ;
m is 1 , 2 or 3 ;
with the proviso that n + m is 2, 3 or 4 ;
in which * and * represent the points of attachment of said group with the rest of the compound of formula (I) ,
said group being optionally substituted with one or more substituents independently selected from the group consisting of:
halogen, Ci-C
3-alkyl, Ci-C
3-alkoxy- and Ci-C
3-haloalkoxy- ; R
3, R
4 represent, independently of each other Ci-C3-alkyl, C
3-C6-cycloalkyl or
alkyl) ;
R5, R6 represent, independently of each other hydrogen, Ci-C3-alkyl, C3-C6-cycloalkyl or -C(=0)- (Ci-C3-alkyl) ; or
R5, R6 together with the nitrogen to which they are attached form an azetidinyl group or a 5- to 7- membered nitrogen containing heterocycloalkyi group optionally containing one additional heteroatom containing group selected from O, NR7, S , S(=0) and S(=0)2 ,
said 5- to 7-membered nitrogen containing heterocycloalkyi group optionally containing one additional heteroatom containing group selected from O, NR7, S , S(=0), S(=0)2, being optionally substituted with one or more substituents independently selected from the group consisting of:
hydroxy, halogen, cyano, Ci-C4-alkyl, Ci-C4-haloalkyl, Ci-C4-alkoxy, Ci-C4-haloalkoxy, (Ci-C3-alkoxy)-(Ci-C4-alkyl)-, C3-C6-cycloalkyl, C3-C6-cycloalkyloxy, -N(R7)R8, -C(=0)OH and
R7, R8 represent, independently of each other hydrogen, Ci-C3-alkyl, C3-C6-cycloalkyl or -C(=0)- (CrC3-alkyl) ;
or an N-oxide, a salt, a tautomer or a stereoisomer of said compound, or a salt of said N-oxide, tautomer or stereoisomer.
In a eighth aspect, the invention relates to compounds of formula (lc) as described supra, wherein :
R represents a group selected from :
methyl, C2-C4-alkyl, azetidin-3-yl, (azetidin-3-yl)-(Ci-C4-alkyl)-, oxetan-3-yl, (oxetan-3-yl)-(Ci-C4- alkyl)-, C3-C6-cycloalkyl, (C3-C6-cycloalkyl)-(Ci-C4-alkyl)-, a 5- to 7-membered heterocycloalkyi group, (5- to 7-membered heterocycloalkyl)-(Ci-C4-alkyl)-, phenyl, phenyl-(Ci-C4-alkyl)-, a 5- to 6-membered heteroaryl group and (5- to 6-membered heteroaryl)-(Ci-C4-alkyl)-, in which 5- to 7-membered heterocycloalkyi and 5- to 6-membered heteroaryl are connected to the rest of the molecule via a carbon atom of the 5- to 7-membered heterocycloalkyl ring or via a carbon atom of the 5- to 6-membered heteroaryl ring, respectively; wherein C2-C4-alkyl is optionally substituted with one or more substituents independently selected from the group consisting of:
halogen, hydroxy, Ci-C3-alkoxy, Ci-C3-haloalkoxy, -N(R5)R6 ;
wherein C3-C6-cycloalkyl and 5- to 7-membered heterocycloalkyl are optionally substituted with one or more substituents independently selected from the group consisting of:
Ci-C4-alkyl, Ci-C4-haloalkyl, Ci-C4-alkoxy, Ci-C4-haloalkoxy, (Ci-C3-alkoxy)-(Ci-C4-alkyl> and C3-C6-cycloalkyl; wherein phenyl and 5- to 6-membered heteroaryl are optionally substituted with one or more substituents independently selected from the group consisting of:
halogen, Ci-C3-alkyl, Ci-C3-alkoxy and Ci-C3-haloalkoxy ;
R2 represents H-, Ci-C4-alkyl-, Cs-Ce-cycloalkyl-, Ci-C3-haloalkyl- or phenyl,
wherein phenyl is optionally substituted with one or more substituents independently selected from the group consisting of:
halogen, Ci-C3-alkyl, Ci-C3-alkoxy- and Ci-C3-haloalkoxy- ;
one or two of A, B, C and D is N and the others are CH ;
n is 1 or 2 ;
m is 1 or 2 ;
with the proviso that n + m is 2, 3 or 4;
re resents a group which is selected from
in which * and * represent the points of attachment of said group with the rest of the compound of formula (I) ;
R5, R6 represent, independently of each other hydrogen, Ci-C3-alkyl or C3-cycloalkyl; or R5, R6 together with the nitrogen to which they are attached form an azetidinyl group or a 5- to 7- membered nitrogen containing heterocycloalkyi group optionally containing one additional heteroatom containing group selected from O, NR7, S , S(=0), S(=0)2,
said 5- to 7-membered nitrogen containing heterocycloalkyi group optionally containing one additional heteroatom containing group selected from O, NR7, S , S(=0), S(=0)2 being optionally substituted with one or more substituents independently selected from the group consisting of:
Ci-C4-alkyl, Ci-C4-haloalkyl, Ci-C4-alkoxy, Ci-C4-haloalkoxy, (Ci-C3-alkoxy)-(CrC4-alkyl)- and C3-C6-cycloalkyl ;
R7 represents, independently of each other hydrogen, Ci-C3-alkyl or C3-C6-cycloalkyl ;
or an N-oxide, a salt, a tautomer or a stereoisomer of said compound, or a salt of said N-oxide, tautomer or stereoisomer.
In a ninth aspect, the invention relates to compounds of formula (Ic) as described supra, wherein
R represents a group selected from :
methyl, C2-C4-alkyl, C3-C6-cycloalkyl, a 5- to 7-membered heterocycloalkyi group, (5- to 7- membered heterocycloalkyl)-(Ci-C4-alkyl)-, phenyl, phenyl-(Ci-C4-alkyl)- and a 5- to 6- membered heteroaryl group, in which 5- to 7-membered heterocycloalkyi and 5- to 6-membered heteroaryl are connected to the rest of the molecule via a carbon atom of the 5- to 7-membered heterocycloalkyi ring or via a carbon atom of the 5- to 6-membered heteroaryl ring, respectively; wherein C2-C4-alkyl is optionally substituted with one or more substituents independently selected from the group consisting of:
halogen, hydroxy, Ci-C3-alkoxy, -N(R5)R6 ; wherein said phenyl is optionally substituted with one or more substituents independently selected from the group consisting of:
Ci-C3-alkoxy and Ci-C3-haloalkoxy- ;
R
2 represents H-, Ci-C4-alkyl-, Cs-Ce-cycloalkyl-, or phenyl,
re resents a group selected from :
in which * represents the point of attachment of said group with the rest of the compound of formula (I) ;
v-w — Y
re resents a group which is selected from :
in which * and
# represent the points of attachment of said group with the rest of the compound of formula (I),
R5, R6 represent, independently of each other Ci-C3-alkyl; or
R5, R6 together with the nitrogen to which they are attached form a 6-membered nitrogen containing heterocycloalkyi group, optionally containing one additional heteroatom containing group selected from O and NR7,
R7 represents, independently of each other hydrogen, Ci-C3-alkyl;
or an N-oxide, a salt, a tautomer or a stereoisomer of said compound, or a salt of said N-oxide, tautomer or stereoisomer.
In a tenth aspect, the invention relates to compounds of formula (Ic) as described supra, wherein
R represents a group selected from methyl, ethyl, -CH2CF3, cyclopropyl, cyclopentyl, -CH2CH2OH, isopropyl, -CH2CH2N(R5)R6, phenyl, tetrahydro-2H-pyran-4-yl 4-(difluoromethoxy)benzyl-, 2,2-difluoroethyl-, 3- methoxypropyl-, 3-hydroxypropyl-, 2-methoxyethyl-, 3-methoxyphenyl-, (tetrahydro-2H-pyran-4- yl)CH2-, cyclobutyl and 1 -methoxypropan-2-yl ;
R2 rep , propan-2-yl or phenyl,
resents a group selected from
in which * represents the point of attachment of said group with the rest of the compound of formula (I) ;
v-w
Z=Y represents a group which is selected from
in which * and * represent the points of attachment of said group with the rest of the compound of formula (I),
R5, R6 represent methyl; or
R5, R6 together with the nitrogen to which they are attached form morpholinyl,
or an N-oxide, a salt, a tautomer or a stereoisomer of said compound, or a salt of said N-oxide, tautomer or stereoisomer.
In a further aspect of the invention the compound of formula (I) as described above is selected from the group consisting of:
N-[4-(1 ,4-dimethyl-6-oxo-1 ,4,5,6-tetrahydropyridazin-3-yl)phenyl]-5,7-dihydro-6H-pyrrolo[3,4- b]pyridine-6-carboxamide, N-{4-[(4R)-1 ,4-dimethyl-6-oxo-1 ^,5,6-tetrahydropyridazin-3-yl]phenyl}-5 -dihydro-6H- pyrrolo[3,4-b]pyridine-6-carboxamide,
N-{4-[(4S)-1 ^-dimethyl-6-oxo-1 ,4,5,6-tetrahydropyridazin-3-yl]phenyl}-5,7-dihydro-6H- pyrrolo[3,4-b]pyridine-6-carboxamide,
N-[4-(1 ,4-dimethyl-6-oxo-1 ,4,5,6-tetrahydropyridazin-3-yl)phenyl]-1 ,3-dihydro-2H-pyrrolo[3,4- c]pyridine-2-carboxamide,
N-{4-[(4S)-1 ,4-dimethyl-6-oxo-1 ,4,5,6-tetrahydropyridazin-3-yl]phenyl}-1 ,3-dihydro-2H- pyrrolo[3,4-c]pyridine-2-carboxamide,
N-{4-[(4R)-1 ,4-dimethyl-6-oxo-1 ,4,5,6-tetrahydropyridazin-3-yl]phenyl}-1 ,3-dihydro-2H- pyrrolo[3,4-c]pyridine-2-carboxamide,
N-[4-(1-cyclopentyl-4-methyl-6-oxo-1 ,4,5,6-tetrahydropyridazin-3-yl)phenyl]-1 ,3-dihydro-2H- pyrrolo[3,4-c]pyridine-2-carboxamide,
N-[4-(1-cyclopentyl-4-methyl-6-oxo-1 ,4,5,6-tetrahydropyridazin-3-yl)phenyl]-5,7-dihydro-6H- pyrrolo[3,4-b]pyridine-6-carboxamide,
N-[4-(1-ethyl-4-methyl-6-oxo-1 ,4,5,6-tetrahydropyridazin-3-yl)phenyl]-1 ,3-dihydro-2H-pyrrolo[3,4 c]pyridine-2-carboxamide,
N-[4-(1-ethyl-4-methyl-6-oxo-1 ,4,5,6-tetrahydropyridazin-3-yl)phenyl]-5,7-dihydro-6H-pyrrolo[3,4 b]pyridine-6-carboxamide,
N-{4-[4-methyl-6-oxo-1 -(2,2,2-trifluoroethyl)-1 ,4,5,6-tetrahydropyridazin-3-yl]phenyl}-1 ,3-dihydro 2H-pyrrolo[3,4-c]pyridine-2-carboxamide,
N-{4-[(4S)-4-methyl-6-oxo-1-(2,2,2-trifluoroethyl)-1 ^,5,6-tetrahydropyridazin-3-yl]phen dihydro-2H-pyrrolo[3,4-c]pyridine-2-carboxamide,
N-{4-[(4R)-4-methyl-6-oxo-1-(2,2,2-trifluoroethyl)-1 ^,5,6-tetrahydropyridazin-3-yl]phen dihydro-2H-pyrrolo[3,4-c]pyridine-2-carboxamide,
N-{4-[4-methyl-6-oxo-1 -(2,2,2-trifluoroethyl)-1 ,4,5,6-tetrahydropyridazin-3-yl]phenyl}-^
6H-pyrrolo[3,4-b]pyridine-6-carboxamide,
N-{4-[(4S)-4-methyl-6-oxo-1-(2,2,2-trifluoroethyl)-1 ^,5,6-tetrahydropyridazin-3-yl]phe dihydro-6H-pyrrolo[3,4-b]pyridine-6-carboxamide,
N-{4-[(4R)-4-methyl-6-oxo-1-(2,2,2-trifluoroethyl)-1 ^,5,6-tetrahydropyridazin-3-yl]phen dihydro-6H-pyrrolo[3,4-b]pyridine-6-carboxamide,
N-[4-(1-cyclopropyl-4-methyl-6-oxo-1 ,4,5,6-tetrahydropyridazin-3-yl)phenyl]-1 ,3-dihydro-2H- pyrrolo[3,4-c]pyridine-2-carboxamide,
N-[4-(1-cyclopropyl-4-methyl-6-oxo-1 ,4,5,6-tetrahydropyridazin-3-yl)phenyl]-5,7-dihydro-6H- pyrrolo[3,4-b]pyridine-6-carboxamide, N-[4-(1-methyl-6-oxo-1 ,4,5,6-tetrahydropyridazin-3-yl)phenyl]-1 ,3-dihydro-2H-pyrrolo[3^ c]pyridine-2-carboxamide,
N-[4-(1-methyl-6-oxo-1 ,4,5,6-tetrahydropyridazin-3-yl)phenyl]-5,7-dihydro-6H-pyrrolo[3,4- b] pyridine-6-carboxamide,
N-{4-[4-methyl-6-oxo-1 -(tetrahydro-2H-pyran-4-yl)-1 ,4,5,6-tetrahydropyridazin-3-yl]phenyl^ dihydro-2H-pyrrolo[3,4-c]pyridine-2-carboxamide,
N-{4-[4-methyl-6-oxo-1 -(tetrahydro-2H-pyran
dihydro-6H-pyrrolo[3,4-b]pyridine-6-carboxamide,
N-{4-[1-(2-hydroxyethyl)-4-methyl-6-oxo-1 ,4,5,6-tetrahydropyridazin-3-yl]phenyl}-5,7-dihydro-6H pyrrolo[3,4-b]pyridine-6-carboxamide,
N-[4-(4-ethyl-1-methyl-6-oxo-1 ,4,5,6-tetrahydropyridazin-3-yl)phenyl]-1 ,3-dihydro-2H-pyrrolo[3,4 c] pyridine-2-carboxamide,
N-[4-(4-ethyl-1-methyl-6-oxo-1 ,4,5,6-tetrahydropyridazin-3-yl)phenyl]-5,7-dihydro-6H-pyrrolo[3,4 b]pyridine-6-carboxamide,
N-[4-(1 ,4-dimethyl-6-oxo-1 ,4,5,6-tetrahydropyridazin-3-yl)phenyl]-3^-dihydro-2,6-naphthyri 2(1 H)-carboxamide,
N-[4-(1 ,4-dimethyl-6-oxo-1 ,4,5,6-tetrahydropyridazin-3-yl)phenyl]-5,8-dihydro-1 ,7-naphthyridine- 7(6H)-carboxamide,
N-[4-(1-isopropyl-4-methyl-6-oxo-1 ,4,5,6-tetrahydropyridazin-3-yl)phenyl]-5,7-dihydro-6H- pyrrolo[3,4-b]pyridine-6-carboxamide,
N-[4-(1-isopropyl-4-methyl-6-oxo-1 ,4,5,6-tetrahydropyridazin-3-yl)phenyl]-1 ,3-dihydro-2H- pyrrolo[3,4-c]pyridine-2-carboxamide,
N-[4-(1-methyl-6-oxo-4-phenyl-1 ,4,5,6-tetrahydropyridazin-3-yl)phenyl]-5,7-dihydro-6H- pyrrolo[3,4-b]pyridine-6-carboxamide,
N-[4-(1-methyl-6-oxo^l-phenyl-1 ,4,5,6-tetrahydropyridazin-3-yl)phenyl]-1 ,3-dihydro-2H- pyrrolo[3,4-c]pyridine-2-carboxamide,
N-(4-{1-[4-(difluoromethoxy)benzyl]-4-methyl-6-oxo-1 ,4,5,6-tetrahydropyridazin-3-yl}phenyl)-1 ,3- dihydro-2H-pyrrolo[3,4-c]pyridine-2-carboxamide,
N-(4-{1-[2-(dimethylamino)ethyl]-4-methyl-6-oxo-1 ,4,5,6-tetrahydropyridazin-3-yl}phen dihydro-6H-pyrrolo[3,4-b]pyridine-6-carboxamide,
N-(4-{1-[2-(dimethylamino)ethyl]-4-methyl-6-oxo-1 ,4,5,6-tetrahydropyridazin-3-yl}phenyl^ dihydro-2H-pyrrolo[3,4-c]pyridine-2-carboxamide,
N-[4-(4-methyl-6-oxo-1 -phenyl-1 ,4,5,6-tetrahydropyridazin-3-yl)phenyl]-1 ,3-dihydro-2H- pyrrolo[3,4-c]pyridine-2-carboxamide, N-(4-{4-methyl-1-[2-(morpholin-4-yl)ethyl]-6-oxo-1 ,4,5,6-tetrahydropyridazin-3-yl}p dihydro-2H-pyrrolo[3,4-c]pyridine-2-carboxamide, and
N-[4-(4-methyl-6-oxo-1 -phenyl-1 ,4,5,6-tetrahydropyridazin-3-yl)phenyl]-5,7-dihydro-6H- pyrrolo[3,4-b]pyridine-6-carboxamide,
N-[4-(1 ,5,5-trimethyl-6-oxo-1 ,4,5,6-tetrahydropyridazin-3-yl)phenyl]-1 ,3-dihydro-2H-pyrrolo[3,4- c]pyridine-2-carboxamide,
2-amino-N-[4-(1 -cyclopropyl-5,5-dimethyl-6-oxo-1 ,4,5,6-tetrahydropyridazin-3-yl)phenyl]-5,7- dihydro-6H-pyrrolo[3,4-b]pyridine-6-carboxamide,
N-[4-(1-cyclopropyl-5,5-dimethyl-6-oxo-1 ,4,5,6-tetrahydropyridazin-3-yl)phenyl]-1 ,3-dihydro-2H- pyrrolo[3,4-c]pyridine-2-carboxamide,
N-[4-(1-ethyl-5,5-dimethyl-6-oxo-1 ,4,5,6-tetrahydropyridazin-3-yl)phenyl]-1 ,3-dihydro-2H- pyrrolo[3,4-c]pyridine-2-carboxamide,
N-[4-(1-cyclobutyl-5,5-dimethyl-6-oxo-1 ,4,5,6-tetrahydropyridazin-3-yl)phenyl]-1 ,3-dihydro-2H- pyrrolo[3,4-c]pyridine-2-carboxamide,
N-[4-(5,5-dimethyl-6-oxo-1-phenyl-1 ,4,5,6-tetrahydropyridazin-3-yl)phenyl]-1 ,3-dihydro-2H- pyrrolo[3,4-c]pyridine-2-carboxamide,
N-[4-(1-ethyl-5,5-dimethyl-6-oxo-1 ,4,5,6-tetrahydropyridazin-3-yl)phenyl]-5,7-dihydro-6H- pyrrolo[3,4-b]pyridine-6-carboxamide
2-amino-N-[4-(1 -ethyl-5,5-dimethyl-6-oxo-1 ,4,5,6-tetrahydropyridazin-3-yl)phenyl]-5J-dih 6H-pyrrolo[3,4-b]pyridine-6-carboxamide,
2-amino-N-(4-{1-[2-(dimethylamino)ethyl]-4-methyl-6-oxo-1 ,4,5,6-tetrahydropyridazin yl}phenyl)-5,7-dihydro-6H-pyrrolo[3,4-b]pyridine-6-carboxamide,
2-amino-N-{4-[4-methyl-1-(1-methylpiperidin-4-yl)-6-oxo-1 ,4,5,6-tetrahydropyridazin-3^
5,7-dihydro-6H-pyrrolo[3,4-b]pyridine-6-carboxamide,
2-amino-N-[4-(1 -ethyl-4-methyl-6-oxo-1 A5,6-tetra^
pyrrolo[3,4-b]pyridine-6-carboxamide,
2-amino-N-{4-[1 -(2,2-difluoroethyl)-4-methyl-6-oxo-1 ,4,5,6-tetrahydropyridazin-3-yl]phen dihydro-6H-pyrrolo[3,4-b]pyridine-6-carboxamide,
2-amino-N-[4-(1 -cyclopropyl-4-methyl-6-oxo-1 ,4,5,6-tetrahydropyridazin-3-yl)phenyl]-5,7- dihydro-6H-pyrrolo[3,4-b]pyridine-6-carboxamide,
2-amino-N-[4-(4-methyl-6-oxo-1-phenyl-1 ,4,5,6-tetrahydropyridazin-3-yl)phenyl]-5J-dihydro-^ pyrrolo[3,4-b]pyridine-6-carboxamide,
2-amino-N-[4-(1 ,4-dimethyl-6-oxo-1 ,4,5,6-tetrahydropyridazin-3-yl)phenyl]-5,7-dihydro-6H- pyrrolo[3,4-b]pyridine-6-carboxamide, N-[4-(1-cyclobutyl-4-methyl-6-oxo-1 ,4,5,6-tetrahydropyridazin-3-yl)phenyl]-1 ,3-dihyd pyrrolo[3,4-c]pyridine-2-carboxamide,
N-{4-[1-(1-methoxypropan-2-yl)-4-methyl-6-oxo-1 ,4,5,6-tetrahydropyridazin-3-yl]phenyl}-5,7- dihydro-6H-pyrrolo[3,4-b]pyridine-6-carboxamide,
N-{4-[1-(1-methoxypropan-2-yl)-4-methyl-6-oxo-1 ,4,5,6-tetrahydropyridazin-3-yl]phenyl}-1 ,3- dihydro-2H-pyrrolo[3,4-c]pyridine-2-carboxamide,
N-{4-[(4S)-1 -ethyl-4-methyl-6-oxo-1 ,4,5,6-tetrahydropyridazin-3-yl]phenyl}-1 ,3-dihydro-2H- pyrrolo[3,4-c]pyridine-2-carboxamide,
N-{4-[(4R)-1 -ethyl-4-methyl-6-oxo-1 ,4,5,6-tetrahydropyridazin-3-yl]phenyl}-1 ,3-dihydro-2H- pyrrolo[3,4-c]pyridine-2-carboxamide,
2-amino-N-{4-[(4S)-1 -ethyl-4-methyl-6-oxo-
6H-pyrrolo[3,4-b]pyridine-6-carboxamide,
2-amino-N-{4-[(4R)-1 -ethyl-4-methyl-6-oxo-1 ,4,5,6-tetrahydropyridazin-3-yl]phenyl}-5J-dihyd 6H-pyrrolo[3,4-b]pyridine-6-carboxamide,
N-{4-[1-(2,2-difluoroethyl)-4-methyl-6-oxo-1 ,4,5,6-tetrahydropyridazin-3-yl]phenyl}-1 ,3-dihydro- 2H-pyrrolo[3,4-c]pyridine-2-carboxamide,
N-{4-[(4S)-1 -(2,2-difluorethyl)-4-methyl-6-oxo-1 ^,5,6-tetrahydropyridazin-3-yl]phenyl^1 ,3- dihydro-2H-pyrrolo[3,4-c]pyridine-2-carboxamide,
N-{4-[(4R-(2,2-difluorethylH-methyl-6-oxo-1 ^,5,6-tetrahydropyridazin-3-yl]phenyl}-1 ,3-dihydro- 2H-pyrrolo[3,4-c]pyridine-2-carboxamide,
N-{4-[(4S)-1 -cyclopropyl-4-methyl-6-oxo-1 ,4,5,6-tetrahydropyridazin-3-yl]phenyl}-1 ,3-dihydro-2H pyrrolo[3,4-c]pyridine-2-carboxamide,
N-{4-[(4R)-1 -cyclopropyl-4-methyl-6-oxo-1 ,4,5,6-tetrahydropyridazin-3-yl]phenyl}-1 ,3-dihydro-2H pyrrolo[3,4-c]pyridine-2-carboxamide,
N-[4-(1 ,5-dimethyl-6-oxo-1 ,4,5,6-tetrahydropyridazin-3-yl)phenyl]-1 ,3-dihydro-2H-pyrrolo[3,4- c]pyridine-2-carboxamide,
N-{4-[(4S)-1 -isopropyl-4-methyl-6-oxo-1 ,4,5,6-tetrahydropyridazin-3-yl]phenyl}-1 ,3-dihydro-2H- pyrrolo[3,4-c]pyridine-2-carboxamide,
N-{4-[(4R)-1 -isopropyl-4-methyl-6-oxo-1 ,4,5,6-tetrahydropyridazin-3-yl]phenyl}-1 ,3-dihydro-2H- pyrrolo[3,4-c]pyridine-2-carboxamide,
N-{4-[1-(3-hydroxypropyl)-4-methyl-6-oxo-1 ,4,5,6-tetrahydropyridazin-3-yl]phenyl}-1 ,3-dihydro- 2H-pyrrolo[3,4-c]pyridine-2-carboxamide,
N-{4-[1-(2-hydroxyethyl)-4-methyl-6-oxo-1 ,4,5,6-tetrahydropyridazin-3-yl]phenyl}-1 ,3-dihydro-2H pyrrolo[3,4-c]pyridine-2-carboxamide, N-(4-{1-[2-(1 ,3-dioxo-1 ,3-dihydro-2H-isoindol-2-yl)ethyl]-4-methyl-6-oxo-1 ,4,5,6- tetrahydropyridazin-3-yl}phenyl)-1 ,3-dihydro-2H-pyrrolo[3,4-c]pyridine-2-carboxamide, N-{4-[1-(2-aminoethyl)-4-methyl-6-oxo-1 ,4,5,6-tetrahydropyridazin-3-yl]phenyl}-1 ,3-dihyd pyrrolo[3,4-c]pyridine-2-carboxamide,
N-{4-[1-(2-hydroxyethyl)-5,5-dimethyl-6-oxo-1 ,4,5,6-tetrahydropyridazin-3-yl]phenyl}-1 ,3-dihyd 2H-pyrrolo[3,4-c]pyridine-2-carboxamide,
N-(4-{1-[2-(1 ,3-dioxo-1 ,3-dihydro-2H-isoindol-2-yl)ethyl]-5,5-dimethyl-6-oxo-1 ,4,5,6- tetrahydropyridazin-3-yl}phenyl)-1 ,3-dihydro-2H-pyrrolo[3,4-c]pyridine-2-carboxamide, N-{4-[1-(2-aminoethyl)-5,5-dimethyl-6-oxo-1 ,4,5,6-tetrahydropyridazin-3-yl]phenyl}-1 ,3-dihydro 2H-pyrrolo[3,4-c]pyridine-2-carboxamide,
N-[5-(1 ,4-dimethyl-6-oxo-1 ,4,5,6-tetrahydropyridazin-3-yl)pyridin-2-yl]-5,7-dihydro-6H- pyrrolo[3,4-b]pyridine-6-carboxamide,
N-[5-(1 ,4-dimethyl-6-oxo-1 ,4,5,6-tetrahydropyridazin-3-yl)pyridin-2-yl]-1 ,3-dihydro-2H- pyrrolo[3,4-c]pyridine-2-carboxamide,
N-[4-(4-lsopropyl-1-methyl-6-oxo-1 ,4,5,6-tetrahydropyridazin-3-yl)phenyl]-5,7-dihydro-6H- pyrrolo[3,4-b]pyridine-6-carboxamide,
N-[4-(4-lsopropyl-1-methyl-6-oxo-1 ,4,5,6-tetrahydropyridazin-3-yl)phenyl]-1 ,3-dihydro-2H- pyrrolo[3,4-c]pyridine-2-carboxamide,
N-{4-[1-(2,2-difluoroethyl)-4-methyl-6-oxo-1 ,4,5,6-tetrahydropyridazin-3-yl]phenyl}-5,7-dihydro- 6H-pyrrolo[3,4-b]pyridine-6-carboxamide,
N-{4-[1-(3-methoxypropyl)-4-methyl-6-oxo-1 ,4,5,6-tetrahydropyridazin-3-yl]phenyl}-5,7-dihydro 6H-pyrrolo[3,4-b]pyridine-6-carboxamide,
N-{4-[1-(3-methoxypropyl)-4-methyl-6-oxo-1 ,4,5,6-tetrahydropyridazin-3-yl]phenyl}-1 ,3-dihydro 2H-pyrrolo[3,4-c]pyridine-2-carboxamide,
N-{4-[1-(2-methoxyethyl)-4-methyl-6-oxo-1 ,4,5,6-tetrahydropyridazin-3-yl]phenyl}-1 ,3-dihydro- 2H-pyrrolo[3,4-c]pyridine-2-carboxamide,
N-{4-[(4S)-1 -(2-methoxyethyl)-4-methyl-6-oxo-1 ,4,5,6-tetrahydropyridazin-3-yl]phenyl}-1 ,3- dihydro-2H-pyrrolo[3,4-c]pyridine-2-carboxamide,
N-{4-[(4R)-1 -(2-methoxyethyl)-4-methyl-6-oxo-1 ,4,5,6-tetrahydropyridazin-3-yl]phenyl}-1 ,3- dihydro-2H-pyrrolo[3,4-c]pyridine-2-carboxamide,
N-{4-[1-(2-methoxyethyl)-4-methyl-6-oxo-1 ,4,5,6-tetrahydropyridazin-3-yl]phenyl}-5,7-dihydro^ 6H-pyrrolo[3,4-b]pyridine-6-carboxamide,
N-{4-[4-methyl-6-oxo-1 -(tetrahydro-2H-pyran-4-yl)-1 ,4,5,6-tetrahydropyridazin-3-yl]phenyl^ dihydro-6H-pyrrolo[3,4-b]pyridine-6-carboxamide N-{4-[(4R)-4-methyl-6-oxo-1-(tetrahydro
5,7-dihydro-6H-pyrrolo[3,4-b]pyridine-6-carboxamide,
N-{4-[(4SH-methyl-6-oxo-1-(tetrahydro-2H-pyr
5,7-dihydro-6H-pyrrolo[3,4-b]pyridine-6-carboxamide,
N-{4-[1-(3-methoxyphenyl)-4-methyl-6-oxo-1 ,4,5,6-tetrahydropyridazin-3-yl]phenyl}-1 ,3-dihydro 2H-pyrrolo[3,4-c]pyridine-2-carboxamide,
N-{4-[5,5-dimethyl-6-oxo-1-(tetrahydro-2H-pyran-4-yl)-1 ,4,5,6-tetrahydropyridazin-3-yl]phe 1 ,3-dihydro-2H-pyrrolo[3,4-c]pyridine-2-carboxamide,
N-[4-(1 ,5,5-trimethyl-6-oxo-1 ,4,5,6-tetrahydropyridazin-3-yl)phenyl]-5,8-dihydro-1 ,7- naphthyridine-7(6H)-carboxamide,
N-[4-(1 ,5,5-trimethyl-6-oxo-1 ,4,5,6-tetrahydropyridazin-3-yl)phenyl]-3,4-dihydro-2,6- naphthyridine-2(1 H)-carboxamide,
N-[4-(1 ,5,5-trimethyl-6-oxo-1 ,4,5,6-tetrahydropyridazin-3-yl)phenyl]-3,4-dihydro-2,7- naphthyridine-2(1 H)-carboxamide,
N-{4-[1-(2-methoxyethyl)-5,5-dimethyl-6-oxo-1 ,4,5,6-tetrahydropyridazin-3-yl]phenyl}-1 ,3- dihydro-2H-pyrrolo[3,4-c]pyridine-2-carboxamide,
N-{4-[1-(2-methoxypropyl)-5,5-dimethyl-6-oxo-1 ,4,5,6-tetrahydropyridazin-3-yl]phenyl}-1 ,3- dihydro-2H-pyrrolo[3,4-c]pyridine-2-carboxamide,
N-{4-[1-(cyclopropylmethyl)-5,5-dimethyl-6-oxo-1 ,4,5,6-tetrahydropyridazin-3-yl]phenyl}-1 ,3- dihydro-2H-pyrrolo[3,4-c]pyridine-2-carboxamide,
N-[4-(1 ,5,5-trimethyl-6-oxo-1 ,4,5,6-tetrahydropyridazin-3-yl)phenyl]-2,3-dihydro-1 H-pyrrolo[2,3- b]pyridine-1 -carboxamide,
N-[4-(1 ,5,5-trimethyl-6-oxo-1 ,4,5,6-tetrahydropyridazin-3-yl)phenyl]-5,7-dihydro-6H-pyrrolo[3,4- d]pyrimidine-6-carboxamide,
N-{4-[5,5-dimethyl-6-oxo-1-(2,2,2-trifluoroethyl)-1 ^,5,6-tetrahydropyridazin-3-yl]ph
dihydro-2H-pyrrolo[3,4-c]pyridine-2-carboxamide,
N-{4-[1-(cyclopropylmethyl)-4-methyl-6-oxo-1 ,4,5,6-tetrahydropyridazin-3-yl]phenyl}-1 ,3-dihydro- 2H-pyrrolo[3,4-c]pyridine-2 -carboxamide,
N-{4-[(4S)-1 -(cyclopropylmethyl)-4-methyl-6-oxo-1 ,4,5,6-tetrahydropyridazin-3-yl]phenyl}- dihydro-2H-pyrrolo[3,4-c]pyridine-2-carboxamide,
N-{4-[(4R)-1 -(cyclopropylmethyl)-4-methyL
dihydro-2H-pyrrolo[3,4-c]pyridine-2-carboxamide,
2-amino-N-{4-[(4S)-4-methyl-6-oxo-1-(tetrahydro-2H-pyran-4-ylmethyl)-1 ,4,5,6- tetrahydropyridazin-3-yl]phenyl}-5,7-dihydro-6H-pyrrolo[3,4-b]pyridine-6 -carboxamide, 2-amino-N-{4-[(4R)-4-methyl-6-oxo-1-(tetrahydro-2H-pyran-4-ylmethyl)-1 ,4,5,6- tetrahydropyridazin-3-yl]phenyl}-5J-dihydro-6H-pyrrolo[3,4-b]pyridine-6-carboxamide,
N-{4-[(4R)-4-methyl-6-oxo-1-(tetrahydro-2H-pyran-4-ylmethyl)-1 ,4,5,6-tetrahydropyridazin-3- yl]phenyl}-1 ,3-dihydro-2H-pyrrolo[3,4-c]pyridine-2-carboxamide,
N-{4-[(4S)-4-methyl-6-oxo-1-(tetrahydro-2H-pyran-4-ylmethyl)-1 ,4,5,6-tetrahydropyridazin-3- yl]phenyl}-1 ,3-dihydro-2H-pyrrolo[3,4-c]pyridine-2-carboxamide,
N-[4-(1 ,5,5-trimethyl-6-oxo-1 ,4,5,6-tetrahydropyridazin-3-yl)phenyl]-5,7-dihydro-6H-pyrrolo[3,4- d]pyrimidine-6-carboxamide,
N-[4-(1 ,4,4-trimethyl-6-oxo-1 ,4,5,6-tetrahydropyridazin-3-yl)phenyl]-1 ,3-dihydro-2H-pyrrolo[3,4- c]pyridine-2-carboxamide,
N-(4-{5,5-dimethyl-6-oxo-1 -[2-(piperidin-1 -yl)ethyl]-1 ,4,5,6-tetrahydropyridazin-3-yl}phenyl)-1 ,3- dihydro-2H-pyrrolo[3,4-c]pyridine-2-carboxamide,
N-{4-[1-(2-hydroxyethyl)-5,5-dimethyl-6-oxo-1 ,4,5,6-tetrahydropyridazin-3-yl]phenyl}-5,7-dihydro 6H-pyrrolo[3,4-b]pyridine-6-carboxamide,
N-{4-[1-(4-aminobutyl)-4-methyl-6-oxo-1 ,4,5,6-tetrahydropyridazin-3-yl]phenyl}-1 ,3-dihydro pyrrolo[3,4-c]pyridine-2-carboxamide,
tert-butyl 4-{2-[3-{4-[(1 ,3-dihydro-2H-pyrrolo[3^-c]pyridin-2-ylcarbonyl)amino]phenyl}-4-m oxo-5,6-dihydropyridazin-1 (4H)-yl]ethyl}piperazine-1-carboxylate,
N-(4-{4-methyl-6-oxo-1 -[2-(piperazin-1-yl)ethyl]-1 ,4,5,6-tetrahydropyridazin-3-yl}phenyl)-1 ,3- dihydro-2H-pyrrolo[3,4-c]pyridine-2-carboxamide,
N-{4-[1-(3-aminopropyl)-4-methyl-6-oxo-1 ,4,5,6-tetrahydropyridazin-3-yl]phenyl}-1 ,3-di pyrrolo[3,4-c]pyridine-2-carboxamide,
4-{[3-{4-[(1 ,3-dihydro-2H-pyrrolo[3,4-c]pyridin-2-ylcarbonyl)amino]phenyl}-4-methy^
dihydropyridazin-1 (4H)-yl]methyl}benzoic acid,
methyl 4-{[3-{4-[(1 ,3-dihydro-2H-pyrrolo[3,4-c]pyridin-2-ylcarbonyl)amino]phenyl}-4-meth oxo-5, 6-dihydropyridazin-1 (4H)-yl]methyl}benzoate,
N-{4-[4,4-dimethyl-6-oxo-1-(2,2,2-trifluoroethyl)-1 ,4,5,6-tetrahydropyridazin-3
dihydro-2H-pyrrolo[3,4-c]pyridine-2-carboxamide,
tert-butyl {4-[3-{4-[(1 ,3-dihydro-2H-pyrrolo[3,4-c]pyridin-2-ylcarbonyl)amino]phenyl}-4-m oxo-5, 6-dihydropyridazin-1 (4H)-yl]butyl}carbamate,
tert-butyl {3-[3-{4-[(1 ,3-dihydro-2H-pyrrolo[3,4-c]pyridin-2-ylcarbonyl)amino]phenyl}-4-m oxo-5, 6-dihydropyridazin-1 (4H)-yl]propyl}carbamate,
tert-butyl {3-[3-{4-[(1 ,3-dihydro-2H-pyrrolo[3,4-c]pyridin-2-ylcarbonyl)amino]phenyl}-5,5-dim 6-0X0-5, 6-dihydropyridazin-1 (4H)-yl]propyl}carbamate, N-{4-[1-(3-aminopropyl)-5,5-dimethyl-6-oxo-1 ,4,5,6-tetrahydropyridazin-3-yl]ph
2H-pyrrolo[3,4-c]pyridine-2-carboxamide, and
N-{4-[1-(3-aminopropyl)-5,5-dimethyl-6-oxo-1 ,4,5,6-tetrahydropyridazin-3-yl]phenyl}-1 ,3-dihydro- 2H-pyrrolo[3,4-c]pyridine-2-carboxamide hydrochloride, or an N-oxide, a salt, a tautomer or a stereoisomer of said compound, or a salt of said N-oxide, tautomer or stereoisomer.
One aspect of the invention are compounds of formula (I) as described in the examples, as characterized by their names in the title, as claimed in claim 6, and/or their structures as well as the subcombinations of all residues specifically disclosed in the compounds of the examples.
Another aspect of the present invention is the intermediates as used for their synthesis. One special aspect of the invention is intermediate (1-10),
1 -10 in which R , R2, V, W, Y and Z are as defined for the compound of formula (I) in any one of claims 1 to 6 or as defined in any of the aspects or embodiments described herein, and L represents a leaving group such as, for example, Ci-C3-haloalkyl such as, for example, trichloromethyl or a imid such as, for example, pyrrolidine-2,5-dione.
One special aspect of the invention is intermediate (1 -28),
in which R , R2, V, W, Y and Z are as defined for the compound of formula (I) in any one of claims 1 to 6 or as defined in any of the aspects or embodiments described herein, and L2 represents a group such as, for example, a H, CI or Br atom or an nitro group.
One special aspect of the invention is intermediate (1-8),
1 -8 in which R , R2, V, W, Y and Z are as defined for the compound of formula (I) in any one of claims 1 to 6 or as defined in any of the aspects or embodiments described herein.
One special aspect of the invention is intermediate (1 -14),
in which R , R
2, V, W, Y and Z are as defined for the compound of formula (I) in any one of claims 1 to 6 or as defined in any of the aspects or embodiments described herein, and PG represents an amine protecting group such as, for example, an acetyl group or a tert- butyloxycarbonyl (BOC group).
One special aspect of the invention is intermediate (1 -19),
in which R , R2, V, W, Y and Z are as defined for the compound of formula (I) in any one of claims 1 to 6 or as defined in any of the aspects or embodiments described herein, and X2 represents a leaving group such as for example a CI, Br or I atom.
One special aspect of the invention is intermediate (1-61 ),
1 -61 in which R , R2, R9, V, W, Y and Z are as defined for the compound of formula (I) in any one of claims 1 to 6 or as defined in any of the aspects or embodiments described herein, and L represents a leaving group such as, for example, a haloalkyl such as, for example, trichloromethyl, or an imide such as, for example, pyrrolidine-2,5-dione or 4-nitrophenyl.
One special aspect of the invention is intermediate (1 -60),
1 -60
in which R\ R2, R9, V, W, Y and Z are as defined for the compound of formula (I) in any one of claims 1 to 6 or as defined in any of the aspects or embodiments described herein, and L represents a leaving group such as, for example, a haloalkyl such as, for example, trichloromethyl, or an imide such as, for example, pyrrolidine-2,5-dione or 4-nitrophenyl.
One special aspect of the invention is intermediate (1 -67),
1 -67
in which R , R0, R , V, W, Y and Z are as defined for the compound of formula (I) in any one of claims 1 to 6 or as defined in any of the aspects or embodiments described herein, and L a leaving group such as, for example, a Ci-C3-haloalkyl such as, for example, trichloromethyl, or an imid such as, for example, pyrrolidine-2,5-dione, or a 4-nitrophenyl.
One special aspect of the invention is intermediate (1 -66),
1 -66 in which R , R0, R , V, W, Y and Z are as defined for the compound of formula (I) in any one of claims 1 to 6 or as defined in any of the aspects or embodiments described herein.
Another aspect of the invention relates to the use of an intermediate (1-10), intermediate (1-28), intermediate (1-8), intermediate (1-14), intermediate (1-19), intermediate (1-61 ), intermediate (1- 60), intermediate (1-67), or intermediate (1-66) as defined supra or in the general procedures below, for the preparation of a compound of formula (I), (la), (lb) or(lc) according to any one of claims 1 to 6 or according to the aspects and embodiments described herein, or an N-oxide, a salt, a tautomer or a stereoisomer of said compound of formula (I), or a salt of said N-oxide, tautomer or stereoisomer.
Another aspect of the invention relates to the use of any of the intermediates described herein for preparing a compound of formula (I) as defined herein or an N-oxide, a salt, a tautomer or a stereoisomer of said compound, or a salt of said N-oxide, tautomer or stereoisomer.
In a further aspect, the invention relates to compounds of formula (II),
wherein:
E represents:
(Ha)
in which * represents the point of attachment of said group with the rest of the compound of formula (II),
and R2, R9, R0, R , n, m, A, B, C, D, V, W, Y and Z have the meaning as given in the aspects and embodiments defined herein for the compound of formula (I), or an N-oxide, a salt, a tautomer or a stereoisomer of said compound, or a salt of said N-oxide, tautomer or stereoisomer.
In addition to being NAMPT inhibitors, compounds of formula (II) as described herein may also be used as an intermediates for the preparation of compounds of general formula(l).
Another aspect of the invention relates to the use of a compound of formula (II) or a salt thereof as described herein, as an intermediate for the preparation of a compound of formula (I), (la), (lb) or (lc) according to any one of claims 1 to 6 or according to the aspects and embodiments described herein, or an N-oxide, a salt, a tautomer or a stereoisomer of said compound of formula (I), (la), (lb) or (lc), or a salt of said N-oxide, tautomer or stereoisomer.
In a further embodiment of the above-mentioned aspects, the invention relates to compounds of formula (I), wherein, R represents a group selected from :
methyl, C2-C6-alkyl, C3-C6-cycloalkyl, a 5- to 7-membered heterocycloalkyl group, (5- to 7- membered heterocycloalkyl)-(Ci-C6-alkyl)-, phenyl, phenyl-(Ci-Ce-alkyl)- and a 5- to 6- membered heteroaryl group, in which 5- to 7-membered heterocycloalkyl and 5- to 6-membered heteroaryl are connected to the rest of the molecule via a carbon atom of the 5- to 7-membered heterocycloalkyl ring or via a carbon atom of the 5- to 6-membered heteroaryl ring, respectively, wherein C2-C6-alkyl is optionally substituted with one or more substituents independently selected from the group consisting of:
halogen, hydroxy, Ci-C3-alkoxy and -N(R5)R6; wherein phenyl and 5- to 6-membered heteroaryl are optionally substituted with one or more substituents independently selected from the group consisting of:
Ci-C3-alkoxy- and Ci-C3-haloalkoxy-; R2 represents H-, d-Ce-alkyl-, Cs-Ce-cycloalkyl- or phenyl, ;
one or two of A, B, C and D is N and the others are CH,
n is 1 or 2,
m is 1 or 2,
with the proviso that n + m is 2, 3 or 4 ; v-w — Y
re resents a roup which is selected from :
in which * and# represent the points of attachment of said group with the rest of the compound of formula (I),
R5, R6 represent, independently of each other, Ci-C3-alkyl; or
R5, R6 together with the nitrogen to which they are attached form a 5- to 7-membered nitrogen containing heterocycloalkyi group containing one additional heteroatom containing group selected from O;
or an N-oxide, a salt, a tautomer or a stereoisomer of said compound, or a salt of said N-oxide, tautomer or stereoisomer.
In a further embodiment of the above-mentioned aspects, the invention relates to compounds of formula (I), wherein
R represents a group selected from :
methyl, C2-C6-alkyl, C3-C6-cycloalkyl, a 5- to 7-membered heterocycloalkyi group, phenyl and phenyl-(CrC6-alkyl)-, in which 5- to 7-membered heterocycloalkyi is connected to the rest of the molecule via a carbon atom of the 5- to 7-membered heterocycloalkyi ring, wherein C2-C6-alkyl is optionally substituted with one or more substituents independently selected from the group consisting of:
halogen, hydroxy and -N(R5)R6; wherein phenyl is optionally substituted with one or more substituents independently selected from the group consisting of:
Ci-C3-haloalkoxy-; R2 represents H-, Ci-C6-alkyl- or phenyl ;
one of A, B, C and D is N and the others are CH,
n is 1 ,
m is 1 or 2,
with the proviso that n + m is 2 or 3 ;
represents a group which is selected from :
in which * and * represent the points of attachment of said group with the rest of the compound of formula (I),
R5, R6 represent, independently of each other, Ci-C3-alkyl; or
R5, R6 together with the nitrogen to which they are attached form a 5- to 7-membered nitrogen containing heterocycloalkyi group containing one additional heteroatom containing group selected from O;
or an N-oxide, a salt, a tautomer or a stereoisomer of said compound, or a salt of said N-oxide, tautomer or stereoisomer.
In a further embodiment of the above-mentioned aspects, the invention relates to compounds of formula (I), wherein
R represents a group selected from :
methyl, ethyl, -CH2CF3, cyclopropyl, cyclopentyl, -CH2CH2OH, isopropyl, -CH2CH2N(R5)R6, phenyl, tetrahydro-2H-pyran-4-yl, 4-(difluoromethoxy)benzyl- ;
R
2 represents H-, methyl, ethyl or phenyl,
re resents a group selected from :
in which * represents the point of attachment of said group with the rest of the compound of formula (I) ;
v-w
•- (' 7=Y
« represents a group which is selected from :
in which * and * represent the points of attachment of said group with the rest of the compound of formula (I),
R5, R6 represent methyl; or
R5, R6 together with the nitrogen to which they are attached form morpholinyl,
or an N-oxide, a salt, a tautomer or a stereoisomer of said compound, or a salt of said N-oxide, tautomer or stereoisomer.
In a further embodiment of the above-mentioned aspects, the invention relates to compounds of formula (I), wherein
E represents:
N— N in which * represents the point of attachment of said group with the rest of the compound of formula (I) or (II).
In a further embodiment of the above-mentioned aspects, the invention relates to compounds of formula (I), wherein represents:
(lb)
in which * represents the point of attachment of said group with the rest of the compound of formula (I).
In a further embodiment of the above-mentioned aspects, the invention relates to compounds of formula (I), wherein
E represents:
(la) (lb)
in which * represents the point of attachment of said group with the rest of the compound of formula (I).
In a further embodiment of the above-mentioned aspects, the invention relates to compounds of formula (I), wherein R represents a group selected from methyl, C2-C6-alkyl, (1 ,3-dioxolan-2-yl)-(Ci-C6-alkyl)-, (1 ,3-dioxan-2-yl)-(Ci-C6-alkyl)-, azetidin-3-yl, (azetidin-3-yl)-(Ci-C6-alkyl)-, oxetan-3-yl, (oxetan-3-yl)-(Ci-C6-alkyl)-, C3-Ce- cycloalkyl, (C3-C6-cycloalkyl)-(Ci-C6-alkyl)-, a 5- to 7-membered heterocycloalkyl group, (5- to 7-membered heterocycloalkyl)-(Ci-C6-alkyl)-, phenyl, phenyl-(Ci-C6-alkyl)-, a 5- to 6- membered heteroaryl group and (5- to 6-membered heteroaryl)-(Ci-C6-alkyl)-, in which 5- to 7-membered heterocycloalkyl and 5- to 6-membered heteroaryl are connected to the rest of the molecule via a carbon atom of the 5- to 7-membered heterocycloalkyl ring or via a carbon atom of the 5- to 6-membered heteroaryl ring, respectively, wherein C2-C6-alkyl is optionally substituted with one or more substituents independently selected from the group consisting of:
halogen, hydroxy, Ci-C3-alkoxy, Ci-C3-haloalkoxy, -N(R5)R6, -SR7, -S(=0)R7, -S(=0)2R7 and -S(=0)(=NR7)R8; wherein azetidin-3-yl and oxetan-3-yl are optionally substituted with one or two substituents independently selected from the group consisting of:
Ci-C4-alkyl, Ci-C4-haloalkyl, Ci-C4-alkoxy, Ci-C4-haloalkoxy, (Ci-C3-alkoxy)-(Ci-C4-alkyl)- , C3-C6-cycloalkyl and C3-C6-cycloalkyloxy ; wherein C3-C6-cycloalkyl and 5- to 7-membered heterocycloalkyl are optionally substituted with one or more substituents independently selected from the group consisting of:
hydroxy, halogen, cyano, Ci-C4-alkyl, Ci-C4-haloalkyl, Ci-C4-alkoxy, Ci-C4-haloalkoxy, (Ci-C
3-alkoxy)-(Ci-C
4-alkyl)-, C
3-C
6-cycloalkyl, C
3-C
6-cycloalkyloxy, -N(R
5)R
6, -C(=0)OH,
wherein phenyl and 5- to 6-membered heteroaryl are optionally substituted with one or more substituents independently selected from the group consisting of:
halogen, Ci-C3-alkyl, Ci-C3-alkoxy-, Ci-C3-haloalkoxy-, -N(H)R3, -N(R3)R4, -C(=0)OH and
-C(=0)0(Ci-C6-alkyl). In a further embodiment of the above-mentioned aspects, the invention relates to compounds of formula (I), wherein
R represents a group selected from :
methyl, C2-C4-alkyl, (1 ,3-dioxolan-2-yl)-(Ci-C4-alkyl)-, (1 ,3-dioxan-2-yl)-(Ci-C4-alkyl)-, azetidin-3-yl, (azetidin-3-yl)-(CrC4-alkyl)-, oxetan-3-yl, (oxetan-3-yl)-(Ci-C4-alkyl)-, C3-C6- cycloalkyl, (C3-C6-cycloalkyl)-(Ci-C4-alkyl)-, a 5- to 7-membered heterocycloalkyl group, (5- to 7-membered heterocycloalkyl)-(CrC4-alkyl)-, phenyl, phenyl-(Ci-C4-alkyl)-, a 5- to 6-membered heteroaryl group and (5- to 6-membered heteroaryl)-(Ci-C4-alkyl)-, in which 5- to 7-membered heterocycloalkyl and 5- to 6-membered heteroaryl are connected to the rest of the molecule via a carbon atom of the 5- to 7-membered heterocycloalkyl ring or via a carbon atom of the 5- to 6-membered heteroaryl ring, respectively; wherein C2-C4-alkyl is optionally substituted with one or more substituents independently selected from the group consisting of:
halogen, hydroxy, Ci-C3-alkoxy, Ci -C3-haloalkoxy, -N(R5)R6, -SR7, -S(=0)R7, -S(=0)2R7 and -S(=0)(=NR7)R8; wherein azetidin-3-yl and oxetan-3-yl are optionally substituted with one or two substituents independently selected from the group consisting of:
Ci-C4-alkyl, Ci-C4-haloalkyl, Ci-C4-alkoxy, Ci-C4-haloalkoxy, (Ci-C3-alkoxy)-(CrC4-alkyl)- , C3-C6-cycloalkyl, and C3-C6-cycloalkyloxy ; wherein C3-C6-cycloalkyl and 5- to 7-membered heterocycloalkyl are optionally substituted with one or more substituents independently selected from the group consisting of:
hydroxy, halogen, cyano, Ci-C
4-alkyl, Ci-C
4-haloalkyl, Ci-C
4-alkoxy, Ci-C
4-haloalkoxy, (Ci-C
3-alkoxy)-(Ci-C
4-alkyl)-, C
3-C
6-cycloalkyl, C
3-C
6-cycloalkyloxy, -N(R
5)R
6, -C(=0)OH,
wherein phenyl and 5- to 6-membered heteroaryl are optionally substituted with one or more substituents independently selected from the group consisting of: halogen, Ci-C
3-alkyl, CrC
3-alkoxy-, CrC
3-haloalkoxy- -N(H) R
3, -N(R
3)R
4 , -C(=0)OH and -C(=0)0(CrC
6-alkyl).
In a further embodiment of the above-mentioned aspects, the invention relates to compounds of formula (I), wherein
R represents a group selected from :
methyl, C2-C4-alkyl, azetidin-3-yl, (azetidin-3-yl)-(Ci-C4-alkyl)-, oxetan-3-yl, (oxetan-3-yl)- (Ci-C4-alkyl)-, Cs-Ce-cycloalkyl, (C3-C6-cycloalkyl)-(Ci-C4-alkyl)-, a 5- to 7-membered heterocycloalkyl group, (5- to 7-membered heterocycloalkyl)-(Ci-C4-alkyl)-, phenyl, phenyl-(Ci-C4-alkyl)-, a 5- to 6-membered heteroaryl group and (5- to 6-membered heteroaryl)-(CrC4-alkyl)-, in which 5- to 7-membered heterocycloalkyl and 5- to 6-membered heteroaryl are connected to the rest of the molecule via a carbon atom of the 5- to 7-membered heterocycloalkyl ring or via a carbon atom of the 5- to 6-membered heteroaryl ring, respectively; wherein C2-C4-alkyl is optionally substituted with one or more substituents independently selected from the group consisting of:
halogen, hydroxy, Ci-C3-alkoxy, Ci-C3-haloalkoxy, -N(R5)R6 ;
wherein C3-C6-cycloalkyl and 5- to 7-membered heterocycloalkyl are optionally substituted with one or more substituents independently selected from the group consisting of:
Ci-C4-alkyl, Ci-C4-haloalkyl, Ci-C4-alkoxy, Ci-C4-haloalkoxy, (Ci-C3-alkoxy)-(CrC4-alkyl)- ,C3-C6-cycloalkyl, and oxo (=0) ; wherein phenyl and 5- to 6-membered heteroaryl are optionally substituted with one or more substituents independently selected from the group consisting of:
halogen, Ci-C
3-alkyl, Ci-C
3-alkoxy, Ci-C
3-haloalkoxy, -C(=0)OH and
alkyl). In a further embodiment of the above-mentioned aspects, the invention relates to compounds of formula (I), wherein
R represents a group selected from :
methyl, C2-C4-alkyl, Cs-Ce-cycloalkyl, (C3-C6-cycloalkyl)-(Ci-C4-alkyl)-, a 5- to 7- membered heterocycloalkyl group, (5- to 7-membered heterocycloalkyl)-(Ci-C4-alkyl)-, phenyl, phenyl-(Ci-C4-alkyl)- and a 5- to 6-membered heteroaryl group, in which 5- to 7-membered heterocycloalkyl and 5- to 6-membered heteroaryl are connected to the rest of the molecule via a carbon atom of the 5- to 7-membered heterocycloalkyl ring or via a carbon atom of the 5- to 6-membered heteroaryl ring, respectively; wherein C2-C4-alkyl is optionally substituted with one or more substituents independently selected from the group consisting of:
halogen, hydroxy, Ci-C3-alkoxy and -N(R5)R6 ; wherein C3-C6-cycloalkyl and 5- to 7-membered heterocycloalkyl are optionally substituted with one or more substituents independently selected from the group consisting of:
Ci-alkyl, and oxo (=0); wherein said phenyl is optionally substituted with one or more substituents independently selected from the group consisting of:
Ci-C
3-alkoxy,Ci-C
3-haloalkoxy- , -C(=0)OH and
In a further embodiment of the above-mentioned aspects, the invention relates to compounds of formula (I), wherein
R represents a group selected from :
methyl, ethyl, -CH2CF3, cyclopropyl, cyclopentyl, -CH2CH2OH, isopropyl, -C2-C4-alkyl- N(R5)R6, phenyl, tetrahydro-2H-pyran-4-yl, 4-(difluoromethoxy)benzyl-, 2,2-difluoroethyl-, 3-methoxypropyl-, 3-hydroxypropyl-, 2-methoxyethyl-, 3-methoxyphenyl-, (tetrahydro-2H- pyran-4-yl)CH2-, cyclobutyl, 1-methoxypropan-2-yl, 1-methylpiperidin-4-yl, 2-
in which * represents the point of attachment of said group with the rest of the compound of formula (I).
In a further embodiment of the above-mentioned aspects, the invention relates to compounds of formula (I), wherein
R represents a group selected from :
methyl, C2-C6-alkyl, (1 ,3-dioxolan-2-yl)-(Ci-C6-alkyl)-, (1 ,3-dioxan-2-yl)-(Ci-C6-alkyl)-, azetidin-3- yl, (azetidin-3-yl)-(Ci-C6-alkyl)-, oxetan-3-yl, (oxetan-3-yl)-(CrC6-alkyl)-, C3-C6-cycloalkyl, (C3-C6- cycloalkyl)-(Ci-C6-alkyl)-, a 5- to 7-membered heterocycloalkyl group, (5- to 7-membered heterocycloalkyl)-(Ci-C6-alkyl)-, phenyl, phenyl-(Ci-C6-alkyl)-, a 5- to 6-membered heteroaryl group and (5- to 6-membered heteroaryl)-(Ci-C6-alkyl)-, in which 5- to 7-membered heterocycloalkyl and 5- to 6-membered heteroaryl are connected to the rest of the molecule via a carbon atom of the 5- to 7-membered heterocycloalkyl ring or via a carbon atom of the 5- to 6-membered heteroaryl ring, respectively, wherein C2-C6-alkyl is optionally substituted with one or more substituents independently selected from the group consisting of:
halogen, hydroxy, Ci-C3-alkoxy, CrC3-haloalkoxy, -N(R5)R6, -SR7, -S(=0)R7, -S(=0)2R7 and -S(=0)(=NR7)R8; wherein azetidin-3-yl and oxetan-3-yl are optionally substituted with one or two substituents independently selected from the group consisting of:
Ci-C4-alkyl, Ci-C4-haloalkyl, Ci-C4-alkoxy, Ci-C4-haloalkoxy, (Ci-C3-alkoxy)-(CrC4-alkyl)- , C3-C6-cycloalkyl and C3-C6-cycloalkyloxy ; wherein C3-C6-cycloalkyl and 5- to 7-membered heterocycloalkyl are optionally substituted with one or more substituents independently selected from the group consisting of:
hydroxy, halogen, cyano, Ci-C4-alkyl, Ci-C4-haloalkyl, Ci-C4-alkoxy, Ci-C4-haloalkoxy, (Ci-C3-alkoxy)-(Ci-C4-alkyl)-, C3-C6-cycloalkyl, C3-C6-cycloalkyloxy, -N(R5)R6, -C(=0)OH and -N(H)C(=0)-(CrC3-alkyl) ; wherein phenyl and 5- to 6-membered heteroaryl are optionally substituted with one or more substituents independently selected from the group consisting of:
halogen, Ci-C3-alkyl, Ci-C3-alkoxy-, Ci-C3-haloalkoxy-, -N(H)R3 and -N(R3)R4 .
In a further embodiment of the above-mentioned aspects, the invention relates to compounds of formula (I), wherein R represents a group selected from :
methyl, C2-C4-alkyl, (1 ,3-dioxolan-2-yl)-(Ci-C4-alkyl)-, (1 ,3-dioxan-2-yl)-(Ci-C4-alkyl)-, azetidin-3- yl, (azetidin-3-yl)-(Ci-C4-alkyl)-, oxetan-3-yl, (oxetan-3-yl)-(CrC4-alkyl)-, C3-C6-cycloalkyl, (C3-C6- cycloalkyl)-(Ci-C4-alkyl)-, a 5- to 7-membered heterocycloalkyl group, (5- to 7-membered heterocycloalkyl)-(Ci-C4-alkyl)-, phenyl, phenyl-(Ci-C4-alkyl)-, a 5- to 6-membered heteroaryl group and (5- to 6-membered heteroaryl)-(Ci-C4-alkyl)-,
in which 5- to 7-membered heterocycloalkyl and 5- to 6-membered heteroaryl are connected to the rest of the molecule via a carbon atom of the 5- to 7-membered heterocycloalkyl ring or via a carbon atom of the 5- to 6-membered heteroaryl ring, respectively; wherein C2-C4-alkyl is optionally substituted with one or more substituents independently selected from the group consisting of:
halogen, hydroxy, Ci-C3-alkoxy, Ci -C3-haloalkoxy, -N(R5)R6, -SR7, -S(=0)R7, -S(=0)2R7 and -S(=0)(=NR7)R8; wherein azetidin-3-yl and oxetan-3-yl are optionally substituted with one or two substituents independently selected from the group consisting of:
Ci-C4-alkyl, Ci-C4-haloalkyl, Ci-C4-alkoxy, Ci-C4-haloalkoxy, (Ci-C3-alkoxy)-(CrC4-alkyl)- , C3-C6-cycloalkyl, and C3-C6-cycloalkyloxy ; wherein C3-C6-cycloalkyl and 5- to 7-membered heterocycloalkyl are optionally substituted with one or more substituents independently selected from the group consisting of:
hydroxy, halogen, cyano, Ci-C4-alkyl, Ci-C4-haloalkyl, Ci-C4-alkoxy, Ci-C4-haloalkoxy, (Ci-C
3-alkoxy)-(Ci-C
4-alkyl)-, C
3-C
6-cycloalkyl, C
3-C
6-cycloalkyloxy, -N(R
5)R
6, -C(=0)OH
wherein phenyl and 5- to 6-membered heteroaryl are optionally substituted with one or more substituents independently selected from the group consisting of:
halogen, Ci-C3-alkyl, Ci-C3-alkoxy-, Ci-C3-haloalkoxy- and -N(H) R3, -N(R3)R4 .
In a further embodiment of the above-mentioned aspects, the invention relates to compounds of formula (I), wherein
R represents a group selected from :
methyl, C2-C4-alkyl, azetidin-3-yl, (azetidin-3-yl)-(Ci-C4-alkyl)-, oxetan-3-yl, (oxetan-3-yl)-(Ci-C4- alkyl)-, C3-C6-cycloalkyl, (C3-C6-cycloalkyl)-(Ci-C4-alkyl)-, a 5- to 7-membered heterocycloalkyl group, (5- to 7-membered heterocycloalkyl)-(Ci-C4-alkyl)-, phenyl, phenyl-(Ci-C4-alkyl)-, a 5- to 6-membered heteroaryl group and (5- to 6-membered heteroaryl)-(Ci-C4-alkyl)-, in which 5- to 7-membered heterocycloalkyl and 5- to 6-membered heteroaryl are connected to the rest of the molecule via a carbon atom of the 5- to 7-membered heterocycloalkyl ring or via a carbon atom of the 5- to 6-membered heteroaryl ring, respectively; wherein C2-C4-alkyl is optionally substituted with one or more substituents independently selected from the group consisting of:
halogen, hydroxy, Ci-C3-alkoxy, Ci-C3-haloalkoxy, -N(R5)R6 ; wherein C3-C6-cycloalkyl and 5- to 7-membered heterocycloalkyl are optionally substituted with one or more substituents independently selected from the group consisting of:
Ci-C4-alkyl, Ci-C4-haloalkyl, Ci-C4-alkoxy, Ci-C4-haloalkoxy, (Ci-C3-alkoxy)-(CrC4-alkyl)- and C3-C6-cycloalkyl; wherein phenyl is optionally substituted with one or more substituents independently selected from the group consisting of:
halogen, Ci-C3-alkyl, Ci-C3-alkoxy and Ci-C3-haloalkoxy.
In a further embodiment of the above-mentioned aspects, the invention relates to compounds of formula (I), wherein
R represents a group selected from :
methyl, C2-C4-alkyl, C3-C6-cycloalkyl, a 5- to 7-membered heterocycloalkyl group, (5- to 7- membered heterocycloalkyl)-(Ci-C4-alkyl)-, phenyl, phenyl-(Ci-C4-alkyl)- and a 5- to 6- membered heteroaryl group, in which 5- to 7-membered heterocycloalkyl and 5- to 6-membered heteroaryl are connected to the rest of the molecule via a carbon atom of the 5- to 7-membered heterocycloalkyl ring or via a carbon atom of the 5- to 6-membered heteroaryl ring, respectively; wherein C2-C4-alkyl is optionally substituted with one or more substituents independently selected from the group consisting of:
halogen, hydroxy, Ci-C3-alkoxy and -N(R5)R6 ; wherein said phenyl is optionally substituted with one or more substituents independently selected from the group consisting of:
Ci-C3-alkoxy and Ci-C3-haloalkoxy- ;
In a further embodiment of the above-mentioned aspects, the invention relates to compounds of formula (I), wherein
R represents a group selected from :
methyl, ethyl, -CH2CF3, cyclopropyl, cyclopentyl, -CH2CH2OH, isopropyl, -CH2CH2N(R5)R6, phenyl, tetrahydro-2H-pyran-4-yl and 4-(difluoromethoxy)benzyl- . In a further embodiment of the above-mentioned aspects, the invention relates to compounds of formula (I), wherein
R represents a group selected from :
methyl, ethyl, -CH2CF3, cyclopropyl, cyclopentyl, -CH2CH2OH, isopropyl, -CH2CH2N(R5)R6, phenyl, tetrahydro-2H-pyran-4-yl 4-(difluoromethoxy)benzyl-, 2,2-difluoroethyl-, 3- methoxypropyl-, 3-hydroxypropyl-, 2-methoxyethyl-, 3-methoxyphenyl-, (tetrahydro-2H-pyran-4- yl)CH2-, cyclobutyl and 1 -methoxypropan-2-yl.
In a further embodiment of the above-mentioned aspects, the invention relates to compounds of formula (I), wherein R represents a group selected from :
methyl, C2-C6-alkyl, (1 ,3-dioxolan-2-yl)-(Ci-C6-alkyl)-, (1 ,3-dioxan-2-yl)-(Ci-C6-alkyl)-, (azetidin-3- yl)-(Ci-C6-alkyl)-, (oxetan-3-yl)-(Ci-C6-alkyl)-, (C3-C6-cycloalkyl)-(Ci-C6-alkyl)-, (5- to 7- membered heterocycloalkyl)-(Ci-C6-alkyl)-, phenyl-(Ci-C6-alkyl)-, and (5- to 6-membered heteroaryl)-(CrC6-alkyl)-, in which 5- to 7-membered heterocycloalkyl and 5- to 6-membered heteroaryl are connected to the rest of the molecule via a carbon atom of the 5- to 7-membered heterocycloalkyl ring or via a carbon atom of the 5- to 6-membered heteroaryl ring, respectively, wherein C2-C6-alkyl is optionally substituted with one or more substituents independently selected from the group consisting of:
halogen, hydroxy, Ci-C3-alkoxy, CrC3-haloalkoxy, -N(R5)R6, -SR7, -S(=0)R7, -S(=0)2R7 and -S(=0)(=NR7)R8; wherein azetidin-3-yl and oxetan-3-yl are optionally substituted with one or two substituents independently selected from the group consisting of:
Ci-C4-alkyl, Ci-C4-haloalkyl, Ci-C4-alkoxy, Ci-C4-haloalkoxy, (Ci-C3-alkoxy)-(CrC4-alkyl)- , C3-C6-cycloalkyl and Cs-Ce-cycloalkyloxy ; wherein C3-C6-cycloalkyl and 5- to 7-membered heterocycloalkyl are optionally substituted with one or more substituents independently selected from the group consisting of: hydroxy, halogen, cyano, Ci-C4-alkyl, Ci-C4-haloalkyl, Ci-C4-alkoxy, Ci-C4-haloalkoxy, (Ci-C3-alkoxy)-(Ci-C4-alkyl)-, C3-C6-cycloalkyl, C3-C6-cycloalkyloxy, -N(R5)R6, -C(=0)OH and -N(H)C(=0)-(CrC3-alkyl) ; wherein phenyl and 5- to 6-membered heteroaryl are optionally substituted with one or more substituents independently selected from the group consisting of:
halogen, Ci-C3-alkyl, Ci-C3-alkoxy-, Ci-C3-haloalkoxy-, -N(H)R3 and -N(R3)R4 .
In a further embodiment of the above-mentioned aspects, the invention relates to compounds of formula (I), wherein
R represents a group selected from :
azetidin-3-yl, oxetan-3-yl, C3-C6-cycloalkyl and a 5- to 7-membered heterocycloalkyi group, in which 5- to 7-membered heterocycloalkyi is connected to the rest of the molecule via a carbon atom of the 5- to 7-membered heterocycloalkyi ring, wherein azetidin-3-yl and oxetan-3-yl are optionally substituted with one or two substituents independently selected from the group consisting of:
Ci-C4-alkyl, Ci-C4-haloalkyl, Ci-C4-alkoxy, Ci-C4-haloalkoxy, (Ci-C3-alkoxy)-(CrC4-alkyl)- , C3-C6-cycloalkyl and C3-C6-cycloalkyloxy ; wherein C3-C6-cycloalkyl and 5- to 7-membered heterocycloalkyi are optionally substituted with one or more substituents independently selected from the group consisting of:
hydroxy, halogen, cyano, Ci-C4-alkyl, Ci-C4-haloalkyl, Ci-C4-alkoxy, Ci-C4-haloalkoxy,
(Ci-C3-alkoxy)-(Ci-C4-alkyl)-, C3-C6-cycloalkyl, C3-C6-cycloalkyloxy, -N(R5)R6, -C(=0)OH and -N(H)C(=0)-(CrC3-alkyl).
In a further embodiment of the above-mentioned aspects, the invention relates to compounds of formula (I), wherein
R represents a group selected from :
phenyl, and 5- to 6-membered heteroaryl group, in which 5- to 6-membered heteroaryl is connected to the rest of the molecule via a carbon atom of the 5- to 6-membered heteroaryl ring, respectively, wherein phenyl and 5- to 6-membered heteroaryl are optionally substituted with one or more substituents independently selected from the group consisting of:
halogen, 0-C3-alkyl, CrC3-alkoxy-, CrC3-haloalkoxy-, -N(H)R3 and -N(R3)R4 .
In a further embodiment of the above-mentioned aspects, the invention relates to compounds of formula (I), wherein
R represents a group selected from :
methyl, C2-C4-alkyl, (azetidin-3-yl)-(Ci-C4-alkyl)-, (oxetan-3-yl)-(Ci-C4-alkyl)-, (C3-C6-cycloalkyl)- (Ci-C4-alkyl)-, (5- to 7-membered heterocycloalkyl)-(Ci-C4-alkyl)-, phenyl-(Ci-C4-alkyl)- and (5- to 6-membered heteroaryl)-(Ci -C4-alkyl)-, in which 5- to 7-membered heterocycloalkyl and 5- to 6-membered heteroaryl are connected to the rest of the molecule via a carbon atom of the 5- to 7-membered heterocycloalkyl ring or via a carbon atom of the 5- to 6-membered heteroaryl ring, respectively; wherein C2-C4-alkyl is optionally substituted with one or more substituents independently selected from the group consisting of:
halogen, hydroxy, Ci-C3-alkoxy, Ci-C3-haloalkoxy, -N(R5)R6 ;
wherein C3-C6-cycloalkyl and 5- to 7-membered heterocycloalkyl are optionally substituted with one or more substituents independently selected from the group consisting of:
Ci-C4-alkyl, Ci-C4-haloalkyl, Ci-C4-alkoxy, Ci-C4-haloalkoxy, (Ci-C3-alkoxy)-(CrC4-alkyl)- and C3-C6-cycloalkyl; wherein phenyl is optionally substituted with one or more substituents independently selected from the group consisting of:
halogen, Ci-C3-alkyl, Ci-C3-alkoxy and Ci-C3-haloalkoxy. In a further embodiment of the above-mentioned aspects, the invention relates to compounds of formula (I), wherein
R represents a group selected from :
azetidin-3-yl, oxetan-3-yl, C3-C6-cycloalkyl and a 5- to 7-membered heterocycloalkyl group, in which 5- to 7-membered heterocycloalkyl is connected to the rest of the molecule via a carbon atom of the 5- to 7-membered heterocycloalkyl ring;
wherein C3-C6-cycloalkyl and 5- to 7-membered heterocycloalkyl are optionally substituted with one or more substituents independently selected from the group consisting of:
Ci-C4-alkyl, Ci-C4-haloalkyl, Ci-C4-alkoxy, Ci-C4-haloalkoxy, (Ci-C3-alkoxy)-(Ci-C -alkyl)- and C3-C6-cycloalkyl;
In a further embodiment of the above-mentioned aspects, the invention relates to compounds of formula (I), wherein
R represents a group selected from :
phenyl, and a 5- to 6-membered heteroaryl group, in which 5- to 6-membered heteroaryl is connected to the rest of the molecule via a carbon atom of the 5- to 6-membered heteroaryl ring; wherein phenyl and 5- to 6-membered heteroaryl are optionally substituted with one or more substituents independently selected from the group consisting of:
halogen, Ci-C3-alkyl, Ci-C3-alkoxy and Ci-C3-haloalkoxy.
In a further embodiment of the above-mentioned aspects, the invention relates to compounds of formula (I), wherein the 5- to 7-membered heterocycloalkyl in R is a saturated or partially unsaturated, monovalent, mono- or bicyclic hydrocarbon ring which contains 3, 4, 5 or 6 carbon atoms, and one or two, preferably one, heteroatom-containing group selected from O, NR7, S, S(=0), S(=0)2, S(=NR7)(=NR8) and S(0)(=NR7), in which R7 and R8 are as defined herein, said heterocycloalkyl group being attached to the rest of the molecule via a carbon atom of the heterocycloalkyl ring.
In a further embodiment of the above-mentioned aspects, the invention relates to compounds of formula (I), wherein the 5- to 7-membered heterocycloalkyl in R is a saturated or partially unsaturated, monovalent, mono- or bicyclic hydrocarbon ring which contains 3, 4, 5 or 6 carbon atoms, and one or two, preferably one, heteroatom-containing group selected from O, NR7, S, S(=0), S(=0)2, in which R7 is as defined herein, said heterocycloalkyl group being attached to the rest of the molecule via a carbon atom of the heterocycloalkyl ring.
In a further embodiment of the above-mentioned aspects, the invention relates to compounds of formula (I), wherein the 5- to 7-membered heterocycloalkyl in R is a saturated or partially unsaturated, monovalent, mono- or bicyclic hydrocarbon ring which contains 3, 4, 5 or 6 carbon atoms, and one or two, preferably one, heteroatom-containing group selected from O, NR7, in which R7 is as defined herein, said heterocycloalkyl group being attached to the rest of the molecule via a carbon atom of the heterocycloalkyl ring.
In a further embodiment of the above-mentioned aspects, the invention relates to compounds of formula (I) or (II), wherein
R2 represents H, d-Ce-alkyl-, Cs-Ce-cycloalkyl-, Ci-C4-haloalkyl- or phenyl,
wherein phenyl is optionally substituted with one or more substituents independently selected from the group consisting of:
halogen, 0-C3-alkyl, CrC3-alkoxy-, CrC3-haloalkoxy- and -N(H)R3, -N(R3)R4.
In a further embodiment of the above-mentioned aspects, the invention relates to compounds of formula (I) or (II), wherein
R2 represents H, Ci-C4-alkyl-, Cs-Ce-cycloalkyl-, Ci-C3-haloalkyl- or phenyl,
wherein phenyl is optionally substituted with one or more substituents independently selected from the group consisting of:
halogen, 0-C3-alkyl, CrC3-alkoxy-, CrC3-haloalkoxy- and -N(H)R3, -N(R3)R4. In a further embodiment of the above-mentioned aspects, the invention relates to compounds of formula (I) or (II), wherein
R2 represents H-, Ci-C4-alkyl-, Cs-Ce-cycloalkyl-, or phenyl.
In a further embodiment of the above-mentioned aspects, the invention relates to compounds of formula (I) or (II), wherein
R2 represents H-, methyl, ethyl, propan-2-yl or phenyl.
In a further embodiment of the above-mentioned aspects, the invention relates to compounds of formula (I) or (II), wherein
R2 represents H-, d-Ce-alkyl-, Cs-Ce-cycloalkyl-, Ci-C4-haloalkyl- or phenyl,
wherein phenyl is optionally substituted with one or more substituents independently selected from the group consisting of:
halogen, 0-C3-alkyl, CrC3-alkoxy-, CrC3-haloalkoxy- and -N(H)R3, -N(R3)R4 ;
In a further embodiment of the above-mentioned aspects, the invention relates to compounds of formula (I) or (II), wherein
R2 represents H-, Ci-C4-alkyl-, Cs-Ce-cycloalkyl-, Ci-C3-haloalkyl- or phenyl,
wherein phenyl is optionally substituted with one or more substituents independently selected from the group consisting of:
halogen, 0-C3-alkyl, CrC3-alkoxy-, CrC3-haloalkoxy- and -N(H)R3, -N(R3)R4 .
In a further embodiment of the above-mentioned aspects, the invention relates to compounds of formula (I) or (II), wherein R2 represents H-, Ci-C4-alkyl-, Cs-Ce-cycloalkyl-, Ci-C3-haloalkyl- or phenyl,
wherein phenyl is optionally substituted with one or more substituents independently selected from the group consisting of:
halogen, Ci-C3-alkyl, Ci-C3-alkoxy- and Ci-C3-haloalkoxy- . In a further embodiment of the above-mentioned aspects, the invention relates to compounds of formula (I) or (II), wherein
R2 represents H-, Ci-C4-alkyl-, Cs-Ce-cycloalkyl-, or phenyl.
In a further embodiment of the above-mentioned aspects, the invention relates to compounds of formula (I) or (II), wherein
R2 represents H-, methyl, ethyl, propan-2-yl or phenyl.
In a further embodiment of the above-mentioned aspects, the invention relates to compounds of formula (I) or (II), wherein R2 represents H-, methyl, ethyl or phenyl.
In a further embodiment of the above-mentioned aspects, the invention relates to compounds of formula (I) or (II), wherein
R9 represents H, Ci-C3-alkyl or Ci-C3-haloalkyl.
In a further embodiment of the above-mentioned aspects, the invention relates to compounds of formula (I) or (II), wherein
R2 and R9 together with the carbon to which they are attached form a C3-C6-cycloalkyl group, a azetidin-3-yl group, a oxetan-3-yl group, or a 5- to 7-membered heterocycloalkyi group containing one heteroatom containing group selected from O, NR2, S , S(=0), S(=0)2, S(=NR2)(=NR13) and S(=0)(=NR12); wherein said C3-C6-cycloalkyl, azetidin-3-yl, oxetan-3-yl, and 5- to 7-membered heterocycloalkyi are optionally substituted with one or more substituents independently selected from the group consisting of:
hydroxy, halogen, cyano, Ci-C3-alkyl, Ci-C3-haloalkyl, Ci-C3-alkoxy, Ci-C3-haloalkoxy, and oxo (=0). In a further embodiment of the above-mentioned aspects, the invention relates to compounds of formula (I) or (II), wherein
R9 represents H, Ci-C3-alkyl or Ci-C3-haloalkyl.
In a further embodiment of the above-mentioned aspects, the invention relates to compounds of formula (I) or (II), wherein
R2 and R9 together with the carbon to which they are attached form a C3-C6-cycloalkyl group or a 5- to 6-membered heterocycloalkyl group containing one heteroatom containing group selected from O, NR12, and S; wherein said C3-C6-cycloalkyl and 5- to 6-membered heterocycloalkyl are optionally substituted with one or more substituents independently selected from the group consisting of:
hydroxy, halogen, cyano, Ci-C3-alkyl, Ci-C3-haloalkyl, Ci-C3-alkoxy, Ci-C3-haloalkoxy, and oxo (=0).
In a further embodiment of the above-mentioned aspects, the invention relates to compounds of formula (I) or (II), wherein
R9 represents H, or Ci-C3-alkyl.
In a further embodiment of the above-mentioned aspects, the invention relates to compounds of formula (I) or (II), wherein
R2 and R9 together with the carbon to which they are attached form a C3-C6-cycloalkyl group or a 5- to 6-membered heterocycloalkyl group containing one heteroatom containing group selected from O, and NR12.
In a further embodiment of the above-mentioned aspects, the invention relates to compounds of formula (I) or (II), wherein
R9 represents H, or Ci-alkyl. In a further embodiment of the above-mentioned aspects, the invention relates to compounds of formula (I) or (II), wherein
R0 represents Ci-Ce-alkyl, Cs-Ce-cycloalkyl, Ci-C4-haloalkyl or phenyl.
In a further embodiment of the above-mentioned aspects, the invention relates to compounds of formula (I) or (II), wherein
R represents H, Ci-C3-alkyl or Ci-C3-haloalkyl;
In a further embodiment of the above-mentioned aspects, the invention relates to compounds of formula (I) or (II), wherein
R0 and R together with the carbon to which they are attached form a C3-C6-cycloalkyl group, a azetidin-3-yl group, a oxetan-3-yl group, or a 5- to 7-membered heterocycloalkyi group containing one heteroatom containing group selected from O, NR12, S, S(=0), S(=0)2, S(=NR2)(=NR13) and S(=0)(=NR12),
wherein said C3-C6-cycloalkyl, azetidin-3-yl, oxetan-3-yl, and 5- to 7-membered heterocycloalkyi are optionally substituted with one or more substituents independently selected from the group consisting of:
hydroxy, halogen, cyano, Ci-C3-alkyl, Ci-C3-haloalkyl, Ci-C3-alkoxy, Ci-C3-haloalkoxy, and oxo (=0);
In a further embodiment of the above-mentioned aspects, the invention relates to compounds of formula (I) or (II), wherein
R0 and R together with the carbon to which they are attached form a C3-C6-cycloalkyl group or a 5- to 7-membered heterocycloalkyi group containing one heteroatom containing group selected from O, NR12, S,
wherein said C3-C6-cycloalkyl and 5- to 7-membered heterocycloalkyi are optionally substituted with one or more substituents independently selected from the group consisting of:
hydroxy, halogen, cyano, Ci-C3-alkyl, Ci-C3-haloalkyl, Ci-C3-alkoxy, Ci-C3-haloalkoxy, and oxo (=0); In a further embodiment of the above-mentioned aspects, the invention relates to compounds of formula (I) or (II), wherein
R represents H, or Ci-C3-alkyl;
In a further embodiment of the above-mentioned aspects, the invention relates to compounds of formula (I) or (II), wherein
R0 and R together with the carbon to which they are attached form a C3-C6-cycloalkyl group or a 5- to 6-membered heterocycloalkyl group containing one heteroatom containing group selected from O, NR2,
In a further embodiment of the above-mentioned aspects, the invention relates to compounds of formula (I) or (II), wherein
R0 represents Ci-C4-alkyl, C3-C4-cycloalkyl;
In a further embodiment of the above-mentioned aspects, the invention relates to compounds of formula (I) or (II), wherein
R represents H, or Ci-C3-alkyl;
In a further embodiment of the above-mentioned aspects, the invention relates to compounds of formula (I) or (II), wherein
R0 represents Ci-alkyl. In a further embodiment of the above-mentioned aspects, the invention relates to compounds of formula (I) or (II), wherein
R represents H, or Ci-alkyl.
In a further embodiment of the above-mentioned aspects, the invention relates to compounds of formula (I) or (II), wherein one or two of A, B, C and D is N and the others are CH or CR4, with the proviso that at least one of A, B, C and D is CH. In a further embodiment of the above-mentioned aspects, the invention relates to compounds of formula (I) or (II), wherein one of A, B, C and D is N and the others are CH or CR14, with the proviso that at least one of A, B, C and D is CH.
In a further embodiment of the above-mentioned aspects, the invention relates to compounds of formula (I) or (II), wherein two of A, B, C and D is N and the others are CH or CR14, with the proviso that at least one of A, B, C and D is CH.
In a further embodiment of the above-mentioned aspects, the invention relates to compounds of formula (I) or (II), wherein one of A, B, C and D is N and the others are CH or CR14, with the proviso that two of A, B, C and D are CH.
In a further embodiment of the above-mentioned aspects, the invention relates to compounds of formula (I) or (II), wherein one or two of A, B, C and D is N and the others are CH.
In a further embodiment of the above-mentioned aspects, the invention relates to compounds of formula (I) or (II), wherein one of A, B, C and D is N and the others are CH.
In a further embodiment of the above-mentioned aspects, the invention relates to compounds of formula (I), wherein two of A, B, C and D is N and the others are CH.
In a further embodiment of the above-mentioned aspects, the invention relates to compounds of formula (I) or (II), wherein A is N and B, C and D are CH,
B is N and A, C and D are CH,
C is N and B, A and D are CH, or
D is N and B, C and A are CH.
In a further embodiment of the above-mentioned aspects, the invention relates to compounds of formula (I) or (II), wherein
A is N and B, C and D are CH.
In a further embodiment of the above-mentioned aspects, the invention relates to compounds of formula (I) or (II), wherein
B is N and A, C and D are CH.
In a further embodiment of the above-mentioned aspects, the invention relates to compounds of formula (I) or (II), wherein
C is N and B, A and D are CH.
In a further embodiment of the above-mentioned aspects, the invention relates to compounds of formula (I) or (II), wherein D is N and B, C and A are CH.
In a further embodiment of the above-mentioned aspects, the invention relates to compounds of formula (I) or (II), wherein
A and B are N and C and D are CH.
In a further embodiment of the above-mentioned aspects, the invention relates to compounds of formula (I) or (II), wherein
A and C are N and B and D are CH. In a further embodiment of the above-mentioned aspects, the invention relates to compounds of formula (I) or (II), wherein
A and D are N and C and B are CH. In a further embodiment of the above-mentioned aspects, the invention relates to compounds of formula (I) or (II), wherein
B and C are N and A and D are CH.
In a further embodiment of the above-mentioned aspects, the invention relates to compounds of formula (I) or (II), wherein
B and D are N and A and C are CH.
In a further embodiment of the above-mentioned aspects, the invention relates to compounds of formula (I) or (II), wherein C and D are N and A and B are CH.
In a further embodiment of the above-mentioned aspects, the invention relates to compounds of formula (I) or (II), wherein n is 1 , 2 or 3,
m is 0, 1 , 2 or 3,
with the proviso that n + m is 2, 3 or 4.
In a further embodiment of the above-mentioned aspects, the invention relates to compounds of formula (I) or (II), wherein n is 1 or 2 ;
m is 1 or 2 ;
with the proviso that n + m is 2, 3 or 4.
In a further embodiment of the above-mentioned aspects, the invention relates to compounds of formula (I) or (II), wherein m is 0, 1 , 2 or 3.
In a further embodiment of the above-mentioned aspects, the invention relates to compounds of formula (I) or (II), wherein m is 0, 1 or 2.
In a further embodiment of the above-mentioned aspects, the invention relates to compounds of formula (I) or (II), wherein n is 1 , 2 or 3,
In a further embodiment of the above-mentioned aspects, the invention relates to compounds of formula (I) or (II), wherein n is 1 or 2.
In a further embodiment of the above-mentioned aspects, the invention relates to compounds of formula (I) or (II), wherein n is 1.
In a further embodiment of the above-mentioned aspects, the invention relates to compounds of formula (I) or (II), wherein n is 2.
In a further embodiment of the above-mentioned aspects, the invention relates to compounds of formula (I) or (II), wherein n is 3.
In a further embodiment of the above-mentioned aspects, the invention relates to compounds of formula (I) or (II), wherein m is 1 , 2 or 3, In a further embodiment of the above-mentioned aspects, the invention relates to compounds of formula (I) or (II), wherein m is 1 or 2.
In a further embodiment of the above-mentioned aspects, the invention relates to compounds of formula (I) or (II), wherein m is 1.
In a further embodiment of the above-mentioned aspects, the invention relates to compounds of formula (I) or (II), wherein m is 2.
In a further embodiment of the above-mentioned aspects, the invention relates to compounds of formula (I) or (II), wherein m is 3.
In a further embodiment of the above-mentioned aspects, the invention relates to compounds of formula (I) or (II), with the proviso that n + m is 2, 3 or 4.
In a further embodiment of the above-mentioned aspects, the invention relates to compounds of formula (I) or (II), with the proviso that n + m is 2 or 3.
In a further embodiment of the above-mentioned aspects, the invention relates to compounds of formula (I) or (II), with the proviso that n + m is 2.
In a further embodiment of the above-mentioned aspects, the invention relates to compounds of formula (I) or (II), with the proviso that n + m is 3.
In a further embodiment of the above-mentioned aspects, the invention relates to compounds of formula (I) or (II), with the proviso that n + m is 4.
In a further embodiment of the above-mentioned aspects, the invention relates to compounds of formula (I) or (II), wherein
in which * represents the point of attachment of said group with the rest of the compound of formula (I),
said groups being optionally substituted one time with R4.
In a further embodiment of the above-mentioned aspects, the invention relates to compounds of formula (I) or (II), wherein
in which * represents the point of attachment of said group with the rest of the compound of formula (I),
said groups being optionally substituted one time with R4.
In a further embodiment of the above-mentioned aspects, the invention relates to compounds of formula (I) or (II), wherein
re resents a group selected from :
in which * represents the point of attachment of said group with the rest of the compound of formula (I) or (II).
In a further embodiment of the above-mentioned aspects, the invention relates to compounds of formula (I) or (II), wherein
represents a group selected from
in which * represents the point of attachment of said group with the rest of the compound of formula (I) or (II) . In a further embodiment of the above-mentioned aspects, the invention relates to compounds of formula (I) or (II), wherein
re resents a group selected from :
in which * represents the point of attachment of said group with the rest of the compound of formula (I) or (II).
In a further embodiment of the above-mentioned aspects, the invention relates to compounds of formula (I) or (II), wherein
in which * represents the point of attachment of said group with the rest of the compound of formula (I) or (II). In a further embodiment of the above-mentioned aspects, the invention relates to compounds of formula (I) or (II), wherein
represents a group which is selected from
in which * and# represent the points of attachment of said group with the rest of the compound of formula (I) or (II),
said group being optionally substituted with one or more substituents independently selected from the group consisting of:
halogen, 0-C3-alkyl, CrC3-alkoxy-, CrC3-haloalkoxy-, R3(H)N- and -N(R3)R4.
In a further embodiment of the above-mentioned aspects, the invention relates to compounds of formula (I) or (II), wherein
represents a group which is selected from
in which * and * represent the points of attachment of said group with the rest of the compound of formula (I) or (II),
said group being optionally substituted with one or more substituents independently selected from the group consisting of:
halogen, Ci-C3-alkyl, Ci-C3-alkoxy- and Ci-C3-haloalkoxy-.
In a further embodiment of the above-mentioned aspects, the invention relates to compounds of formula (I) or (II), wherein
presents a group which is selected from
in which * and
# represent the points of attachment of said group with the rest of the compound of formula (I) or (II).
In a further embodiment of the above-mentioned aspects, the invention relates to compounds of formula (I) or (II), wherein
re resents a group which is selected from
in which * and * represent the points of attachment of said group with the rest of the compound of formula (I) or (II).
In a further embodiment of the above-mentioned aspects, the invention relates to compounds of formula (I) or (II), wherein
v-w
'/ \
\ /
Z=Y re resents a roup which is selected from
in which * and * represent the points of attachment of said group with the rest of the compound of formula (I) or (II). In a further embodiment of the above-mentioned aspects, the invention relates to compounds of formula (I) or (II), wherein v-w
7=Y
in which * and * represent the points of attachment of said group with the rest of the compound of formula (I) or (I I).
In a further embodiment of the above-mentioned aspects, the invention relates to compounds of formula (I) or (II), wherein v-w — Y
re resents a group which is selected from :
in which * and * represent the points of attachment of said group with the rest of the compound of formula (I) or (I I).
In a further embodiment of the above-mentioned aspects, the invention relates to compounds of formula (I) or (II), wherein
V, W, Y and Z represent CH.
In a further embodiment of the above-mentioned aspects, the invention relates to compounds of formula (I) or (II), wherein
Z represents N, and V, W, and Y represent CH.
In a further embodiment of the above-mentioned aspects, the invention relates to compounds of formula (I) or (II), wherein Y represents N, and V, W, and Z represent CH.
In a further embodiment of the above-mentioned aspects, the invention relates to compounds of formula (I) or (II), wherein Y, V represent N, and
W, Z represent CH.
In a further embodiment of the above-mentioned aspects, the invention relates to compounds of formula (I) or (II), wherein Y, Z represent N, and
W, V represent CH.
In a further embodiment of the above-mentioned aspects, the invention relates to compounds of formula (I) or (II), wherein R
3, R
4 represent, independently of each other, Ci-C3-alkyl, Cs-Ce-cycloalkyl or
alkyl).
In a further embodiment of the above-mentioned aspects, the invention relates to compounds of formula (I) or (II), wherein R3 represents, independently of each other, Ci-C3-alkyl, Cs-Ce-cycloalkyl or -C(=0)-(CrC3-alkyl).
In a further embodiment of the above-mentioned aspects, the invention relates to compounds of formula (I) or (II), wherein
R4 represents, independently of each other, Ci-C3-alkyl, Cs-Ce-cycloalkyl or -C(=0)-(CrC3-alkyl).
In a further embodiment of the above-mentioned aspects, the invention relates to compounds of formula (I) or (II), wherein R3, R4 represent, independently of each other, Ci-C2-alkyl.
In a further embodiment of the above-mentioned aspects, the invention relates to compounds of formula (I) or (II), wherein R3, R4 represent, independently of each other, Ci-alkyl.
In a further embodiment of the above-mentioned aspects, the invention relates to compounds of formula (I) or (II), wherein
R5, R6 represent, independently of each other hydrogen, Ci-C3-alkyl, C3-C6-cycloalkyl, -C(=0)- (d-Ca-alkyl), -C(=0)-(C3-C6-cycloalkyl), -C(=0)-0-(Ci-C6-alkyl), or -C(=0)-0-(C3-C6-cycloalkyl).
In a further embodiment of the above-mentioned aspects, the invention relates to compounds of formula (I) or (II), wherein
R5, R6 together with the nitrogen to which they are attached form an azetidinyl group or a 5- to 7-membered nitrogen containing heterocycloalkyl group optionally containing one additional heteroatom containing group selected from O, NR7, S , S(=0), S(=0)2, S(=NR7)(=NR8) and S(0)(=NR7), said 5- to 7-membered nitrogen containing heterocycloalkyl group optionally containing one additional heteroatom containing group selected from O, NR7, S , S(=0), S(=0)2,
S(=NR7)(=NR8) and S(0)(=NR7), being optionally substituted with one or more
substituents independently selected from the group consisting of:
hydroxy, halogen, cyano, Ci-C4-alkyl, Ci-C4-haloalkyl, Ci-C4-alkoxy, Ci-C4-haloalkoxy, (Ci-C
3-alkoxy)-(Ci-C
4-alkyl)-, C
3-C
6-cycloalkyl, C
3-C
6-cycloalkyloxy, -N(R
7)R
8, -C(=0)OH,
In a further embodiment of the above-mentioned aspects, the invention relates to compounds of formula (I) or (II), wherein R5, R6 together with the nitrogen to which they are attached form an azetidinyl group or a 5- to 7-membered nitrogen containing heterocycloalkyl group optionally containing one additional heteroatom containing group selected from O, NR7, S , S(=0) and S(=0)2 , said 5- to 7-membered nitrogen containing heterocycloalkyl group optionally containing one additional heteroatom containing group selected from O, NR7, S , S(=0), S(=0)2, being optionally substituted with one or more substituents independently selected from the group consisting of:
hydroxy, halogen, cyano, Ci-C4-alkyl, Ci-C4-haloalkyl, Ci-C4-alkoxy, Ci-C4-haloalkoxy, (Ci-C
3-alkoxy)-(Ci-C
4-alkyl)-, C
3-C
6-cycloalkyl, C
3-C
6-cycloalkyloxy, -N(R
7)R
8, -C(=0)OH,
In a further embodiment of the above-mentioned aspects, the invention relates to compounds of formula (I) or (II), wherein R
5, R
6 represent, independently of each other hydrogen, Ci-C
3-alkyl,r C
3-cycloalkyl,
C3-alkyl), -C(=0)-(C3-C4-cycloalkyl), -C(=0)-0-(CrC4-alkyl), or -C(=0)-0-(C3-C4-cycloalkyl).
In a further embodiment of the above-mentioned aspects, the invention relates to compounds of formula (I) or (II), wherein
R5, R6 together with the nitrogen to which they are attached form an azetidinyl group or a 5- to 7-membered nitrogen containing heterocycloalkyl group optionally containing one additional heteroatom containing group selected from O, NR7, S , S(=0), S(=0)2, said 5- to 7-membered nitrogen containing heterocycloalkyl group optionally containing one additional heteroatom containing group selected from O, NR7, S , S(=0), S(=0)2 being optionally substituted with one or more substituents independently selected from the group consisting of:
Ci-C4-alkyl, Ci-C4-haloalkyl, Ci-C4-alkoxy, Ci-C4-haloalkoxy, (Ci-C3-alkoxy)-(CrC4-alkyl)- , oxo (=0), and C3-C6-cycloalkyl . In a further embodiment of the above-mentioned aspects, the invention relates to compounds of formula (I) or (II), wherein
R5, R6 represent, independently of each other, hydrogen, Ci-C3-alkyl, or -C(=0)-0-(Ci-C4-alkyl).
In a further embodiment of the above-mentioned aspects, the invention relates to compounds of formula (I) or (II), wherein
R5, R6 together with the nitrogen to which they are attached form a 5- to 6-membered nitrogen containing heterocycloalkyi group, optionally containing one additional heteroatom containing group selected from O and NR7 and optionally being substituted with one or more oxo (=0) groups.
In a further embodiment of the above-mentioned aspects, the invention relates to compounds of formula (I) or (II), wherein
R5, R6 represent, independently of each other, hydrogen, methyl, or -(C=0)0(ferf-butyl).
In a further embodiment of the above-mentioned aspects, the invention relates to compounds of formula (I) or (II), wherein
R5, R6 together with the nitrogen to which they are attached form morpholinyl, piperidinyl, 1 ,3- dioxo-1 ,3-dihydro-2H-isoindol-2-yl, or piperazinyl optionally substituted with -(C=0)0(fert-butyl).
In a further embodiment of the above-mentioned aspects, the invention relates to compounds of formula (I) or (II), wherein
R5, R6 represent, independently of each other hydrogen, Ci-C3-alkyl, Cs-Ce-cycloalkyl or -C(=0)- (CrCa-alkyl) ; or
R5, R6 together with the nitrogen to which they are attached form an azetidinyl group or a 5- to 7- membered nitrogen containing heterocycloalkyi group optionally containing one additional heteroatom containing group selected from O, NR7, S , S(=0), S(=0)2, S(=N R7) (=NR8) and S(0)(=NR7), said 5- to 7-membered nitrogen containing heterocycloalkyi group optionally containing one additional heteroatom containing group selected from O, NR7, S , S(=0), S(=0)2, S(=NR7) (=NR8) and S(0)(=NR7), being optionally substituted with one or more substituents independently selected from the group consisting of:
hydroxy, halogen, cyano, Ci-C4-alkyl, Ci-C4-haloalkyl, Ci-C4-alkoxy, C1-C4- haloalkoxy, (Ci-C3-alkoxy)-(Ci-C4-alkyl)-, Cs-Ce-cycloalkyl, Cs-Ce-cycloalkyloxy, -
N(R7)R8, -C(=0)OH and
In a further embodiment of the above-mentioned aspects, the invention relates to compounds of formula (I) or (II), wherein
R5, R6 represent, independently of each other hydrogen, Ci-C3-alkyl, Cs-Ce-cycloalkyl or -C(=0)- (Ci-C3-alkyl).
In a further embodiment of the above-mentioned aspects, the invention relates to compounds of formula (I) or (II), wherein
R5, R6 represent, independently of each other hydrogen, Ci-C3-alkyl or C3-cycloalkyl.
In a further embodiment of the above-mentioned aspects, the invention relates to compounds of formula (I) or (II), wherein R5, R6 represent, independently of each other Ci-C3-alkyl, preferably methyl.
In a further embodiment of the above-mentioned aspects, the invention relates to compounds of formula (I) or (II), wherein
R5, R6 together with the nitrogen to which they are attached form an azetidinyl group or a 5- to 7- membered nitrogen containing heterocycloalkyi group optionally containing one additional heteroatom containing group selected from O, NR7, S , S(=0), S(=0)2, S(=NR7) (=NR8) and S(0)(=NR7),
said 5- to 7-membered nitrogen containing heterocycloalkyi group optionally containing one additional heteroatom containing group selected from O, NR7, S , S(=0), S(=0)2, S(=NR7) (=NR8) and S(0)(=NR7), being optionally substituted with one or more substituents independently selected from the group consisting of: hydroxy, halogen, cyano, Ci-C4-alkyl, Ci-C4-haloalkyl, Ci-C4-alkoxy, C1-C4- haloalkoxy, (Ci-C3-alkoxy)-(Ci-C4-alkyl)-, C3-C6-cycloalkyl, C3-C6-cycloalkyloxy, - N(R7)R8, -C(=0)OH and
In a further embodiment of the above-mentioned aspects, the invention relates to compounds of formula (I) or (II), wherein
R5, R6 together with the nitrogen to which they are attached form an azetidinyl group or a 5- to 7- membered nitrogen containing heterocycloalkyi group optionally containing one additional heteroatom containing group selected from O, NR7, S , S(=0) and S(=0)2 ,
said 5- to 7-membered nitrogen containing heterocycloalkyi group optionally containing one additional heteroatom containing group selected from O, NR7, S , S(=0), S(=0)2, being optionally substituted with one or more substituents independently selected from the group consisting of:
hydroxy, halogen, cyano, Ci-C4-alkyl, Ci-C4-haloalkyl, Ci-C4-alkoxy, Ci-C4-haloalkoxy,
(Ci-C
3-alkoxy)-(Ci-C
4-alkyl)-, C
3-C
6-cycloalkyl, C
3-C
6-cycloalkyloxy, -N(R
7)R
8, -C(=0)OH
In a further embodiment of the above-mentioned aspects, the invention relates to compounds of formula (I) or (II), wherein
R5, R6 together with the nitrogen to which they are attached form an azetidinyl group or a 5- to 7- membered nitrogen containing heterocycloalkyi group optionally containing one additional heteroatom containing group selected from O, NR7, S , S(=0), S(=0)2,
said 5- to 7-membered nitrogen containing heterocycloalkyi group optionally containing one additional heteroatom containing group selected from O, NR7, S , S(=0), S(=0)2 being optionally substituted with one or more substituents independently selected from the group consisting of:
Ci-C4-alkyl, Ci-C4-haloalkyl, Ci-C4-alkoxy, Ci-C4-haloalkoxy, (Ci-C3-alkoxy)-(CrC4-alkyl)- and C3-C6-cycloalkyl.
In a further embodiment of the above-mentioned aspects, the invention relates to compounds of formula (I) or (II), wherein R5, R6 together with the nitrogen to which they are attached form a 6-membered nitrogen containing heterocycloalkyi group, optionally containing one additional heteroatom containing group selected from O and NR7. In a further embodiment of the above-mentioned aspects, the invention relates to compounds of formula (I) or (II), wherein
R5, R6 together with the nitrogen to which they are attached form morpholinyl.
In a further embodiment of the above-mentioned aspects, the invention relates to compounds of formula (I) or (II), wherein
R7, R8 represent, independently of each other hydrogen, Ci-C3-alkyl, Cs-Ce-cycloalkyl, -C(=0)- (Ci-C3-alkyl), -C(=0)-(C3-C6-cycloalkyl), -C(=0)-0-(CrC6-alkyl), or -C(=0)-0-(C3-C6- cycloalkyl).
In a further embodiment of the above-mentioned aspects, the invention relates to compounds of formula (I) or (II), wherein
R
7 represents, independently of each other hydrogen, Ci-C3-alkyl, Cs-Ce-cycloalkyl, -C(=0)- (d-Ca-alkyl), -C(=0)-(C
3-C
4-cycloalkyl),
or -C(=0)-0-(C
3-C
4-cycloalkyl).
In a further embodiment of the above-mentioned aspects, the invention relates to compounds of formula (I) or (II), wherein
R7 represents, independently of each other hydrogen, Ci-C3-alkyl or -C(=0)-0-(Ci-C4-alkyl).
In a further embodiment of the above-mentioned aspects, the invention relates to compounds of formula (I) or (II), wherein
R7, R8 represent, independently of each other, hydrogen, Ci-C3-alkyl, Cs-Ce-cycloalkyl or -C(=0)- (CrCa-alkyl).
In a further embodiment of the above-mentioned aspects, the invention relates to compounds of formula (I) or (II), wherein
R7 represents, independently of each other hydrogen, Ci-C3-alkyl or Cs-Ce-cycloalkyl.
In a further embodiment of the above-mentioned aspects, the invention relates to compounds of formula (I) or (II), wherein
R7 represents, independently of each other hydrogen, Ci-C3-alkyl.
In a further embodiment of the above-mentioned aspects, the invention relates to compounds of formula (I) or (II), wherein R7 represents, independently of each other, hydrogen, Ci-C3-alkyl, Cs-Ce-cycloalkyl or -C(=0)- (d-Ca-alkyl).
In a further embodiment of the above-mentioned aspects, the invention relates to compounds of formula (I) or (II), wherein R8 represents, independently of each other, hydrogen, Ci-C3-alkyl, Cs-Ce-cycloalkyl or -C(=0)- (CrCa-alkyl).
In a further embodiment of the above-mentioned aspects, the invention relates to compounds of formula (I) or (II), wherein
R2, R3 represent, independently of each other, hydrogen, Ci-C3-alkyl, C3-C6-cycloalkyl or -C(=0)-(CrC3-alkyl).
In a further embodiment of the above-mentioned aspects, the invention relates to compounds of formula (I) or (II), wherein
R2 represents hydrogen, Ci-C3-alkyl, Cs-Ce-cycloalkyl or -C(=0)-(CrC3-alkyl).
In a further embodiment of the above-mentioned aspects, the invention relates to compounds of formula (I) or (II), wherein
R2 represents hydrogen, or Ci-alkyl. In a further embodiment of the above-mentioned aspects, the invention relates to compounds of formula (I) or (II), wherein
R2 represents hydrogen, or Ci-alkyl.
In a further embodiment of the above-mentioned aspects, the invention relates to compounds of formula (I) or (II), wherein
R4 represents, independently of each other, halogen, Ci-C3-alkyl, Ci-C3-alkoxy, C1-C3- haloalkoxy, -N(H)R3, -N(R3)R4 or -NH2.
In a further embodiment of the above-mentioned aspects, the invention relates to compounds of formula (I) or (II), wherein
R4 represents, independently of each other, halogen, Ci-alkyl, Ci-alkoxy, Ci-haloalkoxy, - N(H)R3, -N(R3)R4 or -NH2.
In a further embodiment of the above-mentioned aspects, the invention relates to compounds of formula (I) or (II), wherein
R4 represents, independently of each other, halogen, Ci-alkyl, Ci-alkoxy, Ci-haloalkoxy, - N(H)R3, -N(R3)R4 or -NH2. In a further embodiment of the above-mentioned aspects, the invention relates to compounds of formula (I) or (II), wherein
R4 represents, independently of each other, N(H)R3, -N(R3)R4 or -NH2.
In a further embodiment of the above-mentioned aspects, the invention relates to compounds of formula (I) or (II), wherein
R4 represents -NH2.
A further aspect of the invention are compounds of formula (I), which are present as their salts. Yet another aspect of the invention are compounds of formula (I) in which the salt is a pharmaceutically acceptable salt.
It is to be understood that the present invention relates to any sub-combination within any embodiment or aspect of the present invention of compounds of formula (I), supra.
More particularly still, the present invention covers compounds of formula (I) which are disclosed in the Example section of this text, infra.
In accordance with another aspect, the present invention covers methods of preparing compounds of the present invention, said methods comprising the steps as described in the Experimental Section herein.
Another embodiment of the invention are compounds according to the claims as disclosed in the Claims section wherein the definitions are limited according to the preferred or more preferred definitions as disclosed below or specifically disclosed residues of the exemplified compounds and subcombinations thereof.
Definitions
Constituents which are optionally substituted as stated herein, may be substituted, unless otherwise noted, one or more times, independently from one another at any possible position. When any variable occurs more than one time in any constituent or in different constituents, each definition is independent. For example, for any compound of formula (I) in which R3, R4, R5, R6, R7, R8 , R9, R0, R , R2, R3, and/or R4, occur more than one time, each definition of R3, R4, R5, R6, R7, R8, R9, R0, R11 , R2, R3, and R4 is independent.
Should a constituent be composed of more than one part, e.g. (Ci-C3-alkoxy)-(C2-C6-alkyl)-, the position of a possible substituent can be at any of these parts at any suitable position. A hyphen at the beginning or at the end of the constituent marks the point of attachment to the rest of the molecule. Should a ring be substituted, the substitutent(s) could be at any suitable position of the ring, also on a ring nitrogen atom if suitable.
The term "comprising" when used in the specification includes "consisting of.
If it is referred to "as mentioned above", "mentioned above", "as described above", "as defined above", or variations thereof - for example variations using the term "supra" instead of "above" - within the description, it refers to any of the disclosures made within the specification in any of the preceding pages.
If it is referred to "as mentioned herein", "mentioned herein", "as described herein", "as defined herein", or variations thereof, within the description, it refers to any of the disclosures made within the specification in any of the preceding or subsequent pages. The expressions "compounds of the present invention", "compounds according to the present invention", "NAMPT inhibitors according to the present invention", "NAMPT inhibitors of the present invention", and variatons thereof, refer to the herein described compounds of formula (I), (la), (lb), (lc), (II), (lla), and/or (Mb) or an N-oxide, a salt, a tautomer or a stereoisomer of said compounds, or a salt of said N-oxide, tautomer or stereoisomer.
"suitable" within the sense of the invention means chemically possible to be made by methods within the knowledge of a skilled person. Unless indicated otherwise, aspects and embodiments described herein for the compound of formula (I), are also aspects and embodiments of the compounds of formula (la), 1(b) and (lc). The present invention covers all such aspects and embodiments of compound of formula (I), (la), (lb) and (lc). As way of example, certain aspects and embodiments of the present invention cover a compound of formula (I) in which R represents methyl. Correspondingly, the present invention also covers aspects and embodiments of the compounds of formula (la), (lb) and (lc) in which R represents hydrogen.
Unless indicated otherwise, aspects and embodiments described herein for the compound of formula (II), are also aspects and embodiments of the compounds of formula (lla), ll(b). The present invention covers all such aspects and embodiments of compound of formula (II), (lla) and (lb). As way of example, certain aspects and embodiments of the present invention cover a compound of formula (II) in which R2 represents methyl. Correspondingly, the present invention also covers aspects and embodiments of the compounds of formula (lla), and (lib) in which R2 represents hydrogen.
The terms as mentioned in the present text have preferably the following meanings :
The term "halogen atom", "halo-" or "Hal-" is to be understood as meaning a fluorine, chlorine, bromine or iodine atom.
The term "CrC6-alkyl" is to be understood as meaning a linear or branched, saturated, monovalent hydrocarbon group having 1 , 2, 3, 4, 5, or 6 carbon atoms, e.g. a methyl, ethyl, propyl, butyl, pentyl, hexyl, iso-propyl, iso-butyl, sec-butyl, tert-butyl, iso-pentyl, 2-methylbutyl, 1 - methylbutyl, 1 -ethylpropyl, 1 ,2-dimethylpropyl, neo-pentyl, 1 , 1 -dimethylpropyl, 4-methylpentyl, 3- methylpentyl, 2-methylpentyl, 1 -methylpentyl, 2-ethylbutyl, 1 -ethylbutyl, 3,3-dimethylbutyl, 2,2- dimethylbutyl, 1 , 1 -dimethylbutyl, 2,3-dimethylbutyl, 1 ,3-dimethylbutyl, or 1 ,2-dimethylbutyl group, or an isomer thereof. Particularly, said group has 1 , 2, 3 or 4 carbon atoms ("CrC4-alkyl"), e.g. a methyl, ethyl, propyl, butyl, iso-propyl, iso-butyl, sec-butyl, tert-butyl group, more particularly 1 , 2 or 3 carbon atoms ("Ci-C3-alkyl"), e.g. a methyl, ethyl, n-propyl- or iso-propyl group.
The term "C2-C6-alkyl" is to be understood as meaning a linear or branched, saturated, monovalent hydrocarbon group having 2, 3, 4, 5, or 6 carbon atoms e.g. a ethyl, propyl, butyl, pentyl, hexyl, iso-propyl, iso-butyl, sec-butyl, tert-butyl, iso-pentyl, 2-methylbutyl, 1 -methylbutyl, 1 -ethylpropyl, 1 ,2-dimethylpropyl, neo-pentyl, 1 , 1 -dimethylpropyl, 4-methylpentyl, 3- methylpentyl, 2-methylpentyl, 1 -methylpentyl, 2-ethylbutyl, 1 -ethylbutyl, 3,3-dimethylbutyl, 2,2- dimethylbutyl, 1 , 1 -dimethylbutyl, 2,3-dimethylbutyl, 1 ,3-dimethylbutyl, or 1 ,2-dimethylbutyl group, or an isomer thereof. Particularly, said group has 2, 3 or 4 carbon atoms ("C2-C4-alkyl"), e.g. a ethyl, propyl, butyl, iso-propyl, iso-butyl, sec-butyl, tert-butyl group or an isomer thereof. It is understood that for all aspects and embodiments of the invention R represents a group, which is connected to the rest of the molecule via a carbon atom of said group.
With respect to R\ the group "C2-C6-alkyl optionally substituted with one or more substituents independently selected from the group consisting of: halogen, hydroxy, CrC3-alkoxy, Ci-C3-haloalkoxy, -N(R5)R6, -SR7, -S(=0)R7, -S(=0)2R7 and - S(=0)(=NR7)R8" is to be understood as meaning a linear or branched, saturated, monovalent alkyl group in which the term "C2-C6-alkyl" is defined supra, and in which optionally one or more hydrogen atoms - with the exception of the hydrogen atoms of the carbon atom which is connected to the rest of the molecule - is independently, i.e. identically or differently, replaced with one or more halogen, hydroxy, CrC3-alkoxy, CrC3-haloalkoxy, -N(R5)R6, -SR7, -S(=0)R7, - S(=0)2R7 and/or -S(=0)(=NR7)R8. Particularly, said group has 2, 3 or 4 carbon atoms ("C2-C4- alkyl").
For example, C2-C6-alkyl substituted with one or more halogen includes, for example, -CH2CF3, - CH2CH2F, -CH2CHF2, -CH2CH2CF3, -CH(CH2F)2, -CH2CF2CI, -CH(CH2CI)(CHF2), or -CH2CF2CI. Particularly, said halogen atom is F.
For example, C2-C6-alkyl substituted with one or more hydroxy include, for example, 2- hydroxyethyl, 3-hydroxypropyl, 2-hydroxypropyl, 2,3-dihydroxypropyl, 1 ,3-dihydroxypropan-2-yl, 3-hydroxy-2-methyl-propyl, or 2-hydroxy-2-methyl-propyl group.
For example, C2-C6-alkyl substituted with one or more Ci-C3-alkoxy includes, for example, - CH2CH2OCH3, -CH(CH2OCH3)2, or -CH2CH2CH2OCH3.
For example, C2-C6-alkyl substituted with one or more -N(R5)R6 includes, for example, - CH2CH2N(R5)R6, -CH(CH2N(R5)R6)2, or -CH2CH2CH2N(R5)R6 wherein R5 and R6 are as defined herein.
For example, C2-C6-alkyl substituted with one or more substituents independently selected from halogen and N(R5)R6 includes, for example, -CH(CH2N(R5)R6)(CH2F), or -CH2CH(F)CH2N(R5)R6 wherein R5 and R6 are as defined herein.
Similar reasoning applies to any other combination of C2-C6-alkyl substituted with one or more substituents independently selected from the group consisting of: halogen, hydroxy, C1-C3- alkoxy, Ci-C3-haloalkoxy, -N(R5)R6, -SR7, -S(=0)R7, -S(=0)2R7 and -S(=0)(=NR7)R8 as it is within the knowledge of a skilled person. Similar reasoning applies to C2-C4-alkyl substituted with one or more substituents as described in the aspects and embodiments disclosed herein, as it is known to the skilled person. With respect to R\ 5- to 7-membered heterocycloalkyl is connected to the rest of the molecule via a carbon atom of the 5- to 7-membered heterocycloalkyl ring. This applies when 5- to 7- membered heterocycloalkyl is directly connected to the nitrogen of the 1 ,4,5,6- tetrahydropyridazinone ring to which R connects and also when 5- to 7-membered heterocycloalkyl is connected to an alkyl group, such as, for example, in (5- to 7-membered heterocycloalkyl)-(Ci-C6-alkyl)- or in (5- to 7-membered heterocycloalkyl)-(Ci-C4-alkyl)-. With respect to R\ 5- to 6-membered heteroaryl is connected to the rest of the molecule via a carbon atom of the 5- to 6-membered heteroaryl ring. This applies when R represents a 5- to 6- membered heteroaryl which is directly connected to the nitrogen of the 1 ,4,5,6- tetrahydropyridazinone ring to which R connects and also when R represents a 5- to 7- membered heterocycloalkyi which is connected to an alkyl group, such as, for example, in (5- to 6-membered heteroaryl)-(Ci -C6-alkyl)- or in (5- to 6-membered heteroaryl)-(Ci-C4-alkyl)-.
With respect to R\ azetidin-3-yl, oxetan-3-yl, C3-C6-cycloalkyl, 5- to 7-membered heterocycloalkyi, phenyl and 5- to 6-membered heteroaryl may be optionally substituted as defined supra or as defined in any of the claims 1 to 6. The substituents may be present both when said azetidin-3-yl, oxetan-3-yl, C3-C6-cycloalkyl, 5- to 7-membered heterocycloalkyi, phenyl and 5- to 6-membered heteroaryl exist as a (unitary) constituent or as part of a constituent composed of more than one part, such as for example, (azetidin-3-yl)-(Ci -C6-alkyl)-, (oxetan-3- yl)-(Ci-Ce-alkyl)-, (C3-C6-cycloalkyl)-(Ci-C6-alkyl)-, (5- to 7-membered heterocycloalkylHd-Ce- alkyl)-, phenyl-(Ci-Ce-alkyl)- or (5- to 6-membered heteroaryl)-(Ci-C6-alkyl)-, for example.
The term "Ci-C4-haloalkyl" is to be understood as meaning a linear or branched, saturated, monovalent hydrocarbon group in which the term "CrC4-alkyl" is defined supra, and in which one or more hydrogen atoms is replaced by a halogen atom, in identically or differently, i.e. one halogen atom being independent from another. Particularly, said halogen atom is F. Said C1-C4- haloalkyl group is, for example, -CF3, -CHF2, -CH2F, -CF2CF3, -CH2CH2F, -CH2CH F2, -CH2CF3, - CH2CH2CF3, or -CH(CH2F)2. Particularly, said group has 1 , 2 or 3 carbon atoms ("C1-C3- haloalkyl").
The term "Ci-C4-alkoxy" is to be understood as meaning a linear or branched, saturated, monovalent, hydrocarbon group of formula -0-(Ci-C4-alkyl), in which the term "CrC4-alkyl" is defined supra, e.g. a methoxy, ethoxy, n-propoxy, iso-propoxy, n-butoxy, iso-butoxy, tert-butoxy, orsec-butoxy group, or an isomer thereof. Particularly, said group has 1 , 2 or 3 carbon atoms ("Ci-C3-alkoxy").
The term "Ci-C4-haloalkoxy" is to be understood as meaning a linear or branched, saturated, monovalent Ci-C4-alkoxy group, as defined supra, in which one or more of the hydrogen atoms is replaced, in identically or differently, by a halogen atom. Particularly, said halogen atom is F. Said Ci-Ce-haloalkoxy group is, for example, -OCF3, -OCHF2, -OCH2F, -OCF2CF3, or - OCH2CF3. Particularly, said group has 1 , 2 or 3 carbon atoms ("CrC3-haloalkoxy").
The term "C3-C6-cycloalkyl" is to be understood as meaning a saturated, monovalent, monocyclic hydrocarbon ring which contains 3, 4, 5 or 6 carbon atoms ("C3-C6-cycloalkyl"). Said C3-C6-cycloalkyl group is for example, a monocyclic hydrocarbon ring, e.g. a cyclopropyl, cyclobutyl, cyclopentyl or cyclohexyl ring. Particularly, said group has 3 carbon atoms ("C3- cycloalkyl"), i.e. a cyclopropyl group.
The term "C3-C6-cycloalkyloxy" is to be understood as meaning a saturated, monovalent, monocyclic hydrocarbon group of formula -O-cycloalkyl, in which the term "cycloalkyl" is defined supra, e.g. a. a cyclopropyloxy, cyclobutyloxy, cyclopentyloxy or cyclohexyloxy group. The term "5- to 7-membered heterocycloalkyi" is to be understood as meaning a saturated or partially unsaturated, monovalent, mono- or bicyclic hydrocarbon ring which contains 3, 4, 5 or 6 carbon atoms, and one or two, preferably one, heteroatom-containing group selected from O, NR7, S , S(=0), S(=0)2, S(=NR7)(=NR8) and S(0)(=NR7), preferably O, NR7, S , S(=0), S(=0)2, more preferably O, NR7, in which R7 and R8 are as defined herein, said heterocycloalkyi group being attached to the rest of the molecule via a carbon atom of the heterocycloalkyi ring.
Particularly, without being limited thereto, said heterocycloalkyi can be a 5-membered ring, such as, but not limited to, tetrahydrofuranyl, pyrrolidinyl or pyrrolinyl, or a 6-membered ring, such as, but not limited to, tetrahydropyranyl, piperidinyl, morpholinyl or piperazinyl, or a 7-membered ring, such as, but not limited to, an azepanyl ring, for example. Optionally, said heterocycloalkyi can be benzo fused.
As mentioned supra, said 5- to 7-membered heterocycloalkyi can be partially unsaturated, i.e. it can contain one or more double bonds, such as, without being limited thereto, a 2,5-dihydro-1 H- pyrrolyl, for example, or, it may be benzofused, such as, without being limited thereto, a dihydroisoquinolinyl ring, for example.
The term "heteroatom containing group" is understood as meaning a heteroatom, such as, O and S, or a group contining a heteroatom, such as NR7, S(=0), S(=0)2, S(=NR7)(=NR8) and S(0)(=NR7). The term "5- to 6-membered heteroaryl group" is understood as meaning a monovalent, monocyclic aromatic ring system having 5 or 6 ring atoms and which contains at least one heteroatom, which may be identical or different, said heteroatom(s) being selected from oxygen, nitrogen and sulfur, and in addition in each case can be benzocondensed. It is understood that any heteroaryl group is attached to the rest of the molecule via a carbon atom of the heteroarylic ring.
Particularly, without being limited thereto, said 5- to 6-membered heteroaryl group can be a 5- membered ring, such as, but not limited to, thienyl, furanyl, pyrrolyl, oxazolyl, thiazolyl, imidazolyl, pyrazolyl, isoxazolyl, isothiazolyl, thia-4H-pyrazolyl, furyl, triazolyl (1 ,2,4-triazolyl, 1 ,3,4-triazolyl or 1 ,2,3-triazolyl), thiadiazolyl (1 ,3,4-thiadiazolyl, 1 ,2,5-thiadiazolyl, 1 ,2,3- thiadiazolyl or 1 ,2,4-thiadiazolyl) and oxadiazolyl (1 ,3,4-oxadiazolyl, 1 ,2,5-oxadiazolyl, 1 ,2,3- oxadiazolyl or 1 ,2,4-oxadiazolyl), etc., and benzo derivatives thereof, such as, for example, benzofuranyl, benzothienyl, benzoxazolyl, benzisoxazolyl, benzimidazolyl, benzotriazolyl, indazolyl, indolyl, isoindolyl, etc.; or a 6-membered ring such as but not limited to, pyridyl, pyridazinyl, pyrimidinyl, pyrazinyl, triazinyl, etc., and benzo derivatives thereof, such as, for example, quinolinyl, quinazolinyl, isoquinolinyl, etc..
In general, and unless otherwise mentioned, the heteroarylic or heteroarylenic radicals include all the possible isomeric forms thereof, e.g. the positional isomers thereof. Thus, for some illustrative non-restricting example, the term pyridinyl or pyridinylene includes pyridin-2-yl, pyridin-2-ylene, pyridin-3-yl, pyridin-3-ylene, pyridin-4-yl and pyridin-4-ylene; or the term thienyl or thienylene includes thien-2-yl, thien-2-ylene, thien-3-yl and thien-3-ylene.
Unless otherwise noted, any heteroatom of a heteroarylic ring with unsatisfied valences mentioned herein is assumed to have the hydrogen atom(s) to satisfy the valences.
In the case of -NR5R6, when R5 and R6 together with the nitrogen to which they are attached form an a 5- to 7-membered nitrogen containing heterocycloalkyi group optionally containing one additional heteroatom containing group selected from O, NR7, S , S(=0), S(=0)2, S(=NR7) (=NR8) and S(0)(=NR7), said nitrogen containing heterocycloalkyi group is attached to the rest of the molecule via a nitrogen atom of the heteroarylic ring. Non-limiting examples of 5- to 7- membered nitrogen containing heterocycloalkyi groups are, for example, piperidinyl, morpholinyl, thiomorpholinyl, 2-oxa-5-azabicyclo[2.2.1]hept-5-yl, 2-oxa-6-azaspiro[3.3]hept-6-yl or 2,2- dioxido-2-thia-6-azaspiro[3.3]hept-6-yl, for example. Especially preferred is piperidinyl and morpholinyl.
The term "Οι-Οβ", as used throughout this text, e.g. in the context of the definition of "C1-C6- alkyl", "Ci-C6-haloalkyl", "CrC6-hydroxyalkyl", "Ci-C6-alkoxy", or "Ci-C6-haloalkoxy" is to be understood as meaning an alkyl group having a finite number of carbon atoms of 1 to 6, i.e. 1 , 2, 3, 4, 5, or 6 carbon atoms. It is to be understood further that said term "d-Ce" is to be interpreted as any sub-range comprised therein, e.g. Ci-Ce, C2-C5 , C3-C4 , C1-C2, C1-C3 , C1-C4 , C1-C5 ; particularly C1-C2 , C1-C3 , C1-C4 , C1-C5, Ci-Ce; more particularly C1-C4 ; in the case of "O- C6-haloalkyl" or "Ci-C6-haloalkoxy" even more particularly C1-C2.
Further, as used herein, the term "C3-C6", as used throughout this text, e.g. in the context of the definition of "C3-C6-cycloalkyl", is to be understood as meaning a cycloalkyl group having a finite number of carbon atoms of 3 to 6, i.e. 3, 4, 5 or 6 carbon atoms. It is to be understood further that said term "C3-C6" is to be interpreted as any sub-range comprised therein, e.g. C3-C6 , C4-C5 , C3-C5 , C3-C4 , C4-C6, C5-C6 ; particularly C3-C6.
The term "substituted" means that one or more hydrogens on the designated atom is replaced with a selection from the indicated group, provided that the designated atom's normal valency under the existing circumstances is not exceeded, and that the substitution results in a stable compound. Combinations of substituents and/or variables are permissible only if such combinations result in stable compounds.
The term "optionally substituted" means optional substitution with the specified groups, radicals or moieties.
Ring system substituent means a substituent attached to an aromatic or nonaromatic ring system which, for example, replaces an available hydrogen on the ring system. As used herein, the term "one or more", e.g. in the definition of the substituents of the compounds of the general formulae of the present invention, is understood as meaning "one, two, three, four or five, particularly one, two, three or four, more particularly one, two or three, even more particularly one or two".
in which * represents the point of attachment of said group with the rest of the compound of formula (I) or (II). Said groups optionally are substituted one or two times, independently from each other, with R
4. For the avoidance of doubt, when a R
4 substitutent is present it is attached to a suitable carbon atom of the fused 6-membered heteroaryl ring, i.e. at any one of positions A, B, C or D of the heteroaryl ring (provided such A, B, C or D are not nitrogen).
The invention also includes all suitable isotopic variations of a compound of the invention. An isotopic variation of a compound of the invention is defined as one in which at least one atom is replaced by an atom having the same atomic number but an atomic mass different from the atomic mass usually or predominantly found in nature. Examples of isotopes that can be incorporated into a compound of the invention include isotopes of hydrogen, carbon, nitrogen, oxygen, phosphorus, sulphur, fluorine, chlorine, bromine and iodine, such as2H (deuterium),3H (tritium),11C,3C,4C,5N,170,80,32P,33P,33S,34S,35S,36S,8F,36CI,82Br,123l,124l,125l,129l and3 l, respectively. Certain isotopic variations of a compound of the invention, for example, those in which one or more radioactive isotopes such as3H or4C are incorporated, are useful in drug and/or substrate tissue distribution studies. Tritiated and carbon-14, i.e.,4C, isotopes are particularly preferred for their ease of preparation and detectability. Further, substitution with isotopes such as deuterium may afford certain therapeutic advantages resulting from greater metabolic stability, for example, increased in vivo half-life or reduced dosage requirements and hence is preferred in some circumstances. Isotopic variations of a compound of the invention can generally be prepared by conventional procedures known by a person skilled in the art such as by the illustrative methods or by the preparations described in the examples hereafter using appropriate isotopic variations of suitable reagents.
Where the plural form of the word compounds, salts, polymorphs, hydrates, solvates and the like, is used herein, this is taken to mean also a single compound, salt, polymorph, isomer, hydrate, solvate or the like.
By "stable compound' or "stable structure" is meant a compound that is sufficiently robust to survive isolation to a useful degree of purity from a reaction mixture, and formulation into an efficacious therapeutic agent.
The compounds of this invention optionally contain one or more asymmetric centre, depending upon the location and nature of the various substituents desired. Asymmetric carbon atoms is present in the (R) or (S) configuration, resulting in racemic mixtures in the case of a single asymmetric centre, and diastereomeric mixtures in the case of multiple asymmetric centres. In certain instances, asymmetry may also be present due to restricted rotation about a given bond, for example, the central bond adjoining two substituted aromatic rings of the specified compounds. The compounds of the present invention optionally contain sulphur atoms which are asymmetric, such as an asymmetric sulfoxide, of structure:
V II*
0 , for example, in which * indicates atoms to which the rest of the molecule can be bound.
Substituents on a ring may also be present in either cis or trans form. It is intended that all such configurations (including enantiomers and diastereomers), are included within the scope of the present invention.
Preferred compounds are those which produce the more desirable biological activity. Separated, pure or partially purified isomers and stereoisomers or racemic or diastereomeric mixtures of the compounds of this invention are also included within the scope of the present invention. The purification and the separation of such materials can be accomplished by standard techniques known in the art. The optical isomers can be obtained by resolution of the racemic mixtures according to conventional processes, for example, by the formation of diastereoisomeric salts using an optically active acid or base or formation of covalent diastereomers. Examples of appropriate acids are tartaric, diacetyltartaric, ditoluoyltartaric and camphorsulfonic acid. Mixtures of diastereoisomers can be separated into their individual diastereomers on the basis of their physical and/or chemical differences by methods known in the art, for example, by chromatography or fractional crystallisation. The optically active bases or acids are then liberated from the separated diastereomeric salts. A different process for separation of optical isomers involves the use of chiral chromatography (e.g., chiral HPLC columns), with or without conventional derivatisation, optimally chosen to maximise the separation of the enantiomers. Suitable chiral HPLC columns are manufactured by Daicel, e.g., Chiracel OD and Chiracel OJ among many others, all routinely selectable. Enzymatic separations, with or without derivatisation, are also useful. The optically active compounds of this invention can likewise be obtained by chiral syntheses utilizing optically active starting materials.
In order to limit different types of isomers from each other reference is made to lUPAC Rules Section E (Pure Appl Chem 45, 1 1-30, 1976).
The present invention includes all possible stereoisomers of the compounds of the present invention as single stereoisomers, or as any mixture of said stereoisomers, e.g. R- or S- isomers, or E- or Z-isomers, in any ratio. Isolation of a single stereoisomer, e.g. a single enantiomer or a single diastereomer, of a compound of the present invention is achieved by any suitable state of the art method, such as chromatography, especially chiral chromatography, for example.
Further, the compounds of the present invention may exist as tautomers.
The present invention includes all possible tautomers of the compounds of the present invention as single tautomers, or as any mixture of said tautomers, in any ratio.
Further, the compounds of the present invention can exist as N-oxides, which are defined in that at least one nitrogen of the compounds of the present invention is oxidised. The present invention includes all such possible N-oxides. The present invention also relates to useful forms of the compounds as disclosed herein, such as metabolites, hydrates, solvates, prodrugs, salts, in particular pharmaceutically acceptable salts, and co-precipitates. The compounds of the present invention can exist as a hydrate, or as a solvate, wherein the compounds of the present invention contain polar solvents, in particular water, methanol or ethanol for example as structural element of the crystal lattice of the compounds. The amount of polar solvents, in particular water, may exist in a stoichiometric or non-stoichiometric ratio. In the case of stoichiometric solvates, e.g. a hydrate, hemi-, (semi-), mono-, sesqui-, di-, tri-, tetra-, penta- etc. solvates or hydrates, respectively, are possible. The present invention includes all such hydrates or solvates.
Further, the compounds of the present invention can exist in free form, e.g. as a free base, or as a free acid, or as a zwitterion, or can exist in the form of a salt. Said salt may be any salt, either an organic or inorganic addition salt, particularly any pharmaceutically acceptable organic or inorganic addition salt, customarily used in pharmacy.
The term "pharmaceutically acceptable salt" refers to a relatively non-toxic, inorganic or organic acid addition salt of a compound of the present invention. For example, see S. M. Berge, et al. "Pharmaceutical Salts," J. Pharm. Sci. 1977, 66, 1-19.
A suitable pharmaceutically acceptable salt of the compounds of the present invention may be, for example, an acid-addition salt of a compound of the present invention bearing a nitrogen atom, in a chain or in a ring, for example, which is sufficiently basic, such as an acid-addition salt with an inorganic acid, such as hydrochloric, hydrobromic, hydroiodic, sulfuric, bisulfuric, phosphoric, or nitric acid, for example, or with an organic acid, such as formic, acetic, acetoacetic, pyruvic, trifluoroacetic, propionic, butyric, hexanoic, heptanoic, undecanoic, lauric, benzoic, salicylic, 2-(4-hydroxybenzoyl)-benzoic, camphoric, cinnamic, cyclopentanepropionic, digluconic, 3-hydroxy-2-naphthoic, nicotinic, pamoic, pectinic, persulfuric, 3-phenylpropionic, picric, pivalic, 2-hydroxyethanesulfonate, itaconic, sulfamic, trifluoromethanesulfonic, dodecylsulfuric, ethansulfonic, benzenesulfonic, para-toluenesulfonic, methansulfonic, 2- naphthalenesulfonic, naphthalinedisulfonic, camphorsulfonic acid, citric, tartaric, stearic, lactic, oxalic, malonic, succinic, malic, adipic, alginic, maleic, fumaric, D-gluconic, mandelic, ascorbic, glucoheptanoic, glycerophosphoric, aspartic, sulfosalicylic, hemisulfuric, or thiocyanic acid, for example. Further, another suitably pharmaceutically acceptable salt of a compound of the present invention which is sufficiently acidic, is an alkali metal salt, for example a sodium or potassium salt, an alkaline earth metal salt, for example a calcium or magnesium salt, an ammonium salt or a salt with an organic base which affords a physiologically acceptable cation, for example a salt with N-methyl-glucamine, dimethyl-glucamine, ethyl-glucamine, lysine, dicyclohexylamine, 1 ,6- hexadiamine, ethanolamine, glucosamine, sarcosine, serinol, tris-hydroxy-methyl- aminomethane, aminopropandiol, sovak-base, 1-amino-2,3,4-butantriol. Additionally, basic nitrogen containing groups may be quaternised with such agents as lower alkyl halides such as methyl, ethyl, propyl, and butyl chlorides, bromides and iodides ; dialkyl sulfates like dimethyl, diethyl, and dibutyl sulfate ; and diamyl sulfates, long chain halides such as decyl, lauryl, myristyl and strearyl chlorides, bromides and iodides, aralkyl halides like benzyl and phenethyl bromides and others. Those skilled in the art will further recognise that acid addition salts of the claimed compounds may be prepared by reaction of the compounds with the appropriate inorganic or organic acid via any of a number of known methods. Alternatively, alkali and alkaline earth metal salts of acidic compounds of the invention are prepared by reacting the compounds of the invention with the appropriate base via a variety of known methods.
The present invention includes all possible salts of the compounds of the present invention as single salts, or as any mixture of said salts, in any ratio.
In the present text, in particular in the Experimental Section, for the synthesis of intermediates and of examples of the present invention, when a compound is mentioned as a salt form with the corresponding base or acid, the exact stoichiometric composition of said salt form, as obtained by the respective preparation and/or purification process, is, in most cases, unknown.
Unless specified otherwise, suffixes to chemical names or structural formulae such as "hydrochloride", "trifluoroacetate", "sodium salt", or "x HCI", "x CF3COOH", "x Na+", for example, are to be understood as not a stoichiometric specification, but solely as a salt form.
The salts include water-insoluble and, particularly, water-soluble salts. This applies analogously to cases in which synthesis intermediates or example compounds or salts thereof have been obtained, by the preparation and/or purification processes described, as solvates, such as hydrates with (if defined) unknown stoichiometric composition. Furthermore, derivatives of the compounds of formula (I) or (II) and the salts thereof which are converted into a compound of formula (I) or (II) or a salt thereof in a biological system (bioprecursors or pro-drugs) are covered by the invention. Said biological system is e.g. a mammalian organism, particularly a human subject. The bioprecursor is, for example, converted into the compound of formula (I) or (II) or a salt thereof by metabolic processes.
As used herein, the term "in vivo hydrolysable ester" is understood as meaning an in vivo hydrolysable ester of a compound of the present invention containing a carboxy or hydroxy group, for example, a pharmaceutically acceptable ester which is hydrolysed in the human or animal body to produce the parent acid or alcohol. Suitable pharmaceutically acceptable esters for carboxy include for example alkyl, cycloalkyl and optionally substituted phenylalkyl, in particular benzyl esters, C1-C6 alkoxymethyl esters, e.g. methoxymethyl, C1-C6 alkanoyloxymethyl esters, e.g. pivaloyloxymethyl, phthalidyl esters, C3-C8 cycloalkoxy- carbonyloxy-Ci-C6 alkyl esters, e.g. 1 -cyclohexylcarbonyloxyethyl ; 1 ,3-dioxolen-2-onylmethyl esters, e.g. 5-methyl-1 ,3-dioxolen-2-onylmethyl ; and Ci-C6-alkoxycarbonyloxyethyl esters, e.g. 1-methoxycarbonyloxyethyl, and may be formed at any carboxy group in the compounds of this invention.
An in vivo hydrolysable ester of a compound of the present invention containing a hydroxy group includes inorganic esters such as phosphate esters and [alpha]-acyloxyalkyl ethers and related compounds which as a result of the in vivo hydrolysis of the ester breakdown to give the parent hydroxy group. Examples of [alpha]-acyloxyalkyl ethers include acetoxymethoxy and 2,2- dimethylpropionyloxymethoxy. A selection of in vivo hydrolysable ester forming groups for hydroxy include alkanoyl, benzoyl, phenylacetyl and substituted benzoyl and phenylacetyl, alkoxycarbonyl (to give alkyl carbonate esters), dialkylcarbamoyl and N-(dialkylaminoethyl)-N- alkylcarbamoyl (to give carbamates), dialkylaminoacetyl and carboxyacetyl. The present invention covers all such esters.
Furthermore, the present invention includes all possible crystalline forms, or polymorphs, of the compounds of the present invention, either as single polymorph, or as a mixture of more than one polymorph, in any ratio. In the context of the properties of the compounds of the present invention the term "pharmacokinetic profile" means one single parameter or a combination thereof including permeability, bioavailability, exposure, and pharmacodynamic parameters such as duration, or magnitude of pharmacological effect, as measured in a suitable experiment. Compounds with improved pharmacokinetic profiles can, for example, be used in lower doses to achieve the same effect, may achieve a longer duration of action, or a may achieve a combination of both effects.
The term "combination" in the present invention is used as known to persons skilled in the art and may be present as a fixed combination, a non-fixed combination or kit-of-parts.
A "fixed combination" in the present invention is used as known to persons skilled in the art and is defined as a combination wherein the said first active ingredient and the said second active ingredient are present together in one unit dosage or in a single entity. One example of a "fixed combination" is a pharmaceutical composition wherein the said first active ingredient and the said second active ingredient are present in admixture for simultaneous administration, such as in a formulation. Another example of a "fixed combination" is a pharmaceutical combination wherein the said first active ingredient and the said second active ingredient are present in one unit without being in admixture.
A non-fixed combination or "kit-of-parts" in the present invention is used as known to persons skilled in the art and is defined as a combination wherein the said first active ingredient and the said second active ingredient are present in more than one unit. One example of a non-fixed combination or kit-of-parts is a combination wherein the said first active ingredient and the said second active ingredient are present separately. The components of the non-fixed combination or kit-of-parts may be administered separately, sequentially, simultaneously, concurrently or chronologically staggered. Any such combination of a compound of formula (I) or (II) of the present invention with an anti-cancer agent as defined below is an embodiment of the invention. The term "(chemotherapeutic) anti-cancer agents", includes but is not limited to :
1311-chTNT, abarelix, abiraterone, aclarubicin, ado-trastuzumab emtansine, afatinib, aflibercept, aldesleukin, alemtuzumab, Alendronic acid, alitretinoin, altretamine, amifostine, aminoglutethimide, Hexyl aminolevulinate.amrubicin, amsacrine, anastrozole, ancestim, anethole dithiolethione, angiotensin II, antithrombin III, aprepitant, arcitumomab, arglabin, arsenic trioxide, asparaginase, axitinib, azacitidine, basiliximab, belotecan, bendamustine, belinostat, bevacizumab, bexarotene, bicalutamide, bisantrene, bleomycin, bortezomib; buserelin, bosutinib, brentuximab vedotin, busulfan, cabazitaxel, cabozantinib, calcium folinate calcium levofolinate, capecitabine, capromab, carboplatin, carfilzomib, carmofur, carmustine; catumaxomab, celecoxib, celmoleukin, ceritinib, cetuximab, chlorambucil, chlormadinone; chlormethine, cidofovir, cinacalcet, cisplatin, cladribine, clodronic acid, clofarabine, copanlisib crisantaspase, cyclophosphamide, cyproterone, cytarabine, dacarbazine, dactinomycin darbepoetin alfa, dabrafenib, dasatinib, daunorubicin, decitabine, degarelix, denileukin diftitox denosumab, depreotide, deslorelin, dexrazoxane, dibrospidium chloride, dianhydrogalactitol diclofenac, docetaxel, dolasetron, doxifluridine, doxorubicin, doxorubicin + estrone, dronabinol eculizumab, edrecolomab, elliptinium acetate, eltrombopag, endostatin, enocitabine enzalutamide, epirubicin, epitiostanol, epoetin alfa, epoetin beta, epoetin zeta, eptaplatin eribulin, erlotinib, esomeprazole, estradiol, estramustine, etoposide, everolimus, exemestane fadrozole, fentanyl, filgrastim, fluoxymesterone, floxuridine, fludarabine, fluorouracil, flutamide folinic acid, formestane, fosaprepitant, fotemustine, fulvestrant, gadobutrol, gadoteridol gadoteric acid meglumine, gadoversetamide, gadoxetic acid, gallium nitrate, ganirelix, gefitinib gemcitabine, gemtuzumab, Glucarpidase, glutoxim, GM-CSF, goserelin, granisetron granulocyte colony stimulating factor, histamine dihydrochloride, histrelin, hydroxycarbamide, I- 125 seeds, lansoprazole, ibandronic acid, ibritumomab tiuxetan, ibrutinib, idarubicin, ifosfamide imatinib, imiquimod, improsulfan, indisetron, incadronic acid, ingenol mebutate, interferon alfa interferon beta, interferon gamma, iobitridol, iobenguane (1231), iomeprol, ipilimumab, irinotecan; Itraconazole, ixabepilone, lanreotide, lapatinib, lasocholine, lenalidomide, lenograstim, lentinan letrozole, leuprorelin, levamisole, levonorgestrel, levothyroxine sodium, lisuride, lobaplatin, lomustine, lonidamine, masoprocol, medroxyprogesterone, megestrol, melarsoprol, melphalan mepitiostane, mercaptopurine, mesna, methadone, methotrexate, methoxsalen; methylaminolevulinate, methylprednisolone, methyltestosterone, metirosine, mifamurtide miltefosine, miriplatin, mitobronitol, mitoguazone, mitolactol, mitomycin, mitotane, mitoxantrone; mogamulizumab, molgramostim, mopidamol, morphine hydrochloride, morphine sulfate nabilone, nabiximols, nafarelin, naloxone + pentazocine, naltrexone, nartograstim, nedaplatin nelarabine, neridronic acid, nivolumabpentetreotide, nilotinib, nilutamide, nimorazole nimotuzumab, nimustine, nitracrine, nivolumab, obinutuzumab, octreotide, ofatumumab omacetaxine mepesuccinate, omeprazole, ondansetron, oprelvekin, orgotein, orilotimod oxaliplatin, oxycodone, oxymetholone, ozogamicine, p53 gene therapy, paclitaxel, palifermin palladium-103 seed, palonosetron, pamidronic acid, panitumumab, pantoprazole, pazopanib pegaspargase, PEG-epoetin beta (methoxy PEG-epoetin beta), pembrolizumab, pegfilgrastinr peginterferon alfa-2b, pemetrexed, pentazocine, pentostatin, peplomycin, Perflubutane; perfosfamide, Pertuzumab, picibanil, pilocarpine, pirarubicin, pixantrone, plerixafor, plicamycin, poliglusam, polyestradiol phosphate, polyvinylpyrrolidone + sodium hyaluronate, polysaccharide- K, pomalidomide, ponatinib, porfimer sodium, pralatrexate, prednimustine, prednisone, procarbazine, procodazole, propranolol, quinagolide, rabeprazole, racotumomab, radium-223 chloride, radotinib, raloxifene, raltitrexed, ramosetron, ramucirumab, ranimustine, rasburicase, razoxane, refametinib , regorafenib, risedronic acid, rhenium-186 etidronate, rituximab, romidepsin, romiplostim, romurtide, roniciclib , samarium (153Sm) lexidronam, sargramostim, satumomab, secretin, sipuleucel-T, sizofiran, sobuzoxane, sodium glycididazole, sorafenib, stanozolol, streptozocin, sunitinib, talaporfin, tamibarotene, tamoxifen, tapentadol, tasonermin, teceleukin, technetium (99mTc) nofetumomab merpentan, 99mTc-HYNIC-[Tyr3]-octreotide, tegafur, tegafur + gimeracil + oteracil, temoporfin, temozolomide, temsirolimus, teniposide, testosterone, tetrofosmin, thalidomide, thiotepa, thymalfasin, thyrotropin alfa, tioguanine, tocilizumab, topotecan, toremifene, tositumomab, trabectedin, tramadol, trastuzumab, trastuzumab emtansine, treosulfan, tretinoin, trifluridine + tipiracil, trilostane, triptorelin, trametinib, trofosfamide, thrombopoietin, tryptophan, ubenimex, valatinib , valrubicin, vandetanib, vapreotide, vemurafenib, vinblastine, vincristine, vindesine, vinflunine, vinorelbine, vismodegib, vorinostat, vorozole, yttrium-90 glass microspheres, zinostatin, zinostatin stimalamer, zoledronic acid, zorubicin. It has now been found, and this constitutes the basis of the present invention, that said compounds of the present invention have surprising and advantageous properties.
In particular, said compounds of the present invention have surprisingly been found to effectively inhibit NAMPT and may therefore be used for the treatment or prophylaxis of diseases of uncontrolled cell growth, proliferation and/or survival, inappropriate cellular immune responses, or inappropriate cellular inflammatory responses or diseases which are accompanied with uncontrolled cell growth, proliferation and/or survival, inappropriate cellular immune responses, or inappropriate cellular inflammatory responses, particularly in which the uncontrolled cell growth, proliferation and/or survival, inappropriate cellular immune responses, or inappropriate cellular inflammatory responses is mediated by NAMPT, such as, for example, haematological tumours, solid tumours, and/or metastases thereof, e.g. leukaemias and myelodysplastic syndrome, malignant lymphomas, head and neck tumours including brain tumours and brain metastases, tumours of the thorax including non-small cell and small cell lung tumours, gastrointestinal tumours, endocrine tumours, mammary and other gynaecological tumours, urological tumours including renal, bladder and prostate tumours, skin tumours, and sarcomas, and/or metastases thereof. Furthermore, it has been surprisingly found that the compounds of the invention are selective inhibitors against NAMPT in the sense that their inhibitory activity over ROCK2 kinase is lower or inexistent compared to compounds of WO2012067965, as demonstrated in the Experimental part below. The compounds of the invention may thus advantageously be used for the treatment of the herein described NAMPT mediated disorders where (significant) ROCK2 inhibition is not necessary or not desirable (e.g. should significant ROCK2 inhibition produce undesired (side) effects) for the therapeutic effect/benefit to be achieved. The intermediates used for the synthesis of the compounds of claims 1 to 6 as described below, as well as their use for the synthesis of the compounds of claims 1 to 6, are one further aspect of the present invention. Preferred intermediates are the Intermediate Examples as disclosed below.
General Procedures
The compounds according to the invention can be prepared according to the following schemes 1 through 12.
The schemes and procedures described below illustrate synthetic routes to the compounds of formula (I) or (II) of the invention and are not intended to be limiting. It is obvious to the person skilled in the art that the order of transformations as exemplified in the Schemes can be modified in various ways. The order of transformations exemplified in the Schemes is therefore not intended to be limiting. In addition, interconversion of any of the substituents, R\ R2, R3, R4, R5, R6, R7, R8, R9, R0, R11 , R2, R3, R4, A, B, C, D, V, W, Y or Z can be achieved before and/or after the exemplified transformations. These modifications can be such as the introduction of protecting groups, cleavage of protecting groups, reduction or oxidation of functional groups, halogenation, metallation, substitution or other reactions known to the person skilled in the art. These transformations include those which introduce a functionality which allows for further interconversion of substituents. Appropriate protecting groups and their introduction and cleavage are well-known to the person skilled in the art (see for example T.W. Greene and P.G.M. Wuts in Protective Groups in Organic Synthesis, 3rd edition, Wiley 1999). Specific examples are described in the subsequent paragraphs.
The racemic and chiral synthesis of dihydropyridazinones is described in the following representative patents and journals: WO201 1 138427; US4666902; US20080027041 ; EP185964; EP196005; EP175363; EP240026; EP400519; EP344634; DE10010423; WO2001064652; DE10010426; DE10010430; DE2304977; Chem. Pharm. Bull. 46(1 ), 84-96 (1998); J. Med. Chem. 39, 297-303 (1996); J. Med. Chem. 50, 3242-3255 (2007); Bioorganic & Medicinal Chemistry Letters 21 , 5493-5497 (201 1 ).
One route for the preparation of compounds of formula (I) is described in Scheme 1.
Scheme 1
Scheme 1 : Route for the preparation of compounds of formula (I), wherein R , R2, A, B, C, D, n, m, V, W, Y and Z have the meaning as given for general formula (I), supra. X represents a leaving group such as for example a CI or Br atom, and X1 represents a leaving group such as for example a CI, Br or I, or an aryl sulfonate such as for example p-toluene sulfonate, or a alkyl sulfonate such as for example methane sulfonate or trifluoromethane sulfonate (triflate group). U represents a leaving group such as, for example, a haloalkyl such as, for example, trichloromethyl or a imid such as, for example, pyrrolidine-2,5-dione.
PG represents an amine protecting group as for example an acetyl group.
In addition, interconversion of any of the substituents R\ R2, L , A, B, C, D, V, W, Y and Z can be achieved before and/or after the exemplified transformations. These modifications can be such as the introduction of protecting groups, cleavage of protecting groups, reduction or oxidation of functional groups, halogenation, metallation, substitution or other reactions known to the person skilled in the art. These transformations include those which introduce a functionality which allows for further interconversion of substituents. Appropriate protecting groups and their introduction and cleavage are well-known to the person skilled in the art (see for example T.W. Greene and P.G.M. Wuts in Protective Groups in Organic Synthesis, 3rd edition, Wiley 1999). Specific examples are described in the subsequent paragraphs.
Compounds 1-1 , 1-2, 1 -4, 1 -7, 1-9 and 1 -1 1 are either commercially available or can be prepared according to procedures available from the public domain, as understandable to the person skilled in the art. Specific examples are described in the subsequent paragraphs. A suitably substituted aromatic amine of general formula (1 -1 ), such as, for example, N- phenylacetamide, can be reacted with a suitable substituted acid chloride (1-2), such as, for example, 2-chloropropanoyl chloride, in the presence of a Lewis acid, such as, for example, aluminium trichloride, in a suitable solvent system, such as, for example, dichloromethane, at temperatures ranging from - 20°C to boiling point of the respective solvent, preferably the reaction is carried out at 0°C, to furnish intermediates of general formula (1 -3).
Intermediates of general formula (1-3) can be converted to intermediates of general formula (1- 5) by reaction with a suitably alkyl malonate of the general formula (1-4), such as, for example, dimethyl malonate, in the presence of a suitable base, such as, for example sodium hydride, in a suitable solvent system, such as, for example, DMF, in a temperature range from - 20°C to the boiling point of the respective solvent, preferably the reaction is carried out at 0°C. Intermediates of general formula (1-5) can be reacted with a suitable Broensted acid, such as, for example, hydrochloric acid or sulphuric acid, at temperatures ranging from 0°C to boiling point of the respective Broensted acid, preferably the reaction is carried out at 100°C, to furnish intermediates of general formula (1-6).
Intermediates of general formula (1-6) can be converted to intermediates of general formula (1- 8) by reaction with a suitably hydrazine of the general formula (1 -7), such as, for example, methylhydrazine, in a suitable solvent system, such as, for example, propan-1-ol, in a temperature range from - 20°C to the boiling point of the respective solvent, preferably the reaction is carried out at 80°C.
Intermediates of general formula (1-8) are treated with a carbonate of general formula (1 -9), such as, for example, 1 , 1 '-[carbonylbis(oxy)]dipyrrolidine-2,5-dione, in the presence of a suitable base, such as for example, N,N-dimethylpyridin-4-amine, in a suitable solvent system, such as, for example, DMF, at a temperature between 0°C and the boiling point of the respective solvent, preferably the reaction is carried out at room temperature to form the desired intermediate of general formula(1 -10). Intermediates of general formula (1 -10) can be converted to compounds of formula (I) by reaction with a suitably substituted amine of the general formula (1 -1 1 ), such as, for example, 1- (pyridin-3-yl)piperazine, in the presence of a suitable base, such as, for example triethylamine, in a suitable solvent system, such as, for example, DMF, in a temperature range from 0°C to the boiling point of the respective solvent, preferably the reaction is carried out at room temperature.
An alternative route for the preparation of compounds of formula (I) is described in Scheme 2.
Scheme 2
1 -10 (I)
Scheme 2: Route for the preparation of compounds of formula (I), wherein R\ R2, A, B, C, D, n, m, V, W, Y and Z have the meaning as given for general formula (I), supra. L represents a leaving group such as for example a halo alkyl such for example trichloromethyl or a imid such as, for example pyrrolidine-2,5-dione.
PG represents an amine protecting group such as, for example, an acetyl group.
In addition, interconversion of any of the substituents R\ R2, A, B, C, D, V, W, Y and Z can be achieved before and/or after the exemplified transformations. These modifications can be such as the introduction of protecting groups, cleavage of protecting groups, reduction or oxidation of functional groups, halogenation, metallation, substitution or other reactions known to the person skilled in the art. These transformations include those which introduce a functionality which allows for further interconversion of substituents. Appropriate protecting groups and their introduction and cleavage are well-known to the person skilled in the art (see for example T.W. Greene and P.G.M. Wuts in Protective Groups in Organic Synthesis, 3rd edition, Wiley 1999). Specific examples are described in the subsequent paragraphs.
Compounds 1-1 , 1-7, 1-9, 1-1 1 , and 1-12 are either commercially available or can be prepared according to procedures available from the public domain, as understandable to the person skilled in the art. Specific examples are described in the subsequent paragraphs.
A suitably substituted aromatic amine of general formula (1 -1 ), such as, for example, N- phenylacetamide, can be reacted with a suitable substituted dihydrofuran-2,5-dione (1 -12), such as, for example, 3-methyldihydrofuran-2,5-dione, in the presence of a Lewis acid, such as, for example, aluminium trichloride, in a suitable solvent system, such as, for example, DMF, at temperatures ranging from - 20°C to boiling point of the respective solvent, preferably the reaction is carried out at 0°C, to furnish intermediates of general formula (1 -13).
Intermediates of general formula (1 -13) can be converted to intermediates of general formula (1- 14) by reaction with a suitably substituted hydrazine of the general formula (1-7), such as, for example, methylhydrazine, in a suitable solvent system, such as, for example, propan-1-ol, in a temperature range from - 20°C to the boiling point of the respective solvent, preferably the reaction is carried out at 0°C.
Intermediates of general formula (1-14) can be reacted with a suitable Broensted acid, such as, for example, hydrochloric acid or sulphuric acid, at temperatures ranging from 0°C to boiling point of the respective Broensted acid, preferably the reaction is carried out at 100°C, to furnish intermediates of general formula (1-8).
Intermediates of general formula (1-8) are treated with a carbonate of general formula (1 -9), such as, for example, 1 , 1 '-[carbonylbis(oxy)]dipyrrolidine-2,5-dione, in the presence of a suitable base, such as for example, N,N-dimethylpyridin-4-amine, in a suitable solvent system, such as, for example, DMF, at a temperature between 0°C and the boiling point of the respective solvent, preferably the reaction is carried out at room temperature to form the desired intermediate of general formula(1 -10).
Intermediates of general formula (1 -10) can be converted to compounds of formula (I) by reaction with a suitably substituted amine of the general formula (1 -1 1 ), such as, for example, 1- (pyridin-3-yl)piperazine, in the presence of a suitable base, such as, for example triethylamine, in a suitable solvent system, such as, for example, DMF, in a temperature range from 0°C to the boiling point of the respective solvent, preferably the reaction is carried out at room temperature.
A route for the preparation of compounds of formula (1 -8) is described in Scheme 3.
Scheme 3
Scheme 3: Route for the preparation of compounds of formula (1 -8), wherein R\ R
2, V, W, Y and Z have the meaning as given for general formula (I), supra.
X2 represents a leaving group such as for example a CI, Br or I atom.
In addition, interconversion of any of the substituents R\ R2, V, W, Y and Z can be achieved before and/or after the exemplified transformations. These modifications can be such as the introduction of protecting groups, cleavage of protecting groups, reduction or oxidation of functional groups, halogenation, metallation, substitution or other reactions known to the person skilled in the art. These transformations include those which introduce a functionality which allows for further interconversion of substituents. Appropriate protecting groups and their introduction and cleavage are well-known to the person skilled in the art (see for example T.W. Greene and P.G.M. Wuts in Protective Groups in Organic Synthesis, 3rd edition, Wiley 1999). Specific examples are described in the subsequent paragraphs.
Compounds 1-1 , 1-2, 1-4, 1 -7, and 1 -20 are either commercially available or can be prepared according to procedures available from the public domain, as understandable to the person skilled in the art. Specific examples are described in the subsequent paragraphs.
A suitably substituted aromatic halide of general formula (1 -15), such as, for example, N- bromobenzene, can be reacted with a suitable substituted acid chloride (1 -2), such as, for example, 2-chloropropanoyl chloride, in the presence of a Lewis acid, such as, for example, aluminium trichloride, in a suitable solvent system, such as, for example, dichloromethane, at temperatures ranging from - 20°C to boiling point of the respective solvent, preferably the reaction is carried out at 0°C, to furnish intermediates of general formula (1 -16).
Intermediates of general formula (1 -16) can be converted to intermediates of general formula (1 - 17) by reaction with a suitably alkyl malonate of the general formula (1 -4), such as, for example, dimethyl malonate, in the presence of a suitable base, such as, for example sodium hydride, in a suitable solvent system, such as, for example, DMF, in a temperature range from - 20°C to the boiling point of the respective solvent, preferably the reaction is carried out at 0°C.
Intermediates of general formula (1-17) can be reacted with a suitable Broensted acid, such as, for example, hydrochloric acid or sulphuric acid, at temperatures ranging from 0°C to boiling point of the respective Broensted acid, preferably the reaction is carried out at 100°C, to furnish intermediates of general formula (1-18). Intermediates of general formula (1 -18) can be converted to intermediates of general formula (1 - 19) by reaction with a suitably hydrazine of the general formula (1 -7), such as, for example, methylhydrazine, in a suitable solvent system, such as, for example, propan-1-ol, in a temperature range from - 20°C to the boiling point of the respective solvent, preferably the reaction is carried out at 80°C.
Intermediates of general formula (1 -19) can be reacted with a suitable substituted carbamate, such as, for example tert-butyl carbamate (1-20), in the presence of a suitable base, such as, for example caesium carbonate, and a suitable palladium catalyst, such as for example bis(dibenzylideneacetone)-palladium(0), in the presence of a suitable ligand, such as for example 9(9,9-dimethyl-9H-xanthene-4,5-diyl)bis(diphenylphosphine), in a suitable solvent system, such as, for example, 1 ,4-dioxane, in a temperature range from room temperature to the boiling point of the respective solvent, preferably the reaction is carried out at at 1 10°C to furnish compounds of formula (1 -21 ). Alternatively the following palladium catalysts can be used: allylpalladium chloride dimmer, dichlorobis(benzonitrile)palladium (II), palladium (II) acetate, palladium (II) chloride, tetrakis(triphenylphosphine)palladium (0), tris(dibenzylideneacetone)dipalladium (0), chloro(2'-amino-1 ,1 '-biphenyl-2-yl)palladium(ll) dimer, (2'-amino-1 ,1 '-biphenyl-2-yl)methanesulfonatopalladium(ll) dimer, trans-di^-acetato)bis[o-(di-o- tolylphosphino)benzyl]dipalladium(ll) [cataCXium® C], allylchloro[1 ,3-bis(2,4,6- trimethylphenyl)imidazol-2-ylidene]palladium(ll), allylchloro[1 ,3-bis(2,6- diisopropylphenyl)imidazol-2-ylidene]palladium(ll), chloro[(1 ,3-dimesitylimidazol-[1 ,3-bis(2,4,6- trimethylphenyl)-1 ,3-dihydro-2H-imidazol-2-ylidene](chloro){2-
[(dimethylamino)methyl]phenyl}palladium, chloro[(1 ,2,3-N)-3-phenyl-2-propenyl][1 ,3-bis(2,6-di- iso-propylphenyl)imidazol-2-ylidene]palladium(ll), [2-(acetylamino)phenyl]{1 ,3-bis[2,6-di(propan- 2-yl)phenyl]-1 ,3-dihydro-2H-imidazol-2-ylidene}chloropalladium, {1 ,3-bis[2,6-di(propan-2- yl)phenyl]-1 ,3-dihydro-2H-imidazol-2-ylidene}(chloro){2-[(dimethylamino)methyl]phenyl} palladium, {1 ,3-bis[2,6-di(propan-2-yl)phenyl]-2,3-dihydro-1 H-imidazol-2-yl}(dichloro)(3- chloropyridine-kappaN)palladium, [1 ,3-bis(2,6-diisopropylphenyl) imidazol-2-ylidene](3- chloropyridyl)palladium(ll) dichloride, [2-(acetylamino)-4-methoxyphenyl]{1 ,3-bis[2,6-di(propan-2- yl)phenyl]-1 ,3-dihydro-2H-imidazol-2-ylidene}chloropalladium, {1 ,3-bis[2,6-di(propan-2- yl)phenyl]-1 ,3-dihydro-2H-imidazol-2-ylidene}(chloro){2-[(dimethylamino)methyl]-3,5- dimethoxyphenyl}palladium, dichloro[1 ,3-bis(2,6-di-3-pentylphenyl)imidazol-2-ylidene](3- chloropyridyl)palladium(ll), dichloro(di^-chloro)bis[1 ,3-bis(2,6-di-iso-propylphenyl)imidazol-2- ylidene]dipalladium(ll), 2-(2'-di-tert-butylphosphine)biphenylpalladium(ll) acetate, chloro[dicyclohexyl(2\6'-dimethoxybiphenyl-2-yl)-lambda5-phosphanyl][2-(phenyl- kappaC2)ethanaminato-kappaN]palladium, [2-(2-aminoethyl)phenyl](chloro)palladium - di-tert- butyl[2',4',6'-tri(propan-2-yl)biphenyl-2-yl]phosphane, {dicyclohexyl[2',4',6'-tri(propan-2- yl)biphenyl-2-yl]phosphane}{2-[2-(methylazanidyl-kappaN)ethyl]phenyl-kappaC1}palladium, chloro(2-dicyclohexylphosphino-2',6'-dimethoxy-1 ,1 '-biphenyl)(2'-amino-1 ,1 -biphenyl-2-yl) palladium(ll), [2',6'-bis(propan-2-yloxy)biphenyl-2-yl](dicyclohexyl)phosphane - [2-(2- aminoethyl)phenyl](chloro)palladium, [2-(2-aminoethyl)phenyl](chloro){dicyclohexyl[2',4',6'- tri(propan-2-yl)biphenyl-2-yl]-lambda5-phosphanylidene}palladium, 2'-(dicyclohexylphosphanyl)- N,N,N',N'-tetramethylbiphenyl-2,6-diamine - (2'-aminobiphenyl-2-yl)(chloro)palladium, chloro(2- dicyclohexylphosphino-2',6'-di-iso-propoxy-1 , 1 '-biphenyl)(2-amino-1 , 1 '-biphenyl-2- yl)palladium(ll), [2'-(azanidyl-kappaN)biphenyl-2-yl-kappaC2](chloro){dicyclohexyl[2',4',6'- tri(propan-2-yl)biphenyl-2-yl]-lambda5-phosphanyl}palladium, (2'-aminobiphenyl-2- yl)(methanesulfonato-kappaO)palladium - di-tert-butyl[2',4',6'-tri(propan-2-yl)biphenyl-2- yl]phosphane, (2'-aminobiphenyl-2-yl)palladium(1 +) methanesulfonate - di-tert-butyl[2',4',6'- tri(propan-2-yl)biphenyl-2-yl]phosphane, dicyclohexyl[3,6-dimethoxy-2',4',6'-tri(propan-2- yl)biphenyl-2-yl]phosphane - [2-(2-aminoethyl)phenyl](chloro)palladium, (2'-aminobiphenyl-2- yl)palladium(1 +) methanesulfonate - 2'-(dicyclohexylphosphanyl)-N,N,N',N'-tetramethylbiphenyl- 2,6-diamine, sodium 2'-(dicyclohexylphosphanyl)-2,6-dimethoxybiphenyl-3-sulfonate - (2'- aminobiphenyl-2-yl)(chloro)palladium, chloro(2-dicyclohexylphosphino-2',4',6'-tri-iso-propyl-1 , 1 '- biphenyl)[2-(2-aminoethyl)phenyl]palladium(ll), (2'-aminobiphenyl-2-yl)(methanesulfonato- kappaO)palladium - [2',6'-bis(propan-2-yloxy)biphenyl-2-yl](dicyclohexyl)phosphane, (2'- aminobiphenyl-2-yl)(methanesulfonato-kappaO)palladium - dicyclohexyl[2',4',6'-tri(propan-2- yl)biphenyl-2-yl]phosphane, (2'-aminobiphenyl-2-yl)palladium(1 +) methanesulfonate dicyclohexyl[2',4',6'-tri(propan-2-yl)biphenyl-2-yl]phosphane, dicyclohexyl[3,6-dimethoxy-2',4',6'- tri(propan-2-yl)biphenyl-2-yl]phosphane - (2'-aminobiphenyl-2-yl)(chloro)palladium, (2'- aminobiphenyl-2-yl)(methanesulfonato-kappaO)palladium - di-tert-butyl[3,6-dimethoxy-2',4',6'- tri(propan-2-yl)biphenyl-2-yl]phosphane, (2'-aminobiphenyl-2-yl)(methanesulfonato- kappaO)palladium - dicyclohexyl[3,6-dimethoxy-2',4',6'-tri(propan-2-yl)biphenyl-2-yl]phosphane or the following ligands: racemic-2,2'-bis(diphenylphosphino)-1 ,1 '-binaphthyl, rac-BINAP, 1 ,1 '-bis(diphenyl- phosphino)ferrocene, bis(2-diphenylphosphinophenyl)ether, di-tert-butylmethylphosphonium tetrafluoroborate, 2-(di-tert-butylphosphino)biphenyl, tri-tert-butylphosphonium tetrafluoroborate, tri-2-furylphosphine, tris(2,4-di-tert-butylphenyl)phosphite, tri-o-tolylphosphine, (9,9-dimethyl-9H- xanthene-4,5-diyl)bis(diphenylphosphine), dicyclohexyl(2',4',6'-triisopropyl-3,6- dimethoxybiphenyl-2-yl)phosphine, di-tert-butyl (2',4',6'-triisopropyl-3,6-dimethoxybiphenyl-2- yl)phosphine, di-tert-butyl(2',4',6'-triiso propylbiphenyl-2-yl)phosphine, dicyclohexyl(2',4',6'- triisopropylbiphenyl-2-yl) phosphine, di-tert-butyl(2',4',6'-triisopropyl-3-methoxy-6- methylbiphenyl-2-yl)phos-phine, di-tert-butyl(2',4',6'-triisopropyl-3,4,5,6-tetramethylbiphenyl-2-yl) phosphine, adamantan-1-yl(adamantan-2-yl)(2',4',6'-triisopropyl-3,6-dimethoxybiphenyl-2-yl) phosphine, dicyclohexyl(2',6'-dimethoxybiphenyl-2-yl)phosphine, dicyclohexyl(2',6'- diisopropoxybiphenyl-2-yl)phosphine, 2'-(dicyclohexylphosphino)-N,N-dimethyl-biphenyl-2- amine, 2'-(di-tert-butylphosphino)-N,N-dimethylbiphenyl-2-amine, 2'-(di-phenylphosphino)- N,N,N',N'-tetramethylbiphenyl-2,6-diamine, di-tert-butyl(2',4',6'-tricyclohexyl-3,6- dimethoxybiphenyl-2-yl)phosphine, bis[3,5-bis(trifluoromethyl)phe-nyl] (2',4',6'-triisopropyl-3,6- dimethoxybiphenyl-2-yl)phosphine, biphenyl-2-yl(di-tert-butyl)phosphine, dicyclohexyl(2'- methylbiphenyl-2-yl)phosphine, biphenyl-2-yl (dicyclohexyl)phosphine, 2'-
(dicyclohexylphosphino)-N,N-dimethylbiphenyl-2-amine, 2'-(dicyclohexylphosphino)-N,N,N',N'- tetramethylbiphenyl-2,6-diamine, sodium 2'-(dicyclohexylphosphino)-2,6-diisopropylbiphenyl-4- sulfonate, sodium 2'-(dicyclohexylphosphino)-2,6-dimethoxybiphenyl-3-sulfonate, 1 , 1 '- binaphthalen-2-yl(di-tert-butyl)phosphine.
Intermediates of general formula (1 -21 ) can be converted to intermediates of general formula (1 - 8) by reaction with suitable Broensted acid, such as, for example trifluoroactic acid, in a suitable solvent system, such as, for example, dichloromethane, in a temperature range from - 20°C to the boiling point of the respective solvent, preferably the reaction is carried out at room temperature.
A route for the preparation of compounds of formula (1 -8) is described in Scheme 4.
Scheme 4: Route for the preparation of compounds of formula (1 -8), wherein R\ R2, V, W, Y and Z have the meaning as given for general formula (I), supra.
X2 represents a leaving group such as for example a CI or Br atom or an aryl sulfonate such as for example p-toluene sulfonate, or a alkyl sulfonate such as for example methane sulfonate or trifluoromethane sulfonate (triflate group).
PG represents an amine protecting group, such as, for example, an acetyl group.
In addition, interconversion of any of the substituents R\ R2, V, W, Y and Z can be achieved before and/or after the exemplified transformations. These modifications can be such as the introduction of protecting groups, cleavage of protecting groups, reduction or oxidation of functional groups, halogenation, metallation, substitution or other reactions known to the person skilled in the art. These transformations include those which introduce a functionality which allows for further interconversion of substituents. Appropriate protecting groups and their introduction and cleavage are well-known to the person skilled in the art (see for example T.W. Greene and P.G.M. Wuts in Protective Groups in Organic Synthesis, 3rd edition, Wiley 1999). Specific examples are described in the subsequent paragraphs.
Compounds 1-7, 1-22, and 1-23 are either commercially available or can be prepared according to procedures available from the public domain, as understandable to the person skilled in the art. Specific examples are described in the subsequent paragraphs. A suitably substituted aromatic ketone of general formula (1 -22), such as, for example, N-(4- propionylphenyl)acetamide, can be reacted with a suitable substituted intermediate of general formula (1 -23), such as, for example, ethyl bromoacetate, in the presence of a suitable base, such as, for example, lithium 1 , 1 ,1 ,3,3,3-hexamethyldisilazan-2-ide, in a suitable solvent system, such as, for example, THF, at temperatures ranging from - 100°C to boiling point of the respective solvent, preferably the reaction is carried out at - 78°C, to furnish intermediates of general formula (1-24).
Intermediates of general formula (1 -24) can be converted to intermediates of general formula (1 - 14) by reaction with a suitably hydrazine of the general formula (1 -7), such as, for example, methylhydrazine, in a suitable solvent system, such as, for example, propan-1-ol, in a temperature range from - 20°C to the boiling point of the respective solvent, preferably the reaction is carried out at 0°C. Intermediates of general formula (1-14) can be reacted with a suitable Broensted acid, such as, for example, hydrochloric acid or sulphuric acid, at temperatures ranging from 0°C to boiling point of the respective Broensted acid, preferably the reaction is carried out at 100°C, to furnish intermediates of general formula (1-8). A route for the preparation of compounds of formula (1 -26) is described in Scheme 5.
Scheme 5
1 -11 1 -26 Scheme 5: Route for the preparation of compounds of formula (1-26), wherein n, m, A, B, C and D have the meaning as given for general formula (I), supra. L2 represents a group such as, for example, a H, CI or Br atom or an nitro group.
In addition, interconversion of any of the substituents A, B, C and D can be achieved before and/or after the exemplified transformations. These modifications can be such as the introduction of protecting groups, cleavage of protecting groups, reduction or oxidation of functional groups, halogenation, metallation, substitution or other reactions known to the person skilled in the art. These transformations include those which introduce a functionality which allows for further interconversion of substituents. Appropriate protecting groups and their introduction and cleavage are well-known to the person skilled in the art (see for example T.W. Greene and P.G.M. Wuts in Protective Groups in Organic Synthesis, 3rd edition, Wiley 1999). Specific examples are described in the subsequent paragraphs.
Compounds 1-1 1 and 1-25 are either commercially available or can be prepared according to procedures available from the public domain, as understandable to the person skilled in the art. Specific examples are described in the subsequent paragraphs.
Intermediates of general formula (1-1 1 ) can be converted to intermediates of general formula (1 - 26) by reaction with a suitable substituted carbamate of the general formula (1-25), such as, for example, 4-nitrophenyl carbamate, in a suitable solvent system, such as, for example, ethanol, in a temperature range from - 20°C to the boiling point of the respective solvent, preferably the reaction is carried out at 79°C. An alternative route for the preparation of compounds of formula (I) is described in Scheme 6.
Scheme 6
Scheme 6: Route for the preparation of compounds of formula (I), wherein R\ R2, A, B, C, D, n , m, V, W, Y and Z have the meaning as given for general formula (I), supra. X2 represents a leaving group such as for example a CI, Br or I atom or an aryl sulfonate such as for example p-toluene sulfonate, or a alkyl sulfonate such as for example methane sulfonate or trifluoromethane sulfonate (triflate group).
In addition, interconversion of any of the substituents R\ R2, A, B, C, D, V, W, Y and Z can be achieved before and/or after the exemplified transformations. These modifications can be such as the introduction of protecting groups, cleavage of protecting groups, reduction or oxidation of functional groups, halogenation, metallation, substitution or other reactions known to the person skilled in the art. These transformations include those which introduce a functionality which allows for further interconversion of substituents. Appropriate protecting groups and their introduction and cleavage are well-known to the person skilled in the art (see for example T.W. Greene and P.G.M. Wuts in Protective Groups in Organic Synthesis, 3rd edition, Wiley 1999). Specific examples are described in the subsequent paragraphs.
Intermediates of general formula (1-19) can be reacted with a suitable urea of the general formula (1 -26), such as, for example 4-(pyridin-3-yl)piperazine-1 -carboxamide, in the presence of a suitable base, such as, for example caesium carbonate, and a suitable palladium catalyst, such as for example bis(dibenzylideneacetone)-palladium(0), in the presence of a suitable ligand, such as for example 9(9,9-dimethyl-9H-xanthene-4,5-diyl)bis(diphenylphosphine), in a suitable solvent system, such as, for example, 1 ,4-dioxane, in a temperature range from room temperature to the boiling point of the respective solvent, preferably the reaction is carried out at at 1 10°C to furnish compounds of formula (I). Alternatively the following palladium catalysts can be used: allylpalladium chloride dimmer, dichlorobis(benzonitrile)palladium (II), palladium (II) acetate, palladium (II) chloride, tetrakis(triphenylphosphine)palladium (0), tris(dibenzylideneacetone)dipalladium (0), chloro(2'-amino-1 ,1 '-biphenyl-2-yl)palladium(ll) dimer, (2'-amino-1 ,1 '-biphenyl-2-yl)methanesulfonatopalladium(ll) dimer, trans-di^-acetato)bis[o-(di-o- tolylphosphino)benzyl]dipalladium(ll) [cataCXium® C], allylchloro[1 ,3-bis(2,4,6- trimethylphenyl)imidazol-2-ylidene]palladium(ll), allylchloro[1 ,3-bis(2,6- diisopropylphenyl)imidazol-2-ylidene]palladium(ll), chloro[(1 ,3-dimesitylimidazol-[1 ,3-bis(2,4,6- trimethylphenyl)-1 ,3-dihydro-2H-imidazol-2-ylidene](chloro){2- [(dimethylamino)methyl]phenyl}palladium, chloro[(1 ,2,3-N)-3-phenyl-2-propenyl][1 ,3-bis(2,6-di- iso-propylphenyl)imidazol-2-ylidene]palladium(ll), [2-(acetylamino)phenyl]{1 ,3-bis[2,6-di(propan- 2-yl)phenyl]-1 ,3-dihydro-2H-imidazol-2-ylidene}chloropalladium, {1 ,3-bis[2,6-di(propan-2- yl)phenyl]-1 ,3-dihydro-2H-imidazol-2-ylidene}(chloro){2-[(dimethylamino)methyl]phenyl} palladium, {1 ,3-bis[2,6-di(propan-2-yl)phenyl]-2,3-dihydro-1 H-imidazol-2-yl}(dichloro)(3- chloropyridine-kappaN)palladium, [1 ,3-bis(2,6-diisopropylphenyl) imidazol-2-ylidene](3- chloropyridyl)palladium(ll) dichloride, [2-(acetylamino)-4-methoxyphenyl]{1 ,3-bis[2,6-di(propan-2- yl)phenyl]-1 ,3-dihydro-2H-imidazol-2-ylidene}chloropalladium, {1 ,3-bis[2,6-di(propan-2- yl)phenyl]-1 ,3-dihydro-2H-imidazol-2-ylidene}(chloro){2-[(dimethylamino)m
dimethoxyphenyl}palladium, dichloro[1 ,3-bis(2,6-di-3-pentylphenyl)imidazol-2-ylidene](3- chloropyridyl)palladium(ll), dichloro(di-p-chloro)bis[1 ,3-bis(2,6-di-iso-propylphenyl)imidazol-2- ylidene]dipalladium(ll), 2-(2'-di-tert-butylphosphine)biphenylpalladium(ll) acetate, chloro[dicyclohexyl(2\6'-dimethoxybiphenyl-2-yl)-lam
kappaC2)ethanaminato-kappaN]palladium, [2-(2-aminoethyl)phenyl](chloro)palladium - di-tert- butyl[2',4',6'-tri(propan-2-yl)biphenyl-2-yl]phosphane, {dicyclohexyl[2',4',6'-tri(propan-2- yl)biphenyl-2-yl]phosphane}{2-[2-(methylazanidyl-kappaN)ethyl]phenyl-kappaC1}palladi chloro(2-dicyclohexylphosphino-2\6'-dimethoxy-1 ,1 '-biphenyl)(2'-amino-1 ,1 -biphenyl-2-yl) palladium(ll), [2',6'-bis(propan-2-yloxy)biphenyl-2-yl](dicyclohexyl)phosphane - [2-(2- aminoethyl)phenyl](chloro)palladium, [2-(2-aminoethyl)phenyl](chloro){dicyclohexyl[2',4',6'- tri(propan-2-yl)biphenyl-2-yl]-lambda5-phosphanylidene}palladium, 2'-(dicyclohexylphosphanyl)- N,N,N',N'-tetramethylbiphenyl-2,6-diamine - (2'-aminobiphenyl-2-yl)(chloro)palladium, chloro(2- dicyclohexylphosphino-2',6'-di-iso-propoxy-1 , 1 '-biphenyl)(2-amino-1 , 1 '-biphenyl-2- yl)palladium(ll), [2'-(azanidyl-kappaN)biphenyl-2-yl-kappaC2](chloro){dicyclohexyl[2',4',6'- tri(propan-2-yl)biphenyl-2-yl]-lambda5-phosphanyl}palladium, (2'-aminobiphenyl-2- yl)(methanesulfonato-kappaO)palladium - di-tert-butyl[2',4',6'-tri(propan-2-yl)biphenyl-2- yl]phosphane, (2'-aminobiphenyl-2-yl)palladium(1 +) methanesulfonate - di-tert-butyl[2',4',6'- tri(propan-2-yl)biphenyl-2-yl]phosphane, dicyclohexyl[3,6-dimethoxy-2',4',6'-tri(propan-2- yl)biphenyl-2-yl]phosphane - [2-(2-aminoethyl)phenyl](chloro)palladium, (2'-aminobiphenyl-2- yl)palladium(1 +) methanesulfonate - 2'-(dicyclohexylphosphanyl)-N,N,N',N'-tetramethylbiphenyl- 2,6-diamine, sodium 2'-(dicyclohexylphosphanyl)-2,6-dimethoxybiphenyl-3-sulfonate - (2'- aminobiphenyl-2-yl)(chloro)palladium, chloro(2-dicyclohexylphosphino-2',4',6'-tri-iso-propyl-1 , 1 '- biphenyl)[2-(2-aminoethyl)phenyl]palladium(ll), (2'-aminobiphenyl-2-yl)(methanesulfonato- kappaO)palladium - [2',6'-bis(propan-2-yloxy)biphenyl-2-yl](dicyclohexyl)phosphane, (2'- aminobiphenyl-2-yl)(methanesulfonato-kappaO)palladium - dicyclohexyl[2',4',6'-tri(propan-2- yl)biphenyl-2-yl]phosphane, (2'-aminobiphenyl-2-yl)palladium(1 +) methanesulfonate dicyclohexyl[2',4',6'-tri(propan-2-yl)biphenyl-2-yl]phosphane, dicyclohexyl[3,6-dimethoxy-2',4',6'- tri(propan-2-yl)biphenyl-2-yl]phosphane - (2'-aminobiphenyl-2-yl)(chloro)palladium, (2'- aminobiphenyl-2-yl)(methanesulfonato-kappaO)palladium - di-tert-butyl[3,6-dimethoxy-2',4',6'- tri(propan-2-yl)biphenyl-2-yl]phosphane, (2'-aminobiphenyl-2-yl)(methanesulfonato- kappaO)palladium - dicyclohexyl[3,6-dimethoxy-2\4',6'-tri(propan-2-yl)biphenyl-2-yl]phosphane or the following ligands: racemic-2,2'-bis(diphenylphosphino)-1 ,1 '-binaphthyl, rac-BINAP, 1 ,1 '-bis(diphenyl- phosphino)ferrocene, bis(2-diphenylphosphinophenyl)ether, di-tert-butylmethylphosphonium tetrafluoroborate, 2-(di-tert-butylphosphino)biphenyl, tri-tert-butylphosphonium tetrafluoroborate, tri-2-furylphosphine, tris(2,4-di-tert-butylphenyl)phosphite, tri-o-tolylphosphine, (9,9-dimethyl-9H- xanthene-4,5-diyl)bis(diphenylphosphine), dicyclohexyl(2',4',6'-triisopropyl-3,6- dimethoxybiphenyl-2-yl)phosphine, di-tert-butyl (2',4',6'-triisopropyl-3,6-dimethoxybiphenyl-2- yl)phosphine, di-tert-butyl(2',4',6'-triiso propylbiphenyl-2-yl)phosphine, dicyclohexyl(2',4',6'- triisopropylbiphenyl-2-yl) phosphine, di-tert-butyl(2',4',6'-triisopropyl-3-methoxy-6- methylbiphenyl-2-yl)phos-phine, di-tert-butyl(2',4',6'-triisopropyl-3,4,5,6-tetramethylbiphenyl-2-yl) phosphine, adamantan-1-yl(adamantan-2-yl)(2',4',6'-triisopropyl-3,6-dimethoxybiphenyl-2-yl) phosphine, dicyclohexyl(2',6'-dimethoxybiphenyl-2-yl)phosphine, dicyclohexyl(2',6'- diisopropoxybiphenyl-2-yl)phosphine, 2'-(dicyclohexylphosphino)-N,N-dimethyl-biphenyl-2- amine, 2'-(di-tert-butylphosphino)-N,N-dimethylbiphenyl-2-amine, 2'-(di-phenylphosphino)- N,N,N',N'-tetramethylbiphenyl-2,6-diamine, di-tert-butyl(2',4',6'-tricyclohexyl-3,6- dimethoxybiphenyl-2-yl)phosphine, bis[3,5-bis(trifluoromethyl)phe-nyl] (2',4',6'-triisopropyl-3,6- dimethoxybiphenyl-2-yl)phosphine, biphenyl-2-yl(di-tert-butyl)phosphine, dicyclohexyl(2'- methylbiphenyl-2-yl)phosphine, biphenyl-2-yl (dicyclohexyl)phosphine, 2'-
(dicyclohexylphosphino)-N,N-dimethylbiphenyl-2-amine, 2'-(dicyclohexylphosphino)-N,N,N',N'- tetramethylbiphenyl-2,6-diamine, sodium 2'-(dicyclohexylphosphino)-2,6-diisopropylbiphenyl-4- sulfonate, sodium 2'-(dicyclohexylphosphino)-2,6-dimethoxybiphenyl-3-sulfonate, 1 , 1 '- binaphthalen-2-yl(di-tert-butyl)phosphine.
An alternative route for the preparation of compounds of formula (I) is described in Scheme 7.
Scheme 7
Scheme 7: Route for the preparation of compounds of formula (I), wherein R , R2, A, B, C, D, n, m, V, W, Y and Z have the meaning as given for general formula (I), supra.
L2 represents a group such as, for example, a H, CI or Br atom or an nitro group. In addition, interconversion of any of the substituents R\ R2, A, B, C, D, V, W, Y and Z can be achieved before and/or after the exemplified transformations. These modifications can be such as the introduction of protecting groups, cleavage of protecting groups, reduction or oxidation of functional groups, halogenation, metallation, substitution or other reactions known to the person skilled in the art. These transformations include those which introduce a functionality which allows for further interconversion of substituents. Appropriate protecting groups and their introduction and cleavage are well-known to the person skilled in the art (see for example T.W. Greene and P.G.M. Wuts in Protective Groups in Organic Synthesis, 3rd edition, Wiley 1999). Specific examples are described in the subsequent paragraphs.
Compounds 1-1 1 and 1-27 are either commercially available or can be prepared according to procedures available from the public domain, as understandable to the person skilled in the art. Specific examples are described in the subsequent paragraphs. Intermediates of general formula (1-8) can be converted to intermediates of general formula (1- 28) by reaction with a suitably chloroformiate of the general formula (1-27), such as, for example, 4-nitrophenyl carbonochloridate, in the presence of a suitable base, such as, for example, triethylamine, in a suitable solvent system, such as, for example, toluene, in a temperature range from - 20°C to the boiling point of the respective solvent, preferably the reaction is carried out at room temperature.
Intermediates of general formula (1 -28) can be converted to compounds of formula (I) by reaction with a suitably amine of the general formula (1 -1 1 ), such as, for example, 1-(pyridin-3- yl)piperazine, in a suitable solvent system, such as, for example, ethanol, in a temperature range from - 20°C to the boiling point of the respective solvent, preferably the reaction is carried out at 79°C.
A route for the preparation of compounds of formula (1 -8) is described in Scheme 8.
Scheme 8
1 -14 1 -8 Scheme 8: Route for the preparation of compounds of formula (1 -8), wherein R\ R2, V, W, Y and Z have the meaning as given for general formula (I), supra.
R5 represents a leaving group such as for example an aryl sulfonate such as for example p- toluene sulfonate, or a alkyl sulfonate such as for example methane sulfonate or trifluoromethane sulfonate (triflate group).
L3 and L4 represent a H atom or an substituted alkyl group. L3 and L4 can form a ring system.
PG represents an amine protecting group as for example an acetyl group or a tert- butyloxycarbonyl group.
In addition, interconversion of any of the substituents R\ R2, V, W, Y and Z can be achieved before and/or after the exemplified transformations. These modifications can be such as the introduction of protecting groups, cleavage of protecting groups, reduction or oxidation of functional groups, halogenation, metallation, substitution or other reactions known to the person skilled in the art. These transformations include those which introduce a functionality which allows for further interconversion of substituents. Appropriate protecting groups and their introduction and cleavage are well-known to the person skilled in the art (see for example T.W. Greene and P.G.M. Wuts in Protective Groups in Organic Synthesis, 3rd edition, Wiley 1999). Specific examples are described in the subsequent paragraphs.
Compounds 1 -7 and 1 -32 are either commercially available or can be prepared according to procedures available from the public domain, as understandable to the person skilled in the art. Specific examples are described in the subsequent paragraphs.
A suitably substituted dihydrofuran-2,5-dione of general formula (1 -12), such as, for example, 3- methyldihydrofuran-2,5-dione (1 -22), can be reacted with a suitable substituted hydrazine of general formula (1 -7), such as, for example, methylhydrazine, in a suitable solvent system, such as, for example, acetonitrile, at temperatures ranging from 0°C to boiling point of the respective solvent, preferably the reaction is carried out at 90°C, to furnish intermediates of general formula (1 -30) and side product (1 -29).
Intermediates of general formula (1 -30) can be converted to intermediates of general formula (1 - 31 ) by reaction with a suitably acid anhydride, such as, for example, trifluoromethane sulfonic anhydride, in the presence of a suitable base, such as, for example, triethylamine, in a suitable solvent system, such as, for example, acetonitrile, in a temperature range from - 78°C to the boiling point of the respective solvent, preferably the reaction is carried out at -20°C.
Intermediates of general formula (1-31 ) can be reacted with a suitable boronic acid derivative of the general formula (1-32), such as, for example, {4-[(tert-butoxycarbonyl)amino]phenyl}boronic acid, in the presence of a suitable base, such as, for example sodium carbonate, and a suitable palladium catalyst, such as for example tetrakis(triphenylphosphine)palladium (0), in a suitable solvent system, such as, for example, 1 ,4-dioxane and water, in a temperature range from room temperature to the boiling point of the respective solvent, preferably the reaction is carried out at at 80°C to furnish compounds of formula (1-8). Alternatively the following palladium catalysts can be used: allylpalladium chloride dimmer, dichlorobis(benzonitrile)palladium (II), palladium (II) acetate, palladium (II) chloride, bis(dibenzylideneacetone)-palladium(0), tris(dibenzylideneacetone)dipalladium (0), chloro(2'-amino-1 ,1 '-biphenyl-2-yl)palladium(ll) dimer, (2'-amino-1 ,1 '-biphenyl-2-yl)methanesulfonatopalladium(ll) dimer, trans-di^-acetato)bis[o-(di-o- tolylphosphino)benzyl]dipalladium(ll) [cataCXium® C], allylchloro[1 ,3-bis(2,4,6- trimethylphenyl)imidazol-2-ylidene]palladium(ll), allylchloro[1 ,3-bis(2,6- diisopropylphenyl)imidazol-2-ylidene]palladium(ll), chloro[(1 ,3-dimesitylimidazol-[1 ,3-bis(2,4,6- trimethylphenyl)-1 ,3-dihydro-2H-imidazol-2-ylidene](chloro){2-
[(dimethylamino)methyl]phenyl}palladium, chloro[(1 ,2,3-N)-3-phenyl-2-propenyl][1 ,3-bis(2,6-di- iso-propylphenyl)imidazol-2-ylidene]palladium(ll), [2-(acetylamino)phenyl]{1 ,3-bis[2,6-di(propan- 2-yl)phenyl]-1 ,3-dihydro-2H-imidazol-2-ylidene}chloropalladium, {1 ,3-bis[2,6-di(propan-2- yl)phenyl]-1 ,3-dihydro-2H-imidazol-2-ylidene}(chloro){2-[(dimethylamino)methyl]phenyl} palladium, {1 ,3-bis[2,6-di(propan-2-yl)phenyl]-2,3-dihydro-1 H-imidazol-2-yl}(dichloro)(3- chloropyridine-kappaN)palladium, [1 ,3-bis(2,6-diisopropylphenyl) imidazol-2-ylidene](3- chloropyridyl)palladium(ll) dichloride, [2-(acetylamino)-4-methoxyphenyl]{1 ,3-bis[2,6-di(propan-2- yl)phenyl]-1 ,3-dihydro-2H-imidazol-2-ylidene}chloropalladium, {1 ,3-bis[2,6-di(propan-2- yl)phenyl]-1 ,3-dihydro-2H-imidazol-2-ylidene}(chloro){2-[(dimethylamino)methyl]-3,5- dimethoxyphenyl}palladium, dichloro[1 ,3-bis(2,6-di-3-pentylphenyl)imidazol-2-ylidene](3- chloropyridyl)palladium(ll), dichloro(di^-chloro)bis[1 ,3-bis(2,6-di-iso-propylphenyl)imidazol-2- ylidene]dipalladium(ll), 2-(2'-di-tert-butylphosphine)biphenylpalladium(ll) acetate, chloro[dicyclohexyl(2',6'-dimethoxybiphenyl-2-yl)-lambda5-phosphanyl][2-(phenyl- kappaC2)ethanaminato-kappaN]palladium, [2-(2-aminoethyl)phenyl](chloro)palladium - di-tert- butyl[2',4',6'-tri(propan-2-yl)biphenyl-2-yl]phosphane, {dicyclohexyl[2',4',6'-tri(propan-2- yl)biphenyl-2-yl]phosphane}{2-[2-(methylazanidyl-kappaN)ethyl]phenyl-kappaC1}palladiu^ chloro(2-dicyclohexylphosphino-2',6'-dimethoxy-1 ,1 '-biphenyl)(2'-amino-1 ,1 -biphenyl-2-yl) palladium(ll), [2',6'-bis(propan-2-yloxy)biphenyl-2-yl](dicyclohexyl)phosphane - [2-(2- aminoethyl)phenyl](chloro)palladium, [2-(2-aminoethyl)phenyl](chloro){dicyclohexyl[2',4',6'- tri(propan-2-yl)biphenyl-2-yl]-lambda5-phosphanylidene}palladium, 2'-(dicyclohexylphosphanyl)- N,N,N',N'-tetramethylbiphenyl-2,6-diamine - (2'-aminobiphenyl-2-yl)(chloro)palladium, chloro(2- dicyclohexylphosphino-2',6'-di-iso-propoxy-1 , 1 '-biphenyl)(2-amino-1 , 1 '-biphenyl-2- yl)palladium(ll), [2'-(azanidyl-kappaN)biphenyl-2-yl-kappaC2](chloro){dicyclohexyl[2',4',6'- tri(propan-2-yl)biphenyl-2-yl]-lambda5-phosphanyl}palladium, (2'-aminobiphenyl-2- yl)(methanesulfonato-kappaO)palladium - di-tert-butyl[2',4',6'-tri(propan-2-yl)biphenyl-2- yl]phosphane, (2'-aminobiphenyl-2-yl)palladium(1 +) methanesulfonate - di-tert-butyl[2',4',6'- tri(propan-2-yl)biphenyl-2-yl]phosphane, dicyclohexyl[3,6-dimethoxy-2',4',6'-tri(propan-2- yl)biphenyl-2-yl]phosphane - [2-(2-aminoethyl)phenyl](chloro)palladium, (2'-aminobiphenyl-2- yl)palladium(1 +) methanesulfonate - 2'-(dicyclohexylphosphanyl)-N,N,N',N'-tetramethylbiphenyl- 2,6-diamine, sodium 2'-(dicyclohexylphosphanyl)-2,6-dimethoxybiphenyl-3-sulfonate - (2'- aminobiphenyl-2-yl)(chloro)palladium, chloro(2-dicyclohexylphosphino-2',4',6'-tri-iso-propyl-1 , 1 '- biphenyl)[2-(2-aminoethyl)phenyl]palladium(ll), (2'-aminobiphenyl-2-yl)(methanesulfonato- kappaO)palladium - [2',6'-bis(propan-2-yloxy)biphenyl-2-yl](dicyclohexyl)phosphane, (2'- aminobiphenyl-2-yl)(methanesulfonato-kappaO)palladium - dicyclohexyl[2',4',6'-tri(propan-2- yl)biphenyl-2-yl]phosphane, (2'-aminobiphenyl-2-yl)palladium(1 +) methanesulfonate dicyclohexyl[2',4',6'-tri(propan-2-yl)biphenyl-2-yl]phosphane, dicyclohexyl[3,6-dimethoxy-2',4',6'- tri(propan-2-yl)biphenyl-2-yl]phosphane - (2'-aminobiphenyl-2-yl)(chloro)palladium, (2'- aminobiphenyl-2-yl)(methanesulfonato-kappaO)palladium - di-tert-butyl[3,6-dimethoxy-2',4',6'- tri(propan-2-yl)biphenyl-2-yl]phosphane, (2'-aminobiphenyl-2-yl)(methanesulfonato- kappaO)palladium - dicyclohexyl[3,6-dimethoxy-2',4',6'-tri(propan-2-yl)biphenyl-2-yl]phosphane or the following ligands: racemic-2,2'-bis(diphenylphosphino)-1 ,1 '-binaphthyl, rac-BINAP, 1 ,1 '-bis(diphenyl- phosphino)ferrocene, bis(2-diphenylphosphinophenyl)ether, di-tert-butylmethylphosphonium tetrafluoroborate, 2-(di-tert-butylphosphino)biphenyl, tri-tert-butylphosphonium tetrafluoroborate, tri-2-furylphosphine, tris(2,4-di-tert-butylphenyl)phosphite, tri-o-tolylphosphine, (9,9-dimethyl-9H- xanthene-4,5-diyl)bis(diphenylphosphine), dicyclohexyl(2',4',6'-triisopropyl-3,6- dimethoxybiphenyl-2-yl)phosphine, di-tert-butyl (2',4',6'-triisopropyl-3,6-dimethoxybiphenyl-2- yl)phosphine, di-tert-butyl(2',4',6'-triiso propylbiphenyl-2-yl)phosphine, dicyclohexyl(2',4',6'- triisopropylbiphenyl-2-yl) phosphine, di-tert-butyl(2',4',6'-triisopropyl-3-methoxy-6- methylbiphenyl-2-yl)phos-phine, di-tert-butyl(2',4',6'-triisopropyl-3,4,5,6-tetramethylbiphenyl-2-yl) phosphine, adamantan-1-yl(adamantan-2-yl)(2\4\6'-triiso
phosphine, dicyclohexyl(2',6'-dimethoxybiphenyl-2-yl)phosphine, dicyclohexyl(2',6'- diisopropoxybiphenyl-2-yl)phosphine, 2'-(dicyclohexylphosphino)-N,N-dimethyl-biphenyl-2- amine, 2'-(di-tert-butylphosphino)-N,N-dimethylbiphenyl-2-amine, 2'-(di-phenylphosphino)- N,N,N',N'-tetramethylbiphenyl-2,6-diamine, di-tert-butyl(2',4',6'-tricyclohexyl-3,6- dimethoxybiphenyl-2-yl)phosphine, bis[3,5-bis(trifluoromethyl)phe-nyl] (2',4',6'-triisopropyl-3,6- dimethoxybiphenyl-2-yl)phosphine, biphenyl-2-yl(di-tert-butyl)phosphine, dicyclohexyl(2'- methylbiphenyl-2-yl)phosphine, biphenyl-2-yl (dicyclohexyl)phosphine, 2'-
(dicyclohexylphosphino)-N,N-dimethylbiphenyl-2-amine, 2'-(dicyclohexylphosphino)-N,N,N',N'- tetramethylbiphenyl-2,6-diamine, sodium 2'-(dicyclohexylphosphino)-2,6-diisopropylbiphenyl-4- sulfonate, sodium 2'-(dicyclohexylphosphino)-2,6-dimethoxybiphenyl-3-sulfonate, 1 , 1 '- binaphthalen-2-yl(di-tert-butyl)phosphine.
Intermediates of general formula (1-14) can be reacted with a suitable Broensted acid, such as, for example, trifluoroacetic acid, in a suitable solvent system, such as, for example,
dichloromethane, at temperatures ranging from 0°C to boiling point of the respective solvent, preferably the reaction is carried out at room temperature, to furnish intermediates of general formula (1 -8).
An alternative route for the preparation of compounds of formula (1-8) is described in Scheme 9.
Scheme 9
Z— Y N-N
x 1
R
1 -8
Scheme 9: Route for the preparation of compounds of formula (1 -8), wherein R\ R2, V, W, Y and Z have the meaning as given for general formula (I), supra.
X1 represents a leaving group such as for example a CI, Br or I, or an aryl sulfonate such as for example p-toluene sulfonate, or a alkyl sulfonate such as for example methane sulfonate or trifluoromethane sulfonate (triflate group).
In addition, interconversion of any of the substituents R\ R2, V, W, Y and Z can be achieved before and/or after the exemplified transformations. These modifications can be such as the introduction of protecting groups, cleavage of protecting groups, reduction or oxidation of functional groups, halogenation, metallation, substitution or other reactions known to the person skilled in the art. These transformations include those which introduce a functionality which allows for further interconversion of substituents. Appropriate protecting groups and their introduction and cleavage are well-known to the person skilled in the art (see for example T.W. Greene and P.G.M. Wuts in Protective Groups in Organic Synthesis, 3rd edition, Wiley 1999). Specific examples are described in the subsequent paragraphs.
Compounds 1-33 and 1-35 are either commercially available or can be prepared according to procedures available from the public domain, as understandable to the person skilled in the art. Specific examples are described in the subsequent paragraphs.
Intermediates of general formula (1-6) can be converted to intermediates of general formula (1- 34) by reaction with a suitably substituted hydrazine of the general formula (1-33), such as, for example, hydrazine hydrate (1 :1 ), in a suitable solvent system, such as, for example, propan-1- ol, in a temperature range from 0°C to the boiling point of the respective solvent, preferably the reaction is carried out at 100°C. Intermediates of general formula (1 -34) are treated with an intermediate of general formula (1- 35), such as, for example, ethyl trifluoromethanesulfonate, in the presence of a suitable base, such as for example, sodium hydride, in the presence of a suitable phase transfere catalyst, such as for example, N,N,N-tributylbutan-1-aminium iodide in a suitable solvent system, such as, for example, DMF, at a temperature between 0°C and the boiling point of the respective solvent, preferably the reaction is carried out at room temperature to form the desired intermediate of general formula(1 -8).
One route for the preparation of compounds of formula (1-44) is described in Scheme 10.
Scheme 10
1 -44
Scheme 10: Route for the preparation of compounds of formula (1 -44), wherein V, W, Y and Z have the meaning as given for general formula (I), supra.
PG represents an amine protecting group as for example an acetyl group. In addition, interconversion of any of the substituents V, W, Y and Z can be achieved before and/or after the exemplified transformations. These modifications can be such as the introduction of protecting groups, cleavage of protecting groups, reduction or oxidation of functional groups, halogenation, metallation, substitution or other reactions known to the person skilled in the art. These transformations include those which introduce a functionality which allows for further interconversion of substituents. Appropriate protecting groups and their introduction and cleavage are well-known to the person skilled in the art (see for example T.W. Greene and P.G.M. Wuts in Protective Groups in Organic Synthesis, 3rd edition, Wiley 1999). Specific examples are described in the subsequent paragraphs.
Compounds 1 -1 , 1-36, 1-37, 1 -38 and 1 -41 are either commercially available or can be prepared according to procedures available from the public domain, as understandable to the person skilled in the art. Specific examples are described in the subsequent paragraphs.
A suitably substituted aromatic amine of general formula (1-1 ), such as, for example, N- phenylacetamide, can be reacted with a suitable substituted acid chloride (1 -36), such as, for example, propanoyl chloride, in the presence of a Lewis acid, such as, for example, aluminium trichloride, in a suitable solvent system, such as, for example, dichloromethane, at temperatures ranging from - 20°C to boiling point of the respective solvent, preferably the reaction is carried out at 0°C, to furnish intermediates of general formula (1 -37).
Intermediates of general formula (1 -37) can be converted to intermediates of general formula (1 - 39) by reaction with a suitably glyoxylic acid derivative of the general formula (1 -38), such as, for example, glyoxylic acid monohydrate, in the presence of a suitable base, such as, for example sodium hydroxide, in the presence of a suitable phase transfer catalyst, such as, for example benzyltriethylammonium chloride, in a suitable solvent system, such as, for example, methanol, in a temperature range from - 20°C to the boiling point of the respective solvent, preferably the reaction is carried out at room temperature.
Intermediates of general formula (1-39) can be reacted with a suitable Broensted acid, such as, for example, hydrochloric acid, in a suitable solvent system, such as, for example, methanol, at temperatures ranging from - 20°C to boiling point of the respective Broensted acid, preferably the reaction is carried out at 0°C, to furnish intermediates of general formula (1 -40).
Intermediates of general formula (1-40) can be converted to intermediates of general formula (1 - 42) by reaction with a suitably sulfonyl chloride of the general formula (1-41 ), such as, for example, methanesulfonyl chloride, in the presence of a suitable base, such as, for example triethylamine, in a suitable solvent system, such as, for example, trichloromethane, in a temperature range from - 20°C to the boiling point of the respective solvent, preferably the reaction is carried out at 0°C. Intermediates of general formula (1 -42) are treated with a suitable base, such as, for example DBU, in a suitable solvent system, such as, for example, toluene, at a temperature between 0°C and the boiling point of the respective solvent, preferably the reaction is carried out at 120 °C to form the desired intermediate of general formula(1-43).
Intermediates of general formula (1 -43) can be converted to intermediates of general formula (1 - 44) by reaction with a suitable base, such as, for example sodium hydroxide, in a suitable solvent system, such as, for example, ethanol, in a temperature range from 0°C to the boiling point of the respective solvent, preferably the reaction is carried out at room temperature.
One route for the preparation of compounds of formulae (1-47 and 1-48) is described in Scheme 1 1 .
Scheme 1 1
1 -47 Scheme 10: Route for the preparation of compounds of formulae (1 -47 and 1 -48), wherein R , V, W, Y and Z have the meaning as given for general formula (I), supra.
PG represents an amine protecting group as for example an acetyl group.
In addition, interconversion of any of the substituents R\ V, W, Y and Z can be achieved before and/or after the exemplified transformations. These modifications can be such as the introduction of protecting groups, cleavage of protecting groups, reduction or oxidation of functional groups, halogenation, metallation, substitution or other reactions known to the person skilled in the art. These transformations include those which introduce a functionality which allows for further interconversion of substituents. Appropriate protecting groups and their introduction and cleavage are well-known to the person skilled in the art (see for example T.W. Greene and P.G.M. Wuts in Protective Groups in Organic Synthesis, 3rd edition, Wiley 1999). Specific examples are described in the subsequent paragraphs.
Compounds 1-7 is either commercially available or can be prepared according to procedures available from the public domain, as understandable to the person skilled in the art. Specific examples are described in the subsequent paragraphs.
Intermediates of general formula (1 -44) can be hydrogenated at a suitable hydrogen pressure, such as, for example, 80 atmospheres, in the presence of a chiral catalyst, such as, for example, Ru(OAc)2(S-BINAP), in a suitable solvent system, such as, for example, methanol, at temperatures ranging from - 20°C to boiling point of the respective solvent, preferably the reaction is carried out at room temperature, to furnish intermediates of general formula (1-45). Alternatively the following palladium catalysts can be used:
[Ru(OAc)2(p-cymene)] or the following ligands:
(R)-(+)-2,2'-Bis(diphenylphosphino)-6,6'-dimethoxy-1 , 1 '-biphenyl ( (R)-MeO-BIPHEP); (S )-(+)- 2,2'-Bis(diphenylphosphino)-6,6'-dimethoxy-1 , 1 '-biphenyl ( (S)-MeO-BIPHEP); (R)-(+)-2,2 - Bis(di-2-furanylphosphino)-6,6'-dimethoxy-1 ,1 '-biphenyl; (S)-(+)-2,2'-Bis(di-2-furanylphosphino)- 6,6'-dimethoxy-1 , 1 '-biphenyl; (R)-(+)-2,2'-Bis[di(3,5-xylyl)phosphino]-6,6'-dimethoxy-1 , 1 '- biphenyl; (S)-(+)-2,2'-Bis[di(3,5-xylyl)phosphino]-6,6'-dimethoxy-1 , 1 '-biphenyl; (R)-(+)-2,2 - Bis[di(3,5-di-t-butyl-4-methoxyphenyl)phosphino]-6,6'-dimethoxy-1 ,1 '-biphenyl, (S)-(+)-2,2 - Bis[di(3,5-di-t-butyl-4-methoxyphenyl)phosphino]-6,6'-dimethoxy-1 ,1 '-biphenyl, (R)-(+)-2,2 - Bis(di-i-propylphosphino)-6,6'-dimethoxy-1 ,1 '-biphenyl; (S)-(+)-2,2'-Bis(di-i-propylphosphino)- 6,6'-dimethoxy-1 ,1 '-biphenyl; (R)-(-)-2,2'-Bis[di(3,5-di-t-butylphenyl)phosphino]-6,6'-dimethoxy- 1 ,1 -biphenyl; (S)-(-)-2,2'-Bis[di(3,5-di-t-butylphenyl)phosphino]-6,6'-dimethoxy-1 ,1 '-^ (R)- (-)-5,5'-Bis(diphenylphosphino)-4,4'-bi-1 ,3-benzodioxole; (S)-(-)-5,5'-Bis(diphenylphosphino)-4,4'- bi-1 ,3-benzodioxole; (2R,3R)-(-)-Bis(diphenylphosphino)butane ((R,R)-CHIRAPHOS); (2S,3S)-(- )-Bis(diphenylphosphino)butane ((S,S)-CHIRAPHOS); (R)-(-)-5,5'-Bis(diphenylphosphino)-4,4 - bi-1 ,3-benzodioxole; (S)-(-)-5,5'-Bis(diphenylphosphino)-4,4'-bi-1 ,3-benzodioxole; (R)-(+)-4,12- Bis(diphenylphosphino)-[2.2]-paracyclophane ( (R)-PHANEPHOS); (S)-(+)-4,12- Bis(diphenylphosphino)-[2.2]-paracyclophane ( (S)-PHANEPHOS); (R)-(+)-2,2 - Bis(diphenylphosphino)-6,6'-dimethyl-1 , 1 '-biphenyl; (S)-(+)-2,2'-Bis(diphenylphosphino)-6,6'- dimethyl-1 , 1 '-biphenyl; (R)-(4,4',5,5'-tetramethyl-3,3'-bithiene-2,2'-diyl)bis(diphenylphosphine); (S)-(4,4',5,5'-tetramethyl-3,3'-bithiene-2,2'-diyl)bis(diphenylphosphine).
Chiral hydrogenations are described in Asymmetric Catalysis on Industrial Scale, Challenges, Approaches and Solutions. Blaser, H.-U.: Federsel, H.-J.: Eds, Wiley-VCH, Weinheim, 2nd Edition, 2010.
Intermediates of general formula (1 -45) can be converted to intermediates of general formula (1 - 46) by reaction with a suitably hydrazine of the general formula (1 -7), such as, for example, methylhydrazine, in a suitable solvent system, such as, for example, propan-1-ol, in a temperature range from - 20°C to the boiling point of the respective solvent, preferably the reaction is carried out at 80°C.
Intermediates of general formula (1-44) can be hydrogenated at a suitable hydrogen pressure, such as, for example, 80 atmospheres, in the presence of a chiral catalyst, such as, for example, Ru(OAc)2(S-BINAP), in a suitable solvent system, such as, for example, methanol, at temperatures ranging from - 20°C to boiling point of the respective solvent, preferably the reaction is carried out at room temperature, to furnish intermediates of general formula (1 -47). Alternatively the following palladium catalysts can be used:
[Ru(OAc)2(p-cymene)] or the following ligands:
(R)-(+)-2,2'-Bis(diphenylphosphino)-6,6'-dimethoxy-1 , 1 '-biphenyl ( (R)-MeO-BIPHEP); (S )-(+)- 2,2'-Bis(diphenylphosphino)-6,6'-dimethoxy-1 , 1 '-biphenyl ( (S)-MeO-BIPHEP); (R)-(+)-2,2 - Bis(di-2-furanylphosphino)-6,6'-dimethoxy-1 ,1 '-biphenyl; (S)-(+)-2,2'-Bis(di-2-furanylphosphino)- 6,6'-dimethoxy-1 , 1 '-biphenyl; (R)-(+)-2,2'-Bis[di(3,5-xylyl)phosphino]-6,6'-dimethoxy-1 , 1 '- biphenyl; (S)-(+)-2,2'-Bis[di(3,5-xylyl)phosphino]-6,6'-dimethoxy-1 , 1 '-biphenyl; (R)-(+)-2,2 - Bis[di(3,5-di-t-butyl-4-methoxypheny (S)-(+)-2,2 - Bis[di(3,5-di-t-butyl-4-methoxyphenyl)phosphino]-6,6'-dimethoxy-1 ,1 '-biphenyl, (R)-(+)-2,2 - Bis(di-i-propylphosphino)-6,6'-dimethoxy-1 ,1 '-biphenyl; (S)-(+)-2,2'-Bis(di-i-propylphosphino)- 6,6'-dimethoxy-1 ,1 '-biphenyl; (R)-(-)-2,2'-Bis[di(3,5-di-t-butylphenyl)phosphino]-6,6'-dimethoxy- 1 ,1 '-biphenyl; (S)-(-)-2,2'-Bis[di(3,5-di-t-butylphenyl)phosphino]-6,6'-dimethoxy-1 ,1 '-biphenyl; (R)- (-)-5,5'-Bis(diphenylphosphino)-4,4'-bi-1 ,3-benzodioxole; (S)-(-)-5,5'-Bis(diphenylphosphino)-4,4'- bi-1 ,3-benzodioxole; (2R,3R)-(-)-Bis(diphenylphosphino)butane ((R,R)-CHIRAPHOS); (2S,3S)-(- )-Bis(diphenylphosphino)butane ((S,S)-CHIRAPHOS); (R)-(-)-5,5'-Bis(diphenylphosphino)-4,4 - bi-1 ,3-benzodioxole; (S)-(-)-5,5'-Bis(diphenylphosphino)-4,4'-bi-1 ,3-benzodioxole; (R)-(+)-4,12- Bis(diphenylphosphino)-[2.2]-paracyclophane ( (R)-PHANEPHOS); (S)-(+)-4,12- Bis(diphenylphosphino)-[2.2]-paracyclophane ( (S)-PHANEPHOS); (R)-(+)-2,2 - Bis(diphenylphosphino)-6,6'-dimethyl-1 , 1 '-biphenyl; (S)-(+)-2,2'-Bis(diphenylphosphino)-6,6 - dimethyl-1 , 1 '-biphenyl; (R)-(4,4',5,5'-tetramethyl-3,3'-bithiene-2,2'-diyl)bis(diphenylphosphine); (S)-(4,4',5,5'-tetramethyl-3,3'-bithiene-2,2'-diyl)bis(diphenylphosphine).
Chiral hydrogenations are described in Asymmetric Catalysis on Industrial Scale, Challenges, Approaches and Solutions. Blaser, H.-U.: Federsel, H.-J.: Eds, Wiley-VCH, Weinheim, 2nd Edition, 2010.
Intermediates of general formula (1 -47) can be converted to intermediates of general formula (1 - 48) by reaction with a suitably hydrazine of the general formula (1 -7), such as, for example, methylhydrazine, in a suitable solvent system, such as, for example, propan-1-ol, in a temperature range from - 20°C to the boiling point of the respective solvent, preferably the reaction is carried out at 80°C.
One route for the preparation of compounds of formula (1-8) is described in Scheme 12.
Scheme 12
Scheme 12: Route for the preparation of compounds of formula (1-8), wherein R\ R2, V, W, Y and Z have the meaning as given for general formula (I), supra. X3 represents a halogen atom such as for example a CI or Br atom.
PG represents an amine protecting group as for example a fluorenylmethyloxycarbonyl, benzyloxycarbonyl, allyloxycarbonyl or tert-butyloxycarbonyl group.
In addition, interconversion of any of the substituents R\ R2, V, W, Y and Z can be achieved before and/or after the exemplified transformations. These modifications can be such as the introduction of protecting groups, cleavage of protecting groups, reduction or oxidation of functional groups, halogenation, metallation, substitution or other reactions known to the person skilled in the art. These transformations include those which introduce a functionality which allows for further interconversion of substituents. Appropriate protecting groups and their introduction and cleavage are well-known to the person skilled in the art (see for example T.W. Greene and P.G.M. Wuts in Protective Groups in Organic Synthesis, 3rd edition, Wiley 1999). Specific examples are described in the subsequent paragraphs. Compounds 1-7, 1 -49, 1-50 and 1 -54 are either commercially available or can be prepared according to procedures available from the public domain, as understandable to the person skilled in the art. Specific examples are described in the subsequent paragraphs.
Compounds of formula (1-49) are reacted with a compound of formula (1-50) as mentioned above with a peptide coupling agent, for example N-(3-Dimethylaminopropyl)-N'- ethylcarbodiimide hydrochloride, in the presence of 1 -hydroxy-7-azabenzotriazole in a suitable solvent, such as, for example, Ν,Ν-dimethylformamid, in the presence of a suitable base, such as, for example, triethylamine in a temperature range from - 10 °C to the boiling point of the respective solvent, preferably the reaction is carried out at room temperature, to furnish compounds of formula (1 -51 ).
Appropriate peptide synthesis methods and their applications are well-known to the person skilled in the art (see for example N. Leo Benoitin in Chemistry of Peptide Synthesis, CRC Press 2005; John Jones in Amino Acids and Peptide Synthesis, Oxford University Press, 2002 and Norbert Sewald and Hans-Dieter Jakubke in Peptides: Chemistry and Biology, Wiley-VCH, 2009).
Intermediates of general formula (1 -51 ) can be converted to intermediates of general formula (1 - 53) by reaction with a suitably Grignard reagent of the general formula (1-52), such as, for example, benzylmagnesium chloride, in a suitable solvent system, such as, for example, tetrahydrofurane, in a temperature range from - 20°C to the boiling point of the respective solvent, preferably the reaction is carried out at 0 °C.
Intermediates of general formula (1 -53) can be converted to intermediates of general formula (1- 55) by reaction with a suitably acetic acid derivative of the general formula (1-54), such as, for example, ethyl bromoacetate, in the presence of a suitable base, such as, for example, sodium hydride, in a suitable solvent system, such as, for example, Ν,Ν-dimethylformamide, in a temperature range from - 80°C to the boiling point of the respective solvent, preferably the reaction is carried out at - 40 °C.
Intermediates of general formula (1 -55) can be converted to intermediates of general formula (1- 56) by reaction with a suitably base, such as, for example, sodium hydroxide, in a suitable solvent system, such as, for example, methanol, in a temperature range from - 20°C to the boiling point of the respective solvent, preferably the reaction is carried out at room temperature.
Intermediates of general formula (1 -56) can be converted to intermediates of general formula (1 - 57) by reaction with a suitably hydrazine of the general formula (1 -7), such as, for example, methylhydrazine, in a suitable solvent system, such as, for example, ethanol, in a temperature range from - 20°C to the boiling point of the respective solvent, preferably the reaction is carried out at 80°C. Intermediates of general formula (1 -57) can be converted to intermediates of general formula (1- 8) by reaction with a suitable Broensted acid, such as, for example trifluoroacetic acid, in a suitable solvent system, such as, for example, dichloromethane, in a temperature range from - 20°C to the boiling point of the respective solvent, preferably the reaction is carried out at 0 °C. One route for the preparation of compounds of formula (1 -19) is described in Scheme 13.
Scheme 13
Scheme 13: Route for the preparation of compounds of formula (1 -19), wherein R , R2, V, W, Y and Z have the meaning as given for general formula (I), supra (R9 represents hydrogen is not shown in the above chemical structures).
X2 represents a leaving group such as for example a CI, Br or I atom and X3 represents a halogen atom such as for example a CI or Br atom.
In addition, interconversion of any of the substituents R\ R2, V, W, Y and Z can be achieved before and/or after the exemplified transformations. These modifications can be such as the introduction of protecting groups, cleavage of protecting groups, reduction or oxidation of functional groups, halogenation, metallation, substitution or other reactions known to the person skilled in the art. These transformations include those which introduce a functionality which allows for further interconversion of substituents. Appropriate protecting groups and their introduction and cleavage are well-known to the person skilled in the art (see for example T.W. Greene and P.G.M. Wuts in Protective Groups in Organic Synthesis, 3rd edition, Wiley 1999). Specific examples are described in the subsequent paragraphs.
Compounds 1-7, 1 -49, 1-50 and 1 -54 are either commercially available or can be prepared according to procedures available from the public domain, as understandable to the person skilled in the art. Specific examples are described in the subsequent paragraphs.
Compounds of formula (1-49) are reacted with a compound of formula (1 -50) as mentioned above with a peptide coupling agent, for example N-(3-Dimethylaminopropyl)-N'- ethylcarbodiimide hydrochloride, in the presence of 1 -hydroxy-7-azabenzotriazole in a suitable solvent, such as, for example, Ν,Ν-dimethylformamid, in the presence of a suitable base, such as, for example, triethylamine in a temperature range from - 10 °C to the boiling point of the respective solvent, preferably the reaction is carried out at room temperature, to furnish compounds of formula (1 -51 ).
Appropriate peptide synthesis methods and their applications are well-known to the person skilled in the art (see for example N. Leo Benoitin in Chemistry of Peptide Synthesis, CRC Press 2005; John Jones in Amino Acids and Peptide Synthesis, Oxford University Press, 2002 and Norbert Sewald and Hans-Dieter Jakubke in Peptides: Chemistry and Biology, Wiley-VCH, 2009).
Intermediates of general formula (1 -51 ) can be converted to intermediates of general formula (1 - 53) by reaction with a suitably Grignard reagent of the general formula (1-52), such as, for example, benzylmagnesium chloride, in a suitable solvent system, such as, for example, tetrahydrofurane, in a temperature range from - 20°C to the boiling point of the respective solvent, preferably the reaction is carried out at 0 °C. Intermediates of general formula (1 -53) can be converted to intermediates of general formula (1 - 55) by reaction with a suitably acetic acid derivative of the general formula (1-54), such as, for example, ethyl bromoacetate, in the presence of a suitable base, such as, for example, sodium hydride, in a suitable solvent system, such as, for example, Ν,Ν-dimethylformamide, in a temperature range from - 80°C to the boiling point of the respective solvent, preferably the reaction is carried out at - 40 °C.
Intermediates of general formula (1 -55) can be converted to intermediates of general formula (1 - 18) by reaction with a suitably base, such as, for example, sodium hydroxide, in a suitable solvent system, such as, for example, methanol, in a temperature range from - 20°C to the boiling point of the respective solvent, preferably the reaction is carried out at room temperature.
Intermediates of general formula (1 -18) can be converted to intermediates of general formula (1 - 19) by reaction with a suitably hydrazine of the general formula (1 -7), such as, for example, methylhydrazine, in a suitable solvent system, such as, for example, ethanol, in a temperature range from - 20°C to the boiling point of the respective solvent, preferably the reaction is carried out at 80°C. A route for the preparation of compounds of formula (la) is described in Scheme 14. Scheme 14
1 -61
Scheme 14: Route for the preparation of compounds of formula (la), wherein R , R2, R9, n, m, A, B, C, D, Q, V, W, Y and Z have the meaning as given for general formula (I), supra. X2 represents a leaving group such as for example a CI or Br atom or an aryl sulfonate such as for example p-toluene sulfonate, or a alkyl sulfonate such as for example methane sulfonate or trifluoromethane sulfonate (triflate group).
L represents a leaving group such as, for example, a haloalkyl such as, for example, trichloromethyl, or a imide such as, for example, pyrrolidine-2,5-dione or 4-nitrophenyl.
In addition, interconversion of any of the substituents R , R2, R3, L , A, B, C, D, Q, V, W, Y and Z can be achieved before and/or after the exemplified transformations. These modifications can be such as the introduction of protecting groups, cleavage of protecting groups, reduction or oxidation of functional groups, halogenation, metallation, substitution or other reactions known to the person skilled in the art. These transformations include those which introduce a functionality which allows for further interconversion of substituents. Appropriate protecting groups and their introduction and cleavage are well-known to the person skilled in the art (see for example T.W. Greene and P.G.M. Wuts in Protective Groups in Organic Synthesis, 3rd edition, Wiley 1999). Specific examples are described in the subsequent paragraphs. Compounds 1-7, 1 -9, 1-1 1 , 1 -23, 1-56 and 1 -59 are either commercially available or can be prepared according to procedures available from the public domain, as understandable to the person skilled in the art. Specific examples are described in the subsequent paragraphs.
A suitably substituted aromatic ketone of general formula (1-56), such as, for example, 1-(4- bromophenyl)-2-methylpropan-1 -one, can be reacted with a suitable substituted intermediate of general formula (1-23), such as, for example, ethyl bromoacetate, in the presence of a suitable base, such as, for example, lithium 1 , 1 , 1 ,3,3,3-hexamethyldisilazan-2-ide, in a suitable solvent system, such as, for example, THF, at temperatures ranging from - 100°C to boiling point of the respective solvent, preferably the reaction is carried out at - 78°C, to furnish intermediates of general formula (1-57). Intermediates of general formula (1 -57) can be converted to intermediates of general formula (1 - 58) by reaction with a suitably hydrazine of the general formula (1 -7), such as, for example, methylhydrazine, in a suitable solvent system, such as, for example, propan-1-ol, in a temperature range from - 20°C to the boiling point of the respective solvent, preferably the reaction is carried out at 0°C.
Intermediates of general formula (1 -58) can be reacted with a suitable substituted imine, such as, for example 1 , 1 -diphenylmethanimine (1-59), in the presence of a suitable base, such as, for example caesium carbonate, and a suitable palladium catalyst, such as for example bis(dibenzylideneacetone)-palladium(0), in the presence of a suitable ligand, such as for example 9(9,9-dimethyl-9H-xanthene-4,5-diyl)bis(diphenylphosphine), in a suitable solvent system, such as, for example, 1 ,4-dioxane, in a temperature range from room temperature to the boiling point of the respective solvent, preferably the reaction is carried out at at 110°C and subsequent treatment with a suitable Broensted acid, such as, for example, hydrochloric acid or sulphuric acid, at temperatures ranging from 0 °C to the boiling point of the respective Broensted acid, preferably the reaction is carried out at 100 °C, to furnish compounds of formula (1-60). Alternatively the following palladium catalysts can be used: allylpalladium chloride dimmer, dichlorobis(benzonitrile)palladium (II), palladium (II) acetate, palladium (II) chloride, tetrakis(triphenylphosphine)palladium (0), tris(dibenzylideneacetone)dipalladium (0), chloro(2'-amino-1 ,1 '-biphenyl-2-yl)palladium(ll) dimer, (2'-amino-1 ,1 '-biphenyl-2-yl)methanesulfonatopalladium(ll) dimer, trans-di^-acetato)bis[o-(di-o- tolylphosphino)benzyl]dipalladium(ll) [cataCXium® C], allylchloro[1 ,3-bis(2,4,6- trimethylphenyl)imidazol-2-ylidene]palladium(ll), allylchloro[1 ,3-bis(2,6- diisopropylphenyl)imidazol-2-ylidene]palladium(ll), chloro[(1 ,3-dimesitylimidazol-[1 ,3-bis(2,4,6- trimethylphenyl)-1 ,3-dihydro-2H-imidazol-2-ylidene](chloro){2- [(dimethylamino)methyl]phenyl}palladium, chloro[(1 ,2,3-N)-3-phenyl-2-propenyl][1 ,3-bis(2,6-di- iso-propylphenyl)imidazol-2-ylidene]palladium(ll), [2-(acetylamino)phenyl]{1 ,3-bis[2,6-di(propan- 2-yl)phenyl]-1 ,3-dihydro-2H-imidazol-2-ylidene}chloropalladium, {1 ,3-bis[2,6-di(propan-2- yl)phenyl]-1 ,3-dihydro-2H-imidazol-2-ylidene}(chloro){2-[(dimethylamino)methyl]^
palladium, {1 ,3-bis[2,6-di(propan-2-yl)phenyl]-2,3-dihydro-1 H-imidazol-2-yl}(dichloro)(3- chloropyridine-kappaN)palladium, [1 ,3-bis(2,6-diisopropylphenyl) imidazol-2-ylidene](3- chloropyridyl)palladium(ll) dichloride, [2-(acetylamino)-4-methoxyphenyl]{1 ,3-bis[2,6-di(propan-2- yl)phenyl]-1 ,3-dihydro-2H-imidazol-2-ylidene}chloropalladium, {1 ,3-bis[2,6-di(propan-2- yl)phenyl]-1 ,3-dihydro-2H-imidazol-2-ylidene}(chloro){2-[(dimethylamino)m
dimethoxyphenyl}palladium, dichloro[1 ,3-bis(2,6-di-3-pentylphenyl)imidazol-2-ylidene](3- chloropyridyl)palladium(ll), dichloro(di-p-chloro)bis[1 ,3-bis(2,6-di-iso-propylphenyl)imidazol-2- ylidene]dipalladium(ll), 2-(2'-di-tert-butylphosphine)biphenylpalladium(ll) acetate, chloro[dicyclohexyl(2\6'-dimethoxybiphenyl-2-yl)-lambda5-phosphanyl][2-(phenyl^
kappaC2)ethanaminato-kappaN]palladium, [2-(2-aminoethyl)phenyl](chloro)palladium - di-tert- butyl[2',4',6'-tri(propan-2-yl)biphenyl-2-yl]phosphane, {dicyclohexyl[2',4',6'-tri(propan-2- yl)biphenyl-2-yl]phosphane}{2-[2-(methylazanidyl-kappaN)ethyl]phenyl-kappaC1}palladi chloro(2-dicyclohexylphosphino-2\6'-dimethoxy-1 ,1 '-biphenyl)(2'-amino-1 ,1 -biphenyl-2-yl) palladium(ll), [2',6'-bis(propan-2-yloxy)biphenyl-2-yl](dicyclohexyl)phosphane - [2-(2- aminoethyl)phenyl](chloro)palladium, [2-(2-aminoethyl)phenyl](chloro){dicyclohexyl[2',4',6'- tri(propan-2-yl)biphenyl-2-yl]-lambda5-phosphanylidene}palladium, 2'-(dicyclohexylphosphanyl)- N,N,N',N'-tetramethylbiphenyl-2,6-diamine - (2'-aminobiphenyl-2-yl)(chloro)palladium, chloro(2- dicyclohexylphosphino-2',6'-di-iso-propoxy-1 , 1 '-biphenyl)(2-amino-1 , 1 '-biphenyl-2- yl)palladium(ll), [2'-(azanidyl-kappaN)biphenyl-2-yl-kappaC2](chloro){dicyclohexyl[2',4',6'- tri(propan-2-yl)biphenyl-2-yl]-lambda5-phosphanyl}palladium, (2'-aminobiphenyl-2- yl)(methanesulfonato-kappaO)palladium - di-tert-butyl[2',4',6'-tri(propan-2-yl)biphenyl-2- yl]phosphane, (2'-aminobiphenyl-2-yl)palladium(1 +) methanesulfonate - di-tert-butyl[2',4',6'- tri(propan-2-yl)biphenyl-2-yl]phosphane, dicyclohexyl[3,6-dimethoxy-2',4',6'-tri(propan-2- yl)biphenyl-2-yl]phosphane - [2-(2-aminoethyl)phenyl](chloro)palladium, (2'-aminobiphenyl-2- yl)palladium(1 +) methanesulfonate - 2'-(dicyclohexylphosphanyl)-N,N,N',N'-tetramethylbiphenyl- 2,6-diamine, sodium 2'-(dicyclohexylphosphanyl)-2,6-dimethoxybiphenyl-3-sulfonate - (2'- aminobiphenyl-2-yl)(chloro)palladium, chloro(2-dicyclohexylphosphino-2',4',6'-tri-iso-propyl-1 , 1 '- biphenyl)[2-(2-aminoethyl)phenyl]palladium(ll), (2'-aminobiphenyl-2-yl)(methanesulfonato- kappaO)palladium - [2',6'-bis(propan-2-yloxy)biphenyl-2-yl](dicyclohexyl)phosphane, (2'- aminobiphenyl-2-yl)(methanesulfonato-kappaO)palladium - dicyclohexyl[2',4',6'-tri(propan-2- yl)biphenyl-2-yl]phosphane, (2'-aminobiphenyl-2-yl)palladium(1 +) methanesulfonate dicyclohexyl[2',4',6'-tri(propan-2-yl)biphenyl-2-yl]phosphane, dicyclohexyl[3,6-dimethoxy-2',4',6'- tri(propan-2-yl)biphenyl-2-yl]phosphane - (2'-aminobiphenyl-2-yl)(chloro)palladium, (2'- aminobiphenyl-2-yl)(methanesulfonato-kappaO)palladium - di-tert-butyl[3,6-dimethoxy-2',4',6'- tri(propan-2-yl)biphenyl-2-yl]phosphane, (2'-aminobiphenyl-2-yl)(methanesulfonato- kappaO)palladium - dicyclohexyl[3,6-dimethoxy-2',4',6'-tri(propan-2-yl)biphenyl-2-yl]phosphane or the following ligands: racemic-2,2'-bis(diphenylphosphino)-1 ,1 '-binaphthyl, rac-BINAP, 1 ,1 '-bis(diphenyl- phosphino)ferrocene, bis(2-diphenylphosphinophenyl)ether, di-tert-butylmethylphosphonium tetrafluoroborate, 2-(di-tert-butylphosphino)biphenyl, tri-tert-butylphosphonium tetrafluoroborate, tri-2-furylphosphine, tris(2,4-di-tert-butylphenyl)phosphite, tri-o-tolylphosphine, (9,9-dimethyl-9H- xanthene-4,5-diyl)bis(diphenylphosphine), dicyclohexyl(2',4',6'-triisopropyl-3,6- dimethoxybiphenyl-2-yl)phosphine, di-tert-butyl (2',4',6'-triisopropyl-3,6-dimethoxybiphenyl-2- yl)phosphine, di-tert-butyl(2',4',6'-triiso propylbiphenyl-2-yl)phosphine, dicyclohexyl(2',4',6'- triisopropylbiphenyl-2-yl) phosphine, di-tert-butyl(2',4',6'-triisopropyl-3-methoxy-6- methylbiphenyl-2-yl)phos-phine, di-tert-butyl(2',4',6'-triisopropyl-3,4,5,6-tetramethylbiphenyl-2-yl) phosphine, adamantan-1-yl(adamantan-2-yl)(2',4',6'-triisopropyl-3,6-dimethoxybiphenyl-2-yl) phosphine, dicyclohexyl(2',6'-dimethoxybiphenyl-2-yl)phosphine, dicyclohexyl(2',6'- diisopropoxybiphenyl-2-yl)phosphine, 2'-(dicyclohexylphosphino)-N,N-dimethyl-biphenyl-2- amine, 2'-(di-tert-butylphosphino)-N,N-dimethylbiphenyl-2-amine, 2'-(di-phenylphosphino)- N,N,N',N'-tetramethylbiphenyl-2,6-diamine, di-tert-butyl(2',4',6'-tricyclohexyl-3,6- dimethoxybiphenyl-2-yl)phosphine, bis[3,5-bis(trifluoromethyl)phe-nyl] (2',4',6'-triisopropyl-3,6- dimethoxybiphenyl-2-yl)phosphine, biphenyl-2-yl(di-tert-butyl)phosphine, dicyclohexyl(2'- methylbiphenyl-2-yl)phosphine, biphenyl-2-yl (dicyclohexyl)phosphine, 2'-
(dicyclohexylphosphino)-N,N-dimethylbiphenyl-2-amine, 2'-(dicyclohexylphosphino)-N,N,N',N'- tetramethylbiphenyl-2,6-diamine, sodium 2'-(dicyclohexylphosphino)-2,6-diisopropylbiphenyl-4- sulfonate, sodium 2'-(dicyclohexylphosphino)-2,6-dimethoxybiphenyl-3-sulfonate, 1 , 1 '- binaphthalen-2-yl(di-tert-butyl)phosphine.
Intermediates of general formula (1-60) are treated with a carbonate of general formula (1 -9), such as, for example, 1 , 1 '-[carbonylbis(oxy)]dipyrrolidine-2,5-dione, in the presence of a suitable base, such as for example, N,N-dimethylpyridin-4-amine, in a suitable solvent system, such as, for example, DMF, at a temperature between 0°C and the boiling point of the respective solvent, preferably the reaction is carried out at room temperature to form the desired intermediate of general formula(1 -61 ).
Intermediates of general formula (1-61 ) can be converted to compounds of formula (la) by reaction with a suitably substituted amine of the general formula (1-1 1 ), such as, for example, 2,3-dihydro-1 H-pyrrolo[3,4-c]pyridine or a salt thereof, in the presence of a suitable base, such as, for example triethylamine, in a suitable solvent system, such as, for example, DMF, in a temperature range from 0°C to the boiling point of the respective solvent, preferably the reaction is carried out at room temperature.
A route for the preparation of compounds of formula (lb) is described in Scheme 15. Scheme 15
Scheme 15: Route for the preparation of compounds of formula (lb), wherein R\ R0, R , n, m, A, B, C, D, Q, V, W, Y and Z have the meaning as given for general formula (I), supra. X2 represents a leaving group such as for example a CI or Br atom or an aryl sulfonate such as for example p-toluene sulfonate, or a alkyl sulfonate such as for example methane sulfonate or trifluoromethane sulfonate (triflate group).
L represents a leaving group such as, for example, a Ci-C3-haloalkyl such as, for example, trichloromethyl, or an imid such as, for example, pyrrolidine-2,5-dione, or a 4-nitrophenyl.
In addition, interconversion of any of the substituents R\ R0, R , L , A, B, C, D, V, W, Y and Z can be achieved before and/or after the exemplified transformations. These modifications can be such as the introduction of protecting groups, cleavage of protecting groups, reduction or oxidation of functional groups, halogenation, metallation, substitution or other reactions known to the person skilled in the art. These transformations include those which introduce a functionality which allows for further interconversion of substituents. Appropriate protecting groups and their introduction and cleavage are well-known to the person skilled in the art (see for example T.W. Greene and P.G.M. Wuts in Protective Groups in Organic Synthesis, 3rd edition, Wiley 1999). Specific examples are described in the subsequent paragraphs. Compounds 1-7, 1 -9, 1-1 1 , 1 -59, 1-62, and 1 -63 are either commercially available or can be prepared according to procedures available from the public domain, as understandable to the person skilled in the art. Specific examples are described in the subsequent paragraphs.
A suitably substituted aromatic ketone of general formula (1-62), such as, for example, 1-(4- bromophenyl)ethanone, can be reacted with a suitable substituted intermediate of general formula (1 -63), such as, for example, ethyl 2-bromo-2-methylpropanoate, in the presence of a suitable base, such as, for example, lithium 1 , 1 , 1 ,3,3,3-hexamethyldisilazan-2-ide, in a suitable solvent system, such as, for example, THF, at temperatures ranging from - 100°C to boiling point of the respective solvent, preferably the reaction is carried out at - 78°C, to furnish intermediates of general formula (1-64). Intermediates of general formula (1 -64) can be converted to intermediates of general formula (1 - 65) by reaction with a suitably hydrazine of the general formula (1 -7), such as, for example, methylhydrazine, in a suitable solvent system, such as, for example, propan-1-ol, in a temperature range from - 20°C to the boiling point of the respective solvent, preferably the reaction is carried out at 0°C.
Intermediates of general formula (1 -65) can be reacted with a suitable substituted imine, such as, for example 1 , 1 -diphenylmethanimine (1-59), in the presence of a suitable base, such as, for example caesium carbonate, and a suitable palladium catalyst, such as for example bis(dibenzylideneacetone)-palladium(0), in the presence of a suitable ligand, such as for example 9(9,9-dimethyl-9H-xanthene-4,5-diyl)bis(diphenylphosphine), in a suitable solvent system, such as, for example, 1 ,4-dioxane, in a temperature range from room temperature to the boiling point of the respective solvent, preferably the reaction is carried out at at 110°C and subsequent treatment with a suitable Broensted acid, such as, for example, hydrochloric acid or sulphuric acid, at temperatures ranging from 0 °C to the boiling point of the respective Broensted acid, preferably the reaction is carried out at 100 °C, to furnish compounds of formula (1-66). Alternatively the following palladium catalysts can be used: allylpalladium chloride dimmer, dichlorobis(benzonitrile)palladium (II), palladium (II) acetate, palladium (II) chloride, tetrakis(triphenylphosphine)palladium (0), tris(dibenzylideneacetone)dipalladium (0), chloro(2'-amino-1 ,1 '-biphenyl-2-yl)palladium(ll) dimer, (2'-amino-1 ,1 '-biphenyl-2-yl)methanesulfonatopalladium(ll) dimer, trans-di^-acetato)bis[o-(di-o- tolylphosphino)benzyl]dipalladium(ll) [cataCXium® C], allylchloro[1 ,3-bis(2,4,6- trimethylphenyl)imidazol-2-ylidene]palladium(ll), allylchloro[1 ,3-bis(2,6- diisopropylphenyl)imidazol-2-ylidene]palladium(ll), chloro[(1 ,3-dimesitylimidazol-[1 ,3-bis(2,4,6- trimethylphenyl)-1 ,3-dihydro-2H-imidazol-2-ylidene](chloro){2- [(dimethylamino)methyl]phenyl}palladium, chloro[(1 ,2,3-N)-3-phenyl-2-propenyl][1 ,3-bis(2,6-di- iso-propylphenyl)imidazol-2-ylidene]palladium(ll), [2-(acetylamino)phenyl]{1 ,3-bis[2,6-di(propan- 2-yl)phenyl]-1 ,3-dihydro-2H-imidazol-2-ylidene}chloropalladium, {1 ,3-bis[2,6-di(propan-2- yl)phenyl]-1 ,3-dihydro-2H-imidazol-2-ylidene}(chloro){2-[(dimethylamino)methyl]^
palladium, {1 ,3-bis[2,6-di(propan-2-yl)phenyl]-2,3-dihydro-1 H-imidazol-2-yl}(dichloro)(3- chloropyridine-kappaN)palladium, [1 ,3-bis(2,6-diisopropylphenyl) imidazol-2-ylidene](3- chloropyridyl)palladium(ll) dichloride, [2-(acetylamino)-4-methoxyphenyl]{1 ,3-bis[2,6-di(propan-2- yl)phenyl]-1 ,3-dihydro-2H-imidazol-2-ylidene}chloropalladium, {1 ,3-bis[2,6-di(propan-2- yl)phenyl]-1 ,3-dihydro-2H-imidazol-2-ylidene}(chloro){2-[(dimethylamino)m
dimethoxyphenyl}palladium, dichloro[1 ,3-bis(2,6-di-3-pentylphenyl)imidazol-2-ylidene](3- chloropyridyl)palladium(ll), dichloro(di-p-chloro)bis[1 ,3-bis(2,6-di-iso-propylphenyl)imidazol-2- ylidene]dipalladium(ll), 2-(2'-di-tert-butylphosphine)biphenylpalladium(ll) acetate, chloro[dicyclohexyl(2\6'-dimethoxybiphenyl-2-yl)-lambda5-phosphanyl][2-(phenyl^
kappaC2)ethanaminato-kappaN]palladium, [2-(2-aminoethyl)phenyl](chloro)palladium - di-tert- butyl[2',4',6'-tri(propan-2-yl)biphenyl-2-yl]phosphane, {dicyclohexyl[2',4',6'-tri(propan-2- yl)biphenyl-2-yl]phosphane}{2-[2-(methylazanidyl-kappaN)ethyl]phenyl-kappaC1}palladi chloro(2-dicyclohexylphosphino-2\6'-dimethoxy-1 ,1 '-biphenyl)(2'-amino-1 ,1 -biphenyl-2-yl) palladium(ll), [2',6'-bis(propan-2-yloxy)biphenyl-2-yl](dicyclohexyl)phosphane - [2-(2- aminoethyl)phenyl](chloro)palladium, [2-(2-aminoethyl)phenyl](chloro){dicyclohexyl[2',4',6'- tri(propan-2-yl)biphenyl-2-yl]-lambda5-phosphanylidene}palladium, 2'-(dicyclohexylphosphanyl)- N,N,N',N'-tetramethylbiphenyl-2,6-diamine - (2'-aminobiphenyl-2-yl)(chloro)palladium, chloro(2- dicyclohexylphosphino-2',6'-di-iso-propoxy-1 , 1 '-biphenyl)(2-amino-1 , 1 '-biphenyl-2- yl)palladium(ll), [2'-(azanidyl-kappaN)biphenyl-2-yl-kappaC2](chloro){dicyclohexyl[2',4',6'- tri(propan-2-yl)biphenyl-2-yl]-lambda5-phosphanyl}palladium, (2'-aminobiphenyl-2- yl)(methanesulfonato-kappaO)palladium - di-tert-butyl[2',4',6'-tri(propan-2-yl)biphenyl-2- yl]phosphane, (2'-aminobiphenyl-2-yl)palladium(1 +) methanesulfonate - di-tert-butyl[2',4',6'- tri(propan-2-yl)biphenyl-2-yl]phosphane, dicyclohexyl[3,6-dimethoxy-2',4',6'-tri(propan-2- yl)biphenyl-2-yl]phosphane - [2-(2-aminoethyl)phenyl](chloro)palladium, (2'-aminobiphenyl-2- yl)palladium(1 +) methanesulfonate - 2'-(dicyclohexylphosphanyl)-N,N,N',N'-tetramethylbiphenyl- 2,6-diamine, sodium 2'-(dicyclohexylphosphanyl)-2,6-dimethoxybiphenyl-3-sulfonate - (2'- aminobiphenyl-2-yl)(chloro)palladium, chloro(2-dicyclohexylphosphino-2',4',6'-tri-iso-propyl-1 , 1 '- biphenyl)[2-(2-aminoethyl)phenyl]palladium(ll), (2'-aminobiphenyl-2-yl)(methanesulfonato- kappaO)palladium - [2',6'-bis(propan-2-yloxy)biphenyl-2-yl](dicyclohexyl)phosphane, (2'- aminobiphenyl-2-yl)(methanesulfonato-kappaO)palladium - dicyclohexyl[2',4',6'-tri(propan-2- yl)biphenyl-2-yl]phosphane, (2'-aminobiphenyl-2-yl)palladium(1 +) methanesulfonate dicyclohexyl[2',4',6'-tri(propan-2-yl)biphenyl-2-yl]phosphane, dicyclohexyl[3,6-dimethoxy-2',4',6'- tri(propan-2-yl)biphenyl-2-yl]phosphane - (2'-aminobiphenyl-2-yl)(chloro)palladium, (2'- aminobiphenyl-2-yl)(methanesulfonato-kappaO)palladium - di-tert-butyl[3,6-dimethoxy-2',4',6'- tri(propan-2-yl)biphenyl-2-yl]phosphane, (2'-aminobiphenyl-2-yl)(methanesulfonato- kappaO)palladium - dicyclohexyl[3,6-dimethoxy-2',4',6'-tri(propan-2-yl)biphenyl-2-yl]phosphane or the following ligands: racemic-2,2'-bis(diphenylphosphino)-1 ,1 '-binaphthyl, rac-BINAP, 1 ,1 '-bis(diphenyl- phosphino)ferrocene, bis(2-diphenylphosphinophenyl)ether, di-tert-butylmethylphosphonium tetrafluoroborate, 2-(di-tert-butylphosphino)biphenyl, tri-tert-butylphosphonium tetrafluoroborate, tri-2-furylphosphine, tris(2,4-di-tert-butylphenyl)phosphite, tri-o-tolylphosphine, (9,9-dimethyl-9H- xanthene-4,5-diyl)bis(diphenylphosphine), dicyclohexyl(2',4',6'-triisopropyl-3,6- dimethoxybiphenyl-2-yl)phosphine, di-tert-butyl (2',4',6'-triisopropyl-3,6-dimethoxybiphenyl-2- yl)phosphine, di-tert-butyl(2',4',6'-triiso propylbiphenyl-2-yl)phosphine, dicyclohexyl(2',4',6'- triisopropylbiphenyl-2-yl) phosphine, di-tert-butyl(2',4',6'-triisopropyl-3-methoxy-6- methylbiphenyl-2-yl)phosphine, di-tert-butyl(2',4',6'-triisopropyl-3,4,5,6-tetramethylbiphenyl-2-yl) phosphine, adamantan-1-yl(adamantan-2-yl)(2',4',6'-triisopropyl-3,6-dimethoxybiphenyl-2-yl) phosphine, dicyclohexyl(2',6'-dimethoxybiphenyl-2-yl)phosphine, dicyclohexyl(2',6'- diisopropoxybiphenyl-2-yl)phosphine, 2'-(dicyclohexylphosphino)-N,N-dimethyl-biphenyl-2- amine, 2'-(di-tert-butylphosphino)-N,N-dimethylbiphenyl-2-amine, 2'-(di-phenylphosphino)- N,N,N',N'-tetramethylbiphenyl-2,6-diamine, di-tert-butyl(2',4',6'-tricyclohexyl-3,6- dimethoxybiphenyl-2-yl)phosphine, bis[3,5-bis(trifluoromethyl)phe-nyl] (2',4',6'-triisopropyl-3,6- dimethoxybiphenyl-2-yl)phosphine, biphenyl-2-yl(di-tert-butyl)phosphine, dicyclohexyl(2'- methylbiphenyl-2-yl)phosphine, biphenyl-2-yl (dicyclohexyl)phosphine, 2'-
(dicyclohexylphosphino)-N,N-dimethylbiphenyl-2-amine, 2'-(dicyclohexylphosphino)-N,N,N',N'- tetramethylbiphenyl-2,6-diamine, sodium 2'-(dicyclohexylphosphino)-2,6-diisopropylbiphenyl-4- sulfonate, sodium 2'-(dicyclohexylphosphino)-2,6-dimethoxybiphenyl-3-sulfonate, 1 , 1 '- binaphthalen-2-yl(di-tert-butyl)phosphine.
Intermediates of general formula (1-66) are treated with a carbonate of general formula (1 -9), such as, for example, 1 , 1 '-[carbonylbis(oxy)]dipyrrolidine-2,5-dione, in the presence of a suitable base, such as for example, N,N-dimethylpyridin-4-amine, in a suitable solvent system, such as, for example, DMF, at a temperature between 0°C and the boiling point of the respective solvent, preferably the reaction is carried out at room temperature to form the desired intermediate of general formula (1 -67).
Intermediates of general formula (1-67) can be converted to compounds of formula (lb) by reaction with a suitably substituted amine of the general formula (1-1 1 ), such as, for example, 2,3-dihydro-1 H-pyrrolo[3,4-c]pyridine or a salt thereof, in the presence of a suitable base, such as, for example triethylamine, in a suitable solvent system, such as, for example, DMF, in a temperature range from 0°C to the boiling point of the respective solvent, preferably the reaction is carried out at room temperature.
A route for the preparation of compounds of formula (1 -65) is described in Scheme 16. Scheme 16
1 -65
Scheme 16: Route for the preparation of compounds of formula (1 -65), wherein R , R0, R , V, W, Y and Z have the meaning as given for general formula (I), supra.
X2 represents a leaving group such as for example a CI or Br atom or an aryl sulfonate such as for example p-toluene sulfonate, or a alkyl sulfonate such as for example methane sulfonate or trifluoromethane sulfonate (triflate group).
In addition, interconversion of any of the substituents R\ R0, R \ V, W, Y and Z can be achieved before and/or after the exemplified transformations. These modifications can be such as the introduction of protecting groups, cleavage of protecting groups, reduction or oxidation of functional groups, halogenation, metallation, substitution or other reactions known to the person skilled in the art. These transformations include those which introduce a functionality which allows for further interconversion of substituents. Appropriate protecting groups and their introduction and cleavage are well-known to the person skilled in the art (see for example T.W. Greene and P.G.M. Wuts in Protective Groups in Organic Synthesis, 3rd edition, Wiley 1999). Specific examples are described in the subsequent paragraphs.
Compounds 1-7 and 1-68 are either commercially available or can be prepared according to procedures available from the public domain, as understandable to the person skilled in the art. Specific examples are described in the subsequent paragraphs.
A suitably substituted aromatic halide of general formula (1 -15), such as, for example, N- bromobenzene, can be reacted with a suitable substituted anhydride (1 -68), such as, for example, 3,3-dimethyldihydrofuran-2,5-dione, in the presence of a Lewis acid, such as, for example, aluminium trichloride, in a suitable solvent system, such as, for example,
dichloromethane, at temperatures ranging from - 20°C to boiling point of the respective solvent, preferably the reaction is carried out at 0°C, to furnish intermediates of general formula (1 -69).
Intermediates of general formula (1 -69) can be converted to intermediates of general formula (1 - 65) by reaction with a suitably hydrazine of the general formula (1 -7), such as, for example, methylhydrazine, in a suitable solvent system, such as, for example, propan-1-ol, in a temperature range from - 20°C to the boiling point of the respective solvent, preferably the reaction is carried out at 80°C.
An alternative route for the preparation of compounds of formula (1-65) is described in Scheme 17.
1 -69 1 -74
Scheme 17: Route for the preparation of compounds of formula (1 -65), wherein R , R0, R , V, W, Y and Z have the meaning as given for general formula (I), supra. X1 represents a leaving group such as for example a CI, Br or I, or an aryl sulfonate such as for example p-toluene sulfonate, or a alkyl sulfonate such as for example methane sulfonate or trifluoromethane sulfonate (triflate group).
X2 represents a leaving group such as for example a CI, Br or I atom.
In addition, interconversion of any of the substituents R\ R0, R \ V, W, Y and Z can be achieved before and/or after the exemplified transformations. These modifications can be such as the introduction of protecting groups, cleavage of protecting groups, reduction or oxidation of functional groups, halogenation, metallation, substitution or other reactions known to the person skilled in the art. These transformations include those which introduce a functionality which allows for further interconversion of substituents. Appropriate protecting groups and their introduction and cleavage are well-known to the person skilled in the art (see for example T.W. Greene and P.G.M. Wuts in Protective Groups in Organic Synthesis, 3rd edition, Wiley 1999). Specific examples are described in the subsequent paragraphs.
Compounds 1-33 and 1-35 are either commercially available or can be prepared according to procedures available from the public domain, as understandable to the person skilled in the art. Specific examples are described in the subsequent paragraphs.
Intermediates of general formula (1-69) can be converted to intermediates of general formula (1 - 74) by reaction with a suitably substituted hydrazine of the general formula (1-33), such as, for example, hydrazine hydrate (1 :1 ), in a suitable solvent system, such as, for example, propan-1- ol, in a temperature range from 0°C to the boiling point of the respective solvent, preferably the reaction is carried out at 100°C.
Intermediates of general formula (1 -74) are treated with an intermediate of general formula (1- 35), such as, for example, ethyl trifluoromethanesulfonate, in the presence of a suitable base, such as for example, sodium hydride, in the presence of a suitable phase transfere catalyst, such as for example, N,N,N-tributylbutan-1-aminium iodide in a suitable solvent system, such as, for example, DMF, at a temperature between 0°C and the boiling point of the respective solvent, preferably the reaction is carried out at room temperature to form the desired intermediate of general formula (1-65). A route for the preparation of compounds of formula (1 -64) is described in Scheme 18.
Scheme 17: Route for the preparation of compounds of formula (1 -64), wherein R0, R , V, W, Y and Z have the meaning as given for general formula (I), supra.
X2 represents a leaving group such as for example a CI or Br atom or an aryl sulfonate such as for example p-toluene sulfonate, or a alkyl sulfonate such as for example methane sulfonate or trifluoromethane sulfonate (triflate group).
R3 represents an alkyl or aryl group such as, for example, methyl, ethyl or phenyl.
In addition, interconversion of any of the substituents R0, R , R3, V, W, Y and Z can be achieved before and/or after the exemplified transformations. These modifications can be such as the introduction of protecting groups, cleavage of protecting groups, reduction or oxidation of functional groups, halogenation, metallation, substitution or other reactions known to the person skilled in the art. These transformations include those which introduce a functionality which allows for further interconversion of substituents. Appropriate protecting groups and their introduction and cleavage are well-known to the person skilled in the art (see for example T.W. Greene and P.G.M. Wuts in Protective Groups in Organic Synthesis, 3rd edition, Wiley 1999). Specific examples are described in the subsequent paragraphs.
Compound 1-75 are either commercially available or can be prepared according to procedures available from the public domain, as understandable to the person skilled in the art. Specific examples are described in the subsequent paragraphs. A suitably substituted aromatic ketone of general formula (1-62), such as, for example, 1 -(4- bromophenyl)ethanone, can be reacted with a suitable substituted intermediate of general formula (1 -75), such as, for example, [(1-ethoxyvinyl)oxy](trimethyl)silane - propane (1 :1 ), in the presence of a suitable base, such as, for example, lithium 1 , 1 ,1 ,3,3,3-hexamethyldisilazan-2-ide, in a suitable solvent system, such as, for example, THF, at temperatures ranging from - 100°C to boiling point of the respective solvent, preferably the reaction is carried out at - 78°C, to furnish intermediates of general formula (1-64).
A route for the preparation of compounds of formula (1 -64) is described in Scheme 19.
Scheme 19
Scheme 18: Route for the preparation of compounds of formula (1 -64), wherein R0, R , V, W, Y and Z have the meaning as given for general formula (I), supra.
X2 represents a leaving group such as for example a CI or Br atom or an aryl sulfonate such as for example p-toluene sulfonate, or a alkyl sulfonate such as for example methane sulfonate or trifluoromethane sulfonate (triflate group). In addition, interconversion of any of the substituents R0, R \ V, W, Y and Z can be achieved before and/or after the exemplified transformations. These modifications can be such as the introduction of protecting groups, cleavage of protecting groups, reduction or oxidation of functional groups, halogenation, metallation, substitution or other reactions known to the person skilled in the art. These transformations include those which introduce a functionality which allows for further interconversion of substituents. Appropriate protecting groups and their introduction and cleavage are well-known to the person skilled in the art (see for example T.W. Greene and P.G.M. Wuts in Protective Groups in Organic Synthesis, 3rd edition, Wiley 1999). Specific examples are described in the subsequent paragraphs. Compound 1-75 are either commercially available or can be prepared according to procedures available from the public domain, as understandable to the person skilled in the art. Specific examples are described in the subsequent paragraphs.
A suitably substituted aromatic ketone of general formula (1 -76), such as, for example, 2-bromo- 1-(4-bromophenyl)ethanone, can be reacted with a suitable substituted intermediate of general formula (1-77), such as, for example, ethyl 2-methylpropanoate, in the presence of a suitable base, such as, for example, lithium 1 ,1 ,1 ,3,3,3-hexamethyldisilazan-2-ide, in a suitable solvent system, such as, for example, THF, at temperatures ranging from - 100°C to boiling point of the respective solvent, preferably the reaction is carried out at - 78°C, to furnish intermediates of general formula (1-64).
A route for the preparation of compounds of formula (1 -64) is described in Scheme 20. Scheme 20
Scheme 20: Route for the preparation of compounds of formula (1-8), wherein R0, R , V, W, Y and Z have the meaning as given for general formula (I), supra.
X represents a leaving group such as for example a CI or Br atom, and X2 represents a leaving group such as for example a CI, Br or I atom.
In addition, interconversion of any of the substituents R0, R \ V, W, Y and Z can be achieved before and/or after the exemplified transformations. These modifications can be such as the introduction of protecting groups, cleavage of protecting groups, reduction or oxidation of functional groups, halogenation, metallation, substitution or other reactions known to the person skilled in the art. These transformations include those which introduce a functionality which allows for further interconversion of substituents. Appropriate protecting groups and their introduction and cleavage are well-known to the person skilled in the art (see for example T.W. Greene and P.G.M. Wuts in Protective Groups in Organic Synthesis, 3rd edition, Wiley 1999). Specific examples are described in the subsequent paragraphs. Compound 1-78 is either commercially available or can be prepared according to procedures available from the public domain, as understandable to the person skilled in the art. Specific examples are described in the subsequent paragraphs.
A suitably substituted aromatic halide of general formula (1 -15), such as, for example, N- bromobenzene, can be reacted with a suitable substituted acid chloride (1-78), such as, for example, ethyl 4-chloro-2,2-dimethyl-4-oxobutanoate, in the presence of a Lewis acid, such as, for example, aluminium trichloride, in a suitable solvent system, such as, for example, dichloromethane, at temperatures ranging from - 20°C to boiling point of the respective solvent, preferably the reaction is carried out at 0°C, to furnish intermediates of general formula (1 -64).
One route for the preparation of compounds of formula (I) is described in Scheme 21.
Scheme 21
Scheme 21 : Route for the preparation of compounds of formula (lb), wherein R , R0, n, m, A, B, C, D, Q, V, W, Y and Z have the meaning as given for general formula (I), supra and R5 is hydrogen (not shown in the above structures). X2 represents a leaving group such as for example a CI, Br or I, or an aryl sulfonate such as for example p-toluene sulfonate, or a alkyl sulfonate such as for example methane sulfonate or trifluoromethane sulfonate (triflate group). L represents a leaving group such as, for example, a Ci-C3-haloalkyl such as, for example, trichloromethyl, an imid such as, for example pyrrolidine-2,5-dione or 4-nitrophenyl.
In addition, interconversion of any of the substituents R\ R0, L , A, B, C, D, Q, V, W, Y and Z can be achieved before and/or after the exemplified transformations. These modifications can be such as the introduction of protecting groups, cleavage of protecting groups, reduction or oxidation of functional groups, halogenation, metallation, substitution or other reactions known to the person skilled in the art. These transformations include those which introduce a functionality which allows for further interconversion of substituents. Appropriate protecting groups and their introduction and cleavage are well-known to the person skilled in the art (see for example T.W. Greene and P.G.M. Wuts in Protective Groups in Organic Synthesis, 3rd edition, Wiley 1999). Specific examples are described in the subsequent paragraphs.
Compounds 1 -7, 1 -9, 1 -1 1 , 1 -76 and 1 -79 are either commercially available or can be prepared according to procedures available from the public domain, as understandable to the person skilled in the art. Specific examples are described in the subsequent paragraphs.
Intermediates of general formula (1 -76) can be converted to intermediates of general formula (1 - 80) by reaction with a suitably alkyl malonate of the general formula (1 -79), such as, for example, diethyl methylmalonate, in the presence of a suitable base, such as, for example sodium hydride, in a suitable solvent system, such as, for example, DMF, in a temperature range from - 20°C to the boiling point of the respective solvent, preferably the reaction is carried out at 0°C.
Intermediates of general formula (1 -80) can be reacted with a suitable Broensted acid, such as, for example, hydrochloric acid or sulphuric acid, at temperatures ranging from 0°C to boiling point of the respective Broensted acid, preferably the reaction is carried out at 100°C, to furnish intermediates of general formula (1-81 ).
Intermediates of general formula (1 -81 ) can be converted to intermediates of general formula (1 - 82) by reaction with a suitably hydrazine of the general formula (1 -7), such as, for example, methylhydrazine, in a suitable solvent system, such as, for example, propan-1-ol, in a temperature range from - 20°C to the boiling point of the respective solvent, preferably the reaction is carried out at 80°C.
Intermediates of general formula (1 -82) can be reacted with a suitable substituted imine, such as, for example 1 , 1 -diphenylmethanimine (1-59), in the presence of a suitable base, such as, for example caesium carbonate, and a suitable palladium catalyst, such as for example bis(dibenzylideneacetone)-palladium(0), in the presence of a suitable ligand, such as for example 9(9,9-dimethyl-9H-xanthene-4,5-diyl)bis(diphenylphosphine), in a suitable solvent system, such as, for example, 1 ,4-dioxane, in a temperature range from room temperature to the boiling point of the respective solvent, preferably the reaction is carried out at at 110°C and subsequent treatment with a suitable Broensted acid, such as, for example, hydrochloric acid or sulphuric acid, at temperatures ranging from 0 °C to the boiling point of the respective Broensted acid, preferably the reaction is carried out at 100 °C, to furnish compounds of formula (1-83). Alternatively the following palladium catalysts can be used: allylpalladium chloride dimmer, dichlorobis(benzonitrile)palladium (II), palladium (II) acetate, palladium (II) chloride, tetrakis(triphenylphosphine)palladium (0), tris(dibenzylideneacetone)dipalladium (0), chloro(2'-amino-1 ,1 '-biphenyl-2-yl)palladium(ll) dimer, (2'-amino-1 ,1 '-biphenyl-2-yl)methanesulfonatopalladium(ll) dimer, trans-di^-acetato)bis[o-(di-o- tolylphosphino)benzyl]dipalladium(ll) [cataCXium® C], allylchloro[1 ,3-bis(2,4,6- trimethylphenyl)imidazol-2-ylidene]palladium(ll), allylchloro[1 ,3-bis(2,6- diisopropylphenyl)imidazol-2-ylidene]palladium(ll), chloro[(1 ,3-dimesitylimidazol-[1 ,3-bis(2,4,6- trimethylphenyl)-1 ,3-dihydro-2H-imidazol-2-ylidene](chloro){2-
[(dimethylamino)methyl]phenyl}palladium, chloro[(1 ,2,3-N)-3-phenyl-2-propenyl][1 ,3-bis(2,6-di- iso-propylphenyl)imidazol-2-ylidene]palladium(ll), [2-(acetylamino)phenyl]{1 ,3-bis[2,6-di(propan- 2-yl)phenyl]-1 ,3-dihydro-2H-imidazol-2-ylidene}chloropalladium, {1 ,3-bis[2,6-di(propan-2- yl)phenyl]-1 ,3-dihydro-2H-imidazol-2-ylidene}(chloro){2-[(dimethylamino)methyl]^
palladium, {1 ,3-bis[2,6-di(propan-2-yl)phenyl]-2,3-dihydro-1 H-imidazol-2-yl}(dichloro)(3- chloropyridine-kappaN)palladium, [1 ,3-bis(2,6-diisopropylphenyl) imidazol-2-ylidene](3- chloropyridyl)palladium(ll) dichloride, [2-(acetylamino)-4-methoxyphenyl]{1 ,3-bis[2,6-di(propan-2- yl)phenyl]-1 ,3-dihydro-2H-imidazol-2-ylidene}chloropalladium, {1 ,3-bis[2,6-di(propan-2- yl)phenyl]-1 ,3-dihydro-2H-imidazol-2-ylidene}(chloro){2-[(dimethylamino)m
dimethoxyphenyl}palladium, dichloro[1 ,3-bis(2,6-di-3-pentylphenyl)imidazol-2-ylidene](3- chloropyridyl)palladium(ll), dichloro(di-p-chloro)bis[1 ,3-bis(2,6-di-iso-propylphenyl)imidazol-2- ylidene]dipalladium(ll), 2-(2'-di-tert-butylphosphine)biphenylpalladium(ll) acetate, chloro[dicyclohexyl(2\6'-dimethoxybiphenyl-2-yl)-lambda5-phosphanyl][2-(phenyl^
kappaC2)ethanaminato-kappaN]palladium, [2-(2-aminoethyl)phenyl](chloro)palladium - di-tert- butyl[2',4',6'-tri(propan-2-yl)biphenyl-2-yl]phosphane, {dicyclohexyl[2',4',6'-tri(propan-2- yl)biphenyl-2-yl]phosphane}{2-[2-(methylazanidyl-kappaN)ethyl]phenyl-kappaC1}palladi chloro(2-dicyclohexylphosphino-2\6'-dimethoxy-1 ,1 '-biphenyl)(2'-amino-1 ,1 -biphenyl-2-yl) palladium(ll), [2',6'-bis(propan-2-yloxy)biphenyl-2-yl](dicyclohexyl)phosphane - [2-(2- aminoethyl)phenyl](chloro)palladium, [2-(2-aminoethyl)phenyl](chloro){dicyclohexyl[2',4',6'- tri(propan-2-yl)biphenyl-2-yl]-lambda5-phosphanylidene}palladium, 2'-(dicyclohexylphosphanyl)- N,N,N',N'-tetramethylbiphenyl-2,6-diamine - (2'-aminobiphenyl-2-yl)(chloro)palladium, chloro(2- dicyclohexylphosphino-2',6'-di-iso-propoxy-1 , 1 '-biphenyl)(2-amino-1 , 1 '-biphenyl-2- yl)palladium(ll), [2'-(azanidyl-kappaN)biphenyl-2-yl-kappaC2](chloro){dicyclohexyl[2',4',6'- tri(propan-2-yl)biphenyl-2-yl]-lambda5-phosphanyl}palladium, (2'-aminobiphenyl-2- yl)(methanesulfonato-kappaO)palladium - di-tert-butyl[2',4',6'-tri(propan-2-yl)biphenyl-2- yl]phosphane, (2'-aminobiphenyl-2-yl)palladium(1 +) methanesulfonate - di-tert-butyl[2',4',6'- tri(propan-2-yl)biphenyl-2-yl]phosphane, dicyclohexyl[3,6-dimethoxy-2',4',6'-tri(propan-2- yl)biphenyl-2-yl]phosphane - [2-(2-aminoethyl)phenyl](chloro)palladium, (2'-aminobiphenyl-2- yl)palladium(1 +) methanesulfonate - 2'-(dicyclohexylphosphanyl)-N,N,N',N'-tetramethylbiphenyl- 2,6-diamine, sodium 2'-(dicyclohexylphosphanyl)-2,6-dimethoxybiphenyl-3-sulfonate - (2'- aminobiphenyl-2-yl)(chloro)palladium, chloro(2-dicyclohexylphosphino-2',4',6'-tri-iso-propyl-1 , 1 '- biphenyl)[2-(2-aminoethyl)phenyl]palladium(ll), (2'-aminobiphenyl-2-yl)(methanesulfonato- kappaO)palladium - [2',6'-bis(propan-2-yloxy)biphenyl-2-yl](dicyclohexyl)phosphane, (2'- aminobiphenyl-2-yl)(methanesulfonato-kappaO)palladium - dicyclohexyl[2',4',6'-tri(propan-2- yl)biphenyl-2-yl]phosphane, (2'-aminobiphenyl-2-yl)palladium(1 +) methanesulfonate dicyclohexyl[2',4',6'-tri(propan-2-yl)biphenyl-2-yl]phosphane, dicyclohexyl[3,6-dimethoxy-2',4',6'- tri(propan-2-yl)biphenyl-2-yl]phosphane - (2'-aminobiphenyl-2-yl)(chloro)palladium, (2'- aminobiphenyl-2-yl)(methanesulfonato-kappaO)palladium - di-tert-butyl[3,6-dimethoxy-2',4',6'- tri(propan-2-yl)biphenyl-2-yl]phosphane, (2'-aminobiphenyl-2-yl)(methanesulfonato- kappaO)palladium - dicyclohexyl[3,6-dimethoxy-2',4',6'-tri(propan-2-yl)biphenyl-2-yl]phosphane or the following ligands: racemic-2,2'-bis(diphenylphosphino)-1 ,1 '-binaphthyl, rac-BINAP, 1 ,1 '-bis(diphenyl- phosphino)ferrocene, bis(2-diphenylphosphinophenyl)ether, di-tert-butylmethylphosphonium tetrafluoroborate, 2-(di-tert-butylphosphino)biphenyl, tri-tert-butylphosphonium tetrafluoroborate, tri-2-furylphosphine, tris(2,4-di-tert-butylphenyl)phosphite, tri-o-tolylphosphine, (9,9-dimethyl-9H- xanthene-4,5-diyl)bis(diphenylphosphine), dicyclohexyl(2',4',6'-triisopropyl-3,6- dimethoxybiphenyl-2-yl)phosphine, di-tert-butyl (2',4',6'-triisopropyl-3,6-dimethoxybiphenyl-2- yl)phosphine, di-tert-butyl(2',4',6'-triiso propylbiphenyl-2-yl)phosphine, dicyclohexyl(2',4',6'- triisopropylbiphenyl-2-yl) phosphine, di-tert-butyl(2',4',6'-triisopropyl-3-methoxy-6- methylbiphenyl-2-yl)phos-phine, di-tert-butyl(2',4',6'-triisopropyl-3,4,5,6-tetramethylbiphenyl-2-yl) phosphine, adamantan-1-yl(adamantan-2-yl)(2\4\6'-triisopropyl-3,6-dimethoxybiphenyl-2-yl) phosphine, dicyclohexyl(2',6'-dimethoxybiphenyl-2-yl)phosphine, dicyclohexyl(2',6'- diisopropoxybiphenyl-2-yl)phosphine, 2'-(dicyclohexylphosphino)-N,N-dimethyl-biphenyl-2- amine, 2'-(di-tert-butylphosphino)-N,N-dimethylbiphenyl-2-amine, 2'-(di-phenylphosphino)- N,N,N',N'-tetramethylbiphenyl-2,6-diamine, di-tert-butyl(2',4',6'-tricyclohexyl-3,6- dimethoxybiphenyl-2-yl)phosphine, bis[3,5-bis(trifluoromethyl)phe-nyl] (2',4',6'-triisopropyl-3,6- dimethoxybiphenyl-2-yl)phosphine, biphenyl-2-yl(di-tert-butyl)phosphine, dicyclohexyl(2'- methylbiphenyl-2-yl)phosphine, biphenyl-2-yl (dicyclohexyl)phosphine, 2'-
(dicyclohexylphosphino)-N,N-dimethylbiphenyl-2-amine, 2'-(dicyclohexylphosphino)-N,N,N',N'- tetramethylbiphenyl-2,6-diamine, sodium 2'-(dicyclohexylphosphino)-2,6-diisopropylbiphenyl-4- sulfonate, sodium 2'-(dicyclohexylphosphino)-2,6-dimethoxybiphenyl-3-sulfonate, 1 , 1 '- binaphthalen-2-yl(di-tert-butyl)phosphine.
Intermediates of general formula (1-83) are treated with a carbonate of general formula (1 -9), such as, for example, 1 , 1 '-[carbonylbis(oxy)]dipyrrolidine-2,5-dione, in the presence of a suitable base, such as for example, N,N-dimethylpyridin-4-amine, in a suitable solvent system, such as, for example, DMF, at a temperature between 0°C and the boiling point of the respective solvent, preferably the reaction is carried out at room temperature to form the desired intermediate of general formula (1-84).
Intermediates of general formula (1 -84) can be converted to compounds of formula (I) by reaction with a suitably substituted amine of the general formula (1-1 1 ), such as, for example, 2,3-dihydro-1 H-pyrrolo[3,4-c]pyridine or a salt thereof, in the presence of a suitable base, such as, for example triethylamine, in a suitable solvent system, such as, for example, DMF, in a temperature range from 0°C to the boiling point of the respective solvent, preferably the reaction is carried out at room temperature.
It is known to the person skilled in the art that, if there are a number of reactive centers on a starting or intermediate compound, it may be necessary to block one or more reactive centers temporarily by protective groups in order to allow a reaction to proceed specifically at the desired reaction center. A detailed description for the use of a large number of proven protective groups is found, for example, in T. W. Greene, Protective Groups in Organic Synthesis, John Wiley & Sons, 1999, 3rd Ed., or in P. Kocienski, Protecting Groups, Thieme Medical Publishers, 2000. The compounds according to the invention are isolated and purified in a manner known per se, e.g. by distilling off the solvent in vacuo and recrystallizing the residue obtained from a suitable solvent or subjecting it to one of the customary purification methods, such as chromatography on a suitable support material. Furthermore, reverse phase preparative HPLC of compounds of the present invention which possess a sufficiently basic or acidic functionality, may result in the formation of a salt, such as, in the case of a compound of the present invention which is sufficiently basic, a trifluoroacetate or formate salt for example, or, in the case of a compound of the present invention which is sufficiently acidic, an ammonium salt for example. Salts of this type can either be transformed into its free base or free acid form, respectively, by various methods known to the persion skilled in the art, or be used as salts in subsequent biological assays. Additionally, the drying process during the isolation of compounds of the present invention may not fully remove traces of cosolvents, especially such as formic acid or trifluoroacetic acid, to give solvates or inclusion complexes. The person skilled in the art will recognise which solvates or inclusion complexes are acceptable to be used in subsequent biological assays. It is to be understood that the specific form (e.g. salt, free base, solvate, inclusion complex) of a compound of the present invention as isolated as described herein is not necessarily the only form in which said compound can be applied to a biological assay in order to quantify the specific biological activity.
Salts of the compounds of formula (I) or (II) according to the invention can be obtained by dissolving the free compound in a suitable solvent (for example a ketone such as acetone, methylethylketone or methylisobutylketone, an ether such as diethyl ether, tetrahydrofuran or dioxane, a chlorinated hydrocarbon such as methylene chloride or chloroform, or a low molecular weight aliphatic alcohol such as methanol, ethanol or isopropanol) which contains the desired acid or base, or to which the desired acid or base is then added. The acid or base can be employed in salt preparation, depending on whether a mono- or polybasic acid or base is concerned and depending on which salt is desired, in an equimolar quantitative ratio or one differing therefrom. The salts are obtained by filtering, reprecipitating, precipitating with a non- solvent for the salt or by evaporating the solvent. Salts obtained can be converted into the free compounds which, in turn, can be converted into salts. In this manner, pharmaceutically unacceptable salts, which can be obtained, for example, as process products in the manufacturing on an industrial scale, can be converted into pharmaceutically acceptable salts by processes known to the person skilled in the art. Especially preferred are hydrochlorides and the process used in the examples section.
Pure diastereomers and pure enantiomers of the compounds and salts according to the invention can be obtained e.g. by asymmetric synthesis, by using chiral starting compounds in synthesis and by splitting up enantiomeric and diasteriomeric mixtures obtained in synthesis.
Enantiomeric and diastereomeric mixtures can be split up into the pure enantiomers and pure diastereomers by methods known to a person skilled in the art. Preferably, diastereomeric mixtures are separated by crystallization, in particular fractional crystallization, or chromatography. Enantiomeric mixtures can be separated e.g. by forming diastereomers with a chiral auxiliary agent, resolving the diastereomers obtained and removing the chiral auxiliary agent. As chiral auxiliary agents, for example, chiral acids can be used to separate enantiomeric bases such as e.g. mandelic acid and chiral bases can be used to separate enantiomeric acids via formation of diastereomeric salts. Furthermore, diastereomeric derivatives such as diastereomeric esters can be formed from enantiomeric mixtures of alcohols or enantiomeric mixtures of acids, respectively, using chiral acids or chiral alcohols, respectively, as chiral auxiliary agents. Additionally, diastereomeric complexes or diastereomeric clathrates may be used for separating enantiomeric mixtures. Alternatively, enantiomeric mixtures can be split up using chiral separating columns in chromatography. Another suitable method for the isolation of enantiomers is the enzymatic separation. One preferred aspect of the invention is the process for the preparation of the compounds of claims 1 to6 according to the examples. Optionally, compounds of the formula (I) or (II) can be converted into their salts, or, optionally, salts of the compounds of the formula (I) or (II) can be converted into the free compounds. Corresponding processes are customary for the skilled person.
Optionally, compounds of the formula (I) or (II) can be converted into their N-oxides. The N-oxide may also be introduced by way of an intermediate. N-oxides may be prepared by treating an appropriate precursor with an oxidizing agent, such as meta-chloroperbenzoic acid, in an appropriate solvent, such as DCM, at suitable temperatures, such as from 0 °C to 40 °C, whereby room temperature is generally preferred. Further corresponding processes for forming N-oxides are customary for the skilled person. One preferred aspect of the invention is the process for the preparation of the compounds of claims 1 -6 according to the examples, as well as the intermediates used for their preparation.
Optionally, compounds of the formula (I) or (II) can be converted into their salts, or, optionally, salts of the compounds of the formula (I) or (II) can be converted into the free compounds. Corresponding processes are customary for the skilled person. A further aspect of the present invention is a method of preparing a compound of formula (lc) as defined in the aspects and embodiments described herein, said method comprising the step of allowing an intermediate compound of formula (1 -10) :
1-10
in which R , R
2, V, W, Y and Z are as defined for the compound of formula (lc) in any one of in the aspects and embodiments described herein, and L represents a leaving group such as, for example, a Ci-C3-haloalkyl such as, for example, trichloromethyl or a imid such as, for example, pyrrolidine-2,5-dione, to react with a compound of formula (1-1 1 ) :
1 -11
in which A, B, C, D, n and m are as defined for the compound of formula (I) in the aspects and embodiments described herein,
thereby giving a compound of formula (Ic) :
(Ic) in which R\ R2, A, B, C, D, n, m, V, W, Y and Z are as defined for the compound of formula (Ic) in the aspects and embodiments described herein.
A further aspect of the present invention is a method of preparing a compound of I formula (Ic) as defined in the aspects and embodiments described herein, said method comprising the step of allowing an intermediate compound of formula (1 -28) :
in which R , R
2, V, W, Y and Z are as defined for the compound of formula (Ic) in the aspects and embodiments described herein, and L
2 represents a group such as, for example, a H, CI or Br atom or an nitro group, pound of formula (1-1 1 ) :
1 -11
in which A, B, C, D, n and m are as defined for the compound of formula (Ic) in the aspects and embodiments described herein,
thereby giving a compound of formula (Ic) :
(I) in which R , R2, A, B, C, D, n, m, V, W, Y and Z are as defined for the compound of formula (Ic) in the aspects and embodiments described herein.
A further aspect of the present invention is a method of preparing a compound of formula (la) as defined in the aspects and embodiments described herein, said method comprising the step of allowing an intermediate compound of formula (1 -61 ) :
1 -61 in which R , R
2, R
9, V, W, Y and Z are as defined for the compound of formula (I) in the aspects and embodiments described herein, and L represents a leaving group such as, for example, a Ci-C3-haloalkyl such as, for example, trichloromethyl or an imid such as, for example, pyrrolidine-2,5-dione or 4-nitrophenyl, pound of formula (1 -1 1 )
1 -11
in which A, B, C, D, n and m are as defined for the compound of formula (I) in the aspects and embodiments described herein,
thereby giving a compound of formula (la) :
in which R\ R
2, R
9, A, B, C, D, n, m, V, W, Y and Z are as defined for the compound of formula (I) in the aspects and embodiments described herein.
A further aspect of the present invention is a method of preparing a compound of I formula (lb) as defined in the aspects and embodiments described herein, said method comprising the step of allowing an intermediate compound of formula (1 -67) :
1 -67
in which R , R
0, R , V, W, Y and Z are as defined for the compound of formula (I) in the aspects and embodiments described herein, and L represents a leaving group such as, for example, a Ci-C3-haloalkyl such as, for example, trichloromethyl, or an imide such as, for example, pyrrolidine-2,5-dione, or a 4-nitrophenyl, pound of formula (1-1 1 )
1 -11
in which A, B, C, D, n and m are as defined for the compound of formula (I) in the aspects and embodiments described herein,
thereby giving a compound of formula (lb) :
in which R\ R
0, R , A, B, C, D, n, m, V, W, Y and Z are as defined for the compound of formula (I) in the aspects and embodiments described herein. Methods of Sensitizing Cells to Radiation
In a distinct embodiment of the present invention, a compound of the present invention may be used to sensitize a cell to radiation. That is, treatment of a cell with a compound of the present invention prior to radiation treatment of the cell renders the cell more susceptible to DNA damage and cell death than the cell would be in the absence of any treatment with a compound of the invention. In one aspect, the cell is treated with at least one compound of the invention.
Thus, the present invention also provides a method of killing a cell, wherein a cell is administered one or more compounds of the invention in combination with conventional radiation therapy. The present invention also provides a method of rendering a cell more susceptible to cell death, wherein the cell is treated one or more compounds of the invention prior to the treatment of the cell to cause or induce cell death. In one aspect, after the cell is treated with one or more compounds of the invention, the cell is treated with at least one compound, or at least one method, or a combination thereof, in order to cause DNA damage for the purpose of inhibiting the function of the normal cell or killing the cell.
In one embodiment, a cell is killed by treating the cell with at least one DNA damaging agent. That is, after treating a cell with one or more compounds of the invention to sensitize the cell to cell death, the cell is treated with at least one DNA damaging agent to kill the cell. DNA damaging agents useful in the present invention include, but are not limited to, chemotherapeutic agents (e.g., cisplatinum), ionizing radiation (X-rays, ultraviolet radiation), carcinogenic agents, and mutagenic agents.
In another embodiment, a cell is killed by treating the cell with at least one method to cause or induce DNA damage. Such methods include, but are not limited to, activation of a cell signalling pathway that results in DNA damage when the pathway is activated, inhibiting of a cell signalling pathway that results in DNA damage when the pathway is inhibited, and inducing a biochemical change in a cell, wherein the change results in DNA damage. By way of a non-limiting example, a DNA repair pathway in a cell can be inhibited, thereby preventing the repair of DNA damage and resulting in an abnormal accumulation of DNA damage in a cell.
In one aspect of the invention, a compound of the invention is administered to a cell prior to the radiation or other induction of DNA damage in the cell. In another aspect of the invention, a compound of the invention is administered to a cell concomitantly with the radiation or other induction of DNA damage in the cell. In yet another aspect of the invention, a compound of the invention is administered to a cell immediately after radiation or other induction of DNA damage in the cell has begun.
In another aspect, the cell is in vitro. In another embodiment, the cell is in vivo.
Commercial utility
As mentioned supra, the compounds of the present invention have surprisingly been found to effectively inhibit NAMPT finally resulting in cell death e.g. apoptosis and may therefore be used for the treatment or prophylaxis of diseases of uncontrolled cell growth, proliferation and/or survival, inappropriate cellular immune responses, or inappropriate cellular inflammatory responses, or diseases which are accompanied with uncontrolled cell growth, proliferation and/or survival, inappropriate cellular immune responses, or inappropriate cellular inflammatory responses, particularly in which the uncontrolled cell growth, proliferation and/or survival, inappropriate cellular immune responses, or inappropriate cellular inflammatory responses is mediated by NAMPT, such as, for example, benign and malignant neoplasia, more specifically haematological tumours, solid tumours, and/or metastases thereof, e.g. leukaemias and myelodysplasia syndrome, malignant lymphomas, head and neck tumours including brain tumours and brain metastases, tumours of the thorax including non-small cell and small cell lung tumours, gastrointestinal tumours, endocrine tumours, mammary and other gynaecological tumours, urological tumours including renal, bladder and prostate tumours, skin tumours, and sarcomas, and/or metastases thereof, especially haematological tumours, solid tumours, and/or metastases of breast, bladder, bone, brain, central and peripheral nervous system, cervix, colon, endocrine glands (e.g. thyroid and adrenal cortex), endocrine tumours, endometrium, esophagus, gastrointestinal tumours, germ cells, kidney, liver, lung, larynx and hypopharynx, mesothelioma, ovary, pancreas, prostate, rectum, renal, small intestine, soft tissue, stomach, skin, testis, ureter, vagina and vulva as well as malignant neoplasias including primary tumors in said organs and corresponding secondary tumors in distant organs ("tumor metastases"). Haematological tumors can e.g be exemplified by aggressive and indolent forms of leukemia and lymphoma, namely non-Hodgkins disease, chronic and acute myeloid leukemia (CML / AML), acute lymphoblastic leukemia (ALL), Hodgkins disease, multiple myeloma and T-cell lymphoma. Also included are myelodysplastic syndrome, plasma cell neoplasia, paraneoplastic syndromes, and cancers of unknown primary site as well as AIDS related malignancies. One aspect of the invention is the use of the compounds according to formula (I) or (II) for the treatment of lung tumors, including non-small cell and small cell lung tumors, as well as a method of treatment of lung tumors, including non-small cell and small cell lung tumors, comprising administering an effective amount of a compound of formula (I) or (I I).
In accordance with an aspect of the present invention therefore the invention relates to a compound of formula I, or an N-oxide, a salt, a tautomer or a stereoisomer of said compound, or a salt of said N-oxide, tautomer or stereoisomer particularly a pharmaceutically acceptable salt thereof, or a mixture of same, as described and defined herein, for use in the treatment or prophylaxis of a disease, especially for use in the treatment of a disease.
Another particular aspect of the present invention is therefore the use of a compound of formula I, described supra, or a stereoisomer, a tautomer, an N-oxide, a hydrate, a solvate, or a salt thereof, particularly a pharmaceutically acceptable salt thereof, or a mixture of same, for the prophylaxis or treatment of hyperproliferative disorders or disorders responsive to induction of cell death i.e apoptosis.
The term "inappropriate" within the context of the present invention, in particular in the context of "inappropriate cellular immune responses, or inappropriate cellular inflammatory responses", as used herein, is to be understood as preferably meaning a response which is less than, or greater than normal, and which is associated with, responsible for, or results in, the pathology of said diseases. Preferably, the use is in the treatment or prophylaxis of diseases, especially the treatment, wherein the diseases are haematological tumours, solid tumours and/or metastases thereof, e.g. leukaemias and myelodysplasia syndrome, malignant lymphomas, head and neck tumours including brain tumours and brain metastases, tumours of the thorax including non-small cell and small cell lung tumours, gastrointestinal tumours, endocrine tumours, mammary and other gynaecological tumours, urological tumours including renal, bladder and prostate tumours, skin tumours, and sarcomas, and/or metastases thereof. An preferred aspect is the use of a compound of formula (I) or (II) for the prophylaxis and/or treatment of lung tumors, including non-small cell and small cell lung tumors, preferably for the treatment thereof.
Another aspect of the present invention is the use of a compound of formula (I) or (II) or a stereoisomer, a tautomer, an N-oxide, a hydrate, a solvate, or a salt thereof, particularly a pharmaceutically acceptable salt thereof, or a mixture of same, as described herein, in the manufacture of a medicament for the treatment or prophylaxis of a disease, wherein such disease is a hyperproliferative disorder or a disorder responsive to induction of cell death e.g.apoptosis. In an embodiment the disease is a haematological tumour, a solid tumour and/or metastases thereof, e.g. leukaemias and myelodysplasia syndrome, malignant lymphomas, head and neck tumours including brain tumours and brain metastases, tumours of the thorax including non-small cell and small cell lung tumours, gastrointestinal tumours, endocrine tumours, mammary and other gynaecological tumours, urological tumours including renal, bladder and prostate tumours, skin tumours, and sarcomas, and/or metastases thereof. In a preferred embodiment the disease is lung tumor (including non-small cell and small cell lung tumors) and/or metastases thereof.
Method of treating hyper-proliferative disorders The present invention relates to a method for using the compounds of the present invention and compositions thereof, to treat mammalian hyper-proliferative disorders. Compounds can be utilized to inhibit, block, reduce, decrease, etc., cell proliferation and/or cell division, and/or produce cell death e.g. apoptosis. This method comprises administering to a mammal in need thereof, including a human, an amount of a compound of this invention, or a pharmaceutically acceptable salt, isomer, polymorph, metabolite, hydrate, solvate or ester thereof ; etc. which is effective to treat the disorder. Hyper-proliferative disorders include but are not limited, e.g., psoriasis, keloids, and other hyperplasias affecting the skin, benign prostate hyperplasia (BPH), solid tumours, such as cancers of the breast, respiratory tract, brain, reproductive organs, digestive tract, urinary tract, eye, liver, skin, head and neck, thyroid, parathyroid and their distant metastases. Those disorders also include lymphomas, sarcomas, and leukaemias.
Examples of breast cancer include, but are not limited to invasive ductal carcinoma, invasive lobular carcinoma, ductal carcinoma in situ, and lobular carcinoma in situ. Examples of cancers of the respiratory tract include, but are not limited to small-cell and non- small-cell lung carcinoma, as well as bronchial adenoma and pleuropulmonary blastoma.
Examples of brain cancers include, but are not limited to brain stem and hypophtalmic glioma, cerebellar and cerebral astrocytoma, medulloblastoma, ependymoma, as well as neuroectodermal and pineal tumour.
Tumours of the male reproductive organs include, but are not limited to prostate and testicular cancer. Tumours of the female reproductive organs include, but are not limited to endometrial, cervical, ovarian, vaginal, and vulvar cancer, as well as sarcoma of the uterus.
Tumours of the digestive tract include, but are not limited to anal, colon, colorectal, oesophageal, gallbladder, gastric, pancreatic, rectal, small-intestine, and salivary gland cancers.
Tumours of the urinary tract include, but are not limited to bladder, penile, kidney, renal pelvis, ureter, urethral and human papillary renal cancers.
Eye cancers include, but are not limited to intraocular melanoma and retinoblastoma.
Examples of liver cancers include, but are not limited to hepatocellular carcinoma (liver cell carcinomas with or without fibrolamellar variant), cholangiocarcinoma (intrahepatic bile duct carcinoma), and mixed hepatocellular cholangiocarcinoma.
Skin cancers include, but are not limited to squamous cell carcinoma, Kaposi's sarcoma, malignant melanoma, Merkel cell skin cancer, and non-melanoma skin cancer.
Head-and-neck cancers include, but are not limited to laryngeal, hypopharyngeal, nasopharyngeal, oropharyngeal cancer, lip and oral cavity cancer and squamous cell. Lymphomas include, but are not limited to AIDS-related lymphoma, non-Hodgkin's lymphoma, cutaneous T-cell lymphoma, Burkitt lymphoma, Hodgkin's disease, and lymphoma of the central nervous system.
Sarcomas include, but are not limited to sarcoma of the soft tissue, osteosarcoma, malignant fibrous histiocytoma, lymphosarcoma, and rhabdomyosarcoma.
Leukemias include, but are not limited to acute myeloid leukemia, acute lymphoblastic leukemia, chronic lymphocytic leukemia, chronic myelogenous leukemia, and hairy cell leukemia. These disorders have been well characterized in humans, but also exist with a similar etiology in other mammals, and can be treated by administering pharmaceutical compositions of the present invention.
The term "treating" or "treatment" as stated throughout this document is used conventionally, e.g., the management or care of a subject for the purpose of combating, alleviating, reducing, relieving, improving the condition of, etc., of a disease or disorder, such as a carcinoma.
Methods of treating NAMPT disorders
The present invention also provides methods for the treatment of disorders associated with aberrant NAMPT activity.
The present invention also provides methods for the treatment of disorders mediated by the NAD+ salvaging nicotinamide pathway and/or mediated by NAMPT.
The methods comprise administering an effective amount of a compound of the present invention, including salts, polymorphs, metabolites, hydrates, solvates, prodrugs (e.g.: esters) thereof, and diastereoisomeric forms thereof to a subject in need thereof.
Another aspect of the present invention refers to the use of a compound of the present invention, including salts, polymorphs, metabolites, hydrates, solvates, prodrugs (e.g.: esters) thereof, and diastereoisomeric forms, in the manufacture of a medicament for the treatment or prophylaxis of a disease associated with aberrant NAMPT activity, mediated by the NAD+ salvaging nicotinamide pathway and/or mediated by NAMPT.
Such disorders include, but are not limited to, disorders associated with activation of NF-KB, inflammatory and tissue repair disorders; particularly rheumatoid arthritis, inflammatory bowel disease, asthma and COPD (chronic obstructive pulmonary disease), osteoarthritis, osteoporosis and fibrotic diseases; dermatosis, including psoriasis, atopic dermatitis and ultraviolet induced skin damage; autoimmune diseases including systemic lupus erythematosis, multiple sclerosis, psoriatic arthritis, ankylosing spondylitis, tissue and organ rejection, Alzheimer's disease, stroke, athersclerosis, restenosis, diabetes, glomerulonephritis, cancer, including, but not limited to, breast, prostate, lung, colon, cervix, ovary, skin, CNS, bladder, pancreas, leukaemia, lymphoma or Hodgkin's disease, cachexia, inflammation associated with infection and certain viral infections, including Acquired Immune Deficiency Syndrome (AIDS), adult respiratory distress syndrome, and ataxia telengiectasia, heart failure, hepatomegaly, cardiomegaly, diabetes, cystic fibrosis, symptoms of xenograft rejections, septic shock or asthma.
Involvement of NAMPT in the treatment of cancer is described in WO 97/48696. Involvement of NAMPT in immuno-supression is described in WO 97/48397. Involvement of NAMPT for the treatment of diseases involving angiogenesis is described in WO2003/80054. Involvement of NAMPT for the treatment of rheumatoid arthritis and septic shock is described in WO 2008/025857. Involvement of NAMPT for the prophlaxis and treatment of ischaemia is described in WO 2009/109610.
Effective amounts of compounds of the present invention can be used to treat such disorders, including those diseases (e.g., cancer) mentioned in the Background section above. Nonetheless, such cancers and other diseases can be treated with compounds of the present invention, regardless of the mechanism of action and/or the relationship between NAMPT and the disorder.
The phrase "aberrant NAMPT activity" includes any abnormal expression or activity of the gene encoding the enzyme or of the polypeptide it encodes. Examples of such aberrant activity, include, but are not limited to, over-expression of the gene or polypeptide ; gene amplification ; mutations which produce constitutively-active or hyperactive enzyme activity ; gene mutations, deletions, substitutions, additions, etc.
The present invention also provides for methods of inhibiting a NAMPT activity, comprising administering an effective amount of a compound of the present invention, including salts, polymorphs, metabolites, hydrates, solvates, prodrugs (e.g. : esters) thereof, and diastereoisomeric forms thereof. NAMPT activity can be inhibited in cells (e.g., in vitro), or in the cells of a mammalian subject, especially a human patient in need of treatment.
Methods of treating angiogenic disorders
The present invention also provides methods of treating disorders and diseases associated with excessive and/or abnormal angiogenesis.
Inappropriate and ectopic expression of angiogenesis can be deleterious to an organism. A number of pathological conditions are associated with the growth of extraneous blood vessels. These include, e.g., diabetic retinopathy, ischemic retinal-vein occlusion, and retinopathy of prematurity [Aiello et al. New Engl. J. Med. 1994, 331 , 1480 ; Peer et al. Lab. Invest. 1995, 72, 638], age-related macular degeneration [AMD ; see, Lopez et al. Invest. Opththalmol. Vis. Sci. 1996, 37, 855], neovascular glaucoma, psoriasis, retrolental fibroplasias, angiofibroma, inflammation, rheumatoid arthritis (RA), restenosis, in-stent restenosis, vascular graft restenosis, etc. In addition, the increased blood supply associated with cancerous and neoplastic tissue, encourages growth, leading to rapid tumour enlargement and metastasis. Moreover, the growth of new blood and lymph vessels in a tumour provides an escape route for renegade cells, encouraging metastasis and the consequence spread of the cancer. Thus, compounds of the present invention can be utilized to treat and/or prevent any of the aforementioned angiogenesis disorders, e.g., by inhibiting and/or reducing blood vessel formation ; by inhibiting, blocking, reducing, decreasing, etc. endothelial cell proliferation or other types involved in angiogenesis, as well as causing cell death e.g. apoptosis of such cell types.
Preferably, the diseases of said method are haematological tumours, solid tumour and/or metastases thereof.
The compounds of the present invention can be used in particular in therapy and prevention i.e. prophylaxis, especially in therapy of tumour growth and metastases, especially in solid tumours of all indications and stages with or without pre-treatment of the tumour growth.
Methods for Treating a Patient Diagnosed with or Suspected to have a Cancer Deficient in Nicotinic Acid Pathway
The present invention also provides methods for treating a patient diagnosed with or suspected to have a cancer deficient in nicotinic acid pathway.
Said method comprises the steps of administering to the patient:
(a) an effective amount of a compound of the present invention; and
(b) an effective amount of nicotinic acid.
Optionally, the method further comprises a step of administering to the patient :
(c) a DNA damaging agent. Methods to determine whether a cancer is deficient in nicotinic acid pathway are know to the skilled person (for example in WO2009/072004 which is incorporated herein in its entirety by reference).
In an embodiment a compound of formula (la), (lb) or (lc) is used in step a) of the method supra. In an embodiment a compound of formula (Ma) or (lie) is used in step a) the method supra.
Suitable DNA damaging agents include, but are not limited to those described herein. The specific DNA damaging agent for each patient will vary according to the nature and severity of the condition as determined by the attending diagnostician, the activity of the specific compound employed, the age and general condition of the patient, time of administration, route of administration, rate of excretion of the drug, drug combinations, and the like.
The present invention also includes a compound of the present invention in combination with nicotinic acid for use in the treatment of a patient diagnosed with or suspected to have a cancer deficient in nicotinic acid pathway.
The present invention also includes the use of a compound of the present invention in combination with nicotinic acid, in the manufacture of a medicament for the treatment of a patient diagnosed with or suspected to have a cancer deficient in nicotinic acid pathway.
In an embodiment the effective amount of nicotinic acid is administered intravenously.
In another embodiment the effective amount of nicotinic acid is administered orally. In an embodiment the nicotinic acid is administered prior or subsequent to the administration of the compound of the present invention. In an embodiment the nicotinic acid is administered simultaneously with the administration of the compound of the present invention.
Method for predicting the utility of administering nicotinic acid to reduce the severity of side-effects of cancer treatment with NAMPT inhibitors
The present invention also provides a method for stratifying patients according to the utility of administering nicotinic acid to reduce the severity of side-effects of cancer treatment with NAMPT inhibitors according to the present invention, the method comprising the steps of: a) determining the level of Nicotinic acid phosphoribosyltransferase (NAPRT) in a cancer of said subject; and b) 1 ) in the event of a level of NAPRT, as determined in step a) above, which is lower than a predetermined threshold value, selecting said subject for sequential or simultaneous treatment with i) an effective amount of a compound of the present invention, and ii) an effective amount of nicotinic acid, a nicotinic acid precursor or a prodrug of nicotinic acid; and 2) in the event of a level of NAPRT, as determined in step a) above, which is higher than or equal to a predetermined threshold value, selecting said subject for treatment with i) an effective amount of a compound of the present invention in the absence of sequential or simultaneous treatment with ii) an effective amount of nicotinic acid, a nicotinic acid precursor or a prodrug of nicotinic acid.
The invention further comprises a method for the treatment or for alleviating the symptoms of a cancer in a subject, the method comprising the steps of: a) determining the level of Nicotinic acid phosphoribosyltransferase (NAPRT) in said subject; and, b) 1 ) in the event of a level of NAPRT, as determined in step a) above, which is lower than a predetermined threshold value, treating said subject sequentially or simultaneous with i) an effective amount of a compound of the present invention, and ii) an effective amount of nicotinic acid, a nicotinic acid precursor or a prodrug of nicotinic acid; and 2) in the event of a level of NAPRT, as determined in step a) above, which is higher than or equal to a predetermined threshold value, treating said subject with i) an effective amount of a compound of the present invention in the absence of sequential or simultaneous treatment with ii) an effective amount of a nicotinic acid, a nicotinic acid precursor or a prodrug of nicotinic acid.
The above methods optionally comprise a further step c): administering said subject an effective amount of a DNA damaging agent.
In an embodiment of the above methods the level of NAPRT is determined in the tumour tissue of said subject.
In an embodiment of the above methods the level of nicotinic acid phosphoribosyltransferase (NAPRT) is determined on the level of nucleic acids encoding NAPRT, such as by RT-PCR or quantification of DNA methylation (suitable methods are provided, for example, in Shames et al., Clin Cancer Res; 19(24); 6912-23, which is incorporated herein in its entirety by reference).
In an embodiment of the above methods the level of Nicotinic acid phosphoribosyltransferase (NAPRT) is determined on the level of proteins, such as in assays based on specific antibodies or other specific binding partners to NAPRT.
The present invention also relates to a compound according to the present invention for use in a method for the treatment or for alleviating the symptoms of a cancer in a subject, said method comprising the steps a) and b) supra.
The present invention also relates to NAPRT for use as a biomarker useful in a method for predicting the utility of administering a nicotinic acid, a nicotinic acid precursor or a prodrug of nicotinic acid to reduce the severity of side-effects of cancer treatment with the compounds of the present invention. The present invention further relates to the use of NAPRT as a biomarker in selecting responsive patients to the sequential or simultaneous treatment with i) an effective amount of a compound of the present invention, and ii) an effective amount of a nicotinic acid, a nicotinic acid precursor or a prodrug of nicotinic acid.
The present invention further relates to the use of Nicotinic acid phosphoribosyltransferase (NAPRT) as a biomarker in selecting patients that benefit from being treated with an effective amount of a compound of the present invention in the absence of sequential or simultaneous treatment with an effective amount of a nicotinic acid, a nicotinic acid precursor or a prodrug of nicotinic acid.
The stratification of the subjects is based on a predetermined threshold value. Suitable methods to establish the predetermined threshold value are know to the skilled person (for example in WO201 1006988 or in US8,912, 184 which are incorporated herein in their entirety by reference). The predetermined threshold value may be, for example, set by the medical practitioner based data from a plurality of patients, e.g. at least 5 patient, or at least 20 patient, or even at least 50 patients. Hence, in order to create basis for setting the threshold value, it will be necessary to first establish or obtain data from a cohort of existing patients to determine the level of NAPRT in their tumour tissue. The level of NAPRT in tumour tissue may be determined by one of a number of methods which either directly measure NAPRT, or which in a more indirect manner correlates (or is expected to correlate) with the level of NAPRT in the tissue in question. The cohort to which reference is made is desirably matched to one or more of tumour type, age, sex, or severity of disease, in particular the tumour type. In one variant, however, the threshold value may set based on the level of NAPRT of a different tissue type than the tumour tissue in a population of human beings. This may be similar or identical patients, or may alternatively be healthy subjects. However, preferably, the threshold value is set based on the level of NAPRT in the same tissue, such as tumour tissue, as the tumour tissue in question, and obtained from plurality of patients with the same cancer indication. Pharmaceutical compositions of the compounds of the invention
This invention also relates to pharmaceutical compositions containing one or more compounds of the present invention. These compositions can be utilised to achieve the desired pharmacological effect by administration to a patient in need thereof. A patient, for the purpose of this invention, is a mammal, including a human, in need of treatment for the particular condition or disease.
Therefore, the present invention includes pharmaceutical compositions that are comprised of a pharmaceutically acceptable carrier or auxiliary and a pharmaceutically effective amount of a compound, or salt thereof, of the present invention. Another aspect of the invention is a pharmaceutical composition comprising a pharmaceutically effective amount of a compound of formula (I) or (I I) and a pharmaceutically acceptable auxiliary for the treatment of a disease mentioned supra, especially for the treatment of haematological tumours, solid tumours and/or metastases thereof.
A pharmaceutically acceptable carrier or auxiliary is preferably a carrier that is non-toxic and innocuous to a patient at concentrations consistent with effective activity of the active ingredient so that any side effects ascribable to the carrier do not vitiate the beneficial effects of the active ingredient. Carriers and auxiliaries are all kinds of additives assisting to the composition to be suitable for administration.
A pharmaceutically effective amount of compound is preferably that amount which produces a result or exerts the intended influence on the particular condition being treated.
The compounds of the present invention can be administered with pharmaceutically-acceptable carriers or auxiliaries well known in the art using any effective conventional dosage unit forms, including immediate, slow and timed release preparations, orally, parenterally, topically, nasally, ophthalmically, optically, sublingually, rectally, vaginally, and the like. For oral administration, the compounds can be formulated into solid or liquid preparations such as capsules, pills, tablets, troches, lozenges, melts, powders, solutions, suspensions, or emulsions, and may be prepared according to methods known to the art for the manufacture of pharmaceutical compositions. The solid unit dosage forms can be a capsule that can be of the ordinary hard- or soft-shelled gelatine type containing auxiliaries, for example, surfactants, lubricants, and inert fillers such as lactose, sucrose, calcium phosphate, and corn starch. In another embodiment, the compounds of this invention may be tableted with conventional tablet bases such as lactose, sucrose and cornstarch in combination with binders such as acacia, corn starch or gelatine, disintegrating agents intended to assist the break-up and dissolution of the tablet following administration such as potato starch, alginic acid, corn starch, and guar gum, gum tragacanth, acacia, lubricants intended to improve the flow of tablet granulation and to prevent the adhesion of tablet material to the surfaces of the tablet dies and punches, for example talc, stearic acid, or magnesium, calcium or zinc stearate, dyes, colouring agents, and flavouring agents such as peppermint, oil of wintergreen, or cherry flavouring, intended to enhance the aesthetic qualities of the tablets and make them more acceptable to the patient. Suitable excipients for use in oral liquid dosage forms include dicalcium phosphate and diluents such as water and alcohols, for example, ethanol, benzyl alcohol, and polyethylene alcohols, either with or without the addition of a pharmaceutically acceptable surfactant, suspending agent or emulsifying agent. Various other materials may be present as coatings or to otherwise modify the physical form of the dosage unit. For instance tablets, pills or capsules may be coated with shellac, sugar or both.
Dispersible powders and granules are suitable for the preparation of an aqueous suspension. They provide the active ingredient in admixture with a dispersing or wetting agent, a suspending agent and one or more preservatives. Suitable dispersing or wetting agents and suspending agents are exemplified by those already mentioned above. Additional excipients, for example those sweetening, flavouring and colouring agents described above, may also be present.
The pharmaceutical compositions of this invention may also be in the form of oil-in-water emulsions. The oily phase may be a vegetable oil such as liquid paraffin or a mixture of vegetable oils. Suitable emulsifying agents may be (1 ) naturally occurring gums such as gum acacia and gum tragacanth, (2) naturally occurring phosphatides such as soy bean and lecithin, (3) esters or partial esters derived form fatty acids and hexitol anhydrides, for example, sorbitan monooleate, (4) condensation products of said partial esters with ethylene oxide, for example, polyoxyethylene sorbitan monooleate. The emulsions may also contain sweetening and flavouring agents.
Oily suspensions may be formulated by suspending the active ingredient in a vegetable oil such as, for example, arachis oil, olive oil, sesame oil or coconut oil, or in a mineral oil such as liquid paraffin. The oily suspensions may contain a thickening agent such as, for example, beeswax, hard paraffin, or cetyl alcohol. The suspensions may also contain one or more preservatives, for example, ethyl or n-propyl p-hydroxybenzoate ; one or more colouring agents ; one or more flavouring agents ; and one or more sweetening agents such as sucrose or saccharin.
Syrups and elixirs may be formulated with sweetening agents such as, for example, glycerol, propylene glycol, sorbitol or sucrose. Such formulations may also contain a demulcent, and preservative, such as methyl and propyl parabens and flavouring and colouring agents.
The compounds of this invention may also be administered parenterally, that is, subcutaneously, intravenously, intraocularly, intrasynovially, intramuscularly, or interperitoneally, as injectable dosages of the compound in preferably a physiologically acceptable diluent with a pharmaceutical carrier which can be a sterile liquid or mixture of liquids such as water, saline, aqueous dextrose and related sugar solutions, an alcohol such as ethanol, isopropanol, or hexadecyl alcohol, glycols such as propylene glycol or polyethylene glycol, glycerol ketals such as 2,2-dimethyl-1 , 1 -dioxolane-4-methanol, ethers such as poly(ethylene glycol) 400, an oil, a fatty acid, a fatty acid ester or, a fatty acid glyceride, or an acetylated fatty acid glyceride, with or without the addition of a pharmaceutically acceptable surfactant such as a soap or a detergent, suspending agent such as pectin, carbomers, methycellulose, hydroxypropylmethylcellulose, or carboxymethylcellulose, or emulsifying agent and other pharmaceutical adjuvants.
Illustrative of oils which can be used in the parenteral formulations of this invention are those of petroleum, animal, vegetable, or synthetic origin, for example, peanut oil, soybean oil, sesame oil, cottonseed oil, corn oil, olive oil, petrolatum and mineral oil. Suitable fatty acids include oleic acid, stearic acid, isostearic acid and myristic acid. Suitable fatty acid esters are, for example, ethyl oleate and isopropyl myristate. Suitable soaps include fatty acid alkali metal, ammonium, and triethanolamine salts and suitable detergents include cationic detergents, for example dimethyl dialkyl ammonium halides, alkyl pyridinium halides, and alkylamine acetates ; anionic detergents, for example, alkyl, aryl, and olefin sulfonates, alkyl, olefin, ether, and monoglyceride sulfates, and sulfosuccinates ; non-ionic detergents, for example, fatty amine oxides, fatty acid alkanolamides, and poly(oxyethylene-oxypropylene)s or ethylene oxide or propylene oxide copolymers ; and amphoteric detergents, for example, alkyl-beta-aminopropionates, and 2- alkylimidazoline quarternary ammonium salts, as well as mixtures.
The parenteral compositions of this invention will typically contain from about 0.5% to about 25% by weight of the active ingredient in solution. Preservatives and buffers may also be used advantageously. In order to minimise or eliminate irritation at the site of injection, such compositions may contain a non-ionic surfactant having a hydrophile-lipophile balance (HLB) preferably of from about 12 to about 17. The quantity of surfactant in such formulation preferably ranges from about 5% to about 15% by weight. The surfactant can be a single component having the above HLB or can be a mixture of two or more components having the desired HLB.
Illustrative of surfactants used in parenteral formulations are the class of polyethylene sorbitan fatty acid esters, for example, sorbitan monooleate and the high molecular weight adducts of ethylene oxide with a hydrophobic base, formed by the condensation of propylene oxide with propylene glycol.
The pharmaceutical compositions may be in the form of sterile injectable aqueous suspensions. Such suspensions may be formulated according to known methods using suitable dispersing or wetting agents and suspending agents such as, for example, sodium carboxymethylcellulose, methylcellulose, hydroxypropylmethyl-cellulose, sodium alginate, polyvinylpyrrolidone, gum tragacanth and gum acacia ; dispersing or wetting agents which may be a naturally occurring phosphatide such as lecithin, a condensation product of an alkylene oxide with a fatty acid, for example, polyoxyethylene stearate, a condensation product of ethylene oxide with a long chain aliphatic alcohol, for example, heptadeca-ethyleneoxycetanol, a condensation product of ethylene oxide with a partial ester derived form a fatty acid and a hexitol such as polyoxyethylene sorbitol monooleate, or a condensation product of an ethylene oxide with a partial ester derived from a fatty acid and a hexitol anhydride, for example polyoxyethylene sorbitan monooleate. The sterile injectable preparation may also be a sterile injectable solution or suspension in a non-toxic parenterally acceptable diluent or solvent. Diluents and solvents that may be employed are, for example, water, Ringer's solution, isotonic sodium chloride solutions and isotonic glucose solutions. In addition, sterile fixed oils are conventionally employed as solvents or suspending media. For this purpose, any bland, fixed oil may be employed including synthetic mono- or diglycerides. In addition, fatty acids such as oleic acid can be used in the preparation of injectables.
A composition of the invention may also be administered in the form of suppositories for rectal administration of the drug. These compositions can be prepared by mixing the drug with a suitable non-irritation excipient which is solid at ordinary temperatures but liquid at the rectal temperature and will therefore melt in the rectum to release the drug. Such materials are, for example, cocoa butter and polyethylene glycol. Controlled release formulations for parenteral administration include liposomal, polymeric microsphere and polymeric gel formulations that are known in the art.
It may be desirable or necessary to introduce the pharmaceutical composition to the patient via a mechanical delivery device. The construction and use of mechanical delivery devices for the delivery of pharmaceutical agents is well known in the art. Direct techniques for administration, for example, administering a drug directly to the brain usually involve placement of a drug delivery catheter into the patient's ventricular system to bypass the blood-brain barrier. One such implantable delivery system, used for the transport of agents to specific anatomical regions of the body, is described in US Patent No. 5,01 1 ,472, issued April 30, 1991. The compositions of the invention can also contain other conventional pharmaceutically acceptable compounding ingredients, generally referred to as carriers or diluents, as necessary or desired. Conventional procedures for preparing such compositions in appropriate dosage forms can be utilized.
Such ingredients and procedures include those described in the following references, each of which is incorporated herein by reference: Powell, M.F. et a/., "Compendium of Excipients for Parenteral Formulations" PDA Journal of Pharmaceutical Science & Technology 1998, 52(5), 238-31 1 ; Strickley, R.G "Parenteral Formulations of Small Molecule Therapeutics Marketed in the United States (1999)-Part-1" PDA Journal of Pharmaceutical Science & Technology 1999, 53(6), 324-349 ; and Nema, S. et a/., "Excipients and Their Use in Injectable Products" PDA Journal of Pharmaceutical Science & Technology 1997, 51 (4), 166-171.
Commonly used pharmaceutical ingredients that can be used as appropriate to formulate the composition for its intended route of administration include: acidifying agents (examples include but are not limited to acetic acid, citric acid, fumaric acid, hydrochloric acid, nitric acid) ; alkalinizing agents (examples include but are not limited to ammonia solution, ammonium carbonate, diethanolamine, monoethanolamine, potassium hydroxide, sodium borate, sodium carbonate, sodium hydroxide, triethanolamine, trolamine) ; adsorbents (examples include but are not limited to powdered cellulose and activated charcoa)! aerosol propellants (examples include but are not limited to carbon dioxide, CCI2F2, F2CIC-CCIF2 and CCIF3) air displacement agents - examples include but are not limited to nitrogen and argon ; antifungal preservatives (examples include but are not limited to benzoic acid, butylparaben, ethylparaben, methylparaben, propylparaben, sodium benzoate) ; antimicrobial preservatives (examples include but are not limited to benzalkonium chloride, benzethonium chloride, benzyl alcohol, cetylpyridinium chloride, chlorobutanol, phenol, phenylethyl alcohol, phenylmercuric nitrate and thimerosal) ; antioxidants (examples include but are not limited to ascorbic acid, ascorbyl palmitate, butylated hydroxyanisole, butylated hydroxytoluene, hypophosphorus acid, monothioglycerol, propyl gallate, sodium ascorbate, sodium bisulfite, sodium formaldehyde sulfoxylate, sodium metabisulfite) ; binding materials (examples include but are not limited to block polymers, natural and synthetic rubber, polyacrylates, polyurethanes, silicones, polysiloxanes and styrene-butadiene copolymers) ; buffering agents (examples include but are not limited to potassium metaphosphate, dipotassium phosphate, sodium acetate, sodium citrate anhydrous and sodium citrate dihydrate); carrying agents (examples include but are not limited to acacia syrup, aromatic syrup, aromatic elixir, cherry syrup, cocoa syrup, orange syrup, syrup, corn oil, mineral oil, peanut oil, sesame oil, bacteriostatic sodium chloride injection and bacteriostatic water for injection); chelating agents (examples include but are not limited to edetate disodium and edetic acid); colourants (examples include but are not limited to FD&C Red No. 3, FD&C Red No. 20, FD&C Yellow No. 6, FD&C Blue No. 2, D&C Green No. 5, D&C Orange No. 5, D&C Red No. 8, caramel and ferric oxide red) ; clarifying agents (examples include but are not limited to bentonite) ; emulsifying agents (examples include but are not limited to acacia, cetomacrogol, cetyl alcohol, glyceryl monostearate, lecithin, sorbitan monooleate, polyoxyethylene 50 monostearate) ; encapsulating agents (examples include but are not limited to gelatin and cellulose acetate phthalate), flavourants (examples include but are not limited to anise oil, cinnamon oil, cocoa, menthol, orange oil, peppermint oil and vanillin) ; humectants (examples include but are not limited to glycerol, propylene glycol and sorbitol) ; levigating agents (examples include but are not limited to mineral oil and glycerin) ; oils (examples include but are not limited to arachis oil, mineral oil, olive oil, peanut oil, sesame oil and vegetable oil) ; ointment bases (examples include but are not limited to lanolin, hydrophilic ointment, polyethylene glycol ointment, petrolatum, hydrophilic petrolatum, white ointment, yellow ointment, and rose water ointment) ; penetration enhancers (transdermal delivery) (examples include but are not limited to monohydroxy or polyhydroxy alcohols, mono-or polyvalent alcohols, saturated or unsaturated fatty alcohols, saturated or unsaturated fatty esters, saturated or unsaturated dicarboxylic acids, essential oils, phosphatidyl derivatives, cephalin, terpenes, amides, ethers, ketones and ureas), plasticizers (examples include but are not limited to diethyl phthalate and glycerol) ; solvents (examples include but are not limited to ethanol, corn oil, cottonseed oil, glycerol, isopropanol, mineral oil, oleic acid, peanut oil, purified water, water for injection, sterile water for injection and sterile water for irrigation) ; stiffening agents (examples include but are not limited to cetyl alcohol, cetyl esters wax, microcrystalline wax, paraffin, stearyl alcohol, white wax and yellow wax) ; suppository bases (examples include but are not limited to cocoa butter and polyethylene glycols (mixtures)) ; surfactants (examples include but are not limited to benzalkonium chloride, nonoxynol 10, oxtoxynol 9, polysorbate 80, sodium lauryl sulfate and sorbitan mono-palmitate) ; suspending agents (examples include but are not limited to agar, bentonite, carbomers, carboxymethylcellulose sodium, hydroxyethyl cellulose, hydroxypropyl cellulose, hydroxypropyl methylcellulose, kaolin, methylcellulose, tragacanth and veegum) ; sweetening agents (examples include but are not limited to aspartame, dextrose, glycerol, mannitol, propylene glycol, saccharin sodium, sorbitol and sucrose) ; tablet anti-adherents (examples include but are not limited to magnesium stearate and talc) ; tablet binders (examples include but are not limited to acacia, alginic acid, carboxymethylcellulose sodium, compressible sugar, ethylcellulose, gelatin, liquid glucose, methylcellulose, non-crosslinked polyvinyl pyrrolidone, and pregelatinized starch) ; tablet and capsule diluents (examples include but are not limited to dibasic calcium phosphate, kaolin, lactose, mannitol, microcrystalline cellulose, powdered cellulose, precipitated calcium carbonate, sodium carbonate, sodium phosphate, sorbitol and starch) ; tablet coating agents (examples include but are not limited to liquid glucose, hydroxyethyl cellulose, hydroxypropyl cellulose, hydroxypropyl methylcellulose, methylcellulose, ethylcellulose, cellulose acetate phthalate and shellac) ; tablet direct compression excipients (examples include but are not limited to dibasic calcium phosphate) ; tablet disintegrants (examples include but are not limited to alginic acid, carboxymethylcellulose calcium, microcrystalline cellulose, polacrillin potassium, cross-linked polyvinylpyrrolidone, sodium alginate, sodium starch glycollate and starch) ; tablet glidants (examples include but are not limited to colloidal silica, corn starch and talc) ; tablet lubricants (examples include but are not limited to calcium stearate, magnesium stearate, mineral oil, stearic acid and zinc stearate) ; tablet/capsule opaquants (examples include but are not limited to titanium dioxide) ; tablet polishing agents (examples include but are not limited to carnuba wax and white wax) ; thickening agents (examples include but are not limited to beeswax, cetyl alcohol and paraffin) ; tonicity agents (examples include but are not limited to dextrose and sodium chloride) ; viscosity increasing agents (examples include but are not limited to alginic acid, bentonite, carbomers, carboxymethylcellulose sodium, methylcellulose, polyvinyl pyrrolidone, sodium alginate and tragacanth) ; and wetting agents (examples include but are not limited to heptadecaethylene oxycetanol, lecithins, sorbitol monooleate, polyoxyethylene sorbitol monooleate, and polyoxyethylene stearate).
Pharmaceutical compositions according to the present invention can be illustrated as follows:
Sterile i.v. solution: A 5 mg/ml_ solution of the desired compound of this invention can be made using sterile, injectable water, and the pH is adjusted if necessary. The solution is diluted for administration to 1 - 2 mg/ml_ with sterile 5% dextrose and is administered as an i.v. infusion over about 60 minutes.
Lyophilised powder for i.v. administration: A sterile preparation can be prepared with (i) 100 - 1000 mg of the desired compound of this invention as a lyophilised powder, (ii) 32- 327 mg/mL sodium citrate, and (iii) 300 - 3000 mg Dextran 40. The formulation is reconstituted with sterile, injectable saline or dextrose 5% to a concentration of 10 to 20 mg/ml_, which is further diluted with saline or dextrose 5% to 0.2 - 0.4 mg/ml_, and is administered either IV bolus or by IV infusion over 15 - 60 minutes.
Intramuscular suspension: The following solution or suspension can be prepared, for intramuscular injection:
50 mg/ml_ of the desired, water-insoluble compound of this invention
5 mg/ml_ sodium carboxymethylcellulose
4 mg/mL TWEEN 80
9 mg/mL sodium chloride
9 mg/mL benzyl alcohol
Hard Shell Capsules: A large number of unit capsules are prepared by filling standard two-piece hard galantine capsules each with 100 mg of powdered active ingredient, 150 mg of lactose, 50 mg of cellulose and 6 mg of magnesium stearate. Soft Gelatin Capsules: A mixture of active ingredient in a digestible oil such as soybean oil, cottonseed oil or olive oil is prepared and injected by means of a positive displacement pump into molten gelatin to form soft gelatin capsules containing 100 mg of the active ingredient. The capsules are washed and dried. The active ingredient can be dissolved in a mixture of polyethylene glycol, glycerin and sorbitol to prepare a water miscible medicine mix. Tablets: A large number of tablets are prepared by conventional procedures so that the dosage unit is 100 mg of active ingredient, 0.2 mg. of colloidal silicon dioxide, 5 mg of magnesium stearate, 275 mg of microcrystalline cellulose, 1 1 mg. of starch, and 98.8 mg of lactose. Appropriate aqueous and non-aqueous coatings may be applied to increase palatability, improve elegance and stability or delay absorption.
Immediate Release Tablets/Capsules: These are solid oral dosage forms made by conventional and novel processes. These units are taken orally without water for immediate dissolution and delivery of the medication. The active ingredient is mixed in a liquid containing ingredient such as sugar, gelatin, pectin and sweeteners. These liquids are solidified into solid tablets or caplets by freeze drying and solid state extraction techniques. The drug compounds may be compressed with viscoelastic and thermoelastic sugars and polymers or effervescent components to produce porous matrices intended for immediate release, without the need of water.
Dose and administration Based upon standard laboratory techniques known to evaluate compounds useful for the treatment of hyper-proliferative disorders and angiogenic disorders, by standard toxicity tests and by standard pharmacological assays for the determination of treatment of the conditions identified above in mammals, and by comparison of these results with the results of known medicaments that are used to treat these conditions, the effective dosage of the compounds of this invention can readily be determined for treatment of each desired indication. The amount of the active ingredient to be administered in the treatment of one of these conditions can vary widely according to such considerations as the particular compound and dosage unit employed, the mode of administration, the period of treatment, the age and sex of the patient treated, and the nature and extent of the condition treated. The total amount of the active ingredient to be administered will generally range from about 0.001 mg/kg to about 200 mg/kg body weight per day, and preferably from about 0.01 mg/kg to about 20 mg/kg body weight per day. Clinically useful dosing schedules will range from one to three times a day dosing to once every four weeks dosing. In addition, "drug holidays" in which a patient is not dosed with a drug for a certain period of time, may be beneficial to the overall balance between pharmacological effect and tolerability. A unit dosage may contain from about 0.5 mg to about 1500 mg of active ingredient, and can be administered one or more times per day or less than once a day. The average daily dosage for administration by injection, including intravenous, intramuscular, subcutaneous and parenteral injections, and use of infusion techniques will preferably be from 0.01 to 200 mg/kg of total body weight. The average daily rectal dosage regimen will preferably be from 0.01 to 200 mg/kg of total body weight. The average daily vaginal dosage regimen will preferably be from 0.01 to 200 mg/kg of total body weight. The average daily topical dosage regimen will preferably be from 0.1 to 200 mg administered between one to four times daily. The transdermal concentration will preferably be that required to maintain a daily dose of from 0.01 to 200 mg/kg. The average daily inhalation dosage regimen will preferably be from 0.01 to 100 mg/kg of total body weight.
Of course the specific initial and continuing dosage regimen for each patient will vary according to the nature and severity of the condition as determined by the attending diagnostician, the activity of the specific compound employed, the age and general condition of the patient, time of administration, route of administration, rate of excretion of the drug, drug combinations, and the like. The desired mode of treatment and number of doses of a compound of the present invention or a pharmaceutically acceptable salt or ester or composition thereof can be ascertained by those skilled in the art using conventional treatment tests.
Combination Therapies
The compounds of this invention can be administered as the sole pharmaceutical agent or in combination with one or more other pharmaceutical agents where the combination causes no unacceptable adverse effects. Those combined pharmaceutical agents can be other agents having antiproliferative effects such as for example for the treatment of haematological tumours, solid tumours and/or metastases thereof and/or agents for the treatment of undesired side effects. The present invention relates also to such combinations.
Other anti-hyper-proliferative agents suitable for use with the composition of the invention include but are not limited to those compounds acknowledged to be used in the treatment of neoplastic diseases in Goodman and Gilman's The Pharmacological Basis of Therapeutics (Ninth Edition), editor Molinoff et a/., publ. by McGraw-Hill, pages 1225-1287, (1996), which is hereby incorporated by reference, especially (chemotherapeutic) anti-cancer agents as defined supra. The combination can be a non-fixed combination or a fixed-dose combination as the case may be. Methods of testing for a particular pharmacological or pharmaceutical property are well known to persons skilled in the art. The example testing experiments described herein serve to illustrate the present invention and the invention is not limited to the examples given.
As will be appreciated by persons skilled in the art, the invention is not limited to the particular embodiments described herein, but covers all modifications of said embodiments that are within the spirit and scope of the invention as defined by the appended claims.
The following examples illustrate the invention in greater detail, without restricting it. Further compounds according to the invention, of which the preparation is not explicitly described, can be prepared in an analogous way.
The compounds, which are mentioned in the examples and the salts thereof represent preferred embodiments of the invention as well as a claim covering all subcombinations of the residues of the compound of formula (I) or (I I) as disclosed by the specific examples.
The term "according to" within the experimental section is used in the sense that the procedure referred to is to be used "analogously to".
Experimental Part
The following table lists the abbreviations used in this paragraph and in the Intermediate Examples and Examples section as far as they are not explained within the text body.
Other abbreviations not specified herein have their meanings customary to the skilled person.
The various aspects of the invention described in this application are illustrated by the following examples which are not meant to limit in any way the full scope of the invention as described herein. Specific Experimental Descriptions
NMR peak forms in the following specific experimental descriptions are stated as they appear in the spectra, possible higher order effects have not been considered. Reactions employing microwave irradiation may be run with a Biotage Initator® microwave oven optionally equipped with a robotic unit. The reported reaction times employing microwave heating are intended to be understood as fixed reaction times after reaching the indicated reaction temperature. The compounds and intermediates produced according to the methods of the invention may require purification. Purification of organic compounds is well known to the person skilled in the art and there may be several ways of purifying the same compound. In some cases, no purification may be necessary. In some cases, the compounds may be purified by crystallization. In some cases, impurities may be stirred out using a suitable solvent. In some cases, the compounds may be purified by chromatography, particularly flash column chromatography, using for example prepacked silica gel cartridges, e.g. from Separtis such as Isolute® Flash silica gel or Isolute® Flash NH2 silica gel in combination with a Isolera autopurifier (Biotage) and eluents such as gradients of e.g. hexane/ EE or DCM/methanol. In some cases, the compounds may be purified by preparative HPLC using for example a Waters autopurifier equipped with a diode array detector and/or on-line electrospray ionization mass spectrometer in combination with a suitable prepacked reverse phase column and eluents such as gradients of water and ACN which may contain additives such as trifluoroacetic acid, formic acid or aqueous ammonia. In some cases, purification methods as described above can provide those compounds of the present invention which possess a sufficiently basic or acidic functionality in the form of a salt, such as, in the case of a compound of the present invention which is sufficiently basic, a trifluoroacetate or formate salt for example, or, in the case of a compound of the present invention which is sufficiently acidic, an ammonium salt for example. A salt of this type can either be transformed into its free base or free acid form, respectively, by various methods known to the person skilled in the art, or be used as salts in subsequent biological assays. It is to be understood that the specific form (e.g. salt, free base etc) of a compound of the present invention as isolated as described herein is not necessarily the only form in which said compound can be applied to a biological assay in order to quantify the specific biological activity.
The percentage yields reported in the following examples are based on the starting component that was used in the lowest molar amount. Air and moisture sensitive liquids and solutions were transferred via syringe or cannula, and introduced into reaction vessels through rubber septa. Commercial grade reagents and solvents were used without further purification. The term "concentrated in vacuo" refers to use of a Buchi rotary evaporator at a minimum pressure of approximately 15 mm of Hg. All temperatures are reported uncorrected in degrees Celsius (°C). In order that this invention may be better understood, the following examples are set forth. These examples are for the purpose of illustration only, and are not to be construed as limiting the scope of the invention in any manner. All publications mentioned herein are incorporated by reference in their entirety.
Analytical LC-MS conditions
LC-MS-data given in the subsequent specific experimental descriptions refer (unless otherwise noted) to the following conditions:
Methods:
Method 1 :
Instrument: Waters Acquity UPLC-MS SQD; column: Acquity UPLC BEH C18 1.7 50x2.1 mm; Eluent A: water + 0.1 % vol. formic acid (99%), Eluent B: acetonitrile; gradient: 0-1.6 min 1 -99% B, 1.6-2.0 min 99% B; rate 0.8 ml/min; temperature: 60 °C; injection: 1 μΙ; DAD scan: 210-400 nm; ELSD. Method 2: Instrument: Waters Acquity UPLC-MS SQD; column: Acquity UPLC BEH C18 1.7 50x2.1 mm; Eluent A: water + 0.1 % vol. formic acid (99%), Eluent B: acetonitrile; gradient: 0-1.6 min 1-99% B, 1.6-2.0 min 99% B; rate 0.8 ml/min; temperature: 60 °C; injection: 2 μΙ; DAD scan: 210-400 nm; ELSD
Method 3: Instrument: Waters Acquity; column: XBridge C18 2.5 μηι 2.1 + 50; Eluent A: 10 mM ammonium bicarbonate pH 10, Eluent B: acetonitrile; gradient: 0-0.80 min 1-20% B, 0.80-1 .20 min 20-98% B; hold @ 98% B to 1.40 min; rate 0.8 ml/min; temperature: 60 °C; injection: 1 μΙ; Waters Acquity Autosampler UPLC LG 500 nm.
Method 4: Instrument: Waters Acquity; column: XBridge C18 2.5 μηι 2.1 + 50; Eluent A: 10 mM ammonium bicarbonate pH 10, Eluent B: acetonitrile; gradient: 0-4.00 min 2-98% B; hold @ 98% B to 4.70 min; rate 0.8 ml/min; temperature: 60 °C; injection: 1 μΙ; Waters Acquity Autosampler UPLC LG 500 nm.
Method 5:
Optical rotations were measured in dimethyl sulfoxide at 589 nm wavelength, 20°C, concentration 1 .0000 g/100ml_, integration time 10 s, film thickness 100.00 mm. Instrument: JASCO P2000 Polarimeter.
Method 6:
Instrument: Waters Acquity UPLC-MS SQD; column: Acquity UPLC BEH C18 1.7 50x2.1 mm; Eluent A: water + 0.2% vol. NH3 (32%), Eluent B: acetonitrile; gradient: 0-1.6 min 1 -99% B, 1.6- 2.0 min 99% B; rate 0.8 ml/min; temperature: 60 °C; injection: 1 μΙ; DAD scan: 210-400 nm; ELSD.
Method 7:
Instrument: Waters Acquity UPLC-MS SQD; column: Acquity UPLC BEH C18 1.7 50x2.1 mm; Eluent A: water + 0.2% vol. NH3 (32%), Eluent B: acetonitrile; gradient: 0-1.6 min 1 -99% B, 1.6- 2.0 min 99% B; rate 0.8 ml/min; temperature: 60 °C; injection: 2 μΙ; DAD scan: 210-400 nm; ELSD
Method 8:
Instrument: Waters Acquity; column: Agilent poroshell HPH-C18 2.7 μηι 2.1 x 50 mm; Eluent A: 10 mM ammonium bicarbonate pH 10, Eluent B: acetonitrile; gradient: 0-0.80 min 1-20% B, 0.80-1 .20 min 20-98% B; hold @ 98% B to 1 .40 min; rate 0.8 ml/min; temperature: 60 °C; injection: 1 μΙ; Waters Acquity Autosampler UPLC LG 500 nm.
Method 9:
Instrument: Waters Acquity; column: XBridge C18 2.5 μηι 2.1 + 50; Eluent A: 10 mM ammonium bicarbonate pH 10, Eluent B: acetonitrile; gradient: (with 5% C 0-3.6 min) hold @ 100% A to 0.18 min, 0-95% B to 2.0 min, hold @ 95% B to 2.60 min; rate 0.8 ml/min; temperature: 60 °C; injection: 1 μΙ; Waters Acquity Autosampler UPLC LG 500 nm.
Flash column chromatography conditions "Purification by (flash) column chromatography" as stated in the subsequent specific experimental descriptions refers to the use of a Biotage Isolera purification system. For technical specifications see "Biotage product catalogue" on www.biotage.com.
EXAMPLES
Synthetic Intermediates
Intermediate 1
N-[4-(2-chloropropanoyl)phenyl]acetamide
A solution of 30.0 g of acetanilide (222 mmol, 1.00 eq) in DCM (375 mL) cooled with an ice/water bath was treated with 88.8 g of aluminium trichloride (666 mmol, 3.00 eq). The ice bath was removed and 27.2 mL of 2-chloropropionyl chloride (266 mmol, 1.20 eq) were added. The reaction mixture was stirred for 3 days at room temperature. The reaction was quenched carefully by pouring into 2000 mL of an ice/HCIconc. (75 mL) mixture. The resulting suspension was stirred for 3 days at room temperature. The precipitate was collected by filtration, washed wish water and dried to give 39.5 g of the desired product Intermediate 1 (226 mmol, 79%) as brown solid, which was used in the next step without any further purification.
LC-MS (Method 1 ): Rt = 0.92 min; MS (ESIpos): m/z = 226 [M+H]+.
Intermediate 2 Dimethyl [1-(4-acetamidophenyl)-1 -oxopropan-2-yl]malonate
To a suspension of 2.13 g of sodium hydride (60% dispersion in mineral oil, 53.2 mmol, 1.20 eq) in DMF (100 mL) were added at 0 °C 6.1 mL of dimethyl malonate (53.2 mmol, 1.20 eq). The ice bath was removed and treated with a solution of 10.0 g of Intermediate 1 (44.3 mmol, 1.00 eq) in DMF (50 ml_). The reaction mixture was stirred for 4 h at 1 10 °C. After cooling to room temperature the reaction was quenched by pouring the mixture into 1000 ml. ice water. The resulting suspension was stirred over night. The precipitate was collected by filtration, washed with water and dried to yield 9.4 g of Intermediate 2 (14.2 mmol, 66%) as solid material, wish was used in the next step without any further purification.
LC-MS (Method 1 ): Rt = 0.91 min; MS (ESIpos): m/z = 322 [M+H]+.
Intermediate 3
4-(4-aminophenyl)-3-methyl-4-oxobutanoic acid hydrochloride
A solution of 24.0 g of Intermediate 2 (74.7 mmol, 1.00 eq) in concentrated hydrochloric acid was stirred over night at 100 °C. After cooling, the solvent was removed under reduced pressure to yield 18.2 g of the desired Intermediate 3 (243.7 mmol, 99%), which was used in the next step without any further purification. Intermediate 4
6-(4-aminophenyl)-2,5-dimethyl-4,5-dihydropyridazin-3(2H)-one
A solution of 22.0 g of Intermediate 3 (90.3 mmol, 1 .00 eq) in n-propanol (200 ml.) was treated with 7.13 mL methyl hydrazine (135.4 mmol, 1 .50 eq) and stirred for 6 h at 100 °C. After cooling to room temperature the reaction mixture was poured into water. The resulting mixture was saturated with solid NaCI and extracted three times with ethyl acetate. The combined organic phases were dried over Na2SC>4 and the solvent was removed under reduced pressure. The crude product was purified by flash chromatography over silica gel to give 1 1.9 g of the desired Intermediate 4 (217 mmol, 61 %). H-NMR (400MHz, DMSO-de): δ [ppm] = 1.03 (d, 3H), 2.24 (dd, 1 H), 2.62 (dd, 1 H), 3.27 (s, 3H), 3.29 - 3.32 (m, 1 H), 5.53 (s, 2H), 6.55 - 6.60 (m, 2H), 7.48 - 7.53 (m, 2H). LC-MS (Method 2): Rt = 0.67 min; MS (ESIpos): m/z = 218 [M+H]+.
Intermediate 5
(5R)-6-(4-aminophenyl)-2,5-dimethyl-4,5-dihydropyridazin-3(2H)-one
Preparation A: A sample of racemic 6-(4-aminophenyl)-2,5-dimethyl-4,5-dihydropyridazin-3(2H)- one (prepared as described in analogy to Intermediate 4, 1.20 g, 5.52 mmol) was separated using chiral HPLC (System: 2x Labomatic Pumpe HD-3000, Labomatic AS-3000, Knauer DAD 2600, Labomatic Labcol Vario 4000 Plus, Column: Chiralpak IB 5μηι 250x30 mm, Solvent: hexane / ethanol / diethylamine 80:20:0.1 (v/v/v)) to give the first eluting enantiomer of 6-(4- aminophenyl)-2,5-dimethyl-4,5-dihydropyridazin-3(2H)-one (506 mg, 42% from racemate). H-NMR (400MHz, DMSO-d6): δ [ppm] = 1.02 (d, 3H), 2.24 (dd, 1 H), 2.62 (dd, 1 H), 3.27 (s, 3H), 3.28 - 3.33 (m, 1 H), 5.54 (s, 2H), 6.55 - 6.60 (m, 2H), 7.47 - 7.53 (m, 2H).
Optical rotation (Method 5): [a] = - 656.5 ° (c = 1.00, DMSO).
Chiral HPLC (System: Agilent 1260, DAD 325 nm Column: Chiralpak IB 5 μηι 150x4.6 mm, Solvent: hexane / ethanol / diethylamine 80:20:0.1 (v/v/v)): Rt = 4.66 min, 98.5% enantiomeric excess.
Preparation B: A solution of Intermediate 32 (150 mg, 0.74 mmol, 1.00 eq) in THF (3 mL) and DMF (0.5 mL) was cooled to 0°C and treated with sodiumhydride (60% on mineral oil, 35.4 mg, 0.81 mmol, 1.10 eq). The ice bath was removed and the mixture was stirred for one hour at room temperature. Again under cooling methyl iodide (46 μί, 0.74 mmol, 100 eq) were added and the mixture was stirred over night at room temperature. Additional 35 μί methyl iodide were added and the reaction mixture was again stirred for 5 h at room temperature. The mixturte was poured into water, the precipitate was removed by filtration. The filtrate was taken to dryness under reduced pressure and the residue was purified by reverse-phase preparative HPLC to yield 40 mg of the desired product (25%, 89% pure). H-NMR (400MHz, DMSO-d6): δ [ppm] = 1.02 (d, 3H), 2.24 (dd, 1 H), 2.62 (dd, 1 H), 3.27 (s, 3H), 3.28 - 3.33 (m, 1 H), 5.54 (s, 2H), 6.55 - 6.60 (m, 2H), 7.47 - 7.53 (m, 2H).
Optical rotation (Method 5): [a] = - 430.2 ° (c = 1.00, DMSO).
Chiral HPLC (System: Agilent 1260, DAD 325 nm Column: Chiralpak IB 3 μηι 100x4.6 mm, Solvent: hexane / ethanol / diethylamine 80:20:0.1 (v/v/v)): Rt = 4.75 min, 96.3% enantiomeric excess. Intermediate 6
(5S)-6-(4-aminophenyl)-2,5-dimethyl-4,5-dihydropyridazin-3(2H)-one
Preparation A: A sample of racemic 6-(4-aminophenyl)-2,5-dimethyl-4,5-dihydropyridazin-3(2H)- one (prepared as described in analogy to Intermediate 4, 1.20 g, 5.52 mmol) was separated using chiral HPLC (System: 2x Labomatic Pumpe HD-3000, Labomatic AS-3000, Knauer DAD 2600, Labomatic Labcol Vario 4000 Plus, Column: Chiralpak IB 5μηι 250x30 mm, Solvent: hexane / ethanol / diethylamine 80:20:0.1 (v/v/v)) to give the second eluting enantiomer of 6-(4- aminophenyl)-2,5-dimethyl-4,5-dihydropyridazin-3(2H)-one (532 mg, 44% from racemate). H-NMR (400MHz, DMSO-d6): δ [ppm] = 1.03 (d, 3H), 2.25 (dd, 1 H), 2.63 (dd, 1 H), 3.28 (s, 3H), 3.30 - 3.36 (m, 1 H), 5.55 (s, 2H), 6.54 - 6.61 (m, 2H), 7.46 - 7.55 (m, 2H).
Optical rotation (Method 5): [a] = + 61 1.6 ° (c = 1.00, DMSO).
Chiral HPLC (System: Agilent 1260, DAD 325 nm Column: Chiralpak IB 5 μηι 150x4.6 mm, Solvent: hexane / ethanol / diethylamine 80:20:0.1 (v/v/v)): Rt = 6.55 min, 99.5% enantiomeric excess. Preparation B: A solution of Intermediate 33 (150 mg, 0.74 mmol, 1.00 eq) in THF (3 mL) was cooled to 0 °C and treated with sodium hydrate (60% on mineral oil, 35.4 mg, 0.81 mmol, 1.10 eq). The mixture was stirred at room temperature for 1 h before 46 μΙ_ of methyl iodide (0.74 mmol, 1.00 eq) were added at 0 °C. The reaction mixture was stirred over night at room temperature poured into water. The aqueous phase was three times extracted with ethyl acetate. The combined organic layers were washed with water and brine, dried over Na2SC>4 and the solvent was removed under reduced pressure. The residue was purified by reverse-phase preparative HPLC to yield 33 mg of the desired product (21 %, 81 % pure, 99.7%ee). H-NMR (400MHz, DMSO-d6): δ [ppm] = 1.03 (d, 3H), 2.25 (dd, 1 H), 2.63 (dd, 1 H), 3.28 (s, 3H), 3.30 - 3.36 (m, 1 H), 5.55 (s, 2H), 6.54 - 6.61 (m, 2H), 7.46 - 7.55 (m, 2H).
Optical rotation (Method 5): [a] = + 680.4 ° (c = 1.00, DMSO).
Chiral HPLC (System: Agilent 1260, DAD 325 nm Column: Chiralpak IB 3 μηι 100x4.6 mm, Solvent: hexane / ethanol / diethylamine 80:20:0.1 (v/v/v)): Rt = 6.67 min, 99.7% enantiomeric excess. Intermediate 7
6-(4-aminophenyl)-5-methyl-4,5-dihydropyridazin-3(2H)-one
To a solution of Intermediate 3, 2.69 g (1 1.04 mmol), in ethanol, 70 mL, was added hydrazine hydrate, 1.40 mL (28.7 mmol), the reaction was heated at 80 °C for 18 hours. The reaction was concentrated under vacuum and triturated with ethyl acetate to give the desired product Intermediate 7, 1.46 g (65%). H NMR (300 MHz, CD30D): δ [ppm] = 1.13 (d, 3H), 2.33 (d, 1 H), 2.66 (dd, 1 H), 3.28-3.40 (m, 1 H), 6.68 (d, 2H), 7.56 (d, 2H).
UPLC-MS (Method 3): Rt = 0.47 min., 100%. MS (ESIpos): m/z (M+H)+ 204. Intermediate 8 6-(4-aminophenyl)-2-ethyl-5-methyl-4,5-dihydropyridazin-3(2H)-one
Intermediate 7, 500 mg (2.46 mmol), was added to a solution of sodium hydride (50% in mineral oil), 141 mg (2.95 mmol), in dimethylformamide, 50 mL, at 0 °C. The mixture was stirred at room temperature for 1 hour and iodoethane, 0.28 mL (3.44 mmol), was added and the reaction was stirred for a further 1 hour at this temperature. Saturated ammonium chloride solution, 20 mL, was added and the mixture was extracted with ethyl acetate. The combined organics dried over solid sodium sulfate and concentrated under vacuum. Purification by flash column chromatography on silica gel 60 (eluent: ethyl acetate-dichloromethane 1 :9, 1 :4, 1 :1 ) gave the desired product Intermediate 8, 379 mg (66%). H NMR (300 MHz, CDCI3): δ [ppm] = 1.08 (d, 3H), 1.15 (t, 3H), 2.43 (d, 1 H), 2.60 (dd, 1 H), 3.23 (m, 1 H), 3.70-4.10 (m, 4H), 6.67 (d, 2H), 7.76 (d, 2H).
UPLC-MS (Method 3): Rt = 0.60 min., 97%. MS (ESIpos): m/z (M+H)+ 233.
Intermediate 9 6-(4-aminophenyl)-2-cyclopentyl-5-methyl-4,5-dihydropyridazin-3(2H)-one
To a solution of sodium hydride (50% in mineral oil), 1 18 mg (2.95 mmol), in dimethylformamide, 20 mL, at 0°C was added a solution of Intermediate 7, 500 mg (2.46 mmol). The solution was stirred for 1 hour at this temperature then cyclopentyl bromide, 0.37 mL (3.44 mmol), was added and the solution was warmed to room temperature for 2 hours. Saturated ammonium chloride solution was added and the mixture was extracted with ethyl acetate. The combined organics were washed with brine, water, dried over solid sodium sulphate and concentrated under vacuum. Purification by flash column chromatography on silica gel 60 (eluent: dichloromethane- ethyl acetate 9:1 , 8:2, 1 :1 ) followed by toluene azeotrope gave the desired product Intermediate 9, 475 mg (71 %). H NMR (300 MHz, CDCI3): δ [ppm] = 1.20-1.50 (m, 8H), 2.42 (d, 1 H), 2.60 (dd, 1 H), 3.18-3.24 (m, 1 H), 3.88 (br s, 2H), 5.15-5.29 (m, 1 H), 6.68 (d, 2H), 7.60 (d, 2H). UPLC-MS (Method 3): Rt = 0.73 min., 98%. MS (ESIpos): m/z (M+H)+ 271.
Intermediate 10
6-(4-aminophenyl)-2-cyclopropyl-5-methyl-4,5-dihydropyridazin-3(2H)-one
Intermediate 7, 400 mg (1.97 mmol), was added to a solution of sodium hydride (50% in mineral oil), 94 mg (1 .97 mmol), in 1-methyl-2-pyrrolidinone, 10 mL, at 0 °C. The mixture was stirred at room temperature for 1 hour and cyclopropyl bromide, 0.37 mL (5.95 mmol), was added and the mixture was heated by microwave irradiation at 160 °C for 1 hour. The reaction was quenched by addition of ammonium chloride saturated solution and extracted with ethyl acetate. The combined organic layers were dried over sodium sulfate and concentrated under vacuum. Purification by reverse phase chromatography (BIOTAGE SP4, 30 g Biotage cartridge, eluent: acetonitrile-water containing 10 mM ammonium bicarbonate pH 10 buffer 3:97 to 100:0) gave the desired product Intermediate 10, 140 mg, (27%). H NMR (300 MHz, CDCI3): δ [ppm] = 0.70-0.90 (m, 3H), 0.90-1.15 (m, 1 H), 1.12 (s, 3H), 2.44 (dd, 1 H), 2.66 (dd, 1 H), 3.16 (m, 1 H), 3.56 (m, 2H), 3.75-4.05 (m, 2H), 6.65 (d, 2H), 7.53 (d, 2H). UPLC-MS (Method 3): Rt = 0.60 min., 92%. MS (ESIpos): m/z (M+H)+ 244.
Intermediate 11
6-(4-aminophenyl)-5-methyl-2-(2,2,2-trifluoroethyl)-4,5-dihydropyridazin-3(2H)-one
A solution of 1.5 g of Intermediate 3 (6.16 mmol, 1.00 eq) in n-propanol (15 mL) was treated with 814 μΙ_ (2,2,2-trifluoroethyl)hydrazine (9.23 mmol, 1 .50 eq) and stirred for 2 d at 100 °C. After cooling to room temperature the reaction mixture was poured into water. The resulting mixture was saturated with solid NaCI and extracted three times with ethyl acetate. The combined organic phases were dried over Na2SC>4 and the solvent was removed under reduced pressure. The crude product was purified by flash chromatography over silica gel to give 950 mg of the desired Intermediate 11 (3.33 mmol, 54%). H-NMR (400MHz, DMSO-de): δ [ppm] = 1.03 (d, 3H), 2.37 (dd, 1 H), 2.73 (dd, 1 H), 3.33 - 3.41 (m, 1 H), 4.16 - 4.30 (m, 1 H), 4.72 - 4.86 (m, 1 H), 5.59 (s, 2H), 6.58 (d, 2H), 7.51 (d, 2H).
LC-MS (Method 1 ): Rt = 0.96 min; MS (ESIpos): m/z = 286 [M+H]+.
Intermediate 12
(5S)-6-(4-aminophenyl)-5-methyl-2-(2,2,2-trifluoroethyl)-4,5-dihydropyridazin-3(2H)-one or (5R)- 6-(4-aminophenyl)-5-methyl-2-(2,2,2-trifluoroethyl)-4,5-dihydropyridazin-3(2H)-one
A sample of racemic 6-(4-aminophenyl)-5-methyl-2-(2,2,2-trifluoroethyl)-4,5-dihydropyridazin- 3(2H)-one (prepared as described in analogy to Intermediate 11 , 950 mg, 3.33 mmol) was separated using chiral HPLC (System: 2x Labomatic Pumpe HD-3000, Labomatic AS-3000, Knauer DAD 2600, Labomatic Labcol Vario 4000 Plus, Column: Chiralpak IB 5μηι 250x30 mm, Solvent: hexane + 0.1 % diethylamine / 2-propanol 60:40 (v/v)) to give the first eluting enantiomer of 6-(4-aminophenyl)-5-methyl-2-(2,2,2-trifluoroethyl)-4,5-dihydropyridazin-3(2H)-one (482 mg, 48% from racemate). H-NMR (400MHz, DMSO-d6): δ [ppm] = 1.04 (d, 3H), 2.38 (dd, 1 H), 2.74 (dd, 1 H), 3.35 - 3.42 (m, 1 H), 4.25 (dq, 1 H), 4.81 (dq, 1 H), 5.61 (s, 2H), 6.56 - 6.61 (m, 2H), 7.48 - 7.55 (m, 2H). Optical rotation (Method 5): [a] = - 395.7 ° (c = 1.00, DMSO).
Chiral HPLC (System: Agilent 1260, DAD 325 nm Column: Chiralpak IB 5 μηι 100x4.6 mm, Solvent: hexane + 0.1 % diethylamine/ 2-propanol 60:40 (v/v)): Rt = 3.38 min, >99% enantiomeric excess.
Intermediate 13 (5R)-6-(4-aminophenyl)-5-methyl-2-(2,2,2-trifluoroethyl)-4,5-dihydropyridazin- 3(2H)-one or (5S)-6-(4-aminophenyl)-5-methyl-2-(2,2,2-trifluoroethyl)-4,5-dihydropyridazin- 3(2H)-one
A sample of racemic 6-(4-aminophenyl)-5-methyl-2-(2,2,2-trifluoroethyl)-4,5-dihydropyridazin- 3(2H)-one (prepared as described in analogy to Intermediate 11 , 950 mg, 3.33 mmol) was separated using chiral HPLC (System: 2x Labomatic Pumpe HD-3000, Labomatic AS-3000, Knauer DAD 2600, Labomatic Labcol Vario 4000 Plus, Column: Chiralpak IB 5μηι 250x30 mm, Solvent: hexane + 0.1 % diethylamine / 2-propanol 60:40 (v/v)) to give the second eluting enantiomer of 6-(4-aminophenyl)-5-methyl-2-(2,2,2-trifluoroethyl)-4,5-dihydropyridazin-3(2H)-one (426 mg, 43% from racemate). H-NMR (400MHz, DMSO-d6): δ [ppm] = 1 .04 (d, 3H), 2.38 (dd, 1 H), 2.74 (dd, 1 H), 3.33 - 3.43 (m, 1 H), 4.25 (dq, 1 H), 4.81 (dq, 1 H), 5.61 (s, 2H), 6.54 - 6.63 (m, 2H), 7.47 - 7.56 (m, 2H).
Optical rotation (Method 5): [a] = + 403.0 ° (c = 1 .00, DMSO).
Chiral HPLC (System: Agilent 1260, DAD 325 nm Column: Chiralpak IB 5 μηι 100x4.6 mm, Solvent: hexane + 0.1 % diethylamine/ 2-propanol 60:40 (v/v)): Rt = 5.78 min, >99% enantiomeric excess.
Intermediate 14
6-(4-aminophenyl)-5-methyl-2-(tetrahydro-2H-pyran-4-yl)-4,5-dihydropyridazin-3(2H)-one
A solution of 500 mg of Intermediate 3 (2.05 mmol, 1 .00 eq) in n-propanol (13 mL) was treated with 535 mg of tetrahydro-2H-pyran-4-ylhydrazine dihydrochloride (2.83 mmol, 1.38 eq) and 428 [\L of trethylamine (3.08 mmol, 1 .50 eq). The reaction mixture was stirred over night in a sealed tube at 100 °C. After cooling to room temperature the mixture was poured into water and stirred for 2 h to yield an oily suspension. The aqueous phase was saturated with solid NaCI and extracted three times with ethyl acetate. The combined organic layers were washed with brine, dried over Na2SC>4 and the solvend was removed under reduced pressure. The crude product was purified by flash chromatography on silica gel to yield 1 13 mg of the desired Intermediate 14 (0.39 mmol, 19%).
1 H-NMR (500MHz, DMSO-d6): δ= 1 .01 (d, 3H), 1 .45 - 1 .57 (m, 2H), 1 .78 - 1 .89 (m, 1 H), 2.07 (qd, 1 H), 2.27 (dd, 1 H), 2.63 (dd, 1 H), 3.24 - 3.30 (m, 2H), 3.36 - 3.47 (m, 2H), 3.85 - 3.98 (m, 1 H), 4.65 - 4.76 (m, 1 H), 5.53 (s, 2H), 6.57 - 6.61 (m, 2H), 7.53 (d, 2H). LC-MS (Method 2): Rt = 0.79 min; MS (ESIpos): m/z = 288 [M+H]+. Intermediate 15
6-(4-aminophenyl)-2-(2-hydroxyethyl)-5-methyl-4,5-dihydropyridazin-3(2H)-one
A solution of 800 mg of Intermediate 3 (3.28 mmol, 1.00 eq) in n-propanol (21 ml) was treated with 334 μΙ_ of 2-hydrazinoethanol (4.92 mmol, 1.50 eq) and stirred over night at 100 °C. After cooling to room temperature 686 μΙ_ of triethylamine (4.92 mmol, 1.50 eq) were added and the mixture was stirred again for 24 h at 100 °C. After adding two times 1.00 eq of 2- hydrazinoethanol and stirring the reaction mixture again for 48 h the reaction was quenched by pouring the mixture into water. The resulting suspension was filtered. The solid was discarded. The aqueous phase was saturated with solid NaCI and three times extracted with ethyl acetate. The combined organic layers were washed with brine, dried over Na2SC>4 and the solvent was removed under reduced pressure. The crude product was purified by flash chromatography to yield 275 mg of the desired Intermediate 15 (1.1 1 mmol, 34%). H-NMR (400MHz, DMSO-d6): δ [ppm] = 1.03 (d, 3H), 2.24 (dd, 1 H), 2.62 (dd, 1 H), 3.23 - 3.30 (m, 1 H), 3.53 - 3.69 (m, 3H), 3.89 (dt, 1 H), 4.62 (t, 1 H), 5.52 (s, 2H), 6.55 - 6.61 (m, 2H), 7.47 - 7.53 (m, 2H).
LC-MS (Method 1 ): Rt = 0.61 min; MS (ESIpos): m/z = 248 [M+H]+. Intermediate 16 N-[4-(2-chlorobutanoyl)phenyl]acetamide
A solution of 10.0 g of acetanilide (74.0 mmol, 1.00 eq) in DCM (150 ml) cooled to 0 °C was treated with 29.6 g of aluminium trichloride (222 mmol, 3.00 eq). The ice bath was removed to obtain a suspension. To the resulting suspension 10.9 mL of 2-chlorobutanoyl chloride (85% purity, 81.4 mmol, 1.10 eq) were added. The reaction mixture was stirred over night at room temperature. The mixture was carefully poured into a mixture of ice/water mixture (1.5 L) and concentrated hydrochloric acid (350 mL). the resulting slurry was stirred for 2.5 h, the DCM phase was separated. The aqueous phase was extracted several times with DCM. The combined organic phases were washed with brine, dried over Na2SC>4 and the solvent was removed under reduced pressure to yield 9.8 g of the desired Intermediate 16 (40.9 mmol, 55% contaminated with acetanilide) which was used in the next step without any further purification.
LC-MS (Method 1 ): Rt = 1.02 min; MS (ESIneg): m/z = 238 [M-H]".
Intermediate 17 dimethyl [1 -(4-acetamidophenyl)-1 -oxobutan-2-yl]malonate
To a suspension of 881 mg of sodium hydride (60% dispersion in mineral oil, 22.0 mmol, 1 .20 eq) in DMF (50 mL) were added at 0 °C 2.52 mL of dimethyl malonate (22.0 mmol, 1.20 eq). The ice bath was removed and treated with a solution of 4.40 g of Intermediate 16 (18.4 mmol, 1.00 eq) in DMF (15 mL). The reaction mixture was stirred for 8 h at 1 10 °C. After cooling to room temperature the reaction was quenched by pouring the mixture into 600 mL ice water. The resulting suspension was extracted three times with ethyl acetate. The combined organic layers were washed with water, brine and dried over Na2SC>4. The solvent was removed under reduced pressure and by codestillation with toluene and water. The crude Intermediate 17 was still contaminated with DMF (2.40 g, 7.16 mmol, 39%). It was used without any further purification in the next step. LC-MS (Method 2): R
t = 0.99 min; MS (ESIpos): m/z = 336 [M+H]
+.
Intermediate 18 3-(4-aminobenzoyl)pentanoic acid hydrochloride
A solution of 2.40 g of Intermediate 17 (7.16 mmol, 1 .00 eq) in concentrated hydrochloric acid (50 ml. ) was stirred at 100 °C over night. The solvent was removed under reduced pressure. The residue was resolved in water and the pH value of the aqueous phase was adjusted to 14 by the addition of 1 M NaOHaq. The resulting suspension was extracted with DCM and ethyl acetate. The crude product was detectable in the organic phase by UPLC/MS. The combined organic layers were dried over Na2SC>4 and the solvent was removed under reduced pressure to yield 970 mg of the desired Intermediate 18 (3,76 mmol, 53%) as crude product which was used without any further purification. H-NMR (400MHz, DMSO-d6): δ [ppm] = 0.79 (t, 3H), 1 .34 - 1.63 (m, 2H), 2.28 - 2.36 (m, 1 H), 2.63 (dd, 1 H), 3.59 - 3.70 (m, 1 H), 6.02 (br. s., 2H), 6.57 (d, 2H), 7.65 - 7.72 (m, 2H), 12.02 - 12.14 (m, 1 H).
Intermediate 19 6-(4-aminophenyl)-5-ethyl-2-methyl-4,5-dihydropyridazin-3(2H)-one
A solution of 970 mg of Intermediate 18 (3.76 mmol, 1.00 eq) in n-propanol (10 mL) was treated with methylhydrazine. The mixture was stirred at 100 °C over night. After cooling to room temperature the mixture was poured into water. The aqueous phase was saturated with solid NaCI and extracted three times with ethyl acetate. The combined organic layers were washed with brine, dried over Na2SC>4 and the solvent was removed under reduced pressure. The crude product was purified by flash chromatography to yield 426 mg of the desired Intermediate 19 (1.84 mmol, 49%). H-NMR (400MHz, DMSO-d6): δ [ppm] = 0.85 (t, 3H), 1.28 - 1.51 (m, 2H), 2.38 (dd, 1 H), 2.58 (dd, 1 H), 3.09 - 3.18 (m, 1 H), 3.25 (s, 3H), 5.52 (s, 2H), 6.53 - 6.60 (m, 2H), 7.45 - 7.55 (m, 2H).
LC-MS (Method 1 ): Rt = 0.77 min; MS (ESIpos): m/z = 233 [M+H]+.
Intermediate 20 N-[4-(4-methyl-6-oxo-1 ,4,5,6-tetrahydropyridazin-3-yl)phenyl]-1 ,3-dihydro-2H- pyrrolo[3,4-c]pyridine-2-carboxamide
A solution of 406 mg of Intermediate 7 (2.00 mmol, 1.00 eq) in THF (30 mL) was treated with 615 mg of Ν,Ν'-disuccinimidyl carbonate (2.40 mmol, 1.20 eq) and 293 mg of 4- dimethylaminopyridine (2.40 mmol, 1 .20 eq). The mixture was stirred for three days at room temperature. A suspension of 463 mg of 2,3-dihydro-1 H-pyrrolo[3,4-c]pyridine dihydrochloride (2.40 mmol, 1.20 eq) and 1.00 mL of triethylamine (7.20mmol, 3.60 eq) in DMF (2 mL) was added and the resulting suspension as again stirred over night. The mixture was poured into water, the precipitate was collected by filtration and was washed with water to provide after trituration with ethanol 440 mg of the desired product (63%). H-NMR (400MHz, DMSO-d6): δ [ppm] = 1 .07 (d, 3H), 2.17 - 2.26 (m, 1 H), 2.62 - 2.71 (m, 1 H), 3.35 - 3.42 (m, 1 H), 4.82 (d, 4H), 7.41 - 7.46 (m, 1 H), 7.61 - 7.74 (m, 4H), 8.50 (d, 1 H), 8.61 (d, 2H), 10.85 (s, 1 H).
LC-MS (Method 1 ): Rt = 0.57 min; MS (ESIpos): m/z = 350 [M+H]+.
Intermediate 21 N-[4-(4-methyl-6-oxo-1 ,4,5,6-tetrahydropyridazin-3-yl)phenyl]-5,7-dihydro-6H- pyrrolo[3,4-b]pyridine-6-carboxamide
Intermediate 21 was prepared as described in analogy to Intermediate 20 starting from 406 mg of Intermediate 5 and 463 mg of 6,7-dihydro-5H-pyrrolo[3,4-b]pyridine dihydrochloride (2.40 mmol, 1.20 eq). 4908 mg of the desired product (70%) were obtained. H-NMR (400MHz, DMSO-d6): δ [ppm] = 1 .08 (d, 3H), 2.22 (d, 1 H), 2.67 (dd, 1 H), 3.37 (s, 1 H), 4.79 (d, 4H), 7.33 (dd, 1 H), 7.63 - 7.74 (m, 4H), 7.81 (d, 1 H), 8.48 (dd, 1 H), 8.58 (s, 1 H), 10.84 (s, 1 H).
LC-MS (Method 1 ): Rt = 0.72 min; MS (ESIpos): m/z = 350 [M+H]+. Intermediate 22 6-(4-Aminophenyl)-2-isopropyl-5-methyl-4,5-dihydropyridazin-3(2H)-one
A solution of 5.20 g of Intermediate 3 (21.34 mmol, 1.00 eq) in n-propanol (64 ml) was treated with 3.54 g of propan-2-ylhydrazine hydrochloride (1 :1 ) (32.01 mmol, 1.50 eq) and stirred over night at 100 °C. After cooling to room temperature the reaction was quenched by pouring the mixture into water. The resulting suspension was filtered. The solid was discarded. The aqueous phase was saturated with solid NaCI and three times extracted with ethyl acetate. The combined organic layers were washed with brine, dried over Na2SC>4 and the solvent was removed under reduced pressure. The crude product was purified by flash chromatography to yield 1.10 g of the desired Intermediate 22 (4.48 mmol, 21 %). H-NMR (400MHz, DMSO-d6): δ [ppm] = 1 .00 (d, 3H), 1.12 (d, 3H), 1.21 (d, 3H), 2.23 (dd, 1 H), 2.59 (dd, 1 H), 3.20 - 3.29 (m, 1 H), 4.75 - 4.99 (m, 1 H), 5.52 (s, 2H), 6.53 - 6.65 (m, 2H), 7.44 - 7.61 (m, 2H).
LC-MS (Method 1 ): Rt = 0.90 min; MS (ESIpos): m/z = 247 [M+2H]+. Intermediate 23
6-(4-Aminophenyl)-5-methyl-2-phenyl-4,5-dihydropyridazin-3(2H)-one
A solution of 5.00 g of Intermediate 3 (20.52 mmol, 1.00 eq) in n-propanol (40 ml) was treated with 3.54 g of phenylhydrazine (30.78 mmol, 1.50 eq) and stirred over night at 100 °C. After cooling to room temperature the reaction was quenched by pouring the mixture into water. The resulting suspension was filtered. The solid was discarded. The aqueous phase was saturated with solid NaCI and three times extracted with ethyl acetate. The combined organic layers were washed with brine, dried over Na2SC>4 and the solvent was removed under reduced pressure. The crude product was purified by flash chromatography to yield 0.61 g of the desired Intermediate 23(2.07 mmol, 10%). H-NMR (400MHz, DMSO-d6): δ [ppm] = 1.15 (d, 3H), 2.35 - 2.47 (m, 1 H), 2.89 (dd, 1 H), 3.39 - 3.49 (m, 1 H), 5.61 (s, 2H), 6.59 (d, 2H), 7.19 - 7.31 (m, 1 H), 7.34 - 7.46 (m, 2H), 7.47 - 7.62 (m, 4H).
LC-MS (Method 1 ): Rt = 0.98 min; MS (ESIpos): m/z = 280 [M+H]+. Intermediate 24
6-(4-Aminophenyl)-2-[2-(dimethylamino)ethyl]-5-methyl-4,5-dihydropyridazin-3(2H)-one
A solution of 4.09 g of Intermediate 3 (16.80 mmol, 1.00 eq) in n-propanol (33 ml) was treated with 2.60 g of 2-hydrazino-N,N-dimethylethanamine (25.20 mmol, 1.50 eq) and stirred over night at 100 °C. After cooling to room temperature the reaction was quenched by pouring the mixture into water. The resulting suspension was filtered. The solid was discarded. The aqueous phase was saturated with solid NaCI and three times extracted with ethyl acetate. The combined organic layers were washed with brine, dried over Na2SC>4 and the solvent was removed under reduced pressure. The crude product was purified by flash chromatography to yield 1.10 g of the desired Intermediate 24(3.93 mmol, 23%). H-NMR (400MHz, DMSO-d6): δ [ppm] = 1 .03 (d, 3H), 2.16 (s, 6H), 2.23 (dd, 1 H), 2.44 (q, 2H), 2.61 (dd, 1 H), 3.27 (s, 1 H), 3.34 (s, 1 H), 3.55 - 3.68 (m, 1 H), 3.88 - 4.07 (m, 1 H), 5.55 (s, 2H), 6.50 - 6.62 (m, 2H), 7.46 - 7.55 (m, 2H).
LC-MS (Method 1 ): Rt = 0.50 min; MS (ESIpos): m/z = 276 [M+2H]+. Intermediate 25 6-(4-aminophenyl)-2-[4-(difluoromethoxy)benzyl]-5-methyl-4,5-dihydropyridazin-3(2H)-one
A solution of Intermediate 3 (863 mg, 3.54 mmol, 1.00 eq) in 1-propanol (20 ml.) was treated with [4-(difluoromethoxy)benzyl]hydrazine (1.00g, 5.31 mmol, 1.50 eq). The reaction mixture was stirred over night at 100 °C. After cooling to room temperature the mixture was poured into water. The aqueous phase was saturated with solid sodium chloride and extracted three times with ethyl acetate. The combined organic layers were washed with water, dried over Na2SC>4 and the solvent was removed under reduced pressure. The resulting residue was purified by flash- chromatography on silica gel (hexane/ethyl acetate) to provide 740 mg of the desired product (1.96 mmol, 55%). H-NMR (400MHz, DMSO-d6): δ [ppm]= 1.00 (d, 3H), 2.30 (dd, 1 H), 2.71 (dd, 1 H), 3.28 - 3.37 (m, 2H), 4.78 (d, 1 H), 4.97 (d, 1 H), 5.55 (s, 2H), 6.56 (d, 2H), 7.10 - 7.15 (m, 2H), 7.31 - 7.37 (m, 2H), 7.44 - 7.52 (m, 2H). LC-MS (Method 2): Rt = 1.09 min; MS (ESIpos): m/z = 360 [M+2H]+.
Intermediate 26 tert-butyl {4-[methoxy(methyl)carbamoyl]phenyl}carbamate
To a solution of 4-[(tert-butoxycarbonyl)amino]benzoic acid, 5 g (66493-39-8, 21.07 mmol) in N,N-dimethylformamide, 30 ml_, was added triethylamine, 1 1.7 ml (84.3 mmol), Ν,Ο-dimethyl hydroxylamine hydrochloride, 3.08 g (31.61 mmol), 1-hydroxy-7-azabenzotriazole, 4.30 g, (31.6 mmol) and 1 -(3-dimethylaminopropyl)-3-ethylcarbodiimide hydrochloride, 8.53 g (42.15 mmol).
The reaction was stirred at room temperature for 18 hours. A saturated solution of sodium hydrogen carbonate, 200 ml_, was added and the reaction was extracted with ethyl acetate. The organics were washed with a saturated solution of sodium hydrogen carbonate, brine, dried over solid sodium sulphate, filtered and concentrated under vacuum to give Intermediate 26, 5.50 g
(83%). H NMR (400 MHz, CDCI3): δ [ppm] = 1.50 (s, 9H), 3.34 (s, 3H), 3.57 (s, 3H), 6.67 (s, 1 H), 7.38 (d, 2H), 7.67 (d, 2H).
UPLC (Method 8): Rt = 0.68., 89%. MS (ESIpos): m/z [M+H]+ 281
Intermediate 27 tert-butyl [4-(phenylacetyl)phenyl]carbamate
Intermediate 26, 1 .50 g (5.35 mmol) was dissolved in tetrahydrofuran, 50 mL. The reaction mixture is cooled at 0° C and a solution of benzyl magnesium chloride (2M in tetrahydrofuran), 21 .4 mL (21.4 mmol) was added. The reaction stirred at room temperature for 18 hours. The reaction was quenched by addition of a diluted solution of hydrochloric acid (1 M in water), 50 mL (50 mmol) and extracted with ethyl acetate. The combined organic layers were dried over sodium sulphate, filtered and the solvent evaporated. Purification by flash silica chromatography 60 (eluent: heptanes, dichloromethane 1 : 1 ) gave the desired material, 1.46 g (88%). H NMR (400 MHz, CDCI3): δ [ppm] = 1.52 (s, 9H), 4.23 (s, 2H), 6.67 (br s, 1 H), 7.1 -7.4 (m, 5H), 7.43 (d, 2H), 7.96 (d, 2H).
UPLC (Method 8): Rt = 0.87., 100%. MS (ESIpos): m/z [M+H]+ 312. Intermediate 28 ethyl 4-{4-[(tert-butoxycarbonyl)amino]phenyl}-4-oxo-3-phenylbutanoate
Intermediate 27, 1000 mg (3.2 mmol) was added portionwise to a solution of sodium hydride, 200 mg (5.0 mmol, 60% dispersion in oil) in dry N,N-dimethylformamide, 30 mL, at -40 °C. The reaction mixture was stirred at room temperature for 1 hour, then and ethyl bromoacetate, 0.32 mL (2.9 mmol) was added at - 40 °C. The reaction was stirred at room temperature for 2 hours and quenched by addition of a saturated solution of ammonium chloride solution. The aqueous phase was extracted with ethyl acetate. The combined organic layers were washed with water dried over sodium sulphate, filtered and concentrated under reduced pressure. Purification by flash silica chromatography 60 (eluent: dichloromethane) gave the desired product, 930 mg
(73%). H NMR (400 MHz, CDCI3): δ [ppm] = 1 .17 (t, 9H), 1.49 (s, 9H), 2.68 (dd, 1 H), 3.31 (dd, 1 H), 4.0.9 (q, 2H), 5.02 (dd, 1 H), 6.09 (br s, 1 H), 7.1 -7.2 (m, 1 H), 7.25 (d, 4H), 7.34 (d, 2H), 7.91 (d, 2H).
UPLC (Method 3): Rt = 0.94., 97%. MS (ESIpos): m/z [M+H]+ 398.
Intermediate 29 4-{4-[(tert-butoxycarbonyl)amino]phenyl}-4-oxo-3-phenylbutanoic acid
Intermediate 28, 920 mg (2.3 mmol) was dissolved in methanol, 20 ml_, and sodium hydroxide (2M, in water), 8 mL (16 mmol) was added. The reaction was stirred at room temperature for 24 hours. The reaction reached completion. The solvent was evaporated. The crude was dissolved in ethyl acetate and a solution of hydrochloric acid (1 M, in water), 20 mL (20 mmol) was added. The water layer was extracted with ethyl acetate and the organic layer were dried over sodium sulphate, filtered and the solvent evaporated to give Intermediate 29, 710 mg (83%). H NMR (400 MHz, MeOD-d4): δ [ppm] = 1.49 (s, 9H), 2.62 (dd, 1 H), 3.27 (dd, 1 H), 5.10 (dd, 1 H), 6.70 (br s, 1 H), 7.1-7.3 (m, 5H), 7.42 (d, 2H), 7.91 (d, 2H).
UPLC (Method 3): Rt = 0.60., 98%. MS (ESIpos): m/z [M+H]+ 370.
Intermediate 30 tert-butyl [4-(1 -methyl-6-oxo-4-phenyl-1 ,4,5,6-tetrahydropyridazin-3-yl)phenyl]carbamate
Intermediate 29, 750 mg (2 mmol) was dissolved in ethanol, 300 mL, methyl hydrazine, 0.53 mL (10.2 mmol) was added. The reaction mixture was refluxed for 72 hours. The solvent was evaporate. The crude was suspended in water and extracted with ethyl acetate. The organic layer was dried over sodium sulphate, filtered and the solvent evaporated. The crude compound was purified by reverse phase chromatography (BIOTAGE SP4, 60 g Biotage cartridge) using acetonitrile and water containing 10mM ammonium bicarbonate pH 10 buffer (3:97 to 100:0) to give the desired material, 510 mg (66%). H NMR (400 MHz, CDCI3): δ [ppm] = 1.50 (s, 9H), 2.80 (d, 1 H), 2.95 (d, 1 H), 3.48 (s, 3H), 4.42 (d, 1 H), 6.53 (s, 1 H), 7.10-7.40 (m, 7H), 7.66 (d, 2H).
UPLC (Method 8): Rt = 0.85., 98%. MS (ESIpos): m/z [M+H]+ 380.
Intermediate 31 6-(4-aminophenyl)-2-methyl-5-phenyl-4,5-dihydropyridazin-3(2H)-one
To a solution of Intermediate 30, 510 mg (1 .3 mmol) in dichloromethane, 30 mL, at 0 °C was added trifluoroacetic acid, 1 mL (12.98 mmol). The mixture was stirred at room temperature for 2 hours. After cooling to 0 °C, the reaction was neutralised with a solution of sodium hydroxide (2 N in water), 6.5 mL (12.98 mmol) and extracted with dichloromethane. The organic layers were combined, dried over sodium sulfate, filtered and concentrated in vacuo to give Intermediate 31 , 290 mg (80%). H NMR (400 MHz, MeOD-d4): δ [ppm] = 2.77 (dd, 1 H), 2.92 (dd, 1 H), 3.45 (s, 3H), 3.86 (br s, 2H), 4.38 (d, 1 H), 6.10 (d, 2H), 7.14 (d, 2H), 7.20-7.40 (m, 3H), 7.53 (d, 2H).
UPLC (Method 3): Rt = 0.67., 93%. MS (ESIpos): m/z [M+H]+ 280.
Intermediate 32 (5R)-6-(4-aminophenyl)-5-methyl-4,5-dihydropyridazin-3(2H)-one
A sample of racemic 6-(4-aminophenyl)-5-methyl-4,5-dihydropyridazin-3(2H)-one (prepared as described in analogy to Intermediate 7, 1.20 g, 5.90 mmol) was separated using chiral HPLC (System: Labomatic Pumpe HD-5000, Labocord-5000; Gilson GX-241 , Labcol Vario 4000, Column: Chiralpak IA 5μηι 250x30 mm, Solvent: 100% acetonitrile + 0.1 % vol. diethylamine (99%), flow: 60.0 mL/min, RT, UV @ 254 nm) to give the second eluting enantiomer of 6-(4- aminophenyl)-5-methyl-4,5-dihydropyridazin-3(2H)-one (531 mg, 44% from racemate).
The stereochemistry of the chiral center was assigned by optical rotation and comparison with the literature: See for (R)-(-)-6-(4-aminophenyl)-4,5-dihydro-5-methylpyridazin-3(2 - )-one Chem. Pharm. Bull. 1998, 46 (1 ). 84-96; [a] = - 582.4 ° (c = 1.00, DMF).
Optical rotation (Method 5): [a] = - 656.5 ° (c = 1.00, DMSO).
Chiral HPLC (System: Agilent 1260, DAD 325 nm Column: Chiralpak IB 3 μηι 100x4.6 mm, Solvent: 100% acetonitrile + 0.1 % vol. diethylamine (99%), flow 1 mL/min): Rt = 5.04 min, >99% enantiomeric excess. UPLC (Method 2): Rt = 0.53; MS (ESIpos): m/z [M+H]+ 204.
Intermediate 33
(5S)-6-(4-aminophenyl)-5-methyl-4,5-dihydropyridazin-3(2H)-one
A sample of racemic 6-(4-aminophenyl)-5-methyl-4,5-dihydropyridazin-3(2H)-one (prepared as described in analogy to Intermediate 7, 1.20 g, 5.90 mmol) was separated using chiral HPLC (System: Labomatic Pumpe HD-5000, Labocord-5000; Gilson GX-241 , Labcol Vario 4000, Column: Chiralpak IA 5μηι 250x30 mm, Solvent: 100% acetonitrile + 0.1 % vol. diethylamine (99%), flow: 60.0 mL/min, RT, UV @ 254 nm) to give the first eluting enantiomer of 6-(4- aminophenyl)-5-methyl-4,5-dihydropyridazin-3(2H)-one (400 mg, 33% from racemate).
The stereochemistry of the chiral center was assigned by optical rotation and comparison with the literature: See for (S)-(+)-6-(4-aminophenyl)-4,5-dihydro-5-methylpyridazin-3(2 - )-one Chem. Pharm. Bull. 1998, 46 (1 ). 84-96; [a] = + 560.0 ° (c = 0.95, DMF).
Optical rotation (Method 5): [a] = +61 1.6 ° (c = 1.00, DMSO).
Chiral HPLC (System: Agilent 1260, DAD 325 nm Column: Chiralpak IB 3 μηι 100x4.6 mm, Solvent: 100% acetonitrile + 0.1 % vol. diethylamine (99%), flow 1 mL/min): Rt = 3.20 min, >99% enantiomeric excess. UPLC (Method 2): Rt = 0.53; MS (ESIpos): m/z [M+H]+ 204.
Intermediate 34
6-(4-aminophenyl)-5-methyl-2-[2-(morpholin-4-yl)ethyl]-4,5-dihydropyridazin-3(2H)-one
To a solution of 2.80 g of Intermediate 3 (1 1.5 mmol, 1.0 eq) in n-propoanol (40 mL) was added 4-(2-hydrazinylethyl)morpholine (2.50 g, 17.2 mmol, 1.5 eq). The reaction mixture was stirred over night at 100 °C. After cooling to room temperature the solvent was removed the residue was diluted with water and three times extracted with ethyl acetate. The combines organic layers were washed with brine, dried over Na2SC>4 and the solvent was removed under reduced pressure. The crude product was purified by flash-chromatography on silica gel using DCM/MeOH as eluents to yield 585 mg of the desired product (1.74 mmol, 15%). H-NMR (400MHz, DMSO-d6): δ [ppm]= 1.07 (d, 3H), 2.24 (dd, 1 H), 2.30 - 2.45 (m, 4H), 2.59 (d, 1 H), 3.22 - 3.31 (m, 1 H), 3.50 (t, 4H), 3.54 - 3.63 (m, 1 H), 4.08 (dt, 1 H), 5.54 (s, 2H), 6.53 - 6.61 (m, 2H), 7.46 - 7.53 (m, 2H). Two protons under solvent signal.
UPLC (Method 1 ): Rt = 0.49; MS (ESIpos): m/z [M+H]+ 317.
Intermediate 35 ethyl 4-(4-bromophenyl)-2,2-dimethyl-4-oxobutanoate
Pottasium tertbutoxylate (19.1 g, 170 mmol, 2.01 eq) was suspended in THF (150 ml.) and cooled to -70 °C. A solution of 1 -(4-bromophenyl)ethanone (16.9 g, 84.8 mmol, 1.00 eq) in THF (50 ml.) was carefully added. The mixture was stirred 30 minutes at -70 °C. Afterwards ethyl 2- bromo-2-methylpropanoate (33.1 g, 170 mmol 2.00 eq) was added. The ice bath was removed and the mixture was stirred over night at room temperature. Aqueous HCI (1 M) was added and the resulting mixture was extracted several times with DCM. The combined organic layers were washed with brine, dried over Na2SC>4 and the solvent was removed under reduced pressure. The crude product was purified by falsh chromatography on silica gel to yiel the desired product (15.0 g, 56%).
UPLC (Method 2): Rt = 1.38; MS (ESIpos): m/z [M+H]+ 315. Intermediate 36
4-(4-bromophenyl)-2,2-dimethyl-4-oxobutanoic acid
To a solution of Intermediate 35, 14.00 g (35.76 mmol, 80 % purity), THF, 80 mL, was added at room temperature a 1 M lithium hydroxide solution, 107 mL (107.28 mmol, 3 eq.), the reaction was heated at 55 °C over night. The pH of the reaction was adjusted to pH 2 by addition of a concentrated hydrochloric acid solution, extracted with DCM, dried over sodium sulfate and concentrated under vacuum. The crude product crystallizes to give the desired product, 10.0 g (98%). H-NMR (400MHz, DMSO-de): δ [ppm] = 1.21 (s, 6H), 3.30 (s, 2H), 7.68 - 7.77 (m, 2H), 7.83 - 7.96 (m, 2H), 12.07 (br. s., 1 H). UPLC-MS (Method 3): Rt = 0.60 min. MS (ESIpos): m/z (M+2H)+ 287.
Intermediate 37
6-(4-bromophenyl)-4,4-dimethyl-4,5-dihydropyridazin-3(2H)-one
To a solution of Intermediate 36, 5.00 g (15.96 mmol), in n-propanol, 48 mL, was added at room temperature hydrazine hydrate (1 :1 ), 0.93 mL (19.16 mmol, 1 eq.), the reaction was heated at 1 10 °C over night. The reaction was poured into water, extracted with ethyl acetate, dried over magnesium sulfate and concentrated under vacuum. The crude product crystallizes to give the desired product, 3.40 g (75%, 90 % purity). H-NMR (400MHz, DMSO-de): δ [ppm] = 1.07 (s, 6H), 2.83 (s, 2H), 7.55 - 7.67 (m, 2H), 7.67 - 7.73 (m, 2H), 10.96 (s, 1 H).
UPLC-MS (Method 3): Rt = 1.13 min. MS (ESIpos): m/z (M+2H)+ 283. Intermediate 38
6-(4-bromophenyl)-2-ethyl-4,4-dimethyl-4,5-dihydropyridazin-3(2H)-one
Sodium hydrate 60% dispersion in mineral oil (532.0 mg, 13.03 mmol, 1.10 eq) was suspended in THF (20.00 ml_). To this suspension was added at 0 °C a solution of Intermediate 37 (3.40 g, 12.09 mmol, 1.00 eq) in THF. The mixture was stirred for 30 min at 0 °C, then iodoethane (0.97 ml_, 12.09 mmol, 1 .00 eq) was added. The ice bath was removed and the mixture was stirred overnight at room temperature. The reaction mixture was stirred again overnight at room temperature. The mixture was poured into water and extracted three times with ethyl acetate. The combined organic extracts were washed with brine, dried over Na2SC>4 and the solvent was removed under reduced pressure to yield the crude desired product. The residue was purified by preparative chromatography to yield the desired product 860 mg (41 %). H-NMR (400MHz, DMSO-de): δ [ppm] = 1.07 (s, 6H), 1.15 (t, 3H), 2.87 (s, 2H), 3.75 (q, 2H), 7.60 - 7.69 (m, 2H), 7.70 - 7.80 (m, 2H).
UPLC-MS (Method 3): Rt = 1.40 min., 100%. MS (ESIpos): m/z (M+2H)+ 31 1. Intermediate 39
6-(4-aminophenyl)-2-ethyl-4,4-dimethyl-4,5-dihydropyridazin-3(2H)-one
A mixture of Intermediate 38 (860 mg, 2.50 mmol, 1.00 eq), benzophenone imine (544 mg, 3.00 mmol, 1.20 eq), cesium carbonate (1.14 g, 3.50 mmol, 1.40 eq) and 1 ,4-dioxane 17 ml. was degassed with argon. (rac)-2,2'-Bis(diphenylphosphino)-1 ,1 '-binaphthyl (58 mg, 0.10 mmol, 0.04 eq) and tris(dibenzylideneacetone)dipalladium(0) (45 mg, 0.05 mmol, 0.02 eq) were added and the mixture heated over night at 80°C. The mixture was cooled to room temperature and the mixture acidified to pH 1 with 2M aqueous hydrochloric acid and stirred for 3 h at 60 °C. Then basified to pH 9-10 with saturated aqueous bicarbonate, then 3x extracted with ethylacetate, organic Phases washed with water, dried over Na2S04 and evaporated under reduced pressure. The crude product was purified by flash Chromatography to yield the desired product (1 10 mg, 17%).
LC-MS (Method 2): Rt = 0.89 min; MS (ESIpos): m/z = 246 [M+H]+.
Intermediate 40
6-(4-bromophenyl)-2-cyclopropyl-4,4-dimethyl-4,5-dihydropyridazin-3(2H)-one
To a solution of Intermediate 36, 2.15 g (7.54 mmol), in n-propanol, 12 ml_, was added at room temperature cyclopropylhydrazine dihydrochloride, 1.64 g (1 1.32 mmol, 1.5 eq.) and N-ethyl-N- isopropylpropan-2-amine, 0.66 ml. (3.77 mmol), the reaction was heated at 1 10 °C over night. The reaction was poured into water, extracted with ethyl acetate, dried over magnesium sulfate and concentrated under vacuum. The crude product was purified by flash Chromatography to yield the desired product (800 mg, 33%). H-NMR (400MHz, DMSO-d
6): δ [ppm] = 0.64 - 0.86 (m, 4H), 0.95 - 1.20 (m, 6H), 2.83 (s, 2H), 3.40 - 3.63 (m, 1 H), 7.28 - 7.99 (m, 4H).
UPLC-MS (Method 3): R
t = 1.42 min. MS (ESIpos): m/z (M+H)
+ 321. Intermediate 41 6-(4-aminophenyl)-2-cyclopropyl-4,4-dimethyl-4,5-dihydropyridazin-3(2H)-one
A mixture of Intermediate 40 (3.00 g, 9.34 mmol, 1.00 eq), benzophenone imine (2.03 g, 1 1.21 mmol, 1 .20 eq), cesium carbonate (4.26 g, 13.07 mmol, 1.40 eq) and 1 ,4-dioxane 66 ml. was degassed with argon. dicyclohexyl(2',6'-dimethoxybiphenyl-2-yl)phosphine (153.36 mg, 0.37 mmol, 0.04 eq) and tris(dibenzylideneacetone)dipalladium(0) (171 mg, 0.19 mmol, 0.02 eq) were added and the mixture heated over night at 80°C. The mixture was cooled to room temperature and the mixture acidified to pH 1 with 2M aqueous hydrochloric acid and stirred for 3 h at 60 °C. Then basified to pH 9-10 with saturated aqueous bicarbonate, then 3x extracted with ethylacetate, organic Phases washed with water, dried over Na2S04 and evaporated under reduced pressure. The crude product was purified by flash Chromatography to yield the desired product (2.00 g, 83%). H-NMR (400MHz, DMSO-de): δ [ppm] = 0.65 - 0.76 (m, 2H), 0.76 - 0.87 (m, 2H), 1.04 (s, 6H), 2.68 (s, 2H), 3.41 - 3.55 (m, 1 H), 5.54 (s, 2H), 6.48 - 6.66 (m, 2H), 7.39 - 7.53 (m, 2H). LC-MS (Method 2): Rt = 0.91 min; MS (ESIpos): m/z = 258 [M+H]+. Intermediate 42
6-(4-bromophenyl)-2-cyclobutyl-4,4-dimethyl-4,5-dihydropyridazin-3(2H)-one
To a solution of Intermediate 36, 2.68 g (9.40 mmol), in n-propanol, 16 ml_, was added at room temperature a 2 M cyclobutylhydrazine hydrochloride (1 :1 ) solution in ethanol, 9.40 ml. (18.80 mmol, 2 eq.) and N-ethyl-N-isopropylpropan-2-amine, 1.64 ml. (9.40 mmol), the reaction was heated at 1 10 °C over night. The reaction was poured into water, extracted with ethyl acetate, dried over magnesium sulfate and concentrated under vacuum. The crude product was purified by flash Chromatography to yield the desired product (430 mg, 13%). H-NMR (400MHz, DMSO-de): δ [ppm] = 1.05 (s, 6H), 1.58 - 1.80 (m, 2H), 2.00 - 2.17 (m, 2H), 2.28 - 2.45 (m, 2H), 2.86 (s, 2H), 5.12 (quin, 1 H), 7.59 - 7.70 (m, 2H), 7.76 - 7.85 (m, 2H).
UPLC-MS (Method 3): Rt = 1.54 min. MS (ESIpos): m/z (M+2H)+ 337. Intermediate 43
6-(4-aminophenyl)-2-cyclobutyl-4,4-dimethyl-4,5-dihydropyridazin-3(2H)-one

A mixture of Intermediate 42 (430 mg, 1.28 mmol, 1.00 eq), benzophenone imine (279 mg, 1.54 mmol, 1.20 eq), cesium carbonate (585 mg, 1.74 mmol, 1.40 eq) and 1 ,4-dioxane 9 ml. was degassed with argon. (rac)-2,2'-Bis(diphenylphosphino)-1 ,1 '-binaphthyl (32 mg, 0.05 mmol, 0.04 eq) and tris(dibenzylideneacetone)dipalladium(0) (23 mg, 0.025 mmol, 0.02 eq) were added and the mixture heated over night at 80°C. The mixture was cooled to room temperature and the mixture acidified to pH 1 with 2M aqueous hydrochloric acid and stirred for 3 h at 60 °C. Then basified to pH 9-10 with saturated aqueous bicarbonate, then 3x extracted with ethylacetate, organic Phases washed with water, dried over Na2S04 and evaporated under reduced pressure. The crude product was purified by flash Chromatography to yield the desired product (200 mg, 57%). H-NMR (400MHz, DMSO-de): δ [ppm] = 1.02 (s, 6H), 1.61 - 1 .78 (m, 2H), 2.05 (dt, 2H), 2.39 (td, 2H), 2.70 (s, 2H), 5.10 (quin, 1 H), 5.55 (s, 2H), 6.52 - 6.65 (m, 2H), 7.52 - 7.62 (m, 2H).
LC-MS (Method 2): Rt = 0.89 min; MS (ESIpos): m/z = 246 [M+H]+.
Intermediate 44
6-(4-bromophenyl)-4,4-dimethyl-2-(1-methylpiperidin-4-yl)-4,5-dihydropyridazin-3(2H)-one
To a solution of Intermediate 36, 552 mg (1.94 mmol), in n-propanol, 7 ml_, was added at room temperature 4-hydrazino-1-methylpiperidine, 300 mg (2.32 mmol, 1.2 eq.), the reaction was heated at 1 10 °C over night. The reaction was poured into water, extracted with ethyl acetate, dried over magnesium sulfate and concentrated under vacuum. The crude product was purified by flash Chromatography to yield the desired product (350 mg, 47%). H-NMR (400MHz, DMSO-de): δ [ppm] = 1.06 (s, 6H), 1.53 (br. s., 2H), 1.81 - 2.03 (m, 4H), 2.17 (s, 3H), 2.76 - 2.93 (m, 4H), 4.39 (m, 1 H), 7.60 - 7.69 (m, 2H), 7.71 - 7.81 (m, 2H).
UPLC-MS (Method 3): Rt = 0.93 min. MS (ESIpos): m/z (M+2H)+ 380. Intermediate 45
6-(4-aminophenyl)-4,4-dimethyl-2-(1 -methylpiperidin-4-yl)-4,5-dihydropyridazin-3(2H)-one
A mixture of Intermediate 44 (350 mg, 0.93 mmol, 1.00 eq), benzophenone imine (201 mg, 1.1 1 mmol, 1.20 eq), cesium carbonate (422 mg, 1.30 mmol, 1.40 eq) and 1 ,4-dioxane 7 ml. was degassed with argon. dicyclohexyl(2',6'-dimethoxybiphenyl-2-yl)phosphine (15.19 mg, 0.037 mmol, 0.04 eq) and tris(dibenzylideneacetone)dipalladium(0) (16.9 mg, 0.019 mmol, 0.02 eq) were added and the mixture heated over night at 80°C. The mixture was cooled to room temperature and the mixture acidified to pH 1 with 2M aqueous hydrochloric acid and stirred for 3 h at 60 °C. Then basified to pH 9-10 with saturated aqueous bicarbonate, then 3x extracted with ethylacetate, organic Phases washed with water, dried over Na2S04 and evaporated under reduced pressure. The crude product was purified by HPLC to yield the desired product (180 mg, 61 %).
LC-MS (Method 2): Rt = 0.64 min; MS (ESIpos): m/z = 315 [M+H]+. Intermediate 46 6-(4-bromophenyl)-2,4,4-trimethyl-4,5-dihydropyridazin-3(2H)-one
A solution of Intermediate 35 (13.3 g, 42.4 mmol, 1 .00 eq) in n-propanol (100 ml.) was treated with methyl hydrazine (9.77 g, 212 mmol, 5.00 eq) and stirred for 1 h at 100 °C and overnight at 70 °C. After cooling to room temperature the mixture was poured into water. The aqueous phase was extracted three times with ethyl acetate, the combined organic extracts were washed with brine, dried over Na2SC>4 and the solvent was removed under reduced pressure. The crude product was purified by flash chromatography on silica gel (hexane/ethyl acetate) to provide 6.4 g (51 %) of the desired product.
LC-MS (Method 2): Rt = 1.30 min; MS (ESIpos): m/z = 295 [M+H]+.
Intermediate 47
6-(4-aminophenyl)-2,4,4-trimethyl-4,5-dihydropyridazin-3(2H)-one
A mixture of Intermediate 46 (2 g, 6.78 mmol, 1.00 eq), benzophenone imine (1 ,47 g, 8.13 mmol, 1.20 eq), cesium carbonate (3,1 g, 9.49 mmol, 1.40 eq) and 1 ,4-dioxane (20 ml.) was degassed with argon. (rac)-2,2'-Bis(diphenylphosphino)-1 ,1 '-binaphthyl (169 mg, 0.27 mmol, 0.04 eq) and tris(dibenzylideneacetone)dipalladium(0) (124 mg, 0.14 mmol. 0.02 eq) were added and the mixture heated over weekend at 80°C. The mixture was cooled to room temperature and the mixture was acidified to pH 1 with 2M aqueous hydrochloric acid and stirred for 3 h at 60 °C. Then basified to pH 9-10 with saturated aqueous bicarbonate, then 3x extracted with ethylacetate, organic Phases washed with water, dried over natriumsulfate and evaporated under reduced pressure. The crude prodct was purified by flash chromatography on silica gel to yield 1.2 g (77%) of the desired product.
LC-MS (Method 2): Rt = 0.79 min; MS (ESIpos): m/z = 232 [M+H]+. Intermediate 48
6-(4-bromophenyl)-4,4-dimethyl-2-(tetrahydro-2H-pyran-4-yl)-4,5-dihydropyridazin-3(2H)-one
Intermediate 36 (450 mg, 1.59 mmol, 1.00 eq) was solved in n-propanol (3.0 ml.) and treated with 1 -(tetrahydro-2H-pyran-4-yl)hydrazine hydrochloride (761 mg, 4.73 mmol, 3.00 eq) and 3 drops of DIEPA. The reaction mixture was stirred overnight at 100 °C. After cooling to room temperature the resulting precipitate was collected by filtration. The precipitate was triturated with water to yield 350 mg of the desired product (61 %). H-NMR (400MHz, DMSO-d6): δ [ppm]= 1.07 (s, 6H), 1.53 (dd, 2H), 1.93 (qd, 2H), 2.85 (s, 2H), 3.42 (t, 2H), 3.93 (dd, 2H), 4.62 - 4.75 (m, 1 H), 7.63 - 7.69 (m, 2H), 7.74 - 7.80 (m, 2H). LC-MS (Method 2): Rt = 1.35 min; MS (ESIpos): m/z = 365 [M+H]+
Intermediate 49
6-(4-aminophenyl)-4,4-dimethyl-2-(tetrahydro-2H-pyran-4-yl)-4,5-dihydropyridazin-3(2H)-one
The described product was prepared in a manner analogous to that described in the preparation of Intermediate 53 starting from 650 mg of Intermediate 48 (1.48 mmol, 1.00 eq) to yield 290 mg of the desired product (53%) and recovered staring material after flash chromatography on silica gel.
LC-MS (Method 2): Rt = 0.92 min; MS (ESIpos): m/z = 302 [M+H]+. Intermediate 50
6-(4-bromophenyl)-2-(2-methoxyethyl)-4,4-dimethyl-4,5-dihydropyridazin-3(2H)-one
The described product was prepared in a manner analogous to that described in the preparation of Intermediate 50 starting from 750 mg of Intermediate 37 (2.67 mmol, 1.00 eq) to yield 900 mg of the desired product (99%) which was used without any further purification in the next reaction.
LC-MS (Method 2): Rt = 1.31 min; MS (ESIpos): m/z = 339 [M+H]+.
Intermediate 51 6-(4-aminophenyl)-4,4-dimethyl-2-(tetrahydro-2H-pyran-4-yl)-4,5-dihydropyridazin-3(2H)-one
The described product was prepared in a manner analogous to that described in the preparation of Intermediate 53 starting from 900 mg of Intermediate 50 (2.65 mmol, 1.00 eq) to yield 90 mg of the desired product (12%) and recovered staring material (61 %) after flash chromatography on silica gel. LC-MS (Method 2): R
t = 0.83 min; MS (ESIpos): m/z = 276 [M+H]
+. Intermediate 52
6-(4-bromophenyl)-2-(3-methoxypropyl)-4,4-dimethyl-4,5-dihydropyridazin-3(2H)-one
Sodium hydrate 60% dispersion in mineral oil (70.4 mg, 2.93 mmol, 1.10 eq) was washed two times with hexane and suspended in THF (4.00 mL). To this suspension was added at 0 °C a solution of Intermediate 37 (750 mg, 2.67 mmol, 1.00 eq) in THF. The mixture was stirred for 30 min at 0 °C, then 1-bromo-3-methoxypropane (408 mg, 2.67 mmol, 1.00 eq) was added. The ice bath was removed and the mixture was stirred overnight at room temperature. Another portion of sodium hydride was added at 0 °C as well as additionally alkyl bromide. The reaction mixture was stirred again overnight at room temperature. The mixture was poured into water and extracted three times with ethyl acetate. The combined organic extracts were washed with brine, dried over Na2SC>4 and the solvent was removed under reduced pressure to yield the crude desired product which was used without any further purification in the next reaction (920 mg, 98%). LC-MS (Method 2): Rt = 1.36 min; MS (ESIpos): m/z = 355 [M+H]+. Intermediate 53
6-(4-aminophenyl)-2-(3-methoxypropyl)-4,4-dimethyl-4,5-dihydropyridazin-3(2H)-one
A mixture of Intermediate 52 (920 mg, 2.60 mmol, 1.00 eq), benzophenone imine (566 mg, 3.13 mmol, 1.20 eq), cesium carbonate (1 ,2 g, 3.65 mmol, 1.40 eq) and 1 ,4-dioxane 10 ml. was degassed with argon. (rac)-2,2'-Bis(diphenylphosphino)-1 ,1 '-binaphthyl (65 mg, 0.10 mmol, 0.04 eq) and tris(dibenzylideneacetone)dipalladium(0) (48 mg, 0.05 mmol, 0.02 eq) were added and the mixture heated over night at 80°C. The mixture was cooled to room temperature and the mixture acidified to pH 1 with 2M aqueous hydrochloric acid and stirred for 3 h at 60 °C.
Then basified to pH 9-10 with saturated aqueous bicarbonate, then 3x extracted with ethylacetate, organic Phases washed with water, dried over Na2SC>4 and evaporated under reduced pressure. The crude product was purified by flash Chromatography to yield the desired product (1 10 mg, 15%) and to recover the remaining starting material (73%).
LC-MS (Method 2): Rt = 0.90 min; MS (ESIpos): m/z = 290 [M+H]+.
Intermediate 54
6-(4-bromophenyl)-2-(cyclopropylmethyl)-4,4-dimethyl-4,5-dihydropyridazin-3(2H)-one
The described product was prepared in a manner analogous to that described in the preparation of Intermediate 52 starting from 750 mg of Intermediate 36 (2.67 mmol, 1.00 eq) to yield 900 mg of the desired product (99%) which was used without any further purification in the next reaction.
LC-MS (Method 2): Rt = 1.31 min; MS (ESIpos): m/z = 339 [M+H]+. Intermediate 55
6-(4-aminophenyl)-2-(cyclopropylmethyl)-4,4-dimethyl-4,5-dihydropyri
The described product was prepared in a manner analogous to that described in the preparation of Intermediate 53 starting from 360 mg of Intermediate 54 (1 .07 mmol, 1.00 eq) to yield 63 mg of the desired product (22%) and recovered staring material after flash chromatography on silica gel. H-NMR (400MHz, DMSO-de): δ [ppm]= 0.27 (dd, 2H), 0.35 - 0.45 (m, 2H), 1.06 (s, 6H), 1.09 - 1.17 (m, 1 H), 2.73 (s, 2H), 3.55 (d, 2H), 5.53 (s, 2H), 6.52 - 6.62 (m, 2H), 7.41 - 7.54 (m, 2H). LC-MS (Method 2): Rt = 1.05 min; MS (ESIpos): m/z = 272 [M+H]+.
Intermediate 56
6-(4-bromophenyl)-4,4-dimethyl-2-[2-(4-methylpiperazin-1-yl)ethyl]-4,5-dihydropyridazin-3(2H)- one
Intermediate 72 (500 mg, 1.75 mmol, 1.00 eq) was solved in n-propanol (3.0 ml.) and treated with 1 -(2-hydrazinylethyl)piperidine (753 mg, 5.26 mmol, 3.00 eq) and 2 drops of DIEPA. The reaction mixture was stirred over the weekend at 80 °C. After cooling to room temperature the mixture was poured into water and extracted three times with ethyl acetate. The combined organic layers were washed with water and dried over Na2SC>4. The solvent was removed under reduced pressure. The crude product was purified by flash chromatography using DCM/MeOH as eluents. The desired product was obtained in 56% yield (384 mg). H-NMR (400MHz, DMSO-d6): δ [ppm]= 1.08 (s, 6H), 1.36 (d, 2H), 1.46 (quin, 4H), 2.45 (br. 4H), 2.59 (t, 2H), 2.86 (s, 2H), 3.85 (t, 2H), 7.62 - 7.67 (m, 2H), 7.71 - 7.76 (m, 2H).
LC-MS (Method 2): Rt = 0.91 min; MS (ESIpos): m/z = 394 [M+H]+.
Intermediate 57
6-(4-aminophenyl)-4,4-dimethyl-2-[2-(piperidin-1-yl)ethyl]-4,5-dihydropyridazin-3(2H)-one
The described product was prepared in a manner analogous to that described in the preparation of Intermediate 53 starting from 365 mg of Intermediate 56 (0.93 mmol, 1.00 eq) to yield 1 17 mg of the desired product (38%) and recovered staring material after flash chromatography on silica gel. H-NMR (400MHz, DMSO-d6): δ [ppm]= 1.05 (s, 6H), 1.35 (d, 2H), 1.39 - 1.47 (m, 4H), 2.32-2.38 (m, 4H), 2.45 - 2.48 (m, 2H), 2.71 (s, 2H), 3.76 (t, 2H), 5.53 (s, 2H), 6.56 (d, 2H), 7.48 (d, 2H). LC-MS (Method 1 ): Rt = 1.21 min.
Intermediate 58
6-(4-bromophenyl)-4,4-dimethyl-2-(2,2,2-trifluoroethyl)-4,5-dihydropyridazin-3(2H)-one
Intermediate 36 (450 mg, 1.58 mmol, 1.00 eq) were solved in n-propanol (3.4 ml.) and treated with 2,2,2-trifluroethylhydrazine (70% aqueous solution, 596 μΙ_, 3.00 eq). The reaction mixture was stirred overnight. After cooling to room temperature the same amount of hydrazine was added again and the mixture was stirred for 6 h at 100 °C. After cooling to room temperature the mixture was poured into water, the precipitate was collected by filtration. The solid material was resolved in ethyl acetate, washed with 1 M NaOH
aq and subsequent with brine. The organic phase was dried over Na2SC>4 and the solvent was removed under reduced pressure to yield the desired product (440 mg, 77%).
LC-MS (Method 2): Rt = 1.44 min; MS (ESIpos): m/z = 363 [M+H]+. Intermediate 59
6-(4-aminophenyl)-4,4-dimethyl-2-(2,2,2-trifluoroethyl)-4,5-dihydropyridazin-3(2H)-one
The described product was prepared in a manner analogous to that described in the preparation of Intermediate 53 starting from 915 mg of Intermediate 58 (2.52 mmol, 1.00 eq) to yield 265 mg of the desired product (35%) and recovered staring material after flash chromatography on silica gel.
LC-MS (Method 2): Rt = 1.03 min; MS (ESIpos): m/z = 300 [M+H]+. Intermediate 60
6-(4-bromophenyl)-2-(2,2-difluoroethyl)-4,4-dimethyl-4,5-dihydropyridazin-3(2H)-one
Intermediate 36 (1.00 g, 3.51 mmol, 1.00 eq) were solved in n-propanol (20ml_) and treated with (2,2-difluorethyl)hydrazine hydrochloride (697 mg, 1.50 eq). The reaction mixture was stirred overnight at 100 °C. After cooling to room temperature the mixture was poured into waterand three tomes extracted with ethyl acetate. The combined organic layers were washed with water, dried over Na2S04 and the solvent wasremoved underreduced pressure. The residue was pourifed by flash-chromatography to yield 906 mg of the desired product (75%).
LC-MS (Method 2): Rt = 1.38 min; MS (ESIpos): m/z = 345 [M+H]+.
Intermediate 61
6-(4-aminophenyl)-2-(2,2-difluoroethyl)-4,4-dimethyl-4,5-dihydropyridazin-3(2H)-one
The described product was prepared in a manner analogous to that described in the preparation of Intermediate 53 starting from 900 mg of Intermediate 60 (2.61 mmol, 1.00 eq) to yield 314 mg of the desired product (43%) and recovered staring material after flash chromatography on silica gel. H-NMR (400MHz, DMSO-d6): δ [ppm] = 1.08 (s, 6H), 2.79 (s, 2H), 4.10 (td, 2H), 5.59 (s, 2H), 6.07 - 6.40 (m, 1 H), 6.54 - 6.60 (m, 2H), 7.48 - 7.54 (m, 2H).
LC-MS (Method 2): Rt = 0.97 min; MS (ESIpos): m/z = 282 [M+H]+.
Intermediate 62 6-(4-aminophenyl)-5-methyl-2-(1 -methylpiperidin-4-yl)-4,5-dihydropyridazin-3(2H)-one
To a solution of Intermediate 3, 5.02 g (16.49 mmol, 80 % purity), in n-propanol, 32 mL, was added at room temperature 4-hydrazino-1-methylpiperidine dihydrochloride, 5.0 g (24.74 mmol, 1.5 eq.), the reaction was heated at 1 10 °C over night. The reaction was poured into water, extracted with ethyl acetate, dried over magnesium sulfate and concentrated under vacuum. The crude product was purified by flash Chromatography to yield the desired product (3.28 g, 49%, 75 % purity). H-NMR (400MHz, DMSO-de): δ [ppm] = 0.99 (d, 3H), 1.38 - 1.59 (m, 2H), 1.74 - 1 .89 (m, 1 H), 1.94 (t, 2H), 2.01 - 2.13 (m, 1 H), 2.16 (s, 3H), 2.25 (d, 1 H), 2.61 (dd, 1 H), 2.82 (t, 2H), 3.26 (t, 1 H), 4.19 (s, 1 H), 4.34 - 4.55 (m, 1 H), 5.55 (s, 2H), 6.45 - 6.66 (m, 2H), 7.44 - 7.58 (m, 2H).
UPLC-MS (Method 3): Rt = 0.51 min. MS (ESIpos): m/z (M+H)+ 301.
Intermediate 63
6-(4-aminophenyl)-2-ethyl-5-methyl-4,5-dihydropyridazin-3(2H)-one

Sodium hydrate 60% dispersion in mineral oil (426.0 mg, 17.77 mmol, 1.10 eq) was suspended in DMF (20.00 mL). To this suspension was added at 0 °C a solution of Intermediate 7 (1.72 g, 8.46 mmol, 1.00 eq) and tetrabutylammoinum iodide (313 mg, 0.85 mmol) in DMF. The mixture was stirred for 30 min at 0 °C, then iodoethane (0.75 mL, 9.31 mmol, 1.00 eq) was added. The ice bath was removed and the mixture was stirred overnight at room temperature. The reaction mixture was stirred again overnight at room temperature. The mixture was poured into water and extracted three times with ethyl acetate. The combined organic extracts were washed with brine, dried over Na2SC>4 and the solvent was removed under reduced pressure to yield the crude desired product. The residue was purified by preparative chromatography to yield the desired product 1.50 g (76 %). H-NMR (400MHz, DMSO-de): δ [ppm] = 1.02 (d, 3H), 1.13 (t, 3H), 2.23 (dd, 1 H), 2.61 (dd, 1 H), 3.22 - 3.32 (m, 1 H), 3.60 - 3.73 (m, 1 H), 3.79 (dq, 1 H), 5.55 (s, 2H), 6.51 - 6.65 (m, 2H), 7.34 - 7.58 (m, 2H).
UPLC-MS (Method 3): Rt = 0.79 min. MS (ESIpos): m/z (M+H)+ 232. Intermediate 64
6-(4-aminophenyl)-2-(1 -methoxypropan-2-yl)-5-methyl-4,5-dihydropyridazin-3(2H)-one
To a solution of Intermediate 3, 4.91 g (20.15 mmol), in n-propanol, 60 mL, was added at room temperature (1-methoxypropan-2-yl)hydrazine hydrochloride (1 :1 ), 4.25 g (30.23 mmol, 1.5 eq.), the reaction was heated at 110 °C over night. The reaction was poured into water, extracted with ethyl acetate, dried over magnesium sulfate and concentrated under vacuum. The crude product was purified by flash Chromatography to yield the desired product (1.20 g, 21 %).
UPLC-MS (Method 3): Rt = 0.83 min. MS (ESIpos): m/z (M+H)+ 276.
Intermediate 65 diethyl [2-(4-bromophenyl)-2-oxoethyl](methyl)malonate
To a suspension of 0.83 g of sodium hydride (20.66 mmol, 1.00 eq, 60% dispersion in mineral oil) in THF (90 mL) at 0 °C 3.60 g diethyl methylmalonate (20.66 mmol, 1 eq.) was added dropwise. The solution was stirred 30 min at 0 °C and 5.74 g of 2,4-Dibromacetophenon (20.66 mmol, 1 eq.) was added and the reaction mixture was stirred at room temperature overnight. 200 ml. of 1 M hydrochloric acid was added to the reaction mixture and the mixture was extracted two times with ethyl acetate. The combined organic layers were washed with brine, dried over Na2S04 and the solvent was removed under reduced pressure. The crude product was purified by flash chromatography to yield 2.20 g of the desired Intermediate (41.48 mmol, 20%, 70% purity).
LC-MS (Method 1 ): Rt = 1.38 min; MS (ESIpos): m/z = 373 [M+2H]+. H-NMR (400MHz, DMSO-d6): δ [ppm] = 1.14 (t, 6H), 1.48 (s, 3H), 3.65 (s, 2H), 4.1 1 (q, 4H), 7.70 - 7.79 (m, 2H), 7.83 - 7.97 (m, 2H).
Intermediate 66
4-(4-bromophenyl)-2-methyl-4-oxobutanoic acid hydrochloride (1 : 1 )
A solution of 4.41 g of Intermediate 65 (8.31 mmol, 1.00 eq, 70% purity) in 30 ml. concentrated hydrochloric acid was stirred over night at 100 °C. After cooling, the solvent was removed under reduced pressure to yield 1.02 g of the desired Intermediate (3.25 mmol, 39%), which was used in the next step without any further purification.
LC-MS (Method 1 ): Rt = 1.03 min; MS (ESIpos): m/z = 272 [M+H]+.
Intermediate 67 6-(4-bromophenyl)-2,4-dimethyl-4,5-dihydropyridazin-3(2H)-one
The described product was prepared in a manner analogous to that described in the preparation of Intermediate 46 starting from 3.2 g of Intermediate 66 (10.40 mmol, 1.00 eq) to yield 800 mg of the desired product (27%) after flash chromatography on silica gel.
LC-MS (Method 1 ): Rt = 1.22 min; MS (ESIpos): m/z = 282 [M+H]+. H-NMR (400MHz, DMSO-d6): δ [ppm] = 1.13 (d, 3H), 2.52 - 2.76 (m, 2H), 3.15 (dd, 1 H), 3.32 (s, 3H), 7.59 - 7.69 (m, 2H), 7.69 - 7.81 (m, 2H).
Intermediate 68
6-(4-aminophenyl)-2,4-dimethyl-4,5-dihydropyridazin-3(2H)-one
The described product was prepared in a manner analogous to that described in the preparation of Intermediate 47 starting from 800 mg of Intermediate 67 (2.84 mmol, 1.00 eq) to yield 400 mg of the desired product (64%) after flash chromatography on silica gel.
LC-MS (Method 1 ): Rt = 0.69 min; MS (ESIpos): m/z = 218 [M+H]+. H-NMR (400MHz, DMSO-d6): δ [ppm] = 1.10 (d, 3H), 2.35 - 2.59 (m, 4H), 2.93 - 3.10 (m, 1 H), 3.26 (s, 3H), 6.58 (d, 2H), 7.49 (d, 2H).
Intermediate 69 ethyl 4-(4-bromophenyl)-3,3-dimethyl-4-oxobutanoate
A solution of 1-(4-bromophenyl)-2-methylpropan-1-one (2.00 g, 8.81 mmol, 1 .00 eq) in THF (4.4 ml_9 was treated with a 1 M Lithium bis(trimethylsilyl)amide solution in THF (1 1.9 mL, 1 1.9 mmol, 1.35 eq) at room temperature. The mixture was stirred for 2 h at room temperature. Subsequently 1.81 mL of ethyl bromoacetate (16.3 mmol, 1.85 eq) were added (exotherme). The reaction mixture was stirred again one hour at room temperature. 1 M aqueous HCI was added to the mixture and the mixture was extracted three times with ethyl acetate. The combined organic layers were washed with brine, dried over Na2S04 and the solvent was removed under reduced pressure to yield the desired crude product (3.47 g, quant.) which was used without any further purification.
LC-MS (Method 2): Rt = 1.35 min; MS (ESIpos): m/z = 213/315 [M+H]+. Intermediate 70 6-(4-bromophenyl)-2,5,5-trimethyl-4,5-dihydropyridazin-3(2H)-one
A solution of Intermediate 69 (2.76 mg, 8.81 mmol) in n-propanol (8.8 mL) was treated with methyl hydrazine (4.63 mL, 88.1 mmol). The mixture was stirred for 5 h at 100 °C. After cooling to room temperature the mixture was poured into water, extricated three times with ethyl acetate. The combines organic layers were washed with brine, dried over Na2SC>4 and the solvent was removed under reduced pressure. The crude product was purified by flash-chromatography (hexane/ethyl acetate) to yield 1.00 g of the desired product (38%). H-NMR (400MHz, DMSO-d6): δ [ppm]= 1.14 (s, 6H), 2.42 (s, 2H), 3.28 (s, 3H), 7.39 - 7.43 (m, 2H), 7.59 - 7.63 (m, 2H). LC-MS (Method 2): Rt = 1.18 min; MS (ESIpos): m/z = 297 [M+H]+.
Intermediate 71
6-(4-aminophenyl)-2,5,5-trimethyl-4,5-dihydropyridazin-3(2H)-onee
A solution of Intermediate 70 (200 mg, 0.68 mmol, 1.00 eq) in 1 ,2-dimethoxyethane (16 ml_, degased) was treated with 84.4 mg (rac)-2,2'-Bis(diphenylphosphino)-1 , 1 '-binaphthyl (0.14 mmol, 0.20 eq), 70.1 mg tris(dibenzylidenacetone)dipalladium chloroform adduct (0.07 mmol, 0.10 eq) and 163.0 mg sodium tert-butoxylate (1.69 mmol, 2.50 eq). To this solution 123 mg benzophenone imine were added (0.68 mmol, 1.00 eq). The reaction mixture was stirred over night at 100 °C. The mixture was diluted with 2M aqueous HCI and stirred for 90 min at 50 °C. After cooling to room temperature the mixture was extracted here times with ethyl acetate. The combined organic layers were washed with brine, dried over Na2SC>4 and the solvent was removed under reduced pressure. The crude product was used without any further purification (155 mg, 58%).
LC-MS (Method 2): Rt = 0.66 min; MS (ESIpos): m/z = 232 [M+H]+. Intermediate 72
6-(4-bromophenyl)-4,4-dimethyl-2-phenyl-4,5-dihydropyridazin-3(2H)-one
To a solution of Intermediate 36, 4.70 g (16.48 mmol), in n-propanol, 28 ml_, was added at room temperature phenylhydrazine, 3.24 ml. (32.97 mmol, 2 eq.) and N-ethyl-N-isopropylpropan-2- amine, 4.43 ml. (24.72 mmol), the reaction was heated at 1 10 °C over night. The reaction was poured into water, extracted with ethyl acetate, dried over magnesium sulfate and concentrated under vacuum. The crude product was purified by flash Chromatography to yield the desired product (2.80 g mg, 47%). H-NMR (400MHz, DMSO-de): δ [ppm] = 0.64 - 0.86 (m, 4H), 0.95 - 1.20 (m, 6H), 2.83 (s, 2H), 3.40 - 3.63 (m, 1 H), 7.28 - 7.99 (m, 4H).
UPLC-MS (Method 3): Rt = 1.47 min. MS (ESIpos): m/z (M+H)+ 357.
Intermediate 73
6-(4-aminophenyl)-4,4-dimethyl-2-phenyl-4,5-dihydropyridazin
A mixture of Intermediate 72 (1.00 g, 2.80 mmol, 1.00 eq), benzophenone imine (609 mg, 3.36 mmol, 1.20 eq), cesium carbonate (1.37 g, 4.20 mmol, 1.40 eq) and 1 ,4-dioxane 20 ml. was degassed with argon. dicyclohexyl(2',6'-dimethoxybiphenyl-2-yl)phosphine (45.97 mg, 0.1 1 mmol, 0.04 eq) and tris(dibenzylideneacetone)dipalladium(0) (51.26 mg, 0.056 mmol, 0.02 eq) were added and the mixture heated over night at 80°C. The mixture was cooled to room temperature and the mixture acidified to pH 1 with 2M aqueous hydrochloric acid and stirred for 3 h at 60 °C. Then basified to pH 9-10 with saturated aqueous bicarbonate, then 3x extracted with ethylacetate, organic Phases washed with water, dried over Na2S04 and evaporated under reduced pressure. The crude product was purified by flash Chromatography to yield the desired product (300 mg, 36%). H-NMR (400MHz, DMSO-de): δ [ppm] = 1.18 (m, 6H), 2.92 (s, 2H), 5.39 - 6.04 (m, 2H), 6.46 - 6.76 (m, 2H), 7.06 - 7.39 (m, 1 H), 7.33 - 7.58 (m, 6H).
LC-MS (Method 2): Rt = 1.08 min; MS (ESIpos): m/z = 294 [M+H]+.
Intermediate 74
6-(4-aminophenyl)-2-(2,2-difluoroethyl)-5-methyl-4,5-dihydropyridazin-3(2H)-one
A solution of Intermediate 3 (2.44 g, 10.0 mmol) in 1 -propanol (40 ml.) was treated with (2,2- difluorethyl)hydrazine dihydrochloride (1.99 g, 15.0 mmol) and stirred 3 h at 100 °C. After cooling to room temperature the mixture was poured into water and extracted four times with DCM. The combined organic extracts were washed with brine, dried over Na2SC>4 and the solvent was removed under reduced pressure. The crude material was purified by flash- chromatography on silica gel (DCM/MeOH) to yield the desired product (1.00 g, 37%).
UPLC (Method 2): Rt = 0.84; MS (ESIpos): m/z [M+H]+ 268.
Intermediate 75 6-(4-aminophenyl)-2-cyclobutyl-5-methyl-4,5-dihydropyridazin-3(2H)-one
A solution of 2.25 g of Intermediate 3 (9.24 mmol, 1.00 eq) in n-propanol (28 ml) was treated with 1.70 g of cyclobutylhydrazine hydrochloride (1 :1 ) (13.86 mmol, 1.50 eq) and stirred over night at 100 °C. After cooling to room temperature the reaction was quenched by pouring the mixture into water. The resulting suspension was filtered. The solid was discarded. The aqueous phase was saturated with solid NaCI and three times extracted with ethyl acetate. The combined organic layers were washed with brine, dried over Na2SC>4 and the solvent was removed under reduced pressure. The crude product was purified by flash chromatography to yield 1.50 g of the desired Intermediate 64 (5.83 mmol, 63%, 80 % purity). LC-MS (Method 1 ): Rt = 0.97 min; MS (ESIpos): m/z = 258 [M+H]+.
Intermediate 76
6-(4-aminophenyl)-5-methyl-2-{3-[(trimethylsilyl)oxy]propyl}-4,5-dihydropyridazin-3(2H)-one
Sodium hydrate 60% dispersion in mineral oil (279 mg, 1 1.62 mmol) was suspended in DMF (10.00 mL). To this suspension was added at 0 °C a solution of Intermediate 7 (1.25 g, 5.53 mmol) and tetrabutylammoinum iodide (204 mg, 0.55 mmol) in DMF. The mixture was stirred for 30 min at 0 °C, then (3-bromopropoxy)(tert-butyl)dimethylsilane (1.68 g, 6.64 mmol) was added. The ice bath was removed and the mixture was stirred overnight at room temperature. The reaction mixture was stirred again overnight at room temperature. The mixture was poured into water and extracted three times with ethyl acetate. The combined organic extracts were washed with brine, dried over Na2SC>4 and the solvent was removed under reduced pressure to yield the crude desired product. The residue was purified by preparative chromatography to yield the desired product 1.36 g (58 %).
UPLC-MS (Method 3): Rt = 1.40 min. MS (ESIpos): m/z (M+H)3+ 378.
Intermediate 77
6-(Acetylamino)pyridine-3-carboxylic acid
To a solution of 6-amino nicotinic acid (3167-49-5), 5.0 g (36.2 mmol) in pyridine, 17 mL (10 mmol) was added acetic anhydride, 4.09 mL (43.4 mmol) drop-wise. The reaction was stirred for 12 h at RT then at 80°C for 60 hours. Upon cooling a solid formed which was isolated by filtration to give Intermediate 77 (1 .49 g, 22%) as a white solid. H NMR (300 MHz, DMSO-d6): δ [ppm] = 2.09 (s, 3H), 8.15 (d, 1 H), 8.21 (d, 1 H), 8.78 (s, 1 H), 10.83 (s, 1 H), 13.10 (s, 1 H). LCMS (Method 9): Rt = 0.90 min., 96%. MS (ESIpos): m/z [M+H]+ 180.9;
The filtrate was concentrated under vacuum azeotroping with toluene to give a further batch of 102.1 d (5.15 g, 78%) as a brown solid. H NMR (300 MHz, DMSO-d6): δ [ppm] = 2.09 (s, 3H), 8.15 (d, 1 H), 8.21 (d, 1 H), 8.78 (s, 1 H), 10.83 (s, 1 H), 13.10 (s, 1 H). UPLC (Method 3): Rt = 0.38 min., 77%. MS (ESIpos): m/z [M+H]+ 181 ;
Intermediate 78
6-(Acetylamino)-N-methoxy-N-methylpyridine-3-carboxamide, 102.1 c
To a solution of Intermediate 77, 5.15 g (28.58 mmol) in N,N-dimethylformamide (100 mL) was added triethylamine, 4.14 mL (29.73 mmol), Ν,Ο-dimethylhydroxylamine hydrochloride, 2.93 g (30 mmol), 1-hydroxy-7-azabenzotriazole, 1.17 g (8.75 mmol) and 1-(3-dimethylaminopropyl)-3- ethylcarbodiimide hydrochloride, 6.57 g (34.3 mmol). The reaction was stirred at room temperature overnight. Water (200 mL) was added and the reaction was extracted with ethyl acetate. The organics were washed with 2M NaOH, brine and water then dried over solid sodium sulfate and concentrated under vacuum to give Intermediate 78 (1.00 g, 15%) as a white solid.
UPLC (Method 3): R = 0.46 min., 89%. MS (ESIpos) m/z = [M+H]+ 224. H NMR (300 MHz, CDCI3): δ [ppm] = 2.26 (s, 3H), 3.39 (s, 3H), 3.57 (s, 3H), 8.13 (d, 1 H), 8.22 (d, 1 H), 8.25 (br s, 1 H), 8.68 (s, 1 H).
Intermediate 79
N-(5-Propanoylpyridin-2-yl)acetamide
To a solution of Intermediate 78, 1 g (4.48 mmol) in THF, 50 mL, at -20 °C was added ethylmagnesium chloride (2M), 8.06 mL (16.13 mmol). After 1 hour the reaction was quenched with hydrogen chloride (2M in water), 8.06 mL, and warmed to room temperature. Water was added and the mixture was extracted with ethyl acetate. The combined organics were dried over solid sodium sulphate and concentrated under vacuum. Purification by flash chromatography on silica gel 60 (eluent: ethyl acetate : heptane to methanol : ethyl acetate) gave Intermediate 79, 912 mg (100%).
UPLC-MS (Method 3): Rt = 0.55 min., 94%. MS (ESIpos): m/z = [M+H]+. H NMR (300 MHz, CDCI3): δ [ppm] = 1.23 (t, 3H), 2.24 (s, 3H), 2.95 (q, 2H), 8.07 (br s, 1 H), 8.25-8.26 (m, 2H), 8.85 (s, 1 H).
Intermediate 80
N-[5-(2-Bromopropanoyl)pyridin-2-yl]acetamide
To a solution of Intermediate 79, 850 mg (4.42 mmol) in acetic acid, 34 mL, was added hydrobromic acid (33% in acetic acid), 0.73 mL (4.42 mmol) and bromine, 0.23 mL (4.42 mmol). The reaction was heated for 6 hours at 60°C then further bromine, 0.1 1 mL (2.21 mmol) was added and the reaction was heated for a further 1 hour. The precipitate was isolated by filtration washing with acetic acid and diethyl ether. The solid was dissolved in ethyl acetate and washed with sodium bicarbonate, sodium thiosulfate, brine, water, dried over solid sodium sulfate and concentrated under vacuum to give, Intermediate 80, 0.726 g (60%) as a white solid.
UPLC-MS (Method 3): Rt= 0.65 min., 99%. MS (ESIpos): m/z = [M+H]+ 271 , 273. H NMR (300 MHz, CDCI3): 1.92 (d, 3H), 2.25 (s, 3H), 5.18 (q, 1 H), 8.15 (br s, 1 H), 8.30 (d, 2H), 8.92 (s, 1 H).
Intermediate 81
Dimethyl {1 -[6-(acetylamino)pyridin-3-yl]-1 -oxopropan-2-yl}propanedioate, 102.1 g
To a solution of sodium hydride (50% in mineral oil), 154 mg (3.21 mmol) in N, Nidimethylformamide, 70 mL, was added dimethyl malonate, 0.37 mL (3.21 mmol). The reaction mixture was warmed to 50°C for 30 min then Intermediate 80, 726 mg (2.68 mmol) was added as a single portion. After 1 hour the reaction mixture was cooled quenched with water and extracted with ethyl acetate. The organic layers were washed with saturated sodium bicarbonate solution, water and dried over solid sodium sulfate to give Intermediate 81 , 753 mg (87%) as a cream solid.
LCMS (Method 3): Rt = 1 .54 min., 87%. MS (ESIpos): m/z = [M+H]+ 232. H NMR (300 MHz, CDCI3): δ [ppm] = 1.18 (d, 3H), 2.25 (s, 3H), 3.67 (s, 3H), 3.81 (s, 3H), 4.10- 3.5 (m, 2H), 8.20-8.35 (m, 3H), 8.89 (s, 1 H). Intermediate 82
4-(6-Aminopyridin-3-yl)-3-methyl-4-oxobutanoic acid hydrochloride (1 :1 ), 102.1 h
A solution of Intermediate 81 , 653 mg (2.02 mmol) in 6M hydrochloric acid, 6.75 mL (40.52 mmol) was heated for 18 hours at 1 10°C. The reaction mixture was concentrated under vacuum azeotroping with toluene to give Intermediate 82, 403 mg (81 %) as a yellow oil.
LCMS (Method 9): Rt = 0.44 min., 95%. MS (ESIpos): m/z = [M+H]+ 209. H NMR (300 MHz, MeOD-d3): δ [ppm] = 1.16 (d, 3H), 2.51 (dd, 1 H), 2.86 (dd, 1 H), 3.70-3.80 (m, 1 H), 7.06 (d, 1 H), 8.36 (d, 1 H), 8.60 (s, 1 H). Intermediate 83
6-(6-Aminopyridin-3-yl)-2,5-dimethyl-4,5-dihydropyridazin-3(2H)-one, 102.1 i
To a solution of Intermediate 82, 403 mg (1.65 mmol) in ethanol, 10 mL, was added methyl hydrazine, 0.13 mL (2.47 mmol). The reaction was heated at 80°C for 18 hours. A further portion of methyl hydrazine, 0.1 mL (1.90 mmol) was added and the reaction was heated for a further 3 hours, the reaction mixture was then concentrated under vacuum. The residue was dissolved in ethyl acetate and washed with water. The organic layer was dried over solid sodium sulfate then concentrated under vacuum to give Intermediate 83, 238 mg (66%) as a yellow solid. H NMR (300 MHz, CDCI3): δ [ppm] = 1 .19 (d, 3H), 2.45 (d, 1 H), 2.63 (dd, 1 H), 3.24 (m, 1 H), 3.43 (s, 3H), 4.71 (br s, 2H), 6.53 (d, 1 H), 7.97 (d, 1 H), 8.37 (s, 1 H). UPLC (Method 8): Rt = 0.44 min., 92%. MS (ESIpos): m/z Intermediate 84
4-Bromo-N-methoxy-N-methylbenzamide
To a solution of 4-bromobenzoic acid, 5 g (586-76-5, 24.87 mmol) in N,N-dimethylformamide, 30 ml_, was added triethylamine, 13.9 ml. (99.49 mmol), Ν,Ο-dimethylhydroxylamine hydrochloride, 3.64 g (37.31 mmol), 1 -hydroxy-7-azabenzotriazole, 5.08 g (37.31 mmol) and 1-(3- dimethylaminopropyl)-3-ethylcarbodiimide hydrochloride, 9.54 g (49.75 mmol). The reaction was stirred at room temperature for 18 hours. The reaction mixture was diluted with saturated solution of sodium hydrogen carbonate and extracted with ethyl acetate. The combined organic layers were washed with a saturated solution of sodium hydrogen carbonate, brine dried over solid sodium sulfate, filtered and concentrated under vacuum to give Intermediate 84, 5.6 g (92%) as a colourless solid. H NMR (400 MHz, CDCI
3): δ [ppm] = 3.34 (s, 3H), 3.52 (s, 3H), 7.50-7.65 (m, 4H). UPLC-MS (Method 3): R
t = 0.71 min., 93%. MS (ESIpos): m/z = [M+H]
+ 244, 246. Intermediate 85
1 -(4-Bromophenyl)-3-methylbutan-1 -one
A solution of 4-bromo-N-methoxy-N-methylbenzamide Intermediate 84, 1.0 g (4.10 mmol) was dissolved in tetrahydrofuran, 40 ml_, was cooled at 0° C and isobutyl magnesium bromide, 8.2 mL (8.2 mmol) was added and the reaction was stirred at room temperature overnight. The reaction was quenched by addition of a saturated solution of ammonium chloride and extracted with ethyl acetate. The combined organic layers were dried over sodium sulphate, filtered and concentrated under vacuum. Purification by flash silica chromatography 60 (eluent: heptane dichloromethane 1 : 1 ) gave Intermediate 85, 900 mg (91 %) as a colourless solid. H NMR (300 MHz, CDCI3): δ [ppm] = 0.97 (d, 6H), 2.26 (m, 1 H), 2.77 (d, 2H), 7.58 (d, 2H), 7.80 (d, 2H).
UPLC-MS (Method 3): Rt = 0.97 min., 96%. MS (ESIpos): m/z = [M+H]+ 241 243. Intermediate 86 Ethyl 3-(4-bromobenzoyl)-4-methylpentanoate
Lithium bis(trimethylsilyl)amide, 0.38 mL (0.37 mmol) was added to a solution of 1-(4- bromophenyl)-3-methylbutan-1-one Intermediate 85, 50 mg (0.21 mmol) in dry tetrahydrofuran, 10 mL, at -40 °C. The reaction mixture was stirred at 0°C for 2 hours, then re-cooled to - 40 °C and ethyl bromoacetate, 0.03 mL (0.25 mmol) was added. The reaction was then warmed to room temperature for 72 hours. The reaction was quenched with ammonium chloride saturated solution and extracted with ethyl acetate. The combined organic layers were dried over sodium sulfate, filtered and concentrated under vacuum. Purification by flash silica chromatography 60 (eluent: heptane, dichloromethane 1 : 1 ) gave Intermediate 86, 26 mg (38%) as a colourless solid. H NMR (400 MHz, CDCI3): δ [ppm] = 0.81 (d, 3H), 0.94 (d, 3H) 1.15 (t, 3H), 2.00 (m, 1 H), 2.49 (dd, 1 H), 2.96 (dd, 1 H), 3.78 (ddd, 1 H), 4.04 (q, 2H), 7.60 (d, 2H), 7.84 (d, 2H).
UPLC-MS (Method 3): Rt = 0.98 min., 94%. MS (ESIpos): m/z = [M+H]+ 327, 329.
Intermediate 87 2-Bromo-1-(4-bromophenyl)-3-methylbutan-1 -one, 124.5q
1-(4-Bromophenyl)-3-methylbutan-1 -one, 1 .1 g (4.56 mmol) was dissolved in acetic acid, 12 mL (209.6 mmol), and hydrobromic acid (45% in acetic acid), 0.87 mL (7.25 mmol) was added. This was cooled on ice water and bromine, 0.47 mL (9.12 mmol) was added drop-wise then the reaction was stirred at room temperature overnight. Acetone was added then the reaction was stirred at room temperature for 3 hours. The volatiles were removed then the residue was diluted with dichloromethane and washed with saturated sodium bicarbonate (2M), sodium thiosulfate, brine, dried over sodium sulfate, filtered and concentrated under vacuum. Purification by flash silica chromatography 60 (eluent: heptane, dichloromethane 1 :1 ) gave Intermediate 87, 1.2 g (82%) as a yellow oil. H NMR (300 MHz, CDCI3): δ [ppm] = 1.00 (d, 3H), 1.97 (d, 3H), 2.46 (m, 1 H), 4.82 (d, 1 H), 7.62 (d, 2H), 7.86 (d, 2H).
UPLC-MS (Method 3): Rt = 0.99 min., 88%. MS (ESIpos): m/z = [M+H]+ 321. Intermediate 88
Dimethyl [1 -(4-bromophenyl)-3-methyl-1 -oxobutan-2-yl]malonate, 124.5r
A solution of 2-bromo-1-(4-bromophenyl)-3-methylbutan-1 -one Intermediate 87, 1.3 g (4.06 mmol) in acetone, 10 mL, was added to the mixture of dimethyl malonate, 3.7 mL (32.50 mmol) and potassium carbonate, 1.12 g (8.12 mmol) in acetone, 90 mL, at 40-45 °C over 77 hours. The mixture was cooled to room temperature, diluted with water and extracted with ethyl acetate. The combined organic layers were dried over sodium sulfate, filtered and concentrated under vacuum. Purification by flash silica chromatography 60 (eluent: dichloromethane) gave Intermediate 88, 1.10 g (73%) as a pale yellow liquid. H NMR (300 MHz, CDCI3): δ [ppm] = 1.00 (d, 3H), 1.97 (d, 3H), 2.46 (m, 1 H), 3.60 (s, 3H), 3.79 (s, 3H), 4.18 (m, 2H), 7.62 (d, 2H), 7.86 (d, 2H).
UPLC-MS (Method 3): Rt = 0.94 min., 87%. MS (ESIpos): m/z = [M+H]+ 371 , 373. Intermediate 89
3-(4-Bromobenzoyl)-4-methylpentanoic acid, 124.5n
Method A: Ethyl 3-(4-bromobenzoyl)-4-methylpentanoate Intermediate 86, 130 mg (0.40 mmol) was dissolved in methanol, 10 mL, and sodium hydroxide (2M), 3 mL (6 mmol) was added. The reaction was stirred at room temperature for 24 hours. The solvent was removed by evaporation and the crude was dissolved in ethyl acetate and a solution of hydrochloric acid (1 M, in water), 10 mL (10 mmol) was added. The water layer was extracted with ethyl acetate. The combined organic layers were dried over sodium sulfate and the solvent evaporated to give Intermediate 89 120 mg, (86%) as a colourless solid. H NMR (300 MHz, CDCI3): δ [ppm] = 0.78 (d, 3H), 0.95 (d, 3H), 1.95-2.10 (m, 1 H), 2.50 (dd, 1 H), 2.99 (dd, 1 H), 3.65-3.75 (m, 1 H), 7.59 (d, 2H), 7.80 (d, 2H).
UPLC-MS (Method 3): Rt = 0.55 min., 86%. MS (ESIpos): m/z = [M+H]+ 299, 301 Method B: A solution of dimethyl [1 -(4-bromophenyl)-3-methyl-1-oxobutan-2-yl]malonate Intermediate 88, 1.1 g (2.1 mmol) in hydrochloric acid solution (6M), 0.7 ml. (42.67 mmol) was heated for 5 hours at 1 10°C, than dimethyl sulfoxide, 1 1 ml_, was added and the mixture and heated for further 16 hours. The reaction mixture was diluted with water and extracted with ethyl acetate. The combined organic layers were washed with brine, water and dried over sodium sulfate, filtered and concentrated under vacuum to give Intermediate 89, 750 mg (97%) as a yellow gum.
1 H NMR (300 MHz, CDCI3): δ [ppm] = 0.78 (d, 3H), 0.95 (d, 3H), 1.95-2.10 (m, 1 H), 2.50 (dd, 1 H), 2.99 (dd, 1 H), 3.65-3.75 (m, 1 H), 7.59 (d, 2H), 7.80 (d, 2H). UPLC-MS (Method 3): Rt = 0.55 min., 82%. MS (ESIpos): m/z = [M+H]+ 299, 301.
Intermediate 90
6-(4-Bromophenyl)-5-isopropyl-2-methyl-4,5-dihydropyridazin-3(2H)-one, 124.5o
3-(4-Bromobenzoyl)-4-methylpentanoic acid Intermediate 89, 300 mg (0.86 mmol) was suspended in ethanol, 10 ml_, then methylhydrazine, 0.23 ml. (4.29 mmol), was added. The resulting pale brown solution was warmed to 80°C for 72 hours. The solvent was evaporated and the crude suspended in water and extracted with ethyl acetate. The combined organic layers were dried over solid sodium sulfate, filtered and concentrated under vacuum. The crude compound was purified by reverse phase chromatography (BIOTAGE SP4, 60 g Biotage cartridge) using acetonitrile and water containing 10mM ammonium bicarbonate pH 10 buffer (3:97 to 100:0) to give Intermediate 90, 195 mg (73%) as a pale yellow liquid. H NMR (400 MHz, CDCI3): δ [ppm] = 0.80-1.00 (m, 6H), 1.95 (m, 1 H), 2.56 (dd, 1 H), 2.72 (d, 1 H), 3.02 (m, 1 H), 3.42 (s, 3H), 7.53 (d, 2H), 7.63 (d, 2H). UPLC-MS (Method 3): Rt = 0.90 min., 94%. MS (ESIpos): m/z = [M+H]+ 309-31 1. Intermediate 91
6-(4-Aminophenyl)-5-isopropyl-2-methyl-4,5-dihydropyridazin-3(2H)-one, 124.5p
A mixture of 6-(4-bromophenyl)-5-isopropyl-2-methyl-4,5-dihydropyridazin-3(2H)-one Intermediate 90, 220 mg (0.71 mmol), benzophenone imine, 154 mg (0.85 mmol), caesium carbonate, 324 mg (1 mmol) in 1 ,4-dioxane, 10 ml_, was degassed with argon for 20 minutes. (rac)-2,2'-Bis(diphenylphosphino)-1 ,1 '-binaphthyl, 17.7 mg (0.03 mmol) and tris (dibenzylideneacetone)dipalladium(O), 13.0 mg (0.014 mmol) were added and the mixture heated at reflux for 18 hours. The mixture was cooled to room temperature and acidified with hydrochloric acid (2M), 1.07 ml. (2.1 mmol). The reaction mixture was stirred at room temperature for 2 hours then the mixture basified to pH 9-10 with saturated aqueous potassium carbonate. The mixture was extracted with ethyl acetate, dried over sodium sulfate, filtered and concentrated under vacuum. The crude product was firstly purified by SCX-2 eluting with methanol: ammonia (1 N); followed by purification by flash silica chromatography 60 (eluent: heptanes, ethyl acetate 1 :1 ) to give Intermediate 91 , 1 15 mg, (61 %) as a brown oil. H NMR (400 MHz, CDCI3): δ [ppm] = 0.88 (m, 6H), 1.95 (m, 1 H), 2.52 (dd, 1 H), 2.65 (d, 1 H), 3.00 (m, 1 H), 3.38 (s, 3H), 6.73 (d, 2H), 7.40-7.60 (m, 2H). UPLC-MS (Method 3): Rt = 0.64 min., 92%. MS (ESIpos): m/z = [M+H]+ 246.
Intermediate 93
6-(4-aminophenyl)-2-(3-methoxypropyl)-5-methyl-4,5-dihydropyridazin-3(2H)-one
To a solution of Intermediate 7 (4.02 g, 20.7 mmol) in DMF (50 mL) sodium hydride 60% in mineral oil (992 mg, 22.7 mmol) was added carefully at 0 °C. The ice bath was removed and the mixture was stirred for 30 min at room temperature. The resulting suspension was cooled at 0 °C and 1-bromo-3-methoxypropane (2.3 mL, 20.7 mmol) was added. The reaction mixture was stirred over night at room temperature. The mixture was poured into water and extracted three times with ethyl acetate. The combined organic extracts were washes with brine, dried over Na2SC>4 and evaporated. The crude material was purified by flash-chromatography on silica gel to yield the desired product (4.6 g, 85%). H-NMR (400MHz, DMSO-d6): δ [ppm]= 1.02 (d, 3H), 1.80 (quin, 2H), 2.24 (dd, 1 H), 2.62 (dd, 1 H), 3.21 (s, 3H), 3.24 - 3.36 (m, 3H), 3.57 - 3.68 (m, 1 H), 3.82 - 3.93 (m, 1 H), 5.55 (s, 2H), 6.53 - 6.61 (m, 2H), 7.42 - 7.56 (m, 2H).
UPLC (Method 2): Rt = 0.79; MS (ESIpos): m/z [M+H]+ 276. Intermediate 94 6-(4-aminophenyl)-2-(2-methoxyethyl)-5-methyl-4,5-dihydropyridazin-3(2H)-one
To a solution of Intermediate 7 (2:00 g, 9.84 mmol) in DMF (50 mL) sodium hydride 60% in mineral oil (472 mg, 10.8 mmol) was added carefully at 0 °C. The ice bath was removed and the mixture was stirred for 30 min at room temperature. The resulting suspension was cooled at 0 °C and 1-bromo-2-methoxyethane (0.93 mL, 9.84 mmol) was added. The reaction mixture was stirred over night at room temperature. The mixture was poured into water and extracted three times with ethyl acetate. The combined organic extracts were washes with brine, dried over Na2SC>4 and evaporated. The crude material was purified by flash-chromatography on silica gel to yield the desired product (816 mg, 32%). H-NMR (400MHz, DMSO-de): δ [ppm]= 1.02 (d, 3H), 2.24 (dd, 1 H), 2.56 - 2.68 (m, 1 H), 3.23 (s, 3H), 3.25 - 3.32 (m, 1 H), 3.50 - 3.57 (m, 2H), 3.67 (dt, 1 H), 3.99 - 4.1 1 (m, 1 H), 5.56 (s, 2H), 6.53 - 6.60 (m, 2H), 7.46 - 7.54 (m, 2H).
UPLC (Method 7): Rt = 0.80; MS (ESIpos): m/z [M+H]+ 262.
Intermediate 95
(5R)-6-(4-aminophenyl)-2-(2-methoxyethyl)-5-methyl-4,5-dihydropyridazin-3(2H)-one OR (5S)-6- (4-aminophenyl)-2-(2-methoxyethyl)-5-methyl-4,5-dihydropyridazin-3(2H)-one
OR
A sample of the racemic product Intermediate 94 was separated using chiral HPLC (System: Instrument: Labomatic Pumpe HD-5000, Labomatic SP-3000, Labocord 5000, Labomatic Labcol Vario 4000, Gilson GX-241 ,; Saule: Chiralpak IB 5μηι 250x30 mm Nr. 023; Solvent: Hexan / 2- Propanol/ / Diethylamin (100%) 70:30:0.1 (v/v/v ); Fluss: 50 mL/min; Temperatur: RT; UV 325 nm) to give the first eluting enantiomer 6-(4-aminophenyl)-2-(2-methoxyethyl)-5-methyl-4,5- dihydropyridazin-3(2H)-one (356 mg, 23% from racemate). H-NMR (400MHz, DMSO-d6): δ [ppm]= 1.06 (d, 3H), 1 .16 (t, 3H), 2.29 (d, 1 H), 2.69 (dd, 1 H), 3.37 (d, 1 H), 3.65 - 3.78 (m, 1 H), 3.78 - 3.90 (m, 1 H), 4.82 (d, 4H), 7.44 (d, 1 H), 7.59 - 7.71 (m, 2H), 7.71 - 7.81 (m, 2H), 8.50 (d, 1 H), 8.64 (s, 1 H), 8.61 (s, 1 H). Chiral HPLC (System: Instrument: Agilent: 1260 AS, MWD, Saule: Chiralpak IB 5μηι 100x4.6 mm; Solvent: Hexan / 2-Propanol/ Diethylamin (100%) 70:30:0.1 (v/v/v); flow 1.0ml/min; Temperatur: RT °C; Injektion: 5 μΙ; DAD: 325 nm, solution: 1.0 mg/ml_ methanol): Rt = 4.53 min, 99.8% enantiomeric excess.
Optical rotation (Method 5): [a] = -493° (c = 1.00, DMSO). Intermediate 96
(5S)-6-(4-aminophenyl)-2-(2-methoxyethyl)-5-methyl-4,5-dihydropyridazin-3(2H)-one OR (5R)-6- (4-aminophenyl)-2-(2-methoxyethyl)-5-methyl-4,5-dihydropyridazin-3(2H)-one
OR
A sample of the racemic product Intermediate 94 was separated using chiral HPLC (System: Instrument: Labomatic Pumpe HD-5000, Labomatic SP-3000, Labocord 5000, Labomatic Labcol Vario 4000, Gilson GX-241 ,; Saule: Chiralpak IB 5μηι 250x30 mm Nr. 023; Solvent: Hexan / 2- Propanol/ / Diethylamin (100%) 70:30:0.1 (v/v/v ); Flow: 50 mL/min; Temperatur: RT; UV 325 nm) to give the second eluting enantiomer 6-(4-aminophenyl)-2-(2-methoxyethyl)-5-methyl-4,5- dihydropyridazin-3(2H)-one (351 mg, 22% from racemate). H-NMR (400MHz, DMSO-d6): δ [ppm]= 1.06 (d, 3H), 1 .16 (t, 3H), 2.29 (d, 1 H), 2.69 (dd, 1 H), 3.37 (d, 1 H), 3.65 - 3.78 (m, 1 H), 3.78 - 3.90 (m, 1 H), 4.82 (d, 4H), 7.44 (d, 1 H), 7.59 - 7.71 (m, 2H), 7.71 - 7.81 (m, 2H), 8.50 (d, 1 H), 8.64 (s, 1 H), 8.61 (s, 1 H). Chiral HPLC (System: Instrument: Agilent: 1260 AS, MWD, Saule: Chiralpak IB 5μηι 100x4.6 mm; Solvent: Hexan / 2-Propanol/ Diethylamin (100%) 70:30:0.1 (v/v/v); flow 1.0ml/min; Temperatur: RT °C; Injektion: 5 μΙ; DAD: 325 nm, solution: 1.0 mg/mL methanol): Rt = 6.85 min, 98.6% enantiomeric excess.
Optical rotation (Method 5): [a] = +41 1 ° (c = 1.00, DMSO). Intermediate 96
(5R)-6-(4-aminophenyl)-5-methyl-2-(tetrahydro-2H-pyran-4-yl)-4,5-dihydropyridazin-3(2H)-one OR (5S)-6-(4-aminophenyl)-5-methyl-2-(tetrahydro-2H-pyran-4-yl)-4,5-dihydropyridazin-3(2H)- one
A sample of the racemic product Intermediate 14 was separated using chiral HPLC (System: Instrument: Instrument: 2x Labomatic Pumpe HD-3000, Labomatic AS-3000, Knauer DAD 2600, Labomatic Labcol Vario 4000 Plus ; Column: Chiralpak IB 5μηι 250x30 mm Nr.23; Solvent: Hexan/2-Propanol /DEA 70:30:0.1 (v/v/v) Flow: 60 mL/min; Temperature: RT;DAD 325 nm) to give the first eluting enantiomer (899 mg, 45% from racemate). H-NMR (400MHz, DMSO-d6): δ [ppm]= 1.00 (d, 3H), 1.43 - 1.58 (m, 2H), 1.76 - 1 .90 (m, 1 H), 2.00 - 2.13 (m, 1 H), 2.27 (dd, 1 H), 2.63 (dd, 1 H), 3.22 - 3.32 (m, 1 H), 3.41 (t, 2H), 3.86 - 3.98 (m, 2H), 4.67 - 4.77 (m, 1 H), 5.56 (s, 2H), 6.56 - 6.62 (m, 2H), 7.50 - 7.56 (m, 2H). Chiral HPLC (System: Instrument: Agilent: 1260 AS, MWD, Column: Chiralpak IB 5μηι 100x4.6 mm; Solvent: Hexan / 2-Propanol / Diethylamin 70:30:0.1 (v/v/v); Flow 1 .0ml/min; Temperature: RT °C; Injection: 5 μΙ; DAD: 325 nm; solution: 1.0 mg/mL methanol): Rt = 3.81 min, >99% enantiomeric excess.
Optical rotation (Method 5): [a] = -492° (c = 1.00, DMSO). Intermediate 97
(5S)-S-(4-aminophenyl)-5-methyl-2-(tetrahydro-2H-pyran-4-yl)-4,5-dihydropyridazin-3(2H)-one OR (5R)-6-(4-aminophenyl)-5-methyl-2-(tetrahydro-2H-pyran-4-yl)-4,5-dihydropyridazin-3(2H)- one
A sample of the racemic product Intermediate 14 was separated using chiral HPLC (System: Instrument: Instrument: 2x Labomatic Pumpe HD-3000, Labomatic AS-3000, Knauer DAD 2600, Labomatic Labcol Vario 4000 Plus ; Column: Chiralpak IB 5μηι 250x30 mm Nr.23; Solvent: Hexan/2-Propanol /DEA 70:30:0.1 (v/v/v) Flow: 60 mL/min; Temperature: RT;DAD 325 nm) to give the second eluting enantiomer (904 mg, 45% from racemate). H-NMR (400MHz, DMSO-d6): δ [ppm]= 1.00 (d, 3H), 1.43 - 1.58 (m, 2H), 1.76 - 1 .90 (m, 1 H), 2.00 - 2.13 (m, 1 H), 2.27 (dd, 1 H), 2.63 (dd, 1 H), 3.22 - 3.32 (m, 1 H), 3.41 (t, 2H), 3.86 - 3.98 (m, 2H), 4.67 - 4.77 (m, 1 H), 5.56 (s, 2H), 6.56 - 6.62 (m, 2H), 7.50 - 7.56 (m, 2H). Chiral HPLC (System: Instrument: Agilent: 1260 AS, MWD, Column: Chiralpak IB 5μηι 100x4.6 mm; Solvent: Hexan / 2-Propanol / Diethylamin 70:30:0.1 (v/v/v); Flow 1 .0ml/min; Temperature: RT °C; Injection: 5 μΙ; DAD: 325 nm; solution: 1.0 mg/mL methanol): Rt = 5.61 min, 98.5% enantiomeric excess.
Optical rotation (Method 5): [a] = +481 ° (c = 1.00, DMSO). Intermediate 98
6-(4-aminophenyl)-2-(3-methoxyphenyl)-5-methyl-4,5-dihydropyridazin-3(2H)-one
A solution of Intermediate 3 (1 .00 g, 4.10 mmol) in 1-propanol (10 ml.) was treated with (3- methoxyphenyl)hydrazine hydrochloride (1.08 g, 6.16 mmol) and stirred over night at 100 °C. After cooling to room temperature the mixture was poured into water, the aqueous phase was saturated with solid NaCI and extracted three times with ethyl acetate. The combined organic extracts were washed with water, dried over Na2SC>4 and the solvent was removed under reduced pressure. The crude material was purified by flash-chromatography on silica gel (hexane/ethyl acetate) to yield the desired product (800 mg, 63%). UPLC (Method 2): Rt = 0.97; MS (ESIpos): m/z [M+H]+ 310.
Intermediate 99
6-(4-aminophenyl)-2-(cyclopropylmethyl)-5-methyl-4,5-dihydropyridazin-3(2H)-one
A solution of Intermediate 3 (1.01 g, 4.26 mmol, 1.00 eq) in n-propanol (6.1 mL) was treated with (cyclopropylmethyl)hydrazine dihydrochloride (2.98 g, 9.35 mmol, 4.50 eq) and 0.5 mL DIPEA. The mixture was stirred for 3.5 h. After addition of further 1.5 eq (cyclopropylmethyl)hydrazine dihydrochloride the mixture was stirred over night at 100 °C. After cooling to room temperature the mixture was poured into water. The resulting slurry extracted three times with ethylacetate. The combined organic layers were washed with saturated NaHCC>3 solution and brine, dried over Na2SC>4 and the solvent was removed under reduced pressure. The crude product was purified by flash chromatography on silica gel (hexane / ethyl acetate) to yield 352 mg of the desired product (33%). H-NMR (600MHz, DMSO-de): δ [ppm]= 0.22 - 0.29 (m, 2H), 0.38 - 0.44 (m, 2H), 1.04 (d, 3H), 1.07 - 1.14 (m, 1 H), 2.24 (dd, 1 H), 2.63 (dd, 1 H), 3.24 - 3.32 (m, 1 H), 3.45 (dd, 1 H), 3.71 (dd, 1 H), 5.55 (s, 2H), 6.54 - 6.62 (m, 2H), 7.47 - 7.55 (m, 2H).
LC-MS (Method 2): Rt = 0.93 min; MS (ESIpos): m/z = 258 [M+H]+. Intermediate 100
6-(4-aminophenyl)-5-methyl-2-(tetrahydro-2H-pyran-4-ylmethyl)-4,5-dihydropyridazin-3(2H)-one
A solution of Intermediate 3 (4.00 g, 16.4 mmol) in 1 -propanol (50 mL) was treated with (oxan-4- ylmethyl)hydrazine dihydrochloride (5.00 g, 24.6 mmol) and stirred over night at 100 °C. The volume of the mixture was reduced under reduced pressure, the resulting solution was poured in ice water. The aqueous phase was three times extracted with ethyl acetate, the combined organic layers were washed with brine, dried over Na2SC>4 and the solvent was removed under reduced pressure. The residue was purified by flash-chromatography on silica gel to yield 2.51 g of the desired product (51 %).
LC-MS (Method 1 ): Rt = 0.82 min; MS (ESIpos): m/z = 302 [M+H]+. Intermediate 101 (5R)-6-(4-aminophenyl)-5-methyl-2-(tetrahydro-2H-pyran-4-ylmethyl)-4,5-dihydropyridazin-
3(2H)-one OR (5S)-6-(4-aminophenyl)-5-methyl-2-(tetrahydro-2H-pyran-4-ylmethyl)-4,5- dihydropyridazin-3(2H)-one
A sample of the racemic product Intermediate 100 was separated using chiral HPLC (System: Labomatic HD3000, AS-3000, Labcol Vario 4000 Plus, Knauer DAD 2600; Column: Chiralpak IB 5μ 250x30mm Nr. 023; Eluent A: Hexan + 0.1 Vol-% Diethylamin (99%); Eluent B: Ethanol; Isokratisch: 60%A+40%B; Flow 50.0 ml/min; UV @ 325 nm) to give the first eluting enantiomer (1.14 g, 29% from racemate).
Chiral HPLC (System: Agilent HPLC 1260; Column: Chiralpak IB 3μ 100x4.6mm; Eluent A: Hexan + 0.1 Vol-% Diethylamin (99%); Eluent B: Ethanol; Isokratisch: 60%A+40%B; Flow 1.4 ml/min; Temperatur: 25 °C; DAD @ 325 nm): Rt= 2.81 min, 99.5% enantiomeric excess.
Optical rotation (Method 5): [a] = -360° (c = 1.00, DMSO). Intermediate 102
(5S)-6-(4-aminophenyl)-5-methyl-2-(tetrahydro-2H-pyran-4-ylmethyl)-4
one OR (5R)-6-(4-aminophenyl)-5-methyl-2-(tetrahydro-2H-pyran-4-ylmethyl)-4,5- dihydropyridazin-3(2H)-one
A sample of the racemic product Intermediate 100 was separated using chiral HPLC (System: Labomatic HD3000, AS-3000, Labcol Vario 4000 Plus, Knauer DAD 2600; Column: Chiralpak IB 5μ 250x30mm Nr. 023; Eluent A: Hexan + 0.1 Vol-% Diethylamin (99%); Eluent B: Ethanol; Isokratisch: 60%A+40%B; Flow 50.0 ml/min; UV @ 325 nm) to give the second eluting enantiomer (1.10 g, 27% from racemate).
Chiral HPLC (System: Agilent HPLC 1260; Column: Chiralpak IB 3μ 100x4.6mm; Eluent A: Hexan + 0.1 Vol-% Diethylamin (99%); Eluent B: Ethanol; Isokratisch: 60%A+40%B; Flow 1.4 ml/min; Temperatur: 25 °C; DAD @ 325 nm): Rt= 4.14 min, 96% enantiomeric excess.
Optical rotation (Method 5): [a] = +374° (c = 1.00, DMSO).
Intermediate 103 6-(4-Aminophenyl)-2-(2-{[fert-butyl(dimethyl)silyl]oxy}ethyl)-5-meth
one
To a solution of intermediate 7 (4.01 , 19.7 mmol) in DMF (40 ml.) was added sodium hydride (60% on mineral oil, 1.66 g, 41.4 mmol) at r.t. and the solution stirred for 20 min. Then tetra-A/- butylammonium iodide (0.73 g, 1.97 mmol) was added and stirring continued for further 15 min. After cooling to 0°C (2-bromoethoxy)(fert-butyl)dimethylsilane (5.66 g, 23.7 mmol) was added slowly and the mixture was warmed to r.t.. After stirring for further 14 h the mixture was diluted with water and extracted with dichloromethane (3 x). The combined organic extracts were washed with brine and filtered over a phase separator filter. After removal of the solvent under reduced pressure the crude product was purified by column chromatography (silica gel, hexanes/ethyl acetate gradient) to give the desired product (4.07 g, 10.5 mmol, 53%). H-NMR (400 MHz, DMSO-cfe): δ [ppm] = 7.51 (d, 1 H), 6.57 (d, 1 H), 5.55 (s, 1 H), 4.00-3.93 (m, 1 H), 3.79 (t, 2H), 3.69-3.61 (m, 1 H), 3.32-3.23 (m, 1 H), 2.09 (s, 1 H), 1.04 (d, 3H), 0.83 (s, 9H), 0.01 (d, 6H)
LC-MS (Method 1 ): Rt = 1.36 min; MS (ESIpos): m/z = 363 [M+H]+.
Intermediate 104
N-{4-[1-(2-{[fert-Butyl(dimethyl)silyl]oxy}ethyl)-4-methyl-6-oxo-1 ,4,5,6-tetrahydropyridazin-3- yl]phenyl}-1 ,3-dihydro-2H-pyrrolo[3,4-c]pyridine-2-carboxamide
To a solution of Intermediate 103 (4.07 g, 10.5 mmol) in THF (45 ml.) was added at r.t. 4- nitrophenylchloroformate (2.11 g, 10.5 mmol). After heating to 60°C for 3 h the reaction mixture was concentrated under reduced pressure and the residue taken up in dichloromethane (40 ml_). To the solution was added at r.t. A/,A/-diisopropylamine (4.28 ml_, 24.6 mmol) and 2,3- dihydro-1 H-pyrrolo[3,4-c]pyridine dihydrochloride (1.53 g, 7.93 mmol). After stirring for 20 h at this temperature further A/,A/-diisopropylamine (1 .50 ml.) and THF (25 ml.) was added. After 30 min stirring at r.t. the reaction mixture was heated to 60°C. After cooling to r.t. the reaction mixture was poured on water and aq. 1 N NaOH was added. After separation of the organic phase the aqueous phase was extracted 2 x with dichloromethane and the combined organic extracts were washed with brine and filtered through a phase separator filter. After removal of the solvent the crude product was purified by comumn chromatography (silica gel, ethyl acetate/ethanol gradient) to give the title compound (1.72 g, 75% purity, 2.54 mmol, 32%).
LC-MS (Method 6): Rt = 1.27 min; MS (ESIpos): m/z = 508 [M+H]+.
Intermediate 105
6-(4-Bromophenyl)-2-(2-{[fert-butyl(dimethyl)silyl]oxy}ethyl)-4,4-dimethyl-4,5-dihydropyridazin- 3(2H)-one
To a solution of Intermediate 37 (2.60, 8.42 mmol) in DMF (16 ml.) was added at r.t. sodium hydride (60% on mineral oil, 0.71 g, 17.7 mmol) and the solution stirred for 20 min at that temperature. Then tetra-A/-butylammonium iodide (0.31 g, 0.84 mmol) was added and stirring continued for further 15 min. After cooling to 0°C (2-bromoethoxy)(tert-butyl)dimethylsilane (2.42 g, 10.1 mmol) was added slowly and the mixture was warmed to r.t.. After stirring for further 4 h the mixture was diluted with water and extracted with dichloromethane (3 x). The combined organic extracts were washed with brine and filtered over a phase separator filter. After removal of the solvent under reduced pressure the crude product was purified by column chromatography (silica gel, hexanes/ethyl acetate gradient) to give the title product (1.95 g, 4.13 mmol, 49%). H-NMR (400 MHz, DMSO-cfe): δ [ppm] = 7.79-7.70 (m, 1 H), 7.67-7.62 (m, 2H), 3.82 (br dd, 4H), 2.85 (s, 2H), 1.09 (s, 6H), 0.81 (s, 9H), -0.01 (s, 6H).
LC-MS (Method 1 ): Rt = 1.68 min; MS (ESIpos): m/z = 439 [M+H]+.
Intermediate 106
6-(4-aminophenyl)-2-(2-hydroxyethyl)-4,4-dimethyl-4,5-dihydropyridazin-3(2H)-one
To a solution of Intermediate 105 (2.90, 6.60 mmol) in dioxane (25 ml.) was added at r.t. benzophenone imine (1.44 g, 7.92 mmol) and CS2CO3 (3.01 g, 9.24 mmol) and the mixture was evacuated and vented with argon (3 x). After that tris(dibenzylidenacetone)dipalladium (121 mg, 0.13 mmol) and (rac)-2,2-bis(diphenylphosphino)1 , 1-binaphthyl (164 mg, 0.26 mmol) was added and the mixture was again evacuated and vented with argon. Then the mixture was heated to 80°C for 14 h. After cooling to r.t. the reaction mixture was acidified with hydrochloric acid to pH « 1 and stirred for 3 h at 60°C. Then the mixture was basified with aqueous ammonia to pH « 10 and extracted with ethyl acetate (3 x). After washing the combined organic extracts with brine and filtering through a phase separator filter the solvent was removed under reduced pressure and the crude product purified by column chromatography (silica gel, hexanes/ethyl acetate gradient) to give the title compound (0.52 g, 1.99 mol, 30%). H-NMR (400 MHz, DMSO-ck): δ [ppm] = 7.79-7.70 (m, 1 H), 7.67-7.62 (m, 2H), 3.82 (br dd, 4H), 2.85 (s, 2H), 1.09 (s, 6H), 0.81 (s, 9H), -0.01 (s, 6H).
LC-MS (Method 1 ): Rt = 1.68 min; MS (ESIpos): m/z = 439 [M+H]+.
Intermediate 107
2-{2-[3-(4-bromophenyl)-5,5-dimethyl-6-oxo-5,6-dihydropyridazin-1 (4H)-yl]ethyl}-1 H-isoindole- 1 ,3(2H)-dione
To a solution of Intermediate 37 (1 .49, 5.30 mmol) in DMF (20 ml.) was added at 0°C sodium hydride (60% on mineral oil, 233 mg, 5.83 mmol) and the mixture was warmed to r.t. over 30 min. After that the mixture was cooled again to 0°C and A/-[2-chloroethyl)phthalimide (1.17 g, 5.56 mmol) was added. The mixture was stirred for 14 h at r.t. and carefully quenched by addition of water. The mixture was extracted with dichloromethane (3 x), the combined organic extracts washed with brine and filtered through a phase separator filter. After removal of the solvent under reduced pressure the crude product was purified by column chromatography (silica gel, hexanes/ethyl acetate gradient) and preparative HPLC to give the title compound (0.38 g, 0.83 mmol, 16%).
HPLC: Instrument: Labomatic HD-3000, pump head HDK-280, gradient module NDB-1000, fraction collector Labomatic Labocol Vario 4000, Knauer UV detector Azura UVD 2.15, Prepcon 5 software. Column: Chromatorex C18 10μΜ 122x50 mm. Eluent A: water + 0.1 Vol-% HCOOH; Eluent B: acetonitrile; gradient: 0-20 min 30-70% B. rate 250 ml/min, temperature 25°C. H-NMR (400 MHz, DMSO-cfe): δ [ppm] = 7.83-7.74 (m, 4H), 7.49-7.39 (m, 4H), 4.05-4.00 (m, 2H), 3.92-3.86 (m, 2H), 2.76 (s, 2H), 0.98 (s, 6H)
LC-MS (Method 1 ): Rt = 1.40 min; MS (ESIpos): m/z = 454/456 [M+H]+.
Intermediate 108
2-{2-[3-(4-aminophenyl)-5,5-dimethyl-6-oxo-5,6-dihydropyridazin-1 (4H)-yl]ethyl}-1 H-isoindole- 1 ,3(2H)-dione
A mixture of Intermediate 108 (377 mg, 0.83 mmol), benzophenoneimine (1.24 ml_, 1.0 mmol), and CS2CO3 (379 mg, 1.16 mmol) in dioxane (3.2 ml.) was evacuated and nted with argon (3 x). After that tris(dibenzylidenacetone)dipalladium (15 mg, 17 μηιοΙ) and (rac)-2,2- bis(diphenylphosphino)1 , 1-binaphthyl (21 mg, 33 μηιοΙ) was added and the mixture was again evacuated and vented with argon. After that the mixture was stirred at 80°C for 14 h upon wich the mixture was cooled to r.t. and acidified to pH 1 by addition of 2 N hydrochloric acid and heated to 60°C for 3 h. Then the pH of the mixture was adjusted to pH 9 by addition of aqueous potassium carbonate solution and the mixture was extracted with ethyl acetate (3 x). The combined organic abstracts were washed with brine and filtered through a phase separator filter. After removal of the solvent the crude product was purified by column chromatography (silica gel, n-hexane/ethyl acetate gradient) to give the title compound (200 mg, 70% purity, 0.36 mmol, 43%). H-NMR (400 MHz, DMSO-cfe): δ [ppm] = 7.87-7.75 (m, 4H), 7.17 (d, 2H), 6.39 (d, 2H), 5.49 (s, 2H), 4.00-3.93 (m, 2H), 3.92-3.81 (m, 2H), 0.95 (s, 6H).
LC-MS (Method 1 ): Rt = 0.99 min; MS (ESIpos): m/z = 391 [M+H]+.
Intermediate 109 N-(4-{1-[3-(1 ,3-dioxo-1 ,3-dihydro-2H-isoindol-2-yl)propyl]-4-methyl-6-oxo-1 ,4,5,6- tetrahydropyridazin-3-yl}phenyl)-1 ,3-dihydro-2H-pyrrolo[3,4-c]pyridine-2-carboxamide
To a solution of triphenylphosphine (31 1 mg, 1.18 mmol) and phthalimide (87.0 mg, 0.59 mmol) in THF (7 mL) was added at r.t. Example 68 (268 mg, 0.59 mmol). After cooling to 0°C diisopropylazodicarboxylate (0.23 mL, 1.18 mmol) was added and the mixture was stirred at r.t. for 14 h. After that the precipitate was filtered off and washed with THF. The filtrate was concentrated under reduced pressure and the crude product was purified by preparative HPLC to give the title compound (0.27 g, 83% purity, 0.42 mmol, 71 %).
HPLC: Instrument: Labomatic HD-3000, pump head HDK-280, gradient module NDB-1000, fraction collector Labomatic Labocol Vario 4000, Knauer UV detector Azura UVD 2.15, Prepcon 5 software. Column: Chromatorex C18 10μΜ 122x50 mm. Eluent A: water + 0.1 Vol-% HCOOH; Eluent B: acetonitrile; gradient: 0-20 min 15-55% B. rate 250 ml/min, temperature 25°C. H-NMR (400 MHz, DMSO-cfe): δ [ppm] = 8.65 (s, 1 H), 8.61 (s, 1 H), 8.50 (d, 1 H), 7.78-7.72 (m, 2H), 7.70-7.65 (m, 2H), 7.44 (d, 1 H), 4.83 (br d, 4H), 4.47 (t, 1 H), 3.97-3.86 (m, 1 H), 3.67 (dt, 1 H), 3.48-3.39 (m, 2H), 2.78-2.65 (m, 1 H), 2.34-2.26 (m, 1 H), 1.76 (quin, 2H), 1.06 (d, 3H)
LC-MS (Method 1 ): Rt = 0.86 min; MS (ESIpos): m/z = 537 [M+H]+.
Intermediate 110
4-(4-aminophenyl)-2,2-dimethyl-4-oxobutanoic acid

To a solution of Intermediate 37 (2.00 g, 7.1 1 mmol) in ethylene glycol (250 mL) was added at r.t. copper(l)oxide (20.4 mg, 0.14 mmol). After degassing the mixture with nitrogen 25% aqueous ammonia (4.85 g, 71.1 mmol) was added and the mixture stirred for at 85°C for 14 h. After cooling the mixture to r.t. the same amount of ammonia was added at the mixture was again heated to 85°C for 1 d. After two further repetitions of this procedure the mixture was cooled to r.t., acidified by addition of 1 N hydrochloric acid and extracted with ethyl acetate (3 x). The combined organic phases were washed with saturated aqueous sodium bicarbonate solution, dried of magnesium sulphate and concentrated under reduced pressure. Purification by column chromatography (S1O2, ChbC /MeOH gradient) gave the crude title compound which was further purified by preparative HPLC to give the title compound (300 mg, 1.29 mmol). H-NMR (400 MHz, DMSO-ck): δ [ppm] = 7.66 (d, 2H), 6.56 (d, 1 H), 5.63 (br s, 3H), 3.1 1 (s, 2H), 1.17 (s, 6H).
MS (ESIpos): m/z = 222 [M+H]+.
Intermediate 111
6-(4-aminophenyl)-4,4-dimethyl-4,5-dihydropyridazin-3(2H)-one
To a solution of Intermediate 110 (8.66 g, 15.7 mmol) in ethanol (57 mL) was added at r.t. hydrazine (35% in water, 5.67 mL, 62.6 mmol). The mixture was stirred under reflux for 14 d and then cooled to r.t. After addition of water and acidification by by addition of 1 N hydrochloric acid the mixture was extracted with ethyl acetate (3 x). The combined organic phases were washed with saturated aqueous sodium bicarbonate solution, dried of magnesium sulphate and concentrated under reduced pressure. Purification by column chromatography (S1O2, CH2CI2/MeOH 100: 1 ) gave the title compound (1.10 g, 4.81 mmol). H-NMR (400 MHz, DMSO-cfe): δ [ppm] = 10.55 (s, 1 H), 7.45 (d, 1 H), 6.56 (d, 2H), 5.47 (s, 2H), 2.69 (s, 2H), 2.54 (s, 2H), 1.04 (s, 6H).
MS (ESIpos): m/z Intermediate 112 tert-butyl {3-[3-(4-aminophenyl)-5,5-dimethyl-6-oxo-5,6-dihydropyridazin-1 (4H)- yl]propyl}carbamate
To a solution of Intermediate 111 (380 mg, 1.75 mmol) in DMF (5 mL) was added at r.t. sodium hydride (60% on mineral oil, 147 mg, 3.7 mmol) and tetra-A/-butylammoniumiodide (65 mg, 0.18 mmol). Then the mixture was cooled to 0°C and tert-butyl (3-bromopropyl)carbamate (500 mg, 2.10 mmol) was added. The mixture then stirred for 14 h at r.t. and the reaction was quenched by the addition of water. The precipitate was filtered off and dried under vacuum to give the title compound 454 mg, 1.10 mmol). H-NMR (400 MHz, DMSO-cfe): δ [ppm] = 7.49 (d, 2H), 6.75-6.68 (m, 1 H), 6.58 (d, 1 H), 3.67 (t, 2H), 2.93 (q, 2H), 2.73 (s, 2H), 2.54 (s, 13H), 1.74-1.65 (m, 2H), 1.37 (s, 9H), 1.05 (s, 6H).
MS (ESIpos): m/z = 375 [M+H]+.
Examples
Example 1
N-[4-(1 ,4-dimethyl-6-oxo-1 ,4,5,6-tetrahydropyridazin-3-yl)phenyl]-5,7-dihydro-6H-pyrrolo[3,4- b]pyridine-6-carboxamide
A solution of 4.10 g of Intermediate 4 (18.9 mmol, 1.00 eq) in THF (60 mL) was treated with 5.80 g of Ν,Ν'-disuccinimidyl carbonate (22.6 mmol, 1.20 eq) and 2.77 g 4-dimethylaminopyridine (22.6 mmol, 1.20 eq). The reaction mixture was stirred for 3 days at room temperature. A suspension of 4.27 g 6,7-dihydro-5H-pyrrolo[3,4-b]pyridine dihydrochloride (22.6 mmol, 1.20 eq) and 9.47 mL of triethylamine (67.9 mmol, 3.60 eq) in DMF (40 mL) was added to the reaction mixture, additional DMF (100 mL) was added and the resulting suspension was stirred over night at room temperature. The precipitate was filtered off and discarded. The filtrate was evaporated under reduced pressure and purified by flash chromatography on silica gel (eluent: DCM/methanol 100:0, 85:15). During the evaporation of the fractions a precipitate occurred which was collected by filtration and dried to obtain 4.24 g of the desired product Example 1. After complete evaporation of the solvent the remaining residue was triturated with ethyl acetate to yield additionally 1.86 g of the product (6.10 g, 89%). H-NMR (400MHz, DMSO-d6): δ [ppm] = 1.07 (d, 3H), 2.30 (dd, 1 H), 2.71 (dd, 1 H), 3.32 (s, 3H), 3.40 (s, 1 H), 4.79 (d, 4H), 7.33 (dd, 1 H), 7.66 - 7.71 (m, 2H), 7.72 - 7.77 (m, 2H), 7.78 - 7.83 (m, 1 H), 8.48 (dd, 1 H), 8.61 (s, 1 H).
LC-MS (Method 2): Rt = 0.81 min; MS (ESIpos): m/z = 364 [M+H]+. Example 2
N-{4-[(4R)-1 ,4-dimethyl-6-oxo-1 ,4,5,6-tetrahydropyridazin-3-yl]phenyl}-5,7-dihydro-6H- pyrrolo[3,4-b]pyridine-6-carboxamide
Preparation A: A sample of racemic N-[4-(1 ,4-dimethyl-6-oxo-1 ,4,5,6-tetrahydropyridazin-3- yl)phenyl]-5,7-dihydro-6H-pyrrolo[3,4-b]pyridine-6-carboxamide (prepared as described in analogy to Example 1 , 86 mg, 0.24 mmol) was separated using chiral HPLC (System: Agilent: Prep 1200, 2xPrep Pump, DLA, MWD, Gilson: Liquid Handler 215, Column: Chiralpak IC 5μηι 250x20 mm, Solvent: acetonitrile + 0.1 % diethylamine / ethanol 90:10 (v/v)) to give the second eluting enantiomer of N-[4-(1 ,4-dimethyl-6-oxo-1 ,4,5,6-tetrahydropyridazin-3-yl)phenyl]-5,7- dihydro-6H-pyrrolo[3,4-b]pyridine-6-carboxamide (35.5 mg, 39% from racemate). H-NMR (400MHz, DMSO-d6): δ [ppm] = 1.07 (d, 3H), 2.30 (dd, 1 H), 2.71 (dd, 1 H), 3.32 (s, 3H), 3.35 - 3.45 (m, 1 H), 4.80 (d, 4H), 7.33 (dd, 1 H), 7.65 - 7.71 (m, 2H), 7.71 - 7.76 (m, 2H), 7.81 (d, 1 H), 8.48 (d, 1 H), 8.61 (s, 1 H).
Chiral HPLC (System: Agilent 1200, DAD 280 nm Column: Chiralpak IC 3 μηι 100x4.6 mm, Solvent: acetonitrile + 0.1 % diethylamine /ethanol 90:10 (v/v)): Rt = 16.5 min, >89% enantiomeric excess. Preparation B: A solution of 500 mg of Intermediate 5 (2.30 mmol, 1.00 eq) in THF (60 mL) was treated with 533 mg Ν,Ν'-disuccinimidyl carbonate (2.76 mmol, 1.20 eq) and 337 mg 4- dimethylaminopyridine (2.76 mmol, 12.0 eq). The mixture was stirred for 3 days at room temperature. A suspension of 533 mg of 6,7-dihydro-5H-pyrrolo[3,4-b]pyridine dihydrochloride (2.76 mmol, 12.0 eq) and 1.16 mL of triethylamine (8.29 mmol, 3.60 eq) in THF (3 mL) was added. Additional DMF (5 mL) were added to the mixture at it was stirred over night at room temperature. The precipitate was filtered off and discarded. The THF was removed from the filtrate and the remaining DMF solution was poured into water. The aqueous phase was three times extracted with DCM. The combined organic layers were washed with brine, dried over Na2SC>4 and the solvent was removed under reduced pressure. The residue was purified by flash chromatography on silica gel to provide the desired product which was resolved in DCM, insoluble material was filtered off, the filtrate was taken to dryness. 176 mg of the pure material Example 2 were obtained (21 %). H-NMR (400MHz, DMSO-d6): δ [ppm] = 1.07 (d, 3H), 2.30 (dd, 1 H), 2.71 (dd, 1 H), 3.32 (s, 3H), 3.35 - 3.45 (m, 1 H), 4.80 (d, 4H), 7.33 (dd, 1 H), 7.65 - 7.71 (m, 2H), 7.71 - 7.76 (m, 2H), 7.81 (d, 1 H), 8.48 (d, 1 H), 8.61 (s, 1 H).
Chiral HPLC (System: Agilent 1200, DAD 280 nm Column: Chiralpak IC 5 μηι 100x4.6 mm, Solvent: acetonitrile + 0.1 % diethylamine /ethanol 90:10 (v/v)): Rt = 16.0 min, 96.6% enantiomeric excess.
Optical rotation (Method 5): [a] = -291.0° (c = 1.00, CHCI3). Example 3
N-{4-[(4S)-1 ,4-dimethyl-6-oxo-1 ,4,5,6-tetrahydropyridazin-3-yl]phenyl}-5,7-dihydro-6H- pyrrolo[3,4-b]pyridine-6-carboxamide
Preparation A: A sample of racemic N-[4-(1 ,4-dimethyl-6-oxo-1 ,4,5,6-tetrahydropyridazin-3- yl)phenyl]-5,7-dihydro-6H-pyrrolo[3,4-b]pyridine-6-carboxamide (prepared as described in analogy to Example 1 , 86 mg, 0.24 mmol) was separated using chiral HPLC (System: Agilent: Prep 1200, 2xPrep Pump, DLA, MWD, Gilson: Liquid Handler 215, Column: Chiralpak IC 5μηι 250x20 mm, Solvent: acetonitrile + 0.1 % diethylamine / ethanol 90: 10 (v/v)) to give the first eluting enantiomer of N-[4-(1 ,4-dimethyl-6-oxo-1 ,4,5,6-tetrahydropyridazin-3-yl)phenyl]-5,7- dihydro-6H-pyrrolo[3,4-b]pyridine-6-carboxamide (36.0 mg, 40% from racemate). H-NMR (400MHz, DMSO-d6): δ [ppm] = 1.07 (d, 3H), 2.30 (dd, 1 H), 2.71 (dd, 1 H), 3.32 (s, 3H), 3.35 - 3.45 (m, 1 H), 4.80 (d, 4H), 7.33 (dd, 1 H), 7.65 - 7.71 (m, 2H), 7.72 - 7.77 (m, 2H), 7.79 - 7.83 (m, 1 H), 8.48 (dd, 1 H), 8.61 (s, 1 H). Chiral HPLC (System: Agilent 1200, DAD 280 nm Column: Chiralpak IC 3 3μηι 100x4.6 mm, Solvent: acetonitrile + 0.1 % diethylamine /ethanol 90:10 (v/v)): Rt = 13.5 min, 95% enantiomeric excess.
Preparation B: A solution of 500 mg of Intermediate 6 (2.30 mmol, 1.00 eq) in THF (60 ml.) was treated with 533 mg Ν,Ν'-disuccinimidyl carbonate (2.76 mmol, 1.20 eq) and 337 mg 4- dimethylaminopyridine (2.76 mmol, 12.0 eq). The mixture was stirred for 3 days at room temperature. A suspension of 533 mg of 6,7-dihydro 5H-pyrrolo[3,4-b]pyridine dihydrochloride (2.76 mmol, 12.0 eq) and 1.16 mL of triethylamine (8.29 mmol, 3.60 eq) in THF (3 mL) was added. Additional DMF (5 mL) were added to the mixture at it was stirred over night at room temperature. The precipitate was filtered off and discarded. The THF was removed from the filtrate and the remaining DMF solution was poured into water. The aqueous phase was three times extracted with DCM. The combined organic layers were washed with brine, dried over Na2S04 and the solvent was removed under reduced pressure. The residue was purified by flash chromatography on silica gel and subsequent reverse phase, preparative HPLC to provide the desired product. 63 mg of the pure material Example 3 were obtained (7.5%). H-NMR (500MHz, CDCI3-d): δ [ppm] = 1.21 (d, 3H), 2.48 (dd, 1 H), 2.68 (dd, 1 H), 3.26 - 3.35 (m, 1 H), 3.45 - 3.49 (m, 3H), 4.90 (d, 4H), 6.48 (s, 1 H), 7.24 - 7.30 (m, 1 H), 7.54 - 7.59 (m, 2H), 7.67 (d, 1 H), 7.74 - 7.78 (m, 2H), 8.55 (d, 1 H).
LC-MS (Method 2): Rt = 0.82 min; MS (ESIpos): m/z = 364 [M+H]+. Chiral HPLC (System: Agilent 1200, DAD 280 nm Column: Chiralpak IC 5 μηι 100x4.6 mm, Solvent: acetonitrile + 0.1 % diethylamine /ethanol 90:10 (v/v)): Rt = 12.6 min, 93% enantiomeric excess.
Optical rotation (Method 5): [a] = + 359.8 ° (c = 1.00, DMSO). Example 4 N-[4-(1 ,4-dimethyl-6-oxo-1 ,4,5,6-tetrahydropyridazin-3-yl)phenyl]-1 ,3-dihydro-2H-pyrrolo[3,4- c]pyridine-2-carboxamide
A solution of 108 mg of Intermediate 4 (0.50 mmol, 1.00 eq) in THF (18 mL) was treated with 154 mg Ν,Ν'-disuccinimidyl carbonate (0.60 mmol, 1.20 eq) and 73.3 mg of 4- dimethylaminopyrindine. The reaction mixture was stirred at room temperature over night. A suspension of 1 16 mg 2,3-dihydro-1 H-pyrrolo[3,4-c]pyridine dihydrochloride (0.6 mmol, 1.20 eq) and 251 μΙ_ of triethylamine (1.80 mmol, 3.60 eq) was added. The reaction mixture was stirred at room temperature and additionally 250 μΙ_ triethylamine were added. After stirring for 3 days the precipitate was filtered off and discarded. The filtrate was taken to dryness. The remaining residue was purified by preparative reverse phase HPLC to provide 150 mg of the desired product Example 4 (83%). H-NMR (400MHz, DMSO-d6): δ [ppm] = 1 .07 (d, 3H), 2.30 (dd, 1 H), 2.65 - 2.75 (m, 1 H), 3.32 (s, 3H), 4.83 (d, 4H), 7.41 - 7.46 (m, 1 H), 7.64 - 7.69 (m, 2H), 7.71 - 7.76 (m, 2H), 8.14 (s, 1 H), 8.50 (d, 1 H), 8.62 (d, 2H). One proton under the water protons.
LC-MS (Method 2): Rt = 0.62 min; MS (ESIpos): m/z = 364 [M+H]+. Example 5
N-{4-[(4S)-1 ,4-dimethyl-6-oxo-1 ,4,5,6-tetrahydropyridazin-3-yl]phenyl}-1 ,3-dihydro-2H- pyrrolo[3,4-c]pyridine-2-carboxamide

A solution of 500 mg of Intermediate 6 (2.30 mmol, 1.00 eq) in THF (60 mL) was treated with 707 mg of Ν,Ν'-disuccinimidyl carbonate (2.76 mmol, 1.20 eq) and 338 mg of 4- dimethylaminopyridine (2.76 mmol, 1.20 eq). The mixture was stirred for 3 days at room temperature. A suspension of 533 mg 2,3-dihydro-1 H-pyrrolo[3,4-c] pyrimidine dihydrochloride (2.76 mmol, 1.20 eq) and 1.16 mL of triethylamine (8.29 mmol, 3.60 eq) in DMF (3 mL) was added. Additionally 5 mL of DMF were added to the mixture and it was stirred again over night at room temperature. The precipitate was filtered off and discarded. The filtrate was poured into water. The resulting suspension was stirred over night, the precipitate collected by filtration, washed with water and dried to provide the desired product Example 5 (732 mg, 83%). H-NMR (400MHz, DMSO-d6): δ [ppm] = 1.07 (d, 3H), 2.30 (dd, 1 H), 2.70 (dd, 1 H), 3.35 - 3.45 (m, 1 H), 4.82 (d, 4H), 7.44 (d, 1 H), 7.63 - 7.70 (m, 2H), 7.71 - 7.76 (m, 2H), 8.50 (d, 1 H), 8.62 (d, 1 H). The methyl group is under the water protons.
LC-MS (Method 2): Rt = 0.60 min; MS (ESIpos): m/z = 364 [M+H]+.
Optical rotation (Method 5): [a] = + 357.5° (c = 1.00, DMSO). Example 6
N-{4-[(4R)-1 ,4-dimethyl-6-oxo-1 ,4,5,6-tetrahydropyridazin-3-yl]phenyl}-1 ,3-dihydro-2H- pyrrolo[3,4-c]pyridine-2-carboxamide
Example 6 was prepared as described in analogy to Example 5 starting from 500 mg of Intermediate 5. 798 mg of the desired product (91 %) were obtained. H-NMR (400MHz, DMSO-d6): δ [ppm] = 1.07 (d, 3H), 2.30 (dd, 1 H), 2.70 (dd, 1 H), 3.34 - 3.44 (m, 1 H), 4.82 (d, 4H), 7.44 (d, 1 H), 7.64 - 7.69 (m, 1 H), 7.71 - 7.77 (m, 2H), 8.50 (d, 1 H), 8.62 (d, 1 H). One methyl signal is under water protons. LC-MS (Method 2): Rt = 0.60 min; MS (ESIpos): m/z = 364 [M+H]+. Optical rotation (Method 5): [a] = - 373.9 ° (c = 1.00, DMSO). Example 7
N-[4-(1-cyclopentyl-4-methyl-6-oxo-1 ,4,5,6-tetrahydropyridazin-3-yl)phenyl]-1 ,3-dihydro-2H- pyrrolo[3,4-c]pyridine-2-carboxamide
To a solution of Intermediate 9, 60 mg (0.22 mmol), and 4-dimethylaminopyridine, 32 mg (0.26 mmol), in tetrahydrofuran, 25 ml_, was added Ν,Ν'-disuccinimidyl carbonate, 67.9 mg, (0.26 mmol). The reaction was stirred for 1 hour then triethylamine, 0.092 ml. (0.66 mmol), and 2,3- dihydro-1 H-pyrrolo[3,4-c]pyridine hydrochloride (6000-50-6), 41.3 mg (0.26 mmol), was added and the reaction was left to stir at room temperature for 18 hours. Water was added and the mixture was extracted with dichloromethane. The combined organics were dried over solid sodium sulfate and concentrated under vacuum. Purification by flash chromatography on silica gel 60 (eluent: ethyl acetate-heptane 0:1 , 1 :1 , 1 :0 and methanol-ethyl acetate 1 :9) gave the desired product, 62.8 mg (68%). H NMR (300 MHz, CDCI3): δ [ppm] = 1.16 (d, 3H), 1.57-2.00 (m, 8H), 2.46 (d, 1 H), 2.64 (dd, 1 H), 3.27 (m, 1 H), 4.90 (d, 4H), 5.21 (m, 1 H), 6.40 (s, 1 H), 7.30 (d, 1 H), 7.52 (d, 2H), 7.76 (d, 2H), 8.58 (d, 1 H), 8.63 (s, 1 H).
UPLC-MS (Method 4): Rt = 1.93 min., 100%. MS (ESIpos): m/z [M+H]+ 418. Example 8
N-[4-(1-cyclopentyl-4-methyl-6-oxo-1 ,4,5,6-tetrahydropyridazin-3-yl)phenyl]-5,7-dihydro-6H- pyrrolo[3,4-b]pyridine-6-carboxamide
To a solution of Intermediate 9, 60 mg (0.22 mmol), and 4-dimethylaminopyridine, 32 mg (0.26 mmol), in tetrahydrofuran, 25 ml_, was added Ν,Ν'-disuccinimidyl carbonate, 67.9 mg (0.26 mmol). The reaction was stirred for 1 hour then triethylamine, 0.123 ml. (0.88 mmol), and 6,7- dihydro-5H-pyrrolo[3,4-b]pyridine dihydrochloride (147739-88-6), 50.9 mg (0.26 mmol), was added and the reaction was left to stir at room temperature for 18 hours. Water was added and the mixture was extracted with dichloromethane. The combined organics were dried over solid sodium sulfate and concentrated under vacuum. Purification by flash chromatography on silica gel 60 (eluent: ethyl acetate-heptane 0:1 , 1 :1 , 1 :0 and methanol-ethyl acetate 1 :9) gave the desired product, 76.9 mg (81 %). H NMR (300 MHz, CDCI3): δ [ppm] = 1.16 (d, 3H), 1.57-1.95 (m, 8H), 2.46 (d, 1 H), 2.65 (dd, 1 H), 3.27 (m, 1 H), 4.89 (d, 4H), 5.23 (m, 1 H), 6.42 (s, 1 H), 7.25 (t, 1 H), 7.53 (d, 2H), 7.65 (d, 1 H), 7.75 (d, 2H), 8.54 (d, 1 H).
UPLC-MS (Method 4): Rt = 2.00 min., 98%. MS (ESIpos): m/z (M+H)+ 418. Example 9
N-[4-(1-ethyl-4-methyl-6-oxo-1 ,4,5,6-tetrahydropyridazin-3-yl)phenyl]-1 ,3-dihydro-2H-pyrrolo[3,4- c]pyridine-2-carboxamide
To a solution of Intermediate 8, 60 mg (0.26 mmol), and 4-dimethylaminopyridine, 38 mg (0.31 mmol), in tetrahydrofuran, 25 ml_, was added Ν,Ν'-disuccinimidyl carbonate, 79 mg (0.31 mmol). The reaction was stirred for 1 hour then triethylamine, 0.108 ml. (0.78 mmol), and 2,3-dihydro- 1 H-pyrrolo[3,4-c]pyridine hydrochloride (6000-50-6), 48.6 mg (0.31 mmol), was added and the reaction was left to stir at room temperature overnight. Water was added and the mixture was extracted with dichloromethane. The combined organics were dried over solid sodium sulfate and concentrated under vacuum. Purification by flash chromatography on silica gel 60 (eluent: heptane-ethyl acetate 1 :0, 1 : 1 , 0:1 and methanol-ethyl acetate 1 :9) gave the desired product, 58 mg (58%). H NMR (300 MHz, CDCI
3): δ [ppm] = 1.20 (d, 3H), 1.27 (t, 3H), 2.44 (d, 1 H), 2.66 (dd, 1 H), 3.29 (q, 1 H), 3.80-4.02 (m, 2H), 4.90 (d, 4H), 6.41 (s, 1 H), 7.31 (d, 1 H), 7.53 (d, 2H), 7.76 (d, 2H), 8.58 (d, 1 H), 8.63 (s, 1 H).
UPLC-MS (Method 4): Rt = 1.53 min., 100%. MS (ESIpos): m/z [M+H]+ 378.
Example 10 N-[4-(1-ethyl-4-methyl-6-oxo-1 ,4,5,6-tetrahydropyridazin-3-yl)phenyl]-5,7-dihydro-6H-pyrrolo[3,4- b]pyridine-6-carboxamide
To a solution of Intermediate 8, 60 mg (0.26 mmol), and 4-dimethylaminopyridine, 38 mg (0.31 mmol), in tetrahydrofuran, 25 ml_, was added Ν,Ν'-disuccinimidyl carbonate, 79 mg (0.31 mmol). The reaction was stirred for 1 hour then triethylamine, 0.15 mL (1.04 mmol), and 6,7-dihydro-5H- pyrrolo[3,4-b]pyridine dihydrochloride (147739-88-6), 59.7 mg (0.31 mmol), was added and the reaction was left to stir at room temperature for 18 hours. Water was added and the mixture was extracted with dichloromethane. The combined organics were dried over solid sodium sulfate and concentrated under vacuum. Purification by flash chromatography on silica gel 60 (eluent: heptane-ethyl acetate 1 :0, 1 :1 , 0:1 and methanol-ethyl acetate 1 :9) gave the desired product, 84.5 mg (85%). H NMR (300 MHz, CDCI3): δ [ppm] = 1.19 (d, 3H), 1.27 (t, 3H), 2.45 (d, 1 H), 2.66 (dd, 1 H), 3.27-3.31 (m, 1 H), 3.80-4.02 (m, 2H), 4.88 (d, 4H), 6.42 (s, 1 H), 7.25 (t, 1 H), 7.4 (d, 2H), 7.75 (d, 1 H), 7.76 (d, 2H), 8.54 (dd, 1 H).
UPLC-MS (Method 4): Rt 1 .60 min., (99%) MS (ESIpos): m/z [M+H]+ 378.
Example 11
N-{4-[4-methyl-6-oxo-1 -(2,2,2-trifluoroethyl)-1 ,4,5,6-tetrahydropyridazin-3-yl]phenyl}-1 ,3-dihydro- 2H-pyrrolo[3,4-c]pyridine-2-carboxamide
A solution of 100 mg of Intermediate 11 (0.35 mmol, 1.00 eq) in DMF (10 mL) was treated with 108 mg of Ν,Ν'-disuccinimidyl carbonate (0.42 mmol, 1.20 eq) and 51.4 mg of 4- dimethylaminopyridine (0.42 mmol, 1.20 eq) and was left over night at room temperature. A suspension of 81.2 mg of 2,3-dihydro-1 H-pyrrolo[3,4-c]pyridine dihydrochloride (0.42 mmol, 1.20 eq) and 667 μΙ_ of triethylamine (4.78 mmol, 3.60 eq) in DMF (5 mL) was added. The reaction mixture was left for 3 days at room temperature. The mixture was poured into water. The aqueous phase was three times extracted with ethyl acetate. The combined organic layers were washed with brine, dried over Na2S04 and the solved was removed under reduced pressure. The residue was purified by preparative reverse phase HPLC to yield the desired product Example 11 (30 mg, 20%). H-NMR (400MHz, DMSO-d6): δ [ppm] = 1 .09 (d, 3H), 2.40 - 2.47 (m, 1 H), 2.79 - 2.87 (m, 1 H), 3.42 - 3.54 (m, 1 H), 4.26 - 4.38 (m, 1 H), 4.37 - 4.37 (m, 1 H), 4.80 - 4.83 (m, 4H), 7.41 - 7.47 (m, 1 H), 7.65 - 7.72 (m, 2H), 7.72 - 7.79 (m, 2H), 8.50 (d, 1 H), 8.61 (s, 1 H), 8.66 (s, 1 H). UPLC-MS (Method 2): Rt = 0.81 min; MS (ESIpos): m/z [M+H]+ 432. Example 12
N-{4-[4-methyl-6-oxo-1 -(2,2,2-trifluo^
2H-pyrrolo[3,4-c]pyridine-2 -carboxamide Enantiomer A (N-{4-[(4S)-4-methyl-6-oxo-1 -(2,2,2- trifluoroethyl)-1 ,4,5,6-tetrahydropyridazin-3-yl]phenyl}-1 ,3-dihydro-2H-pyrrolo[3,4-c]pyri carboxamide or N-{4-[(4R)-4-methyl-6-oxo-1-(2,2,2-trifluoroethyl)-1 ,4,5,6-tetrahydropyridazin-3- yl]phenyl}-1 ,3-dihydro-2H-pyrrolo[3,4-c]pyridine-2 -carboxamide)
Example 12 was prepared as described in analogy to Example 11 starting from 60.0 mg of Intermediate 12 (0.21 mmol, 1.00 eq) to obtain 15.0 mg of the desired product (17%). H-NMR (400MHz, DMSO-d6): δ [ppm] = 1.09 (d, 3H), 2.39 - 2.47 (m, 1 H), 2.83 (dd, 1 H), 3.43 - 3.54 (m, 1 H), 4.32 (dq, 1 H), 4.77 - 4.91 (m, 5H), 7.44 (br. s., 1 H), 7.64 - 7.71 (m, 2H), 7.73 - 7.79 (m, 2H), 8.51 (br. s., 1 H), 8.61 (s, 1 H), 8.66 (s, 1 H).
UPLC-MS (Method 2): Rt = 0.80 min; MS (ESIpos): m/z [M+H]+ 432. Example 13
N-{4-[4-methyl-6-oxo-1 -(2,2,2-trifluoroethyl)-1 ,4,5,6-tetrahydropyridazin-3-yl]ph
2H-pyrrolo[3,4-c]pyridine-2 -carboxamide Enantiomer B (N-{4-[(4R)-4-methyl-6-oxo-1 -(2,2,2- trifluoroethyl)-1 ,4,5,6-tetrahydropyridazin-3-yl]phenyl}-1 ,3-dihydro-2H-pyrrolo[3,4-c]pyri carboxamide or N-{4-[(4S)-4-methyl-6-oxo-1 -(2,2,2-trifluoroethyl)-1 ,4,5,6-tetrahydropyridazin-3- yl]phenyl}-1 ,3-dihydro-2H-pyrrolo[3,4-c]pyridine-2 -carboxamide)
Example 13 was prepared as described in analogy to Example 11 starting from 100 mg of Intermediate 13 (0.35 mmol, 1.00 eq) to obtain 33.0 mg of the desired product (21 %). H-NMR (400MHz, DMSO-d6): δ [ppm] = 1.09 (d, 3H), 2.44 (dd, 1 H), 2.83 (dd, 1 H), 3.41 - 3.53 (m, 1 H), 4.32 (dq, 1 H), 4.77 - 4.92 (m, 5H), 7.44 (d, 1 H), 7.66 - 7.71 (m, 2H), 7.72 - 7.78 (m, 2H), 8.50 (d, 1 H), 8.61 (s, 1 H), 8.66 (s, 1 H).
UPLC-MS (Method 2): Rt = 0.82 min; MS (ESIpos): m/z [M+H]+ 432.
Example 14
N-{4-[4-methyl-6-oxo-1 -(2,2,2-trifluoroethyl)-1 ,4,5,6-tetrahydropyridazin-3-yl]phenyl}-5,7-dihydro- 6H-pyrrolo[3,4-b]pyridine-6-carboxamide
Example 14 was prepared as described in analogy to Example 11 starting from 150 mg of Intermediate 11 (0.53 mmol, 1.00 eq) and 162 mg of 6,7-dihydro-5H-pyrrolo[3,4-b]pyridine dihydrochloride yielding 140 mg of the desired product (62%). H-NMR (400MHz, DMSO-d6): δ [ppm] = 1.08 (d, 3H), 2.44 (dd, 1 H), 2.83 (dd, 1 H), 3.45 - 3.52 (m, 1 H), 4.32 (dq, 1 H), 4.73 - 4.92 (m, 5H), 7.35 (dd, 1 H), 7.67 - 7.73 (m, 2H), 7.73 - 7.78 (m, 2H), 7.82 (d, 1 H), 8.45 - 8.52 (m, 1 H), 8.66 (s, 1 H).
UPLC-MS (Method 2): Rt= 1.00 min; MS (ESIpos): m/z [M+H]+ 432.
Example 15
N-{4-[4-methyl-6-oxo-1 -(2,2,2-trifluoroethyl)-1 ,4,5,6-tetrahydropyridazin-3-yl]phenyl}-5,7-dihydro- 6H-pyrrolo[3,4-b]pyridine-6-carboxamide Enantiomer A (N-{4-[(4S)-4-methyl-6-oxo-1-(2,2,2- trifluoroethyl)-1 ,4,5,6-tetrahydropyridazin-3-yl]phenyl}-5,7-dihydro-6H-pyrrolo[3,4-b]pyridine-6- carboxamide or N-{4-[(4R)-4-methyl-6-oxo-1 -(2,2,2-trifluoroethyl)-1 ,4,5,6-tetrahydropyridazin-3- yl]phenyl}-5,7-dihydro-6H-pyrrolo[3,4-b]pyridine-6-carboxamide)
Or
Example 15 was prepared as described in analogy to Example 14 starting from 60 mg of Intermediate 12 yielding 28 mg of the desired product (29%). H-NMR (400MHz, DMSO-d6): δ [ppm] = 1.09 (d, 3H), 2.44 (d, 2H), 2.83 (dd, 1 H), 3.48 (quin, 1 H), 4.27 - 4.38 (m, 1 H), 4.76 - 4.91 (m, 5H), 7.33 (dd, 1 H), 7.67 - 7.77 (m, 4H), 7.81 (d, 1 H), 8.48 (d, 1 H), 8.64 (s, 1 H).
UPLC-MS (Method 2): Rt= 1.00 min; MS (ESIpos): m/z [M+H]+ 432.
Example 16
N-{4-[4-methyl-6-oxo-1 -(2,2,2-trifluoroethyl)-1 ,4,5,6-tetrahydropyridazin-3-yl]phenyl}-5,7-dihydro- 6H-pyrrolo[3,4-b]pyridine-6-carboxamide Enantiomer B (N-{4-[(4R)-4-methyl-6-oxo-1 -(2,2,2- trifluoroethyl)-1 ,4,5,6-tetrahydrop^
carboxamide or N-{4-[(4S)-4-methyl-6-oxo-1 -(2,2,2-trifluoroethyl)-1 ,4,5,6-tetrahydropyridazin-3- yl]phenyl}-5,7-dihydro-6H-pyrrolo[3,4-b]pyridine-6-carboxamide)
Example 16 was prepared as described in analogy to Example 14 starting from 60 mg of Intermediate 13 yielding 30 mg of the desired product (31 %). H-NMR (400MHz, DMSO-d6): δ [ppm] = 1.09 (d, 3H), 2.44 (dd, 1 H), 2.83 (dd, 1 H), 3.48 (quin, 1 H), 4.32 (dq, 1 H), 4.76 - 4.91 (m, 5H), 7.33 (dd, 1 H), 7.67 - 7.73 (m, 2H), 7.74 - 7.78 (m, 2H), 7.81 (dd, 1 H), 8.48 (dd, 1 H), 8.64 (s, 1 H).
UPLC-MS (Method 2): Rt= 1.00 min; MS (ESIpos): m/z [M+H]+ 432.
Example 17 N-[4-(1-cyclopropyl-4-methyl-6-oxo-1 ,4,5,6-tetrahydropyridazin-3-yl)phenyl]-1 ,3-dih pyrrolo[3,4-c]pyridine-2-carboxamide
To a solution of Intermediate 10, 70 mg (0.29 mmol), and 4-dimethylaminopyridine, 42 mg (0.34 mmol), in tetrahydrofuran, 30 mL, was added Ν,Ν'-disuccinimidyl carbonate, 88 mg (0.34 mmol). After 2 hours at room temperature, 2,3-dihydro-1 H-pyrrolo[3,4-C]pyridine hydrochloride (6000- 50-6), 67 mg (0.34 mmol), and triethylamine, 0.12 mL (0.87 mmol), were added and the reaction was left to stir for a further 16 hours. Water was added and the mixture was extracted with dichloromethane. The combined organics were dried over solid sodium sulphate and concentrated under vacuum. Purification by flash chromatography on silica gel 60 (eluent: dichloromethane-methanol 1 :0, 9: 1 ) gave the desired product, 56 mg (50%). H NMR (300 MHz, CDCI3): δ [ppm] = 0.70-0.90 (m, 3H), 0.90-1 .15 (m, 1 H), 1.13 (d, 3H), 2.52 (d, 1 H), 2.65 (dd, 1 H), 3.26 (m, 1 H), 3.58 (m, 1 H), 4.89 (d, 4H), 6.40 (s, 1 H), 7.28 (m, 1 H), 7.52 (d, 2H), 7.75 (d, 2H), 8.58 (d, 1 H), 8.64 (s, 1 H).
UPLC-MS (Method 3): R = 0.59 min., 97%. MS (ESIpos): m/z [M+H]+ 390. Example 18
N-[4-(1-cyclopropyl-4-methyl-6-oxo-1 ,4,5,6-tetrahydropyridazin-3-yl)phenyl]-5,7-dihydro-6H- pyrrolo[3,4-b]pyridine-6-carboxamide
To a solution of Intermediate 10, 60 mg (0.2 mmol), and 4-dimethylaminopyridine, 29 mg (0.24 mmol), in tetrahydrofuran, 25 ml_, was added Ν,Ν'-disuccinimidyl carbonate, 62 mg (0.24 mmol). The reaction was stirred for 1 hour then triethylamine, 0.1 1 ml. (0.80 mmol), and 6,7-dihydro-5H- pyrrolo[3,4-b]pyridine dihydrochloride (147739-88-6), 62 mg (0.24 mmol), were added and the reaction stirred at room temperature for 18 hours. Water was added and the mixture was extracted with dichloromethane. The combined organics were dried over solid sodium sulfate and concentrated. Purification by reverse phase chromatography (BIOTAGE SP4, 30 g Biotage cartridge, eluent: acetonitrile-water containing 10 mM ammonium bicarbonate pH 10 buffer 3:97 to 100:0) and flash chromatography on silica gel 60 (eluent: dichloromethane-methanol 1 :0, 9: 1 ) gave the desired product, 22 mg (28%). H NMR (300 MHz, CDCI3): δ [ppm] = 0.70-0.90 (m, 3H), 0.90-1 .15 (m, 1 H), 1.13 (s, 3H), 2.48 (dd, 1 H), 2.66 (dd, 1 H), 3.24 (m, 1 H), 3.56 (m, 1 H), 4.87 (d, 2H), 6.50 (s, 1 H), 7.28 (m, 1 H), 7.52 (d, 2H), 7.45 (d, 1 H), 7.70 (d, 2H), 8.53 (s, 1 H). UPLC-MS (Method 3): Rt = 0.61 min., 100%. MS (ESIpos): m/z [M+H]+ 390.
Example 19
N-[4-(1-methyl-6-oxo-1 ,4,5,6-tetrahydropyridazin-3-yl)phenyl]-1 ,3-dihydro-2H-pyrrolo[3,4- c]pyridine-2-carboxamide
A solution of 406 mg 6-(4-aminophenyl)-2-methyl-4,5-dihydropyridazin-3(2H)-one (prepared as described by S. Demirayak et al. in Eur. J. Med. Chem. 2004, 39, 1089-1095, 2.00 mmol, 1.00 eq) in THF (74 ml)was treated with 615 mg of Ν,Ν'-disuccinimidyl carbonate (2.40 mmol, 1.20 eq) and 293 mg of 4-diemthylaminopyridine (2.40 mmol, 1.20 eq). The mixture was left over night at room temperature. A suspension of 463 mg of 2,3-dihydro-1 H-pyrrolo[3,4-C]pyridine hydrochloride (2.40 mmol, 1.20 eq) and 1.00 ml of triethylamine (7.20 mmol, 3.60 eq) in DMF (2 mL) was added. The resulting mixture was diluted with DMF (8 mL) and stirred for 3 days at room temperature. The precipitate was collected by filtration and triturated several times with water. After drying 422 mg of the desired product Example 19 (1.21 mmol, 60%) were obtained. H-NMR (400MHz, DMSO-d6): δ [ppm] = 2.45 - 2.49 (m, 2H), 2.92 - 2.98 (m, 2H), 3.30 (s, 3H), 4.82 (d, 4H), 7.44 (d, 1 H), 7.64 - 7.68 (m, 2H), 7.69 - 7.73 (m, 1 H), 8.50 (d, 1 H), 8.62 (d, 2H).
UPLC-MS (Method 1 ): Rt = 0.57 min; MS (ESIpos): m/z [M+H]+ 350.
Example 20 N-[4-(1-methyl-6-oxo-1 ,4,5,6-tetrahydropyridazin-3-yl)phenyl]-5,7-dihydro-6H-pyrrolo[3,4- b]pyridine-6-carboxamide

A solution of 406 mg 6-(4-aminophenyl)-2-methyl-4,5-dihydropyridazin-3(2H)-one (prepared as described by S. Demirayak et al. in Eur. J. Med. Chem. 2004, 39, 1089-1095, 2.00 mmol, 1.00 eq) in THF (74 ml)was treated with 615 mg of Ν,Ν'-disuccinimidyl carbonate (2.40 mmol, 1.20 eq) and 293 mg of 4-diemthylaminopyridine (2.40 mmol, 1.20 eq). The mixture was left over night at room temperature. A suspension of 463 mg of 6,7-dihydro-5H-pyrrolo[3,4-b]pyridine hydrochloride (2.40 mmol, 1.20 eq) and 1.00 ml of triethylamine (7.20 mmol, 3.60 eq) in DMF (2 mL) was added. The resulting mixture was diluted with DMF (8 mL) and stirred over night at room temperature. The precipitate was removed by filtration and discarded. The filtrate was evaporated and the remaining residue was purified by preparative HPLC to yield 140 mg of the desired product Example 20 (0.40 mmol, 20%). H-NMR (400MHz, DMSO-d6): δ [ppm] = 2.44 - 2.49 (m, 2H), 2.95 (t, 2H), 4.79 (d, 4H), 7.33 (dd, 1 H), 7.64 - 7.74 (m, 4H), 7.81 (d, 1 H), 8.48 (d, 1 H), 8.60 (s, 1 H). One methyl group under the protons of water.
UPLC-MS (Method 2): Rt = 0.76 min; MS (ESIpos): m/z [M+H]+ 350. Example 21
N-{4-[4-methyl-6-oxo-1 -(tetrahydro-2H-pyran-4-yl)-1 ,4,5,6-tetrahydropyridazin-3-yl]phenyl}-1 ,3- dihydro-2H-pyrrolo[3,4-c]pyridine-2-carboxamide
A solution of 177 mg of Intermediate 14 (0.31 mmol, 50% purity 1.00 eq) in DMF (19 mL) was treated with 94.7 mg of Ν,Ν'-disuccinimidyl carbonate (0.37 mmol, 1.20 eq) and 45.2 mg, of 4- dimethylaminopyridine (0.37 mmol, 1 .20 eq). The mixture was left over night at room temperature. A suspension of 71.4 mg of 2,3-dihydro-1 H-pyrrolo[3,4-c]pyridine dihydrochloride (0.37 mmol, 1.20 eq) and 155 μί of triethylamine (1 .1 1 mmol, 3.60 eq) on DMF (3 mL) was added. The reaction mixture was stirred 3 days at room temperature. The mixture was poured into water and extracted three times with ethyl acetate. The combined organic layers were washed with brine and dried over Na2SC>4. The aqueous and the organic phase were evaporated under reduced pressure. Both residues were purified by preparative HPLC to yield in total 15.0 mg of the desired product Example 21 (0.03 mmol, 11 %). H-NMR (400MHz, DMSO-d6): δ [ppm]= 1.05 (d, 3H), 1 .49 - 1.61 (m, 2H), 1.80 - 1.93 (m, 1 H), 2.02 - 2.16 (m, 1 H), 2.29 - 2.37 (m, 1 H), 2.68 - 2.76 (m, 1 H), 3.88 - 3.99 (m, 2H), 4.70 - 4.80 (m, 1 H), 4.91 (d, 4H), 7.64 - 7.71 (m, 3H), 7.74 - 7.79 (m, 2H), 8.64 (d, 1 H), 8.72 (s, 1 H), 8.76 (s, 1 H). Three protons are not visible. UPLC-MS (Method 2): Rt = 0.71 min; MS (ESIpos): m/z [M+H]+ 434.
Example 22
N-{4-[4-methyl-6-oxo-1 -(tetrahydro-2H-pyran-4-yl)-1 ,4,5,6-tetrahydropyridazin-3-yl]phenyl}-5,7- dihydro-6H-pyrrolo[3,4-b]pyridine-6-carboxamide

A solution of 1 10 mg of Intermediate 14 (0.38 mmol, 1.00 eq) in DMF (10 mL) was treated with 1 18 mg of Ν,Ν'-disuccinimidyl carbonate (0.46 mmol, 1.20 eq) and 56.1 mg of 4- dimethylaminopyridine (0.46 mmol, 1 .20 eq). The mixture was left over night at room temperature. A suspension of 88.7 mg of 6,7-dihydro-5H-pyrrolo[3,4-b]pyridine dihydrochloride (0.46 mmol, 1.20 eq) and 192 μΙ_ of triethylamine (1 .38 mmol, 3.60 eq) on DMF (3 mL) was added. The reaction mixture was stirred 3 days at room temperature. The mixture was poured into water and the aqueous phase was diluted with ethyl acetate. Insoluble material was collected by filtration and triturated with DMSO to yield 8.00 mg of the desired product Example 22(0.02 mmol, 4%). H-NMR (400MHz, DMSO-d6): δ [ppm] = 1.00 - 1.09 (m, 3H), 1.47 - 1.61 (m, 2H), 1.80 - 1 .93 (m, 1 H), 2.03 - 2.15 (m, 1 H), 2.27 - 2.36 (m, 1 H), 2.64 - 2.74 (m, 1 H), 3.32 - 3.47 (m, 3H), 3.88 - 3.98 (m, 2H), 4.69 - 4.76 (m, 1 H), 4.77 - 4.82 (m, 4H), 7.27 - 7.35 (m, 1 H), 7.64 - 7.70 (m, 2H), 7.74 - 7.82 (m, 3H), 8.42 - 8.49 (m, 1 H), 8.57 - 8.62 (m, 1 H). UPLC-MS (Method 2): R
t = 0.88 min; MS (ESIpos): m/z [M+H]
+ 434.
Example 23
N-{4-[1-(2-hydroxyethyl)-4-methyl-6-oxo-1 ,4,5,6-tetrahydropyridazin-3-yl]phenyl}-5,7-dihydro-6H- pyrrolo[3,4-b]pyridine-6-carboxamide

A solution of 160 mg of Intermediate 15 (0.65 mmol, 1.00 eq) in THF (20 mL) was treated with 199 mg of Ν,Ν'-disuccinimidyl carbonate (0.78 mmol, 1.20 eq) and 94.9 mg of 4- dimethylaminopyridine (0.78 mmol, 1.20 eq). The mixture was stirred over night at room temperature. A suspension of 150 mg 6,7-dihydro-5H-pyrrolo[3,4-b]pyridine dihydrochloride (0.78 mmol, 1.20 eq) and 4.00 mL of triethylamine (2.33 mmol, 3.60 eq) in DMF (4 mL) was added. The resulting suspension was stirred over night. The THF was removed under reduced pressure. The remaining suspension was poured into water. The remaining slurry was taken to dryness, the residue was purified by preparative reverse phase HPLC to yield 58.0 mg of the desired product Example 23 (0.15 mmol, 23%). H-NMR (400MHz, DMSO-d6): δ [ppm] = 1 .08 (d, 3H), 2.26 - 2.33 (m, 1 H), 2.65 - 2.75 (m, 1 H), 3.35 - 3.42 (m, 1 H), 3.57 - 3.63 (m, 2H), 3.65 - 3.74 (m, 1 H), 3.93 (dt, 1 H), 4.65 - 4.70 (m, 1 H), 4.80 (d, 4H), 7.33 (dd, 1 H), 7.67 - 7.71 (m, 2H), 7.72 - 7.76 (m, 2H), 7.81 (dd, 1 H), 8.48 (dd, 1 H), 8.62 (s, 1 H).
UPLC-MS (Method 2): Rt = 0.73 min; MS (ESIpos): m/z [M+H]+ 394. Example 24
N-[4-(4-ethyl-1-methyl-6-oxo-1 ,4,5,6-tetrahydropyridazin-3-yl)phenyl]-1 ,3-dihydro-2H-pyrrolo[3,4- c]pyridine-2-carboxamide
Example 24 was prepared as described in analogy to Example 21 starting from 60 mg of Intermediate 19 yielding 51 mg of the desired product (31 %). H-NMR (400MHz, DMSO-d6): δ [ppm] = 0.86 (t, 3H), 1.31 - 1.56 (m, 2H), 2.44 (dd, 1 H), 2.61 - 2.71 (m, 1 H), 3.22 - 3.29 (m, 1 H), 4.82 (d, 4H), 7.44 (d, 1 H), 7.62 - 7.69 (m, 2H), 7.71 - 7.78 (m, 2H), 8.50 (d, 1 H), 8.62 (d, 2H).
UPLC-MS (Method 1 ): Rt = 0.67 min; MS (ESIpos): m/z [M+H]+ 378.
Example 25
N-[4-(4-ethyl-1-methyl-6-oxo-1 ,4,5,6-tetrahydropyridazin-3-yl)phenyl]-5,7-dihydro-6H-pyrrolo[3,4- b]pyridine-6-carboxamide

A solution of 100 mg of Intermediate 19 (0.43 mmol, 1.00 eq) in DMF (6 mL) was treated with 133 mg of Ν,Ν'-disuccinimidyl carbonate (0.52 mmol, 1.20 eq) and 63.4 mg of 4- dimethylaminopyridine (0.52 mmol, 1.20 eq). The mixt stirred over night at room temperature. A suspension of 100 mg 6,7-dihydro-5H-pyrrolo[3,4-b] pyridine dihydrochloride (0.52 mmol, 1 .20 eq) and 217 μΙ_ of triethylamine in DMF (3ml_) was added and the reaction mixture was stirred 3 days at room temperature. The mixture was poured into water and extracted three tomes with ethyl acetate. The combined organic layers were washed with brine, dried over Na2S04 and the solvent was removed under reduced pressure. The residue was purified by preparative reverse phase HPLC to obtain 35.0 mg of the desired product Example 25 (0.09 mmol, 21 %). H-NMR (400MHz, DMSO-d6): δ [ppm] = 0.86 (t, 3H), 1.32 - 1.56 (m, 2H), 2.44 (dd, 1 H), 2.67 (dd, 1 H), 3.22 - 3.28 (m, 1 H), 3.30 (s, 3H), 4.80 (d, 4H), 7.33 (dd, 1 H), 7.65 - 7.70 (m, 2H), 7.71 - 7.76 (m, 2H), 7.78 - 7.85 (m, 1 H), 8.48 (dd, 1 H), 8.60 (s, 1 H).
UPLC-MS (Method 1 ): Rt = 0.88 min; MS (ESIpos): m/z [M+H]+ 378.
Example 26 N-[4-(1 ,4-dimethyl-6-oxo-1 ,4,5,6-tetrahydropyridazin-3-yl)phenyl]-3,4-dihydro-2,6- naphthyridine-2(1 H)-carboxamide
A solution of 109 mg of Intermediate 4 (0.50 mmol, 1.00 eq) in THF (18 ml.) was treated with 154 mg of Ν,Ν'-disuccinimidyl carbonate (0.60 mmol, 1.20 eq) and 73.3 mg of 4- dimethylaminopyridine (0.60 mmol, 1.20 eq) and stirred over night at room temperature. A suspension of 80.5 mg of 1 ,2,3,4-tetrahydro-2,6-naphthyridine (0.60 mmol, 1.20 eq) and 251 μΙ_ of triethylamine (1.80 mmol, 3.60 eq) was added. The resulting suspension was again stirred at room temperature for 3 days. The solid was removed by filtration, the filtrate was taken to dryness and the residue was purified by preparative reverse phase HPLC to yield 38.0 mg of the desired product (20%). H-NMR (400MHz, DMSO-d6): δ [ppm] = 1.06 (d, 3H), 2.30 (dd, 1 H), 2.67 (s, 1 H), 2.87 (t, 2H), 3.31 (s, 3H), 3.36 - 3.38 (m, 1 H), 3.75 (t, 2H), 4.68 (s, 2H), 7.21 (d, 1 H), 7.58 (d, 2H), 7.72 (d, 2H), 8.35 (d, 1 H), 8.40 (s, 1 H), 8.87 (s, 1 H). UPLC-MS (Method 1 ): R
t = 0.62 min; MS (ESIpos): m/z [M+H]
+ 378. Example 27
N-[4-(1 ,4-dimethyl-6-oxo-1 ,4,5,6-tetrahydropyridazin-3-yl)phenyl]-5,8-dihydro ,7-naphthyridine- 7(6H)-carboxamide
Example 27 was prepared as described in analogy to Example 26 starting from 108 mg of Intermediate 4 and 102 mg of 5,6,7,8-tetrahydro-1 ,7-naphthyridineyielding to obtain 128 mg of the desired product (68%). H-NMR (400MHz, DMSO-d6): δ [ppm] = 1.06 (d, 3H), 2.30 (dd, 1 H), 2.70 (dd, 1 H), 2.88 (t, 2H), 3.31 (s, 3H), 3.34 - 3.43 (m, 1 H), 3.76 (t, 2H), 4.71 (s, 2H), 7.23 (dd, 1 H), 7.56 - 7.64 (m, 3H), 7.68 - 7.74 (m, 2H), 8.40 (dd, 1 H), 8.88 (s, 1 H).
UPLC-MS (Method 1 ): Rt = 0.75 min; MS (ESIpos): m/z [M+H]+ 378.
Example 28
N-[4-(1-isopropyl-4-methyl-6-oxo-1 ,4,5,6-tetrahydropyridazin-3-yl)phenyl]-5,7-dihydro-6H- pyrrolo[3,4-b]pyridine-6-carboxamide

A solution of 100 mg of Intermediate 22 (0.41 mmol, 1.00 eq) in DMF (12 mL) was treated with 125 mg of Ν,Ν'-disuccinimidyl carbonate (0.49 mmol, 1.20 eq) and 59.7 mg of 4- dimethylaminopyrdine (0.49 mmol, 1.20 eq). The mixture was stirred over night at room temperature. A solution of 94.4 mg of 6,7-dihydro-5H-pyrrolo[3,4-b]pyridine dihydrochloride (0.49 mmol, 1 .20 eq) and 1.70 mL of triethylamine (12.37 mmol, 30 eq) in DMF (2 mL) was added. The mixture was stirred over night. THF was removed from under reduced pressure. The remaining solution was poured into water. The solid was removed by filtration, the filtrate was taken to dryness and the residue was purified by preparative reverse phase HPLC to yield 52.7 mg of the desired product (33%). H-NMR (400MHz, DMSO-d6): δ [ppm] = 1.04 (d, 3H), 1.16 (d, 3H), 1.25 (d, 3H), 2.23 - 2.34 (m, 1 H), 2.68 (dd, 1 H), 3.34 - 3.44 (m, 1 H), 4.70 - 4.84 (m, 4H), 4.90 (quin, 1 H), 7.33 (dd, 1 H), 7.63 - 7.73 (m, 2H), 7.73 - 7.85 (m, 3H), 8.48 (dd, 1 H), 8.62 (s, 1 H).
UPLC-MS (Method 1 ): Rt = 0.97 min; MS (ESIpos): m/z [M+H]+ 392. Example 29
N-[4-(1-isopropyl-4-methyl-6-oxo-1 ,4,5,6-tetrahydropyridazin-3-yl)phenyl]-1 ,3-dihydro-2H- pyrrolo[3,4-c]pyridine-2-carboxamide
A solution of 100 mg of Intermediate 22 (0.41 mmol, 1.00 eq) in DMF (12 mL) was treated with 125 mg of Ν,Ν'-disuccinimidyl carbonate (0.49 mmol, 1.20 eq) and 59.7 mg of 4- dimethylaminopyrdine (0.49 mmol, 1.20 eq). The mixture was stirred over night at room temperature. A solution of 94.4 mg of 2,3-dihydro-1 H-pyrrolo[3,4-c]pyridine dihydrochloride (0.49 mmol, 1 .20 eq) and 1.70 mL of triethylamine (12.37 mmol, 30 eq) in DMF (2 mL) was added. The mixture was stirred over night. THF was removed from under reduced pressure. The remaining solution was poured into water. The solid was removed by filtration, the filtrate was taken to dryness and the residue was purified by preparative reverse phase HPLC to yield 40.3 mg of the desired product (25%). Ή-NMR (400MHz, DMSO-d6): δ [ppm] = 1.04 (d, 3H), 1.15 (d, 3H), 1.24 (d, 3H), 2.29 (dd, 1 H), 2.68 (dd, 1 H), 3.21 - 3.42 (m, 1 H), 4.83 (d, 4H), 4.90 (quin, 1 H), 7.44 (d, 1 H), 7.60 - 7.72 (m, 2H), 7.72 - 7.83 (m, 2H), 8.50 (d, 1 H), 8.62 (d, 2H).
UPLC-MS (Method 1 ): Rt = 0.78 min; MS (ESIpos): m/z [M+2H]+ 393.
Example 30 N-[4-(1-methyl-6-oxo^l-phenyl-1 ,4,5,6-tetrahydropyridazin-3-yl)phenyl]-5,7-dihydro-6H- pyrrolo[3,4-b]pyridine-6-carboxamide
To a solution of Intermediate 31 , 50 mg (0.18 mmol) and 4-dimethylaminopyridine, 42 mg (0.22 mmol) in tetrahydrofuran, 30 ml_, was added Ν,Ν'-disuccinimidyl carbonate, 55 mg (0.22 mmol) After 2h at room temperature, 6,7-dihydro-5H-pyrollo[3,4-b]pyridine dihydrochloride, 41 mg (147740-02-1 ,0.22 mmol) and triethylamine, 0.12 ml. (0.89 mmol) were added and the reaction was stirred for a further 16 hours. Water and dichloromethane were added and the layers were separated. The aqueous was further extracted with dichloromethane and the combined organics were dried over solid sodium sulphate, filtered and concentrated under vacuum. The crude compound was purified by reverse phase chromatography (BIOTAGE SP4, 30 g Biotage cartridge) using acetonitrile and water containing 10mM ammonium bicarbonate pH 10 buffer (3:97 to 100:0) to give Example 30, 35 mg (46%). H NMR (400 MHz, CDCI3): δ [ppm] = 2.81 (dd, 2H), 2.99 (dd, 1 H), 3.49 (s, 3H), 4.54 (d, 1 H), 4.86 (d, 4H), 6.38 (s, 1 H), 7.14 (d, 2H), 7.20-7.30 (m, 4H), 7.47 (d, 2H), 7.62 (d, 2H), 7.70 (d, 2H), 8.53 (d, 1 H).
UPLC (Method 3): Rt = 0.66., 99%. MS (ESIpos): m/z [M+H]+ 426. Example 31
N-[4-(1-methyl-6-oxo^l-phenyl-1 ,4,5,6-tetrahydropyridazin-3-yl)phenyl]-1 ,3-dihydro-2H- pyrrolo[3,4-c]pyridine-2-carboxamide
To a solution of Intermediate 31 , 50 mg (0.18 mmol) and 4-dimethylaminopyridine, 42 mg (0.22 mmol) in tetrahydrofuran, 30 mL, was added Ν,Ν'-disuccinimidyl carbonate, 55 mg (0.22 mmol) After 2h at room temperature, 2,3-dihydro-1 H-pyrollo[3,4-c]pyridine hydrochloride, 34 mg (6000- 50-6, 0.22 mmol) and triethylamine, 0.12 mL (0.89 mmol) were added and the reaction was stirred for a further 16 hours. Water and dichloromethane were added and the layers were separated. The aqueous was further extracted with dichloromethane and the combined organics were dried over solid sodium sulphate, filtered and concentrated under vacuum. The crude compound was purified by reverse phase chromatography (BIOTAGE SP4, 30 g Biotage cartridge) using acetonitrile and water containing ammonium bicarbonate pH 10 buffer (3:97 to 100:0) to give Example 31 , 15 mg (20%). H NMR (400 MHz, CDCI3): δ [ppm] = 2.79 (d, 1 H), 2.98 (dd, 1 H), 3.46 (s, 3H), 4.44 (d, 1 H), 4.87 (d, 4H), 6.38 (m, 1 H), 7.14 (d, 2H), 7.20-7.30 (m, 4H), 7.44 (d, 2H), 7.68 (d, 2H), 8.50-8.60 (m, 2H).
UPLC (Method 4): R = 1.73., 100%. MS (ESIpos): m/z [M+H]+ 426.
Example 32 N-(4-{1-[4-(difluoromethoxy)benzyl]-4-methyl-6-oxo-1 ,4,5,6-tetrahydropyridazin-3-yl}phenyl)-1 ,3- dihydro-2H-pyrrolo[3,4-c]pyridine-2-carboxamide
A solution of 200 mg of Intermediate 25 (0.56 mmol, 1.00 eq) in DMF (8 mL) was treated with 171 mg of Ν,Ν'-disuccinimidyl carbonate (0.67 mmol, 1.20 eq) and 82.0 mg of 4- dimethylaminopyrdine (0.67 mmol, 1.20 eq). The mixture was stirred for 3 days at room temperature. A suspension of 129 mg of 2,3-dihydro-1 H-pyrrolo[3,4-c]pyridine dihydrochloride (0.67 mmol, 1.20 eq) and 279 μΙ_ of triethylamine (2.00 mmol, 3.6 eq) in DMF (2 mL) was added. The mixture was stirred over night. The resulting suspension was filtered, the solid was removed and the filtrate was taken to dryness. The residue was purified by reverse phase preparative HPLC to yield 34.0 mg of the desired product (12%). H-NMR (400MHz, DMSO-d6): δ [ppm]= 1.04 (d, 3H), 2.30 - 2.40 (m, 1 H), 2.75 - 2.86 (m, 1 H), 3.38 - 3.48 (m, 1 H), 4.78 - 4.87 (m, 5H), 4.99 (s, 1 H), 7.00 - 7.22 (m, 3H), 7.34 - 7.40 (m, 2H), 7.44 (d, 1 H), 7.62 - 7.68 (m, 2H), 7.69 - 7.75 (m, 2H), 8.50 (d, 1 H), 8.63 (d, 2H). UPLC-MS (Method 2): Rt = 0.92 min; MS (ESIpos): m/z [M+H]+ 506.
Example 33
N-(4-{1-[2-(dimethylamino)ethyl]-4-methyl-6-oxo-1 ,4,5,6-tetrahydropyridazin-3-yl}phenyl)-5,7- dihydro-6H-pyrrolo[3,4-b]pyridine-6-carboxamide
A solution of 100 mg of Intermediate 24 (0.36 mmol, 1.00 eq) in DMF (11 mL) was treated with 1 12 mg of Ν,Ν'-disuccinimidyl carbonate (0.44 mmol, 1.20 eq) and 53.4 mg of 4- dimethylaminopyrdine (0.44 mmol, 1.20 eq). The mixture was stirred over night at room temperature. A solution of 84.4 mg of 6,7-dihydro-5H-pyrrolo[3,4-b]pyridine dihydrochloride (0.44 mmol, 1 .20 eq) and 3.05 mL of triethylamine (21.87 mmol, 30 eq) in DMF (2 mL) was added. The mixture was stirred over night. THF was removed from under reduced pressure. The remaining solution was poured into water. The solid was removed by filtration, the filtrate was taken to dryness and the residue was purified by preparative reverse phase HPLC to yield 55.0 mg of the desired product (35%).
Ή-NMR (400MHz, DMSO-d6): δ [ppm] = 1 .08 (d, 3H), 2.18 - 2.35 (m, 7H), 2.69 - 2.61 (m, 1 H), 2.71 (dd, 1 H), 3.38 (t, 1 H), 3.74 (dt, 1 H), 4.00 (dt, 2H), 4.73 - 4.85 (m, 4H), 7.33 (dd, 1 H), 7.66 - 7.77 (m, 4H), 7.77 - 7.85 (m, 1 H), 8.19 (s, 1 H), 8.48 (dd, 1 H).
UPLC-MS (Method 1 ): Rt = 0.66 min; MS (ESIpos): m/z [M+H]+ 421. Example 34
N-(4-{1-[2-(dimethylamino)ethyl]-4-methyl-6-oxo-1 ,4,5,6-tetrahydropyridazin-3-yl}phenyl)-1 ,3- dihydro-2H-pyrrolo[3,4-c]pyridine-2-carboxamide
A solution of 100 mg of Intermediate 24 (0.36 mmol, 1.00 eq) in DMF (1 1 ml.) was treated with 1 12 mg of Ν,Ν'-disuccinimidyl carbonate (0.44 mmol, 1.20 eq) and 53.4 mg of 4- dimethylaminopyrdine (0.44 mmol, 1.20 eq). The mixture was stirred over night at room temperature. A solution of 84.4 mg of 2,3-dihydro-1 H-pyrrolo[3,4-c]pyridine dihydrochloride (0.44 mmol, 1 .20 eq) and 3.05 ml. of triethylamine (21.87 mmol, 30 eq) in DMF (2 ml.) was added. The mixture was stirred over night. THF was removed from under reduced pressure. The remaining solution was poured into water. The solid was removed by filtration, the filtrate was taken to dryness and the residue was purified by preparative reverse phase HPLC to yield 20.0 mg of the desired product (13%).
Ή-NMR (400MHz, DMSO-d6): δ [ppm] = 1.07 (d, 3H), 2.17 (s, 6H), 2.22 - 2.36 (m, 1 H), 2.40 - 2.48 (m, 2H), 2.64 - 2.70 (m, 1 H), 3.37 - 3.44 (m, 1 H), 3.59 - 3.75 (m, 1 H), 3.91 - 4.08 (m, 1 H), 4.83 (d, 4H), 7.44 (d, 1 H), 7.63 - 7.71 (m, 2H), 7.71 - 7.79 (m, 2H), 8.50 (d, 1 H), 8.65 (s, 1 H), 8.61 (s, 1 H). UPLC-MS (Method 1 ): Rt = 0.47 min; MS (ESIpos): m/z [M+2H]+ 421. Example 35
N-[4-(4-methyl-6-oxo-1 -phenyl-1 ,4,5,6-tetrahydropyridazin-3-yl)phenyl]-1 ,3-dihydro-2H- pyrrolo[3,4-c]pyridine-2-carboxamide
A solution of 100 mg of Intermediate 23(0.36 mmol, 1 .00 eq) in DMF (1 1 mL) was treated with 1 10 mg of Ν,Ν'-disuccinimidyl carbonate (0.43 mmol, 1.20 eq) and 53.4 mg of 4- dimethylaminopyrdine (0.44 mmol, 1.20 eq). The mixture was stirred over night at room temperature. A solution of 82.9 mg of 2,3-dihydro-1 H-pyrrolo[3,4-c]pyridine dihydrochloride (0.43 mmol, 1 .20 eq) and 2.99 mL of triethylamine (21.47 mmol, 30 eq) in DMF (2 mL) was added. The mixture was stirred over night. THF was removed from under reduced pressure. The remaining solution was poured into water. The solid was removed by filtration, the filtrate was taken to dryness and the residue was purified by preparative reverse phase HPLC to yield 35.0 mg of the desired product (21 %). H-NMR (400MHz, DMSO-d6): δ [ppm] = 1.07 (d, 3H), 2.17 (s, 6H), 2.22 - 2.36 (m, 1 H), 2.40 - 2.48 (m, 2H), 2.64 - 2.70 (m, 1 H), 3.37 - 3.44 (m, 1 H), 3.59 - 3.75 (m, 1 H), 3.91 - 4.08 (m, 1 H), 4.83 (d, 4H), 7.44 (d, 1 H), 7.63 - 7.71 (m, 2H), 7.71 - 7.79 (m, 2H), 8.50 (d, 1 H), 8.65 (s, 1 H), 8.61 (s, 1 H). UPLC-MS (Method 1 ): Rt = 0.83 min; MS (ESIpos): m/z [M+H]+ 426. Example 36
N-(4-{4-methyl-1-[2-(morpholin-4-yl)ethyl]-6-oxo-1 ,4,5,6-tetrahydropyridazin-3-yl}phenyl)-1 ,3- dihydro-2H-pyrrolo[3,4-c]pyridine-2-carboxamide
A solution of 150 mg of Intermediate 34 (0.47 mmol, 1.00 eq) in DMF (5 mL) was treated with 145 mg of Ν,Ν'-disuccinimidyl carbonate (0.57 mmol, 1.20 eq) and 181 mg of 4- dimethylaminopyrdine (0.57 mmol, 1.20 eq). The mixture was stirred over night at room temperature. A suspension of 109 mg of 2,3-dihhydro-1 H-pyrrolo[3,4-c]pyridine dihydrochloride (0.57 mmol, 1.20 eq) and 2.00 mL of triethylamine in DMF (2 mL) was added. The mixture was stirred for 3 days. The solid was removed by filtration, the filtrate was taken to dryness and the residue was purified by preparative reverse phase HPLC to yield 24.2 mg of the desired product (1 1 %). H-NMR (400MHz, DMSO-d6): δ [ppm]= 1.09 - 1 .13 (m, 3H), 2.30 (dd, 1 H), 2.35 - 2.45 (m, 4H), 2.65 - 2.75 (m, 1 H), 3.36 - 3.43 (m, 4H), 3.50 (t, 4H), 3.59 - 3.68 (m, 1 H), 4.12 (dt, 1 H), 4.82 (d, 4H), 7.44 (d, 1 H), 7.64 - 7.69 (m, 2H), 7.71 - 7.77 (m, 1 H), 8.50 (d, 1 H), 8.63 (d, 2H).
UPLC-MS (Method 2): Rt = 0.49 min; MS (ESIpos): m/z [M+H]+ 463.
Example 37 N-[4-(4-methyl-6-oxo-1 -phenyl-1 ,4,5,6-tetrahydropyridazin-3-yl)phenyl]-5,7-dihydro-6H- pyrrolo[3,4-b]pyridine-6-carboxamide
A solution of 100 mg of Intermediate 23 (0.36 mmol, 1.00 eq) in DMF (1 1 ml.) was treated with 1 10 mg of Ν,Ν'-disuccinimidyl carbonate (0.43 mmol, 1.20 eq) and 70.1 mg of 4- dimethylaminopyrdine (0.43 mmol, 1.20 eq). The mixture was stirred over night at room temperature. A solution of 82.9 mg of 6,7-dihydro-5H-pyrrolo[3,4-b]pyridine dihydrochloride (0.43 mmol, 1 .20 eq) and 1.50 ml. of triethylamine (10.74 mmol, 30 eq) in DMF (2 ml.) was added. The mixture was stirred over night. THF was removed from under reduced pressure. The remaining solution was poured into water. The solid was removed by filtration, the filtrate was taken to dryness and the residue was purified by preparative reverse phase HPLC to yield 6.0 mg of the desired product (3.9%). H-NMR (400MHz, DMSO-d6): δ [ppm] = 1 .06 (d, 3H), 2.16 (s, 6H), 2.24 - 2.36 (m, 2H), 2.61 - 2.78 (m, 2H), 2.97 (s, 3H), 3.56 - 3.72 (m, 1 H), 3.91 - 4.08 (m, 1 H), 4.58 (s, 2H), 7.39 (dd, 1 H), 7.59 (d, 2H), 7.64 - 7.80 (m, 3H), 8.44 - 8.60 (m, 2H), 8.66 (s, 1 H).
UPLC-MS (Method 1 ): Rt = 0.96 min; MS (ESIpos): m/z [M+H]+ 426. Example 38
N-[4-(1 ,5,5-trimethyl-6-oxo-1 ,4,5,6-tetrahydropyridazin-3-yl)phenyl]-1 ,3-dihydro-2H-pyrrolo[3,4- c]pyridine-2-carboxamide
To a solution of Intermediate 47 (400 mg, 1 .73 mmol, 1.00 eq) in THF (10 mL) was added 4- nitrophenyl chloroformiate (418 mg, 2.08 mmol, 1.20 eq) and the mixture was stirred over night at 60 °C. The solution was taken to dryness, the residue was resolved in DCM (12 mL) and treated with DIPEA (0.90 mL, 5.19 mmol, 3.00 eq) and 2,3-dihydro-1 H-pyrrolo[3,4-C]pyridine dihydrochloride (401 mg, 2.08 mmol, 1 .20 eq). The resulting mixture was stirred over night at room temperature. The mixture was extracted three times with 1 M aqueous sodium hydroxide solution, the organic layer was washed with water and dried over Na2SC>4 and the solvent was removed under reduced pressure. The crude product was triturated with MeOH/diethyl ether to yield the desired product (630 mg, 97%). H-NMR (400MHz, DMSO-d6): δ [ppm] = 1.07 - 1.09 (m, 6H), 2.85 (s, 2H), 3.31 (s, 3H), 4.82 (d, 4H), 7.44 (d, 1 H), 7.63 - 7.75 (m, 4H), 8.50 (d, 1 H), 8.63 (d, 2H).
UPLC-MS (Method 2): Rt = 0.69 min; MS (ESIpos): m/z [M+H]+ 378.
Example 39 2-amino-N-[4-(1-cyclopropyl-5,5-dimethyl-6-oxo-1 ,4,5,6-tetrahydropyridazin-3- yl)phenyl]-5,7-dihydro-6H-pyrrolo[3,4-b]pyridine-6-carboxamide
The described product was prepared in a manner analogous to that described in the preparation of Example 38 starting from 200 mg of Intermediate 41 (0.47 mmol, 1.00 eq) and 6,7-dihydro- 5H-pyrrolo[3,4-b]pyridin-2-amine (70.4 mg, 0.52 mmol, 1.10 eq) to yield 56.0 mg of the desired product (27%). H-NMR (400MHz, DMSO-d6): δ [ppm] = 0.61 - 0.89 (m, 4H), 1.07 (s, 6H), 2.79 (s, 2H), 3.43 - 3.55 (m, 1 H), 4.53 (br. s., 2H), 4.58 (br. s., 2H), 6.01 (s, 2H), 6.37 (d, 1 H), 7.37 (d, 1 H), 7.60 - 7.75 (m, 4H), 8.51 (s, 1 H).
UPLC-MS (Method 3): Rt = 0.94 min., 100%. MS (ESIpos): m/z (M+H)+ 419. Example 40 N-[4-(1-cyclopropyl-5,5-dimethyl-6-oxo-1 ,4,5,6-tetrahydropyridazin-3-yl)phenyl]-1 ,3-dihydro-2H- pyrrolo[3,4-c]pyridine-2-carboxamide
The described product was prepared in a manner analogous to that described in the preparation of Example 38 starting from 300 mg of Intermediate 41 (1 .55 mmol, 1.00 eq, 50% purity) and 2,3-dihydro-1 H-pyrrolo[3,4-c]pyridine dihydrochloride (274 mg, 1.42 mmol, 1.20 eq) to yield 4.4 mg of the desired product (3.07%). H-NMR (400MHz, DMSO-d6): δ [ppm] = 0.66 - 0.80 (m, 2H), 0.80 - 0.89 (m, 2H), 1.07 (s, 6H), 2.80 (s, 2H), 3.51 (dt, 1 H), 4.82 (d, 4H), 7.44 (d, 1 H), 7.62 - 7.76 (m, 4H), 8.50 (d, 1 H), 8.62 (d, 2H). UPLC-MS (Method 3): Rt = 0.79 min., 100%. MS (ESIpos): m/z (M+H)+ 404.
Example 41 N-[4-(1-ethyl-5,5-dimethyl-6-oxo-1 ,4,5,6-tetrahydropyridazin-3-yl)phenyl]-1 ,3-dihydro-2H- pyrrolo[3,4-c]pyridine-2-carboxamide
The described product was prepared in a manner analogous to that described in the preparation of Example 38 starting from 300 mg of Intermediate 39 (1.30 mmol, 1.00 eq) and 2,3-dihydro- 1 H-pyrrolo[3,4-c]pyridine dihydrochloride (219 mg, 1.42 mmol, 1.20 eq) to yield 20 mg of the desired product (3%). H-NMR (400MHz, DMSO-d6): δ [ppm] = 1.08 (s, 6H), 1.16 (t, 3H), 2.83 (s, 2H), 3.75 (q, 2H), 4.83 (d, 4H), 7.46 (d, 1 H), 7.58 - 7.79 (m, 4H), 8.52 (d, 1 H), 8.64 (d, 2H). UPLC-MS (Method 3): Rt = 0.77 min., 100%. MS (ESIpos): m/z (M+H)+ 392.
Example 42
N-[4-(1-cyclobutyl-5,5-dimethyl-6-oxo-1 ,4,5,6-tetrahydropyridazin-3-yl)phenyl]-1 ,3-dihydro-2H- pyrrolo[3,4-c]pyridine-2-carboxamide
The described product was prepared in a manner analogous to that described in the preparation of Example 38 starting from 200 mg of Intermediate 43 (0.74 mmol, 1.00 eq) and 2,3-dihydro- 1 H-pyrrolo[3,4-c]pyridine dihydrochloride (107 mg, 1.72 mmol, 2.30 eq) to yield 179 mg of the desired product (75%). H-NMR (400MHz, DMSO-d
6): δ [ppm] = 1.06 (s, 6H), 1.60 - 1.83 (m, 2H), 2.00 - 2.17 (m, 2H), 2.29 - 2.47 (m, 2H), 2.82 (s, 2H), 4.83 (d, 4H), 5.12 (quin, 1 H), 7.44 (d, 1 H), 7.68 (d, 2H), 7.78 (d, 2H), 8.51 (d, 1 H), 8.65 (s, 1 H), 8.62 (s, 1 H).
UPLC-MS (Method 3): Rt = 0.90 min., 100%. MS (ESIpos): m/z (M+H)+ 418. Example 43 N-[4-(5,5-dimethyl-6-oxo-1-phenyl-1 ,4,5,6-tetrahydropyridazin-3-yl)phenyl]-1 ,3-dihydro-2H- pyrrolo[3,4-c]pyridine-2-carboxamide
The described product was prepared in a manner analogous to that described in the preparation of Example 38 starting from 530 mg of Intermediate 73 (1.80 mmol, 1.00 eq) and 2,3-dihydro- 1 H-pyrrolo[3,4-c]pyridine dihydrochloride (196 mg, 1.63 mmol) to yield 180 mg of the desired product (26%). H-NMR (400MHz, DMSO-d6): δ [ppm] = 1.21 (s, 6H), 3.03 (s, 2H), 4.82 (d, 4H), 7.22 - 7.33 (m, 1 H), 7.37 - 7.47 (m, 3H), 7.47 - 7.54 (m, 2H), 7.64 - 7.73 (m, 2H), 7.73 - 7.81 (m, 2H), 8.50 (d, 1 H), 8.61 (s, 1 H), 8.66 (s, 1 H). UPLC-MS (Method 3): Rt = 0.88 min. MS (ESIpos): m/z [M+H]+ 440.
Example 44 N-[4-(1-ethyl-5,5-dimethyl-6-oxo-1 ,4,5,6-tetrahydropyridazin-3-yl)phenyl]-5,7- dihydro-6H-pyrrolo[3,4-b]pyridine-6-carboxamide
The described product was prepared in a manner analogous to that described in the preparation of Example 38 starting from 325 mg of Intermediate 39 (1 .33 mmol) and 6,7-dihydro-5H- pyrrolo[3,4-b]pyridine dihydrochloride (155 mg, 0.80 mmol) to yield 2.80 mg of the desired product (1 %). H-NMR (400MHz, DMSO-d6): δ [ppm] = 1 .08 (m, 6H), 1.16 (t, 3H), 2.83 (s, 2H), 3.75 (q, 2H), 4.67 - 4.90 (m, 4H), 7.34 (dd, 1 H), 7.60 - 7.76 (m, 4H), 7.81 (d, 1 H), 8.39 - 8.56 (m, 1 H), 8.62 (s, 1 H).
UPLC-MS (Method 3): Rt = 0.97 min. MS (ESIpos): m/z (M+H)+ 392.
Example 45 2-amino-N-[4-(1-ethyl-5,5-dimethyl-6-oxo-1 ,4,5,6-tetrahydropyridazin
5,7-dihydro-6H-pyrrolo[3,4-b]pyridine-6-carboxamide
The described product was prepared in a manner analogous to that described in the preparation of Example 38 starting from 325 mg of Intermediate 39 (1 .33 mmol) and 6,7-dihydro-5H- pyrrolo[3,4-b]pyridin-2-amine (109 mg, 0.80 mmol) to yield 3.90 mg of the desired product (3.90%). H-NMR (400MHz, DMSO-d6): δ [ppm] = 1.07 (s, 6H), 1.15 (t, 3H), 2.83 (s, 2H), 3.74 (q, 2H), 4.57 (d, 4H), 6.11 (br. s., 2H), 6.41 (d, 1 H), 7.41 (d, 1 H), 7.57 - 7.79 (m, 4H), 8.53 (s, 1 H).
UPLC-MS (Method 3): Rt = 0.97 min. MS (ESIpos): m/z (M+H)+ 392.
Example 46 2-amino-N-(4-{1-[2-(dimethylamino)ethyl]-4-methyl-6-oxo-1 ,4,5,6-tetrahydropyridazin
yl}phenyl)-5,7-dihydro-6H-pyrrolo[3,4-b]pyridine-6-carboxamide
The described product was prepared in a manner analogous to that described in the preparation of Example 38 starting from 350 mg of Intermediate 24 (1 .28 mmol) and 6,7-dihydro-5H- pyrrolo[3,4-b]pyridin-2-amine dihydrochloride (236 mg, 1.28 mmol) to yield 55 mg of the desired product (10%). H-NMR (400MHz, DMSO-d6): δ [ppm] = 1 .07 (d, 3H), 2.18 (s, 6H), 2.25 - 2.34 (m, 1 H), 2.51 - 2.54 (m, 1 H), 2.69 (dd, 1 H), 3.31 - 3.43 (m, 1 H), 3.61 - 3.72 (m, 2H), 3.95 - 4.06 (m, 1 H), 4.53 (br. s., 2H), 4.59 (br. s., 2H), 6.01 (s, 2H), 6.37 (d, 1 H), 7.37 (d, 1 H), 7.67 (d, 2H), 7.73 (d, 2H), 8.52 (s, 1 H).
UPLC-MS (Method 3): Rt = 0.54 min. MS (ESIpos): m/z (M+H)+ 436.
Example 47 2-amino-N-{4-[4-methyl-1-(1-methylpiperidin-4-yl)-6-oxo-1 ,4,5,6- tetrahydropyridazin-3-yl]phenyl}-5,7-dihydro-6H-pyrrolo[3,4-b]pyridine-6-carboxamide
The described product was prepared in a manner analogous to that described in the preparation of Example 38 starting from 150 mg of Intermediate 62 (0.50 mmol) and 6,7-dihydro-5H- pyrrolo[3,4-b]pyridin-2-amine dihydrochloride (134 mg, 0.64 mmol) to yield 25 mg of the desired product (8%). H-NMR (400MHz, DMSO-d6): δ [ppm] = 1 .03 (d, 3H), 1.54 (t, 2H), 1.77 - 1.94 (m, 1 H), 1.94 - 2.14 (m, 3H), 2.19 (s, 3H), 2.25 - 2.36 (m, 1 H), 2.70 (dd, 1 H), 2.86 (t, 2H), 3.32 - 3.40 (m, 1 H), 4.38 - 4.56 (m, 3H), 4.59 (br. s., 2H), 6.01 (s, 2H), 6.37 (d, 1 H), 7.37 (d, 1 H), 7.64 - 7.71 (m, 2H), 7.71 - 7.78 (m, 2H), 8.53 (s, 1 H).
UPLC-MS (Method 3): Rt = 0.56 min. MS (ESIpos): m/z (M+H)+ 462.
Example 48
2-amino-N-[4-(1 -ethyl-4-methyl-6-oxo-1 ,4,5,6-tetrahydropyridazin-3-yl)phenyl]-5,7-dihydro-6H- pyrrolo[3,4-b]pyridine-6-carboxamide
The described product was prepared in a manner analogous to that described in the preparation of Example 38 starting from 1.00 g of Intermediate 63 (1.73 mmol, 40% purity) and 6,7-dihydro- 5H-pyrrolo[3,4-b]pyridin-2-amine dihydrochloride (168 mg, 0.81 mmol) to yield 5 mg of the desired product (1.56%). H-NMR (400MHz, DMSO-d6): δ [ppm] = 1 .06 (d, 3H), 1.16 (t, 3H), 2.18 - 2.37 (m, 1 H), 2.64 - 2.76 (m, 1 H), 3.29 - 3.45 (m, 1 H), 3.62 - 3.91 (m, 4H), 4.63 (br. s., 2H), 4.69 (br. s., 2H), 6.70 (d, 1 H), 7.61 - 7.69 (m, 2H), 7.70 - 7.83 (m, 3H), 8.66 (s, 1 H).
UPLC-MS (Method 3): Rt = 0.77 min. MS (ESIpos): m/z (M+H)+ 393. Example 49
2-amino-N-{4-[1 -(2,2-difluoroethyl)-4-methyl-6-oxo-1 ,4,5,6-tetrahydropyridazin-3-yl]phenyl}-5,7- dihydro-6H-pyrrolo[3,4-b]pyridine-6-carboxamide
The described product was prepared in a manner analogous to that described in the preparation of Example 38 starting from 200 mg of Intermediate 74 (0.75 mmol) and 6,7-dihydro-5H- pyrrolo[3,4-b]pyridin-2-amine dihydrochloride (120 mg, 0.89 mmol) to yield 120 mg of the desired product (25%). H-NMR (400MHz, DMSO-d
6): δ [ppm] = 1.08 (d, 3H), 2.34 - 2.43 (m, 1 H), 2.78 (dd, 1 H), 3.39 - 3.53 (m, 1 H), 3.86 - 4.10 (m, 1 H), 4.24 - 4.45 (m, 1 H), 4.53 (br. s., 2H), 4.59 (br. s., 2H), 6.01 (s, 2H), 6.20 - 6.33 (m, 1 H), 6.33 - 6.45 (m, 1 H), 7.37 (d, 1 H), 7.64 - 7.71 (m, 2H), 7.72 - 7.86 (m, 2H), 8.53 (s, 1 H).
UPLC-MS (Method 3): Rt = 0.76 min. MS (ESIpos): m/z (M+H)+ 429. Example 50
2-amino-N-[4-(1 -cyclopropyl-4-methyl-6-oxo-1 ,4,5,6-tetrahydropyridazin-3-yl)phenyl]-5,7- dihydro-6H-pyrrolo[3,4-b]pyridine-6-carboxamide
The described product was prepared in a manner analogous to that described in the preparation of Example 38 starting from 250 mg of Intermediate 10 (1 .03 mmol) and 6,7-dihydro-5H- pyrrolo[3,4-b]pyridin-2-amine dihydrochloride (127 mg, 0.94 mmol) to yield 70 mg of the desired product (20%). H-NMR (400MHz, DMSO-de): δ [ppm] = 0.66 - 0.84 (m, 3H), 0.84 - 0.96 (m, 1 H), 1.02 (d, 3H), 2.31 (dd, 1 H), 2.63 - 2.78 (m, 1 H), 3.35 - 3.43 (m, 1 H), 3.45 - 3.57 (m, 1 H), 4.53 (br. s., 2H), 4.58 (br. s., 2H), 6.01 (s, 2H), 6.37 (d, 1 H), 7.37 (d, 1 H), 7.61 - 7.79 (m, 4H), 8.51 (s, 1 H).
UPLC-MS (Method 3): Rt = 0.87 min. MS (ESIpos): m/z (M+H)+ 405. Example 51 2-amino-N-[4-(4-methyl-6-oxo-1-phenyl-1 ,4,5,6-tetrahydropyridazin
5,7-dihydro-6H-pyrrolo[3,4-b]pyridine-6-carboxamide
The described product was prepared in a manner analogous to that described in the preparation of Example 38 starting from 200 mg of Intermediate 23 (0.72 mmol) and 6,7-dihydro-5H- pyrrolo[3,4-b]pyridin-2-amine dihydrochloride (1 17 mg, 0.87 mmol) to yield 65 mg of the desired product (18%). H-NMR (400MHz, DMSO-d6): δ [ppm] = 1.20 (d, 3H), 2.47 (s, 1 H), 2.98 (dd, 1 H), 3.46 - 3.60 (m, 1 H), 4.53 - 4.59 (m, 4H), 6.01 (s, 2H), 6.37 (d, 1 H), 6.81 - 7.03 (m, 1 H), 7.22 - 7.34 (m, 1 H), 7.37 (d, 1 H), 7.39 - 7.49 (m, 2H), 7.49 - 7.58 (m, 2H), 7.65 - 7.73 (m, 2H), 7.73 - 7.84 (m, 2H), 8.04 - 8.22 (m, 1 H), 8.54 (s, 1 H).
UPLC-MS (Method 3): Rt = 0.85 min. MS (ESIpos): m/z (M+H)+ 441. Example 52
2-amino-N-[4-(1 ,4-dimethyl-6-oxo-1 ,4,5,6-tetrahydropyridazin-3-yl)phenyl]-5,7-dihydro-6H- pyrrolo[3,4-b]pyridine-6-carboxamide
The described product was prepared in a manner analogous to that described in the preparation of Example 38 starting from 200 mg of Intermediate 4 (0.92 mmol) and 6,7-dihydro-5H- pyrrolo[3,4-b]pyridin-2-amine dihydrochloride (1 17 mg, 0.87 mmol) to yield 33 mg of the desired product (1 1 %). H-NMR (400MHz, DMSO-de): δ [ppm] = 1.06 (d, 3H), 2.25 - 2.36 (m, 1 H), 2.70 (dd, 1 H), 3.32 (s, 3H), 3.35 - 3.43 (m, 1 H), 4.53 (br. s., 2H), 4.58 (br. s., 2H), 6.01 (s, 2H), 6.37 (d, 1 H), 7.37 (d, 1 H), 7.62 - 7.70 (m, 2H), 7.70 - 7.78 (m, 2H), 8.52 (s, 1 H).
UPLC-MS (Method 3): Rt = 0.81 min. MS (ESIpos): m/z (M+H)+ 379. Example 53
N-[4-(1-cyclobutyl-4-methyl-6-oxo-1 ,4,5,6-tetrahydropyridazin-3-yl)phenyl]-1 ,3-dihydro-2H- pyrrolo[3,4-c]pyridine-2-carboxamide
The described product was prepared in a manner analogous to that described in the preparation of Example 38 starting from 500 mg of Intermediate 75 (1 .94 mmol) and 2,3-dihydro-1 H- pyrrolo[3,4-c]pyridine dihydrochloride (183 mg, 0.87 mmol) to yield 56 mg of the desired product (14%). H-NMR (400MHz, DMSO-d
6): δ [ppm] = 1 .03 (d, 3H), 1.72 (d, 2H), 1.97 - 2.14 (m, 2H), 2.21 - 2.37 (m, 2H), 2.57 - 2.60 (m, 1 H), 2.67 (d, 1 H), 3.36 - 3.41 (m, 1 H), 4.83 (d, 4H), 5.18 (s, 1 H), 7.44 (d, 1 H), 7.63 - 7.72 (m, 2H), 7.76 - 7.87 (m, 2H), 8.51 (d, 1 H), 8.62 (s, 1 H), 8.65 (s, 1 H). UPLC-MS (Method 3): R
t = 0.81 min. MS (ESIpos): m/z (M+H)
+ 404.
Example 54 N-{4-[1-(1-methoxypropan-2-yl)-4-methyl-6-oxo-1 ,4,5,6-tetrahydropyridazin-3-yl]phenyl}-5,7- dihydro-6H-pyrrolo[3,4-b]pyridine-6-carboxamide
The described product was prepared in a manner analogous to that described in the preparation of Example 38 starting from 300 mg of Intermediate 64 (0.65 mmol) and 6,7-dihydro-5H- pyrrolo[3,4-b]pyridine dihydrochloride (53 mg, 0.27 mmol) to yield 23 mg of the desired product (18%). H-NMR (400MHz, DMSO-de): δ [ppm] = 0.98 - 1.14 (m, 5H), 1.19 (d, 2H), 2.25 - 2.36 (m, 1 H), 2.56 - 2.77 (m, 1 H), 3.16 - 3.29 (m, 4H), 3.41 - 3.51 (m, 1 H), 3.71 (dd, 1 H), 4.70 - 4.88 (m, 4H), 4.89 - 5.10 (m, 1 H), 6.77 - 6.98 (m, 1 H), 7.34 (dd, 1 H), 7.65 - 7.85 (m, 5H), 8.04 - 8.20 (m, 1 H), 8.48 (dd, 1 H), 8.62 (s, 1 H). (Mixture of diastereomers)
UPLC-MS (Method 3): Rt = 0.91 min. MS (ESIpos): m/z (M+H)+ 422. Example 55
N-{4-[1-(1-methoxypropan-2-yl)-4-methyl-6-oxo-1 ,4,5,6-tetrahydropyridazin-3
dihydro-2H-pyrrolo[3,4-c]pyridine-2-carboxamide
The described product was prepared in a manner analogous to that described in the preparation of Example 38 starting from 300 mg of Intermediate 64 (0.65 mmol) and 2,3-dihydro-1 H- pyrrolo[3,4-c]pyridine dihydrochloride (53 mg, 0.27 mmol) to yield 30 mg of the desired product (25%). H-NMR (400MHz, DMSO-de): δ [ppm] = 0.98 - 1.14 (m, 5H), 1.19 (d, 2H), 2.25 - 2.36 (m, 1 H), 2.56 - 2.77 (m, 1 H), 3.16 - 3.29 (m, 4H), 3.41 - 3.51 (m, 1 H), 3.71 (dd, 1 H), 4.70 - 4.88 (m, 4H), 4.89 - 5.10 (m, 1 H), 6.77 - 6.98 (m, 1 H), 7.34 (dd, 1 H), 7.65 - 7.85 (m, 5H), 8.04 - 8.20 (m, 1 H), 8.48 (dd, 1 H), 8.62 (s, 1 H). (Mixture of diastereomers)
UPLC-MS (Method 3): Rt = 0.91 min. MS (ESIpos): m/z (M+H)+ 422.
Example 56 N-{4-[(4S)-1 -ethyl-4-methyl-6-oxo-1 ,4,5,6-tetrahydropyridazin-3-yl]phenyl}-1 ,3-dihydro-2H- pyrrolo[3,4-c]pyridine-2-carboxamide or N-{4-[(4R)-1-ethyl-4-methyl-6-oxo-1 ,4,5,6- tetrahydropyridazin-3-yl]phenyl}-1 ,3-dihydro-2H-pyrrolo[3,4-c]pyridine-2-carboxamide
The racemic product was prepared in a manner analogous to that described in the preparation of Example 38 starting from 2.17 g of Intermediate 63 (9.38 mmol) and 2,3-dihydro-1 H- pyrrolo[3,4-c]pyridine (400 mg, 3.33 mmol) to yield 1.67 g of the desired racemic product (58%).
A sample of the racemic product was separated using chiral HPLC (System: Labomatic HD3000, AS-3000, Labcol Vario 4000 Plus, Knauer DAD 2600; Saule: Chiralpak IC 5μ 250x50mm Nr.019; Eluent A: MTBE + 0.1 % DEA; Eluent B: Ethanol; Isocratic: 50%A+50%B; flow 1 10.0 ml/min; UV @ 325 nm) to give the first eluting enantiomer N-{4-[1-ethyl-4-methyl-6-oxo-1 ,4,5,6- tetrahydropyridazin-3-yl]phenyl}-1 ,3-dihydro-2H-pyrrolo[3,4-c]pyridine-2-carboxamide (430 mg, 26% from racemate). H-NMR (400MHz, DMSO-de): δ [ppm]= 1.06 (d, 3H), 1 .16 (t, 3H), 2.29 (d, 1 H), 2.69 (dd, 1 H), 3.37 (d, 1 H), 3.65 - 3.78 (m, 1 H), 3.78 - 3.90 (m, 1 H), 4.82 (d, 4H), 7.44 (d, 1 H), 7.59 - 7.71 (m, 2H), 7.71 - 7.81 (m, 2H), 8.50 (d, 1 H), 8.64 (s, 1 H), 8.61 (s, 1 H). Chiral HPLC (System: Agilent HPLC 1260; Column: Chiralpak IC 3μ 100x4.6mm; Eluent A: MTBE+ 0.1 % DEA ; Eluent B: Methanol; isocratic: : 50%A+50%B; Fluss 1 10.0 ml/min; UV @ 325 nm): Rt = 4.61 min, 99% enantiomeric excess.
Optical rotation (Method 5): [a] = +274.0° (c = 1.00, DMSO).
Example 57
N-{4-[(4R)-1 -ethyl-4-methyl-6-oxo-1 ,4,5,6-tetrahydropyridazin-3-yl]phenyl}-1 ,3-dihydro-2H- pyrrolo[3,4-c]pyridine-2-carboxamide or N-{4-[(4S)-1-ethyl-4-methyl-6-oxo-1 ,4,5,6- tetrahydropyridazin-3-yl]phenyl}-1 ,3-dihydro-2H-pyrrolo[3,4-c]pyridine-2-carboxamide
The racemic product was prepared in a manner analogous to that described in the preparation of Example 38 starting from 2.17 g of Intermediate 63 (9.38 mmol) and 2,3-dihydro-1 H- pyrrolo[3,4-c]pyridine (400 mg, 3.33 mmol) to yield 1.67 g of the desired racemic product (58%). A sample of the racemic product was separated using chiral HPLC (System: Labomatic HD3000, AS-3000, Labcol Vario 4000 Plus, Knauer DAD 2600; Saule: Chiralpak IC 5μ 250x50mm Nr.019; Eluent A: MTBE + 0.1 % DEA; Eluent B: Ethanol; Isocratic: 50%A+50%B; flow 1 10.0 ml/min; UV @ 325 nm) to give the second eluting enantiomer N-{4-[1-ethyl-4-methyl-6-oxo- 1 ,4,5,6-tetrahydropyridazin-3-yl]phenyl}-1 ,3-dihydro-2H-pyrrolo[3,4-c]pyridine-2-carboxamide (425 mg, 25% from racemate). H-NMR (400MHz, DMSO-de): δ [ppm]= 1.06 (d, 3H), 1 .16 (t, 3H), 2.29 (d, 1 H), 2.69 (dd, 1 H), 3.37 (d, 1 H), 3.65 - 3.78 (m, 1 H), 3.78 - 3.90 (m, 1 H), 4.82 (d, 4H), 7.44 (d, 1 H), 7.59 - 7.71 (m, 2H), 7.71 - 7.81 (m, 2H), 8.50 (d, 1 H), 8.64 (s, 1 H), 8.61 (s, 1 H).
Chiral HPLC (System: Agilent HPLC 1260; Column: Chiralpak IC 3μ 100x4.6mm; Eluent A: MTBE+ 0.1 % DEA ; Eluent B: Methanol; isocratic: : 50%A+50%B; Fluss 1 10.0 ml/min; UV @ 325 nm): Rt = 5.70 min, 96.3% enantiomeric excess.
Optical rotation (Method 5): [a] = -356.5° (c = 1.00, DMSO).
Example 58
2-amino-N-{4-[(4S)-1 -ethyl-4-methyl-6-oxo-1 ,4,5,6-tetrahydropyridazin-3-yl]phenyl}-5,7-dihydro- 6H-pyrrolo[3,4-b]pyridine-6-carboxamide or 2-amino-N-{4-[(4R)-1-ethyl-4-methyl-6-oxo-1 ,4,5,6- tetrahydropyridazin-3-yl]phenyl}-5,7-dihydro-6H-pyrrolo[3,4-b]pyridine-6-carboxamide
OR
The racemic product was prepared in a manner analogous to that described in the preparation of Example 38 starting from 800 mg of Intermediate 63 (0.81 mmol, 40%purity) and 6,7-dihydro- 5H-pyrrolo[3,4-b]pyridin-2-amine dihydrochloride 168 mg, 0.81 mmol) to yield 50 mg of the desired racemic product (15%).
A sample of the racemic product was separated using chiral HPLC (System: Labomatic HD5000, Labocord-5000; Gilson GX-241 , Labcol Vario 4000 column: Chiralpak IC 5μ 250x30mm; Eluent A: Methanol + 0.1 Vol-% Diethylamin (99%); Eluent B: tert.Butylmethylether; Isocratic: 50%A+50%B; Flow 50.0 ml/min; UV 325 nm) to give the first eluting enantiomer 2-amino-N-{4- [1-ethyl-4-methyl-6-oxo-1 ,4,5,6-tetrahydropyridazin-3-yl]phenyl}-5,7-dihydro-6H-pyrrolo[3,4- b]pyridine-6-carboxamide (3.5 mg, 7.7% from racemate). H-NMR (400MHz, DMSO-d6): δ [ppm]= 1.06 (d, 3H), 1.16 (t, 3H), 2.29 (dd, 1 H), 2.69 (dd, 1 H), 3.36 - 3.44 (m, 1 H), 3.67 - 3.77 (m, 1 H), 3.77 - 3.93 (m, 1 H), 4.53 (br. s., 2H), 4.59 (br. s., 2H), 6.04 (br. s., 2H), 6.38 (d, 1 H), 7.38 (d, 1 H), 7.61 - 7.70 (m, 2H), 7.70 - 7.78 (m, 2H), 8.52 (s, 1 H). Chiral HPLC (System: Agilent HPLC 1260; Column: Chiralpak IC 3μ 100x4.6mm; Eluent A: tert.Butylmethylether + 0.1 Vol-% Diethylamin (99%); Eluent C: Methanol; Isocratic: 50%A + 50%C; Flow 1.4 ml/min; Temperatur: 25 °C; DAD 325 nm): Rt = 2.02 min, 99% enantiomeric excess.
Optical rotation (Method 5): [a] = +140.8° (c = 1.00, DMSO). Example 59
2-amino-N-{4-[(4S)-1 -ethyl-4-methyl-6-oxo-1 ,4,5,6-tetrahydropyridazin-3-yl]phenyl}-5,7-dihydro- 6H-pyrrolo[3,4-b]pyridine-6-carboxamide or 2-amino-N-{4-[(4R)-1-ethyl-4-methyl-6-oxo-1 ,4,5,6- tetrahydropyridazin-3-yl]phenyl}-5,7-dihydro-6H-pyrrolo[3,4-b]pyridine-6-carboxamide
The racemic product was prepared in a manner analogous to that described in the preparation of Example 38 starting from 800 mg of Intermediate 63 (0.81 mmol, 40%purity) and 6,7-dihydro- 5H-pyrrolo[3,4-b]pyridin-2-amine dihydrochloride 168 mg, 0.81 mmol) to yield 50 mg of the desired racemic product (15%).
A sample of the racemic product was separated using chiral HPLC (System: Labomatic HD5000, Labocord-5000; Gilson GX-241 , Labcol Vario 4000 column: Chiralpak IC 5μ 250x30mm; Eluent A: Methanol + 0.1 Vol-% Diethylamin (99%); Eluent B: tert.Butylmethylether; Isocratic: 50%A+50%B; Flow 50.0 ml/min; UV 325 nm) to give the second eluting enantiomer 2-amino-N- {4-[1 -ethyl-4-methyl-6-oxo-1 ,4,5,6-tetrahydropyridazin-3-yl]phenyl}-5,7-dihydro-6H-pyrrolo[3,4- b]pyridine-6-carboxamide (4.2 mg, 9% from racemate). H-NMR (400MHz, DMSO-d6): δ [ppm]= 1.06 (d, 3H), 1.16 (t, 3H), 2.29 (dd, 1 H), 2.69 (dd, 1 H), 3.36 - 3.44 (m, 1 H), 3.67 - 3.77 (m, 1 H), 3.77 - 3.93 (m, 1 H), 4.53 (br. s., 2H), 4.59 (br. s., 2H), 6.04 (br. s., 2H), 6.38 (d, 1 H), 7.38 (d, 1 H), 7.61 - 7.70 (m, 2H), 7.70 - 7.78 (m, 2H), 8.52 (s, 1 H). Chiral HPLC (System: Agilent HPLC 1260; Column: Chiralpak IC 3μ 100x4.6mm; Eluent A: tert.Butylmethylether + 0.1 Vol-% Diethylamin (99%); Eluent C: Methanol; Isocratic: 50%A + 50%C; Flow 1.4 ml/min; Temperatur: 25 °C; DAD 325 nm): Rt = 2.59 min, 99% enantiomeric excess.
Optical rotation (Method 5): [a] = -356.5° (c = 1.00, DMSO). Example 60
N-{4-[1-(2,2-difluoroethyl)-4-methyl-6-oxo-1 ,4,5,6-tetrahydropyridazin-3-yl]phenyl}-1 ,3-dihydro- 2H-pyrrolo[3,4-c]pyridine-2-carboxamide
The described product was prepared in a manner analogous to that described in the preparation of Example 1 starting from 150 mg of Intermediate 74 (0.56 mmol) and 2,3-dihydro-1 H- pyrrolo[3,4-c]pyridine dihydrochloride (130 mg, 0.67 mmol) to yield 7.5 mg of the desired product (3%). H-NMR (400MHz, DMSO-d6): δ [ppm] = 1.09 (d, 3H), 2.39 (dd, 1 H), 2.75 - 2.83 (m, 1 H), 3.41 - 3.49 (m, 1 H), 3.91 - 4.06 (m, 1 H), 4.28 - 4.43 (m, 1 H), 4.83 (d, 4H), 6.12 - 6.45 (m, 1 H), 7.45 (d, 1 H), 7.65 - 7.72 (m, 2H), 7.75 - 7.80 (m, 2H), 8.51 (d, 1 H), 8.62 (s, 1 H), 8.67 (s, 1 H).
UPLC-MS (Method 2): Rt = 0.71 min. MS (ESIpos): m/z [M+H]+ 414.
Example 61 N-{4-[(4S)-1 -(2,2-difluorethyl)-4-methyl-6-oxo-1 ,4,5,6-tetrahydropyridazin-3-yl]phenyl}-1 ,3- dihydro-2H-pyrrolo[3,4-c]pyridine-2-carboxamide or N-{4-[(4R-(2,2-difluorethyl)-4-methyl-6-oxo- 1 ,4,5,6-tetrahydropyridazin-3-yl]phenyl}-1 ,3-dihydro-2H-pyrrolo[3,4-c]pyridine-2-carboxamide
F
A sample of the racemic product Example 60 was separated using chiral HPLC (System: Labomatic HD3000, AS-3000, Labcol Vario 4000 Plus, Knauer DAD 2600; Saule: Chiralpak IE 5μ 250x30mm; Eluent A: Acetonitril + 0.1 Vol-% Diethylamin (99%); Eluent B: Ethanol; Isocratic: 80%A+20%B; Flow 50.0 ml/min; UV @ 325 nm) to give the first eluting enantiomer N-{4-[-(2,2- difluorethyl)-4-methyl-6-oxo-1 ,4,5,6-tetrahydropyridazin-3-yl]phenyl}-1 ,3-dihydro-2H-pyrrolo[3,4- c]pyridine-2-carboxamide (587 mg, 43% from racemate). H-NMR (400MHz, DMSO-de): δ [ppm]= 1.08 (d, 3H), 2.39 (dd, 1 H), 2.79 (dd, 1 H), 3.38 - 3.53 (m, 1 H), 3.87 - 4.09 (m, 1 H), 4.25 - 4.47 (m, 1 H), 4.83 (d, 4H), 6.28 (dt, 1 H), 7.44 (d, 1 H), 7.65 - 7.73 (m, 2H), 7.73 - 7.84 (m, 2H), 8.50 (d, 1 H), 8.61 (s, 1 H), 8.66 (s, 1 H).
Chiral HPLC (System Agilent HPLC 1260; Saule: Chiralpak IE 3μ 100x4,6mm; Eluent A: Acetonitril + 0.1 Vol-% Diethylamin (99%); Eluent B: Ethanol; Isocratic: 80%A+20%B; Flow 1.0 ml/min; Temperatur: 25 °C; DAD @ 325 nm): Rt = 3.25 min, 99% enantiomeric excess. Optical rotation (Method 5): [a] = +284.0° (c = 1.00, DMSO).
Example 62
N-{4-[(4R)-1 -(2,2-difluorethyl)-4-methyl-6-oxo-1 ,4,5,6-tetrahydropyridazin-3-yl]phenyl}-1 ,3- dihydro-2H-pyrrolo[3,4-c]pyridine-2-carboxamide or N-{4-[(4S)-1 -(2,2-difluorethyl)-4-methyl-6- oxo-1 ,4,5,6-tetrahydropyridazin-3-yl]phenyl}-1 ,3-dihydro-2H-pyrrolo[3,4-c]pyridine-2- carboxamide
A sample of the racemic product Example 60 was separated using chiral HPLC (System: Labomatic HD3000, AS-3000, Labcol Vario 4000 Plus, Knauer DAD 2600; Saule: Chiralpak IE 5μ 250x30mm; Eluent A: Acetonitril + 0.1 Vol-% Diethylamin (99%); Eluent B: Ethanol; Isocratic: 80%A+20%B; Flow 50.0 ml/min; UV @ 325 nm) to give the second eluting enantiomer N-{4-[1- (2,2-difluorethyl)-4-methyl-6-oxo-1 ,4,5,6-tetrahydropyridazin-3-yl]phenyl}-1 ,3-dihydro-2H- pyrrolo[3,4-c]pyridine-2-carboxamide (597 mg, 44% from racemate). H-NMR (400MHz, DMSO-d
6): δ [ppm]= 1.08 (d, 3H), 2.39 (dd, 1 H), 2.79 (dd, 1 H), 3.38 - 3.53 (m, 1 H), 3.87 - 4.09 (m, 1 H), 4.25 - 4.47 (m, 1 H), 4.83 (d, 4H), 6.28 (dt, 1 H), 7.44 (d, 1 H), 7.65 - 7.73 (m, 2H), 7.73 - 7.84 (m, 2H), 8.50 (d, 1 H), 8.61 (s, 1 H), 8.66 (s, 1 H). Chiral HPLC (System Agilent HPLC 1260; Saule: Chiralpak IE 3μ 100x4,6mm; Eluent A: Acetonitril + 0.1 Vol-% Diethylamin (99%); Eluent B: Ethanol; Isocratic: 80%A+20%B; Flow 1.0 ml/min; Temperatur: 25 °C; DAD @ 325 nm): Rt = 5.88 min, 99% enantiomeric excess.
Optical rotation (Method 5): [a] = -277.0° (c = 1.00, DMSO).
Example 63 N-{4-[(4S)-1 -cyclopropyl-4-methyl-6-oxo-1 ,4,5,6-tetrahydropyridazin-3-yl]phenyl}-1 ,3-dihydro-2H- pyrrolo[3,4-c]pyridine-2-carboxamide or N-{4-[(4R)-1 -cyclopropyl-4-methyl-6-oxo-1 ,4,5,6- tetrahydropyridazin-3-yl]phenyl}-1 ,3-dihydro-2H-pyrrolo[3,4-c]pyridine-2-carboxamide
A sample of the racemic product Example 17 was separated using chiral HPLC (System: Labomatic HD3000, AS-3000, Labcol Vario 4000 Plus, Knauer DAD 2600; Saule: Chiralpak IC 5μ 250x30mm Nr.:030; Eluent A: Methanol + 0.1 Vol-% Diethylamin (99%); Eluent B: Ethanol; Isocratic: 50%A+50%B; Flow 60.0 ml/min; UV @ 325 nm) to give the first eluting enantiomer N- {4-[1 -cyclopropyl-4-methyl-6-oxo-1 ,4,5,6-tetrahydropyridazin-3-yl]phenyl}-1 ,3-dihydro-2H- pyrrolo[3,4-c]pyridine-2-carboxamide (536 mg, 26% from racemate). H-NMR (400MHz, DMSO-d
6): δ [ppm]= 0.69 - 0.84 (m, 3H), 0.84 - 0.95 (m, 1 H), 1.02 (d, 3H), 2.32 (d, 1 H), 2.71 (dd, 1 H), 3.33 - 3.41 (m, 1 H), 3.44 - 3.59 (m, 1 H), 4.82 (d, 4H), 7.44 (d, 1 H), 7.58 - 7.78 (m, 4H), 8.50 (d, 1 H), 8.62 (d, 2H).
Chiral HPLC (System Agilent HPLC 1260; Saule: Chiralpak IC 3μ 100x4,6mm; Eluent A: Methanol + 0.1 Vol-% Diethylamin (99%); Eluent B: Ethanol; Isocratic: 50%A+50%B; Flow 1.0 ml/min; Temperatur: 25 °C; DAD @ 325 nm): Rt = 10.07 min, 99% enantiomeric excess.
Optical rotation (Method 5): [a] = +371.2° (c = 1.00, DMSO).
Example 64
N-{4-[(4R)-1 -cyclopropyl-4-methyl-6-oxo-1 ,4,5,6-tetrahydropyridazin-3-yl]phenyl}-1 ,3-dihydro-2H- pyrrolo[3,4-c]pyridine-2-carboxamide or N-{4-[(4S)-1 -cyclopropyl-4-methyl-6-oxo-1 ,4,5,6- tetrahydropyridazin-3-yl]phenyl}-1 ,3-dihydro-2H-pyrrolo[3,4-c]pyridine-2-carboxamide
OR
A sample of the racemic product Example 17 was separated using chiral HPLC (System: Labomatic HD3000, AS-3000, Labcol Vario 4000 Plus, Knauer DAD 2600; Saule: Chiralpak IC 5μ 250x30mm Nr.:030; Eluent A: Methanol + 0.1 Vol-% Diethylamin (99%); Eluent B: Ethanol; Isocratic: 50%A+50%B; Flow 60.0 ml/min; UV @ 325 nm) to give the second eluting N-{4-[1- cyclopropyl-4-methyl-6-oxo-1 ,4,5,6-tetrahydropyridazin-3-yl]phenyl}-1 ,3-dihydro-2H-pyrrolo[3,4- c]pyridine-2-carboxamide (527 mg, 25% from racemate). H-NMR (400MHz, DMSO-d6): δ [ppm]= 0.69 - 0.84 (m, 3H), 0.84 - 0.95 (m, 1 H), 1.02 (d, 3H), 2.32 (d, 1 H), 2.71 (dd, 1 H), 3.33 - 3.41 (m, 1 H), 3.44 - 3.59 (m, 1 H), 4.82 (d, 4H), 7.44 (d, 1 H), 7.58 - 7.78 (m, 4H), 8.50 (d, 1 H), 8.62 (d, 2H).
Chiral HPLC (System Agilent HPLC 1260; Saule: Chiralpak IC 3μ 100x4,6mm; Eluent A: Methanol + 0.1 Vol-% Diethylamin (99%); Eluent B: Ethanol; Isocratic: 50%A+50%B; Flow 1.0 ml/min; Temperatur: 25 °C; DAD @ 325 nm): Rt = 15.52 min, 99% enantiomeric excess. Optical rotation (Method 5): [a] = -399.9° (c = 1.00, DMSO).
Example 65 N-[4-(1 ,5-dimethyl-6-oxo-1 ,4,5,6-tetrahydropyridazin-3-yl)phenyl]-1 ,3-dihydro-2H- pyrrolo[3,4-c]pyridine-2-carboxamide
The described product was prepared in a manner analogous to that described in the preparation of Example 38 starting from 50 mg of Intermediate 68 (0.23 mmol) and 2,3-dihydro-1 H- pyrrolo[3,4-c]pyridine dihydrochloride (53 mg, 0.28 mmol) to yield 4.3 mg of the desired product (5%). H-NMR (400MHz, DMSO-d6): δ [ppm] = 1.13 (d, 3H), 2.52 - 2.72 (m, 2H), 3.13 (dd, 1 H), 3.31 (s, 3H), 4.82 (d, 4H), 7.44 (d, 1 H), 7.55 - 7.82 (m, 4H), 8.50 (d, 1 H), 8.62 (d, 2H).
UPLC-MS (Method 3): Rt = 0.82 min. MS (ESIpos): m/z (M+H)+ 364. Example 66
N-{4-[(4S)-1 -isopropyl-4-methyl-6-oxo-1 ,4,5,6-tetrahydropyridazin-3-yl]phenyl}-1 ,3-dihydro-2H- pyrrolo[3,4-c]pyridine-2-carboxamide or N-{4-[(4R)-1-isopropyl-4-methyl-6-oxo-1 ,4,5,6- tetrahydropyridazin-3-yl]phenyl}-1 ,3-dihydro-2H-pyrrolo[3,4-c]pyridine-2-carboxamide
OR
A sample of the racemic product Example 29 was separated using chiral HPLC (Instrument: Labomatic Pumpe HD-5000, Labomatic SP-3000, Labocord 5000, Labomatic Labcol Vario 4000, Gilson GX-241 ; Column: Chiralpak IC 5μηι 250x30 mm Nr.030; Solvent: Ethanol / Methanol / DEA 50:50:0.1 (v/v/v) Flow: 30 mL/min; Temperature: RT; MWD 254 nm) to give the first eluting enantiomer N-[4-(1-isopropyl-4-methyl-6-oxo-1 ,4,5,6-tetrahydropyridazin-3- yl)phenyl]-1 ,3-dihydro-2H-pyrrolo[3,4-c]pyridine-2-carboxamide (145 mg, 29% from racemate). H-NMR (400MHz, DMSO-d6): δ [ppm]= 1.04 (d, 3H), 1.15 (d, 3H), 1.21 - 1.31 (m, 3H), 2.21 - 2.39 (m, 1 H), 2.60 - 2.80 (m, 1 H), 3.37 (d, 1 H), 4.71 - 4.99 (m, 5H), 7.44 (d, 1 H), 7.59 - 7.72 (m, 2H), 7.72 - 7.85 (m, 2H), 8.51 (d, 1 H), 8.63 (d, 2H).
Chiral HPLC (Instrument: Agilent: 1260, MWD, Column: Chiralpak IC 3μηι 100x4.6 mm; Solvent: Ethanol / Methanol / DEA 50:50:0.1 Flow 1.0ml/min; Temperature: RT °C; Injektion: 5 μΙ; DAD: 254 nm; Losung: 1.0 mg/mL Methanol): Rt = 6.36 min, 99% enantiomeric excess. Optical rotation (Method 5): [a] = +363.5° (c = 1.00, DMSO).
Example 67
N-{4-[(4R)-1 -isopropyl-4-methyl-6-oxo-1 ,4,5,6-tetrahydropyridazin-3-yl]phenyl}-1 ,3-dihydro-2H- pyrrolo[3,4-c]pyridine-2-carboxamide or N-{4-[(4S)-1-isopropyl-4-methyl-6-oxo-1 ,4,5,6- tetrahydropyridazin-3-yl]phenyl}-1 ,3-dihydro-2H-pyrrolo[3,4-c]pyridine-2-carboxamide
A sample of the racemic product Example 29 was separated using chiral HPLC (Instrument: Labomatic Pumpe HD-5000, Labomatic SP-3000, Labocord 5000, Labomatic Labcol Vario 4000, Gilson GX-241 ; Column: Chiralpak IC 5μηι 250x30 mm Nr.030; Solvent: Ethanol / Methanol / DEA 50:50:0.1 (v/v/v) Flow: 30 mL/min; Temperature: RT; MWD 254 nm) to give the second eluting enantiomer N-[4-(1-isopropyl-4-methyl-6-oxo-1 ,4,5,6-tetrahydropyridazin-3- yl)phenyl]-1 ,3-dihydro-2H-pyrrolo[3,4-c]pyridine-2-carboxamide (140 mg, 28% from racemate). H-NMR (400MHz, DMSO-d6): δ [ppm]= 1.04 (d, 3H), 1.15 (d, 3H), 1.21 - 1.31 (m, 3H), 2.21 - 2.39 (m, 1 H), 2.60 - 2.80 (m, 1 H), 3.37 (d, 1 H), 4.71 - 4.99 (m, 5H), 7.44 (d, 1 H), 7.59 - 7.72 (m, 2H), 7.72 - 7.85 (m, 2H), 8.51 (d, 1 H), 8.63 (d, 2H).
Chiral HPLC (Instrument: Agilent: 1260, MWD, Column: Chiralpak IC 3μηι 100x4.6 mm; Solvent: Ethanol / Methanol / DEA 50:50:0.1 Flow 1.0ml/min; Temperature: RT °C; Injektion: 5 μΙ; DAD: 254 nm; Losung: 1.0 mg/mL Methanol): Rt = 9.73 min, 98% enantiomeric excess. Optical rotation (Method 5): [a] = -406.1 ° (c = 1.00, DMSO). Example 68
N-{4-[1-(3-hydroxypropyl)-4-methyl-6-oxo-1 ,4,5,6-tetrahydropyridazin-3-yl]phenyl}-1 ,3-dihydro- 2H-pyrrolo[3,4-c]pyridine-2-carboxamide
The described product was prepared in a manner analogous to that described in the preparation of Example 1 starting from 100 mg of Intermediate 76 (0.27 mmol) and 2,3-dihydro-1 H- pyrrolo[3,4-c]pyridine dihydrochloride (52 mg, 0.27 mmol) to yield 9 mg of the desired product (7.9%). H-NMR (400MHz, DMSO-d6): δ [ppm] = 1.06 (d, 3H), 1.76 (quin, 2H), 2.19 - 2.38 (m, 1 H), 2.63 - 2.81 (m, 1 H), 3.36 - 3.51 (m, 3H), 3.61 - 3.74 (m, 1 H), 3.83 - 3.99 (m, 1 H), 4.47 (t, 1 H), 4.83 (d, 4H), 7.44 (d, 1 H), 7.62 - 7.70 (m, 2H), 7.71 - 7.82 (m, 2H), 8.50 (d, 1 H), 8.65 (s, 1 H), 8.62 (s, 1 H).
Example 69
N-{4-[1-(2-hydroxyethyl)-4-methyl-6-oxo-1 ,4,5,6-tetrahydropyridazin-3-yl]phenyl}-1 ,3-dihydro-2H- pyrrolo[3,4-c]pyridine-2-carboxamide
To a solution of Intermediate 104 (1.72, 2.54 mmol) in THF (50 mL) was added at r.t. tetrabutylammonium fluoride (1 M in THF, 2.54 mL, 2.54 mmol) and the mixture was stirred for 1 h at that temperature. After that more tetrabutylammonium fluoride (1 M in THF, 1.27 mL, 1 .27 mmol) was added and the mixture was stirred for further 4 h at r.t.. Then the reaction mixture was diluted with water and extracted with ethyl acetate (3 x). The combined organic extracts were washed with saturated aqueous NaHC03-solution, filtered through a silicone filter and the solvent was removed under reduced pressure. The crude product was purified by column chromatography (silica gel, ethyl acetate/ethanol gradient) to give the title compound (0.95 g, 91 % purity, 2.20 mmol, 86%). H-NMR (400 MHz, DMSO-cfe): δ [ppm] = 8.64 (d, 1 H), 8.51 (d, 1 H), 7.78-7.72 (m, 2H), 7.71- 7.64 (m, 2H), 7.45 (d, 1 H), 4.83 (br d, 4H), 4.69 (t, 1 H), 3.93 (dt, 1 H), 3.75-3.66 (m, 1 H), 3.64- 3.57 (m, 2H), 3.43-3.36 (m, 1 H), 2.72 (dd, 1 H), 2.30 (dd, 1 H), 1.08 (d, 3H).
LC-MS (Method 1 ): Rt = 0.58 min; MS (ESIpos): m/z = 394 [M+H]+.
Example 70
N-(4-{1-[2-(1 ,3-dioxo-1 ,3-dihydro-2H-isoindol-2-yl)ethyl]-4-methyl-6-oxo-1 ,4,5,6- tetrahydropyridazin-3-yl}phenyl)-1 ,3-dihydro-2H-pyrrolo[3,4-c]pyridine-2-carboxamide
To a solution of triphenylphosphine (1.14 g, 4.35 mmol) and phthalimide (0.32 g, 2.17 mmol) in THF (20 mL) was added at 0°C Example 69 (0.95 g, 2.17 mmol). Then DIAD (0.86 mL, 4.385 mmol) was added and the mixture was stirred ar r.t. for 14 h. After that the mixture was concentrated under redcuced pressure and purified by column chromatography (silica gel, n- hexane/ethyl acetate) to give the title compound (1.07 g, 81 % purity, 1.37 mmol, 63 %). H-NMR (400 MHz, DMSO-cfe): δ [ppm] = 8.80 (s, 1 H), 8.70-8.63 (m, 2H), 7.82 (ddd, 4H), 7.75 (d, 1 H), 7.52-7.45 (m, 2H), 7.44-7.38 (m, 2H), 4.91 (br d, 4H), 4.09-3.97 (m, 2H), 3.96-3.83 (m, 2H), 3.32 (quin, 1 H), 2.60-2.53 (m, 1 H), 2.25 (d, 1 H), 0.99 (d, 3H) LC-MS (Method 1 ): Rt = 0.79 min; MS (ESIpos): m/z = 523 [M+H]+.
Example 71
N-{4-[1-(2-aminoethyl)-4-methyl-6-oxo-1 ,4,5,6-tetrahydropyridazin-3-yl]phenyl}-1 ,3-dihydro-2H- pyrrolo[3,4-c]pyridine-2-carboxamide
To a solution of Example 70 (0.97 g, 1.50 mmol) in THF (5 ml.) was added at r.t. hydrazine monohydrate (0.29 ml_, 6.01 mmol) and the mixture was stirred at that temperature for 14 h. After that the mixture was diluted with water and washed with ethyl acetate (3 x). The aqueous phase was then lyophilized and the residue taken up in water, basified with NaHCC>3, again washed with ethyl acetate and then extracted with dichloromethane/isopropanol (4: 1 ) (6 x). The combined organic extracts were washed with brine and filtered through a phase separator filter. After removal of the solvent under reduced pressure the crude product was purified by preparative HPLC to give the title compound (59.0 mg, 0.15 mmol, 10%). HPLC: Instrument: Waters Autopurification system; column: Waters XBrigde C18 5μ 100x30mm; Eluent A: Wasser + 0.2 Vol-% aq. ammonia (32%), Eluent B: methanol; gradient: 0.00-0.50 min 32% B (25->70ml_/min), 0.51-5.50 min 32-51 % B (70ml_/min), DAD scan: 210-400 nm.
LC-MS (Method 6): Rt = 0.72 min; MS (ESIpos): m/z = 393 [M+H]+.
Example 72 N-{4-[1-(2-hydroxyethyl)-5,5-dimethyl-6-oxo-1 ,4,5,6-tetrahydropyridazin-3-yl]phenyl}-1 ,3-dihydro- 2H-pyrrolo[3,4-c]pyridine-2-carboxamide
To a solution Intermediate 106 (500 mg, 1.34 mmol) in THF (15 ml.) was added at r.t. 4- nitrophenylchloroformate (270 mg, 1.34 mmol) and the mixture stirred for 14 h at that temperature. After concentrating the mixture under reduced pressure the residue was taken up in dichloromethane (40 ml.) and A/,A/-diisopropylethyl amine (0.78 ml_, 4.4 mmol) and 2,3- dihydro-1 H-pyrrolo[3,4-c]pyridine dihydrochloride (274 mg, 1.42 mmol) were added. The reaction mixture was heated to 60°C for 4h and then poured on water. After basification of the mixture with 1 N aqueous sodium hydroxide solution the mixture was extracted with dichloromethane (2 x). The combined organic extracts were washed with brine and filtered through a phase separator filter. The residue on the filter was dried at 50°C under vacuum to give the title compound (446 mg, 1.03 mmol, 72%). H-NMR (400 MHz, DMSO-cfe): δ [ppm] = 8.77 (s, 1 H), 8.71 (s, 1 H), 8.65 (d, 1 H), 7.76-7.64 (m, 5H), 4.95-4.86 (m, 4H), 3.80 (br t, 2H), 3.60 (t, 2H), 2.84 (s, 2H), 1.09 (s, 6H).
LC-MS (Method 6): Rt = 0.79 min; MS (ESIpos): m/z = 408 [M+H]+.
Example 73
N-(4-{1-[2-(1 ,3-dioxo-1 ,3-dihydro-2H-isoindol-2-yl)ethyl]-5,5-dimethyl-6-oxo-1 ,4,5,6- tetrahydropyridazin-3-yl}phenyl)-1 ,3-dihydro-2H-pyrrolo[3,4-c]pyridine-2-carboxamide
To a solution of Intermediate 108 (200 mg, 0.51 mmol) in THF (5 ml.) was added at r.t. 4- nitrophenylchloroformate (103 mg, 0.51 mmol) and the mixture was heated to 60°C for 3 h. After cooling to r.t. the mixture was concentrated under reduced pressure and taken up in dichloromethane (5 ml_). To this mixture was added at r.t. A/,A/-diisopropylethylamine (0.27 ml_, 1.56 mmol) and 2,3-dihydro-1 H-pyrrolo[3,4-c]pyridine dihydrochloride (97.0 mg, 0.50 mmol) and the mixture stirred for 20 h at that temperature. After that more A/,A/-diisopropylethylamine (1.5 ml.) and THF (25 ml.) was added and the mixture was stirred for 30 min at r.t. and then heated to 60°C. After cooling to r.t. the mixture was poured on water, basified with aqueous 1 N NaOH and extracted with dichloromethane (2 x). The combined organic extracts were washed with brine and filtered through a silicone filter. Removal of the solvent gave the crude product which was purified by column chromatography (silica gel, hexane/ethyl acetate gradient) to give the title compound (183 mg, 0.34 mmol, 68%). H-NMR (400 MHz, DMSO-ck): δ [ppm] = 8.62 (s, 1 H), 8.59 (s, 1 H), 8.51 (d, 1 H), 7.82 (ddd, 4H), 7.54-7.48 (m, 2H), 7.45 (d, 1 H), 7.41 -7.37 (m, 2H), 4.82 (br d, 4H), 4.04-3.98 (m, 2H), 3.91 -3.86 (m, 2H), 2.73 (s, 2H), 0.98 (s, 6H).
LC-MS (Method 1 ): Rt = 0.90 min; MS (ESIpos): m/z = 537 [M+H]+.
Example 74 N-{4-[1-(2-aminoethyl)-5,5-dimethyl-6-oxo-1 ,4,5,6-tetrahydropyridazin-3-yl]phenyl}-1 ,3-dihydro- 2H-pyrrolo[3,4-c]pyridine-2-carboxamide
To a solution of Example 73 (143 mg, 0.27 mmol) in THF (2 ml.) was added at r.t. hydrazine monohydrate (14.3 μΙ_, 0.29 mmol) and the mixture stirred for 4 h at that temperature. After that the mixture was poured on water and extracted with ethyl acetate (3 x). The combined organic abstracts were washed with brine and filtered through a phase separator filter. After removal of the solvent under reduced pressure the crude product was purified by preparative HPLC to give the title compound (64.0 mg, 0.15 mmol, 58%). HPLC: Instrument: Labomatic HD-3000, pump head HDK-280, gradient module NDB-1000, fraction collector Labomatic Labocol Vario 4000, Knauer UV detector Azura UVD 2.15, Prepcon 5 software. Column: XBridge C18 5μηι, 100x30 mm. Eluent A: 0.1 % aqueous ammonia; Eluent B: acetonitrile; gradient: 0-20 min 15-55% B. rate 60 ml/min, temperature 25°C. H-NMR (400 MHz, DMSO-cfe): δ [ppm] = 8.65 (s, 1 H), 8.62 (s, 1 H), 8.51 (d, 1 H), 7.75-7.64 (m, 4H), 7.45 (d, 1 H), 4.83 (br d, 4H), 3.72 (t, 2H), 2.85 (s, 2H), 2.77 (t, 2H), 1.53 (br s, 2H), 1.09 (s, 6H).
LC-MS (Method 6): Rt = 0.79 min; MS (ESIpos): m/z = 407 [M+H]+.
Example 75 N-[5-(1 ,4-dimethyl-6-oxo-1 ,4,5,6-tetrahydropyridazin-3-yl)pyridin-2-yl]-5,7-dihydro-6H- pyrrolo[3,4-b]pyridine-6-carboxamide
To a solution of Intermediate 83, 45 mg (0.21 mmol) in acetonitrile, 6ml_, was added Ν,Ν'- disuccinimidyl carbonate, 63.38 mg (0.25 mmol). The reaction was stirred at room temperature for 18 hours in a sealed tube. To a suspension of 2,3-dihydro-1 H- pyrrolo[3,4-c]pyridine hydrochloride, 32 mg (0.21 mmol) in acetonitrile, 1 mL, was added triethylamine, 0.057 mL (0.41 mmol), the slurry was transferred to the tube and the reaction was left to stir at room temperature for 18 hours. The reaction mixture was diluted with water and extracted with ethyl acetate. The combined organics were dried over solid sodium sulfate and concentrated under vacuum. Purification by MDAP (Eluent: Acetonitrile: 0.1 % NH40H 5:90, 40:60) gave 102.4, 15.9 mg (21 %) as a white solid.
1 H NMR (300 MHz, CDCI3): δ [ppm] = 1 .23 (d, 3H), 2.50 (d, 1 H), 2.70 (dd, 1 H), 3.27 (m, 1 H), 3.47 (s, 3H), 4.92 (d, 4H), 7.32 (m, 1 H), 8.14 (m, 1 H), 8.22 (m, 1 H), 8.58-8.64 (m, 3H). UPLC-MS (Method 4): Rt= 1 .31 min., 99% ES (ESIpos) [M+H]+ 365.
Example 76
N-[5-(1 ,4-dimethyl-6-oxo-1 ,4,5,6-tetrahydropyridazin-3-yl)pyridin-2-yl]-1 ,3-dihydro-2H- pyrrolo[3,4-c]pyridine-2-carboxamide
To a solution of Intermediate 83 45 mg (0.21 mmol) in acetonitrile, 6ml_, was added Ν,Ν'- disuccinimidyl carbonate, 63.38 mg (0.25 mmol). The reaction was stirred at room temperature for 18 hours in a sealed tube. To a suspension of 2,3-dihydro-1 H-pyrrolo[3,4-c]pyridine hydrochloride, 32 mg (0.21 mmol) in acetonitrile, 1 ml_, was added triethylamine, 0.057 ml. (0.41 mmol), the slurry was transferred to the tube and the reaction was left to stir at room temperature for 18 hours. The reaction mixture was diluted with water and extracted with ethyl acetate. The combined organics were dried over solid sodium sulfate and concentrated under vacuum. Purification by MDAP (Eluent: Acetonitrile: 0.1 % NH40H 5:90, 40:60) gave 102.4, 15.9 mg (21 %) as a white solid. H NMR (300 MHz, CDCI3): δ [ppm] = 1 .23 (d, 3H), 2.50 (d, 1 H), 2.70 (dd, 1 H), 3.27 (m, 1 H), 3.47 (s, 3H), 4.92 (d, 4H), 7.32 (m, 1 H), 8.14 (m, 1 H), 8.22 (m, 1 H), 8.58-8.64 (m, 3H).
UPLC-MS (Method 4): Rt= 1.31 min., 99% ES (ESIpos) [M+H]+ 365. Example 77
N-[4-(4-lsopropyl-1-methyl-6-oxo-1 ,4,5,6-tetrahydropyridazin-3-yl)phenyl]-5,7-dihydro-6H- pyrrolo[3,4-b]pyridine-6-carboxamide
To a solution of 6-(4-aminophenyl)-5-isopropyl-2-methyl-4,5-dihydropyridazin-3(2H)-one Intermediate 91 , 50 mg (0.20 mmol) and 4-dimethylaminopyridine, 30 mg (0.25 mmol) in tetrahydrofuran, 5 mL, Ν,Ν'-disuccinimidyl carbonate, 63 mg (0.25 mmol) was added. After 2 hours at room temperature, 6,7-dihydro-5H-pyrollo[3,4-b]pyridine dihydrochloride, 47 mg (147740-02-1 , 0.25 mmol) and triethylamine, 0.14 mL (1.02 mmol) were added. The reaction was stirred for a further 16 hours. The reaction mixture was diluted with a saturated solution of ammonium chloride and extracted with ethyl acetate. The combined organic layers were dried over sodium sulfate, filtered and concentrated under vacuum. The crude compound was purified by reverse phase chromatography (BIOTAGE SP4, 30 g Biotage cartridge) using acetonitrile and water containing 10mM ammonium bicarbonate pH 10 buffer (3:97 to 100:0) to give Example 77, 33 mg, (40%) as a colourless solid. H NMR (400 MHz, CDCI
3): δ [ppm] = 0.89 (m, 6H), 1.96 (m, 1 H), 2.56 (dd, 1 H), 2.66 (d, 1 H), 3.04 (m, 1 H), 3.45 (s, 3H), 4.88 (d, 4H), 6.51 (s, 1 H), 7.25 (m, 1 H), 7.53 (d, 2H), 7.63 (d, 1 H), 7.73 (d, 2H), 8.53 (d, 1 H). LCMS (Method 3, 1 1 min runtime): R
t = 4.98 min., 98%. MS (ESIpos): m/z = [M+H]
+ 392.
Example 78
N-[4-(4-lsopropyl-1-methyl-6-oxo-1 ,4,5,6-tetrahydropyridazin-3-yl)phenyl]-1 ,3-dihydro-2H- pyrrolo[3,4-c]pyridine-2-carboxamide

To a solution of 6-(4-aminophenyl)-5-isopropyl-2-methyl-4,5-dihydropyridazin-3(2H)-one Intermediate 91 , 50 mg (0.20 mmol) and 4-dimethylaminopyridine, 30 mg (0.25 mmol) in tetrahydrofuran, 5 mL, Ν,Ν'-disuccinimidyl carbonate, 63 mg (0.25 mmol) was added. After 2 hours at room temperature 2,3-dihydro-1 H-pyrollo[3,4-c]pyridine dihydrochloride, 59 mg (6000- 50-6, 0.31 mmol) and triethylamine, 0.29 mL, (2.04 mmol) dissolved in N,N dimethylformide (3 mL) were added and the mixture was stirred for a further 16 hours. The reaction mixture was diluted with a saturated solution of ammonium chloride and extracted with ethyl acetate. The combined organic layers were dried over solid sodium sulfate, filtered and concentrated under vacuum. The crude compound was purified by reverse phase chromatography (BIOTAGE SP4, 30 g Biotage cartridge) using acetonitrile and water containing 10mM ammonium bicarbonate pH 10 buffer (3:97 to 100:0) to give Example 78, 31 mg (42%) as a colourless solid. H NMR (400 MHz, CDCI
3): δ [ppm] = 0.89 (m, 6H), 1.96 (m, 1 H), 2.56 (dd, 1 H), 2.70 (d, 1 H), 3.04 (m, 1 H), 3.41 (s, 3H), 4.89 (d, 4H), 6.44 (s, 1 H), 7.33 (m, 1 H), 7.51 (d, 2H), 7.73 (d, 2H), 8.59 (m, 1 H), 8.65 (m, 1 H).
UPLC (Method 3): R = 0.61 min., 95%. MS (ESIpos): m/z = [M+H]+ 392. Example 79
N-{4-[1-(2,2-difluoroethyl)-4-methyl-6-oxo-1 ,4,5,6-tetrahydropyridazin-3-yl]phenyl}-5,7-dihydro- 6H-pyrrolo[3,4-b]pyridine-6-carboxamide
The described product was prepared in a manner analogous to that described in the preparation of Example 1 starting from 150 mg of Intermediate 74 (0.56 mmol) and 6,7-dihydro-5H- pyrrolo[3,4-b]pyridine dihydrochloride (130 mg, 0.67 mmol) to yield 30 mg of the desired product (13%). H-NMR (400MHz, DMSO-d6): δ [ppm] = 1.08 (d, 3H), 2.35 - 2.43 (m, 1 H), 2.79 (dd, 1 H), 3.40 - 3.50 (m, 1 H), 3.92 - 4.07 (m, 1 H), 4.28 - 4.43 (m, 1 H), 4.80 (d, 4H), 6.1 1 - 6.44 (m, 1 H), 7.34 (dd, 1 H), 7.68 - 7.73 (m, 2H), 7.74 - 7.79 (m, 2H), 7.81 (dd, 1 H), 8.48 (dd, 1 H), 8.64 (s, 1 H).
UPLC-MS (Method 2): Rt = 0.92 min. MS (ESIpos): m/z [M+H]+ 414. Example 80
N-{4-[1-(3-methoxypropyl)-4-methyl-6-oxo-1 ,4,5,6-tetrahydropyridazin-3-yl]phenyl}-5,7-dihydro- 6H-pyrrolo[3,4-b]pyridine-6-carboxamide
The described product was prepared in a manner analogous to that described in the preparation of Example 1 starting from 200 mg of Intermediate 93 (0.73 mmol) and 6,7-dihydro-5H- pyrrolo[3,4-b]pyridine dihydrochloride (150 mg, 0.78 mmol) to yield 220 mg of the desired product (75%). H-NMR (400MHz, DMSO-d6): δ [ppm] = 1.19 (d, 3H), 2.46 (br d, 1 H), 2.97 (dd, 1 H), 3.47 - 3.57 (m, 1 H), 3.78 (s, 3H), 4.83 (br d, 4H), 6.88 (ddd, 1 H), 7.07 - 7.15 (m, 2H), 7.30 - 7.39 (m, 1 H), 7.44 (d, 1 H), 7.66 - 7.84 (m, 4H), 8.50 (d, 1 H), 8.59 - 8.71 (m, 2H).
UPLC-MS (Method 2): Rt = 0.82 min. MS (ESIpos): m/z [M+H]+ 456. Example 81
N-{4-[1-(3-methoxypropyl)-4-methyl-6-oxo-1 ,4,5,6-tetrahydropyridazin-3-yl]phenyl}-1 ,3-dihydro- 2H-pyrrolo[3,4-c]
The described product was prepared in a manner analogous to that described in the preparation of Example 1 starting from 200 mg of Intermediate 93 (0.73 mmol) and 2,3-dihydro-1 H- pyrrolo[3,4-c]pyridine dihydrochloride (168 mg, 0.87 mmol) to yield 40 mg of the desired product (13%). H-NMR (400MHz, DMSO-d6): δ [ppm] = 1.06 (d, 3H), 1.83 (quin, 2H), 2.26 - 2.34 (m, 1 H), 2.65 - 2.74 (m, 1 H), 3.32 - 3.45 (m, 6H), 3.68 (dt, 1 H), 3.85 - 3.96 (m, 1 H), 4.83 (br d, 4H), 7.44 (d, 1 H), 7.64 - 7.70 (m, 2H), 7.72 - 7.78 (m, 2H), 8.50 (d, 1 H), 8.63 (d, 2H). UPLC-MS (Method 2): Rt = 0.69 min. MS (ESIpos): m/z [M+H]+ 422. Example 82
N-{4-[1-(2-methoxyethyl)-4-methyl-6-oxo-1 ,4,5,6-tetrahydropyridazin-3-yl]phenyl}-1 ,3-dihydro^ 2H-pyrrolo[3,4-c]py
The described product was prepared in a manner analogous to that described in the preparation of Example 1 starting from 220 mg of Intermediate 94 (0.84 mmol) and 2,3-dihydro-1 H- pyrrolo[3,4-c]pyridine dihydrochloride (205 mg, 1.01 mmol) to yield 40 mg of the desired product (13%). H-NMR (400MHz, DMSO-de): δ [ppm] = 1.07 (d, 3H), 2.31 (dd, 1 H), 2.71 (dd, 1 H), 3.22 - 3.25 (m, 3H), 3.50 - 3.61 (m, 2H), 3.68 - 3.79 (m, 1 H), 4.03 - 4.16 (m, 1 H), 4.83 (d, 4H), 7.44 (d, 1 H), 7.64 - 7.69 (m, 2H), 7.71 - 7.78 (m, 2H), 8.50 (d, 1 H), 8.63 (d, 2H).
UPLC-MS (Method 2): Rt = 0.64 min. MS (ESIpos): m/z [M+H]+ 408. Example 83
N-{4-[(4S)-1 -(2-methoxyethyl)-4-methyl-6-oxo-1 ,4,5,6-tetrahydropyridazin-3-yl]phenyl}-1 ,3- dihydro-2H-pyrrolo[3,4-c]pyridine-2-carboxamide OR N-{4-[(4R)-1-(2-methoxyethyl)-4-methyl-6- oxo-1 ,4,5,6-tetrahydropyridazin-3-yl]phenyl}-1 ,3-dihydro-2H-pyrrolo[3,4-c]pyridine-2- carboxamide
A sample of the racemic product Example 82 was separated using chiral HPLC (Instrument: Instrument: Agilent HPLC 1260; Saule: Chiralpak IE 3μ 100x4, 6mm; Eluent A: Ethanol + 0.1 Vol-% Diethylamin (99%); Flow 1.0 ml/min; 25 °C; DAD 325 nm) to give the first eluting enantiomer (215 mg, 39% from racemate). H-NMR (400MHz, DMSO-de): δ [ppm]= 1.07 (d, 3H), 2.31 (dd, 1 H), 2.71 (dd, 1 H), 3.22 - 3.25 (m, 3H), 3.50 - 3.61 (m, 2H), 3.68 - 3.79 (m, 1 H), 4.03 - 4.16 (m, 1 H), 4.83 (d, 4H), 7.44 (d, 1 H), 7.64 - 7.69 (m, 2H), 7.71 - 7.78 (m, 2H), 8.50 (d, 1 H), 8.63 (d, 2H). Chiral HPLC (Instrument: Labomatic HD5000, Labocord-5000; Gilson GX-241 , Labcol Vario 4000, Saule: Chiralpak IE 5μ 250x30mm; Eluent A: Ethanol + 0.1 Vol-% Diethylamin (99%); Fluss 20.0 ml/min; UV 325 nm): Rt = 5.45 min, >99.9% enantiomeric excess.
Optical rotation (Method 5): [a] = +334° (c = 1.00, DMSO).
Example 84 N-{4-[(4R)-1 -(2-methoxyethyl)-4-methyl-6-oxo-1 ,4,5,6-tetrahydropyridazin-3-yl]phenyl}-1 ,3- dihydro-2H-pyrrolo[3,4-c]pyridine-2-carboxamide OR N-{4-[(4S)-1-(2-methoxyethyl)-4-methyl-6- oxo-1 ,4,5,6-tetrahydropyridazin-3-yl]phenyl}-1 ,3-dihydro-2H-pyrrolo[3,4-c]pyridine-2- carboxamide
A sample of the racemic product Example 82 was separated using chiral HPLC (Instrument: Instrument: Agilent HPLC 1260; Saule: Chiralpak IE 3μ 100x4, 6mm; Eluent A: Ethanol + 0.1 Vol-% Diethylamin (99%); Flow 1.0 ml/min; 25 °C; DAD 325 nm) to give the second eluting enantiomer (215 mg, 39% from racemate). H-NMR (400MHz, DMSO-de): δ [ppm]= 1.07 (d, 3H), 2.31 (dd, 1 H), 2.71 (dd, 1 H), 3.22 - 3.25 (m, 3H), 3.50 - 3.61 (m, 2H), 3.68 - 3.79 (m, 1 H), 4.03 - 4.16 (m, 1 H), 4.83 (d, 4H), 7.44 (d, 1 H), 7.64 - 7.69 (m, 2H), 7.71 - 7.78 (m, 2H), 8.50 (d, 1 H), 8.63 (d, 2H). Chiral HPLC (Instrument: Labomatic HD5000, Labocord-5000; Gilson GX-241 , Labcol Vario 4000, Saule: Chiralpak IE 5μ 250x30mm; Eluent A: Ethanol + 0.1 Vol-% Diethylamin (99%); Fluss 20.0 ml/min; UV 325 nm): Rt = 8.17 min, 99.5% enantiomeric excess.
Optical rotation (Method 5): [a] = -287° (c = 1.00, DMSO).
Example 85 N-{4-[1-(2-methoxyethyl)-4-methyl-6-oxo-1 ,4,5,6-tetrahydropyridazin-3-yl]phenyl}-5,7-dihydro- 6H-pyrrolo[3,4-b]pyridine-6-carboxamide
The described product was prepared in a manner analogous to that described in the preparation of Example 1 starting from 368 mg of Intermediate 94 (1.41 mmol) and 6,7-dihydro-5H- pyrrolo[3,4-b]pyridine dihydrochloride (326 mg, 1.69 mmol) to yield 42 mg of the desired product (7%). H-NMR (400MHz, DMSO-d6): δ [ppm] = 1.00 - 1.13 (m, 3H), 2.31 (d, 1 H), 2.65 - 2.77 (m, 1 H), 3.24 (s, 3H), 3.56 (d, 2H), 3.66 - 3.77 (m, 1 H), 4.01 - 4.13 (m, 1 H), 4.80 (br. s., 4H), 7.27 - 7.37 (m, 1 H), 7.65 - 7.77 (m, 4H), 7.81 (d, 1 H), 8.48 (d, 1 H), 8.63 (s, 1 H).
UPLC-MS (Method 2): Rt = 0.84 min. MS (ESIpos): m/z [M+H]+ 408. Example 86
N-{4-[(4R)-4-methyl-6-oxo-1-(tetrahydro-2H-pyran-4-yl)-1 ,4,5,6-tetrahydropyridazin-3-yl]phen 5,7-dihydro-6H-pyrrolo[3,4-b]pyridine-6-carboxamide OR N-{4-[(4S)-4-methyl-6-oxo-1- (tetrahydro-2H-pyran-4-yl)-1 ,4,5,6-tetrahydropyridazin-3-yl]phenyl}-5,7-dihydro-6H-pyrrolo[3,4- b]pyridine-6-carboxamide
OR
A solution of Intermediate 97 (289 mg, 1.01 mmol, 1 .00 eq) in DCM (12 mL) was treated with 8 mL of an aqueous buffer solution (pH 7). The 2-phase system was stirred for 10 min at room temperature. Subsequently 4-nitrophenyl chloroformate (243 mg, 1.21 mmol, 1.20 eq) was added and the mixture was stirred at 40 °C for 12 h. The organic layer was separated, dried over Na2SC>4 and the volume was reduced. To this solution a mixture of 2,3-dihydro-1 H-pyrrolo[3,4- c]pyridine dihydrochloride (233 mg, 1 .21 mmol, 1.20 eq) and 3.00 eq DIPEA in DCM 1 140was added. The reaction mixture was stirred over night at room temperature. The reaction mixture was diluted with DCM and three times extracted with 1 M aqueous NaOH. The organic layer was dried over Na2S04 and the solvent was removed under reduced pressure. After trituration with diethyl ether 275 mg of the desired product were obtained (63%). H-NMR (500MHz, DMSO-d6): δ [ppm] = 1 .05 (d, 3H), 1.47 - 1 .59 (m, 2H), 1.86 (qd, 1 H), 2.09 (qd, 1 H), 2.33 (d, 1 H), 2.72 (dd, 1 H), 3.35 - 3.48 (m, 3H), 3.86 - 4.02 (m, 2H), 4.75 (tt, 1 H), 4.83 (br d, 4H), 7.44 (d, 1 H), 7.68 (d, 2H), 7.74 - 7.80 (m, 2H), 8.51 (d, 1 H), 8.58 - 8.68 (m, 2H).
UPLC-MS (Method 2): Rt = 0.70 min. MS (ESIpos): m/z [M+H]+ 434. Optical rotation (Method 5): [a] = -305° (c = 1.00, DMSO). Example 87
N-{4-[1-(3-methoxyphenyl)-4-methyl-6-oxo-1 ,4,5,6-tetrahydropyridazin-3-yl]phenyl}-1 ,3-dihydro- 2H-pyrrolo[3,4-c]pyridine-2-carboxamide
The described product was prepared in a manner analogous to that described in the preparation of Example 38 starting from 307 mg of Intermediate 98 (0.65 mmol) and 2,3-dihydro-1 H- pyrrolo[3,4-c]pyridine dihydrochloride (326 mg, 1.69 mmol) to yield 42 mg of the desired product (7%). H-NMR (400MHz, DMSO-de): δ [ppm] = 1.00 - 1.13 (m, 3H), 2.31 (d, 1 H), 2.65 - 2.77 (m, 1 H), 3.24 (s, 3H), 3.56 (d, 2H), 3.66 - 3.77 (m, 1 H), 4.01 - 4.13 (m, 1 H), 4.80 (br. s., 4H), 7.27 - 7.37 (m, 1 H), 7.65 - 7.77 (m, 4H), 7.81 (d, 1 H), 8.48 (d, 1 H), 8.63 (s, 1 H).
UPLC-MS (Method 2): Rt = 0.84 min. MS (ESIpos): m/z [M+H]+ 408.
Example 88
N-{4-[5,5-dimethyl-6-oxo-1-(tetrahydro-2H-pyran-4-yl)-1 ,4,5,6-tetrahydropyridazin-3-yl]phenyl}- 1 ,3-dihydro-2H-pyrrolo[3,4-c]pyridine-2-carboxamide
The described product was prepared in a manner analogous to that described in the preparation of Example 38 starting from 46.0 mg of Intermediate 49 (0.15 mmol) and 2,3-dihydro-1 H- pyrrolo[3,4-c]pyridine dihydrochloride (30.5 mg, 0.15 mmol) to yield 53 mg of the desired product (79%). H-NMR (400MHz, DMSO-d6): δ [ppm] = 1.07 (s, 6H), 1.52 (dd, 2H), 1.89 - 2.04 (m, 2H), 2.82 (s, 2H), 3.42 (t, 2H), 3.94 (dd, 2H), 4.59 - 4.74 (m, 1 H), 4.83 (d, 4H), 7.44 (d, 1 H), 7.65 - 7.70 (m, 2H), 7.71 - 7.78 (m, 2H), 8.50 (d, 1 H), 8.63 (d, 2H).
UPLC-MS (Method 2): Rt = 0.77 min. MS (ESIpos): m/z [M+H]+ 448. Example 89
N-[4-(1 ,5,5-trimethyl-6-oxo-1 ,4,5,6-tetrahydropyridazin-3-yl)phenyl]-5,8-dihydro-1 ,7- naphthyridine-7(6H)-carboxamide
The described product was prepared in a manner analogous to that described in the preparation of Example 38 starting from 50.0 mg of Intermediate 47 (0.22 mmol) and 5,6,7,8-tetrahydro-1 ,7- naphthyridine hydrochloride (44.3 mg, 0.15 mmol) to yield 44 mg of the desired product (52%) after preparative reverse phase HPLC. H-NMR (400MHz, DMSO-d6): δ [ppm] = 1.08 (s, 6H), 2.84 (s, 2H), 2.87 (t, 2H), 3.30 (s, 3H), 3.75 (t, 2H), 4.71 (s, 2H), 7.23 (dd, 1 H), 7.57 - 7.72 (m, 5H), 8.40 (dd, 1 H), 8.90 (s, 1 H). UPLC-MS (Method 2): Rt = 0.83 min. MS (ESIpos): m/z [M+H]+ 392. Example 90 N-[4-(1 ,5,5-trimethyl-6-oxo-1 ,4,5,6-tetrahydropyridazin-3-yl)phenyl]-3,4-dihydro-2,6- naphthyridine-2(1 H)-carboxamide
The described product was prepared in a manner analogous to that described in the preparation of Example 38 starting from 50.0 mg of Intermediate 47 (0.22 mmol) and 1 ,2,3,4-tetrahydro-2,6- naphthyridine hydrochloride (44.3 mg, 0.15 mmol) to yield 37 mg of the desired product (44%) after preparative reverse phase HPLC. H-NMR (400MHz, DMSO-de): δ [ppm] = 1.08 (s, 6H), 2.81 - 2.90 (m, 4H), 3.30 (s, 3H), 3.75 (t, 2H), 4.68 (s, 2H), 7.21 (d, 1 H), 7.57 (d, 2H), 7.70 (d, 2H), 8.35 (d, 1 H), 8.40 (s, 1 H), 8.87 (s, 1 H). UPLC-MS (Method 2): Rt = 0.68 min. MS (ESIpos): m/z [M+H]+ 392. Example 91
N-[4-(1 ,5,5-trimethyl-6-oxo-1 ,4,5,6-tetrahydropyridazin-3-yl)phenyl]-3,4-dihydro-2,7- naphthyridine-2(1 H)-carboxamide
The described product was prepared in a manner analogous to that described in the preparation of Example 38 starting from 50.0 mg of Intermediate 47 (0.22 mmol) and 1 ,2,3,4-tetrahydro-2,7- naphthyridine hydrochloride (44.3 mg, 0.15 mmol) to yield 39.5 mg of the desired product (47%) after preparative reverse phase HPLC. H-NMR (400MHz, DMSO-de): δ [ppm] = 1.08 (s, 6H), 2.84 (s, 2H), 2.87 (s, 2H), 3.30 (s, 3H), 3.73 (t, 2H), 4.69 (s, 2H), 7.22 (d, 1 H), 7.57 (d, 2H), 7.66 - 7.72 (m, 2H), 8.34 (d, 1 H), 8.41 (s, 1 H), 8.87 (s, 1 H).
UPLC-MS (Method 2): Rt = 0.68 min. MS (ESIpos): m/z [M+H]+ 392.
Example 92 N-{4-[1-(2-methoxyethyl)-5,5-dimethyl-6-oxo-1 ,4,5,6-tetrahydropyridazin-3-y^
dihydro-2H-pyrrolo[3,4-c ridine-2-carboxamide
The described product was prepared in a manner analogous to that described in the preparation of Example 38 starting from 45.0 mg of Intermediate 51 (0.16 mmol) and 2,3-dihydro-1 H- pyrrolo[3,4-C]pyridine dihydrochloride (38.0 mg, 0.20 mmol) to yield 47.0 mg of the desired product (68%). H-NMR (400MHz, DMSO-d6): δ [ppm] = 1.08 (s, 6H), 2.84 (s, 2H), 3.25 (s, 3H), 3.57 (t, 2H), 3.89 (t, 2H), 4.82 (d, 4H), 7.44 (d, 1 H), 7.63 - 7.76 (m, 4H), 8.50 (d, 1 H), 8.63 (d, 2H). UPLC-MS (Method 2): Rt = 0.72 min. MS (ESIpos): m/z [M+H]+ 422. Example 93
N-{4-[1-(2-methoxypropyl)-5,5-dimethyl-6-oxo-1 ,4,5,6-tetrahydropyridazin-3-yl]phenyl}-1 ,3- dihydro-2H-pyrrolo[3,4-c ridine-2-carboxamide
C H3 The described product was prepared in a manner analogous to that described in the preparation of Example 38 starting from 55.0 mg of Intermediate 53 (0.19 mmol) and 2,3-dihydro-1 H- pyrrolo[3,4-C]pyridine dihydrochloride (44.0 mg, 0.23 mmol) to yield 66.0 mg of the desired product (80%). H-NMR (400MHz, DMSO-d6): δ [ppm] = 1.08 (s, 6H), 1.83 (quin, 2H), 2.84 (s, 2H), 3.22 (s, 3H), 3.34 - 3.38 (m, 2H), 3.72 - 3.81 (m, 2H), 4.82 (br d, 4H), 7.44 (d, 1 H), 7.64 - 7.75 (m, 4H), 8.50 (d, 1 H), 8.63 (d, 2H). UPLC-MS (Method 2): Rt = 0.77 min. MS (ESIpos): m/z [M+H]+ 436. Example 94
N-{4-[1-(cyclopropylmethyl)-5,5-dimethyl-6-oxo-1 ,4,5,6-tetrahydropyridazin-3-yl]phenyl}-1 ,3- dihydro-2H-pyrrolo[3,4-c] ridine-2-carboxamide
The described product was prepared in a manner analogous to that described in the preparation of Example 38 starting from 49.0 mg of Intermediate 55 (0.18 mmol) and 2,3-dihydro-1 H- pyrrolo[3,4-C]pyridine dihydrochloride (41.8 mg, 0.22 mmol) to yield 72.0 mg of the desired product (96%). H-NMR (400MHz, DMSO-d6): δ [ppm] = 0.29 (dd, 2H), 0.44 (dd, 2H), 1 .09 (s, 6H), 1.12 - 1 .18 (m, 1 H), 2.84 (s, 2H), 3.60 (d, 2H), 4.82 (d, 4H), 7.44 (d, 1 H), 7.63 - 7.75 (m, 4H), 8.50 (d, 1 H), 8.63 (d, 2H).
UPLC-MS (Method 2): Rt = 0.87 min. MS (ESIpos): m/z [M+H]+ 418. Example 95 N-[4-(1 ,5,5-trimethyl-6-oxo-1 ,4,5,6-tetrahydropyridazin-3-yl)phenyl]-2,3-dihydro-1 H-pyrrolo[2,3- b]pyridine-1 -carboxamide
The described product was prepared in a manner analogous to that described in the preparation of Example 38 starting from 77.0 mg of Intermediate 47 (0.33 mmol) and 1 H,2H,3H-pyrrolo[3,2- B]pyridine dihydrochloride (77.1 mg, 0.40 mmol) to yield 72.4 mg of the desired product (91 %). H-NMR (400MHz, DMSO-d6): δ [ppm] = 1.09 (s, 6H), 2.87 (s, 2H), 3.26 (t, 2H), 3.32 (s, 3H), 4.19 (t, 2H), 7.12 (dd, 1 H), 7.64 - 7.71 (m, 2H), 7.72 - 7.79 (m, 2H), 7.98 - 8.09 (m, 2H), 8.84 (s,
1 H).
UPLC-MS (Method 2): Rt = 0.87 min. MS (ESIpos): m/z [M+H]+ 378. Example 96
N-[4-(1 ,5,5-trimethyl-6-oxo-1 ,4,5,6-tetrahydropyridazin-3-yl)phenyl]-5,7-dihydro-6H-pyrrolo[3,4- d]pyrimidine-6-carboxamide
The described product was prepared in a manner analogous to that described in the preparation of Example 38 starting from 76.0 mg of Intermediate 47 (0.33 mmol) and 6,7-dihydro-5H- pyrrolo[3,4-d]pyrimidine dihydrochloride (76.5 mg, 0.39 mmol) to yield 5.7 mg of the desired product (5%) after reverse phase preparative HPLC. H-NMR (400MHz, DMSO-d6): δ [ppm] = 1.08 (s, 6H), 2.85 (s, 2H), 3.31 (s, 3H), 4.82 (br d, 4H), 7.62 - 7.76 (m, 4H), 8.68 (s, 1 H), 8.84 (s, 1 H), 9.11 (s, 1 H). UPLC-MS (Method 2): Rt = 0.83 min. MS (ESIpos): m/z [M+H]+ 379. Example 97
N-{4-[5,5-dimethyl-6-oxo-1-(2,2,2-trifluoroethyl)-1 ,4,5,6-tetrahydropyridazin-3-yl]phenyl}-1 ,3- dihydro-2H-pyrrolo[3,4-c] ridine-2-carboxamide
The described product was prepared in a manner analogous to that described in the preparation of Example 38 starting from 50.0 mg of Intermediate 59 (0.17 mmol) and 2,3-dihydro-1 H- pyrrolo[3,4-C]pyridine dihydrochloride (39.0 mg, 0.20 mmol) to yield 35.0 mg of the desired product (37%) after reverse phase preparative HPLC. H-NMR (400MHz, DMSO-de): δ [ppm] = 1.13 (s, 6H), 2.94 (s, 2H), 4.57 (d, 2H), 4.83 (d, 4H), 7.42 - 7.46 (m, 1 H), 7.70 (q, 4H), 8.50 (d, 1 H), 8.61 (s, 1 H), 8.68 (s, 1 H). UPLC-MS (Method 2): Rt = 0.89 min. MS (ESIpos): m/z [M+H]+ 456.
Example 98
N-{4-[1-(cyclopropylmethyl)-4-methyl-6-oxo-1 ,4,5,6-tetrahydropyridazin-3-yl]phenyl}-1 ,3-dihydro- 2H-pyrrolo[3,4-c]pyridine-2-carboxamide
The described product was prepared in a manner analogous to that described in the preparation of Example 38 starting from 175 mg of Intermediate 99 (0.68 mmol) and 2,3-dihydro-1 H- pyrrolo[3,4-C]pyridine dihydrochloride (158 mg, 0.82 mmol) to yield 255 mg of the desired product (92%). H-NMR (400MHz, DMSO-de): δ [ppm] = 0.26 - 0.31 (m, 2H), 0.39 - 0.50 (m, 2H), 1.08 (d, 3H), 1.10 - 1.18 (m, 1 H), 2.31 (dd, 1 H), 2.72 (dd, 1 H), 3.35 - 3.44 (m, 1 H), 3.50 (dd, 1 H), 3.75 (dd, 1 H), 4.83 (d, 4H), 7.44 (d, 1 H), 7.64 - 7.71 (m, 2H), 7.72 - 7.78 (m, 2H), 8.50 (d, 1 H), 8.63 (d, 1 H).
UPLC-MS (Method 2): Rt = 0.80 min. MS (ESIpos): m/z [M+H]+ 404.
Example 99 N-{4-[(4S)-1 -(cyclopropylmethyl)-4-methyl-6-oxo-1 ,4,5,6-tetrahydropyridazin-3-yl]phenyl}-1 ,3- dihydro-2H-pyrrolo[3,4-c]pyridine-2-carboxamide OR N-{4-[(4R)-1 -(cyclopropylmethyl)-4-methyl- 6-OXO-1 ,4,5, 6-tetrahydropyridazin-3-yl]phenyl}-1 ,3-dihydro-2H-pyrrolo[3,4-c]pyridine-2- carboxamide
OR
A sample of the racemic product Example 98 was separated using chiral HPLC (Instrument: Labomatic HD5000, Labocord-5000; Gilson GX-241 , Labcol Vario 4000, Column: Chiralpak IE 5μ 250x30mm; Eluent A: Acetonitril + 0.1 Vol-% Diethylamin (99%); Eluent B: Methanol; Isokratisch: 50%A+50%B; Flow 50.0 ml/min; UV @ 325 nm) to give the first eluting enantiomer (1 12 mg, 46% from racemate). H-NMR (400MHz, DMSO-d6): δ [ppm]= 0.26 - 0.31 (m, 2H), 0.39 - 0.50 (m, 2H), 1.08 (d, 3H), 1.10 - 1.18 (m, 1 H), 2.31 (dd, 1 H), 2.72 (dd, 1 H), 3.35 - 3.44 (m, 1 H), 3.50 (dd, 1 H), 3.75 (dd, 1 H), 4.83 (d, 4H), 7.44 (d, 1 H), 7.64 - 7.71 (m, 2H), 7.72 - 7.78 (m, 2H), 8.50 (d, 1 H), 8.63 (d, 1 H).
Chiral HPLC (Instrument: Agilent HPLC 1260; Column: Chiralpak IE 3μ 100x4, 6mm; Eluent A: Acetonitril + 0.1 Vol-% Diethylamin (99%); Eluent B: Methanol; Isokratisch: 50%A+50%B; Flow 1.0 ml/min; Temperatur: 25 °C; DAD @ 325 nm): Rt = 2.49 min, >99% enantiomeric excess.
Optical rotation (Method 5): [a] = +325° (c = 1.00, DMSO).
Example 100
N-{4-[(4R)-1 -(cyclopropylmethyl)-4-methyl-6-oxo-1 ,4,5,6-tetrahydropyridazin-3-yl]phenyl}-1 ,3- dihydro-2H-pyrrolo[3,4-c]pyridine-2-carboxamide OR N-{4-[(4S)-1-(cyclopropylmethyl)-4-methyl- 6-OXO-1 ,4,5, 6-tetrahydropyridazin-3-yl]phenyl}-1 ,3-dihydro-2H-pyrrolo[3,4-c]pyridine-2- carboxamide
OR
A sample of the racemic product Example 98 was separated using chiral HPLC (Instrument: Labomatic HD5000, Labocord-5000; Gilson GX-241 , Labcol Vario 4000, Column: Chiralpak IE 5μ 250x30mm; Eluent A: Acetonitril + 0.1 Vol-% Diethylamin (99%); Eluent B: Methanol; Isokratisch: 50%A+50%B; Flow 50.0 ml/min; UV @ 325 nm) to give the second eluting enantiomer (100 mg, 41 % from racemate). H-NMR (400MHz, DMSO-d6): δ [ppm]= 0.26 - 0.31 (m, 2H), 0.39 - 0.50 (m, 2H), 1.08 (d, 3H), 1.10 - 1.18 (m, 1 H), 2.31 (dd, 1 H), 2.72 (dd, 1 H), 3.35 - 3.44 (m, 1 H), 3.50 (dd, 1 H), 3.75 (dd, 1 H), 4.83 (d, 4H), 7.44 (d, 1 H), 7.64 - 7.71 (m, 2H), 7.72 - 7.78 (m, 2H), 8.50 (d, 1 H), 8.63 (d, 1 H).
Chiral HPLC (Instrument: Agilent HPLC 1260; Column: Chiralpak IE 3μ 100x4, 6mm; Eluent A: Acetonitril + 0.1 Vol-% Diethylamin (99%); Eluent B: Methanol; Isokratisch: 50%A+50%B; Flow 1.0 ml/min; Temperatur: 25 °C; DAD @ 325 nm): Rt = 3.91 min, >99% enantiomeric excess.
Optical rotation (Method 5): [a] = -308° (c = 1.00, DMSO).
Example 101
2-amino-N-{4-[(4S)-4-methyl-6-oxo-1-(tetrahydro-2H-pyran-4-ylmethyl)-1 ,4,5,6- tetrahydropyridazin-3-yl]phenyl}-5,7-dihydro-6H-pyrrolo[3,4-b]pyridine-6-carboxamide OR 2- amino-N-{4-[(4R)-4-methyl-6-oxo-1-(tetrahydro-2H-pyran-4-ylmethyl)-1 ,4,5,6- tetrahydropyridazin-3-yl]phenyl}-5,7-dihydro-6H-pyrrolo[3,4-b]pyridine-6-carboxamide
The desired product was prepared in a manner analogues to the method described for Example 86 starting from Intermediate 102 (138 mg, 0.46 mmol, 1.00 eq) and 5H,6H,7H-pyrrolo[3,4- B]pyridine-2amine (74.2 mg, 0.55 mmol, 1.20 eq) to yield 78 mg of the desired product (37%). H-NMR (500MHz, DMSO-d
6): δ [ppm] = 1.04 - 1.1 1 (m, 3H), 1.24 (qd, 2H), 1.43 - 1.58 (m, 2H), 1.99 (ddd, 1 H), 2.26 - 2.35 (m, 1 H), 2.74 (dd, 1 H), 3.21 - 3.30 (m, 2H), 3.36 - 3.54 (m, 2H), 3.73 - 3.88 (m, 3H), 4.47 - 4.65 (m, 4H), 6.01 (s, 2H), 6.37 (d, 1 H), 7.37 (d, 1 H), 7.62 - 7.76 (m, 4H), 8.52 (s, 1 H).
UPLC-MS (Method 2): Rt = 0.86 min. MS (ESIpos): m/z [M+H]+ 463. Optical rotation (Method 5): [a] = 251 ° (c = 1.00, DMSO). Example 102 2-amino-N-{4-[(4R)-4-methyl-6-oxo-1-(tetrahydro-2H-pyran-4-ylmethyl)-1 ,4,5,6- tetrahydropyridazin-3-yl]phenyl}-5,7-dihydro-6H-pyrrolo[3,4-b]pyridine-6-carboxamide OR 2- amino-N-{4-[(4S)-4-methyl-6-oxo-1-(tetrahydro-2H-pyran-4-ylmethyl)-1 ,4,5,6- tetrahydropyridazin-3-yl]phenyl}-5,7-dihydro-6H-pyrrolo[3,4-b]pyridine-6-carboxamide
The desired product was prepared in a manner analogues to the method described for Example 86 starting from Intermediate 101 (100 mg, 0.33 mmol, 1.00 eq) and 5H,6H,7H-pyrrolo[3,4- B]pyridine-2amine (53.8 mg, 0.40 mmol, 1.20 eq) to yield 35 mg of the desired product (23%). H-NMR (500MHz, DMSO-d6): δ [ppm] = 1 .07 (d, 3H), 1.24 (qd, 2H), 1.43 - 1.58 (m, 2H), 1.98 (ddt, 1 H), 2.23 - 2.39 (m, 1 H), 2.74 (dd, 1 H), 3.18 - 3.31 (m, 2H), 3.35 - 3.54 (m, 2H), 3.74 - 3.89 (m, 3H), 4.46 - 4.67 (m, 4H), 6.01 (s, 2H), 6.37 (d, 1 H), 7.37 (d, 1 H), 7.62 - 7.78 (m, 4H), 8.52 (s, 1 H).
UPLC-MS (Method 2): Rt = 0.86 min. MS (ESIpos): m/z [M+H]+ 463. Optical rotation (Method 5): [a] = -265° (c = 1.00, DMSO). Example 103
N-{4-[(4R)-4-methyl-6-oxo-1-(tetrahydro-2H-pyran-4-ylmethyl)-1 ,4,5,6-tetrahydropyridazin-3- yl]phenyl}-1 ,3-dihydro-2H-pyrrolo[3,4-c]pyridine-2-carboxamide OR N-{4-[(4S)-4-methyl-6-oxo-1- (tetrahydro-2H-pyran-4-ylmethyl)-1 ,4,5,6-tetrahydropyridazin-3-yl]phenyl}-1 ,3-dihydro-2H- pyrrolo[3,4-c]pyridine-2-carboxamide
The desired product was prepared in a manner analogues to the method described for Example 86 starting from Intermediate 101 (102 mg, 0.34 mmol, 1 .00 eq) and 2,3-dihydro-1 H-pyrrolo[3,4- c]pyridine dihydrochloride (78.4 mg, 0.41 mmol, 1.20 eq) to yield 19 mg of the desired product (13%) after purificationby preparative reverse phase HPLC. H-NMR (500MHz, DMSO-de): δ [ppm] = 1.07 (d, 3H), 1.16 - 1.30 (m, 2H), 1.45 - 1 .56 (m, 2H), 1.92 - 2.05 (m, 1 H), 2.27 - 2.36 (m, 1 H), 2.74 (dd, 1 H), 3.20 - 3.30 (m, 2H), 3.37 - 3.44 (m, 1 H), 3.45 - 3.53 (m, 1 H), 3.76 - 3.87 (m, 3H), 4.83 (d, 4H), 7.44 (d, 1 H), 7.64 - 7.70 (m, 2H), 7.71 - 7.77 (m, 2H), 8.50 (d, 1 H), 8.63 (d, 2H).
UPLC-MS (Method 2): Rt = 0.75 min. MS (ESIpos): m/z [M+H]+ 448. Optical rotation (Method 5): [a] = -343° (c = 1.00, DMSO). Example 104
N-{4-[(4S)-4-methyl-6-oxo-1-(tetrahydro-2H-pyran-4-ylmethyl)-1 ,4,5,6-tetrahydropyridazin-3- yl]phenyl}-1 ,3-dihydro-2H-pyrrolo[3,4-c]pyridine-2-carboxamide OR N-{4-[(4R)-4-methyl-6-oxo-1- (tetrahyd ro-2 H-pyran-4-yl methyl )- 1 , ^^
pyrrolo[3,4-c]pyridine-2-carboxamide
The desired product was prepared in a manner analogues to the method described for Example 86 starting from Intermediate 102 (105 mg, 0.35 mmol, 1 .00 eq) and 2,3-dihydro-1 H-pyrrolo[3,4- c]pyridine dihydrochloride (80.7 mg, 0.42 mmol, 1.20 eq) to yield 40 mg of the desired product (26%) after purificationby preparative reverse phase HPLC. H-NMR (500MHz, DMSO-de): δ [ppm] = 1.07 (d, 3H), 1.16 - 1.30 (m, 2H), 1.45 - 1 .56 (m, 2H), 1.92 - 2.05 (m, 1 H), 2.27 - 2.36 (m, 1 H), 2.74 (dd, 1 H), 3.20 - 3.30 (m, 2H), 3.37 - 3.44 (m, 1 H), 3.45 - 3.53 (m, 1 H), 3.76 - 3.87 (m, 3H), 4.83 (d, 4H), 7.44 (d, 1 H), 7.64 - 7.70 (m, 2H), 7.71 - 7.77 (m, 2H), 8.50 (d, 1 H), 8.63 (d, 2H).
UPLC-MS (Method 2): Rt = 0.75 min. MS (ESIpos): m/z [M+H]+ 448. Optical rotation (Method 5): [a] = +282° (c = 1.00, DMSO).
Example 105
N-[4-(1 ,5,5-trimethyl-6-oxo-1 ,4,5,6-tetrahydropyridazin-3-yl)phenyl]-5,7-dihydro-6H-pyrrolo[3,4- d]pyrimidine-6-carboxamide
The described product was prepared in a manner analogous to that described in the preparation of Example 38 starting from 50.0 mg of Intermediate 47 (0.22 mmol) and 6,7-dihydro-5H- pyrrolo[3,4-d]pyrimidine dihydrochloride (54.0 mg, 0.26 mmol) to yield 21 mg of the desired product (25%) after reverse phase preparative HPLC. H-NMR (400MHz, DMSO-de): δ [ppm] = 1.08 (s, 6H), 2.85 (s, 2H), 3.31 (s, 3H), 4.48 - 4.62 (m, 4H), 6.01 (s, 2H), 6.33 - 6.40 (m, 1 H), 7.33 - 7.40 (m, 1 H), 7.68 (d, 4H), 8.52 (s, 1 H).
UPLC-MS (Method 2): Rt = 0.73 min. MS (ESIpos): m/z [M+H]+ 393. Example 106 N-[4-(1 ,4,4-trimethyl-6-oxo-1 ,4,5,6-tetrahydropyridazin-3-yl)phenyl]-1 ,3-dihydro-2H-pyrrolo[3,4- c]pyridine-2-carboxamide
The described product was prepared in a manner analogous to that described in the preparation of Example 38 starting from 38.0 mg of Intermediate 71 (0.16 mmol) and 2,3-dihydro-1 H- pyrrolo[3,4-c]pyridine dihydrochloride (34.9 mg, 0.18 mmol) to yield 21 mg of the desired product (34%). H-NMR (400MHz, DMSO-de): δ [ppm] = 1.17 (s, 6H), 2.39 (s, 2H), 3.28 (s, 3H), 4.82 (d, 4H), 7.37 (d, 2H), 7.42 - 7.46 (m, 1 H), 7.61 (d, 2H), 8.49 - 8.52 (m, 1 H), 8.60 (d, 2H).
UPLC-MS (Method 2): Rt = 0.64 min. MS (ESIpos): m/z [M+H]+ 378. Example 107
N-(4-{5,5-dimethyl-6-oxo-1 -[2-(piperidin-1 -yl)ethyl]-1 ,4,5,6-tetrahydropyridazin-3-yl}phenyl)-1 ,3- dihydro-2H-pyrrolo[3,4-c]pyridine-2-carboxamide
The described product was prepared in a manner analogous to that described in the preparation of Example 38 starting from 55.0 mg of Intermediate 57 (0.17 mmol) and 2,3-dihydro-1 H- pyrrolo[3,4-c]pyridine dihydrochloride (38.8 mg, 0.20 mmol) to yield 57 mg of the desired product (72%) after purification by reverse phase HPLC. H-NMR (400MHz, DMSO-de): δ [ppm] = 1.08 (s, 6H), 1.30 - 1.38 (m, 2H), 1.44 (d, 4H), 2.37 (br. s., 4H), 2.82 (s, 2H), 3.76 - 3.85 (m, 2H), 4.82 (d, 4H), 7.40 - 7.47 (m, 1 H), 7.62 - 7.74 (m, 4H), 8.50 (d, 1 H), 8.63 (d, 2H).
UPLC-MS (Method 2): Rt = 1.07 min. MS (ESIpos): m/z [M+H]+ 475. Example 108
N-{4-[1-(2-hydroxyethyl)-5,5-dimethyl-6-oxo-1 ,4,5,6-tetrahydropyridazin-3-yl]phenyl}-5,7-dihydro- 6H-pyrrolo[3,4-b]pyridine-6-carboxamide
To a solution of Intermediate 106 (520 mg, 1.99 mmol) in THF (21 ml.) was added at r.t. 4- nitrophenylchloroformate (0.40 g, 1.99 mmol) and the mixture stirred for 14 h at that temperature. After that the mixture was concentrated under reduced pressure and taken up in dichloromethane (56 ml_). To this mixture A/,A/-diisopropylethylamine (1.1 ml_, 6.2 mmol) and 6,7-dihydro-5H-pyrrolo[3,4-b]pyridine dihydrochloride (384 mg, 1.99 mol) were added at r.t. and the mixture was stirred for 14 h at that temperature. Then the reaction was quenched by addition of water and the phases were seprarated. The aqueous phase was extracted with dichloromethane and the combined organic phases were filtered through a silicone filter and concentrated under reduced pressure. The crude product was purified by preparative HPLC to give the title compound (550 mg, 1.27 mol, 64%).
HPLC: Instrument: Labomatic HD-3000, pump head HDK-280, gradient module NDB-1000, fraction collector Labomatic Labocol Vario 4000, Knauer UV detector Azura UVD 2.15, Prepcon 5 software. Column: Chromatorex C18 10μΜ, 122x50 mm. Eluent A: water + 0.1 Vol-% TFA; Eluent B: acetonitrile; gradient: 0-20 min 15-55% B. rate 250 ml/min, temperature 25°C. H-NMR (400 MHz, DMSO-cfe): δ [ppm] = 8.65 (s, 1 H), 8.62 (s, 1 H), 8.51 (d, 1 H), 7.75-7.64 (m, 4H), 7.45 (d, 1 H), 4.83 (br d, 4H), 3.72 (t, 2H), 2.85 (s, 2H), 2.77 (t, 2H), 1.53 (br s, 2H), 1.09 (s, 6H).
LC-MS (Method 6): Rt = 0.79 min; MS (ESIpos): m/z = 407 [M+H]+.
Example 109
N-{4-[1-(4-aminobutyl)-4-methyl-6-oxo-1 ,4,5,6-tetrahydropyridazin-3-yl]phenyl}-1 ,3-dihydro-2H- pyrrolo[3,4-c]pyridine-2-carboxamide
To a solution of crude Example 116 from the previous step (see Example 116 ) in dichloromethane (70 mL) was added at r.t. trifluoroacetic acid (0.5 mL) and the mixture stirred for 14 h at that temperature. Then more trifluoroacteic acid (6.25 mL) was added and the mixture was heated to 45°C. Then the mixture was concentrated under reduced pressure and the residue coevaporated with toluene. The crude product was purified by column chromatography (amine functionalized silica (Biotage® KP-NH), dichloromethane/ethanol gradient) to give the title compound (340 mg, 0.78 mmol, 48%). H-NMR (400 MHz, DMSO-cfe): δ [ppm] = 8.64 (s, 1 H), 8.61 (s, 1 H), 8.50 (d, 1 H), 7.76-7.71 (m, 2H), 7.70-7.65 (m, 2H), 7.44 (d, 1 H), 4.83 (br d, 4H), 3.87 (td, 1 H), 3.66-3.56 (m, 1 H), 3.49-3.39 (m, 2H), 2.75-2.65 (m, 1 H), 2.57-2.51 (m, 2H), 2.30 (d, 1 H), 1.69-1 .59 (m, 2H), 1 .38-1.32 (m, 1 H), 1.09-1.03 (m, 5H)
LC-MS (Method 1 ): Rt = 0.56 min; MS (ESIpos): m/z = 421 [M+H]+.
Example 110 tert-butyl 4-{2-[3-{4-[(1 ,3-dihydro-2H-pyrrolo[3,4-c]pyri^^
oxo-5,6-dihydropyridazin-1 (4H)-yl]ethyl}piperazine-1-carboxylate
To a solution of Intermediate 20 (1.10 g, 90% purity, 2.84 mmol) in DMF (6.6 mL) was added at r.t. sodium hydride (60% on mineral oil, 136 mg, 3.41 mmol) and tetra-A/-butylammonium iodide (105 mg, 0.28 mmol). Then the mixture was cooled to 0°C and tert-butyl 4-(2- bromoethyl)piperazine-1-carboxylate (1 .00 g, 3.41 mmol) was added. The mixture then stirred for 14 h at r.t. and the reaction was quenched by the addition of water. Resulting mixture was extracted with dichloromethane (3 x) and the combined organic extracts were washed with brine and filtered through a phase separator filter to give the crude product which was directly used in the synthesis of Example 111 without further purification. Besides 50 mg of the crude product was purified by preparative HPLC to give 24 mg (0.04 mmol) of the pure title compound.
HPLC: Instrument: Waters Autopurification MS SingleQuad; Colum: Waters XBrigde C18 5μ 100x30mm; eluent A: water + 0.2 vol % aqueous ammonia (32%), eluent B: acetonitrile; gradient: 0-5.5 min 5-100% B; flow 70 ml/min; temperature: 25 °C; DAD scan: 210-400 nm. H-NMR (400 MHz, DMSO-cfe): δ [ppm] = 8.64 (s, 1 H), 8.62 (s, 1 H), 8.51 (d, 1 H), 7.77-7.71 (m, 2H), 7.70-7.65 (m, 2H), 7.44 (d, 1 H), 4.83 (br d, 4H), 4.10 (dt, 1 H), 3.70-3.60 (m, 1 H), 3.42-3.36 (m, 1 H), 3.23 (br s, 4H), 2.75-2.64 (m, 2H), 2.56 (t, 2H), 2.41-2.30 (m, 4H), 1.37 (s, 9H), 1.10 (d, 3H).
LC-MS (Method 6): Rt = 1.09 min; MS (ESIpos): m/z = 562 [M+H]+.
Example 111
N-(4-{4-methyl-6-oxo-1 -[2-(piperazin-1-yl)ethyl]-1 ,4,5,6-tetrahydropyridazin-3-yl}phenyl)-1 ,3- dihydro-2H-pyrrolo[3,4-c]pyridine-2-carboxamide
To a solution of crude Example 110 from the previous step (see Example 110 ) in dichloromethane (10 mL) was added at r.t. trifluoroacetic acid (0.7 mL) and the mixture stirred for 14 h at that temperature. Then the mixture was concentrated under reduced pressure and the residue coevaporated with toluene. The crude product was purified by column chromatography (amine functionalized silica (Biotage® KP-NH), dichloromethane/ethanol gradient) to give the title compound (620 mg, 90% purity, 1.21 mmol, 68%). 50 mg of the product were again purified by preparative HPLC to give 28 mg (0.06 mmol) of the pure title compound.
HPLC: Instrument: Waters Autopurification MS SingleQuad; Colum: Waters XBrigde C18 5μ 100x30mm; eluent A: water + 0.2 vol % aqueous ammonia (32%), eluent B: acetonitrile; gradient: 0-5.5 min 5-100% B; flow 70 ml/min; temperature: 25 °C; DAD scan: 210-400 nm. H-NMR (400 MHz, DMSO-cfe): δ [ppm] = 8.64 (s, 1 H), 8.61 (s, 1 H), 8.50 (d, 1 H), 7.77-7.72 (m, 2H), 7.69-7.64 (m, 2H), 7.44 (d, 1 H), 4.82 (br d, 4H), 4.11 (dt, 1 H), 3.60 (dt, 1 H), 3.43-3.37 (m, 1 H), 2.74-2.57 (m, 5H), 2.52 (br s, 2H), 2.39-2.24 (m, 5H), 1.10 (d, 3H).
LC-MS (Method 6): Rt = 0.75 min; MS (ESIpos): m/z = 462 [M+H]+. Example 112
N-{4-[1-(3-aminopropyl)-4-methyl-6-oxo- pyrrolo[3,4-c]pyridine-2-carboxamide
To a solution of crude Example 117 from the previous step (see Example 117) in dichloromethane (40 mL) was added at r.t. trifluoroacetic acid (0.5 mL) and the mixture stirred for 30 min at that temperature. Then more trifluoroacetic acid (0.6 mL) was added and the mixture was heated to 45°C. Then the mixture was concentrated under reduced pressure and the residue coevaporated with toluene. The crude product was purified by column chromatography (amine functionalized silica (Biotage® KP-NH), dichloromethane/ethanol gradient) to give the title compound (390 mg, 0.92 mmol, 58%). H-NMR (400 MHz, DMSO-cfe): δ [ppm] = 8.65 (s, 1 H), 8.61 (s, 1 H), 8.50 (d, 1 H), 7.73 (d, 2H), 7.70-7.65 (m, 2H), 7.44 (d, 1 H), 4.83 (br d, 4H), 3.99-3.86 (m, 1 H), 3.67 (dt, 1 H), 3.40 (br d, 1 H), 3.19-3.12 (m, 2H), 2.75-2.65 (m, 1 H), 2.53 (d, 2H), 2.30 (dd, 1 H), 1.88-1.83 (m, 1 H), 1 .68 (d, 1 H), 1.08-1.05 (m, 3H)
LC-MS (Method 1 ): Rt = 0.54 min; MS (ESIpos): m/z = 407 [M+H]+.
Example 113
4-{[3-{4-[(1 ,3-dihydro-2H-pyrrolo[3,4-c]pyridin-2-ylcarbonyl)amino]phenyl}-4-methyl-6-oxo-5,6- dihydropyridazin-1 (4H)-yl]methyl}benzoic acid
H A mixture of Example 114 (0.89 g, 1.79 mmol) and aqueous 1 N LiOH solution (5.4 mL, 5.4 mmol) in THF (7 mL) was heated to 50°C for 2 h. After cooling to 0°C the mixture was acidified by 4 N hydrochloric acid to pH 2. The precipitate was filtered off, washed with water, and dried under vacuum. A second crop of the product was gained after further filtration of the mother liquor to give the title compound (0.59 g, 1.19 mmol, 67%). H-NMR (400 MHz, DMSO-cfe): δ [ppm] = 12.90 (br s, 1 H), 8.65 (s, 1 H), 8.63 (s, 1 H), 8.52 (d, 1 H), 7.94-7.88 (m, 2H), 7.74-7.68 (m, 2H), 7.68-7.63 (m, 2H), 7.46 (d, 1 H), 7.41 (d, 2H), 5.09 (d, 1 H), 4.93 (d, 1 H), 4.83 (br d, 4H), 2.84 (dd, 1 H), 2.52 (d, 1 H), 2.38 (d, 1 H), 1.06 (d, 3H)
LC-MS (Method 1 ): Rt = 0.74 min; MS (ESIpos): m/z = 484 [M+H]+. Example 114 methyl 4-{[3-{4-[(1 ,3-dihydro-2H-pyrrolo[3,4-c]pyridin-2-ylcarbonyl)amino]phenyl}-4-methyl-6- oxo-5,6-dihydropyridazin-1 (4H)-yl]methyl}benzoate
To a solution of Intermediate 20 (1 .00 g, 2.58 mmol) in DMF (6 mL) was added at r.t. sodium hydride (60% on mineral oil, 124 mg, 3.09 mmol) and tetra-A/-butylammoniumiodide (95 mg, 0.26 mmol). Then the mixture was cooled to 0°C and methyl 4-(chloromethyl)benzoate (0.58 g, 3.09 mmol) was added. The mixture then stirred for 14 h at r.t. and the reaction was quenched by the addition of water. The resulting mixture was extracted with dichloromethane (3 x) and the combined organic extracts were filtered through a phase separator filter to give the crude product which purified by column chromatography (silica gel, dichloromethane/ehanol gradient) to give the title compound (0.92 g, 1.81 mmol, 70%). H-NMR (400 MHz, DMSO-cfe): δ [ppm] = 8.64 (s, 1 H), 8.61 (s, 1 H), 8.50 (d, 1 H), 7.96-7.92 (m, 2H), 7.73-7.68 (m, 2H), 7.68-7.63 (m, 2H), 7.47-7.41 (m, 3H), 5.10 (d, 1 H), 4.94 (d, 1 H), 4.82 (br d, 4H), 3.83 (s, 3H), 2.84 (dd, 1 H), 2.52 (d, 1 H), 2.38 (d, 1 H), 1.06 (d, 3H). LC-MS (Method 1 ): Rt = 0.87 min; MS (ESIpos): m/z = 498 [M+H]+. Example 115
N-{4-[4,4-dimethyl-6-oxo-1-(2,2,2-trifluoroethyl)-1 ,4,5,6-tetrahydropyrid
dihydro-2H-pyrrolo[3,4-c]pyridine-2-carboxamide
The described product was prepared in a manner analogous to that described in the preparation of Example 38 starting from 40.0 mg of Intermediate 59 (0.13 mmol) and 2,3-dihydro-1 H- pyrrolo[3,4-c]pyridine dihydrochloride (31.0 mg, 0.16 mmol) to yield 27 mg of the desired product (45%) after purification by reverse phase HPLC. H-NMR (400MHz, DMSO-de): δ [ppm] = 1.19 (s, 6H), 2.54 (s, 2H), 4.56 (q, 2H), 4.82 (br d, 4H), 7.34 - 7.40 (m, 2H), 7.44 (d, 1 H), 7.61 - 7.65 (m, 2H), 8.50 (d, 1 H), 8.61 (d, 2H).
UPLC-MS (Method 2): Rt = 0.82 min. MS (ESIpos): m/z [M+H]+ 446.
Example 116 tert-butyl {4-[3-{4-[(1 ,3-dihydro-2H-pyrrolo[3,4-c]pyridin-2-ylcarbonyl)amino]phenyl}-4-methyl-6- oxo-5,6-dihydropyridazin-1 (4H)-yl]butyl}carbamate
To a solution of Intermediate 20 (600 mg, 1.72 mmol) in DMF (3 mL) was added at r.t. sodium hydride (60% on mineral oil, 87 mg, 3.6 mmol) and tetra-A/-butylammoniumiodide (63 mg, 0.17 mmol). Then the mixture was cooled to 0°C and fert-butyl (4-bromobutyl)carbamate (519 mg, 2.06 mmol) was added. The mixture then stirred for 14 h at r.t. and the reaction was quenched by the addition of water. Resulting mixture was extracted with dichloromethane (4 x) and the combined organic extracts were washed with brine and filtered through a silicone filter to give the crude product which was directly used in the synthesis of Example 1 without further purification. Besides 67 mg of the crude product were purified by preparative HPLC to give 13 mg (0.02 mmol) of the pure title compound.
HPLC: Instrument: Waters Autopurification MS SingleQuad; Colum: Waters XBrigde C18 5μ 100x30mm; eluent A: water + 0.2 vol % aqueous ammonia (32%), eluent B: acetonitrile; gradient: 0-5.5 min 5-100% B; flow 70 ml/min; temperature: 25 °C; DAD scan: 210-400 nm. H-NMR (400 MHz, DMSO-cfe): δ [ppm] = 8.64 (s, 1 H), 8.61 (s, 1 H), 8.50 (d, 1 H), 7.77-7.71 (m, 2H), 7.70-7.64 (m, 2H), 7.44 (d, 1 H), 6.82 (br t, 1 H), 4.83 (br d, 4H), 3.86 (dt, 1 H), 3.60 (dt, 1 H), 3.44-3.36 (m, 1 H), 2.93 (q, 2H), 2.75-2.67 (m, 1 H), 2.33-2.26 (m, 1 H), 1.64-1 .52 (m, 2H), 1.42- 1.34 (m, 1 1 H), 1.06 (d, 3H). LC-MS (Method 6): Rt = 1.00 min; MS (ESIpos): m/z = 521 [M+H]+.
Example 117 tert-butyl {3-[3-{4-[(1 ,3-dihydro-2H-pyrrolo[3,4-c]pyridin-2-ylcarbonyl)amino]phenyl}-4-methyl-6- oxo-5,6-dihydropyridazin-1 (4H)-yl]propyl}carbamate
To a solution of Intermediate 20 (600 mg, 1.72 mmol) in DMF (3 ml.) was added at r.t. sodium hydride (60% on mineral oil, 87 mg, 3.6 mmol) and tetra-A/-butylammoniumiodide (63 mg, 0.17 mmol). Then the mixture was cooled to 0°C and tert-butyl (3-bromopropyl)carbamate (491 mg, 2.06 mmol) was added. The mixture then stirred for 14 h at r.t. and the reaction was quenched by the addition of water. The resulting mixture was extracted with dichloromethane (4 x) and the combined organic extracts were washed with brine and filtered through a phase separator filter to give the crude product which was directly used in the synthesis of Example 11 without further purification. Besides 62 mg of the crude product were purified by preparative HPLC to give 16 mg (0.03 mmol) of the pure title compound. HPLC: Instrument: Waters Autopurification MS SingleQuad; Colum: Waters XBrigde C18 5μ 100x30mm; eluent A: water + 0.2 vol % aqueous ammonia (32%), eluent B: acetonitrile; gradient: 0-5.5 min 5-100% B; flow 70 ml/min; temperature: 25 °C; DAD scan: 210-400 nm. H-NMR (400 MHz, DMSO-cfe): δ [ppm] = 8.65 (s, 1 H), 8.61 (s, 1 H), 8.50 (d, 1 H), 7.77-7.71 (m, 2H), 7.70-7.64 (m, 2H), 7.44 (d, 1 H), 6.80 (br t, 1 H), 4.83 (br d, 4H), 3.84 (dt, 1 H), 3.63 (dt, 1 H), 3.45-3.37 (m, 1 H), 3.00-2.90 (m, 2H), 2.77-2.64 (m, 1 H), 2.35-2.25 (m, 1 H), 1.72 (quin, 2H), 1.37 (s, 9H), 1.07 (d, 3H)
LC-MS (Method 6): Rt = 0.99 min; MS (ESIpos): m/z = 507 [M+H]+.
Example 118 tert-butyl {3-[3-{4-[(1 ,3-dihydro-2H-pyrrolo[3,4-c]pyridin-2-ylcarbonyl)amino]phenyl}-5,5-dimethyl- 6-0X0-5, 6-dihydropyridazin-1 (4H)-yl]propyl}carbamate
To a solution of Intermediate 112 (454 mg, 1.21 mmol) in THF (10 ml.) was added at r.t. 4- nitrophenylchloroformate (244 mg, 1.21 mmol) and the mixture stirred for 14 h at that temperature. After that the mixture was concentrated under reduced pressure and taken up in dichloromethane (9 ml_). To this mixture A/,A/-diisopropylethylamine (0.4 ml_, 2.3 mmol) and 2,3- dihydro-1 H-pyrrolo[3,4-c]pyridine hydrochloride (128 mg, 0.82 mol) were added at r.t. and the mixture was stirred for 14 h at that temperature. Then the mixture was concentrated under reduced pressure and purified by column chromatography (S1O2, cyclohexane/ethyl acetate gradient - dichloromethane/methanol) to give the title compound (263 mg, 0.47 mmol). H-NMR (400 MHz, DMSO-cfe): δ [ppm] = 8.63 (s, 1 H), 8.61 (s, 1 H), 8.51 (d, 1 H), 7.75-7.69 (m, 2H), 7.69-7.63 (m, 2H), 7.44 (d, 1 H), 6.79-6.70 (m, 1 H), 4.83 (br d, 4H), 3.72 (br t, 2H), 2.96 (q, 2H), 2.84 (s, 2H), 1.79-1.67 (m, 2H), 1.38 (s, 9H), 1.08 (s, 6H)
MS (ESIpos): m/z = 521 [M+H]+.
Example 119
N-{4-[1-(3-aminopropyl)-5,5-dimethyl-6-oxo-1 ,4,5,6-tetrahydropyridazin-3-yl]phenyl}-1 ,3-dihydro- 2H-pyrrolo[3,4-c]pyridine-2-carboxamide hydrochloride
To a solution of Example 118 (263 mg, 0.51 mmol) in dichloromethane (5 mL) was added at r.t. hydrogen chloride (4 N in 1 ,4-dioxane, 1.26 mL, 5.1 mmol). After that the mixture was concentrated under reduced pressure to give the title compound (229 mg, 0.46 mmol). H-NMR (400 MHz, DMSO-cfe): δ [ppm] = 8.90 (s, 1 H), 8.85 (s, 1 H), 8.77 (br d, 1 H), 7.90 (br d, 4H), 7.77-7.71 (m, 2H), 7.71-7.65 (m, 2H), 4.97 (br d, 4H), 3.81 (br t, 2H), 3.17-3.08 (m, 2H), 2.88 (s, 2H), 1.93 (quin, 2H), 1.10 (s, 6H)
(ESIpos): m/z = 421
Comparative example 1 (from WO 2012/067965) N-[4-(4-oxo-3,4-dihydrophthalazin-1 -yl)phenyl]-1 ,3-dihydro
carboxamide
A solution of 100.0 mg of 4-(4-aminophenyl)-2-methylphthalazin-1 (2H)-one (by S. Demirayak et al. in Eur. J. Med. Chem. 2004, 39, 1089-1095, 0.42 mmol, 1.00 eq) in DMF (12 mL) was treated with 129.6 mg of Ν,Ν'-disuccinimidyl carbonate (0.51 mmol, 1.20 eq) and 61.8 mg of 4- dimethylaminopyridine (0.51 mmol, 1.20 eq). The mixture was left of night at room temperature. A suspension of 97.7 mg of 2,3-dihydro-1 H-pyrrolo[3,4-c]pyridine dihydrochloride (0.51 mmol, 1.20 eq) and 1.76 mL of triethylamine (12.79 mmol, 30 eq) in DMF (2 mL) was added and the mixture was again stirred over night. The suspension was filtered, the filtrate was taken to dryness and the residue was purified by preparative reverse phase HPLC to obtain 2.5 mg of the desired material (1.5%). H-NMR (400MHz, DMSO-d6): δ [ppm] = 4.86 (d, 4H), 7.39 - 7.60 (m, 3H), 7.76 (d, 3H), 7.83 - 8.00 (m, 2H), 8.24 - 8.40 (m, 1 H), 8.52 (d, 1 H), 8.67 (s, 1 H), 8.63 (s, 1 H), 12.80 (s, 1 H).
UPLC-MS (Method 2): Rt = 0.80 min; MS (ESIpos): m/z [M+H]+ 384. Comparative example 2 (from WO 2012/067965)
N-[4-(4-oxo-3,4-dihydrophthalazin-1 -yl)phenyl]-5,7-dihydro-6H-pyrrolo[3,4-b]pyridine-6- carboxamide
A solution of 55.0 mg of 4-(4-aminophenyl)-2-methylphthalazin-1 (2H)-one (by S. Demirayak et al. in Eur. J. Med. Chem. 2004, 39, 1089-1095, 0.23 mmol, 1.00 eq) in THF (5 mL) was treated with 71.3 mg of Ν,Ν'-disuccinimidyl carbonate (0.28 mmol, 1.20 eq) and 34.0 mg of 4- dimethylaminopyridine (0.23 mmol, 1.20 eq). The mixture was left of night at room temperature. A suspension of 53.7 mg of 6,7-dihydro-5H-pyrrole[3,4-b]pyridine (0.28 mmol, 1.20 eq) and 969 μΙ_ of triethylamine (6.95 mmol, 3.60 eq) in DMF (2 mL) was added and the mixture was again stirred over night. The suspension was filtered, the filtrate was taken to dryness and the residue was purified by preparative reverse phase HPLC to obtain 12.0 mg of the desired material (14%). H-NMR (400MHz, DMSO-d6): δ [ppm] = 4.83 (d, 4H), 7.35 (dd, 1 H), 7.49 - 7.54 (m, 2H), 7.75 - 7.81 (m, 3H), 7.83 (d, 1 H), 7.91 (quind, 2H), 8.33 - 8.37 (m, 1 H), 8.50 (dd, 1 H), 8.65 (s, 1 H), 12.80 (s, 1 H).
UPLC-MS (Method 2): Rt = 0.81 min; MS (ESIpos): m/z [M+H]+ 384.
Biological investigations
The following assays can be used to illustrate the commercial utility of the compounds according to the present invention.
Examples were tested in selected biological assays one or more times. When tested more than once, data are reported as either average values or as median values, wherein
•the average value, also referred to as the arithmetic mean value, represents the sum of the values obtained divided by the number of times tested, and •the median value represents the middle number of the group of values when ranked in ascending or descending order. If the number of values in the data set is odd, the median is the middle value. If the number of values in the data set is even, the median is the arithmetic mean of the two middle values.
Examples were synthesized one or more times. When synthesized more than once, data from biological assays represent average values calculated utilizing data sets obtained from testing of one or more synthetic batch.
Biological assays:
" Human NAMPT - high NAM assay" - Biochemical assay
Nicotinamide phosphoribosyltransferase (NAMPT) inhibitory activity of compounds of the present invention was quantified employing a cascade assay as described in the following paragraphs. The assay couples the conversion of nicotinamide (NAM) to nicotinamide mononucleotide (NMN) by NAMPT with the conversion of NMN to nicotine adenine dinucleotide (NAD+) by nicotinamide mononucleotide adenylyltransferase 1 (NMNAT1 ) and the subsequent quantification of the generated NAD+ by a commercial detection kit (NAD/NADH-Glo™ Assay from Promega, # G9072).
N-terminally His6-tagged recombinant full length human NAMPT and N-terminally His6-tagged recombinant full length human NMNAT1 , both expressed in E. coli and purified via Ni-NTA- affinity chromatography and consecutive size exclusion chromatography, were used as enzymes.
For the assay 50 nl of a 10Ofold concentrated solution of the test compound in DMSO was pipetted into a white low volume 384well microtiter plate (Greiner Bio-One, Frickenhausen, Germany), 2.5 μΙ of a solution of NAMPT in aqueous NMNAT1 -containing assay buffer [50 mM Tris/HCI pH 7.5, 12 mM MgCI2, 0.6 mM adenosine-tri-phosphate (ATP), 1 nM NMNAT1 , 0.02 % (w/v) bovine serum albumin (Sigma-Aldrich # P7906), 0.001 % (v/v) Tween-20 (Sigma-Aldrich # P7949)] were added and the mixture was incubated for 15 min at 22°C to allow pre-binding of the test compounds to the enzyme before the start of the enzyme reaction. Then the reaction was started by the addition of 2.5 μΙ of a solution of NAM (300 nM => final cone, in the 5 μΙ assay volume is 150 nM, Sigma-Aldrich #47865) and 5-phosphorylribose-1 -pyrophosphate pentasodium salt (PRPP, 1 .2 μΜ => final cone, in the 5 μΙ assay volume is 0.6 μΜ, Sigma- Aldrich P8296) in assay buffer and the resulting mixture was incubated for a reaction time of 20 min at 22°C. The concentration of NAMPT was adjusted depending of the activity of the enzyme lot and was chosen appropriate to have the assay in the linear range, typical final concentration in the 5 μΙ assay volume was 0.16 nM. The NAM conversion was stopped and the detection of the generated NAD+ started by the addition of 2.5 μΙ of a solution of 600 nM FK866, a NAMPT inhibitor commercially available (e.g. from Selleckchem), in detection reagent solution ( 1 :4.5fold dilution of NAD/NADH-Glo™ Detection Reagent [Promega] in water). The resulting mixture was incubated 2 h at 22°C to allow a steady-state of the detection system. Subsequently the generated luminescence was measured in a suitable luminescence reader, e.g. a Viewlux™ (Perkin-Elmer), and taken as a measure for the generated NAD+. The data were normalised (enzyme reaction without inhibitor = 0 % inhibition, all other assay components but no NAMPT = 100 % inhibition). Usually the test compounds were tested on the same microtiterplate in 11 different concentrations in the range of 20 μΜ to 0.1 nM (20 μΜ, 5.9 μΜ, 1.7 μΜ, 0.51 μΜ, 0.15 μΜ, 44 nM, 13 nM, 3.8 nM, 1.1 nM, 0.33 nM and 0.1 nM, the dilution series prepared separately before the assay on the level of the 10Ofold concentrated solutions in DMSO by serial 1 :3.4 dilutions) in duplicate values for each concentration and IC50 values were calculated by a 4-parameter-fit. Numeric IC50 values determined for the compounds of the present invention are indicated in Table 1.
IC50 values of the compounds are indicated in Table 2. Category "A" refers to an IC50 value below 0.001 μΜ, category "B" refers to values in a range between 0.001 μΜ to 0.005 μΜ and category "C" refers to IC50 values greater than 0.005 μΜ and below 0.5 μΜ.
"NAMPT cellular NAD assay": determination of intracellular NAD+ content
Option 1 : For measurement of cellular NAD+ levels in response to compound, 10000 A549 cells per well were seeded in culture medium (10%FBS, 1 %Pen/Strep Amphotecricin B, RPMI-1640) into white-flat 96-well plates (Corning) and incubated at 37°C and 5 % CO2. After overnight incubation, compound treatment (dose range 1x10Λ-1 1 to 1 χ10Λ-5 M) was initiated. The compound titrations were performed in a separate dilution plate by serially diluting the compounds in DMSO to make a 1000x stock. The compounds were then further diluted to 10x final concentration in culture media, whereupon 10 μ I of each dilution was added to the plated cells with controls (e.g. DMSO and blank) to make a final volume of 100 μΙ_. The final DMSO concentration in each well was 0.1 %. Each compound dose was added in duplicates. After 24 h incubation, cells were processed using the NAD/NADH kit (Promega). The protocol for measuring NAD+ individually was applied, though only half of the recommended volumes were used. For this, media supernatant was completely removed and cells were lysed by adding 25 μΙ of base solution (1 % DTAB) + PBS (1 : 1 ) followed by addition of 12.5 μΙ of 0.4 M HCI. The plates were heated at 60°C for 15 minutes. After a cooling period of 10 minutes, 12.5 μΙ of Trizma® base were added to each well of acid-treated samples. 50 μΙ of NAD/NADH-Glo™ Assay solution was added to each well and incubated for 30 minutes at room temperature. Luminescence was quantified using an Infinite® 200 PRO reader (Tecan) with an integration time of 0,25 seconds per well.
Option 2: The enzymatic activity of Nicotinamide Phosphoribosyl Transferase (NAMPT) converts nicotinamide, the amide of vitamin B3/Niacin to nicotinamide mononucleotide. This reaction is the rate limiting step of the nicotinamide adenine dinucleotide (NAD+) biosynthesis pathway in every cell. The commercially available NAD/NADH-Glo homogeneous assay system (#G9072, Promega, Wl, USA) is used to detect and quantify NAD/NADH levels in living cells by a luminescence read-out. Inhibition of NAMPT is expected to reduce the cellular levels of NAD/NADH resulting in decreased luminescence.
MOLM-13 cells, a human cell line derived from an acute myeloid leukemia (DSZM - Deutsche Sammlung von Mikroorganismen und Zellkulturen GmbH, # ACC 554), is used for the assay. The cells are cultured in suspension as recommended by the DSZM in RPMI 1640 medium including 2 mM L-Glutamine (typically but not exclusively used: # 21875-034 from Gibco / Thermo Fisher Scientific GmbH, Germany) supplemented with 10% fetal calf serum (typically but not exclusively used: FBS Superior, #S0615, from Biochrom / Millipore, Germany), cryopreserved in 90% FBS + 10% dimethylsulphoxide (DMSO) and stored as frozen aliquots of typically 5-10 million cells/vial at -150°C or below until further use.
For the assay, sufficient cells are rapidly thawed in a 37°C water bath and pipetted into pre- warmed assay medium (RPMI 1640 supplemented with 10% FBS). The cells are centrifuged for 5 min at 180 x g. The supernatant is removed and the cell pellet is resuspended in fresh medium to give a suspension of 1 million cells / ml. To prepare the inhibitor control cell suspension, a part of the cell suspension is supplemented with 1 μΜ the NAMPT reference inhibitor FK866 (Hasmann & Schemainda, 2003 Cancer Research).
Fifty nl of a 100-fold concentrated solution of the test compound in DMSO are transferred into a white microtiter test plate (384 or 1536, Greiner Bio-One, Frickenhausen, Germany). For this, either a Hummingbird liquid handler (Digilab, MA, USA) or an Echo acoustic system (Labcyte, CA, USA) may be used. Five μΙ of a freshly prepared cell suspension is added to the wells of a test plate and incubated at 37°C in a 5% C02 atmosphere. The inhibitor control cell suspension is added to empty wells at the side of the test plate. After completion of the incubation for 20-24 hours, 3 μΙ of NAD/NADH-Glo detection solution, prepared as recommended by the supplier, are added to all wells. The test plate is incubated at 20°C for 60 min before measurement of the luminescence in a microplate reader (typically Pherastar by BMG, Germany, or ViewLux by Perkin-Elmer, USA). Data are normalized (cells without inhibitor = 0% inhibition, cells with inhibitor = 100% inhibition). Compounds are tested in duplicates at up to 1 1 concentrations (for example 20 μΜ, 5,7 μΜ, 1 ,6 μΜ, 0,47 μΜ, 0,13 μΜ, 38 ηΜ, 11 ηΜ, 3,1 ηΜ, 0,89 ηΜ, 0,25 ηΜ and 0,073 nM). Dilution series are made prior to the assay in a 10Ofold concentrated form by serial dilution. IC50 values are calculated by 4-Parameter fitting using a commercial software package (Genedata Screener, Switzerland).
Numeric IC50 values determined for the compounds of the present invention are indicated in Table 1.
IC50 values of the compounds are indicated in Table 2. Category "A" refers to an IC50 value below 0.001 μΜ, category "B" refers to values in a range between 0.001 μΜ to 0.005 μΜ and category "C" refers to IC50 values greater than 0.005 μΜ and below 0.5 μΜ.
Proliferation assay A549
For measurement of sensitivity to compounds, exponentially growing A549 cells were seeded at 3000 cells per well in a 90 μΙ volume in 96-well plate. Cell concentration was determined with CASY® Cell Counter. A549 were seeded in DMEM Ham's F12 + 10% FCS. 24 h post-seeding, compound treatment was initiated. Compounds were dissolved in DMSO to stock concentration of 10 mM. For use in cell culture, compounds were diluted to 1 mM in DMSO and serially diluted in media to achieve final concentrations. The final DMSO concentration in each well was 0.1 %. Triplicates were treated with compound in a dose range of 1 x10Λ-1 1 to 1χ10Λ-5 M. Cells were continuously exposed to the drug with media containing Penicillin/Streptomycin at 37°C and 5 % C02. After 72 h, cell viability was measured using the CellTiter-Glo or CellTiter-Fluor cell viability assay (both Promega) according to the manufacturer's instructions. Luminescence or fluorescence was quantified using an Infinite® 200 PRO reader (Tecan).
Numeric IC50 values determined for the compounds of the present invention are indicated in Table 1.
IC50 values of the compounds are indicated in Table 2. Category "A" refers to an IC50 value below 0.01 μΜ, category "B" refers to values in a range between 0.01 μΜ to 0.02 μΜ and category "C" refers to IC50 values greater than 0.02 μΜ and below 1 μΜ.
ROCK-II assay (results in Table 1)
ROCK-I l-inhibitory activity of compounds of the present invention was quantified employing the ROCK-II assay as described in the following paragraphs. In essence, the enzyme activity is measured by quantification of the adenosine-di-phosphate (ADP), which is generated as a co- product of the enzyme reaction, via the "ADP-Glo™ Kinase Assay" kit from the company Promega. This detection system works as follows : In a first step the adenosine-tri-phosphate (ATP) not consumed in the kinase reaction is quantitatively converted to cAMP employing an adenylate cyclase ("ADP-Glo-reagent"), then the adenylate cyclase is stopped and the ADP generated in the kinase reaction converted to ATP which generates in a luciferase-based reaction a glow-luminescence signal ("Kinase Detection Reagent").
Recombinant N-terminal His6-tagged human ROCK-II (amino acids 1 1-552), expressed by baculovirus infected SF21 insect cells and purified via Ni2+-NTA-agarose affinity chromatography, was purchased from Eurofins (product no. 14-451 -K) and used as enzyme. As substrate for the kinase reaction the biotinylated peptide biotin-Ahx- KEAKEKRQEQIAKRRRLSSLRASTSKSGGSQK (C-terminus in amide form) was used which can be purchased e.g. from the company Biosyntan (Berlin-Buch, Germany). For the assay 50 nl of a 10Ofold concentrated solution of the test compound in DMSO was pipetted into a white low volume 384well microtiter plate (Greiner Bio-One, Frickenhausen, Germany), 2 μΙ of a solution of ROCK-II in aqueous assay buffer [50 mM TRIS/HCI pH 7.5, 10 mM MgCI2, 0.1 mM EGTA, 0.001 % (w/v) bovine serum albumin] were added and the mixture was incubated for 15 min at 22°C to allow pre-binding of the test compounds to the enzyme before the start of the kinase reaction. Then the kinase reaction was started by the addition of 3 μΙ of a solution of ATP (16.7 μΜ => final cone, in the 5 μΙ assay volume is 10 μΜ) and peptide substrate (16.7 μΜ => final cone, in the 5 μΙ assay volume is 10 μΜ) in assay buffer and the resulting mixture was incubated for a reaction time of 30 min at 22°C. The concentration of ROCK-II was adjusted depending of the activity of the enzyme lot and was chosen appropriate to have the assay in the linear range, a typical concentration is about 5 nM. The reaction was stopped by the addition of 2.5 μΙ of "ADP-Glo-reagent" (1 :1 .5fold diluted) and the resulting mixture was incubated at 22°C for 1 h to convert the ATP not consumed in the kinase reaction completely to cAMP. Subsequently 2.5 μΙ of the "kinase detection reagent" (1.2fold more concentrated than recommended by the producer) were added, the resulting mixture was incubated at 22°C for 1 h and then the luminescence measured with a suitable measurement instrument (e.g. Viewlux™ from Perkin-Elmer or Pherastar™ from BMG Labtechnologies). The amount of emitted light was taken as a measure for the amount of ADP generated and thereby for the activity of the ROCK-II.
The data were normalised (enzyme reaction without inhibitor = 0 % inhibition, all other assay components but no enzyme = 100 % inhibition). Usually the test compounds were tested on the same microtiterplate in 1 1 different concentrations in the range of 20 μΜ to 0.1 nM (20 μΜ, 5.7 μΜ, 1.6 μΜ, 0.47 μΜ, 0.13 μΜ, 38 ηΜ, 11 ηΜ, 3.1 ηΜ, 0.9 ηΜ, 0.25 ηΜ and 0.07 ηΜ, the dilution series prepared separately before the assay on the level of the 10Ofold concentrated solutions in DMSO by serial 1 :3.4 dilutions) in duplicate values for each concentration and IC50 values were calculated using Genedata Screener™ software. Numeric IC50 values determined for the compounds of the present invention are indicated in Table 1. An asterisk (*) indicates that the raw data at the highest concentration of 20 μΜ could not been analyzed because of hints on solubility issues. In these cases the highest tested concentration was 5.6 μΜ where no inhibition of ROCKII was observed.
ROCK2 Kd assay (results in Table 2)
The ROCK2 dissociation konstants (Kd) have been determined in the KINOMEscan KdELECT Service at DiscoveRx which applies a binding competition assay as described below.
A fusion protein of a fragment of human ROCK2 (amino acids 1 - 431 ) and the DNA binding domain of NFkB was expressed in transiently transfected HEK293 cells. From these HEK 293 cells extracts were prepared in M-PER extraction buffer (Pierce) in the presence of Protease Inhibitor Cocktail Complete (Roche) and Phosphatase Inhibitor Cocktail Set II (Merck) per manufacturers' instructions. Before the usage in the binding competition reaction the ROCK2 fusion protein was labeled with a chimeric double-stranded DNA tag containing the NFkB binding site (5'-GGGAATTCCC-3') fused to an amplicon for qPCR readout, which was added directly to the expression extract (details see below, the final concentration of DNA-tag in the binding reaction is 0.1 nM).
Streptavid in-coated magnetic beads (Dynal M280) were treated with a biotinylated small molecule ligand for 30 minutes at room temperature to generate affinity resins the binding assays. The liganded beads were blocked with excess biotin and washed with blocking buffer (SeaBlock (Pierce), 1 % BSA, 0.05% Tween 20, 1 mM DTT) to remove unbound ligand and to reduce nonspecific binding. The resulting beads are commercially available ("Affinity bead (1x)" suspension of the KINOMEscan express ROCK2 kit, product no. 94-3001 M from DiscoveRx).
The binding competition reaction was assembled by combining 100 μΙ of DNA-tagged kinase extract, 25 μΙ of suspension from the "Affinity bead (1x)" suspension of the KINOMEscan express ROCK2 kit (product no. 94-3001 M from DiscoveRx), and 10 μΙ test compound solution [diluted 1 :10 in 1x binding buffer (PBS with 0.05% Tween-20, 10 mM DTT, 0.1 % BSA, 2 g/ml sonicated salmon sperm DNA)]. ROCK2 fusion protein containing extracts were used directly in binding assays without any enzyme purification steps at a >10,000-fold overall stock dilution (final DNA-tagged enzyme concentration <0.1 nM). Extracts were loaded with DNA-tag and diluted into the binding reaction in a two step process. First expression extracts were diluted 1 : 100 in 1x binding buffer containing 10 nM DNA-tag. This dilution was allowed to equilibrate at room temperature for 15 minutes and then subsequently diluted 1 : 100 in 1x binding buffer to generate the DNA-tagged kinase extract. All reactions were performed in polystyrene 96-well plates in a final volume of 0.135 ml. Assays were incubated for 1 hr at room temperature, which was sufficient to establish equilibrium. Then the beads were isolated and washed four times with 150 μΙ_ of wash buffer (1x PBS, 0.05% Tween 20). The washed based were re-suspended in elution buffer (1 x PBS, 0.05% Tween 20, 0.5 μΜ stauroporine and incubated at room temperature with shaking for 30 minutes. The kinase concentration in the eluates was measured by qPCR. qPCR reactions were assembled by adding 2.5 μΙ_ of kinase eluate to 7.5 μΙ_ of qPCR master mix containing 0.15 μΜ amplicon primers and 0.15 μΜ amplicon probe. The qPCR protocol consisted of a 10 minute hot start at 95 °C, followed by 35 cycles of 95 °C for 15 seconds, 60 °C for 1 minute.
Test compound Handling
An 1 1-point 3-fold serial dilution of each test compound was prepared in 100% DMSO at 100x final test concentration and subsequently diluted to 1x in the assay (final DMSO concentration = 1 %). The KdS were determined using a compound top concentration of 30,000 nM .
Binding Constant(Kd) calculation
Binding constants (Kds) were calculated with a standard dose-response curve using the Hill
(Signal-Background)
equation: Response = Background HKdHiu Sl°ve—
The Hill Slope was set to -1. Curves were fitted using a non-linear least square fit with the Levenberg-Marquardt algorithm (Levenberg, K., A method for the solution of certain non-linear problems in least squares, Q. Appl. Math. 2, 164-168 (1944)).
Kd values of the compounds are indicated in Table 1. Category "A" refers to a binding with a Kd below 0.1 μΜ, category "B" refers to a Kd between 0.1 μΜ and 1.0 μΜ and category "C" refers to Kd values greater than 1 μΜ. Category "D" refers to "no binding" (Kd > 30 μΜ). Table 1 : Biochemical assay, cell and cell proliferation assay results (numeric IC50 values).
Biochemical Cellular NAD Cellular NAD A549 cell ROCK2
Example No. assay assay assay proliferation assay
IC50 [|JM] (Optionl) (Option2) assay
IC50 [|JM] IC50 [|JM] IC50 [|JM]
Example 1 1.68E-09 1.08E-09 2.46E-09 3.63E-08 >20
Example 2 1.05E-09 8.15E-10 1.1 1 E-09 6.12E-09 >20
Example 3 3.50E-09 1.18E-08 1.72E-08 1.28E-07 >20
Example 4 3.34E-09 9.34E-10 2.34E-09 1.30E-09 >20
Example 5 1.93E-09 1.36E-09 2.01 E-09 ND >20
Example 6 2.90E-10 2.84E-10 2.93E-10 1.13E-09 >20
Example 7 4.93E-10 2.60E-10 3.07E-10 3.22E-10 10
Example 8 9.65E-10 1.65E-09 3.88E-09 2.40E-07 >5.6*
Example 9 6.48E-10 5.24E-10 5.13E-10 8.27E-10 >20
Example 10 7.69E-10 1.19E-09 1.83E-09 3.41 E-08 >20
Example 11 4.74E-10 3.69E-10 2.26E-10 3.42E-09 >20
Example 12 3.62E-10 3.25E-10 3.49E-10 3.61 E-09 >20
Example 13 7.52E-10 5.93E-10 4.04E-10 2.59E-09 >20
Example 14 1.15E-09 2.34E-09 4.73E-09 1.19E-08 18
Example 15 1.07E-09 2.36E-09 3.82E-09 8.34E-08 >20
Example 16 1.02E-09 3.04E-09 3.86E-09 8.08E-08 >20
Example 17 7.71 E-10 3.50E-10 4.10E-10 7.20E-10 >20
Example 18 9.20E-10 9.63E-10 2.84E-09 1.47E-08 >20
Example 19 2.12E-09 1.70E-09 9.52E-10 6.70E-09 >20
Example 20 4.15E-09 1.91 E-09 6.37E-09 3.82E-08 >20
Example 21 2.74E-09 5.39E-10 8.25E-10 ND >20
Example 22 1.83E-09 3.02E-08 1.28E-08 ND >20
Example 23 2.34E-09 1.44E-07 4.17E-08 ND >20
Example 24 4.80E-10 4.00E-10 6.27E-10 ND >20
Example 25 4.51 E-10 1.08E-09 8.69E-10 ND >20
Example 26 2.41 E-09 2.58E-08 3.34E-08 9.10E-07 >20
Example 27 9.30E-09 3.04E-08 5.28E-08 8.80E-07 >20
Example 28 1.09E-09 7.62E-09 5.41 E-09 ND >20
Example 29 8.20E-10 2.63E-10 4.12E-10 1.1 1 E-09 >20
Example 30 4.59E-10 4.88E-10 1.16E-09 ND 15
Example 31 2.88E-10 4.31 E-10 5.27E-10 1.77E-10 14
Example 32 9.38E-10 4.88E-10 5.35E-10 ND >5.6*
Example 33 1.37E-08 9.55E-08 1.80E-07 ND >20
Example 34 1.15E-09 9.43E-10 5.49E-10 1.82E-08 >20
Example 35 8.60E-10 1.04E-09 6.74E-10 1.63E-09 >20 Example 36 1.86E-09 4.09E-10 6.14E-10 7.94E-09 >20
Example 37 4.53E-10 2.35E-09 1.12E-09 ND >20
Example 38 3.84E-10 3.73E-10 4.40E-10 7.27E-10 >20
Example 39 3.67E-09 ND 3.78E-10 8.05E-09 >20
Example 40 3.17E-10 3.45E-10 2.37E-10 7.35E-10 >20
Example 41 6.37E-10 6.60E-10 2.50E-10 4.71 E-10 >20
Example 42 5.86E-10 ND 1.60E-10 ND 12
Example 43 1.76E-10 3.95E-10 1.26E-10 3.44E-10 15
Example 44 2.96E-09 ND 1.27E-08 ND >20
Example 45 7.97E-09 9.10E-10 8.14E-10 1.73E-08 >20
Example 46 2.78E-07 ND 4.15E-08 ND >20
Example 47 2.12E-07 ND 7.38E-08 ND >20
Example 48 5.38E-09 2.45E-09 7.75E-10 4.78E-08 >20
Example 49 1.12E-08 9.08E-09 8.65E-10 1.10E-07 >20
Example 50 2.41 E-09 2.00E-09 3.57E-10 2.48E-08 >20
Example 51 2.12E-09 1.80E-09 3.99E-10 1.53E-08 >5.6*
Example 52 3.26E-09 1.28E-09 6.73E-10 1.53E-08 >20
Example 53 1.13E-09 ND 3.62E-10 6.56E-10 14
Example 54 1.54E-09 ND 1.23E-08 ND >20
Example 55 1.27E-09 ND 4.37E-10 ND >20
Example 56 3.13E-10 3.36E-10 5.15E-10 6.47E-09 >20
Example 57 3.92E-10 ND 1.20E-10 ND >20
Example 58 4.79E-08 ND 6.40E-09 ND >20
Example 59 5.18E-09 1.63E-09 6.86E-10 7.96E-08 >20
Example 60 5.15E-10 4.69E-10 3.46E-10 2.67E-09 >20
Example 61 5.29E-10 8.34E-10 2.84E-10 2.21 E-09 >20
Example 62 9.86E-10 3.74E-10 4.93E-10 2.36E-09 >20
Example 63 1.46E-09 ND 8.24E-10 ND >20
Example 64 4.62E-10 2.37E-10 2.72E-10 ND >20
Example 65 3.48E-10 1.17E-09 3.50E-10 2.82E-09 >20
Example 66 3.72E-10 2.20E-10 4.24E-10 ND >20
Example 67 1.07E-09 3.43E-10 3.74E-10 ND >20
Example 68 3.64E-10 3.58E-09 4.03E-10 8.10E-08 >20
Example 69 4.99E-09 ND 5.17E-09 1.51 E-07 >20
Example 70 9.56E-10 ND 3.21 E-10 ND 10
Example 71 4.56E-09 ND 1.36E-08 1.22E-07 >20
Example 72 2.07E-09 ND 8.73E-10 4.20E-09 >20
Example 73 1.37E-09 ND 4.97E-10 3.33E-09 >5.6*
Example 74 3.90E-09 ND 8.05E-09 1.72E-07 >20
Example 75 1.1 1 E-09 1.81 E-09 3.45E-09 ND >20
Example 76 3.35E-10 6.56E-10 4.32E-10 2.39E-09 >20
Example 77 2.21 E-10 4.97E-10 3.88E-10 2.87E-10 >20 Example 78 2.52E-10 9.15E-10 4.40E-10 8.89E-10 >20
Example 79 5.42E-10 4.71 E-09 2.69E-09 ND >20
Example 80 9.64E-10 1.51 E-08 7.31 E-09 ND >20
Example 81 1.55E-09 8.75E-10 8.08E-10 1.44E-09 >20
Example 82 1.07E-09 9.12E-10 4.75E-10 1.36E-09 >20
Example 83 6.34E-10 ND 4.23E-10 ND >20
Example 84 1.49E-09 4.49E-10 3.80E-10 7.45E-09 >20
Example 85 1.80E-09 9.82E-09 1.47E-08 9.91 E-08 >20
Example 86 1.86E-09 6.07E-10 3.51 E-10 3.77E-09 >20
Example 87 1.15E-10 4.85E-10 2.77E-10 7.87E-09 >20
Example 88 8.17E-10 3.45E-10 3.85E-10 1.58E-10 >20
Example 89 1.06E-08 ND 1.21 E-07 ND >20
Example 90 3.06E-09 ND 7.90E-08 ND >20
Example 91 2.98E-09 2.76E-09 1.39E-09 7.56E-08 >20
Example 92 1.29E-09 3.27E-10 1.59E-10 ND >20
Example 93 1.03E-09 3.96E-10 2.74E-10 2.57E-09 >20
Example 94 1.08E-10 3.91 E-10 1.02E-10 6.03E-10 >20
Example 95 1.76E-06 ND 8.31 E-06 ND >20
Example 96 3.59E-09 ND 4.49E-08 ND >20
Example 97 7.43E-11 3.62E-10 1.60E-10 6.79E-10 >20
Example 98 3.81 E-10 3.23E-10 3.93E-10 4.49E-10 1 1
Example 99 4.62E-10 ND 3.76E-10 ND 15
Example 100 3.24E-10 ND 2.91 E-10 6.83E-10 13
Example 101 1.40E-08 ND 3.00E-09 ND 17
Example 102 4.35E-08 ND 8.82E-09 9.45E-07 >20
Example 103 1.05E-09 4.68E-10 3.85E-10 4.22E-09 >5.6*
Example 104 7.00E-10 2.89E-10 3.72E-10 6.41 E-09 >20
Example 105 3.35E-09 7.89E-10 7.16E-10 1.04E-08 >20
Example 106 2.33E-09 ND 1.55E-09 ND >20
Example 107 5.22E-10 ND 2.77E-10 7.08E-10 >20
Example 108 2.64E-09 ND 3.80E-08 ND >20
Example 109 2.26E-09 ND 2.80E-08 ND >20
Example 110 1.46E-09 ND 3.33E-10 ND 5.6*
Example 111 8.31 E-10 ND 2.08E-08 ND >20
Example 112 2.90E-09 ND 1.67E-08 ND >20
Example 113 ND ND 4.04E-09 ND >5.6*
Example 114 ND ND 3.51 E-07 ND ND
Example 115 5.36E-09 ND 5.00E-09 ND >20
Example 116 1.25E-09 ND 6.27E-10 ND ND
Example 117 9.70E-10 ND 4.31 E-10 ND ND
Example 118 ND ND ND ND ND
Example 119 3.25E-9 ND 4.09E-8 ND ND Intermediate 1.55E-09 2.77E-09 1.50E-09 5.10E-08 >20 20
Intermediate 1.30E-09 5.06E-09 9.97E-09 9.84E-08 >20 21
Comparison 2.40E-09 1.61 E-08 1.23E-08 8.08E-07 0.042 compound 1
Comparison 2.93E-09 3.54E-08 4.77E-08 9.74E-07 0.004 compound 2
ND : Not determined
Table 2: Biochemical assay, cell and cell proliferation assay results.
The definition of the different categories varies for the different assays and is given respective assay descriptions.
Example No. Biochemical Cellular NAD A549 cell ROCK2
assay assay (Optionl) proliferation assay
assay
Example 1 B A A D
Example 2 B A A D
Example 3 B C C
Example 4 B A A D
Example 5 B B ND
Example 6 A A A D
Example 7 A A A
Example 8 A B C
Example 9 A A A
Example 10 A B C
Example 11 A A A
Example 12 A A A
Example 13 B A A
Example 14 B B B
Example 15 B B C
Example 16 B B C
Example 17 A A A
Example 18 A A B
Example 19 B B A D
Example 20 B B C
Example 21 B A ND
Example 22 B C ND
Example 23 B C ND
Example 24 A A ND
Example 25 A B ND
Example 26 B C C
Example 27 C C C
Example 28 B C ND
Example 29 A A A Example 30 A A ND
Example 31 A A ND
Example 32 A A ND
Example 33 C C ND
Example 34 B B ND
Example 35 A A ND
Example 36 B A ND
Example 37 A B ND
Intermediate 20 B B C C
Intermediate 21 B C C C
Comparative B C C A example 1
Comparative B C C A example 2
ND : Not determined