Movatterモバイル変換


[0]ホーム

URL:


WO2017165661A1 - Signal processing for precise identification and separation of artifact and a signal of interest in a longitudinal signal - Google Patents

Signal processing for precise identification and separation of artifact and a signal of interest in a longitudinal signal
Download PDF

Info

Publication number
WO2017165661A1
WO2017165661A1PCT/US2017/023837US2017023837WWO2017165661A1WO 2017165661 A1WO2017165661 A1WO 2017165661A1US 2017023837 WUS2017023837 WUS 2017023837WWO 2017165661 A1WO2017165661 A1WO 2017165661A1
Authority
WO
WIPO (PCT)
Prior art keywords
signal
artifact
interest
longitudinal
dictionary
Prior art date
Legal status (The legal status is an assumption and is not a legal conclusion. Google has not performed a legal analysis and makes no representation as to the accuracy of the status listed.)
Ceased
Application number
PCT/US2017/023837
Other languages
French (fr)
Inventor
Elizabeth B. KLERMAN
Manish Gupta
Scott A. BECKETT
Madalena D. Costa
Ary L. Goldberger
Current Assignee (The listed assignees may be inaccurate. Google has not performed a legal analysis and makes no representation or warranty as to the accuracy of the list.)
Brigham and Womens Hospital Inc
Original Assignee
Brigham and Womens Hospital Inc
Priority date (The priority date is an assumption and is not a legal conclusion. Google has not performed a legal analysis and makes no representation as to the accuracy of the date listed.)
Filing date
Publication date
Application filed by Brigham and Womens Hospital IncfiledCriticalBrigham and Womens Hospital Inc
Publication of WO2017165661A1publicationCriticalpatent/WO2017165661A1/en
Anticipated expirationlegal-statusCritical
Ceasedlegal-statusCriticalCurrent

Links

Classifications

Definitions

Landscapes

Abstract

Systems and methods for precise identification and separation of artifact and a signal of interest in a longitudinal signal (e.g., a biological signal) are described herein. The artifact can be separated from the signal of interest (or vice versa) by constructing an analytic dictionary (e.g., a skewed or non-skewed Gaussian dictionary); and performing a structured sparse recovery of the artifact using the analytic dictionary. This precise separation ensures that the artifact can be separated from the signal of interest without data loss, thereby preserving the integrity of both the artifact and the signal of interest.

Description

SIGNAL PROCESSING FOR PRECISE IDENTIFICATION AND SEPARATION OF
ARTIFACT AND A SIGNAL OF INTEREST IN A LONGITUDINAL SIGNAL
Government Funding
[0001] This work was supported, at least in part, by grant numbers K24- HL105664 and T32-HL007901 from the National Institutes of Health (NIH). The United States government may have certain rights in this invention.
Related Applications
[0002] This application claims the benefit of U.S. Provisional Application No. 62/312,269, filed March 23, 2016, entitled "Systems and Methods of EEG Signal Processing," the entirety of which is hereby incorporated by reference for all purposes.
Technical Field
[0003] The present disclosure relates generally to signal processing and, more specifically, to systems and methods for precise identification and separation of artifact from a signal of interest (or vice versa) in a longitudinal signal.
Background
[0004] Longitudinal signals, such as biological recordings, frequently contain both a signal of primary interest and one or more additional signals that appear to be an artifact contaminating the signal of primary interest. For example, a waking electroencephalogram (EEG) may be contaminated by one or more secondary signals reflecting eye blink or other movements during recording. While the artifact signal can pose a major limitation to the originally intended use of the signal of primary interest, the artifact itself may contain additional relevant information that cannot be readily inferred from the signal of primary interest. In this example, the waking EEG can be a physiological marker of vigilance, while the secondary signals representing the artifact may provide additional information relevant to vigilance or another condition. Accordingly, precise identification and removal of the artifact from the signal of interest (and vice versa), including preserving the integrity of both signals, is of paramount importance. However, such precise removal of the artifact from the signal of interest is not feasible through traditional techniques, such as filtering.
Summary
[0005] The present disclosure relates generally to signal processing.
Longitudinal signals, such as biological signals, often include a signal of interest contaminated with an artifact. An advanced signal processing technique is needed for online, real-time, and precise identification and separation of the signal of interest from the artifact (and vice versa), while preserving the integrity of both signals; this technique should preserve subtle, but possibly important, information in both the signal of interest and the artifact. One such advanced signal processing technique is the correlated sparse recovery (CSR) algorithm for structured sparse recovery from a constructed analytic dictionary employed by the systems and methods described herein for precise identification and separation of artifact from the signal of interest (and vice versa) in the longitudinal signal.
[0006] One aspect includes a method for precise identification and separation of artifact from a signal of interest in a longitudinal signal. The method can be implemented by a system comprising a processor and a mechanism for display {e.g., a graphical user interface). The method includes receiving the longitudinal signal being recorded. The longitudinal signal includes the signal of interest and the artifact. The method also includes processing the longitudinal signal to identify and separate the artifact from the signal of interest (or vice versa) in a precise manner that preserves the signal of interest and the artifact as the longitudinal signal is received. In other instances, the signal can be processed at a later time. The artifact and signal of interest are separated based on an algorithm that includes constructing an analytic dictionary and performing a structured sparse recovery of the artifact using the analytic dictionary. After the identification and separation, the signal of interest and/or the artifact can be displayed {e.g., on the GUI).
[0007] Another aspect includes a system that identifies and separates an artifact from a signal of interest in a longitudinal signal in a precise manner. The system includes a data collection unit, a computing device, and a display device. The data collection device is used to collect a longitudinal signal that includes the signal of interest and the artifact. The computing device can include a non-transitory memory storing computer-executable instructions and a processor to execute the computer-executable instructions. Upon execution, the computing device receives the longitudinal signal from the data collection unit; and processes the longitudinal signal to separate the artifact and the signal of interest in a precise manner that preserves the signal of interest and the artifact as the longitudinal signal is received. In other instances, the signal can be processed at a later time. The artifact is identified and separated from the signal of interest (or the signal of interest is separated from the artifact) based on an algorithm that includes constructing an analytic dictionary after identification; and performing a structured sparse recovery of the artifact or the signal of interest using the analytic dictionary. The display device can provide a visualization of at least one of the signal of interest and the artifact.
Brief Description of the Drawings
[0008] The foregoing and other features of the present disclosure will become apparent to those skilled in the art to which the present disclosure relates upon reading the following description with reference to the accompanying drawings, in which: [0009] FIG. 1 is a block diagram showing a system that can perform precise identification and separation of artifact from a signal of interest in a longitudinal signal in accordance with an aspect of the present disclosure;
[0010] FIG. 2 is a block diagram of an example of a data collection unit that can be part of the system shown in FIG. 1 ;
[0011] FIG. 3 is a block diagram of an example of a computing device that can be part of the system shown in FIG. 1 ;
[0012] FIGS. 4 and 5 show example implementations of the system shown in FIG. 1 ;
[0013] FIG. 6 a process flow diagram showing a method for precise
identification and separation of artifact from a signal of interest in a longitudinal signal in accordance with a further aspect of the present disclosure
[0014] FIG. 7 is a process flow diagram showing an example of a method for signal processing to accomplish the precise identification and separation of the artifact from the signal of interest;
[0015] FIG. 8 is a plot showing a comparison of artifact signal recovery in a simulated EEG signal using sparse Bayesian learning (SBL) and correlated sparse recovery (CSR) with R = R1 and λ = 0.75;
[0016] FIG. 9 shows sample blink shapes showing variability across epochs, amplitudes normalized and each two second (2s) in duration;
[0017] FIG. 10 shows variability across recording channels;
[0018] FIG. 1 1 shows validation of dictionary atoms by fitting atom combinations to real blink EEG signals, with each epoch 2 s in duration;
[0019] FIG. 12 shows sample atoms in the constructed blink dictionary, each atom representing a signal epoch 2 s long, on average 3 atoms are required to match each blink; [0020] FIG. 13 shows a snapshot of multi-channel recording with original and reconstructed after blink artifact identification and elimination using CSR;
[0021] FIG. 14 shows a comparison of CSR, orthogonal matching pursuit (OMP), joint matching pursuit (JMP), and independent component analysis (ICA) algorithms for artifacts with single epoch showing varying overfitting of extracted artifact and loss of useful EEG after reconstruction;
[0022] FIG. 15 shows a spectral distortion across all epochs in a single recording after reconstruction;
[0023] FIG. 16 shows the multi-scale entropy after identification and elimination of artifacts and reconstruction of EEG across all epochs in a single recording, showing that CSR preserves signal complexity; and
[0024] FIG. 17 shows the clustering of epochs into ones with and without blinks using estimated sparse coefficients.
Detailed Description
I. Definitions
[0025] Unless otherwise defined, all technical terms used herein have the same meaning as commonly understood by one of ordinary skill in the art to which the present disclosure pertains.
[0026] In the context of the present disclosure, the singular forms "a," "an" and "the" can also include the plural forms, unless the context clearly indicates otherwise.
[0027] As used herein, the terms "comprises" and/or "comprising" can specify the presence of stated features, steps, operations, elements, and/or components, but do not preclude the presence or addition of one or more other features, steps, operations, elements, components, and/or groups. [0028] As used herein, the term "and/or" can include any and all combinations of one or more of the associated listed items.
[0029] Although the terms "first," "second," etc. may be used herein to describe various elements, these elements should not be limited by these terms. These terms are only used to distinguish one element from another. Thus, a "first" element discussed below could also be termed a "second" element without departing from the teachings of the present disclosure. The sequence of operations (or acts/steps) is not limited to the order presented in the claims or figures unless specifically indicated otherwise.
[0030] As used herein, the term "longitudinal signal" can refer to a signal that depends on time. The longitudinal signal can include a mixture of at least one signal of interest and at least one artifact. One example of a longitudinal signal is a biological signal. Another example of a longitudinal signal is a non-biological signal, such as a non-stationary financial time series.
[0031] As used herein, the terms "signal of interest" and "signal of primary interest" can be used interchangeably to refer to a portion of the longitudinal signal that is intended to be recorded.
[0032] As used herein, the terms "artifact" and "secondary signal" can be used interchangeably to refer to one or more portions of the longitudinal signal that are secondary to the primary objective of the recording. In some instances, there may be a single type artifact, but in other instances there may be two or more types of artifact. The artifact can corrupt the signal of interest. The artifact can contain biologically important information and/or relevant information.
[0033] As used herein, the term "biological signal" can refer to a longitudinal signal that is generated by one of various physiological processes in a patient's body. Example biological signals include neural signals, cardiac signals, respiratory signals, or the like. More specific examples include multi-channel polysomnographic signals {e.g., electroencephalogram (EEG), electrooculogram (EOG), electromyogram (EMG), electrocardiogram (ECG), etc.), photoplethysmography signals (PPG), non-invasive or invasive blood pressure signals (BP), and the like.
[0034] As used herein, the term "separation" can refer to the identification and extraction of artifacts from the signal of interest in the longitudinal signal or vice versa. Unless noted otherwise, a separation refers to a precise separation.
[0035] As used herein, the term "precise" when used to modify identification and/or separation can refer to extraction of the artifact from the signal of interest (or vice versa) while preserving the integrity of both signals.
[0036] As used herein, the term "real time" can refer to data processing that provides feedback related to the data it is available immediately or almost immediately {e.g., within milliseconds).
[0037] As used herein, the term "automated" can refer to a process that operates by itself with little to no direct human control. In some instances, an automated process can operate with no direct human control other than an initial input {e.g., initializing the recording of the longitudinal signal).
[0038] As used herein, the term "online" can refer to signal processing of a longitudinal signal acquired via a recording device.
[0039] As used herein, the term "sparse" can refer to a matrix in which most of the elements are zero.
[0040] As used herein, the term "recording channel" can refer to a circuit or set of equipment that interfaces with a recording device (such as an electrode) and a computing device to facilitate recording a portion of the longitudinal signal.
[0041] As used herein, the term "patient" can refer to any warm-blooded organism including, but not limited to, a human being, a pig, a rat, a mouse, a dog, a cat, a goat, a sheep, a horse, a monkey, an ape, a rabbit, a cow, etc. The terms "patient" and "subject" can be used interchangeably herein. II. Overview
[0042] The present disclosure relates generally to signal processing and the removal of artifacts from longitudinal signals. Artifacts pose a major limitation for analysis of the signal of interest within the longitudinal signal. However, traditional signal processing methods cannot remove the artifact in a precise manner in real time or on large data sets. Furthermore, an artifact may in itself contain relevant information that is often lost with traditional filtering and other data clearing methods. Therefore, a need exists for an advanced signal processing technique for real time and precise identification and separation of artifact from the signal of interest (or vice versa) that preserves subtle, but possibly important, information in both the signal of interest and the artifact. Accordingly, the present disclosure relates, more
specifically, to systems and methods for precise separation of artifact from a signal of interest in a longitudinal signal. This precise separation ensures that an artifact can be separated from the signal of interest without data loss, thereby preserving the integrity of both the artifact and the signal of interest.
[0043] Using the systems and methods described herein, artifact (either structured or unstructured) can be identified and separated from the signal of interest (or vice versa) according to a separation algorithm, even when components of the artifact resemble that of the signal of interest. The separation algorithm has a computational simplicity that enables the algorithm to be used, for example, in a real time monitoring or diagnostic system. In its simplest form, the algorithm completes the separation of the artifact from the signal of interest (or vice versa) by constructing an analytic dictionary {e.g., a skewed or non-skewed Gaussian dictionary) and performing a structured sparse recovery of the artifact or the signal of interest using the analytic dictionary. The structured sparse recovery is also based on a priori knowledge of temporal and/or spatial statistical properties of artifact and the signal of interest, which can help to separate the artifact and the signal of interest (or vice versa).
[0044] The separation algorithm is designed with the goal of computational simplicity, and can be used to build real-time monitoring and diagnostic system and for future research applications. In some instances, the longitudinal signal can be a biological signal, such as a multi-channel polysomnographic signals, due to electroencephalogram (EEG), electrooculogram (EOG), electromyogram (EMG), electrocardiogram (ECG), etc., a photoplethysmography signal (PPG), a blood pressure signal (BP) (either non-invasive or invasive), or the like. As an example, the systems and methods described herein can be used for identification and separation of eye blink signals from a cortical EEG recording. While the cortical EEG signals of interest can be used for real-time attentiveness monitoring in driving or safety-sensitive situations, the eye blink artifact and/or features of the artifact can be used for diagnosis and monitoring of neurological conditions affecting the eye, for additional information regarding attentiveness, to characterize emotional states, which helps animators design eye-blinks, or for human-computer interfaces. In another example, the systems and methods described herein can be used to identify and separate maternal ECG signals from fetal ECG signals. The recovery of the fetal ECG signals can allow more accurate and inexpensive non-invasive continuous real time monitoring of fetal ECG. In a further example the systems and methods described herein can be used to identify PPG signals from a noisy measurement; the PPG signals can be used to diagnose and/or monitor sleep apnea. In still another example, the systems and methods described herein can be used for identification of a blood pressure waveform {e.g., systolic pressure, diastolic pressure, and/or diachrotic notch) in continuously recorded arterial blood pressure, such as those obtained from transducers within fluid-filled catheters within a vein or an artery, which can be used for predicting morbidity and mortality in ICU patients.
III. Systems
[0045] As shown in FIG. 1 , one aspect of the present disclosure can include a system 10 that can facilitate the precise identification and separation of artifacts from signals of interest (or vice versa) in longitudinal signals. The precise separation is accomplished so that the signal of interest and the artifact are each preserved through the separation. The longitudinal signal can be a biological signal {e.g., multichannel polysomnographic signals {e.g., electroencephalogram (EEG),
electrooculogram (EOG), electromyogram (EMG), electrocardiogram (ECG), etc.) or cardiac signals (e.g., photoplethysmography signals (PPG), blood pressure signals (BP), etc.)), or non-biological signals {e.g., non-stationary financial time series signals).
[0046] The system 1 0 can include a data collection unit 1 2, a computing device 14, and a display device 1 6. The data collection unit 12 can collect the longitudinal signal and supply the collected longitudinal signal to the computing device 14. For example, the data collection unit 1 2 can supply the collected longitudinal signal to the computing device in real time. The computing device 14 can process the longitudinal signal to separate the artifact from the signal of interest (or vice versa) in a precise manner, so that no features of either the artifact or the signal of interest are lost or discarded. The computing device 14 can employ the correlated sparse recovery (CSR) algorithm to complete the precise separation. The display device 1 6 can provide a visualization related to the signal of interest and/or the artifact. In some instances, the visualization can be accompanied by an audio, tactile, visual, and/or other type of alarm that is triggered when a predefined characteristic of the signal of interest and/or the artifact exceeds a threshold value. The threshold value can be set based on the signal of interest and/or the artifact being measured.
[0047] An example of the data collection unit 12 is shown in FIG. 2. The data collection unit 1 2 can include one or more recording channels, which interface with one or more recording devices. For example, the one or more recording devices can include various types of sensors or electrodes, depending on the application. Any number of recording devices may be used, but a practical limitation arises with the real time online data collection described herein. In many such applications, the number of recording devices can be between 1 and 1 0 for simplicity in mobile applications. However, in some instances, the number of recording devices can be between 1 and 1 28. In other instances, between 4 and 6 recording devices can be used in certain mobile applications for specific biological applications. In FIG. 2, four recording devices (RD) 22 are shown. If a biological signal is being recorded, the recording devices (RD) 22 can be distributed in locations on or within a patient's body. [0048] Each of the recording devices (RD) 22 sends the data it has recorded to a specific recording channel (RC) 24. In some instances, each recording device (RD) 22 can be wired to a specific recording channel (RC) 24. In other instances, the recording devices (RD) 22 can transmit the data to specific recording channels (RC) 24 over a wireless connection. The recording channels (RC) 24 can provide an interface between the recording devices (RD) 22 and the computing device 14. The recording channels (RC) 24 can be coupled to the computing device 14. In some instances, at least part of the recording channels (RC) can be located (as hardware, firmware, and/or software) within the computing device 14. Additionally, the recording channels (RC) 24 can facilitate analog-to-digital conversion of the analog signals recorded by the recording devices (RD) 22 to digital signals analyzed and/or processed by the computing device 14.
[0049] An example of the computing device 14 is shown in FIG. 3. The computing device 14 receives the input longitudinal signal from the recording channels at I/O 37. Output is created by the visualization component 38, which interfaces with a display device. The visualization component 38 can also provide additional output characteristics, such as an alarm or other feature that alerts an observer of a certain condition. In some instances, when the longitudinal signal is a biological signal, the separated signal of interest and/or the artifact can contribute to a real time medical diagnostic operation facilitated by the visualization component. In other instances, when the longitudinal signal is a biological signal, a property {e.g., a monitored property, a diagnostic indicator, a research tool, or the like) of a patient can be inferred by the visualization component 38 based on the separated signal of interest and/or artifact.
[0050] The computing device 14 can be a desktop computing device, a laptop computing device, a tablet computing device, or a smartphone computing device, for example. In any configuration, the computing device 14 can include a memory 32 storing computer-executable instructions and a processor 36 to execute the instructions to facilitate the performance of operations of the computing device 14.
The operations can include signal processing tasks to complete the precise identification and separation of the artifact (which can be either structured or unstructured) from the signal of interest in the longitudinal signal. Notably, the artifact can be identified and separated from the signal of interest (or vice versa) even when one or more components of the artifact resemble the signal of interest.
[0051] The operations can employ the CSR algorithm to perform the identification and separation. An example of the CSR algorithm is shown and derived in the experimental section below. In its simplest form, the instructions can include constructing an analytic dictionary 34 and performing a structured sparse recovery 35 to separate the signals. The memory also stores the analytic dictionary 33. For example, the analytic dictionary can be a skewed Gaussian sparse dictionary or a non-skewed Gaussian sparse dictionary, depending on the type of longitudinal signal being separated. The structured sparse recovery can make use of temporal and/or spatial relationships in the data. For example, these temporal and/or spatial relationships can be modeled as a statistical structure defined by a priori knowledge of the temporal and/or spatial properties of the longitudinal signal, the signal of interest, and/or the artifact. In some instances, the knowledge can include or be based on statistical correlations in a Bayesian interference setting. In some instances, the analytic dictionary can perform Bayesian learning so that the identification and separation becomes even more accurate.
[0052] FIGS. 4 and 5 illustrate practical examples of uses of the system 10 of FIG. 1 in biological environments. The examples shown in FIGS .4 and 5 are just that - examples. Alternative practical uses of the system 10 of FIG. 1 will be understood and appreciated by a person having ordinary skill in the art. FIG. 4 shows an example 40 of an attention test. FIG. 5 shows an example 50 of a fetal heart monitor. Both examples 40 and 50 are real time, online solutions that require precise identification and separation of artifact from the signal of interest. In either example 40, 50, the computing device 14 can be a mobile computing device or a stationary computing device associated with the patient. However, the information displayed on the display device 16 (and, in some instances, one or more of the separated signals) can be sent to a remote monitoring center [0053] The example 40 in FIG. 4 can be used for attentiveness monitoring in driving or safety sensitive situations {e.g., wakefulness of employees performing long shifts). The data collection unit 12 can include a plurality of electrodes intended to record a cortical EEG of the patient. However, the electrodes also detect disruptive eye-blink signals, which are an artifact to the EEG recording. The computing device 14 performs signal processing for on-line and real time (or later, in some instances) identification and separation of the eye-blink artifact signals from the EEG recording. However, the eye-blink signal may have characteristics that are also useful in the attentiveness monitoring. Additionally, the eye blink artifact and/or features of the eye blink artifact can be used for diagnosis and monitoring of neurological conditions affecting the eye, to characterize emotional states helping animators design eye- blinks, or for human-computer interfaces. The identification and separation of the artifact from the signal of interest should preserve both the artifact and the signal of interest. The display device 16 displays a visualization of regarding whether the patient is attentive. The visualization can also include an audio, tactile, or visual alarm when the patient is not attentive.
[0054] In another example 50, shown in FIG. 5, a band wrapped around a pregnant woman's belly equipped with ECG electrodes can monitor fetal heart rate. The signal of interest is the fetal heart rate. However, maternal ECG signals can also be detected. The maternal ECG signals are regarded as an artifact to the fetal heart rate signal. However, the maternal ECG signals are much stronger than the fetal ECG signals. Accordingly, the maternal ECG artifact should be precisely identified and separated from the fetal ECG signals. Recovering the fetal ECG signals in this manner can allow for more accurate and inexpensive non-invasive continuous real time monitoring of the fetal heart rate.
IV. Methods
[0055] Another aspect of the present disclosure can include methods for precise identification and separation of artifact from a signal of interest in a longitudinal signal. An example of a method 60 that can be used to perform the precise identification and separation is shown in FIG. 6. FIG. 7 illustrates an example of a method 70 for signal processing to accomplish the precise identification and separation of the artifact from the signal of interest, which can be used in the method 60. Methods 60 and 70 can be executed by one or more hardware components, such as the computing device 14 of the system 10 of FIG. 1 , for example, which receives the longitudinal signal from the data collection unit 12 and displays a visualization related to the signal of interest and/or the artifact via display device 16.
[0056] The methods 60 and 70 of FIGS. 6 and 7, respectively, are illustrated as process flow diagrams with flowchart illustrations. For purposes of simplicity, the methods 60 and 70 are shown and described as being executed serially; however, it is to be understood and appreciated that the present disclosure is not limited by the illustrated order as some steps could occur in different orders and/or concurrently with other steps shown and described herein. Moreover, not all illustrated aspects may be required to implement the methods 60 and 70.
[0057] Referring to FIG. 6, an aspect of the present disclosure can include a method 60 for precise identification and separation of artifact from a signal of interest in a longitudinal signal. In some instances, the longitudinal signal can be a biological signal, such as a neurological signal or a cardiac signal. However, the longitudinal signal may be non-biological in other instances. The method 60 can be
accomplished by the computing device 14 shown in FIGS. 1 and 3.
[0058] At 62, the longitudinal signal can be received. The longitudinal signal can include at least one artifact that contaminates a signal of interest. In some instances, the longitudinal signal can be received in real time as the longitudinal signal is being recorded. For example, one or more recording devices can record the longitudinal signal and, in some instances, correspond to one or more recording channels. The recording channels, in some instances, can be equipped with analog- to-digital converting capability to enable further processing. In some instances, the longitudinal signal can be a biological signal, such as a multi-channel
polysomnographic signal and/or a cardiac signal.
[0059] At 64, the longitudinal signal can be processed to identify and separate the artifact from the signal of interest in a precise manner. The precise identification and separation can ensure that important features of the signal of interest and the artifact are preserved. The processing can be on line and in real time or can occur at a later time. In some instances, when the longitudinal signal is a biological signal, the identified and separated signal of interest and/or the artifact can contribute to a real time medical diagnostic operation. In other instances, when the longitudinal signal is a biological signal, a property {e.g., a monitored property, a diagnostic indicator, a research tool, or the like) of a patient can be inferred based on the identified and separated signal of interest and/or the artifact.
[0060] At 66, a visualization can be created and/or displayed that is related to at least one of the signal of interest and the artifact. In some instances, the
visualization can be accompanied by an audio, tactile, visual, and/or other type of alarm that is triggered when a predefined characteristic of the signal of interest and/or the artifact exceeds a threshold value. As an example, in an attentiveness test, when a number of blinks (or other inferred property) exceeds a threshold value {e.g., 5 blinks in 20 seconds or another value set by an administrator of the test) the alarm can go off, alerting of the lack of attentiveness.
[0061] FIG. 7 illustrates an example of a method 70 for signal processing to accomplish the precise identification and separation of the artifact (which can be either structured or unstructured) from the signal of interest {e.g., in element 64 of method 60, shown in FIG. 6). The artifact can be identified and separated from the signal of interest even when one or more components of the artifact resemble the signal of interest. The method 70 can employ correlated sparse recovery (CSR), an example of which is derived and described in the experimental section below. In its simplest form, at 62, an analytic dictionary can be constructed {e.g., as a skewed or non-skewed Gaussian sparse dictionary); and at 64, a structured sparse recovery of the artifact can be performed using the analytic dictionary. The structured sparse recovery can make use of temporal and/or spatial relationships in the data. For example, these temporal and/or spatial relationships can be modeled as a statistical structure defined by a priori knowledge of the temporal and/or spatial properties of the longitudinal signal, the signal of interest, and/or the artifact. In some instances, the knowledge can include or be based on statistical correlations in a Bayesian interference setting. In some instances, the analytic dictionary can perform Bayesian learning so that the identification and separation becomes even more accurate.
Experimental
[0062] The following example is shown for the purpose of illustration only and is not intended to limit the scope of the appended claims. This example illustrates the precise, online, automated identification and separation of eye movement artifact {e.g., due to one or more eye blinks) from EEG recordings using the Correlated Sparse Recovery (CSR) algorithm. In this example, 2 second epochs are used, but the results can be extended for full signals.
Correlated Sparse Recovery Algorithm
Bayesian Model
[0063] Usin the paradigm of compressed sendin ; given the measurement vector
Figure imgf000017_0001
, source vector '* can be recovered that is sparse in a known dictionary matrix
Figure imgf000017_0002
, where is an unknown noise vector: y X where x represents a structured artifact, such as an eye blink, that will be recovered and eliminated from the ambient EEG signal, y. Typically, H is overcomplete, in that
M » N and that the sparsity The sparse recovery problem is:
Figure imgf000017_0003
where λ is a scalar that controls the relative importance applied to the Euclidian error and sparseness terms, and choices of P = 0,1 are used. From a Bayesian
perspective, the prior belief is that x is sparse in the basis H and the objective is to provide a posterior belief for the coefficients x given the measured data y. A widely used "sparsity promoting" prior on x is the Laplacian prior, x ~ exp(-| |x| |-i) so that with ε ~ N(0, O2IN) (the notation denotes a Normal distribution with mean μ and
Figure imgf000018_0001
variance∑, andi '*~ is the identity matrix), the1 sparse recovery problem for P = 1 is exactly equivalent to the MAP estimation of x from the posterior density p(x|y) with λ = 2σ2. In order to carry out Bayesian inference in closed form, a parametrized form of the prior is used instead as in the Sparse
Bayesian Learning (SBL) algorithm.
[0064] Motivated by the problem of artifacts, the following model of structured sparsity is used. A prior on the coefficients x ~ N(0, C) is assumed with the
€ ΐ> x Jk
symmetric covariance matrix (with C > 0) having the decomposition
C = ARA,
? (2 m K M
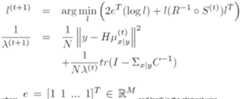
whereL 1 ^~ is the correlation matrix and Λ = diag( -i , ... M), λι< being the standard deviation of component k. This so-called separation strategy, allows the expression of the prior beliefs about the temporal dependence between the sparse components of x via the correlation matrix R and Λ is estimated from the data. As in other sparse Bayesian models, if x is sparse, then most λ, are close to zero. In the algorithm below, it is assumed that R is known a priori. The problem of sparse recovery then becomes a problem of estimating the parameters σ2, Λ from the given data y for which Expectation-Maximization (E-M), as described below, is used.
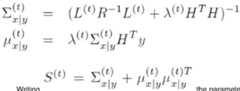
E-M Based Algorithm [0065] By treating x as a hidden variable, applying the E-M algorithm to estimate σ2, Λ gives the following algorithm. For notation convenience, λ = 1 /σ2, L = Λ"1 and I = diag(L). At iteration step t, the posterior density is estimated as
[0066]
Figure imgf000019_0001
Writing the parameters I (t) and λ(ί) are then estimated as
Figure imgf000019_0002
whereL J and log(l) is the element wise logarithm of the vector I and ^ denotes the Shur matrix product. The algorithm iterates the estimates until convergence is reached.
[0067] The minimization step can be done using gradient descent, since the gradient of the function f above to be minimized can be computed as W = Λαο(-2£(*)-1 + 2S(t)L(t) R-1 ) [0068] In this analysis, it is assumed that the sparsity level K is known and, thus, the K largest Λ entries are retained. Most of the entries in the estimated Λ approach zero, and a thresholding technique could be used instead of assuming a fixed sparsity K. Once iteration is complete, the estimate*' is given by x = ΧΣτι, Η y if
! ¾f " and the corresponding estimate ^ of the recovered signal is then given by
Figure imgf000020_0001
[0069] The algorithm described above is referred to as Correlated Sparse Recovery (CSR). A greedy (non-Bayesian) version of the algorithm was also implemented and showed similar estimates as the Bayesian version described above (details omitted).
Application to On-line EEG Denoising
Simulated Experiments
[0070] A blink artifact signal yo(t) was simulated by fitting a real two second (2 s) EEG epoch containing artifacts using OMP and three components from an
overcomplete dictionary (as described in the next section). An epoch was chosen for this purpose in which spectral distortion after y0(t) was subtracted was minimal, so that yo(t) was as close as possible to a real blink artifact signal. A 2 s epoch of manually identified (by a Registered Polysomnographic Technician or RPSGT) as artifact-free EEG yn(t) was then added to create a measured signal y(t) = yo(t)+ yn(t) where λ was adjusted for the desired SNR (FIG. 8). By synthesizing an EEG signal this way, the performance of the algorithm can be quantified. Since the artifact-free EEG has components that are also sparse in the dictionary, standard compressed sensing techniques are not able to recover y0(t) accurately. A subdictionary (of the full dictionary) having 29 elements was used for comparing recovery using sparse Bayesian learning (SBL) with the algorithm. The elements in the dictionary H correspond to Gaussian elements at a fixed scale with translations at intervals of 8 units, or 8/256 seconds for a sampling rate of 256Hz. Note that to make the example more realistic, yo was constructed with a much larger dictionary than H (that is, not all elements used to construct yo are included in dictionary H).
Real EEG Recordings
[0071] Four-channel (Fz, C3, C4, Pz) EEG and two-channel EOG recordings of healthy awake individuals during Karolinska Drowsiness Test (KDT) and
Psychomotor Vigilance Test (PVT) performance testing of an inpatient protocol were used to validate and test the algorithm for identification and removal of eye blink artifacts. 2 s epochs containing eye blink artifacts during the KDT portions of these recordings were identified and marked manually by an RPSGT. Artifactual epochs from two such recordings (each approximately 14 minutes long) were analyzed using a boundary detection algorithm to determine the precise beginning and end of each blink artifact The resulting blinks show markedly different shapes across epochs (FIG. 9) and channels (FIG. 10). A dictionary whose atoms can represent the gamut of blinks was constructed and validated on all extracted blinks (FIG. 1 1 ). It sufficed to use at most three atoms per blink signal from a dictionary that included translated and scaled transformations of skew Gaussian-shaped signals and their first and second derivatives (FIG. 12).
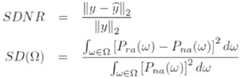
[0072] CSR (Bayesian and greedy versions) as well as sparse Bayesian learning (SBL), block sparse Bayesian learning (BSBL), orthogonal matching pursuit (OMP), and joint matching pursuit (JMP) algorithms were applied to four recordings from the KDT (about 1 .45 hours total) and PVT (about 0.83 hours total) sections to extract blink artifacts using the dictionary constructed above. The algorithm was applied to each epoch independently. Epochs containing artifacts were identified using a k-means clustering algorithm on the sparse coefficients of the extracted blinks. The extracted artifacts were then subtracted from the original signals to obtain artifact-free EEG in these epochs. Additionally, independent component analysis (ICA) was used on these recordings and subtracted the manually identified eye blink component (per recording) to compare to the method of EEG denoising. [0073] Two performance measures, signal denoising ratio (SDNR) and spectral distortion (SD) were used to compare the performance of various denoising techniques. SD is a measure of how the denoised portion of signal spectrally compares with the non-noisy portion on a given frequency range. As a technique for detection, artifactual epochs identified by the method were compared with those manually marked by an RPSGT on KDT portions.
Figure imgf000022_0001
where y is the multi-channel data for a single epoch, by is the extracting the artifact signal, Pra(w) is the power spectral density of the denoised signal over artifactual epochs and Pna(w) is the power spectral density of the original signal over non- artifactual epochs. Smaller values of SDNR and SD indicate better performance. In addition, the multiscale entropy (MSE) over denoised and noiseless portions were compared as an indicator of how much of the original complexity of the signal is maintained by the denoiser.
Results
Results on Simulated Experiments
[0074] For the simulated signal, N = 461 , M = 29, and sparsity was chosen as K = 3. The value of K was chosen so to result in the smallest PMSE (percentage mean square error).
Figure imgf000022_0002
[0075] Comparison of the recovered signal * using sparse Bayesian learning (SBL) and CSR (with R = Ri) for two levels of λ = 0.75 and λ = 0.375 (FIG. 8) shows that SBL fits extraneous components resulting in a much poorer fit. The values of PMSE are shown in Table 1 .
Table 1 - PMSE values for artifact fitting in simulated EEG signal
Figure imgf000023_0001
[0076] The chosen smaller dictionary H is only for simplification: in reality, a much larger dictionary would be used to get a better fit with both SBL and CSR. The choice for R in this test was made as follows. Without any correlations, SBL matches the noise components to the right of the blink because they are also sparse in our dictionary H. For CSR, Ri was set with a positive correlation of 0:9 amongst elements of H corresponding to translation levels shorter than 1 .25 seconds. While this choice was made heuristically, it illustrates the hypothesis that specifying a priori correlations can favor selection of actual signal components over noisy components that are also sparse in the chosen dictionary.
Results on Real EEG Recordings
[0077] The CSR algorithm identifies and removes blink artifacts from EEG signals correctly as confirmed by an RPGST (a visual snapshot is shown in FIG. 13).
The CSR algorithm does not suffer from problems of overfitting as in OMP or SBL, and that of underfitting, as in JMP or BSBL (FIG. 14). Compared to ICA, CSR selectively removes the artifact noise without removing useful EEG components
(FIG. 14). Comparison of power spectrum of the denoised signal epochs with that of artifact-free epochs shows that the CSR algorithm exhibits the least spectral distortion (Fig 15)), especially in the 1 -3Hz range, which is the spectral band (Delta EEG band) most impacted by the presence of eye blink artifacts. Various denoising metrics are compared in Table 2. A comparison of MSE of the denoised signal with that of the original signal indicates that complexity of the actual EEG signal is preserved result of denoising (FIG. 16).
Table 2 - SDNR and SD values for artifact elimination algorithms
Figure imgf000024_0001
[0078] For detecting epochs containing blink artifacts, a k-means clustering using only the maximum signal amplitude and largest sparse coefficient shows a clear separation of epochs with and without blinks (FIG. 17). Compared with manually (RPSGT) identified artifacts, our method had a specificity of 96% and sensitivity of 97%.
[0079] From the above description, those skilled in the art will perceive improvements, changes and modifications. Such improvements, changes and modifications are within the skill of one in the art and are intended to be covered by the appended claims.

Claims

What is claimed is:
Claim 1. A method comprising:
receiving, by a system comprising a processor, a longitudinal signal being recorded, wherein the longitudinal signal comprises a signal of interest and an artifact;
processing, by the system, the longitudinal signal to identify and separate the artifact and the signal of interest in a precise manner that preserves the signal of interest and the artifact,
wherein the identification and separation is based on an algorithm comprising:
constructing an analytic dictionary; and
performing a structured sparse recovery of at least one of the artifact and the signal of interest using the analytic dictionary,
wherein the structured sparse recovery is based on statistical structure defined by a priori knowledge of temporal and spatial statistical properties of at least one of the longitudinal signal, the signal of interest, and the artifact; and
displaying, by the system, a visualization related to at least one of the signal of interest and the artifact.
Claim 2. The method of claim 1 , wherein the longitudinal signal is a biological signal and the signal of interest is at least one of a multi-channel polysomnographic signal or a cardiac signal.
Claim 3. The method of claim 2, further comprising using at least one of the signal of interest and the artifact to perform a medical diagnostic operation.
Claim 4. The method of claim 2, further comprising inferring, by the system, a property of the patient based on at least one of the signal of interest and the artifact.
Claim 5. The method of claim 4, wherein the property is at least one of a monitored property, a diagnostic indicator, and a research tool.
Claim 6. The method of claim 4, wherein the displaying further comprises providing an alert when the inferred property indicates a condition that exceeds a threshold for the alert,
wherein the alert is at least one of an audio alert, a visual alert, or a tactile alert.
Claim 7. The method of claim 2, wherein the multi-channel
polysomnographic signal is at least one of electroencephalogram (EEG) signal, an electrooculogram (EOG) signal, and an electromyogram (EMG) signal.
Claim 8. The method of claim 2, wherein the multi-channel
polysomnographic signal is an electrocardiogram (ECG) signal.
Claim 9. The method of claim 2, wherein the cardiac signal is at least one of a photoplethysmography (PPG) signal and a blood pressure (BP) signal.
Claim 10. The method of claim 2, further comprising recording the biological signal using at least one sensor,
wherein the biological signal is received by at least one recording channel of the system.
Claim 11. The method of claim 10, wherein the biological signal is recorded using from one to 128 sensors and the biological signal is received by from one to 128 recording channels corresponding to the from one to 128 sensors.
Claim 12. The method of claim 1 , wherein the analytic dictionary is a sparse dictionary that is at least one of a skewed Gaussian dictionary or a non-skewed Gaussian dictionary.
Claim 13. A system, comprising:
a data collection unit to collect a longitudinal signal, wherein the longitudinal signal comprises a signal of interest and an artifact;
a computing device comprising:
a non-transitory memory storing computer-executable
instructions;
a processor to execute the computer-executable instructions to at least:
receive the longitudinal signal from the data collection unit; and
process the longitudinal signal to identify and separate the artifact and the signal of interest in a precise manner that preserves the signal of interest and the artifact,
wherein the identifying and separating is based on an algorithm comprising:
constructing an analytic dictionary; and
performing a structured sparse recovery of at least one of the artifact and the signal of interest using the analytic dictionary;,
wherein the structured sparse recovery is based on a statistical structure defined by a priori knowledge of temporal and spatial statistical properties of at least one of the longitudinal signal, the signal of interest, and the artifact and
a display device to provide a visualization related to at least one of the signal of interest and the artifact.
Claim 14. The system of claim 13, wherein the longitudinal signal is a biological signal.
Claim 15. The system of claim 14, wherein the signal of interest is at least one of a multi-channel polysomnographic signal or a cardiac signal.
Claim 16. The system of claim 14, wherein the processor executes the computer-executable instructions to use at least one of the signal of interest and the artifact to perform a medical diagnostic operation in real time,
wherein a result of the medical diagnostic operation is reflected in the visualization.
Claim 17. The system of claim 14, wherein the processor executes the computer-executable instructions to infer a property of the patient based on at least one of the signal of interest and the artifact,
wherein the inferred property of the patient is reflected in the
visualization.
Claim 18. The system of claim 17, wherein the property is at least one of a monitored property, a diagnostic indicator, and a research tool.
Claim 19. The system of claim 15, wherein the data collection unit comprises at least one sensor configured to record the biological signal,
wherein the biological signal is received by at least one recording channel of the computing device.
Claim 20. A system of claim 13, wherein the analytic dictionary is a sparse dictionary arranged as a skewed Gaussian dictionary or a non-skewed Gaussian dictionary.
PCT/US2017/0238372016-03-232017-03-23Signal processing for precise identification and separation of artifact and a signal of interest in a longitudinal signalCeasedWO2017165661A1 (en)

Applications Claiming Priority (2)

Application NumberPriority DateFiling DateTitle
US201662312269P2016-03-232016-03-23
US62/312,2692016-03-23

Publications (1)

Publication NumberPublication Date
WO2017165661A1true WO2017165661A1 (en)2017-09-28

Family

ID=58489423

Family Applications (1)

Application NumberTitlePriority DateFiling Date
PCT/US2017/023837CeasedWO2017165661A1 (en)2016-03-232017-03-23Signal processing for precise identification and separation of artifact and a signal of interest in a longitudinal signal

Country Status (1)

CountryLink
WO (1)WO2017165661A1 (en)

Cited By (5)

* Cited by examiner, † Cited by third party
Publication numberPriority datePublication dateAssigneeTitle
CN108771534A (en)*2018-06-292018-11-09北京理工大学It is a kind of based on multi-wavelet transformation merge under pulse signal feature extracting method
CN110575145A (en)*2019-09-202019-12-17福建工程学院 A Pulse Signal Denoising Method Based on Enhanced Gaussian Redundancy Dictionary
CN114642418A (en)*2020-12-172022-06-21南京理工大学Breathing mode classification method and system based on sparse representation and convolutional neural network
US20230293111A1 (en)*2022-03-162023-09-21Kazuya NIYAGAWAInformation processing apparatus, information processing method, and computer-readable medium
WO2024233269A1 (en)*2023-05-052024-11-14Yale UniversityNoninvasive transabdominal fetal electroencephalography

Citations (4)

* Cited by examiner, † Cited by third party
Publication numberPriority datePublication dateAssigneeTitle
US20110046473A1 (en)*2009-08-202011-02-24Neurofocus, Inc.Eeg triggered fmri signal acquisition
US20130138009A1 (en)*2011-11-252013-05-30Persyst Development CorporationMethod And System For Displaying EEG Data
WO2015047462A2 (en)*2013-06-032015-04-02The Regents Of The University Of CaliforniaArtifact removal techniques with signal reconstruction
US20160022164A1 (en)*2009-11-032016-01-28Vivaquant LlcDetecting fiducial points in physiological signals

Patent Citations (4)

* Cited by examiner, † Cited by third party
Publication numberPriority datePublication dateAssigneeTitle
US20110046473A1 (en)*2009-08-202011-02-24Neurofocus, Inc.Eeg triggered fmri signal acquisition
US20160022164A1 (en)*2009-11-032016-01-28Vivaquant LlcDetecting fiducial points in physiological signals
US20130138009A1 (en)*2011-11-252013-05-30Persyst Development CorporationMethod And System For Displaying EEG Data
WO2015047462A2 (en)*2013-06-032015-04-02The Regents Of The University Of CaliforniaArtifact removal techniques with signal reconstruction

Non-Patent Citations (3)

* Cited by examiner, † Cited by third party
Title
GUPTA MANISH ET AL: "On-line EEG Denoising using correlated sparse recovery", 2016 10TH INTERNATIONAL SYMPOSIUM ON MEDICAL INFORMATION AND COMMUNICATION TECHNOLOGY (ISMICT), IEEE, 20 March 2016 (2016-03-20), pages 1 - 5, XP032916140, DOI: 10.1109/ISMICT.2016.7498892*
MUKHERJEE SUBHADIP ET AL: "l1-K-SVD: A robust dictionary learning algorithm with simultaneous update", SIGNAL PROCESSING, vol. 123, 29 December 2015 (2015-12-29), pages 42 - 52, XP029429843, ISSN: 0165-1684, DOI: 10.1016/J.SIGPRO.2015.12.008*
VAHID ABOLGHASEMI ET AL: "EEG-fMRI: Dictionary learning for removal of ballistocardiogram artifact from EEG", BIOMEDICAL SIGNAL PROCESSING AND CONTROL, vol. 18, 24 January 2015 (2015-01-24), NL, pages 186 - 194, XP055382866, ISSN: 1746-8094, DOI: 10.1016/j.bspc.2015.01.001*

Cited By (7)

* Cited by examiner, † Cited by third party
Publication numberPriority datePublication dateAssigneeTitle
CN108771534A (en)*2018-06-292018-11-09北京理工大学It is a kind of based on multi-wavelet transformation merge under pulse signal feature extracting method
CN108771534B (en)*2018-06-292019-03-26北京理工大学It is a kind of based on multi-wavelet transformation fusion under pulse signal feature extracting method
CN110575145A (en)*2019-09-202019-12-17福建工程学院 A Pulse Signal Denoising Method Based on Enhanced Gaussian Redundancy Dictionary
CN110575145B (en)*2019-09-202022-03-01福建工程学院 An Enhanced Gaussian Redundant Dictionary Pulse Signal Denoising Method
CN114642418A (en)*2020-12-172022-06-21南京理工大学Breathing mode classification method and system based on sparse representation and convolutional neural network
US20230293111A1 (en)*2022-03-162023-09-21Kazuya NIYAGAWAInformation processing apparatus, information processing method, and computer-readable medium
WO2024233269A1 (en)*2023-05-052024-11-14Yale UniversityNoninvasive transabdominal fetal electroencephalography

Similar Documents

PublicationPublication DateTitle
Shahbakhti et al.VME-DWT: An efficient algorithm for detection and elimination of eye blink from short segments of single EEG channel
Karthikeyan et al.Detection of human stress using short-term ECG and HRV signals
Gurve et al.Separation of fetal-ECG from single-channel abdominal ECG using activation scaled non-negative matrix factorization
Lopes et al.Automatic electroencephalogram artifact removal using deep convolutional neural networks
US10856763B2 (en)Personalized ECG monitoring for early detection of cardiac abnormalities
Alshebly et al.Isolation of fetal ECG signals from abdominal ECG using wavelet analysis
KR100580618B1 (en) Apparatus and method for recognizing user emotion through short time monitoring of physiological signals
JP6457117B2 (en) Continuous non-invasive monitoring of pregnant subjects
WO2017165661A1 (en)Signal processing for precise identification and separation of artifact and a signal of interest in a longitudinal signal
EP3554360B1 (en)System and method for non-invasive extraction of fetal electrocardiogram signals
EP3600024B1 (en)Medical system and method for detecting changes in electrophysiological evoked potentials
JP2018512243A5 (en)
Sharma et al.Respiratory rate extraction from single-lead ECG using homomorphic filtering
Li et al.A new signal decomposition to estimate breathing rate and heart rate from photoplethysmography signal
Amin et al.Inferring autonomic nervous system stimulation from hand and foot skin conductance measurements
Huque et al.HMM-based supervised machine learning framework for the detection of fECG RR peak locations
Issa et al.Automatic ECG artefact removal from EEG signals
Akdeniz et al.Using Wigner-Ville distribution in ECG arrhythmia detection for telemedicine applications
WO2009110051A1 (en)On-line vital signal processing method effective during fetal movement and its apparatus
Jaros et al.Independent component analysis algorithms for non-invasive fetal electrocardiography
Jung et al.A review on EEG artifacts and its different removal technique
JP2024529373A (en) DEVICES, SYSTEMS AND METHODS FOR DETERMINING HEALTH INFORMATION RELATED TO A SUBJECT&#39;S CARDIOVASCULAR SYSTEM - Patent application
KR20170004547A (en)Method and apparatus for extracting Brain information
Nair et al.Illumination invariant non-invasive heart rate and blood pressure estimation from facial thermal images using deep learning
Khatter et al.Study of various automatic eeg artifact removal techniques

Legal Events

DateCodeTitleDescription
NENPNon-entry into the national phase

Ref country code:DE

121Ep: the epo has been informed by wipo that ep was designated in this application

Ref document number:17715870

Country of ref document:EP

Kind code of ref document:A1

122Ep: pct application non-entry in european phase

Ref document number:17715870

Country of ref document:EP

Kind code of ref document:A1


[8]ページ先頭

©2009-2025 Movatter.jp