Movatterモバイル変換


[0]ホーム

URL:


WO2018077986A1 - Double emulsions with double coacervate - Google Patents

Double emulsions with double coacervate
Download PDF

Info

Publication number
WO2018077986A1
WO2018077986A1PCT/EP2017/077372EP2017077372WWO2018077986A1WO 2018077986 A1WO2018077986 A1WO 2018077986A1EP 2017077372 WEP2017077372 WEP 2017077372WWO 2018077986 A1WO2018077986 A1WO 2018077986A1
Authority
WO
WIPO (PCT)
Prior art keywords
drops
μηι
emulsion
oil
emulsion according
Prior art date
Legal status (The legal status is an assumption and is not a legal conclusion. Google has not performed a legal analysis and makes no representation as to the accuracy of the status listed.)
Ceased
Application number
PCT/EP2017/077372
Other languages
French (fr)
Inventor
Mathieu Goutayer
Yan Eric PAFUMI
Amélie PUJOL
Current Assignee (The listed assignees may be inaccurate. Google has not performed a legal analysis and makes no representation or warranty as to the accuracy of the list.)
Capsum SAS
Original Assignee
Capsum SAS
Priority date (The priority date is an assumption and is not a legal conclusion. Google has not performed a legal analysis and makes no representation as to the accuracy of the date listed.)
Filing date
Publication date
Application filed by Capsum SASfiledCriticalCapsum SAS
Publication of WO2018077986A1publicationCriticalpatent/WO2018077986A1/en
Anticipated expirationlegal-statusCritical
Ceasedlegal-statusCriticalCurrent

Links

Classifications

Definitions

Landscapes

Abstract

The invention relates to a water-in-oil-in-water emulsion, comprising a continuous external aqueous phase and a water-in-oil emulsion in the form of drops (G1), each drop (G1) comprising a continuous fatty phase and at least one drop (G2) comprising an internal aqueous phase, the exterior of said drops (G1) being formed from at least one anionic polymer (PA1) and at least one cationic polymer (PC), and the exterior of said drops (G2) being formed from at least one anionic polymer (PA2), which is the same as or different from (PA1), and at least one cationic polymer (PC).

Description

Translated fromFrench

ÉMULSIONS DOUBLES AVEC DOUBLE COACERVAT DOUBLE EMULSIONS WITH DOUBLE COACERVAT

La présente invention a pour objet des émulsions doubles eau-dans-huile- dans-eau dont les phases grasse et aqueuse internes sont sous formes de gouttes. Elle a également pour objet leur procédé de préparation ainsi que leur utilisation dans des compositions cosmétiques.The subject of the present invention is dual water-in-oil-in-water emulsions whose internal fatty and aqueous phases are in the form of drops. It also relates to their preparation process and their use in cosmetic compositions.

Aujourd'hui, l'intérêt pour l'encapsulation de composés hydrophiles ne cesse de croître. En effet, les technologies d'encapsulation concernent une large variété de secteurs industriels comme la médecine, la pharmacie, l'alimentaire ou la cosmétique. Encapsuler un composé hydrophile, tel qu'un principe actif cosmétique, consiste à l'isoler du milieu extérieur. Cette stratégie est particulièrement nécessaire lorsque ce composé est incompatible avec d'autres éléments de la phase aqueuse. Plusieurs méthodes se sont développées pour s'adapter au mieux à différentes applications telles que le spray-drying ou bien la méthode de coacervation. Today, interest in the encapsulation of hydrophilic compounds continues to grow. Indeed, encapsulation technologies concern a wide variety of industrial sectors such as medicine, pharmacy, food or cosmetics. Encapsulating a hydrophilic compound, such as a cosmetic active ingredient, consists in isolating it from the external medium. This strategy is particularly necessary when this compound is incompatible with other elements of the aqueous phase. Several methods have been developed to better adapt to different applications such as spray-drying or the coacervation method.

Cependant, le développement de nouveaux systèmes permettant l'encapsulation de composés hydrophiles de façon satisfaisante demeure un objectif constant. However, the development of new systems for encapsulating hydrophilic compounds satisfactorily remains a constant goal.

La présente invention a pour but de fournir une émulsion double, notamment macroscopique, permettant l'encapsulation de composés hydrophiles. The present invention aims to provide a double emulsion, especially macroscopic, for encapsulating hydrophilic compounds.

Plus particulièrement, la présente invention a pour but de fournir une émulsion double, notamment macroscopique, dotée de propriétés d'encapsulation de composés hydrophiles satisfaisantes combinées à un visuel et/ou une texture inédits et particulièrement attractifs pour le consommateur. More particularly, the present invention aims to provide a dual emulsion, especially macroscopic, with encapsulating properties of satisfactory hydrophilic compounds combined with a visual and / or texture novel and particularly attractive to the consumer.

Ainsi, la présente invention concerne une émulsion eau-dans-huile-dans-eau, comprenant une phase aqueuse continue externe et, à titre de phase dispersée, une émulsion eau-dans-huile sous forme de gouttes (G1 ), chaque goutte (G1 ) comprenant une phase grasse continue et au moins une, de préférence une unique, goutte (G2) comprenant une phase aqueuse interne, Thus, the present invention relates to a water-in-oil-in-water emulsion, comprising an external continuous aqueous phase and, as a dispersed phase, a water-in-oil emulsion in the form of drops (G1), each drop ( G1) comprising a continuous fatty phase and at least one, preferably a single, drop (G2) comprising an internal aqueous phase,

lesdites gouttes (G1 ) comprenant une écorce formée d'au moins un polymère anionique (PA1 ) et d'au moins un polymère cationique (PC), et said drops (G1) comprising a bark formed of at least one anionic polymer (PA1) and at least one cationic polymer (PC), and

lesdites gouttes (G2) comprenant une écorce formée d'au moins un polymère anionique (PA2), identique ou différent de (PA1 ), et d'au moins un polymère cationique (PC). L'invention concerne donc des émulsions doubles eau-dans-huile-dans-eau avec double coacervation. De préférence, dans une émulsion selon l'invention, les gouttes (G1 ) et (G2) sont macroscopiques, c'est-à-dire visibles à l'œil nu.said drops (G2) comprising a bark formed of at least one anionic polymer (PA2), identical to or different from (PA1), and at least one cationic polymer (PC). The invention thus relates to dual water-in-oil-in-water emulsions with double coacervation. Preferably, in an emulsion according to the invention, the drops (G1) and (G2) are macroscopic, that is to say visible to the naked eye.

Dans le cadre de la présente invention, les émulsions susmentionnées peuvent également être désignées par le terme "dispersions". In the context of the present invention, the aforementioned emulsions may also be referred to as "dispersions".

Les émulsions selon l'invention comprennent : The emulsions according to the invention comprise:

- une phase aqueuse interne, an internal aqueous phase,

- une phase grasse intermédiaire, et an intermediate fatty phase, and

- une phase aqueuse externe. an external aqueous phase.

Ces émulsions comprennent, dans la phase aqueuse externe, des gouttes (G1 ) de phase huileuse comprenant une écorce formée par coacervation, chaque goutte (G1 ) de phase grasse contenant au moins une goutte (G2) de phase aqueuse interne, cette goutte (G2) de phase aqueuse interne comprenant également une écorce formée par coacervation. These emulsions comprise, in the external aqueous phase, drops (G1) of oily phase comprising a bark formed by coacervation, each drop (G1) of fatty phase containing at least one drop (G2) of internal aqueous phase, this drop (G2 ) of internal aqueous phase also comprising a bark formed by coacervation.

Une émulsion selon l'invention est particulièrement intéressante, d'une part, en ce qu'elle assure une encapsulation particulièrement satisfaisante de composés hydrophiles grâce aux gouttes (G2), mais également de composés lipophiles grâce aux gouttes (G1 ), et, d'autre part, est dotée d'un visuel et d'une texture inédite dans le domaine des émulsions doubles ce qui, pour des raisons évidentes, répond à une demande continue des consommateurs en ce sens. An emulsion according to the invention is particularly advantageous, on the one hand, in that it ensures a particularly satisfactory encapsulation of hydrophilic compounds thanks to the drops (G2), but also of lipophilic compounds thanks to the drops (G1), and, d On the other hand, it is endowed with a unique visual and texture in the field of double emulsions which, for obvious reasons, responds to a continuous demand from consumers for this purpose.

Une émulsion selon l'invention est également particulièrement intéressante sur le plan de la stabilité cinétique, puisque les gouttes (G1 ) ou (G2) demeurent intactes sur une échelle de temps supérieure à 1 semaine, voire supérieure à 1 mois, et même supérieure à 3 mois, à température ambiante, par exemple T=25°C ± 2°C, et à pression ambiante, par exemple 1 013 mbar. An emulsion according to the invention is also particularly advantageous in terms of kinetic stability, since the drops (G1) or (G2) remain intact over a time scale greater than 1 week, or even greater than 1 month, and even greater than 3 months, at room temperature, for example T = 25 ° C ± 2 ° C, and at ambient pressure, for example 1013 mbar.

A ce titre, il n'était pas évident que des émulsions doubles soient stables à température ambiante, par exemple T=25°C ± 2°C, et à pression ambiante, par exemple 1 013 mbar. As such, it was not obvious that double emulsions are stable at room temperature, for example T = 25 ° C ± 2 ° C, and at ambient pressure, for example 1013 mbar.

Cette propriété intéressante en termes de stabilité cinétique est d'autant plus inattendue que l'écorce des gouttes (G1 ) et (G2), décrite en détails ci-après, est très fine. Ainsi, aucune résistance attachée à la rupture de l'écorce n'est ressentie par l'utilisateur au moment de l'application sur une matière kératinique, et aucun dépôt résiduel de ladite écorce n'est par ailleurs constaté. On parle ainsi d'écorce évanescente. Les gouttes (G1 ) et (G2), par la nature et les propriétés de leurs écorces, diffèrent donc de capsules solides, c'est-à-dire des capsules dotées d'une membrane solide, telle que par exemple celles décrites dans WO 2010/063937.This interesting property in terms of kinetic stability is all the more unexpected as the bark of the drops (G1) and (G2), described in detail below, is very fine. Thus, no resistance attached to the breaking of the bark is felt by the user at the time of application to a keratinous material, and no residual deposit of said bark is also found. This is called evanescent bark. The drops (G1) and (G2), by the nature and properties of their barks, therefore differ from solid capsules, that is to say capsules with a solid membrane, such as for example those described in WO 2010/063937.

Par ailleurs, le procédé microfluidique mis en œuvre pour fabriquer une émulsion selon l'invention permet de former des gouttes (G1 ) et (G2) macroscopiques et monodisperses. En outre, le procédé microfluidique permet un contrôle parfait des teneurs de chaque phase mise en œuvre, et donc des concentrations des actifs encapsulés. Moreover, the microfluidic process used to manufacture an emulsion according to the invention makes it possible to form macroscopic and monodisperse drops (G1) and (G2). In addition, the microfluidic process allows a perfect control of the contents of each phase implemented, and therefore the concentrations of the encapsulated actives.

Selon l'invention, le pH d'une émulsion est typiquement compris entre 4,0 et 8,0, en particulier entre 5,0 et 7,0. According to the invention, the pH of an emulsion is typically between 4.0 and 8.0, in particular between 5.0 and 7.0.

L'invention concerne encore l'utilisation d'une émulsion selon l'invention, pour la préparation d'une composition, notamment cosmétique. Une émulsion selon l'invention, voire une composition la comprenant, peut également être dédiée au domaine de la médecine, de la pharmacie ou de l'(agro)-alimentaire. The invention also relates to the use of an emulsion according to the invention, for the preparation of a composition, in particular a cosmetic composition. An emulsion according to the invention, or even a composition comprising it, can also be dedicated to the field of medicine, pharmacy or (agro) food.

Ainsi, l'invention concerne également une composition, notamment cosmétique, comprenant au moins une émulsion selon l'invention et, notamment, un milieu physiologiquement acceptable. Thus, the invention also relates to a composition, in particular a cosmetic composition, comprising at least one emulsion according to the invention and, in particular, a physiologically acceptable medium.

ViscositéViscosity

La viscosité des émulsions selon l'invention peut varier de façon importante ce qui permet d'obtenir des textures variées. The viscosity of the emulsions according to the invention can vary significantly, which makes it possible to obtain varied textures.

Selon un mode de réalisation, une émulsion selon l'invention a une viscosité comprise de 1 mPa.s à 500 000 mPa.s, de préférence de 10 mPa.s à 300 000 mPa.s, mieux de 400 mPa.s à 100 000 mPa.s, et plus particulièrement de 1 000 mPa.s à 30 000 mPa.s, telle que mesurée à 25°C. According to one embodiment, an emulsion according to the invention has a viscosity of from 1 mPa.s to 500,000 mPa.s, preferably from 10 mPa.s to 300,000 mPa.s, better still from 400 mPa.s to 100 mPa.s. 000 mPa.s, and more particularly from 1000 mPa.s to 30,000 mPa.s, as measured at 25 ° C.

La viscosité est mesurée à température ambiante, par exemple T=25°C ± 2°C, et à pression ambiante, par exemple 1013 mbar, par la méthode suivante. The viscosity is measured at room temperature, for example T = 25 ° C ± 2 ° C, and at ambient pressure, for example 1013 mbar, by the following method.

On utilise un viscosimètre de type Brookfield, typiquement un viscosimètre numérique Brookfield RVDV-E (couple de torsion du ressort de 7187,0 dyne-cm), qui est un viscosimètre rotationnel à vitesse imposée muni d'un mobile (désigné par le terme anglais « Spindle »). Une vitesse est imposée au mobile en rotation et la mesure du couple exercé sur le mobile permet de déterminer la viscosité en connaissant les paramètres de géométrie/forme du mobile utilisé. A Brookfield type viscometer, typically a Brookfield RVDV-E digital viscometer (spring torque of 7187.0 dyne-cm), is used which is a rotational speed-controlled rotational viscometer (designated by the English term). "Spindle"). A speed is imposed on the mobile in rotation and the measurement of the torque exerted on the mobile makes it possible to determine the viscosity knowing the geometry / shape parameters of the mobile used.

On utilise par exemple un mobile de taille No. 04 (référence Brookfield: RV4). Le taux de cisaillement correspondant à la mesure de la viscosité est défini par le mobile utilisé et la vitesse de rotation de celui-ci. La mesure de viscosité est effectuée sur 1 minute à température ambiante (T=25°C ± 2°C). On place environ 150 g de solution dans un bêcher de 250 ml de volume, ayant un diamètre d'environ 7 cm de façon à ce que la hauteur du volume occupée par les 150 g de solution soit suffisante pour arriver à la jauge marquée sur le mobile. Ensuite, on démarre le viscosimètre sur une vitesse de 10 tours/min et on attend que la valeur affichée sur l'écran soit stable. Cette mesure donne la viscosité du fluide testé, telle que mentionnée dans le cadre de la présente invention.For example, a mobile of size No. 04 (Brookfield reference: RV4) is used. The shear rate corresponding to the measurement of the viscosity is defined by the mobile used and the speed of rotation thereof. The viscosity measurement is carried out for 1 minute at room temperature (T = 25 ° C. ± 2 ° C.). About 150 g of solution are placed in a beaker of 250 ml volume, having a diameter of about 7 cm so that the height of the volume occupied by the 150 g of solution is sufficient to reach the dipstick marked on the surface. mobile. Then, the viscometer is started at a speed of 10 rpm and the value displayed on the screen is expected to be stable. This measurement gives the viscosity of the tested fluid, as mentioned in the context of the present invention.

Phase aqueuse continue externeExternal continuous aqueous phase

Comme indiqué précédemment, les émulsions selon l'invention comprennent une phase aqueuse continue externe, de préférence sous forme d'un gel, en particulier d'un gel présentant une viscosité adaptée pour suspendre les gouttes (G1 ) et contribuer ainsi au visuel attractif et inédit d'une émulsion selon l'invention. As indicated above, the emulsions according to the invention comprise an external continuous aqueous phase, preferably in the form of a gel, in particular a gel having a viscosity adapted to suspend the drops (G1) and thus contribute to the attractive visual and novelty of an emulsion according to the invention.

Selon un mode de réalisation, cette phase aqueuse a une viscosité comprise entre 1 mPa.s et 500 000 mPa.s, de préférence entre 10 mPa.s et 300 000 mPa.s, mieux entre 400 mPa.s et 100 000 mPa.s, et plus particulièrement entre 1 000 mPa.s et 30 000 mPa.s, telle que mesurée à 25°C. According to one embodiment, this aqueous phase has a viscosity of between 1 mPa.s and 500,000 mPa.s, preferably between 10 mPa.s and 300,000 mPa.s, better still between 400 mPa.s and 100,000 mPa. s, and more particularly between 1000 mPa.s and 30,000 mPa.s, as measured at 25 ° C.

Cette viscosité est mesurée selon la méthode décrite ci-dessus. This viscosity is measured according to the method described above.

La phase aqueuse continue externe des émulsions comprend au moins de l'eau. The continuous aqueous continuous phase of the emulsions comprises at least water.

Outre l'eau distillée ou déionisée, une eau convenant à l'invention peut être aussi une eau de source naturelle ou une eau florale. In addition to distilled or deionized water, water suitable for the invention may also be natural spring water or floral water.

Selon un mode de réalisation, le pourcentage massique d'eau de la phase continue aqueuse externe est d'au moins 30%, de préférence d'au moins 40%, en particulier d'au moins 50%, et mieux d'au moins 60%, notamment compris entre 70% et 98%, et préférentiellement compris entre 55% et 95%, en particulier entre 75% et 85%, par rapport à la masse totale de ladite phase aqueuse externe. According to one embodiment, the weight percentage of water of the external aqueous continuous phase is at least 30%, preferably at least 40%, in particular at least 50%, and better still at least 60%, especially between 70% and 98%, and preferably between 55% and 95%, in particular between 75% and 85%, relative to the total mass of said external aqueous phase.

La phase continue aqueuse externe de l'émulsion selon l'invention peut en outre comprendre au moins une base. Elle peut comprendre une base unique ou un mélange de plusieurs bases différentes. Lorsque la phase aqueuse continue externe d'une émulsion selon l'invention comprend au moins un gélifiant sensible au pH, la présence d'au moins une base dans ladite phase continue aqueuse contribue notamment à rehausser la viscosité de cette dernière. The continuous aqueous continuous phase of the emulsion according to the invention may further comprise at least one base. It may comprise a single base or a mixture of several different bases. When the external continuous aqueous phase of an emulsion according to the invention comprises at least one pH-sensitive gelling agent, the presence of at least one base in said aqueous continuous phase notably contributes to raising the viscosity of the latter.

Selon un mode de réalisation, la base présente dans la phase aqueuse est une base minérale. Selon un mode de réalisation, la base minérale est choisie dans le groupe constitué des hydroxydes des métaux alcalins et des hydroxydes des métaux alcalino-terreux.According to one embodiment, the base present in the aqueous phase is a mineral base. According to one embodiment, the mineral base is selected from the group consisting of alkali metal hydroxides and alkaline earth metal hydroxides.

De préférence, la base minérale est un hydroxyde de métaux alcalins, et notamment NaOH. Preferably, the mineral base is an alkali metal hydroxide, and especially NaOH.

Selon un autre mode de réalisation, la base présente dans la phase aqueuse externe est une base organique. Parmi les bases organiques, on peut citer par exemple l'ammoniaque, la pyridine, la triéthanolamine, l'aminométhylpropanol, ou encore la triéthylamine. According to another embodiment, the base present in the external aqueous phase is an organic base. Among the organic bases, mention may be made, for example, of ammonia, pyridine, triethanolamine, aminomethylpropanol, or else triethylamine.

Une émulsion selon l'invention peut comprendre de 0,01 % à 10% en poids, de préférence de 0,01 % à 5% en poids, et préférentiellement de 0,02% à 1 % en poids de base, de préférence de base minérale, et notamment de NaOH, par rapport au poids total de ladite émulsion. An emulsion according to the invention may comprise from 0.01% to 10% by weight, preferably from 0.01% to 5% by weight, and preferably from 0.02% to 1% by weight of base, preferably from mineral base, and especially NaOH, relative to the total weight of said emulsion.

Selon un mode de réalisation, les émulsions selon l'invention, voire les compositions les comprenant, ne comprennent pas de tensioactif. According to one embodiment, the emulsions according to the invention, or even the compositions comprising them, do not comprise a surfactant.

Gouttes (G1)Drops (G1)

Comme indiqué ci-dessus, les émulsions doubles selon l'invention comprennent, à titre de phase dispersée, une émulsion eau-dans-huile sous forme de gouttes (G1 ). As indicated above, the double emulsions according to the invention comprise, as dispersed phase, a water-in-oil emulsion in the form of drops (G1).

Une goutte (G1 ) selon l'invention est composée d'un cœur, aussi appelé intérieur de la goutte, entouré d'une écorce, qui isole l'intérieur de la goutte de la phase aqueuse externe de l'émulsion. A drop (G1) according to the invention is composed of a heart, also called inside of the drop, surrounded by a bark, which isolates the inside of the drop of the external aqueous phase of the emulsion.

Selon un mode de réalisation, la taille des gouttes (G1 ) est supérieure à 500 μηι, voire supérieure à 1 000 μηι, et mieux est comprise entre 500 μηι et 3 000 μηι, de préférence entre 1 000 μηι et 2 000 μηι, en particulier entre 800 μηι et 1 500 μπι. According to one embodiment, the size of the drops (G1) is greater than 500 μηι, or even greater than 1,000 μηι, and better still lies between 500 μηι and 3,000 μηι, preferably between 1,000 μηι and 2,000 μηι, in in particular between 800 μηι and 1,500 μπι.

Dans le cadre de la présente invention, le terme "taille" désigne le diamètre, notamment le diamètre moyen, des gouttes. In the context of the present invention, the term "size" refers to the diameter, in particular the mean diameter, of the drops.

Selon un mode de réalisation, une émulsion selon l'invention est obtenue par un procédé microfluidique tel que défini ci-après. Par conséquent, les gouttes (G1 ) présentent une distribution de taille uniforme. De préférence, la phase grasse des émulsions de l'invention est constituée d'une population de gouttes (G1 ) monodispersées, notamment telles qu'elles possèdent un diamètre moyen D compris de 500 μηι à 3 000 μηι et un coefficient de variation Cv inférieur à 10%, voire inférieur à 3%. Dans le cadre de la présente description, on entend par "gouttes monodispersées" le fait que la population de gouttes de la phase dispersée selon l'invention possède une distribution de taille uniforme. Des gouttes monodispersées présentent une bonne monodispersité. A l'inverse, des gouttes présentant une mauvaise monodispersité sont dites "polydispersées".According to one embodiment, an emulsion according to the invention is obtained by a microfluidic process as defined below. As a result, the drops (G1) have a uniform size distribution. Preferably, the fatty phase of the emulsions of the invention consists of a population of monodisperse drops (G1), especially such that they have a mean diameter D of 500 μηι to 3000 μηι and a coefficient of variation Cv lower at 10% or even less than 3%. In the context of the present description, the term "monodisperse drops" means that the population of drops of the dispersed phase according to the invention has a uniform size distribution. Monodispersed drops have good monodispersity. Conversely, drops with poor monodispersity are said to be "polydispersed".

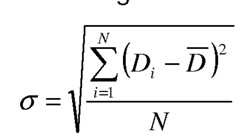
Selon un mode, le diamètre moyen D des gouttes est par exemple mesuré par analyse d'une photographie d'un lot constitué de N gouttes, par un logiciel de traitement d'image (Image J). Typiquement, selon cette méthode, le diamètre est mesuré en pixel, puis rapporté en μηι, en fonction de la dimension du récipient contenant les gouttes de l'émulsion. According to a mode, the average diameter D of the drops is for example measured by analysis of a photograph of a batch consisting of N drops, by an image processing software (Image J). Typically, according to this method, the diameter is measured in pixels, then reported in μηι, depending on the size of the container containing the drops of the emulsion.

De préférence, la valeur de N est choisie supérieure ou égale à 30, de sorte que cette analyse reflète de manière statistiquement significative la distribution de diamètres des gouttes de ladite émulsion. Preferably, the value of N is chosen greater than or equal to 30, so that this analysis reflects in a statistically significant manner the drop diameter distribution of said emulsion.

On mesure le diamètre Di de chaque goutte, puis on obtient le diamètre moyen Den calculant la moyenne arithmétique de ces valeurs :We measure the diameter Di of each drop, then we obtain the average diameter De n calculating the arithmetic mean of these values:

1N1N

N tr N tr

A partir de ces valeurs D„ on peut également obtenir l'écart-type σ des diamètres des gouttes de l'émulsion:

Figure imgf000007_0001
From these values D "one can also obtain the standard deviation σ of the diameters of the drops of the emulsion:
Figure imgf000007_0001

L'écart-type σ d'une émulsion reflète la répartition des diamètres D, des gouttes de l'émulsion autour du diamètre moyen D . The standard deviation σ of an emulsion reflects the distribution of the diameters D, drops of the emulsion around the average diameter D.

En connaissant le diamètre moyen Det l'écart-type σ d'une émulsion, on peut déterminer que l'on trouve 95,4% de la population de gouttes dans l'intervalle de diamètres [ζ) - 2σ; Ζ) + 2σ] et que l'on trouve 68,2% de la population dans l'intervalle ρ - σ;∑) + σ]Knowing the average diameter De t the standard deviation σ of an emulsion, it can be determined that 95.4% of the population of drops is found in the range of diameters [ζ) - 2σ; Ζ) + 2σ] and that 68.2% of the population is found in the interval ρ - σ; Σ) + σ]

Pour caractériser la monodispersité de l'émulsion selon ce mode de l'invention, on peut calculer le coefficient de variation : To characterize the monodispersity of the emulsion according to this mode of the invention, the coefficient of variation can be calculated:

C =C =

v D v D

Ce paramètre reflète la répartition des diamètres des gouttes en fonction du diamètre moyen de celles-ci. Le coefficient de variation Cv des diamètres des gouttes (G1 ) selon ce mode de l'invention est inférieur à 10%, de préférence inférieur à 5%, voire inférieur à 3%.This parameter reflects the distribution of the diameters of the drops as a function of the average diameter thereof. The coefficient of variation Cv of the drop diameters (G1) according to this embodiment of the invention is less than 10%, preferably less than 5%, or even less than 3%.

En particulier, les émulsions selon l'invention comprennent de 0,1 % à 70%, de préférence de 0,5% à 65%, en particulier de 1 % à 60%, mieux de 3% à 50%, et plus particulièrement de 5% à 20%, en poids de gouttes (G1 ) (i.e. formées de la phase grasse continue et de la phase aqueuse interne) par rapport au poids total de ladite émulsion. In particular, the emulsions according to the invention comprise from 0.1% to 70%, preferably from 0.5% to 65%, in particular from 1% to 60%, better still from 3% to 50%, and more particularly from 5% to 20%, by weight of drops (G1) (ie formed of the continuous fat phase and the internal aqueous phase) relative to the total weight of said emulsion.

Comme indiqué ci-dessus, chaque goutte (G1 ) comprend une phase grasse correspondant à la phase grasse des émulsions selon l'invention. As indicated above, each drop (G1) comprises a fatty phase corresponding to the fatty phase of the emulsions according to the invention.

Phase grasseFatty phase

Selon un mode de réalisation, la phase grasse des gouttes (G1 ) comprend au moins une huile. La phase grasse des gouttes (G1 ) peut donc être désignée comme une phase huileuse. According to one embodiment, the fatty phase of the drops (G1) comprises at least one oil. The fatty phase of the drops (G1) can therefore be designated as an oily phase.

Huile(s) Oils)

Les gouttes (G1 ) selon l'invention peuvent comprendre une seule huile ou un mélange de plusieurs huiles. Une émulsion selon l'invention peut donc comprendre au moins une, au moins deux, au moins trois, au moins quatre, au moins cinq, voire plus, d'huile(s) telle(s) que décrite(s) ci-après. The drops (G1) according to the invention may comprise a single oil or a mixture of several oils. An emulsion according to the invention may therefore comprise at least one, at least two, at least three, at least four, at least five or more oil (s) as described (s) below .

On entend par « huile » un corps gras liquide à la température ambiante (25°C). The term "oil" means a fatty substance that is liquid at room temperature (25 ° C.).

Comme huiles utilisables dans l'émulsion de l'invention, on peut citer par exemple : As oils that can be used in the emulsion of the invention, mention may be made for example of:

- les huiles hydrocarbonées d'origine végétale, notamment telles que décrites ci-après ; hydrocarbon oils of plant origin, in particular as described below;

- les huiles hydrocarbonées d'origine animale, telles que le perhydrosqualène et le squalane ; hydrocarbon oils of animal origin, such as perhydrosqualene and squalane;

- les esters et les éthers de synthèse, notamment d'acides gras, comme les huiles de formules F^COOF^ et F^OF^ dans laquelle Ri représente le reste d'un acide gras en C8 à C29, et R2 représente une chaîne hydrocarbonée, ramifiée ou non, en C3 à C30, comme par exemple l'huile de Purcellin, l'isononanoate d'isononyle, le néopentanoate d'isodécyle, le myristate d'isopropyle, le palmitate d'éthyl-2-hexyle, le stéarate d'octyl-2-dodécyle, l'érucate d'octyl-2-dodécyle, l'isostéarate d'isostéaryle ; les esters hydroxylés comme l'isostéaryl lactate, l'octylhydroxystéarate, l'hydroxystéarate d'octyldodécyle, le diisostéaryl-malate, le citrate de triisocétyle, les heptanoates, octanoates, décanoates d'alcools gras ; les esters de polyol, comme le dioctanoate de propylène glycol, le diheptanoate de néopentylglycol et le diisononanoate de diéthylèneglycol ; et les esters du pentaérythritol comme le tétrabéhénate de pentaérythrityle (DUB PTB) ou le tétraisostéarate de pentaérythrityle (Prisorine 3631 ) ;esters and synthetic ethers, in particular of fatty acids, such as the oils of formulas F 1 COOF 2 and F 4 FF 4 in which R 1 represents the residue of a C8 to C29 fatty acid, and R2 represents a hydrocarbon chain, branched or unbranched, C3 to C30 , such as, for example, purcellin oil, isononyl isononanoate, isodecyl neopentanoate, isopropyl myristate, ethyl palmitate, 2-hexyl, octyl-2-dodecyl stearate, octyl-2-dodecyl erucate, isostearyl isostearate; hydroxylated esters such as isostearyl lactate, octyl hydroxystearate, octyldodecyl hydroxystearate, diisostearyl malate, triisocetyl citrate, heptanoates, octanoates, decanoates of fatty alcohols; the polyol esters, such as propylene glycol dioctanoate, neopentyl glycol diheptanoate and diethylene glycol diisononanoate; and pentaerythritol esters such as pentaerythrityl tetrahehenate (DUB PTB) or pentaerythrityl tetraisostearate (Prisorine 3631);

- les hydrocarbures linéaires ou ramifiés, d'origine minérale ou synthétique, tels que les huiles de paraffine, volatiles ou non, et leurs dérivés, la vaseline, les polydécènes, le polyisobutène hydrogéné tel que l'huile de Parléam ; linear or branched hydrocarbons of mineral or synthetic origin, such as paraffin oils, volatile or not, and their derivatives, petroleum jelly, polydecenes, hydrogenated polyisobutene such as Parleam oil;

- les huiles de silicone, comme par exemple les polyméthylsiloxanes (PDMS) volatiles ou non à chaîne siliconée linéaire ou cyclique, liquides ou pâteux à température ambiante, notamment les cyclopolydiméthylsiloxanes (cyclométhicones) telles que la cyclohexasiloxane et la cyclopentasiloxane ; les polydiméthylsiloxanes (ou diméthicones) comportant des groupements alkyle, alcoxy ou phényle, pendant ou en bout de chaîne siliconée, groupements ayant de 2 à 24 atomes de carbone ; les silicones phénylées comme les phényltriméthicones, les phényldiméthicones, les phényltriméthylsiloxydiphényl-siloxanes, les diphényl- diméthicones, les diphénylméthyldiphényl trisiloxanes, les 2-phényléthyltriméthyl- siloxysilicates, et les polyméthylphénylsiloxanes ; silicone oils, for example volatile or non-volatile polymethylsiloxanes (PDMSs) with a linear or cyclic silicone chain, which are liquid or pasty at room temperature, in particular cyclopolydimethylsiloxanes (cyclomethicones) such as cyclohexasiloxane and cyclopentasiloxane; polydimethylsiloxanes (or dimethicones) comprising alkyl, alkoxy or phenyl groups, during or at the end of the silicone chain, groups having from 2 to 24 carbon atoms; phenyl silicones such as phenyltrimethicones, phenyldimethicones, phenyltrimethylsiloxydiphenylsiloxanes, diphenyl-dimethicones, diphenylmethyldiphenyltrisiloxanes, 2-phenylethyltrimethylsiloxysilicates, and polymethylphenylsiloxanes;

- les alcools gras ayant de 8 à 26 atomes de carbone, comme l'alcool cétylique, l'alcool stéarylique et leur mélange (alcool cétylstéarylique), ou encore l'octyldodécanol ; fatty alcohols having from 8 to 26 carbon atoms, such as cetyl alcohol, stearyl alcohol and their mixture (cetylstearyl alcohol), or alternatively octyldodecanol;

- les huiles fluorées partiellement hydrocarbonées et/ou siliconées comme celles décrites dans le document JP-A-2-295912 ; partially fluorinated hydrocarbon oils and / or silicone oils such as those described in document JP-A-2-295912;

- et leurs mélanges. - and their mixtures.

Selon un mode de réalisation préféré, l'huile est choisie parmi les esters et les éthers de synthèse, de préférence les esters de formule R1COOR2, dans laquelle Ri représente le reste d'un acide gras en C8 à C29, et R2 représente une chaîne hydrocarbonée, ramifiée ou non, en C3 à C30.According to a preferred embodiment, the oil is chosen from esters and synthetic ethers, preferably esters of formula R1 COOR2 , in which R 1 represents the residue of a C8 to C29 fatty acid, and R2 represents a hydrocarbon chain, branched or unbranched, C3 to C30 .

Selon un mode de réalisation, l'huile est choisie parmi les alcools gras ayant de 8 à 26 atomes de carbone. According to one embodiment, the oil is chosen from fatty alcohols having from 8 to 26 carbon atoms.

Selon un mode de réalisation, l'huile est choisie parmi les huiles hydrocarbonées ayant de 8 à 16 atomes de carbone, et notamment les alcanes ramifiés en C8-C16 (appelés aussi isoparaffines ou isoalcanes), comme l'isododécane (encore appelé 2-méthylundécane), l'isodécane, l'isohexadécane, et, par exemple, les huiles vendues sous les noms commerciaux d'Isopars® ou de Permethyls®. Selon un mode de réalisation préféré, l'huile est choisie dans le groupe constitué de l'isononanoate d'isononyle, de la diméthicone, de l'isohexadécane, du polydiméthylsiloxane, de l'octyldodécanol, du néopentanoate d'isodécyle et de leurs mélanges.According to one embodiment, the oil is chosen from hydrocarbon-based oils having 8 to 16 carbon atoms, and in particular branched C8 -C16 alkanes (also known as isoparaffins or isoalkanes), such as isododecane (also called 2-méthylundécane) isodecane, isohexadecane and, for example, the oils sold under the trade names Isopar® or Permethyls®®. According to a preferred embodiment, the oil is chosen from the group consisting of isononyl isononanoate, dimethicone, isohexadecane, polydimethylsiloxane, octyldodecanol, isodecyl neopentanoate and mixtures thereof. .

Selon un autre mode de réalisation préféré, la phase grasse des gouttes (G1 ) comprend une huile choisie parmi les huiles de silicone. De préférence, la phase grasse des gouttes (G1 ) ne comprend pas d'autres huiles différentes des huiles de silicone. De préférence, les huiles présentes dans la phase grasse des gouttes (G1 ) sont des huiles de silicone. According to another preferred embodiment, the fatty phase of the drops (G1) comprises an oil chosen from silicone oils. Preferably, the fatty phase of the drops (G1) does not include other oils other than silicone oils. Preferably, the oils present in the fatty phase of the drops (G1) are silicone oils.

Selon un mode de réalisation préféré, une émulsion selon l'invention comprend au moins 1 % en poids d'huile(s) par rapport au poids total de ladite émulsion. According to a preferred embodiment, an emulsion according to the invention comprises at least 1% by weight of oil (s) relative to the total weight of said emulsion.

Selon un autre mode de réalisation, une émulsion selon l'invention, en particulier la phase grasse des gouttes (G1 ), ne comprend pas de polydiméthylsiloxane (PDMS), et de préférence ne comprend pas d'huile de silicone. According to another embodiment, an emulsion according to the invention, in particular the fatty phase of the drops (G1), does not comprise polydimethylsiloxane (PDMS), and preferably does not comprise silicone oil.

Selon un autre mode de réalisation, une émulsion selon l'invention ne comprend pas d'huile végétale. According to another embodiment, an emulsion according to the invention does not comprise vegetable oil.

Selon encore un autre mode de réalisation, la phase grasse des gouttes (G1 ) d'une émulsion selon l'invention comprend au moins une huile hydrocarbonée d'origine végétale. Comme huiles végétales, on peut notamment citer les triglycérides liquides d'acides gras en C4-Ci0 comme les triglycérides des acides heptanoïque ou octanoïque ou encore, par exemple les huiles de tournesol, de maïs, de soja, de courge, de pépins de raisin, de sésame, de noisette, d'abricot, de macadamia, d'arara, de ricin, d'avocat, les triglycérides des acides caprylique/caprique (nom INCI : Caprylic/Capric Triglycéride) comme ceux commercialisés par la société Stearineries Dubois ou ceux disponibles sous les dénominations commerciales « Miglyol 810 », « Miglyol 81 2 » et « Miglyol 81 8 » par la société Dynamit Nobel, l'huile de jojoba, l'huile de beurre de karité, et leur mélange.According to yet another embodiment, the fatty phase of the drops (G1) of an emulsion according to the invention comprises at least one hydrocarbon oil of plant origin. As vegetable oils, particular mention may be made of liquid triglycerides of C4 -C10 fatty acids, such as the triglycerides of heptanoic or octanoic acids or, for example, sunflower, corn, soybean, pumpkin and seed oils. grape, sesame, hazelnut, apricot, macadamia, arara, castor, avocado, triglycerides of caprylic / capric acids (INCI name: Caprylic / Capric Triglyceride) such as those marketed by the company Stearineries Dubois or those available under the trade names "Miglyol 810", "Miglyol 81 2" and "Miglyol 81 8" by the company Dynamit Nobel, jojoba oil, shea butter oil, and their mixture.

De préférence, l'huile végétale est choisie parmi celles riches en acides gras polyinsaturés. On entend par "acide gras insaturé" au sens de la présente invention, un acide gras comprenant au moins une double liaison. Il s'agit plus particulièrement d'acides gras à longues chaînes, c'est-à-dire pouvant posséder plus de 14 atomes de carbone. Les acides gras insaturés peuvent être sous forme acide, ou sous forme de sel, comme par exemple leur sel de calcium, ou encore sous forme de dérivés, notamment d'ester(s) d'acide(s) gras. De préférence, l'huile végétale est choisie parmi les huiles riches en acides gras à longues chaînes, c'est-à-dire pouvant posséder plus de 14 atomes de carbone, et mieux en acides gras insaturés comportant de 1 8 à 22 atomes de carbone, en particulier en acides gras ω-3 et ω-6. Ainsi, avantageusement, les huiles végétales sont choisies parmi les huiles d'onagre, de bourrache, de pépins de cassis, de chanvre, de noix, de soja, de tournesol, de germes de blé, de fénugrec, de rosier muscat, d'échium, d'argan, de baobab, de son de riz, de sésame, d'amande, de noisette, de chia, de lin, d'olive, d'avocat, de carthame, de coriandre, de colza (notamment Brassica naptus), et leurs mélanges.Preferably, the vegetable oil is chosen from those rich in polyunsaturated fatty acids. For the purposes of the present invention, the term "unsaturated fatty acid" means a fatty acid comprising at least one double bond. It is more particularly long chain fatty acids, that is to say can have more than 14 carbon atoms. The unsaturated fatty acids may be in acid form, or in salt form, for example their calcium salt, or in the form of derivatives, especially fatty acid ester (s). Preferably, the vegetable oil is chosen from oils rich in long chain fatty acids, that is to say able to have more than 14 carbon atoms, and better unsaturated fatty acids having from 1 to 22 carbon atoms. carbon, especially ω-3 and ω-6 fatty acids. Thus, advantageously, the vegetable oils are chosen from evening primrose, borage, blackcurrant seed, hemp, walnut, soybean, sunflower, wheat germ, fenugreek, rosebush and musk rosebush oils. echium, argan, baobab, rice bran, sesame, almond, hazelnut, chia, flax, olive, avocado, safflower, coriander, rapeseed (in particular Brassica naptus ), and their mixtures.

De préférence, l'huile végétale est choisie parmi les huiles mates et non brillantes. Peut notamment être citée à ce titre l'huile de Moringa. Preferably, the vegetable oil is chosen from matt and non-glossy oils. In particular, mention may be made of Moringa oil.

Selon encore un autre mode de réalisation, la phase grasse des gouttes (G1 ) d'une émulsion selon l'invention comprend au moins une huile non volatile hydrocarbonée (ou huile H 1 ) contenant plus de 90%, de préférence plus de 95%, d'acides gras de longueur de chaînes supérieure ou égale à 1 8 atomes de carbone, de préférence supérieure ou égale à 20 atomes de carbone. According to yet another embodiment, the fatty phase of the drops (G1) of an emulsion according to the invention comprises at least one non-volatile hydrocarbon oil (or H 1 oil) containing more than 90%, preferably more than 95% of fatty acids of chain length greater than or equal to 18 carbon atoms, preferably greater than or equal to 20 carbon atoms.

De préférence, plus de 90%, et de préférence plus de 95%, des acides gras de l'huile non volatile hydrocarbonée ont une longueur de chaîne comprise entre Ci8 et C36, de préférence entre C20 et C28, et mieux entre C20 et C22-Preferably more than 90% and preferably more than 95%, of the fatty acids of the non-volatile hydrocarbon oil has a chain length between C8 and C36, preferably between C20 and C28, and more between C20 and C2 2-

Par « non volatile » , on entend une huile dont la pression de vapeur à température ambiante et pression atmosphérique, est non nulle et inférieure à 0,02 mm de Hg (2,66 Pa) et mieux inférieure à 1 0~3 mm de Hg (0, 13 Pa)."Non-volatile" means an oil whose vapor pressure at ambient temperature and atmospheric pressure is non-zero and less than 0.02 mm Hg (2.66 Pa) and better still less than 1 0~ 3 mm of Hg (0.13 Pa).

Ainsi, à titre d'huiles H 1 , on peut citer l'huile de jojoba, l'huile de lin, l'huile de Perilla, l'huile de Inca Inchi, l'huile de rose musquée, l'huile de colza, l'huile de chanvre, l'huile d'amande douce, l'huile de maïs, l'huile d'abricot, l'huile de ricin, l'huile de Meadowfoam (INCI : Limnanthes Alba (Meadowfoam) Seed Oil) et leurs mélanges, de préférence l'huile de jojoba et/ou l'huile de Meadowfoam, et mieux l'huile de Meadowfoam. Thus, as oils H 1, mention may be made of jojoba oil, linseed oil, Perilla oil, Inca Inchi oil, rose hip oil, rapeseed oil , hemp oil, sweet almond oil, corn oil, apricot oil, castor oil, Meadowfoam oil (INCI: Limnanthes Alba (Meadowfoam) Seed Oil) and mixtures thereof, preferably jojoba oil and / or Meadowfoam oil, and better Meadowfoam oil.

La mise en œuvre d'huile(s) H 1 , en particulier d'huile de Meadowfoam, dans la phase grasse des gouttes (G1 ) d'une émulsion selon l'invention a des effets avantageux en termes de réduction d'opacification de la phase aqueuse continue et/ou d'adhésion des gouttes sur les parois du packaging et/ou d'agrégation des gouttes entre elles. The use of oil (s) H 1, in particular Meadowfoam oil, in the fatty phase of the drops (G1) of an emulsion according to the invention has advantageous effects in terms of reduction of opacification of the continuous aqueous phase and / or adhesion of drops on the walls of the packaging and / or aggregation of drops between them.

Selon un mode de réalisation particulier, la teneur en huile(s) végétale(s) dans la phase grasse des gouttes (G1 ) d'une émulsion selon l'invention est comprise entre 0% et 40%, de préférence entre 0,1 % et 25%, et en particulier entre 1 % et 20%, en poids par rapport au poids total de ladite phase grasse des gouttes (G1 ).According to a particular embodiment, the content of vegetable oil (s) in the fatty phase of the drops (G1) of an emulsion according to the invention is included between 0% and 40%, preferably between 0.1% and 25%, and in particular between 1% and 20%, by weight relative to the total weight of said fatty phase of the drops (G1).

Selon un mode de réalisation, les émulsions selon l'invention comprennent de 0% à 99,99%, de préférence de 5% à 99,49%, en particulier de 20% à 90%, et mieux de 30% à 60%, en poids d'huile(s) par rapport au poids total de la phase grasse des gouttes (G1 ). According to one embodiment, the emulsions according to the invention comprise from 0% to 99.99%, preferably from 5% to 99.49%, in particular from 20% to 90%, and better still from 30% to 60%. , by weight of oil (s) relative to the total weight of the fatty phase of the drops (G1).

Gouttes (G2)Drops (G2)

Comme indiqué ci-dessus, chaque goutte (G1 ) comprend au moins une goutte (G2) comprenant la phase aqueuse interne. De préférence, chaque goutte (G1 ) comprend une unique goutte (G2) comprenant la phase aqueuse interne. As indicated above, each drop (G1) comprises at least one drop (G2) comprising the internal aqueous phase. Preferably, each drop (G1) comprises a single drop (G2) comprising the internal aqueous phase.

Une goutte (G2) selon l'invention est composée d'un cœur, aussi appelé intérieur de la goutte, entouré d'une écorce, qui isole l'intérieur de la goutte de la phase grasse de l'émulsion. A drop (G2) according to the invention is composed of a heart, also called inside the drop, surrounded by a bark, which isolates the inside of the drop of the fatty phase of the emulsion.

Selon un mode de réalisation, la taille des gouttes (G2) est supérieure à 10 μηι, voire supérieure à 50 μηι, et mieux est comprise entre 10 μηι et 2 000 μηι, en particulier entre 50 μηι et 1 500 μηι, mieux entre 100 μηι et 1 100 μηι, en particulier entre 200 μηι et 800 μηι, et mieux entre 300 μηι et 700 μηι. According to one embodiment, the size of the drops (G2) is greater than 10 μηι, or even greater than 50 μηι, and better is between 10 μηι and 2,000 μηι, in particular between 50 μηι and 1,500 μηι, better between 100 μηι. μηι and 1,100 μηι, in particular between 200 μηι and 800 μηι, and better still between 300 μηι and 700 μηι.

En particulier, une émulsion selon l'invention comprend de 0,01 % à 50%, de préférence de 0,1 % à 40%, en particulier de 1 % à 30%, et mieux de 2,5% à 20%, en poids de gouttes (G2) par rapport au poids total de ladite émulsion. In particular, an emulsion according to the invention comprises from 0.01% to 50%, preferably from 0.1% to 40%, in particular from 1% to 30%, and more preferably from 2.5% to 20%, by weight of drops (G2) relative to the total weight of said emulsion.

Selon un mode de réalisation, et comme indiqué précédemment, une émulsion selon l'invention est obtenue par un procédé microfluidique tel que défini ci-après. Par conséquent, les gouttes (G2) présentent une distribution de taille uniforme. De préférence, la phase aqueuse interne des émulsions de l'invention est constituée d'une population de gouttes (G2) monodispersées, notamment telles qu'elles possèdent un diamètre moyen D compris de 10 μηι à 2000 μηι et un coefficient de variation Cv inférieur à 10%, voire inférieur à 3%, mesurés selon les méthodes décrites ci-dessus. According to one embodiment, and as indicated above, an emulsion according to the invention is obtained by a microfluidic process as defined below. As a result, the drops (G2) have a uniform size distribution. Preferably, the internal aqueous phase of the emulsions of the invention consists of a population of drops (G2) monodispersed, especially such that they have a mean diameter D of 10 μηι to 2000 μηι and a coefficient of variation Cv lower at 10%, or even less than 3%, measured according to the methods described above.

De préférence, les gouttes (G1 ) et (G2) sont respectivement des gouttes monodispersées telles que définies ci-dessus. Pour des raisons évidentes, pour une population de gouttes (G1 ) donnée, le diamètre moyen des gouttes (G1 ) est supérieur au diamètre moyen des gouttes (G2). Preferably, the drops (G1) and (G2) are respectively monodisperse drops as defined above. For obvious reasons, for a given population of drops (G1), the mean diameter of the drops (G1) is greater than the average diameter of the drops (G2).

Selon un mode de réalisation, dans les émulsions selon l'invention, la fraction volumique p (IF/(IF+MF) est comprise entre 0,1 et 0,7, de préférence entre 0,3 et 0,6, et mieux entre 0,4 et 0,5, où : - IF représente le volume total des gouttes (G2), etAccording to one embodiment, in the emulsions according to the invention, the volume fraction p (IF / (IF + MF) is between 0.1 and 0.7, preferably between 0.3 and 0.6, and better between 0.4 and 0.5, where: IF represents the total volume of the drops (G2), and

- MF représente le volume total des gouttes (G1 ) (et donc sans le volume total des gouttes (G2). - MF represents the total volume of drops (G1) (and therefore without the total volume of drops (G2).

Selon un mode de réalisation, une émulsion selon l'invention peut comprendre au moins deux populations de gouttes (G1 ) qui diffèrent l'une de l'autre par, notamment, le diamètre des gouttes (G1 ) et/ou la nature des matières premières des gouttes (G1 ) et/ou la teneur en matières premières des gouttes (G1 ) et/ou le diamètre des gouttes (G2) et/ou la nature des matières premières des gouttes (G2) et/ou la teneur en matières premières des gouttes (G2). According to one embodiment, an emulsion according to the invention may comprise at least two populations of drops (G1) which differ from one another by, in particular, the diameter of the drops (G1) and / or the nature of the materials first drops (G1) and / or the raw material content of the drops (G1) and / or the diameter of the drops (G2) and / or the nature of the raw materials of the drops (G2) and / or the raw material content drops (G2).

Par « matières premières », on entend désigner tout type de composé susceptible d'être mis en œuvre dans la phase grasse des gouttes (G1 ) et la phase aqueuse interne des gouttes (G2), en particulier les polymères cationiques, les polymères anioniques, les huiles, les agents suspensifs, les agents de texture, les actifs et les composés additionnels décrits dans la présente description. By "raw materials" is meant any type of compound that may be used in the fatty phase of the drops (G1) and the internal aqueous phase of the drops (G2), in particular the cationic polymers, the anionic polymers, the oils, suspending agents, texturizing agents, the active agents and the additional compounds described in the present description.

Ecorce des gouttes (G1) et (G2)Bark of the drops (G1) and (G2)

Comme mentionné précédemment, les gouttes (G1 ) et (G2) selon l'invention sont entourées d'une écorce (également désignée par le terme « membrane »). As mentioned above, the drops (G1) and (G2) according to the invention are surrounded by a bark (also referred to as "membrane").

Selon l'invention, les gouttes (G1 ) et (G2) obtenues peuvent présenter une écorce très fine, notamment d'épaisseur inférieure à 1 % du diamètre des gouttes. According to the invention, the drops (G1) and (G2) obtained may have a very thin bark, in particular of thickness less than 1% of the diameter of the drops.

L'épaisseur de l'écorce est ainsi de préférence inférieure à 1 μηι et est trop faible pour être mesurée par des méthodes optiques. The thickness of the bark is thus preferably less than 1 μηι and is too small to be measured by optical methods.

Selon un mode de réalisation, l'épaisseur de l'écorce des gouttes (G1 ) et (G2) est inférieure à 1 000 nm, notamment comprise de 1 à 500 nm, de préférence inférieure à 100 nm, avantageusement inférieure à 50 nm, préférentiellement inférieure à 10 nm, et tout particulièrement de 100 nm à 300 nm. According to one embodiment, the thickness of the bark of the drops (G1) and (G2) is less than 1000 nm, in particular between 1 and 500 nm, preferably less than 100 nm, advantageously less than 50 nm, preferably less than 10 nm, and most preferably 100 nm to 300 nm.

La mesure de l'épaisseur de l'écorce des gouttes (G1 ) et (G2) de l'invention peut être effectuée par la méthode de diffusion de neutrons aux petits angles (Small-Angle X-ray Scattering), telle que mise en œuvre dans Sato et al. J. Chem. Phys. 1 1 1 , 1393-1401 (2007). The measurement of the thickness of the bark of the drops (G1) and (G2) of the invention can be carried out by the method of small angle neutron scattering (Small-Angle X-ray Scattering), as implemented. Work in Sato et al. J. Chem. Phys. 1 1 1, 1393-1401 (2007).

Pour cela, les gouttes sont produites en utilisant de l'eau deutérée, puis sont lavées trois fois avec une huile deutérée, comme par exemple une huile deutérée de type hydrocarboné (octane, dodécane, hexadécane). For this, the drops are produced using deuterated water and are then washed three times with a deuterated oil, such as, for example, a deuterated hydrocarbon-type oil (octane, dodecane, hexadecane).

Après lavage, les gouttes sont ensuite transférées dans la cellule de Neutrons afin de déterminer le spectre l(q) ; q étant le vecteur d'onde. A partir de ce spectre, on applique les traitements analytiques classiques (REF) afin de déterminer l'épaisseur de l'écorce hydrogénée (non deutérée).After washing, the drops are then transferred to the Neutrons cell to determine the l (q) spectrum; q being the wave vector. From this spectrum, classical analytical treatments (REF) are applied to determine the thickness of the hydrogenated (undeuterated) bark.

Selon un mode de réalisation, l'écorce entourant les gouttes (G1 ) et (G2) est rigidifiée, ce qui confère notamment une bonne résistance aux gouttes et diminue, voire empêche, leur coalescence. According to one embodiment, the bark surrounding the drops (G1) and (G2) is stiffened, which in particular gives good resistance to drops and reduces or even prevents their coalescence.

Cette écorce est typiquement formée par coacervation, c'est-à-dire par précipitation de polymères chargés de charges opposées. Au sein d'un coacervat, les liaisons liant les polymères chargés entre eux sont de type ionique, et sont généralement plus fortes que des liaisons présentes au sein d'une membrane de type tensioactif. This bark is typically formed by coacervation, i.e. precipitation of charged polymers of opposite charges. Within a coacervate, the bonds binding the charged polymers to each other are of ionic type, and are generally stronger than bonds present within a surfactant-type membrane.

L'écorce est formée par coacervation d'au moins deux polymères chargés de polarité opposée (ou polyélectrolyte) et de préférence en présence d'un premier polymère, de type cationique, et d'un deuxième polymère, différent du premier polymère, de type anionique. Ces deux polymères jouent le rôle d'agents de rigidification de la membrane. The bark is formed by coacervation of at least two charged polymers of opposite polarity (or polyelectrolyte) and preferably in the presence of a first polymer, of cationic type, and a second polymer, different from the first polymer, of the type anionic. These two polymers act as stiffening agents for the membrane.

La formation du coacervat entre ces deux polymères est généralement provoquée par une modification des conditions du milieu réactionnel (température, pH, concentration en réactifs, etc.). La réaction de coacervation résulte de la neutralisation de ces deux polymères chargés de polarités opposées et permet la formation d'une structure membranaire par interactions électrostatiques entre le polymère anionique et le polymère cationique. La membrane ainsi formée autour de chaque goutte forme typiquement une écorce qui encapsule totalement le cœur de la goutte et isole ainsi le cœur de la goutte de la phase aqueuse continue. The formation of the coacervate between these two polymers is generally caused by a modification of the conditions of the reaction medium (temperature, pH, reagent concentration, etc.). The coacervation reaction results from the neutralization of these two charged polymers of opposite polarities and allows the formation of a membrane structure by electrostatic interactions between the anionic polymer and the cationic polymer. The membrane thus formed around each drop typically forms a bark which completely encapsulates the heart of the drop and thus isolates the heart of the drop from the continuous aqueous phase.

Polymères anioniques (PA1) et (PA2)Anionic Polymers (PA1) and (PA2)

La phase aqueuse externe comprend au moins un polymère anionique (PA1 ) et la phase aqueuse interne comprend au moins un polymère anionique (PA2), ces polymères (PA1 ) et (PA2) pouvant être identiques ou différents. The external aqueous phase comprises at least one anionic polymer (PA1) and the internal aqueous phase comprises at least one anionic polymer (PA2), these polymers (PA1) and (PA2) being identical or different.

De préférence, les polymères anioniques (PA1 ) et (PA2) sont hydrophiles, c'est-à-dire solubles ou dispersibles dans l'eau. Preferably, the anionic polymers (PA1) and (PA2) are hydrophilic, i.e., soluble or dispersible in water.

Dans le cadre de la présente description, on entend par "polymère anionique" (ou "polymère de type anionique") un polymère comportant des fonctions chimiques de type anionique. On peut aussi parler de polyélectrolyte anionique. In the context of the present description, the term "anionic polymer" (or "anionic type polymer") a polymer having chemical functions of anionic type. We can also speak of anionic polyelectrolyte.

Par "fonction chimique de type anionique", on entend une fonction chimique AH capable de céder un proton pour donner une fonction A". Selon les conditions du milieu dans lequel il se trouve, le polymère de type anionique comporte donc des fonctions chimiques sous forme AH, ou bien sous forme de sa base conjuguée A".By "chemical function of the anionic type" is meant a chemical function AH capable of giving a proton to give a function A" . In the medium in which it is found, the anionic polymer therefore has chemical functions in AH form, or in the form of its conjugate base A" .

Comme exemple de fonctions chimiques de type anionique, on peut citer les fonctions acides carboxyliques -COOH, éventuellement présentes sous forme d'anion carboxylate -COO-. As an example of chemical functions of the anionic type, mention may be made of the carboxylic acid functions -COOH, optionally present in the form of a carboxylate anion -COO-.

Comme exemple de polymère de type anionique, on peut citer tout polymère formé par la polymérisation de monomères dont au moins une partie porte des fonctions chimiques de type anionique, tel que des fonctions acide carboxylique. De tels monomères sont par exemple l'acide acrylique, l'acide maléique, ou tout monomère éthyléniquement insaturé comportant au moins une fonction acide carboxylique. Ainsi, de préférence, les polymères anioniques (PA1 ) et (PA2), identiques ou différents, sont des polymères comprenant des unités monomériques comportant au moins une fonction acide carboxylique. As an example of anionic type polymer, there may be mentioned any polymer formed by the polymerization of monomers at least a part of which carries anionic type chemical functions, such as carboxylic acid functions. Such monomers are, for example, acrylic acid, maleic acid, or any ethylenically unsaturated monomer containing at least one carboxylic acid function. Thus, preferably, the anionic polymers (PA1) and (PA2), which are identical or different, are polymers comprising monomeric units comprising at least one carboxylic acid function.

Parmi les exemples de polymères anioniques appropriés à la mise en œuvre de l'invention, on peut citer les copolymères d'acide acrylique ou d'acide maléique et d'autres monomères, tels que l'acrylamide, les acrylates d'alkyle, les acrylates d'alkyle en C5-C8, les acrylates d'alkyle en Ci o-C30, les méthacrylates d'alkyle en C12-C22, les méthacrylates méthoxypolyéthylèneglycol, les acrylates d'hydroxyester, les acrylates crosspolymères, et leurs mélanges.Examples of suitable anionic polymers for carrying out the invention include copolymers of acrylic acid or maleic acid and other monomers, such as acrylamide, alkyl acrylates, alkyl acrylates, C5 -C8 alkyl acrylates oC -C30 alkyl methacrylates C12-C22, methoxypolyethylene glycol methacrylates, acrylates hydroxyester, the crosspolymères acrylates, and mixtures thereof.

Selon un mode de réalisation, les polymères anioniques selon l'invention sont choisis parmi les carbomères et les copolymères réticulés acrylates/Ci o-30 alkyl acrylate. De préférence, les polymères anioniques (PA1 ) et (PA2) selon l'invention sont des carbomères. According to one embodiment, the anionic polymers according to the invention are chosen from carbomers and crosslinked copolymers acrylates / Ci-30 alkyl acrylate. Preferably, the anionic polymers (PA1) and (PA2) according to the invention are carbomers.

Selon un mode de réalisation, l'écorce des gouttes (G1 ) comprend au moins un polymère anionique (PA1 ), tel que par exemple un carbomère. According to one embodiment, the bark of the drops (G1) comprises at least one anionic polymer (PA1), such as for example a carbomer.

Selon un mode de réalisation, l'écorce des gouttes (G2) comprend au moins un polymère anionique (PA2), tel que par exemple un carbomère. According to one embodiment, the bark of the drops (G2) comprises at least one anionic polymer (PA2), such as for example a carbomer.

Dans le cadre de l'invention, et sauf mention contraire, on entend par "carbomère", un homopolymère éventuellement réticulé, issu de la polymérisation de l'acide acrylique. Il s'agit donc d'un poly(acide acrylique) éventuellement réticulé. In the context of the invention, and unless otherwise stated, the term "carbomer" means an optionally crosslinked homopolymer resulting from the polymerization of acrylic acid. It is therefore a poly (acrylic acid) optionally crosslinked.

Parmi les carbomères de l'invention, on peut citer ceux commercialisés sous les noms Tego®Carbomer 340FD de Evonik, Carbopol® 981 de Lubrizol, Carbopol ETD 2050 de Lubrizol, ou encore Carbopol Ultrez 10 de Lubrizol.Among the carbomers of the invention, mention may be made of those sold under the trade names Tego® Carbomer 340FD from Evonik, Carbopol® 981 from Lubrizol, Carbopol ETD 2050 from Lubrizol, or Carbopol Ultrez 10 from Lubrizol.

Selon un mode de réalisation, on entend par "carbomère" ou "carbomer" ou "Carbopol®" un polymère d'acide acrylique de haut poids moléculaire réticulé avec du sucrose allylique ou des éthers allyliques de pentaérythritol (handbook of Pharmaceutical Excipients, 5eme Edition, plll). Par exemple, il s'agit du Carbopol®10, du Carbopol®934, Carbopol®934P, du Carbopol®940, du Carbopol®941 , du Carbopol®71 G, du Carbopol®980, du Carbopol®971 P ou du Carbopol®974P. Selon un mode de réalisation, la viscosité dudit carbomère est comprise entre 4 000 et 60 000 cP à 0,5% w/w.According to one embodiment, the term "carbomer" or "carbomer" or "Carbopol®" an acrylic acid polymer of high molecular weight cross-linked with allyl sucrose or allyl ethers of pentaerythritol (Handbook of Pharmaceutical Excipients, 5th Edition, pIII). For example, it is the Carbopol® 10, Carbopol® 934, Carbopol® 934P, Carbopol 940®, Carbopol® 941, Carbopol® 71 G, carbopol® 980, Carbopol® 971 P or Carbopol® 974P. According to one embodiment, the viscosity of said carbomer is between 4,000 and 60,000 cP at 0.5% w / w.

Les carbomères ont d'autres dénominations : acides polyacryliques, polymères carboxyvinyliques ou carboxy polyéthylènes. The carbomers have other names: polyacrylic acids, carboxyvinyl polymers or carboxy polyethylenes.

Selon l'invention, le polymère anionique (PA1 ) et/ou (PA2) peut également être un copolymère réticulé acrylates/C1 0-3o alkyl acrylate (nom INCI : acrylates/C10- 30 alkyl acrylate Crosspolymer) tel que défini ci-dessus.According to the invention, the anionic polymer (PA1) and / or (PA2) can also be a crosslinked copolymer acrylates / C1 0 -3 o alkyl acrylate (INCI name: acrylates / C10 - 30 alkyl acrylate Crosspolymer) as defined above.

Selon l'invention, les émulsions selon l'invention peuvent comprendre un carbomère et un copolymère réticulé acrylates/C1 0-3o alkyl acrylate.According to the invention, the emulsions according to the invention may comprise a carbomer and a crosslinked copolymer acrylates / C1 0 -3 o alkyl acrylate.

Selon un mode de réalisation, une émulsion selon l'invention comprend de 0,01 % à 5%, de préférence de 0,05% à 2%, et mieux de 0,1 % à 0,5%, en poids de polymère (PA1 ) par rapport au poids total de ladite émulsion. According to one embodiment, an emulsion according to the invention comprises from 0.01% to 5%, preferably from 0.05% to 2%, and better still from 0.1% to 0.5%, by weight of polymer. (PA1) relative to the total weight of said emulsion.

Selon un mode de réalisation, une émulsion selon l'invention comprend de 0,001 % à 0,5%, de préférence de 0,005% à 0,5%, et mieux de 0,01 % à 0,1 %, en poids de polymère (PA2) par rapport au poids total de ladite émulsion. According to one embodiment, an emulsion according to the invention comprises from 0.001% to 0.5%, preferably from 0.005% to 0.5%, and better still from 0.01% to 0.1%, by weight of polymer. (PA2) relative to the total weight of said emulsion.

Selon l'invention, l'émulsion susmentionnée peut comprendre de 0,01 % à 5%, de préférence de 0,05% à 2%, et préférentiellement de 0,1 % à 0,5%, en poids de polymère(s) anionique(s) (PA1 ) et (PA2), notamment de carbomère(s), par rapport au poids total de ladite émulsion. According to the invention, the above-mentioned emulsion may comprise from 0.01% to 5%, preferably from 0.05% to 2%, and preferably from 0.1% to 0.5%, by weight of polymer (s). ) anionic (s) (PA1) and (PA2), in particular carbomer (s), relative to the total weight of said emulsion.

Polymère cationiqueCationic polymer

La phase grasse dispersée comprend au moins un polymère cationique (PC). The dispersed fatty phase comprises at least one cationic polymer (PC).

Ainsi, les gouttes (G1 ) et (G2), et notamment l'écorce desdites gouttes, comprennent en outre au moins un polymère de type cationique. Elles peuvent également comprendre plusieurs polymères de type cationique. Ce polymère cationique est celui mentionné ci-dessus qui forme l'écorce par coacervation avec le polymère anionique.Thus, the drops (G1) and (G2), and in particular the bark of said drops, further comprise at least one cationic type polymer. They may also include several cationic polymers. This cationic polymer is the one mentioned above which forms the bark by coacervation with the anionic polymer.

Dans le cadre de la présente demande, et sauf mention contraire, on entend par "polymère cationique" (ou "polymère de type cationique") un polymère comportant des fonctions chimiques de type cationique. On peut aussi parler de polyélectrolyte cationique. In the context of the present application, and unless otherwise stated, the term "cationic polymer" (or "cationic type polymer") a polymer having chemical functions of cationic type. We can also speak of cationic polyelectrolyte.

De préférence, le polymère cationique (PC) est lipophile ou liposoluble. Dans le cadre de la présente demande, et sauf mention contraire, par "fonction chimique de type cationique", on entend une fonction chimique B capable de capter un proton pour donner une fonction BH+. Selon les conditions du milieu dans lequel il se trouve, le polymère de type cationique comporte donc des fonctions chimiques sous forme B, ou bien sous forme BH+, son acide conjugué.Preferably, the cationic polymer (PC) is lipophilic or fat-soluble. In the context of the present application, and unless otherwise stated, "chemical function of cationic type" means a chemical function B capable of capturing a proton to give a function BH+ . Depending on the conditions of the medium in which it is located, the cationic type polymer therefore has chemical functions in B form, or in BH+ form, its conjugated acid.

Comme exemple de fonctions chimiques de type cationique, on peut citer les fonctions aminé primaire, secondaire et tertiaire, éventuellement présentes sous forme de cations ammoniums. As an example of chemical functions of cationic type, mention may be made of the primary, secondary and tertiary amine functions, optionally present in the form of ammonium cations.

Comme exemple de polymère cationique, on peut citer tout polymère formé par la polymérisation de monomères dont au moins une partie porte des fonctions chimiques de type cationique, tel que des fonctions aminé primaire, secondaire ou tertiaire. As an example of a cationic polymer, there may be mentioned any polymer formed by the polymerization of monomers at least a part of which carries chemical functions of cationic type, such as primary, secondary or tertiary amine functions.

De tels monomères sont par exemple l'aziridine, ou tout monomère éthyléniquement insaturé comportant au moins une fonction aminé primaire, secondaire ou tertiaire. Such monomers are, for example, aziridine, or any ethylenically unsaturated monomer containing at least one primary, secondary or tertiary amine function.

Parmi les exemples de polymères cationiques appropriés à la mise en œuvre de l'invention, on peut citer l'amodiméthicone, dérivé d'un polymère silicone (polydiméthylsiloxane, aussi appelé diméthicone), modifié par des fonctions aminé primaire et aminé secondaire. Among the examples of cationic polymers suitable for the implementation of the invention, there may be mentioned amodimethicone, derived from a silicone polymer (polydimethylsiloxane, also called dimethicone), modified by primary amine functions and secondary amine.

On peut également citer des dérivés de l'amodiméthicone, comme par exemple des copolymères de l'amodiméthicone, l'aminopropyl diméthicone, et plus généralement des polymères silicones linéaires ou ramifiés comportant des fonctions aminés. Mention may also be made of amodimethicone derivatives, for example copolymers of amodimethicone, aminopropyl dimethicone, and more generally linear or branched silicone polymers containing amine functions.

On peut citer le copolymère de bis-isobutyl PEG-14/amodiméthicone, le Bis (C13-15 Alkoxy) PG-Amodimethicone, le Bis-Cetearyl Amodimethicone et le bis- hydroxy/méthoxy amodiméthicone. The bis-isobutyl copolymer PEG-14 / amodimethicone, Bis (C 13-15 Alkoxy) PG-Amodimethicone, Bis-Cetearyl Amodimethicone and bis-hydroxy / methoxy amodimethicone may be mentioned.

On peut également citer les polymères de type polysaccharide comprenant des fonctions aminé, tel que le chitosan ou les dérivés de gomme guar (chlorure d'hydroxypropyltrimonium guar). Mention may also be made of polysaccharide-type polymers comprising amine functions, such as chitosan or guar gum derivatives (hydroxypropyltrimonium guar chloride).

On peut également citer les polymères de type polypeptide comprenant des fonctions aminé, tel que la polylysine. Mention may also be made of polypeptide-type polymers comprising amine functions, such as polylysine.

On peut également citer les polymères de type polyéthylèneimine comprenant des fonctions aminé, tel que la polyéthylèneimine linéaire ou branchée. Mention may also be made of polyethyleneimine polymers comprising amine functions, such as linear or branched polyethyleneimine.

Selon un mode de réalisation, les gouttes, et notamment l'écorce desdites gouttes, comprennent un polymère cationique qui est un polymère silicone modifié par une fonction aminé primaire, secondaire ou tertiaire, tel que l'amodiméthicone. Selon un mode de réalisation, les gouttes, et en particulier l'écorce desdites gouttes, comprennent de l'amodiméthicone.According to one embodiment, the drops, and in particular the bark of said drops, comprise a cationic polymer which is a silicone polymer modified with a primary, secondary or tertiary amine function, such as amodimethicone. According to one embodiment, the drops, and in particular the bark of said drops, comprise amodimethicone.

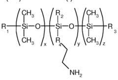
Selon un mode de réalisation particulièrement préféré, le(s) polymère(s) cationique(s) (PC) répond(ent) à la formule (I) suivante : According to a particularly preferred embodiment, the cationic polymer (s) (PC) corresponds to the following formula (I):

Figure imgf000018_0001
(I) dans laquelle :
Figure imgf000018_0001
(I) in which:

- Ri , R2 et R3, indépendamment les uns des autres, représentent OH ou CH3 ;- Ri, R2 and R3 , independently of each other, represent OH or CH3 ;

- R4 représente un groupe -CH2- ou un groupe -X-NH- dans lequel X est un radical alkylène divalent en C3 ou C4 ;R4 represents a -CH2 - group or a -X-NH- group in which X is a divalent C 3 or C 4 alkylene radical;

- x est un nombre entier compris entre 10 et 5 000, de préférence entre 30 et 1 000, et mieux entre 80 et 300 ; x is an integer between 10 and 5000, preferably between 30 and 1000, and more preferably between 80 and 300;

- y est un nombre entier compris entre 2 et 1 000, de préférence entre 4 et 100, et mieux entre 5 et 20 ; et y is an integer between 2 and 1000, preferably between 4 and 100, and more preferably between 5 and 20; and

- z est un nombre entier compris entre 0 et 10, de préférence entre 0 et 1 , et mieux est égal à 1 . z is an integer between 0 and 10, preferably between 0 and 1, and more preferably equal to 1.

Dans la formule (I) susmentionnée, lorsque R4 représente un groupe -X-NH-, X est relié à l'atome de silicium.In formula (I) above, when R4 is -X-NH-, X is attached to the silicon atom.

Dans la formule (I) susmentionnée, Ri , R2 et R3 représentent de préférenceIn the aforementioned formula (I), R 1, R2 and R3 preferably represent

CH3.CH3 .

Dans la formule (I) susmentionnée, R4 est de préférence un groupe -(CH2)3-In the aforementioned formula (I), R4 is preferably - (CH2 )3 -

NH-.NH-.

Une amodiméthicone est distincte/différente d'une huile telle que celles décrites précédemment et susceptibles de composer la phase grasse des gouttes (G1 ) d'une émulsion selon l'invention. An amodimethicone is distinct / different from an oil such as those described above and capable of composing the fatty phase of the drops (G1) of an emulsion according to the invention.

Selon l'invention, l'émulsion peut comprendre de 0,01 % à 10%, de préférence de 0,05% à 5%, en poids de polymère(s) cationique(s) (PC), notamment d'amodiméthicone(s), par rapport au poids total de la phase grasse des gouttes According to the invention, the emulsion may comprise from 0.01% to 10%, preferably from 0.05% to 5%, by weight of cationic polymer (s) (PC), in particular amodimethicone ( s), relative to the total weight of the fatty phase of the drops

(G1 ). Phase aqueuse interne(G1). Internal aqueous phase

Comme indiqué précédemment, les gouttes (G2) selon l'invention comprennent une phase aqueuse interne. As indicated above, the drops (G2) according to the invention comprise an internal aqueous phase.

Selon un mode de réalisation, cette phase aqueuse a une viscosité comprise entre 0 mPa.s et 10 000 mPa.s, de préférence entre 0 mPa.s et 2 000 mPa.s, telle que mesurée à 25°C. According to one embodiment, this aqueous phase has a viscosity of between 0 mPa.s and 10,000 mPa.s, preferably between 0 mPa.s and 2000 mPa.s, as measured at 25 ° C.

Cette viscosité est mesurée selon la méthode décrite ci-dessus. This viscosity is measured according to the method described above.

La phase aqueuse interne des émulsions comprend au moins de l'eau. The internal aqueous phase of the emulsions comprises at least water.

Outre l'eau distillée ou déionisée, une eau convenant à l'invention peut être aussi une eau de source naturelle ou une eau florale. In addition to distilled or deionized water, water suitable for the invention may also be natural spring water or floral water.

Selon un mode de réalisation, le pourcentage massique d'eau de la phase aqueuse interne est d'au moins 30%, de préférence d'au moins 40%, en particulier d'au moins 50%, et mieux d'au moins 60%, notamment compris entre 70% et 98%, et préférentiellement compris entre 75% et 95%, par rapport à la masse totale de ladite phase aqueuse interne. According to one embodiment, the weight percentage of water of the internal aqueous phase is at least 30%, preferably at least 40%, in particular at least 50%, and better still at least 60%. %, especially between 70% and 98%, and preferably between 75% and 95%, relative to the total mass of said internal aqueous phase.

Selon un mode de réalisation particulier, la phase aqueuse continue externe et/ou la phase aqueuse interne peu(ven)t se présenter sous la forme d'une émulsion huile-dans-eau, identique ou différente, ladite émulsion comprenant une phase aqueuse continue et une phase grasse dispersée sous forme de gouttes (G3), la taille des gouttes (G3) étant inférieure à 500 μηι, de préférence inférieure à 400 μηι, en particulier inférieure à 300 μηι, mieux inférieure à 200 μηι, en particulier inférieure à 100 μηι, voire inférieure à 20 μηι, et mieux inférieure à 10 μηι. Préférentiellement, la taille des gouttes (G3) est comprise entre 0,1 et 200 μηι, de préférence entre 0,25 et 100 μηι, en particulier entre 0,5 μηι et 50 μηι, de préférence entre 1 μηι et 20 μηι, et mieux entre 1 μηι et 10 μηι, voire entre 3 μηι et 5 μηι. According to a particular embodiment, the external continuous aqueous phase and / or the internal aqueous phase may be in the form of an identical or different oil-in-water emulsion, said emulsion comprising a continuous aqueous phase. and a fatty phase dispersed in the form of drops (G3), the size of the drops (G3) being less than 500 μηι, preferably less than 400 μηι, in particular less than 300 μηι, better still less than 200 μηι, in particular less than 100 μηι, or even less than 20 μηι, and better still less than 10 μηι. Preferably, the size of the drops (G3) is between 0.1 and 200 μηι, preferably between 0.25 and 100 μηι, in particular between 0.5 μηι and 50 μηι, preferably between 1 μηι and 20 μηι, and better between 1 μηι and 10 μηι, or between 3 μηι and 5 μηι.

Optionnellement, les gouttes (G3) comprennent une écorce formée d'au moins un polymère anionique, identique ou différent des polymères anioniques (PA1 ) et/ou (PA2), et d'au moins un polymère cationique, identique ou différent du polymère cationique (PC), Optionally, the drops (G3) comprise a bark formed from at least one anionic polymer, which is identical to or different from the anionic polymers (PA1) and / or (PA2), and from at least one cationic polymer, which is identical to or different from the cationic polymer. (PC)

Selon un autre mode de réalisation particulier, la phase grasse des gouttes (G1 ) peut se présenter sous la forme d'une émulsion eau-dans-huile, ladite émulsion comprenant une phase grasse continue et une phase aqueuse dispersée sous forme de gouttes (G4), la taille des gouttes (G4) étant inférieure aux gouttes (G1 ) et de préférence inférieure aux gouttes (G2). De préférence, la taille des gouttes (G4) est inférieure à 500 μηι, de préférence inférieure à 400 μηι, en particulier inférieure à 300 μηι, mieux inférieure à 200 μηι, en particulier inférieure à 100 μηι, voire inférieure à 20 μηι, et mieux inférieure à 10 μηι. Préférentiellement, la taille des gouttes (G4) est comprise entre 0,1 et 200 μηι, de préférence entre 0,25 et 100 μηι, en particulier entre 0,5 μηι et 50 μηι, de préférence entre 1 μηι et 20 μηι, et mieux entre 1 μηι et 10 μηι, voire entre 3 μηι et 5 μηι.According to another particular embodiment, the fatty phase of the drops (G1) may be in the form of a water-in-oil emulsion, said emulsion comprising a continuous fatty phase and an aqueous phase dispersed in the form of drops (G4 ), the size of the drops (G4) being lower than the drops (G1) and preferably lower than the drops (G2). Preferably, the size of the drops (G4) is less than 500 μηι, preferably less than 400 μηι, in particular less than 300 μηι, better less than 200 μηι, in particular less than 100 μηι, or even less than 20 μηι, and better still less than 10 μηι. Preferably, the size of the drops (G4) is between 0.1 and 200 μηι, preferably between 0.25 and 100 μηι, in particular between 0.5 μηι and 50 μηι, preferably between 1 μηι and 20 μηι, and better between 1 μηι and 10 μηι, or between 3 μηι and 5 μηι.

Optionnellement, les gouttes (G4) comprennent une écorce formée d'au moins un polymère anionique, identique ou différent au polymère anionique (PA1 ), et d'au moins un polymère cationique, identique ou différent du polymère cationique (PC). Optionally, the drops (G4) comprise a bark formed of at least one anionic polymer, identical to or different from the anionic polymer (PA1), and at least one cationic polymer, which is identical to or different from the cationic polymer (PC).

Avantageusement, les gouttes (G3) et/ou (G4) ne sont pas macroscopiques, c'est-à-dire non visibles à l'œil nu. Advantageously, the drops (G3) and / or (G4) are not macroscopic, that is to say, not visible to the naked eye.

En d'autres termes, les gouttes (G3) et/ou (G4) sont différentes et indépendantes des gouttes (G1 ) et/ou (G2). Par ailleurs, lorsque les gouttes (G3) sont présentes au niveau de la phase aqueuse interne, la taille des gouttes (G3) est inférieure à la taille des gouttes (G2). In other words, the drops (G3) and / or (G4) are different and independent of the drops (G1) and / or (G2). Moreover, when the drops (G3) are present at the level of the internal aqueous phase, the size of the drops (G3) is smaller than the size of the drops (G2).

Ces gouttes (G3) et/ou (G4) de taille réduite permettent d'avoir un effet sur la texture. En effet, une émulsion selon l'invention comprenant de telles gouttes (G3) et/ou (G4) finement dispersées présente des qualités d'onctuosité encore améliorées. These drops (G3) and / or (G4) of reduced size allow to have an effect on the texture. Indeed, an emulsion according to the invention comprising such drops (G3) and / or (G4) finely dispersed has yet improved lubricity qualities.

La présence des gouttes (G3) et/ou (G4) renforce les caractéristiques d'une émulsion selon l'invention en termes de texture unique, de légèreté et de sensoriel évolutif. Plus particulièrement, une émulsion selon l'invention comprenant des gouttes (G3) et/ou (G4) s'étale facilement sur la peau. Les premiers instants d'application sont très aqueux avec un effet cassant marqué. Puis, le ressenti évolue vers un voile huileux qui s'estompe pour laisser une peau légère et hydratée. Cette texture est particulièrement avantageuse et surprenante pour l'homme du métier au vu de l'absence de tensioactifs dans ces émulsions. The presence of drops (G3) and / or (G4) enhances the characteristics of an emulsion according to the invention in terms of unique texture, lightness and progressive sensory. More particularly, an emulsion according to the invention comprising drops (G3) and / or (G4) spreads easily on the skin. The first moments of application are very aqueous with a marked brittle effect. Then, the feeling evolves towards an oily veil that fades to leave a light and hydrated skin. This texture is particularly advantageous and surprising to the skilled person in view of the absence of surfactants in these emulsions.

Agent ayant un pouvoir suspensifAgent with suspensive power

Selon un mode de réalisation, la phase grasse des gouttes (G1 ) comprend au moins un agent ayant un pouvoir suspensif (ou agent suspensif). Un tel agent suspensif est différent des polymères anioniques et cationiques décrits ci-dessus. According to one embodiment, the fatty phase of the drops (G1) comprises at least one agent having suspensive power (or suspensive agent). Such a suspending agent is different from the anionic and cationic polymers described above.

Dans le cadre de l'invention, et sauf mention contraire, on entend par « agent ayant un pouvoir suspensif », un agent apte à maintenir en suspension de manière stable les gouttes (G2) dans les gouttes (G1 ). Un tel mode de réalisation est avantageux en ce que la présence d'au moins un agent suspensif dans la phase grasse des gouttes (G1 ) renforce encore la stabilité cinétique d'une émulsion selon l'invention, et en particulier la stabilité des gouttes (G1 ) et (G2). Ainsi, les gouttes (G1 ) et (G2) peuvent demeurer intactes sur une échelle de temps supérieure à 1 mois, en particulier supérieure à 3 mois, voire supérieure à 6 mois, à température ambiante, par exemple T=25°C ± 2°C, et à pression ambiante, par exemple 1 013 mbar.In the context of the invention, and unless otherwise stated, the term "agent having suspensive power" means an agent capable of stably maintaining the drops (G2) in the drops (G1) in a stable manner. Such an embodiment is advantageous in that the presence of at least one suspending agent in the fatty phase of the drops (G1) further enhances the kinetic stability of an emulsion according to the invention, and in particular the stability of the drops ( G1) and (G2). Thus, the drops (G1) and (G2) may remain intact on a time scale greater than 1 month, in particular greater than 3 months, or even greater than 6 months, at ambient temperature, for example T = 25 ° C ± 2 C., and at ambient pressure, for example 1013 mbar.

Dans le cadre de l'invention, et sauf mention contraire, on entend par « agentsuspensif », un agent permettant d'augmenter la viscosité de la phase grasse des gouttes (G1 ) de l'émulsion dépourvue dudit agent suspensif, et d'atteindre une viscosité finale de la phase grasse des gouttes (G1 ) supérieure à 20 000 mPa.s, de préférence supérieure à 50 000 mPa.s, mieux supérieure à 100 000 mPa.s, et tout particulièrement supérieure à 200 000 mPa.s. In the context of the invention, and unless otherwise indicated, "suspending agents" means an agent for increasing the viscosity of the fatty phase of the drops (G1) of the emulsion without said suspending agent, and to attain a final viscosity of the fatty phase of the drops (G1) greater than 20,000 mPa.s, preferably greater than 50,000 mPa.s, better still greater than 100,000 mPa.s, and more particularly greater than 200,000 mPa.s.

De préférence, la viscosité de la phase grasse des gouttes (G1 ) de l'émulsion en présence dudit agent suspensif est comprise entre 20 000 et 100 000 000 mPa.s, de préférence entre 50 000 et 1 000 000 mPa.s, et mieux entre 100 000 à 500 000 mPa.s, à 25°C. Preferably, the viscosity of the fatty phase of the drops (G1) of the emulsion in the presence of said suspending agent is between 20,000 and 100,000,000 mPa.s, preferably between 50,000 and 1,000,000 mPa.s, and best between 100,000 to 500,000 mPa.s at 25 ° C.

Le choix en agent(s) suspensif(s) s'effectue notamment au regard de la nature de la phase grasse des gouttes (G1 ) et/ou des résultats souhaités, notamment en termes de sensorialité et/ou de texture. Pour des raisons évidentes de compatibilités, l'agent suspensif est lipophile ou liposoluble. The choice of agent (s) suspensive (s) is carried out in particular with regard to the nature of the fatty phase of the drops (G1) and / or desired results, especially in terms of sensoriality and / or texture. For obvious reasons of compatibilities, the suspending agent is lipophilic or fat-soluble.

Egalement, lorsque la phase grasse des gouttes (G1 ) comprend au moins une huile et au moins un agent suspensif, le choix en huile(s) s'effectue notamment au regard de la nature de l'agent(s) suspensif(s), et inversement. En effet, es huile(s) mise(s) en œuvre doi(ven)t être un solvant satisfaisant de l'agent suspensif. Ce choix relève des compétences générales de l'homme du métier. Also, when the fatty phase of the drops (G1) comprises at least one oil and at least one suspensive agent, the choice of oil (s) is carried out in particular with regard to the nature of the suspensive agent (s) and vice versa. In fact, the oil (s) used must be a satisfactory solvent for the suspending agent. This choice is within the general skills of those skilled in the art.

Selon un mode de réalisation, les émulsions selon l'invention comprennent de 0% à 99,99%, de préférence de 0,5% à 70%, en particulier de 1 % à 50%, mieux de 2% à 40%, en particulier de 2,5% à 30%, et préférentiellement de 10% à 20%, en poids d'agent(s) suspensif(s) par rapport au poids total de la phase grasse des gouttes (G1 ). According to one embodiment, the emulsions according to the invention comprise from 0% to 99.99%, preferably from 0.5% to 70%, in particular from 1% to 50%, better still from 2% to 40%, in particular from 2.5% to 30%, and preferably from 10% to 20%, by weight of suspensive agent (s) relative to the total weight of the fatty phase of the drops (G1).

Selon un mode de réalisation, l'agent suspensif est choisi parmi les agents suspensifs lipophiles organiques ou minéraux, polymériques ou moléculaires, les corps gras solides à température et pression ambiante, et leurs mélanges. Agent(s) suspensif(s) lipophile(s)According to one embodiment, the suspending agent is chosen from organic or inorganic, polymeric or molecular lipophilic suspending agents, solid fats at ambient temperature and pressure, and mixtures thereof. Suspensive agent (s) lipophilic (s)

Les agents suspensifs utilisables selon l'invention peuvent être des agents suspensifs lipophiles organiques ou minéraux, polymériques ou moléculaires. The suspending agents that may be used according to the invention may be organic or inorganic, polymeric or molecular lipophilic suspending agents.

Selon un mode de réalisation, l'agent suspensif est choisi dans le groupe constitué des argiles modifiées, des silices, telles que la silice pyrogénée, et de leurs mélanges. According to one embodiment, the suspending agent is chosen from the group consisting of modified clays, silicas, such as fumed silica, and mixtures thereof.

Comme agent suspensif lipophile minéral, on peut citer les argiles éventuellement modifiées comme les hectorites modifiées par un chlorure d'ammonium en C10 à C22, comme l'hectorite modifiée par du chlorure de di-stéaryl di-méthyl ammonium telle que, par exemple, celle commercialisée sous la dénomination de Bentone 38V® par la société ELEMENTIS. On peut également citer l'hectorite modifiée par du chlorure de distéaryldiméthylammonium, connue également comme bentonite de quaternium-18, telle que les produits commercialisés ou fabriqués sous les dénominations Bentone 34 par la société Rheox, Claytone XL, Claytone 34 et Claytone 40 commercialisés ou fabriqués par la société Southern Clay, les argiles modifiées connues sous la dénomination de bentonites de benzalkonium et de quaternium-18 et commercialisées ou fabriquées sous les dénominations Claytone HT, Claytone GR et Claytone PS par la société Southern Clay, les argiles modifiées par du chlorure de stéaryldiméthylbenzoylammonium, connues comme bentonites de stéralkonium, telles que les produits commercialisés ou fabriqués sous les dénominations Claytone APA et Claytone AF par la société Southern Clay, et Baragel 24 commercialisé ou fabriqué par la société Rheox.As inorganic lipophilic suspending agent, there may be mentioned optionally modified clays, such as hectorites modified with a C10 to C22 ammonium chloride, such as hectorite modified with di-stearyl dimethyl ammonium chloride, such as example, that sold under the name Bentone 38V® by Elementis. Mention may also be made of hectorite modified with distearyldimethylammonium chloride, also known as quaternium-18 bentonite, such as the products sold or manufactured under the names Bentone 34 by the company Rheox, Claytone XL, Claytone 34 and Claytone 40 marketed or manufactured by Southern Clay, modified clays known as benzalkonium and quaternium-18 bentonites and marketed or manufactured under the names Claytone HT, Claytone GR and Claytone PS by Southern Clay, chloride-modified clays stearyldimethylbenzoylammonium compounds, known as steralkonium bentonites, such as the products marketed or manufactured under the names Claytone APA and Claytone AF by Southern Clay, and Baragel 24 sold or manufactured by Rheox.

On peut également citer la silice pyrogénée éventuellement traitée hydrophobe en surface dont la taille des particules est inférieure à 1 μηι. Il est en effet possible de modifier chimiquement la surface de la silice, par réaction chimique générant une diminution du nombre de groupes silanol présents à la surface de la silice. On peut notamment substituer des groupes silanol par des groupements hydrophobes : on obtient alors une silice hydrophobe. It is also possible to mention fumed silica optionally treated with hydrophobic surface, the particle size of which is less than 1 μηι. It is indeed possible to chemically modify the surface of the silica, by chemical reaction generating a decrease in the number of silanol groups present on the surface of the silica. In particular, it is possible to substitute silanol groups with hydrophobic groups: a hydrophobic silica is then obtained.

Les groupements hydrophobes peuvent être : The hydrophobic groups can be:

- des groupements triméthylsiloxyle, qui sont notamment obtenus par traitement de silice pyrogénée en présence de l'hexaméthyldisilazane. Des silices ainsi traitées sont dénommées « Silica silylate » selon le CTFA (8eme édition, 2000). Elles sont par exemple commercialisées sous les références Aerosil R812® par la société DEGUSSA, CAB-O-SIL TS-530® par la société CABOT ; ou - des groupements diméthylsilyloxyle ou polydiméthylsiloxane, qui sont notamment obtenus par traitement de silice pyrogénée en présence de polydiméthylsiloxane ou du diméthyldichlorosilane. Des silices ainsi traitées sont dénommées « Silica diméthyl silylate » selon le CTFA (8ème édition, 2000). Elles sont par exemple commercialisées sous les références Aerosil R972®, et Aerosil R974® par la société DEGUSSA, CAB-O-SIL TS-610® et CAB-O-SIL TS-720® par la société CABOT.trimethylsiloxyl groups, which are especially obtained by treatment of fumed silica in the presence of hexamethyldisilazane. Silicas thus treated are named "Silica Silylate" according to the CTFA (8th edition, 2000). They are for example marketed under the references Aerosil R812® by Degussa, Cab-O-Sil TS-530® by the company Cabot; or dimethylsilyloxyl or polydimethylsiloxane groups, which are especially obtained by treating fumed silica in the presence of polydimethylsiloxane or dimethyldichlorosilane. Silicas thus treated are known as "silica dimethyl Silylate" according to the CTFA(8th edition, 2000). They are for example marketed under the references Aerosil R972® , and Aerosil R974® by the company DEGUSSA, CAB-O-SIL TS-610® and CAB-O-SIL TS-720® by CABOT.

La silice pyrogénée hydrophobe présente en particulier une taille de particules pouvant être nanométrique à micrométrique, par exemple allant d'environ de 5 à 200 nm. The hydrophobic fumed silica has in particular a particle size that can be nanometric to micrometric, for example ranging from about 5 to 200 nm.

Les agents suspensifs lipophiles organiques polymériques sont par exemple les organopolysiloxanes élastomériques partiellement ou totalement réticulés, de structure tridimensionnelle, comme ceux commercialisés sous les dénominations de KSG6®, KSG16® et de KSG18® par la société SHIN-ETSU, de Dow Corning® EL- 7040, de Trefil E-505C® et de Trefil E-506C® par la société DOW-CORNING, de Gransil SR-CYC®, SR DMF10®, SR-DC556®, SR 5CYC gel®, SR DMF 10 gel® et de SR DC 556 gel® par la société GRANT INDUSTRIES, de SF 1204® et de JK 1 13® par la société GENERAL ELECTRIC ; l'éthylcellulose comme celle vendue sous la dénomination Ethocel® par la société DOW CHEMICAL ; les galactommananes comportant de un à six, et en particulier de deux à quatre, groupes hydroxyle par ose, substitués par une chaîne alkyle saturée ou non, comme la gomme de guar alkylée par des chaînes alkyle en Ci à C6, et en particulier en Ci à C3 et leurs mélanges. Les copolymères séquencés de type « dibloc », « tribloc » ou « radial » du type polystyrène/polyisoprène, polystyrène/polybutadiène tels que ceux commercialisés sous la dénomination Luvitol HSB® par la société BASF, du type polystyrène/copoly(éthylène-propylène) tels que ceux commercialisés sous la dénomination de Kraton® par la société SHELL CHEMICAL CO ou encore du type polystyrène/copoly(éthylène-butylène), les mélanges de copolymères tribloc et radial (en étoile) dans l'isododécane tels que ceux commercialisé par la société PENRECO sous la dénomination Versagel® comme par exemple le mélange de copolymère tribloc butylène/éthylène/styrène et de copolymère étoile éthylène/propylène/styrène dans l'isododécane (Versagel M 5960).The polymeric organic lipophilic suspending agents are, for example elastomeric organopolysiloxanes partially or totally crosslinked, three-dimensional structure, such as those sold under the names KSG6®,® KSG16 and KSG18® by the company Shin-Etsu, Dow Corning® EL- 7040, Trefil E-505C® and Trefil E-506C® by Dow-Corning company, of Gransil SR-CYC®, SR DMF10®, SR-DC556®, SR 5CYC® gel, SR DMF 10® gel and SR DC 556 gel® by the company GRANT INDUSTRIES, SF 1204® and JK 1 13® by the company GENERAL ELECTRIC; ethyl cellulose such as that sold under the name Ethocel® by Dow Chemical; galactomannans comprising from one to six, particularly two to four hydroxyl groups per saccharide, substituted with a saturated alkyl chain or not, such as guar gum alkylated with alkyl chains to C6, and in particular C 1 to C3 and mixtures thereof. Block copolymers of "diblock", "triblock" or "radial" of the polystyrene / polyisoprene or polystyrene / polybutadiene type such as those marketed under the name Luvitol HSB® by the company BASF, of the polystyrene / copoly (ethylene-propylene) such as those marketed under the trademark Kraton® by the company Shell Chemical Co., or the polystyrene / copoly (ethylene-butylene), triblock and radial copolymers of the mixtures (star) in isododecane such as those sold by the PENRECO company under the name Versagel® such as the mixture of butylene / ethylene / styrene triblock copolymer and star copolymer ethylene / propylene / styrene in isododecane (Versagel M 5960).

Selon un mode de réalisation, les agents suspensifs utilisables selon l'invention peuvent être choisi dans le groupe constitué des polyacrylates ; des esters de sucre/ polysaccharide et d'acide(s) gras, en particulier des esters de dextrine et d'acide(s) gras, des esters d'inuline et d'acide(s) gras ou des esters de glycérol et d'acide(s) gras ; des polyamides ; et de leurs mélanges.According to one embodiment, the suspending agents that may be used according to the invention may be chosen from the group consisting of polyacrylates; sugar / polysaccharide esters and fatty acid (s), in particular esters of dextrin and fatty acid (s), esters of inulin and fatty acid (s) or esters of glycerol and fatty acid (s); polyamides; and their mixtures.

Comme agent suspensif lipophile, on peut encore citer les polymères de masse moléculaire moyenne en poids inférieure à 100 000, comportant a) un squelette polymérique ayant des motifs de répétition hydrocarbonés pourvus d'au moins un hétéroatome, et éventuellement b) au moins une chaîne grasse pendante et/ou au moins une chaîne grasse terminale éventuellement fonctionnalisées, ayant de 6 à 120 atomes de carbone et étant liées à ces motifs hydrocarbonés, telles que décrites dans les demandes WO 02/056847, WO 02/47619, en particulier les résines de polyamides (notamment comprenant des groupes alkyles ayant de 12 à 22 atomes de carbone) telles que celles décrites dans US 5783657. As lipophilic suspensive agent, mention may also be made of polymers having a weight average molecular weight of less than 100,000, comprising a) a polymeric backbone having hydrocarbon-based repeating units provided with at least one heteroatom, and optionally b) at least one chain pendent fat and / or at least one optionally functionalized terminal fatty chain having from 6 to 120 carbon atoms and being bonded to these hydrocarbon units, as described in applications WO 02/056847, WO 02/47619, in particular the resins polyamides (especially comprising alkyl groups having from 12 to 22 carbon atoms) such as those described in US 5783657.

A titre d'exemple de résine de polyamide pouvant être mise en œuvre selon la présente invention, on peut citer UNICLEAR 100 VG® commercialisé par la société ARIZONA CHEMICAL.For example, polyamide resin that can be implemented according to the present invention include UNICLEAR 100 VG® marketed by Arizona Chemical.

On peut également utiliser les polyamides siliconés du type polyorganosiloxane tels que ceux décrits dans US 5 874 069, US 5 919 441 , US 6 051 216 et US 5 981 680. It is also possible to use polyorganosiloxane type silicone polyamides such as those described in US Pat. No. 5,874,069, US Pat. No. 5,919,441, US Pat. No. 6,051,216 and US Pat. No. 5,981,680.

Ces polymères siliconés peuvent appartenir aux deux familles suivantes : These silicone polymers can belong to the following two families:

- des polyorganosiloxanes comportant au moins deux groupes capables d'établir des interactions hydrogène, ces deux groupes étant situés dans la chaîne du polymère, et/oupolyorganosiloxanes comprising at least two groups capable of establishing hydrogen interactions, these two groups being located in the polymer chain, and / or

- des polyorganosiloxanes comportant au moins deux groupes capables d'établir des interactions hydrogène, ces deux groupes étant situés sur des greffons ou ramifications. polyorganosiloxanes comprising at least two groups capable of establishing hydrogen interactions, these two groups being located on grafts or branches.

Parmi les agents suspensifs lipophiles pouvant être utilisés dans la présente invention, on peut encore citer les esters de dextrine et d'acide gras, tels que les palmitates de dextrine. Among the lipophilic suspensive agents that can be used in the present invention, mention may also be made of dextrin and fatty acid esters, such as dextrin palmitates.

Selon un mode de réalisation, l'ester de dextrine et d'acide(s) gras selon l'invention est un mono- ou poly-ester de dextrine et d'au moins un acide gras répondant à la formule (II) suivante : According to one embodiment, the ester of dextrin and fatty acid (s) according to the invention is a dextrin mono- or poly-ester and of at least one fatty acid corresponding to the following formula (II):

Figure imgf000024_0001
Figure imgf000024_0001

dans laquelle : o n est un nombre entier allant de 2 à 200, de préférence allant de 20 à 150, et en particulier allant de 25 à 50,in which : an integer from 2 to 200, preferably from 20 to 150, and in particular from 25 to 50,

o les radicaux R4, R5 et R6, identiques ou différents, sont choisis parmi l'hydrogène ou un groupement acyle -CORa dans lequel le radical Ra représente un radical hydrocarboné, linéaire ou ramifié, saturé ou insaturé, possédant de 5 à 50, de préférence de 5 à 25 atomes de carbone,the radicals R4, R5 and R6, which are identical or different, are chosen from hydrogen or an acyl group -CORa in which the radical Ra represents a hydrocarbon radical, linear or branched, saturated or unsaturated, having 5 to 50, preferably 5 to 25 carbon atoms,

sous réserve qu'au moins un desdits radicaux R4, R5 ou R6 est différent de l'hydrogène.provided that at least one of said radicals R4 , R5 or R6 is other than hydrogen.

Selon un mode de réalisation, R4i R5 et R6 représentent, indépendamment les uns des autres, H ou un groupement acyle -CORa dans lequel Ra est un radical hydrocarboné tel que défini précédemment, sous réserve qu'au moins deux desdits radicaux R4, R5 ou R6 sont identiques et différents de l'hydrogène.According to one embodiment, R4 1 R5 and R6 represent, independently of each other, H or an acyl group -CORa in which Ra is a hydrocarbon radical as defined above, provided that at least two of said radicals R4, R5 or R6 are identical and different from hydrogen.

Selon un mode de réalisation, lorsque les radicaux R4, R5 et R6, identiques ou différents, représentent un radical -CORa, ceux-ci peuvent être choisis parmi les radicaux caprylyle, caproyle, lauroyle, myristyle, palmityle, stéaryle, eicosanyle, docosanoyle, isovaléryle, éthyl-2 butyryle, éthylméthylacétyle, isoheptanyle, éthyl-2 hexanyle, isononanyle, isodécanyle, isotridécanyle, isomyristyle, isopalmityle, isostéaryle, isohexanyle, décènyle, dodécenyle, tétradécényle, myristyle, hexadécénoyle, palmitoléyle, oléyle, élaidyle, eicosényle, sorbyle, linoléyle, linolényle, punicyle, arachidonyle, stéarolyle, et leurs mélanges.According to one embodiment, when the radicals R4, R5 and R6 , which are identical or different, represent a radical -CORa , they can be chosen from the radicals caprylyl, caproyl, lauroyl, myristyl, palmityl, stearyl, eicosanyl, docosanoyl, isovaleryl, 2-ethylbutyryl, ethylmethylacetyl, isoheptanyl, 2-ethylhexanyl, isononanyl, isodecanyl, isotridecanyl, isomyristyl, isopalmityl, isostearyl, isohexanyl, decenyl, dodecenyl, tetradecenyl, myristyl, hexadecenoyl, palmitolyl, oleyl, elaidyl, eicosenyl, sorbyl, linoleyl, linolenyl, punicyl, arachidonyl, stearolyl, and mixtures thereof.

Parmi les esters de dextrine et d'acide(s) gras, on peut par exemple citer les palmitates de dextrine, les myristates de dextrine, les palmitates/éthylhexanoates de dextrine et leurs mélanges. Among the esters of dextrin and fatty acid (s), mention may be made, for example, of dextrin palmitates, dextrin myristates, dextrin palmitates / ethylhexanoates and mixtures thereof.

On peut notamment citer les esters de dextrine et d'acide(s) gras commercialisés sous les dénominations Rheopearl® KL2 (nom INCI : dextrin palmitate), Rheopearl® TT2 (nom INCI : dextrin palmitate ethylhexanoate), et Rheopearl® MKL2 (nom INCI : dextrin myristate) par la société Miyoshi Europe. Mention may in particular be made of the esters of dextrin and of fatty acid (s) marketed under the names Rheopearl® KL2 (INCI name: dextrin palmitate), Rheopearl® TT2 (INCI name: dextrin palmitate ethylhexanoate), and Rheopearl® MKL2 (INCI name myristate dextrin) by Miyoshi Europe.

Parmi les gélifiants lipophiles pouvant être utilisés dans la présente invention, on peut encore citer les esters d'inuline et d'acide gras. Among the lipophilic gelling agents that can be used in the present invention, mention may also be made of inulin and fatty acid esters.

On peut notamment citer les esters d'inuline et d'acide(s) gras commercialisés sous les dénominations Rheopearl® ISK2 ou Rheopearl® ISL2 (nom INCI : Stearoyl Inulin) par la société Miyoshi Europe Mention may in particular be made of the esters of inulin and fatty acid (s) sold under the names Rheopearl® ISK2 or Rheopearl® ISL2 (INCI name: Stearoyl Inulin) by the company Miyoshi Europe

Selon un mode de réalisation, l'agent suspensif est choisi parmi les polyacrylates résultant de la polymérisation d'acrylate(s) d'alkyle en C10-C30, de préférence d'acrylate(s) d'alkyle en Ci4-C24, et encore plus préférentiellement d'acrylate(s) d'alkyle en Ci8-C22. Selon un mode de réalisation, les polyacrylates sont des polymères d'acide acrylique estérifié avec un alcool gras dont la chaîne carbonée saturée comprend de 10 à 30 atomes de carbone, de préférence de 14 à 24 atomes de carbone, ou un mélange desdits alcools gras. De préférence, l'alcool gras comprend 18 atomes de carbone ou 22 atomes de carbone.According to one embodiment, the suspending agent is selected from polyacrylates resulting from the polymerization of acrylate (s), alkyl C10 -C30, preferably acrylate (s) -C4 alkyl - -C2 4, and even more preferably acrylate (s) alkyl8 -C22. According to one embodiment, the polyacrylates are polymers of acrylic acid esterified with a fatty alcohol whose saturated carbon chain comprises from 10 to 30 carbon atoms, preferably from 14 to 24 carbon atoms, or a mixture of said fatty alcohols . Preferably, the fatty alcohol comprises 18 carbon atoms or 22 carbon atoms.

Parmi les polyacrylates, on peut citer plus particulièrement le polyacrylate de stéaryle, le polyacrylate de béhényle. De préférence, l'agent suspensif est le polyacrylate de stéaryle ou le polyacrylate de béhényle. Among the polyacrylates, there may be mentioned more particularly stearyl polyacrylate, behenyl polyacrylate. Preferably, the suspending agent is stearyl polyacrylate or behenyl polyacrylate.

On peut notamment citer les polyacrylates commercialisés sous les dénominations Intelimer® (nom INCI : Poly C10-C30 alkyl acrylate), notamment Intelimer® 13.1 et Intelimer® 13.6, par la société Airproducts.Mention may be made in particular of the polyacrylates sold under the names Intelimer® (INCI name: Poly C10 -C30 alkyl acrylate), in particular Intelimer® 13.1 and Intelimer® 13.6, by the company Airproducts.

Selon un mode de réalisation, l'agent suspensif est un ester de glycérol et d'acide(s) gras, en particulier un mono-, di- ou triester de glycérol et d'acide(s) gras. Typiquement, ledit ester de glycérol et d'acide(s) gras peut être utilisé seul ou en mélange. According to one embodiment, the suspending agent is an ester of glycerol and fatty acid (s), in particular a mono-, di- or triester of glycerol and fatty acid (s). Typically, said ester of glycerol and fatty acid (s) may be used alone or as a mixture.

Selon l'invention, il peut s'agir d'un ester de glycérol et d'un acide gras ou d'un ester de glycérol et d'un mélange d'acides gras. According to the invention, it may be a glycerol ester and a fatty acid or a glycerol ester and a mixture of fatty acids.

Selon un mode de réalisation, l'acide gras est choisi dans le groupe constitué de l'acide béhénique, de l'acide isooctadécanoique, de l'acide stéarique, de l'acide eicosanoïque, et de leurs mélanges. According to one embodiment, the fatty acid is selected from the group consisting of behenic acid, isooctadecanoic acid, stearic acid, eicosanoic acid, and mixtures thereof.

Selon un mode de réalisation, l'ester de glycérol et d'acide(s) gras présente la formule (III) suivante :According to one embodiment, the ester of glycerol and fatty acid (s) has the following formula (III):

Figure imgf000026_0001
Figure imgf000026_0001

dans laquelle : Ri , R2 et R3 sont, indépendamment l'un de l'autre, choisi parmi H et une chaîne alkyle saturée comprenant de 4 à 30 atomes de carbone, au moins un de Ri , R2 et R3 étant différent de H.in which: R 1, R2 and R3 are, independently of one another, chosen from H and a saturated alkyl chain comprising from 4 to 30 carbon atoms, at least one of R 1, R2 and R3 being different from H.

Selon un mode de réalisation, R1 ; R2 et R3 sont différents.According to one embodiment, R1; R2 and R3 are different.

Selon un mode de réalisation, R1 ; R2 et/ou R3 représente une chaîne alkyle saturée comprenant de 4 à 30, de préférence de 12 à 22, et préférentiellement de 18 à 22 atomes de carbone.According to one embodiment, R1; R2 and / or R3 represents a saturated alkyl chain comprising from 4 to 30, preferably from 12 to 22, and preferably from 18 to 22 carbon atoms.

Selon un mode de réalisation, l'ester de glycérol et d'acide(s) gras correspond à un composé de formule (III) dans laquelle Ri = H, R2 = C21 H43 et R3 = C19H40. Selon un mode de réalisation, l'ester de glycérol et d'acide(s) gras correspond à un composé de formule (III) dans laquelle Ri = R2 = R3 = C2i H43.According to one embodiment, the ester of glycerol and fatty acid (s) corresponds to a compound of formula (III) in which R 1 = H, R2 = C21 H43 and R3 = C19 H40 . According to one embodiment, the ester of glycerol and of fatty acid (s) corresponds to a compound of formula (III) in which R 1 = R2 = R3 = C2 H43 .

Selon un mode de réalisation, l'ester de glycérol et d'acide(s) gras correspond à un composé de formule (III) dans laquelle Ri = R2 = H, et R3 = Ci9H40.According to one embodiment, the ester of glycerol and fatty acid (s) corresponds to a compound of formula (III) in which R 1 = R2 = H, and R3 = Ci9 H40 .

Selon un mode de réalisation, l'ester de glycérol et d'acide(s) gras correspond à un composé de formule (III) dans laquelle Ri = R2 = H, et R3 = Ci7H35.According to one embodiment, the ester of glycerol and of fatty acid (s) corresponds to a compound of formula (III) in which R 1 = R2 = H, and R3 = C17 H35 .

On peut notamment citer les esters de glycérol et d'acide(s) gras commercialisés sous les dénominations Nomcort HK-G (nom INCI : Glyceryl behenate/eicosadioate) et Nomcort SG (nom INCI : Glyceryl tribehenate, isostearate, eicosadioate), par la société Nisshin Oillio. Mention may in particular be made of the esters of glycerol and of fatty acid (s) marketed under the names Nomcort HK-G (INCI name: Glyceryl behenate / eicosadioate) and Nomcort SG (INCI name: Glyceryl tribehenate, isostearate, eicosadioate), by the Nisshin Oillio company.

Cire(s)Wax (es)

Par « cire », on entend au sens de l'invention, un composé lipophile, solide à température ambiante (25°C), à changement d'état solide/liquide réversible, ayant un point de fusion supérieur ou égal à 30 °C pouvant aller jusqu'à 120°C. For the purposes of the invention, the term "wax" means a lipophilic compound, solid at room temperature (25 ° C.), with reversible solid / liquid state change, having a melting point greater than or equal to 30 ° C. up to 120 ° C.

Le protocole de mesure de ce point de fusion est décrit plus loin. The protocol for measuring this melting point is described below.

Les cires susceptibles d'être utilisées dans une émulsion selon l'invention peuvent être choisies parmi les cires, solides, déformables ou non à température ambiante, d'origine animale, végétale, minérale ou de synthèse et leurs mélanges. The waxes that may be used in an emulsion according to the invention may be chosen from waxes, solid, deformable or not at room temperature, of animal, vegetable, mineral or synthetic origin, and mixtures thereof.

On peut notamment utiliser les cires hydrocarbonées comme la cire d'abeilles, la cire de lanoline, et les cires d'insectes de Chine; la cire de riz, la cire de Carnauba, la cire de Candellila, la cire d'Ouricurry, la cire d'Alfa, la cire de fibres de liège, la cire de canne à sucre, la cire du Japon et la cire de sumac; la cire de montan, les cires microcristallines, les paraffines et l'ozokérite; les cires de polyéthylène, les cires obtenues par la synthèse de Fisher-Tropsch et les copolymères cireux ainsi que leurs esters. In particular, it is possible to use hydrocarbon-based waxes such as beeswax, lanolin wax, and Chinese insect waxes; rice wax, Carnauba wax, Candelilla wax, Ouricurry wax, Alfa wax, cork fiber wax, sugar cane wax, Japanese wax and sumac wax ; montan wax, microcrystalline waxes, paraffins and ozokerite; polyethylene waxes, waxes obtained by Fisher-Tropsch synthesis and waxy copolymers and their esters.

On peut notamment citer les cires commercialisées sous les dénominations Kahlwax®2039 (nom INCI : Candelilla cera) et Kahlwax®6607 (nom INCI : Helianthus Annuus Seed Wax) par la société Kahl Wachsraffinerie, Casid HSA (nom INCI : Hydroxystearic Acid) par la société SACI CFPA, Performa®260 (nom INCI : Synthetic wax) et Performa®103 (nom INCI : Synthetic wax) par la société New Phase, et AJK-CE2046 (nom INCI : Cetearyl alcohol, dibutyl lauroyl glutamide, dibutyl ethylhaxanoyl glutamide) par la société Kokyu Alcohol Kogyo. Mention may be made in particular of the waxes marketed under the names Kahlwax®2039 (INCI name: Candelilla cera) and Kahlwax®6607 (INCI name: Helianthus Annuus Seed Wax) by the company Kahl Wachsraffinerie, Casid HSA (INCI name: Hydroxystearic Acid) by the SACI company CFPA, Performa®260 (INCI name: Synthetic wax) and Performa®103 (INCI name: Synthetic wax) by the company New Phase, and AJK-CE2046 (INCI name: Cetearyl alcohol, dibutyl lauroyl glutamide, dibutyl ethylhaxanoyl glutamide) by the company Kokyu Alcohol Kogyo.

On peut aussi citer les cires obtenues par hydrogénation catalytique d'huiles animales ou végétales ayant des chaînes grasses, linéaires ou ramifiées, en C8-C32. Parmi celles-ci, on peut notamment citer l'huile de jojoba hydrogénée, l'huile de tournesol hydrogénée, l'huile de ricin hydrogénée, l'huile de coprah hydrogénée et l'huile de lanoline hydrogénée, le tétrastéarate de di-(triméthylol-1 ,1 ,1 propane) vendu sous la dénomination « HEST 2T-4S » par la société HETERENE, le tétrabéhénate de di-(triméthylol-1 ,1 ,1 propane) vendue sous la dénomination HEST 2T-4B par la société HETERENE.Mention may also be made of waxes obtained by catalytic hydrogenation of animal or vegetable oils having linear or branched C8 -C32 fatty chains. Among these, there may be mentioned hydrogenated jojoba oil, hydrogenated sunflower oil, hydrogenated castor oil, hydrogenated coconut oil and hydrogenated lanolin oil, di-tetrastearate ( trimethylol-1, 1, 1 propane) sold under the name "HEST 2T-4S" by the company HETERENE, di- (trimethylol-1, 1, 1 propane) tetraprenate sold under the name HEST 2T-4B by the company HETERENE.

On peut également utiliser les cires obtenues par transestérification et hydrogénation d'huiles végétales, telles que l'huile de ricin ou d'olive, comme les cires vendues sous les dénominations de Phytowax ricin 16L64® et 22L73® et Phytowax Olive 18L57 par la société SOPHIM. De telles cires sont décrites dans la demande FR-A- 2792190.One can also use waxes obtained by transesterification and hydrogenation of vegetable oils, such as castor oil or olive oil, such as waxes sold under the names Phytowax ricin 16L64 and 22L73®® and Phytowax Olive 18L57 by the company Sophim. Such waxes are described in application FR-A-2792190.

On peut aussi utiliser des cires siliconées qui peuvent être avantageusement des polysiloxanes substitués, de préférence à bas point de fusion. It is also possible to use silicone waxes, which may advantageously be substituted polysiloxanes, preferably at a low melting point.

Parmi les cires de silicones commerciales de ce type, on peut citer notamment celles vendues sous les dénominations Abilwax 9800, 9801 ou 9810 (GOLDSCHMIDT), KF910 et KF7002 (SHIN ETSU), ou 176-1 1 18-3 et 176-1 1481 (GENERAL ELECTRIC). Among the commercial silicone waxes of this type, mention may be made in particular of those sold under the names Abilwax 9800, 9801 or 9810 (GOLDSCHMIDT), KF910 and KF7002 (SHIN ETSU), or 176-1 1 18-3 and 176-1 1481 (GENERAL ELECTRIC).

Les cires de silicone utilisables peuvent également être des alkyl ou alcoxydiméthicones tels que les produits commerciaux suivants : Abilwax 2428, 2434 et 2440 (GOLDSCHMIDT), ou VP 1622 et VP 1621 (WACKER), ainsi que les (C2o-C6o) alkyldiméthicones, en particulier les (C30-C45) alkyldiméthicones comme la cire siliconée vendue sous la dénomination SF-1642 par la société GE-Bayer Silicones.The silicone waxes that may be used may also be alkyl or alkoxydimethicones such as the following commercial products: Abilwax 2428, 2434 and 2440 (GOLDSCHMIDT), or VP 1622 and VP 1621 (WACKER), as well as (C2 o C6 o) alkyldimethicones , in particular the (C30-C45) alkyldimethicones, such as the silicone wax sold under the name SF-1642 by the company GE-Bayer Silicones.

On peut également utiliser des cires hydrocarbonées modifiées par des groupements siliconés ou fluorés comme par exemple : siliconyl candelilla, siliconyl beeswax et Fluorobeeswax de Koster Keunen. It is also possible to use hydrocarbon waxes modified with silicone or fluorinated groups such as, for example: siliconyl candelilla, siliconyl beeswax and Fluorobeeswax by Koster Keunen.

Les cires peuvent également être choisies parmi les cires fluorées. The waxes may also be chosen from fluorinated waxes.

Beurre(s) ou corps gras pâteuxButter (s) or pasty fat

Par « beurre» (également appelé « corps gras pâteux ») au sens de la présente invention, on entend un composé gras lipophile à changement d'état solide/liquide réversible et comportant à la température de 25°C une fraction liquide et une fraction solide, et à pression atmosphérique (760 mm Hg). En d'autres termes, la température de fusion commençante du composé pâteux peut être inférieure à 25°C. La fraction liquide du composé pâteux mesurée à 25°C peut représenter de 9% à 97 % en poids du composé. Cette fraction liquide à 25°C représente de préférence entre 15% et 85 %, de préférence encore entre 40 et 85 % en poids. De préférence, le ou les beurres présentent une température de fin de fusion inférieure à 60°C. De préférence, le ou les beurres présentent une dureté inférieure ou égale à 6 MPa.For the purposes of the present invention, the term "butter" (also referred to as "pasty fatty substance") is understood to mean a lipophilic fatty compound with a reversible solid / liquid state change and comprising at the temperature of 25 ° C. a liquid fraction and a fraction. solid, and at atmospheric pressure (760 mm Hg). In other words, the starting melting temperature of the pasty compound may be less than 25 ° C. The liquid fraction of the pasty compound measured at 25 ° C. may represent from 9% to 97% by weight of the compound. This liquid fraction at 25 ° C. is preferably between 15% and 85%, more preferably between 40 and 85% by weight. Preferably, the one or more butters have an end-of-melting temperature of less than 60 ° C. Preferably, the one or more butters have a hardness less than or equal to 6 MPa.

De préférence, les beurres ou corps gras pâteux présentent à l'état solide une organisation cristalline anisotrope, visible par observations aux rayons X. Preferably, the butters or pasty fatty substances have in the solid state an anisotropic crystalline organization, visible by X-ray observations.

Au sens de l'invention, la température de fusion correspond à la température du pic le plus endothermique observé en analyse thermique (DSC) telle que décrite dans la norme ISO 1 1357-3 ; 1999. Le point de fusion d'un pâteux ou d'une cire peut être mesuré à l'aide d'un calorimètre à balayage différentiel (DSC), par exemple le calorimètre vendu sous la dénomination "DSC Q2000" par la société TA Instruments. For the purposes of the invention, the melting temperature corresponds to the temperature of the most endothermic peak observed in thermal analysis (DSC) as described in the ISO 1 1357-3 standard; 1999. The melting point of a paste or a wax can be measured using a differential scanning calorimeter (DSC), for example the calorimeter sold under the name "DSC Q2000" by the company TA Instruments .

Concernant la mesure de la température de fusion et la détermination de la température de fin de fusion, les protocoles de préparation des échantillons et de mesure sont les suivants : Un échantillon de 5 mg de corps gras pâteux (ou beurre) ou de cire préalablement chauffé à 80°C et prélevés sous agitation magnétique à l'aide d'une spatule également chauffée est placé dans une capsule hermétique en aluminium, ou creuset. Deux essais sont réalisés pour s'assurer de la reproductibilité des résultats. Concerning the measurement of the melting temperature and the determination of the end-of-melting temperature, the sample preparation and measurement protocols are as follows: A sample of 5 mg of pasty fatty substance (or butter) or wax previously heated at 80 ° C. and taken with magnetic stirring using an equally heated spatula is placed in an airtight aluminum capsule or crucible. Two tests are carried out to ensure the reproducibility of the results.

Les mesures sont réalisées sur le calorimètre mentionné ci-dessus. Le four est soumis à un balayage d'azote. Le refroidissement est assuré par l'échangeur thermique RCS 90. L'échantillon est ensuite soumis au protocole suivant en étant tout d'abord mis en température à 20°C, puis soumis à une première montée en température allant de 20°C à 80°C, à la vitesse de chauffe de 5°C/minute, puis est refroidi de 80°C à -80°C à une vitesse de refroidissement de 5°C/minute et enfin soumis à une deuxième montée en température allant de -80°C à 80°C à une vitesse de chauffe de 5°C/minute. Pendant la deuxième montée en température, on mesure la variation de la différence de puissance absorbée par le creuset vide et par le creuset contenant l'échantillon de beurre en fonction de la température. Le point de fusion du composé est la valeur de la température correspondant au sommet du pic de la courbe représentant la variation de la différence de puissance absorbée en fonction de la température. La température de fin de fusion correspond à la température à laquelle 95% de l'échantillon a fondu. The measurements are carried out on the calorimeter mentioned above. The oven is subjected to a nitrogen sweep. The cooling is ensured by the RCS 90 heat exchanger. The sample is then subjected to the following protocol, first being brought to a temperature of 20 ° C and then subjected to a first temperature rise ranging from 20 ° C to 80 ° C. ° C, at the heating rate of 5 ° C / minute, then cooled from 80 ° C to -80 ° C at a cooling rate of 5 ° C / minute and finally subjected to a second temperature rise from - 80 ° C to 80 ° C at a heating rate of 5 ° C / minute. During the second rise in temperature, the variation of the power difference absorbed by the empty crucible and the crucible containing the butter sample is measured as a function of temperature. The melting point of the compound is the value of the temperature corresponding to the peak apex of the curve representing the variation of the difference in power absorbed as a function of the temperature. The end of melting temperature corresponds to the temperature at which 95% of the sample melted.

La fraction liquide en poids du beurre (ou corps gras pâteux) à 25°C est égale au rapport de l'enthalpie de fusion consommée à 25°C sur l'enthalpie de fusion du beurre. L'enthalpie de fusion du beurre ou composé pâteux est l'enthalpie consommée par le composé pour passer de l'état solide à l'état liquide.The liquid fraction by weight of the butter (or pasty fatty substance) at 25 ° C is equal to the ratio of the enthalpy of fusion consumed at 25 ° C on the heat of fusion of the Butter. The enthalpy of melting of the butter or pasty compound is the enthalpy consumed by the compound to pass from the solid state to the liquid state.

Le beurre est dit à l'état solide lorsque l'intégralité de sa masse est sous forme solide cristalline. Le beurre est dit à l'état liquide lorsque l'intégralité de sa masse est sous forme liquide. L'enthalpie de fusion du beurre est égale à l'intégrale de l'ensemble de la courbe de fusion obtenue à l'aide du calorimètre suscité, avec une montée en température de 5°C ou 10°C par minute, selon la norme ISO 1 1357- 3:1999. L'enthalpie de fusion du beurre est la quantité d'énergie nécessaire pour faire passer le composé de l'état solide à l'état liquide. Elle est exprimée en J/g. The butter is said to be in the solid state when the entirety of its mass is in crystalline solid form. The butter is said to be in the liquid state when the entirety of its mass is in liquid form. The melting enthalpy of the butter is equal to the integral of the whole of the melting curve obtained with the aid of the calorimeter evoked, with a rise in temperature of 5 ° C. or 10 ° C. per minute, according to the standard ISO 1,1357-3: 1999. The melting enthalpy of the butter is the amount of energy required to pass the compound from the solid state to the liquid state. It is expressed in J / g.

L'enthalpie de fusion consommée à 25°C est la quantité d'énergie absorbée par l'échantillon pour passer de l'état solide à l'état qu'il présente à 25°C constitué d'une fraction liquide et d'une fraction solide. La fraction liquide du beurre mesurée à 32°C représente de préférence de 30% à 100 % en poids du composé, de préférence de 50% à 100%, de préférence encore de 60% à 100 % en poids du composé. Lorsque la fraction liquide du beurre mesurée à 32°C est égale à 100%, la température de la fin de la plage de fusion du composé pâteux est inférieure ou égale à 32°C. La fraction liquide du beurre mesurée à 32°C est égale au rapport de l'enthalpie de fusion consommée à 32°C sur l'enthalpie de fusion du beurre. L'enthalpie de fusion consommée à 32 °C est calculée de la même façon que l'enthalpie de fusion consommée à 23 °C. The enthalpy of fusion consumed at 25 ° C is the amount of energy absorbed by the sample to change from the solid state to the state it has at 25 ° C consisting of a liquid fraction and a solid fraction. The liquid fraction of the butter measured at 32 ° C preferably represents from 30% to 100% by weight of the compound, preferably from 50% to 100%, more preferably from 60% to 100% by weight of the compound. When the liquid fraction of the butter measured at 32 ° C is 100%, the temperature of the end of the melting range of the pasty compound is less than or equal to 32 ° C. The liquid fraction of the butter measured at 32 ° C. is equal to the ratio of the enthalpy of fusion consumed at 32 ° C. on the enthalpy of melting of the butter. The enthalpy of fusion consumed at 32 ° C. is calculated in the same way as the heat of fusion consumed at 23 ° C.

Concernant la mesure de la dureté, les protocoles de préparation des échantillons et de mesure sont les suivants : l'émulsion selon l'invention ou le beurre est placé dans un moule de 75 mm de diamètre qui est rempli à environ 75% de sa hauteur. Afin de s'affranchir du passé thermique et de contrôler la cristallisation, le moule est placé à l'étuve programmable Vôtsch VC0018 où il est tout d'abord mis en température à 80°C pendant 60 minutes, puis refroidi de 80°C à 0°C à une vitesse de refroidissement de 5°C/minute, puis laissé à la température stabilisée de 0°C pendant 60 minutes, puis soumis à une montée en température allant de 0°C à 20°C, à une vitesse de chauffe de 5°C/minute, puis laissé à la température stabilisée de 20°C pendant 180 minutes. La mesure de la force de compression est réalisée avec le texturomètre TA/TX2i de Swantech. Le mobile utilisé est choisi selon la texture : - mobile cylindrique en acier de 2 mm de diamètre pour les matières premières très rigides ; - mobile cylindrique en acier de 12 mm de diamètre pour les matières premières peu rigides. La mesure comporte 3 étapes : une 1 ère étape après détection automatique de la surface de l'échantillon où le mobile se déplace à la vitesse de mesure de 0,1 mm/s, et pénètre dans l'émulsion selon l'invention ou le beurre à une profondeur de pénétration de 0,3 mm, le logiciel note la valeur de la force maximale atteinte ; une 2ème étape dite de relaxation ou le mobile reste à cette position pendant une seconde et où on note la force après 1 seconde de relaxation ; enfin une 3ème étape dite de retrait ou le mobile revient à sa position initiale à la vitesse de 1 mm/s et on note l'énergie de retrait de la sonde (force négative).Regarding the hardness measurement, the sample preparation and measurement protocols are as follows: the emulsion according to the invention or the butter is placed in a mold 75 mm in diameter which is filled to about 75% of its height . In order to overcome the thermal past and control the crystallization, the mold is placed in the Vôtsch VC0018 programmable oven where it is first heated to 80 ° C for 60 minutes, then cooled from 80 ° C to 0 ° C at a cooling rate of 5 ° C / minute, then left at the stabilized temperature of 0 ° C for 60 minutes, then subjected to a temperature rise from 0 ° C to 20 ° C, at a rate of heat of 5 ° C / minute, then left at the stabilized temperature of 20 ° C for 180 minutes. The compression force measurement is performed with Swantech TA / TX2i texturometer. The mobile used is chosen according to the texture: - mobile cylindrical steel 2 mm in diameter for very rigid raw materials; - Cylindrical 12 mm diameter steel for rigid raw materials. The measurement comprises 3 steps: a first step after automatic detection of the surface of the sample where the mobile moves at the measuring speed of 0.1 mm / s, and enters the emulsion according to the invention or the butter at a depth of penetration of 0.3 mm, the software notes the value of the maximum force reached; a second so-called relaxation stage where the mobile stays at this position for one second and where the force is noted after 1 second of relaxation; finally a third so-called withdrawal step where the mobile returns to its initial position at the speed of 1 mm / s and the energy of withdrawal of the probe (negative force) is recorded.

La valeur de la dureté mesurée lors de la première étape correspond à la force de compression maximale mesurée en Newton divisée par la surface du cylindre du texturomètre exprimée en mm2 en contact avec le beurre ou l'émulsion selon l'invention. La valeur de dureté obtenue est exprimée en méga-pascals ou MPa.The value of the hardness measured in the first step corresponds to the maximum compression force measured in Newton divided by the surface area of the texturometer cylinder expressed in mm2 in contact with the butter or emulsion according to the invention. The value of hardness obtained is expressed in mega-pascals or MPa.

Le corps gras pâteux ou beurre peut être choisi parmi les composés synthétiques et les composés d'origine végétale. Un corps gras pâteux peut être obtenu par synthèse à partir de produits de départ d'origine végétale. The pasty fatty substance or butter may be chosen from synthetic compounds and compounds of plant origin. A pasty fatty substance can be obtained synthetically from starting materials of plant origin.

Le corps gras pâteux est avantageusement choisi parmi : The pasty fatty substance is advantageously chosen from:

- la lanoline et ses dérivés tels que l'alcool de lanoline, les lanolines oxyéthylénées, la lanoline acétylée, les esters de lanoline tels que le lanolate d'isopropyle, les lanolines oxypropylénées, lanolin and its derivatives such as lanolin alcohol, oxyethylenated lanolins, acetylated lanolin, lanolin esters such as isopropyl lanolate, oxypropylenated lanolines,

- les composés siliconés polymères ou non-polymères comme les polydiméthysiloxanes de masses moléculaires élevées, les polydiméthysiloxanes à chaînes latérales du type alkyle ou alcoxy ayant de 8 à 24 atomes de carbone, notamment les stéaryl diméthicones, polymeric or non-polymeric silicone compounds, such as polydimethylsiloxanes of high molecular weight, polydimethylsiloxanes with side chains of the alkyl or alkoxy type having from 8 to 24 carbon atoms, especially stearyl dimethicones,

- les composés fluorés polymères ou non-polymères, polymeric or non-polymeric fluorinated compounds,

- les polymères vinyliques, notamment vinyl polymers, in particular

- les homopolymères d'oléfines, homopolymers of olefins,

- les copolymères d'oléfines, copolymers of olefins,

- les homopolymères et copolymères de diènes hydrogénés, homopolymers and copolymers of hydrogenated dienes,

- les oligomères linéaires ou ramifiés, homo ou copolymères de (méth)acrylates d'alkyle ayant de préférence un groupement alkyle en C8-C30,linear or branched oligomers, homo or copolymers of alkyl (meth) acrylates preferably having a C8 -C30 alkyl group,

- les oligomères homo et copolymères d'esters vinyliques ayant des groupements alkyles en C8-C30,homo and copolymeric oligomers of vinyl esters having C8 -C30 alkyl groups,

- les oligomères homo et copolymères de vinyléthers ayant des groupements alkyles en C8-C30,the homo- and copolymer oligomers of vinyl ethers having C8 -C30 alkyl groups,

- les polyéthers liposolubles résultant de la polyéthérification entre un ou plusieurs diols en C2-Ci0o, de préférence en C2-C5o,the liposoluble polyethers resulting from the polyetherification between one or more C2 -C0 0 diols, preferably C2 -C5 o diols,

- les esters et les polyesters, et - leurs mélanges.esters and polyesters, and - their mixtures.

Selon un mode préféré de l'invention, le ou les beurres particuliers sont d'origine végétale tels que ceux décrit dans Ullmann's Encyclopedia of Industrial Chemistry (« Fats and Fatty Oils», A. Thomas, publié le 15/06/2000, D01 : 10.1002/14356007.a10_173, point 13.2.2.2F. Shea Butter, Bornéo Tallow, and Related Fats (Vegetable Butters)). According to a preferred embodiment of the invention, the particular butter or butters are of plant origin such as those described in Ullmann's Encyclopedia of Industrial Chemistry ("Fats and Fatty Oils", A. Thomas, published on 15/06/2000, D01 : 10.1002 / 14356007.a10_173, point 13.2.2.2F, Shea Butter, Borneo Tallow, and Related Fats (Vegetable Butters).

On peut citer plus particulièrement les triglycérides en C10-C18 (nom INCI : C10-18 Triglycérides) comportant à la température de 25°C et à pression atmosphérique (760 mm Hg) une fraction liquide et une fraction solide, le beurre de karité, le beurre de Karité Nilotica (Butyrospermum parkii), le beurre de Galam, (Butyrospermum parkii), le beurre ou graisse de Bornéo ou tengkawang tallow) (Shorea stenoptera), beurre de Shorea, beurre d'Illipé , beurre de Madhuca ou Bassia Madhuca longifolia, beurre de mowrah (Madhuca Latifolia), beurre de Katiau (Madhuca mottleyana), le beurre de Phulwara (M. butyracea), le beurre de mangue (Mangifera indica), le beurre de Murumuru (Astrocatyum murumuru), le beurre de Kokum (Garcinia Indica), le beurre d'Ucuuba ( Virola sebifera), le beurre de Tucuma, le beurre de Painya (Kpangnan) (Pentadesma butyracea), le beurre de café (Coffea arabica), le beurre d'abricot (Prunus Armeniaca), le beurre de Macadamia (Macadamia Temifolia), le beurre de pépin de raisin ( Vitis vinifera), le beurre d'avocat (Persea gratissima), le beurre d'olives (Olea europaea), le beurre d'amande douce (Prunus amygdalus dulcis), le beurre de cacao ( Theobroma cacao) et le beurre de tournesol, le beurre sous le nom INCI Astrocaryum Murumuru Seed Butter, le beurre sous le nom INCI Theobroma Grandiflorum Seed Butter, et le beurre sous le nom INCI Irvingia Gabonensis Kernel Butter, les esters de jojoba (mélange de cire et d'huile de jojoba hydrogénée)(nom INCI : Jojoba esters) et les esters éthyliques de beurre de karité (nom INCI : Shea butter ethyl esters), et leurs mélanges. Mention may be made more particularly of C10-C18 triglycerides (INCI name: C10-18 triglycerides) having at a temperature of 25 ° C and at atmospheric pressure (760 mm Hg) a liquid fraction and a solid fraction, shea butter, Nilotica Shea butter (Butyrospermum parkii), Galam butter (Butyrospermum parkii), Borneo butter or fat or Tengkawang tallow) (Shorea stenoptera), Shorea butter, Illipé butter, Madhuca butter or Bassia Madhuca longifolia, mowrah butter (Madhuca Latifolia), Katiau butter (Madhuca mottleyana), Phulwara butter (M. butyracea), mango butter (Mangifera indica), Murumuru butter (Astrocatyum murumuru), Kokum butter (Garcinia Indica), Ucuuba butter (Virola sebifera), Tucuma butter, Painya butter (Kpangnan) (Pentadesma butyracea), Coffee butter (Coffea arabica), Apricot butter (Prunus Armeniaca) , Macadamia butter (Macadamia Temifolia), butter of p grape pine (Vitis vinifera), avocado butter (Persea gratissima), olive butter (Olea europaea), sweet almond butter (Prunus amygdalus dulcis), cocoa butter (Theobroma cacao) and sunflower butter, butter under the INCI name Astrocaryum Murumuru Seed Butter, butter under the INCI name Theobroma Grandiflorum Seed Butter, and butter under the INCI name Irvingia Gabonensis Kernel Butter, jojoba esters (mixture of wax and oil hydrogenated jojoba) (INCI name: Jojoba esters) and ethyl esters of shea butter (INCI name: Shea butter ethyl esters), and mixtures thereof.

Selon un mode de réalisation préféré, un agent suspensif de phase grasse des gouttes (G1 ) selon l'invention est un agent suspensif thermosensible, à savoir qui réagit à la chaleur, et notamment est un agent suspensif solide à température ambiante et liquide à une température supérieure à 40°C, de préférence supérieure à 50°C. According to a preferred embodiment, a suspending agent for the fatty phase of the drops (G1) according to the invention is a heat-sensitive suspensive agent, namely which reacts with heat, and in particular is a suspending agent which is solid at room temperature and liquid at a temperature of temperature above 40 ° C, preferably above 50 ° C.

Ainsi, l'agent suspensif est de préférence choisi parmi les palmitates de dextrine. Thus, the suspending agent is preferably chosen from dextrin palmitates.

Selon un autre mode de réalisation préféré, un agent suspensif de phase grasse des gouttes (G1 ) selon l'invention est un agent suspensif thixotrope ou apte à conférer à la solution qui le comprend un comportement thixotrope. Ce mode de réalisation est avantageux en ce qu'une émulsion selon l'invention peut être obtenue par mise en œuvre d'un procédé microfluidique à température ambiante. Ainsi, l'agent suspensif est de préférence choisi parmi la silice pyrogénée éventuellement traitée hydrophobe en surface.According to another preferred embodiment, a suspending agent for the fatty phase of the drops (G1) according to the invention is a thixotropic or suitable suspending agent. to confer on the solution which includes it a thixotropic behavior. This embodiment is advantageous in that an emulsion according to the invention can be obtained by implementing a microfluidic process at ambient temperature. Thus, the suspending agent is preferably chosen from the optionally hydrophobic silica treated surface-treated.

Selon un mode de réalisation particulier, une émulsion selon l'invention, en particulier la phase grasse des gouttes (G1 ), ne comprend pas de gel d'élastomère comprenant au moins une diméthicone, notamment tel que commercialisé par NuSil Technology sous la dénomination CareSil™ CXG-1 104 (INCI : Diméthicone (and) Dimethicone/Vinyl Diméthicone Crosspolymer). According to one particular embodiment, an emulsion according to the invention, in particular the fatty phase of the drops (G1), does not comprise an elastomer gel comprising at least one dimethicone, in particular such as marketed by NuSil Technology under the name CareSil ™ CXG-1 104 (INCI: Dimethicone (and) Dimethicone / Vinyl Dimethicone Crosspolymer).

Avantageusement, lorsque la phase grasse des gouttes (G1 ) d'une émulsion selon l'invention comprend en outre au moins un agent suspensif tel que décrit ci- dessus, en particulier choisi parmi les esters de dextrine et d'acide(s) gras, et de préférence dans le groupe constitué des palmitates de dextrine, des myristates de dextrine, des palmitates/éthylhexanoates de dextrine, et de leurs mélanges, ladite phase grasse des gouttes (G1 ) comprend en outre au moins une huile ayant un indice de réfraction proche de celui du/des agent(s) gélifiant suspensif(s), à savoir une huile ayant un indice de réfraction, à température ambiante (25°C) et pression atmosphérique, compris entre 1 ,2 et 1 , 8, de préférence entre 1 ,3 et 1 ,7, en particulier entre 1 ,4 et 1 , 6, et mieux entre 1 ,45 et 1 ,55. Advantageously, when the fatty phase of the drops (G1) of an emulsion according to the invention further comprises at least one suspending agent as described above, in particular chosen from the esters of dextrin and fatty acid (s) and preferably in the group consisting of dextrin palmitates, dextrin myristates, dextrin palmitates / ethylhexanoates, and mixtures thereof, said fatty phase of the drops (G1) further comprises at least one oil having a refractive index close to that of the suspending gelling agent (s), namely an oil having a refractive index, at ambient temperature (25 ° C.) and atmospheric pressure, of between 1, 2 and 1.8, preferably between 1, 3 and 1, 7, in particular between 1, 4 and 1, 6, and more preferably between 1, 45 and 1, 55.

Ce mode de réalisation est avantageux en ce qu'il permet d'améliorer la transparence de la phase grasse des gouttes (G1 ), et donc la transparence de l'émulsion selon l'invention. This embodiment is advantageous in that it makes it possible to improve the transparency of the fatty phase of the drops (G1), and therefore the transparency of the emulsion according to the invention.

Avantageusement, l'huile ayant un indice de réfraction compris entre 1 ,2 et 1 ,8 est une huile de silicone, en particulier une huile de silicone phénylée. Advantageously, the oil having a refractive index between 1, 2 and 1.8 is a silicone oil, in particular a phenyl silicone oil.

A titre d'huiles de silicone conformes à l'invention, on peut citer par exemple les polyméthylsiloxanes (PDMS) volatiles ou non à chaîne siliconée linéaire ou cyclique, liquides ou pâteux à température ambiante, notamment les cyclopolydiméthylsiloxanes (cyclométhicones) telles que la cyclohexasiloxane et la cyclopentasiloxane ; les polydiméthylsiloxanes (ou diméthicones) comportant des groupements alkyle, alcoxy ou phényle, pendant ou en bout de chaîne siliconée, groupements ayant de 2 à 24 atomes de carbone ; les silicones phénylées comme les phényltriméthicones (en particulier une diphénylsiloxyphényltriméthicone), les phényldiméthicones, les phényltriméthylsiloxydiphényl-siloxanes, les diphényl- diméthicones, les diphénylméthyldiphényl trisiloxanes, les 2-phényléthyltriméthyl- siloxysilicates, les polyméthylphénylsiloxanes, et leurs mélanges. Agent(s) de textureAs silicone oils in accordance with the invention, mention may be made, for example, of volatile or non-volatile polymethylsiloxanes (PDMSs) with a linear or cyclic silicone chain, which are liquid or pasty at room temperature, in particular cyclopolydimethylsiloxanes (cyclomethicones) such as cyclohexasiloxane. and cyclopentasiloxane; polydimethylsiloxanes (or dimethicones) comprising alkyl, alkoxy or phenyl groups, during or at the end of the silicone chain, groups having from 2 to 24 carbon atoms; phenyl silicones such as phenyltrimethicones (in particular diphenylsiloxyphenyltrimethicone), phenyldimethicones, phenyltrimethylsiloxydiphenylsiloxanes, diphenyl-dimethicones, diphenylmethyldiphenyltrisiloxanes, 2-phenylethyltrimethylsiloxysilicates, polymethylphenylsiloxanes, and mixtures thereof. Texture agent (s)

Selon la fluidité et/ou la sensorialité et/ou la texture de l'émulsion selon l'invention que l'on souhaite obtenir, ladite émulsion, en particulier la phase aqueuse externe et/ou la phase aqueuse interne, peu(ven)t en outre comprendre au moins un agent de texture différent des polymères cationiques, des polymères anioniques, des huiles et des agents suspensifs décrits précédemment. According to the fluidity and / or the sensoriality and / or the texture of the emulsion according to the invention which it is desired to obtain, said emulsion, in particular the external aqueous phase and / or the internal aqueous phase, may be further comprising at least one texturizing agent different from the cationic polymers, anionic polymers, oils and suspending agents described above.

Bien entendu, l'homme du métier veillera à choisir le(s) éventuel(s) agent(s) de texture et/ou leur(s) quantité(s) de telle manière que les propriétés avantageuses d'une émulsion selon l'invention ne soient pas ou substantiellement pas altérées par l'adjonction envisagée. Of course, those skilled in the art will take care to choose any texture agent (s) and / or their amount (s) in such a way that the advantageous properties of an emulsion according to invention are not or not substantially impaired by the addition contemplated.

Avantageusement, une émulsion selon l'invention comprend de 0,01 % à 50%, de préférence de 0,05% à 30%, en particulier de 0,1 % à 15%, mieux de 1 % à 10%, et tout particulièrement 2% à 5%, en poids d'agent(s) de texture par rapport au poids total de ladite émulsion. Advantageously, an emulsion according to the invention comprises from 0.01% to 50%, preferably from 0.05% to 30%, in particular from 0.1% to 15%, better still from 1% to 10%, and all particularly 2% to 5% by weight of texturizing agent (s) relative to the total weight of said emulsion.

En particulier, lorsque la phase aqueuse externe comprend au moins un agent de texture, une émulsion selon l'invention comprend de 0,01 % à 50%, de préférence de 0,05% à 30%, en particulier de 0,1 % à 15%, mieux de 1 % à 10%, et tout particulièrement 2% à 5%, en poids d'agent(s) de texture par rapport au poids total de ladite phase aqueuse externe. In particular, when the external aqueous phase comprises at least one texturizing agent, an emulsion according to the invention comprises from 0.01% to 50%, preferably from 0.05% to 30%, in particular 0.1% at 15%, more preferably from 1% to 10%, and most preferably from 2% to 5%, by weight of texturizing agent (s) relative to the total weight of said external aqueous phase.

En particulier, lorsque la phase aqueuse interne comprend au moins un agent de texture, une émulsion selon l'invention comprend de 0,01 % à 30%, de préférence de 0,05% à 15%, et en particulier de 0,1 % à 10%, en poids d'agent(s) de texture par rapport au poids total de ladite phase aqueuse interne. In particular, when the internal aqueous phase comprises at least one texturizing agent, an emulsion according to the invention comprises from 0.01% to 30%, preferably from 0.05% to 15%, and in particular from 0.1% to % to 10%, by weight of texturizing agent (s) relative to the total weight of said internal aqueous phase.

Comme agents de texture hydrophiles, c'est-à-dire solubles ou dispersibles dans l'eau, et donc pouvant être présents dans la phase aqueuse externe et/ou la phase aqueuse interne d'une émulsion selon l'invention, on peut citer : As hydrophilic texture agents, that is to say those which are soluble or dispersible in water, and therefore may be present in the external aqueous phase and / or the internal aqueous phase of an emulsion according to the invention, mention may be made of :

- les agents de texture naturels, notamment choisis parmi les extraits d'algues, les exsudais de plantes, les extraits de graines, les exsudais de microorganismes, tel que l'alcasealan (INCI : Alcaligenes Polysaccharides), et autres agents naturels, en particulier l'acide hyaluronique, natural texture agents, chosen in particular from algae extracts, plant exudates, seed extracts, exudates of microorganisms, such as alcasealan (INCI: Alcaligenes Polysaccharides), and other natural agents, in particular hyaluronic acid,

- les agents de texture semi-synthétiques, notamment choisis parmi les dérivés de la cellulose et les amidons modifiés, semi-synthetic texture agents, especially chosen from cellulose derivatives and modified starches,

- les agents de texture synthétiques, notamment choisis parmi les homopolymères d'acide (méth)acrylique ou un de leurs esters, les copolymères d'acide (méth)acrylique ou un de leurs esters, les copolymères d'AMPS (2-acrylamido-2-méthylpropane sulfoniques acide), les polymères associatifs,synthetic texturing agents, especially chosen from homopolymers of (meth) acrylic acid or one of their esters, copolymers of (meth) acrylic acid or one of their esters, copolymers of AMPS (2-acrylamido-2-methylpropanesulfonic acid), associative polymers,

- les autres agents de texture, notamment choisis parmi les glycols, les polyéthylèneglycols (commercialisé sous la dénomination Carbowax), les argiles, les silices telles que celles commercialisées sous les dénominations Aérosil® 90/130/150/200/300/380), en particulier la glycérine, le propylène glycol, le butylène glycol, le penthylène glycol, le propanediol, le méthylpropanediol, l'hexanediol, et the other texturing agents, especially chosen from glycols, polyethylene glycols (sold under the name Carbowax), clays, silicas such as those sold under the names Aerosil® 90/130/150/200/300/380), in particular glycerine, propylene glycol, butylene glycol, penthylene glycol, propanediol, methylpropanediol, hexanediol, and

- leurs mélanges. - their mixtures.

Par « polymère associatif » au sens de la présente invention, on entend tout polymère amphiphile comportant dans sa structure au moins une chaîne grasse et au moins une portion hydrophile ; les polymères associatifs conformes à la présente invention peuvent être anioniques, cationiques, non-ioniques ou amphotères ; il s'agit notamment de ceux décrits dans FR 2 999 921 . De préférence, il s'agit des polymères associatifs amphiphiles et anioniques et des polymères associatifs amphiphiles et non-ioniques tels que décrits ci-après. For the purposes of the present invention, the term "associative polymer" means any amphiphilic polymer comprising in its structure at least one fatty chain and at least one hydrophilic portion; the associative polymers according to the present invention may be anionic, cationic, nonionic or amphoteric; these include those described in FR 2 999 921. Preferably, these are amphiphilic and anionic associative polymers and amphiphilic and nonionic associative polymers as described below.

De préférence, les agents de texture de la phase aqueuse sont choisis parmi ceux qui sont résistants aux électrolytes, et sont notamment choisis parmi les carraghénanes ; la gomme de xanthane ; la carboxyméthylcellulose ; l'hydroxyéthylcellulose ; l'hydroxypropylcellulose ; l'hydroxypropyl méthylcellulose ; la méthylcellulose ; l'éthylcellulose ; les alkylhydroxyéthylcelluloses ; l'hydroxypropylamidon phosphate ; les carbomères figurés par ceux commercialisés sous les dénominations Carbopol Ultrez 10/30, Tego Carbomer 134 / 140 / 141 , Aqupec HV-505, HV-505HC, HV-504, HV-501 , HV-505E, HV-504E, HV-501 E, HV- 505ED, Ashland 941 carbomer, ou Ashland 981 carbomer ; les copolymères acrylates, notamment ceux commercialisés sous les dénominations Carbopol Aqua SF-1 Polymer ou Carbopol Aqua SF-1 OS Polymer ou le Arkema Reostyl 67N ; les acrylates/C10-C30 alkyl acrylate crosspolymers commercialisés sous les dénominations Carbopol Ultrez 20/21 ,Tego Carbomer 341 ER, Tego Carbomer 750 HD, Tego Carbomer 841 SER, Aqupec HV-501 ER, HV-701 EDR, HV-501 EM, SER W-150C ou SER W-300C ; les sodium acrylates/beheneth-25 méthacrylate crosspolymer ; les acrylates/acrylamide copolymers ; les copolymères AMPS Na hydroxyéthyl acrylate commercialisés sous les dénominations Sepinov WEO ou Sepinov EMT 10 ; les acryloyl Dimethyltaurate/Sodium Acrylate/Dimethylacrylamide crosspolymers ; le PVP ; les acrylates/Steareth-20 Méthacrylate Copolymer ; le Polyacrylate Crosspolymer-6 ; les acrylates/ceteth-20 itaconate copolymer ; les polyurethanes, par exemple le Steareth-100/PEG-136/HDI Copolymer commercialisé sous la dénomination RHEOLUXE® 81 1 par Elementis specialitis, en particulier les polyurethanes polyethers tels que les PEG-240/HDI COPOLYMER BIS-DECYLTETRADECETH-20 ETHER, en particulier ceux commercialisés sous les dénominations Adeka Nol GT-700 / GT-730 ; le polyurethane-39 ; la cétyl hydroxyethylcellulose ; les polyéthylèneglycols ; la bentonite ; la glycérine ; et leurs mélanges, et mieux sont choisis parmi les copolymères acrylates, en particulier celui commercialisé sous la dénomination Carbopol Aqua SF-1 Polymer ou Carbopol Aqua SF-1 OS Polymer.Preferably, the texturing agents of the aqueous phase are chosen from those which are resistant to electrolytes, and are especially chosen from carrageenans; xanthan gum; carboxymethylcellulose; hydroxyethylcellulose; hydroxypropylcellulose; hydroxypropyl methylcellulose; methylcellulose; ethylcellulose; alkylhydroxyethylcelluloses; hydroxypropyl starch phosphate; the carbomers represented by those sold under the names Carbopol Ultrez 10/30, Tego Carbomer 134/140/141, Aqupec HV-505, HV-505HC, HV-504, HV-501, HV-505E, HV-504E, HV-504, 501 E, HV-505ED, Ashland 941 carbomer, or Ashland 981 carbomer; acrylate copolymers, in particular those sold under the names Carbopol Aqua SF-1 Polymer or Carbopol Aqua SF-1 OS Polymer or Arkema Reostyl 67N; the acrylates / C10-C30 alkyl acrylate crosspolymers sold under the names Carbopol Ultrez 20/21, Tego Carbomer 341 ER, Tego Carbomer 750 HD, Tego Carbomer 841 SER, Aqupec HV-501 ER, HV-701 EDR, HV-501 EM, SER W-150C or SER W-300C; sodium acrylates / beheneth-25 methacrylate crosspolymer; acrylates / acrylamide copolymers; the AMPS Na hydroxyethyl acrylate copolymers sold under the names Sepinov WEO or Sepinov EMT 10; acryloyl Dimethyltaurate / Sodium Acrylate / Dimethylacrylamide crosspolymers; PVP; acrylates / Steareth-20 Methacrylate Copolymer; Polyacrylate Crosspolymer-6; acrylates / ceteth-20 itaconate copolymer; the polyurethanes, for example Steareth-100 / PEG-136 / HDI Copolymer sold under the name RHEOLUXE® 81 1 by Elementis specialitis, in particular polyether polyurethanes such as PEG-240 / HDI COPOLYMER BIS-DECYLTETRADECETH-20 ETHER, in particular those sold under the names Adeka Nol GT-700 / GT-730; polyurethane-39; cetyl hydroxyethylcellulose; polyethylene glycols; bentonite; glycerine; and mixtures thereof, and more preferably are selected from acrylate copolymers, in particular that sold under the name Carbopol Aqua SF-1 Polymer or Carbopol Aqua SF-1 OS Polymer.

Ces agents de textures, outre leur(s) propriété(s) de résistance aux électrolytes, confèrent à une émulsion selon l'invention les comprenant une stabilité et une transparence améliorée. These texture agents, in addition to their property (s) of resistance to electrolytes, give an emulsion according to the invention comprising them improved stability and transparency.

Composé(s) additionnel(s)Additional compound (s)

Selon l'invention, la phase aqueuse interne et/ou la phase aqueuse externe et/ou la phase grasse peut/peuvent en outre comprendre au moins un composé additionnel différent des polymères anioniques et cationique, de l'agent suspensif, de l'agent de texture et des huiles susmentionnées. According to the invention, the internal aqueous phase and / or the external aqueous phase and / or the fatty phase may further comprise at least one additional compound different from the anionic and cationic polymers, the suspending agent, the agent texture and oils mentioned above.

Une émulsion selon l'invention, et en particulier la phase aqueuse interne et/ou la phase aqueuse externe et/ou la phase grasse de ladite émulsion, peu(ven)t ainsi en outre comprendre à titre de composé additionnel des poudres, des paillettes, des agents colorants, notamment choisis parmi les agents colorants hydrosolubles ou non, liposolubles ou non, organiques ou inorganiques, les pigments, les matériaux à effet optique, les cristaux liquides, et leurs mélanges, des agents particulaires insolubles dans la phase grasse, des élastomères de silicone émulsionnants et/ou non émulsionnants, notamment tels que décrit dans EP 2 353 577, des conservateurs, des humectants, des stabilisateurs, des chélateurs, des émollients, des agents modificateurs choisis parmi les agents de pH, de force osmotique et/ou des modificateurs d'indice de réfraction etc .. ou tout additif cosmétique usuel, et leurs mélanges. An emulsion according to the invention, and in particular the internal aqueous phase and / or the external aqueous phase and / or the fatty phase of said emulsion, can thus additionally comprise, as additional compound, powders, glitter , coloring agents, especially chosen from water-soluble or non-fat-soluble, organic or inorganic, water-soluble or non-soluble dyes, pigments, optical effect materials, liquid crystals, and mixtures thereof, particulate agents which are insoluble in the fatty phase, emulsifying and / or non-emulsifying silicone elastomers, especially as described in EP 2 353 577, preserving agents, humectants, stabilizers, chelators, emollients, modifying agents chosen from the agents of pH, osmotic force and / or or refractive index modifiers etc. or any usual cosmetic additive, and mixtures thereof.

Selon un mode de réalisation, la phase aqueuse interne et/ou la phase aqueuse externe comprend au moins un agent colorant tel que défini ci-dessus. De préférence, la phase aqueuse interne des émulsions selon l'invention comprend au moins un colorant. According to one embodiment, the internal aqueous phase and / or the external aqueous phase comprises at least one coloring agent as defined above. Preferably, the internal aqueous phase of the emulsions according to the invention comprises at least one dye.

Les émulsions selon l'invention, et en particulier la phase aqueuse interne et/ou la phase aqueuse externe et/ou la phase grasse des émulsions, peuvent encore en outre comprendre au moins un actif, notamment biologique ou cosmétique, de préférence choisi parmi les agents hydratants, les agents cicatrisants, les agents dépigmentants, les filtres UV, les agents desquamants, les agents antioxydants, les actifs stimulant la synthèse des macromoléculaires dermiques et/ou épidermiques, les agents dermodécontractants, les agents anti- transpirants, les agents apaisants, les agents anti-âge, les agents parfumants et leurs mélanges. De tels actifs sont notamment décrits dans FR 1 558 849.The emulsions according to the invention, and in particular the internal aqueous phase and / or the external aqueous phase and / or the fatty phase of the emulsions, can still furthermore comprise at least one active agent, in particular a biological or cosmetic active agent, preferably chosen from hydrating agents, healing agents, depigmenting agents, UV-screening agents, desquamating agents, antioxidants, active agents stimulating the synthesis of dermal macromoleculars and / or epidermal, dermodecontracting agents, antiperspirants, soothing agents, anti-aging agents, perfuming agents and mixtures thereof. Such assets are in particular described in FR 1 558 849.

Selon un mode de réalisation, le(s) composé(s) additionnel(s) et/ou actif(s), notamment un actif cosmétique hydrophile, ajouté(s) en phase aqueuse interne d'une émulsion selon l'invention, présente(nt) de préférence un LogP inférieur à 1 , en particulier inférieur à 0,5, mieux inférieur à 0, voire compris entre 0,5 et -2,5, et mieux entre 0 et -2,5. Selon un autre mode de réalisation, le(s) composé(s) additionnel(s) et/ou actif(s), notamment un actif cosmétique lipophile, ajouté(s) en phase grasse des gouttes (G1 ) d'une émulsion selon l'invention, présente(nt) de préférence un LogP supérieur à 1 , en particulier supérieur à 2, mieux supérieur à 3, voire compris entre 1 et 7, en particulier entre 1 ,5 et 5, et mieux entre 2 et 3,5. According to one embodiment, the additional compound (s) and / or active (s), in particular a hydrophilic cosmetic active, added (s) in the internal aqueous phase of an emulsion according to the invention, presents (nt) preferably a LogP less than 1, in particular less than 0.5, better less than 0, even between 0.5 and -2.5, and better still between 0 and -2.5. According to another embodiment, the additional compound (s) and / or active (s), in particular a lipophilic cosmetic active agent, added in the fatty phase of the drops (G1) of an emulsion according to the invention preferably has a LogP greater than 1, in particular greater than 2, more preferably greater than 3, even between 1 and 7, in particular between 1, 5 and 5, and better still between 2 and 3, 5.

Le log P (dit coefficient de partage octanol/eau d'une molécule) donne une estimation de l'hydrophobie de la molécule considérée et a l'avantage d'être référencé/tabulé et donc d'être facilement accessible pour la plupart des molécules classiques. De plus, la valeur du log P (= log (K)) peut être évaluée simplement grâce à des logiciels de modélisation moléculaire facilement accessible sur internet comme par exemple sur www.molispiration.com, www. vcclab. org/lab/alogps/start. html ... The log P (octanol / water partition coefficient of a molecule) gives an estimate of the hydrophobicity of the molecule under consideration and has the advantage of being referenced / tabulated and thus of being easily accessible for most molecules. classics. In addition, the value of the log P (= log (K)) can be evaluated simply by means of molecular modeling software easily accessible on the internet, for example on www.molispiration.com, www. vcclab. org / lab / alogps / start. html ...

Une détermination expérimentale est possible par la méthode suivante : on pèse une quantité précise de l'actif et on le solubilise dans une des deux phases d'eau ou d'octanol. On met ensuite en contact sous agitation deux volumes équivalents des 2 phases. Les concentrations du produit actif dans chacune des deux phases sont ensuite menées après équilibre thermodynamique du système. Cette mesure de concentration peut par exemple être effectuée par mesure directe de l'absorbance, si la molécule absorbe la lumière, ou par chromatographie liquide. Cette mesure est effectuée par exemple à 22 °C. An experimental determination is possible by the following method: a precise quantity of the active ingredient is weighed and solubilized in one of the two phases of water or octanol. Two equivalent volumes of the two phases are then contacted with stirring. The concentrations of the active product in each of the two phases are then carried out after thermodynamic equilibrium of the system. This measurement of concentration can for example be carried out by direct measurement of the absorbance, if the molecule absorbs light, or by liquid chromatography. This measurement is carried out for example at 22 ° C.

Le coefficient K est alors déterminé expérimentalement par le rapport de la concentration de l'actif dans l'octanol sur celle dans l'eau. The coefficient K is then experimentally determined by the ratio of the concentration of the active ingredient in octanol to that in water.

Selon un mode de réalisation, une émulsion selon l'invention est telle que la phase grasse des gouttes (G1 ) comprend en outre au moins un actif lipophile (ou liposoluble) et la phase aqueuse interne comprend en outre au moins un actif hydrophile (ou hydrosoluble).According to one embodiment, an emulsion according to the invention is such that the fatty phase of the drops (G1) further comprises at least one lipophilic active agent (or liposoluble) and the internal aqueous phase further comprises at least one hydrophilic (or water-soluble) active agent.

Selon un mode de réalisation, les émulsions de l'invention comprennent de la glycérine présente dans la phase aqueuse interne et/ou la phase aqueuse externe. De préférence, les émulsions de l'invention comprennent au moins 5% en poids de glycérine par rapport au poids total desdites émulsions. En effet, au-delà de la texture, les émulsions selon l'invention apportent un autre avantage par rapport aux émulsions « classiques » car elles permettent d'utiliser de la glycérine, qui plus est dans des teneurs élevées. According to one embodiment, the emulsions of the invention comprise glycerine present in the internal aqueous phase and / or the external aqueous phase. Preferably, the emulsions of the invention comprise at least 5% by weight of glycerin relative to the total weight of said emulsions. Indeed, beyond the texture, the emulsions according to the invention provide another advantage over "conventional" emulsions because they allow the use of glycerin, moreover in high levels.

Elles peuvent en particulier comprendre de la glycérine en une teneur supérieure ou égale à 10%, supérieure ou égale à 20%, supérieure ou égale à 30%, supérieure ou égale à 40%, voire jusqu'à 50%, en poids, par rapport au poids total des émulsions. They may in particular comprise glycerin in a content greater than or equal to 10%, greater than or equal to 20%, greater than or equal to 30%, greater than or equal to 40%, or even up to 50%, by weight, by relative to the total weight of the emulsions.

Selon un mode de réalisation particulier, une émulsion selon l'invention est telle que la phase grasse des gouttes (G1 ) comprend en outre au moins un agent colorant (C1 ) et la phase aqueuse interne des gouttes (G2) comprend en outre au moins un agent colorant (C2), (C2) étant différent de (C1 ), notamment au niveau de l'effet coloriel. De préférence, les agents colorants (C1 ) et (C2) sont choisis parmi des pigments, des nacres, et leurs mélanges. According to a particular embodiment, an emulsion according to the invention is such that the fatty phase of the drops (G1) further comprises at least one coloring agent (C1) and the internal aqueous phase of the drops (G2) further comprises at least a coloring agent (C2), (C2) being different from (C1), in particular in terms of the color effect. Preferably, the coloring agents (C1) and (C2) are chosen from pigments, nacres, and mixtures thereof.

Ce mode de réalisation est avantageux en ce que l'effet coloriel obtenu lors de l'application d'une émulsion selon l'invention sur une matière kératinique est différent de celui manifesté par ladite émulsion avant application. En effet, avant application de l'émulsion, et donc avant rupture des gouttes (G1 ) et (G2), l'effet coloriel majoritairement visible, voire le seul effet coloriel visible, est celui manifesté par les gouttes (G1 ). This embodiment is advantageous in that the color effect obtained during the application of an emulsion according to the invention to a keratinous material is different from that manifested by said emulsion before application. Indeed, before application of the emulsion, and therefore before rupture of the drops (G1) and (G2), the mainly visible color effect, or even the only visible color effect, is that manifested by the drops (G1).

L'application d'une émulsion selon l'invention sur une matière kératinique conduit (i) à révéler l'effet coloriel des gouttes (G2) et donc (ii) à un effet coloriel nouveau et inattendu issu du mélange des agents colorants (C1 ) et (C2). The application of an emulsion according to the invention to a keratin material leads (i) to reveal the color effect of the drops (G2) and thus (ii) to a new and unexpected color effect resulting from the mixing of the coloring agents (C1 ) and (C2).

Selon un autre mode de réalisation particulier, une émulsion selon l'invention est telle que la phase grasse des gouttes (G1 ) comprend en outre au moins un filtre UV et la phase aqueuse interne des gouttes (G2) comprend en outre au moins un actif, notamment biologique ou cosmétique, différent du filtre UV, et en particulier un actif sensible (ou instable) aux rayonnement solaires et plus particulièrement aux UV. Ce mode de réalisation est avantageux en ce que la présence de filtres UV dans la phase grasse des gouttes (G1 ) permet de protéger l'actif présent dans la phase aqueuse interne des gouttes (G2) des effets du rayonnement solaire et notamment des UV. Ainsi, l'intégrité dudit actif peut être préservée sur des temps plus important. Ceci est particulièrement intéressant pour des actifs sensibles aux rayonnements solaires, tel que par exemple les vitamines B, la vitamine C, la dihydroxyacétone ou DHA, l'EUK 134 (nom INCI : Ethylbisiminomethylguaiacol manganèse chloride), etc ..According to another particular embodiment, an emulsion according to the invention is such that the fatty phase of the drops (G1) further comprises at least one UV filter and the internal aqueous phase of the drops (G2) further comprises at least one active ingredient. , in particular biological or cosmetic, different from the UV filter, and in particular an asset sensitive (or unstable) to solar radiation and more particularly to UV. This embodiment is advantageous in that the presence of UV filters in the fatty phase of the drops (G1) makes it possible to protect the active agent present in the internal aqueous phase of the drops (G2) from the effects of solar radiation and in particular UV radiation. Thus, the integrity of said asset can be preserved over longer periods. This is particularly interesting for solar radiation-sensitive active ingredients, such as, for example, vitamin B, vitamin C, dihydroxyacetone or DHA, EUK 134 (INCI name: Ethylbisiminomethylguaiacol manganese chloride), etc.

Avantageusement, lorsqu'une émulsion selon l'invention, en particulier la phase grasse des gouttes (G1 ), comprend en outre au moins un agent parfumant, la phase aqueuse externe, voire également la phase aqueuse interne, comprend en outre au moins un polymère réticulé ou copolymère réticulé différent du polymère anionique, en particulier différent du/des carbomère(s) et/ou copolymère(s) réticulé(s) acrylates/C 10-30 alkyl acrylate susmentionné(s), ledit polymère réticulé ou copolymère réticulé comprenant au moins une unité dérivée de la polymérisation d'un des monomères choisis dans le groupe constitué de l'acide acrylique, de l'acide méthacrylique, de l'acrylate d'alkyle comprenant de 1 à 30 atomes. Advantageously, when an emulsion according to the invention, in particular the fatty phase of the drops (G1), furthermore comprises at least one perfuming agent, the external aqueous phase, or even the internal aqueous phase, also comprises at least one polymer crosslinked or crosslinked copolymer different from the anionic polymer, in particular different from the carbomer (s) and / or copolymer (s) crosslinked acrylates / C 10-30 alkyl acrylate mentioned above, said crosslinked polymer or crosslinked copolymer comprising at least one unit derived from the polymerization of one of the monomers selected from the group consisting of acrylic acid, methacrylic acid, alkyl acrylate comprising from 1 to 30 atoms.

Dans le cadre de l'invention, et sauf mention contraire, on entend par « copolymère réticulé d'acide méthacrylique et d'acrylate d'alkyle comprenant de 1 à 4 atomes de carbone », un copolymère réticulé résultant de la polymérisation d'un monomère d'acide méthacrylique et d'un monomère d'acrylate d'alkyle comprenant de 1 à 4 atomes de carbone. In the context of the invention, and unless otherwise stated, the term "crosslinked copolymer of methacrylic acid and of alkyl acrylate comprising from 1 to 4 carbon atoms", a crosslinked copolymer resulting from the polymerization of a monomer of methacrylic acid and an alkyl acrylate monomer comprising from 1 to 4 carbon atoms.

Selon un mode de réalisation, le polymère réticulé ou le copolymère réticulé selon l'invention, présent dans la phase aqueuse continue, est choisi dans le groupe constitué des polymères ou copolymères suivants : Acrylates Copolymer, Acrylates crosspolymer-4, Acrylates crosspolymer-3, Polyacrylate-2 Crosspolymer et Polyacrylate-14 (noms INCI). According to one embodiment, the crosslinked polymer or the crosslinked copolymer according to the invention, present in the continuous aqueous phase, is chosen from the group consisting of the following polymers or copolymers: Acrylates Copolymer, Acrylates crosspolymer-4, Acrylates crosspolymer-3, Polyacrylate-2 Crosspolymer and Polyacrylate-14 (INCI names).

Parmi lesdits polymères ci-dessus, on préfère tout particulièrement selon la présente invention, les produits vendus par la société LUBRIZOL sous les dénominations commerciales a (nom INCI = Polyacrylate-2 Crosspolymer), Fixate Freestyle Polymer (nom INCI = Acrylates crosspolymer-3), Carbopol® Aqua SF1 (nom INCI = Acrylates copolymer) et Carbopol® Aqua SF2 (nom INCI = Acrylates crosspolymer-4), ou encore celui vendu par la société Croda Inc. sous la dénomination commerciale Volarest™ FL. De préférence, le polymère réticulé ou le copolymère réticulé est choisi parmi le Carbopol® Aqua SF1 (nom INCI = Acrylates copolymer) et le Carbopol® Aqua SF2 (nom INCI = Acrylates crosspolymer-4).Among said polymers above, the products sold by LUBRIZOL under the trade names a (INCI name = Polyacrylate-2 Crosspolymer), Fixate Freestyle Polymer (INCI name = Acrylates crosspolymer-3), are most particularly preferred according to the present invention. Carbopol® Aqua SF1 (INCI name = Acrylates copolymer) and Carbopol® Aqua SF2 (INCI name = Acrylates crosspolymer-4), or that sold by Croda Inc. under the trade name Volarest ™ FL. Preferably, the crosslinked polymer or the crosslinked copolymer is chosen from Carbopol® Aqua SF1 (INCI name = Acrylates copolymer) and Carbopol® Aqua SF2 (INCI name = Acrylates crosspolymer-4).

Selon un mode de réalisation, le copolymère réticulé est choisi parmi les copolymères réticulés d'acide acrylique ou méthacrylique et d'acrylates d'alkyle comprenant de 1 à 4 atomes de carbone. According to one embodiment, the crosslinked copolymer is chosen from crosslinked copolymers of acrylic or methacrylic acid and of alkyl acrylates comprising from 1 to 4 carbon atoms.

Selon l'invention, l'émulsion peut comprendre de 0, 1 % à 10% en poids, de préférence de 0,5% à 8% en poids, et préférentiellement de 1 % à 3% en poids de polymère(s) réticulé(s) ou copolymère(s) réticulé(s) par rapport au poids total de ladite émulsion. According to the invention, the emulsion may comprise from 0.1% to 10% by weight, preferably from 0.5% to 8% by weight, and preferably from 1% to 3% by weight of crosslinked polymer (s). (s) or copolymer (s) crosslinked (s) relative to the total weight of said emulsion.

Egalement, lorsqu'une émulsion selon l'invention, en particulier la phase grasse des gouttes (G1 ), comprend en outre au moins un agent parfumant, la phase aqueuse externe, voire la phase aqueuse interne, peut en outre comprendre au moins un tampon possédant un pKa compris de 4,0 à 9,0, en particulier choisi dans le groupe constitué des tampons phosphate, de l'acide 2-(N-morpholino)éthane sulfonique, du 2-amino-2-hydroxyméthyl-1 ,3-propanediol, de l'acide 2-(bis(2- hydroxyéthyl)amino)acétique, de l'acide 4-(2-hydroxyéthyl)-1 -pipérazine éthane sulfonique, du citrate de sodium et de leurs mélanges, de préférence l'acide 4-(2- hydroxyéthyl)-1 -pipérazine éthane sulfonique. De préférence, une émulsion selon l'invention comprend de 0,1 % à 10% en poids de tampon(s), de préférence de 0,5% à 5% en poids, par rapport au poids total de ladite émulsion. Also, when an emulsion according to the invention, in particular the fatty phase of the drops (G1), further comprises at least one perfuming agent, the external aqueous phase, or even the internal aqueous phase, may further comprise at least one buffer having a pKa of from 4.0 to 9.0, in particular selected from the group consisting of phosphate buffers, 2- (N-morpholino) ethanesulfonic acid, 2-amino-2-hydroxymethyl-1,3 propanediol, 2- (bis (2-hydroxyethyl) amino) acetic acid, 4- (2-hydroxyethyl) -1-piperazine ethane sulfonic acid, sodium citrate and mixtures thereof, preferably 4- (2-hydroxyethyl) -1-piperazine ethane sulfonic acid. Preferably, an emulsion according to the invention comprises from 0.1% to 10% by weight of buffer (s), preferably from 0.5% to 5% by weight, relative to the total weight of said emulsion.

Bien entendu, l'homme du métier veillera à choisir les éventuels composé(s) additionnel(s) et/ou actif(s) susmentionnés et/ou leurs quantités respectives de telle manière que les propriétés avantageuses de l'émulsion selon l'invention ne soient pas ou substantiellement pas altérées par l'adjonction envisagée. En particulier, la nature et/ou la quantité du/des composé(s) additionnel(s) et/ou actif(s) dépend(ent) de la nature aqueuse ou grasse de la phase considérée de l'émulsion selon l'invention. Ces ajustements relèvent des compétences de l'homme du métier. Of course, those skilled in the art will take care to choose any additional compound (s) and / or active (s) mentioned above and / or their respective amounts so that the advantageous properties of the emulsion according to the invention are not or not substantially impaired by the addition envisaged. In particular, the nature and / or the amount of the additional compound (s) and / or active (s) depends (ing) on the aqueous or fatty nature of the phase considered of the emulsion according to the invention . These adjustments are within the skill of the skilled person.

Procédé de préparationPreparation process

La présente invention concerne également un procédé de préparation d'une émulsion telle que définie ci-dessus, comprenant les étapes suivantes : The present invention also relates to a method for preparing an emulsion as defined above, comprising the following steps:

a) la mise en contact d'un fluide aqueux FE1 et d'un fluide huileux FI ; a) contacting an aqueous fluid FE1 and an oily fluid FI;

b) la formation d'une émulsion eau-dans-huile constituée de gouttes (G2), formées du fluide aqueux FE1 , dispersées dans une phase grasse constituée du fluide FI, et c) la formation de gouttes (G1 ), chaque goutte (G1 ) étant constituée d'au moins une, de préférence d'une unique, goutte (G2), par mise en contact de l'émulsion eau-dans-huile obtenue en étape b) avec un fluide aqueux FE2 ;b) forming a water-in-oil emulsion consisting of drops (G2), formed of the aqueous fluid FE1, dispersed in a fatty phase consisting of the fluid F1, and c) the formation of drops (G1), each drop (G1) consisting of at least one, preferably a single, drop (G2), by contacting the water-in-oil emulsion obtained in step b) with an aqueous fluid FE2;

dans lequel : in which :

- le fluide aqueux FE1 comprend au moins de l'eau et au moins un polymère anionique (PA2), en particulier un carbomère, the aqueous fluid FE1 comprises at least water and at least one anionic polymer (PA2), in particular a carbomer,

- le fluide huileux FI comprend au moins une huile et/ou un agent suspensif et au moins un polymère cationique (PC), en particulier une amodiméthicone, et the oily fluid FI comprises at least one oil and / or a suspending agent and at least one cationic polymer (PC), in particular an amodimethicone, and

- le fluide aqueux FE2 comprend au moins de l'eau et au moins un polymère anionique (PA1 ), en particulier un carbomère, identique au ou différent du polymère anionique (PA2).the aqueous fluid FE2 comprises at least water and at least one anionic polymer (PA1), in particular a carbomer, identical to or different from the anionic polymer (PA2).

Selon un mode de réalisation, les étapes b) et c) susmentionnées peuvent être simultanées. According to one embodiment, the above-mentioned steps b) and c) can be simultaneous.

Une émulsion selon l'invention est de préférence obtenue au moyen d'un procédé microfluidique, c'est-à-dire par mise en œuvre d'un dispositif microfluidique, notamment tel que décrit dans WO 2012/120043. An emulsion according to the invention is preferably obtained by means of a microfluidic process, that is to say by implementation of a microfluidic device, in particular as described in WO 2012/120043.

Selon un mode de réalisation, les étapes de mise en contact du fluide FI avec le fluide FE1 puis le fluide FE2 tels que définis ci-dessus peuvent en outre comprendre la présence d'un fluide intermédiaire miscible avec le fluide FI, comme décrit dans WO 2012/120043. Lors de l'étape de formation des gouttes (G1 ) et/ou (G2), ce fluide intermédiaire est donc présent à l'interface entre le fluide FE1 et le fluide FI et/ou à l'interface entre le fluide FI et le fluide FE2. Ce fluide intermédiaire est destiné à former une pellicule autour de la goutte (G1 ) et/ou (G2) en formation au niveau du dispositif microfluidique. Le fluide intermédiaire diffère de la phase grasse des gouttes (G1 ) au moins en ce qu'il est dénué du polymère cationique. Ainsi, le fluide intermédiaire retarde la diffusion du polymère cationique (PC) présent dans le fluide FI jusqu'à ce que le fluide intermédiaire se soit mélangé avec le fluide FI et assure ainsi la formation de gouttes très stables stabilisées par une écorce très fine sans obstruction du dispositif microfluidique. According to one embodiment, the steps of contacting the fluid FI with the fluid FE1 and the fluid FE2 as defined above may further comprise the presence of an intermediate fluid miscible with the fluid FI, as described in WO 2012/120043. During the step of forming the drops (G1) and / or (G2), this intermediate fluid is therefore present at the interface between the fluid FE1 and the fluid FI and / or at the interface between the fluid FI and the FE2 fluid. This intermediate fluid is intended to form a film around the droplet (G1) and / or (G2) in formation at the level of the microfluidic device. The intermediate fluid differs from the fatty phase of the drops (G1) at least in that it is devoid of the cationic polymer. Thus, the intermediate fluid delays the diffusion of the cationic polymer (PC) present in the fluid FI until the intermediate fluid is mixed with the fluid F1 and thus ensures the formation of very stable drops stabilized by a very thin bark without obstruction of the microfluidic device.

Selon un autre mode de réalisation, un procédé selon l'invention peut en outre comprendre une étape d) d'ajout d'une solution d'augmentation de la viscosité de la phase aqueuse externe, à savoir du fluide FE2. De préférence, la solution d'augmentation de la viscosité est donc aqueuse. Cette solution d'augmentation de la viscosité est typiquement ajoutée au fluide aqueux FE2 après formation des gouttes (G1 ) et (G2), l'étape d) étant donc postérieure à l'étape c). Selon un mode de réalisation, la solution d'augmentation de la viscosité comprend une base, notamment un hydroxyde d'alcalin, tel que l'hydroxyde de sodium.According to another embodiment, a method according to the invention may further comprise a step d) of adding a solution for increasing the viscosity of the external aqueous phase, namely fluid FE2. Preferably, the solution for increasing the viscosity is thus aqueous. This solution for increasing the viscosity is typically added to the aqueous fluid FE2 after the formation of drops (G1) and (G2), step d) therefore being subsequent to step c). According to a mode In one embodiment, the solution for increasing the viscosity comprises a base, especially an alkali hydroxide, such as sodium hydroxide.

Selon encore un autre mode de réalisation, lorsque le fluide huileux FI comprend en outre au moins un agent suspensif thermosensible tel que décrit précédemment, le procédé de préparation d'une émulsion selon l'invention peut requérir la mise en œuvre au moins du fluide FI à une température comprise de 40°C à 150°C. According to yet another embodiment, when the oily fluid FI further comprises at least one heat-sensitive suspensive agent as described above, the method for preparing an emulsion according to the invention may require the implementation of at least the fluid FI at a temperature of 40 ° C to 150 ° C.

Ainsi, selon ce mode de réalisation, au moins le fluide FI, voire le fluide aqueux FE1 , peu(ven)t être chauffé(s) à une température comprise de 40°C à 150°C pour la réalisation de l'étape a), voire des étapes b) et c), et, optionnellement, le fluide FE2, peut être chauffé à une température comprise de 40°C à 150°C pour la réalisation de l'étape c). Thus, according to this embodiment, at least the fluid F1, or even the aqueous fluid FE1, can be heated at a temperature of from 40 ° C. to 150 ° C. for carrying out step a ), or even steps b) and c), and optionally the fluid FE2, may be heated to a temperature of 40 ° C to 150 ° C for carrying out step c).

Dans le cas le procédé de préparation d'une émulsion selon l'invention est un procédé microfluidique, le dispositif microfluidique en tant que tel est avantageusement chauffé à une température comprise de 40°C à 150°C. In the case of the process for preparing an emulsion according to the invention is a microfluidic process, the microfluidic device as such is advantageously heated to a temperature of from 40 ° C to 150 ° C.

De préférence, la température de chauffage du fluide FI, voire des fluides FE1 et FE2, et le dispositif microfluidique est comprise de 50°C à 100°C, de préférence de 55°C à 90°C, en particulier de 60°C à 80°C, et plus préférentiellement de 65°C à 85°C. Preferably, the heating temperature of the fluid F1, or even the fluids FE1 and FE2, and the microfluidic device is from 50 ° C. to 100 ° C., preferably from 55 ° C. to 90 ° C., in particular 60 ° C. at 80 ° C, and more preferably 65 ° C to 85 ° C.

Selon un mode de réalisation, lorsque le fluide huileux FI comprend de 5% à 15% en poids d'agent(s) suspensif(s) thermosensible(s) par rapport au poids total dudit fluide huileux FI, ledit fluide huileux FI est de préférence chauffé à une température de 65°C à 70°C. According to one embodiment, when the oily fluid FI comprises from 5% to 15% by weight of suspending agent (s) thermosensitive (s) relative to the total weight of said oily fluid FI, said oily fluid FI is preferably heated to a temperature of 65 ° C to 70 ° C.

Selon un mode de réalisation, lorsque le fluide huileux FI comprend de 15% à 99,99%, de préférence de 15% à 40%, en poids d'agent(s) suspensif(s) thermosensible(s) par rapport au poids total dudit fluide huileux FI, ledit fluide huileux FI est de préférence chauffé à une température de 80°C à 90°C. According to one embodiment, when the oily fluid F1 comprises from 15% to 99.99%, preferably from 15% to 40%, by weight of suspending agent (s) heat-sensitive (s) relative to the weight total of said oily fluid FI, said oily fluid F1 is preferably heated to a temperature of 80 ° C to 90 ° C.

Avantageusement, la présence d'un agent suspensif dans le fluide huileux FI permet de s'affranchir de l'utilisation d'un fluide intermédiaire tel que décrit dans la demande WO 2012/120043. En cela, le procédé de préparation d'une émulsion selon l'invention est simplifié par rapport au procédé de préparation décrit dans WO 2012/120043. Advantageously, the presence of a suspending agent in the oily fluid FI makes it possible to dispense with the use of an intermediate fluid as described in application WO 2012/120043. In this, the process for preparing an emulsion according to the invention is simplified with respect to the preparation process described in WO 2012/120043.

De préférence, le dispositif microfluidique mis en œuvre selon l'invention comprend l'une ou plusieurs des caractéristiques suivantes, prise(s) selon toutes les combinaisons techniquement possibles : - les orifices de sortie des différents conduits (ou voies ou canaux) du dispositif microfluidique sont de préférence sur un même axe horizontal, si bien que chaque goutte (G1 ) et la goutte interne (G2) associée sont formées simultanément (en d'autres termes, les extrémités des canaux de NF et de la MF sont placées à la même hauteur pour générer une seule étape de formation de gouttes). Ce mode de réalisation est avantageux en ce qu'il permet de contrôler le nombre de goutte(s) (G2) dans chaque goutte (G1 ), et notamment permet d'assurer la présence d'une unique goutte (G2) dans chaque goutte (G1 ) ;Preferably, the microfluidic device used according to the invention comprises one or more of the following characteristics, taken in any technically possible combination: the outlets of the various ducts (or channels or channels) of the microfluidic device are preferably on the same horizontal axis, so that each drop (G1) and the associated internal drop (G2) are formed simultaneously (in others in other words, the ends of the NF channels and the MF are placed at the same height to generate a single drop-forming step). This embodiment is advantageous in that it makes it possible to control the number of drop (s) (G2) in each drop (G1), and in particular makes it possible to ensure the presence of a single drop (G2) in each droplet. (G1);

- lorsque la phase grasse des gouttes (G1 ) est dénuée d'agent suspensif, le dispositif microfluidique comprend avantageusement cinq voies (ou canaux) concentriques, comme illustré en exemple 1 (les deuxième et quatrième voies sont dédiées à l'écoulement des fluides intermédiaires décrits précédemment). En variante, il est possible que les canaux concentriques internes ne partagent pas tous des orifices de sortie sur le même plan. De préférence, les phases intermédiaires voyagent en co-flow avec les phases de même nature et les orifices de sortie respectifs sont sur le même plan ; when the fatty phase of the drops (G1) is devoid of suspending agent, the microfluidic device advantageously comprises five concentric channels (or channels), as illustrated in Example 1 (the second and fourth channels are dedicated to the flow of intermediate fluids previously described). Alternatively, it is possible that the internal concentric channels do not all share outlets on the same plane. Preferably, the intermediate phases travel in co-flow with the phases of the same nature and the respective outlets are on the same plane;

- à la sortie du dispositif microfluidique, les différents fluides mis en œuvre forment une goutte multi-composante, selon un mode hydrodynamique dit de « dripping » (goutte-à-goutte). - At the output of the microfluidic device, the various fluids used form a multi-component drop, according to a hydrodynamic mode called "dripping" (drop-by-drop).

Utilisationsuses

De manière préférée, une émulsion selon l'invention est directement utilisable, à l'issue des procédés de préparation précités, à titre de composition, notamment cosmétique. Une émulsion selon l'invention, lorsque préparée au moyen d'un procédé microfluidique tel que décrit ci-dessus, est également utilisable à titre de composition, notamment cosmétique, notamment après séparation des gouttes (G1 ) et redispersion de celles-ci dans une seconde phase appropriée. Preferably, an emulsion according to the invention is directly usable, at the end of the aforementioned preparation processes, as a composition, in particular a cosmetic composition. An emulsion according to the invention, when prepared by means of a microfluidic process as described above, can also be used as a composition, in particular a cosmetic composition, in particular after separation of the drops (G1) and redispersion thereof in a second appropriate phase.

Les compositions selon l'invention peuvent notamment être utilisées dans le domaine cosmétique. The compositions according to the invention can in particular be used in the cosmetics field.

Elles peuvent comprendre, outre les ingrédients susmentionnés, au moins un milieu physiologiquement acceptable. They may comprise, in addition to the aforementioned ingredients, at least one physiologically acceptable medium.

Par "milieu physiologiquement acceptable", on entend désigner un milieu convenant particulièrement à l'application d'une composition de l'invention sur les matières kératiniques, notamment la peau, les lèvres, les ongles, les cils ou les sourcils, et de préférence la peau. Le milieu physiologiquement acceptable est généralement adapté à la nature du support sur lequel doit être appliquée la composition, ainsi qu'à l'aspect sous lequel la composition doit être conditionnée.By "physiologically acceptable medium" is meant a medium which is particularly suitable for the application of a composition of the invention to keratin materials, in particular the skin, the lips, the nails, the eyelashes or the eyebrows, and preferably the skin. The physiologically acceptable medium is generally adapted to the nature of the medium to which the composition is to be applied, as well as to the appearance under which the composition is to be packaged.

Selon un mode de réalisation, le milieu physiologiquement acceptable est figuré directement par la phase aqueuse externe telle que décrite ci-dessus. According to one embodiment, the physiologically acceptable medium is directly represented by the external aqueous phase as described above.

Selon un mode de réalisation, les compositions cosmétiques sont utilisées pour le maquillage et/ou le soin de matières kératiniques, notamment de la peau. According to one embodiment, the cosmetic compositions are used for the makeup and / or care of keratin materials, especially the skin.

Les compositions cosmétiques selon l'invention peuvent être des produits de soin, de protection solaire, de nettoyage (démaquillage), d'hygiène ou de maquillage de la peau. The cosmetic compositions according to the invention may be skincare, sun protection, cleaning (makeup removal), hygiene or make-up products for the skin.

Ces compositions sont donc destinées à être appliquées notamment sur la peau. These compositions are therefore intended to be applied especially to the skin.

Ainsi, la présente invention concerne également l'utilisation cosmétique non thérapeutique d'une composition cosmétique susmentionnée, comme produit de maquillage, d'hygiène, de nettoyage et/ou de soin de matières kératiniques, notamment de la peau. Thus, the present invention also relates to the non-therapeutic cosmetic use of a cosmetic composition mentioned above, as a makeup, hygiene, cleaning and / or care product for keratinous substances, in particular the skin.

Selon un mode de réalisation, les compositions de l'invention sont sous la forme d'un fond de teint, d'un démaquillant, d'un soin du visage et/ou du corps et/ou du cheveu, d'un soin anti-âge, d'un protecteur solaire, d'un soin peau grasse, d'un soin whitening, d'un soin hydratant, d'une BB cream, crème teintée ou fond de teint, d'un nettoyant visage et/ou corps, d'un gel douche ou d'un shampoing. According to one embodiment, the compositions of the invention are in the form of a foundation, a makeup remover, a facial and / or body and / or hair care, anti age, a sunscreen, a oily skin care, a whitening care, a moisturizer, a BB cream, tinted cream or foundation, a face and / or body cleanser , a shower gel or a shampoo.

Une composition de soin selon l'invention peut être en particulier une composition solaire, une crème de soin, un sérum ou un déodorant. A care composition according to the invention can be in particular a solar composition, a care cream, a serum or a deodorant.

Les compositions selon l'invention peuvent être sous diverses formes, notamment sous forme de crème, de baume, de lotion, de sérum, de gel, de gel- crème ou encore de brume. The compositions according to the invention may be in various forms, in particular in the form of cream, balm, lotion, serum, gel, gel-cream or mist.

La présente invention concerne également un procédé non thérapeutique de traitement cosmétique d'une matière kératinique, en particulier de la peau, comprenant au moins une étape d'application sur ladite matière kératinique d'au moins une émulsion ou une composition selon l'invention. The present invention also relates to a non-therapeutic method for the cosmetic treatment of a keratinous material, in particular the skin, comprising at least one step of applying to said keratinous material at least one emulsion or a composition according to the invention.

En particulier, la présente invention concerne un procédé non thérapeutique de traitement cosmétique de la peau, comprenant une étape d'application sur la peau d'au moins une émulsion ou une composition selon l'invention. In particular, the present invention relates to a non-therapeutic method for cosmetic treatment of the skin, comprising a step of applying to the skin at least one emulsion or a composition according to the invention.

La présente invention concerne également l'utilisation d'une émulsion eau- dans-huile-dans-eau, comprenant une phase aqueuse continue externe et, à titre de phase dispersée, une émulsion eau-dans-huile sous forme de gouttes (G1 ), chaque goutte (G1 ) comprenant une phase grasse continue et au moins une, de préférence une unique, goutte (G2) comprenant une phase aqueuse interne, lesdites gouttes (G1 ) et (G2) étant telles que définies ci-dessus, pour encapsuler au moins un composé hydrophile, notamment un actif cosmétique hydrophile et, optionnellement, au moins un composé lipophile, notamment un actif cosmétique lipophile.The present invention also relates to the use of a water-in-oil-in-water emulsion, comprising an external continuous aqueous phase and, as a dispersed phase, a water-in-oil emulsion in the form of drops (G1). each drop (G1) comprising a continuous fat phase and at least one, preferably a single, drop (G2) comprising an internal aqueous phase, said drops (G1) and (G2) being as defined above, to encapsulate at least a hydrophilic compound, in particular a hydrophilic cosmetic active agent and, optionally, at least one lipophilic compound, in particular a lipophilic cosmetic active agent.

Les expressions « compris entre ... et ... », « compris de ... à ... » et « allant de ... à ... » doivent se comprendre bornes incluses, sauf si le contraire est spécifié.The expressions "between ... and ...", "from ... to ..." and "from ... to ..." must be understood as inclusive, unless otherwise specified.

Les quantités des ingrédients figurant dans les exemples sont exprimées en pourcentage en poids par rapport au poids total de l'émulsion, sauf indication contraire. The amounts of the ingredients in the examples are expressed as percentage by weight relative to the total weight of the emulsion, unless otherwise indicated.

Les exemples qui suivent illustrent la présente invention sans en limiter la portée.The following examples illustrate the present invention without limiting its scope.

EXEMPLESEXAMPLES

Exemple 1 : émulsion double selon l'invention sans agent suspensif dans la phase grasse des gouttes (G1)EXAMPLE 1 Double emulsion according to the invention without suspensive agent in the fatty phase of drops (G1)

Ci-après, composition des phase aqueuse externe (OF), phase grasse (MF) et phase aqueuse interne (IF) Hereinafter, composition of the external aqueous phase (OF), fatty phase (MF) and internal aqueous phase (IF)

Figure imgf000046_0001
Figure imgf000046_0001

* : Quantité Suffisante Pour.* : Sufficient quantity for.

Ci-après, composition des premier et deuxième fluides intermédiaires :

Figure imgf000046_0002
Hereinafter, composition of the first and second intermediate fluids:
Figure imgf000046_0002

Ci-après, composition de la solution de soude (BF) :Hereinafter, composition of the soda solution (BF):

Nom commercial Fournisseur Nom INCI % w/w Trade name Supplier INCI name% w / w

Eau osmosée qsp Reverse osmosis water

BF BF

Sodium Hydroxide Pellets PRS codex PANREAC Sodium Hydroxyde 0,42 Sodium Hydroxide Pellets PRS Codex PANREAC Sodium Hydroxide 0.42

Total 100,00 La préparation de chacune des phases ci-dessus relèvent des compétences générales de l'homme du métier.Total 100,00 The preparation of each of the above phases are within the general skills of those skilled in the art.

Les proportions des différentes phases de l'émulsion finale (PF) sont présentées dans le tableau ci-après. The proportions of the different phases of the final emulsion (PF) are presented in the table below.

Figure imgf000047_0001
Figure imgf000047_0001

- Dispositif expérimental :- Experimental apparatus :

Le matériel nécessaire pour la fabrication de l'émulsion selon l'exemple 1 est composé de : 6 pousse-seringues (une pour OF, MF, IF, premier et deuxième fluides intermédiaires et BF), un dispositif microfluidique (ou buse) à 5 voies concentriques avec sorties coaxiales avec, de la voie la plus interne à la voie la plus externe : The equipment required for the manufacture of the emulsion according to Example 1 is composed of: 6 syringe pumps (one for OF, MF, IF, first and second intermediate fluids and BF), a microfluidic device (or nozzle) with 5 concentric channels with coaxial outputs with, from the innermost channel to the outermost channel:

- la première voie est dédiée au passage de l'IF ; - the first lane is dedicated to the passage of the IF;

- la deuxième voie est dédiée au passage du premier fluide intermédiaire ; the second channel is dedicated to the passage of the first intermediate fluid;

- la troisième voie est dédiée au passage de la MF ;- the third way is dedicated to the passage of the MF;

- la quatrième voie est dédiée au passage du deuxième fluide intermédiaire; et the fourth channel is dedicated to the passage of the second intermediate fluid; and

- la cinquième voie est dédiée au passage de l'OF.- the fifth way is dedicated to the passage of the OF.

Les deuxième et quatrième voies ont pour objectif d'éliminer les risques d'encrassement de la buse en ralentissant la diffusion de l'amodiméthicone à l'interface eau/huile entre, respectivement, (i) l'IF et la MF et (ii) la MF et l'OF. The second and fourth tracks aim to eliminate the risk of fouling the nozzle by slowing the diffusion of amodimethicone at the water / oil interface between, respectively, (i) the IF and the MF and (ii) ) MF and OF.

Le dispositif microfluidique est en outre adapté pour ajouter une solution de soude (BF) après formation des gouttes (G1 ) et (G2) et ainsi rehausser la viscosité de l'OF. The microfluidic device is further adapted to add a soda solution (BF) after formation of the drops (G1) and (G2) and thus enhance the viscosity of the OF.

Les débits, de la voie la plus externe à la voie la plus interne de la buse, sont les suivants : The flow rates, from the outermost to the innermost channel of the nozzle, are as follows:

- OF : 150 ml_/hr, OF: 150 ml / hr,

- Deuxième fluide intermédiaire : 2 mIJhr, Second intermediate fluid: 2 mIJhr,

- MF : 15,93 mIJhr, - MF: 15.93 mIJhr,

- Premier fluide intermédiaire : 2 mIJhr, - First intermediate fluid: 2 mIJhr,

- IF : 18,13 mL/hr, et IF: 18.13 mL / hr, and

- BF : 9,78 mL/hr. Une émulsion selon l'exemple 1 est particulièrement intéressante, d'une part, en ce qu'elle assure une encapsulation particulièrement satisfaisante de composés hydrophiles grâce aux gouttes (G2) mais également de composés lipophiles grâce aux gouttes (G1 ). En outre, les gouttes (G1 ) et (G2) sont macroscopiques et monodisperses et chaque goutte (G1 ) comprend une unique goutte (G2). Ainsi, l'émulsion est dotée d'un visuel inédit. Qui plus est, l'émulsion est dotée d'une texture inédite dans le domaine des émulsions doubles ce qui, pour des raisons évidentes, répond à une demande continue des consommateurs en ce sens.- BF: 9.78 mL / hr. An emulsion according to Example 1 is particularly interesting, on the one hand, in that it ensures a particularly satisfactory encapsulation of hydrophilic compounds through drops (G2) but also lipophilic compounds through drops (G1). In addition, the drops (G1) and (G2) are macroscopic and monodisperse and each drop (G1) comprises a single drop (G2). Thus, the emulsion is endowed with a unique visual. Moreover, the emulsion has a unique texture in the field of double emulsions which, for obvious reasons, responds to a continuous demand from consumers in this direction.

Exemple 2 : émulsion double selon l'invention avec un agent suspensif thermosensible dans la phase grasse des gouttes (G1)EXAMPLE 2 Double emulsion according to the invention with a heat-sensitive suspending agent in the fatty phase of the drops (G1)

Ci-après, composition des phase aqueuse externe (OF), phase grasse (MF) et phase aqueuse interne (IF) : Hereinafter, composition of the external aqueous phase (OF), fat phase (MF) and internal aqueous phase (IF):

% w/w % w / w

Phase Nom commercial Fournisseur Nom INCIPhase Business Name Vendor INCI Name

Phases phases

PHASE GEL AQUEUX EXTERNE sous total 100,00EXTERNAL AQUEOUS GEL PHASE under total 100,00

Eau osmosée / Aqua qspReverse osmosis water / Aqua qsp

Microcare PE THOR Phenoxyethanol 0,93Microcare PE THOR Phenoxyethanol 0.93

Microcare PTG THOR Pentylenglycol 2,33Microcare PTG THOR Pentylenglycol 2,33

Glycérine codex (99%) INTERCHIMI E Glycerin 17,49Glycerin codex (99%) INTERCHIMI E Glycerin 17,49

EDETA BD BASF Disodium EDTA 0,046EDETA BD BASF Disodium EDTA 0.046

OF Tego carbomer 340 FD EVONIK Carbomer 0,09OF Tego carbomer 340 FD EVONIK Carbomer 0,09

Carbopol Ultrez 21 Acrylat.es/C10-30 Alkyl Carbopol Ultrez 21 Acrylat.es/C10-30 Alkyl

LUBRIZOL 0,20 Polymer Acrylate Crosspolymer LUBRIZOL 0,20 Polymer Acrylate Crosspolymer

Zemea propanediol DUPONT TALE ET LYLE Propanediol 5,83 Zemea propanediol DUPONT TALE AND LYLE Propanediol 5.83

Butylène glycol INTERCHIMI E Butylen glycol 5,83Butylene glycol INTERCHIMI E Butylen glycol 5.83

Sodium HydroxideSodium Hydroxide

PANREAC Sodium Hydroxyde 0,01 Pellets PRS codex PANREAC Sodium Hydroxide 0.01 Pellets PRS codex

PHASE HUILEUSE sous total 100,00 OIL PHASE under total 100,00

DUB ININ Grade A STERAINERI E DUBOIS Isononyl Isononanoate qspDUB ININ Grade A STERAINERI E DUBOIS Isononyl Isononanoate qs

Rheopearl KL2 MYOSHI EUROPE Dextrin palmitate 20,00Rheopearl KL2 MYOSHI EUROPE Dextrin palmitate 20,00

Dipentaerythrityl Dipentaerythrityl

DUB DPHCC STEARINERI E DUBOIS hexacaprylate / 38,27 hexacaprate DUB DPHCC STEARINERI E DUBOIS hexacaprylate / 38,27 hexacaprate

MF Parfum Fragrance 3,24 MF Perfume Fragrance 3,24

NUSIL NUSIL

CAS-3131 Amodimethicone 0, 18CAS-3131 Amodimethicone 0, 18

Cl 77891 (Titanium Cl 77891 (Titanium

Dioxide) (and) Dioxide) (and)

Creasperse® White R INNOVATION COMPANY Hydrogenated 1 ,00 Creasperse® White R INNOVATION COMPANY Hydrogenated 1, 00

Polydecene (and) Polydecene (and)

Hydroxystearic Acid PHASE GEL AQUEUX INTERNE sous total 100,00Hydroxystearic Acid INTERNAL AQUEOUS GEL PHASE totaling 100.00

Eau osmosée / Aqua qspReverse osmosis water / Aqua qsp

THOR THOR

Microcare PE Phenoxyethanol 0,93 Microcare PE Phenoxyethanol 0.93

THOR THOR

Microcare PTG Pentylenglycol 2,33 Microcare PTG Pentylenglycol 2,33

INTERCHIMI E INTERCHIMI E

Glycérine codex (99%) Glycerin 17,49 Glycerin codex (99%) Glycerin 17,49

BASF BASF

EDETA BD Disodium EDTA 0,04EDETA BD Disodium EDTA 0.04

EVONIK Evonik

Tego carbomer 340 FD Carbomer 0,09 Tego carbomer 340 FD Carbomer 0,09

IFIF

Carbopol Ultrez 21 LUBRIZOL Acrylat.es/C10-30 Alkyl Carbopol Ultrez 21 LUBRIZOL Acrylat.es/C10-30 Alkyl

0,20 Polymer Acrylate Crosspolymer 0.20 Polymer Acrylate Crosspolymer

DUPONT TATE ET LYLE DUPONT TATE AND LYLE

Zemea propanediol Propanediol 5,83 Zemea Propanediol Propanediol 5.83

INTERCHIMI E INTERCHIMI E

Butylène glycol Butylen glycol 5,83 Butylene glycol Butylen glycol 5.83

Sodium Hydroxide PANREACSodium Hydroxide PANREAC

Sodium Hydroxyde 0,01 Pellets PRS codex Sodium Hydroxide 0.01 Pellets PRS codex

Synthetic Synthetic

Sunshine soft copper Sun chemical Fluorphlogopite and Iron 1 ,00 Sunshine Soft Copper Sun Chemical Fluorphlogopite and Iron 1, 00

Oxides 77491 Oxides 77491

Ci-après, composition de la solution de soude (BF) :Hereinafter, composition of the soda solution (BF):

Figure imgf000049_0001
Figure imgf000049_0001

La préparation de chacune des phases ci-dessus relèvent des compétences générales de l'homme du métier.The preparation of each of the above phases are within the general skills of those skilled in the art.

Les proportions des différentes phases de l'émulsion finale (PF) sont présentées dans le tableau ci-après. The proportions of the different phases of the final emulsion (PF) are presented in the table below.

Figure imgf000049_0002
Figure imgf000049_0002

- Dispositif expérimental :- Experimental apparatus :

Le matériel nécessaire pour la fabrication de l'émulsion selon l'exemple 2 est composé de : 4 pousse-seringues (un pour IF, MF, OF et BF), un chauffe-seringue (pour MF), un bain thermostaté, un dispositif microfluidique (ou buse) à 3 voies concentriques avec sorties coaxiales avec, de la voie la plus interne à la voie la plus externe :The material necessary for the manufacture of the emulsion according to Example 2 is composed of: 4 syringe pumps (one for IF, MF, OF and BF), a syringe heater (for MF), a thermostated bath, a device microfluidic (or nozzle) 3-way concentric with coaxial outputs, from the innermost to the outermost

- la première voie est dédiée au passage de NF ; - the first channel is dedicated to the passage of NF;

- la deuxième voie est dédiée au passage de la MF ; et - the second lane is dedicated to the passage of the MF; and

- la troisième voie est dédiée au passage de l'OF. - the third way is dedicated to the passage of the OF.

La buse ainsi que le tuyau acheminant la phase huileuse (MF) est placé dans un bain thermostaté chauffé à 85°C. The nozzle and the pipe carrying the oily phase (MF) is placed in a thermostated bath heated to 85 ° C.

La présence de l'agent suspensif en phase grasse (MF) permet de s'affranchir de la mise en œuvre des fluides intermédiaires décrits en exemple 1 , ce qui autorise une simplification de la buse et donc du procédé de fabrication. En effet, la MF ayant une viscosité plus importante que la MF de l'exemple 1 , elle permet de ralentir la diffusion de l'amodiméthicone à l'interface eau/huile entre, respectivement, (i) NF et la MF et (ii) la MF et l'OF ce qui permet de prévenir les risques d'encrassement de la buse. The presence of the suspending agent in the fatty phase (MF) makes it possible to dispense with the use of the intermediate fluids described in Example 1, which allows a simplification of the nozzle and therefore of the manufacturing process. Indeed, since the MF has a higher viscosity than the MF of Example 1, it makes it possible to slow the diffusion of the amodimethicone at the water / oil interface between, respectively, (i) NF and the MF and (ii) ) the MF and the OF which makes it possible to prevent the risk of clogging of the nozzle.

Le dispositif microfluidique est en outre adapté pour ajouter une solution de soude (BF) après formation des gouttes (G1 ) et (G2) afin rehausser la viscosité de l'OF. The microfluidic device is further adapted to add a soda solution (BF) after formation of the drops (G1) and (G2) to enhance the viscosity of the OF.

Les débits considérés pour les différentes phases sont les suivants : The flow rates considered for the different phases are as follows:

- OF : 76,70 mIJhr, OF: 76.70 mIJhr,

- MF : 10,190 mIJhr, - MF: 10,190 mIJhr,

- IF : 9,273 mL/hr, et IF: 9.273 mL / hr, and

- BF : 5,000 mL/hr. - BF: 5,000 mL / hr.

Une émulsion selon l'exemple 2 est particulièrement intéressante, d'une part, en ce qu'elle assure une encapsulation particulièrement satisfaisante de composés hydrophiles grâce aux gouttes (G2) mais également de composés lipophiles grâce aux gouttes (G1 ) et, d'autre part, est dotée d'un visuel et d'une texture inédite dans le domaine des émulsions doubles ce qui, pour des raisons évidentes, répond à une demande continue des consommateurs en ce sens. An emulsion according to Example 2 is particularly advantageous, on the one hand, in that it ensures a particularly satisfactory encapsulation of hydrophilic compounds thanks to the drops (G2) but also of lipophilic compounds thanks to the drops (G1) and, of On the other hand, it has a unique visual and texture in the field of double emulsions which, for obvious reasons, responds to a continuous demand from consumers for this purpose.

Par ailleurs, une émulsion selon l'exemple 2 est également particulièrement intéressante sur le plan de la stabilité cinétique. Par ailleurs, les gouttes (G1 ) ou (G2) présentent une résistance mécanique supérieure à celles de l'émulsion décrite en exemple 1 ; ainsi, elles demeurent intactes sur une échelle de temps supérieure à 3 mois, voire supérieure à 6 mois à 25 °C. Furthermore, an emulsion according to Example 2 is also particularly interesting in terms of kinetic stability. Moreover, the drops (G1) or (G2) have a higher mechanical strength than those of the emulsion described in Example 1; thus, they remain intact over a time scale greater than 3 months, or even longer than 6 months at 25 ° C.

Alternativement, le Rheopearl KL2 (INCI : Dextrin palmitate) peut être remplacé par le Rheopearl MKL2 (INCI : Dextrin Myristate). La phase huileuse (MF) résultante, et donc l'émulsion finale obtenue, a pour avantage de présenter une transparence améliorée.Alternatively, Rheopearl KL2 (INCI: Dextrin palmitate) can be replaced by Rheopearl MKL2 (INCI: Dextrin Myristate). The oily phase (MF) resulting, and thus the final emulsion obtained, has the advantage of having improved transparency.

Egalement, la phase huileuse (MF) peut en outre comprendre au moins une huile siliconée phénylée (par exemple une phényltriméthicone, et mieux une diphénylsiloxyphényltriméthicone (INCI : Diphenylsiloxy Phenyl Trimethicone)) qui permet encore d'améliorer la transparence des gouttes (G1 ) comprenant un agent gélifiant de type Rheopearl KL2 et/ou Rheopearl MKL2, et donc d'améliorer la transparence de la composition finale. Also, the oily phase (MF) may further comprise at least one phenyl silicone oil (for example a phenyltrimethicone, and better still a diphenylsiloxyphenyltrimethicone (INCI: Diphenylsiloxy Phenyl Trimethicone)) which further improves the transparency of the drops (G1) comprising a gelling agent of the Rheopearl KL2 and / or Rheopearl MKL2 type, and thus to improve the transparency of the final composition.

Exemple 3 : émulsion double selon l'invention avec un agent suspensif thixotrope dans la phase grasse des gouttes (G1)EXAMPLE 3 Double emulsion according to the invention with a thixotropic suspending agent in the fatty phase of the drops (G1)

Ci-après, composition des phase aqueuse externe (OF), phase grasse (MF) et phase aqueuse interne (IF) : Hereinafter, composition of the external aqueous phase (OF), fat phase (MF) and internal aqueous phase (IF):

% w/w % w / w

Phase Nom commercial Fournisseur Nom INCIPhase Business Name Vendor INCI Name

Phases phases

PHASE GEL AQUEUX EXTERNE sous total 100,00EXTERNAL AQUEOUS GEL PHASE under total 100,00

Eau osmosée / Aqua qspReverse osmosis water / Aqua qsp

Microcare PE THOR Phenoxyethanol 0,80Microcare PE THOR Phenoxyethanol 0.80

Microcare PTG THOR Pentylenglycol 2,00Microcare PTG THOR Pentylenglycol 2.00

OF Glycérine codex (99%) INTERCHIMI E Glycerin 20,00OF Glycerin codex (99%) INTERCHIMI E Glycerin 20.00

EDETA BD BASF Disodium EDTA 0,04 EDETA BD BASF Disodium EDTA 0.04

Tego carbomer 340 FD EVONIK Carbomer 0,25Tego Carbomer 340 FD EVONIK Carbomer 0.25

Sodium HydroxideSodium Hydroxide

/ Sodium Hydroxyde 0, 1 1 Pellets PRS codex / Sodium Hydroxide 0, 1 1 Pellets PRS codex

PHASE HUILEUSE sous total 100,00 OIL PHASE under total 100,00

CAPRYLIC CAPRIC CAPRYLIC CAPRIC

Myritol 318 Ami Chimie 96,80 Myritol 318 Friend Chemistry 96.80

TRIGYLCERIDE TRIGYLCERIDE

MFMF

SILICA DIMETHYLSILICA DIMETHYL

Aerosil R974 Azelis 3,00 Aerosil R974 Azelis 3.00

SILYLATE silylate

CAS-3131 NUSIL Amodimethicone 0,20CAS-3131 NUSIL Amodimethicone 0,20

PHASE GEL AQUEUX INTERNE sous total 100,00INTERNAL AQUEOUS GEL PHASE totaling 100.00

Eau osmosée / Aqua qspReverse osmosis water / Aqua qsp

Microcare PE THOR Phenoxyethanol 0,80Microcare PE THOR Phenoxyethanol 0.80

Microcare emollient PTG THOR Pentylenglycol 2,00Microcare emollient PTG THOR Pentylenglycol 2.00

EDETA BD BASF Glycerin 0,040EDETA BD BASF Glycerin 0.040

IFIF

Glycérine Codex 99% Interchimie Disodium EDTA 20,00 Glycerin Codex 99% Interchimie Disodium EDTA 20.00

Carbomer Tego 340FD EVONIK Carbomer 0,25Carbomer Tego 340FD EVONIK Carbomer 0.25

Acrylat.es/C10-30 Alkyl Acrylat.es/C10-30 Alkyl

Solution soude 10% / 0, 1 1 Sodium solution 10% / 0, 1 1

Acrylate Crosspolymer Acrylate Crosspolymer

Unicert Blue 05601 -J Unicert Blue 05601 -J

Sensient Cl 42090 0,45 0,1 % La préparation de chacune des phases relèvent des compétences générales de l'homme du métier.Sensient Cl 42090 0.45 0.1% The preparation of each of the phases are within the general skills of those skilled in the art.

Les proportions des différentes phases dans l'émulsion finale (PF) sont présentées dans le tableau ci-après. The proportions of the different phases in the final emulsion (PF) are presented in the table below.

Figure imgf000052_0001
Figure imgf000052_0001

Dispositif expérimental:Experimental apparatus:

Le matériel nécessaire pour la fabrication de l'émulsion de l'exemple 3 est composé de : 3 pousse-seringues (un pour chaque phase), un dispositif microfluidique (ou buse) à 3 voies concentriques avec sorties coaxiales avec, de la voie la plus interne à la voie la plus externe, : The equipment necessary for the manufacture of the emulsion of Example 3 is composed of: 3 syringe pumps (one for each phase), a microfluidic device (or nozzle) with concentric 3-way ports with coaxial outlets with, from the channel more internal to the outermost path,:

- la première voie est dédiée au passage de l'IF ; - the first lane is dedicated to the passage of the IF;

- la deuxième voie est dédiée au passage de la MF ; et - the second lane is dedicated to the passage of the MF; and

- la troisième voie est dédiée au passage de l'OF. - the third way is dedicated to the passage of the OF.

Comme en exemple 2, la présence de l'agent suspensif en phase grasse (MF) permet de s'affranchir de la mise en œuvre des fluides intermédiaires décrits en exemple 1 , ce qui autorise une simplification de la buse et donc du procédé de fabrication. As in Example 2, the presence of the suspending agent in the fat phase (MF) makes it possible to dispense with the use of the intermediate fluids described in Example 1, which allows a simplification of the nozzle and therefore of the manufacturing process. .

Les débits considérés pour les différentes phases sont les suivants : - OF : 120 ml_/hr, The flow rates considered for the different phases are the following: - OF: 120 ml_ / hr,

- MF : 15 ml_/hr, et MF: 15 ml / hr, and

- IF : 5 mL/hr. IF: 5 mL / hr.

Une émulsion selon l'exemple 3 est particulièrement intéressante, d'une part, en ce qu'elle assure une encapsulation particulièrement satisfaisante de composés hydrophiles grâce aux gouttes (G2) mais également de composés lipophiles grâce aux gouttes (G1 ) et, d'autre part, est dotée d'un visuel et d'une texture inédite dans le domaine des émulsions doubles ce qui, pour des raisons évidentes, répond à une demande continue des consommateurs en ce sens. An emulsion according to Example 3 is particularly advantageous, on the one hand, in that it ensures a particularly satisfactory encapsulation of hydrophilic compounds thanks to the drops (G2) but also of lipophilic compounds thanks to the drops (G1) and, of On the other hand, it has a unique visual and texture in the field of double emulsions which, for obvious reasons, responds to a continuous demand from consumers for this purpose.

Par ailleurs, une émulsion selon l'exemple 3 est également particulièrement intéressante sur le plan de la stabilité cinétique, puisque les gouttes (G1 ) ou (G2) présentent une résistance mécanique supérieure à celles de l'émulsion décrite en exemple 1 ; ainsi, elles demeurent intactes sur une échelle de temps supérieure à 3 mois, voire supérieure à 6 mois, à 25 °C. Furthermore, an emulsion according to Example 3 is also particularly interesting in terms of kinetic stability, since the drops (G1) or (G2) have a higher mechanical strength than those of the emulsion described in Example 1; thus, they remain intact on a time scale greater than 3 months, or even longer than 6 months, at 25 ° C.

Claims

Translated fromFrench
REVENDICATIONS1. Emulsion eau-dans-huile-dans-eau, comprenant une phase aqueuse continue externe et une émulsion eau-dans-huile sous forme de gouttes (G1 ), chaque goutte (G1 ) comprenant une phase grasse continue et au moins une, de préférence une unique, goutte (G2) comprenant une phase aqueuse interne,A water-in-oil-in-water emulsion, comprising an external continuous aqueous phase and a water-in-oil emulsion in the form of drops (G1), each drop (G1) comprising a continuous fat phase and at least one, preferably a single drop (G2) comprising an internal aqueous phase, lesdites gouttes (G1 ) comprenant une écorce formée d'au moins un polymère anionique (PA1 ) et d'au moins un polymère cationique (PC), et said drops (G1) comprising a bark formed of at least one anionic polymer (PA1) and at least one cationic polymer (PC), and lesdites gouttes (G2) comprenant une écorce formée d'au moins un polymère anionique (PA2), identique ou différent de (PA1 ), et d'au moins un polymère cationique (PC). said drops (G2) comprising a bark formed of at least one anionic polymer (PA2), identical to or different from (PA1), and at least one cationic polymer (PC).2. Emulsion selon la revendication 1 , dans laquelle la phase grasse des gouttes (G1 ) comprend au moins une huile choisie dans le groupe constitué des huiles hydrocarbonées d'origine végétale, des huiles hydrocarbonées d'origine animale, des esters et éthers de synthèse, des hydrocarbures linéaires ou ramifiés, d'origine minérale ou synthétique, des huiles de silicone, des alcools gras ayant de 8 à 26 atomes de carbone, des huiles fluorées partiellement hydrocarbonées et/ou siliconées et de leurs mélanges, de préférence des esters et éthers de synthèse.2. Emulsion according to claim 1, wherein the fatty phase of the drops (G1) comprises at least one oil selected from the group consisting of hydrocarbon oils of vegetable origin, hydrocarbon oils of animal origin, esters and synthetic ethers. linear or branched hydrocarbons of mineral or synthetic origin, silicone oils, fatty alcohols having from 8 to 26 carbon atoms, partially hydrocarbon and / or silicone fluorinated oils and mixtures thereof, preferably esters and synthetic ethers.3. Emulsion selon l'une quelconque des revendications 1 ou 2, comprenant de 0% à 99,99%, de préférence de 5% à 99,49%, en particulier de 20% à 90%, mieux de 30% à 80%, voire de 50% à 70%, en poids d'huile(s) par rapport au poids total de la phase grasse des gouttes (G1 ).An emulsion according to any of claims 1 or 2 comprising from 0% to 99.99%, preferably from 5% to 99.49%, in particular from 20% to 90%, more preferably from 30% to 80%. %, or even 50% to 70%, by weight of oil (s) relative to the total weight of the fatty phase of the drops (G1).4. Emulsion selon l'une quelconque des revendications 1 à 3, dans laquelle les polymères anioniques (PA1 ) et (PA2), identiques ou différents, sont des polymères comprenant des unités monomériques comportant au moins une fonction acide carboxylique, de préférence sont choisis parmi les carbomères et les copolymères réticulés acrylates/C10-3o alkyl acrylate.4. Emulsion according to any one of claims 1 to 3, wherein the anionic polymers (PA1) and (PA2), identical or different, are polymers comprising monomeric units comprising at least one carboxylic acid function, preferably are chosen from carbomers and crosslinked copolymers of acrylates / C10-3 o alkyl acrylate.5. Emulsion selon l'une quelconque des revendications 1 à 4, comprenant de 0,01 % à 5%, de préférence de 0,05% à 2%, et mieux de 0,1 % à 0,5%, en poids de polymère(s) anionique(s) (PA1 ) et (PA2), notamment de carbomère(s), par rapport au poids total de ladite émulsion.5. Emulsion according to any one of claims 1 to 4, comprising from 0.01% to 5%, preferably from 0.05% to 2%, and more preferably from 0.1% to 0.5%, by weight. of anionic polymer (s) (PA1) and (PA2), in particular carbomer (s), relative to the total weight of said emulsion.6. Emulsion selon l'une quelconque des revendications 1 à 5, dans laquelle le polymère cationique (PC) répond à la formule (I) suivante :6. Emulsion according to any one of claims 1 to 5, wherein the cationic polymer (PC) has the following formula (I):
Figure imgf000054_0001
Figure imgf000054_0001
(I) dans laquelle : (I) in which: - Ri , R2 et R3, indépendamment les uns des autres, représentent OH ou CH3 ;- Ri, R2 and R3 , independently of each other, represent OH or CH3 ;- R4 représente un groupe -CH2- ou un groupe -X-NH- dans lequel X est un radical alkylène divalent en C3 ou C4 ;R4 represents a -CH2 - group or a -X-NH- group in which X is a divalent C 3 or C 4 alkylene radical; - x est un nombre entier compris entre 10 et 5 000 ; x is an integer from 10 to 5000; - y est un nombre entier compris entre 2 et 1 000 ; et y is an integer between 2 and 1000; and - z est un nombre entier compris entre 0 et 10. z is an integer between 0 and 10.7. Emulsion selon l'une quelconque des revendications 1 à 6, comprenant de 0,01 % à 10%, de préférence de 0,05% à 5%, en poids de polymère(s) cationique(s) (PC), notamment d'amodiméthicone(s), par rapport au poids total de la phase grasse des gouttes (G1 ).7. Emulsion according to any one of claims 1 to 6, comprising from 0.01% to 10%, preferably from 0.05% to 5%, by weight of cationic polymer (s) (PC), in particular amodimethicone (s), relative to the total weight of the fatty phase of the drops (G1).8. Emulsion selon l'une quelconque des revendications 1 à 7, dans laquelle la phase grasse des gouttes (G1 ) comprend en outre au moins un agent suspensif, de préférence choisi parmi les agents suspensifs lipophiles organiques ou minéraux, polymériques ou moléculaires, les corps gras solides à température et pression ambiante, et leurs mélanges.8. Emulsion according to any one of claims 1 to 7, wherein the fatty phase of the drops (G1) further comprises at least one suspending agent, preferably selected from organic or inorganic, polymeric or molecular lipophilic suspending agents, the solid fatty substances at room temperature and pressure, and mixtures thereof.9. Emulsion selon la revendication 8, dans laquelle l'agent suspensif est choisi dans le groupe constitué des polyacrylates ; des esters de sucre/ polysaccharide et d'acide(s) gras, en particulier des esters de dextrine et d'acide(s) gras, des esters d'inuline et d'acide(s) gras ou des esters de glycérol et d'acide(s) gras ; des polyamides ; et de leurs mélanges , de préférence les esters de dextrine et d'acide(s) gras, en particulier choisis dans le groupe constitué des palmitates de dextrine, des myristates de dextrine, des palmitates/éthylhexanoates de dextrine, et de leurs mélanges.The emulsion of claim 8, wherein the suspending agent is selected from the group consisting of polyacrylates; sugar / polysaccharide esters and fatty acid (s), in particular esters of dextrin and fatty acid (s), esters of inulin and fatty acid (s) or esters of glycerol and of 'Fatty acids ; polyamides; and mixtures thereof, preferably the dextrin and fatty acid esters, in particular selected from the group consisting of dextrin palmitates, dextrin myristates, dextrin palmitates / ethylhexanoates, and mixtures thereof.10. Emulsion selon la revendication 8, dans laquelle l'agent suspensif est choisi dans le groupe constitué des argiles éventuellement modifiées, des silices, telles que la silice pyrogénée éventuellement traitée hydrophobe en surface, et de leurs mélanges, de préférence la silice pyrogénée éventuellement traitée hydrophobe en surface.10. Emulsion according to claim 8, in which the suspending agent is chosen from the group consisting of optionally modified clays, silicas, such as fumed silica optionally treated with hydrophobic surfaces, and mixtures thereof, preferably optionally fumed silica. Hydrophobic treated surface.11. Emulsion selon l'une quelconque des revendications 8 à 10, comprenant de 0% à 99,99%, de préférence de 0,5% à 70%, en particulier de 1 % à 50%, mieux de 2% à 40%, en particulier de 2,5% à 30%, et préférentiellement de 10 % à 20%, en poids d'agent(s) suspensif(s) par rapport au poids total de la phase grasse des gouttes (G1 ).11. Emulsion according to any one of claims 8 to 10, comprising from 0% to 99.99%, preferably from 0.5% to 70%, in particular from 1% to 50%, better still from 2% to 40%. %, in particular from 2.5% to 30%, and preferably from 10% to 20% by weight of suspensive agent (s) relative to the total weight of the fatty phase of the drops (G1).12. Emulsion selon l'une quelconque des revendications 1 à 1 1 , dans laquelle la fraction volumique p (IF/(IF+MF)) est comprise entre 0,1 et 0,7, de préférence entre 0,3 et 0,6, et mieux entre 0,4 et 0,5, où :12. Emulsion according to any one of claims 1 to 1 1, wherein the volume fraction p (IF / (IF + MF)) is between 0.1 and 0.7, preferably between 0.3 and 0, 6, and more preferably between 0.4 and 0.5, where: IF représente le volume total des gouttes (G2), et IF represents the total volume of the drops (G2), and MF représente le volume total des gouttes (G1 ). MF represents the total volume of the drops (G1).13. Emulsion selon l'une quelconque des revendications 1 à 12, dans laquelle la phase aqueuse interne des gouttes (G2) comprend au moins un composé additionnel et/ou un actif, notamment un actif cosmétique hydrophile, de préférence ayant un LogP inférieur à 1 , en particulier inférieur à 0,5, mieux inférieur à 0, voire compris entre 0,5 et -2,5, et mieux entre 0 et -2,5.13. Emulsion according to any one of claims 1 to 12, wherein the internal aqueous phase of the drops (G2) comprises at least one additional compound and / or an active ingredient, in particular a hydrophilic cosmetic active, preferably having a log P less than 1, in particular less than 0.5, better still less than 0, even between 0.5 and -2.5, and better still between 0 and -2.5.14. Emulsion selon l'une quelconque des revendications 1 à 13, comprenant en outre au moins un actif choisi parmi les agents hydratants, les agents cicatrisants, les agents dépigmentants, les filtres UV, les agents desquamants, les agents antioxydants, les actifs stimulant la synthèse des macromoléculaires dermiques et/ou épidermiques, les agents dermodécontractants, les agents anti- transpirants, les agents apaisants, les agents anti-âge, les agents parfumants et leurs mélanges.14. Emulsion according to any one of claims 1 to 13, further comprising at least one active agent selected from hydrating agents, healing agents, depigmenting agents, UV filters, desquamating agents, antioxidants, stimulating active agents. the synthesis of dermal and / or epidermal macromolecular agents, dermodecontracting agents, antiperspirants, soothing agents, anti-aging agents, perfuming agents and mixtures thereof.15. Emulsion selon l'une quelconque des revendications 1 à 14, dans laquelle la taille des gouttes (G1 ) est supérieure à 500 μηι, voire supérieure à 1 000 μηι, et mieux est comprise entre 500 μηι et 3 000 μηι, de préférence entre 1 000 μηι et 2 000 μηι, en particulier entre 800 μηι et 1 500 μηι et/ou la taille des gouttes (G2) est supérieure à 10 μηι, voire supérieure à 50 μηι, et mieux est comprise entre 10 μηι et 2 000 μηι, en particulier entre 50 μηι et 1 500 μηι, mieux entre 100 μηι et 1 100 μηι, préférentiellement entre 200 μηι et 800 μηι, et mieux entre 300 μηι et 700 μπι.15. Emulsion according to any one of claims 1 to 14, wherein the size of the drops (G1) is greater than 500 μηι, or even greater than 1,000 μηι, and better is between 500 μηι and 3,000 μηι, preferably between 1,000 μηι and 2,000 μηι, in particular between 800 μηι and 1,500 μηι and / or the size of drops (G2) is greater than 10 μηι, or even greater than 50 μηι, and better is between 10 μηι and 2,000 μηι, in particular between 50 μηι and 1,500 μηι, better between 100 μηι and 1,100 μηι, preferably between 200 μηι. μηι and 800 μηι, and better between 300 μηι and 700 μπι.16. Emulsion selon l'une quelconque des revendications 1 à 15, ladite émulsion ne comprenant pas de tensioactif.16. Emulsion according to any one of claims 1 to 15, said emulsion not comprising surfactant.17. Procédé de préparation d'une émulsion selon l'une quelconque des revendications 1 à 16, comprenant les étapes suivantes :17. Process for the preparation of an emulsion according to any one of claims 1 to 16, comprising the following steps: a) la mise en contact d'un fluide aqueux FE1 et d'un fluide huileux FI ; a) contacting an aqueous fluid FE1 and an oily fluid FI; b) la formation d'une émulsion eau-dans-huile constituée de gouttes (G2), formées du fluide aqueux FE1 , dispersées dans une phase grasse constituée du fluide FI, et b) forming a water-in-oil emulsion consisting of drops (G2), formed of the aqueous fluid FE1, dispersed in a fatty phase consisting of the fluid F1, and c) la formation de gouttes (G1 ), chaque goutte (G1 ) étant constituée d'au moins une, de préférence d'une unique, goutte (G2), par mise en contact de l'émulsion eau-dans-huile obtenue en étape b) avec un fluide aqueux FE2 ; c) the formation of drops (G1), each drop (G1) consisting of at least one, preferably a single, drop (G2), by contacting the water-in-oil emulsion obtained in step b) with an aqueous fluid FE2; dans lequel : in which : - le fluide aqueux FE1 comprend au moins de l'eau et au moins un polymère anionique (PA2), en particulier un carbomère, the aqueous fluid FE1 comprises at least water and at least one anionic polymer (PA2), in particular a carbomer, - le fluide huileux FI comprend au moins une huile et/ou au moins un agent suspensif et au moins un polymère cationique (PC), en particulier une amodiméthicone, et the oily fluid FI comprises at least one oil and / or at least one suspending agent and at least one cationic polymer (PC), in particular an amodimethicone, and - le fluide aqueux FE2 comprend au moins de l'eau et au moins un polymère anionique (PA1 ), en particulier un carbomère, identique au ou différent du polymère anionique (PA2). the aqueous fluid FE2 comprises at least water and at least one anionic polymer (PA1), in particular a carbomer, identical to or different from the anionic polymer (PA2).18. Procédé selon la revendication 17, dans lequel au moins le fluide FI, voire le fluide aqueux FE1 , est/sont chauffé(s) à une température comprise de 40°C à 150°C pour la réalisation de l'étape a), voire des étapes b) et c), et, optionnellement, le fluide FE2, est chauffé à une température comprise de 40°C à 150°C pour la réalisation de l'étape c).18. Process according to claim 17, in which at least the fluid F1, or even the aqueous fluid FE1, is / are heated at a temperature of between 40 ° C. and 150 ° C. for carrying out step a) or even steps b) and c), and optionally the fluid FE2, is heated to a temperature of 40 ° C to 150 ° C for carrying out step c).19. Composition, notamment cosmétique, comprenant au moins une émulsion selon l'une quelconque des revendications 1 à 16 et un milieu physiologiquement acceptable.19. Composition, in particular cosmetic, comprising at least one emulsion according to any one of claims 1 to 16 and a physiologically acceptable medium.20. Procédé non thérapeutique de traitement cosmétique d'une matière kératinique, en particulier de la peau, comprenant au moins une étape d'application sur ladite matière kératinique d'au moins une émulsion selon l'une quelconque des revendications 1 à 16 ou d'au moins une composition selon la revendication 19.20. Non-therapeutic method for cosmetic treatment of a keratinous material, in particular the skin, comprising at least one step of applying to said keratinous material at least one emulsion according to any one of claims 1 to 16 or at least one composition according to claim 19.21. Utilisation d'une émulsion eau-dans-huile-dans-eau, comprenant une phase aqueuse continue externe et une émulsion eau-dans-huile sous forme de gouttes (G1 ), chaque goutte (G1 ) comprenant une phase grasse continue et au moins une, de préférence une unique, goutte (G2) comprenant une phase aqueuse interne, lesdites gouttes (G1 ) et (G2) étant telles que définies dans l'une quelconque des revendications 1 à 16, pour encapsuler au moins un composé hydrophile, notamment un actif cosmétique hydrophile et, optionnellement, au moins un composé lipophile, notamment un actif cosmétique lipophile.21. Use of a water-in-oil-in-water emulsion, comprising an external continuous aqueous phase and a water-in-oil emulsion in the form of drops (G1), each drop (G1) comprising a continuous fatty phase and at least one, preferably a single, drop (G2) comprising an internal aqueous phase, said drops (G1) and (G2) being as defined in any one of claims 1 to 16, for encapsulating at least one hydrophilic compound , in particular a hydrophilic cosmetic active agent and, optionally, at least one lipophilic compound, in particular a lipophilic cosmetic active agent.
PCT/EP2017/0773722016-10-262017-10-25Double emulsions with double coacervateCeasedWO2018077986A1 (en)

Applications Claiming Priority (2)

Application NumberPriority DateFiling DateTitle
FR1660384AFR3057767B1 (en)2016-10-262016-10-26 DOUBLE EMULSIONS WITH DOUBLE COACERVAT
FR16603842016-10-26

Publications (1)

Publication NumberPublication Date
WO2018077986A1true WO2018077986A1 (en)2018-05-03

Family

ID=58162735

Family Applications (1)

Application NumberTitlePriority DateFiling Date
PCT/EP2017/077372CeasedWO2018077986A1 (en)2016-10-262017-10-25Double emulsions with double coacervate

Country Status (2)

CountryLink
FR (1)FR3057767B1 (en)
WO (1)WO2018077986A1 (en)

Cited By (3)

* Cited by examiner, † Cited by third party
Publication numberPriority datePublication dateAssigneeTitle
WO2021234134A1 (en)2020-05-212021-11-25CapsumBark-free, stable double emulsion
CN114588075A (en)*2021-09-302022-06-07中山中研化妆品有限公司W/O/W coated moisturizing emulsion and preparation method and application thereof
CN117045544A (en)*2023-10-122023-11-14深圳市护家科技有限公司Water-in-oil-in-water type multiple emulsion, emulsified particulate matter thereof and preparation method thereof

Citations (19)

* Cited by examiner, † Cited by third party
Publication numberPriority datePublication dateAssigneeTitle
FR1558849A (en)1967-09-191969-01-20
JPH02295912A (en)1989-05-101990-12-06Shiseido Co LtdCosmetic
EP0614660A1 (en)*1993-03-111994-09-14Roussel UclafMultiple emulsions, their preparation, their application in the preparation of cosmetic compositions and cosmetics compositions containing them
US5783657A (en)1996-10-181998-07-21Union Camp CorporationEster-terminated polyamides of polymerized fatty acids useful in formulating transparent gels in low polarity liquids
US5874069A (en)1997-01-241999-02-23Colgate-Palmolive CompanyCosmetic composition containing silicon-modified amides as thickening agents and method of forming same
US5919441A (en)1996-04-011999-07-06Colgate-Palmolive CompanyCosmetic composition containing thickening agent of siloxane polymer with hydrogen-bonding groups
US5981680A (en)1998-07-131999-11-09Dow Corning CorporationMethod of making siloxane-based polyamides
US6051216A (en)1997-08-012000-04-18Colgate-Palmolive CompanyCosmetic composition containing siloxane based polyamides as thickening agents
FR2792190A1 (en)1999-04-162000-10-20SophimNon-greasy wax-ester emollients for use in skin care preparations obtained by interesterification of triglycerides with an alcohol, distilling off residual alcohol, decolorizing and fridge or hydrogenating the product
WO2002047619A2 (en)2000-12-122002-06-20L'oreal S.A.Cosmetic composition comprising a polymer and fibres
WO2002056847A1 (en)2001-01-172002-07-25L'orealCosmetic composition comprising a polymer and a fluorinated oil
WO2003049847A1 (en)*2001-12-112003-06-19Rhodia ChimieMultiple emulsion comprising a gelled internal oil phase
WO2010063937A1 (en)2008-12-012010-06-10CapsumMethod for manufacturing capsule series, and related capsule series
EP2353577A2 (en)2009-12-182011-08-10L'OréalW/O emulsion containing an elastomeric silicone emulsifier and a volatile linear alkane
WO2012120043A2 (en)2011-03-082012-09-13CapsumMethod for forming drops of a first phase dispersed in a second phase substantially immiscible with the first phase
FR2972367A1 (en)*2011-03-082012-09-14CapsumOil in water emulsion, useful for preparing cosmetic composition, comprises aqueous phase dispersed in continuous oil phase, where the aqueous phase comprises droplets and the oil phase comprises an oil composition
FR2999921A1 (en)2012-12-202014-06-27OrealCosmetic composition in the form of aqueous emulsion, useful for caring keratinous materials e.g. lips, comprises water, alkylcellulose (ethyl cellulose), non-volatile oil, and stabilizing agent, in medium
US20150272861A1 (en)*2014-03-282015-10-01Nusil Technology LlcDispersions containing encapsulated materials and compositions using same
WO2016096995A1 (en)*2014-12-162016-06-23CapsumStable dispersions containing drops of perfuming agent

Patent Citations (19)

* Cited by examiner, † Cited by third party
Publication numberPriority datePublication dateAssigneeTitle
FR1558849A (en)1967-09-191969-01-20
JPH02295912A (en)1989-05-101990-12-06Shiseido Co LtdCosmetic
EP0614660A1 (en)*1993-03-111994-09-14Roussel UclafMultiple emulsions, their preparation, their application in the preparation of cosmetic compositions and cosmetics compositions containing them
US5919441A (en)1996-04-011999-07-06Colgate-Palmolive CompanyCosmetic composition containing thickening agent of siloxane polymer with hydrogen-bonding groups
US5783657A (en)1996-10-181998-07-21Union Camp CorporationEster-terminated polyamides of polymerized fatty acids useful in formulating transparent gels in low polarity liquids
US5874069A (en)1997-01-241999-02-23Colgate-Palmolive CompanyCosmetic composition containing silicon-modified amides as thickening agents and method of forming same
US6051216A (en)1997-08-012000-04-18Colgate-Palmolive CompanyCosmetic composition containing siloxane based polyamides as thickening agents
US5981680A (en)1998-07-131999-11-09Dow Corning CorporationMethod of making siloxane-based polyamides
FR2792190A1 (en)1999-04-162000-10-20SophimNon-greasy wax-ester emollients for use in skin care preparations obtained by interesterification of triglycerides with an alcohol, distilling off residual alcohol, decolorizing and fridge or hydrogenating the product
WO2002047619A2 (en)2000-12-122002-06-20L'oreal S.A.Cosmetic composition comprising a polymer and fibres
WO2002056847A1 (en)2001-01-172002-07-25L'orealCosmetic composition comprising a polymer and a fluorinated oil
WO2003049847A1 (en)*2001-12-112003-06-19Rhodia ChimieMultiple emulsion comprising a gelled internal oil phase
WO2010063937A1 (en)2008-12-012010-06-10CapsumMethod for manufacturing capsule series, and related capsule series
EP2353577A2 (en)2009-12-182011-08-10L'OréalW/O emulsion containing an elastomeric silicone emulsifier and a volatile linear alkane
WO2012120043A2 (en)2011-03-082012-09-13CapsumMethod for forming drops of a first phase dispersed in a second phase substantially immiscible with the first phase
FR2972367A1 (en)*2011-03-082012-09-14CapsumOil in water emulsion, useful for preparing cosmetic composition, comprises aqueous phase dispersed in continuous oil phase, where the aqueous phase comprises droplets and the oil phase comprises an oil composition
FR2999921A1 (en)2012-12-202014-06-27OrealCosmetic composition in the form of aqueous emulsion, useful for caring keratinous materials e.g. lips, comprises water, alkylcellulose (ethyl cellulose), non-volatile oil, and stabilizing agent, in medium
US20150272861A1 (en)*2014-03-282015-10-01Nusil Technology LlcDispersions containing encapsulated materials and compositions using same
WO2016096995A1 (en)*2014-12-162016-06-23CapsumStable dispersions containing drops of perfuming agent

Non-Patent Citations (2)

* Cited by examiner, † Cited by third party
Title
A. THOMAS: "Ullmann's Encyclopedia of Industrial Chemistry", 15 June 2000, article "Fats and Fatty Oils"
SATO ET AL., J. CHEM. PHYS., vol. 111, 2007, pages 1393 - 1401

Cited By (6)

* Cited by examiner, † Cited by third party
Publication numberPriority datePublication dateAssigneeTitle
WO2021234134A1 (en)2020-05-212021-11-25CapsumBark-free, stable double emulsion
FR3110405A1 (en)2020-05-212021-11-26Capsum Double stable emulsion without bark
CN114588075A (en)*2021-09-302022-06-07中山中研化妆品有限公司W/O/W coated moisturizing emulsion and preparation method and application thereof
CN114588075B (en)*2021-09-302023-08-29中山中研化妆品有限公司W/O/W coated moisturizing emulsion and preparation method and application thereof
CN117045544A (en)*2023-10-122023-11-14深圳市护家科技有限公司Water-in-oil-in-water type multiple emulsion, emulsified particulate matter thereof and preparation method thereof
CN117045544B (en)*2023-10-122023-12-26深圳市护家科技有限公司Water-in-oil-in-water type multiple emulsion, emulsified particulate matter thereof and preparation method thereof

Also Published As

Publication numberPublication date
FR3057767B1 (en)2018-12-07
FR3057767A1 (en)2018-04-27

Similar Documents

PublicationPublication DateTitle
EP3349857B1 (en)Stable dispersions containing drops comprising a gelling agent
EP3644957A1 (en)Dispersions comprising at least one non-volatile hydrocarbon oil
WO2021234135A1 (en)Bark-free, stable dispersion
EP3413979B1 (en)W/o emulsion having a fatty phase which is formed by a mixture of dops having a different diameter
EP1572137B1 (en)Non-transfer cosmetic composition comprising a dispersion of particles of a silicone-free grafted ethylene polymer in a liquid fatty phase
EP1704896B1 (en)Kit for make-up and/or for care capable of providing a voluminous effect
WO2018077977A1 (en)Double emulsions comprising a gelled fatty phase
FR3063899A1 (en) COMPOSITIONS COMPRISING A FATTY PHASE AND AQUEOUS PHASE IN THE FORM OF SOLID SPHERES
WO2019053236A1 (en)Dispersion with a dispersed fatty phase, having a high pigment content
EP3349856B1 (en)Stable emulsions of polymer-shell drops
FR3063893A1 (en) DOUBLE EMULSIONS OIL-IN-OIL-IN-WATER
EP3233045A1 (en)Stable dispersions containing drops of perfuming agent
EP4153119A1 (en)Bark-free, stable double emulsion
FR3119317A1 (en) Composition in the form of a stable macroscopic emulsion comprising a percentage of ingredients of natural origin greater than or equal to 95% according to ISO 16128 standard
WO2019002579A1 (en)Three-phase composition
WO2018077986A1 (en)Double emulsions with double coacervate
FR3071730A1 (en) COMPOSITION COMPRISING A LIQUID CONTINUOUS AQUEOUS PHASE AND A DISPERSE PHASE IN THE FORM OF DROPS
FR3098113A1 (en) Composition in the form of an oil-in-water emulsion with a fatty phase in the form of drops and aggregates
WO2023094468A1 (en)Shell-free macroscopic dispersion with pigmented fatty phase
FR3136157A1 (en) SIMPLIFIED PROCESS FOR PREPARING A DOUBLE EMULSION
FR3139481A1 (en) Method for forming a dispersion comprising drops, and associated apparatus
FR3135982A1 (en) DROPLET DISPERSIONS CONTAINING AN ANIONIC POLYMER AND A CATIONIC (DI)AMINATED POLYMER

Legal Events

DateCodeTitleDescription
121Ep: the epo has been informed by wipo that ep was designated in this application

Ref document number:17787208

Country of ref document:EP

Kind code of ref document:A1

NENPNon-entry into the national phase

Ref country code:DE

122Ep: pct application non-entry in european phase

Ref document number:17787208

Country of ref document:EP

Kind code of ref document:A1


[8]ページ先頭

©2009-2025 Movatter.jp