


本発明はエンジンシステム及び制御方法に関する。The present invention relates to an engine system and a control method.
排気ガスをエンジンに再循環させる排気再循環(Exhaust Gas Recirculation;EGR)技術は、NOx排出低減効果が大きく、低環境負荷エンジンに広く適用されている。このEGRは、舶用の大型ディーゼルエンジンにおいても有効である。ただし、重油を燃料とする舶用の大型ディーゼルエンジンは、排気ガスに多くのSOxが含まれることから、排気ガスを再循環させる際には、その排気ガス(EGRガス)をスクラバによって洗浄するのが一般的である(特許文献1参照)。Exhaust gas recirculation (EGR) technology that recirculates exhaust gas to the engine has a large NOx emission reduction effect and is widely applied to low environmental load engines. This EGR is also effective for large marine diesel engines. However, large marine diesel engines that use heavy oil as a fuel contain a lot of SOx in the exhaust gas. Therefore, when exhaust gas is recirculated, the exhaust gas (EGR gas) must be washed with a scrubber. It is general (refer patent document 1).
EGRガスの洗浄は洗浄液を用いて行われるため、スクラバを通過したEGRガスは飽和状態となる。そのため、EGRガスが新気と合流して接触すると温度が低下して凝結し、凝縮水が発生することがある。さらに、スクラバによる洗浄ではEGRガスから完全にSOxを取り除くことは難しく、EGRガスにはSOxがわずかに含まれる。このEGRガスに含まれるSOxが上記の凝縮水に溶け込むと、掃気流路内に硫酸ミストが発生する。そして、硫酸ミストがエンジンに流入した場合には、エンジン内の腐食が進行しやすくなり、また、シリンダライナの異常摩擦が発生するという問題が生じる。Since cleaning of the EGR gas is performed using a cleaning solution, the EGR gas that has passed through the scrubber is saturated. For this reason, when the EGR gas joins and comes in contact with fresh air, the temperature decreases and condenses, and condensed water may be generated. Furthermore, it is difficult to completely remove SOx from the EGR gas by scrubber cleaning, and the EGR gas contains a small amount of SOx. When SOx contained in the EGR gas is dissolved in the condensed water, sulfuric acid mist is generated in the scavenging flow path. And when sulfuric acid mist flows into an engine, the corrosion in an engine will advance easily and the problem that abnormal friction of a cylinder liner will generate | occur | produce will arise.
なお、掃気流路にウォータミストキャッチャを設け、ウォータミストキャッチャによって硫酸ミストを捕集することもできるが、硫酸ミストのうち極微小粒径のものは、ウォータミストキャッチャで捕集することができず、エンジンへ流入してしまう。また、新気と混合されていないEGRガスが、ウォータミストキャッチャよりも下流において掃気ガスに接触して凝結し、凝縮水が発生する場合もある。A water mist catcher is provided in the scavenging flow path, and sulfuric acid mist can be collected by the water mist catcher. However, sulfuric acid mist with a very small particle size cannot be collected by the water mist catcher. Will flow into the engine. In addition, EGR gas that is not mixed with fresh air may condense in contact with the scavenging gas downstream from the water mist catcher to generate condensed water.
本発明は、以上のような事情に鑑みてなされたものであり、EGRガスの凝結による凝縮水の発生を抑制できるエンジンシステムの提供を目的としている。The present invention has been made in view of the above circumstances, and an object of the present invention is to provide an engine system capable of suppressing the generation of condensed water due to condensation of EGR gas.
本発明の一態様に係るエンジンシステムは、エンジン本体と、前記エンジン本体から排出された排気ガスを外部に放出する排気流路と、新気にEGRガスを混合した掃気ガスを前記エンジン本体に供給する掃気流路と、前記排気流路から抽出した排気ガスをEGRガスとして前記掃気流路に供給するEGR流路と、前記掃気流路に設けられ新気を冷却するエアクーラと、前記EGR流路に設けられEGRガスを洗浄液で洗浄するスクラバと、前記EGR流路に設けられEGRガスを冷却するEGRガスクーラと、前記掃気流路に供給されるEGRガスの露点温度が、当該EGRガスと合流する新気の温度よりも低く、かつ、前記エンジン本体に供給される掃気ガスの温度よりも低い不凝結状態を維持するように、前記エアクーラ、前記EGRガスクーラ、又はその両方を制御する制御部と、を備えている。An engine system according to an aspect of the present invention supplies an engine main body, an exhaust passage for discharging exhaust gas discharged from the engine main body to the outside, and scavenging gas obtained by mixing EGR gas with fresh air. A scavenging flow path, an EGR flow path for supplying exhaust gas extracted from the exhaust flow path as EGR gas to the scavenging flow path, an air cooler provided in the scavenging flow path for cooling fresh air, and the EGR flow path A scrubber for cleaning EGR gas with a cleaning liquid, an EGR gas cooler for cooling the EGR gas provided in the EGR flow path, and a dew point temperature of the EGR gas supplied to the scavenging flow path merge with the EGR gas. The air cooler and the EG so as to maintain a non-condensing state lower than the temperature of fresh air and lower than the temperature of the scavenging gas supplied to the engine body. Gas cooler, or includes a control unit for controlling both.
この構成によれば、掃気流路に供給されるEGRガスの露点温度が、当該EGRガスと合流する新気の温度よりも低く、かつ、エンジン本体に供給される掃気ガスの温度よりも低くなるよう制御が行われるため、掃気流路に供給されるEGRガスが新気又は掃気ガスと接触したときに、EGRガスが凝結して凝縮水が発生するのを抑えることができる。According to this configuration, the dew point temperature of the EGR gas supplied to the scavenging flow path is lower than the temperature of fresh air that merges with the EGR gas and lower than the temperature of the scavenging gas supplied to the engine body. Therefore, when the EGR gas supplied to the scavenging flow passage comes into contact with fresh air or the scavenging gas, it is possible to prevent the EGR gas from condensing and generating condensed water.
また、上記のエンジンシステムにおいて、前記制御部は、前記不凝結状態を維持するとともに、EGRガスと合流する新気の温度と前記掃気流路に供給されるEGRガスの露点温度の差が所定の第1上限値を超えないように、かつ、前記エンジン本体に供給される掃気ガスの温度と前記掃気流路に供給されるEGRガスの露点温度の差が所定の第2上限値を超えないように、前記エアクーラ、前記EGRガスクーラ、又はその両方を制御するようにしてもよい。In the engine system, the control unit maintains the non-condensing state, and a difference between a temperature of fresh air that merges with the EGR gas and a dew point temperature of the EGR gas supplied to the scavenging passage is a predetermined value. The difference between the temperature of the scavenging gas supplied to the engine main body and the dew point temperature of the EGR gas supplied to the scavenging flow path does not exceed the predetermined second upper limit value so as not to exceed the first upper limit value. In addition, the air cooler, the EGR gas cooler, or both may be controlled.
この構成によれば、EGRガスと合流する新気の温度と掃気流路に供給されるEGRガスの露点温度の差が所定の第1上限値を超えないように、かつ、エンジン本体に供給される掃気ガスの温度と掃気流路に供給されるEGRガスの露点温度の差が所定の第2上限値を超えないように制御が行われるため、EGRガスを過剰に冷却するのを防いでEGRガスを冷却するためのエネルギの不要な消費を抑えることができ、また、新気の温度の過剰な上昇を防いで燃費の低下を抑えることができる。According to this configuration, the difference between the temperature of the fresh air that merges with the EGR gas and the dew point temperature of the EGR gas supplied to the scavenging flow path does not exceed the predetermined first upper limit value, and is supplied to the engine body. Control is performed such that the difference between the temperature of the scavenging gas and the dew point temperature of the EGR gas supplied to the scavenging flow path does not exceed a predetermined second upper limit value, thereby preventing the EGR gas from being excessively cooled. Unnecessary consumption of energy for cooling the gas can be suppressed, and an excessive increase in the temperature of fresh air can be prevented to suppress a decrease in fuel consumption.
また、上記のエンジンシステムにおいて、前記制御部は、前記EGRガスクーラの制御のみで前記不凝結状態を維持できる場合には前記EGRガスクーラのみを制御し、前記EGRガスクーラの制御のみで前記不凝結状態を維持できない場合には前記EGRガスクーラ及び前記エアクーラの両方を制御するようにしてもよい。In the engine system, the control unit controls only the EGR gas cooler when the non-condensing state can be maintained only by controlling the EGR gas cooler, and controls the non-condensing state only by controlling the EGR gas cooler. If it cannot be maintained, both the EGR gas cooler and the air cooler may be controlled.
この構成によれば、EGRガスクーラの制御のみで不凝結状態を維持できる場合にはEGRガスクーラのみを制御するため、可能な限りエアクーラの制御を避けて、新気の温度上昇を防ぐことによりエンジン本体の燃費の低下を抑えることができる。According to this configuration, when the non-condensing state can be maintained only by the control of the EGR gas cooler, only the EGR gas cooler is controlled. The reduction in fuel consumption can be suppressed.
また、本発明の他の態様に係るエンジンシステムは、エンジン本体と、前記エンジン本体から排出された排気ガスを外部に放出する排気流路と、新気にEGRガスを混合した掃気ガスを前記エンジン本体に供給する掃気流路と、前記排気流路から抽出した排気ガスをEGRガスとして前記掃気流路に供給するEGR流路と、前記掃気流路に設けられ新気を冷却するエアクーラと、前記EGR流路に設けられEGRガスを洗浄液で洗浄するスクラバと、前記EGR流路に設けられEGRガスを冷却するEGRガスクーラと、EGRガスと合流する新気の温度と前記掃気流路に供給されるEGRガスの露点温度の差が所定の第1下限値以下となったとき、又は、前記エンジン本体に供給される掃気ガスの温度と前記掃気流路に供給されるEGRガスの露点温度の差が所定の第2下限値以下となったとき、所定の警報信号を発信する制御部と、を備えている。An engine system according to another aspect of the present invention includes an engine main body, an exhaust passage for discharging exhaust gas discharged from the engine main body to the outside, and scavenging gas obtained by mixing EGR gas with fresh air. A scavenging flow path for supplying to the main body, an EGR flow path for supplying the exhaust gas extracted from the exhaust flow path to the scavenging flow path as EGR gas, an air cooler provided in the scavenging flow path for cooling fresh air, A scrubber provided in the EGR flow path for cleaning the EGR gas with a cleaning liquid, an EGR gas cooler provided in the EGR flow path for cooling the EGR gas, a temperature of fresh air that merges with the EGR gas, and the scavenging flow path are supplied. When the difference between the dew point temperatures of the EGR gas becomes a predetermined first lower limit value or below, or the temperature of the scavenging gas supplied to the engine body and the EGR supplied to the scavenging flow path When the difference of the scan of the dew point temperature is equal to or less than the second lower limit value of a predetermined, and a and a control unit for transmitting a predetermined alarm signal.
この構成によれば、EGRガスが新気又は掃気ガスと接触することで凝結するおそれがある場合、制御部が警報信号を発信することになる。これにより、警報によってEGRガスが凝結するおそれがあることを知った作業者は、エアクーラ、EGRガスクーラ、又はその両方を例えば手動バルブによって冷却水の流量を制御することで、EGRガスの凝結による凝縮水の発生を事前に防ぐことができる。According to this configuration, when the EGR gas may be condensed due to contact with fresh air or scavenging gas, the control unit transmits an alarm signal. As a result, an operator who knows that the EGR gas may condense due to the alarm can be condensed by condensing the EGR gas by controlling the flow rate of the cooling water using an air cooler, EGR gas cooler, or both, for example, by a manual valve. Water generation can be prevented in advance.
さらに、本発明の一態様に係る制御方法は、エンジン本体と、前記エンジン本体から排出された排気ガスを外部に放出する排気流路と、新気にEGRガスを混合した掃気ガスを前記エンジン本体に供給する掃気流路と、前記排気流路から抽出した排気ガスをEGRガスとして前記掃気流路に供給するEGR流路と、前記掃気流路に設けられ新気を冷却するエアクーラと、前記EGR流路に設けられEGRガスを洗浄液で洗浄するスクラバと、前記EGR流路に設けられEGRガスを冷却するEGRガスクーラと、を備えたエンジンシステムの制御方法であって、前記掃気流路に供給されるEGRガスの露点温度が、当該EGRガスと合流する新気の温度よりも低く、かつ、前記エンジン本体に供給される掃気ガスの温度よりも低い不凝結状態を維持するように、前記エアクーラ、前記EGRガスクーラ、又はその両方を制御する。Furthermore, the control method according to one aspect of the present invention includes an engine main body, an exhaust passage that discharges exhaust gas discharged from the engine main body to the outside, and a scavenging gas obtained by mixing EGR gas with fresh air. A scavenging passage for supplying to the scavenging passage, an EGR passage for supplying the exhaust gas extracted from the exhaust passage to the scavenging passage as EGR gas, an air cooler provided in the scavenging passage for cooling fresh air, and the EGR An engine system control method comprising: a scrubber provided in a flow path for cleaning EGR gas with a cleaning liquid; and an EGR gas cooler provided in the EGR flow path for cooling EGR gas, wherein the control method is supplied to the scavenging flow path. The dew point temperature of the EGR gas is lower than the temperature of the fresh air that merges with the EGR gas, and lower than the temperature of the scavenging gas supplied to the engine body. So as to maintain the air cooler, the EGR gas cooler, or to control both.
以上のとおり、上記のエンジンシステムによれば、EGRガスの凝結による凝縮水の発生を抑制することができる。As mentioned above, according to said engine system, generation | occurrence | production of the condensed water by condensation of EGR gas can be suppressed.
以下、本発明の実施形態について図を参照しながら説明する。以下では、全ての図面を通じて同一又は相当する要素には同じ符号を付して、重複する説明は省略する。Hereinafter, embodiments of the present invention will be described with reference to the drawings. Below, the same code | symbol is attached | subjected to the element which is the same or it corresponds through all the drawings, and the overlapping description is abbreviate | omitted.
 <エンジンシステムの全体構成>
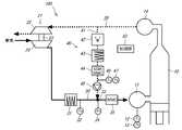
 はじめに、実施形態に係るエンジンシステム100の全体構成について説明する。図1は、エンジンシステム100の全体構成図である。図1において、太く描いた破線は排気ガス又はEGRガスの流れを示しており、太く描いた実線は掃気ガス又は新気ガスの流れを示している。<Overall configuration of engine system>
 First, the overall configuration of the
 本実施形態に係るエンジンシステム100は舶用のエンジンシステムであって、エンジン本体10と、排気流路20と、掃気流路30と、EGRユニット40と、制御部50と、を備えている。以下、これらの各構成要素について順に説明する。The
 本実施形態のエンジン本体10は、いわゆる2ストロークディーゼルエンジンである。エンジン本体10には、掃気管11を介して掃気流路30から掃気ガスが供給される。掃気管11は一時的に掃気ガスを収容するように構成されており、掃気管11には掃気ガスの温度Tsを測定する掃気ガス温度センサ12、及び、掃気ガスの圧力Psを測定する掃気ガス圧力センサ13が設けられている。また、エンジン本体10から排出された排気ガスは、排気管14に一時的に収容され、排気管14から排気流路20へと排出される。The
 排気流路20は、エンジン本体10から排出された排気ガスを外部に放出する流路である。排気流路20上には、過給機21のタービン部22が設けられており、排気ガスのエネルギによりタービン部22は回転する。タービン部22は連結軸23を介して掃気流路30上に設けられたコンプレッサ部24に連結されている。そのため、タービン部22が回転すると、これに伴ってコンプレッサ部24も回転する。コンプレッサ部24が回転することにより、外部から取り込んだ新気が圧縮される。The
 掃気流路30は、エンジン本体10に掃気ガスを供給する流路である。掃気流路30には、過給機21により圧縮された新気を冷却するためのエアクーラ31が設けられているとともに、エアクーラ31の下流にはエアクーラ31の出口における新気の温度Taを測定するエア温度センサ32が設けられている。エアクーラ31内には冷却水が流れており、この冷却水の流量及び温度を制御することで、エアクーラ31の出口における新気の温度Taを調整することができる。The scavenging
 エアクーラ31を通過した新気は、掃気流路30の合流点33において、EGRユニット40を通過したEGRガスと合流し、新気とEGRガスが混合されて掃気ガスが生成される。また、掃気流路30の合流点33には、合流点33におけるEGRガスの圧力Peを測定する合流点圧力センサ34が設けられている。さらに、掃気流路30の合流点33よりも下流側には、掃気流路30を通過する水滴を捕集するウォータミストキャッチャ35が設けられている。なお、前述のとおり極微小径の水滴は、ウォータミストキャッチャ35で捕集できない場合もある。The fresh air that has passed through the
 EGRユニット40は、排気流路20から排気ガスの一部を抽出し、その排気ガスをEGRガスとして掃気流路30に供給するユニットである。EGRユニット40は、排気流路20のタービン部22の位置よりも上流側の部分と掃気流路30のコンプレッサ部24及びエアクーラ31の位置よりも下流側の部分をつなぐEGR流路41を有している。EGR流路51には上流側から順に、洗浄液を用いてEGRガスを洗浄するスクラバ42、スクラバ42で洗浄したEGRガスを冷却するEGRガスクーラ43、EGRガスクーラ43で発生した凝縮水を捕集するEGRウォータミストキャッチャ44、EGRガスを昇圧するとともに掃気流路30に供給するEGRガスの流量を調整するEGRブロワ55が設けられている。The
 さらに、EGRウォータミストキャッチャ44の下流には、EGRウォータミストキャッチャ44の出口におけるEGRガスの温度Tg及び圧力Pgをそれぞれ測定するEGRガス温度センサ46及びEGRガス圧力センサ47が設けられている。また、EGRガスクーラ43内には冷却水が流れており、この冷却水の流量及び温度を制御することで、EGRガスクーラ43の出口におけるEGRガスの温度を調整することができる。Further, an EGR
 なお、前述のとおり、スクラバ52は、洗浄液を用いてEGRガスからSOx及びばいじんを取り除くが、EGRガスに含まれるSOxを完全に取り除くことは実質的に不可能である。そのため、掃気流路30に供給されるEGRガスには、わずかにSOxが含まれており、このSOxが掃気流路30内の水滴に溶け込むと硫酸ミストが発生する。As described above, the scrubber 52 removes SOx and dust from the EGR gas using the cleaning liquid, but it is practically impossible to completely remove SOx contained in the EGR gas. For this reason, the EGR gas supplied to the scavenging
 制御部50は、エンジンシステム100全体を制御する部分であって、CPU、ROM、RAM等によって構成されている。図2は、エンジンシステム100の制御系のブロック図である。図2に示すように、制御部50は、掃気ガス温度センサ12、掃気ガス圧力センサ13、エア温度センサ32、合流点圧力センサ34、EGRガス温度センサ46、及びEGRガス圧力センサ47と電気的に接続されている。制御部50は、これらの機器から送信される測定信号に基づいて、それぞれ掃気ガスの温度Ts、掃気ガスの圧力Ps、エアクーラ31の出口における新気の温度(以下、「新気温度」という)Ta、合流点33におけるEGRガスの圧力Pe、EGRウォータミストキャッチャ44の出口におけるEGRガスの温度Tg、及びEGRウォータミストキャッチャ44の出口におけるEGRガスの圧力Pgの各種測定値を取得することができる。The
 さらに、制御部50は、取得した各種測定値に基づいて種々の演算を行い、エンジンシステム100全体を制御する。本実施形態では、制御部50は、エアクーラ31、及びEGRガスクーラ43と電気的に接続されており、種々の演算等の結果に基づいて、これらの機器へ制御信号を送信し、新気の温度及びEGRガスの温度を調整する。具体的には、制御部50は、EGRガスが新気又は掃気ガスに接触することで冷却され、その結果、凝結して凝縮水が発生することがないように制御を行う。より具体的な制御内容については後述する。Furthermore, the
 <制御内容>
 次に、制御部50による制御の内容について説明する。図3は、制御部50による制御の流れを示したフローチャートである。図3に示すように制御が開始されると、まず制御部50は各種センサから測定信号を受信し、これらの測定信号に基づいて各種測定値を取得する(ステップS1)。<Control details>
 Next, the contents of control by the
 続いて、制御部50は、ステップS1で取得した各種測定値に基づいて、合流点33におけるEGRガスの露点温度(以下、単に「露点温度」という)Teを算出する。露点温度Te[°C]は、以下の式(1)で算出することができる。なお、以降の式では、EGRウォータミストキャッチャ44の出口におけるEGRガスが飽和水蒸気(湿度100%RH)であると仮定している。Subsequently, the
上記の式(1)におけるyは、合流点33におけるEGRガスの水蒸気分圧P1[Pa]を用いて以下の式(2)で表される。In the above formula (1) y, by using the water vapor partial pressureP 1 of the EGR gas at the confluence 33 [Pa] represented by Equation (2) below.
 また、式(2)の合流点33におけるEGRガスの水蒸気分圧P1は、EGRウォータミストキャッチャ44の出口におけるEGRガスの絶対湿度η0[kg/kg]及び合流点33におけるEGRガスの圧力Pe[Pa]を用いて、以下の式(3)で算出することができる。このうち、合流点33におけるEGRガスの圧力Peは、ステップS1で取得した値を用いることができる。なお、合流点33におけるEGRガスの圧力Peは、掃気ガスの圧力Psの値を用いてもよい。Also, the water vapor partial pressure P1 of the EGR gas at the
 また、EGRウォータミストキャッチャ44の出口におけるEGRガスの絶対湿度η0は、EGRウォータミストキャッチャ44の出口におけるEGRガスの水蒸気圧P0[Pa]及び圧力Pg[Pa]を用いて、以下の式(4)で算出することができる。このうち、EGRウォータミストキャッチャ44の出口におけるEGRガスの圧力Pgは、ステップS1で取得した値を用いることができる。The absolute humidity η0 of the EGR gas at the outlet of the EGR
 また、EGRウォータミストキャッチャ44の出口におけるEGRガスの水蒸気圧P0は、EGRウォータミストキャッチャ44の出口におけるEGRガスの温度Tg[°C]を用いて以下の式(5)(Tetensの式)で算出することができる。EGRウォータミストキャッチャ44の出口におけるEGRガスの温度Tgは、ステップS1で取得した値を用いることができる。Further, the water vapor pressure P0 of the EGR gas at the outlet of the EGR
 以上のとおり、ステップS1で取得した各種測定値と上記の式(1)乃至式(5)を用いれば、露点温度Teを算出することができる。ただし、露点温度Teは上記以外の方法で算出してもよい。例えば、露点温度Teは、EGRウォータミストキャッチャ44の出口におけるEGRガスの温度Tgよりも例えば約2°C高いことが経験上判明していれば、EGRウォータミストキャッチャ44の出口におけるEGRガスの温度Tgに2°Cを加えた値を露点温度Teとしてもよい。また、本実施形態では、露点温度Teの算出にあたり、EGRウォータミストキャッチャ44の出口におけるEGRガスの温度Tg及び圧力Pgを用いているが、これに代えて例えばEGRウォータミストキャッチャ44の入口におけるEGRガスの温度及び圧力を用いてもよい。As described above, the obtained various measurement values and the equation in step S1 (1) to be used the formula (5), it is possible to calculate the dew-point temperature Te. However, the dew point temperature Te may be calculated by a method other than the above. For example, the dew point temperatureT e, as long as it greater such as about 2 ° C than the temperatureT g of the EGR gas at the outlet of the EGR
 続いて、制御部50は、新気温度Taから露点温度Teを引いた値が所定の第1下限値(例えば2°C)よりも大きいか否かを判定する(ステップS3)。つまり、新気温度Taが露点温度Teよりも高く、かつ、その差が第1下限値よりも大きいか否かを判定する。新気温度Taから露点温度Teを引いた値が第1下限値よりも大きい場合は(ステップS3においてYES)、ステップS5へ進む。この場合、EGRガスが新気と合流して、EGRガスの温度が新気温度Taまで下がったとしても、その温度はEGRガスの露点温度Teよりもある程度高いため(余裕があるため)、EGRガスが新気と合流することによる凝結は生じない。Subsequently, the
 一方、新気温度Taから露点温度Teを引いた値が第1下限値よりも大きくない場合(ステップS3においてNO)、EGRガスが新気と合流したときにEGRガスが凝結して凝縮水が発生するおそれがある。この場合、制御部50は、EGRガスクーラ43を制御して、EGRガスクーラ43の出口におけるEGRガスの温度を低下させる(ステップS4)。これにより、露点温度Teは低下し、EGRガスが新気と合流することによる凝結を回避することができる。On the other hand, when the value obtained by subtracting the dew point temperature Te from the fresh air temperature Ta is not greater than the first lower limit value (NO in step S3), and then EGR gas condenses when the EGR gas having been mixed with fresh air condenses There is a risk of water generation. In this case, the
ステップS5では、掃気ガスの温度Tsから露点温度Teを引いた値が所定の第2下限値(例えば、2°C)よりも大きいか否かを判定する。掃気ガスの温度Tsから露点温度Teを引いた値が第2下限値よりも大きい場合は(ステップS5においてYES)、EGRガスが掃気ガスと接触することによって凝結するおそれはない。この場合、ステップS6へ進む。なお、第1下限値及び第2下限値は互いに同じ値であってもよく、別の値であってもよい。また、第1下限値及び第2下限値はゼロであってもよい。In step S5, the second lower limit value minus the dew point temperature Te from the temperature Ts of the scavenging gas is predetermined (e.g., 2 ° C) determines greater or not than. If the value obtained by subtracting the dew point temperature Te from the temperature Ts of the scavenging gas is greater than the second lower limit value (YES in step S5), there is no danger of condensation by the EGR gas is in contact with the scavenging gas. In this case, the process proceeds to step S6. Note that the first lower limit value and the second lower limit value may be the same value or different values. Further, the first lower limit value and the second lower limit value may be zero.
 一方、掃気ガスの温度Tsから露点温度Teを引いた値が所定の下限値よりも大きくない場合(ステップS5においてNO)、EGRガスが掃気ガスと接触したときにEGRガスが凝結するおそれがある。この場合、制御部50は、EGRガスクーラ43を制御して、EGRガスクーラ43の出口におけるEGRガスの温度を低下させる(ステップS4)。これにより、露点温度Teは低下し、EGRガスが掃気ガスと接触することによる凝結を回避することができる。On the other hand, a possibility if the value obtained by subtracting the dew point temperature Te from the temperature Ts of the scavenging gas is not greater than the predetermined lower limit value (NO in step S5), and the EGR gas when the EGR gas is in contact with the scavenging gas condenses There is. In this case, the
 ステップS6では、新気温度Taから露点温度Teを引いた値が所定の第1上限値(例えば5°C)よりも小さいか否かを判定する。つまり、露点温度Teが新気温度Taよりも低すぎないか否かを判定する。新気温度Taから露点温度Teを引いた値が第1上限値よりも小さくない(大きい)場合(ステップS6においてNO)、必要以上に露点温度Teが低いことになるため、制御部50はEGRガスクーラ43を制御して、EGRガスクーラ43の出口におけるEGRガスの温度を上昇させる(ステップS7)。これにより、EGRガスクーラ43におけるEGRガスを冷却するためのエネルギの消費を抑えることができる。In step S6, it determines the value obtained by subtracting the dew point temperature Te from the fresh air temperature Ta is whether less than a predetermined first upper limit value (e.g., 5 ° C). In other words, it is determined whether or not the dew-point temperature Te is not too low than the fresh air temperature Ta. Since the value obtained by subtracting the dew point temperature Te from the fresh air temperature Ta is not smaller than the first upper limit value (large) (NO in step S6), and thus dew point temperature Te is less than necessary, the
 一方、新気温度Taから露点温度Teを引いた値が所定の第1上限値よりも小さい場合(ステップS6においてYES)、ステップS8へ進む。ステップS8では、掃気ガスの温度Tsから露点温度Teを引いた値が所定の第2上限値(例えば5°C)よりも小さいか否かを判定する。掃気ガスの温度Tsから露点温度Teを引いた値が第2上限値よりも小さくない(大きい)場合(ステップS8においてNO)、必要以上に露点温度Teが低いことになるため、制御部50はEGRガスクーラ43を制御して、EGRガスクーラ43の出口におけるEGRガスの温度を上昇させる(ステップS7)。なお、第1上限値及び第2上限値は互いに同じ値であってもよく、別の値であってもよい。ただし、第1上限値は第1下限値よりも大きく、第2上限値は第2下限値よりも大きい。On the other hand, when the value obtained by subtracting the dew point temperatureT e from the fresh air temperatureT a is smaller than the first upper limit value of the predetermined (YES in step S6), the process proceeds to step S8. In step S8, it is determined whether or not the value obtained by subtracting the dew point temperature Te from the temperature Ts of the scavenging gas is smaller than a predetermined second upper limit value (e.g., 5 ° C). Minus the dew point temperature Te from the temperature Ts of the scavenging gas is not smaller than the second upper limit value (large) (in step S8 NO), to become a dew point temperature Te is less than necessary, control The
 また、掃気ガスの温度Tsから露点温度Teを引いた値が第2上限値よりも小さい場合(ステップS8においてYES)、ステップS1に戻ってステップS1乃至S8を繰り返す。同様に、ステップS4においてEGRガスクーラ43の出口におけるEGRガスの温度を低下させた場合、及び、ステップS7においてEGRガスクーラ43の出口におけるEGRガスの温度を上昇させた場合も、ステップS1に戻ってステップS1乃至S8を繰り返す。When the value obtained by subtracting from the temperatureT s of the dew-point temperatureT e of the scavenging gas is smaller than the second upper limit value (YES in step S8), it returns to step S1 to repeat the steps S1 to S8. Similarly, when the temperature of the EGR gas at the outlet of the
 制御部50は、上記の制御を行うことにより、EGRガスが新気又は掃気ガスと接触しても凝結するおそれのない状態(不凝結状態)を維持することができ、かつ、EGRガスクーラ43において不要なエネルギの消費を抑えることができる。By performing the above control, the
 なお、上述した制御では、ステップS4においてEGRガスクーラ43のみを制御していたが、EGRガスクーラ43のみの制御に代えて又はEGRガスクーラ43の制御とともにエアクーラ31を制御してもよい。具体的には、上記のステップS4において、制御部50はエアクーラ31を制御し、エアクーラ31の出口における新気の温度(新気温度)Taを上昇させることによっても、EGRガスが新気又は掃気ガスと接触しても凝結しない不凝結状態を維持することができる。In the above-described control, only the
 ただし、新気温度Taを上昇させると、エンジン本体10の燃費が低下する。そのため、制御部50は、EGRガスクーラ43の制御のみで(EGRガスクーラ43の最大冷却能力の範囲内で)不凝結状態を維持できる場合にはEGRガスクーラ43のみを制御し、EGRガスクーラ43の制御のみで不凝結状態を維持できない場合にはEGRガスクーラ43及びエアクーラ31の両方を制御するようにしてもよい。この構成によれば、新気温度Taを極力上昇させないように制御できるため、エンジン本体10の燃費の低下を抑えることができる。However, increasing the fresh air temperature Ta, the fuel consumption of the
 また、上記のEGRユニット40では、スクラバ42の下流にEGRガスクーラ43が配置されていたが、スクラバ42の上流にEGRガスクーラ43を配置してもよい。さらに、EGRユニット40は、複数のスクラバ42を有していてもよく、複数のEGRガスクーラ43を有していてもよい。例えば、EGRガスクーラ43の上流に1段目のスクラバ42(プリスクラバ)を設け、EGRガスクーラ43の下流に2段目のスクラバ42(メインスクラバ)を設けてもよい。このような構成であっても、EGRガスの温度Tg及び圧力Pgを測定できれば、前述した制御と同様の制御を行うことができる。In the
 なお、上記の実施形態では、制御部50がエアクーラ31、EGRガスクーラ43、又はその両方を制御する場合について説明したが、この制御は作業者が行ってもよい。つまり、制御部50はEGRガスが凝結する可能性があるときに作業者に警告し、作業者がエアクーラ31、EGRガスクーラ43、又はその両方を制御するようにしてもよい。具体的には、制御部50は、EGRガスと合流する新気の温度と掃気流路30に供給されるEGRガスの露点温度の差が所定の第1下限値以下となったとき、又は、エンジン本体10に供給される掃気ガスの温度と掃気流路30に供給されるEGRガスの露点温度の差が所定の第2下限値以下となったとき、スピーカやディスプレイなどの報知機器に警報信号を発信してもよい。すなわち、図3のステップS3及びS5においてNOのとき、制御部50はステップS4で所定の警報信号を発信するようにしてもよい。この場合であっても、作業者によるバルブ等の制御(操作)によって、EGRガスの凝結による凝縮水の発生を事前に防ぐことができる。In addition, in said embodiment, although the
10 エンジン本体
20 排気流路
30 掃気流路
31 エアクーラ
35 ウォータミストキャッチャ
41 EGR流路
42 スクラバ
43 EGRガスクーラ
50 制御部
100 エンジンシステムDESCRIPTION OF
| Application Number | Priority Date | Filing Date | Title | 
|---|---|---|---|
| CN201780008899.3ACN108495993B (en) | 2016-03-07 | 2017-03-02 | Engine system and control method | 
| KR1020187028570AKR102061733B1 (en) | 2016-03-07 | 2017-03-02 | Engine system and control method | 
| Application Number | Priority Date | Filing Date | Title | 
|---|---|---|---|
| JP2016043478AJP6633944B2 (en) | 2016-03-07 | 2016-03-07 | Engine system and control method | 
| JP2016-043478 | 2016-03-07 | 
| Publication Number | Publication Date | 
|---|---|
| WO2017154716A1true WO2017154716A1 (en) | 2017-09-14 | 
| Application Number | Title | Priority Date | Filing Date | 
|---|---|---|---|
| PCT/JP2017/008224CeasedWO2017154716A1 (en) | 2016-03-07 | 2017-03-02 | Engine system and control method | 
| Country | Link | 
|---|---|
| JP (1) | JP6633944B2 (en) | 
| KR (1) | KR102061733B1 (en) | 
| CN (1) | CN108495993B (en) | 
| WO (1) | WO2017154716A1 (en) | 
| Publication number | Priority date | Publication date | Assignee | Title | 
|---|---|---|---|---|
| JP6964484B2 (en) | 2017-10-30 | 2021-11-10 | 川崎重工業株式会社 | Engine system | 
| JP6550520B1 (en)* | 2018-11-09 | 2019-07-24 | 川崎重工業株式会社 | EGR unit and engine system | 
| KR102752466B1 (en)* | 2019-03-29 | 2025-01-09 | 한화엔진 주식회사 | POWER PLANT WITH EXHAUST GAS RECIRCULATION SYSTEM AND SOx SCRUBBER SYSTEM | 
| CN112796898B (en)* | 2019-10-28 | 2022-08-02 | 浙江义利汽车零部件有限公司 | Method and device for preventing condensation of mixed gas at downstream of water-cooled cooler | 
| CN114856843B (en)* | 2022-05-18 | 2023-05-23 | 潍柴动力股份有限公司 | Calculation method of exhaust volume, EGR gas volume control method and EGR system | 
| Publication number | Priority date | Publication date | Assignee | Title | 
|---|---|---|---|---|
| JP2003201903A (en)* | 2001-12-18 | 2003-07-18 | Detroit Diesel Corp | Condensation control method and system for internal combustion engine using egr | 
| JP2009174444A (en)* | 2008-01-25 | 2009-08-06 | Honda Motor Co Ltd | EGR device | 
| JP2011157959A (en)* | 2010-01-29 | 2011-08-18 | Man Diesel & Turbo Filial Af Man Diesel & Turbo Se Tyskland | Large two-cycle diesel engine with exhaust gas recirculation system | 
| JP2015174034A (en)* | 2014-03-14 | 2015-10-05 | 川崎重工業株式会社 | Scrubber and engine system | 
| JP2015197078A (en)* | 2014-04-02 | 2015-11-09 | 株式会社デンソー | EGR system for internal combustion engine | 
| Publication number | Priority date | Publication date | Assignee | Title | 
|---|---|---|---|---|
| JP3669407B2 (en)* | 1998-01-09 | 2005-07-06 | 三菱ふそうトラック・バス株式会社 | Exhaust gas recirculation device | 
| CN1635270A (en)* | 2003-12-26 | 2005-07-06 | 臼井国际产业株式会社 | Exhaust gas recirculation gas cooling mechanism | 
| JP4631886B2 (en)* | 2007-08-28 | 2011-02-16 | トヨタ自動車株式会社 | Exhaust gas recirculation system for internal combustion engine | 
| US8015822B2 (en)* | 2008-11-21 | 2011-09-13 | General Electric Company | Method for controlling an exhaust gas recirculation system | 
| JP5636615B2 (en) | 2010-01-05 | 2014-12-10 | 株式会社イワキ | Pump system | 
| JP5787500B2 (en)* | 2010-08-24 | 2015-09-30 | 三菱重工業株式会社 | Engine exhaust gas purification device and ship | 
| US8725386B2 (en)* | 2011-07-14 | 2014-05-13 | Southwest Research Institute | Effectiveness modeling and control methods for EGR cooler | 
| US20140150758A1 (en)* | 2012-12-04 | 2014-06-05 | General Electric Company | Exhaust gas recirculation system with condensate removal | 
| JP2014134154A (en)* | 2013-01-10 | 2014-07-24 | Mitsubishi Heavy Ind Ltd | Marine vessel | 
| DE102013003001A1 (en)* | 2013-02-22 | 2014-08-28 | Man Diesel & Turbo Se | Internal combustion engine, exhaust gas recirculation device and method for exhaust gas recirculation | 
| JP6315246B2 (en) | 2014-03-31 | 2018-04-25 | 富士紡ホールディングス株式会社 | Polishing pad and manufacturing method thereof | 
| Publication number | Priority date | Publication date | Assignee | Title | 
|---|---|---|---|---|
| JP2003201903A (en)* | 2001-12-18 | 2003-07-18 | Detroit Diesel Corp | Condensation control method and system for internal combustion engine using egr | 
| JP2009174444A (en)* | 2008-01-25 | 2009-08-06 | Honda Motor Co Ltd | EGR device | 
| JP2011157959A (en)* | 2010-01-29 | 2011-08-18 | Man Diesel & Turbo Filial Af Man Diesel & Turbo Se Tyskland | Large two-cycle diesel engine with exhaust gas recirculation system | 
| JP2015174034A (en)* | 2014-03-14 | 2015-10-05 | 川崎重工業株式会社 | Scrubber and engine system | 
| JP2015197078A (en)* | 2014-04-02 | 2015-11-09 | 株式会社デンソー | EGR system for internal combustion engine | 
| Publication number | Publication date | 
|---|---|
| CN108495993A (en) | 2018-09-04 | 
| JP6633944B2 (en) | 2020-01-22 | 
| KR102061733B1 (en) | 2020-01-02 | 
| CN108495993B (en) | 2021-05-25 | 
| KR20180122661A (en) | 2018-11-13 | 
| JP2017160799A (en) | 2017-09-14 | 
| Publication | Publication Date | Title | 
|---|---|---|
| JP6633944B2 (en) | Engine system and control method | |
| DK178174B1 (en) | A large slow running turbocharged two-stroke internal combustion engine with crossheads and exhaust gas recirculation and method for operating thereof | |
| JP2009052440A (en) | Marine exhaust gas treatment equipment | |
| US8046986B2 (en) | Method and system for controlling an exhaust gas recirculation system | |
| WO2015001955A1 (en) | Anomaly determination system and anomaly determination method | |
| KR101698440B1 (en) | Egr unit and marine engine system | |
| JP4318055B2 (en) | Method and apparatus for treating exhaust gas containing sulfur oxide | |
| DK2626527T3 (en) | EXHAUST GAS COOLER | |
| SE531841C2 (en) | Arrangement and method for recirculating exhaust gases of an internal combustion engine | |
| WO2014109339A1 (en) | Ship | |
| CN106662047A (en) | Error determination unit | |
| EP2998563A1 (en) | Cleaning/cooling device, egr unit and engine system | |
| WO2017029937A1 (en) | Oil-cooled screw compressor and control method therefor | |
| JP2009041551A (en) | Exhaust gas recirculation device for internal combustion engine | |
| KR20170030027A (en) | Exhaust-gas recirculation system for an internal combustion engine, internal combustion engine, method for monitoring the exhaust-gas recirculation process of an internal combustion engine, method for retrofitting an exhaust-gas recirculation system, and kit for retrofitting an internal combustion engine | |
| JP5789321B2 (en) | Scrubber and engine system | |
| JP2001041110A (en) | Egr device with egr cooler | |
| EP1548269A1 (en) | Method for recirculating the exhaust gases in an internal combustion engine apparatus and the relative internal combustion engine apparatus | |
| JP2010156242A (en) | Foreign material catching device | |
| JP6567607B2 (en) | Ships and internal combustion engines for ship propulsion | |
| JP5768502B2 (en) | Corrosion detection system for fluid flow components | |
| JP2016084716A (en) | Internal combustion engine | |
| SE1750309A1 (en) | Process for monitoring a methane oxidation catalyst and an exhaust gas purification unit. | |
| JP2016176409A (en) | Engine exhaust recirculation device and control method for the same | |
| JP6156005B2 (en) | Engine oil deterioration detection device | 
| Date | Code | Title | Description | 
|---|---|---|---|
| NENP | Non-entry into the national phase | Ref country code:DE | |
| ENP | Entry into the national phase | Ref document number:20187028570 Country of ref document:KR Kind code of ref document:A | |
| 121 | Ep: the epo has been informed by wipo that ep was designated in this application | Ref document number:17763056 Country of ref document:EP Kind code of ref document:A1 | |
| 122 | Ep: pct application non-entry in european phase | Ref document number:17763056 Country of ref document:EP Kind code of ref document:A1 |