Movatterモバイル変換


[0]ホーム

URL:


WO2017055316A1 - Amido-substituted azole compounds - Google Patents

Amido-substituted azole compounds
Download PDF

Info

Publication number
WO2017055316A1
WO2017055316A1PCT/EP2016/073043EP2016073043WWO2017055316A1WO 2017055316 A1WO2017055316 A1WO 2017055316A1EP 2016073043 WEP2016073043 WEP 2016073043WWO 2017055316 A1WO2017055316 A1WO 2017055316A1
Authority
WO
WIPO (PCT)
Prior art keywords
alkyl
amino
group
substituted
imidazole
Prior art date
Legal status (The legal status is an assumption and is not a legal conclusion. Google has not performed a legal analysis and makes no representation as to the accuracy of the status listed.)
Ceased
Application number
PCT/EP2016/073043
Other languages
French (fr)
Inventor
Knut Eis
Jens Ackerstaff
Sarah WAGNER
Philipp BUCHGRABER
Detlev Sülzle
Eckhard Bender
Volkhart Min-Jian Li
Ningshu Liu
Franziska SIEGEL
Philip Lienau
Current Assignee (The listed assignees may be inaccurate. Google has not performed a legal analysis and makes no representation or warranty as to the accuracy of the list.)
Bayer Pharma AG
Original Assignee
Bayer Pharma AG
Priority date (The priority date is an assumption and is not a legal conclusion. Google has not performed a legal analysis and makes no representation as to the accuracy of the date listed.)
Filing date
Publication date
Application filed by Bayer Pharma AGfiledCriticalBayer Pharma AG
Publication of WO2017055316A1publicationCriticalpatent/WO2017055316A1/en
Anticipated expirationlegal-statusCritical
Ceasedlegal-statusCriticalCurrent

Links

Classifications

Definitions

Landscapes

Abstract

The present invention relates to amido-substituted azole compounds of general formula (I), in which X1, X2, R1, R2, R4, R5, R7 and R8 are as defined herein, to methods of preparing said compounds, to intermediate compounds useful for preparing said compounds, to pharmaceutical compositions and combinations comprising said compounds and to the use of said compounds for manufacturing a pharmaceutical composition for the treatment or prophylaxis of a disease, in particular of neoplasms, as a sole agent or in combination with other active ingredients.

Description

AMIDO-SUBSTITUTED AZOLE COMPOUNDS
The present invention relates to amido-substituted azole compounds of general formula (I ) as described and defined herein , to methods of preparing said compounds, to intermediate compounds useful for preparing said compounds, to pharmaceutical compositions and combinations comprising said compounds and to the use of said compounds for manufacturing a pharmaceutical composition for the treatment or prophylaxis of a disease, in particular of neoplasms, as a sole agent or in combination with other active ingredients.
BACKGROUND OF THE INVENTION
Cancer is the leading cause of death in developed countries and the second leading cause of death in developing countries. Deaths from cancer worldwide are projected to continue rising, with an estimated 12 million deaths in 2030. While substantial progress has been made in developing effective therapies, there is a need for additional therapeutic modalities that target cancer and related diseases.
The complexity of cancer disease arises after a selection process for cells with acquired functional capabilities to enhance survival and/or resistance towards apoptosis and a limitless proliferative potential. In addition, bi-direction interaction of cancer cells and stromal cells provides further advantage of cancer cell survival and distant metastasis to the secondary organs and tissues [Liotta LA, Kohn EC. The microenvironment of the tumour-host interface. Nature 2001, 411:375]. Furthermore, cancer stem cells (CSCs) represent the apex in the hierarchical model of tumor genesis, heterogeneity and metastasis. CSCs possess the capacity for unlimited self- renewal, the ability to give rise to progeny cells, and also an innate resistance to cytotoxic therapeutics [Meacham CE and Morrison SJ. Tumour heterogeneity and cancer cell plasticity. Nature 2013, 501:328]. Thus, there is need to develop drugs for cancer therapy addressing distinct features of established tumors.
The discovery that Drosophila segment polarity gene Wingless had a common origin with the murine oncogene lnt-1 led to intensive studies on Wnt signaling pathway and identification of 19 mammalian Wnts and 10 Wnt receptors [Rijsewijk F, Schuermann M, Wagenaar E, Parren P, Weigel D, Nusse R. The Drosophila homolog of the mouse mammary oncogene int- 1 is identical to the segment polarity gene wingless. Cell. 1987, 50: 649]. Wnts are secreted glycoproteins which bind to cell surface receptors to initiate signaling cascades. Wnt signaling cascades have classified into two categories: canonical and non- canonical, differentiated by their dependence on β-catenin. Non-canonical Wnt pathways, such as the planar cell polarity (PCP) and Ca2+ pathway, function through β-catenin independent mechanisms. Canonical Wnt signalling is initiated when a Wnt ligand engages co-receptors of the Frizzled (Fzd) and low-density lipoprotein receptor related protein (LRP) families, ultimately leading to B-catenin stabilization, nuclear translocation and activation of target genes [Angers S, Moon RT. Proximal events in Wnt signal transduction. Nat Rev Mol Cell Biol. 2009, 10: 468. Cadigan KM, Liu Yl. Wnt signaling: complexity at the surface. J Cell Sci. 2006, 119: 395. Gordon MD, Nusse R. Wnt signaling: multiple pathways, multiple receptors, and multiple transcription factors. J Biol Chem. 2006, 281: 22429. Huang H, He X. Wnt/ beta-catenin signaling: new (and old) players and new insights. Curr Opin Cell Biol. 2008, 20: 119. Polakis P. The many ways of Wnt in cancer. Curr Opin Genet Dev. 2007, 17: 45. Rao TP, Kuhl M. An updated overview on Wnt signaling pathways: a prelude for more. Circ Res. 2010, 106: 1798].
In the absence of Wnt stimulus, β-catenin is held in an inactive state by a multimeric "destruction" complex comprised of adenomatous polyposis coli (APC) , Axin, glycogen synthase kinase 36 (GSK3B) and casein kinase 1 a (CK1 a). APC and Axin function as a scaffold, permitting GSK3B- and CK1 a-mediated phosphorylation of critical residues within β-catenin. These phosphorylation events mark β-catenin for ubiquitination recognition by the E3 ubiquitin ligase β-transducin-repeat-containing protein and lead to subsequent proteasomal degradation [He X, Semenov M, Tamai K, Zeng X. LDL receptor-related proteins 5 and 6 in Wnt /beta-catenin signaling: arrows point the way. Development.2004, 131: 1663. Kimelman D, Xu W. beta-catenin destruction complex: insights and questions from a structural perspective. Oncogene 2006, 25: 7482 ].
In the presence of Wnt stimulus, Axin, GSK3B and Dvl are recruited to the co-receptor complex Fzd and LRP5/6 and lead to disruption of the B-catenin destruction complex. Therefore, B-catenin is stabilized and translocated to the nucleus. Once in the nucleus, B- catenin forms a complex with members of the T-cell factor/lymphoid enhancer factor (TCF/LEF) family of transcription factors, recruiting co-factors such as CBP, p300, TNIK, Bcl9 and Pygopus, and ultimately driving transcription of target genes including c-myc, Oct4, cyclin D, survivin. [Curtin JC and Lorenzi MV. Drug Discovery Approaches to Target Wnt Signaling in Cancer Stem Cells. Oncotarget 2010, 1: 552].
Tan ky rases play a key role in the destruction complex by regulating the stability of the rate-limiting AXIN proteins, RNF1 6 and tankyrase itself. The E3 ubiquitin ligase RNF146 recognizes tankyrase-mediated PARsylation and eartags AXIN, tankyrase and itself for proteasome-mediated degradation. Thus, tankyrases control the protein stability and turnover of key components of the destruction complex, and consequently the cellular levels of β-catenin [Huang SMA, Mishina YM, Liu S, Cheung A, Stegmeier F, et at. Tankyrase inhibition stabilizes axin and antagonizes Wnt signalling. Nature 2009, 461:614, Zhang Y, Liu S, Mickanin C, Feng Y, Charlat 0, et al. RNF146 is a poty(ADP-ribose)-directed E3 ligase that regulates axin degradation and Wnt signalling. Nature Cell Biology 2011, 13:623, 201 1].
Aberrant regulation of the Wnt/B-catenin signaling pathway is a common feature across a broad spectrum of human cancers and evolves as a central mechanism in cancer biology. First of all, Wnt overexpression could lead to malignant transformation of mouse mammary tissue [Klaus A, BirchmeierW. Wnt signalling and its impact on development and cancer. Nat Rev Cancer 2008, 8: 387]. Second, tumor genome sequencing discovered the mutations in Wnt/B-catenin pathway components as well as epigenetic mechanisms that altered the expression of genes relevant to Wnt/B-catenin pathway [Ying Y. et al. Epigenetic disruption of the WNT I beta-catenin signaling pathway in human cancers. Epigenetics 2009, 4:307] . Third, Wnt/B-catenin pathway also cooperates with other oncogenic signaling pathways in cancer and regulates tumorigenesis, growth, and metastasis [Klaus A, Birchmeier W. Wnt signalling and its impact on development and cancer. Nat Rev Cancer 8: 387-398, 2008] . In addition, there is an additional role of WNT signaling between tumor and stromal cell interaction leading to tumorigenesis and metastasis [Shahi P, Park D, Pond AC, Seethammagari M, Chiou S-H, Cho K, et al. Activation of Wnt signaling by chemically induced dimerization of LRP5 disrupts cellular homeostasis. PLoS ONE 2012, 7: e30814]. Furthermore, growing body of evidence indicates a critical role of B-catenin in CSCs [Eaves CJ, Humphries RK. Acute myeloid leukemia and the Wnt pathway. N Engl J Med. 2010, 362: 2326; Nusse R, Fuerer C, Chins W, Harnish K, Logan C, Zeng A, ten Berge D, Kalani Y. Wnt signaling and stem cell control. Cold Spring Harb Symp Quant Biol. 2008, 73: 59; Reya T, Clevers H. Wnt signalling in stem cells and cancer. Nature 2005, 434: 843]. For example, stem -like colon cells with a high level of B-catenin signaling have a much greater tumorigenic potential than counterpart cells with low B-catenin signaling [Vermeulen L, De Sousa EMF, van der Hei jden M, Cameron K, de Jong JH, Borovski T, Tuynman JB, Todaro M, Merz C, Rodermond H, Sprick MR, Kemper K, Richel DJ, Stassi G, Medema JP. Wnt activity defines colon cancer stem cells and is regulated by the microenvironment. Nat Cell Biol. 2010, 12: 468]. Finally, activation of Wnt/B-catenin signalling pathway is also one of the major mechanism causing tumor recurrence and drug resistance. All these provide clear rationale to develop therapeutics targeting Wnt/B-catenin signaling pathway for the treatment of cancer.
One of the approaches to inhibit Wnt/B-catenin signaling pathway is to target druggable tankyrases. Tan ky rase 1 (TNKS1 ) and tankyrase 2 (TNKS2) are poly(ADP-ribosyl)ases that are distinguishable from other members of the enzyme family by the structural features of the catalytic domain, and the presence of a sterile a-motif multimerization domain and an ankyrin repeat protein-interaction domain. Inhibition of TNKS blocks PARsylation of AXIN1 and AXIN2 and prevents their proteasomal degradation. As the consequence, TNKS inhibition enhances the activity of the B -catenin destruction complex and suppresses B- catenin nuclear transclocation and the expression of B-catenin target genes.
In addition to its function in Wnt signaling through modulation of B-catenin destruction, tankyrases are also implicated in other cellular functions, including telomere homeostasis, mitotic spindle formation, vesicle transport linked to glucose metabolism, and viral replication. In these processes, tankyrases interact with target proteins, catalyze poly (ADP-ribosyl)ation, and regulate protein interactions and stability. For example, T KS1 controls telomere homeostasis, which promotes telomeric extension by PARsylating TRF1 . TRF1 is then targeted for proteasomal degradation by the E3 ubiquitin ligases F- box only protein 4 and/or RING finger LIM domain-binding protein (RUM/RNF12), which facilitates telomere maintenance [Donigian JR and de Lange T. The rote of the poly(ADP-ribose) polymerase tankyrase 1 in telomere length control by the TRF1 component of the shelterin complex. J Biol Chem 2007, 282:22662] . In addition, telomeric end-capping also requires canonical DNA repair proteins such as DNA-dependent protein kinase (DNAPK). TNKS1 stabilizes the catalytic subunit of DNAPK (DNAPKcs) by PARsylation [Dregalla RC, Zhou J, Idate RR, Battaglia CL, Liber HL, Bailey SM. Regulatory roles of tankyrase 1 at telomeres and in DNA repair: suppression of T-SCE and stabilization of DNA-PKcs. Aging 2010, 2(10):691]. Altered expression of TNKS1 and/or TNKS2, as well as genetic alterations in the tankyrase locus, have been detected in multiple tumors, e.g. fibrosarcoma, ovarian cancer, glioblastoma, pancreatic adenocarcinoma, breast cancer, astrocytoma, lung cancer, gastric cancer, and colon cancer [Lehti L, Chi N-W and Krauss S. Tankyrases as drug targets. FEBS Journal 2013, 280: 3576] . In addition, tankyrases appear to have impact on viral infections. For example, in HSV infection , it was shown that the virus cannot replicate efficiently in cells with depletion of both TNKS1 and TNKS2 [Li Z, Yamauchi Y, Kamakura M, Murayama T, Goshima F, Kimura H, Nishiyama Y, Herpes Simplex Virus Requires Poly(ADP-Ribose) Polymerase Activity for Efficient Replication and Induces Extracellular Signal-Related Kinase- Dependent Phosphorylation and ICPO-Dependent Nuclear Localization of Tankyrase 1. Journal of Virology 2012, 86( 1): 492].
Furthermore, a connection between tankyrases and glucose metabolism has been indicated. Thus, DNA polymorphism in a chromosomal region encoding tankyrase/ methionine sulfoxide reductase A is robustly associated with early-onset obesity. TNKS1 knockout mice appeared to have reduced fat pads, suggesting a potential connection of INKS and obesity. TNKS may also play a role in tissue fibrosis.
In summary, tankyrases are promising drug targets in regulating WNT signaling, telomere length (e.g. telomere shortening and DNA damage induced cell death), lung fibrogenesis, myelination and viral infection. The invention presented here describes a novel class of tankyrase inhibitors and their potential clinical utility for the treatment of various diseases, such as cancer, aging, metabolic diseases (e.g. diabetes and obesity), fibrosis (e.g. lung fibrogenesis) and viral infection. The following list of selected references relates to inhibitors of TNKS1 and/or TNKS2 described in the literature or in patents. However, the chemical structures and compound classes of the inhibitors described in these references are completely different from the chemical structures of the present invention:
Cancer Research 2013, 73 (10): 3132; J Med Chem 2013, 56 (16): 6495; J Med Chem 2013, 56(3): 1341 ; J Med Chem 2013, 56(17): 7049; J Med Chem 2013, 56(24): 10003; J Med Chem 2013, 56(7): 3012; J Med Chem 2013, 56(20): 7880; J Med Chem 2013, 56(11 ): 4320; ChemMedChem 2013, 8(12): 1978; ACS Med Chem Lett 2013, 4(12): 1 173; ACS Med Chem Lett 2013, 4(12): 1218; Acta Crystallogr Sect F Struct Biol Cryst Commun 2012, 68(Part 2): 1 15; J Med Chem 2012, 55(3): 1360; WO 2009059994, WO2013164061 , WO2014023390, WO 2012076898, WO 2013093508, WO 2013010092, WO 2013189905, WO 2013189865, WO 2013177349, WO 2013012723, WO 2013134079, WO 2013182546, ACS Med Chem Lett, 2014, 6(3): 254, WO 2015150449.
WO 2008/042283 (Exelixis) discloses imidazole-4,5-dicarboxamide derivatives as JAK2 modulators.
WO 2001 /000575 discloses heterocyclic dicarboxylic acid diamide derivatives as insecticides, including amido-substituted azole compounds.
However, the state of the art described above does not describe the specific substituted amido-substituted azole compounds of general formula (I) of the present invention as defined herein, i.e. an imidazole or an oxazole moiety, bearing :
- in its 4-position, a group of structure:
Figure imgf000007_0001
wherein :
* indicates the point of attachment of said groups with the rest of the molecule , and
R1 represents (d-Ci-alkyl) or -N(R,0)R" , which are as defined herein,
and
- in its 5-position , a group of structure:
Figure imgf000008_0001
wherein :
* indicates the point of attachment of said groups with the rest of the molecule , and
X? represents CR6 or N , and R4, R5, R6, R7 and R8 are as defined herein ,
and
- in its 2-position , a substituent R2,
wherein :
R2 represents a group selected from hydrogen, d-Cralkyl, and C3-C4-cycloalkyl;
or a stereoisomer, a tautomer, an N-oxide, a hydrate, a solvate, or a salt thereof, or a mixture of same, as described and defined herein, and as hereinafter referred to as "compounds of the present invention", or their pharmacological activity.
It has now been found, and this constitutes the basis of the present invention, that said compounds of the present invention have surprising and advantageous properties. In particular, said compounds of the present invention have surprisingly been found to effectively inhibit TNKS1 and/or TNKS2 and may therefore be used for the treatment or prophylaxis of diseases of uncontrolled cell growth, proliferation and/or survival, inappropriate cellular immune responses, or inappropriate cellular inflammatory responses or diseases which are accompanied with uncontrolled cell growth, proliferation and/or survival, inappropriate cellular immune responses, or inappropriate cellular inflammatory responses mediated by T KS1 and/or TNKS2 and/or mediated by the Wnt pathway, for example, haematological tumours, solid tumours, and/or metastases thereof, e.g. leukaemias and myelodysplasia syndrome, malignant lymphomas, head and neck tumours including brain tumours and brain metastases, tumours of the thorax including non-small cell and small cell lung tumours, gastrointestinal tumours, endocrine tumours, mammary and other gynaecological tumours, urological tumours including renal, bladder and prostate tumours, skin tumours, and sarcomas, and/or metastases thereof. Compounds of the present invention may additionally show improved selectivity for TNKS1 and/or TNKS2 (e.g. over other PARP (poly(ADP-ribose)-polymerase) enzymes), for the treatment of TNKS1 and/or T KS2 driven diseases, by reaching sufficient efficacious dose without inducing toxicity driven by, for example, other PARPs inhibition.
DESCRIPTION of the INVENTION
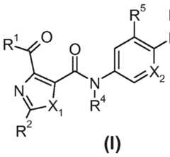
In accordance with a first aspect, the present invention covers compounds of general formula (I) :
Figure imgf000009_0001
in which :
represents NR3 or 0 represents a CR6 or N
R represents a group selected from :
C,-C4-alkyl and -N(R,0)R 11 represents a group selected from :
hydrogen, G-Cralkyl, and C3-C4-cycloalkyl,
R3 represents a hydrogen atom,
R4 represents a hydrogen atom,
R5 represents a group selected from :
hydrogen, and G-Cj-alkyl,
R6 represents a group selected from :
hydrogen, and halogen,
R7 represents a hydrogen atom,
R8 represents aryl or heteroaryl,
wherein aryl and heteroaryl groups are optionally substituted with one, two or three substituents, which are independently of each other selected from :
Ci-C4-alkyl, G-Oalkoxy, Ci-C3-hydroxyalkyl, C3-C4-cycloalkyl, C3-C4-cycloalkoxy, Ci-C3-haloalkyl, G-Cs-haloalkoxy, halogen, cyano, nitro, hydroxy,
-N(R1 )R13, R,2(R,3)N-(CrC4-alkyl)-, R,2(R, )N-(C C4-alkoxy)-,
Figure imgf000010_0001
- S(=0)(=NH)(CrC3-alkyl),
R0 represents hydrogen, G-Cs-alkyl, or C3-C4-cycloalkyl,
R" represents a group selected from :
Ci-C3-alkoxy optionally substituted one or two times with C3-C6-cycloalkyl, (Cs-Qrcycloalkyl substituted one or two times with hydroxy)-(G-C4-alkyl)-, CrCc-haloalkyl substituted one or two times with hydroxy,
Figure imgf000010_0002
(aryl optionally substituted with G- C4-alkyl)N(H)(Ci-C4-alkyl)-, (aryl optionally substituted with Ci-C4-alkyl)(Ci-C3-alkyl)N(Ci-C-r alkyl)-, 4- to 6-membered heterocycloalkyl, (7-membered heterocycloalkyl)-(CrCt-alkyl)-, bridged heterocycloalkyl, (bridged heterocycloalkyl)-(G-C4-alkyl)-, (4- to 6-membered heterocycloalkyl)-(CrC4-alkyl)- , aryl or heteroaryl substituted one or two times independently with (G-C j-alkyl N-, and (aryl or heteroaryl, substituted one or two times with (C, -C3-alkyl N- )-(C, -C3-alkyl)- ,
wherein 7-membered heterocycloalkyl groups are optionally substituted with one or two substituents, which are independently of each other selected from :
d-Cralkyl, G-C3-hydroxyalkyl, Ci-C3-haloalkyl, Ci-C3-alkoxy, G-Cs-haloalkoxy, C3-C4-cycloalkyl, C3-C4-cycloalkoxy, amino, hydroxy, halogen, and cyano,
and,
wherein 4- to 6-membered heterocycloalkyl groups are substituted with one or two substituents, which are independently of each other selected from :
Ci-C3-hydroxyalkyl, 4- to 6-membered heterocycloalkyl, and aryl-(G-C3-alkyl)- ,
or,
R10 and R1 1 together with the nitrogen atom to which they are attached form a azetidinyl group, said azetidinyl group being substituted with one or two groups selected from
Figure imgf000011_0001
and G-C3-hydroxyalkyl groups, and optionally further substituted one or two times with hydroxy,
or,
R'° and R1 1 together with the nitrogen atom to which they are attached form a 5 to 6- membered heterocycloalkyl group in which one carbon atom is optionally replaced by a further heteroatom-containing group selected from NH, 0, S, S(=0) and S(=0)?, in which heterocycloalkyl group one additional ring atom is optionally replaced by C(=0), said 5 to 6-membered heterocycloalkyl group being substituted with one or two groups selected from Ci-Ci-hydroxyalkyl and
Figure imgf000011_0002
and optionally further substituted one or two times with hydroxy, or,
R10 and R1 1 together with the nitrogen atom to which they are attached form a group selected from :
Figure imgf000012_0001
wherein * indicates the point of attachment of said group with the rest of the molecule,
R12 and R13 are independently of each other selected from :
hydrogen, G-G-alkyl, and Cj-Crcycloalkyl,
or,
R12 and R13 together with the nitrogen atom to which they are attached form a 4- to 6-membered heterocycloalkyl group, in which one carbon atom is optionally replaced by a further heteroatom-containing group selected from NR14, 0, S, S(=0) and S(=O , in which heterocycloalkyl group one additional ring atom is optionally replaced by C(=0), said 4- to 6-membered heterocycloalkyl group being optionally substituted with one or two substituents, which are independently of each other selected from :
C-C -alkyl, G-Crhydroxyalky , R15R16NC(=0)(d-C3-alkyl)-, G-G-haloalkyl, G-G-alkoxy, G- Ci-haloalkoxy, C3-C4-cycloalkyl, C3-C4-cycloalkoxy, amino, hydroxy, a halogen atom, and cyano,
R14 represents a group selected from :
hydrogen, R5R16NC(=0)(G-C3-alkyl)-, and G-Ci-alkyl, R15 and R16 are independently of each other selected from :
hydrogen, G-C3-alkyl, and C3-C4-cycloalkyl,
or a stereoisomer, a tautomer, an N-oxide, a hydrate, a solvate, or a salt thereof, or a mixture of same.
Definitions
Constituents which are optionally substituted as stated herein, may be substituted, unless otherwise noted, one or more times, independently from one another at any possible position. When any variable occurs more than one time in any constituent, each definition is independent.
When any variable occurs more than one time in any compound of general formula (I) as described herein, each definition is independent. For example, when R'°, R11 , R12, R13, R14 and/or R15 occur more than one time in any compound of formula (I) each definition of R10, R" , R12, R13, R14 and R15 is independent.
A hyphen at the beginning or at the end of the constituent marks the point of attachment to the rest of the molecule. Should a ring be substituted the substitutent could be at any suitable position of the ring, also on a ring nitrogen atom if suitable.
The terms as mentioned in the present text have preferably the following meanings :
The term "comprising" when used in the specification includes "consisting of".
If it is referred to "as mentioned above" or "mentioned above" within the description it is referred to any of the disclosures made within the specification in any of the preceding pages. If it is referred to "as mentioned herein", "described herein", "provided herein" or "stated herein" within the description it is referred to any of the disclosures made within the specification in any of the preceding or subsequent pages.
The term "halogen ", "halogen atom", "halo- " or "Hal- " is to be understood as meaning a fluorine, chlorine, bromine or iodine atom.
The term "Ci-C6-alkyl" is to be understood as meaning a linear or branched , saturated, monovalent hydrocarbon group having 1 , 2 , 3 , 4, 5, or 6 carbon atoms, e.g. a methyl, ethyl, propyl, butyl, pentyl, hexyl, iso-propyl, iso-butyl, sec-butyl, tert-butyl, iso-pentyl , 2-methylbutyl , 1 -methylbutyl, 1 -ethylpropyl, 1 ,2-dimethylpropyl, neo-pentyl, 1 , 1 - dimethylpropyl, 4-methylpentyl, 3-methylpentyl, 2-methylpentyl, 1 -methylpentyl , 2- ethylbutyl, 1 -ethylbutyl, 3, 3-dimethylbutyl, 2,2-dimethylbutyl, 1 , 1 -dimethylbutyl, 2, 3- dimethylbutyl, 1 , 3-dimethylbutyl, or 1 ,2-dimethylbutyl group, or an isomer thereof.
The term "Ci- C4-alkyl" is to be understood as meaning a linear or branched , saturated, monovalent hydrocarbon group having 1 , 2, 3, or 4, carbon atoms, e.g. a methyl, ethyl, propyl, butyl, iso-propyl, iso-butyl, sec-butyl, tert-butyl group, more particularly 1 , 2 or 3 carbon atoms ("Ci -C3-alkyl") , e.g. a methyl, ethyl, n-propyl- or iso-propyl group, even more particularly 1 or 2 carbon atoms ("Ci-C?-alkyl") , e.g. a methyl, ethyl group.
The term "CrC4-alkyl" is to be understood as meaning a linear or branched , saturated, monovalent hydrocarbon group having 2, 3 , or 4, carbon atoms, e.g. a ethyl, propyl, butyl, iso-propyl, iso-butyl, sec-butyl, tert-butyl group, more particularly 2 or 3 carbon atoms ("CrG-alkyl") , e.g. a ethyl, n-propyl- or iso-propyl group, even more particularly 2 carbon atoms ("Cralkyl") , i.e. a ethyl group.
The term "d -C -hydroxyalkyl" is to be understood as meaning a linear or branched , saturated , monovalent hydrocarbon group in which the term "d-Cra ky " is defined supra, and in which one or more hydrogen atoms is replaced by a hydroxy group, e.g. a hydroxymethyl, 1 -hydroxyethyl, 2-hydroxyethyl, 1 ,2-dihydroxyethyl, 3-hydroxypropyl, 2- hydroxypropyl, 2, 3-dihydroxypropyl, 1 ,3-dihydroxypropan-2-yl group.
The term "CrC4-hydroxyalkyl" is to be understood as meaning a linear or branched, saturated, monovalent hydrocarbon group in which the term "CrC4-alkyl" is defined supra, and in which one or more hydrogen atoms is replaced by a hydroxy group, e.g. a 2- hydroxyethyl, 3-hydroxypropyl, 2-hydroxypropyl, 2, 3-dihydroxypropyl, 3-hydroxy-2-methyl- propyl, 2-hydroxy-2-methyl-propyl group.
The term "CrC6-haloalkyl" is to be understood as meaning a linear or branched , saturated, monovalent hydrocarbon group in which the term "alkyl" is defined herein, and in which one or more hydrogen atoms is replaced by a halogen atom, in identically or differently, i.e. one halogen atom being independent from another. Particularly, said halogen atom is F. Said Ci-C(,-haloalkyl group is, for example, -CF2CF3, -CH?CH?F, -CH2CHF2, -CH2CF3, or - CH2CH2CF3. The C2-C&-haloalkyl group when substituted with a hydroxy group, each hydroxy may replace an hydrogen or halogen atom (provided that at least one halogen atom remains in the group)
The term "Ci-C4-haloalkyl" is to be understood as meaning a linear or branched , saturated, monovalent hydrocarbon group in which the term "C!-C4-alkyl" is defined supra, and in which one or more hydrogen atoms is replaced by a halogen atom, in identically or differently, i.e. one halogen atom being independent from another. Particularly, said halogen atom is F. Said Ci-C4-haloalkyl group is, for example, CF3, -CHF2, -CH2F, -CF2CF3, - CH2CH2F, -CH2CHF2, -CH2CF3, or -CH2CH2CF3.
The term "G-Cralkoxy" is to be understood as preferably meaning a linear or branched, saturated, monovalent, hydrocarbon group of formula O-alkyl having 1 , 2, or 3 carbon atoms, in which the term "alkyl" is defined supra, e.g. a methoxy, ethoxy, n-propoxy, or iso-propoxy group, or an isomer thereof. The term "CrC-t-alkoxy" is to be understood as preferably meaning a linear or branched, saturated, monovalent, hydrocarbon group of formula O-alkyl having 2, 3 or 4 carbon atoms, in which the term "alkyl" is defined supra, e.g. a ethoxy, n-propoxy, iso-propoxy, n-butoxy, iso-butoxy, or tert-butoxy group, or an isomer thereof.
The term "G-Cs-haloalkoxy" is to be understood as preferably meaning a linear or branched, saturated, monovalent G-C3-alkoxy group, as defined supra, in which one or more of the hydrogen atoms is replaced, in identically or differently, by a halogen atom. Particularly, said halogen atom is F. Said G-Crha oalkoxy group is, for example, -OCF3, - OCHF2, -OCH2F, -OCF2CF3, or -OCH2CF3.
The term "C3-C6-cycloalkyl" is to be understood as meaning a saturated, monovalent, monocyclic hydrocarbon ring which contains 3, 4, 5 or 6 carbon atoms ("C3-C6-cycloalkyl"). Said C3-C6-cycloalkyl group is for example, a monocyclic hydrocarbon ring, e.g. a cyclopropyl, cyclobutyl, cyclopentyl or cyclohexyl ring.
The term "C3-C4-cycloalkyl" is to be understood as meaning a saturated, monovalent, monocyclic hydrocarbon ring which contains 3, or 4, carbon atoms ( "C3-C4-cycloalkyl"). Said C3-C4-cycloalkyl group is for example, a monocyclic hydrocarbon ring, e.g. a cyclopropyl, or cyclobutyl ring.
The term "C3-C4-cycloalkoxy" is to be understood as preferably meaning a saturated, monovalent, hydrocarbon ring which contains 3, or 4 carbon atoms of formula 0- cycloalkyl, in which the term "cycloalkyl" is defined supra, e.g. a cyclopropyloxy, or cyclobutyloxy.
The term "7-membered heterocycloalkyl", is to be understood as meaning a saturated, monovalent, monocyclic hydrocarbon ring which contains 6 carbon atoms and a heteroatom-containing group selected from N , NR14, 0, S, S(=0) and S(=Oh, wherein one carbon atom is optionally replaced by a further heteroatom-containing group selected from NR14, 0, S, S(=0) and S(=0)?, in which R14 is as defined herein, and in which heterocycloalkyl group one additional ring atom is optionally replaced by C(=0); it being possible for said heterocycloalkyl group to be attached to the rest of the molecule via any one of the carbon atoms or, if present, the nitrogen atom. Particularly, without being limited thereto, said 7-membered ring can be a group , such as, azepanyl, 1 ,4-diazepanyl or 1 ,4-oxazepanyl for example.
The term "4- to 6-membered heterocycloalkyl", is to be understood as meaning a saturated, monovalent, monocyclic hydrocarbon ring which contains 3, 4 or 5 carbon atoms and a heteroatom-containing group selected from N, NR'4, 0, S, S(=0) and S(=O , wherein one carbon atom is optionally replaced by a further heteroatom-containing group selected from NR14, 0, S, S(=0) and S(=Oh, in which R14 is as defined herein, and in which heterocycloalkyl group one additional ring atom is optionally replaced by C(=0); it being possible for said heterocycloalkyl group to be attached to the rest of the molecule via any one of the carbon atoms or, if present, the nitrogen atom. Particularly, said 4- to 6- membered heterocycloalkyl contains 3, 4 or 5 carbon atoms and a heteroatom-containing group selected from N, NR'4, 0, wherein one carbon atom is optionally replaced by a further heteroatom-containing group selected from NR14, and 0, in which R14 is as defined herein, and in which heterocycloalkyl group one additional ring atom is optionally replaced by C(=0).
Unless otherwise indicated, heterocycloalkyl groups may be substituted as defined herein by replacing a hydrogen atom with a non-hydrogen substituent on any available carbon or nitrogen atom, when present.
A heteroatom-containing group as defined herein is to be understood as meaning a group containing a heteroatom, such as NR14, S(=0) and S(=0)?, or a single heteroatom such as N, 0 and S. Particularly, without being limited thereto, said heterocycloalkyl can be a 4-membered ring, such as an azetidinyl, oxetanyl, or a 5-membered ring, such as tetrahydrofuranyl, dioxolinyl, pyrrolidinyl, imidazolidinyl, pyrazolidinyl, or a 6-membered ring, such as tetrahydropyranyl, piperidinyl, morpholinyl, dithianyl, thiomorpholinyl, piperazinyl, or N- methylpiperazinyl. Optionally, said heterocycloalkyl can be benzo fused. Particularly, without being limited thereto, 4- to 6-membered heterocycloalkyl can be selected from piperazinyl, tetrahydro-2H-pyranyl, tetrahydrofuranyl, pyrrolidinyl, piperidinyl, morpholinyl, azetidinyl, 2-oxoimidazolidinyl, 2-oxopyrrolidinyl and 1 , 1 - dioxidothiomorpholinyl. More particularly, without being limited thereto, 4- to 6- membered heterocycloalkyl can be selected from piperazin-1 -yl, tetrahydro-2H-pyran-4-yl, tetrahydrofuran-3-yl, pyrrolidin-1 -yl, pyrrolidin-2-yl, pyrrolidin-3-yl, piperidin-4-yl, piperidin-1 -yl, piperidin-2-yl, piperidin-3-yl, morpholin-4-yl, azetidin-1 -yl, tetrahydrofuran-2-yl, 2-oxoimidazolidin-1 -yl, 2-oxopyrrolidin-1 -yl and 1 , 1 - dioxidothiomorpholin-4-yl.
The term "aryl" is to be understood as preferably meaning a monovalent, aromatic or partially aromatic, mono- or bicyclic hydrocarbon ring having 6, 7, 8, 9 or 10 carbon atoms (a "C6-Cio-aryl" group), particularly a ring having 6 carbon atoms (a "C6-aryl" group), e.g. a phenyl group; or a ring having 9 carbon atoms (a "Cg-aryl" group), e.g. an indanyl or indenyl group, or a ring having 10 carbon atoms (a "Go-aryl" group), e.g. a tetralinyl, dihydronaphthyl, or naphthyl group. In a preferred embodiment of all aspects and embodiments aryl is phenyl.
The term "heteroaryl" is understood as preferably meaning a monovalent, monocyclic aromatic ring system having 5 or 6 ring atoms (a "5- to 6-membered heteroaryl" group), which contains at least one heteroatom which may be identical or different, said heteroatom being such as oxygen, nitrogen, NH or sulfur. Particularly, heteroaryl is selected from thienyl, furanyl, pyrrolyl, oxazolyl, thiazolyl, imidazolyl, pyrazolyl, isoxazolyl, isothiazolyl, oxadiazolyl, triazolyl, thiadiazolyl etc. , or pyridyl, pyridazinyl, pyrimidinyl, pyrazinyl, triazinyl, etc. More particularly, without being limited thereto, heteroaryl can be selected from pyrazolyl, thienyl, pyridyl, furanyl, thiazolyl, oxazolyl, and pyrazinyl. In a preferred embodiment of all aspects and embodiments heteroaryl is pyridyl.
The term "bridged heterocycloalkyl" means a bicyclic, saturated heterocycle with 7 to 10 ring atoms in total, in which the two rings share two common ring atoms which are not adjacent, which "bridged heterocycloalkyl" contains one or two identical or different ring heteroatoms from the series N, 0 and S; it being possible for said bridged heterocycloalkyl group to be attached to the rest of the molecule via any one of the carbon atoms, except the spiro carbon atom, or, if present, a nitrogen atom.
Said bridged heterocycloalkyl group is, for example, azabicyclo[2.2.1 ]heptyl, oxazabicyclo[2.2.1 ]heptyl, thiazabicyclo[2.2.1 ]heptyl, diazabicyclo[2.2.1 ]heptyl, azabicyclo[2.2.2]octyl, diazabicyclo[2.2.2]octyl, oxazabicyclo [2.2.2] octyl , thiazabicyclo[2.2.2]octyl, azabicyclo[3.2.1 Joctyl, diazabicyclo[3.2.1 joctyl, oxazabicyclo[3.2.1 Joctyl, thiazabicyclo[3.2.1 joctyl, azabicyclo[3.3.1 jnonyl, diazabicyclo[3.3.1 ]nonyl, oxazabicyclo[3.3.1 jnonyl, thiazabicyclo[3.3.1 jnonyl, azabicyclo[4.2.1 Jnonyl, diazabicyclo[4.2.1 Jnonyl, oxazabicyclo[4.2.1 jnonyl, thiazabicyclo[4.2.1 jnonyl azabicyclo[3.3.2jdecyl, diazabicyclo[3.3.2]decyl, oxazabicyclo[3.3.2]decyl, thiazabicyclo[3.3.2]decyl or azabicyclo[4.2.2]decyl.
In general, and unless otherwise mentioned, the heteroarylic or heteroarylenic radicals include all the possible isomeric forms thereof, e.g. the positional isomers thereof. Thus, for some illustrative non-restricting example, the term pyridinyl or pyridinylene includes pyridin-2-yl, pyridin-2-ylene, pyridin-3-yl, pyridin-3-ylene, pyridin-4-yl and pyridin-4-ylene; or the term thienyl or thienylene includes thien-2-yl, thien-2-ylene, thien-3-yl and thien-3- ylene.
In general, and unless otherwise mentioned, the heteroarylic radicals include all the possible isomeric forms thereof, e.g. the positional isomers thereof. Thus, for some illustrative non-restricting example, the term pyridinyl includes pyridin-2-yl, pyridin-3-yl and pyridin-4-yl. In general, and unless otherwise mentioned, aromatic and non-aromatic (hetero)cyclic groups, may optionally be substituted as defined herein. The substituents may be present both when said aromatic and non-aromatic (hetero)cyclic groups exist as a (unitary) constituent, such as, for example, CrC4-cycloalkyl, 4- to 6-membered heterocycloalkyl, aryl and heteroaryl groups, or as part of a constituent composed of more than one part, such as, for example, (C3-C4-cycloalkyl)-Ci-C4-alkyl-, (4- to 6-membered heterocycloalkyl)- (CrC4-alkyl)-, aryl-(Ci-C4-alkyl)- , and heteroaryl-(G-C4-alkyl)- , for example. The present invention includes all suitably substituted aromatic and non-aromatic (hetero)cyclic groups both as a (unitary) constituent, or as part of a constituent composed of more than one part. In this context "suitably" is to be understood as meaning chemically possible to be made by methods within the knowledge of a skilled person.
The term "C1 -C4" , as used throughout this text, e.g. in the context of the definition of "G- C4-alkyl", or "Ci-C4-haloalkyl", is to be understood as meaning an alkyl group having a finite number of carbon atoms of 1 to 4, i.e. 1 , 2, 3, or 4 carbon atoms. It is to be understood further that said term "C1 -C4" is to be interpreted as any sub-range comprised therein, e.g. C1-C4 , C2-C3 , C3-C4 , C1-C2 , C1-C3: particularly C1-C2 , C1-C3 . G-C4.
Similarly, as used herein, the term "CrC4", as used throughout this text, e.g. in the context of the definitions of "CrC-t-alkyl", and "CrC4-hydroxyalkyl" is to be understood as meaning an alkyl group or a hydroxyalkyl group having a finite number of carbon atoms of 2 to 4, i. e. 2, 3, or 4 carbon atoms. It is to be understood further that said term "CrC4" is to be interpreted as any sub-range comprised therein, e.g. C2-C4 , C3-C1 , C2-C3; particularly
The term"substituted" means that one or more hydrogens on the designated atom is replaced with a selection from the indicated group, provided that the designated atom's normal valency under the existing circumstances is not exceeded, and that the substitution results in a stable compound. Combinations of substituents and /or variables are permissible only if such combinations result in stable compounds. The term"optionally substituted" means optional substitution with the specified groups, radicals or moieties. Unless otherwise indicated, optionally substituted groups may be substituted with as many optional substituents as can be accommodated by replacing a hydrogen atom with a non-hydrogen substituent on any available carbon or nitrogen atom.
Ring system substituent means a substituent attached to an aromatic or nonaromatic ring system which, for example, replaces an available hydrogen on the ring system.
As used herein, the term "one or more", e.g. in the definition of the substituents of the compounds of the general formulae of the present invention, is understood as meaning "one, two, three, four or five, particularly one, two, three or four, more particularly one, two or three, even more particularly one or two".
The invention also includes all suitable isotopic variations of a compound of the invention. An isotopic variation of a compound of the invention is defined as one in which at least one atom is replaced by an atom having the same atomic number but an atomic mass different from the atomic mass usually or predominantly found in nature. Examples of isotopes that can be incorporated into a compound of the invention include isotopes of hydrogen , carbon, nitrogen , oxygen, phosphorus, sulphur, fluorine, chlorine, bromine and iodine, such as2H (deuterium), H (tritium) ,1 ,C,13C,14C,15N,170,180,32P,33P,33S,34S,35S,6S,18F,36Cl,82 Br,12 l ,124l,125l,129l and1 1 l, respectively. Certain isotopic variations of a compound of the invention, for example, those in which one or more radioactive isotopes such as H or14C are incorporated, are useful in drug and/or substrate tissue distribution studies. Tritiated and carbon-14, i.e. ,1 C, isotopes are particularly preferred for their ease of preparation and detectability. Further, substitution with isotopes such as deuterium may afford certain therapeutic advantages resulting from greater metabolic stability, for example, increased in vivo half- life or reduced dosage requirements and hence is preferred in some circumstances. Isotopic variations of a compound of the invention can generally be prepared by conventional procedures known by a person skilled in the art such as by the illustrative methods or by the preparations described in the examples hereafter using appropriate isotopic variations of suitable reagents.
Where the plural form of the word compounds, salts, polymorphs, hydrates, solvates and the like, is used herein, this is taken to mean also a single compound, salt, polymorph, isomer, hydrate, solvate or the like.
By "stable compound' or "stable structure" is meant a compound that is sufficiently robust to survive isolation to a useful degree of purity from a reaction mixture, and formulation into an efficacious therapeutic agent.
The compounds of this invention optionally contain one or more asymmetric centre, depending upon the location and nature of the various substituents desired. Asymmetric carbon atoms is present in the (R) or (S) configuration, resulting in racemic mixtures in the case of a single asymmetric centre, and diastereomeric mixtures in the case of multiple asymmetric centres. In certain instances, asymmetry may also be present due to restricted rotation about a given bond, for example, the central bond adjoining two substituted aromatic rings of the specified compounds.
The compounds of the present invention optionally contain sulphur atoms which are asymmetric, such as an asymmetric sulfoxide, of structure:
Figure imgf000022_0001
, for example,
in which* indicates atoms to which the rest of the molecule can be bound.
Substituents on a ring may also be present in either cis or trans form. It is intended that all such configurations (including enantiomers and diastereomers), are included within the scope of the present invention.
Preferred compounds are those which produce the more desirable biological activity. Separated, pure or partially purified isomers and stereoisomers or racemic or diastereomeric mixtures of the compounds of this invention are also included within the scope of the present invention. The purification and the separation of such materials can be accomplished by standard techniques known in the art.
The optical isomers can be obtained by resolution of the racemic mixtures according to conventional processes, for example, by the formation of diastereoisomeric salts using an optically active acid or base or formation of covalent diastereomers. Examples of appropriate acids are tartaric, diacetyltartaric, ditoluoyltartaric and camphorsulfonic acid. Mixtures of diastereoisomers can be separated into their individual diastereomers on the basis of their physical and/or chemical differences by methods known in the art, for example, by chromatography or fractional crystallisation. The optically active bases or acids are then liberated from the separated diastereomeric salts. A different process for separation of optical isomers involves the use of chiral chromatography (e.g. , chiral HPLC columns), with or without conventional derivatisation , optimally chosen to maximise the separation of the enantiomers. Suitable chiral HPLC columns are manufactured by Daicel, e.g. , Chiracel OD and Chiracel OJ among many others, all routinely selectable. Enzymatic separations, with or without derivatisation, are also useful. The optically active compounds of this invention can likewise be obtained by chiral syntheses utilizing optically active starting materials.
In order to limit different types of isomers from each other reference is made to lUPAC Rules Section E (Pure Appl Chem 45, 1 1 -30, 1976).
The present invention includes all possible stereoisomers of the compounds of the present invention as single stereoisomers, or as any mixture of said stereoisomers, e.g. R- or S- isomers, or E- or Z-isomers, in any ratio. Isolation of a single stereoisomer, e.g. a single enantiomer or a single diastereomer, of a compound of the present invention is achieved by any suitable state of the art method, such as chromatography, especially chiral chromatography, for example.
Further, the compounds of the present invention may exist as tautomers. For example, any compound of the present invention which contains a pyrazole moiety as a heteroaryl group for example can exist as a 1 H tautomer, or a 2H tautomer, or even a mixture in any amount of the two tautomers, namely :
Figure imgf000024_0001
1 H-tautomer 2H- tautomer
Particularly, when X1 represents NR3, wherein R3 represents a hydrogen atom, the present invention can exist as one of the below tautomers, or even in a mixture in any amount of the two tautomers, namely:
Figure imgf000024_0002
The present invention includes all possible tautomers of the compounds of the present invention as single tautomers, or as any mixture of said tautomers, in any ratio.
Further, the compounds of the present invention can exist as N-oxides, which are defined in that at least one nitrogen of the compounds of the present invention is oxidised. The present invention includes all such possible N-oxides.
The present invention also relates to useful forms of the compounds as disclosed herein, such as metabolites, hydrates, solvates, prodrugs, salts, in particular pharmaceutically acceptable salts, and co-precipitates. The compounds of the present invention can exist as a hydrate, or as a solvate, wherein the compounds of the present invention contain polar solvents, in particular water, methanol or ethanol for example as structural element of the crystal lattice of the compounds. The amount of polar solvents, in particular water, may exist in a stoichiometric or non-stoichiometric ratio. In the case of stoichiometric solvates, e.g. a hydrate, hemi-, (semi-), mono-, sesqui-, di-, tri-, tetra-, penta- etc. solvates or hydrates, respectively, are possible. The present invention includes all such hydrates or solvates.
Further, the compounds of the present invention can exist in free form, e.g. as a free base, or as a free acid, or as a zwitterion, or can exist in the form of a salt. Said salt may be any salt, either an organic or inorganic addition salt, particularly any pharmaceutically acceptable organic or inorganic addition salt, customarily used in pharmacy.
The term "pharmaceutically acceptable salt" refers to a relatively non-toxic, inorganic or organic acid addition salt of a compound of the present invention. For example, see S. M. Berge, et al. "Pharmaceutical Salts, " J. Pharm. Sci. 1977, 66, 1 -19.
A suitable pharmaceutically acceptable salt of the compounds of the present invention may be, for example, an acid-addition salt of a compound of the present invention bearing a nitrogen atom, in a chain or in a ring, for example, which is sufficiently basic, such as an acid-addition salt with an inorganic acid, such as hydrochloric, hydrobromic, hydroiodic, sulfuric, bisulfuric, phosphoric, or nitric acid, for example, or with an organic acid, such as formic, acetic, acetoacetic, pyruvic, trifluoroacetic, propionic, butyric, hexanoic, heptanoic, undecanoic, lauric, benzoic, salicylic, 2-(4-hydroxybenzoyl)-benzoic, camphoric, cinnamic, cyclopentanepropionic, digluconic, 3-hydroxy-2-naphthoic, nicotinic, pamoic, pectinic, persulfuric, 3-phenylpropionic, picric, pivalic, 2-hydroxyethanesulfonate, itaconic, sulfamic, trifluoromethanesulfonic, dodecylsulfuric, ethansulfonic, benzenesulfonic, para-toluenesulfonic, methansulfonic, 2-naphthalenesulfonic, naphthalinedisulfonic, camphorsulfonic acid, citric, tartaric, stearic, lactic, oxalic, malonic, succinic, malic, adipic, alginic, maleic, fumaric, D-gluconic, mandelic, ascorbic, glucoheptanoic, glycerophosphoric, aspartic, sulfosalicylic, hemisulfuric, or thiocyanic acid, for example. Further, another suitably pharmaceutically acceptable salt of a compound of the present invention which is sufficiently acidic, is an alkali metal salt, for example a sodium or potassium salt, an alkaline earth metal salt, for example a calcium or magnesium salt, an ammonium salt or a salt with an organic base which affords a physiologically acceptable cation, for example a salt with N-methyl-glucamine, dimethyl-glucamine, ethyl-glucamine, lysine, dicyclohexylamine, 1 ,6-hexadiamine, ethanolamine, glucosamine, sarcosine, serinol, tris-hydroxy-methyl-aminomethane, aminopropandiol, sovak-base, 1 -amino-2,3,4- butantriol. Additionally, basic nitrogen containing groups may be quaternised with such agents as lower alkyl halides such as methyl, ethyl, propyl, and butyl chlorides, bromides and iodides ; dialkyl sulfates like dimethyl, diethyl, and dibutyl sulfate ; and diamyl sulfates, long chain halides such as decyl, lauryl, myristyl and strearyl chlorides, bromides and iodides, aralkyl halides like benzyl and phenethyl bromides and others.
Those skilled in the art will further recognise that acid addition salts of the claimed compounds may be prepared by reaction of the compounds with the appropriate inorganic or organic acid via any of a number of known methods. Alternatively, alkali and alkaline earth metal salts of acidic compounds of the invention are prepared by reacting the compounds of the invention with the appropriate base via a variety of known methods.
The present invention includes all possible salts of the compounds of the present invention as single salts, or as any mixture of said salts, in any ratio.
In the present text, in particular in the Experimental Section, for the synthesis of intermediates and of examples of the present invention, when a compound is mentioned as a salt form with the corresponding base or acid, the exact stoichiometric composition of said salt form, as obtained by the respective preparation and/or purification process, is, in most cases, unknown.
Unless specified otherwise, suffixes to chemical names or structural formulae such as "hydrochloride", "trifluoroacetate", "sodium salt", or "x HCl", "x CF3COOH", "x Na'", for example, are to be understood as not a stoichiometric specification, but solely as a salt form. This applies analogously to cases in which synthesis intermediates or example compounds or salts thereof have been obtained, by the preparation and/or purification processes described, as solvates, such as hydrates with (if defined) unknown stoichiometric composition.
As used herein, the term "in vivo hydrolysable ester" is understood as meaning an in vivo hydrolysable ester of a compound of the present invention containing a carboxy or hydroxy group, for example, a pharmaceutically acceptable ester which is hydrolysed in the human or animal body to produce the parent acid or alcohol. Suitable pharmaceutically acceptable esters for carboxy include for example alkyl, cycloalkyl and optionally substituted phenylalkyl, in particular benzyl esters, Ci-C(, alkoxymethyl esters, e.g. methoxymethyl, d-Ce alkanoyloxymethyl esters, e.g. pivaloyloxymethyl, phthalidyl esters, C3-C8 cycloalkoxy-carbonyloxy-CrC6 alkyl esters, e.g. 1 -cyclohexylcarbonyloxyethyl ; 1 ,3- dioxolen-2-onylmethyl esters, e.g. 5-methyl-1 ,3-dioxolen-2-onylmethyl ; and G-C6- alkoxycarbonyloxyethyl esters, e.g. 1 -methoxycarbonyloxyethyl, and may be formed at any carboxy group in the compounds of this invention.
An in vivo hydrolysable ester of a compound of the present invention containing a hydroxy group includes inorganic esters such as phosphate esters and [alphaj-acyloxyalkyl ethers and related compounds which as a result of the in vivo hydrolysis of the ester breakdown to give the parent hydroxy group. Examples of [alphaj-acyloxyalkyl ethers include acetoxymethoxy and 2,2-dimethylpropionyloxymethoxy. A selection of in vivo hydrolysable ester forming groups for hydroxy include alkanoyl, benzoyl, phenylacetyl and substituted benzoyl and phenylacetyl, alkoxycarbonyl (to give alkyl carbonate esters), dialkylcarbamoyl and N-(dialkylaminoethyl)-N-alkylcarbamoyl (to give carbamates), dialkylaminoacetyl and carboxyacetyl. The present invention covers all such esters.
Furthermore, the present invention includes all possible crystalline forms, or polymorphs, of the compounds of the present invention , either as single polymorph , or as a mixture of more than one polymorph, in any ratio. In accordance with a second aspect, the present invention covers compounds of general formula (I ), supra, in which :
X1 represents NR3,
X2 represents a CR6,
R1 represents a group selected from :
CrC3-alkyl and -N(R,0)R" ,
R2 represents a group selected from :
hydrogen , and G - alkyl,
R represents a hydrogen atom,
R4 represents a hydrogen atom,
R5 represents a group selected from :
hydrogen , and G-a ky ,
R6 represents a group selected from :
hydrogen , and fluorine,
R7 represents a hydrogen atom,
R8 represents aryl or heteroaryl,
wherein aryl and heteroaryl groups are optionally substituted with one, two or three substituents, which are independently of each other selected from :
CrC3-alkyl, G -G-alkoxy, G-G-hydroxyalkyl, G-G-cycloalkoxy,
G -G-haloalkyl, d-Crhaloalkoxy, halogen, cyano, hydroxy,
-N(R12)R13, R,2(R13)N-(C,-C3-alkyl)- , R12(R13)N-(C2-C3-alkoxy)-,
R represents hydrogen, G -G-alkyl, or GrG-cycloalkyl,
R11 represents a group selected from :
Ci -C3-alkoxy optionally substituted one time with C3-C4-cycloalkyl, (GrG-cycloalkyl substituted one or two times with hydroxy)-(G -G-alkyl)- , G-G-haloalkyl substituted one or two times with hydroxy, R12R3NC(=0)(G-C3-alkyl)-, (aryl optionally substituted with G- Cralkyl)N(H)(C,-C3-alkyl)-, (aryl optionally substituted with C,-Cralkyl)(C, -C3-alkyl)N(Ci -Cr alkyl)-, 4- to 6-membered heterocycloalkyl, (7-membered heterocycloalkyl)-(CrC4-alkyl)-, bridged heterocycloalkyl, (4- to 6-membered heterocycloalkyl)- (C2-C4-alkyl)-, aryl or heteroaryl substituted one or two times independently with (Ci-Oralkyl N-, and (aryl or heteroaryl, substituted one or two times with (C i -C2-alkyl)2N-)-(d-Cralkyl)-,
wherein 7-membered heterocycloalkyl groups are optionally substituted with one or two substituents, which are independently of each other selected from :
Ci-alkyl, G-haloalkyl, Ci-alkoxy, d-haloalkoxy, hydroxy, and halogen,
and,
wherein 4- to 6-membered heterocycloalkyl groups are substituted with one or two substituents, which are independently of each other selected from :
G-Crhydroxyalkyl, 4- to 6-membered heterocycloalkyl, and aryl- (Ci -C2-alkyl)-,
or,
R'° and R" together with the nitrogen atom to which they are attached form azetidinyl group, said azetidinyl group being substituted with one or two G-C2-hydroxyalkyl groups, and optionally further substituted one or two times with hydroxy,
or,
R10 and R11 together with the nitrogen atom to which they are attached form a 5 to 6- membered heterocycloalkyl group in which one carbon atom is optionally replaced by a further heteroatom-containing group selected from NH, 0, , in which heterocycloalkyl group one additional ring atom is optionally replaced by C(=0), said 5 to 6-membered heterocycloalkyl group being substituted with one or two groups selected from C1-C2- hydroxyalkyl and
Figure imgf000029_0001
and optionally further substituted one or two times with hydroxy, or,
R10 and R1 1 together with the nitrogen atom to which they are attached form a group selected from :
Figure imgf000030_0001
wherein* indicates the point of attachment of said group with the rest of the molecule,
R12 and R13 are independently of each other selected from :
hydrogen , and G-G-alkyl,
or,
R12 and R13 together with the nitrogen atom to which they are attached form a 4- to 6-membered heterocycloalkyl group, in which one carbon atom is optionally replaced by a further heteroatom-containing group selected from NR14, and 0, in which heterocycloalkyl group one additional ring atom is optionally replaced by C(=0) , said 4- to 6-membered heterocycloalkyl group being optionally substituted with one or two substituents, which are independently of each other selected from :
G-alkyl, d-haloalkyl, G-a koxy, G-haloalkoxy, amino, hydroxy, a halogen atom, and cyano,
R14 represents a group selected from :
hydrogen, R15R16NC(=0)(C C2-alkyl)-, and C,-C alkyl,
R15 and R16 are independently of each other selected from : hydrogen, and G-alkyl,
or a stereoisomer, a tautomer, an N-oxide, a hydrate, a solvate, or a salt thereof, or a mixture of same.
In accordance with a third aspect, the present invention covers compounds of general formula (I), supra, in which :
X1 represents NR3,
X2 represents a CR6,
R1 represents a group selected from :
C-Cralkyl and -N(R10)R11,
R2 represents a hydrogen atom,
R3 represents a hydrogen atom,
R4 represents a hydrogen atom,
R5 represents a hydrogen atom,
R6 represents a hydrogen atom,
R7 represents a hydrogen atom,
R8 represents phenyl or pyridyl,
wherein phenyl and pyridyl groups are optionally substituted with one, two or three substituents, which are independently of each other selected from :
Ci-alkyl, G-alkoxy, d-hydroxyalkyl, d-haloalkyl, d-haloalkoxy, halogen, cyano, hydroxy, and -N(R12)R13,
R10 represents hydrogen, d-d-alkyl,
R11 represents a group selected from :
d-d-alkoxy optionally substituted one time with C3-d-cycloalkyl, (C3-C6-cycloalkyl substituted one time with hydroxy)-(d-d-alkyl)-, drd-haloalkyl substituted one time with hydroxy, R12R,3NC(=0)(d-d-alkyl)-, (phenyl optionally substituted with d-alkyl)N(H)(d-d- alkyl)- , (phenyl optionally substituted with C i-alkyl)(Ci-C?-alkyl)N(Ci-C3-alkyl)-, 4- to 6- membered heterocycloalkyl, (7-membered heterocycloalkyl)-(CrC4-alkyl)- , bridged heterocycloalkyl, (4- to 6-membered heterocycloalkyl)-(C2-C3-alkyl)-, and (phenyl or pyridyl, substituted one time with (Ci-alkyl N-)-(d-Cr alkyl)-,
and,
wherein 4- to 6-membered heterocycloalkyl groups are substituted with one substituent, which is selected from :
Ci-Crhydroxyalkyl, 4- to 6-membered heterocycloalkyl, and aryl-(Ci-C?-alkyl)- ,
or,
R10 and R" together with the nitrogen atom to which they are attached form azetidinyl group, said azetidinyl group being substituted with one Ci-C2-hydroxyalkyl group, and optionally further substituted one time with hydroxy,
or,
R10 and R" together with the nitrogen atom to which they are attached form a 5 to 6- membered heterocycloalkyl group in which one carbon atom is optionally replaced by a further heteroatom-containing group selected from NH , and 0, said 5 to 6-membered heterocycloalkyl group being substituted with one group selected from Ci-Crhydroxyalkyl and
Figure imgf000032_0001
and optionally further substituted one time with hydroxy, or,
R10 and R" together with the nitrogen atom to which they are attached form a group:
Figure imgf000032_0002
wherein * indicates the point of attachment of said group with the rest of the molecule,
R12 and R13 are independently of each other selected from :
hydrogen , or G-alkyl,
or,
R12 and R13 together with the nitrogen atom to which they are attached form a 5- to 6-membered heterocycloalkyi group, in which one carbon atom is optionally replaced by a further heteroatom-containing group selected from NR4, and 0, in which heterocycloalkyi group one additional ring atom is optionally replaced by C(=0) ,
R14 represents a group selected from :
hydrogen, R15R16NC(=0)(C alkyl)-, and G-alkyl,
R15 and R16 are hydrogen,
or a stereoisomer, a tautomer, an N-oxide, a hydrate, a solvate, or a salt thereof, or a mixture of same.
In accordance with a fourth aspect, the present invention covers compounds of general formula (I ), supra, in which :
X1 represents NR3,
X2 represents a CR6,
R1 represents a group selected from :
G-alkyl and -N(R10)R" ,
R2 represents a hydrogen atom,
R3 represents a hydrogen atom, R4 represents a hydrogen atom,
R5 represents a hydrogen atom,
R6 represents a hydrogen atom,
R7 represents a hydrogen atom,
R8 represents phenyl,
wherein phenyl is optionally substituted with one, two or three substituents, which are independently of each other selected from :
halogen ,
R'° represents hydrogen, or G-a ky ,
R11 represents a group selected from :
Ci-alkoxy optionally substituted one time with C rcycloalkyl, (Ce-cycloalkyl substituted one time with hydroxy)-(G-alkyl)-, C4-haloalkyl substituted one time with hydroxy,
Figure imgf000034_0001
(phenyl optionally substituted with Ci-alkyl)(Ci-C.-alkyl)N(C2- alkyl)- , 5- to 6-membered heterocycloalkyl, (7-membered heterocycloalkyl)- (C3-alkyl)-, azabicyclo[2.2.2]octyl, (5- to 6-membered heterocycloalkyl)-(C2-alkyl)-, (phenyl or pyridyl substituted one time with (Ci-alkyl)2N-)-(G-alkyl)-,
wherein 5-6-membered heterocycloalkyl groups are substituted with one substituent, which is selected from :
G-Crhydroxyalkyl, 6-membered heterocycloalkyl, and aryl-(G-alkyl)-,
or,
R10 and R11 together with the nitrogen atom to which they are attached form azetidinyi group, said azetidinyi group being substituted with one Crhydroxyalkyl group, and further substituted one time with hydroxy,
or, R10 and R1 1 together with the nitrogen atom to which they are attached form a 6- membered heterocycloalkyl group in which one carbon atom is replaced by a further heteroatom-containing group selected from NH, and 0, said 6-membered heterocycloalkyl group being substituted with one
Figure imgf000035_0001
group,
or,
R10 and R" together with the nitrogen atom to which they are attached form a group:
Figure imgf000035_0002
wherein * indicates the point of attachment of said group with the rest of the molecule,
R12 and R13 are independently of each other selected from :
hydrogen
or,
R12 and R13 together with the nitrogen atom to which they are attached form a 6-membered heterocycloalkyl group, in which one carbon atom is optionally replaced by a further heteroatom-containing group selected from NR14, and 0,
R14 represents a group selected from :
Figure imgf000035_0003
and G-alkyl,
R15 and R16 are hydrogen, or a stereoisomer, a tautomer, an N-oxide, a hydrate, a solvate, or a salt thereof, or a mixture of same.
In accordance with a fifth aspect, the present invention covers compounds of general formula (I ), supra, in which :
X1 represents NR!,
X2 represents a CR6,
R! represents a group selected from :
C-Cralkyl and -N(R,0)R" ,
R2 represents a hydrogen atom,
R! represents a hydrogen atom,
R4 represents a hydrogen atom,
R5 represents a hydrogen atom,
R6 represents a hydrogen atom,
R7 represents a hydrogen atom,
R8 represents phenyl or pyridyl,
wherein phenyl and pyridyl groups are optionally substituted with one, two or three substituents, which are independently of each other selected from :
halogen ,
R'° represents hydrogen, or d-Cralkyl,
R11 represents a group selected from :
Ci-Cralkoxy substituted one time with C3-C4-cycloalkyl, (C3-C6-cycloalkyl substituted one time with hydroxy)-(d-Cralkyl)-, CrC4-haloalkyl substituted one time with hydroxy, R,2R, 3NC(=0)(C,-C3-alkyl)- , (phenyl optionally substituted with C,-alkyl)N(H)(C,-Cs-alkyl)- , (phenyl optionally substituted with Ci-alkyl)(CrC?-alkyl)N(Ci-C3-alkyl)-, 4- to 6-membered heterocycloalkyl, (7-membered heterocycloalkyl)-(C?-C4-alkyl)- , bridged heterocycloalkyl, (4- to 6-membered heterocycloalkyl)-(Crd-alkyl)- , and (phenyl or pyridyl, substituted one time with (Ci-alkyl)2N- )- (Ci -C_-alkyl)- ,
and,
wherein 4- to 6-membered heterocycloalkyl groups are substituted with one substituent, which is selected from :
d-Crhydroxyalkyl, 4- to 6-membered heterocycloalkyl, and aryl- (Ci-Cralkyl)- ,
or, 10 and R" together with the nitrogen atom to which they are attached form azetidinyl group, said azetidinyl group being substituted with one d-Crhydroxyalkyl group, and optionally further substituted one time with hydroxy,
or,
R10 and R11 together with the nitrogen atom to which they are attached form a group:
Figure imgf000037_0001
wherein* indicates the point of attachment of said group with the rest of the molecule,
R12 and R13 are independently of each other selected from :
hydrogen , and d-alkyl,
or,
R12 and R13 together with the nitrogen atom to which they are attached form a 5- to 6-membered heterocycloalkyl group, in which one carbon atom is optionally replaced by a further heteroatom-containing group selected from N14, and 0, in which heterocycloalkyl group one additional ring atom is optionally replaced by C(=0),
R14 represents a group selected from :
hydrogen, R,5R,6NC(=0)(C,-alkyl)-, and d-alkyl,
R15 and R16 are hydrogen,
or a stereoisomer, a tautomer, an N-oxide, a hydrate, a solvate, or a salt thereof, or a mixture of same.
In accordance with a sixth aspect, the present invention covers compounds of general formula (I), supra, in which :
X1 represents NR3,
X2 represents a CR6,
R1 represents a group selected from :
d-alkyl and -N(R,0)R" ,
R2 represents a hydrogen atom,
R3 represents a hydrogen atom,
R4 represents a hydrogen atom,
R5 represents a hydrogen atom,
R6 represents a hydrogen atom,
R7 represents a hydrogen atom,
R8 represents phenyl,
wherein phenyl is optionally substituted with one, two or three substituents, which are independently of each other selected from :
halogen, R represents hydrogen, d -alkyl,
R11 represents a group selected from :
Ci -alkoxy substituted one time with C rcycloalkyl, (C6-cycloalkyl substituted one time with hydroxy)-(Ci-alkyl)- , C4-haloalkyl substituted one time with hydroxy,
Figure imgf000039_0001
alkyl)- , (phenyl optionally substituted with Ci-alkyl)(Ci-Cralkyl)N (C?-alkyl)- , 5- to 6- membered heterocycloalkyl, (7-membered heterocycloalkyl)- (C3-alkyl)- , azabicyclo [2.2.2] octyl , (5- to 6-membered heterocycloalkyl)- (C?-alkyl)- , and (phenyl or pyridyl substituted one time with (G -alkyl N-)-(Ci-alkyl)- ,
wherein 5-6-membered heterocycloalkyl groups are substituted with one substituent, which is selected from :
d -Crhydroxyalkyl, 6-membered heterocycloalkyl, and aryl-(Ci-alkyl)- ,
or,
R10 and R" together with the nitrogen atom to which they are attached form azetidinyl group, said azetidinyl group being substituted with one C2-hydroxyalkyl group, and further substituted one time with hydroxy,
or,
R'° and R1 1 together with the nitrogen atom to which they are attached form a group:
Figure imgf000039_0002
wherein * indicates the point of attachment of said group with the rest of the molecule, R12 and R13 are independently of each other selected from :
hydrogen
or,
R12 and R13 together with the nitrogen atom to which they are attached form a 6-membered heterocycloalkyl group, in which one carbon atom is optionally replaced by a further heteroatom-containing group selected from NR14, and 0,
R14 represents a group selected from :
Figure imgf000040_0001
and G-alkyl,
R15 and R16 are hydrogen,
or a stereoisomer, a tautomer, an N-oxide, a hydrate, a solvate, or a salt thereof, or a mixture of same.
In accordance with a seventh aspect, the present invention covers a compound of general formula (I ), supra, which is selected from the group consisting of :
N4-{4-[(2-chloro-4-fluorobenzoyl)amino]phenyl}-N5-{2-[(2R)-2-(hydroxymethyl)pyrrolidin- 1 -yl]ethyl}-1 H-imidazole-4,5-dicarboxamide
N4-{4-[(2-chloro-4-fluorobenzoyl)amino]phenyl}-N5-methoxy-N5-methyl-1 H-imidazole-4,5- dicarboxamide
5-acetyl-N-{4- [(2-chloro-4-fluorobenzoyl)amino]phenyl}-1 H-imidazole-4-carboxamide
N4-{4-[(2-chloro-4-fluorobenzoyl)amino]phenyl}-N5-[(1 -hydroxycyclohexyl)methyl]-1 H- imidazole-4,5-dicarboxamide
N4-{4-[(2-chloro-4-fluorobenzoyl)amino]phenyl}-N5- [(3S)-4,4,4-trifluoro-3-hydroxybutyl]- 1 H-imidazole-4, 5-dicarboxamide
N5-(3-amino-3-oxopropyl)-N4-{4-[(4-fluorobenzoyl)amino]phenyl}-1 H-imidazole-4, 5- dicarboxamide
N4-{4-[(4-fluorobenzoy[)amino]pheny[}-N5-[2-(morpholin-4-y[)-2-oxoethyl]-1H-imidazo[e- 4,5-dicarboxamide
N5-[1-azabicyclo[2.2.2]oct-3-yl]-N4-{4-[(4-fluorobenzoyl)amino]p enyl}-1H-imidazole-4,5- dicarboxamide
N4-{4^(4-fluorobenzoyl)amino]p enyl}-N5-{2-[4-( ydroxymet yl)piperidin-1-yl]et yl}-1H- imidazole-4,5-dicarboxamide
N4-{4-[(4-f[uorobenzoy[)amino]pheny[}-N5-{2-[3-(hydroxymethy[)piperidin-1-yi]ethy[}-1H- imidazole-4,5-dicarboxamide
N4-{4-[(4-fiuorobenzoy[)amino]pheny[}-N5-[(trans)-4-(piperidin-1-yi)tetrahydrofuran-3-yi]- 1 H-imidazole-4, 5-dicarboxamide
N4-{4-[(4-fluorobenzoyl)amino]p enyl}-N5-{2-[2-( ydroxymet yl)piperidin-1-yl]et yl}-1H- imidazole-4, 5-dicarboxamide
5-{[4-(2-amino-2-oxoethyl)piperazin-1-yl]carbonyl}-N-{4-[(2-c loro-4-fluorobenzoyl)- amino]phenyl}-1H-imidazole-4-carboxamide
N4-{4-[(2 loro-4-fluorobenzoyl)amino]p enyl}-N5-[2-(morp olin-4-yl)-2-oxoet yl]-1H- imidazole-4, 5-dicarboxamide
N5-[1-azabicyclo[2.2.2]oct-3-yl]-N4-{4-[(2-c loro-4-fluorobenzoyl)amino]p enyl}-1H- imidazole-4, 5-dicarboxamide
N4-{4-[(2-c loro-4-fluorobenzoyl)amino]p enyl}-N5-{2-[4-( ydroxymet yl)piperidin-1- yl]et yl}-1 H-imidazole-4, 5-dicarboxamide
N4-{4-[(2-c loro-4-fluorobenzoyl)amino]phenyl}-N5-{2-[3-( ydroxymet yl)piperidin-1- yl]et yl}-1 H-imidazole-4, 5-dicarboxamide
N4-{4-[(2-c loro-4-fluorobenzoyl)amino]p enyl}-N5-[(trans)4-(piperidin-1- yl)tetra ydrofuran-3-yl]-1 H-imidazole-4, 5-dicarboxamide
N4-{4-[(2-c loro-4-fluorobenzoyl)amino]p enyl}-N5-{2-[2-( ydroxymet yl)piperidin-1- yl]et yl}-1 H-imidazole-4, 5-dicarboxamide
5-{[4-(2-amino-2-oxoethyl)piperazin-1-yl]carbonyl}-N-{4-[(2-c lorobenzoyl)amino]-p enyl}- 1 H-imidazole-4-carboxamide
N4-{4-[(2 lorobenzoyl)amino]phenyl}-N5-[2-(morp olin-4-yl)-2-oxoet yl]-1H^'midazole- 4,5-dicarboxamide
N5-[1-azabicyclo[2.2.2]oct-3-yl]-N4-{4-[(2 lorobenzoyl)amino]p enyl}-1H-imidazole-4,5- dicarboxamide
N4-{4-[(2 lorobenzoyl)amino]p enyl}-N5-{2-[4-( ydroxymet yl)piperidin-1-yl]et yl}-1H- imidazole-4,5-dicarboxamide
N4-{4-[(2 h[orobenzoy[)amino]pheny[}-N5-{2-[3-(hydroxymethy[)piperidin-1-yi]ethy[}-1H- imidazole-4,5-dicarboxamide
N4-{4-[(2 hlorobenzoyl)amino]p enyl}-N5^(trans)-4-(piperidin-1-yl)tetra ydrofuran-3-yl]- 1 H-imidazole-4, 5-dicarboxamide
N4-{4-[(2 lorobenzoyl)amino]p enyl}-N5-{2^2-( ydroxymet yl)pipen'din-1-yl]et yl}-1H- imidazole-4, 5-dicarboxamide
N4-[3-(azepan-1-yl)propyl]-N5-{4-[(2 loro-4-fluorobenzoyl)amino]p enyl}-1H-imidazole- 4, 5-dicarboxamide
N5-{4-[(2-c loro-4-fluorobenzoyl)amino]p enyl}-N4-{2-[ethyl(3- met ylp enyl)amino]etriyl}-1 H-imidazole-4, 5-dicarboxamide
N5-{4-[(2-c loro-4-fluorobenzoyl)amino]phenyl}-N4-{2-[met yl(p enyl)amino]etriyl}-1l-l- imidazole-4, 5-dicarboxamide
N4-(1-benzylpyrrolidin-3-yl)-N5-{4-[(2-c loro-4-fluorobenzoyl)amino]p enyl}-1H-imidazole- 4, 5-dicarboxamide
N5-{4-[(2-c loro-4-fluorobenzoyl)amino]phenyl}-N4-[3-(dimethylamino)benzyl]-1H- imidazole-4, 5-dicarboxamide
N5-{4-[(2-c loro-4-fluorobenzoyl)amino]p enyl}-N4-[2-(4-met ylpiperazin-1-yl)-2- oxoet yl]-1 H-imidazole-4, 5-dicarboxamide
Ns-{4-[(2-c loro-4-fluorobenzoyl)amino]phenyl}-N -{[6-(dimet ylamino)pyridin-3- yl]met yl}-1 H-imidazole-4, 5-dicarboxamide
N5-{4-[(2-c loro-4-fluorobenzoyl)amino]p enyl}-N4-(cyclopropylmethoxy)-1H-imidazole- 4,5-dicarboxamide
N-{4-[(2-chioro-4-f[uorobenzoy[)amino]pheny[}-4-[(1 ,1 -dioxido-1 -thia-6-azaspiro[3.3]hept- 6-yl)carbonyl]-1 H-imidazole-5-carboxamide
N-{4-[(2 hloro-4-fluorobenzoyl)amino]phenyl}-4-{[3-hydroxy-3-(2-hydroxyethyl)azetidin-1 - yl]carbonyl}-1 H-imidazole-5-carboxamide
N5-{4-[(2 hloro-4,5-difluorobenzoyl)amino]phenyl}-N4-(cyclopropylmethoxy)-1 H- imidazole-4,5-dicarboxamide
N-{4-[(2-chioro-4,5-difiuorobenzoyi)amino]phenyi}-4-[(1 , 1 -dioxido-1 -thia-6- azaspiro[3.3]hept-6-yl)carbonyl]-1 H-imidazole-5-carboxarriide
N-{4-[(2-chloro-4,5-difluorobenzoyl)amino]phenyl}-4-{[3-hydroxy-3-(2- hydroxyethyl)azetidin-1 -yl]carbonyl}-1 H-imidazole-5-carboxamide
In a further embodiment of the above-mentioned aspects, the invention relates to compounds of formula (I), wherein :
X1 represents NR3.
In a further embodiment of the above-mentioned aspects, the invention relates to compounds of formula (I), wherein :
X1 represents 0.
In a further embodiment of the above-mentioned aspects, the invention relates to compounds of formula (I), wherein :
R1 represents a group selected from :
d-C4-alkyl and -N(R0)R11.
In a further embodiment of the above-mentioned aspects, the invention relates to compounds of formula (I), wherein : R1 represents -N(R10)R11.
In a further embodiment of the above-mentioned aspects, the invention relates to compounds of formula (I), wherein :
R1 represents a group selected from :
Ci-C4-alkyl.
In a further embodiment of the above-mentioned aspects, the invention relates to compounds of formula (I), wherein :
R represents a group selected from :
C-alkyl.
In a further embodiment of the above-mentioned aspects, the invention relates to compounds of formula (I), wherein :
R2 represents a group selected from :
hydrogen, G-Cralkyl, and C3-C4-cycloalkyl.
In a further embodiment of the above-mentioned aspects, the invention relates to compounds of formula (I), wherein :
R2 represents a group selected from :
hydrogen , and G-Cralkyl.
In a further embodiment of the above-mentioned aspects, the invention relates to compounds of formula (I), wherein :
R2 represents a group selected from :
hydrogen , and G-alkyl. In a further embodiment of the above-mentioned aspects, the invention relates to compounds of formula (I), wherein :
2 represents a group selected from :
hydrogen.
In a further embodiment of the above-mentioned aspects, the invention relates to compounds of formula (I), wherein :
R5 represents a group selected from :
hydrogen, and G-Cra kyl.
In a further embodiment of the above-mentioned aspects, the invention relates to compounds of formula (I), wherein :
R5 represents a group selected from :
hydrogen, and G-a kyl.
In a further embodiment of the above-mentioned aspects, the invention relates to compounds of formula (I), wherein :
R5 represents hydrogen.
In a further embodiment of the above-mentioned aspects, the invention relates to compounds of formula (I), wherein :
R6 represents a group selected from :
hydrogen, and halogen.
In a further embodiment of the above-mentioned aspects, the invention relates to compounds of formula (I), wherein :
R6 represents a hydrogen or fluorine. In a further embodiment of the above-mentioned aspects, the invention relates to compounds of formula (I), wherein :
R6 represents hydrogen.
In a further embodiment of the above-mentioned aspects, the invention relates to compounds of formula (I), wherein :
R8 represents aryl or heteroaryl,
wherein aryl and heteroaryl groups are optionally substituted with one, two or three substituents, which are independently of each other selected from :
Ci-C4-alkyl, Ci-C3-alkoxy, Ci-C3-hydroxyalkyl, C3-C4-cycloalkyl, C3-C4-cycloalkoxy, Ci-Cs-haloalkyl, G-Cs-haloalkoxy, halogen , cyano, nitro, hydroxy, -N(R,2)R, !, R12(R13)N-(CrC4-alkyl)-, R12(R13)N-(C2-C -alkoxy)-, and (C,-C3-alkyl)-S(=O - , -
Figure imgf000046_0001
In a further embodiment of the above-mentioned aspects, the invention relates to compounds of formula (I), wherein :
R8 represents aryl or heteroaryl,
wherein aryl and heteroaryl groups are optionally substituted with one, two or three substituents, which are independently of each other selected from :
Ci-C3-alkyl, d-Cralkoxy, CrC hydroxyalkyl, G-Crcycloalkoxy,
Ci-C?-haloalkyl, d-Crhaloalkoxy, halogen, cyano, hydroxy,
-N(R12)R13, R,2(R, )N-(C,-C3-alkyl)- , and R12(R, 3)N-(CrC s-alkoxy)-.
In a further embodiment of the above-mentioned aspects, the invention relates to compounds of formula (I), wherein :
R8 represents phenyl or pyridyl, wherein phenyl and pyridyl groups are optionally substituted with one, two or three substituents, which are independently of each other selected from :
Ci-alkyl, Ci-a koxy, G-hydroxyalkyl, G-haloalkyl, G-haloalkoxy, halogen, cyano, hydroxy, and -N(12)13.
In a further embodiment of the above-mentioned aspects, the invention relates to compounds of formula (I), wherein :
R8 represents phenyl,
wherein phenyl is optionally substituted with one, two or three substituents, which are independently of each other selected from :
halogen.
In a further embodiment of the above-mentioned aspects, the invention relates to compounds of formula (I), wherein :
R8 represents phenyl,
wherein phenyl is optionally substituted with one, two or three substituents, which are independently of each other selected from :
fluorine and chlorine.
In a further embodiment of the above-mentioned aspects, the invention relates to compounds of formula (I), wherein :
R8 represents phenyl or pyridyl,
wherein phenyl and pyridyl groups are optionally substituted with one, two or three substituents, which are independently of each other selected from :
fluorine and chlorine. In a further embodiment of the above-mentioned aspects, the invention relates to compounds of formula (I), wherein :
R10 represents hydrogen, d-Cj-alkyl, or C3-C4-cycloalkyl,
R" represents a group selected from :
d-Cj-alkoxy optionally substituted one or two times with G-C -cycloalkyl, (Ci-C6-cycloalkyl substituted one or two times with hydroxy)-(Ci-C4-alkyl)- , C2-C6-haloalkyl substituted one or two times with hydroxy,
Figure imgf000048_0001
(aryl optionally substituted with G- C4-alkyl)N(H )(Ci-C4-alkyl)-, (aryl optionally substituted with Ci-C -alkyl)(Ci-C3-alkyl)N(G-C4- alkyl)- , 4- to 6-membered heterocycloalkyl, (7-membered heterocycloalkyl)-(CrC4-alkyl)-, bridged heterocycloalkyl, (bridged heterocycloalkyl)-(G-C4-alkyl)-, (4- to 6-membered heterocycloalkyl)-(CrC4-alkyl)- , aryl or heteroaryl substituted one or two times independently with (G-G-alkyl N-, and (aryl or heteroaryl, substituted one or two times with (Ci-Cralkyl N- )-(Ci-C3-alkyl)- ,
wherein 7-membered heterocycloalkyl groups are optionally substituted with one or two substituents, which are independently of each other selected from :
G-Cra ky , G-G-hydroxyalkyl, G-C3-haloalkyl, Ci-C3-alkoxy, Ci-C3-haloalkoxy, C3-C4-cycloalkyl, C3-C4-cycloalkoxy, amino, hydroxy, halogen, and cyano,
and,
wherein 4- to 6-membered heterocycloalkyl groups are substituted with one or two substituents, which are independently of each other selected from :
Ci-C3-hydroxyalkyl, 4- to 6-membered heterocycloalkyl, and aryl-(G-C3-alkyl)- ,
or,
R10 and R1 1 together with the nitrogen atom to which they are attached form a azetidinyl group, said azetidinyl group being substituted with one or two groups selected from
Figure imgf000048_0002
and G-C3-hydroxyalkyl groups, and optionally further substituted one or two times with hydroxy, or R!0 and R11 together with the nitrogen atom to which they are attached form a 5 to 6- membered heterocycloalkyl group in which one carbon atom is optionally replaced by a further heteroatom-containing group selected from NH, 0, S, S(=0) and S(=O , in which heterocycloalkyl group one additional ring atom is optionally replaced by C(=0), said 5 to 6-membered heterocycloalkyl group being substituted with one or two groups selected from G-C -hydroxyalkyl and
Figure imgf000049_0001
and optionally further substituted one or two times with hydroxy,
or,
R10 and R" together with the nitrogen atom to which they are attached form a group selected from :
Figure imgf000049_0002
wherein * indicates the point of attachment of said group with the rest of the molecule.
In a further embodiment of the above-mentioned aspects, the invention relates to compounds of formula (I), wherein :
R10 represents hydrogen, d-Ci-alkyl, or Ci-G-cycloalkyl,
R11 represents a group selected from :
Ci -C s-alkoxy optionally substituted one or two times with CrQrcycloalkyl, (C3-C6-cycloalkyl substituted one or two times with hydroxy)-(G-C4-alkyl)- , C?-C6-haloalkyl substituted one or two times with hydroxy,
Figure imgf000049_0003
(aryl optionally substituted with G- C4-alkyl)N(H )(G-C4-alkyl)-, (aryl optionally substituted with C i -C4-alkyl) (Ci-Cralkyl)N (C, -C4- alkyl)- , 4- to 6-membered heterocycloalkyl, (7-membered heterocycloalkyl)-(C2-C4-alkyl)-, bridged heterocycloalkyl, (bridged heterocycloalkyl)-(G-C4-alkyl)-, (4- to 6-membered heterocycloalkyl)-(CrC4-alkyl)- , aryl or heteroaryl substituted one or two times independently with (G-C3-alkyl N-, and (aryl or heteroaryl, substituted one or two times with (C,-C3-alkyl N- )-(C, -C3-alkyl)- ,
wherein 7-membered heterocycloalkyl groups are optionally substituted with one or two substituents, which are independently of each other selected from :
G-C3-alkyl, G-C3-hydroxyalkyl, G-C3-haloalkyl, Ci -C3-alkoxy, Ci -C3-haloalkoxy, C s-C4-cycloalkyl, C3-C4-cycloalkoxy, amino, hydroxy, halogen, and cyano,
and,
wherein 4- to 6-membered heterocycloalkyl groups are substituted with one or two substituents, which are independently of each other selected from :
Ci -C3-hydroxyalkyl, 4- to 6-membered heterocycloalkyl, and aryl-(G-C3-alkyl)-.
In a further embodiment of the above-mentioned aspects, the invention relates to compounds of formula (I), wherein :
R10 and R" together with the nitrogen atom to which they are attached form a azetidinyl group, said azetidinyl group being substituted with one or two groups selected from R15R16NC(=0) (CrC3-alkyl)- and Ci -C3-hydroxyalkyl groups, and optionally further substituted one or two times with hydroxy.
In a further embodiment of the above-mentioned aspects, the invention relates to compounds of formula (I), wherein :
R'° and R11 together with the nitrogen atom to which they are attached form a 5 to 6- membered heterocycloalkyl group in which one carbon atom is optionally replaced by a further heteroatom-containing group selected from NH, 0, S, S(=0) and S(=O , in which heterocycloalkyl group one additional ring atom is optionally replaced by C(=0), said 5 to 6-membered heterocycloalkyl group being substituted with one or two groups selected from Ci -C3-hydroxyalkyl and
Figure imgf000050_0001
and optionally further substituted one or two times with hydroxy. In a further embodiment of the above-mentioned aspects, the invention relates to compounds of formula (I), wherein :
R10 and R" together with the nitrogen atom to which they are attached form a group selected from :
Figure imgf000051_0001
wherein * indicates the point of attachment of said group with the rest of the molecule.
In a further embodiment of the above-mentioned aspects, the invention relates to compounds of formula (I), wherein :
R10 represents hydrogen, Ci-C3-alkyl, or G-C^cycloalkyl,
R" represents a group selected from :
d-G-alkoxy optionally substituted one time with C3-C4-cycloalkyl, (C3-C6-cycloalkyl substituted one or two times with hydroxy)-(G-C3-alkyl)- , CrC4-haloalkyl substituted one or two times with hydroxy,
Figure imgf000051_0002
(aryl optionally substituted with G- G-alkyl)N(H )(G-G-alkyl)-, (aryl optionally substituted with G-G-alkyl)(G-G-alkyl)N(G-G- alkyl)- , 4- to 6-membered heterocycloalkyl, (7-membered heterocycloalkyl)-(GrG-alkyl)-, bridged heterocycloalkyl, (4- to 6-membered heterocycloalkyl)-(CrC4-alkyl)- , aryl or heteroaryl substituted one or two times independently with (G-G-alkyl)?N- , and (aryl or heteroaryl, substituted one or two times with (G-G-alkyl)?N-)-(G-G-alkyl)-,
wherein 7-membered heterocycloalkyl groups are optionally substituted with one or two substituents, which are independently of each other selected from :
G-alkyl, G-haloalkyl, G-alkoxy, G-haloalkoxy, hydroxy, and halogen, and,
wherein 4- to 6-membered heterocycloalkyl groups are substituted with one or two substituents, which are independently of each other selected from :
d-Crhydroxyalkyl, 4- to 6-membered heterocycloalkyl, and aryl-(d-Cralkyl)-.
In a further embodiment of the above-mentioned aspects, the invention relates to compounds of formula (I), wherein :
R10 and R11 together with the nitrogen atom to which they are attached form azetidinyl group, said azetidinyl group being substituted with one or two Ci -C2-hydroxyalkyl groups, and optionally further substituted one or two times with hydroxy.
In a further embodiment of the above-mentioned aspects, the invention relates to compounds of formula (I), wherein :
R'° and R" together with the nitrogen atom to which they are attached form a 5 to 6- membered heterocycloalkyl group in which one carbon atom is optionally replaced by a further heteroatom-containing group selected from NH, 0, , in which heterocycloalkyl group one additional ring atom is optionally replaced by C(=0), said 5 to 6-membered heterocycloalkyl group being substituted with one or two groups selected from C1-C2- hydroxyalkyl and
Figure imgf000052_0001
and optionally further substituted one or two times with hydroxy.
In a further embodiment of the above-mentioned aspects, the invention relates to compounds of formula (I), wherein :
R'° represents hydrogen, or G-Cralkyl, preferably hydrogen,
R! 1 represents a group selected from : G-Cralkoxy optionally substituted one time with C3-Ct-cycloalkyl, (C3-C(,-cycloalkyl substituted one time with hydroxy)-(d-d-alkyl)-, Cr i-haloalkyl substituted one time with hydroxy,12 13NC(=0)(C C3-alkyl)-, (phenyl optionally substituted with d-alkyl)N(H)(d-d- alkyl)- , (phenyl optionally substituted with d-alkyl)(d-d-alkyl)N(d-d-alkyl)-, 4- to 6- membered heterocycloalkyl, (7-membered heterocycloalkyl)-(CrC4-alkyl)- , bridged heterocycloalkyl, (4- to 6-membered heterocycloalkyl)-(d-d-alkyl)-, and (phenyl or pyridyl, substituted one time with (Ci-alkyl)?N-)-(Ci-Cralkyl)-,
and,
wherein 4- to 6-membered heterocycloalkyl groups are substituted with one substituent, which is selected from :
d-Crhydroxyalkyl, 4- to 6-membered heterocycloalkyl, and aryl-(d-d-alkyl)-.
In a further embodiment of the above-mentioned aspects, the invention relates to compounds of formula (I), wherein :
R'° and R" together with the nitrogen atom to which they are attached form azetidinyl group, said azetidinyl group being substituted with one d-Crhydroxyalkyl group, and optionally further substituted one time with hydroxy.
In a further embodiment of the above-mentioned aspects, the invention relates to compounds of formula (I), wherein :
R10 and R11 together with the nitrogen atom to which they are attached form a 5 to 6- membered heterocycloalkyl group in which one carbon atom is optionally replaced by a further heteroatom-containing group selected from NH, and 0, said 5 to 6-membered heterocycloalkyl group being substituted with one group selected from d-d-hydroxyalkyl and
Figure imgf000053_0001
and optionally further substituted one time with hydroxy.
In a further embodiment of the above-mentioned aspects, the invention relates to compounds of formula (I), wherein : and R11 together with the nitrogen atom to which they are attached form a group:
Figure imgf000054_0001
wherein * indicates the point of attachment of said group with the rest of the molecule.
In a further embodiment of the above-mentioned aspects, the invention relates to compounds of formula (I), wherein :
R10 represents hydrogen, G-alky , preferably hydrogen,
R11 represents a group selected from :
G-a koxy optionally substituted one time with C3-cycloalkyl, (C(,-cycloalkyl substituted one time with hydroxy)-(Ci-alkyl)-, C4-haloalkyl substituted one time with hydroxy, R12R13NC(=0)(CrC2-alkyl)-, (phenyl optionally substituted with C,-alkyl)(C,-C2-alkyl)N(Cr alkyl)- , 5- to 6-membered heterocycloalkyl, (7-membered heterocycloalkyl)-(C ralkyl)-, azabicyclo[2.2.2]octyl, (5- to 6-membered heterocycloalkyl)-(Cralkyl)-, and (phenyl or pyridyl substituted one time with (Ci-alkyl)?N-)-(Ci-alkyl)-,
wherein 5-6-membered heterocycloalkyl groups are substituted with one substituent, which is selected from :
d-Crhydroxyalkyl, 6-membered heterocycloalkyl, and aryl-(G-alkyl)-.
In a further embodiment of the above-mentioned aspects, the invention relates to compounds of formula (I), wherein :
R10 and R" together with the nitrogen atom to which they are attached form azetidinyl group, said azetidinyl group being substituted with one Crhydroxyalkyl group, and further substituted one time with hydroxy. In a further embodiment of the above-mentioned aspects, the invention relates to compounds of formula (I), wherein :
R10 and R" together with the nitrogen atom to which they are attached form a 6- membered heterocycloalkyi group in which one carbon atom is replaced by a further heteroatom-containing group selected from NH, and 0, said 6-membered heterocycloalkyi group being substituted with one
Figure imgf000055_0001
group.
In a further embodiment of the above-mentioned aspects, the invention relates to compounds of formula (I), wherein :
R10 represents hydrogen, or Ci-C?-alkyl, preferably hydrogen,
R" represents a group selected from :
d-Cralkoxy substituted one time with C3-C4-cycloalkyl, (Cj-C6-cycloalkyl substituted one time with hydroxy)-(Ci-Cralkyl)-, CrC4-haloalkyl substituted one time with hydroxy,
Figure imgf000055_0002
(phenyl optionally substituted with Ci-alkyl)N(H)(Ci-C3-alkyl)- , (phenyl optionally substituted with Ci-alkyl)(Ci-Cralkyl)N(CrC3-alkyl)-, 4- to 6-membered heterocycloalkyi, (7-membered heterocycloalkyl)-(CrCt-alkyl)- , bridged heterocycloalkyi, (4- to 6-membered heterocycloalkyl)-(CrC3-alkyl)- , and (phenyl or pyridyl, substituted one time with (C,-alkyl N- )-(C,-Cralkyl)- ,
and,
wherein 4- to 6-membered heterocycloalkyi groups are substituted with one substituent, which is selected from :
d-Crhydroxyalkyl, 4- to 6-membered heterocycloalkyi, and aryl-(Ci-Cralkyl)-, preferably aryl-(Ci-Cralkyl)-.
In a further embodiment of the above-mentioned aspects, the invention relates to compounds of formula (I), wherein :
R10 represents hydrogen, G-alkyl, preferably hydrogen,
R" represents a group selected from : G-alkoxy substituted one time with C3-cycloalkyl, (C6-cycloalkyl substituted one time with hydroxy)-(Ci-alkyl)- , G-haloalkyl substituted one time with hydroxy, R'2R13NC(=0)(G-Gr alkyl)- , (phenyl optionally substituted with G-alkyl)(G-Gralkyl)N(G-alkyl)-, 5- to 6- membered heterocycloalkyl, (7-membered heterocycloalkyl)-(G-alkyl)-, azabicyclo[2.2.2]octyl, (5- to 6-membered heterocycloalkyl)-(G-alkyl)- , (phenyl or pyridyl substituted one time with (G-alkyl N-)-(G-alkyl)- ,
wherein 5-6-membered heterocycloalkyl groups are substituted with one substituent, which is selected from :
Ci-Crhydroxyalkyl, 6-membered heterocycloalkyl, and aryl-(Ci-alkyl)- , preferably aryl-(G- alkyl)-.
In a further embodiment of the above-mentioned aspects, the invention relates to compounds of formula (I), wherein :
R12 and R13 are independently of each other selected from :
hydrogen, G-Cra kyl, and GrG-cycloalkyl,
or,
R12 and R'3 together with the nitrogen atom to which they are attached form a 4- to 6-membered heterocycloalkyl group, in which one carbon atom is optionally replaced by a further heteroatom-containing group selected from NRM, 0, S, S(=0) and S(=O , in which heterocycloalkyl group one additional ring atom is optionally replaced by C(=0), said 4- to 6-membered heterocycloalkyl group being optionally substituted with one or two substituents, which are independently of each other selected from :
CrC3-alkyl, G-G-hydroxyalkyl,
Figure imgf000056_0001
G-G-haloalky , G-G-alkoxy, G- G-haloalkoxy, C3-G-cycloalkyl, C -G-cycloalkoxy, amino, hydroxy, a halogen atom, and cyano. In a further embodiment of the above-mentioned aspects, the invention relates to compounds of formula (I), wherein :
12 and R13 are independently of each other selected from :
hydrogen, G-G-alkyl, and C3-C4-cycloalkyl.
In a further embodiment of the above-mentioned aspects, the invention relates to compounds of formula (I), wherein :
R12 and R13 together with the nitrogen atom to which they are attached form a 4- to 6-membered heterocycloalkyl group, in which one carbon atom is optionally replaced by a further heteroatom-containing group selected from NR14, 0, S, S(=0) and S(=O , in which heterocycloalkyl group one additional ring atom is optionally replaced by C(=0), said 4- to 6-membered heterocycloalkyl group being optionally substituted with one or two substituents, which are independently of each other selected from :
CrC3-alkyl, C-G-hydroxyalkyl, R15R16NC(=0)(C C3-alkyl)-, C-Cj-haloalkyl, G-G-alkoxy, C,- Crhaloalkoxy, CrC4-cycloalkyl, C3-C4-cycloalkoxy, amino, hydroxy, a halogen atom, and cyano.
In a further embodiment of the above-mentioned aspects, the invention relates to compounds of formula (I), wherein :
R12 and R13 are independently of each other selected from :
hydrogen, and G-Cralkyl,
or,
R12 and R13 together with the nitrogen atom to which they are attached form a 4- to 6-membered heterocycloalkyl group, in which one carbon atom is optionally replaced by a further heteroatom-containing group selected from NR14, and 0, in which heterocycloalkyl group one additional ring atom is optionally replaced by C(=0), said 4- to 6-membered heterocycloalkyi group being optionally substituted with one or two substituents, which are independently of each other selected from :
Ci-alkyl, G-haloalkyl, G-alkoxy, G-haloalkoxy, amino, hydroxy, a halogen atom, and cyano.
In a further embodiment of the above-mentioned aspects, the invention relates to compounds of formula (I), wherein :
R12 and R13 are independently of each other selected from :
hydrogen, and G-Cralkyl.
In a further embodiment of the above-mentioned aspects, the invention relates to compounds of formula (I), wherein :
R12 and R13 together with the nitrogen atom to which they are attached form a
4- to 6-membered heterocycloalkyi group, in which one carbon atom is optionally replaced by a further heteroatom-containing group selected from NR14, and 0, in which heterocycloalkyi group one additional ring atom is optionally replaced by C(=0), said 4- to 6-membered heterocycloalkyi group being optionally substituted with one or two substituents, which are independently of each other selected from :
G-alkyl, G-haloalkyl, G-alkoxy, G-haloalkoxy, amino, hydroxy, a halogen atom, and cyano.
In a further embodiment of the above-mentioned aspects, the invention relates to compounds of formula (I), wherein :
R12 and R13 are independently of each other selected from :
hydrogen, and G-alkyl,
or,
R12 and R13 together with the nitrogen atom to which they are attached form a
5- to 6-membered heterocycloalkyi group, in which one carbon atom is optionally replaced by a further heteroatom-containing group selected from N14, and 0, in which heterocycloalkyl group one additional ring atom is optionally replaced by C(=0).
In a further embodiment of the above-mentioned aspects, the invention relates to compounds of formula (I), wherein :
R12 and R13 are independently of each other selected from :
hydrogen , and G-alkyl.
In a further embodiment of the above-mentioned aspects, the invention relates to compounds of formula (I), wherein :
R12 and R13 together with the nitrogen atom to which they are attached form a
5- to 6-membered heterocycloalkyl group, in which one carbon atom is optionally replaced by a further heteroatom-containing group selected from NR14, and 0, in which heterocycloalkyl group one additional ring atom is optionally replaced by C(=0).
In a further embodiment of the above-mentioned aspects, the invention relates to compounds of formula (I), wherein :
R12 and R3 are hydrogen.
In a further embodiment of the above-mentioned aspects, the invention relates to compounds of formula (I), wherein :
R12 and R13 together with the nitrogen atom to which they are attached form a
6- membered heterocycloalkyl group, in which one carbon atom is optionally replaced by a further heteroatom-containing group selected from NR14, and 0.
In a further embodiment of the above-mentioned aspects, the invention relates to compounds of formula (I), wherein :
R14 represents a group selected from : hydrogen, R15R16NC(=0)(C,-C3-alkyl)- , and G-G-alkyl,
In a further embodiment of the above-mentioned aspects, the invention relates to compounds of formula (I), wherein :
R14 represents a group selected from :
hydrogen, R15R16NC(=0)(C C2-alkyl)-, and G-G-alkyl.
In a further embodiment of the above-mentioned aspects, the invention relates to compounds of formula (I), wherein :
R14 represents a group selected from :
hydrogen, R, 5R16NC(=0)(C,-alkyl)-, and C,-alkyl.
In a further embodiment of the above-mentioned aspects, the invention relates to compounds of formula (I), wherein :
R14 represents a group selected from :
RR,6NC(=0)(C,-alkyl)-, and G-alkyl.
In a further embodiment of the above-mentioned aspects, the invention relates to compounds of formula (I), wherein :
R15 and R16 are independently of each other selected from :
hydrogen, G-G-alkyl, and G-G-cycloalkyl.
In a further embodiment of the above-mentioned aspects, the invention relates to compounds of formula (I), wherein :
R5 and R16 are independently of each other selected from :
hydrogen , and G-alkyl. In a further embodiment of the above-mentioned aspects, the invention relates to compounds of formula (I), wherein :
15 and R16 are hydrogen.
In a further embodiment of the above-mentioned aspects, the invention relates to compounds of formula (I), according to any of the above-mentioned embodiments, in the form of or a stereoisomer, a tautomer, an N -oxide, a hydrate, a solvate, or a salt thereof, or a mixture of same.
It is to be understood that the present invention relates to any sub-combination within any embodiment or aspect of the present invention of compounds of general formula (I), supra.
More particularly still, the present invention covers compounds of general formula (I) which are disclosed in the Example section of this text, infra.
In accordance with another aspect, the present invention covers methods of preparing compounds of the present invention, said methods comprising the steps as described in the Experimental Section herein.
Another aspect of the invention relates to the the intermediates or salts thereof described herein and their use for preparing a compound of formula (I) as defined supra or an N- oxide, a salt, a tautomer or a stereoisomer of said compound, or a salt of said N- oxide, tautomer or stereoisomer.
The intermediates used for the synthesis of the compounds of claims 1 to 5 as described below, as well as their use for the synthesis of the compounds of claims 1 to 5, are one further aspect of the present invention. Preferred intermediates are the Intermediate Examples as disclosed below. EXPERIMENTAL SECTION
1 . Syntheses of Compounds (Overview):
The compounds of the present invention can be prepared as described in the following section. Schemes 1 to 6 and the procedures described below illustrate general synthetic routes to the compounds of general formula (I ) of the invention and are not intended to be limiting. It is clear to the person skilled in the art that the order of transformations as exemplified in Schemes 1 to 6 can be modified in various ways. The order of transformations as exemplified in the Schemes 1 to 6 are therefore not intended to be limiting, in addition, interconversion of any of the substituents, R1 , R2, R5 and R8 can be achieved before and/or after the exemplified transformations. These modifications can be such as the introduction of protecting groups, cleavage of protecting groups, exchange, reduction or oxidation of functional groups, halogenation, metallation, substitution or other reactions known to the person skilled in the art. These transformations include those which introduce a functionality which allows for further interconversion of substituents. Appropriate protecting groups and their introduction and cleavage are well-known to the person skilled in the art (see for example T.W. Greene and P.G.M. Wuts in Protective Groups in Organic Synthesis, 3rd edition , Wiley 1999). Specific examples are described in the subsequent paragraphs. Further, it is possible that two or more successive steps may be performed without work-up being performed between said steps, e.g. a "one-pot" reaction, as is well-known to the person skilled in the art.
All reagents used for the preparation of the compounds of the invention are either commercially available or can be prepared as described.
1 .1 Synthesis of aromatic amines
Aromatic amines as intermediates for the synthesis of compounds of the invention are either commercially available or can be synthesized as depicted in scheme 1 .
Scheme 1
Figure imgf000063_0001
1-1 1 -2 (Iff)
Scheme 1 : Synthesis of aromatic amines, wherein X?, R5 and R8 as defined for the compound of general formula (I) supra, and in which PG represents a protecting group, such as a BOC group, and W represents a hydroxy group or a chlorine atom.
Starting from an aromatic amine of type 1 - 1 , where the para position of the amino function is a second protected amino function bearing a protecting group such as, for example, a BOC group or a nitro group as a precursor of a second amino function , upon a standard amide bond forming reaction, for example with a carboxylic acid of the type 1 -4 in presence of a coupling agent such as, for example, HATU or the corresponding acid chloride of type 1 -4, results in compounds of type 1 -2.
Deprotection of the protected amine, in the case of a BOC-protecting group for example employing TFA or hydrochloric acid, or reduction of the nitro-moiety, for example using tin(l l )chloride or a palladium on charcoal catalyst with hydrogen gas results in compounds of general formula (III), which can then be transformed further as dec ri bed, for example, in scheme 3.
1 .2 Synthesis of imidazole derivatives
One possible synthesis route for the compounds of this invention is depicted in schemes 2 and 3.
Scheme 2
Figure imgf000064_0001
Scheme 2: Synthesis of 3,4 dicarboxylic acid substituted imidazoles, wherein Xi represents NR3, and R2 and R3 are as defined for the compounds of general formula (!) supra.
Commercially available benzene-1 ,2-diamine 2-1 can be reacted with carboxyclic acids at elevated temperatures to give compounds of type 2-2.
Treatment of compound 2-2, for example with hydrogenperoxide under acidic conditions and elevated temperature, yields compound 2-3.
The synthesis of some of the compounds claimed in this invention employs the dicarboxylic acids of type 2-3 as depicted in scheme 3.
Scheme 3
Figure imgf000065_0001
when R = OC C3 alkyl (pre -I)
HN(R10)R1 1
R1 = N(R10)R1 1 (I)
Scheme 3: Synthesis of compounds starting from dicarboxylic acid precursors, wherein Xi represents NR3, except for compounds 3-1 and (II ) wherein Xi represents N , R1 represents - OC1 -C3 or -NR10R11 , and X2, and R2, R3, R5, R8, R10 and R" are as defined for the compound of general formula (I) supra, and in which PG represents a protecting group, such as a BOC group, and in which YH represents an alcohol G-Cs-alkylOH or an amine R11 (R10)NH, wherein R10 and R11 are as defined for the compound of general formula (I) supra, and W represents a hydroxy group or a chlorine atom.
Starting from the corresponding 1 H-imidazole-4, 5-dicarboxylic acid derivative 2-3, after treatment with thionylchloride at elevated temperature 5, 10-dioxo-5H, 10H-diimidazo[1 , 5- a: 1',5'-</]pyrazine-1 ,6-dicarbonyl dichlorides of type 3-1 are obtained.
Compounds of type 3-1 can be reacted with suitable nucleophiles, such as, for example, amines or alcohols of general formula (V) in presence of a suitable base, for example N- ethyl-N-isopropylpropan-2-amine, to give a compound of general formula (II).
Compounds of type (II) may serve as starting materials for several transformations:
Compounds of general formula (I) can be obtained directly by reacting compounds of general formula (II) with a fully decorated aromatic amine of general formula (III) at elevated temperatures.
Alternatively, an intermediate of type 3-4 can be obtained by reacting a compound of general formula (II) with a suitably substituted aromatic diamine of type 3-5 at elevated temperatures followed by standard amide bond forming reactions, for example with a carboxylic acid of the type 3-7 in presence of a coupling agent such as, for example, HATU or the corresponding acid chloride of type 3-7, to give compounds of type (I).
Another alternative synthesis route employs compounds of general formula (II) in presence of an aromatic amines of the type 3-6 with a suitably protected second amine function, such as, for example a BOC-protecting group, or a nitro group as a precursor for the second amine function (N-PG) at elevated temperatures to give compounds of type 3-3.
Deprotection of the protected amine, in the case of a BOC-protecting group for example employing TFA or hydrochloric acid, or reduction of the nitro-moiety, for example using tin(l l )chloride or a palladium on charcoal catalyst with hydrogen gas results in compounds of type 3-4, which can then be transformed further as decribed above.
Esters of general formula (pre-l) (R1 = OG-C3-alkyl) can be transformed into amides of general formula (I), (R1 = N(R10)R11), according to the invention, for example by treatment with different amines, optionally in presence of a base, such as, for example, N-ethy -N- isopropylpropan-2-amine, or alternatively in a two step procedure consisting of ester hydrolysis, for example using sodium hydroxide followed by standard amide bond formation in presence of amines and coupling agents such as HATU or alternatively in a three step procedure after hydrolysis of the ester, generation of corresponding acid chloride, for example using thionylchlonde and reaction with amines under basic conditions in presence of, for example, N-ethyl-N-isopropylpropan-2-amine.
An alternative synthesis route of imidazole derivatives of the present invention is depicted in scheme 4.
Scheme 4
Figure imgf000067_0001
Scheme 4: Alternative Synthesis of imidazole derivatives, wherein Xi represents NR3, except for compounds 3- 1 and (IV) wherein Xi represents N , R1 represents NR10R11 , and X?, R2, R3, R5 and R8 are as defined for the compound of general formula (I) supra, and in which YH represents an amine R" (R,0)NH, wherein R10 and R, ! are as defined for the compound of general formula (I) supra. Starting from compounds of type 3-1 , upon reaction with aromatic amines of general formula (III) in the presence of a base such as, for example N-ethyl-N-isopropylpropan-2- amine, compounds of general formula (IV) can be obtained.
Compounds of general formula (IV) can be transformed to compounds of general formula (I) by reaction with nucelophiles of general formula (V), such as, for example, amines [R"(R,0)NH] , optionally in the presence of a base, such as, for example N-ethyl-N- isopropylpropan-2-amine.
1 .3 Synthesis of oxazole derivatives
Yet another possible synthesis route for the compounds of this invention is depicted in scheme 5.
Scheme 5
Figure imgf000069_0001
when R1 = OCrC3alkyl (pre-l)
Figure imgf000069_0002
R1 = N(R10)R1 1 (I)
Scheme 5: Synthesis of oxazole derivatives of the present invention , wherein Xi represents 0, represents -OG-C3 or is as defined for the compound of formula (I ) supra and, X2, R1 , R2, R5, R8, R10 and R" as defined for the compound of general formula (I ) supra.
Compounds of type (III) can be transformed into compounds of type (VI) by reaction with oxalyl chloride.
Reaction of general formula (VI) with alkyl isocyanoacetates of general formula (VII) in presence of, for example, imidazole and triethylamine yields esters of general formula as claimed in this invention.
Esters of general formula (pre-l) (R1 = OCi-C3-alkyl) can be transformed into compounds of general formula (I), (R1 = N(R,0)R1 1 ) , according to the invention, for example by treatment with different amines, optionally in presence of a base, such as, for example, N-ethyl-N- isopropylpropan-2-amine, or alternatively in a two step procedure consisting of ester hydrolysis, for example using sodium hydroxide followed by standard amide bond formation in presence of amines and coupling agents such as HATU or alternatively in a three step procedure after hydrolysis of the ester, generation of corresponding acid chloride, for example using thionylchloride and reaction with amines under basic conditions in presence of, for example, N-ethyl-N-isopropylpropan-2-amine.
Scheme 6
Figure imgf000070_0001
R17 = N(R10)R11 (I)
Scheme 7: Synthesis of compounds starting from dicarboxylic acid precursors, wherein Xi represents NR3, except for compounds 3-1 and (VIM) wherein Xi represents N , R17 represents OR18, wherein R18 represents hydrogen or phenyl and X? and R2, R3, R5, R8, R10 and R11 are as defined for the compound of general formula (I) supra, and in which ZH represents an alcohol R18OH or a carbamate, such as f erf- butyl carbamat. Starting from the corresponding 1 H-imidazole-4,5-dicarboxylic acid derivative 2-3, after treatment with thionylchloride at elevated temperature 5, 10-dioxo-5H, 10H-diimidazo[1 ,5-a: 1 ,5'- d]pyrazine-1 ,6-dicarbonyl dichlorides of type 3-1 are obtained.
Compounds of type 3-1 can be reacted with suitable nucleophiles, such as, for example, carbamates (tert butyl carbamate) or alcohols of general formula (X) in presence of a suitable base, for example N-ethyl-N-isopropylpropan-2-amine, to give a compound of general formula (VIII).
Compounds of type (VIII) can react with a fully decorated aromatic amine of general formula (III) at room temperature or elevated temperature to give compounds of the general formula (IX).
Compounds of general formula (IX) (R17 = OR18) can be transformed into amides of general formula (I), (R17 = N(R10)(R1 1 )), according to the invention, for example by treatment with different amines of formula HN(R10)(R" ), optionally in presence of a base, such as, for example, N-ethyl-N-isopropylpropan-2-amine, or alternatively if R18 is hydrogen by standard amide bond formation in presence of amines of formula HN(R10)R11 ) and coupling agents such as HATU .
In accordance with an embodiment, the present invention also relates to a method of preparing a compound of general formula (I) as defined supra, said method comprising the step of allowing an intermediate compound of general formula (II ) :
Figure imgf000071_0001
(II) in which Xi represents N, and R1 and R2 are as defined for the compound of general formula
(I) supra to react with a compound of general formula (III) :
Figure imgf000072_0001
(III) in which X?, R5 and R8 are as defined for the compound of general formula (I) supra,
thereby giving a compound of general formula (I) :
Figure imgf000072_0002
(I) in which Xi represents NR\ and X2, R1, R2, R3, R4, R5, R7, and R8 are as defined compound of general formula (I) supra.
In accordance with another embodiment, the present invention also relates to a method of preparing a compound of general formula (I) as defined supra, said method comprising the step of allowing an intermediate compound of general formula (IV) :
Figure imgf000073_0001
in which Xi represents N , and X?, R2, R5 and R8 are as defined for the compound of general formula (I ) supra,
to react with a compound of general formula (V) :
YH
(V)
in which YH represents an amine R" (R,0)NH, wherein R10 and R11 are as defined for the compound of general formula (! ) supra,
thereby giving a compound of general formula (I ) :
Figure imgf000073_0002
(I) in which Xi represents NR3, R1 represents -NR10R11, and X2, R2, R3, R4, R5, R7, and R8 are as defined for the compound of general formula (I) supra.
In accordance with yet another embodiment, the present invention also relates to a method of preparing a compound of general formula (I) as defined supra, said method comprising the step of allowing an intermediate compound of general formula (VI ) :
Figure imgf000074_0001
in which X¾, R5 and R8 are as defined for the compound of general formula (I) supra,
to react with a compound of general formula (VII) :
Figure imgf000074_0002
(VII)
in which R1 and R2 are as defined for the compound of general formula (I) supra, thereby giving a compound of general formula (I) :
Figure imgf000075_0001
in which Xi represents 0, and X?, R1 , R2, R4, R5, R7, and R8 are as defined for the compound of general formula (I ) supra.
In accordance with yet another embodiment, the present invention also relates to a method of preparing a compound of general formula (I ) supra, said method comprising the step of allowing an intermediate compound of general formula (IX) :
Figure imgf000075_0002
in which Xi represents NR3,
R17 represents OR18,
R18 represents hydrogen or phenyl, X and R2, R3, R\ R8, are as defined for the compound of general formula (I ) supra,
to react with a compound of formula HN(R10)(R11 ) in which: R10, R"are as defined for the compound of general formula (I) supra, thereby giving a compound of general formula (I):
Figure imgf000076_0001
in which Xi represents NR3, R1 represents -NR10R1 , ,and X2, R2, R4, R5, R7, and R8 are as defined for the compound of general formula (I) supra.
In accordance with an embodiment, the present invention also relates to a method of preparing a compound of general formula (I) as defined supra, said method comprising the step of allowing an intermediate compound of general formula (pre-l):
Figure imgf000076_0002
in which Xi represents N, and R' represents -OC1-C3 , and R2 is as defined for the compound of general formula (I) supra,
to react with an amine of general formula: HN(R10)R11 in which R10 and R11 are as defined for the compound of general formula (I) supra,
thereby giving a compound of general formula (I) :
Figure imgf000077_0001
(I) in which Xi represents NR3, R1 represents -NR,0R'1 , and X2, R2, R3, R4, R5, R7, and R8 are as defined for the compound of general formula (I) supra.
General part
Chemical names were generated using ACD/Name Batch Version 12.02.. In case there is discrepancy between the chemical name of a compound and its chemical structure, the chemical structure shall prevail. In some cases generally accepted names of commercially available reagents were used in place of ACD generated names.
The following table lists the abbreviations used in this paragraph and in the Intermediates and Examples section as far as they are not explained within the text body. A comprehensive list of the abbreviations utilized by organic chemists of ordinary skill in the art appears presented in the first issue of each volume of the Journal of Organic Chemistry; this list is typically presented in a table entitled Standard List of Abbreviations. The abbreviations contained therein, and all abbreviations utilized by organic chemists of ordinary skill in the art are hereby incorporated by reference. Abbreviation Meaning
BOC tert-butoxycarbonyl- br. broad signal (NMR)
(mu-1 ,4-diazabicyclo[2.2.2]octane-kappaN1 :kappaN4)
DABAL
(hexamethyl)dialuminium [CAS No. 137203-34-0]
d doublet (NMR)
dd doublet of doublet (NMR)
dt doublet of triplet (NMR)
DMSO dimethylsulfoxide
EDTA ethylenediaminetetraacetic acid
ESI electrospray (ES) ionisation
h hour(s)
1 -[bis(dimethylamino)methylene]-1 H-1 ,2,3-triazolo[4,5-b]-pyridinium
HATU
3-oxid hexafluorop osphate
HCl hydrochloric acid
HPLC high performance liquid chromatography
HRP horseradish peroxidase
LC-MS liquid chromatography mass spectrometry
m multiplet (NMR)
min minute(s)
MS mass spectrometry
MTP microtiter plate
nuclear magnetic resonance spectroscopy : chemical shifts (δ) are
NMR given in ppm. The chemical shifts were corrected by setting the
DMSO signal to 2.50 ppm using unless otherwise stated. NAD' nicotinamide adenine dinucleotide
PBS phosphate buffered saline
PG protecting group
Ph phenyl
PyBOP benzotriazol-1 -yl-oxytripyrrolidinophosphonium hexafluorophosphate q quartet (NMR)
quin quintet (NMR)
s singulet (NMR)
SPA Scintillation proximity assay
T3P 1 -propanephosphonic anhydride
TBAF tetrabutylammonium fluoride
t triplet (NMR)
td triplet of doublet (NMR)
TFA trifluoro acetic acid
THF tetrahydrofuran
[JH]- tritium
δ chemical shift
Other abbreviations have their meanings customary per se to the skilled person.
The various aspects of the invention described in this application are illustrated by the following examples which are not meant to limit the invention in any way.
NMR data:
NMR peak forms are stated as they appear in the spectra, possible higher order effects have not been considered. The1 H-NMR data of selected examples are listed in the form of1 H-NMR peaklists. For each signal peak the δ value in ppm is given, followed by the signal intensity, reported in round brackets. The δ value-signal intensity pairs from different peaks are separated by commas. Therefore, a peaklist is described by the general form: δι (intensityi ), δ?. (intensity?), ... , δί (intensity*), ... , δ„ (intensity,,).
The intensity of a sharp signal correlates with the height (in cm) of the signal in a printed NMR spectrum. When compared with other signals, this data can be correlated to the real ratios of the signal intensities. In the case of broad signals, more than one peak, or the center of the signal along with their relative intensity, compared to the most intense signal displayed in the spectrum, are shown. A1H-NMR peaklist is similar to a classical1H-NMR readout, and thus usually contains all the peaks listed in a classical NMR interpretation. Moreover, similar to classical1H-NMR printouts, peaklists can show solvent signals, signals derived from stereoisomers of target compounds (also the subject of the invention), and/or peaks of impurities. The peaks of stereoisomers, and/or peaks of impurities are typically displayed with a lower intensity compared to the peaks of the target compounds (e.g. , with a purity of >90%). Such stereoisomers and/or impurities may be typical for the particular manufacturing process, and therefore their peaks may help to identify the reproduction of our manufacturing process on the basis of "by-product fingerprints". An expert who calculates the peaks of the target compounds by known methods (MestReC, ACD simulation, or by use of empirically evaluated expectation values), can isolate the peaks of target compounds as required, optionally using additional intensity filters. Such an operation would be similar to peak-picking in classical1H-NMR interpretation. A detailed description of the reporting of NMR data in the form of peaklists can be found in the publication "Citation of NMR Peaklist Data within Patent Applications" (cf. Research Disclosure Database Number 605005, 2014, 01 Aug 2014, or http: //www.researchdisclosure.com/searching-disclosures). In the peak picking routine, as described in the Research Disclosure Database Number 605005, the parameter "MinimumHeight" can be adjusted between 1% and 4%. Depending on the chemical structure and/or depending on the concentration of the measured compound it may be reasonable to set the parameter "MinimumHeight" <1%.
Other abbreviations have their meanings customary per se to the skilled person. The various aspects of the invention described in this application are illustrated by the following examples which are not meant to limit the invention in any way.
Analytical HPLC Methods:
Method 1 :
Instrument: Waters Acquity UPLCMS SingleQuad; Column: Acquity UPLC BEH C18 1.7 μιη, 50x2.1 mm; eluent A: water + 0.1 vol % formic acid (99%), eluent B: acetonitrile; gradient: 0-1.6 min 1 -99% B, 1 .6-2.0 min 99% B; flow 0.8 ml/min; temperature: 60 C; DAD scan: 210-400 nm.
Method 2:
Instrument: Waters Acquity UPLCMS SingleQuad; Column: Acquity UPLC BEH C18 1.7 μιη, 50x2.1 mm; eluent A: water + 0.2 vol % aqueous ammonia (32%), eluent B: acetonitrile; gradient: 0-1 .6 min 1 -99% B, 1.6-2.0 min 99% B; flow 0.8 ml/min; temperature: 60 ° C; DAD scan: 210-400 nm.
Method 3:
Instrument MS: Waters ZQ; Instrument HPLC: Waters UPLC Acquity; Column: Acquity BEH C18 (Waters), 50mm x 2.1 mm, 1 .7μιη; eluent A: water +0,1 % formic acid, eluent B: acetonitrile (Lichrosolv Merck); gradient: 0.0 min 99% A-1.6min 1% A-1 .8 min 1 %A - 1.81 min 99% A - 2.0min 99 % A; temperature: 60 C; flow: 0.8 mL/min; UV-Detection PDA 210- 400nm.
Method 4:
Instrument: Waters Acquity UPLCMS Tof; column: Kinetex C 18 (Phenomenex) 2.6 μιη, 50x2.1 mm; eluent A: water + 0.05 Vol-% formic acid (99%), eluent B: acetonitrile + 0.05% formic acid; gradient: 0-0.2 min 98% A, 0.2-1.7 min 98-10% A, 1 .7-1 .9 min 10% A, 1.9-2.0 min 10-98% A, 2.0-2.5 min 98% A; flow 1.3 ml/min; temperature: 60 C; DAD scan: 210-400 nm Preparative HPLC methods:
Method 5:
Instrument: Waters Autopurification MS SingleQuad; Colum: Waters XBrigde C18 5μ 100x30mm; eluent A: water + 0.2 vol % aqueous ammonia (32%), eluent B: acetonitrile; gradient: eluent A / eluent B; flow 70 ml/min; temperature: 25 °C; DAD scan: 210-400 nm.
3. Intermediates Intermediate 1
5, 10-dioxo-5H, 10H-diimidazo[ 1 ,5-σ: 1 ",5"-d]pyrazine- 1 ,6-dicarbonyl dichloride
Figure imgf000083_0001
Thionyl chloride (94 ml, 1.29 mol) was added to a suspension of 1 H-imidazole-4,5- dicarboxylic acid (25 g, 157 mmol) in toluene (334 ml) and N,N-dimethylformamide (12.1 ml) and the mixture was stirred for 24 h at 80 C. The mixture was concentrated under reduced pressure, 100 ml toluene were added and the mixture was concentrated under reduced pressure to give 35.5 g of the title compound as crude material, which was used at the same day without further purification for subsequent steps.
Intermediate 2
N-(4-aminophenyl)-2-chloro-4-fluorobenzamide
Figure imgf000083_0002
Step 1 : To 10 g (48 mmol) terf- butyl (4-aminophenyl)carbamate in 81 ml N,N- dimethylformamide were added 21 .7 ml (125 mmol) N-ethyl-N-isopropylpropan-2-amine, 9.64 g (55.2 mmol) 2-chloro-4-fluoro-benzoic acid and 34.3 ml (57.6 mmol) of a 50% solution of 2,4,6-tripropyl-1 ,3,5,2,4,6-trioxatriphosphinane 2,4,6-trioxide in N,N- dimethylformamide. The resulting mixture was stirred for 23 h at room temperature.
The mixture was poured into water. The precipitate was filtered off, washed with water and lyophilized. The BOC-protected title compound was obtained as a crude product which was used in step 2 without further purification. Step 2: To the crude material from step 1 in 214 ml dichloromethane were added 107 ml trifluoro acetic acid. The mixture was stirred for 30 min at room temperature.
Water was added. 110 ml of a 25% aqueous ammonia solution were added. The obtained solution was extracted with dichloromethane. The organic layer was dried over sodium sulfate to give 9.2 g of the title compound as solid material.
1H-NMR (400 MHz, DMSO-d6): δ [ppm] = 10.02 (s, 1 H), 7.59 (dd, 1 H), 7.53 (dd, 1 H), 7.35- 7.28 (m, 3H), 6.56-6.47 (m, 2H), 4.92 (s, 2H).
LCMS (Method 1 ): R, = 0.69 min; MS (ESIpos) m/z = 265 [M+H]\ + Intermediate 3
N-(4-aminophenyl)-4-fluorobenzamide
Figure imgf000084_0001
Step 1 : To 10 g (48 mmol) terf- butyl (4-aminophenyl)carbamate in 80 ml N,N- dimethylformamide were added 21.7 ml (125 mmol) N-ethyl-N-isopropylpropan-2-amine, 7.74 g (55.2 mmol) 4-fluoro-benzoic acid and 34.3 ml (57.6 mmol) of a 50% solution of 2,4,6-tripropyl-1 ,3,5,2,4,6-trioxatriphosphinane 2,4,6-trioxide in N,N-dimethylformamide. The resulting mixture was stirred for 20 h at room temperature.
The mixture was poured into water. The precipitate was filtered off, washed with water and lyophilized. The BOC-protected title compound was obtained as a crude product which was used in step 2 without further purification.
Step 2: To the crude material from step 1 in 300 ml dichloromethane were added 150 ml trifluoro acetic acid. The mixture was stirred for 30 min at room temperature. Water was added. 150 ml of a 25% aqueous ammonia solution were added. The obtained solution was extracted with dichloromethane. The organic layer was dried over sodium sulfate to give 9.9 g of the title compound as solid material.
1H-NMR (300 MHz, DMSO-d6): δ [ppm] = 9.87 (s, 1 H), 7.98 (dd, 2H), 7.38-7.28 (m, 4H), 6.53 (d, 2H), 4.99 (br. s. , 2H). LCMS (Method 1 ) : R, = 0.69 min; MS (ESIpos) m/z
Intermediate 4
N-(4-aminophenyl)-2-chlorobenzamide
Figure imgf000085_0001
Step 1 : To 10.5 g (50.7 mmol) tert-butyl (4-aminophenyl)carbamate in 81 ml N,N- dimethylformamide were added 22.9 ml (131 mmol) N-ethyl-N-isopropylpropan-2-amine, 9.12 g (58.2 mmol) 2-chloro-benzoic acid and 36.2 ml (60.8 mmol) of a 50% solution of 2,4,6-tripropyl-1 ,3,5,2,4,6-trioxatriphosphinane 2,4,6-trioxide in N,N-dimethylformamide. The resulting mixture was stirred for 18 h at room temperature. The mixture was poured into 350 ml water. The precipitate was filtered off, washed with water and lyophilized. The BOC-protected title compound was obtained as a crude product which was used in step 2 without further purification.
Step 2: To the crude material from step 1 in 238 ml dichloromethane were added 119 ml trifluoro acetic acid. The mixture was stirred for 30 min at room temperature. Water was added. 170 ml of a 25% aqueous ammonia solution were added. The obtained solution was extracted with dichloromethane. and the organic layer was dried over sodium sulfat. The reaction mixture was concentrated under reduced pressure and the residue was purified by flash column chromatography to give 3.98 g of the title compound as a solid material.
1H-NMR (400 MHz, DMSO-d6): δ [ppm] = 10.03 (s, 1 H), 7.56-7.47 (m, 2H), 7.47-7.40 (m, 2H), 7.34 (d, 2H), 6.52 (d, 2H), 4.92 (s, 2H).
LCMS (Method 1 ) : R, = 0.63 min; MS (ESIpos) m/z = 246.9 [M+H]\ Intermediate 5
N-(4-aminophenyl)-2-chloro-4,5-difluorobenzamide
Figure imgf000086_0001
To 2.00 g (10.4 mmol) 2-chloro-4,6-difluorobenzoic acid in 125 ml N,N-dimethylformamide were added 4.34 g (1 1.4 mmol) 1 -[bis(dimethylamino)methylene]-1 H-1 ,2,3-triazolo[4,5-b]- pyridinium 3-oxid hexafluorophosphate and 5.4 ml Ν,Ν-diisopropylethylamine. After stirring for 5 minutes 5.62 g (51 .9 mmol) benzene-1 ,4-diamine were added and the mixture was stirred for 18 hours at room temperature. The reaction mixture was concentrated under reduced pressure. Water was added to the remaining material and the precipitate was filtered off to afford after drying 1 .9 g of the title compound as solid material.
LCMS (Method 2): R, = 0.95 min; MS (ESIpos) m/z = 283.0 [M+H]\ Intermediate 6
NJN,-bis{4-[(2-c ioro-4-fiuorobenzoyi)amino]p enyi}-5, 10-dioxo-5H 0H-diimidazo[ 1 ,5- ai i ', 5'-d]pyrazine-1 ,6-dicarboxamide
Figure imgf000086_0002
To 150 mg (0.48 mmol) 5,10-Dioxo-5H, 10H-diimidazo[1 ,5-a; 1 ',5'-d]pyrazin-1 ,6-dicarbonyl- dichloride in 2 ml THF were added 254 mg (0.96 mmol) N-(4-aminophenyl)-2-chloro-4- fluorobenzamide and 200 μΐ (1 .44 mmol) triethylamine. The resulting mixture was stirred for 30 min at room temperature. The obtained reaction mixture was used without workup in the next reaction.
Intermediate 7 N,N'-bis{4-[(4-f luorobenzoy[)amino3p enyl}-5510-dioxo-5H, 10H-diimidazo[ 1 ,5-a: 1 ,5 - d]pyrazine-1 ,6-dicarboxamide
Figure imgf000087_0001
To 62 mg (0.2 mmol) 5, 10-dioxo-5H, 10H-diimidazo[1 ,5-a; 1',5'-d]pyrazin-1 ,6-dicarbonyl- dichloride (Intermediate 001 ) in 3 ml THF were added 96 mg (0.4 mmol) N-(4- aminophenyl)-4-fluorobenzamide (Intermediate 017) and 84 μΐ (0.6 mmol) triethylamine. The resulting mixture was stirred for 30 min at room temperature. The obtained reaction mixture was used without workup in the next reaction.
Intermediate 8
N,N'-bis{4-[(2-chlorobenzoyl)amino]phenyl}-5, 10-dioxo-5H, 1 OH-diimidazo[ 1 ,5-a: 1 ',5'- d]pyrazine-1 ,6-dicarboxamide
Figure imgf000087_0002
To 62 mg (0.2 mmol) 5, 10-dioxo-5H, 10H-diimidazo[1 ,5-a; 1',5'-c/]pyrazin-1 ,6-dicarbonyl- dichloride in 3 ml THF were added 103 mg (0.4 mmol) N-(4-aminophenyl)-2- chlorobenzamide and 84 μΐ (0.6 mmol) triethylamine. The resulting mixture was stirred for 30 min at room temperature. The obtained reaction mixture was used without workup in the next reaction .
Intermediate 9
diphenyi 5, 10-dioxo-5H, 10H-diimidazo[1 ,5-a: 1 ',5'-d]pyrazine-1 ,6-dicarboxylate
Figure imgf000088_0001
20.0 g (crude product) of 5,10-dioxo-5H,10H-diimidazo[1 ,5-a:1 ',5'-d]pyrazine-1 ,6- dicarbonyl dichloride and 12.6 g (0.13 mol) phenol were suspended in 380 mL dichloromethane. The resulting mixture was cooled to 0°C and 10.8 mL (0.13 mol) pyridine were added drop wise. The reaction was stirred for 3 h at room temperature. The precipitate was filtered off and washed with dichloromethane. The obtained solid material was dried under vacuum at 50 °C to give 21.6 g of the title compound as a crude product which was used without further purification in the subsequent steps.
Intermediate 10
phenyl 5-({4-[(2-chloro-4-fluorobenzoyl)amino]phenyl}carbamoyl)-1 H-imidazole-4- carboxylate
Figure imgf000088_0002
To a suspension of 476 mg (1.80 mmol) N-(4-aminophenyl)-2-chloro-4-fluorobenzamide and 385 mg (0.90 mmol) diphenyl 5, 10-dioxo-5H,10H-diimidazo[1 ,5-a:1 ',5'-d]pyrazine-1 ,6- dicarboxylate in 30 ml tetrahydrofuran were added 0.75 ml (5.40 mmol) triethylamine. The mixture was stirred for 2 h at 50 C. The reaction mixture was divided in six portions and each portion was used without further purification in the subsequent steps.
LCMS (Method 1 ): R, = 1 .15 min; MS (ESIpos) m/z = 478.8 [M+H]\
Intermediate 1 1 phenyl 5-({4-[(2-chloro-4,5-difluorobenzoyl)amino]phenyl}carbamoyl)-1 H-imidazole-4- carboxylate
Figure imgf000089_0001
To a suspension of 1 .13 g (4.00 mmol) N-(4-aminophenyl)-2-chloro-4, 5-difluorobenzamide and 856 mg (2.00 mmol) diphenyl 5, 10-dioxo-5H, 10H-diimidazo[1 ,5-a: 1', 5'-d]pyrazine-1 ,6- dicarboxylate in 50 ml tetrahydrofuran were added 1 .67 ml (12.0 mmol) triethylamine. The mixture was stirred for 2 h at 50 C. The reaction mixture was divided in ten portions and each portion was used without further purification in the subsequent steps.
LCMS (Method 2):t = 0.95 min; MS (ESIpos) m/z = 497.1 [M+H] \ Intermediate 1 2
[(2R)-1 -(2-aminoethyl)pyrrolidin-2-yl]methanol
Figure imgf000089_0002
Step 1 : A mixture of (2R)-pyrrolidin-2-yl methanol (1 .1 ml, 16 mmol), bromoacetonitrile (1 .2 ml, 17 mmol) and potassium carbonate (3.28 g, 23.7 mmol) in acetonitrile (37 ml) were stirred at 60° C over night. Solids were filtrated off and the filtrate was concentrated and the residue was purified by flash chromatography to give [(2R)-2- (hydroxymethyl)pyrrolidin-1 -yl]acetonitrile (1 .28 g) .
H-NMR (400 MHz, CDC ): δ [ppm] = 3.84-3.63 (m, 3H), 3.56-3.45 (m, 1 H), 3.13-3.04 (m, 1 H), 2.92-2.83 (m, 1 H), 2.78-2.64 (m, 1 H), 2.06-1 .71 (m, 5H)
Step 2: A solution of [(2R)-2-(hydroxymethyl)pyrrolidin-1 -yl]acetonitrile (1 .28 g, 9.13 mmol) in a solution of ammonia in methanol (37 ml, 7.0 M, 260 mmol) was hydrogenated in an autoclave (30 bar hydrogen pressure) at room temperature for 20 h in the presence of Raney- Nickel catalyst (50 % wet, 1.80 g, 30.6 mmol). For work-up, the catalyst was filtrated off and the filtrate was concentrated under reduced pressure to give the title compound (1 .23 g) which was used without further purification.
4. Examples Example 1
N -{4-[(2-chioro-4-fluorobenzoyl)amino]phenyl}-N5-{2-[(2R)-2- (hydroxymethyl)pyrrolidin-1 -yl]ethyl}-1 H-imidazole-4,5-dicarboxamide
Figure imgf000090_0001
N-(4-aminophenyl)-2-chloro-4-fluorobenzamide (159 mg, 600 μιηοΐ) and triethylamine (130 μΐ, 900 μιηοΐ) were added to a suspension of 5, 10-dioxo-5H,10H-diimidazo[1 ,5-a:1 ',5'- d]pyrazine-1 ,6-dicarbonyl dichloride (93.9 mg, 300 μιηοΐ) in tetrahydrofuran (4.5 ml) and the mixture was stirred for 90 min at room temperature. Then [(2R)-1 -(2- aminoethyl)pyrrolidin-2-yl]methanol (86.5 mg, 600 μmol) and triethylamine (130 μΐ, 900 μιηοΐ) were added and the mixture was stirred at room temperature for 12 h. for work-up, the reaction mixture was concentrated and the residue was purified by preparative HPLC (Method 5) to give the title compound (27.0 mg, 16 % yield).
LC-MS (Method 2): R, = 0.98 min; MS (ESIpos): m/z = 529.3 [M+H] '
1H-NMR (400 MHz, DMSO-d6) δ [ppm]: 1.539 (0.66), 1 .556 (0.63), 1.571 (0.47), 1.624 (0.76), 1.641 (1.17), 1.647 (1.22), 1.662 (1.52), 1 .672 (1 .28), 1.684 (1.05), 1.691 (0.84), 1 .702 (0.49), 1 .760 (0.56), 1 .781 (1 .06), 1.790 (0.63), 1.802 (1 .00), 1.810 (1 .08), 1.822 (0.54), 1.831 (0.84), 2.207 (0.52), 2.229 (1.18), 2.247 (1 .20), 2.253 (0.88), 2.270 (0.56), 2.318 (0.46), 2.322 (0.84), 2.327 (1.13), 2.331 (0.90), 2.336 (0.52), 2.523 (14.56), 2.539 (16.00), 2.659 (0.61 ), 2.664 (0.96), 2.669 (1.22), 2.673 (0.95) , 2.678 (0.52), 2.997 (0.73), 3.014 (0.68), 3.027 (0.73), 3.046 (0.46), 3.086 (0.68), 3.094 (0.74), 3.103 (0.95), 3.109 (1.27), 3.115 (0.90), 3.125 (0.83), 3.133 (0.69), 3.218 (0.74), 3.372 (1.86), 3.385 (2.06),
3.386 (2.04), 3.397 (1 .82), 3.410 (1.64), 3.424 (0.98), 3.461 (0.52), 3.475 (0.81 ), 3.477
(0.83), 3.493 (0.88), 3.506 (0.76), 3.523 (0.54), 4.394 (0.54), 7.326 (0.91 ), 7.332 (1 .01 ),
7.347 (1.86), 7.353 (2.08), 7.369 (1.10), 7.375 (1 .17), 7.575 (1 .86), 7.581 (1.99), 7.597
(2.03), 7.603 (2.04), 7.663 (2.35), 7.679 (2.99), 7.685 (3.29), 7.700 (5.29), 7.706 (4.38), 7.727 (1.81 ), 7.924 (7.52), 8.670 (0.52), 10.515 (3.82), 13.595 (0.69).
Example 2
N4-{4-[(2-chloro-4-fluorobenzoy[)amino]phenyl}-N5-methoxy-N5-methyl-1 H-imidazole- 4, 5-dicarboxamide
Figure imgf000091_0001
N-(4-aminop enyl)-2-c loro-4-fluorobenzamide (318 mg, 1.20 mmol) and triethylamine (310 μΐ, 1.8 mmol) were added to a suspension of 5, 10-dioxo-5H, 10H-diimidazo[1 ,5-a: 1 ', 5'- d]pyrazine-1 ,6-dicarbonyl dichloride (188 mg, 600 μιηοΐ) in tetrahydrofuran (20 ml, 250 mmol) and the mixture was stirred for 6 h at room temperature. Then N- methoxymethanamine hydrochloride (119 mg, 1 .20 mmol) and triethylamine (420 μΐ, 2.4 mmol) were added and the mixture was stirred at room temperature over night. For workup, the reaction mixture was concentrated and the residue was purified by flash chromatography (hexanes/ethyl acetate gradient to ethyl acetate/methanol 9: 1 ) followed by preparative HPLC (Method 5) to give the title compound (12.0 mg).
LC-MS (Method 2):t = 0.74 min; MS (ESIpos): m/z = 446.2 [M+H]+
1H-NMR (400 MHz, DMSO-d6) δ [ppm]: 0.939 (2.69), 0.955 (2.69), 1 .054 (0.41 ), 1.146 (0.90), 1.903 (3.18), 2.073 (10.29), 2.318 (1.63), 2.323 (3.67) , 2.327 (5.06), 2.331 (3.59), 2.337 (1.55), 2.523 (12.57), 2.540 (3.51 ), 2.659 (1 .63), 2.665 (3.76), 2.669 (5.22), 2.674 (3.59), 2.678 (1.71 ), 3.079 (0.49), 3.160 (2.53), 3.174 (2.53), 3.752 (2.69), 3.906 (0.82), 4.084 (0.57), 4.097 (0.57), 7.324 (2.53), 7.330 (2.78), 7.344 (4.98), 7.351 (5.47), 7.366 (2.78), 7.372 (3.02), 7.436 (0.65), 7.573 (5.14), 7.579 (5.39), 7.595 (5.31 ), 7.601 (5.47), 7.627 (0.82), 7.659 (6.37), 7.674 (9.96), 7.681 (15.59), 7.686 (16.00), 7.696 (10.53), 7.710 (1.96), 7.899 (7.27), 10.497 (5.14), 10.527 (0.41 ).
Example 3
5-acetyl-N-{4-[(2-chloro-4-fluorobenzoyl)amino]phenyl}-1 H-imidazole-4-carboxamide
Figure imgf000092_0001
methylmagnesium bromide (450 μΐ, 1 M solution in dibuthyl ether, 450 μιηοΐ) was added dropwise to a suspension of N4-{4-[(2-chloro-4-fluorobenzoyl)amino]phenyl}-N5-methoxy-N5- methyl-1 H-imidazole-4,5-dicarboxamide (50.0 mg, 112 μηιο ) in tetrahydrofuran (1.7 ml) at -15 °C. The mixture was stirred for 1 h at -15 C and then slowly warmed to 10 C. For work-up, the reaction was quenched with saturated ammonium chloride solution and the mixture was extracted with a mixture of dichloromethane and 2-propanol (4:1 ) (3x). The combined organic phases were filtrated through a silicone filter, concentrated and the residue was purified by flash chromatography (hexanes/ethyl acetate gradient to ethyl acetate/methanol 9:1 ) to give the title compound (25.0 mg).
LC-MS (Method 1 ): R, = 1.03 min; MS (ESIpos): m/z = 401 .2 [M+H]+
1H-NMR (400 MHz, DMSO-d6) δ [ppm]: 1.905 (0.45), 2.323 (0.80), 2.327 (1.06), 2.332 (0.75), 2.523 (3.60), 2.540 (0.61 ), 2.659 (0.43), 2.665 (0.89), 2.669 (1.18), 2.674 (0.90), 2.678 (0.56), 2.699 (12.77), 7.329 (0.68), 7.336 (0.75), 7.350 (1.37), 7.357 (1 .50), 7.372 (0.78), 7.378 (0.80), 7.578 (1.41 ), 7.585 (1.43), 7.601 (1 .43), 7.607 (1.36), 7.667 (1.30), 7.673 (0.45), 7.682 (1.46), 7.688 (1.57), 7.695 (0.52), 7.704 (1 .41 ), 7.730 (16.00), 7.742 (1 .23), 7.964 (3.98), 10.540 (3.22).
Example 4
N -{4-[(2-chloro-4-fluorobenzoyl)amino]phenyl}-N5-[(1 -hydroxycyclohexyl)methyl]-1 H- imidazole-4,5-dicarboxamide
Figure imgf000093_0001
Was prepared in analogy to the synthesis of N4-{4-[(2-chloro-4- fluorobenzoyl)amino]phenyl}-N5-methoxy-N5-methyl-1 H-imidazole-4,5-dicarboxamide using 1 -(aminomethyl)cyclohexanol hydrochloric acid salt (66.3 mg, 400 μιηοΐ, CAS 19968-85-5) as second coupling partner. For work-up, solids were filtrated off, washed with tetahydrofruan and the filtrate was concentrated. The residue was purified by preparative HPLC to give the title compound (12.0 mg).
LC-MS (Method 2): R, = 1.06 min; MS (ESIpos): m/z = 514.2 [M+H]+
1H-NMR (400 MHz, DMSO-d6) δ [ppm]: 1.233 (4.55), 1 .258 (4.03), 1.296 (2.25), 1.337 (3.12), 1.372 (8.07), 1.373 (8.41 ), 1 .396 (9.84), 1 .398 (10.02) , 1 .429 (9.32), 1 .463 (8.07), 1 .481 (5.94), 1 .498 (4.38), 1.517 (3.34), 1 .553 (4.77), 1.584 (3.82), 2.326 (3.08), 2.668 (3.08), 2.729 (4.38), 2.889 (4.51 ), 4.337 (1.73), 4.600 (5.98), 7.329 (2.43), 7.352 (4.68), 7.374 (2.69), 7.573 (3.82), 7.578 (4.60), 7.601 (4.86), 7.603 (4.68), 7.661 (8.54), 7.683 (16.00), 7.698 (8.98), 7.710 (12.49), 7.733 (6.03), 7.773 (2.99), 7.796 (2.04), 7.918 (2.69), 7.938 (7.80), 8.314 (1.82), 8.330 (3.38), 8.347 (1.91 ), 10.320 (1.82), 10.519 (7.37), 13.488 (4.60), 13.511 (6.98).
Example 5
N -{4-[(2-chloro-4-fluorobenzoyl)amino]phenyl}-N5-[(3S)-4,4,4-trifluoro-3- hydroxybutyl]- 1 H-imidazole-4, 5-dicarboxamide
Figure imgf000093_0002
Was prepared in analogy to the synthesis of N4-{4-[(2-chloro-4- fluorobenzoyl)amino]phenyl}-N¾-methoxy-N5-methyl-1H-imidazole-4,5-dicarboxamide using (2S)-4-amino-1 ,1 ,1-trifluorobutan-2-ol (68.7 mg, 480 μητιοΐ) as second coupling partner. For work-up, solids were filtrated off, washed with ethanol and the filtrate was concentrated. The residue was purified by preparative HPLC (Method 5) to give the title compound (23.5 mg).
LC-MS (Method 2): R, = 1.00 min; MS (ESIpos): m/z = 528.2 [M+H]'
1H-NMR (400 MHz, DMSO-d6): δ [ppm] = 13.54 (br. s., 1H), 13.16 (br. s, 1H), 10.50 (s, 1H), 8.92 (br. s., 1H), 7.92 (s, 1H), 7.82-7.61 (m, 5H), 7.61-7.54 (m, 1H), 7.40-7.26 (m, 1H), 6.29 (d, 1H), 4.15-3.91 (m, 1H), 3.61-3.38 (m, 2H), 2.01-1.82 (m, 1H), 1.82-1.65 (m, 1H)
Example 6
N5-(3-amino-3-oxopropyl)-N -{4-[(4-fluorobenzoyl)amino]phenyl}-1H-imidazole-4,5- dicarboxamide
Figure imgf000094_0001
A mixture of 5,10-Dioxo-5H, 10H-diimidazo[1 ,5-a:1',5'-d]pyrazine-1 ,6-dicarbonyldichloride (62.6 mg, 200 μιτιοΐ), N-(4-aminophenyl)-4-fluorobenzamide (95.9 mg, 400 μιτιοΐ) and triethylamine (84 μΐ, 600 μmol) in tetrahydrofurane (3.0 ml, 37 mmol) was stirred at room temperature for 30 min, then beta-alaninamide (36.0 mg, 400 μιηοΐ, CAS No. 4726-85-6) and N,N-diisopropylethylamine (350 μΐ, 2.0 mmol) were added and the mixture was stirred at room temperature over night. For work-up, the reaction mixture was concentrated and and the residue was purified by preparative HPLC to give the title compound (6.7 mg).
1H-NMR (400 MHz, DMSO-d6) δ [ppm]: 0.893 (0.62), 1.271 (4.06), 1.907 (1.43), 2.073 (2.58), 2.318 (0.89), 2.322 (1.87), 2.327 (2.72), 2.331 (2.05), 2.337 (1.11), 2.357 (0.80), 2.375 (1.47), 2.392 (1.07), 2.401 (3.30), 2.418 (6.91), 2.435 (3.57), 2.523 (16.00), 2.539 (9.76), 2.659 (1.07), 2.665 (2.09), 2.669 (2.81), 2.673 (2.05), 2.678 (1.03), 3.494 (0.71), 3.519 (2.14), 3.537 (4.41), 3.552 (4.19), 3.570 (1.69), 6.868 (0.53), 6.912 (2.18), 6.915
(2.01), 7.338 (0.76), 7.348 (5.21), 7.370 (11.05), 7.387 (2.58), 7.392 (6.24), 7.408 (2.50),
7.411 (2.50), 7.672 (0.80), 7.679 (6.06), 7.685 (2.41), 7.695 (2.85), 7.702 (9.58), 7.709
(1.87), 7.726 (1.52), 7.749 (3.48), 7.761 (3.52), 7.768 (10.70), 7.774 (4.14), 7.781 (3.43),
7.791 (6.28), 7.805 (1.56), 7.918 (7.22), 7.921 (7.35), 7.928 (1.78), 8.021 (0.98), 8.028
(5.97), 8.034 (2.94), 8.042 (7.00), 8.047 (4.81), 8.051 (6.37), 8.059 (2.99), 8.064 (5.62), 8.072 (1.11), 8.776 (1.34), 8.791 (2.76), 8.807 (1.43), 10.284 (7.04), 10.328 (1.38), 10.804 (0.49), 13.450 (3.16), 13.579 (6.19).
Example 7
N4-{4-[(4-fluorobenzoyl)amino]phenyl}-N5-[2-(morpholin-4-yl)-2-oxoethyl]-1H- imidazole-4,5-dicarboxamide
Figure imgf000095_0001
Was prepared in analyogy to the synthesis of N5-(3-amino-3-oxopropyl)-N4-{4-[(4- fluorobenzoyl)amino]phenyl}-1H-imidazole-4,5-dicarboxamide using 2-amino-1 -(morpholin- 4-yl)ethanone hydrochloric acid salt (72.3 mg, 400 μιηοΐ, CAS No 24152-96-3) and N-(4- aminophenyl)-4-fluorobenzamide (95.9 mg, 400 μιηοΐ) as starting materials to give the title compound (31.7 mg).
1H-NMR (400 MHz, DMSO-d6) δ [ppm]: 0.944 (1.02), 0.961 (1.02), 1.905 (1.31), 2.029 (0.73), 2.318 (0.97), 2.322 (2.04), 2.327 (2.97), 2.331 (2.19), 2.337 (1.02), 2.523 (9.14), 2.539 (1.36), 2.659 (0.97), 2.664 (2.04), 2.669 (3.06), 2.673 (2.24), 2.678 (1.02), 3.476 (7.78), 3.487 (13.28), 3.500 (11.28), 3.578 (5.16), 3.592 (6.57), 3.603 (4.38), 3.619 (5.40), 3.632 (6.18), 3.643 (3.60), 4.265 (7.93), 4.279 (8.22), 4.925 (0.44), 6.526 (0.83), 6.548 (0.83), 7.326 (0.92), 7.335 (1.07), 7.341 (1.26), 7.348 (7.34), 7.354 (3.06), 7.370 (13.62), 7.388 (2.63), 7.393 (7.00), 7.401 (0.97), 7.550 (0.49), 7.645 (0.68), 7.667 (2.58), 7.684 (3.50), 7.687 (3.40), 7.706 (1.60), 7.764 (7.44), 7.786 (4.86), 7.957 (16.00), 7.971 (0.73), 7.985 (0.53), 7.993 (0.58), 8.007 (0.63), 8.019 (1 .07), 8.026 (6.95), 8.032 (3.45), 8.040 (7.98), 8.045 (4.86), 8.049 (7.34), 8.057 (3.02), 8.063 (6.37), 8.070 (0.97), 8.752 (1.31 ), 10.285 (9.97), 13.419 (2.14).
Example 8
N5-[1 -azabicyclo[2.2.2]oct-3-yl]-N^4-[(4-fluorobenzoyl)amino]phenyl}-1 H-imidazole- 4, 5-dicarboxamide
Figure imgf000096_0001
Was prepared in analyogy to the synthesis of N5-(3-amino-3-oxopropyl)-N4-{4-[(4- fluorobenzoyl)amino]phenyl}-1 H-imidazole-4,5- dicarboxamide using 1 - azabicyclo[2.2.2]octan-3-amine dihydrochloride (79.6 mg, 400 μιηοΐ, CAS No 6530-09-2 ) and N-(4-aminophenyl)-4-fluorobenzamide (95.9 mg, 400 μιτιοΐ) as starting materials to give the title compound (10.8 mg).
1H-NMR (400 MHz, DMSO-d6) δ [ppm]: 0.961 (0.85), 0.979 (0.69), 1.399 (1.62), 1.607 (2.92), 1.628 (4.85), 1.648 (2.92), 1.905 (4.62), 1 .919 (3.38), 2.029 (1.46), 2.085 (1.23), 2.318 (1.85), 2.322 (3.54), 2.327 (4.85), 2.331 (3.69), 2.337 (1 .85), 2.523 (16.00), 2.539 (4.31 ), 2.659 (2.46), 2.664 (4.46), 2.669 (5.77), 2.673 (4.69), 2.678 (3.00), 2.697 (3.46), 2.715 (5.62), 2.733 (5.31 ), 2.748 (3.38), 2.783 (1 .46), 7.335 (0.85), 7.350 (6.85), 7.355 (3.46), 7.372 (13.38), 7.394 (6.92), 7.550 (0.85), 7.644 (0.85) , 7.672 (3.69), 7.684 (2.46), 7.705 (2.69), 7.754 (8.62), 7.774 (5.15), 7.815 (0.77), 7.941 (12.92), 8.016 (1.46), 8.025 (7.08), 8.030 (4.15), 8.038 (8.31 ), 8.043 (6.54), 8.047 (7.85), 8.055 (3.77), 8.061 (6.31 ), 10.286 (1 1.23).
Example 9
N4-{4-[(4-fluorobenzoyl)amino]phenyl}-N5-{2-[4-(hydroxymethyl)piperidin-1 -yl]ethyl}-
1 H-imidazole-4, 5-dicarboxamide
Figure imgf000097_0001
Was prepared in analyogy to the synthesis of N5-(3-amino-3-oxopropyl)-N4-{4-[(4- fluorobenzoyl)amino]phenyl}-1H-imidazole-4,5-dicarboxamide using [1-(2- aminoethyl)piperidin-4-yl]methanol CAS No 129999-62-8 (66 μΐ, 400 μηηοΐ) and N-(4- aminophenyl)-4-fluorobenzamide (95.9 mg, 400 μmol) as starting materials to give the title compound (44.5 mg).
1H-NMR (500 MHz, DMSO-d6) δ [ppm]: 0.939 (0.96), 0.952 (0.90), 1.100 (0.68), 1.126 (2.11), 1.129 (2.17), 1.145 (2.30), 1.150 (2.39), 1.175 (0.99), 1.302 (0.47), 1.308 (0.62), 1.316 (1.03), 1.338 (1.52), 1.346 (1.12), 1.351 (0.99), 1.622 (3.04), 1.627 (3.48), 1.648 (3.08), 1.652 (3.14), 1.900 (1.34), 1.907 (2.21), 1.912 (2.61), 1.930 (4.32), 1.934 (4.47), 1.936 (4.41), 1.954 (2.52), 1.959 (2.08), 2.072 (0.40), 2.354 (0.56), 2.358 (1.30), 2.361 (1.71), 2.365 (1.21), 2.369 (0.56), 2.484 (4.78), 2.522 (3.48), 2.540 (0.68), 2.544 (0.50), 2.627 (0.62), 2.631 (1.27), 2.635 (1.77), 2.639 (1.30), 2.642 (0.62), 2.896 (1.96), 2.903 (4.16), 2.910 (2.70), 2.920 (2.58), 2.927 (3.98), 2.934 (1.83), 3.230 (4.91), 3.241 (7.80), 3.253 (4.94), 3.442 (2.17), 3.455 (5.62), 3.467 (5.53), 3.480 (2.11), 3.481 (1.80), 4.378 (2.55), 4.389 (5.47), 4.400 (2.55), 4.401 (1.99), 7.344 (0.78), 7.351 (7.11), 7.355 (2.39), 7.363 (2.17), 7.368 (14.20), 7.381 (2.21), 7.386 (7.27), 7.392 (0.75), 7.713 (2.39), 7.759 (7.98), 7.777 (4.69), 7.920 (16.00), 8.026 (0.81), 8.031 (6.59), 8.036 (2.70), 8.043 (7.49), 8.050 (6.96), 8.056 (2.67), 8.060 (6.31), 8.067 (0.71), 10.275 (10.10).
Example 10
N4-{4-[(4-fluorobenzoyl)amino]phenyl}-N5-{2-[3-(hydroxymethyl)piperidin-1-yl]ethyl}- 1 H-imidazole-4,5-dicarboxamide
Figure imgf000098_0001
Was prepared in analyogy to the synthesis of N5-(3-amino-3-oxopropyl)-N4-{4-[(4- fluorobenzoyl)amino]phenyl}-1H-imidazole-4,5-dicarboxamide using [1-(2- aminoethyl)piperidin-3-yl]methanol CAS No 857637-03-7 (66 μΐ, 400 μιτιοΐ) and N-(4- aminophenyl)-4-fluorobenzamide (95.9 mg, 400 μιηοΐ) as starting materials to give the title compound (64 mg).
1H-NMR (500 MHz, DMSO-d6) δ [ppm]: 0.871 (0.62), 0.894 (1.73), 0.913 (1.73), 0.918 (1.52), 0.924 (1.11), 0.937 (2.15), 0.950 (1.80), 1.417 (0.42), 1.443 (1.25), 1.468 (1.39), 1.493 (0.55), 1.593 (2.29), 1.600 (4.09), 1.607 (5.40), 1.628 (5.40), 1.635 (3.53), 1.701 (2.08), 1.722 (3.05), 1.742 (1.52), 1.888 (1.94), 1.919 (1.39), 1.921 (1.45), 1.939 (2.42), 1.942 (2.56), 1.944 (2.42), 1.961 (1.32), 1.963 (1.32), 2.354 (1.32), 2.358 (2.84), 2.361 (3.95), 2.365 (2.70), 2.369 (1.25), 2.465 (0.83), 2.479 (6.51), 2.522 (8.17), 2.540 (1.04), 2.627 (1.39), 2.631 (2.98), 2.635 (4.09), 2.639 (2.91), 2.642 (1.32), 2.796 (2.08), 2.797 (2.15), 2.820 (1.94), 2.900 (2.35), 2.904 (2.29), 2.919 (2.08), 2.923 (2.22), 3.204 (0.83), 3.213 (1.25), 3.226 (2.29), 3.235 (2.22), 3.249 (1.66), 3.272 (2.22), 3.280 (3.39), 3.282 (3.81), 3.423 (0.62), 3.424 (0.62), 3.438 (1.80), 3.451 (4.09), 3.459 (4.36), 3.463 (4.23), 3.470 (4.02), 3.484 (1.80), 3.497 (0.62), 4.387 (1.73), 4.399 (3.12), 4.409 (1.80), 7.344 (0.83), 7.350 (8.24), 7.368 (16.00), 7.373 (3.05), 7.381 (2.42), 7.386 (8.31), 7.392 (0.97), 7.699 (2.77), 7.718 (4.16), 7.758 (12.33), 7.776 (6.58), 7.908 (14.41), 8.026 (0.90), 8.032 (8.03), 8.036 (3.46), 8.043 (8.38), 8.050 (8.38), 8.056 (2.98), 8.061 (7.41), 8.067 (0.83), 10.270 (11.43).
Example 11
N -{4-[(4-fluorobenzoyl)amino]phenyl}-N5-[(trans)-4-(piperidin-1-yl)tetrahydrofuran-3- yl]- 1 H-imidazole-4, 5-dicarboxamide
Figure imgf000099_0001
Was prepared in analyogy to the synthesis of N5-(3-amino-3-oxopropyl)-N4-{4-[(4- fluorobenzoyl)amino]phenyl}-1H-imidazole-4,5-dicarboxamide using (trans)-4-(piperidin-1 - yl)tetrahydrofuran-3-amine dihydrochloride (102 mg, 400 μηηοΐ, CAS No 1212094-22-8) and N-(4-aminophenyl)-4-fluorobenzamide (95.9 mg, 400 μητιοΐ) as starting materials to give the title compound (82 mg).
1H-N R (400 MHz, DMSO-d6) δ [ppm]: 0.986 (1.34), 1.354 (2.31), 1.370 (4.30), 1.372 (4.35), 1.384 (4.30), 1.398 (2.36), 1.452 (3.28), 1.465 (7.52), 1.478 (8.97), 1.480 (8.91), 1.495 (5.64), 1.907 (1.50), 2.318 (2.36), 2.323 (3.97), 2.327 (5.05), 2.331 (4.46), 2.337 (3.49), 2.371 (2.31), 2.523 (13.96), 2.540 (1.56), 2.659 (1.13), 2.665 (2.47), 2.669 (3.33), 2.674 (2.36), 2.678 (1.23), 3.271 (1.23), 3.537 (1.18), 3.557 (2.26), 3.577 (2.04), 3.634 (1.02), 3.652 (1.29), 3.671 (0.91), 3.926 (0.91), 3.946 (1.50), 3.974 (2.15), 3.995 (2.63), 3.998 (2.52), 4.016 (1.61), 4.564 (1.02), 6.526 (0.86), 6.548 (0.86), 7.326 (1.13), 7.336 (1.13), 7.343 (1.34), 7.350 (7.68), 7.356 (3.22), 7.367 (3.92), 7.372 (14.39), 7.378 (3.49), 7.389 (2.85), 7.395 (7.46), 7.402 (1.13), 7.631 (1.40), 7.637 (0.64), 7.648 (0.81), 7.654 (2.09), 7.671 (2.20), 7.693 (3.22), 7.769 (8.54), 7.778 (5.91), 7.795 (2.52), 7.801 (2.15), 7.949 (16.00), 7.971 (0.59), 7.985 (0.64), 7.993 (0.59), 8.007 (0.59), 8.018 (1.29), 8.029 (6.71), 8.035 (3.65), 8.042 (7.79), 8.051 (7.19), 8.059 (3.28), 8.064 (5.91), 8.073 (0.91), 8.966 (1.13), 8.988 (1.13), 10.291 (9.77), 10.339 (0.97), 10.373 (0.59), 13.416 (2.36), 13.419 (2.52).
Example 12
N -{4-[(4-fluorobenzoyl)amino]phenyi}-N5-{2-[2-(hydroxymethyl)piperidin-1-yl]ethyi}- 1 H-imidazole-4,5-dicarboxamide
Figure imgf000100_0001
Was prepared in analyogy to the synthesis of N5-(3-amino-3-oxopropyl)-N4-{4-[(4- fluorobenzoyl)amino]phenyl}-1H-imidazole-4,5-dicarboxamide using [1-(2- aminoethyl)piperidin-2-yl]methanol (66.6 mg, 400 μητιοΐ, Cas No 857637-04-8) and N-(4- Aminophenyl)-4-fluorbenzamid (95.9 mg, 400 μητιοΐ) as starting materials to give the title compound (57.8 mg).
1H-NMR (400 MHz, DMSO-d6) δ [ppm]: 0.945 (2.44), 0.961 (2.17), 1.240 (0.82), 1.265 (1.96), 1.270 (2.15), 1.287 (2.28), 1.291 (2.30), 1.313 (1.14), 1.342 (0.50), 1.394 (1.06), 1.420 (1.17), 1.448 (0.85), 1.497 (1.48), 1.536 (0.82), 1.596 (1.06), 1.625 (3.42), 1.645 (1.91), 1.666 (0.77), 1.906 (0.82), 2.240 (1.06), 2.248 (1.27), 2.265 (1.48), 2.270 (2.07), 2.277 (1.59), 2.294 (1.40), 2.301 (1.62), 2.317 (1.96), 2.323 (2.83), 2.327 (3.15), 2.332 (2.73), 2.336 (2.17), 2.523 (4.53), 2.540 (2.23), 2.556 (1.59), 2.572 (0.85), 2.660 (0.53), 2.664 (1.14), 2.669 (1.56), 2.674 (1.11), 2.679 (0.53), 2.835 (0.93), 2.847 (1.75), 2.857
(1.27) , 2.866 (1.22), 2.876 (1.64), 2.888 (0.87), 2.922 (0.90), 2.940 (2.04), 2.956 (1.72), 2.972 (1.83), 2.990 (0.93), 3.372 (1.17), 3.381 (1.64), 3.397 (2.89), 3.412 (4.45), 3.427 (4.40), 3.444 (2.68), 3.458 (1.30), 3.476 (0.48), 3.563 (1.09), 3.573 (1.91), 3.586 (1.43), 3.601 (1.51), 3.614 (0.74), 4.386 (1.19), 7.338 (0.64), 7.346 (5.62), 7.351 (1.99), 7.368 (11.34), 7.374 (2.33), 7.385 (1.85), 7.390 (5.91), 7.398 (0.72), 7.677 (1.48), 7.702 (2.38), 7.758 (6.17), 7.781 (3.74), 7.920 (16.00), 8.021 (0.66), 8.028 (5.56), 8.034 (2.49), 8.042
(6.28) , 8.051 (5.93), 8.059 (2.38), 8.065 (5.17), 8.072 (0.69), 8.661 (0.79), 10.271 (7.39), 13.610 (0.98).
Example 13
5-{[4-(2-amino-2-oxoethyl)piperazin-1-yl]carbonyl}-N-{4-[(2-chloro-4-fluorobenzoyl)- amino]phenyl}-1H-imidazole-4-carboxamide
Figure imgf000101_0001
Was prepared in analyogy to the synthesis of N5-(3-amino-3-oxopropyl)-N4-{4-[(4- fluorobenzoyl)amino]phenyl}-1 H-imidazole-4,5-dicarboxamide using 2-(piperazin-1 - yl)acetamide dihydrochloride CAS No 827614-58-4 (86.4 mg, 400 μιηοΐ) and N-(4- aminophenyl)-4-fluorobenzamide (95.9 mg, 400 μιτιοΐ) as starting materials to give the title compound (13.1 mg).
1H-NMR (400 MHz, DMSO-d6) δ [ppm]: 0.967 (1 .87), 1 .860 (2.06), 1 .902 (1.87), 2.313 (1.81 ), 2.318 (3.23), 2.323 (4.06), 2.327 (2.97), 2.331 (1.61 ), 2.535 (16.00), 2.655 (1 .55), 2.659 (3.03), 2.665 (3.94), 2.669 (2.84), 2.732 (2.97), 2.744 (2.84), 2.905 (13.03), 3.766 (3.68), 4.118 (2.52), 7.134 (4.06), 7.138 (4.26), 7.266 (1 .61 ), 7.280 (4.97), 7.287 (4.45), 7.318 (2.97), 7.325 (2.97), 7.340 (5.61 ), 7.346 (5.68), 7.362 (3.29), 7.368 (3.03), 7.568 (5.48), 7.575 (5.42), 7.590 (6.39), 7.597 (6.45), 7.628 (4.13), 7.653 (7.42), 7.669 (8.39), 7.675 (8.26), 7.691 (9.35), 7.710 (3.81 ), 7.900 (4.84), 10.504 (2.77), 12.446 (1.68).
Example 14
N -{4-[(2-chloro-4-fluorobenzoyl)amino]phenyl}-N5-[2-(morpholin-4-yl)-2-oxoethyl]-1 H- imidazole-4,5-dicarboxamide
Figure imgf000101_0002
Was prepared in analyogy to the synthesis of N5-(3-amino-3-oxopropyl)-N4-{4-[(4- fluorobenzoyl)amino]phenyl}-1 H-imidazole-4,5-dicarboxamide using 2-amino-1 -(morpholin- 4-yl)ethanone hydrochloric acid salt (72.3 mg, 400 μιτιοΐ, CAS No 24152-96-3) and N-(4- aminop enyl)-2-c loro-4-fluorobenzamide (176 mg, 639 μιηοΐ) as starting materials to give the title compound (28.2 mg).
1H-NMR (400 MHz, DMSO-d6) δ [ppm]: 0.936 (2.29), 0.953 (2.34), 1.901 (1.22), 2.318 (1.06), 2.322 (2.23), 2.327 (3.24), 2.331 (2.45), 2.337 (1 .06), 2.523 (8.82), 2.539 (2.66), 2.659 (1.01 ), 2.664 (2.23), 2.669 (3.30), 2.673 (2.45), 2.678 (1 .12), 3.474 (9.09), 3.485 (15.79), 3.499 (13.93), 3.577 (5.69), 3.590 (7.39), 3.601 (4.94), 3.616 (6.06), 3.630 (7.07), 3.641 (4.04), 4.264 (10.47), 4.277 (10.74), 6.540 (0.43), 7.319 (0.58), 7.325 (2.45), 7.332 (2.76), 7.341 (1.01 ), 7.347 (5.16), 7.353 (5.74), 7.369 (2.71 ), 7.375 (2.92), 7.575 (5.16), 7.581 (5.53), 7.597 (5.53), 7.603 (5.53), 7.662 (5.79), 7.678 (7.28), 7.683 (7.50), 7.698 (11 .06), 7.707 (15.57), 7.730 (3.72), 7.951 (16.00) , 10.519 (1 1 .43).
Example 15
N5-[1 -azabicyclo[2.2.2]oct-3-yl]-N -{4-[(2-chloro-4-fluorobenzoyl)amino]phenyl}-1 H- imidazole-4,5-dicarboxamide
Figure imgf000102_0001
Was prepared in analogy to the synthesis of N5-(3-amino-3-oxopropyl)-N4-{4-[(4- fluorobenzoyl)amino]phenyl}-1 H-imidazole-4, 5-dicarboxamide using 1 - azabicyclo[2.2.2]octan-3-amine dihydrochloride (79.6 mg, 400 μιηοΐ, CAS No 6530-09-2) and N-(4-aminophenyl)-2-chloro-4-fluorobenzamide (176 mg, 639 μιηοΐ) as starting materials to give the title compound (6.9 mg).
1H-NMR (400 MHz, DMSO-d6) δ [ppm]: 0.973 (1 .59), 0.985 (1.67), 0.992 (1.45), 1.612 (2.90), 1.634 (4.63), 1.653 (2.97), 1.753 (0.80), 1 .906 (3.84), 1 .922 (2.97), 2.024 (3.40), 2.085 (0.94), 2.318 (1 .52), 2.322 (3.19), 2.327 (4.49), 2.331 (3.40), 2.337 (1.59), 2.523 (16.00), 2.539 (3.1 1 ), 2.659 (2.03), 2.664 (3.76), 2.669 (5.21 ) , 2.673 (4.34), 2.678 (2.53), 2.708 (3.33), 2.725 (5.57), 2.744 (5.21 ), 2.760 (3.26), 7.327 (2.46), 7.334 (3.19), 7.341 (1 .67), 7.348 (5.00), 7.355 (5.57), 7.370 (2.75), 7.376 (2.90), 7.448 (0.72), 7.526 (0.72), 7.549 (1.59), 7.569 (1 .52), 7.576 (5.29), 7.583 (5.72), 7.599 (6.08), 7.605 (5.65), 7.619 (1.23), 7.630 (1.88), 7.636 (1.23), 7.652 (1.88), 7.661 (6.81), 7.676 (7.60), 7.683 (8.11), 7.698 (13.10), 7.715 (7.96), 7.815 (0.65), 7.942 (11.87), 8.215 (0.80), 9.914 (0.72), 10.391 (0.94), 10.419 (0.94), 10.521 (11.58), 13.452 (1.09).
Example 16
N -{4-[(2-chloro-4-fluorobenzoyl)amino]phenyl}-N5-{2-[4-(hydroxymethyl)piperidin-1- yl]ethyl}-1H-imidazole-4,5-dicarboxamide
Figure imgf000103_0001
Was prepared in analyogy to the synthesis of N5-(3-amino-3-oxopropyl)-N4-{4-[(4- fluorobenzoyl)amino]phenyl}-1H-imidazole-4,5-dicarboxamide using [1-(2- aminoethyl)piperidin-4-yl]methanol (66 μΐ, 400 μηιοΐ, Cas No. 12999-62-8) and N-(4- aminophenyl)-2-chloro-4-fluorobenzamide (176 mg, 639 μητιοΐ) as starting materials to give the title compound (96.4 mg).
1H-NMR (500 MHz, DMSO-d6) δ [ppm]: 0.938 (2.70), 0.951 (2.51), 1.032 (1.23), 1.098 (0.85), 1.120 (2.60), 1.124 (2.75), 1.127 (2.84), 1.144 (3.17), 1.149 (3.08), 1.151 (3.03), 1.170 (1.33), 1.176 (1.18), 1.301 (0.57), 1.307 (0.80), 1.314 (1.28), 1.321 (1.28), 1.330 (1.42), 1.337 (1.85), 1.344 (1.33), 1.350 (1.18), 1.360 (0.85), 1.367 (0.52), 1.621 (3.88), 1.624 (4.31), 1.628 (4.26), 1.647 (3.79), 1.650 (3.88), 1.898 (1.70), 1.905 (2.79), 1.911 (3.12), 1.928 (5.35), 1.932 (5.59), 1.934 (5.35), 1.952 (3.03), 1.953 (3.03), 1.957 (2.46), 2.354 (0.95), 2.358 (1.99), 2.361 (2.79), 2.365 (1.99), 2.369 (0.90), 2.462 (0.47), 2.482 (6.86), 2.522 (5.78), 2.540 (3.27), 2.627 (1.04), 2.631 (2.08), 2.635 (2.84), 2.639 (2.08), 2.642 (0.95), 2.894 (2.46), 2.902 (5.07), 2.908 (3.41), 2.917 (3.22), 2.924 (4.83), 2.932 (2.22), 3.228 (5.96), 3.240 (9.61), 3.251 (6.15), 3.439 (2.41), 3.440 (2.70), 3.452 (6.67), 3.464 (6.53), 3.478 (2.46), 4.376 (2.46), 4.377 (3.08), 4.388 (6.15), 4.399 (2.93), 7.321 (0.43), 7.329 (2.56), 7.334 (2.79), 7.346 (5.02), 7.351 (5.59), 7.363 (2.65), 7.368 (3.17), 7.573 (5.21), 7.578 (5.40), 7.590 (5.11), 7.596 (4.97), 7.665 (5.30), 7.678 (6.25), 7.682 (6.06), 7.695 (7.38), 7.707 (15.43), 7.757 (0.47), 7.917 (16.00), 10.506 (11.74).
Example 17
N -{4-[(2-chloro-4-fluorobenzoyl)amino]phenyl}-N5-{2-[3-(hydroxymethyl)piperidin-1- yl]ethyl}-1H-imidazole-4,5-dicarboxamide
Figure imgf000104_0001
Was prepared in analyogy to the synthesis of N5-(3-amino-3-oxopropyi)-N4-{4-[(4- fluorobenzoyl)amino]phenyl}-1H-imidazole-4,5-dicarboxamide using [1-(2- aminoethyl)piperidin-3-yl]methanol (66 μΐ, 400 μιηοΐ, CAS No, 857637-03-7) and N-(4- aminophenyl)-2-chloro-4-fluorobenzamide (176 mg, 639 μιηοΐ) as starting materials to give the title compound (76.2 mg).
1H-NMR (500 MHz, DMSO-d6) δ [ppm]: 0.869 (0.56), 0.893 (1.68), 0.912 (1.82), 0.925 (1.47), 0.938 (7.97), 0.951 (6.71), 1.440 (1.19), 1.464 (1.33), 1.591 (2.24), 1.598 (4.12), 1.605 (5.45), 1.626 (5.38), 1.627 (5.17), 1.634 (3.28), 1.699 (1.96), 1.720 (2.86), 1.740 (1.40), 1.896 (2.52), 1.917 (1.33), 1.919 (1.33), 1.940 (2.45), 1.941 (2.38), 1.959 (1.33), 1.960 (1.33), 2.354 (1.33), 2.358 (2.93), 2.361 (3.98), 2.365 (2.86), 2.369 (1.26), 2.415 (0.63), 2.429 (0.70), 2.475 (4.33), 2.477 (5.52), 2.518 (9.99), 2.522 (7.48), 2.540 (0.70), 2.627 (1.26), 2.631 (2.86), 2.635 (4.05), 2.639 (2.86), 2.642 (1.33), 2.794 (2.10), 2.816 (1.96), 2.898 (2.24), 2.901 (2.24), 2.920 (2.17), 2.951 (0.42), 2.964 (0.49), 3.202 (0.91), 3.224 (2.31), 3.233 (2.24), 3.246 (1.75), 3.270 (2.24), 3.279 (3.28), 3.280 (3.77), 3.291 (4.68), 3.421 (0.63), 3.436 (1.75), 3.449 (3.91), 3.457 (4.12), 3.461 (4.12), 3.469 (3.77), 3.483 (1.61), 3.495 (0.56), 3.497 (0.49), 4.387 (1.82), 4.397 (3.07), 4.407 (1.75), 7.329 (2.59), 7.334 (2.79), 7.346 (5.17), 7.351 (5.59), 7.363 (2.72), 7.368 (3.00), 7.374 (0.42),
7.573 (5.38), 7.578 (5.66), 7.590 (5.31 ), 7.595 (5.31 ), 7.665 (5.52), 7.677 (6.22), 7.682 (6.15), 7.695 (7.20), 7.707 (15.02), 7.750 (0.63), 7.788 (0.42), 7.914 (16.00), 10.503 (11.32).
Example 18
N -{4-[(2-chloro-4-fluorobenzoyl)amino]phenyl}-N5-[(trans)4-(piperidin-1 - yl)tetrahydrofuran-3-yl]-1 H-imidazole-4,5-dicarboxamide
Figure imgf000105_0001
Was prepared in analyogy to the synthesis of N5-(3-amino-3-oxopropyi)-N4-{4-[(4- fluorobenzoyl)amino]phenyl}-1 H-imidazole-4,5-dicarboxamide using (trans)-4-(piperidin-1 - yl)tetrahydrofuran-3-amine dihydrochloride (102 mg, 400 μιηοΐ, CAS No 1212094-22-8) and N-(4-aminophenyl)-2-chloro-4-fluorobenzamide (176 mg, 639 μιτιοΐ) as starting materials to give the title compound (118 mg).
1H-NMR (400 MHz, DMSO-d6) δ [ppm]: 0.926 (0.72), 0.941 (5.49), 0.958 (5.25), 1.353 (1.98), 1.370 (3.75), 1.383 (3.68), 1.397 (1.94), 1 .450 (2.73), 1.463 (6.62), 1.477 (7.88), 1 .493 (4.91 ), 1.508 (1 .64), 1.905 (0.85), 2.318 (2.05), 2.323 (3.17), 2.327 (4.13), 2.331 (3.75), 2.337 (3.00), 2.358 (2.80), 2.425 (0.44), 2.442 (0.55), 2.523 (7.68), 2.540 (1 .09), 2.659 (0.72), 2.665 (1 .57), 2.669 (2.15), 2.673 (1 .60), 2.678 (0.78), 3.545 (1.71 ), 3.559 (2.32), 3.568 (2.18), 3.582 (2.35), 3.622 (1.26), 3.969 (3.34), 3.987 (3.82), 3.989 (3.86), 3.992 (3.75), 4.009 (2.35), 4.526 (0.78), 7.327 (1 .98), 7.334 (2.22), 7.349 (4.23), 7.355 (4.74), 7.370 (2.29), 7.377 (2.52), 7.577 (4.30), 7.583 (4.47), 7.599 (4.47), 7.605 (4.50), 7.665 (4.54), 7.681 (5.42), 7.686 (5.36), 7.702 (7.71 ), 7.712 (13.78), 7.945 (16.00), 10.525 (9.65).
Example 19 N4-{4-[(2-chloro-4-fluorobenzoyl)amino]phenyl}-N5-{2-[2-(hydroxymethyl)piperidin-1- yl]ethyl}-1H-imidazole-4,5-dicarboxamide
Figure imgf000106_0001
Was prepared in analyogy to the synthesis of N5-(3-amino-3-oxopropyl)-N4-{4-[(4- fluorobenzoyl)amino]phenyl}-1H-imidazole-4,5-dicarboxamide using [(1-(2- aminoethyl)piperidin-2-yl]methanol (66.6 mg, 400 pmol, CAS No. 857637-04-8) and N-(4- aminophenyl)-2-chloro-4-fluorobenzamide (176 mg, 639 μιηοΐ as starting materials to give the title compound (90.8 mg).
1H-NMR (400 MHz, DMSO-d6) δ [ppm]: 1.238 (0.64), 1.264 (1.68), 1.267 (1.74), 1.270 (1.80), 1.286 (2.12), 1.309 (1.07), 1.341 (0.41), 1.391 (0.84), 1.418 (0.96), 1.443 (0.44), 1.496 (1.19), 1.534 (0.61), 1.595 (0.78), 1.623 (2.90), 1.644 (1.51), 1.665 (0.52), 1.889 (0.64), 2.237 (0.78), 2.245 (0.99), 2.261 (1.10), 2.266 (1.60), 2.274 (1.13), 2.290 (1.07), 2.296 (1.16), 2.298 (1.25), 2.317 (1.89), 2.323 (2.50), 2.327 (2.96), 2.332 (2.53), 2.336 (1.54), 2.523 (4.36), 2.536 (1.86), 2.540 (1.42), 2.552 (1.68), 2.568 (0.90), 2.660 (0.61), 2.664 (1.25), 2.669 (1.71), 2.674 (1.25), 2.679 (0.55), 2.833 (0.81), 2.843 (1.39), 2.854 (0.99), 2.861 (0.93), 2.873 (1.28), 2.884 (0.73), 2.917 (0.75), 2.935 (1.74), 2.952 (1.39), 2.968 (1.48), 2.985 (0.75), 3.375 (1.34), 3.391 (2.06), 3.408 (3.31), 3.423 (3.60), 3.440 (2.18), 3.454 (1.02), 3.568 (1.22), 3.604 (0.90), 4.375 (1.02), 7.324 (1.42), 7.330 (1.54), 7.345 (2.96), 7.351 (3.22), 7.366 (1.57), 7.373 (1.71), 7.570 (3.08), 7.576 (3.11), 7.592 (3.14), 7.599 (3.02), 7.662 (3.08), 7.678 (3.57), 7.683 (3.34), 7.699 (5.78), 7.708 (16.00), 7.905 (8.94), 10.501 (6.62).
Example 20
5-{[4-(2-arnino-2-oxoethyl)piperazin-1-yl]carbonyl}-N-{4-[(2-chlorobenzoyl)amino]- phenyl}- 1 H-imidazole-4-carboxamide
Figure imgf000107_0001
Was prepared in analyogy to the synthesis of N5-(3-amino-3-oxopropyl)-N4-{4-[(4- fluorobenzoyl)amino]phenyl}-1 H-imidazole-4,5-dicarboxamide using 2-(piperazin-1 - yl)acetamide dihydrochloride (86.4 mg, 400 μηηοΐ, CAS No. 827614-58-4) and N-(4- aminophenyl)-2-chlorobenzamide (103 mg, 400 μπιο ) as starting materials to give the title compound (19.7 mg).
1H-NMR (400 MHz, DMSO-d6) δ [ppm]: 0.921 (0.82), 0.939 (1.95), 0.948 (2.77), 0.957 (1.60), 0.964 (2.55), 1.905 (1.12), 2.318 (0.86), 2.322 (1 .73), 2.327 (2.46), 2.331 (1.86), 2.337 (0.91 ), 2.427 (0.61 ), 2.447 (1 .17), 2.463 (1 .77), 2.523 (9.73), 2.539 (7.65), 2.552 (4.50), 2.659 (0.82), 2.665 (1.77), 2.669 (2.46), 2.673 (1 .77), 2.678 (0.82), 2.882 (0.48), 2.910 (16.00), 3.281 (0.78), 3.761 (3.33), 4.120 (1 .04), 4.167 (0.52), 6.541 (0.61 ), 7.138 (3.20), 7.143 (3.59), 7.146 (3.50), 7.286 (3.59), 7.288 (3.72), 7.293 (3.42), 7.433 (1.64), 7.436 (2.12), 7.451 (4.89), 7.455 (5.58), 7.469 (4.41 ), 7.473 (4.76), 7.485 (3.1 1 ), 7.490 (3.59), 7.504 (4.63), 7.509 (5.62), 7.523 (3.16), 7.528 (3.03), 7.555 (7.14), 7.559 (6.70), 7.573 (7.87), 7.578 (9.60), 7.591 (4.67), 7.596 (4.58), 7.640 (2.34), 7.661 (2.55), 7.697 (5.19), 7.719 (3.33), 7.900 (6.88), 10.493 (3.16), 12.449 (0.52).
Example 21
N4-{4-[(2-chlorobenzoyl)amino]phenyl}-N5-[2-(morpholin-4-yl)-2-oxoethyl]-1 H- imidazole-4,5-dicarboxamide
Figure imgf000107_0002
Was prepared in analyogy to the synthesis of N5-(3-amino-3-oxopropyl)-N4-{4-[(4- fluorobenzoyl)amino]phenyl}-1 H-imidazole-4,5-dicarboxamide using 2-amino-1 -(morpholin- 4-yl)ethanone hydrochloric acid salt (72.3 mg, 400 μιηοΐ, CAS No 24152-96-3) and (1 and N- (4-aminophenyl)-2-chlorobenzamide (103 mg, 400 μιηοΐ) as starting materials to give the title compound (41 .9 mg).
1H-NMR (400 MHz, DMSO-d6) δ [ppm]: 0.941 (1 .95), 0.957 (1.82), 1.905 (0.61 ), 2.073 (1.84), 2.322 (0.80), 2.327 (1.15), 2.331 (0.84), 2.523 (3.07), 2.539 (14.81 ), 2.665 (0.86), 2.669 (1.19), 2.673 (0.86), 3.475 (7.40), 3.487 (13.16), 3.500 (11 .13), 3.577 (4.77), 3.590 (6.07), 3.602 (4.02), 3.617 (5.06), 3.630 (5.77), 3.642 (3.28), 4.267 (8.76), 4.280 (8.76), 7.435 (1.59), 7.439 (1 .76), 7.453 (4.64), 7.457 (4.79), 7.472 (4.00), 7.476 (4.10), 7.486
(2.57) , 7.491 (3.14), 7.507 (4.29), 7.511 (4.98), 7.525 (2.87), 7.530 (2.68), 7.557 (6.50), 7.561 (5.73), 7.577 (8.72), 7.581 (7.70), 7.595 (3.89), 7.600 (3.66), 7.671 (1.86), 7.693
(3.58) , 7.721 (10.79), 7.743 (4.14), 7.955 (16.00), 8.750 (0.59), 10.514 (9.35), 13.407 (0.79), 13.470 (1 .15).
Example 22
N5-[1 -azabicyclo[2.2.2]oct-3-yl]-N4-{4-[(2-chlorobenzoyl)amino]phenyl}-1 H-imidazole- 4, 5-dicarboxamide
Figure imgf000108_0001
Was prepared in analyogy to the synthesis of N5-(3-amino-3-oxopropyl)-N4-{4-[(4-fluoro- benzoyl)amino]phenyl}-1 H-imidazole-4, 5-dicarboxamide using 1 -azabicyclo[2.2.2]octan-3- amine dihydrochloride (79.6 mg, 400 μιηοΐ, CAS No 128311 -06-8) and N-(4-aminophenyl)-2- chlorobenzamide (103 mg, 400 mol)as starting materials to give the title compound (11 .3 mg).
1H-NMR (400 MHz, DMSO-d6) δ [ppm]: 0.951 (4.30), 0.967 (4.06), 1.300 (0.85), 1 .316 (0.79), 1 .354 (0.73), 1.396 (1.45), 1.597 (2.36), 1 .620 (4.36), 1.625 (4.18), 1 .642 (2.67), 1 .752 (0.91 ), 1.905 (4.85), 1.918 (2.36), 2.025 (0.67), 2.085 (1 .45), 2.318 (1.33), 2.322 (2.79), 2.327 (3.76), 2.331 (2.91), 2.337 (1.45), 2.523 (16.00), 2.539 (2.97), 2.659 (2.24),
2.664 (3.76), 2.669 (5.09), 2.673 (4.36), 2.703 (5.15), 2.720 (5.27), 2.737 (3.33), 2.771
(1.39), 7.436 (1.76), 7.440 (2.06), 7.455 (4.79), 7.459 (5.03), 7.473 (4.30), 7.477 (4.42),
7.488 (2.91), 7.493 (3.39), 7.507 (4.61), 7.512 (5.21), 7.526 (3.15), 7.531 (2.85), 7.559
(7.52), 7.562 (6.85), 7.576 (8.18), 7.581 (8.91), 7.594 (4.55), 7.599 (4.30), 7.645 (1.03),
7.660 (1.27), 7.667 (1.52), 7.692 (2.79), 7.711 (8.61), 7.714 (9.52), 7.732 (6.79), 7.938 (11.88), 10.514 (10.12).
Example 23
N4-{4-[(2-chlorobenzoyl)amino]phenyl}-N5-{2-[4-(hydroxymethyl)piperidin-1-yl]ethyl}- 1 H-imidazole-4,5-dicarboxamide
Figure imgf000109_0001
Was prepared in analyogy to the synthesis of N5-(3-amino-3-oxopropyl)-N4-{4-[(4- fluorobenzoyl)amino]phenyl}-1H-imidazole-4,5-dicarboxamide using [1-(2- aminoethyl)piperidin-4-yl]methanol (66 μΐ, 400 μιηοΐ, Cas No 129999-62-8) and N-(4- aminophenyl)-2-chlorobenzamide (103 mg, 400 μιηοΐ) as starting materials to give the title compound (39 mg).
1H-NMR (500 MHz, DMSO-d6) δ [ppm]: 0.925 (0.48), 0.937 (4.36), 0.951 (4.18), 1.098 (1.01), 1.120 (2.63), 1.123 (2.99), 1.128 (3.04), 1.145 (3.34), 1.148 (3.34), 1.153 (3.10), 1.169 (1.49), 1.175 (1.37), 1.314 (1.31), 1.338 (1.97), 1.621 (4.00), 1.626 (4.60), 1.647 (4.06), 1.650 (4.12), 1.894 (2.45), 1.905 (2.81), 1.910 (3.40), 1.911 (3.28), 1.929 (5.79), 1.932 (5.97), 1.934 (5.67), 1.952 (3.22), 1.953 (3.16), 1.958 (2.63), 2.353 (1.01), 2.358 (2.51), 2.361 (3.46), 2.365 (2.45), 2.369 (1.13), 2.404 (0.66), 2.407 (0.72), 2.414 (0.78), 2.429 (0.54), 2.461 (1.61), 2.465 (1.67), 2.483 (8.84), 2.522 (7.58), 2.540 (1.67), 2.545 (0.42), 2.627 (1.31), 2.631 (2.69), 2.635 (3.52), 2.639 (2.57), 2.642 (1.19), 2.895 (2.75), 2.902 (5.43), 2.925 (5.19), 2.963 (0.42), 3.215 (0.84), 3.229 (6.81), 3.240 (10.75), 3.252 (6.87), 3.272 (1.61), 3.359 (0.72), 3.440 (2.93), 3.453 (7.10), 3.466 (6.93), 3.478 (2.69), 4.377 (3.64), 4.388 (7.58), 4.399 (3.58), 4.915 (0.42), 6.522 (0.72), 6.539 (0.72), 7.335 (0.66), 7.352 (0.66), 7.433 (0.54), 7.439 (2.27), 7.442 (2.51), 7.454 (5.67), 7.457 (6.15), 7.469 (4.96), 7.472 (4.78), 7.490 (3.16), 7.494 (3.76), 7.506 (5.13), 7.509 (6.09), 7.521 (3.76), 7.525 (3.52), 7.557 (8.00), 7.560 (8.00), 7.573 (5.19), 7.579 (7.28), 7.583 (6.33), 7.593 (5.19), 7.597 (4.90), 7.718 (14.45), 7.735 (4.12), 7.914 (16.00), 10.498 (12.24).
Example 24
N4-{4-[(2-chlorobenzoyl)amino]phenyl}-N5-{2-[3-(hydroxymethyl)piperidin-1-yl]ethyl}- 1 H-imidazole-4,5-dicarboxamide
Figure imgf000110_0001
Was prepared in analyogy to the synthesis of N5-(3-amino-3-oxopropyl)-N4-{4-[(4- fluorobenzoyl)amino]phenyl}-1H-imidazole-4,5-dicarboxamide using [1-(2- aminoethyl)piperidin-3-yl]methanol (66 μΐ, 400 μιηοΐ, CAS No 857637-03-7) and N-(4- aminophenyl)-2-chlorobenzamide (103 mg, 400 μιηοΐ) as starting materials to give the title compound (59.8 mg).
1H-NM (500 MHz, DMSO-d6) δ [ppm]: 0.869 (0.51), 0.894 (1.59), 0.912 (1.65), 0.926 (1.08), 0.939 (4.63), 0.953 (4.00), 1.440 (1.02), 1.466 (1.27), 1.592 (2.35), 1.599 (4.13), 1.606 (5.14), 1.627 (4.89), 1.701 (1.78), 1.722 (2.60), 1.740 (1.27), 1.742 (1.21), 1.901 (2.29), 1.919 (1.27), 1.921 (1.27), 1.941 (2.22), 1.962 (1.21), 2.353 (1.14), 2.358 (2.79), 2.361 (3.68), 2.365 (2.60), 2.369 (1.21), 2.431 (0.44), 2.479 (5.59), 2.522 (7.17), 2.540 (0.89), 2.627 (1.27), 2.631 (2.67), 2.635 (3.68), 2.639 (2.67), 2.642 (1.21), 2.794 (1.90), 2.818 (1.90), 2.899 (2.10), 2.903 (2.03), 2.917 (1.97), 2.920 (2.03), 3.202 (0.89), 3.223 (2.03), 3.224 (2.10), 3.234 (2.16), 3.248 (1.52), 3.270 (2.03), 3.280 (3.62), 3.291 (4.51), 3.437 (1.52), 3.451 (3.49), 3.459 (3.94), 3.463 (3.81), 3.471 (3.43), 3.484 (1.52), 4.385 (1.59), 4.397 (2.86), 4.408 (1.59), 7.439 (2.03), 7.442 (2.16), 7.454 (5.08), 7.457 (5.40), 7.469 (4.25), 7.472 (4.25), 7.490 (2.86), 7.494 (3.37), 7.506 (4.51), 7.509 (5.40), 7.521 (3.17), 7.525 (2.98), 7.557 (7.05), 7.560 (7.05), 7.573 (4.70), 7.578 (6.48), 7.582 (5.90), 7.593 (4.76), 7.597 (4.19), 7.697 (2.86), 7.718 (9.46), 7.735 (3.87), 7.918 (16.00), 10.496 (9.84), 13.584 (0.83).
Example 25
N4-{4-[(2-chlorobenzoyl)amino]phenyl}-N5-[(trans)-4-(piperidin-1-yl)tetrahydrofuran-3- yl]- 1 H-imidazole-4, 5-dicarboxamide
Figure imgf000111_0001
Was prepared in analyogy to the synthesis of N5-(3-amino-3-oxopropyi)-N4-{4-[(4- fluorobenzoyl)amino]phenyl}-1 H-imidazole-4, 5-dicarboxamide using (trans)-4-(piperidin-1 - yl)tetrahydrofuran-3-amine dihydrochloride (102 mg, 400 μιηοΐ, CAS No 1212094-22-8) and N-(4-aminophenyl)-2-chlorobenzamide (103 mg, 400 μιηοΐ) F1 as starting materials to give the title compound (47.9 mg).
1H-NMR (400 MHz, DMSO-d6) δ [ppm]: 0.920 (1.31), 0.937 (10.38), 0.954 (9.38), 1.368 (5.30), 1.382 (5.26), 1.462 (9.20), 1.477 (11.24), 1.490 (7.93), 1.492 (7.34), 2.327 (5.89), 2.357 (4.17), 2.415 (1.18), 2.433 (1.45), 2.665 (2.76), 2.669 (2.90), 2.967 (0.95), 3.544 (2.27), 3.557 (2.95), 3.561 (3.04), 3.580 (3.04), 3.582 (2.95), 3.618 (1.99), 3.968 (4.31), 3.989 (5.30), 4.009 (2.81), 7.436 (1.90), 7.455 (4.85), 7.474 (4.35), 7.489 (3.17), 7.509 (5.12), 7.527 (3.08), 7.559 (7.21), 7.580 (9.07), 7.598 (4.53), 7.685 (2.31), 7.720 (16.00), 7.742 (4.17), 7.940 (10.97), 10.516 (8.88). Example 26
N -{4-[(2-chlorobenzoyl)amino]phenyl}-N5-{2-[2-(hydroxymethyl)piperidin-1-yl]ethyl}- 1 H-imidazole-4,5-dicarboxamide
Figure imgf000112_0001
Was prepared in analyogy to the synthesis of N5-(3-amino-3-oxopropyl)-N4-{4-[(4- fluorobenzoyl)amino]phenyl}-1H-imidazole-4,5-dicarboxamide using [1-(2- aminoethyl)piperidin-2-yl]methanol (66.6 mg, 400 μηηο , CAS No 857637-04-8) and N-(4- aminophenyl)-2-chlorobenzamide (103 mg, 400 μιτιοΐ) as starting materials to give the title compound (44.3 mg).
1H-NMR (400 MHz, DMSO-d6) δ [ppm]: 0.941 (1.87), 0.958 (1.80), 1.239 (0.80), 1.267 (2.12), 1.272 (2.17), 1.286 (2.42), 1.290 (2.40), 1.312 (1.17), 1.340 (0.47), 1.393 (1.05), 1.418 (1.17), 1.498 (1.50), 1.531 (0.88), 1.596 (1.02), 1.624 (3.42), 1.645 (1.82), 1.666 (0.65), 1.904 (0.80), 2.238 (1.05), 2.247 (1.27), 2.269 (2.00), 2.276 (1.52), 2.292 (1.40), 2.300 (1.67), 2.317 (2.00), 2.322 (2.62), 2.327 (3.02), 2.332 (2.75), 2.336 (1.92), 2.523 (4.65), 2.540 (1.92), 2.554 (1.77), 2.570 (0.92), 2.660 (0.52), 2.664 (1.10), 2.669 (1.45), 2.674 (1.10), 2.679 (0.50), 2.834 (1.00), 2.846 (1.72), 2.856 (1.25), 2.863 (1.20), 2.874 (1.57), 2.885 (0.88), 2.920 (0.88), 2.937 (2.07), 2.954 (1.70), 2.970 (1.77), 2.988 (0.95), 3.379 (1.50), 3.396 (2.70), 3.411 (4.30), 3.425 (4.32), 3.443 (2.52), 3.457 (1.20), 3.475 (0.47), 3.572 (1.77), 3.587 (1.32), 3.600 (1.40), 4.380 (1.25), 7.435 (1.50), 7.439 (1.60), 7.454 (4.20), 7.457 (4.17), 7.472 (3.60), 7.476 (3.65), 7.486 (2.42), 7.491 (2.80), 7.506 (3.70), 7.511 (4.55), 7.525 (2.55), 7.529 (2.45), 7.556 (5.60), 7.560 (5.37), 7.577 (7.45), 7.582 (5.55), 7.595 (3.47), 7.600 (3.15), 7.648 (0.47), 7.717 (8.15), 7.739 (2.75), 7.918 (16.00), 10.496 (7.80), 13.608 (0.72). Example 27
N -[3-(azepan-1 -yl)propyl]-N5-{4-[(2-chloro-4-fluorobenzoyl)amino]ph
imidazole-4,5-dicarboxamide
Figure imgf000113_0001
To methyl 5-({4-[(2-chloro-4-fluorobenzoyl)amino]phenyl}carbamoyl)-1 H-imidazole-4- carboxylate in DMF (1.0 ml, 0.13 M, 130 μιηοΐ) was added 3-(azepan-1 -yl)propan-1 -amine in DMF (1.0 ml, 0.65 M, 650 μιηοΐ, CAS No. 3437-33-0). The mixture was shaked at 80 C for 16 h. The crude product was purified by preparative HPLC to give 18 mg of the title compound
LC-MS (Method 3): R, = 1 .06 min; MS (ESIpos): m/z = 514.2 [M+H] '
The expamles 29 -34 were preapared in analogy to the synthesis of N4-[3-(azepan-1 - yl)propyl]-N5-{4-[(2-chloro-4-fluorobenzoyl)amino]phenyl}-1 H-imidazole-4,5-dicarboxamide
Figure imgf000113_0002
Figure imgf000114_0001
Figure imgf000115_0001
Figure imgf000116_0001
Example 34
N5-{4-[(2-chloro-4-fluorobenzoyl)amino]phenyl}-N4-(cyclopropylmethoxy)-1 H- imidazole-4,5-dicarboxamide
Figure imgf000116_0002
A mixture of phenyl 5-({4-[(2-chloro-4-fluorobenzoyl)amino]phenyl}carbamoyl)-1 H- imidazole-4-carboxylate (246 mg, 514 μηιο ) , [(aminooxy)methyl]cyclopropane hydrochloric acid salt (317 mg, 2.57 mmol, CAS No. 74124-04-2), triethylamine (360 μΐ, 2.6 mmol) in tetrahydrofruan (8.0 ml) was stirred for 4 h at 40 C followd by 18 h at 55 C. For work-up, solids were filtrated off, and the filtrate was purified by preparative HPLC. Aqueous hydrochloric acid (2 M) was added to the obtained product and it was extracted with dichloromethane (2x) the combined organic phases were washed with saturated sodium bicarbonate solution, dired over sodium sulfate and concentrated. The residue recrysatllised with diethyl ether, and the solid was collected by filtration to give the title compound (24.4 mg) LC-MS (Method 1 ): R, = 1.13 min; MS (ESIpos): m/z = 472.0 [M+H]+
1H-NMR (400 MHz, DMSO-d6) δ [ppm]: 0.285 (8.33), 0.297 (9.38), 0.534 (7.00), 0.553 (7.71 ), 0.555 (7.47), 1.106 (2.17), 1.121 (2.85), 1 .138 (2.28), 2.325 (1 .19), 2.668 (1 .35), 3.755 (8.48), 3.773 (9.52), 7.332 (2.25), 7.348 (3.69), 7.354 (4.55), 7.376 (2.82), 7.580 (3.69), 7.586 (4.50), 7.602 (4.35), 7.608 (4.71 ), 7.665 (5.32), 7.680 (8.20), 7.684 (9.39), 7.702 (15.01 ), 7.707 (16.00), 7.912 (1 .26), 7.944 (3.41 ), 10.536 (7.91 ), 13.261 (2.19).
Example 35
N-{4-[(2-chloro-4-fluorobenzoyl)amino]phenyl}-4-[(1 , 1 -dioxido-1 -thia-6- azaspiro[3.3]hept-6-yl)carbonyl]-1 H-imidazole-5-carboxamide
Figure imgf000117_0001
To the crude reaction mixture of phenyl 5-({4-[(2-chloro-4- fluorobenzoyl)amino]phenyl}carbamoyl)-1 H-imidazole-4-carboxylate (144 mg, 300 μητιοΐ) was added 1 -thia-6-azaspiro[3.3]heptane 1 , 1 -dioxide hydrochloric acid salt (66.1 mg, 360 μιτιοΐ, CAS 1352546-75-8) and triethylamine (42 μΐ, 300 μιηοΐ). The mixture was stirred for 2 d at 50 C. For work-up, the reaction mixture was purified by flash chromatography (11 g NH2-cartridge, dichloromethane/methanol-gradient, 0-10% methanol). The product containing fractions were collected and the combined fractions were concentrated under reduced pressure. The obtained precipitat was collected by filtration and dried at 50° C to give the title compound (30 mg, contain 13% DCM).
LC-MS (Method 4): Rt = 1 .06 min; MS (ESIpos): m/z = 532
H-NMR (400 MHz, DMSO-d6) δ [ppm]: 1 .234 (1 .23), 2.318 (0.51 ), 2.323 (1.17), 2.327 (1.65), 2.332 (1.12), 2.337 (0.56), 2.431 (0.51 ), 2.442 (2.24), 2.449 (2.05), 2.463 (4.29), 2.472 (4.40), 2.523 (3.97), 2.659 (0.56), 2.665 (1 .25), 2.669 (1 .71 ), 2.674 (1.20), 2.678 (0.59), 4.116 (4.56), 4.139 (5.79), 4.160 (4.27), 4.436 (1 .89), 4.464 (4.1 1 ), 4.507 (4.11 ), 4.512 (4.08), 4.537 (1 .97), 4.541 (2.03), 4.911 (2.19), 4.941 (3.04), 5.071 (3.12), 5.073 (3.20), 5.075 (3.04), 5.101 (2.11 ), 5.105 (2.24), 5.756 (6.29), 7.325 (1.76), 7.332 (1.92), 7.346 (3.65), 7.353 (4.05), 7.368 (1.97), 7.374 (2.13), 7.574 (3.79), 7.580 (3.89), 7.597 (3.89), 7.603 (3.81 ), 7.658 (5.84), 7.662 (5.84), 7.681 (15.07), 7.698 (4.45), 7.707 (14.19), 7.713 (3.41 ), 7.724 (2.13), 7.730 (5.12), 7.947 (16.00), 10.519 (8.43), 13.320 (4.75), 13.547
(1.73).
Example 36
N-{4-[(2-chloro-4-fluorobenzoyl)amino]phenyl}-4-{[3-hydroxy-3-(2- hydroxyethyl)azetidin-1 -yl]carbonyl}-1 H-imidazole-5-carboxamide
Figure imgf000118_0001
To the crude reaction mixture of phenyl 5-({4-[(2-chloro-4- fluorobenzoyl)amino]phenyl}carbamoyl)-1 H-imidazole-4-carboxylate (144 mg, 300 μιηοΐ) was added 1 -oxa-6-azaspiro[3.3]heptane trifluoroacetic acid salt (76.7 mg, 360 μιηοΐ, CAS No. 936947-34-1 ) and triethylamine (50 μΐ, 360 μιτιοΐ). The mixture was stirred for 2 d at 50 C. For work-up, the reaction mixture was concentrated and the residue was purified by flash chromatography (11 g NH2-cartridge, dichloromethane/methanol-gradient, 0-10% methanol) The product containing fractions were collected and the combined fractions were concentrated under reduced pressure. The obtained precipitat was collected by filtration to give the title compound (64 mg).
LC-MS (Method 4): R, = 0.92 min; MS (ESIpos): m/z = 502
1H-NMR (400 MHz, DMSO-d6) δ [ppm]: 1.850 (3.18), 1 .867 (6.57), 1.884 (3.39), 2.321
(0.68), 2.326 (1.04), 2.331 (0.79), 2.522 (3.71 ), 2.665 (0.72), 2.669 (1.01 ), 2.674 (0.72),
3.555 (4.55), 3.571 (9.82), 3.587 (4.52), 3.634 (6.95), 3.908 (2.94), 3.910 (2.98), 3.937
(3.59), 4.124 (3.42), 4.126 (3.53), 4.128 (3.56), 4.151 (2.74), 4.155 (2.84), 4.406 (2.46),
4.407 (2.57), 4.435 (3.15), 4.640 (2.79), 4.671 (2.33), 5.666 (1 .47), 7.283 (1.18), 7.289
(1.52), 7.304 (2.52), 7.307 (2.70), 7.310 (3.03), 7.312 (2.84), 7.325 (1.37), 7.332 (1 .71 ),
7.509 (2.04), 7.515 (2.89), 7.519 (2.07), 7.531 (2.28), 7.538 (2.91 ), 7.542 (2.09), 7.610 (2.34), 7.625 (3.03), 7.633 (5.92), 7.639 (2.50), 7.649 (5.20), 7.656 (16.00), 7.668 (14.58), 7.691 (3.23), 7.713 (0.44), 7.863 (10.10), 7.865 (10.13).
Example 37
N5-{4-[(2-chloro-4,5-difluorobenzoyl)amino]phenyl}-N4-(cyclopropylmethoxy)-1 H- imidazole-4,5-dicarboxamide
Figure imgf000119_0001
To the crude mreaction mixture of phenyl 5-({4-[(2-chloro-4,5- difluorobenzoyl)amino]phenyl}carbamoyl)-1 H-imidazole-4-carboxylate (199 mg, 400 μιηοΐ) was added [(aminooxy)methyl]cyclopropane hydrochloric acid salt (98.9 mg, 800 μιηοΐ). The mixture was stirred for 2 h at room temperature. Water was added and the resulting precipitat was collected by filtration and the solid was washed with water. The crude product was purified by flash chromatography (11 g NH2-cartridge, dichloromethane/methanol-gradient, 0-10% methanol) to give the title compound (43 mg, 90% purity)
LC-MS (Method 2): R, = 0.83 min; MS (ESIpos): m/z = 490.0
1H-NMR (400 MHz, DMSO-d6): δ [ppm] = 13.50 (br. s. , 1 H), 13.23 (br. s. , 1 H), 10.55 (s, 1 H), 7.98-7.80 (m, 3H), 7.70 (s, 3H), 3.76 (d, 2H), 1.17-1.04 (m, 1 H), 0.63-0.44 (m, 2H), 0.38- 0.18 (m, 2H).
Example 38
N-{4-[(2-chloro-4,5-difluorobenzoyl)amino]phenyl}-4-[(1 , 1 -dioxido-1 -thia-6- azaspiro[3.3]hept-6-yl)carbonyl]-1 H-imidazole-5-carboxamide
Figure imgf000120_0001
To the crude reaction mixture of phenyl 5-({4-[(2-chloro-4,5- difluorobenzoyl)amino]phenyl}carbamoyl)-1 H-imidazole-4-carboxylate (199 mg, 400 μιηοΐ) was added 1 -thia-6-azaspiro[3.3]heptane 1 , 1 -dioxide hydrochloric acid salt (88.2 mg, 480 μιηοΐ, CAS 1352546-75-8) and the mixture was stirred for 2 h at room temperature. Water was added and the resulting precipitate was collected by filtration and washed with water. The crude product was purified by flash chromatography (1 1 g NH2-cartridge, dichloromethane/methanol-gradient, 0-10% methanol). The product containing fractions were collected and the combined fractions were concentrated under reduced pressure. The resulting precipitat was collected by filtration to give after drying in vacuo the title compound (96 mg).
LC-MS (Method 2): Rt = 0.92 min; MS (ESIpos): m/z = 550.1
1H-NMR (400 MHz, DMSO-d6) δ [ppm] : 2.322 (0.57), 2.327 (0.82), 2.331 (0.61 ), 2.473 (3.68), 2.523 (3.23), 2.664 (0.57), 2.669 (0.82), 2.674 (0.60), 4.1 15 (4.02), 4.138 (5.18), 4.159 (3.83), 4.432 (1 .70), 4.434 (1 .80), 4.462 (3.65), 4.510 (3.68), 4.514 (3.76), 4.539 (1.74), 4.544 (1.85), 4.911 (1.95), 4.942 (2.81 ), 5.073 (2.73), 5.075 (2.88), 5.077 (2.76), 5.103 (1.95), 5.106 (2.03), 5.108 (1.94), 7.664 (2.59), 7.671 (1 .34), 7.680 (2.28), 7.688 (15.03), 7.697 (16.00), 7.705 (2.30), 7.714 (1 .46), 7.721 (2.49), 7.852 (4.80), 7.871 (4.78), 7.878 (4.99), 7.898 (4.76), 7.945 (14.61 ), 10.561 (7.52), 13.322 (3.87), 13.537 (1.55).
Example 39
N-{4-[(2-chloro-4,5-difluorobenzoyl)amino]phenyl}-4-{[3-hydroxy-3-(2- hydroxyethyl)azetidin-1 -yl]carbonyl}-1 H-imidazole-5-carboxamide
Figure imgf000121_0001
To the crude reaction mixture of phenyl 5-({4-[(2-chloro-4,5- difluorobenzoyl)amino]phenyl}carbamoyl)-1 H-imidazole-4-carboxylate (199 mg, 400 μιηοΐ) was added 1 -oxa-6-azaspiro[3.3]heptane trifluoroacetic acid salt (102 mg, 480 μιηοΐ). The mixture was stirred for 2 h at room temperature. Water was added and the resulting precipitate was collected by filtration and washed with water. The crude product was purified by flash chromatography (28g NH2-cartridge, dichloromethane/methanol-gradient, 0-10% methanol) to give the title compound (52 mg)
LC-MS (Method 2): R, = 0.83min; MS (ESIpos): m/z = 520.1
1H-NMR (400 MHz, DMSO-d6) δ [ppm] : 1.234 (0.42), 1 .851 (1.91 ), 1.868 (3.89), 1.871 (3.92), 1.888 (2.03), 2.323 (0.75), 2.327 (1.05), 2.332 (0.74), 2.523 (2.27), 2.665 (0.74), 2.669 (1 .05), 2.674 (0.72), 3.569 (1 .67), 3.581 (2.50), 3.585 (4.04), 3.597 (4.07), 3.602 (2.37), 3.614 (1.60), 3.913 (2.06), 3.915 (2.14), 3.917 (2.04), 3.940 (2.40), 3.942 (2.60), 3.944 (2.37), 4.144 (2.52), 4.149 (2.53), 4.172 (2.11 ), 4.175 (2.14), 4.425 (3.79), 4.438 (4.63), 4.450 (4.04), 4.667 (2.06), 4.698 (1.63), 5.691 (9.04), 5.756 (0.70), 7.660 (1.94), 7.668 (1.13), 7.676 (1.81 ), 7.684 (14.69), 7.691 (16.00), 7.699 (1.77), 7.707 (1 .32), 7.715 (1.91 ), 7.730 (0.51 ), 7.856 (2.76), 7.859 (3.01 ), 7.877 (5.65), 7.882 (3.43), 7.886 (3.22), 7.893 (0.87), 7.903 (5.87), 7.909 (15.49), 10.564 (6.95), 13.410 (0.54), 13.680 (3.32).
Further, the compounds of formula (I) of the present invention can be converted to any salt as described herein, by any method which is known to the person skilled in the art. Similarly, any salt of a compound of formula (I) of the present invention can be converted into the free compound, by any method which is known to the person skilled in the art. Pharmaceutical compositions of the compounds of the invention
This invention also relates to pharmaceutical compositions containing one or more compounds of the present invention. These compositions can be utilised to achieve the desired pharmacological effect by administration to a patient in need thereof. A patient, for the purpose of this invention, is a mammal, including a human, in need of treatment for the particular condition or disease. Therefore, the present invention includes pharmaceutical compositions that are comprised of a pharmaceutically acceptable carrier and a pharmaceutically effective amount of a compound, or salt thereof, of the present invention. A pharmaceutically acceptable carrier is preferably a carrier that is relatively non-toxic and innocuous to a patient at concentrations consistent with effective activity of the active ingredient so that any side effects ascribable to the carrier do not vitiate the beneficial effects of the active ingredient. A pharmaceutically effective amount of compound is preferably that amount which produces a result or exerts an influence on the particular condition being treated. The compounds of the present invention can be administered with pharmaceutically-acceptable carriers well known in the art using any effective conventional dosage unit forms, including immediate, slow and timed release preparations, orally, parenterally, topically, nasally, ophthalmically, optically, sublingually, rectally, vaginally, and the like.
For oral administration, the compounds can be formulated into solid or liquid preparations such as capsules, pills, tablets, troches, lozenges, melts, powders, solutions, suspensions, or emulsions, and may be prepared according to methods known to the art for the manufacture of pharmaceutical compositions. The solid unit dosage forms can be a capsule that can be of the ordinary hard- or soft-shelled gelatine type containing, for example, surfactants, lubricants, and inert fillers such as lactose, sucrose, calcium phosphate, and corn starch.
In another embodiment, the compounds of this invention may be tableted with conventional tablet bases such as lactose, sucrose and cornstarch in combination with binders such as acacia, corn starch or gelatine, disintegrating agents intended to assist the break-up and dissolution of the tablet following administration such as potato starch, alginic acid, corn starch, and guar gum, gum tragacanth, acacia, lubricants intended to improve the flow of tablet granulation and to prevent the adhesion of tablet material to the surfaces of the tablet dies and punches, for example talc, stearic acid, or magnesium, calcium or zinc stearate, dyes, colouring agents, and flavouring agents such as peppermint, oil of wintergreen, or cherry flavouring, intended to enhance the aesthetic qualities of the tablets and make them more acceptable to the patient. Suitable excipients for use in oral liquid dosage forms include dicalcium phosphate and diluents such as water and alcohols, for example, ethanol, benzyl alcohol, and polyethylene alcohols, either with or without the addition of a pharmaceutically acceptable surfactant, suspending agent or emulsifying agent. Various other materials may be present as coatings or to otherwise modify the physical form of the dosage unit. For instance tablets, pills or capsules may be coated with shellac, sugar or both.
Dispersible powders and granules are suitable for the preparation of an aqueous suspension. They provide the active ingredient in admixture with a dispersing or wetting agent, a suspending agent and one or more preservatives. Suitable dispersing or wetting agents and suspending agents are exemplified by those already mentioned above. Additional excipients, for example those sweetening, flavouring and colouring agents described above, may also be present.
The pharmaceutical compositions of this invention may also be in the form of oil-in-water emulsions. The oily phase may be a vegetable oil such as liquid paraffin or a mixture of vegetable oils. Suitable emulsifying agents may be (1 ) naturally occurring gums such as gum acacia and gum tragacanth , (2) naturally occurring phosphatides such as soy bean and lecithin, (3) esters or partial esters derived form fatty acids and hexitol anhydrides, for example, sorbitan monooleate, (4) condensation products of said partial esters with ethylene oxide, for example, polyoxyethylene sorbitan monooleate. The emulsions may also contain sweetening and flavouring agents.
Oily suspensions may be formulated by suspending the active ingredient in a vegetable oil such as, for example, arachis oil, olive oil, sesame oil or coconut oil, or in a mineral oil such as liquid paraffin. The oily suspensions may contain a thickening agent such as, for example, beeswax, hard paraffin, or cetyl alcohol. The suspensions may also contain one or more preservatives, for example, ethyl or n-propyl p-hydroxybenzoate ; one or more colouring agents ; one or more flavouring agents ; and one or more sweetening agents such as sucrose or saccharin.
Syrups and elixirs may be formulated with sweetening agents such as, for example, glycerol, propylene glycol, sorbitol or sucrose. Such formulations may also contain a demulcent, and preservative, such as methyl and propyl parabens and flavouring and colouring agents.
The compounds of this invention may also be administered parenterally, that is, subcutaneously, intravenously, intraocularly, intrasynovially, intramuscularly, or interperitoneally, as injectable dosages of the compound in preferably a physiologically acceptable diluent with a pharmaceutical carrier which can be a sterile liquid or mixture of liquids such as water, saline, aqueous dextrose and related sugar solutions, an alcohol such as ethanol, isopropanol, or hexadecyl alcohol, glycols such as propylene glycol or polyethylene glycol, glycerol ketals such as 2,2-dimethyl-1 , 1 -dioxolane-4-methanol, ethers such as poly(ethylene glycol) 400, an oil, a fatty acid, a fatty acid ester or, a fatty acid glyceride, or an acetylated fatty acid glyceride, with or without the addition of a pharmaceutically acceptable surfactant such as a soap or a detergent, suspending agent such as pectin , carbomers, methylcellulose, hydroxypropylmethylcellulose, or carboxymethylcellulose, or emulsifying agent and other pharmaceutical adjuvants.
Illustrative of oils which can be used in the parenteral formulations of this invention are those of petroleum, animal, vegetable, or synthetic origin, for example, peanut oil, soybean oil, sesame oil, cottonseed oil, corn oil, olive oil, petrolatum and mineral oil. Suitable fatty acids include oleic acid, stearic acid, isostearic acid and myristic acid. Suitable fatty acid esters are, for example, ethyl oleate and isopropyl myristate. Suitable soaps include fatty acid alkali metal, ammonium, and triethanolamine salts and suitable detergents include cationic detergents, for example dimethyl dialkyl ammonium halides, alkyl pyridinium halides, and alkylamine acetates ; anionic detergents, for example, alkyl, aryl, and olefin sulfonates, alkyl, olefin, ether, and monoglyceride sulfates, and sulfosuccinates ; non-ionic detergents, for example, fatty amine oxides, fatty acid alkanolamides, and poly(oxyethylene-oxypropylene)s or ethylene oxide or propylene oxide copolymers ; and amphoteric detergents, for example, alkyl-beta-aminopropionates, and 2-alkylimidazoline quaternary ammonium salts, as well as mixtures.
The parenteral compositions of this invention will typically contain from about 0.5% to about 25% by weight of the active ingredient in solution. Preservatives and buffers may also be used advantageously. In order to minimise or eliminate irritation at the site of injection, such compositions may contain a non-ionic surfactant having a hydrophile- lipophile balance (HLB) preferably of from about 12 to about 17. The quantity of surfactant in such formulation preferably ranges from about 5% to about 15% by weight. The surfactant can be a single component having the above HLB or can be a mixture of two or more components having the desired HLB.
Illustrative of surfactants used in parenteral formulations are the class of polyethylene sorbitan fatty acid esters, for example, sorbitan monooleate and the high molecular weight adducts of ethylene oxide with a hydrophobic base, formed by the condensation of propylene oxide with propylene glycol.
The pharmaceutical compositions may be in the form of sterile injectable aqueous suspensions. Such suspensions may be formulated according to known methods using suitable dispersing or wetting agents and suspending agents such as, for example, sodium carboxymethylcellulose, methylcellulose, hydroxypropylmethyl-cellulose, sodium alginate, polyvinylpyrrolidone, gum tragacanth and gum acacia ; dispersing or wetting agents which may be a naturally occurring phosphatide such as lecithin, a condensation product of an alkylene oxide with a fatty acid, for example, polyoxyethylene stearate, a condensation product of ethylene oxide with a long chain aliphatic alcohol, for example, heptadeca- ethyleneoxycetanol, a condensation product of ethylene oxide with a partial ester derived form a fatty acid and a hexitol such as polyoxyethylene sorbitol monooleate, or a condensation product of an ethylene oxide with a partial ester derived from a fatty acid and a hexitol anhydride, for example polyoxyethylene sorbitan monooleate.
The sterile injectable preparation may also be a sterile injectable solution or suspension in a non-toxic parenterally acceptable diluent or solvent. Diluents and solvents that may be employed are, for example, water, Ringer's solution, isotonic sodium chloride solutions and isotonic glucose solutions. In addition, sterile fixed oils are conventionally employed as solvents or suspending media. For this purpose, any bland, fixed oil may be employed including synthetic mono- or diglycerides. In addition, fatty acids such as oleic acid can be used in the preparation of injectables.
A composition of the invention may also be administered in the form of suppositories for rectal administration of the drug. These compositions can be prepared by mixing the drug with a suitable non-irritation excipient which is solid at ordinary temperatures but liquid at the rectal temperature and will therefore melt in the rectum to release the drug. Such materials are, for example, cocoa butter and polyethylene glycol. Another formulation employed in the methods of the present invention employs transdermal delivery devices ("patches"). Such transdermal patches may be used to provide continuous or discontinuous infusion of the compounds of the present invention in controlled amounts. The construction and use of transdermal patches for the delivery of pharmaceutical agents is well known in the art (see, e.g. , US Patent No. 5,023,252, issued June 1 1 , 1991 , incorporated herein by reference). Such patches may be constructed for continuous, pulsatile, or on demand delivery of pharmaceutical agents.
Controlled release formulations for parenteral administration include liposomal, polymeric microsphere and polymeric gel formulations that are known in the art.
It may be desirable or necessary to introduce the pharmaceutical composition to the patient via a mechanical delivery device. The construction and use of mechanical delivery devices for the delivery of pharmaceutical agents is well known in the art. Direct techniques for, for example, administering a drug directly to the brain usually involve placement of a drug delivery catheter into the patient's ventricular system to bypass the blood-brain barrier. One such implantable delivery system, used for the transport of agents to specific anatomical regions of the body, is described in US Patent No. 5,01 1 ,472, issued April 30, 1991 .
The compositions of the invention can also contain other conventional pharmaceutically acceptable compounding ingredients, generally referred to as carriers or diluents, as necessary or desired. Conventional procedures for preparing such compositions in appropriate dosage forms can be utilized.
Such ingredients and procedures include those described in the following references, each of which is incorporated herein by reference: Powell, M.F. et at. ,"Compendium of Excipients for Parenteral Formulations" PDA Journal of Pharmaceutical Science & Technology 1998, 52(5) , 238-31 1 ; Strickley, R.G"Parenteral Formulations of Small Molecule Therapeutics Marketed in the United States (1999)-Part-1" PDA Journal of Pharmaceutical Science & Technology 1999, 53(6) , 324-349 ; and Nema, S. et al. ,"Excipients and Their Use in Injectable Products" PDA Journal of Pharmaceutical Science & Technology 1997, 51 (4), 166-171 .
Commonly used pharmaceutical ingredients that can be used as appropriate to formulate the composition for its intended route of administration include: acidifying agents (examples include but are not limited to acetic acid, citric acid, fumaric acid, hydrochloric acid, nitric acid) ;
alkalinizing agents (examples include but are not limited to ammonia solution, ammonium carbonate, diethanolamine, monoethanolamine, potassium hydroxide, sodium borate, sodium carbonate, sodium hydroxide, triethanolamine, trolamine) ;
adsorbents (examples include but are not limited to powdered cellulose and activated charcoal) ;
aerosol propellants (examples include but are not limited to carbon dioxide, CCl?F?, F2CIC-
Figure imgf000127_0001
air displacement agents (examples include but are not limited to nitrogen and argon) ; antifungal preservatives (examples include but are not limited to benzoic acid, butylparaben, ethylparaben , methylparaben , propylparaben, sodium benzoate) ;
antimicrobial preservatives (examples include but are not limited to benzalkonium chloride, benzethonium chloride, benzyl alcohol, cetylpyridinium chloride, chlorobutanol, phenol, phenylethyl alcohol, phenylmercuric nitrate and thimerosal) ;
antioxidants (examples include but are not limited to ascorbic acid, ascorbyl palmitate, butylated hydroxyanisole, butylated hydroxytoluene, hypophosphorus acid, monothioglycerol, propyl gallate, sodium ascorbate, sodium bisulfite, sodium formaldehyde sulfoxylate, sodium metabisulfite) ;
binding materials (examples include but are not limited to block polymers, natural and synthetic rubber, polyacrylates, polyurethanes, silicones, polysiloxanes and styrene- butadiene copolymers) ;
buffering agents (examples include but are not limited to potassium metaphosphate, dipotassium phosphate, sodium acetate, sodium citrate anhydrous and sodium citrate dihydrate)
carrying agents (examples include but are not limited to acacia syrup, aromatic syrup, aromatic elixir, cherry syrup, cocoa syrup, orange syrup, syrup, corn oil, mineral oil, peanut oil, sesame oil, bacteriostatic sodium chloride injection and bacteriostatic water for injection) chelating agents (examples include but are not limited to edetate disodium and edetic acid)
colourants (examples include but are not limited to FDStC Red No. 3, FD&C Red No. 20, FD&C Yellow No. 6, FD&C Blue No. 2, D&C Green No. 5, D&C Orange No. 5, D&C Red No. 8, caramel and ferric oxide red) ;
clarifying agents (examples include but are not limited to bentonite) ;
emulsifying agents (examples include but are not limited to acacia, cetomacrogol, cetyl alcohol, glyceryl monostearate, lecithin , sorbitan monooleate, polyoxyethylene 50 monostearate) ;
encapsulating agents (examples include but are not limited to gelatin and cellulose acetate phthalate)
flavourants (examples include but are not limited to anise oil, cinnamon oil, cocoa, menthol, orange oil, peppermint oil and vanillin) ;
humectants (examples include but are not limited to glycerol, propylene glycol and sorbitol) ;
levigating agents (examples include but are not limited to mineral oil and glycerin) ;
oils (examples include but are not limited to arachis oil, mineral oil, olive oil, peanut oil, sesame oil and vegetable oil) ;
ointment bases (examples include but are not limited to lanolin, hydrophilic ointment, polyethylene glycol ointment, petrolatum, hydrophilic petrolatum, white ointment, yellow ointment, and rose water ointment) ;
penetration enhancers (transdermal delivery) (examples include but are not limited to monohydroxy or polyhydroxy alcohols, mono-or polyvalent alcohols, saturated or unsaturated fatty alcohols, saturated or unsaturated fatty esters, saturated or unsaturated dicarboxylic acids, essential oils, phosphatidyl derivatives, cephalin, terpenes, amides, ethers, ketones and ureas)
plasticizers (examples include but are not limited to diethyl phthalate and glycerol) ; solvents (examples include but are not limited to ethanol, corn oil, cottonseed oil, glycerol, isopropanol, mineral oil, oleic acid, peanut oil, purified water, water for injection, sterile water for injection and sterile water for irrigation) ;
stiffening agents (examples include but are not limited to cetyl alcohol, cetyl esters wax, microcrystalline wax, paraffin, stearyl alcohol, white wax and yellow wax) ;
suppository bases (examples include but are not limited to cocoa butter and polyethylene glycols (mixtures)) ;
surfactants (examples include but are not limited to benzalkonium chloride, nonoxynol 10, oxtoxynol 9, polysorbate 80, sodium lauryl sulfate and sorbitan mono-palmitate) ;
suspending agents (examples include but are not limited to agar, bentonite, carbomers, carboxymethylcellulose sodium, hydroxyethyl cellulose, hydroxypropyl cellulose, hydroxypropyl methylcellulose, kaolin, methylcellulose, tragacanth and veegum) ;
sweetening agents (examples include but are not limited to aspartame, dextrose, glycerol, mannitol, propylene glycol, saccharin sodium, sorbitol and sucrose) ;
tablet anti-adherents (examples include but are not limited to magnesium stearate and talc) ;
tablet binders (examples include but are not limited to acacia, alginic acid, carboxymethylcellulose sodium, compressible sugar, ethylcellulose, gelatin, liquid glucose, methylcellulose, non-crosslinked polyvinyl pyrrolidone, and pregelatinized starch) ;
tablet and capsule diluents (examples include but are not limited to dibasic calcium phosphate, kaolin, lactose, mannitol, microcrystalline cellulose, powdered cellulose, precipitated calcium carbonate, sodium carbonate, sodium phosphate, sorbitol and starch) ;
tablet coating agents (examples include but are not limited to liquid glucose, hydroxyethyl cellulose, hydroxypropyl cellulose, hydroxypropyl methylcellulose, methylcellulose, ethylcellulose, cellulose acetate phthalate and shellac) ;
tablet direct compression excipients (examples include but are not limited to dibasic calcium phosphate) ; tablet disintegrants (examples include but are not limited to alginic acid, carboxymethylcellulose calcium, microcrystalline cellulose, polacrillin potassium, cross- linked polyvinylpyrrolidone, sodium alginate, sodium starch glycollate and starch) ;
tablet glidants (examples include but are not limited to colloidal silica, corn starch and talc) ;
tablet lubricants (examples include but are not limited to calcium stearate, magnesium stearate, mineral oil, stearic acid and zinc stearate) ;
tablet/capsule opaquants (examples include but are not limited to titanium dioxide) ; tablet polishing agents (examples include but are not limited to carnuba wax and white wax) ;
thickening agents (examples include but are not limited to beeswax, cetyl alcohol and paraffin) ;
tonicity agents (examples include but are not limited to dextrose and sodium chloride) ; viscosity increasing agents (examples include but are not limited to alginic acid, bentonite, carbomers, carboxymethylcellulose sodium, methylcellulose, polyvinyl pyrrolidone, sodium alginate and tragacanth) ; and
wetting agents (examples include but are not limited to heptadecaethylene oxycetanol, lecithins, sorbitol monooleate, polyoxyethylene sorbitol monooleate, and polyoxyethylene stearate).
Pharmaceutical compositions according to the present invention can be illustrated as follows:
Sterile IV Solution: A 5 mg/mL solution of the desired compound of this invention can be made using sterile, injectable water, and the pH is adjusted if necessary. The solution is diluted for administration to 1 2 mg/mL with sterile 5% dextrose and is administered as an IV infusion over about 60 min.
Lyophilised powder for IV administration: A sterile preparation can be prepared with (i) 100 - 1000 mg of the desired compound of this invention as a lyophilised powder, (ii) 32- 327 mg/mL sodium citrate, and (iii) 300 - 3000 mg Dextran 40. The formulation is reconstituted with sterile, injectable saline or dextrose 5% to a concentration of 10 to 20 mg/mL, which is further diluted with saline or dextrose 5% to 0.2 - 0.4 mg/mL, and is administered either IV bolus or by IV infusion over 15 60 min.
Intramuscular suspension: The following solution or suspension can be prepared, for intramuscular injection:
50 mg/mL of the desired, water-insoluble compound of this invention
5 mg/mL sodium carboxymethylcellulose
4 mg/mL TWEEN 80
9 mg/mL sodium chloride
9 mg/mL benzyl alcohol
Hard Shell Capsules: A large number of unit capsules are prepared by filling standard two- piece hard galantine capsules each with 100 mg of powdered active ingredient, 150 mg of lactose, 50 mg of cellulose and 6 mg of magnesium stearate.
Soft Gelatin Capsules: A mixture of active ingredient in a digestible oil such as soybean oil, cottonseed oil or olive oil is prepared and injected by means of a positive displacement pump into molten gelatin to form soft gelatin capsules containing 100 mg of the active ingredient. The capsules are washed and dried. The active ingredient can be dissolved in a mixture of polyethylene glycol, glycerin and sorbitol to prepare a water miscible medicine mix.
Tablets: A large number of tablets are prepared by conventional procedures so that the dosage unit is 100 mg of active ingredient, 0.2 mg. of colloidal silicon dioxide, 5 mg of magnesium stearate, 275 mg of microcrystalline cellulose, 11 mg of starch, and 98.8 mg of lactose. Appropriate aqueous and non-aqueous coatings may be applied to increase palatability, improve elegance and stability or delay absorption.
Immediate Release Tablets/Capsules: These are solid oral dosage forms made by conventional and novel processes. These units are taken orally without water for immediate dissolution and delivery of the medication. The active ingredient is mixed in a liquid containing ingredient such as sugar, gelatin, pectin and sweeteners. These liquids are solidified into solid tablets or caplets by freeze drying and solid state extraction techniques. The drug compounds may be compressed with viscoelastic and thermoelastic sugars and polymers or effervescent components to produce porous matrices intended for immediate release, without the need of water.
Combination therapies
The term "combination" in the present invention is used as known to persons skilled in the art and may be present as a fixed combination, a non -fixed combination or kit-of-parts.
A "fixed combination" in the present invention is used as known to persons skilled in the art and is defined as a combination wherein the said first active ingredient and the said second active ingredient are present together in one unit dosage or in a single entity. One example of a "fixed combination" is a pharmaceutical composition wherein the said first active ingredient and the said second active ingredient are present in admixture for simultaneous administration, such as in a formulation. Another example of a "fixed combination" is a pharmaceutical combination wherein the said first active ingredient and the said second active ingredient are present in one unit without being in admixture.
A non -fixed combination or "kit-of-parts" in the present invention is used as known to persons skilled in the art and is defined as a combination wherein the said first active ingredient and the said second active ingredient are present in more than one unit. One example of a non-fixed combination or kit-of-parts is a combination wherein the said first active ingredient and the said second active ingredient are present separately. The components of the non-fixed combination or kit-of-parts may be administered separately, sequentially, simultaneously, concurrently or chronologically staggered.
The compounds of this invention can be administered as the sole pharmaceutical agent or in combination with one or more other pharmaceutical agents where the combination causes no unacceptable adverse effects. The present invention relates also to such combinations. For example, the compounds of this invention can be combined with known chemotherapeutic agents or anti-cancer agents, e.g. anti-hyper-proliferative or other indication agents, and the like, as well as with admixtures and combinations thereof. Other indication agents include, but are not limited to, anti-angiogenic agents, mitotic inhibitors, alkylating agents, anti-metabolites, DNA-intercalating antibiotics, growth factor inhibitors, cell cycle inhibitors, enzyme inhibitors, toposisomerase inhibitors, biological response modifiers, or anti-hormones.
The term "chemotherapeutic anti-cancer agents", includes but is not limited to
1311-chTNT, abarelix, abiraterone, aclarubicin, ado-trastuzumab emtansine, afatinib, aflibercept, aldesleukin, alectinib, alemtuzumab, alendronic acid, alitretinoin, altretamine, amifostine, aminoglutethimide, hexyl aminolevulinate, amrubicin, amsacrine, anastrozole, ancestim, anethole dithiolethione, anetumab ravtansine, angiotensin II, antithrombin III, aprepitant, arcitumomab, arglabin, arsenic trioxide, asparaginase, axitinib, azacitidine, basiliximab, belotecan, bendamustine, besilesomab, belinostat, bevacizumab, bexarotene, bicalutamide, bisantrene, bleomycin, blinatumomab, bortezomib, buserelin, bosutinib, brentuximab vedotin, busulfan, cabazitaxel, cabozantinib, calcitonine, calcium folinate, calcium levofolinate, capecitabine, capromab, carboplatin, carboquone, carfilzomib, carmofur, carmustine, catumaxomab, celecoxib, celmoleukin, ceritinib, cetuximab, chlorambucil, chlormadinone, chlormethine, cidofovir, cinacalcet, cisplatin, cladribine, clodronic acid, clofarabine, cobimetinib, copanlisib , crisantaspase, crizotinib, cyclophosphamide, cyproterone, cytarabine, dacarbazine, dactinomycin, daratumumab, darbepoetin alfa, dabrafenib, dasatinib, daunorubicin, decitabine, degarelix, denileukin diftitox, denosumab, depreotide, deslorelin, dianhydrogalactitol, dexrazoxane, dibrospidium chloride, dianhydrogalactitol, diclofenac, dinutuximab, docetaxel, dolasetron, doxifluridine, doxorubicin, doxorubicin + estrone, dronabinol, eculizumab, edrecolomab, elliptinium acetate, elotuzumab, eltrombopag, endostatin, enocitabine, enzalutamide, epirubicin, epitiostanol, epoetin alfa, epoetin beta, epoetin zeta, eptaplatin, eribulin, erlotinib, esomeprazole, estradiol, estramustine, ethinylestradiol, etoposide, everolimus, exemestane, fadrozole, fentanyl, filgrastim, fluoxymesterone, floxuridine, fludarabine, fluorouracil, flutamide, folinic acid, formestane, fosaprepitant, fotemustine, fulvestrant, gadobutrol, gadoteridol, gadoteric acid meglumine, gadoversetamide, gadoxetic acid, gallium nitrate, ganirelix, gefitinib, gemcitabine, gemtuzumab, Glucarpidase, glutoxim, GM-CSF, goserelin, granisetron, granulocyte colony stimulating factor, histamine dihydroc loride, histrelin, hydroxycarbamide, 1-125 seeds, lansoprazole, ibandronic acid, ibritumomab tiuxetan , ibrutinib, idarubicin , ifosfamide, imatinib, imiquimod, improsulfan, indisetron , incadronic acid, ingenol mebutate, interferon a If a, interferon beta, interferon gamma, iobitridol, iobenguane (1231 ) , iomeprol, ipilimumab, irinotecan , Itraconazole, ixabepilone, ixazomib, lanreotide, lansoprazole, lapatinib, lasocholine, lenalidomide, lenvatinib, lenograstim, lentinan, letrozole, leuprorelin, levamisole, levonorgestrel, levothyroxine sodium, lisuride, lobaplatin, lomustine, lonidamine, masoprocol, medroxyprogesterone, megestrol, melarsoprol, melphalan, mepitiostane, mercaptopurine, mesna, methadone, methotrexate, methoxsalen, methylaminolevulinate, methylprednisolone, methyltestosterone, metirosine, mifamurtide, miltefosine, miriplatin, mitobronitol, mitoguazone, mitolactol, mitomycin, mitotane, mitoxantrone, mogamulizumab, molgramostim, mopidamol, morphine hydrochloride, morphine sulfate, nabilone, nabiximols, nafarelin, naloxone + pentazocine, naltrexone, nartograstim, necitumumab, nedaplatin , nelarabine, neridronic acid, netupitant/palonosetron, nivolumabpentetreotide, nilotinib, nilutamide, nimorazole, nimotuzumab, nimustine, nintedanib, nitracrine, nivolumab, obinutuzumab, octreotide, ofatumumab, olaparib, omacetaxine mepesuccinate, omeprazole, ondansetron, oprelvekin , orgotein , orilotimod, osimertinib, oxaliplatin , oxycodone, oxymetholone, ozogamicine, p53 gene therapy, paclitaxel, palbociclib, palifermin, palladium-103 seed, palonosetron , pamidronic acid, panitumumab, panobinostat, pantoprazole, pazopanib, pegaspargase, PEG-epoetin beta (methoxy PEG-epoetin beta), pembrolizumab, pegfilgrastim, peginterferon alfa-2b, pemetrexed, pentazocine, pentostatin, peplomycin, Perflubutane, perfosfamide, Pertuzumab, picibanil, pilocarpine, pirarubicin, pixantrone, plerixafor, plicamycin, poliglusam, polyestradiol phosphate, polyvinylpyrrolidone + sodium hyaluronate, polysaccharide-K, pomalidomide, ponatinib, porfimer sodium, pralatrexate, prednimustine, prednisone, procarbazine, procodazole, propranolol, quinagolide, rabeprazole, racotumomab, radium-223 chloride, radotinib, raloxifene, raltitrexed, ramosetron, ramucirumab, ranimustine, rasburicase, razoxane, refametinib , regorafenib, risedronic acid, rhenium- 186 etidronate, rituximab, rolapitant, romidepsin, romiplostim, romurtide, roniciclib , samarium (1 53Sm) lexidronam, sargramostim, satumomab, secretin, siltuximab, sipuleucel-T, sizofiran, sobuzoxane, sodium glycididazole, sonidegib, sorafenib, stanozolol, streptozocin , sunitinib, talaporfin, talimogene laherparepvec, tamibarotene, tamoxifen, tapentadol, tasonermin, teceleukin, technetium (99mTc) nofetumomab merpentan, 99mTc-HYNlC-[Tyr3]-octreotide, tegafur, tegafur + gimeracil + oteracil, temoporfin , temozolomide, temsirolimus, teniposide, testosterone, tetrofosmin, thalidomide, thiotepa, thymalfasin, thyrotropin alfa, tioguanine, tocilizumab, topotecan, toremifene, tositumomab, trabectedin, trametinib, tramadol, trastuzumab, trastuzumab emtansine, treosulfan, tretinoin, trifluridine + tipiracil, trilostane, triptorelin, trametinib, trofosfamide, thrombopoietin, tryptophan, ubenimex, valatinib , valrubicin, vandetanib, vapreotide, vemurafenib, vinblastine, vincristine, vindesine, vinflunine, vinorelbine, vismodegib, vorinostat, vorozole, yttrium-90 glass microspheres, zinostatin, zinostatin stimalamer, zoledronic acid, zorubicin.
The compounds of the invention may also be administered in combination with protein therapeutics. Such protein therapeutics suitable for the treatment of cancer or other angiogenic disorders and for use with the compositions of the invention include, but are not limited to, an interferon (e.g. , interferon .alpha. , .beta. , or .gamma. ) supraagonistic monoclonal antibodies, Tuebingen, TRP-1 protein vaccine, Colostrinin, anti-FAP antibody, YH-16, gemtuzumab, infliximab, cetuximab, trastuzumab, denileukin diftitox, rituximab, thymosin alpha 1 , bevacizumab, mecasermin, mecasermin rinfabate, oprelvekin, natalizumab, rhMBL, MFE-CP1 + ZD-2767-P, ABT-828, ErbB2-specific immunotoxin, SGN-35, MT-103, rinfabate, AS-1402, B43-genistein, L-19 based radioimmunotherapeutics, AC-9301 , NY-ESO-1 vaccine, IMC-1 C1 1 , CT-322, rhCCI O, r(m)CRP, MORAb-009, aviscumine, MDX- 1 307, Her-2 vaccine, APC-8024, NGR-hTNF, rhH1 .3, IGN-31 1 , Endostatin , volociximab, PRO- 1762, lexatumumab, SGN-40, pertuzumab, EMD-273063, L19-IL-2 fusion protein, PRX-321 , CNTO-328, MDX-214, tigapotide, CAT- 3888, labetuzumab, alpha-particle-emitting radioisotope-llinked lintuzumab, EM-1421 , HyperAcute vaccine, tucotuzumab celmoleukin, galiximab, HPV-16-E7, Javelin - prostate cancer, Javelin - melanoma, NY-ESO-1 vaccine, EGF vaccine, CYT-004-MelQbG10, WT1 peptide, oregovomab, ofatumumab, zalutumumab, cintredekin besudotox, WX-G250, Albuferon , aflibercept, denosumab, vaccine, CTP-37, efungumab, or 131 l-chTNT-1 /B. Monoclonal antibodies useful as the protein therapeutic include, but are not limited to, muromonab-CD3, abciximab, edrecolomab, daclizumab, gentuzumab, alemtuzumab, ibritumomab, cetuximab, bevicizumab, efalizumab, adalimumab, omalizumab, muromomab-CD3, rituximab, daclizumab, trastuzumab, palivizumab, basiliximab, and infliximab.
A compound of general formula (I ) as defined herein can optionally be administered in combination with one or more of the following: ARRY-162, ARRY-300, ARRY-704, AS- 703026, AZD-5363, AZD-8055, BEZ-235, BGT-226, BKM-120, BYL-719, CAL-101 , CC-223, CH- 5132799, deforolimus, E-6201 , enzastaurin , GDC-0032, GDC-0068, GDC-0623, GDC-0941 , GDC-0973, GDC-0980, GSK-21 10183, GSK-2126458, GSK-2141795, MK-2206, novolimus, OSI- 027, perifosine, PF-04691502, PF-05212384, PX-866, rapamycin, RG-7167, RO-4987655, RO- 5126766, selumetinib, TAK-733, trametinib, triciribine, UCN-01 , WX-554, XL-147, XL-765, zotarolimus, ZSTK-474.
Generally, the use of cytotoxic and/or cytostatic agents in combination with a compound or composition of the present invention will serve to:
(1 ) yield better efficacy in reducing the growth of a tumor or even eliminate the tumor as compared to administration of either agent alone,
(2) provide for the administration of lesser amounts of the administered chemo- therapeutic agents,
(3) provide for a chemotherapeutic treatment that is well tolerated in the patient with fewer deleterious pharmacological complications than observed with single agent chemotherapies and certain other combined therapies,
(4) provide for treating a broader spectrum of different cancer types in mammals, especially humans,
(5) provide for a higher response rate among treated patients,
(6) provide for a longer survival time among treated patients compared to standard chemotherapy treatments,
(7) provide a longer time for tumor progression , and/or
(8) yield efficacy and tolerability results at least as good as those of the agents used alone, compared to known instances where other cancer agent combinations produce antagonistic effects. Methods of Sensitizing Cells to Radiation
In a distinct embodiment of the present invention, a compound of the present invention may be used to sensitize a cell to radiation. That is, treatment of a cell with a compound of the present invention prior to radiation treatment of the cell renders the cell more susceptible to DNA damage and cell death than the cell would be in the absence of any treatment with a compound of the invention. In one aspect, the cell is treated with at least one compound of the invention.
Thus, the present invention also provides a method of killing a cell, wherein a cell is administered one or more compounds of the invention in combination with conventional radiation therapy.
The present invention also provides a method of rendering a cell more susceptible to cell death, wherein the cell is treated with one or more compounds of the invention prior to the treatment of the cell to cause or induce cell death. In one aspect, after the cell is treated with one or more compounds of the invention, the cell is treated with at least one compound, or at least one method, or a combination thereof, in order to cause DNA damage for the purpose of inhibiting the function of the normal cell or killing the cell.
In one embodiment, a cell is killed by treating the cell with at least one DNA damaging agent. That is, after treating a cell with one or more compounds of the invention to sensitize the cell to cell death, the cell is treated with at least one DNA damaging agent to kill the cell. DNA damaging agents useful in the present invention include, but are not limited to, chemotherapeutic agents (e.g. , cisplatinum), ionizing radiation (X-rays, ultraviolet radiation), carcinogenic agents, and mutagenic agents.
In another embodiment, a cell is killed by treating the cell with at least one method to cause or induce DNA damage. Such methods include, but are not limited to, activation of a cell signalling pathway that results in DNA damage when the pathway is activated, inhibiting of a cell signalling pathway that results in DNA damage when the pathway is inhibited, and inducing a biochemical change in a cell, wherein the change results in DNA damage. By way of a non-limiting example, a DNA repair pathway in a cell can be inhibited, thereby preventing the repair of DNA damage and resulting in an abnormal accumulation of DNA damage in a cell.
In one aspect of the invention, a compound of the invention is administered to a cell prior to the radiation or other induction of DNA damage in the cell. In another aspect of the invention, a compound of the invention is administered to a cell concomitantly with the radiation or other induction of DNA damage in the cell. In yet another aspect of the invention, a compound of the invention is administered to a cell immediately after radiation or other induction of DNA damage in the cell has begun.
In another aspect, the cell is in vitro. In another embodiment, the cell is in vivo.
As mentioned supra, the compounds of the present invention have surprisingly been found to effectively inhibit tankyrases and may therefore be used for the treatment or prophylaxis of diseases of uncontrolled cell growth, proliferation and/or survival, inappropriate cellular immune responses, or inappropriate cellular inflammatory responses, or diseases which are accompanied with uncontrolled cell growth , proliferation and/or survival, inappropriate cellular immune responses, or inappropriate cellular inflammatory responses, particularly in which the uncontrolled cell growth, proliferation and/or survival, inappropriate cellular immune responses, or inappropriate cellular inflammatory responses are affected by inhibition of tankyrases, such as, for example, haematological tumours, solid tumours, and/or metastases thereof, e.g. leukaemias and myelodysplastic syndrome, malignant lymphomas, head and neck tumours including brain tumours and brain metastases, tumours of the thorax including non-small cell and small cell lung tumours, gastrointestinal tumours, endocrine tumours, mammary and other gynaecological tumours, urological tumours including renal, bladder and prostate tumours, skin tumours, and sarcomas, and/or metastases thereof.
In accordance with another aspect therefore, the present invention covers a compound of general formula (I ), or a stereoisomer, a tautomer, an N- oxide, a hydrate, a solvate, or a salt thereof, particularly a pharmaceutically acceptable salt thereof, or a mixture of same, as described and defined herein , for use in the treatment or prophylaxis of a disease, as mentioned supra. Another particular aspect of the present invention is therefore the use of a compound of general formula (I), described supra, or a stereoisomer, a tautomer, an N-oxide, a hydrate, a solvate, or a salt thereof, particularly a pharmaceutically acceptable salt thereof, or a mixture of same, for the prophylaxis or treatment of a disease.
Another particular aspect of the present invention is therefore the use of a compound of general formula (I) described supra or a stereoisomer, a tautomer, an N-oxide, a hydrate, a solvate, or a salt thereof, particularly a pharmaceutically acceptable salt thereof, or a mixture of same, for manufacturing a pharmaceutical composition for the treatment or prophylaxis of a disease.
Another aspect of the present invention is the use of a compound of formula (I ) or a stereoisomer, a tautomer, an N-oxide, a hydrate, a solvate, or a salt thereof, particularly a pharmaceutically acceptable salt thereof, or a mixture of same, as described herein, in the manufacture of a medicament for the treatment or prophylaxis of a disease.
The diseases referred to in the four preceding paragraphs are diseases of uncontrolled cell growth, proliferation and/or survival, inappropriate cellular immune responses, or inappropriate cellular inflammatory responses, or diseases which are accompanied with uncontrolled cell growth, proliferation and/or survival, inappropriate cellular immune responses, or inappropriate cellular inflammatory responses, such as, for example, haematological tumours, solid tumours, and/or metastases thereof, e.g. leukaemias and myelodysplastic syndrome, malignant lymphomas, head and neck tumours including brain tumours and brain metastases, tumours of the thorax including non-small cell and small cell lung tumours, gastrointestinal tumours, endocrine tumours, mammary and other gynaecological tumours, urological tumours including renal, bladder and prostate tumours, skin tumours, and sarcomas, and/or metastases thereof.
The term "inappropriate" within the context of the present invention, in particular in the context of "inappropriate cellular immune responses, or inappropriate cellular inflammatory responses", as used herein, is to be understood as meaning a response which is less than, or greater than normal, and which is associated with, responsible for, or results in, the pathology of said diseases.
Preferably, the use is in the treatment or prophylaxis of diseases, wherein the diseases are haemotological tumours, solid tumours and/or metastases thereof.
Diseases further included in the context of the present invention are metabolic diseases (e.g. diabetes and obesity), fibrosis (e.g. lung fibrogenesis) and viral infection.
Method of treating hyper-proliferative disorders
The present invention relates to a method for using the compounds of the present invention and compositions thereof, to treat mammalian hyper-proliferative disorders. Compounds can be utilized to inhibit, block, reduce, decrease, etc. , cell proliferation and/or cell division, and/or produce apoptosis. This method comprises administering to a mammal in need thereof, including a human, an amount of a compound of this invention, or a pharmaceutically acceptable salt, isomer, polymorph, metabolite, hydrate, solvate or ester thereof ; etc. which is effective to treat the disorder. Hyperproliferative disorders include but are not limited, e.g. , psoriasis, keloids, and other hyperplasias affecting the skin, benign prostate hyperplasia (BPH), solid tumours, such as cancers of the breast, respiratory tract, brain, reproductive organs, digestive tract, urinary tract, eye, liver, skin, head and neck, thyroid, parathyroid and their distant metastases. Those disorders also include lymphomas, sarcomas, and leukaemias.
Examples of breast cancer include, but are not limited to invasive ductal carcinoma, invasive lobular carcinoma, ductal carcinoma in situ, and lobular carcinoma in situ.
Examples of cancers of the respiratory tract include, but are not limited to small-cell and non-small-cell lung carcinoma, as well as bronchial adenoma and pleuropulmonary blastoma. Examples of brain cancers include, but are not limited to brain stem and hypophtalmic glioma, cerebellar and cerebral astrocytoma, medulloblastoma, ependymoma, as well as neuroectodermal and pineal tumour.
Tumours of the male reproductive organs include, but are not limited to prostate and testicular cancer. Tumours of the female reproductive organs include, but are not limited to endometrial, cervical, ovarian, vaginal, and vulvar cancer, as well as sarcoma of the uterus.
Tumours of the digestive tract include, but are not limited to anal, colon, colorectal, oesophageal, gallbladder, gastric, pancreatic, rectal, small-intestine, and salivary gland cancers.
Tumours of the urinary tract include, but are not limited to bladder, penile, kidney, renal pelvis, ureter, urethral and human papillary renal cancers.
Eye cancers include, but are not limited to intraocular melanoma and retinoblastoma.
Examples of liver cancers include, but are not limited to hepatocellular carcinoma (liver cell carcinomas with or without fibrolamellar variant), cholangiocarcinoma (intrahepatic bile duct carcinoma), and mixed hepatocellular cholangiocarcinoma.
Skin cancers include, but are not limited to squamous cell carcinoma, Kaposi's sarcoma, malignant melanoma, Merkel cell skin cancer, and non-melanoma skin cancer.
Head-and-neck cancers include, but are not limited to laryngeal, hypopharyngeal, nasopharyngeal, oropharyngeal cancer, lip and oral cavity cancer and squamous cell. Lymphomas include, but are not limited to AIDS-related lymphoma, non-Hodgkin's lymphoma, cutaneous T-cell lymphoma, Burkitt lymphoma, Hodgkin's disease, and lymphoma of the central nervous system.
Sarcomas include, but are not limited to sarcoma of the soft tissue, osteosarcoma, malignant fibrous histiocytoma, lymphosarcoma, and rhabdomyosarcoma.
Leukemias include, but are not limited to acute myeloid leukemia, acute lymphoblastic leukemia, chronic lymphocytic leukemia, chronic myelogenous leukemia, and hairy cell leukemia. These disorders have been well characterized in humans, but also exist with a similar etiology in other mammals, and can be treated by administering pharmaceutical compositions of the present invention.
The term "treating" or "treatment" as stated throughout this document is used conventionally, e.g. , the management or care of a subject for the purpose of combating, alleviating, reducing, relieving, improving the condition of, etc., of a disease or disorder, such as a carcinoma.
Methods of treating angiogenic disorders
The present invention also provides methods of treating disorders and diseases associated with excessive and/or abnormal angiogenesis.
Inappropriate and ectopic expression of angiogenesis can be deleterious to an organism. A number of pathological conditions are associated with the growth of extraneous blood vessels. These include, e.g. , diabetic retinopathy, ischemic retinal-vein occlusion, and retinopathy of prematurity [Aiello et al. New Engl. J. Med. 1994, 331 , 1480 ; Peer et al. Lab. Invest. 1995, 72, 638] , age-related macular degeneration [AMD ; see, Lopez et al. Invest. Opththalmol. Vis. Sci. 1996, 37, 855], neovascular glaucoma, psoriasis, retrolental fibroplasias, angiofibroma, inflammation, rheumatoid arthritis (RA), restenosis, in-stent restenosis, vascular graft restenosis, etc. In addition, the increased blood supply associated with cancerous and neoplastic tissue, encourages growth, leading to rapid tumour enlargement and metastasis. Moreover, the growth of new blood and lymph vessels in a tumour provides an escape route for renegade cells, encouraging metastasis and the consequence spread of the cancer. Thus, compounds of the present invention can be utilized to treat and/or prevent any of the aforementioned angiogenesis disorders, e.g. , by inhibiting and/or reducing blood vessel formation ; by inhibiting, blocking, reducing, decreasing, etc. endothelial cell proliferation or other types involved in angiogenesis, as well as causing cell death or apoptosis of such cell types.
Dose and administration Based upon standard laboratory techniques known to evaluate compounds useful for the treatment of hyper- proliferative disorders and angiogenic disorders, by standard toxicity tests and by standard pharmacological assays for the determination of treatment of the conditions identified above in mammals, and by comparison of these results with the results of known medicaments that are used to treat these conditions, the effective dosage of the compounds of this invention can readily be determined for treatment of each desired indication. The amount of the active ingredient to be administered in the treatment of one of these conditions can vary widely according to such considerations as the particular compound and dosage unit employed, the mode of administration, the period of treatment, the age and sex of the patient treated, and the nature and extent of the condition treated.
The total amount of the active ingredient to be administered will generally range from about 0.001 mg/kg to about 200 mg/kg body weight per day, and preferably from about 0.01 mg/kg to about 20 mg/kg body weight per day. Clinically useful dosing schedules will range from one to three times a day dosing to once every four weeks dosing. In addition, "drug holidays" in which a patient is not dosed with a drug for a certain period of time, may be beneficial to the overall balance between pharmacological effect and tolerability. A unit dosage may contain from about 0.5 mg to about 1500 mg of active ingredient, and can be administered one or more times per day or less than once a day. The average daily dosage for administration by injection, including intravenous, intramuscular, subcutaneous and parenteral injections, and use of infusion techniques will preferably be from 0.01 to 200 mg/kg of total body weight. The average daily rectal dosage regimen will preferably be from 0.01 to 200 mg/kg of total body weight. The average daily vaginal dosage regimen will preferably be from 0.01 to 200 mg/kg of total body weight. The average daily topical dosage regimen will preferably be from 0.1 to 200 mg administered between one to four times daily. The transdermal concentration will preferably be that required to maintain a daily dose of from 0.01 to 200 mg/kg. The average daily inhalation dosage regimen will preferably be from 0.01 to 100 mg/kg of total body weight.
Of course the specific initial and continuing dosage regimen for each patient will vary according to the nature and severity of the condition as determined by the attending diagnostician, the activity of the specific compound employed, the age and general condition of the patient, time of administration, route of administration, rate of excretion of the drug, drug combinations, and the like. The desired mode of treatment and number of doses of a compound of the present invention or a pharmaceutically acceptable salt or ester or composition thereof can be ascertained by those skilled in the art using conventional treatment tests.
Preferably, the diseases of said method are haematological tumours, solid tumour and/or metastases thereof.
The compounds of the present invention can be used in particular in therapy and prevention, i.e. prophylaxis, of tumour growth and metastases, especially in solid tumours of all indications and stages with or without pre-treatment of the tumour growth.
Methods of testing for a particular pharmacological or pharmaceutical property are well known to persons skilled in the art.
The example testing experiments described herein serve to illustrate the present invention and the invention is not limited to the examples given.
Biological assays:
Examples were tested in selected biological assays one or more times. When tested more than once, data are reported as either average values or as median values, wherein
• the average value, also referred to as the arithmetic mean value, represents the sum of the values obtained divided by the number of times tested, and
• the median value represents the middle number of the group of values when ranked in ascending or descending order. If the number of values in the data set is odd, the median is the middle value. If the number of values in the data set is even, the median is the arithmetic mean of the two middle values. Examples were synthesized one or more times. When synthesized more than once, data from biological assays represent average values or median values calculated utilizing data sets obtained from testing of one or more synthetic batch.
6 Biochemical assays
6.1 TNKS1 Assays
TNKS1 Assay A
The potency of the compounds according to the invention was assessed by applying an in vitro inhibition assay. The TNKS1 catalyzed NAD'-dependent ribosylation of a suitable protein substrate was detected using a commercially available biotin/streptavidin binding based assay format [TNKS1 Histone Ribosylation Assay Kit (Biotin-labeled NAD+), Catalog #80579; BPS Bioscience, San Diego, USA]. Here, the incorporation of a biotin-labeled NAD+ during the TNKS1 catalyzed ribosylation reaction was detected with a streptavidin-HRP coupled chemi-luminescent readout. The intensity of the readout signal is proportional to the incorporated NAD*. Inhibition of TNKS1 leads to a decreased incorporation of NAD* and consequently to a lower readout signal intensity. The concentration of a test compound which inhibits the enzyme activity by 50% (corresponds to half of the normed readout signal intensity) is reported as IC¾o.
Protocol
The assay was conducted in a 384 well MTP format according to the manufacturer's protocol [http: //www.bpsbioscience.com/poly-adp-ribose-polymerase/assay-kit/tnks1 - histone-ribosylation-assay-kit-biotin-labeled-nad-80579 referencing: Brown, J. A. , Marala, R.B. J. Pharmacol. Toxicol. Methods 2002 47:137] and using a BMG Pherastar MTP reader [BMG-Labtech, Of fen burg, Germany].
TNKS1 Assay B
The potency of selected compounds according to the invention was assessed applying a modified in vitro inhibition assay. Here, the TNKS1 catalyzed NAD+-dependent ribosylation of the enzyme itself (auto-parsylation) was detected using [!H]-NAD* as substrate and applying the scintillation proximity assay (SPA) method to detect tritium-labeled, parsylated TNKS1 . The intensity of the readout signal is proportional to the incorporated [3H]-NAD\ Inhibition of TNKS1 leads to a decreased incorporation of [3H]-NAD+ and consequently to a lower readout signal intensity. The concentration of a test compound which inhibits the enzyme activity by 50% (corresponds to half of the normed readout signal intensity) is reported as IC¾o-
Protocol Auto-Parsylation Assay
The assay was conducted in a 96 well MTP format with the identical TNKS1 enzyme sample and NAD' sample as in the histone ribosylation assay with the following modifications: TNKS1 enzyme sample was diluted with a modified assay buffer (50 mM MES pH 7.0, 1 mM DTT, 0.01 % Triton X-100) to a final concentration of 6 nM TNKS1 and 10x NAD' solution was diluted with the modified assay buffer (s. above) to a final 0.445x NAD* solution doped with 100 Bq/μΙ [3H]-NAD* [Catalog #NET443H050UC, Perkin Elmer, Waltham , Massachusetts, USA ] . Substrate solution ( 10 μΐ) was incubated with different test compound concentrations (2.5 ul in 10 % DMSO in modified assay buffer) or control (2.5 ul 10 % DMSO in modified assay buffer only) and enzyme (10 μΐ) over night at room temperature. Incorporated tritium was measured after addition of 50 μΐ SPA beads (1 mg/ml) [Catalog #RPNQ0095 20 mg/ml, Perkin Elmer, Waltham, Massachusetts, USA; diluted 1 : 10 with Dulbecco's phosphate buffered saline, PBS Catalog #08537, Sigma- Aldrich, Steinheim, Germany] and detection of the photon emission with a beta count plate reader [Wallac MicroBeta®, Perkin Elmer, Waltham , Massachusetts, USA].
6.2 TNKS2 Assays
TNKS2 Assay A
The potency of the compounds according to the invention was assessed applying an in vitro inhibition assay. The TNKS2 catalyzed NAD'-dependent ribosylation of a suitable protein substrate was detected using a commercially available biotin/streptavidin binding based assay format [TNKS2 Histone Ribosylation Assay Kit (Biotin-labeled NAD' ) , Catalog #80572; BPS Bioscience, San Diego, USA] . Here, the incorporation of a biotin-labeled NAD' during the TNKS2 catalyzed ribosylation reaction was detected with a streptavidin-HRP coupled chemi-luminescent readout. The intensity of the readout signal is proportional to the incorporated NAD'. Inhibition of TNKS2 leads to a decreased incorporation of NAD' and consequently to a lower readout signal intensity. The concentration of a test compound which inhibits the enzyme activity by 50% (corresponds to half of the normed readout signal intensity) is reported as ICw.
Protocol
The assay was conducted in a 384 well MTP format according to the manufacturer's protocol [http: //www.bpsbioscience.com/poly-adp-ribose-polymerase/assay-kit/tnks2- histone-ribosylation-assay-kit-biotin-labeled-nad-80572 referencing: Brown, J. A. , Marala, R.B. J. Pharmacol. Toxicol. Methods 2002 47: 137]. and using a BMG Pherastar MTP reader [BMG-Labtech, Off en burg, Germany].
TNKS2 Assay B
The potency of selected compounds according to the invention was assessed applying a modified in vitro inhibition assay. Here, the TNKS2 catalyzed NAD'-dependent ribosylation of the enzyme itself (auto-parsylation) was detected using [3H]-NAD' as substrate and applying the scintillation proximity assay (SPA) method to detect tritium-labeled, parsylated TNKS2. The intensity of the readout signal is proportional to the incorporated [ H]-NAD\ Inhibition of TNKS2 leads to a decreased incorporation of [3H]-NAD* and consequently to a lower readout signal intensity. The concentration of a test compound which inhibits the enzyme activity by 50% (corresponds to half of the normed readout signal intensity) is reported as IC¾o.
Protocol Auto-Parsylation Assay
The assay was conducted in a 96 well MTP format with the identical TNKS2 enzyme sample and NAD' sample as in the histone ribosylation assay with the following modifications: TNKS2 enzyme sample was diluted with a modified assay buffer (50 mM MES pH 7.0, 1 mM DTT, 0.01 % Triton X-100) to a final concentration of 6 nM TNKS2 and 10x NAD* solution was diluted with the modified assay buffer (s. above) to a final 0.445x NAD' solution doped with 100 Bq/μΙ [3H]-NAD* [Catalog #NET443H050UC, Perkin Elmer, Waltham , Massachusetts, USA]. Substrate solution (10 μΐ) was incubated with different test compound concentrations (2.5 μΐ in 10 % DMSO in modified assay buffer) or control (2.5 μΐ 10 % DMSO in modified assay buffer only) and enzyme (10 μΐ) over night at room temperature. Incorporated tritium was measured after addition of 50 ul SPA beads (1 mg/ml) [Catalog #RPNQ0095 20 mg/ml, Perkin Elmer, Waltham, Massachusetts, USA; diluted 1 :10 with Dulbecco's phosphate buffered saline, PBS Catalog #D8537, Sigma- Aldrich, Steinheim, Germany] and detection of the photon emission with a beta count plate reader [Wallac MicroBeta®, Perkin Elmer, Waltham , Massachusetts, USA].
6.3 PARP1 Assay
The potency of the compounds according to the invention was assessed using a commercially available biotin/streptavidin binding assay kits from BPS Bioscience, San Diego, USA (Catalog #80551 ). The incorporation of a biotin-labeled NAD' during the PARP1 catalyzed ribosylation of a suitable protein substrate was detected using with a streptavidin-HRP coupled chemi-luminescent readout. The intensity of the readout signal is proportional to the incorporated NAD'. Inhibition of PARP1 leads to a decreased incorporation of NAD' and consequently to a lower readout signal intensity. The concentration of a test compound that inhibits the enzyme activity by 50% (corresponds to half of the normed readout signal intensity) is reported as IC¾o.
Protocol
The assay was conducted in a 96 well MTP format according to the manufacturer's protocol (Catalog No. 80551 ) and using a BMG Pherastar MTP reader [BMG-Labtech, Offenburg, Germany].
6.4 PARP2 Assay
The potency of the compounds according to the invention was assessed using a commercially available biotin/streptavidin binding assay kits from BPS Bioscience, San Diego, USA (Catalog #80551 ). The incorporation of a biotin-labeled NAD' during the PARP2 catalyzed ribosylation of a suitable protein substrate was detected using with a streptavidin-HRP coupled chemi-luminescent readout. The intensity of the readout signal is proportional to the incorporated NAD*. Inhibition of PARP2 leads to a decreased incorporation of NAD* and consequently to a lower readout signal intensity. The concentration of a test compound that inhibits the enzyme activity by 50% (corresponds to half of the normed readout signal intensity) is reported as ICw.
Protocol
The assay was conducted in a 96 well MTP format according to the manufacturer's protocol (Catalog No. 80552) and using a BMG Pherastar MTP reader [BMG-Labtech, Offenburg, Germany].
7 Cellular Assays
7.1 Measurement of the inhibitory activity of selected compounds on the Wildtype Wnt signaling cascade: HEK293 TOP/FOP Assay
In order to discover and characterize small molecules which inhibit the wildtype Wnt pathway, a cellular reporter assay was employed. The corresponding assay cell was generated by transfection of the mammalian cell line HEK293 (ATCC, #C L-1573) with the Super TopFlash vector (Morin, Science 275, 1997, 1787-1790; Molenaar et al. , Cell 86 (3), 1996, 391 -399). The HEK293 cell line is cultivated at 37oC and 5% C02 in DMEM (Life Technologies, #41965-039), supplemented with 2 mM glutamine, 20 mM HEPES, 1 .4 mM pyruvate, 0.15% Na-bicarbonate and 10% foetal bovine serum (GIBCO, #10270). Stable transfectants were generated by selection with 300 pg/ml Hygromycin.
In a parallel approach, HEK293 cells were cotransfected with the FOP control vector and pcDNA3. The FOP vector is identical to the TOP construct, but it contains instead of functional TCF elements a randomized, non-functional sequence. For this transfection a stable transfected cell line was generated as well, based on selection with Geneticin (1 mg/ml).
In preparation of the assay, the two cell lines were plated 24 h before beginning the test at 10000 cells per well in a 384 micro titre plate (MTP) in 30 μΐ growth medium. Before compound testing a dose response curve for the Wnt dependent luciferase expression was recorded by stimulating the assay cell line with human recombinant Wnt-3a (R&D, #5036- WN-010) at different concentrations for 16 h at 37 C and 5% CO? followed by subsequent luciferase measurement, to determine the Wnt-3a ECso for the HEK293 TOP cell line on the day of testing. The recombinant human Wnt-3a was thereby applied between 2500 and 5 ng/ml in two-fold dilution steps.
Selective inhibitory activity for small molecules on the wildtype Wnt pathway was determined after parallel incubation of both (TOP and FOP) HEK293 reporter cell lines with a compound dilution series from 50 μΜ to 15 nM in steps of 3.16-fold dilutions in CAFTY buffer (130 mM sodium chloride, 5 mM potassium chloride, 20 mM HEPES, 1 mM magnesium chloride, 5 mM sodium bicarbonate, pH 7.4) containing 2 mM Ca2' and 0.01 % BSA.
The compounds were thereby serially prediluted in 100% DMSO and thereafter 50 fold into the CAFTY compound dilution buffer (described above). From this dilution 10 μΐ were added in combination with the EC50 concentration of recombinant Wnt3a to the cells in 30 μΐ growth medium and incubated for 16 hours at 37 C and 5% CO?. Thereafter luciferase assay buffer (1 : 1 mixture of luciferase substrate buffer (20 mM Tricine, 2.67 mM magnesium sulfate, 0.1 mM EDTA, 4 mM DTT, 270 μΜ Coenzyme A, 470 μΜ Luciferin, 530 μΜ ATP, ph adjusted to pH 7.8 with a sufficient volume of 5M sodium hydroxide) and Triton buffer (30 ml Triton X-100, 1 15 ml glycerol, 308 mg Dithiothreitol, 4.45 g disodium hydrogen phosphate di hydrate, 3.03 g Tris . HCl, ad 11 H2O, pH 7.8) was added in an equal volume to determine luciferase expression as a measure of Wnt signaling activity in a luminometer. The Wnt inhibitory activity was determined as ICso of resulting dose response curves.
7.2 Axin Stabilization Assay
The in vitro and in vivo effect of Tankyrase inhibition on the stabilization of cellular Axin was assessed using Peggy Simple Western assay with size- based separation and immunodetection of Axin2. SW403 cells (but not limited to) were seeded at 50000 cells per well in 96-well plates. After overnight incubation, cells were treated with testing compounds and vehicle at 37 C for 24 hours. Thereafter, cells were washed with PBS and then lysed in 1 5 μΐ of lysis buffer (M-PER buffer, Thermo Scientific # 78505) with complete proteinase and phosphatase inhibitors (Roche, #1 1836153001 and # 04906837001 ). The lysates were centrifuged and the supernatants were harvested for analysis. Tumor xenografts from in vivo studies were homogenized in a 2 ml tubes of Precellys®24 (Bertin Technologies, Villeurbanne, France) following with centrafugation to obtain tumor lysates. Capillary electrophoresis-based Simple Western assays were carried out with Peggy Sue™ NanoPro 1000 (ProteinSimple, California, USA). The protein amounts of Axin2 (but not limited to) were detected using anti-Axin2 antibody (Cell Signaling, Catalog #2151 ), quantified using the area under the curve, and normalized against GAPDH (anti-GAPDH, Zytomed Systems GmbH, Catalog #RGM2-6C5, Berlin, Germany).
7.3 Real-time RT-PCR for quantitative analysis of gene transcription
Real-time RT-PCR using a TaqMan fluorogenic detection system is a simple and sensitive assay for quantitative analysis of gene transcription. The TaqMan fluorogenic detection system can monitor PCR in real time using a dual-labeled fluorogenic hybridization probe (TaqMan probe) and a polymerase with 5 -3' exonuclease activity.
Cells from different cancer cell lines (as HCT1 16, but not limited to) were grown at 500- 1000 cells/well in 384 well cell culture plates. For cell lysis the cell medium was carefully removed. The cells were washed carefully once with 50 μΐ/well PBS. Then 9.75 μΐ/well cell lysis buffer (50 mM Tris HCl pH 8,0, 40 mM sodium chloride, 1 ,5 mM magnesium chloride, 0,5 % IGEPAL CA 630, 50mM Guanidium thiocyanate) and 0.25 μΐ RNASeOUT (40 U/μΙ, Invitrogen, 10777-019)) per well were added. The plate was incubated for 5 min at room temperature. Then 30 μΐ DNAse/RNAse-free water per well was added and the lysates mixed. Isolation of total RNA from tumor tissues was conducted using InviTrap® Spin Tissue RNA Mini Kit (#1062100300, STRATEC MOLECULAR).
For the One-Step RT-PCR 2 μΐ lysate (each) was transferred to a 384 well PCR plate. The PCR reaction was composed by 5 μΐ 2x One Step RT qPCR MasterMix Plus, 0.05 μΐ Euroscript RT/RNAse Inhibitor (50 U/μΙ, 20 U/μΙ) and 200 nM of the appropriate Primer/ Hydrolysis Probe mix (primer sequences of forward, reverse and probe are given below for each analysed gene of interest or house keeping gene). 10 μΐ water were added per well. The plate was sealed with an adhesive optical film. The RT-PCR protocol was setup with 30 min 48 C, then 10 min 955 C followed by 50 cycles of 15 sec 95 C/1 min 60 C and a cooling step of 40° C for 30 sec using a Lightcycler LS440 from Roche. Relative expression was calculated using CP values from the gene of interest (e.g. AXIN2, but not limited to) and a house keeping gene (L32). Used primers
L32 (forward primer: AAGTTCATCCGGCACCAGTC (SEQ ID NO. 1 ); reverse primer: TGGCCCTTGAATCTTCTACGA (SEQ ID NO. 2); probe: CCCAGAGGCATTGACAACAGGG (SEQ ID NO. 3))
AXIN2 (forward primer: AGGCCAGTGAGTTGGTTGTC (SEQ ID NO. 4); reverse primer: AGCTCTGAGCCTTCAGCATC (SEQ ID NO. 5); probe: TCTGTGGGGAAGAAATTCCATACCG (SEQ ID NO. 6))
8 In vivo Efficacy in xenograft models
Subcutaneous xenograft models in immunocompromised mice were used to evaluate in vivo anti-tumor efficacy of the compounds.
8.1 Maximum tolerable dose (MTD) studies
Prior to efficacy studies, the maximal tolerable dose (MTD) was determined by the following protocol: Female nude mice (NMRI (nu/nu) , Taconic M&B A/S) received a defined oral dose of the test compound daily or bi-daily for 7 consecutive days followed by a 7 day observation period without dosing. Individual body weight and lethality were monitored daily.
The MTD is defined as the maximal applicable dose with a) no animal losing more than 10% body weight compared to initial body weight and b) no lethality during treatment phase.
8.2 In vivo efficacy studies
To measure anti-tumor efficacy, the test compounds were analysed in xenograft models on mice. Test compounds were dosed orally at their respective MTD as well as at sub-MTD dosages. In case the MTD could not be determined in previous MTD studies, the compounds were dosed at a maximum daily dose of 200 mg/kg (applied either in one single dose or split in 2 doses at 100 mg/kg). Compounds were primarily analyzed in an ovarian teratocarcinoma model (PA-1 ) and in various colorectal cancer models on female immunocompromised mice.
For this purpose, 1 -5x106 tumor cells (suspended in 0.1 ml of 50% cell culture medium/50% Matrigel) were subcutanously injected into the flank of each animal. Animals were randomized into treatment groups when tumors had reached an average area of 20-30 mm2 and treatment was started. Body weight and tumor area of each animal were measured 2-3 times weekly, depending on tumor growth. Studies were terminated, when animals in the control groups (receiving only compound vehicle solutions) or treatment groups reached tumor areas -150 mm2. At that time point, all groups in the study were terminated, tumors were isolated and weighed.
As primary parameter for anti-tumor efficacy the Treatment/Control (T/C) ratio of the final tumor weights were calculated (mean tumor weight of treatment group divided by mean tumor weight of vehicle group).
8.3 In vivo Mode of Action studies
To determine in vivo Mode of Action (MoA) of the test compounds, the same in vivo models as described under 8.2 were utilized. Tumor-bearing animals were treated for at least 3 days at MTD and also sub-MTD dosages. At study end, tumors were isolated and snap frozen in liquid nitrogen. Total RNA and protein were isolated from tumor samples following standard protocols.
Wnt/6-catenin target gene expression and Axin2 protein abundance were measured by standard qRT-PCR and Western blotting methods (see 7.2 and 7.3).
Table 1 : SCso values for selected examples in cellular HEK293 TOP and FOP assay as well as in TNKS1 and TNKS 2 biochemical assay
Figure imgf000153_0001
HEK293 TOP HEK293 FOP TNKS1 Assay B TNKS2 Assay B
Example
ICso [μΜ] ICso [μΜ] ICso [μΜ] ICso [μΜ]
2 1.3 50 1.7
3 0.18 50 0.019 0.086
4 3.3 19 0.44
5 0.25 38 0.078
6 12 50
7 50 50 1.8
8 2.9 50
9 0.98 7.0 0.28
10 0.95 50 0.29
11 3.2 17 1.5
12 1.4 0.48 1.6
13 8.8 50 2.6
14 0.17 10 0.017 0.019
15 0.28 50 0.026
16 0.043 50 0.0028
17 0.25 50 0.021
18 0.25 37 0.020
19 0.16 7.1 0.028
20 11 37 > 10
21 0.51 16 0.37
22 0.82 19 0.075
23 0.14 20 0.025 HEK293 TOP HEK293 FOP TNKS1 Assay B TNKS2 Assay B
Example
ICso [μΜ] ICso [μΜ] ICso [μΜ] ICso [μΜ]
24 0.28 21 0.079
25 1 .4 20 0.27
26 0.28 36 0.28
27 0.38 17 0.036
28 1 .3 50 0.84
29 1 .4 15 0.76
30 2.9 50 0.095
31 0.50 16 0.43
32 0.85 50 0.032
33 0.36 22 0.041
34 0.43 50 0.59 0.35
35 0.052 42 0.047
36 0.33 50 0.10
37 0.49 50 0.12
38 0.055 43 0.035
39 0.23 28 0.1 1

Claims

1 . A compound of formula (I)
Figure imgf000156_0001
in which :
X1 represents NR3 or 0,
X2 represents a CR6 or N,
R1 represents a group selected from :
CrC4-alkyl and -N(R,0)R11 ,
R2 represents a group selected from : hydrogen, G-Cralkyl, and C )-C4-cycloalkyl,
R3 represents a hydrogen atom,
R4 represents a hydrogen atom,
R5 represents a group selected from : hydrogen, and G-C -alkyl,
R6 represents a group selected from : hydrogen, and halogen,
R7 represents a hydrogen atom, R8 represents aryl or heteroaryl,
wherein aryl and heteroaryl groups are optionally substituted with one, two or three substituents, which are independently of each other selected from :
Ci-C4-alkyl, Ci-C3-alkoxy, d-Crhydroxyalkyl, C3-C4-cycloalkyl, C )-C4-cycloalkoxy, Ci -C3-haloalkyl, Ci -Ci-haloalkoxy, halogen, cyano, nitro, hydroxy,
-N(R12)R13, R,2( R13)N-(C,-C4-alkyl)-, R12( R13)N- (C2-C4-alkoxy)-,
Figure imgf000157_0001
and - S(=0)(=NH) (d -C3-alkyl),
R'° represents hydrogen, d-G-alkyl, or d-G-cycloalkyl,
R" represents a group selected from :
CrC3-alkoxy optionally substituted one or two times with C3-Ce-cycloalkyl, (C3-C6-cycloalkyl substituted one or two times with hydroxy)-(G-C4-alkyl)-, C2-C6-haloalkyl substituted one or two times with hydroxy, R12R13NC(=0) (CrC4-alkyl)-, (aryl optionally substituted with C1 -C4- alkyl)N(H)(Ci-C4-alkyl)-, (aryl optionally substituted with C i-C -alkyl)(C,-C3-alkyl)N(C,-C4-alkyl)- , 4- to 6-membered heterocycloalkyl, (7-membered heterocycloalkyl)- (CrCi-alkyl)-, bridged heterocycloalkyl, (bridged heterocycloalkyl)-(CrC4-alkyl)-, (4- to 6-membered heterocycloalkyl)-(CrC4-alkyl)-, aryl or heteroaryl substituted one or two times independently with (Ci -C3-alkyl N-, and (aryl or heteroaryl, substituted one or two times with (C 1-C3- alkyl)2N-)-(CrC3-alkyl)-,
wherein 7-membered heterocycloalkyl groups are optionally substituted with one or two substituents, which are independently of each other selected from :
Ci -C3-alkyl, Ci -C3-hydroxyalkyl, d-Crhaloalkyl, Ci -C3-alkoxy, G-C3-haloalkoxy, C3-C4-cycloalkyl, C3-C4-cycloalkoxy, amino, hydroxy, halogen, and cyano,
and,
wherein 4- to 6-membered heterocycloalkyl groups are substituted with one or two substituents, which are independently of each other selected from :
Ci -C3-hydroxyalkyl, 4- to 6-membered heterocycloalkyl, and aryl- (Ci -C3-alkyl)-, or
R10 and R1 1 together with the nitrogen atom to which they are attached form a azetidinyl group, said azetidinyl group being substituted with one or two groups selected from
Figure imgf000158_0001
and d-G-hydroxyalkyl groups, and optionally further substituted one or two times with hydroxy,
or
R10 and R" together with the nitrogen atom to which they are attached form a 5 to 6- membered heterocycloalkyl group in which one carbon atom is optionally replaced by a further heteroatom-containing group selected from NH, 0, S, S(=0) and S(=O , in which heterocycloalkyl group one additional ring atom is optionally replaced by C(=0), said 5 to 6- membered heterocycloalkyl group being substituted with one or two groups selected from G- C3-hydroxyalkyl and
Figure imgf000158_0002
and optionally further substituted one or two times with hydroxy,
or
together with the nitrogen atom to which they are attached form a group
Figure imgf000158_0003
wherein * indicates the point of attachment of said group with the rest of the molecule,
R12 and R13 are independently of each other selected from :
hydrogen, Ci -C -alkyl, C3-C4-cycloalkyl, or,
R12 and R13 together with the nitrogen atom to which they are attached form a 4- to 6-membered heterocycloalkyl group, in which one carbon atom is optionally replaced by a further heteroatom-containing group selected from NR14, 0, S, S(=0) and S(=0)?, in which heterocycloalkyl group one additional ring atom is optionally replaced by C(=0),
said 4- to 6-membered heterocycloalkyl group being optionally substituted with one or two substituents, which are independently of each other selected from :
d-d-alkyl, d-d-hydroxyalkyl, R15R16NC(=0)(d-d-alkyl)-, d-d-haloalkyl, CrC3-alkoxy, d-d- haloalkoxy, d-d-cycloalkyl, d-d-cycloalkoxy, amino, hydroxy, a halogen atom, and cyano,
R14 represents a group selected from :
hydrogen, R,5R,6NC(=0)(d-d-alkyl)-, and d-d-alkyl,
R15 and R16 are independently of each other selected from :
hydrogen, d-d-alkyl, and d-d-cycloalkyl,
or a stereoisomer, a tautomer, an N-oxide, a hydrate, a solvate, or a salt thereof, or a mixture of same.
2. The compound according to claim 1 , wherein :
X1 represents NR3,
X2 represents a CR6,
R1 represents a group selected from :
d-d-alkyl and -N(R,0)R" ,
R2 represents a group selected from :
hydrogen, and d-alkyl,
R3 represents a hydrogen atom, R4 represents a hydrogen atom,
R5 represents a group selected from :
hydrogen, and G-alkyl,
R6 represents a group selected from :
hydrogen, and fluorine,
R7 represents a hydrogen atom,
R8 represents aryl or heteroaryl,
wherein aryl and heteroaryl groups are optionally substituted with one, two or three substituents, which are independently of each other selected from :
Ci-C3-alkyl, G-G-alkoxy, G-Grhydroxyalkyl, G-G-cycloalkoxy,
Ci-C2-haloalkyl, Ci-C?-haloalkoxy, halogen, cyano, hydroxy,
-N(R!2)R'3, R,2(R,3)N-(G-G-alkyl)-, and R12(R13)N-(C2-C3-alkoxy)-,
R10 represents hydrogen, G-G-alkyl, or G-G-cycloalkyl,
R1 represents a group selected from :
G-C3-alkoxy optionally substituted one time with G-G-cycloalkyl, (C3-C6-cycloalkyl substituted one or two times with hydroxy)-(CrC3-alkyl)-, GrG-haloalkyl substituted one or two times with hydroxy, R,2R1 NC(=0)(G-G-alkyl)-, (aryl optionally substituted with G-G- alkyl)N(H)(G-C3-alkyl)-, (aryl optionally substituted with G-G-alkyl)(G-G-alkyl)N(G-G-alkyl)- , 4- to 6-membered heterocycloalkyl, (7-membered heterocycloalkyl)-(G-G-alkyl)-, bridged heterocycloalkyl, (4- to 6-membered heterocycloalkyl)-(GrG-alkyl)-, aryl or heteroaryl substituted one or two times independently with (G-Gralkyl),»N-, and (aryl or heteroaryl, substituted one or two times with (G-G-alkylbN-)-(G-G-alkyl)-,
wherein 7-membered heterocycloalkyl groups are optionally substituted with one or two substituents, which are independently of each other selected from :
G-alkyl, G-haloalkyl, G-alkoxy, G-haloalkoxy, hydroxy, and halogen, and
wherein 4- to 6-membered heterocycloalkyl groups are substituted with one or two substituents, which are independently of each other selected from :
Ci-Crhydroxyalkyl, 4- to 6-membered heterocycloalkyl, and aryl-(Ci-C?-alkyl)- ,
or,
R10 and R1 1 together with the nitrogen atom to which they are attached form azetidinyl group, said azetidinyl group being substituted with one or two Ci-Crhydroxyalkyl groups, and optionally further substituted one or two times with hydroxy,
or,
R10 and R1 1 together with the nitrogen atom to which they are attached form a 5 to 6- membered heterocycloalkyl group in which one carbon atom is optionally replaced by a further heteroatom-containing group selected from NH, 0, , in which heterocycloalkyl group one additional ring atom is optionally replaced by C(=0) , said 5 to 6-membered heterocycloalkyl group being substituted with one or two groups selected from d-Cr hydroxyalkyl and
Figure imgf000161_0001
and optionally further substituted one or two times with hydroxy,
or
together with the nitrogen atom to which they are attached form a group
Figure imgf000161_0002
wherein* indicates the point of attachment of said group with the rest of the molecule,12 and R1 are independently of each other selected from :
hydrogen, and G-Cralkyl,
or,
R12 and R13 together with the nitrogen atom to which they are attached form a 4- to 6-membered heterocycloalkyl group, in which one carbon atom is optionally replaced by a further heteroatom-containing group selected from NR14, and 0, in which heterocycloalkyl group one additional ring atom is optionally replaced by C(=0),
said 4- to 6-membered heterocycloalkyl group being optionally substituted with one or two substituents, which are independently of each other selected from :
G-alkyl, G-haloalkyl, G-alkoxy, G-haloalkoxy, amino, hydroxy, a halogen atom, and cyano,
R14 represents a group selected from :
hydrogen, R,!,R,6NC(=0)(G-G-alkyl)-, and G-G-alkyl,
R15 and R16 are independently of each other selected from :
hydrogen, and G-alkyl,
or a stereoisomer, a tautomer, an N-oxide, a hydrate, a solvate, or a salt thereof, or a mixture of same.
3. The compound according to claim 1 or 2, wherein :
X1 represents NR3,
X2 represents a CR6,
R1 represents a group selected from : C-Cralkyl and -N(R,0)R11,
R2 represents a hydrogen atom,
R3 represents a hydrogen atom,
R4 represents a hydrogen atom,
R5 represents a hydrogen atom,
R6 represents a hydrogen atom,
R7 represents a hydrogen atom,
R8 represents phenyl or pyridyl,
wherein phenyl and pyridyl groups are optionally substituted with one, two or three substituents, which are independently of each other selected from :
Ci-alkyl, G-alkoxy, Ci-hydroxyalkyl, Ci-haloalkyl, Ci-haloalkoxy, halogen, cyano, hydroxy, and
-N(R12)R13,
R10 represents hydrogen, or G-Cralkyl,
R" represents a group selected from :
d-Cralkoxy optionally substituted one time with CrCt-cycloalkyl, (C3-C6-cycloalkyl substituted one time with hydroxy)-(G-Cralkyl)-, C2-C4-haloalkyl substituted one time with hydroxy,
Figure imgf000163_0001
(phenyl optionally substituted with Ci-alkyl)N(H)(CrC3- alkyl)-, (phenyl optionally substituted with G-alkyl)(Ci-Cralkyl)N(Ci-C3-alkyl)-, 4- to 6- membered heterocycloalkyl, (7-membered heterocycloalkyl)-(CrC4-alkyl)-, bridged heterocycloalkyl, (4- to 6-membered heterocycloalkyl)-(C?-C3-alkyl)-, and (phenyl or pyridyl, substituted one time with (Ci-alkyl)?N-)-(Ci-Cralkyl)-,
wherein 4- to 6-membered heterocycloalkyl groups are substituted with one substituent, which is selected from :
Ci-C2-hydroxyalkyl, 4- to 6-membered heterocycloalkyl, and aryl-(G-Cralkyl)-, or,
R10 and R1 1 together with the nitrogen atom to which they are attached form azetidinyl group, said azetidinyl group being substituted with one C i-C2-hydroxyalkyl group, and optionally further substituted one time with hydroxy,
or,
R10 and R" together with the nitrogen atom to which they are attached form a 5 to 6- membered heterocycloalkyl group in which one carbon atom is optionally replaced by a further heteroatom-containing group selected from NH, and 0, said 5 to 6-membered heterocycloalkyl group being substituted with one group selected from d-Crhydroxyalkyl and R,5R'6NC(=0) (Ci-Cralkyl)- and optionally further substituted one time with hydroxy, or,
R10 and R1 1 together with the nitrogen atom to which they are attached form a group:
Figure imgf000164_0001
wherein* indicates the point of attachment of said group with the rest of the molecule,
R12 and R13 are independently of each other selected from :
hydrogen , and G-alkyl,
or,
R12 and R13 together with the nitrogen atom to which they are attached form a 5- to 6-membered heterocycloalkyl group, in which one carbon atom is optionally replaced by a further heteroatom-containing group selected from N14, and 0, in which heterocycloalkyl group one additional ring atom is optionally replaced by C(=0),
R14 represents a group selected from :
hydrogen, R15R16NC(=0)(C alkyl)-, and C,-alkyl,
R15 and R16 are hydrogen,
or a stereoisomer, a tautomer, an N-oxide, a hydrate, a solvate, or a salt thereof, or a mixture of same.
4. The compound according to any one of claims 1 , 2 or 3, wherein :
X1 represents NR3,
X2 represents a CR6,
R1 represents a group selected from :
C-alkyl and -N(R10)R" ,
R2 represents a hydrogen atom,
R! represents a hydrogen atom,
R4 represents a hydrogen atom,
R5 represents a hydrogen atom,
R6 represents a hydrogen atom,
R7 represents a hydrogen atom,
R8 represents phenyl,
wherein phenyl is optionally substituted with one, two or three substituents, which are independently of each other selected from :
halogen, R!0 represents hydrogen, or G-alkyl,
R11 represents a group selected from :
Ci-alkoxy optionally substituted one time with C3-cycloalkyl, (C6-cycloalkyl substituted one time with hydroxy)- (Ci-alkyl)-, C4-haloalkyl substituted one time with hydroxy, R!2R13NC(=0)(C,-C alkyl)- , (phenyl optionally substituted with C,-alkyl)(C,-C2-alkyl)N(Cralkyl)- , 5- to 6-membered heterocycloalkyl, (7-membered heterocycloalkylHG-alkyl)-, azabicyclo[2.2.2]octyl, (5- to 6-membered heterocycloalkyl)-(Cralkyl)-, and (phenyl or pyridyl substituted one time with (Ci-alkyl)?N-)-(Ci-alkyl)- ,
wherein 5-6-membered heterocycloalkyl groups are substituted with one substituent, which is selected from :
d-Crhydroxyalkyl, 6-membered heterocycloalkyl, and aryl-(Ci-alkyl)-,
or,
R10 and R" together with the nitrogen atom to which they are attached form azetidinyl group, said azetidinyl group being substituted with one Crhydroxyalkyl group, and further substituted one time with hydroxy,
or,
R10 and R" together with the nitrogen atom to which they are attached form a 6-membered heterocycloalkyl group in which one carbon atom is replaced by a further heteroatom- containing group selected from NH, and 0, said 6-membered heterocycloalkyl group being substituted with one R, ¾R,6NC(=0)(C,-alkyl)- group,
or,
R'° and R" together with the nitrogen atom to which they are attached form a group:
Figure imgf000167_0001
wherein * indicates the point of attachment of said group with the rest of the molecule,
R12 and R, ! are hydrogen
or,
R12 and R, ! together with the nitrogen atom to which they are attached form a 6-membered heterocycloalkyl group, in which one carbon atom is optionally replaced by a further heteroatom-containing group selected from NR14, and 0,
R14 represents a group selected from :
Figure imgf000167_0002
and C,-alkyl,
R15 and R16 are hydrogen,
or a stereoisomer, a tautomer, an N-oxide, a hydrate, a solvate, or a salt thereof, or a mixture of same.
5. The compound according to any one of claims 1 to 4, which is selected from the group consisting of :
N4-{4-[(2-chloro-4-fluorobenzoyl)amino]phenyl}-N5-{2-[(2R)-2-(hydroxymethyl)pyrrolidin- 1 -yl]ethyl}-1 H-imidazole-4, 5-dicarboxamide
N4-{4-[(2-chloro-4-fluorobenzoyl)amino]phenyl}-N5-methoxy-N5-methyl-1 H-imidazole- 4,5-dicarboxamide 5-acetyl-N-{4-[(2 loro-4-fluorobenzoyl)amino]p enyl}-1H^'midazole-4-carboxamide
N4-{4^(2 loro-4-fluorobenzoyl)amino]phenyl}-N5-[(1- ydroxycyclo exyl)met yl]-1H- imidazole-4, 5-dicarboxamide
N4-{4-[(2-c loro-4-fluorobenzoyl)amino]p enyl}-N5-[(3S)-4,4,4-trifluoro-3- ydroxybutyl]- 1 H-imidazole-4, 5-dicarboxamide
N5-(3-amino-3-oxopropyl)-N4-{4-[(4-fluorobenzoyl)amino]p enyl}-1H-imidazole-4,5- dicarboxamide
N4-{4-[(4-f[uorobenzoy[)amino]pheny[}-N5-[2-(morpho[in-4-y[)-2-oxoethyi]-1H-imidazo[e- 4, 5-dicarboxamide
N5-[1-azabicyclo[2.2.2]oct-3-yl]-N4-{4-[(4-fluorobenzoyl)amino]p enyl}-1H-imidazole- 4, 5-dicarboxamide
N4-{4-[(4-fluorobenzoyl)amino]phenyl}-N5-{2-[4-( ydroxymet yl)piperidin-1-yl]et yl}-1H- imidazole-4, 5-dicarboxamide
N4-{4-[(4-fluorobenzoyl)amino]p enyl}-N5-{2-[3-( ydroxymet yl)piperidin-1-yl]etriyl}-1i-i- imidazole-4, 5-dicarboxamide
N4-{4-[(4-fluorobenzoyl)amino]p enyl}-N5-[(trans)-4-(piperidin-1-yl)tetra ydrofuran-3- yl]-1 H-imidazole-4, 5-dicarboxamide
N4-{4-[(4-fluorobenzoyl)amino]p enyl}-N5-{2-[2-(hydroxymet yl)piperidin-1-yl]ethyl}-1H- imidazole-4, 5-dicarboxamide
5-{[4-(2-amino-2-oxoet yl)piperazin-1-yl]carbonyl}-N-{4-[(2-c loro-4-fluorobenzoyl)- amino]p enyl}-1H-imidazole-4-carboxamide
N4-{4-[(2-chloro-4-fluorobenzoyl)amino]phenyl}-N5-[2-(morpholin-4-yl)-2-oxoethyl]-1H- imidazole-4, 5-dicarboxamide
N5-[1-azabicyclo[2.2.2]oct-3-yl]-N4-{4-[(2-c loro-4-fluorobenzoyl)amino]p enyl}-1H- imidazole-4, 5-dicarboxamide
N4-{4-[(2-c loro-4-fluorobenzoyl)amino]p enyl}-N5-{2-[4-( ydroxymethyl)piperidin-1- yl]et yl}-1 H-imidazole-4, 5-dicarboxamide
N4-{4-[(2-c loro-4-fluorobenzoyl)amino]p enyl}-N5-{2-[3-( ydroxymetriyl)piperidin-1- yl]et yl}-1H-imidazole-4,5-dicarboxamide
N4-{4-[(2-chloro-4-fluorobenzoyl)amino]phenyl}-N5-[(trans)4-(piperidin-1- yl)tetrahydrofuran-3-yl]-1H-imidazole-4,5-dicarboxamide
N4-{4-[(2 loro-4-fluorobenzoyl)amino]phenyl}-N5-{2-[2-( ydroxymethyl)piperidin-1- yl]et yl}-1H-imidazole-4,5-dicarboxamide
5-{[4-(2-amino-2-oxoet yl)piperazin-1-yl]carbonyl}-N-{4-[(2-c lorobenzoyl)amino]- p enyl}-1H-imidazole-4-carboxamide
N4-{4-[(2 lorobenzoyl)amino]p enyl}-Ns-[2-(morp olin-4-yl)-2-oxoet yl]-1H^'midazole- 4,5-dicarboxamide
N5-[1-azabicyclo[2.2.2]oct-3-yl]-N4-{4^(2 lorobenzoyl)amino]p enyl}-1H-iiTiidazole- 4,5-dicarboxamide
N4-{4-[(2 lorobenzoyl)amino]p enyl}-N5-{2-[4-( ydroxymet yl)piperidin-1-yl]et yl}-1H- imidazole-4, 5-dicarboxamide
N4-{4-[(2 lorobenzoyl)amino]p enyl}-N5-{2-[3-(hydroxymethyl)piperidin-1-yl]et yl}-1H- imidazole-4, 5-dicarboxamide
N4-{4-[(2 hiorobenzoy[)amino]pheny[}-N5-[(trans)-4-(piperidin-1-yi)tetrahydrofuran-3- yl]-1H-imidazole-4, 5-dicarboxamide
N4-{4-[(2-chlorobenzoyl)amino]p enyl}-N5-{2-[2-( ydroxymet yl)piperidin-1-yl]et yl}-1H- imidazole-4, 5-dicarboxamide
N4-[3-(azepan-1-yl)propyl]-N5-{4-[(2-c loro-4-fluorobenzoyl)amino]p enyl}-1H- imidazole-4, 5-dicarboxamide
N5-{4-[(2-chloro-4-fluorobenzoyl)amino]p enyl}-N4-{2-[et yl(3- met ylp enyl)amino]et yl}-1H-imidazole-4, 5-dicarboxamide
N5-{4-[(2-chloro-4-fluorobenzoyl)amino]p enyl}-N4-{2-[met yl(p enyl)amino]ethyl}-1H- imidazole-4, 5-dicarboxamide
N4-(1-benzylpyrrolidin-3-yl)-N5-{4-[(2-c loro-4-fluorobenzoyl)amino]p enyl}-1H- imidazole-4, 5-dicarboxamide
N5-{4-[(2-chloro-4-fluorobenzoyl)amino]p enyl}-N4-[3-(dimethylamino)benzyl]-1H- imidazoles, 5-dicarboxamide
N5-{4-[(2-chloro-4-fluorobenzoyl)amino]phenyl}-N4-[2-(4-methylpiperazin-1 -yl)-2- oxoethyl]-1 H-imidazole-4,5-dicarboxamide
N5-{4-[(2-chioro-4-f[uorobenzoy[)amino]pheny[}-N4-{[6-(dimethyiamino)pyridin-3- yl]methyl}-1 H-imidazole-4,5-dicarboxamide
N5-{4-[(2-chloro-4-fluorobenzoyl)amino]phenyl}-N4-(cyclopropylmethoxy)-1 H-imidazole- 4,5-dicarboxamide
N-{4-[(2-chloro-4-fluorobenzoyl)amino]phenyl}-4-[(1 ,1 -dioxido-1 -thia-6- azaspiro[3.3]hept-6-yl)carbonyl]-1 H-imidazole-5-carboxamide
N-{4-[(2 hloro-4-fluorobenzoyl)amino]phenyl}-4-{[3-hydroxy-3-(2-hydroxyethyl)azetidin- 1 -yl]carbonyl}-1 H-imidazole-5-carboxamide
N5-{4-[(2-chloro-4,5-difluorobenzoyl)amino]phenyl}-N4-(cyclopropylmethoxy)-1 H- imidazole-4, 5-dicarboxamide
N-{4-[(2-chloro-4,5-difluorobenzoyl)amino]phenyl}-4-[(1 ,1 -dioxido-1 -thia-6- azaspiro[3.3]hept-6-yl)carbonyl]-1 H-imidazole-5-carboxamide
N-{4-[(2-chloro-4,5-difluorobenzoyl)amino]phenyl}-4-{[3-hydroxy-3-(2- hydroxyethyl)azetidin-1 -yl]carbonyl}-1 H-imidazole-5-carboxamide
6. A compound of general formula (I), or a stereoisomer, a tautomer, an N-oxide, a hydrate, a solvate, or a salt thereof, particularly a pharmaceutically acceptable salt thereof, or a mixture of same, according to any one of claims 1 to 5, for use in the treatment or prophylaxis of a disease.
7. A pharmaceutical composition comprising a compound of general formula (I), or a stereoisomer, a tautomer, an N-oxide, a hydrate, a solvate, or a salt thereof, particularly a pharmaceutically acceptable salt thereof, or a mixture of same, according to any one of claims 1 to 5, and a pharmaceutically acceptable diluent or carrier.
8. A pharmaceutical combination comprising :
one or more first active ingredients selected from a compound of general formula (I) according to any of claims 1 to 5, and
one or more second active ingredients selected from chemotherapeutic anti-cancer agents.
9. Use of a compound of general formula (I), or a stereoisomer, a tautomer, an N-oxide, a hydrate, a solvate, or a salt thereof, particularly a pharmaceutically acceptable salt thereof, or a mixture of same, according to any one of claims 1 to 5, for the prophylaxis or treatment of a disease.
10. Use of a compound of general formula (I), or a stereoisomer, a tautomer, an N-oxide, a hydrate, a solvate, or a salt thereof, particularly a pharmaceutically acceptable salt thereof, or a mixture of same, according to any one of claims 1 to 5, for the preparation of a medicament for the prophylaxis or treatment of a disease.
1 1. Use according to claim 6, 9 or 10, wherein said disease is a disease of uncontrolled cell growth, proliferation and/or survival, an inappropriate cellular immune response, or an inappropriate cellular inflammatory response, particularly in which the disease of uncontrolled cell growth, proliferation and/or survival, inappropriate cellular immune response, or inappropriate cellular inflammatory response is a haematological tumour, a solid tumour and/or metastases thereof, e.g. leukaemias and myelodysplastic syndrome, malignant lymphomas, head and neck tumours including brain tumours and brain metastases, tumours of the thorax including non-small cell and small cell lung tumours, gastrointestinal tumours, endocrine tumours, mammary and other gynaecological tumours, urological tumours including renal, bladder and prostate tumours, skin tumours, and sarcomas, and/or metastases thereof.
12. Use of a compound of general formula (II)
Figure imgf000172_0001
(II)
in which Xi represents N, and R1 and R2 are as defined for the compound of general formula (I) according to any one of claims 1 to 5,
for the preparation of a compound of general formula (I) according to any one of claims 1 to
5.
1 3. Use of a compound of general formula (IV)
Figure imgf000172_0002
(iv)
in which Xi represents N , and X?, R2, R5 and R8 are as defined for the compound of general formula (!) according to any one of claims 1 to 5,
for the preparation of a compound of general formula (I) according to any one of claims 1 to
5.
14. Use of a compound of general formula (VI ) ,8
Figure imgf000173_0001
in which Xi, R5 and R8 are as defined for the compound of general formula (I) according to any one of claims 1 to 5,
for the preparation of a compound of general formula (I) according to any one of claims 1 to
5.
1 5. Use of a compound of general formula (IX) :
Figure imgf000173_0002
in which Xi represents NR3,
R17 represents OR18,
R'8 represents hydrogen or phenyl , and
X2. R2, R3, R5 and R8 are as defined for the compound of general formula (I ) according to any one of claims 1 to 5, for the preparation of a compound of general formula (I) according to any one of claims 1 to
5.
16. Use of a compound of general formula (pre-l ) :
Figure imgf000174_0001
(pre -I) in which Xi represents NR!, and R1 represents -OG-C3 , and R2, R4, R5, R7, R8, R7and X2 are defined for the compound of general formula (I) according to any one of claims 1 to 5, for the preparation of a compound of general formula (I) according to any one of claims 1 5.
17. Use of a compound of general formula (3-4)
Figure imgf000174_0002
in which Xi represents NR3, and R1, R2 , X2, and R5 are as defined for the compound of general formula (I) according to any one of claims 1 to 5, for the preparation of a compound of general formula (I) according to any one of claims 1 to
5.
18. A compound of general formula (3-4) :
Figure imgf000175_0001
in which Xi represents NR3, and R1 , R2 , X2, and R5 are as defined for the compound of general formula (I) according to any one of claims 1 to 5.
19. A compound of general formula (I I) :
in which X( represents N, and R1 and R2 are as defined for the compound of general formula (I) according to any one of claims 1 to 5.
Figure imgf000175_0002
( ll)
in which Xi represents N, and R1 and R2 are as defined for the compound of general formula (I) according to any one of claims 1 to 5.
PCT/EP2016/0730432015-10-012016-09-28Amido-substituted azole compoundsCeasedWO2017055316A1 (en)

Applications Claiming Priority (2)

Application NumberPriority DateFiling DateTitle
EP15188026.72015-10-01
EP151880262015-10-01

Publications (1)

Publication NumberPublication Date
WO2017055316A1true WO2017055316A1 (en)2017-04-06

Family

ID=54252156

Family Applications (1)

Application NumberTitlePriority DateFiling Date
PCT/EP2016/073043CeasedWO2017055316A1 (en)2015-10-012016-09-28Amido-substituted azole compounds

Country Status (1)

CountryLink
WO (1)WO2017055316A1 (en)

Cited By (6)

* Cited by examiner, † Cited by third party
Publication numberPriority datePublication dateAssigneeTitle
US9884063B2 (en)2014-04-022018-02-06Bayer Pharma AktiengesellschaftAmido-substituted azole compounds
WO2018078009A1 (en)2016-10-292018-05-03Bayer Pharma AktiengesellschaftAmido-substituted cyclohexane derivatives
WO2018078005A1 (en)2016-10-292018-05-03Bayer Pharma AktiengesellschaftAmido-substituted azaspiro derivatives as tankyrase inhibitors
WO2018087126A1 (en)2016-11-092018-05-17Bayer Pharma AktiengesellschaftAmido-substituted cyclohexane derivatives as inhibitors of tankyrase
US10287353B2 (en)2016-05-112019-05-14Huya Bioscience International, LlcCombination therapies of HDAC inhibitors and PD-1 inhibitors
US10385131B2 (en)2016-05-112019-08-20Huya Bioscience International, LlcCombination therapies of HDAC inhibitors and PD-L1 inhibitors

Citations (19)

* Cited by examiner, † Cited by third party
Publication numberPriority datePublication dateAssigneeTitle
US5011472A (en)1988-09-061991-04-30Brown University Research FoundationImplantable delivery system for biological factors
US5023252A (en)1985-12-041991-06-11Conrex Pharmaceutical CorporationTransdermal and trans-membrane delivery of drugs
WO2001000575A1 (en)1999-06-242001-01-04Nihon Nohyaku Co., Ltd.Heterocyclic dicarboxylic acid diamide derivatives, agricultural/horticultural insecticides and method of using the same
WO2008042282A2 (en)*2006-09-282008-04-10Exelixis, Inc.Imidazole-4, 5-dicarboxamide derivatives as jak-2 modulators
WO2008042283A2 (en)2006-09-282008-04-10Network Appliance, Inc.Write-in-place within a write-anywhere filesystem
US20080214533A1 (en)*2004-12-022008-09-04Bayer Healthcare AgCyclic Iminocarbamates And Their Use
WO2009059994A2 (en)2007-11-052009-05-14Novartis AgMethods and compositions for measuring wnt activation and for treating wnt-related cancers
WO2012076898A1 (en)2010-12-082012-06-14Oslo University Hospital HfTriazole derivatives as wnt signaling pathway inhibitors
WO2013010092A1 (en)2011-07-132013-01-17Novartis Ag4-oxo-3,5,7,8-tetrahydro-4h-pyrano {4,3-d} pyrminidinyl compounds for use as tankyrase inhibitors
WO2013012723A1 (en)2011-07-132013-01-24Novartis AgNovel 2-piperidin-1-yl-acetamide compounds for use as tankyrase inhibitors
WO2013093508A2 (en)2011-12-222013-06-27Oslo University Hospital HfWnt pathway inhibitors
WO2013134079A1 (en)2012-03-052013-09-12Amgen Inc.Oxazolidinone compounds and derivatives thereof
WO2013164061A1 (en)2012-05-042013-11-07dedeMERCK PATENT GMBHPyrrolotriazinone derivatives
WO2013177349A2 (en)2012-05-252013-11-28Glaxosmithkline LlcQuinazolinediones as tankyrase inhibitors
WO2013182546A1 (en)2012-06-072013-12-12F. Hoffmann-La Roche AgPyrazolopyrimidone and pyrazolopyridone inhibitors of tankyrase
WO2013189865A1 (en)2012-06-202013-12-27F. Hoffmann-La Roche AgN-aryltriazole compounds as lpar antagonists
WO2013189905A1 (en)2012-06-202013-12-27F. Hoffmann-La Roche AgPyrrolopyrazone inhibitors of tankyrase
WO2014023390A2 (en)2012-08-082014-02-13Merck Patent Gmbh(aza-)isoquinolinone derivatives
WO2015150449A2 (en)2014-04-022015-10-08Bayer Pharma AktiengesellschaftAmido-substituted azole compounds

Patent Citations (19)

* Cited by examiner, † Cited by third party
Publication numberPriority datePublication dateAssigneeTitle
US5023252A (en)1985-12-041991-06-11Conrex Pharmaceutical CorporationTransdermal and trans-membrane delivery of drugs
US5011472A (en)1988-09-061991-04-30Brown University Research FoundationImplantable delivery system for biological factors
WO2001000575A1 (en)1999-06-242001-01-04Nihon Nohyaku Co., Ltd.Heterocyclic dicarboxylic acid diamide derivatives, agricultural/horticultural insecticides and method of using the same
US20080214533A1 (en)*2004-12-022008-09-04Bayer Healthcare AgCyclic Iminocarbamates And Their Use
WO2008042282A2 (en)*2006-09-282008-04-10Exelixis, Inc.Imidazole-4, 5-dicarboxamide derivatives as jak-2 modulators
WO2008042283A2 (en)2006-09-282008-04-10Network Appliance, Inc.Write-in-place within a write-anywhere filesystem
WO2009059994A2 (en)2007-11-052009-05-14Novartis AgMethods and compositions for measuring wnt activation and for treating wnt-related cancers
WO2012076898A1 (en)2010-12-082012-06-14Oslo University Hospital HfTriazole derivatives as wnt signaling pathway inhibitors
WO2013010092A1 (en)2011-07-132013-01-17Novartis Ag4-oxo-3,5,7,8-tetrahydro-4h-pyrano {4,3-d} pyrminidinyl compounds for use as tankyrase inhibitors
WO2013012723A1 (en)2011-07-132013-01-24Novartis AgNovel 2-piperidin-1-yl-acetamide compounds for use as tankyrase inhibitors
WO2013093508A2 (en)2011-12-222013-06-27Oslo University Hospital HfWnt pathway inhibitors
WO2013134079A1 (en)2012-03-052013-09-12Amgen Inc.Oxazolidinone compounds and derivatives thereof
WO2013164061A1 (en)2012-05-042013-11-07dedeMERCK PATENT GMBHPyrrolotriazinone derivatives
WO2013177349A2 (en)2012-05-252013-11-28Glaxosmithkline LlcQuinazolinediones as tankyrase inhibitors
WO2013182546A1 (en)2012-06-072013-12-12F. Hoffmann-La Roche AgPyrazolopyrimidone and pyrazolopyridone inhibitors of tankyrase
WO2013189865A1 (en)2012-06-202013-12-27F. Hoffmann-La Roche AgN-aryltriazole compounds as lpar antagonists
WO2013189905A1 (en)2012-06-202013-12-27F. Hoffmann-La Roche AgPyrrolopyrazone inhibitors of tankyrase
WO2014023390A2 (en)2012-08-082014-02-13Merck Patent Gmbh(aza-)isoquinolinone derivatives
WO2015150449A2 (en)2014-04-022015-10-08Bayer Pharma AktiengesellschaftAmido-substituted azole compounds

Non-Patent Citations (56)

* Cited by examiner, † Cited by third party
Title
ACS MED CHEM LETT, vol. 4, no. 12, 2013, pages 1173
ACS MED CHEM LETT, vol. 4, no. 12, 2013, pages 1218
ACS MED CHEM LETT, vol. 6, no. 3, 2014, pages 254
ACTA CRYSTALLOGR SECT F STRUCT BIOL CRYST COMMUN, vol. 68, 2012, pages 115
AIELLO ET AL., NEW ENGL. J. MED., vol. 331, 1994, pages 1480
ANGERS S; MOON RT: "Proximal events in Wnt signal transduction", NAT REV MOL CELL BIOL., vol. 10, 2009, pages 468
BROWN, J.A.; MARALA, R.B., J. PHARMACOL. TOXICOL. METHODS, vol. 47, 2002, pages 137
CADIGAN KM; LIU YI: "Wnt signaling: complexity at the surface", J CELL SCI., vol. 119, 2006, pages 395, XP003020092, DOI: doi:10.1242/jcs.02826
CANCER RESEARCH, vol. 73, no. 10, 2013, pages 3132
CHEMMEDCHEM, vol. 8, no. 12, 2013, pages 1978
CURTIN JC; LORENZI MV.: "Drug Discovery Approaches to Target Wnt Signaling in Cancer Stem Cells", ONCOTARGET, vol. 1, 2010, pages 552
DATABASE REGISTRY [online] CHEMICAL ABSTRACTS SERVICE, COLUMBUS, OHIO, US; 22 October 2009 (2009-10-22), XP002764036, Database accession no. 1189543-00-7*
DATABASE REGISTRY [online] CHEMICAL ABSTRACTS SERVICE, COLUMBUS, OHIO, US; 24 April 2001 (2001-04-24), XP002764037, retrieved from STN Database accession no. 332173-32-7*
DONIGIAN JR; DE LANGE T.: "The role of the poly(ADP-ribose) polymerase tankyrasel in telomere length control by the TRF1 component of the shelterin complex", J BIOL CHEM, vol. 282, 2007, pages 22662
DREGALLA RC; ZHOU J; IDATE RR; BATTAGLIA CL; LIBER HL; BAILEY SM.: "Regulatory roles of tankyrase 1 at telomeres and in DNA repair: suppression of T-SCE and stabilization of DNA-PKcs", AGING, vol. 2, no. 10, 2010, pages 691
EAVES CJ; HUMPHRIES RK: "Acute myeloid leukemia and the Wnt pathway", N ENGL J MED, vol. 362, 2010, pages 2326
GORDON MD; NUSSE R.: "Wnt signaling: multiple pathways, multiple receptors, and multiple transcription factors", J BIOL CHEM., vol. 281, 2006, pages 22429, XP003020091, DOI: doi:10.1074/jbc.R600015200
HE X; SEMENOV M; TAMAI K; ZENG X.: "LDL receptor-related proteins 5 and 6 in Wnt/beta-catenin signaling: arrows point the way", DEVELOPMENT, vol. 131, 2004, pages 1663, XP055298787, DOI: doi:10.1242/dev.01117
HUANG H; HE X: "Wnt/beta-catenin signaling: new (and old) players and new insights", CURR OPIN CELL BIOL, vol. 20, 2008, pages 119, XP022593569, DOI: doi:10.1016/j.ceb.2008.01.009
HUANG SMA; MISHINA YM; LIU S; CHEUNG A; STEGMEIER F ET AL.: "Tankyrase inhibition stabilizes axin and antagonizes Wnt signalling", NATURE, vol. 461, 2009, pages 614, XP055062115, DOI: doi:10.1038/nature08356
J MED CHEM, vol. 55, no. 3, 2012, pages 1360
J MED CHEM, vol. 56, no. 11, 2013, pages 4320
J MED CHEM, vol. 56, no. 16, 2013, pages 6495
J MED CHEM, vol. 56, no. 17, 2013, pages 7049
J MED CHEM, vol. 56, no. 20, 2013, pages 7880
J MED CHEM, vol. 56, no. 24, 2013, pages 10003
J MED CHEM, vol. 56, no. 3, 2013, pages 1341
J MED CHEM, vol. 56, no. 7, 2013, pages 3012
KIMELMAN D; XU W.: "beta-catenin destruction complex: insights and questions from a structural perspective", ONCOGENE, vol. 25, 2006, pages 7482, XP002478898, DOI: doi:10.1038/sj.onc.1210055
KLAUS A; BIRCHMEIER W.: "Wnt signalling and its impact on development and cancer", NAT REV CANCER, vol. 8, 2008, pages 387 - 398, XP055123786, DOI: doi:10.1038/nrc2389
KLAUS A; BIRCHMEIERW.: "Wnt signalling and its impact on development and cancer", NAT REV CANCER, vol. 8, 2008, pages 387, XP055123786, DOI: doi:10.1038/nrc2389
L. N. VOSTROVA ET AL: "SYNTHESIS AND ANTIMICROBIAL ACTIVITY OF 5-NITROFURFURAL HETERYL HYDRAZONES", PHARMACEUTICAL CHEMISTRY JOURNAL, vol. 23, no. 5, 1 January 1989 (1989-01-01), pages 408 - 412, XP055315691*
LEHTI L; CHI N-W; KRAUSS S.: "Tankyrases as drug targets", FEBS JOURNAL, vol. 280, 2013, pages 3576
LI Z; YAMAUCHI Y; KAMAKURA M; MURAYAMA T; GOSHIMA F; KIMURA H; NISHIYAMA Y: "Herpes Simplex Virus Requires Poly(ADP-Ribose) Polymerase Activity for Efficient Replication and Induces Extracellular Signal-Related Kinase-Dependent Phosphorylation and ICPO-Dependent Nuclear Localization of Tankyrase 1", JOURNAL OF VIROLOGY, vol. 86, no. 1, 2012, pages 492
LIOTTA LA; KOHN EC: "The microenvironment of the tumour-host interface", NATURE, vol. 411, 2001, pages 375, XP002362466, DOI: doi:10.1038/35077241
LOPEZ ET AL., INVEST. OPTHTHALMOL. VIS. SCI., vol. 37, 1996, pages 855
MEACHAM CE; MORRISON SJ: "Tumour heterogeneity and cancer cell plasticity", NATURE, vol. 501, 2013, pages 328
MOLENAAR ET AL., CELL, vol. 86, no. 3, 1996, pages 391 - 399
MORIN, SCIENCE, vol. 275, 1997, pages 1787 - 1790
NEMA, S. ET AL.: "Excipients and Their Use in Injectable Products", PDA JOURNAL OF PHARMACEUTICAL SCIENCE & TECHNOLOGY, vol. 51, no. 4, 1997, pages 166 - 171
NUSSE R; FUERER C; CHING W; HARNISH K; LOGAN C; ZENG A; TEN BERGE D; KALANI Y: "Wnt signaling and stem cell control", COLD SPRING HARB SYMP QUANT BIOL., vol. 73, 2008, pages 59
PEER ET AL., LAB. INVEST., vol. 72, 1995, pages 638
PERCHELLET ELISABETH M ET AL: "Imidazole-4,5-dicarboxamide Derivatives with Antiproliferative Activity against HL-60 Cells", JOURNAL OF MEDICINAL CHEMISTRY, AMERICAN CHEMICAL SOCIETY, US, vol. 48, no. 19, 1 January 2005 (2005-01-01), pages 5955 - 5965, XP002470716, ISSN: 0022-2623, DOI: 10.1021/JM050160R*
POLAKIS P.: "The many ways of Wnt in cancer", CURR OPIN GENET DEV., vol. 17, 2007, pages 45, XP005736994, DOI: doi:10.1016/j.gde.2006.12.007
POWELL, M.F. ET AL.: "Compendium of Excipients for Parenteral Formulations", PDA JOURNAL OF PHARMACEUTICAL SCIENCE & TECHNOLOGY, vol. 52, no. 5, 1998, pages 238 - 311, XP009119027
PURE APPL CHEM, vol. 45, 1976, pages 11 - 30
RAO TP; KUHL M.: "An updated overview on Wnt signaling pathways: a prelude for more", CIRC RES., vol. 106, 2010, pages 1798
REYA T; CLEVERS H: "Wnt signalling in stem cells and cancer", NATURE, vol. 434, 2005, pages 843, XP055229280, DOI: doi:10.1038/nature03319
RIJSEWIJK F; SCHUERMANN M; WAGENAAR E; PARREN P; WEIGEL D; NUSSE R: "The Drosophila homolog of the mouse mammary oncogene int-1 is identical to the segment polarity gene wingless", CELL, vol. 50, 1987, pages 649, XP023883197, DOI: doi:10.1016/0092-8674(87)90038-9
S. M. BERGE ET AL.: "Pharmaceutical Salts", J. PHARM. SCI., vol. 66, 1977, pages 1 - 19, XP002675560, DOI: doi:10.1002/jps.2600660104
SHAHI P; PARK D; POND AC; SEETHAMMAGARI M; CHIOU S-H; CHO K ET AL.: "Activation of Wnt signaling by chemically induced dimerization of LRP5 disrupts cellular homeostasis", PLOS ONE, vol. 7, 2012, pages E30814
STRICKLEY, R.G: "Parenteral Formulations of Small Molecule Therapeutics Marketed in the United States (1999)-Part-1", PDA JOURNAL OF PHARMACEUTICAL SCIENCE & TECHNOLOGY, vol. 53, no. 6, 1999, pages 324 - 349
T.W. GREENE; P.G.M. WUTS: "Protective Groups in Organic Synthesis", 1999, WILEY
VERMEULEN L; DE SOUSA EMF; VAN DER HEIJDEN M; CAMERON K; DE JONG JH; BOROVSKI T; TUYNMAN JB; TODARO M; MERZ C; RODERMOND H: "Wnt activity defines colon cancer stem cells and is regulated by the microenvironment", NAT CELL BIOL., vol. 12, 2010, pages 468
YING Y. ET AL.: "Epigenetic disruption of the WNT/beta-catenin signaling pathway in human cancers", EPIGENETICS, vol. 4, 2009, pages 307
ZHANG Y; LIU S; MICKANIN C; FENG Y; CHARLAT 0 ET AL.: "RNF146 is a poly(ADP-ribose)-directed E3 ligase that regulates axin degradation and Wnt signalling", NATURE CELL BIOLOGY, vol. 13, 2011, pages 623

Cited By (9)

* Cited by examiner, † Cited by third party
Publication numberPriority datePublication dateAssigneeTitle
US9884063B2 (en)2014-04-022018-02-06Bayer Pharma AktiengesellschaftAmido-substituted azole compounds
US10287353B2 (en)2016-05-112019-05-14Huya Bioscience International, LlcCombination therapies of HDAC inhibitors and PD-1 inhibitors
US10385130B2 (en)2016-05-112019-08-20Huya Bioscience International, LlcCombination therapies of HDAC inhibitors and PD-1 inhibitors
US10385131B2 (en)2016-05-112019-08-20Huya Bioscience International, LlcCombination therapies of HDAC inhibitors and PD-L1 inhibitors
US11535670B2 (en)2016-05-112022-12-27Huyabio International, LlcCombination therapies of HDAC inhibitors and PD-L1 inhibitors
US12122833B2 (en)2016-05-112024-10-22Huyabio International, LlcCombination therapies of HDAC inhibitors and PD-1 inhibitors
WO2018078009A1 (en)2016-10-292018-05-03Bayer Pharma AktiengesellschaftAmido-substituted cyclohexane derivatives
WO2018078005A1 (en)2016-10-292018-05-03Bayer Pharma AktiengesellschaftAmido-substituted azaspiro derivatives as tankyrase inhibitors
WO2018087126A1 (en)2016-11-092018-05-17Bayer Pharma AktiengesellschaftAmido-substituted cyclohexane derivatives as inhibitors of tankyrase

Similar Documents

PublicationPublication DateTitle
EP3325451B1 (en)Fused imidazoles as midh1 inhibitors
EP3319945B1 (en)2-aryl- and 2-arylalkyl-benzimidazoles as midh1 inhibitors
AU2016257302A1 (en)Amido-substituted cyclohexane derivatives
EP3209646B1 (en)Benzimidazol-2-amines as midh1 inhibitors
EP3209660B1 (en)1-cyclohexyl-2-phenylaminobenzimidazoles as midh1 inhibitors for the treatment of tumors
US9884063B2 (en)Amido-substituted azole compounds
WO2017055316A1 (en)Amido-substituted azole compounds
WO2017055313A1 (en)Amido-substituted azole compounds
EP3303302A1 (en)N-menthylbenzimidazoles as midh1 inhibitors
WO2016202758A1 (en)Substituted 2-(1h-pyrazol-1-yl)-1h-benzimidazole compounds
AU2015233559A1 (en)Inhibitors of the Wnt signalling pathways
EP3172204A1 (en)Amino-substituted isoxazoles
WO2016202756A1 (en)Substituted 2-(1h-pyrazol-1-yl)-1h-benzimidazole compounds
WO2018078005A1 (en)Amido-substituted azaspiro derivatives as tankyrase inhibitors
WO2018087126A1 (en)Amido-substituted cyclohexane derivatives as inhibitors of tankyrase
WO2018078009A1 (en)Amido-substituted cyclohexane derivatives
WO2016202759A1 (en)Cytotoxic substituted 2-(1 h-pyrazol-1 -yl)-1,3-benzothiazole compounds for the treatment of cancer

Legal Events

DateCodeTitleDescription
121Ep: the epo has been informed by wipo that ep was designated in this application

Ref document number:16770945

Country of ref document:EP

Kind code of ref document:A1

NENPNon-entry into the national phase

Ref country code:DE

122Ep: pct application non-entry in european phase

Ref document number:16770945

Country of ref document:EP

Kind code of ref document:A1


[8]ページ先頭

©2009-2025 Movatter.jp