Movatterモバイル変換


[0]ホーム

URL:


WO2017075559A1 - Dihydroorotate dehydrogenase inhibitor compositions effective as herbicides - Google Patents

Dihydroorotate dehydrogenase inhibitor compositions effective as herbicides
Download PDF

Info

Publication number
WO2017075559A1
WO2017075559A1PCT/US2016/059620US2016059620WWO2017075559A1WO 2017075559 A1WO2017075559 A1WO 2017075559A1US 2016059620 WUS2016059620 WUS 2016059620WWO 2017075559 A1WO2017075559 A1WO 2017075559A1
Authority
WO
WIPO (PCT)
Prior art keywords
dhod
compound
screening
inhibitor
assay
Prior art date
Legal status (The legal status is an assumption and is not a legal conclusion. Google has not performed a legal analysis and makes no representation as to the accuracy of the status listed.)
Ceased
Application number
PCT/US2016/059620
Other languages
French (fr)
Inventor
Steven Gutteridge
Il-Ho Kang
John Lawrence Andreassi Ii
Current Assignee (The listed assignees may be inaccurate. Google has not performed a legal analysis and makes no representation or warranty as to the accuracy of the list.)
EIDP Inc
Original Assignee
EI Du Pont de Nemours and Co
Priority date (The priority date is an assumption and is not a legal conclusion. Google has not performed a legal analysis and makes no representation as to the accuracy of the date listed.)
Filing date
Publication date
Application filed by EI Du Pont de Nemours and CofiledCriticalEI Du Pont de Nemours and Co
Priority to EP16797688.5ApriorityCriticalpatent/EP3368896A1/en
Publication of WO2017075559A1publicationCriticalpatent/WO2017075559A1/en
Anticipated expirationlegal-statusCritical
Ceasedlegal-statusCriticalCurrent

Links

Classifications

Definitions

Landscapes

Abstract

This invention relates to the production of herbicidal compounds and compositions comprising the same which inhibit dihydroorotate dehydrogenase.

Description

TITLE
DIHYDROOROTATE DEHYDROGENASE INHIBITOR COMPOSITIONS EFFECTIVE
AS HERBICIDES FIELD OF THE INVENTION
This invention relates to the production of herbicidal compounds and compositions comprising the same which inhibit dihydroorotate dehydrogenase.
REFERENCE TO SEQUENCE LISTING SUBMITTED ELECTRONICALLY
The official copy of the sequence listing is submitted electronically via EFS-Web as an ASCII formatted sequence listing with a file named BA9596WOPCT_ST25.txt created on October 26, 2016 and having a size 93 kilobytes and is filed concurrently with the specification. The sequence listing contained in this ASCII formatted document is part of the specification and is herein incorporated by reference in its entirety.
SUMMARY OF THE INVENTION
One aspect of the present invention is a method for the production of herbicidal compounds comprising the following steps:
(a) screening a candidate compound in a DHOD inhibition assay; and
(b) if the candidate compound is active in the DHOD inhibition assay, testing the
compound for activity against a plant; and
(c) preparing a herbicidal composition comprising the compound identified in step (a) and tested in step (b).
The screening step (a) of the method may include an assay step selected from in-vitro activity assays, computer modeling assays and binding assays.
In one embodiment the method may further include the step of verifying that the provided candidate compound is not a general enzyme inhibitor.
The screening step makes use of a DHOD polypepetide having at least 50%, 51%, 52%, 53%, 54%, 55%, 56%, 57%, 58%, 59%, 60%, 61%, 62%, 63%, 64%, 65%, 66%, 67%, 68%, 69%, 70%, 71%, 72%, 73%, 74%, 75%, 76%, 77%, 78%, 79%, 80%, 81%, 82%, 83%, 84%, 85%, 86%, 87%, 88%, 89%, 90%, 91%, 92%, 93%, 94%, 95%, 96%, 97%, 98%, 99% or 100% homology to the amino acid sequence of SEQ ID NO: 2 or SEQ ID NO: 3.
The invention also includes the manufacturing or use of a herbicidal composition comprising at least one additional component selected from the group consisting of surfactants, solid diluents and liquid diluents.
Another aspect of the invention is a method for the production of herbicidal compounds, comprising testing a candidate compound in a DHOD activity inhibition assay wherein the assay utilizes DHOD from a weed to be controlled. Another aspect of the invention is a method of controlling weeds comprising applying a herbicidally effective amount of a DHOD inhibitor produced by the method described herein to a locus in need of such treatment.
Yet another aspect of the invention is a herbicidal composition comprising a DHOD inhibitor produced by the method described herein in combination with another herbicide.
Yet another aspect of the invention is a herbicidal composition comprising a DHOD inhibitor produced by the method described herein wherein the inhibitor is at least in part an indirect DHOD inhibitor
Yet another aspect of the invention is a DHOD inhibition assay utilizing a biosensor or computer modeling.
DEFINITIONS
As used herein, the terms "comprises," "comprising," "includes," "including," "has," "having," "contains", "containing," "characterized by" or any other variation thereof, are intended to cover a non-exclusive inclusion, subject to any limitation explicitly indicated. For example, a composition, mixture, process or method that comprises a list of elements is not necessarily limited to only those elements but may include other elements not expressly listed or inherent to such composition, mixture, process, or method.
The transitional phrase "consisting of excludes any element, step, or ingredient not specified. If in the claim, such would close the claim to the inclusion of materials other than those recited except for impurities ordinarily associated therewith. When the phrase "consisting of appears in a clause of the body of a claim, rather than immediately following the preamble, it limits only the element set forth in that clause; other elements are not excluded from the claim as a whole.
The transitional phrase "consisting essentially of is used to define a composition, method that includes materials, steps, features, components, or elements, in addition to those literally disclosed, provided that these additional materials, steps, features, components, or elements do not materially affect the basic and novel characteristic(s) of the claimed invention. The term "consisting essentially of occupies a middle ground between "comprising" and "consisting of.
Where applicants have defined an invention or a portion thereof with an open-ended term such as "comprising," it should be readily understood that (unless otherwise stated) the description should be interpreted to also describe such an invention using the terms "consisting essentially of or "consisting of."
Further, unless expressly stated to the contrary, "or" refers to an inclusive or and not to an exclusive or. For example, a condition A or B is satisfied by any one of the following: A is true (or present) and B is false (or not present), A is false (or not present) and B is true (or present), and both A and B are true (or present). Also, the indefinite articles "a" and "an" preceding an element or component of the invention are intended to be nonrestrictive regarding the number of instances (i.e. occurrences) of the element or component. Therefore "a" or "an" should be read to include one or at least one, and the singular word form of the element or component also includes the plural unless the number is obviously meant to be singular.
As referred to herein a DHOD inhibition assay refers to assays which measure inhibition of enzymatic activity as well as binding assays and in-silico methods of computer aided molecular design.
A "general enzyme inhibitor" as referred to herein is a compound that inhibits enzymes generally but not by specific interaction with DHOD. For example some compounds might denature certain enzymes and thus render them inactive generally. By way of example but not limitation one might use assays for enzymes unrelated in structure and function from DHOD such as beta-galactosidase or alkaline phosphatase to identify general enzyme inhibitors.
"Indirect inhibitors" are compounds that inhibit DHOD following metabolism of those inactive compounds to an active inhibitor in plants.
As used herein, the term "a herbicidally effective amount of DHOD inhibitor" refers to an amount of DHOD inhibitor sufficient to kill or inhibit the growth of the weed it is desired to control.
The term "weed(s)" relates to any unwanted vegetation and includes, for example, undesired carry-over or "rogue" or "volunteer" crop plants in a field of desired crop plants.
DETAILED DESCRIPTION OF THE INVENTION
Proper nucleoside availability is essential for the proliferation of living organisms. The mitochondrial membrane bound dihydroorotate dehydrogenase (DHOD; EC 1.3.99.11) catalyzes the fourth step of pyrimidine biosynthesis.
U.S. Pat. No. 7,423,057 describes dihydroorotate dehydrogenase inhibitor compounds useful as antinflammatory, immunomodulatory and antiproliferatory agents.
Munier-Lehmann et al., J. Med. Chem. 2013, 5(5(8), 3148-3167 reviews DHOD inhibitors along with a description of their potential or actual uses and notes that such inhibitors are used in medicine to treat autoimmune diseases such as rheumatoid arthritis or multiple sclerosis (leflunomide and teriflunomide) and have been investigated in treatments of cancer, virus, and parasite infections (i.e., malaria).
DHOD inhibition assays to identify antifungal compounds useful against agronomically important fungi are described in U.S. Pat. No. 5,976,848.
U.S. Pat. No. 7,320,877 describes the use of an assay to identify plant dihydroorotase inhibitors as herbicidal active ingredients and describes a test system coupling plant dihydroorotase and plant dihydroorotate dehydrogenase. Dihydroorotate dehydrogenase was included in the test system not as an intended target of interest for inhibition but rather as an enzymatic means to generate NADH which was then detected as a means of measuring dihydroorotase activity indirectly.
U.S. Patent Publication No. 2002/0058244 describes a method of detecting uracil biosynthesis inhibitors using a plant whole tissue assay measuring the conversion of
14C orotate to UMP, however no DHOD inhibitors are identified.
Ullrich et al., FEBS Lett. 2002, 529, 346-350 reported that plant DHOD differs significantly in substrate specificity and inhibition from the animal enzymes and suggests, without demonstrating, that DHOD might be a target enzyme for the control of plant growth.
Mutation or suppression of DHOD resulted in lethal or poor growth and required uracil supplement for normal growth in unicellular organisms such as yeast, Toxoplasma gondii (Fox & Bzik, Nature 2002, 415, 926-929), Plasmodium falciparum (McRobert &
McConkey, Mol. Biochem. Parasitol. 2002, 119, 273-278), and Ustilago maydis (Zameitat et al., Appl Environ Microbiol. 2007, 73, 3371-3379). However, in multicellular organisms, the uptake of pyrimidine nucleosides and the generation of the corresponding nucleotides by the salvage pathway fulfill the pyrimidine requirement under normal circumstances (Loffler et al., Trends Mol. Med. 2005, 11, 430-437).
For example, inhibition of pyrimidine de novo biosynthesis genes including DHOD using antisense and co-suppression did not lead to any visible phenotypes in tobacco (Nicotiana tabacum) and potato (Solanum tuberosum) although the expression of target genes were reduced up to 80% based on steady-state mRNA level (Schroder et al., Plant
Physiol. 2005, 138, 1926-1938).
Herbicidal compounds which are unequivocal inhibitors of plant DHOD are desireable. We have discovered that compounds described in WO 2015/084796 (DuPont) are potent inhibitors of plant DHOD. Therefore this is a previously undescribed mode of action for herbicides of practical application.
Embodiment IP. One aspect of the present invention is a method for the production of herbicidal compounds comprising the following steps:
(a) screening a candidate compound in a DHOD inhibition assay; and
(b) if the candidate compound is active in the DHOD inhibition assay, testing the compound for activity against a plant; and
(c) preparing a pesticidal composition comprising the compound identified in step (a) and verified in step (b).
Embodiment 2P. The method of Embodiment IP wherein screening step (a) is selected from the group of in-vitro activity assays, computer modeling assays and binding assays. Embodiment 3P. The method for production of herbicidal compounds which comprises testing a candidate compound in a DHOD activity inhibition assay wherein the assay utilizes DHOD from a weed to be controlled
Embodiment 4P. The screening step makes use of a DHOD having 50%, 51%, 53%, 54%, 55%, 56% 57% 58%, 59% 60%, 61%, 62%, 63%, 64%, 65% 66% , 67%, 68% 69% 70% 71%, 72% 73%, 74% 75%, 76%, 77% 78%, 79%, 80%, 81% 82%, 83%, 84%, 85% 86%, 87%. 88%, 89%, 90%, 91%, 92%, 93%, 94%, 95%, 96%, 97%, 98%, 99% or 100% homology to the amino acid sequence of SEQ ID NO: 2 or 3.
Reproduced below are compounds used experimentally herein. The compounds described by number make reference to these abbreviated from the Index Tables derived from WO 2015/084796 (DuPont), which is herein incorporated by reference in its entirety.
INDEX TABLE A (1)
Figure imgf000007_0001
Cmpd. No. Q1 Q2
4 Ph(3-CF3) Ph(2-CF3)
5 Ph(3,4-di-F) Ph(2-F)
41 pyridin-3-yl(6-Cl) Ph(2-F)
80 Ph(4-CF3) Ph(2,3-di-F)
101 Ph(3,4-F) Ph(2,3-di-F)
102(3S,4R) Ph(3,4-F) Ph(2-F)
103(3R,4S) Ph(3,4-F) Ph(2-F)
139 Ph(4-F,3-Me) Ph(2-F)
164 Ph(3-CHF2) Ph(2,3-di-F)
165 Ph(3-CHF2) Ph(2,3,4-tri-F)
166 Ph(3-c-Pr) Ph(2-F)
167 Ph(3-c-Pr) Ph(2,3-di-F)
168 Ph(3-c-Pr) Ph(2,3,4-tri-F)
169 Ph(3-Et) Ph(2-F)
170 Ph(3-Et) Ph(2,3-di-F)
171 Ph(3-Et) Ph(2,3,4-tri-F)
200 Ph(3-/-Bu) Ph(2,3-di-F) Cmpd. No. Q1 Q2
201 Ph(3-/-Bu) Ph(2-CF3)
202 Ph(4-CF3) Ph(2,3-di-F)
204(3i?,4S) Ph(3-CF3) Ph(2-F)
231(3R,4S) Ph(4-CF3) Ph(2-F)
232 Ph(4-CF3) Ph(2,3,4-tri-F)
240 Ph(3-CF3,4-OMe) Ph(2-CF3)
244 Ph(3,4-di-F) 2-pyridinyl(6-F)
245 Ph(3,4-di-F) 2-pyridinyl(6-CF3)
253 l f-pyrazol-4-yl( 1 -Me) Ph(2,3-di-F)
262 3-pyridinyl(6-CF3) Ph(2-F)
263 3-pyridinyl(6-CF3) Ph(2,3-di-F)
313 Ph(3-CF3) Ph(3-CF3)
314 Ph(3-CF3) Ph(2,5-di-F)
316 Ph(3-CF3) Ph(3-Cl,2-F)
317 Ph(3-CF3) Ph(3-Me)
Figure imgf000008_0001
319 Ph(3- -Pr) Ph(2,3-di-F)
320 Ph(3- -Pr) Ph(2-CF3)
W Substituents in the 3 and 4 positions of the pyrrolidinone ring, i.e. C(0)N(Q2)(R6) and Q^, respectively, are predominately in the trans configuration. In some instances the presence of minor amounts of the cis isomer can be detected by NMR.
INDEX TABLE B
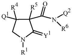
Figure imgf000008_0002
Cmpd. No. R2 R3 Q1 Q2
11 Me Me Ph(3,4-di-F) Ph(2-F) I DEX TABLE C
Figure imgf000009_0001
Cmpd. No. R1 Q1 R4 R5 R6 Q2
303 Me Ph(3,4-di-F) H H H Ph(2,3-di-F)
351(3S,4S) Me Ph(3-CF3) H H H Ph(2-F)
Validation of Target Site
Experimental Determination of DHOD as the Target for N-(3,4-difluorophenyl)-N-(2- fluorophenyl)-2-oxo-3-pyrrolidinecarboxamide (WO 2015/084796, Compound 5).
Arabidopsis Landsberg erecta (Ler-0) seeds were sterilized in chlorine gas and plated on 0.5x Murashige and Skoog salts (MS) plant growth media, containing 0.05% 2-(N- Morpholino)-ethanesulfonic acid (MES, CA# 1266615-59-1), 0.5% sucrose, and 0.8% Phytagar) in a 24-well plate. Each well contained 0.01, 0.1, 1, 5, 10 and 100 μΜ of Compound 5, respectively and the IC50 was determined by measuring fresh weights compared to untreated control seedlings. The Compound 5 concentration at which 50% of the fresh weights of untreated seedlings was determined to be the IC50 concentration.
Ethyl methanesulfonate (EMS)-mutagenized M2 seeds of Arabidopsis Ler-0 (M2E- 04-07) were purchased from Lehle Seeds (Round Rock, TX). In order to screen resistant mutant Arabidopsis plants to Compound 5, about 12,000 sterilized M2 seeds were distributed on MS plates containing Compound 5. Plate conditions for EMS-mutagenized Col-0 seeds were identical to those used for the IC50 determination, except the concentration with 10 times of the IC50 concentration of Compound 5 (5 μΜ). Resistant seedlings were selected after seven to 10 days on selective medium and transferred to soil. One such resistant line designated 45R1 was grown in a growth chamber in a 4-inch (10 cm) pot using Metromix 360 potting soil under cool -white fluorescent light and a 16 h/8 h day/night photoperiod. Compound 5 resistance was confirmed in the next generation with the same concentration of herbicide that was used in the original selection.
Crosses
Crosses of the mutant to a diverged genome were required in order to reduce unlinked genetic background within selected resistant mutants. In order to create back-cross 1 (BC1) Fl seeds and out-cross 1 (OC1) Fl seeds, the selected Compound 5-resistant mutant males were crossed with wild-type Ler-0 females and wild-type Columbia (Col-0) females, respectively. In every case, Compound 5-resistant Fl seeds were generated by pollinating emasculated flowers of wild-type plants with pollen from mutant plants. In the same manner, BC2 and OC2 were created from BC1 with wild-type Ler-0 and OC1 with wild- type Col-0 plants, respectively. The created Fl (BC1 and OC1) and F2 (BC2 and OC2) seeds were plated on MS media containing the same concentration of Compound 5 as was used in the original screen.
Seedlings showing significantly reduced growth in these concentrations of Compound 5 were used to provide samples for PCR mapping of the F2 genome. Using a combination of chromosomal markers the rough position of the allele responsible for resistance to the compound was mapped to a partial segment of chromosome 5 of the Arabidopsis genome. DHOD (At5G23300) was one of 41 genes that harbored single nucleotide polymorphisms (S Ps) in the relevant segment of chromosome 5. The gene coding for Arabidopsis DHOD was synthesized with codons optimized for E. coli expression (SEQ ID NO: 3) and cloned into pBX9 (Example 1) BL21 cells transformed with this plasmid produced soluble, functional enzyme readily purified from E. coli extracts. Inhibition studies with various herbidical analogs of Compound 5 showed potent affinity for the enzyme (Example 2; Table 1)
Metabolite Profile Response to Compound Treatment in Arabidopsis Seedlings
To uncover primary affected metabolism response to compound treatments, a metabolomics approach was conducted using a combination of the LC and GC/MS analysis. Two analogs (e.g, Compound 80 and Compound 102) were applied to 10 day-old Arabidopsis thaliana seedlings at two rates (1 and 5 μΜ). Plant samples were collected at 3 time points (6, 24 and 72 hours after treatments) and four replicates were analyzed per each condition. Approximately 100 mg of frozen samples were homogenized and extracted in 1 mL of a mixture of chloroform/methanol/water (1 :2.5: 1) for 30 min at 4 °C. After spinning down the insoluble material, supernatants were transferred to fresh tubes and dried down in a Speed- Vac centrifuge. Dried samples were dissolved either in 100 [iL of 50% acetonitrile-0.1% formic acid for positive mode direct infusion or 70% acetonitrile-10 mM ammonium acetate for negative mode direct infusion (as described in Giavakisco et al., Anal. Chem. 2009, 81, 6546-6551). The LC/MS analysis was conducted with a Waters ACQUITY Reverse Phase Ultra Performance Liquid Chromatography (RP-UPLC) coupled to a Thermo-Fisher Exactive mass spectrometer which consisted of an Electro Spray Ionization source (ESI) and an Orbitrap mass analyzer. C8 and CI 8 columns were used for the lipophilic and the hydrophilic measurements, respectively. Chromatograms were recorded in Full Scan MS mode (Mass Range [100-1500]). Extraction of the LC/MS data was accomplished with the software REFINER MS® 7.5 (GeneData, www.genedata.com). The GC/MS analysis was conducted with Agilent Technologies Gas Chromatography (GC) coupled to a Leco Pegasus HT mass spectrometer consisting of an Electron Impact ionization source (EI) and a Time of Flight (TOF) mass analyzer. A total of 3644 metabolic features were determined based on: intensity, sample outlier and missing value number within a biological group of interest. Approximately 341 features were assigned to a specific chemical formula and compound name. Principle component analysis (PCA) indicated that the biological replicates were closely clustered with each other and Compound 80- and 102-treated samples were successfully differentiated from the dimethylsulfoxide (DMSO) control. An analysis of variance (ANOVA) for each feature and the p values indicated that experimental factors were affected mostly by time, concentration followed by chemicals. To determine the primary affected metabolites response to Compound 5 treatments, the top 10 most increased and decreased metabolic features relative to control were listed in a Table. Across the applied concentrations and tested compounds, the most distinctly affected metabolism was pyrimidine de novo biosynthesis. For example, 4,5-dihydoroorotic acid, which is the substrate of DHOD in pyrimidine de novo synthesis, increased at 6 h (2.1 fold) and reached a plateau at 24 h (7.3- fold) and 72 hour (7.2-fold) compared to the control: the level of this metabolite was unchanged in the control over time. Similarly, significant alteration of N-carbamyl-D,L- aspartic acid which is another intermediate of pyrimidine de novo biosynthesis was observed: increased at 6 h (2.8 fold) and peaked at 24 h (7.4 fold) decreasing at 72 h (4.1 fold) compared to the control. Consistent results were also observed in treatments with Compound 80 and 102, namely an overall decrease of purine and pyrimidine nucleotides was detected. The amount of AMP (after 6 h), uridine and cytidine (after 24 h treatments) were decreased.
Thus, the physiological and biochemical responses caused by compounds described in WO 2015/084796 are not characteristic of any known modes of action as noted below.
These results establish DHOD inhibition as the mode of action for Compound 5 and analogs thereof as described and tested in certain herbicide screens as described within WO 2015/084796.
The DHOD Inhibition Assays
The method for the production of potential herbicides does not require use of any particular DHOD inhibition assay. Suitable assays are described hereinafter, but those skilled in the art can readily substitute functionally equivalent test methods. For example, although the in-vitro screening assay described hereinafter uses DHOD produced by A. thaliana, the DHOD produced by other plants may be substituted. For example the DHOD of a commercially significant weed (either purified by conventional biochemical techniques or preferably recombinantly) may be used. The assays to be employed include but are not limited to the group selected from one or more of the following assays: in-vitro activity assays, computer modeling assays and binding assays.
In- Vitro Inhibition Assays This is a novel herbicidal mode of action and its discovery opens up the opportunity of identifying novel compounds that inhibit the same enzyme target either directly or following metabolism to an active inhibitor in plants ("indirect inhibitors").
Compounds that are active in the DHOD inhibition assay are then tested using any desired herbicide whole plant activity test. In this context, "active in the DHOD inhibition assay" means that a measurable reduction in DHOD activity is observed.
The present herbicidal method and herbicide composition require use of a "DHOD inhibitor". As used in describing and claiming the herbicidal method and herbicide composition, the term "DHOD inhibitor" encompasses any compound that: (a) produces measurable inhibition in a DHOD inhibition assay using DHOD from a plant; (b) is not a general enzyme inhibitor. It should be understood that no herbicidal compound was known to have DHOD inhibition as its mode of action at the time the present invention was made.
Preferred DHOD inhibitors are those which produce at least a measurable reduction in DHOD activity when tested at 10 μg/mL in the A. thaliana DHOD Inhibition Assay described hereinafter. We have found it convenient in our work to restrict further testing to those compounds that cause at least a 50% reduction in DHOD activity. This is a novel herbicidal mode of action and its discovery opens up the opportunity of identifying novel chemicals that inhibit the same enzyme target either directly or following metabolism to an active inhibitor in-plantae ("indirect inhibitors").
More preferred DHOD inhibitors are those which produce at least a 25% reduction in
DHOD activity when tested at 10 μg/mL in the A. thaliana DHOD Inhibition Assay.
Ullrich et al. has also described DHOD assay methods, see FEBS Lett. 2002, 529, 346-350. The following DHOD inhibition assay conditions are adapted from those described by Ullrich.
Recombinant Production and Purification of DHOD
Generally the recombinantly expressed DHOD variants described herein lack the N-terminal mitochondrial signal peptide as it is not a catalytically essential structural feature and its presence hinders solubility and expression. C-terminal "tags" were attached to facilitate purification.
For recombinant production, host cells can be genetically engineered to incorporate expression systems or portions thereof for polynucleotides of the present invention. Introduction of polynucleotides into host cells can be effected by methods described in many standard laboratory manuals, such as Davis et al., BASIC METHODS IN MOLECULAR BIOLOGY 1986 and Sambrook et al., MOLECULAR CLONING: A LABORATORY MANUAL, 2nd Ed., Cold Spring Harbor Laboratory Press, Cold Spring Harbor, N.Y. (1989) such as calcium phosphate transfection, DEAE-dextran mediated transfection, transvection, microinjection, cationic lipid-mediated transfection, electroporation, transduction, scrape loading, ballistic introduction or infection. Representative examples of appropriate hosts include bacterial cells, such as E. coli, Streptomyces and Bacillus subtilis cells; fungal cells, such as yeast cells and Aspergillus cells; insect cells such as Drosophila S2 and Spodoptera Sf9 cells; animal cells such as CHO, COS and HeLa as well as plant cells. Bacterial systems are generally preferred.
A great variety of expression systems can be used. Such systems include, among others, chromosomal, episomal and virus-derived systems, e.g., vectors derived from bacterial plasmids, from bacteriophage, from transposons, from yeast episomes, from insertion elements, from yeast chromosomal elements, from viruses such as baculoviruses, papova viruses, such as SV40, vaccinia viruses, adenoviruses, fowl pox viruses, pseudorabies viruses and retroviruses, and vectors derived from combinations thereof, such as those derived from plasmid and bacteriophage genetic elements, such as cosmids and phagemids. The expression systems may contain control regions that regulate as well as engender expression. Generally, any system or vector suitable to maintain, propagate or express polynucleotides to produce a polypeptide in a host may be used. The appropriate nucleotide sequence may be inserted into an expression system by any of a variety of well- known and routine techniques, such as, for example, those set forth in Sambrook et al., MOLECULAR CLONING: A LABORATORY MANUAL.
For secretion of the translated protein into the lumen of the endoplasmic reticulum, into the periplasmic space or into the extracellular environment, appropriate secretion signals may be incorporated into the desired polypeptide. These signals may be endogenous to the polypeptide or they may be heterologous signals.
If the DHOD is to be expressed for use in screening assays, in this event, the cells may be harvested prior to use in the screening assay. If DHOD is secreted into the medium, the medium can be recovered in order to recover and purify the polypeptide; if produced intracellularly, the cells must first be lysed before the polypeptide is recovered. DHOD can be recovered and purified from recombinant cell cultures by well-known methods including ammonium sulfate or ethanol precipitation, acid extraction, anion or cation exchange chromatography, phosphocellulose chromatography, hydrophobic interaction chromatography, affinity chromatography, hydroxylapatite chromatography, lectin chromatography, high performance liquid chromatography. Most preferably, affinity chromatography is employed when the protein has been "tagged". Well known techniques for refolding proteins may be employed to regenerate an active conformation when the polypeptide is denatured during isolation and or purification.
DHOD for use in the assay was obtained in the following exemplary fashion. While the method described below is one using a recombinant approach native enzyme prepartions can be purified from whole plants, plant parts, and plant cells in culture by conventional biochemical means well within the expertise of the skilled artisan. Example 1
Expression and purification of Plant DHOD
Plant DHOD enzyme(s) derived from A. thaliana, Setaria italica, wheat, rice, corn, soybean, sugar beet and Amaranthus hypochondriacus were produced in a heterologous, E. coli, expression system. DHOD coding sequences were cloned into E. coli expression vectors encoding a lOx-His-tag in fusion with the C-terminus of each DHOD enzyme. The DHOD sequences were truncated at the 5'-end to remove a mitochondrial leader sequence and membrane-associated domain resulting in a soluble expressed protein with a N-terminal truncation of 75 to 80 amino acids, depending on the plant species. BL21 DE3 cells (Invitrogen) transformed with expression vectors encoding for DHOD were grown in liquid culture at 37 °C until O.D. 0.6, cooled to 16 °C and induced with 0.2 mM isopropyl thiogalactopyranoside (TPTG) for approximately 16 h. E. coli cells were collected by centrifugation and lysed by sonic disruption in Buffer A (25 mM KP04 (7.4), 5% glycerol, 300 mM KCl, lx protease inhibitor tablets). Cell debris was removed by centrifugation and the supernatant was exposed to HisPure Cobalt resin (ThermoScientific) equilibrated in buffer B (25 mM potassium phosphate (pH = 7.4), 5% glycerol, 300 mM KCl and 100 mM imidazole). The Resin was washed 3x with Buffer B and DHOD fusion protein was eluted with buffer C (25 mM potassium phosphate (pH = 7.4), 5% glycerol, 300 mM KCl and 700 mM imidazole). Buffer C was then exchanged for Buffer D (25 mM potassium phosphate (pH = 7.4), 5% glycerol, and 300 mM KCl) by gel filtration and stored at -80 °C.
Example 2
DHOD enzyme assay
All activity studies were performed with an oligo-histidine-tagged enzyme produced as described in Example 1. The oxidation of the substrate L-dihydroorotate (DHO) with the quinone co-substrate was coupled to the reduction of the chromogen 2,6-dichlorophenol- indophenol (DCIP). DHOD assay buffer consisted of 50 mM Tris-HCl (pH = 8.0), 150 mM KCl, 0.1 mM decylubiquinone or decylplastoquinone (Sigma) and 0.06 mM DCIP. Quinone stock solutions (2 mM) [Qio-] were prepared fresh by solubilization in 5% Brij-35 detergent liposomes using micro cavitation. Reactions were pre-equilibrated for 5 min at 25° C with either DMSO or synthetic compounds and reactions were initiated by addition of dihydroorotate at a final concentration of 1 mM in a total reaction volume of 0.2 mL. The final DMSO concentration in the assay was 0.1%. The progress of the reaction was monitored by UV-Vis spectroscopy at either 300 or 600 nM.
The formation of orotate was directly followed by monitoring the increase in its absorbance at the isosbestic wavelength of QQ at 300 nm (£3oonm= 2950 M-1 cm-1).
DHOD inhibition was measured by spectrophotometrically observing (at 610 nm) the reduction of DCIP by electrons liberated when dihydroorotate was oxidized to orotate (electrons were transferred to DCIP in the reaction mixture via ubiquinone- 10). DCIP was observed as a dark blue color that strongly absorbing at 610 nm but not observed when reduced.
Initial rates were measured over the first 3 to 4 min of a linear reaction. Data was fitted to dose-response curves to generate IC50 values. IC50 values (nM) were determined for the compounds and enzyme species listed below in Table 1 where a "-" means not tested.
Table 1 setaria IC50 (nM) rice IC50 (nM) soy IC50 (nM) corn IC50 (nM)
Cmpd # SEQ ID NO: 6 SEQ ID NO: 12 SEQ ID NO: 15 SEQ ID NO: 22
4 10 19 - -
11 558 2757 - -
17 18 43 - -
41 221.8 - - -
45 144.7 - - -
101 8.9 21 - -
103 29 120 1970 -
139 53 183 - -
164 10 - - -
165 7.91 - - -
166 14.5 112 - -
167 4.5 20 - -
168 5 10 - -
169 12 77 - -
170 4.5 12 - -
171 5.7 9 - -
200 66 - - -
201 211 - - -
202 8 7 52 -
204 6 59 1500 11
231 70 60 - -
232 14 10 37 -
240 43 112 - -
244 30 - - -
245 565 - - -
253 637.3 - - - setaria IC50 (nM) rice IC50 (nM) soy IC50 (nM) corn IC50 (nM)
Cmpd # SEQ ID NO: 6 SEQ ID NO: 12 SEQ ID NO: 15 SEQ ID NO: 22
262 521 - - -
263 16 - - -
303 6.6 16 - -
313 221.4 - - -
314 603 2241 - -
316 3.8 - - -
317 123 - - -
318 12.6 34 - -
319 10 9 - -
320 10 46 - -
351 1.5 33 260
"Cmpd #" Refers to the compound number in Index Table A, B or C.
"SEQ ID NO:" Refers to the Sequence Identification Number.
High Throughput Screening
The assay method described in Example 2 can be modified to accommodate high throughput screening by methods well known in the art.
The assay is preferably conducted using Falcon® 96-well, flat bottom polystyrene plates having 96 wells arrayed in 12 columns and 8 rows.
The inhibition of DHOD by Compound 204 may desirably be used to standardize the effects of other test compounds on DHOD activity. Certain well(s) are used for determining background and uninhibited activity measurements.
Preparation of the plates is preferably automated, using robotic workstations to dilute the stock compounds and add appropriate volumes of reaction solutions and compounds to the individual wells of the 96-well microtiter plate.
The assay is initiated by adding 5 μΤ of concentrated DHOD solution to each well, which is conveniently done using an Eppendorf 8-channel dispenser. After this solution is added, the concentration of test compound in each well is 10 μg/mL. The contents of each well on the plate is mixed, and changes in absorbance at 300 nm are recorded every 10 s for 5 min using the THERMO max™ (Molecular Devices) plate reader (set at 30 °C incubation temperature).
The rate of absorbance change per minute (mAbsgio nm/min) due to reduction of DCIP is then calculated for each sample and the background controls. A plot of absorbance versus time for each well yields a downward sloping line, reflecting decreased absorbance as the DCIP is reduced. Under the conditions of the assay described above, the plot is essentially linear. Alternately, the rate of absorbance change per minute (mAbs3oo nm/min) due to reduction of DCIP is then calculated for each sample and the background controls. A plot of absorbance versus time for each well yields an upward sloping line, reflecting increased absorbance as the DCIP is reduced. Under the conditions of the assay described above, the plot is essentially linear. Compounds that inhibit DHOD reduce the reaction rate and result in a linear plot with a reduced slope.
There is a strong correlation between activity of a compound in the DHOD assay and herbicidal activity. The present invention is directed to herbicidal use of compounds that inhibit DHOD, as opposed to herbicidal use of compounds that inhibit enzymes generally. An example of a compound that inhibits enzymes generally is diethyl pyrocarbonate, which reacts preferentially with protein thiol and amino groups.
To eliminate the possibility that a compound active in the DHOD assay is a general enzyme inhibitor, the active compound may be tested in a second enzyme assay. A suitable assay for this purpose is, for example, the E. coli alkaline phosphatase assay described by Garen and Levinthal, Biochim. Biophys. ACTA 1960, 38, 470. If the compound is not inhibitory in the second enzyme assay, it may generally be safely concluded that the compound does not inhibit enzymes generally.
Biological efficacy of a herbicidal compound in whole organisms is influenced by many factors, including not only intrinsic activity of the compound, i.e. efficiency of its interaction with the target molecule, but also stability of the compound and ability of the compound to be translocated to the target site. The DHOD inhibition assay measures the intrinsic activity of the compound. It will be appreciated by those skilled in the art that once a potential herbicide is detected using the DHOD assay, conventional techniques must be used to determine the usefulness of the compound in various environments.
A herbicidally effective amount of the compounds of this invention is determined by a number of factors. The exact concentration of compound required varies with the weed to be controlled, the type of formulation employed, the method of application, climate conditions and the like. Generally, a herbicidally effective amount of compounds of this invention is about 0.005 to 20 kg/ha with a preferred range of about 0.01 to 1 kg/ha. One skilled in the art can easily determine the herbicidally effective amount necessary for the desired level of weed control.
Weeds appropriate for the use of compositions that inhibit DHOD include blackgrass (Alopecurus myosuroides), downy bromegrass {Bromus tectorum), green foxtail (Setaria viridis), Italian ryegrass (Lolium multiflorum), wild oat (Avena fatua), catchweed bedstraw (Galium aparine), bermudagrass (Cynodon dactylon), Surinam grass (Brachiaria decumbens), common cocklebur (Xanthium strumarium), large crabgrass (Digitaria sanguinalis), woolly cupgrass (Eriochloa villosa), giant foxtail (Setaria faberii), goosegrass (Eleusine indica), johnsongrass (Sorghum halepense), kochia (Kochia scoparia), lambsquarters (Chenopodium album), morningglory (Ipomoea coccinea), eastern black nightshade {Solarium ptycanthum), yellow nutsedge (Cyperus esculentus), pigweed (Amaranthus retroflexus), common ragweed (Ambrosia elatior), Russian thistle (Salsola kali), velvetleaf (Abutilon theophrasti), small-flower umbrella sedge (Cyperus difformis), ducksalad (Heteranthera limosa), barnyardgrass (Echinochloa crus-galli), wild poinsettia (Euphorbia heterophylla), palmer pigweed (Amaranthus palmeri), common waterhemp (Amaranthus rudis) (including ALS/Triazine-resistant and ALS/HPPD-resistant waterhemp), ladysthumb smartweed (Polygonum persicaria), Brazilian crabgrass (Digitaria horizontalis), fall panicum (Panicum dichotomiflorum), sandbur (southern sandbur, Cenchrus echinatus), arrowleaf sida (Sida rhombifolia), field bindweed (Convolvulus arvensis), hairy beggarticks (Bidens pilosa), annual bluegrass (Poa annua), canary grass (Phalaris minor), common chickweed (Stellaria media), field poppy (Papaver rhoeas), field violet (Viola arvensis), henbit deadnettle (Lamium amplexicaule), scentless chamomile (Matricaria inodora), bird's- eye speedwell (Veronica persica), wild buckwheat (Polygonum convolvulus), wild mustard (Sinapis arvensis), wild oat (Avena fatua), wild radish (Raphanus raphanistrum), windgrass (Apera spica-venti) and Virginia dayflower (Commelina virginica).
Certain crop species that may show tolerance to the application of compositions comprising the compound that inhibit DHOD include corn (Zea mays), soybean (Glycine max), wheat (TRZAW, Triticum aestivum), winter barley (Hordeum vulgare), rice (Oryza sativa), oilseed rape (Brassica napus) and sunflower (Helianthus annuus).
As those skilled in the art will recognize the present invention contemplates the use of other plant DHOD enzymes other than that found in A. thaliana. Indeed the skilled artisan is capable of using known plant DHOD sequences to create a consensus sequence useful in the plant DHOD assay employed.
SEQUENCE LISTING TABLE
SEQ ID NO: Description
ARABIDOPSIS THALIANA DHOD (AT5G23300 CDS, DNA, ARABIDOPSIS
1
THALIANA)
2 ARABIDOPSIS THALIANA (AT5G23300, PROTEIN, ARABIDOPSIS THALIANA)
ARABIDOPSIS DHOD EXPRESSION CONSTRUCT (AT5G23300, PROTEIN,
3
ARABIDOPSIS)
4 SETARIA ITALICA DHOD (Si024874m CDS, DNA, SETARIA ITALICA)
5 SETARIA ITALICA DHOD (Si024874m, PROTEIN, SETARIA ITALICA)
SETARIA ITALICA DHOD EXPRESSION CONSTRUCT (Si024874m, PROTEIN,
6
SETARIA ITALICA)
TRITICUM AESTIVUM DHOD (Traes 2AL 27580E224.3 CDS, DNA, TRITICUM
7
AESTIVUM)
TRITICUM AESTIVUM DHOD (Traes 2AL 27580E224.3, PROTEIN, TRITICUM
8
AESTIVUM)
TRITICUM AESTIVUM DHOD EXPRESSION CONSTRUCT (Traes 2AL 27580E224.3,
9
PROTEIN, TRITICUM AESTIVUM)
10 ORYZA SATIVUM DHOD (LOC Os04g57950.1 CDS, DNA, ORYZA SATIVUM)
11 ORYZA SATIVUM DHOD (LOC Os04g57950.1, PROTEIN, ORYZA SATIVUM)
12 ORYZA SATIVUM EXPRESSION CONSTRUCT (LOC Os04g57950.10s, PROTEIN, SEQ ID NO: Description
ORYZA SATIVUM)
13 GLYCINE MAX DHOD (Glyma.10G286200.1 CDS, DNA, GLYCINE MAX)
14 GLYCINE MAX DHOD (Glyma.10G286200.1, PROTEIN, GLYCINE MAX)
GLYCINE MAX DHOD EXPRESSION CONSTRUCT (Glyma.10G286200.1, PROTEIN,
15
GLYCINE MAX)
16 GLYCINE MAX DHOD (Glyma.20G103100.1 CDS, DNA, GLYCINE MAX)
17 GLYCINE MAX DHOD (Glyma.20G103100.1, PROTEIN, GLYCINE MAX)
GLYCINE MAX DOHD EXPRESSION CONSTRUCT (Glyma.20G103100.1, PROTEIN,
18
GLYCINE MAX)
19 ZEA MAYS DHOD (GRMZM2G043776 T01 CDS, DNA, ZEA MAYS)
20 ZEA MAYS DHOD (GRMZM2G043776 T01, PROTEIN, ZEA MAYS)
ZEA MAYS DHOD EXPRESSION CONSTRUCT
21
(GRMZM2G043776 T01, PROTEIN, ZEA MAYS DHOD)
ZEA MAYS DHOD ALTERNATE EXPRESSION CONSTRUCT
22
(GRMZM2G043776 T01, PROTEIN, ZEA MAYS)
23 HOMO SAPIENS DHOD (NM 001361.4 CDS, DNA, HOMO SAPIENS)
HOMO SAPIENS DHOD EXPRESSION CONSTRUCT (NM 001361.4, PROTEIN,
24
HOMO SAPIENS)
HOMO SAPIEN(S) DHOD EXPRESSION CONSTRUCT (NM 001361.4, PROTEIN,
25
HOMO SAPIENS)
26 BETA VULGARIS DHOD (LOC104908891 CDS, DNA, BETA VULGARIS DHOD)
27 BETA VULGARIS DHOD (LOC 104908891, PROTEIN, BETA VULGARIS)
28 BETA VULGARIS DHOD (LOC 104908891, PROTEIN, BETA VULGARIS)
AMARANTHUS HYPOCHONDRIACUS CODING SEQUENCE DHOD
29 (AMARANTHUS HYPOCHONDRIACUS CDS, DNA, AMARANTHUS
HYPOCHONDRIACUS)
AMARANTHUS HYPOCHONDRIACUS DHOD
30 (AMARANTHUS HYPOCHONDRIACUS, PROTEIN, AMARANTHUS
HYPOCHONDRIACUS)
AMARANTHUS HYPOCHONDRIACUS DHOD EXRESSION CONSTRUCT
31 (AMARANTHUS HYPOCHONDRIACUS, PROTEIN, AMARANTHUS
HYPOCHONDRIACUS)
Those skilled in the art will recognize that the proteins and encoding DNA sequences depicted above are all capable of being used in the present invention. However the present invention is not limited to use of sequences such as those exemplified above but rather any plant DHOD protein or encoding nucleic acids are intended. The invention includes the use of any DHOD having 50% to 100% to identity to SEQ ID NO: 2 or SEQ ID NO: 3 (without taking into account mismatches at the N-terminus) where every integer value in between is intended.
Calculations of "homology" or "sequence identity" between two sequences (the terms are used interchangeably herein) are performed as follows. The sequences are aligned for optimal comparison purposes (e.g., gaps can be introduced in one or both of a first and a second amino acid or nucleic acid sequence for optimal alignment and nonhomologous sequences can be disregarded for comparison purposes). The amino acid residues or nucleotides at corresponding amino acid positions or nucleotide positions are then compared. When a position in the first sequence is occupied by the same amino acid residue or nucleotide as the corresponding position in the second sequence, then the molecules are identical at that position (as used herein amino acid or nucleic acid "identity" is equivalent to amino acid or nucleic acid "homology"). The percent identity between the two sequences is a function of the number of identical positions shared by the sequences, taking into account the number of gaps, and the length of each gap, which need to be introduced for optimal alignment of the two sequences.
The comparison of sequences and determination of percent sequence identity between two sequences may be accomplished using a mathematical algorithm. In a preferred embodiment, the percent identity between two amino acid sequences is determined using the Needleman and Wunsch algorithm (J. Mol. Biol. 1970, 48, 444-453), which has been incorporated into the GAP program in the GCG software package (available at www.gcg.com), using either a Blossum 62 matrix or a PAM250 matrix, and a gap weight of 16, 14, 12, 10, 8, 6, or 4 and a length weight of 1, 2, 3, 4, 5, or 6. In yet another preferred embodiment, the percent identity between two nucleotide sequences is determined using the GAP program in the GCG software package (available at www.gcg.com), using a NWSgapdna.CMP matrix and a gap weight of 40, 50, 60, 70, or 80 and a length weight of 1, 2, 3, 4, 5, or 6. A particularly preferred set of parameters (and the one that should be used if the practitioner is uncertain about what parameters should be applied to determine if a molecule is within a sequence identity or homology limitation of the invention) is a Blossum 62 scoring matrix with a gap penalty of 12, a gap extend penalty of 4, and a frameshift gap penalty of 5. The percent identity between two amino acid or nucleotide sequences can also be determined using the algorithm of Meyers and Miller (CABIOS 1989, 4, 11-17), which has been incorporated into the ALIGN program (version 2.0), using a PAM120 weight residue table, a gap length penalty of 12 and a gap penalty of 4.
The above sequences can be conventionally synthesized by the modified phosphotriester method using fully protected deoxyribonucleotide building blocks. Such synthetic methods are well known in the art and can be carried out in substantial accordance with the procedure of Itakura et al., Science 1977, 198, 1056 and Crea et al., Proc. Nat. Acad. Sci. U.S.A. 1978, 75, 5765. In addition, an especially preferred method is disclosed in Hsiung et al., Nucleic Acid Research 1983, 11, 3227 and Narang et al., Methods in Enzymology 1980, 68, 90. In addition to the manual procedures referenced above, the DNA sequence can be synthesized using automated DNA synthesizers, such as the ABS (Applied Biosy stems, 850 Lincoln Centre Drive, Foster City, Calif. 94404) 380B DNA Synthesizer.
It is more convenient however to prepare a desired DNA sequence by the polymerase chain reaction. See, for example, U.S. Pat. Nos. 4,800,159 and 4,683,202 and European Patent Publication No. 0258017 from any individual plant species of interest by procedures well known in the art. The amino acid sequences depicted above can be encoded by a multitude of different DNA sequences because most of the amino acid residues are encoded by more than one DNA triplet. Because these alternate DNA sequences would encode the same amino acid residue sequences of the present invention, the present invention further comprises these alternate sequences.
The following Examples are provided to further illustrate and exemplify, but not limit the scope of the present invention.
Computer Modeling
Candidate DHOD inhibitors can be screened within the meaning of the claims herein using computer modeling. The utility of this approach has been demonstrated in the screening of DHOD inhibitors for medicinal use in humans. McLean, L. R. et al., Bioorg. and Med. Chem. Lett. 2010, 20(6), 1981-1984. The computational design of inhibtors of DHOD has been described in WO 2004/056747.
A further embodiment of the present invention utilizes a database searching program which is capable of scanning a database of small molecules of known three-dimensional structure for candidates which fit into the target protein site. Suitable software programs include 4SCan® (U.S. Pat. No. 7,247,736 and DE 10009479, EP 1094415), FLEXX (Rarey et al., J. Mol. Biol. 1996, 261, 470-489), and UNITY (Tripos Inc., St. Louis, Mo.). Especially 4SCan® was developed to scan/screen large virtual databases up to several millions of small molecules in a reasonable time-frame.
A further embodiment of the present invention utilizes a database searching program which is capable of scanning a database of small molecules of known three-dimensional structure for candidates which align properly with the co-crystallized ligand, both in shape and interaction properties. Suitable software programs include 4SCan® (U.S. Pat. No. 7,247,736 and EP 1094415) and FLEXS (Lemmen et al., J. Med. Chem. 1998, 41, 4502- 4520). Especially 4SCan® is capable of aligning large virtual databases up to several millions of small molecules in a reasonable time-frame.
It is not expected that the molecules found in the search will necessarily be leads themselves, since a complete evaluation of all interactions will necessarily be made during the initial search. Rather, it is anticipated that such candidates might act as the framework for further design, providing molecular skeletons to which appropriate atomic replacements can be made. Of course, the chemical complementarity of these molecules can be evaluated, but it is expected that the scaffold, functional groups, linkers and/or monomers may be changed to maximize the electrostatic, hydrogen bonding, and hydrophobic interactions with the enzyme.
Goodford (J. Med. Chem. 1985, 28, 849-857) has produced a computer program, GRID, which seeks to determine regions of high affinity for different chemical groups (termed probes) on the molecular surface of the binding site. GRID hence provides a tool for suggesting modifications to known ligands that might enhance binding. Consequently, virtual combinatorial libraries covering numerous variations of the addressed scaffold, functional groups, linkers and/or monomers can be build up using suitable software programs including LEGION (Tripos Inc., St. Louis, Mo.) or ACCORD FOR EXCEL (Accelrys Inc., San Diego, Calif), followed by scanning or virtual screening or docking of these libraries using suitable software mentioned above.
A range of factors, including electrostatic interactions, hydrogen bonding, hydrophobic interactions, desolvation effects, conformational strain, ligand flexibility and cooperative motions of ligand and enzyme, all influence the binding effect and should be taken into account in attempts to design bioactive inhibitors.
Yet another embodiment of a computer-assisted molecular design method for identifying inhibitors of DHOD comprises searching for fragments which fit into a binding region subsite and link to a pre-defined scaffold. The scaffold itself may be identified in such a manner. A representative program suitable for the searching of such functional groups and monomers include LUDI (Boehm, J., Comp. Aid. Mol. Des. 1992, 6, 61-78) and MCSS (Miranker et al., Proteins 1991, 11, 314-328).
Yet another embodiment of a computer-assisted molecular design method for identifying inhibitors of DHOD comprises the de novo synthesis of potential inhibitors by algorithmic connection of small molecular fragments that will exhibit the desired structural and electrostatic complementarity with the active site of the enzyme. The methodology employs a large template set of small molecules which are iteratively pierced together in a model of the DHOD ubiquinone binding site. Programs suitable for this task include GROW (Moon et al., Proteins 1991, 11, 314-328) and SPROUT (Gillet et al., J. Comp. Aid. Mol. Des. 1993, 7, 127).
In yet another embodiment, the suitability of inhibitor candidates can be determined using an empirical scoring function, which can rank the binding affinities for a set of inhibitors. For examples of such a method see Muegge et al. and references therein (J. Med. Chem. 1999, 42, 791-804) and ScoreDock (Tao et al., J. Comp. Aid. Mol. Des. 2001, 15, 429-446).
Other modeling techniques can be used in accordance with this invention, for example, those described by Stahl (Stahl, in: Virtual Screening for Bioactive Molecules, Wiley-VCH, Weinheim, 2000, pp. 229-264), Cohen et al. (J. Med. Chem. 1990, 33, 883- 894); Navia et al. (Current Opinions in Structural Biology 1992, 2, 202-210); Baldwin et al. (J. Med. Chem. 1989, 32, 2510-2513); Appelt et al. (J. Med. Chem. 1991, 34, 1925-1934); and Ealick et al. (Proc. Nat. Acad. Sci. U.S.A. 1991, 88, 11540-11544).
A compound which is identified by one of the foregoing methods as a potential inhibitor of DHOD can then be obtained, for example, by synthesis or from a compound library, and assessed for the ability to inhibit DHOD in vitro. Such an in vitro assay can be performed as is known in the art, for example, by contacting DHOD in solution with the test compound in the presence of the substrate and cofactor of DHOD and ubiquinone. The rate of substrate transformation can be determined in the presence of the test compound and compared with the rate in the absence of the test compound. Suitable assays for DHOD biological activity are described below, the teachings of each of which are hereby incorporated by reference herein in their entity.
A candidate compound is identified in this method by providing a computer program with information comprising (a) structural information about a binding pocket plant DHOD, (b) structural information of the compound, and (c) a set of rules and instructions about binding interactions between the compound and the binding pocket of the DHOD. Based on the information and the instructions provided to the computer program, the computer program predicts whether the binding of the compound is sufficiently robust and selecting the compound as a putative DHOD inhibitor.
In an embodiment of the invention, Glide computer software by Schrodinger LLC is used to identify the compounds which would bind to and regulate metalloregulatory activity of the proteins of ArsR/SmtB family by binding to the novel pocket. The Glide software program is described in U.S. Pat. No. 8, 145,430, entitled "Predictive Scoring Function for Estimating Binding Affinity". The software programs which may be used in the current invention include but are not limited to: MCSS, Ludi, QUANTA (macromolecular X-ray crystallography software); Insight II (biological compound modeling and simulation software); Cerius2 (modeling and simulation software); CHARMm (software for simulation of biological macromolecules); Modeler from Accelrys, Inc. (San Diego, Calif); AMBER and AmberTools suite of programs (Case et al. University of California, San Francisco); CHIMERA molecular modeling software (University of California San Francisco), VMD (visualization software); Gaussian 09 (electronic structure program); GAMESS (electronic structure program); SYBYL (molecular modeling software); Unity, FleXX, and LEAPFROG from TRTPOS, Inc. (St. Louis, Mo.); AUTODOCK (Scripps Research Institute, La Jolla, Calif); GRID (Oxford University, Oxford, UK), DOCK (University of California, San Francisco, Calif); and Flo+ and Flo99 (Thistlesoft, Morris Township, N.J.); ROCS, ZAP, FRED, Vida, and Szybki from Openeye Scientific Software (Santa Fe, N. Mex.); Maestro and Macromodel from Schrodinger, LLC (Portland, Oreg.); MOE (Chemical Computing Group, Montreal, Quebec); Allegrow (Boston De Novo, Boston, Mass.); CNS (Brunger, et al, Acta Crystal. Sect. D 1997, 54, 905-921, 1997); and GOLD (Jones et al, J. Mol. Biol. 245, 1995, 43-53).
Structural information of a compound is provided as input to a docking program in order to screen the compound's ability to bind to a plant DHOD. Based on a pre-determined set of rules and instructions about binding interactions between a small molecule compound and the target binding site, the docking software program predicts the probability of the compound binding to the protein. This could be followed by extensive molecular dynamics simulations using the AMBER program that investigate the ability of the candidate molecule to regulate the activity of DHOD. Commonly used binding interactions between a small molecule compound and a target binding site include, but are not limited to, hydrophilic interactions, hydrophobic interactions, van der Waals interactions, and hydrogen bonds.
In an aspect of the invention, the structural information about a binding pocket of a protein is provided as input to a docking program. A set of rules and instructions are also provided to the docking program about binding interactions between a small molecule compound and the binding pocket of a DHOD. Based on the structural information and the instructions, the docking program predicts the binding affinity of a particular small molecule compound a particular DHOD.
In another aspect of the invention, the docking program provides a "binding score" which indicates the strength of the binding between a compound and the binding pocket on a DHOD protein. Binding score can be calculated so that a higher binding score indicates stronger binding affinity. Binding scores can also be calculated so that a higher binding score indicates weaker binding affinity. In an embodiment of the invention, only those compounds from the compound library are selected which have binding scores higher or lower than a pre-determined level.
Compounds identified by computer modeling are then tested for activity against a plant.
Example 3
DHOD homology models
Homology models of plant and fungal DHOD was generated using the structure of human DHOD in complex with leflunomide (A771726, PDBID 1D3H; Liu, S., Neidhardt, E. A., Grossman, T. H., Ocain, T., Clardy, J., 2000 Struct. Fold. Des. 8, 25-33). For example, Arabidopsis DHOD or AtDHOD (AAs 75-388) was determined to have 51% identity to the human DHOD sequence used as the template structure in the homology modelling/structure prediction module of the Maestro (Schroedinger) molecular modelling suite. The Maestro generated model included all ligands from the template structure (A771726, FMN and orotic acid). The PDB text file for the A. thaliana DHOD model was modified to include water 603 from the 1D3H template structure using identical x,y,z coordinates from the template file. The preliminary model was then analyzed by the protein preparation wizard within maestro for conflicts, hydrogens added and H-bonds assigned with pKa determination at pH = 7.0. The model was then subjected to a restrained minimization (convergence set at RMSD = 0.3 angstroms) to optimize all hydrogens including those contained in water 603. Compounds 103, 204 and 351, were docked to the plant homology model using the Glide docking module in Maestro using the extra precision (XP) mode and an H-bond constraint to water 603. The region or "Grid" to dock the compounds, the putative Quinone binding pocket, was set based on the location and size of the A771726 ligand incorporated into the homology model.
Binding Assays
Any affinity-based detection method where an analyte binds to a DHOD may be employed as a screening method. For example affinity-based detection method where an analyte binds to a ligand immobilized on a sensing surface may be employed, provided that a change in a property of the sensing probe is measured and quantitatively indicative of binding of the analyte to the immobilized ligand.
Fluorescence and luminescence detections or radioactive labeling of the analyte in biomolecular interactions are still vogue in many established bio-oriented techniques described in P. Yamamoto-Fujita, et al., Anal. Chem. 2005, 77 5460-5466; K. Murakami et al., Prion 2002, 2, 73-80; M. H. Ko et al., Small 2009, 5 1207-1212; and J. E. Vandenengel et al., Biochem. Biophys. Res. Commun. 2009, 378, 51-56.
However, these labeling methods are not favourable in some cases, because labeling materials may occupy the important binding sites or cause steric hindrance, resulting in false information about interactions. On the other hand, in some cases an additional step is required prior to the analysis of the interaction due to the difficulty of labeling procedure.
To overcome these limitations several techniques for monitoring biomolecular interactions were developed in the past, which includes saturation transfer difference nuclear magnetic resonance analysis which can provide the original information J. H. Streiff, et al. Mol. Pharmacol. 2004, 66, 929-935, micro-surface-enhanced Raman scattering (A. E. Grow et al., J. Microbial. Methods 2003, 53, 221-233), microsphere cavities (F. Vollmer et al., Biophys. J. 2003, 85, 1974-1979), liquid crystal sensors (P. S. Cremer, Nat. Biotechnol. 2004, 22, 172-173), and calorimetry using enthalpy arrays (F. E. Torres, Proc. Nat. Acad. Sci. U.S.A. 2004, 101, 9517-9522).
Several interference methods have been described such as microelectromechanical system cantilevers (G. Wu, et al., Nat. Biotechnol. 2001, 19, 856-860), reflectometric interference spectroscopy (O. Birkert et al., Anal. Bioanal. Chem. 2002, 372, 141-147), interferometry (F. Sun, et al., Biophys. J. 2003, 85, 3194-3201), ellipsometry {Anal. Chem. 2004, 76, 1799-1803), and spinning disk interferometry (M. M. Varma et al. Biosens. Bioelectron. 2004, 19, 1371-1376 and M. M. Varma, Opt. Lett. 2004, 29, 950-952).
The methods of the present invention may be carried out by use of an affinity-based biosensor. As is appreciated by those skilled in the art, "biosensors" are analytical devices for analyzing minute quantities of sample solution having an analyte of interest, wherein the analyte is analyzed by a detection device that may employ a variety of detection methods. Typically, such methods include, but are not limited to, mass detection methods, such as piezoelectric, optical, thermo-optical and surface acoustic wave (SAW) device methods, and electrochemical methods, such as potentiometric, conductometric, amperometric and capacitance methods. With regard to optical detection methods, representative methods include those that detect mass surface concentration, such as reflection-optical methods, including both internal and external reflection methods, angle, wavelength or phase resolved, for example, ellipsometry and evanescent wave spectroscopy (EWS), the latter including surface plasmon resonance (SPR) spectroscopy, Brewster angle refractometry, critical angle refractometry, frustrated total reflection (FTIR), evanescent wave ellipsometry, scattered total internal reflection (STIR), optical wave guide sensors, evanescent wave-based imaging such as critical angle resolved imaging, Brewster angle resolved imaging, SPR angle resolved imaging, and the like. Further, photometric methods based on, for example, evanescent fluorescence (TIRF) and phosphorescence may also be employed, as well as waveguide interferometers.
Surface plasmon resonance (SPR) has become increasingly popular. SPR biosensors measure the quantity of a complex formed between two molecules in real-time without the need for fluorescent or radioisotopic labels. This lack of labeling requirement makes these instruments amenable to characterizing unmodified active molecules, studying the interaction of candidates with macromolecular targets and identifying binding partners during ligand fishing experiments
The lack of labeling requirements and the high information content available with SPR technology makes it a particularly powerful tool in small-molecule screening. Current BIACORE instruments require sample volumes of 50-150 μΐ and can analyse samples in a 96-well plate format. Sample throughput is dependent on the assay, but typically ranges from 100-400 assays per day. This throughput is ideal for secondary screening applications or for characterizing combinatorial libraries. Because the assay is insensitive to non-binders, it is also possible to screen mixtures of compounds, which increases sample throughput.
In the context of SPR spectroscopy, one exemplary class of biosensors is sold by Biacore AB (Uppsala, Sweden) under the tradename BIACORE® (hereinafter referred to as "the BIACORE instrument"). Such biosensors utilize a SPR based mass-sensing technique to provide a "real-time" binding interaction analysis between a surface bound ligand and an analyte of interest.
The BIACORE instrument includes a light emitting diode, a sensor chip covered with a thin gold film, an integrated fluid cartridge and a photo detector. Incoming light from the diode is reflected in the gold film and detected by the photo detector. At a certain angle of incidence ("the SPR angle"), a surface plasmon wave is set up in the gold layer, which is detected as an intensity loss or "dip" in the reflected light. More particularly, and as is appreciated by those skilled in the art, the phenomenon of surface plasmon resonance (SPR) associated with the BIACORE instrument is dependent on the resonant coupling of light, incident on a thin metal film, to oscillations of the conducting electrons, called plasmons, at the metal film surface. These oscillations give rise to an evanescent field which extends from the surface into the sample solution. When resonance occurs, the reflected light intensity drops at a sharply defined angle of incidence, the SPR angle, which is dependent on the refractive index within the reach of the evanescent field in the proximity of the metal surface.
Stated somewhat differently, surface plasmon resonance is an optical phenomenon arising in connection with total internal reflection of light at a metal film-liquid interface. Normally, light traveling through an optically denser medium, e.g., a glass prism, is totally reflected back into the prism when reaching an interface of an optically less dense medium, e.g., a buffer, provided that the angle of incidence is larger than the critical angle. This is known as total internal reflection. Although the light is totally reflected, a component of the incident light momentum called the evanescent wave penetrates a distance of the order of one wavelength into the buffer. The evanescent wave may be used to excite molecules close to the interface. If the light is monochromatic and p-polarized, and the interface between the media is coated with a thin (a fraction of the light wave-length) metal film, the evanescent wave under certain conditions will interact with free oscillating electrons (plasmons) in the metal film surface. When surface plasmon resonance occurs, light energy is lost to the metal film and the reflected light intensity is thus decreased.
The resonance phenomenon will only occur for light incident at a sharply defined angle which, when all else is kept constant, is dependent on the refractive index in the flowing buffer close to the surface. Changes in the refractive index out to about 1 μπι from the metal film surface can thus be followed by continuous monitoring of the resonance angle. A detection volume is defined by the size of the illuminated area at the interface and the penetration depth of the evanescent field. It should be noted that no light passes through the detection volume (the optical device on one side of the metal film detects changes in the refractive index in the medium on the other side).
As noted above, the SPR angle depends on the refractive index of the medium close to the gold layer. In the BIACORE instrument, dextran is typically coupled to the gold surface, with the ligand being bound to the surface of the dextran layer. (Note a detailed discussion of matrix coatings for biosensor sensing surfaces is provided in U.S. Pat. No. 5,436, 161, which is incorporated herein by reference in its entirety.) The analyte of interest is injected in solution form onto the sensor surface through the fluid cartridge. Because the refractive index in the proximity of the gold film depends upon (1) the refractive index of the solution (which is constant) and, (2) the amount of material bound to the surface, the binding interaction between the bound ligand and analyte can be monitored as a function of the change in SPR angle.
A typical output from the BIACORE instrument is a "sensorgram" which is a plot of response (measured in "resonance units" or "RU") as a function of time. An increase of 1,000 RU corresponds to an increase of mass on the sensor surface of approximately 1 ng/mm2. As a sample containing the analyte contacts the sensor surface, the ligand bound to the sensor surface interacts with the analyte in a step referred to as "association." This step is indicated on the sensorgram by an increase in RU as the sample is initially brought into contact with the sensor surface. Conversely, "dissociation" normally occurs when sample flow is replaced by, for example, a buffer flow. This step is indicted on the sensorgram by a drop in RU over time as analyte dissociates from the surface-bound ligand. A detailed discussion of the technical aspects of the BIACORE instrument and the phenomenon of SPR may be found in U.S. Pat. No. 5,313,264, which is incorporated herein by reference in its entirety.
In addition, a detailed discussion of the technical aspects of the biosensor sensor chips used in connection with the BIACORE instrument may be found in U.S. Pat. No. 5,492,840, which is incorporated herein by reference in its entirety. This patent discloses, among other things, that each sensor chip may have a plurality of sensing surfaces, and that such sensing surfaces may be arranged in series or parallel with respect to the fluid sample pathway of the fluid cartridge. This patent also discloses that each of the plurality of sensing surfaces of a single sensor chip may have bound thereto a unique type of ligand that is capable of interacting with an analyte in its own characteristic way.
Example 4
Surface Plasmon Resonance (SPR) label free binding assay
A direct binding assay for plant DHOD was developed using a Biacore T200 instrument (GE lifesciences) and an NTA chip (nitrolotri acetic acid chip, GE lifesciences). The running buffer (RB) consisted of PBS (phosphate buffer solution) P+ (GE) supplemented with 1% DMSO and 50 μΜ EDTA. The NTA chip surface was prepared by a 120 s injection of 0.35 M ethylenediaminetetraacetic acid (EDTA) at a flow rate of 10 μΕ/ιηίη, followed by a 60 s injection of RB. The NTA surface was charged with Ni2+ by injecting a 60 s pulse of 0.5 mM N1CI2 at a flow rate of 10 μΕ/πιίη followed by a 60 s injection with RB. 1 Ox-Hi s-tagged DHOD (30 μg/mL) was injected over the surface of the Ni-NTA chip at a flow rate of 10 μΕ/πιίη for 15 s. Injections of His-tagged DHOD were repeated until the amount of protein added to the surface reached approximately 2700 - 2800 Resonance units (RUs). The surface was then washed with 2 x 60 s pulses of RB at the same flow rate. Compounds used for kinetic assays were made 10 mM in 100% DMSO and then diluted in buffer A (PBS with P-20 detergent, 50 μΜ EDTA) to a final concentration of 100 μΜ compound and 1% DMSO. The 100 uM compound stock solution was then further diluted in RB to achieve final concentrations for injections in the kinetic assay. For kinetic assays duplicate injections of 5-6 dilutions of compound and triplicate injections of RB blank were injected for 40 sec at a flow rate of 50 μΕ/πήη over the reference cell and lOx- His-tagged DHOD surface with a dissociation time of 90 s. An additional buffer wash with 50% DMSO was used to rinse out the needle after each sample injection. Figure 1A and Figure IB shows the response of Arabidopsis DHOD and rice (Oryza sativum) DHOD respectively. Reference and blank subtracted kinetic data were fit to a single site model in the Biacore T200 evaluation software and values for kon, k0ff, KD and Rjnax were determined. Figure 2 shows the values for the rice enzyme where Rjnax values were typically in the range of 10 - 25 RUs.
Formulation/Utility
A compound of this invention will generally be used as a herbicidal active ingredient in a formulation, with at least one additional component selected from the group consisting of surfactants, solid diluents and liquid diluents, which serves as a carrier. The formulation or composition ingredients are selected to be consistent with the physical properties of the active ingredient, mode of application and environmental factors such as soil type, moisture and temperature.
Useful formulations include both liquid and solid compositions. Liquid compositions include solutions (including emulsifiable concentrates), suspensions, emulsions (including microemulsions, oil-in-water emulsions, flowable concentrates and/or suspoemulsions) and the like, which optionally can be thickened into gels. The general types of aqueous liquid compositions are soluble concentrate, suspension concentrate, capsule suspension, concentrated emulsion, microemulsion, oil-in-water emulsion, flowable concentrate and suspo-emulsion. The general types of nonaqueous liquid compositions are emulsifiable concentrate, microemulsifiable concentrate, dispersible concentrate and oil dispersion.
The general types of solid compositions are dusts, powders, granules, pellets, prills, pastilles, tablets, filled films (including seed coatings) and the like, which can be water-dispersible ("wettable") or water-soluble. Films and coatings formed from film- forming solutions or flowable suspensions are particularly useful for seed treatment. Active ingredient can be (micro)encapsulated and further formed into a suspension or solid formulation; alternatively the entire formulation of active ingredient can be encapsulated (or "overcoated"). Encapsulation can control or delay release of the active ingredient. An emulsifiable granule combines the advantages of both an emulsifiable concentrate formulation and a dry granular formulation. High-strength compositions are primarily used as intermediates for further formulation.
Sprayable formulations are typically extended in a suitable medium before spraying. Such liquid and solid formulations are formulated to be readily diluted in the spray medium, usually water, but occasionally another suitable medium like an aromatic or paraffinic hydrocarbon or vegetable oil. Spray volumes can range from about from about one to several thousand liters per hectare, but more typically are in the range from about ten to several hundred liters per hectare. Sprayable formulations can be tank mixed with water or another suitable medium for foliar treatment by aerial or ground application, or for application to the growing medium of the plant. Liquid and dry formulations can be metered directly into drip irrigation systems or metered into the furrow during planting.
The formulations will typically contain effective amounts of active ingredient, diluent and surfactant within the following approximate ranges which add up to 100 percent by weight.
Weight Percent
Active
Ingredient Diluent Surfactant
Water-Dispersible and Water-soluble 0.001-90 0-99.999 0-15
Granules, Tablets and Powders
Oil Dispersions, Suspensions, 1-50 40-99 0-50
Emulsions, Solutions (including
Emulsifiable Concentrates)
Dusts 1-25 70-99 0-5
Granules and Pellets 0.001-99 5-99.999 0-15
High Strength Compositions 90-99 0-10 0-2
Solid diluents include, for example, clays such as bentonite, montmorillonite, attapulgite and kaolin, gypsum, cellulose, titanium dioxide, zinc oxide, starch, dextrin, sugars (e.g., lactose, sucrose), silica, talc, mica, diatomaceous earth, urea, calcium carbonate, sodium carbonate and bicarbonate, and sodium sulfate. Typical solid diluents are described in Watkins et al., Handbook of Insecticide Dust Diluents and Carriers, 2nd Ed., Dorland Books, Caldwell, New Jersey.
Liquid diluents include, for example, water, N,N-dimethylalkanamides (e.g., N,N-dimethylformamide), limonene, dimethyl sulfoxide, N-alkylpyrrolidones (e.g., N-methylpyrrolidinone), alkyl phosphates (e.g., triethyl phosphate), ethylene glycol, Methylene glycol, propylene glycol, dipropylene glycol, polypropylene glycol, propylene carbonate, butylene carbonate, paraffins (e.g., white mineral oils, normal paraffins, isoparaffins), alkylbenzenes, alkylnaphthalenes, glycerine, glycerol triacetate, sorbitol, aromatic hydrocarbons, dearomatized aliphatics, alkylbenzenes, alkylnaphthalenes, ketones such as cyclohexanone, 2-heptanone, isophorone and 4-hydroxy-4-methyl-2-pentanone, acetates such as isoamyl acetate, hexyl acetate, heptyl acetate, octyl acetate, nonyl acetate, tridecyl acetate and isobornyl acetate, other esters such as alkylated lactate esters, dibasic esters, alkyl and aryl benzoates and γ-butyrolactone, and alcohols, which can be linear, branched, saturated or unsaturated, such as methanol, ethanol, «-propanol, isopropyl alcohol, «-butanol, isobutyl alcohol, «-hexanol, 2-ethylhexanol, «-octanol, decanol, isodecyl alcohol, isooctadecanol, cetyl alcohol, lauryl alcohol, tridecyl alcohol, oleyl alcohol, cyclohexanol, tetrahydrofurfuryl alcohol, diacetone alcohol, cresol and benzyl alcohol. Liquid diluents also include glycerol esters of saturated and unsaturated fatty acids (typically C6-C22), such as plant seed and fruit oils (e.g., oils of olive, castor, linseed, sesame, corn (maize), peanut, sunflower, grapeseed, safflower, cottonseed, soybean, rapeseed, coconut and palm kernel), animal-sourced fats (e.g., beef tallow, pork tallow, lard, cod liver oil, fish oil), and mixtures thereof. Liquid diluents also include alkylated fatty acids (e.g., methylated, ethylated, butylated) wherein the fatty acids may be obtained by hydrolysis of glycerol esters from plant and animal sources, and can be purified by distillation. Typical liquid diluents are described in Marsden, Solvents Guide, 2nd Ed., Interscience, New York, 1950.
The solid and liquid compositions of the present invention often include one or more surfactants. When added to a liquid, surfactants (also known as "surface-active agents") generally modify, most often reduce, the surface tension of the liquid. Depending on the nature of the hydrophilic and lipophilic groups in a surfactant molecule, surfactants can be useful as wetting agents, dispersants, emulsifiers or defoaming agents.
Surfactants can be classified as nonionic, anionic or cationic. Nonionic surfactants useful for the present compositions include, but are not limited to: alcohol alkoxylates such as alcohol alkoxylates based on natural and synthetic alcohols (which may be branched or linear) and prepared from the alcohols and ethylene oxide, propylene oxide, butylene oxide or mixtures thereof; amine ethoxylates, alkanolamides and ethoxylated alkanolamides; alkoxylated triglycerides such as ethoxylated soybean, castor and rapeseed oils; alkylphenol alkoxylates such as octylphenol ethoxylates, nonylphenol ethoxylates, dinonyl phenol ethoxylates and dodecyl phenol ethoxylates (prepared from the phenols and ethylene oxide, propylene oxide, butylene oxide or mixtures thereof); block polymers prepared from ethylene oxide or propylene oxide and reverse block polymers where the terminal blocks are prepared from propylene oxide; ethoxylated fatty acids; ethoxylated fatty esters and oils; ethoxylated methyl esters; ethoxylated tristyrylphenol (including those prepared from ethylene oxide, propylene oxide, butylene oxide or mixtures thereof); fatty acid esters, glycerol esters, lanolin-based derivatives, polyethoxylate esters such as polyethoxylated sorbitan fatty acid esters, polyethoxylated sorbitol fatty acid esters and polyethoxylated glycerol fatty acid esters; other sorbitan derivatives such as sorbitan esters; polymeric surfactants such as random copolymers, block copolymers, alkyd peg (polyethylene glycol) resins, graft or comb polymers and star polymers; polyethylene glycols (pegs); polyethylene glycol fatty acid esters; silicone-based surfactants; and sugar-derivatives such as sucrose esters, alkyl polyglycosides and alkyl polysaccharides.
Useful anionic surfactants include, but are not limited to: alkylaryl sulfonic acids and their salts; carboxylated alcohol or alkylphenol ethoxylates; diphenyl sulfonate derivatives; lignin and lignin derivatives such as lignosulfonates; maleic or succinic acids or their anhydrides; olefin sulfonates; phosphate esters such as phosphate esters of alcohol alkoxylates, phosphate esters of alkylphenol alkoxylates and phosphate esters of styryl phenol ethoxylates; protein-based surfactants; sarcosine derivatives; styryl phenol ether sulfate; sulfates and sulfonates of oils and fatty acids; sulfates and sulfonates of ethoxylated alkylphenols; sulfates of alcohols; sulfates of ethoxylated alcohols; sulfonates of amines and amides such as N,N-alkyltaurates; sulfonates of benzene, cumene, toluene, xylene, and dodecyl and tridecylbenzenes; sulfonates of condensed naphthalenes; sulfonates of naphthalene and alkyl naphthalene; sulfonates of fractionated petroleum; sulfosuccinamates; and sulfosuccinates and their derivatives such as dialkyl sulfosuccinate salts.
Useful cationic surfactants include, but are not limited to: amides and ethoxylated amides; amines such as N-alkyl propanediamines, tripropylenetriamines and dipropylenetetramines, and ethoxylated amines, ethoxylated diamines and propoxylated amines (prepared from the amines and ethylene oxide, propylene oxide, butylene oxide or mixtures thereof); amine salts such as amine acetates and diamine salts; quaternary ammonium salts such as quaternary salts, ethoxylated quaternary salts and di quaternary salts; and amine oxides such as alkyldimethylamine oxides and bis-(2-hydroxyethyl)-alkylamine oxides.
Also useful for the present compositions are mixtures of nonionic and anionic surfactants or mixtures of nonionic and cationic surfactants. Nonionic, anionic and cationic surfactants and their recommended uses are disclosed in a variety of published references including McCutcheon 's Emulsifiers and Detergents, annual American and International Editions published by McCutcheon's Division, The Manufacturing Confectioner Publishing Co.; Sisely and Wood, Encyclopedia of Surface Active Agents, Chemical Publ. Co., Inc., New York, 1964; and A. S. Davidson and B. Milwidsky, Synthetic Detergents, Seventh Edition, John Wiley and Sons, New York, 1987.
Compositions of this invention may also contain formulation auxiliaries and additives, known to those skilled in the art as formulation aids (some of which may be considered to also function as solid diluents, liquid diluents or surfactants). Such formulation auxiliaries and additives may control: pH (buffers), foaming during processing (antifoams such polyorganosiloxanes), sedimentation of active ingredients (suspending agents), viscosity (thixotropic thickeners), in-container microbial growth (antimicrobials), product freezing (antifreezes), color (dyes/pigment dispersions), wash-off (film formers or stickers), evaporation (evaporation retardants), and other formulation attributes. Film formers include, for example, polyvinyl acetates, polyvinyl acetate copolymers, polyvinylpyrrolidone-vinyl acetate copolymer, polyvinyl alcohols, polyvinyl alcohol copolymers and waxes. Examples of formulation auxiliaries and additives include those listed in McCutcheon 's Volume 2: Functional Materials, annual International and North American editions published by McCutcheon's Division, The Manufacturing Confectioner Publishing Co.; and PCT Publication WO 03/024222.
Compositions of this invention can also be mixed with RNA to enhance effectiveness or to confer safening properties. Accordingly, a compositions containing a compound from Index Table A, B or C can be mixed with polynucleotides including but not limited to DNA, RNA, and/or chemically modified nucleotides influencing the amount of a particular target through down regulation, interference, suppression or silencing of the genetically derived transcript that render a herbicidal effect. Alternatively, a composition containing a compound from Index Table A, B or C can be mixed with polynucleotides including but not limited to DNA, RNA, and/or chemically modified nucleotides influencing the amount of a particular target through down regulation, interference, suppression or silencing of the genetically derived transcript that render a safening effect. In one embodiment the target is DHOD or an upstream or downstream pyrimidine biosynthesis inhibitor.
The DHOD inhibitor or indirect inhibitor and any other active ingredients are typically incorporated into the present compositions by dissolving the active ingredient in a solvent or by grinding in a liquid or dry diluent. Solutions, including emulsifiable concentrates, can be prepared by simply mixing the ingredients. If the solvent of a liquid composition intended for use as an emulsifiable concentrate is water-immiscible, an emulsifier is typically added to emulsify the active-containing solvent upon dilution with water. Active ingredient slurries, with particle diameters of up to 2,000 μπι can be wet milled using media mills to obtain particles with average diameters below 3 μπι. Aqueous slurries can be made into finished suspension concentrates (see, for example, U.S. Pat. No. 3,060,084) or further processed by spray drying to form water-dispersible granules. Dry formulations usually require dry milling processes, which produce average particle diameters in the 2 to 10 μπι range. Dusts and powders can be prepared by blending and usually grinding (such as with a hammer mill or fluid-energy mill). Granules and pellets can be prepared by spraying the active material upon preformed granular carriers or by agglomeration techniques. See Browning, "Agglomeration", Chemical Engineering, December 4, 1967, pp 147-48, Perry 's Chemical Engineer 's Handbook, 4th Ed., McGraw-Hill, New York, 1963, pages 8-57 and following, and WO 91/13546. Pellets can be prepared as described in U.S. 4,172,714. Water-dispersible and water-soluble granules can be prepared as taught in U.S. 4,144,050, U.S. 3,920,442 and DE 3,246,493. Tablets can be prepared as taught in U.S. 5, 180,587, U.S. 5,232,701 and U.S. 5,208,030. Films can be prepared as taught in GB 2,095,558 and U.S. 3,299,566.
For further information regarding the art of formulation, see T. S. Woods, "The
Formulator's Toolbox - Product Forms for Modern Agriculture" in Pesticide Chemistry and Bioscience, The Food-Environment Challenge, T. Brooks and T. R. Roberts, Eds., Proceedings of the 9th International Congress on Pesticide Chemistry, The Royal Society of Chemistry, Cambridge, 1999, pp. 120-133. See also U.S. 3,235,361, Col. 6, line 16 through Col. 7, line 19 and Examples 10-41; U.S. 3,309, 192, Col. 5, line 43 through Col. 7, line 62 and Examples 8, 12, 15, 39, 41, 52, 53, 58, 132, 138-140, 162-164, 166, 167 and 169-182; U.S. 2,891,855, Col. 3, line 66 through Col. 5, line 17 and Examples 1-4; Klingman, Weed Control as a Science, John Wiley and Sons, Inc., New York, 1961, pp 81-96; Hance et al., Weed Control Handbook, 8th Ed., Blackwell Scientific Publications, Oxford, 1989; and Developments in formulation technology, PJB Publications, Richmond, UK, 2000.
Preparation of Mixtures
A mixture of one or more of the following herbicides in a composition of this invention may be particularly useful for weed control: acetochlor, acifluorfen and its sodium salt, aclonifen, acrolein (2-propenal), alachlor, alloxydim, ametryn, amicarbazone, amidosulfuron, aminocyclopyrachlor and its esters (e.g., methyl, ethyl) and salts (e.g., sodium, potassium), aminopyralid, amitrole, ammonium sulfamate, anilofos, asulam, atrazine, azimsulfuron, beflubutamid, benazolin, benazolin-ethyl, bencarbazone, benfluralin, benfuresate, bensulfuron-methyl, bensulide, bentazone, benzobicyclon, benzofenap, bicyclopyrone, bifenox, bilanafos, bispyribac and its sodium salt, bromacil, bromobutide, bromofenoxim, bromoxynil, bromoxynil octanoate, butachlor, butafenacil, butamifos, butralin, butroxydim, butylate, cafenstrole, carbetamide, carfentrazone-ethyl, catechin, chlomethoxyfen, chloramben, chlorbromuron, chlorflurenol-methyl, chloridazon, chlorimuron-ethyl, chlorotoluron, chlorpropham, chl or sulfur on, chlorthal-dimethyl, chlorthiamid, cinidon-ethyl, cinmethylin, cinosulfuron, clacyfos, clefoxydim, clethodim, clodinafop-propargyl, clomazone, clomeprop, clopyralid, clopyralid-olamine, cloransulam- methyl, cumyluron, cyanazine, cycloate, cyclopyrimorate, cyclosulfamuron, cycloxydim, cyhalofop-butyl, 2,4-D and its butotyl, butyl, isoctyl and isopropyl esters and its dimethylammonium, diolamine and trolamine salts, daimuron, dalapon, dalapon-sodium, dazomet, 2,4-DB and its dimethylammonium, potassium and sodium salts, desmedipham, desmetryn, dicamba and its diglycolammonium, dimethylammonium, potassium and sodium salts, dichlobenil, dichlorprop, diclofop-methyl, diclosulam, difenzoquat metilsulfate, diflufenican, diflufenzopyr, dimefuron, dimepiperate, dimethachlor, dimethametryn, dimethenamid, dimethenamid-P, dimethipin, dimethylarsinic acid and its sodium salt, dinitramine, dinoterb, diphenamid, diquat dibromide, dithiopyr, diuron, DNOC, endothal, EPTC, esprocarb, ethalfluralin, ethametsulfuron-methyl, ethiozin, ethofumesate, ethoxyfen, ethoxysulfuron, etobenzanid, fenoxaprop-ethyl, fenoxaprop-P-ethyl, fenoxasulfone, fenquinotrione, fentrazamide, fenuron, fenuron-TCA, flamprop-methyl, flamprop-M-isopropyl, flamprop-M-methyl, flazasulfuron, florasulam, fluazifop-butyl, fluazifop-P -butyl, fluazolate, flucarbazone, flucetosulfuron, fluchloralin, flufenacet, flufenpyr, flufenpyr-ethyl, flumetsulam, flumiclorac-pentyl, flumioxazin, fluometuron, fluoroglycofen-ethyl, flupoxam, flupyrsulfuron-methyl and its sodium salt, flurenol, flurenol -butyl, fluridone, flurochloridone, fluroxypyr, flurtamone, fluthiacet-methyl, fomesafen, foramsulfuron, fosamine-ammonium, glufosinate, glufosinate-ammonium, glufosinate-P, glyphosate and its salts such as ammonium, isopropylammonium, potassium, sodium (including sesquisodium) and trimesium (alternatively named sulfosate), halauxifen, halauxifen-methyl, halosulfuron-methyl, haloxyfop-etotyl, haloxyfop-methyl, hexazinone, hydantocidin, imazamethabenz-methyl, imazamox, imazapic, imazapyr, imazaquin, imazaquin-ammonium, imazethapyr, imazethapyr-ammonium, imazosulfuron, indanofan, indaziflam, iofensulfuron, iodosulfuron-methyl, ioxynil, ioxynil octanoate, ioxynil-sodium, ipfencarbazone, isoproturon, isouron, isoxaben, isoxaflutole, isoxachlortole, lactofen, lenacil, linuron, maleic hydrazide, MCPA and its salts (e.g., MCPA-dimethylammonium, MCPA- potassium and MCPA-sodium, esters (e.g., MCPA-2-ethylhexyl, MCPA-butotyl) and thioesters (e.g., MCPA-thioethyl), MCPB and its salts (e.g., MCPB-sodium) and esters (e.g., MCPB -ethyl), mecoprop, mecoprop-P, mefenacet, mefluidide, mesosulfuron-methyl, mesotrione, metam-sodium, metamifop, metamitron, metazachlor, metazosulfuron, methabenzthiazuron, methylarsonic acid and its calcium, monoammonium, monosodium and disodium salts, methyldymron, metobenzuron, metobromuron, metolachlor, S-metolachlor, metosulam, metoxuron, metribuzin, metsulfuron-methyl, molinate, monolinuron, naproanilide, napropamide, napropamide-M, naptalam, neburon, nicosulfuron, norflurazon, orbencarb, orthosulfamuron, oryzalin, oxadiargyl, oxadiazon, oxasulfuron, oxaziclomefone, oxyfluorfen, paraquat dichloride, pebulate, pelargonic acid, pendimethalin, penoxsulam, pentanochlor, pentoxazone, perfluidone, pethoxamid, pethoxyamid, phenmedipham, picloram, picloram-potassium, picolinafen, pinoxaden, piperophos, pretilachlor, primisulfuron-methyl, prodiamine, profoxydim, prometon, prometryn, propachlor, propanil, propaquizafop, propazine, propham, propisochlor, propoxycarbazone, propyrisulfuron, propyzamide, prosulfocarb, prosulfuron, pyraclonil, pyraflufen-ethyl, pyrasulfotole, pyrazogyl, pyrazolynate, pyrazoxyfen, pyrazosulfuron-ethyl, pyribenzoxim, pyributicarb, pyridate, pyriftalid, pyriminobac-methyl, pyrimisulfan, pyrithiobac, pyrithiobac-sodium, pyroxasulfone, pyroxsulam, quinclorac, quinmerac, quinoclamine, quizalofop-ethyl, quizalofop-P-ethyl, quizalofop-P-tefuryl, rimsulfuron, saflufenacil, sethoxydim, siduron, simazine, simetryn, sulcotrione, sulfentrazone, sulfometuron-methyl, sulfosulfuron, 2,3,6- TBA, TCA, TCA-sodium, tebutam, tebuthiuron, tefuryltrione, tembotrione, tepraloxydim, terbacil, terbumeton, terbuthylazine, terbutryn, thenylchlor, thiazopyr, thiencarbazone, thifensulfuron-methyl, thiobencarb, tiafenacil, tiocarbazil, tolpyralate, topramezone, tralkoxydim, tri-allate, triafamone, triasulfuron, triaziflam, tribenuron-methyl, triclopyr, triclopyr-butotyl, triclopyr-triethylammonium, tridiphane, trietazine, trifloxysulfuron, trifludimoxazin, trifluralin, triflusulfuron-methyl, tritosulfuron, vernolate, 3-(2-chloro-3,6- difluorophenyl)-4-hy droxy- 1 -methyl- 1 , 5 -naphthyridin-2( lH)-one, 5 -chloro-3 - [(2-hy droxy-6- oxo- 1 -cyclohexen- 1 -yl)carbonyl]- 1 -(4-methoxyphenyl)-2( lH)-quinoxalinone, 2-chloro-N- (1 -methyl- lH-tetrazol-5-yl)-6-(trifluoromethyl)-3-pyridinecarboxamide, 7-(3,5-dichloro-4- pyridinyl)-5-(2,2-difluoroethyl)-8-hydroxypyrido[2,3-^]pyrazin-6(5H)-one), 4-(2,6-diethyl- 4-methylphenyl)-5-hydroxy-2,6-dimethyl-3(2H)-pyridazinone), 5-[[(2,6- difluorophenyl)methoxy]methyl]-4,5-dihydro-5-methyl-3-(3-methyl-2-thienyl)isoxazole (previously methioxolin), 4-(4-fluorophenyl)-6-[(2-hydroxy-6-oxo-l-cyclohexen-l- yl)carbonyl]-2-methyl-l,2,4-triazine-3,5(2H,4H)-dione, methyl 4-amino-3-chloro-6-(4- chloro-2-fluoro-3-methoxyphenyl)-5-fluoro-2-pyridinecarboxylate, 2-methyl-3- (methylsulfonyl)-N-(l -methyl- lH-tetrazol-5-yl)-4-(trifluoromethyl)benzamide and 2-methyl- N-(4-methyl-l,2,5-oxadiazol-3-yl)-3-(methylsulfinyl)-4-(trifluoromethyl)benzamide. Other herbicides also include bioherbicides such as Alternaria destruens Simmons, Colletotrichum gloeosporiodes (Penz.) Penz. & Sacc, Drechsiera monoceras (MTB-951), Myrothecium verrucaria (Albertini & Schweinitz) Ditmar: Fries, Phytophthora palmivora (Butl.) Butl. and Puccinia thlaspeos Schub..
Of note is a combination of a compound of the invention with at least one other herbicidal active ingredient. Of particular note is such a combination where the other herbicidal active ingredient has different site of action from the compound of the invention. In certain instances, a combination with at least one other herbicidal active ingredient having a similar spectrum of control but a different site of action will be particularly advantageous for resistance management. Thus, a composition of the present invention can further comprise (in a herbicidally effective amount) at least one additional herbicidal active ingredient having a similar spectrum of control but a different site of action.
The compositions of the invention might also include a herbicidally effective amount of an antidotally effective amount of safener. Antidotally effective amounts of safeners can be easily determined by one skilled in the art through simple experimentation. Examples of herbicide safeners include but are not limited to benoxacor, cloquintocet-mexyl, cumyluron, cyometrinil, cyprosulfamide, daimuron, dichlormid, dicyclonon, dietholate, dimepiperate, fenchlorazole-ethyl, fenclorim, flurazole, fluxofenim, furilazole, isoxadifen-ethyl, mefenpyr-diethyl, mephenate, methoxyphenone, naphthalic anhydride, oxabetrinil, N- (aminocarbonyl)-2-methylbenzenesulfonamide and N-(aminocarbonyl)-2- fluorobenzenesulfonamide, l-bromo-4-[(chloromethyl)sulfonyl]benzene, 2-(dichloromethyl)-2-methyl-l,3-dioxolane (MG 191), 4-(dichloroacetyl)-l-oxa-4-azospiro- [4.5]decane (MON 4660), 2,2-dichloro-l-(2,2,5-trimethyl-3-oxazolidinyl)-ethanone and 2- methoxy-N-[[4-[[(methylamino)carbonyl]amino]phenyl]sulfonyl]-benzamide. Of note is dietholate, 2,2-dichloro-l-(2,2,5-trimethyl-3-oxazolidinyl)-ethanone and 2-methoxy-N-[[4- [[(methylamino)carbonyl]amino]phenyl]sulfonyl]-benzamide (alternatively named N-(2- methoxybenzoyl)-4-[(methylaminocarbonyl)amino] benzenesulfonamide; CAS # 129531- 12-0). Of particular note is 2-methoxy-N-[[4-
[[(methylamino)carbonyl]amino]phenyl]sulfonyl]-benzamide (alternatively named N-(2- methoxybenzoyl)-4-[(methylaminocarbonyl)amino] benzenesulfonamide; CAS
#129531-12-0)
Of note is a composition comprising a compound of the invention (in a herbicidally effective amount), at least one additional active ingredient selected from the group consisting of other herbicides and herbicide safeners (in an effective amount), and at least one component selected from the group consisting of surfactants, solid diluents and liquid diluents. The ratios of active ingredients and administration rates to be employed are easily determined by the skilled artisan.

Claims

CLAIMS What is claimed is:
1. A method for the production of a herbicidal composition comprising:
(a) providing a candidate compound that is not a general enzyme inhibitor;
(b) screening said candidate compound in a DHOD inhibition assay; and
(c) testing said compound for herbicidal activity if said candidate compound exhibits inhibitory activity in the DHOD inhibition assay; and
(d) preparing a herbicidal composition comprising the compound identified in step (b) and tested in step (c).
2. The method of claim 1 wherein the screening step (b) is selected from the group of in-vitro activity assays, computer modeling assays and binding assays.
3. The method of claim 1 wherein the screening step (b) is an in-vitro DHOD activity inhibition assay.
4. The method of claim 1 wherein the screening step (b) is a DHOD computer aided modeling method.
5. The method of claim 1 wherein the screening step (b) utilizes a DHOD binding assay.
6. The method of any of the proceeding claims wherein the screening step makes use of a DHOD having at least 50%, 51%, 52%, 53%, 54%, 55%, 56%, 57%, 58%, 59%,
60%, 61%, 62%, 63%, 64%, 65%, 66% , 67%, 68%, 69%, 70%, 71%, 72%, 73%, 74%, 75%, 76%, 77%, 78%, 79%, 80%, 81%, 82%, 83%, 84%, 85%, 86%, 87%, 88%, 89%, 90%, 91%, 92%, 93%, 94%, 95%, 96%, 97%, 98%, 99% or 100% homology to the amino acid sequence of SEQ ID NO: 2 or SEQ ID NO: 3.
7. The method of any of the proceeding claims wherein the herbicidal composition is prepared with at least one additional component selected from the group consisting of surfactants, solid diluents and liquid diluents.
8. A method of controlling weeds which comprises applying a herbicidally effective amount of a DHOD inhibitor produced by the method of any of the proceeding claims to a locus in need of such treatment.
9. A synergistic herbicidal composition that comprises an effective amount of a DHOD inhibitor that inhibits a weed DHOD and an effective amount of nucleic acid suppression element that targets an endogenous RNA molecule of the weed.
10. The herbicidal composition of claim 9, wherein the RNA molecule of the weed is a DHOD mRNA.
11. A method of screening for a resistant DHOD polypeptide that is substantially insensitive to a DHOD inhibitor, the method comprising screening a population DHOD variant polypeptides in a DHOD inhibition assay and selecting one or more of the DHOD variant polypeptides that exhibit increased insensitivity to the inhibitor.
PCT/US2016/0596202015-10-302016-10-30Dihydroorotate dehydrogenase inhibitor compositions effective as herbicidesCeasedWO2017075559A1 (en)

Priority Applications (1)

Application NumberPriority DateFiling DateTitle
EP16797688.5AEP3368896A1 (en)2015-10-302016-10-30Dihydroorotate dehydrogenase inhibitor compositions effective as herbicides

Applications Claiming Priority (2)

Application NumberPriority DateFiling DateTitle
US201562249016P2015-10-302015-10-30
US62/249,0162015-10-30

Publications (1)

Publication NumberPublication Date
WO2017075559A1true WO2017075559A1 (en)2017-05-04

Family

ID=57326486

Family Applications (1)

Application NumberTitlePriority DateFiling Date
PCT/US2016/059620CeasedWO2017075559A1 (en)2015-10-302016-10-30Dihydroorotate dehydrogenase inhibitor compositions effective as herbicides

Country Status (2)

CountryLink
EP (1)EP3368896A1 (en)
WO (1)WO2017075559A1 (en)

Cited By (11)

* Cited by examiner, † Cited by third party
Publication numberPriority datePublication dateAssigneeTitle
EP3077374B1 (en)2013-12-032020-02-05FMC CorporationPyrrolidinones as herbicides
US11019818B2 (en)2017-05-302021-06-01Fmc CorporationHerbicidal 3-substituted lactams
US11180453B2 (en)2015-06-022021-11-23Fmc CorporationSubstituted cyclic amides and their use as herbicides
WO2022084334A1 (en)*2020-10-192022-04-28Syngenta Crop Protection AgMixtures of pyrimidines as herbicidal compositions
WO2022084335A1 (en)*2020-10-192022-04-28Syngenta Crop Protection AgMixtures of pyridazines as herbicidal compositions
US11357230B2 (en)2017-05-302022-06-14Fmc CorporationHerbicidal amides
US11498899B2 (en)2016-12-212022-11-15Fmc CorporationNitrone herbicides
US11528906B2 (en)2013-12-032022-12-20Fmc CorporationPyrrolidinones as herbicides
US11560367B2 (en)2017-03-212023-01-24Fmc CorporationPyrrolidinones and a process to prepare them
US11634421B2 (en)2015-05-122023-04-25Fmc CorporationAryl substituted bicyclic compounds as herbicides
US11919859B2 (en)2017-03-212024-03-05Fmc CorporationHerbicidal mixture, composition and method

Citations (29)

* Cited by examiner, † Cited by third party
Publication numberPriority datePublication dateAssigneeTitle
US2891855A (en)1954-08-161959-06-23Geigy Ag J RCompositions and methods for influencing the growth of plants
US3060084A (en)1961-06-091962-10-23Du PontImproved homogeneous, readily dispersed, pesticidal concentrate
US3235361A (en)1962-10-291966-02-15Du PontMethod for the control of undesirable vegetation
US3299566A (en)1964-06-011967-01-24Olin MathiesonWater soluble film containing agricultural chemicals
US3309192A (en)1964-12-021967-03-14Du PontMethod of controlling seedling weed grasses
US3920442A (en)1972-09-181975-11-18Du PontWater-dispersible pesticide aggregates
US4144050A (en)1969-02-051979-03-13Hoechst AktiengesellschaftMicro granules for pesticides and process for their manufacture
US4172714A (en)1976-12-201979-10-30E. I. Du Pont De Nemours And CompanyDry compactible, swellable herbicidal compositions and pellets produced therefrom
GB2095558A (en)1981-03-301982-10-06Avon Packers LtdFormulation of agricultural chemicals
DE3246493A1 (en)1982-12-161984-06-20Bayer Ag, 5090 Leverkusen METHOD FOR PRODUCING WATER-DISPERSIBLE GRANULES
US4683202A (en)1985-03-281987-07-28Cetus CorporationProcess for amplifying nucleic acid sequences
EP0258017A2 (en)1986-08-221988-03-02F. Hoffmann-La Roche AgPurified thermostable enzyme and process for amplifying, detecting, and/or cloning nucleic acid sequences using said enzyme
US4800159A (en)1986-02-071989-01-24Cetus CorporationProcess for amplifying, detecting, and/or cloning nucleic acid sequences
WO1991013546A1 (en)1990-03-121991-09-19E.I. Du Pont De Nemours And CompanyWater-dispersible or water-soluble pesticide granules from heat-activated binders
US5180587A (en)1988-06-281993-01-19E. I. Du Pont De Nemours And CompanyTablet formulations of pesticides
US5208030A (en)1989-08-301993-05-04Imperial Chemical Industries PlcActive ingredient dosage device
US5232701A (en)1990-10-111993-08-03Sumitomo Chemical Company, LimitedBoron carbonate and solid acid pesticidal composition
US5976848A (en)1990-08-031999-11-02Dow Agrosciences LlcMethod of identifying potential fungicides using dihydroorotate dehydrogenase inhibition assay
EP1094415A2 (en)1999-10-212001-04-254Sc AgMethod for identifying candidate molecules
DE10009479A1 (en)1999-10-212001-04-264Sc GmbhIdentification of candidate molecules with anticipated biological activity uses sets of differing molecules with applied descriptors
WO2002006512A2 (en)*2000-07-142002-01-24Basf AktiengesellschaftMethod for detecting uracil biosynthesis inhibitors and their use as herbicides
WO2003024222A1 (en)2001-09-212003-03-27E. I. Du Pont De Nemours And CompanyAnthranilamide arthropodicide treatment
WO2004056747A1 (en)2002-12-232004-07-084Sc AgDhodh-inhibitors and method for their identification
US7247736B2 (en)2002-12-232007-07-244Sc AgMethod of identifying inhibitors of DHODH
US7320877B1 (en)1999-09-072008-01-22Basf AktiengesellschaftDihydroorotase extracted from plants
US7423057B2 (en)2001-07-102008-09-094Sc AgCompounds as anti-inflammatory, immunomodulatory and anti-proliferatory agents
EP2135610A1 (en)*2008-06-202009-12-23Laboratorios Almirall, S.A.Combination comprising DHODH inhibitors and methotrexate
US8145430B2 (en)2005-03-112012-03-27Schrodinger, LlcPredictive scoring function for estimating binding affinity
WO2015084796A1 (en)2013-12-032015-06-11E. I. Du Pont De Nemours And CompanyPyrrolidinones as herbicides

Patent Citations (31)

* Cited by examiner, † Cited by third party
Publication numberPriority datePublication dateAssigneeTitle
US2891855A (en)1954-08-161959-06-23Geigy Ag J RCompositions and methods for influencing the growth of plants
US3060084A (en)1961-06-091962-10-23Du PontImproved homogeneous, readily dispersed, pesticidal concentrate
US3235361A (en)1962-10-291966-02-15Du PontMethod for the control of undesirable vegetation
US3299566A (en)1964-06-011967-01-24Olin MathiesonWater soluble film containing agricultural chemicals
US3309192A (en)1964-12-021967-03-14Du PontMethod of controlling seedling weed grasses
US4144050A (en)1969-02-051979-03-13Hoechst AktiengesellschaftMicro granules for pesticides and process for their manufacture
US3920442A (en)1972-09-181975-11-18Du PontWater-dispersible pesticide aggregates
US4172714A (en)1976-12-201979-10-30E. I. Du Pont De Nemours And CompanyDry compactible, swellable herbicidal compositions and pellets produced therefrom
GB2095558A (en)1981-03-301982-10-06Avon Packers LtdFormulation of agricultural chemicals
DE3246493A1 (en)1982-12-161984-06-20Bayer Ag, 5090 Leverkusen METHOD FOR PRODUCING WATER-DISPERSIBLE GRANULES
US4683202A (en)1985-03-281987-07-28Cetus CorporationProcess for amplifying nucleic acid sequences
US4683202B1 (en)1985-03-281990-11-27Cetus Corp
US4800159A (en)1986-02-071989-01-24Cetus CorporationProcess for amplifying, detecting, and/or cloning nucleic acid sequences
EP0258017A2 (en)1986-08-221988-03-02F. Hoffmann-La Roche AgPurified thermostable enzyme and process for amplifying, detecting, and/or cloning nucleic acid sequences using said enzyme
US5180587A (en)1988-06-281993-01-19E. I. Du Pont De Nemours And CompanyTablet formulations of pesticides
US5208030A (en)1989-08-301993-05-04Imperial Chemical Industries PlcActive ingredient dosage device
WO1991013546A1 (en)1990-03-121991-09-19E.I. Du Pont De Nemours And CompanyWater-dispersible or water-soluble pesticide granules from heat-activated binders
US5976848A (en)1990-08-031999-11-02Dow Agrosciences LlcMethod of identifying potential fungicides using dihydroorotate dehydrogenase inhibition assay
US5232701A (en)1990-10-111993-08-03Sumitomo Chemical Company, LimitedBoron carbonate and solid acid pesticidal composition
US7320877B1 (en)1999-09-072008-01-22Basf AktiengesellschaftDihydroorotase extracted from plants
DE10009479A1 (en)1999-10-212001-04-264Sc GmbhIdentification of candidate molecules with anticipated biological activity uses sets of differing molecules with applied descriptors
EP1094415A2 (en)1999-10-212001-04-254Sc AgMethod for identifying candidate molecules
WO2002006512A2 (en)*2000-07-142002-01-24Basf AktiengesellschaftMethod for detecting uracil biosynthesis inhibitors and their use as herbicides
US20020058244A1 (en)2000-07-142002-05-16Pedersen Marianne K.Method for detecting uracil biosynthesis inhibitors and their use as herbicides
US7423057B2 (en)2001-07-102008-09-094Sc AgCompounds as anti-inflammatory, immunomodulatory and anti-proliferatory agents
WO2003024222A1 (en)2001-09-212003-03-27E. I. Du Pont De Nemours And CompanyAnthranilamide arthropodicide treatment
WO2004056747A1 (en)2002-12-232004-07-084Sc AgDhodh-inhibitors and method for their identification
US7247736B2 (en)2002-12-232007-07-244Sc AgMethod of identifying inhibitors of DHODH
US8145430B2 (en)2005-03-112012-03-27Schrodinger, LlcPredictive scoring function for estimating binding affinity
EP2135610A1 (en)*2008-06-202009-12-23Laboratorios Almirall, S.A.Combination comprising DHODH inhibitors and methotrexate
WO2015084796A1 (en)2013-12-032015-06-11E. I. Du Pont De Nemours And CompanyPyrrolidinones as herbicides

Non-Patent Citations (67)

* Cited by examiner, † Cited by third party
Title
"Developments in formulation technology", 2000, PJB PUBLICATIONS
"McCutcheon's Emulsifiers and Detergents, annual American and International Editions published by McCutcheon's Division", THE MANUFACTURING CONFECTIONER PUBLISHING CO.
"Perry's Chemical Engineer's Handbook", 1963, MCGRAW-HILL, pages: 8 - 57
A. E. GROW ET AL., J. MICROBIAL. METHODS, vol. 53, 2003, pages 221 - 233
A. S. DAVIDSON; B. MILWIDSKY: "Synthetic Detergents", 1987, JOHN WILEY AND SONS
ANAL. CHEM., vol. 76, 2004, pages 1799 - 1803
APPELT ET AL., J. MED. CHEM., vol. 34, 1991, pages 1925 - 1934
BALDWIN ET AL., J. MED. CHEM., vol. 32, 1989, pages 2510 - 2513
BOEHM, J., COMP. AID. MOL. DES., vol. 6, 1992, pages 61 - 78
BROWNING: "Agglomeration", CHEMICAL ENGINEERING, 4 December 1967 (1967-12-04), pages 147 - 148
BRUNGER ET AL., ACTA CRYSTAL. SECT. D, vol. 54, 1997, pages 905 - 921
COHEN ET AL., J. MED. CHEM., vol. 33, 1990, pages 883 - 894
CREA ET AL., PROC. NAT. ACAD. SCI. U.S.A., vol. 75, 1978, pages 5765
DAVIS ET AL., BASIC METHODS IN MOLECULAR BIOLOGY, 1986
EALICK ET AL., PROC. NAT. ACAD. SCI. U.S.A., vol. 88, 1991, pages 11540 - 11544
F. E. TORRES, PROC. NAT. ACAD. SCI. U.S.A., vol. 101, 2004, pages 9517 - 9522
F. SUN ET AL., BIOPHYS. J., vol. 85, 2003, pages 3194 - 3201
F. VOLLMER ET AL., BIOPHYS. J., vol. 85, 2003, pages 1974 - 1979
FEBS LETT., vol. 529, 2002, pages 346 - 350
FOX; BZIK, NATURE, vol. 415, 2002, pages 926 - 929
G. WU ET AL., NAT. BIOTECHNOL., vol. 19, 2001, pages 856 - 860
GAREN; LEVINTHAL, BIOCHIM. BIOPHYS. ACTA, vol. 38, 1960, pages 470
GIAVAKISCO ET AL., ANAL. CHEM., vol. 81, 2009, pages 6546 - 6551
GILLET ET AL., J. COMP. AID. MOL. DES., vol. 7, 1993, pages 127
GOODFORD, J. MED. CHEM., vol. 28, 1985, pages 849 - 857
HANCE ET AL.: "Weed Control Handbook", 1989, BLACKWELL SCIENTIFIC PUBLICATIONS
HÉLÈNE MUNIER-LEHMANN ET AL: "On Dihydroorotate Dehydrogenases and Their Inhibitors and Uses", JOURNAL OF MEDICINAL CHEMISTRY, vol. 56, no. 8, 25 April 2013 (2013-04-25), pages 3148 - 3167, XP055148746, ISSN: 0022-2623, DOI: 10.1021/jm301848w*
HSIUNG ET AL., NUCLEIC ACID RESEARCH, vol. 11, 1983, pages 3227
ITAKURA ET AL., SCIENCE, vol. 198, 1977, pages 1056
J. E. VANDENENGEL ET AL., BIOCHEM. BIOPHYS. RES. COMMUN., vol. 378, 2009, pages 51 - 56
J. H. STREIFF ET AL., MOL. PHARMACOL., vol. 66, 2004, pages 929 - 935
J. MED. CHEM., vol. 42, 1999, pages 791 - 804
JONES ET AL., J. MOL. BIOL., vol. 245, 1995, pages 43 - 53
K. MURAKAMI ET AL., PRION, vol. 2, 2002, pages 73 - 80
KLINGMAN: "Weed Control as a Science", 1961, JOHN WILEY AND SONS, INC., pages: 81 - 96
LEMMEN ET AL., J. MED. CHEM., vol. 41, 1998, pages 4502 - 4520
LIU, S.; NEIDHARDT, E. A.; GROSSMAN, T. H.; OCAIN, T.; CLARDY, J., STRUCT. FOLD. DES., vol. 8, 2000, pages 25 - 33
LOFFLER ET AL., TRENDS MOL. MED., vol. 11, 2005, pages 430 - 437
LOFFLER M ET AL: "Pyrimidine pathways in health and disease", TRENDS IN MOLECULAR MEDICINE, ELSEVIER CURRENT TRENDS, GB, vol. 11, no. 9, 1 September 2005 (2005-09-01), pages 430 - 437, XP027724398, ISSN: 1471-4914, [retrieved on 20050901]*
M. H. KO ET AL., SMALL, vol. 5, 2009, pages 1207 - 1212
M. M. VARMA ET AL., BIOSENS. BIOELECTRON., vol. 19, 2004, pages 1371 - 1376
M. M. VARMA, OPT. LETT., vol. 29, 2004, pages 950 - 952
MARSDEN: "Solvents Guide", 1950, INTERSCIENCE
MCCUTCHEON'S: "Functional Materials", vol. 2, MCCUTCHEON'S DIVISION, THE MANUFACTURING CONFECTIONER PUBLISHING CO
MCLEAN, L. R. ET AL., BIOORG. AND MED. CHEM. LETT., vol. 20, no. 6, 2010, pages 1981 - 1984
MCROBERT; MCCONKEY, MOL. BIOCHEM. PARASITOL., vol. 119, 2002, pages 273 - 278
MEYERS; MILLER, CABIOS, vol. 4, 1989, pages 11 - 17
MIRANKER ET AL., PROTEINS, vol. 11, 1991, pages 314 - 328
MOON ET AL., PROTEINS, vol. 11, 1991, pages 314 - 328
MUNIER-LEHMANN ET AL., J. MED. CHEM., vol. 56, no. 8, 2013, pages 3148 - 3167
NARANG ET AL., METHODS IN ENZYMOLOGY, vol. 68, 1980, pages 90
NAVIA ET AL., CURRENT OPINIONS IN STRUCTURAL BIOLOGY, vol. 2, 1992, pages 202 - 210
NEEDLEMAN; WUNSCH, J. MOL. BIOL., vol. 48, 1970, pages 444 - 453
O. BIRKERT ET AL., ANAL. BIOANAL. CHEM., vol. 372, 2002, pages 141 - 147
P. S. CREMER, NAT. BIOTECHNOL., vol. 22, 2004, pages 172 - 173
P. YAMAMOTO-FUJITA ET AL., ANAL. CHEM., vol. 77, 2005, pages 5460 - 5466
RAREY ET AL., J. MOL. BIOL., vol. 261, 1996, pages 470 - 489
SAMBROOK ET AL.: "MOLECULAR CLONING: A LABORATORY MANUAL", 1989, COLD SPRING HARBOR LABORATORY PRESS
SAMBROOK ET AL.: "MOLECULAR CLONING: A LABORATORYMANUAL"
SCHRODER ET AL., PLANT PHYSIOL., vol. 138, 2005, pages 1926 - 1938
SISELY; WOOD: "Encyclopedia of Surface Active Agents", 1964, CHEMICAL PUBL. CO., INC.
STAHL: "Virtual Screening for Bioactive Molecules", 2000, WILEY-VCH, pages: 229 - 264
T. S. WOODS: "Pesticide Chemistry and Bioscience, The Food Environment Challenge", 1999, THE ROYAL SOCIETY OF CHEMISTRY, article "The Formulator's Toolbox - Product Forms for Modern Agriculture", pages: 120 - 133
TAO ET AL., J. COMP. AID. MOL. DES., vol. 15, 2001, pages 429 - 446
ULLRICH ET AL., FEBS LETT., vol. 529, 2002, pages 346 - 350
WATKINS ET AL.: "Handbook of Insecticide Dust Diluents and Carriers", DORLAND BOOKS
ZAMEITAT ET AL., APPL ENVIRON MICROBIOL., vol. 73, 2007, pages 3371 - 3379

Cited By (16)

* Cited by examiner, † Cited by third party
Publication numberPriority datePublication dateAssigneeTitle
EP3077374B1 (en)2013-12-032020-02-05FMC CorporationPyrrolidinones as herbicides
US11589583B2 (en)2013-12-032023-02-28Fmc CorporationPyrrolidinones herbicides
US11528906B2 (en)2013-12-032022-12-20Fmc CorporationPyrrolidinones as herbicides
US11634421B2 (en)2015-05-122023-04-25Fmc CorporationAryl substituted bicyclic compounds as herbicides
US12077503B2 (en)2015-06-022024-09-03Fmc CorporationSubstituted cyclic amides and their use as herbicides
US11180453B2 (en)2015-06-022021-11-23Fmc CorporationSubstituted cyclic amides and their use as herbicides
US11787765B2 (en)2015-06-022023-10-17Fmc CorporationSubstituted cyclic amides and their use as herbicides
US11498899B2 (en)2016-12-212022-11-15Fmc CorporationNitrone herbicides
US11560367B2 (en)2017-03-212023-01-24Fmc CorporationPyrrolidinones and a process to prepare them
US11919859B2 (en)2017-03-212024-03-05Fmc CorporationHerbicidal mixture, composition and method
US11357230B2 (en)2017-05-302022-06-14Fmc CorporationHerbicidal amides
US11019818B2 (en)2017-05-302021-06-01Fmc CorporationHerbicidal 3-substituted lactams
WO2022084335A1 (en)*2020-10-192022-04-28Syngenta Crop Protection AgMixtures of pyridazines as herbicidal compositions
CN116419676A (en)*2020-10-192023-07-11先正达农作物保护股份公司Pyrimidine mixtures as herbicidal compositions
WO2022084334A1 (en)*2020-10-192022-04-28Syngenta Crop Protection AgMixtures of pyrimidines as herbicidal compositions
JP2023545842A (en)*2020-10-192023-10-31シンジェンタ クロップ プロテクション アクチェンゲゼルシャフト Mixtures of pyrimidines as herbicide compositions

Also Published As

Publication numberPublication date
EP3368896A1 (en)2018-09-05

Similar Documents

PublicationPublication DateTitle
WO2017075559A1 (en)Dihydroorotate dehydrogenase inhibitor compositions effective as herbicides
AU2018376915B2 (en)Plants having increased tolerance to herbicides
US8853496B2 (en)Plants tolerant to HPPD inhibitor herbicides
US8847017B2 (en)Plants tolerant to HPPD inhibitor herbicides
CN102675218B (en)Herbicidal pyrimidines
US8853495B2 (en)Plants tolerant to HPPD inhibitor herbicides
US9187432B2 (en)Intermediates to prepare herbicidal pyrimidone derivatives
CA2989531A1 (en)Plants having increased tolerance to herbicides
US20150159145A1 (en)Plants Tolerant to HPPD Inhibitor Herbicides
TW201609637A (en)Pyrrolidinone herbicides
JP2017514833A (en) Pyridazinone herbicide
US11213030B2 (en)4-(3,4-dihydronaphth-1-yl or 2H-chromen-4-yl)-5-hydroxy-2H-pyradizin-3-ones as herbicides
TW201609710A (en) Substituted pyrimidinyloxybenzene compound for weeding
CA3230261A1 (en)Plants having increased tolerance to herbicides
US20230382876A1 (en)Protoporphyrinogen oxidase inhibitors
US11889833B2 (en)Protoporphyrinogen oxidase inhibitors
EP2912022B1 (en)Substituted triazoles as herbicides
TW201545649A (en)Herbicidal substituted 3-arylpyrazoles
CN111433191A (en)Benzamide compounds and their use as herbicides
TW201620879A (en)Herbicidal substituted 3-phenyl-4-fluorobenzoyl pyrazoles
WO2018094008A1 (en)Cellulose synthase inhibitors effective as herbicides
JP2000080089A (en)Ferredoxin: nadp reductase inhibitor
US20250084044A1 (en)Protoporphyrinogen oxidase inhibitors
US20240101519A1 (en)Substituted pyridazinone herbicides

Legal Events

DateCodeTitleDescription
121Ep: the epo has been informed by wipo that ep was designated in this application

Ref document number:16797688

Country of ref document:EP

Kind code of ref document:A1

NENPNon-entry into the national phase

Ref country code:DE

WWEWipo information: entry into national phase

Ref document number:2016797688

Country of ref document:EP


[8]ページ先頭

©2009-2025 Movatter.jp