Movatterモバイル変換


[0]ホーム

URL:


WO2017205918A1 - Determining body fat using infrared energy - Google Patents

Determining body fat using infrared energy
Download PDF

Info

Publication number
WO2017205918A1
WO2017205918A1PCT/AU2017/050518AU2017050518WWO2017205918A1WO 2017205918 A1WO2017205918 A1WO 2017205918A1AU 2017050518 WAU2017050518 WAU 2017050518WWO 2017205918 A1WO2017205918 A1WO 2017205918A1
Authority
WO
WIPO (PCT)
Prior art keywords
energy
wavelengths
infrared energy
determining
wavelength
Prior art date
Legal status (The legal status is an assumption and is not a legal conclusion. Google has not performed a legal analysis and makes no representation as to the accuracy of the status listed.)
Ceased
Application number
PCT/AU2017/050518
Other languages
French (fr)
Inventor
Peter Jones
Fatin MUSTAFA
Alistair Mcewan
Current Assignee (The listed assignees may be inaccurate. Google has not performed a legal analysis and makes no representation or warranty as to the accuracy of the list.)
University of Sydney
Original Assignee
University of Sydney
Priority date (The priority date is an assumption and is not a legal conclusion. Google has not performed a legal analysis and makes no representation as to the accuracy of the date listed.)
Filing date
Publication date
Priority claimed from AU2016902080Aexternal-prioritypatent/AU2016902080A0/en
Application filed by University of SydneyfiledCriticalUniversity of Sydney
Publication of WO2017205918A1publicationCriticalpatent/WO2017205918A1/en
Anticipated expirationlegal-statusCritical
Ceasedlegal-statusCriticalCurrent

Links

Classifications

Definitions

Landscapes

Abstract

A method (200) and a device (100) for detecting body fat using near infra-red energy is disclosed. The method includes transmitting infrared energy (210) at a set of wavelengths to a body and determining a set of values (220) indicative of energy reflectance of the infrared. Further, the method includes determining a set of ratios (230) based on the set of values, wherein the values are based on reflected infrared energy from the body. Subsequently, a fat percentage of the body is determined (240) based on the set of ratios and a statistical model. The statistical model associates a set of reference body fat percentages to the set of ratios. Further, the device (100) may include an energy radiation device (110) to irradiate the body with near infrared energy and an energy receiving device (120) to receive near infrared energy reflected by the body.

Description

"Determining body fat using infrared energy"
Technical Field
[1] The present disclosure includes methods, software, and devices for determining a fat percentage of a body.
Background
[2] According to the World Health Organization (WHO) (Reference [1]), 44% of all under-five child deaths every year are neonates in their first 28 days of life, with most of these deaths occurring in the first week of life. Under-nutrition in neonates is a leading cause of death as it increases risk of immediate mortality and also impacts on early development, such as brain function (Reference [2]). In particular, a study by Carberry et al shows that a body fat percentage measured using air displacement plethysmography (ADP) is a better indicator of under-nutrition and risk of neonatal morbidity than the birth weight percentiles (Reference [3]). However, ADP is expensive and non-portable, which is not suitable for low-middle income groups.
[3] ADP (PEA POD; COSMED, Concord, CA) provides a clinical, standard measurement of body fat for newborns and infants which is accurate, safe, and noninvasive (Reference [4]). Another high cost, clinical approach is dual-energy X-ray (DEXA), which uses low dose ionizing radiation and is limited to one scan per year (Reference [5]). Deuterium dilution for the measurement of total body water (TBW) is another method for subjects at different ages including infants as it involves less compliance, but requires trained staff for accurate dose delivery, sample collection and may have possible delays due to lab processing of samples (Reference 0). Other techniques such as hydrostatic underwater weighing are unsuitable for infants while less expensive techniques such as a skinfold thickness measurements can be inaccurate with extra training required. In particular, Othager et al indicate that the skinfold thickness method has poor predictive value due to incorrect lifting of the skin fold during the measurement, which tends to include lean infants (Reference [6]). [4] Throughout this specification the word "comprise", or variations such as "comprises" or "comprising", will be understood to imply the inclusion of a stated element, integer or step, or group of elements, integers or steps, but not the exclusion of any other element, integer or step, or group of elements, integers or steps.
[5] Any discussion of documents, acts, materials, devices, articles or the like which has been included in the present disclosure is not to be taken as an admission that any or all of these matters form part of the prior art base or were common general knowledge in the field relevant to the present disclosure as it existed before the priority date of each claim of this application.
Summary
[6] There is provided a method for determining a fat percentage of a body, the method comprising: transmitting infrared energy at a set of wavelengths to the body; determining a set of values indicative of energy reflectances of the infrared energy by the body at the set of wavelengths; determining a set of ratios based on the set of values; and determining the fat percentage of the body based on the set of ratios.
[7] As can be seen from the above, the method disclosed in the present disclosure uses one or more ratios of energy reflectances of infrared energy to determine the fat percentage of the body. It is an advantage of the method that it is relatively easy to determine the one or more ratios of energy reflectances by transmitting infrared energy at the set of wavelengths to the body and receiving the reflected infrared energy at the set of wavelengths. This reduces the technical complexity of the body fat measurement process and improves safety. Further, by selecting an appropriate number of the wavelengths used, it is possible to achieve a low-cost body fat determination solution. [8] The body may be a body of an infant, and determining the fat percentage of the body may further comprise determining the fat percentage of the body based on gender of the infant.
[9] Transmitting the infrared energy to the body may comprise transmitting the infrared energy to an anterior thigh or a medial thigh of the infant.
[10] Determining the set of values may comprise: receiving, through a Cosine corrector, infrared energy at the set of
wavelengths reflected by the body; and determining the set of values based on the reflected infrared energy at the set of wavelengths.
[11] The set of wavelengths may include at least two wavelengths between 500nm and 2500nm, and the set of ratios may include at least two ratios.
[12] At least one of the set of values may be used in at least two ratios of the set of ratios. This reduces the number of Light Emitting Diodes (LEDs) needed in the energy radiation device as described below, and reduces the overall cost accordingly.
[13] The set of wavelengths may include multiple, in particular five, wavelengths, and determining the set of ratios may comprise determining ratios, in particular three ratios, based on the set of values, in particular five, indicative of energy reflectances of the infrared energy at the multiple wavelengths, in particular five wavelengths.
[14] The multiple, in particulate five, wavelengths may include 890nm, 900nm, 920nm, lOlOnm, and 1020nm, and the three ratios may include a first ratio of an energy reflectance at the wavelength of 890nm to an energy reflectance at the wavelength of 1020nm, a second ratio of an energy reflectance at the wavelength of 920nm to an energy reflectance at the wavelength of lOlOnm, and a third ratio of an energy reflectance at the wavelength of lOlOnm to an energy reflectance at the wavelength of 900nm.
[15] Transmitting the infrared energy may comprise transmitting the infrared energy to the body at an angle between 30 to 60 degrees to a normal of a surface of the body. The angle may be 45 degrees.
[16] The method may further comprise positioning the Cosine corrector at an angle of 45 degrees to a normal of a surface of the body.
[17] There is provided a method for determining a set of wavelengths and a set of wavelength combinations for use in determining a fat percentage of a target body, the method comprising: transmitting infrared energy to a set of reference bodies; receiving infrared energy reflected by the set of reference bodies; determining a set of values indicative of energy reflectances of infrared energy by the set of reference bodies at a set of candidate wavelengths based on the reflected infrared energy; and based on a statistical model that associates a set of reference body fat percentages of the set of reference bodies and a set of ratios, where each of the set of ratios being a ratio of one of the set of values to another one of the set of values, determining a subset of the set of candidate wavelengths to be the set of wavelengths, and determining the set of wavelength combinations, wherein each of the set of wavelength combinations includes a pair of wavelengths in the set of candidate wavelengths and is indicative of a ratio of an energy reflectance of infrared energy by the target body at one of the pair of wavelengths to an energy reflectance of infrared energy by the target body at another one of the pair of wavelengths.
[18] Transmitting the infrared energy to the set of reference bodies may comprise: determining a set of reference wavelengths including at least two wavelengths between 500nm and 2500nm; and transmitting the infrared energy at the set of reference wavelengths to the set of reference bodies.
[19] Determining the set of values may comprise: determining a set of reference values indicative of energy reflectances of the infrared energy by the set of reference bodies at the set of reference wavelengths; determining the set of candidate wavelengths based on the set of reference wavelengths; and determining the set of values based on the set of reference values and the set of candidate wavelengths using liner piecewise interpolation.
[20] Determining the set of reference values may comprise: receiving, through a Cosine corrector, the infrared energy at the set of reference wavelengths reflected by the set of reference bodies; and determining the set of reference values based on the reflected infrared energy at the set of reference wavelengths.
[21] The set of reference bodies and the target body may comprise bodies of infants, and the statistical model may further comprise gender of the infants. [22] Transmitting the infrared energy to the set of reference bodies may comprise transmitting the infrared energy to anterior thighs or medial thighs of the infants.
[23] Determining the set of wavelengths and the set of wavelength combinations may comprise determining the set of wavelengths and the set of wavelength
combinations based on a least-square linear regression model.
[24] The set of wavelengths may include five different wavelengths, and the set of wavelength combinations may include three pairs of wavelengths indicative of three ratios, each ratio representing a ratio of an energy reflectance of infrared energy by the target body at one of the five different wavelengths to an energy reflectance of infrared energy by the target body at another one of the five different wavelengths.
[25] The five different wavelengths may include 890nm, 900nm, 920nm, lOlOnm, and 1020nm, and the three ratios include a first ratio of an energy reflectance by the target body at the wavelength of 890nm to an energy reflectance by the target body at the wavelength of 1020nm, a second ratio of an energy reflectance by the target body at the wavelength of 920nm to an energy reflectance by the target body at the wavelength of lOlOnm, and a third ratio of an energy reflectance by the target body at the wavelength of lOlOnm to an energy reflectance by the target body at the wavelength of 900nm.
[26] The method may further comprise: transmitting infrared energy at the five different wavelengths to the target body; determining five values indicative of energy reflectances of the infrared energy by the target body at the five different wavelengths; determining the three ratios based on the five values and the set of wavelength combinations; and determining the fat percentage of the target body based on the three ratios and the statistical model.
[27] Determining the five values may comprise: receiving, through a Cosine corrector, infrared energy at the five different wavelengths reflected by the target body; and determining the five values based on the reflected infrared energy at the five different wavelengths.
[28] There is provided a computer software program for determining a fat percentage of a body, including machine-readable instructions, when executed by a processor, causes the processor to send a first message to an energy radiation device to transmit infrared energy at a set of wavelengths to the body; send a second message to an energy receiving device to receive infrared energy at the set of wavelengths reflected by the body; determine a set of values indicative of energy reflectances of infrared energy by the body at the set of wavelengths; determine a set of ratios based on the set of values; and determine the fat percentage of the body based on the set of ratios.
[29] There is provided a computer software program for determining a set of wavelengths and a set of wavelength combinations for use in determining a fat percentage of a target body, including machine-readable instructions, when executed by a processor, causes the processor to send a first message to the energy radiation device to transmit infrared energy to a set of reference bodies; send a second message to the energy receiving device to receive infrared energy reflected by the set of reference bodies; determine a set of values indicative of energy reflectances of infrared energy by the set of reference bodies at a set of candidate wavelengths based the reflected infrared energy; and based on a statistical model that associates a set of reference body fat percentages of the set of reference bodies and a set of ratios, where each of the set of ratios being a ratio of one of the set of values to another one of the set of values, determine a subset of the set of candidate wavelengths to be the set of wavelengths, and determine the set of wavelength combinations, wherein each of the set of wavelength combinations includes a pair of wavelengths in the set of candidate wavelengths and is indicative of a ratio of an energy reflectance of infrared energy by the target body at one of the pair of wavelengths to an energy reflectance of infrared energy by the target body at another one of the pair of wavelengths.
[30] There is provided a device for determining a body fat percentage of a body, the device comprising: an energy radiation device; an energy receiving device; and a processor connected to the energy radiation device and the energy receiving device, the processor being configured to send a first message to the energy radiation device to transmit infrared energy at a set of wavelengths to the body; send a second message to the energy receiving device to receive infrared energy at the set of wavelengths reflected by the body; determine a set of values indicative of energy reflectances of infrared energy by the body at the set of wavelengths; determine a set of ratios based on the set of values; and determine the fat percentage of the body based on the set of ratios.
[31] The energy receiving device may comprise a Cosine corrector to receive the infrared energy reflected by the body.
[32] The energy receiving device may comprise a set of filters to receive the infrared energy reflected by the body at the set of wavelengths.
[33] The energy radiation device may be able to transmit the infrared energy in a range of wavelengths including the set of wavelengths.
[34] The energy radiation device may comprise five Light-Emitting Diodes (LEDs) that are able to transmit the infrared energy at five different wavelengths of 890nm, 900nm, 920nm, 101 Onm, and 1020nm, respectively.
[35] The set of values may be indicative of energy reflectances of infrared energy by the body at the five different wavelengths.
[36] The set of the ratios may include a first ratio of an energy reflectance at the wavelength of 890nm to an energy reflectance at the wavelength of 1020nm, a second ratio of an energy reflectance at the wavelength of 920nm to an energy reflectance at the wavelength of lOlOnm, and a third ratio of an energy reflectance at the wavelength of lOlOnm to an energy reflectance at the wavelength of 900nm.
[37] The energy radiation device may further transmit the infrared energy to the body at an angle between 30 to 60 degrees to a normal of a surface of the body. The angle may be 45 degrees.
[38] The Cosine corrector may be positioned at an angle of 45 degrees to a normal of a surface of the body.
[39] There is provided a device for determining a set of wavelengths and a set of wavelength combinations for use in determining a fat percentage of a target body, the device comprising: an energy radiation device; an energy receiving device; and a processor connected to the energy receiving device, the processor being configured to: send a first message to the energy radiation device to transmit infrared energy to a set of reference bodies; send a second message to the energy receiving device to receive infrared energy reflected by the set of reference bodies; determine a set of values indicative of energy reflectances of infrared energy by the set of reference bodies at a set of candidate wavelengths based the reflected infrared energy; and based on a statistical model that associates a set of reference body fat percentages of the set of reference bodies and a set of ratios, where each of the set of ratios being a ratio of one of the set of values to another one of the set of values, determining a subset of the set of candidate wavelengths to be the set of wavelengths, and determining the set of wavelength combinations, wherein each of the set of wavelength combinations includes a pair of wavelengths in the set of candidate wavelengths and is indicative of a ratio of an energy reflectance of infrared energy by the target body at one of the pair of wavelengths to an energy reflectance of infrared energy by the target body at another one of the pair of wavelengths.
[40] The energy receiving device may comprise a Cosine corrector to receive the infrared energy reflected by the set of reference bodies.
[41] The set of wavelengths may include five different wavelengths of 890nm, 900nm, 920nm, lOlOnm, and 1020nm.
[42] The set of wavelength combinations may include three pairs of wavelengths indicative of three ratios, wherein the three ratios include a first ratio of an energy reflectance by the target body at the wavelength of 890nm to an energy reflectance by the target body at the wavelength of 1020nm, a second ratio of an energy reflectance by the target body at the wavelength of 920nm to an energy reflectance by the target body at the wavelength of lOlOnm, and a third ratio of an energy reflectance by the target body at the wavelength of lOlOnm to an energy reflectance by the target body at the wavelength of 900nm.
[43] Determining a set of values indicative of energy reflectances of the infrared energy by the body at the set of wavelengths may be based on interactance, such as near infrared Interacance. Brief Description of Drawings
[44] Features of the present disclosure are illustrated by way of non-limiting examples, and like numerals indicate like elements, in which:
Fig. 1 illustrates an example device for determining a fat percentage of a body in accordance with the present disclosure;
Fig. 2 illustrates an example method for determining a fat percentage of a body in accordance with the present disclosure;
Fig. 3 illustrates a scattering spectrum of a fat layer, absorption spectra of pure fat, melanin and water and a calculated absorption spectrum of a subcutaneous fat layer;
Fig. 4 illustrates an example method for determining wavelengths and a set of wavelength combinations for use in determining a fat percentage of a target body; and
Figs. 5(a) and (b) illustrates near-infrared reflection spectra at anterior and medial thighs of subjects.
Description of Embodiments
[45] Fig. 1 illustrates an example devicelOO for determining a fat percentage of a body in accordance with the present disclosure.
[46] As shown in Fig. 1, the device 100 includes an energy radiation device 110, an energy receiving device 120 (also referred to as a probe in the present disclosure), and a processor 130 connected to the energy radiation device 110 and the energy receiving device 120. While the processor 130 is shown here as one physical element it could be separated into different physical devices in the same or different location(s). The processor 130 can also be part of another device, for example, the energy receiving device 120. The device 100 may also include a fibre holder 150 to hold fibres 160, 170 that transmit and receive infrared energy used in determining the fat percentage of the body. The energy receiving device 120 may also include a Cosine corrector 140. The energy receiving device 120 may be separated from the energy radiation device 110 by a distance of 10mm.
[47] In the present disclosure, the device 100 is a Near Infra-Red (NIR) reflectance- based system using inexpensive Light Emitting Diodes in the energy radiation device 110 and photodiodes in the energy receiving device 120. The device 100 may operate in two different configurations: with and without the Cosine corrector 140 connected at the collecting side of the energy receiving device 120. In the configuration without the Cosine corrector 140, infrared light reflected from the body can be captured from 77.3° to 102.7° by a sub multi assembly (SMA) fibre cable. In the configuration with the Cosine corrector 140, the Cosine corrector 140 acts as an optical diffuser that allows infrared light to be collected from a wider range of angles from 0° to 180° (Reference 0). As a result, the Cosine corrector 140 alleviates issues related to the optical interface and the light collection sampling geometry.
[48] In another embodiment, the device 100 may be a single device with source and detector arrangements (not shown in Figures). In an example, the device 100 may have a plurality of optical fibres arranged around a central optic fibre. The single device may operate in two modes. In a first mode, the plurality of optic fibres may act a source of NIR light, performing the same function as the energy radiation device 110. The central optic fibre may act as a receiver performing the function of the energy receiving device 120. In a second mode, the plurality of optic fibres may perform the function of receivers whereas the central optic fibre may perform the function of an NIR source. It may be apparent to a person skilled in the art that the mode of operation is a result of placement of the source LEDs and the photodiode. Further, the single device may operate with or without the cosine corrector 140. [49] A study by Conway et al analyses NIR absorbance spectra using a second derivative method at two different wavelengths that is purposely designed to reduce the effect of temperature and particle size variation of the spectra (Reference 0). However, Conway et al focuses on an adult population and obtained a correlation coefficient R=0.94 when compared with deuterium dilution (Reference 0). For NIR studies on newborns, Kasa et al compared the NIR at 937nm and 947 nm with the skinfold thickness, however, no significant correlation is achieved (Reference 0). Another study by Sergio et al implements a technique similar to that of Kasa et al and obtains results with a high variability of 16% attributed to the skinfold thickness (Reference 0).
[50] In the example shown in Fig. 1, the energy radiation device 110 is a tungsten halogen light (for example, Mikropack HL-2000-FHSA, 6.7 mW, 360 nm to 2400 nm range). It should be noted that the energy radiation device 110 can be other
incandescent light sources including halogen light sources. In the simplest form, sunlight or even candle light is able to serve the purpose of the energy radiation device 110. In the present disclosure, the operation wavelength of the energy radiation device 110 and the energy receiving device 120 includes a wide range of wavelengths with a view to identifying optimal wavelengths in the range of wavelengths or emitting infrared energy in the range of wavelengths including the optimal wavelengths at which the hydration effect can be reduced as much as possible by for example calculating energy reflectance ratios.
[51] As an example, the energy radiation device 110 includes one or more Light Emitting Diodes (LEDs) that operate at a set of wavelengths, and thus is able to transmit infrared energy at the set of wavelengths to a body. Particularly, the energy radiation device 110 transmits the infrared energy to an anterior thigh or a medial thigh of an infant whose body fat percentage needs to be determined. In the present disclosure, determination of a certain value include measuring the value, or calculating the value, or both. The energy radiation device 110 is connected to the fibre holder 150 (for example, a 3D-printed fibre holder) via a SMA fibre 160 (for example, Thorlabs, M28L01, 0400 μιη, 0.39 NA). The SMA fibre 160 connects to a hole of the fibre holder 150 to optically guide the infrared energy transmitted from the energy radiation device 110 into the fibre holder 150. The infrared energy transmitted from the energy radiation device 110 can be guided onto the surface of the body at a wide angle range of 0 to 180 degrees, for example, at an angle between 30 to 60 degrees to the normal (the dash-dot line in Fig. 1) of the surface of the body. As an example, the angle is 45 degrees, and the energy radiation device 110 transmits the infrared energy to the body at an angle of 45 degrees to the normal of the surface of the body, as indicated by the dashed arrow A in Fig. 1.
[52] At the receiving side, another SMA fibre 170 (for example, Thorlabs, M14L01, 050 μιη, 0.22 NA) connects to another hole of the fibre holder 150. The SMA fibre 170 is positioned at an angle of 45 degrees to the normal of the surface of the body to optically guide infrared energy reflected by the body to the energy receiving device 120, as shown in Fig. 1. Such a configuration of fibres 160, 170 improves the intensity of infrared energy received at the energy receiving device 120. As a result, this reduces the requirement on the transmitting power of the energy radiation device 110.
[53] Further, the energy receiving device 120 is able to receive the infrared energy reflected by the body at the set of wavelengths at which the infrared energy is transmitted from the energy radiation device 110. Particularly, the energy receiving device 120 may include one or more filters (not shown) to receive the infrared energy reflected by the body at the set of wavelengths.
[54] In the present disclosure, the energy receiving device 120 is a spectrometer (for example, Ocean Optics QEPRO-FL, 350 nm to 1100 nm range, SNR 1000: 1) with response signals detected by photodiodes (not shown) in the energy receiving device 120 and recorded for 20 seconds with Ocean View 1.4 software (Ocean Optics).
Before taking measurements, suitable values of integration times (100 ms), boxcar width (5) and number of scans to average (10) are set in order to ensure the reflection signal is not saturated. [55] As shown in Fig. 1, the energy receiving device 120 may further comprise the Cosine corrector 140 (for example, Thorlabs CCSA1, 04 mm). When performing the body fat measurement in the configuration with the Cosine corrector device 140, the Cosine corrector device 140 is coupled between the fibre holder 150 and the SMA fibre 170 to collect infrared energy reflected by the body at a wider range of angles from 0° to 180°.
[56] The Cosine corrector 140 may be positioned at an angle of 45 degrees to the normal of the surface of the body, as shown in Fig. 1, to collect the infrared energy reflected by the body. As described above, this improves the intensity of infrared energy received at the energy receiving device 120, and reduces the requirement on the transmitting power of the energy radiation device 110.
[57] The processor 130 is connected to the energy radiation device 110 and the energy receiving device 120 and is configured to perform machine executable instructions to implement one or more methods or processes related to body fat percentage determination, as described in the present disclosure with reference to the accompanying drawings. The machine executable instructions are included in a computer software program. The computer software program can be programmed into the processor 130. Alternatively, the computer software resides in a memory device (not shown), and the processor 130 reads the machine executable instructions from the memory device.
[58] Fig. 2 illustrates an example method 200 for determining a fat percentage of a body in accordance with the present disclosure. In NIR data processing, energy absorbance (A) ratios at two different wavelengths, Α ι/Α2 are derived by K. Norris et al in order to remove and normalize the baseline offset (Reference 0). However, in the present disclosure, one or more energy reflectance ratios at two different wavelengths is used to reduce the influence of water absorption, which means preference is given to the ratio(s) that is based on wavelengths highly influenced by fat and water. [59] In the present disclosure, a body fat determination model based on one or more ratios of NIR reflectances at a set of wavelengths is developed. The model is generalised below:
Body Fat Percentage (BF%) = A1 +∑=1 Ai+1 rt + AN+2G (1)
[60] In the above generalised form, r, is a ratio of an energy reflectance of infrared energy by the body at two different wavelengths, A i,
Figure imgf000018_0001
(i =1 ...N), and AN+2 are predetermined coefficients, and N is the number of ratios. Gender G is also included as an additional parameter in the model as this factor may influence the body fat percentage at birth (Reference 0). Particularly, G is 1 for male and 0 for female.
[61] In some exemplary embodiments, the body fat equation , such as body fat equation (1) may include other anthropometric parameters such as height, weight, sex, race, waist-to-hip measurement, skin colour (discussed below) and arm circumference. Also exercise level can also be taken into consideration.
[62] As can be seen from above, the body fat determination model may vary depending on the number of NIR reflectance ratios (i.e., N). Generally speaking, the larger the number of ratios is, the more precise the body fat measurement is and more LEDs are needed in the device 100 to emit infrared energy at more wavelengths.
Therefore, depending on the measurement precision required and the cost desired, different number of ratios may be used.
[63] Once the number of ratios is determined, based on method 400 described with reference to Fig. 4, the set of wavelengths at which the energy radiation device 110 transmits infrared energy and the way of calculating the ratios based on the energy reflectances at the set of wavelengths can be determined accordingly. The set of wavelengths in method 400 may also be referred to as optimal wavelengths, which constitute a subset of a set of candidate wavelengths, as described with reference to Fig. 4 below. In the present disclosure, the set of wavelengths and the way of calculating the ratios are determined with spectral absorption peaks of fat and water taken into account to reduce the hydration and melanin effects.
[64] The processor 130 sends a first message to the energy radiation device 110 and a second message to the energy receiving device 120. Upon receipt of the first message at the energy radiation device 110, the energy radiation device 110 transmits 210 infrared energy at the set of wavelengths to the body, particularly, the anterior thigh or medial thigh of an infant. The set of wavelengths includes wavelengths between 500nm and 2500nm to reduce the hydration effect and capture more details about melanin and fat. The infrared energy is guided by the fibre 160 into the fibre holder 150, and reflected by the body. Upon receipt of the second message at the energy receiving device 120, the energy receiving device 120 receives infrared energy reflected by the body at the set of wavelengths through the fibre 170. If the device 100 operates in the configuration with the Cosine corrector 140, the reflected infrared energy is collected by the Cosine corrector 140 and the energy receiving device 120 receives the reflected infrared energy through the Cosine corrector 140 and the fibre 170.
[65] Based on the infrared energy transmitted from the energy radiation device 110 and the infrared energy received at the energy receiving device 120, the processor 130 is configured to determine 220 a set of values indicative of energy reflectances of the infrared energy by the body at the set of wavelengths. The set of values may be represented by NIR reflection coefficients. In light of the way of calculating ratios of the energy reflectances described with reference to Fig. 4, the processor 130 determines 230 a set of ratios based on the set of values. According to the body fat determination model represented by Equation (1), the processor 130 determines 240 the fat percentage of the body based on the set of ratios.
[66] As a specific example with three ratios, the body fat determination model becomes: Body Fat % = (-317.70) + 255.18(2)
Figure imgf000020_0001
+ (-1.64)G
[67] In this example, the set of wavelengths (i.e., optimal wavelengths) includes five different wavelengths: 890nm, 900nm, 920nm, lOlOnm, and 1020nm. Rs90nm, R oonm, R920nm, Rioionm, and Rio20nm constitutes the set of values (e.g., reflection coefficients) indicative of the energy reflectances of infrared energy at the five different wavelengths. The three ratios are determined based on the five values Rsnonm, Rsioonm, R920nm, Rioionm, and Rio20nm Particularly, a first ratio ri is a ratio of an energy reflectance at the wavelength of 890nm to an energy reflectance at the wavelength of
1020nm (i.e., rx =Re90nm ), a second ratio r2 is a ratio of an energy reflectance at the wavelength of 920nm to an energy reflectance at the wavelength of lOlOnm (i.e., r2 =Rg20nm ), and a third ratio r3 is a ration of an energy reflectance at the wavelength of lOlOnm to an energy reflectance at the wavelength of 900nm (i.e., r3 =fil01°"m).
Rt)00nm
Predetermined values of coefficients A A2A3, A4, and^45 are -317.70, 255.18, -83.25, 193.38, and -1.64. G is 1 for male and 0 for female. As can be seen from the above, at least one reflection coefficient (for example, the reflection coefficient at the wavelength of lOlOnm, Rwwnm) is used in at least two ratios, (for example, r2 =Rg20nm and r3 r3 =fil01°"m). This reduces the number of LEDs needed in the energy radiation device
Rt)00nm
110, and reduces the cost of the device 100 accordingly. In this particular example, five instead of six LEDs are needed in the energy radiation device 110.
[68] To emit infrared energy at the five wavelengths: 890nm, 900nm, 920nm, lOlOnm, and 1020nm, the energy radiation device 110 include five LEDs, as shown in Fig. 1, with each LED emits infrared energy at one of the wavelengths.
[69] As described above, the infrared energy transmitted 210 from the energy radiation device 110 to the body is guided by the fibre 160 into the fibre holder 150, and reflected by the body. The energy receiving device 120 receives infrared energy reflected by the body at the five wavelengths through the fibre 170. The energy receiving device 120 may include one or more filters (not shown) to receive the infrared energy reflected by the body at the five wavelengths. If the device 100 operates in the configuration with the Cosine corrector 140, the reflected infrared energy is collected by the Cosine corrector 140 and the energy receiving device 120 receives the reflected infrared energy through the Cosine corrector 140 and the fibre 170. It should be noted that the fibres 160, 170 may not be used in a low-cost design. In the low-cost design, the energy radiation device 110 transmits infrared energy to the body directly without using the fibre 160 and infrared energy reflected by the body is received at the energy receiving device 120 without using the fibre 170.
[70] Based on the infrared energy transmitted from the energy radiation device 110 and the infrared energy received at the energy receiving device 120, the processor 130 determines 220 reflection coefficients R890nm, R oonm, R92onm, Rioionm, and Rmonm indicative of the energy reflectances by the body at the five wavelengths.
[71] The processor 130 determines three ratios ri, r2, and r3 based on the five reflection coefficients R8i>onm, Rvoonm, R920nm, Rioionm, and Ri020nm , particularly, r —— r2 = ^S , and r3 = ^S!S™. According to the body fat percentage determination model represented by Equation (2), the processor 130 determines the fat percentage of the body based on r r2, and r3.
[72] Fig. 3 illustrates a scattering spectrum of the fat layer (Reference 0), absorption spectra of pure fat, melanin and water and also a calculated absorption spectrum of subcutaneous fat layer following the Meglinski's equation model
(References 0, 0). As can be determined from Fig. 3, the dominant effect of water is between 930nm and 1050nm. Due to the water content in the subcutaneous fat layer, it follows the curve of pure water even though the peak of pure fat is clearly at 930nm (Reference 0). Scattering has a high influence in the fat layer, as shown in Fig. 3, but the unidentified fat and water constituents over wavelength make it difficult to separate individual influences. [73] As described above, once the number of ratios (i.e., N) is determined, the optimal wavelengths at which the energy radiation device 1 10 transmits infrared energy and the way of calculating the ratios can be determined in order to determine the fat percentage of a body according to Equation (1) or (2). Fig. 4 illustrates an example method 400 for determining the set of wavelengths (i.e., the optimal wavelengths) and a set of wavelength combinations for use in determining a fat percentage of a target body, which is also referred to as a model development process in the present disclosure. It should be noted that in addition to determining the fat percentage of a target body, the device 100 can also be used to perform the method steps described with reference to Fig. 4 to determine the set of wavelengths and the set of wavelength combinations.
[74] The determination of the set of wavelengths and the set of wavelength combinations may be conducted with reference to newborn infants of various ethnic backgrounds. As an example in the present disclosure, a set of reference bodies including sixty subjects are taken into consideration. The fat percentages of these reference bodies are measured using ADP or other body fat measurement methods as a set of reference body fat percentages. For example, a reference body fat percentage may be determined by placing a subject (for example, a naked infant) inside a closed chamber and air displacement is measured using pressure and volume changes. Body density is derived from measured body mass and the calculated body volume
(Reference 0). Gestational age and length data are obtained from hospital databases for data analysis. These reference body fat percentages can be stored in a storage device (not shown in Fig. 1).
[75] At least two wavelengths where fat and water have high influence on absorption of NIR are used in the present disclosure to counter the effect of melanin in the epidermal layer (Reference 0), as shown in Fig. 3. As a consequence of the high absorption possessed by the melanin spectra, data for each skin colour of the subjects are analysed separately. Subjects are selected from the white skin category (refer to Table 1) in developing the body fat determination model due to very low number of subjects from the dark skin category. [76] These reference bodies include two cohorts: cohort 1, measured with the Cosine corrector 140 (the first 30 subjects), and cohort 2, measured without the Cosine corrector 140 (the next 30 subjects). Maternal conditions during pregnancy, birth details and maternal and paternal demographics including; ethnicity, age, height, weight, date of birth, and education background are recorded. In some cases, the skin colour may also be recorded. The skin colour may be determined based on, for example, a Fitzpatrick scale and using a skin colour detector. Skin colour may be used as a parameter in the equations (1) and (2) to account for the absorption coefficient of various skin colours. Table 1 shows the characteristics of the neonates in this example.
Figure imgf000023_0001
Based on ethnicity information with skin colour recorded.
TABLE 1 Characteristics of Subjects
[77] To minimize any effect of motion, the model development process 400 can be performed while the infants are sleeping, immediately after a feed or during feeding. The measurements of all subjects can be conducted once or more times on the skin surface of both anterior and medial thighs of the subjects for measurement reliability purposes. For compliance purposes, the device 100 is tested for medical safety to meet IEC60601 medical safety regulations.
[78] In the model development process 400, the processor 130 sends a first message to the energy radiation device 110 and a second message to the energy receiving device 120. Upon receipt of the first message at the energy radiation device 110, the energy radiation device 110, including one or more LEDs, transmits 410 infrared energy to the set of reference bodies. Since the model development process 400 is to determine the optimal wavelengths and the a set of wavelength combinations including these optimal wavelengths, it is beneficial to have more LEDs included in the energy radiation device 110 to emit infrared energy at a set of candidate wavelengths from which the optimal wavelengths are determined. Empirically, about 20 to 30 candidate wavelengths are able to provide a sufficient precision. This means the energy radiation device 110 includes about 20 to 30 LEDs. However, due to cost constrains and technical complexities in controlling these LEDs, the energy radiation device 110 in the present disclosure use less LEDs, for example, two to five LEDs, which emit infrared energy at a set of reference wavelengths. Particularly, the processor 130 determines the set of reference wavelengths including at least two wavelengths between 500nm to 2500nm to reduce the hydration effect and capture more details about melanin and fat. As a result, the energy radiation device 110 transmits infrared energy to the set of reference bodies at the set of reference wavelengths.
[79] Upon receipt of the second message at the energy receiving device 120, the energy receiving device 120 receives 420 infrared energy reflected by the set of reference bodies. Particularly, the energy receiving device 120 receives infrared energy reflected by the set of reference bodies at the set of reference wavelengths if the energy radiation device 110 includes less LEDs. The processor 130 determines 430 a set of values (for example, reflection coefficients) indicative of energy reflectances of infrared energy by the set of reference bodies at the set of candidate wavelengths based on the reflected infrared energy. In the case that the energy radiation device 110 includes less LEDs, for example, two to five LEDs, the processor 130 measures a set of reference values indicative of energy reflectances of the infrared energy by the set of reference bodies at the set of reference wavelengths. If the device 100 operates in the configuration with the Cosine corrector 140, the energy receiving device 120 receives through the Cosine corrector 140 infrared energy reflected by the set of reference bodies at the set of reference wavelengths, and determines the set of reference values based on the reflected infrared energy at the set of reference wavelengths.
[80] The processor 130 determines the set of candidate wavelengths based on the set of reference wavelengths if the energy radiation device 110 includes less LEDs. For example, the processor 130 determines the wavelengths at intervals of lOnm between adjacent reference wavelengths as part of the set of candidate wavelengths. As an example, if the reference wavelengths are 850nm, 930nm, and 1050nm, then the set of candidate wavelengths includes 850nm, 860nm, 870nm, 880nm, 890nm, 900nm, 910nm, 920nm, 930nm, 940nm, 950nm, 960nm, 970nm, 980nm, 990nm, lOOOnm, lOlOnm, 1020nm, 1030nm, 1040nm, 1050nm. Based on the set of candidate wavelengths and the set of reference values indicative of energy reflectances at the set of reference wavelengths, the process 130 determines the set of values indicative of the energy reflectances at the set of candidate wavelengths by using for example liner piecewise interpolation.
[81] The processor 130 determines the set of reference body fat percentages of the set of reference bodies by for example accessing the storage device that stores the set of reference fat percentages. As described above, the set of reference body fat
percentages are measured using ADP or other reliable body fat measurement methods.
[82] Figs. 5(a) and (b) illustrates NIR reflection spectra at the anterior and medial thighs of two subjects from each cohort in Table 1. The selection is made based on the highest and lowest reference body fat percentage measured by the ADP method.
[83] In the mode development process 400, the body fat percentage determination model represented by Equation (1) or (2) is considered to be a statistical model that associates the set of reference fat percentages and a set of ratios. Each of the set of ratios is a ratio of one of the set of values (for example, reflection coefficients) to another one of the set of values. These ratios (particularly, the reflection coefficients) are correlated with the set of reference body fat percentages measured by a highly accurate technique (for example, ADP) to produce stable body fat percentage measurements (References [6], 0).
[84] Based on the statistical model, the processor 130 determines 440 a subset of the set of candidate wavelengths to be the set of wavelengths (i.e., the optimal wavelengths), and determines the set of wavelength combinations. It should be noted that the determination of the optimal wavelengths and the determination of the set of wavelength combinations may be performed at the same time. Each of the set of wavelength combinations includes a pair of wavelengths in the set of candidate wavelengths and is indicative of a ratio of an energy reflectance of infrared energy by the target body at one of the pair of wavelengths to an energy reflectance of infrared energy by the target body at another one of the pair of wavelengths. For example, the processor 130 uses a least-square linear regression model to determine the set of wavelengths and the set of wavelength combinations. Particularly, the processor 130 evaluates all possible ratios of these reflection coefficients at different wavelengths in the set of candidate wavelengths to determine the optimal wavelengths and their combinations. The optimal wavelengths and their combinations are those exhibit the highest correlation between the set of ratios and reference body fat percentages.
[85] The above the model development process is described with reference to a situation where the number of ratios is three (i.e., N=3). As a result, the optimal wavelengths includes five different wavelengths, 890nm, 900nm, 920nm, lOlOnm, and 1020nm. Further, the set of wavelength combinations determined includes three pairs of optimal wavelengths indicative of three ratios, each ratio representing a ratio of an energy reflectance (for example, reflection coefficients) of infrared energy by the target body at one of the five different wavelengths to an energy reflectance of infrared energy by the target body at another one of the five different wavelengths. Particularly, the three ratios include a first ratio rj of an energy reflectance by the target body at the wavelength of 890nm to an energy reflectance by the target body at the wavelength of 1020nm (i.e., rx =890nm ), a second ratio r2 of an energy reflectance by the target body
¾020nm
at the wavelength of 920nm to an energy reflectance by the target body at the wavelength of lOlOnm (i.e., r2 =Rg20nm ), and a third ratio r3 of an energy reflectance by the target body at the wavelength of lOlOnm to an energy reflectance by the target body at the wavelength of 900nm (i.e., r3 = ≡™
Rt)00nm
[86] Based on the body fat determination model as developed above, a body fat percentage of a target body can be determined as follows. [87] The energy radiation device 110 transmits infrared energy at the five different wavelengths (particularly, 890nm, 900nm, 920nm, lOlOnm, and 1020nm) to the target body. The infrared energy is reflected by the target body. The energy receiving device 120 receives, through the Cosine corrector 140 if applicable, infrared energy at the five different wavelengths reflected by the target body. The processor 130 measures five values indicative of the energy reflectances of the infrared energy by the target body at the five different wavelengths. The five values can be reflection coefficients at the five wavelengths R890nm, Rgoonm, R920nm, Rioionm, and Rio20nm■ The processor 130 determines the three ratios r , r2, r3 based on the five values, particularly, rx =Re90nm , r2 =Rg20nm ,
#1020nm ^lOlOnm and r3 = ^™. The processor 130 further determines the fat percentage of the target
Rt)00nm
body based on the three ratios, specifically, according to Equation (2). Table 2 shows the predetermined values of coefficients Ai, A2A^ A4, and^45 with reference to different cohorts and parts of the body. As described above, cohort 1 indicates that the fat percentage of the target body is determined by using the Cosine corrector 140, and cohort 2 indicates that the fat percentage of the target body is determined without using the Cosine corrector 140.
Figure imgf000027_0001
TABEL 2: Predetermined Values of coefficients^;, ^2^3, ^4, and^45 Performance and discussion
[88] Table 3 shows the mean and standard deviation of the ratios of the two cohorts for the anterior and medial thighs. As shown in Table 3, the variability of the measurements is less than 9.5% in both cohorts.
Anterior Medial Cohort 1 1.044 ± 1.035 ±
0.099 0.082
Cohort 2 1.001± 0.997 ±
0.075 0.076
TABLE 3: Mean and Standard Deviation of Ratios for Two Cohorts
[89] Table 4 shows significant correlation between measurement values using the Cosine corrector 140 and ADP measurement values for anterior (correlation coefficient, R=0.877) and medial sites (R=0.839). Root Mean Squared Error (RMSE) and p-values of Cohort 1 of both sites are generally lower than Cohort 2. This is due to the diffuse detection of the Cosine corrector 140.
Figure imgf000028_0001
TABLE 4: Results from Statistical Analysis of With and Without Cosine Corrector for Anterior and
Medial Thighs of Caucasian and Asian Subjects (Skin Type I)
[90] The analysis is extended to include all subjects of both cohorts for anterior and medial thighs. Including the mixed skin colours in the analysis reflects the statistical results in Table 5 due to less significant correlation values and higher RMSE and p- values. Nevertheless, the statistical results in both Table 5 and Table 4 show that Cohort 1 is better than Cohort 2.
Figure imgf000028_0002
TABLE 5 : Results from Statistical Analysis of With and Without Cosine Corrector for Anterior and
Medial Thighs of All Subjects
[91] In the present disclosure, the thigh of a body is used as the measurement site as it is a convenient location that can be accessed while breastfeeding. Moreover, past studies have found that maximal fat deposition can be found in the anterior thigh (Reference 0). [92] Although an example with five wavelengths and three energy reflectance ratios (i.e., N = 3) is described above, the body fat percentage measurement devices and methods in the present disclosure may use more or less wavelengths and ratios. Table 6 shows the effects on the correlation coefficient R of using less and more than three ratios on Cohort 1. For example, Table 6 represents body fat determination models with at least two wavelengths and different numbers of ratios ( for example, one, two, three, four, five ratios). As shown in Table 6, the more the wavelengths used, the greater the correlation coefficient R is, which is consistent with the study on breast imaging conduct by Justin et al, where they found that adding more wavelengths up to eight improved extraction errors (Reference 0). Although the correlation coefficient R increases with the number of wavelengths used, the amount of increase levels off and the inclusion of more wavelengths causes higher costs and more technical complexities in the device 100. Therefore, the device 100 with less wavelengths or LEDs may be preferred for low cost and less technical complexities purposes.
Figure imgf000029_0001
TABLE 6: Body Fat Percentage Estimations, R and RMSE of Less and More than Three Ratios. Added Ratios of R4, and R5 are 930/1050nm, and 970/930nm respectively while L is Length
[93] It should be noted that anthropometric parameters (e.g.; length, weight and age) are not included in the body fat determination model represented by Equation (1) or (2). Measurement of length has been used as one of the primary indicators of fetal, neonatal and child nutrition. The length parameter is included in Row 5 of Table 6 for comparison purposes. Although Table 6 shows the length parameter provides at least as much information as two additional ratios or three additional wavelengths provide, length measurements are often problematic due to inter and intra observer variability unless the length measurements are conducted by a well-trained operator using appropriate equipment including a length board (Reference 0). For example, Futrex 5000 (a commercial NIR based body fat measurement device) requires anthropometric parameters of age, weight, height and level of exercise in their developed model (References 0, 0). Those parameters may often be inaccessible or unreliable, especially in low-middle income groups. Therefore, the body fat measurement devices and methods described in the present disclosure are reliable, less complex, and
commercially feasible.
Simplified Diffuse Reflectance Equations
[94] A simplified diffuse reflectance model of a layered medium, R(x,y) from the Radiative Transfer Equation (RTE) with a corrected diffuse approximation (CD A) is described in (Reference 0):
NA
R(x,y) = -2π ] ί(χΥ' (χ, x,y, 0) γάγ
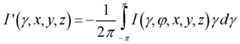
(3) where NA is defined as numerical aperture of the energy receiving device 120 used, which is aligned normally to the boundary plane at z=0, t(y) is the Fresnel transmission coefficient due to the refractive index mismatch at the boundary, and the quantity of /' relates to / as below:
Figure imgf000030_0001
where I(y, φ, x ,y, z) is the radiance over the range of angles (y=cosine 3, and φ) exiting the skin of a target body body collected by the energy receiving device 120 at positions indicated by the vector <x ,y ,z>. The angle 3 is the elevation angle with respect to z- axis in spherical coordinates, while φ is the azimuthal angle of the position vector. Note that the range of -π<φ<π is due to the assumption of uniform scattering. The function Ι(γ,φ,χ,γ,ζ) depends on optical properties, for example, the absorption coefficient as function of absorption length, μα (IJ, the scattering coefficient as function of scattering length, μ5 (ls), and the anisotropy, g. The relation between these properties is given by ^1 -Η2 (χ,ζ)]φ(χ,γ,ζ) -3β^χ-Η3 (χ,ζ)]δ2φ(χ,γ,ζ) +θ(/?2) + 0(α)
(5) where β=1Αν(μί), α=μαΙμ5, k]=l^s(l-g), w is the beam width, (j>(x,y,z) is the solution of the boundary value that can be solved either by Laplace's equation or the diffusion equation. f(x,y) is the incident beam profile, which is set as Gaussian beam, and Hn (n=l,2,3) denotes a half space Green's function (Reference [17]). Whilst the t(y) in Equation (3) is given by
Figure imgf000031_0001
where rii and n2 are the refractive indices of ambient and skin respectively, Θ] is the transmission angle of the energy radiation device 110 and θ2 is the reflected angle of the light from the skin of a target body. NA of the Cosine corrector 140 is 1.0 while NA of the SMA fibre 170 is 0.22. The NA is given by
NA = ni sin or
(7) where denotes the refractive index of material outside the fibre 170 or the Cosine corrector 140, which in our case is the air (n=l), and a donates maximum half acceptance angle of the fibre 170 or the Cosine corrector 140. Thus, by including the Cosine corrector 140, the energy receiving device 120 is able to capture more infrared energy reflected by the body.
[95] In some advantageous embodiments of the invention, method and device disclosed herein may be used for determining other physiological parameters such as oxygen saturation and pulse rate. In some additional embodiments, the method and device may be used to determine haemoglobin parameter such as percentage of carboxyhemoglobin and methemoglobin. The method and device enables a non- invasive technique of measuring various physiological parameters. The method and system obviates the need of collecting blood samples for determining the
aforementioned haemoglobin parameters. Additionally, the method and device may be used to determined other quantities of interest such as deuterium (for food tracing), carotene (plant consumption), blood-based parameters (pulse oximetry) and bilirubin (liver function). The aforementioned quantities have widespread application in the medical world and can improve the quality of treatment.
[96] It should be understood that the example methods of the present disclosure might be implemented using a variety of technologies. For example, the methods described herein may be implemented by a series of machine executable instructions residing on a suitable computer readable medium. Suitable computer readable media may include volatile (e.g. RAM) and/or non-volatile (e.g. ROM, disk) memory, carrier waves and transmission media. Exemplary carrier waves may take the form of electrical, electromagnetic or optical signals conveying digital data steams along a local network or a publically accessible network such as internet.
[97] It should also be understood that, unless specifically stated otherwise as apparent from the following discussion, it is appreciated that throughout the
description, discussions utilizing terms such as "determining", "obtaining", or
"receiving" or "sending" or "generating" or the like, refer to the action and processes of a computer system, or similar electronic computing device, that processes and transforms data represented as physical (electronic) quantities within the computer system's registers and memories into other data similarly represented as physical quantities within the computer system memories or registers or other such information storage, transmission or display devices.
[98] It will be appreciated by persons skilled in the art that numerous variations and/or modifications may be made to the above-described embodiments, without departing from the broad general scope of the present disclosure. The present embodiments are, therefore, to be considered in all respects as illustrative and not restrictive. References
[l] W. H. Organization, "Global health indicator" in World Health Statistics 2010, Geneva:
World Health Organization, 2010, pp 23-24.
[2] D. A. Levitsky and B. J. Strupp. (1995, Aug.). Malnutrition and the brain: changing concepts, changing concerns. The Journal of nutrition. [Online]. 125(8), pp. 2212S- 2220S. Available: http://wvvi%v.ncbi..nlm.njb..gov/pubmed/7542703
[3] A. E. Carberry, C. H. Raynes-Greenow, R. M. Turner, L. M. Askie, and H. E. Jeffery.
(2013, Dec). Is body fat percentage a better measure of undernutrition in newborns than birth weight percentiles?. Pediatric research. [Online]. 74(6), pp. 730-736. Available:
Figure imgf000033_0001
[4] K. Christensen and R. Kushner. (2007, Apr.) Measuring body fat in the clinical setting.
Obesity and Weight Managment. 3(2), pp. 93-95.
[5] J. Damilakis, J. E. Adams, G. Guglielmi, and T. M. Link. (2010, Jun). Radiation exposure in X-ray-based imaging techniques used in osteoporosis. European radiology. [Online]. 20(1 1), pp. 2707-2714. Available: http://Hnk.springer.eom/a.rlicie/1 0. 1007/sOCCK30
[6] E. Olhager and E. Forsum. (2006, Jan.). Assessment of total body fat using the skinfold technique in full-term and preterm infants. Acta Paediatrica. [Online]. 95(1), pp. 21-28. Available: http://onlinelibrary.wiley.eom/doi/10. l l l l/j .1651-2227.2006.tb02175.x/full
[7] L. C. Ward, L. Poston, K. M. Godfrey, and B. Koletzko. (2013, Aug.) Assessing Early Growth and Adiposity: Report from an EarlyNutrition Academy Workshop. Ann Nutr Metab. 63(1-2), pp. 120-130.
[8] C. P. Hawkes, J. O. B. Hourihane, L. C. Kenny, A. D. Irvine, M. Kiely, and D. M.
Murray. (201 1, Sept.). Gender-and gestational age-specific body fat percentage at birth. Pediatrics. [Online]. 128(3), pp. e645-e651. Available: http://www.ncbi.nlm.nih.gov/pubmed/21824882
[9] Method using concentrator for measuring luminous flux of LED, by M. Liu, X. Zhou, and H. P. Shen. (201 1, Jul. 5). U.S. Patent No. 7,973,917 [Online]. Available: http://www.freepatentsonline.com/7973917.html
[io] S. B. Rohde, "Modeling diffuse reflectance measurements of light scattered by layered tissues," Ph.D. dissertation, Sch. of Natural Sci., California Univ., Merced, U. S, 2014.
[i i] N. Kasa and K. Heinonen. (1993, Jan.). Near-infrared interactance in assessing superficial body fat in exclusively breast-fed, full-term neonates. Acta Peadiatrica. [Online]. 82(1), pp. 1-5. Available: http://www.ncbi.nlm.nih.gov/pubmed/8453201 [12] S. Demarini and M. Donnelly. (1993, Sept.). Near-infrared interactance (NIR): a new non-invasive technique to estimate subcutaneous body fat in newborns. Neonatal intensive care: the journal of perinatology-neonatology. [Online]. 7(5), pp. 28-30. Available: http://www.ncbi.nlm.nih.gov/pubmed/10147455
[13] J. Workman Jr and A. Springsteen, "APPENDIX B" in Applied Spectroscopy: A Compact Reference for Practitioners, Academic Press, San Diego, CA, 1998, pp. 501- 502.
[14] I. V. Meglinski and S. J. Matcher. (2002, Nov.). Quantitative assessment of skin layers absorption and skin reflectance spectra simulation in the visible and near-infrared spectral regions. Physiological measurement. [Online]. 23(4), pp. 741. Available: http://www.ncbi.nlm.nih.gov/pubmed/12450273
[15] A. J. Vogel, "Noninvasive Optical Imaging Techniques as a Quantitative Analysis of Kaposi's Sarcoma Skin Lesions," Ph.D. dissertation, Dept. Biomedical Eng., Maryland Univ., College Park, U.S, 2007.
[16] S. L. Jacques. (2013, Jun). Optical properties of biological tissues: a review. Physics in medicine and biology. [Online]. 58(11), pp. R37. Available: http://www.ncbi.nlm.nih.gov/pubmed/23666068
[17] S. Kapoor, A. Kapoor, R. Bhalla, and I. P. Singh. (1985, May). Parent-offspring correlation for body measurements and subcutaneous fat distribution. Human biology. [Online]. 57(2), pp. 141-150. Available: http://www.ncbi.nlm.nih.gov/pubmed/3997123
[is] J. Y. Lo, J. Q. Brown, S. Dhar, B. Yu, G. M. Palmer, N. M. Jokerst, and N.
Ramanujam, (2013, Apr.). Wavelength optimization for quantitative spectral imaging of breast tumor margins. Public Library of Science. 8(4), e61767.
[19] A. J. Wood, C. H. Raynes-Greenow, A. E. Carberry, and H. E. Jeffery. Neonatal length inaccuracies in clinical practice and related percentile discrepancies detected by a simple length-board, Neonatal length measurement inaccuracies. J Paediatr Child Health. 49(3), pp. 199-203. Mar. 2013.
[20] Near-infrared apparatus and method for determining percent fat in a body, by R. D.
Rosenthal. (1989, Jul. 25). U.S. Patent No. 4,850,365 [Online]. Available: https://www.google.com/patents/US4850365 pi] S. Hartmann, M. Moschall, O. Schafer, F. Stiipmann, U. Timm, D. Klinger, J. Kraitl, and H. Ewald. (2015, Feb.). Phantom of Human Adipose Tissue and Studies of Light Propagation and Light Absorption for Parameterization and Evaluation of Noninvasive Optical Fat Measuring Devices. OP J. 05(02), pp. 33.

Claims

CLAIMS:
1. A method for determining a fat percentage of a body, the method comprising: transmitting infrared energy at a set of wavelengths to the body; determining a set of values indicative of energy reflectances of the infrared energy by the body at the set of wavelengths; determining a set of ratios based on the set of values; and determining the fat percentage of the body based on the set of ratios.
2. The method according to claim 1, wherein the body is a body of an infant, and determining the fat percentage of the body further comprises determining the fat percentage of the body based on gender of the infant.
3. The method according to claim 2, wherein transmitting the infrared energy to the body comprises transmitting the infrared energy to an anterior thigh or a medial thigh of the infant.
4. The method according to any one of the preceding claims, wherein determining the set of values comprises: receiving, through a Cosine corrector, infrared energy at the set of wavelengths reflected by the body; and determining the set of values based on the reflected infrared energy at the set of wavelengths.
5. The method according to any one of preceding claims, the set of wavelengths includes at least two wavelengths between 500nm and 2500nm, and the set of ratios includes at least two ratios.
6. The method according to any one of preceding claims, wherein at least one of the set of values is used in at least two ratios of the set of ratios.
7. The method according to any one of preceding claims, wherein the set of wavelengths includes five different wavelengths, and determining the set of ratios comprises determining three ratios based on five of the set of values indicative of energy reflectances of the infrared energy at the five different wavelengths.
8. The method according to claim 6 or 7, wherein the five different wavelengths include 890nm, 900nm, 920nm, lOlOnm, and 1020nm, and the three ratios include a first ratio of an energy reflectance at the wavelength of 890nm to an energy reflectance at the wavelength of 1020nm, a second ratio of an energy reflectance at the wavelength of 920nm to an energy reflectance at the wavelength of lOlOnm, and a third ratio of an energy reflectance at the wavelength of lOlOnm to an energy reflectance at the wavelength of 900nm.
9. The method according to any one of the preceding claims, wherein transmitting the infrared energy comprises: transmitting the infrared energy to the body at an angle between 30 to 60 degrees to a normal of a surface of the body.
10. The method according to preceding claim 9, wherein the angle is 45 degrees.
11. The method according to claim 4, further comprising positioning the Cosine corrector at an angle of 45 degrees to a normal of a surface of the body.
12. A method for determining a set of wavelengths and a set of wavelength combinations for use in determining a fat percentage of a target body, the method comprising: transmitting infrared energy to a set of reference bodies; receiving infrared energy reflected by the set of reference bodies; determining a set of values indicative of energy reflectances of infrared energy by the set of reference bodies at a set of candidate wavelengths based on the reflected infrared energy; and based on a statistical model that associates a set of reference body fat percentages of the set of reference bodies and a set of ratios, where each of the set of ratios being a ratio of one of the set of values to another one of the set of values, determining a subset of the set of candidate wavelengths to be the set of wavelengths, and determining the set of wavelength combinations, wherein each of the set of wavelength combinations includes a pair of wavelengths in the set of candidate wavelengths and is indicative of a ratio of an energy reflectance of infrared energy by the target body at one of the pair of wavelengths to an energy reflectance of infrared energy by the target body at another one of the pair of wavelengths.
13. The method according to claim 12, wherein transmitting the infrared energy to the set of reference bodies comprises: determining a set of reference wavelengths including at least two wavelengths between 500nm and 2500nm; and transmitting the infrared energy at the set of reference wavelengths to the set of reference bodies.
14. The method according to claim 13, wherein determining the set of values comprises: determining a set of reference values indicative of energy reflectances of the infrared energy by the set of reference bodies at the set of reference wavelengths; determining the set of candidate wavelengths based on the set of reference wavelengths; and determining the set of values based on the set of reference values and the set of candidate wavelengths using liner piecewise interpolation.
15. The method according to claim 14, wherein determining the set of reference values comprises: receiving, through a Cosine corrector, the infrared energy at the set of reference wavelengths reflected by the set of reference bodies; and determining the set of reference values based on the reflected infrared energy at the set of reference wavelengths.
16. The method according to any one of claims 12 to 15, wherein the set of reference bodies and the target body comprise bodies of infants, and the statistical model further comprises gender of the infants.
17. The method according to claim 16, wherein transmitting the infrared energy to the set of reference bodies comprises transmitting the infrared energy to anterior thighs or medial thighs of the infants.
18. The method according to any one of claims 12 to 17, wherein determining the set of wavelengths and the set of wavelength combinations comprises determining the set of wavelengths and the set of wavelength combinations based on a least-square linear regression model.
19. The method according to any one of claims 12 to 18, wherein the set of wavelengths includes five different wavelengths, and the set of wavelength
combinations includes three pairs of wavelengths indicative of three ratios, each ratio representing a ratio of an energy reflectance of infrared energy by the target body at one of the five different wavelengths to an energy reflectance of infrared energy by the target body at another one of the five different wavelengths.
20. The method according to claim 19, wherein the five different wavelengths include 890nm, 900nm, 920nm, lOlOnm, and 1020nm, and the three ratios include a first ratio of an energy reflectance by the target body at the wavelength of 890nm to an energy reflectance by the target body at the wavelength of 1020nm, a second ratio of an energy reflectance by the target body at the wavelength of 920nm to an energy reflectance by the target body at the wavelength of lOlOnm, and a third ratio of an energy reflectance by the target body at the wavelength of lOlOnm to an energy reflectance by the target body at the wavelength of 900nm.
21. The method according to claim 20, further comprising: transmitting infrared energy at the five different wavelengths to the target body; determining five values indicative of energy reflectances of the infrared energy by the target body at the five different wavelengths; determining the three ratios based on the five values and the set of wavelength combinations; and determining the fat percentage of the target body based on the three ratios and the statistical model.
22. The method according to claim 21, wherein determining the five values comprises: receiving, through a Cosine corrector, infrared energy at the five different wavelengths reflected by the target body; and determining the five values based on the reflected infrared energy at the five different wavelengths.
23. A computer software program for determining a fat percentage of a body, including machine-readable instructions, when executed by a processor, causes the processor to send a first message to an energy radiation device to transmit infrared energy at a set of wavelengths to the body; send a second message to an energy receiving device to receive infrared energy at the set of wavelengths reflected by the body; determine a set of values indicative of energy reflectances of infrared energy by the body at the set of wavelengths; determine a set of ratios based on the set of values; and determine the fat percentage of the body based on the set of ratios.
24. A computer software program for determining a set of wavelengths and a set of wavelength combinations for use in determining a fat percentage of a target body, including machine-readable instructions, when executed by a processor, causes the processor to send a first message to the energy radiation device to transmit infrared energy to a set of reference bodies; send a second message to the energy receiving device to receive infrared energy reflected by the set of reference bodies; determine a set of values indicative of energy reflectances of infrared energy by the set of reference bodies at a set of candidate wavelengths based the reflected infrared energy; and based on a statistical model that associates a set of reference body fat percentages of the set of reference bodies and a set of ratios, where each of the set of ratios being a ratio of one of the set of values to another one of the set of values, determine a subset of the set of candidate wavelengths to be the set of wavelengths, and determine the set of wavelength combinations, wherein each of the set of wavelength combinations includes a pair of wavelengths in the set of candidate wavelengths and is indicative of a ratio of an energy reflectance of infrared energy by the target body at one of the pair of wavelengths to an energy reflectance of infrared energy by the target body at another one of the pair of wavelengths.
25. A device for determining a body fat percentage of a body, the device comprising: an energy radiation device; an energy receiving device; and a processor connected to the energy radiation device and the energy receiving device, the processor being configured to send a first message to the energy radiation device to transmit infrared energy at a set of wavelengths to the body; send a second message to the energy receiving device to receive infrared energy at the set of wavelengths reflected by the body; determine a set of values indicative of energy reflectances of infrared energy by the body at the set of wavelengths; determine a set of ratios based on the set of values; and determine the fat percentage of the body based on the set of ratios.
26. The device according to claim 25, wherein the energy receiving device comprises a Cosine corrector to receive the infrared energy reflected by the body.
27. The device according to claim 25 or 26, wherein the energy receiving device comprises a set of filters to receive the infrared energy reflected by the body at the set of wavelengths.
28. The device according to any one of claims 25 to 27, wherein the energy radiation device is able to transmit the infrared energy in a range of wavelengths including the set of wavelengths.
29. The device according to claim 28, wherein the energy radiation device comprises five Light-Emitting Diodes (LEDs) that are able to transmit the infrared energy at five different wavelengths of 890nm, 900nm, 920nm, lOlOnm, and 1020nm, respectively, the set of values indicative of energy reflectances of infrared energy by the body at the five different wavelengths, and the set of the ratios include a first ratio of an energy reflectance at the wavelength of 890nm to an energy reflectance at the wavelength of 1020nm, a second ratio of an energy reflectance at the wavelength of 920nm to an energy reflectance at the wavelength of lOlOnm, and a third ratio of an energy reflectance at the wavelength of lOlOnm to an energy reflectance at the wavelength of 900nm.
30. The device according to any one of claims 25 to 29, the energy radiation device further to transmit the infrared energy to the body at an angle between 30 to 60 degrees to a normal of a surface of the body.
31. The device according to claim 30, wherein the angle is 45 degrees.
32. The device according to claim 30 or 31, wherein the Cosine corrector is positioned at an angle of 45 degrees to a normal of a surface of the body.
33. A device for determining a set of wavelengths and a set of wavelength combinations for use in determining a fat percentage of a target body, the device comprising: an energy radiation device; an energy receiving device; and a processor connected to the energy radiation device and the energy receiving device, the processor being configured to: send a first message to the energy radiation device to transmit infrared energy to a set of reference bodies; send a second message to the energy receiving device to receive infrared energy reflected by the set of reference bodies; determine a set of values indicative of energy reflectances of infrared energy by the set of reference bodies at a set of candidate wavelengths based the reflected infrared energy; and based on a statistical model that associates a set of reference body fat percentages of the set of reference bodies and a set of ratios, where each of the set of ratios being a ratio of one of the set of values to another one of the set of values, determine a subset of the set of candidate wavelengths to be the set of wavelengths, and determine the set of wavelength combinations, wherein each of the set of wavelength combinations includes a pair of wavelengths in the set of candidate wavelengths and is indicative of a ratio of an energy reflectance of infrared energy by the target body at one of the pair of wavelengths to an energy reflectance of infrared energy by the target body at another one of the pair of wavelengths.
34. The device according to claim 33, wherein the energy receiving device comprises a Cosine corrector to receive the infrared energy reflected by the set of reference bodies.
35. The device according to claim 33 or 34, wherein the set of wavelengths includes five different wavelengths of 890nm, 900nm, 920nm, lOlOnm, and 1020nm, and the set of wavelength combinations includes three pairs of wavelengths indicative of three ratios, wherein the three ratios include a first ratio of an energy reflectance by the target body at the wavelength of 890nm to an energy reflectance by the target body at the wavelength of 1020nm, a second ratio of an energy reflectance by the target body at the wavelength of 920nm to an energy reflectance by the target body at the wavelength of lOlOnm, and a third ratio of an energy reflectance by the target body at the wavelength of lOlOnm to an energy reflectance by the target body at the wavelength of 900nm.
PCT/AU2017/0505182016-05-312017-05-31Determining body fat using infrared energyCeasedWO2017205918A1 (en)

Applications Claiming Priority (2)

Application NumberPriority DateFiling DateTitle
AU2016902080AAU2016902080A0 (en)2016-05-31Determining body fat using infrared
AU20169020802016-05-31

Publications (1)

Publication NumberPublication Date
WO2017205918A1true WO2017205918A1 (en)2017-12-07

Family

ID=60478341

Family Applications (1)

Application NumberTitlePriority DateFiling Date
PCT/AU2017/050518CeasedWO2017205918A1 (en)2016-05-312017-05-31Determining body fat using infrared energy

Country Status (1)

CountryLink
WO (1)WO2017205918A1 (en)

Citations (4)

* Cited by examiner, † Cited by third party
Publication numberPriority datePublication dateAssigneeTitle
US4633087A (en)*1985-04-241986-12-30Trebor Industries, Inc.Near infrared apparatus for measurement of organic constituents of material
US20070052967A1 (en)*1991-03-012007-03-08Stark Edward WMethod and apparatus for optical interactance and transmittance measurements
US20110178408A1 (en)*2010-01-192011-07-21Futrex, Inc.Accurate Low-Cost Non-Invasive Body Fat Measurement
WO2014204675A1 (en)*2013-06-182014-12-24Lawrence Livermore National Security, LlcImaging system and method for enhanced visualization of near surface vascular structures

Patent Citations (4)

* Cited by examiner, † Cited by third party
Publication numberPriority datePublication dateAssigneeTitle
US4633087A (en)*1985-04-241986-12-30Trebor Industries, Inc.Near infrared apparatus for measurement of organic constituents of material
US20070052967A1 (en)*1991-03-012007-03-08Stark Edward WMethod and apparatus for optical interactance and transmittance measurements
US20110178408A1 (en)*2010-01-192011-07-21Futrex, Inc.Accurate Low-Cost Non-Invasive Body Fat Measurement
WO2014204675A1 (en)*2013-06-182014-12-24Lawrence Livermore National Security, LlcImaging system and method for enhanced visualization of near surface vascular structures

Non-Patent Citations (4)

* Cited by examiner, † Cited by third party
Title
CONWAY, J. ET AL.: "A new approach for the estimation of body composition: infrared interactance", THE AMERICAN JOURNAL OF CLINICAL NUTRITION, vol. 40, no. 6, 1984, pages 1123 - 1130, XP000904476*
FULLER, N. ET AL.: "The potential of near infra-red interactance for predicting body composition in children", EUROPEAN JOURNAL OF CLINICAL NUTRITION, vol. 55, no. 11, 2001, pages 967 - 972, XP008083508*
KASA, N. ET AL.: "Near-infrared interactance in assessing superficial body fat in exclusively breast-fed, full-term neonates", ACTA PÆDIATRICA, vol. 82, no. 1, 1993, pages 1 - 5, XP055443656*
MCEWAN, A. ET AL.: "Low-cost near-infrared measurement of subcutaneous fat for newborn malnutrition", PROCEEDINGS OF SPIE 9060, NANOSENSORS, BIOSENSORS, AND INFO- TECH SENSORS AND SYSTEMS, 2014, pages 90600A-1 - 90600A-8, XP060029898*

Similar Documents

PublicationPublication DateTitle
US8357090B2 (en)Method and apparatus for estimating water reserves
JP3566277B1 (en) Blood glucose meter
JP3566276B1 (en) Blood glucose meter
Jensky-Squires et al.Validity and reliability of body composition analysers in children and adults
EP1875128B1 (en)Systems and methods for correcting optical reflectance measurements
US7343185B2 (en)Measurement of body compounds
US8180419B2 (en)Tissue hydration estimation by spectral absorption bandwidth measurement
TWI324686B (en)Noninvasive measurement of glucose through the optical properties of tissue
US8175665B2 (en)Method and apparatus for spectroscopic tissue analyte measurement
JP5966135B2 (en) Optical measuring device
US8406839B2 (en)Method and apparatus for determining blood analytes
EP3145398B1 (en)Device and method for noninvasively determining the hematocrit value of a subject
JP2005230124A (en) Blood glucose level measuring device
JPH07503863A (en) Non-invasive device and method for determining the concentration of various components of blood or tissue
US20070287897A1 (en)Optical Vascular Function Imaging System and Method for Detection and Diagnosis of Cancerous Tumors
Izzetoglu et al.Evaluation of cerebral tissue oximeters using multilayered dynamic head models
Gridneva et al.Bioimpedance spectroscopy in the infant: Effect of milk intake and extracellular fluid reservoirs on resistance measurements in term breastfed infants
CN115736913A (en)Noninvasive blood glucose detection method and system
US20210228086A1 (en)Non invasive screening system for neonatal hyperbilirubinemia
WO2017205918A1 (en)Determining body fat using infrared energy
CN113261953B (en)Multispectral surface diagnosis measuring method
Mustafa et al.Length-free near infrared measurement of newborn malnutrition
Niculescu et al.Effects of epidermal pigmentation on the accuracy of hyperspectral versus commercial near-infrared spectroscopy tissue oximeters
Miller et al.Near-infrared spectroscopy to monitor nutritional status of neonates: a review
WO2025005895A1 (en)Non-invasive glucose monitoring device

Legal Events

DateCodeTitleDescription
121Ep: the epo has been informed by wipo that ep was designated in this application

Ref document number:17805398

Country of ref document:EP

Kind code of ref document:A1

NENPNon-entry into the national phase

Ref country code:DE

122Ep: pct application non-entry in european phase

Ref document number:17805398

Country of ref document:EP

Kind code of ref document:A1


[8]ページ先頭

©2009-2025 Movatter.jp