Movatterモバイル変換


[0]ホーム

URL:


WO2017019837A1 - Thermally strengthened architectural glass and related systems and methods - Google Patents

Thermally strengthened architectural glass and related systems and methods
Download PDF

Info

Publication number
WO2017019837A1
WO2017019837A1PCT/US2016/044401US2016044401WWO2017019837A1WO 2017019837 A1WO2017019837 A1WO 2017019837A1US 2016044401 WUS2016044401 WUS 2016044401WWO 2017019837 A1WO2017019837 A1WO 2017019837A1
Authority
WO
WIPO (PCT)
Prior art keywords
glass
layer
based layer
architectural
window
Prior art date
Legal status (The legal status is an assumption and is not a legal conclusion. Google has not performed a legal analysis and makes no representation as to the accuracy of the status listed.)
Ceased
Application number
PCT/US2016/044401
Other languages
French (fr)
Inventor
Peter Joseph Lezzi
Richard Orr Maschmeyer
John Christopher Thomas
Kevin Lee Wasson
Current Assignee (The listed assignees may be inaccurate. Google has not performed a legal analysis and makes no representation or warranty as to the accuracy of the list.)
Corning Inc
Original Assignee
Corning Inc
Priority date (The priority date is an assumption and is not a legal conclusion. Google has not performed a legal analysis and makes no representation as to the accuracy of the date listed.)
Filing date
Publication date
Priority claimed from US14/814,303external-prioritypatent/US9783448B2/en
Application filed by Corning IncfiledCriticalCorning Inc
Priority to EP16751079.1ApriorityCriticalpatent/EP3328807A1/en
Priority to US15/748,992prioritypatent/US10611664B2/en
Priority to KR1020187005875Aprioritypatent/KR20180035862A/en
Priority to JP2018504919Aprioritypatent/JP2018528918A/en
Priority to BR112018002058Aprioritypatent/BR112018002058A2/en
Priority to CN201680055008.5Aprioritypatent/CN108883977A/en
Priority to CA2994236Aprioritypatent/CA2994236A1/en
Publication of WO2017019837A1publicationCriticalpatent/WO2017019837A1/en
Anticipated expirationlegal-statusCritical
Ceasedlegal-statusCriticalCurrent

Links

Classifications

Definitions

Landscapes

Abstract

A strengthened architectural glass or glass-ceramic sheet or article as well as processes and systems for making the strengthened architectural glass or glass-ceramic sheet or article is provided. The process comprises cooling the architectural glass sheet by non-contact thermal conduction for sufficiently long to fix a surface compression and central tension of the sheet. The process results in thermally strengthened architectural glass sheets that may be incorporated into one or more panes in single or multi-pane windows.

Description

THERMALLY STRENGTHENED ARCHITECTURAL GLASS AND RELATED
SYSTEMS AND METHODS
[0001] This application claims the benefit of priority under 35 U.S.C. § 119 of U.S. Provisional Application Serial No. 62/236296 filed on October 2, 2015 and U.S. Provisional Application Serial No. 62/288851 filed on January 29, 2016 and U.S. Provisional Application Serial No. 62/288669 filed on January 29, 2016 and claims the benefit of priority under 35 U.S.C. § 120 of U.S. Application Serial No. 14/814232 filed on July 30, 2015 and U.S. Application Serial No. 14/814274 filed on July 30, 2015 and U.S. Application Serial No. 14/814293 filed on July 30, 2015 and U.S. Application Serial No. 14/814303 filed on July 30, 2015 and U.S. Application Serial No. 14/814363 filed on July 30, 2015 and U.S. Application Serial No. 14/814319 filed on July 30, 2015 and U.S. Application Serial No. 14/814335 filed on July 30, 2015 the entire contents of which are relied upon and incorporated herein by reference in its entirety.
BACKGROUND
[0002] The disclosure relates generally to thermally conditioned architectural glass, and specifically relates to thermally strengthened architectural glass and to related methods and systems for the thermal strengthening of architectural glass, particularly for thin architectural glass sheets.
[0003] In thermal (or "physical") strengthening of architectural glass sheets, an architectural glass sheet is heated to an elevated temperature above the glass transition temperature of the glass and then the surfaces of the sheet are rapidly cooled ("quenched") while the inner regions of the sheet cool at a slower rate. The inner regions cool more slowly because they are insulated by the thickness and the fairly low thermal conductivity of the architectural glass. The differential cooling produces a residual compressive stress in the architectural glass surface regions, balanced by a residual tensile stress in the central regions of the architectural glass.
[0004] Thermal strengthening of glass is distinguished from chemical strengthening of glass, in which surface compressive stresses are generated by changing the chemical composition of the glass in regions near the surface by a process such as ion diffusion. In some ion diffusion based processes, exterior portions of glass may be strengthened by exchanging larger ions for smaller ions near the glass surface to impart a compressive stress (also called negative tensile stress) on or near the surface. The compressive stress is believed to limit crack initiation and/or
propagation.
[0005] Thermal strengthening of glass also is distinguished from glass strengthened by processes in which exterior portions of the glass are strengthened or arranged by combining two types of glass. In such processes, layers of glass compositions that have differing coefficients of thermal expansion are combined or laminated together while hot. For example, by sandwiching molten glass with a higher coefficient of thermal expansion (CTE) between layers of molten glass with a lower CTE, positive tension in the interior glass compresses the outer layers when the glasses cool, again forming compressive stress on the surface to balance the positive tensile stress. This surface compressive stress provides strengthening.
[0006] Thermally strengthened architectural glass has advantages relative to unstrengthened architectural glass. The surface compression of the strengthened architectural glass provides greater resistance to fracture than unstrengthened architectural glass. The increase in strength generally is proportional to the amount of surface compression stress. If a sheet possesses a sufficient level of thermal strengthening, relative to its thickness, then if the sheet is broken, generally it will divide into small fragments rather than into large or elongated fragments with sharp edges. Glass that breaks into sufficiently small fragments, or "dices," as defined by various established standards, may be known as safety glass, or "fully tempered" glass, or sometimes simply "tempered" glass.
[0007] Because the degree of strengthening depends on the temperature difference between the surface and center of the glass sheet during quenching, thinner glasses require higher cooling rates to achieve a given stress. Also, thinner glass generally requires higher values of surface compressive stress and central tension stress to achieve dicing into small particles upon breaking. Accordingly, achieving desirable levels of tempering in glass with thicknesses of around 3 mm or less has been exceedingly challenging, if not impossible. [0008] Aspects of the present disclosure also relate generally to an architectural glass or glass- ceramic that has a stress profile for strengthening exterior portions thereof. Architectural glass and glass-ceramic articles, such as sheets of architectural glass, may be used for a broad range of applications. Examples of such applications include use in architectural windows, single and multi-pane windows, indoor and outdoor windows, vacuum insulated glass windows, and safety glass windows in buildings, homes, hotels, offices, and other similar structures.
SUMMARY
[0009] This disclosure relates, in part, to highly strengthened thin architectural glass sheets and articles, and to methods, processes, and systems that achieve surprisingly high levels of heat strengthening of architectural glass sheets at thicknesses not achieved in the past. In various embodiments, the process and method of the current disclosure is believed to surpass the architectural glass thickness limits and heat transfer rates provided by conventional convective gas thermal strengthening processes without the need to contact the architectural glass with liquid or solid heat sinks. In such systems and processes, during quenching, the architectural glass is contacted only with a gas. The systems and methods disclosed enable thermal strengthening, including up to "full temper" or dicing behavior, in architectural glass sheets having thicknesses down to at least as thin as 0.1 mm (in at least some contemplated
embodiments); and in some embodiments, provides this strengthening in a thin architectural glass sheet that also has a low roughness and a high degree of flatness resulting from the lack of liquid or solid contact during quenching. In various embodiments, these advantageous architectural glass sheet material properties are provided by a system and method with substantially lower quenching power requirements, as compared to conventional convective glass tempering systems.
[0010] One embodiment of the disclosure relates to a process for thermally strengthening an architectural glass material. The process includes providing article formed from an architectural glass material. The process includes heating the article above a glass transition temperature of the architectural glass material. The process includes moving the heated article into a cooling station. The cooling station includes a heat sink having a heat sink surface facing the heated article and a gas gap separating the heat sink surface from the heated article such that the heat sink surface does not touch the heated article. The process includes cooling the heated article to a temperature below the glass transition temperature such that surface compressive stresses and central tensile stresses are created within the article. The article is cooled by transferring thermal energy from the heated article to the heat sink by conduction across the gap such that more than 20% of the thermal energy leaving the heated article crosses the gap and is received by the heat sink.
[0011] Another embodiment of the disclosure relates to a system for thermally strengthening an architectural glass sheet. The system includes a heating station including a heating element delivering heat to the glass sheet, and the glass sheet includes a first major surface, a second major surface and a thickness between the first and second major surfaces. The system includes a cooling station, including opposing first and second heat sink surfaces defining a channel therebetween such that during cooling the glass sheet is located within the channel. The system includes a gas bearing delivering pressurized gas to the channel such that the glass sheet is supported within the channel without touching the first and second heat sink surfaces, and the gas bearing defines a gap area. The gas bearing delivers a gas into the channel such that a total mass flow rate of gas into the channel is greater than zero and less than 2k/gCp per square meter of gap area, where k is the thermal conductivity of a gas within the channel evaluated in the direction of heat conduction, g is the distance between the glass sheet and the heat sink surface, and Cp is the specific heat capacity of the gas within the channel.
[0012] Another embodiment of the disclosure relates to a strengthened architectural glass or glass-ceramic article. The article includes a first major surface, a second major surface opposite the first major surface and an interior region located between the first and second major surfaces. The article includes an average thickness between the first major surface and second major surface of less than 4 mm. The article includes at least 70% silicon dioxide by weight. An ion content and chemical constituency of at least a portion of both the first major surface and the second major surface is the same as an ion content and chemical constituency of at least a portion of the interior region. The first major surface and the second major surfaces are under compressive stress and the interior region is under tensile stress, and the compressive stress is greater than 150 MPa. A surface roughness of the first major surface is between 0.2 and 1.5 nm Ra roughness.
[0013] Another embodiment of the disclosure relates to an architectural glass or glass-ceramic layer in an architectural window. In embodiments, the window includes a first glass-based layer and a second glass-based layer. In embodiments, the first glass-based layer comprises first and second major surfaces, a first body formed from a first glass material, and a first outer edge. In embodiments, the second glass-based layer comprising first and second major surfaces, a second body formed from a second glass material, and a second outer edge. The second glass-based layer is spaced apart from and disposed substantially parallel to the first glass-based layer by a first distance. In embodiments, the second glass-based layer comprises an interior region located between the first and second major surfaces of the second glass-based layer. In embodiments, the second glass-based layer includes an ion content and chemical constituency of at least a portion of both the first major surface and the second major surface is the same as an ion content and chemical constituency of at least a portion of the interior region. In embodiments, the first and second major surfaces are under compressive stress and the interior region is under tensile stress, and the compressive stress is greater than 150 MPa. In embodiments, a surface roughness of the first major surface of the second glass-based layer is between 0.2 and 2.0 nm Ra roughness.
[0014] Another embodiment of the disclosure relates to an architectural glass or glass-ceramic layer in a window for a structure. In embodiments, the window includes a first glass-based layer and a second glass-based layer. In embodiments, the first glass-based layer comprises first and second major surfaces, a first body formed from a first glass material, and a first outer edge. In embodiments, the second glass-based layer comprising first and second major surfaces, a second body formed from a second glass material, and a second outer edge. The first and second major surface of the second glass-based layer separated by the thickness t. The second glass-based layer is spaced apart from and disposed substantially parallel to the first glass-based layer by a first distance. In embodiments, the first major surface is flat to 100 μπι total indicator run-out (TIR) along any 50 mm or less profile of the first major surface of the second glass-based layer. In embodiments, the second glass-based layer includes a glass material having a low temperature linear CTE, expressed in 1/°C, of a CTE, a high temperature linear CTE, expressed in 1/°C, of aLcTE, an elastic modulus, expressed in GPa, of E, a strain temperature, expressed in units of °C, of T strain, and a softening temperature, expressed in units of °C, of Tsoft. In further embodiments, the first major surface of the second glass-based layer has a thermally induced surface compressive stress of less than 600 MPa and greater than
Pt (h)*t
(P2 ( )+t) strain' aCTE +aCTE' (Tsoft ^ strain in units of MPa; wherein P} is given by
910.2 - 259.2 - exp (-—) ;
P2 is given by
Figure imgf000008_0001
and h is greater than or equal to 0.020 cal/s cm2 oC.
[0015] Yet another embodiment of the disclosure relates to an architectural glass or glass- ceramic layer an architectural window. In embodiments, the window includes a first glass oane and a second glass pane. In embodiments, the first glass pane comprises first and second major surfaces, a first body formed from a first glass material, and a first outer edge. In embodiments, the second glass pane comprising first and second major surfaces, a second body formed from a second glass material, and a second outer edge. The second glass pane is spaced apart from and disposed substantially parallel to the first glass pane by a first distance. In embodiments, the first major surface is flat to 100 μπι total indicator run-out (TIR) along any 50 mm or less profile of the first major surface of the second glass pane. In embodiments, the second glass pane includes a glass having a softening temperature, expressed in units of °C, of Tsoft and an annealing temperature, expressed in units of °C, of Tanneai, and a surface Active temperature measured on the first major surface of the second glass pane represented by Tfs, when expressed in units of °C. In embodiments, the second glass pane having a non-dimensional surface fictive temperature parameter 0s given by (Tfs - Tanneai)l{Tsoft - Tanned)- In embodiments, the parameter 9s is in the range of from 0.20 to 0.9.
[0016] Additional features and advantages will be set forth in the detailed description that follows, and, in part, will be readily apparent to those skilled in the art from the description or recognized by practicing the embodiments as described in the written description and claims hereof, as well as the appended drawings.
[0017] It is to be understood that both the foregoing general description and the following detailed description are merely exemplary, and are intended to provide an overview or framework to understand the nature and character of the claims.
[0018] The accompanying drawings are included to provide a further understanding and are incorporated in and constitute a part of this specification. The drawings illustrate one or more embodiments, and together with the description serve to explain principles and the operation of the various embodiments.
BRIEF DESCRIPTION OF THE DRAWINGS
[0019] FIG. 1 (Prior Art) is a graph of blower power required for "full tempering" as a function of glass thickness.
[0020] FIG. 2 (Prior Art) is a graph of blower power required for "full tempering" as a function of glass thickness for an old process or machine O and a newer process or machine N.
[0021] FIG. 3 (Prior Art) is a graph of the old curve O and the new curve N of FIG. 2 scaled to match and superimposed upon the graph of FIG. 1.
[0022] FIG. 4 is a perspective view of an architectural glass or glass-ceramic article or sheet according to an exemplary embodiment. [0023] FIG. 5 is a diagrammatic partial cross-section of a thermally strengthened architectural glass sheet of FIG. 4 according an exemplary embodiment.
[0024] FIG. 6 is a graphical representation of estimated tensile stress versus thickness for an architectural glass or glass-ceramic article according to an exemplary embodiment.
[0025] FIG. 7 shows a portion of a fractured glass or glass-ceramic article according to an exemplary embodiment.
[0026] FIG. 8 is a plot of fragmentation per square centimeter as a function of positive tensile stress from experiment.
[0027] FIG. 9 is a plot of the magnitude of negative tensile stress at the surface as a function of initial hot zone temperature from experiment, showing a threshold to achieve dicing.
[0028] FIG. 10 is a plot of the non-dimensional surface fictive temperature parameter 0s for fictive temperatures obtained by one or more embodiments of methods and systems of the present invention.
[0029] FIG. 1 1 is a plot of surface compression stresses calculated by simulation for differing glass compositions, plotted against a proposed temperability parameter Ψ for the various compositions shown.
[0030] FIGS. 12 and 13 are graphs of two parameters Pi and P2 as functions of heat transfer coefficient h.
[0031] FIG. 14 is a graph of MPa of surface compression of a glass sheet as a function of thickness t of the sheet in millimeters, showing regions of performance newly opened by one or more embodiments of the systems and methods of the present disclosure.
[0032] FIG. 15 is a graph showing compressive stress as a function of thickness plotted for selected exemplary embodiments of tempered glass sheets of the present disclosure. [0033] FIG. 16 is a flow chart illustrating some aspects of a method according to the present disclosure.
[0034] FIG. 17 is a flow chart illustrating some aspects of another method according to the present disclosure.
[0035] FIG. 18 is the graph of FIG. 3 with a region R and points A, B, A' and B' marked thereon to show a region in which the methods and systems of the present disclosure allow operation, in contrast to the prior art.
[0036] FIG. 19 is another representation of the region R and points A, B, A and B' of FIG. 18, but shown adjacent to (and positioned relative to the scale) of a reduced size copy of FIG. 2.
[0037] FIG. 20 (Prior Art) is a graph of the required heat transfer coefficient needed for tempering as a function of glass thickness.
[0038] FIG. 21 is a diagrammatic cross-section of a glass sheet being cooled by conduction more than by convection, according to an exemplary embodiment.
[0039] FIG. 22 is a schematic cross-sectional diagram of a conductive strengthening system according to an exemplary embodiment.
[0040] FIG. 23 is a perspective cut-away view of another embodiment of a system similar to that of FIG. 22 according to an exemplary embodiment.
[0041] FIG. 24 is a perspective cut-away view of an alternative embodiment of the inset feature of FIG. 23 according to an exemplary embodiment.
[0042] FIG. 25 is a perspective cut-away view of yet another alternative embodiment of the inset feature of FIG. 23 according to an exemplary embodiment.
[0043] FIG. 26 is a flow chart illustrating some aspects of yet another method according to an exemplary embodiment. [0044] FIG. 27 is a perspective view of a building with architectural glass windows according to an exemplary embodiment.
[0045] FIG. 28 is a perspective view of a display on a countertop according to an exemplary embodiment.
[0046] FIG. 29 is an exploded perspective view of a device including glass or glass-ceramic articles according to an exemplary embodiment.
[0047] FIG. 30 is a perspective view of a glass or glass-ceramic article or sheet according to an exemplary embodiment.
[0048] FIG. 31 is an architectural window as seen from the outside of a structure according to one embodiment.
[0049] FIGS. 32-33 are cross-sectional views of the peripheral edge of a double-pane window seen along line 1-1 of FIG. 31 according to exemplary embodiments.
[0050] FIG. 34 is a cross-sectional view of the peripheral edge of a triple-pane window seen along line 1-1 of FIG. 31 according to exemplary embodiments.
[0051] FIG. 35 is a front-on view of an example vacuum insulated glass (VIG) window according to an exemplary embodiment.
[0052] FIG. 36 is a cross-sectional view of the peripheral edge of a double-pane VIG window seen along line 1-1 of FIG. 35 according to exemplary embodiments.
[0053] FIG. 37 is a close-up cross-sectional view of an example glass-bump spacer.
[0054] FIG. 38 is a cross-sectional view of the peripheral edge of a triple-pane VIG window seen along line 1-1 of FIG. 35 having a middle glass-based layer with glass-bump spacers formed in both surfaces thereof. [0055] FIG. 39 is a cross-sectional view of the peripheral edge of an example triple-pane VIG window seen along line 1-1 of FIG. 35 having the second set of glass-bump spacers are formed in the back glass-based layer, rather than the middle glass-based layer.
[0056] FIG. 40 is a cross-sectional view of the peripheral edge of an example triple-pane VIG window seen along line 1-1 of FIG. 35 having the first and second sets of glass-bump spacers are formed in the front and back glass-based layers rather than the middle glass-based layer.
DETAILED DESCRIPTION
[0057] Applicant has recognized a need for improvements in thermal processing of architectural glass, both in methods and systems for thermally strengthening architectural glass and the resulting thermally strengthened architectural glass sheets themselves. For example, thinner, but strong optical-quality architectural glass sheet materials (e.g., architectural glass pnaes) and products comprising such architectural glass sheets are useful for a number of applications including as layers or panes in single and multi-pane windows, architectural windows, vacuum insulated glass (VIG) windows, etc. both inside and outside buildings, homes, offices, and similar structures. It is appreciated that glass is very strong in compression but relatively weak against tension at the surface. By providing compression at the surface of a sheet, balanced by tension at the center where there is no exposed surface, the useful strength of an architectural glass sheet is dramatically increased. However, while traditional thermal strengthening of architectural glass is generally cheaper and faster relative to alternative methods of strengthening (e.g., chemical strengthening, lamination-based strengthening), traditional thermal strengthening of architectural glass is not known to be effective for strengthening thin architectural glass (e.g., architectural glass sheets of 2-3 mm or less). Traditional thermal glass strengthening methods are typically thought to be limited to thicker glass sheets because the level of strengthening depends on the temperature difference created between the surface and the center of the glass sheet during quenching; and because of thermal conduction rate limitations of traditional strengthening methods, it is difficult to achieve significant temperature differences between the surface and the center of a thin architectural glass sheet due to the relatively even cooling that typically occurs throughout a thin glass sheet. [0058] On the other hand, strengthening thin architectural glass through ion exchange can be time-consuming and cumbersome, such as requiring chemical bathing of the architectural glass for extended periods of time. Laminating different types of architectural glasses directly to one another may require complicated manufacturing processes, such as involving a dual-isopipe fusion draw.
[0059] Therefore, a need exists for architectural glass or glass-ceramic articles having stress profiles that result in strengthening of the architectural glass for a variety of uses such as in windows, countertops, devices, etc. made by processes that are less resource-intensive and/or cumbersome than conventional processes. Specifically, processes and systems discussed herein form architectural glass articles having stress profiles that strengthen the exterior portions of the architectural glass, which in turn act to mitigate cracking and damage while at the same time allowing for a variety of other desirable architectural glass qualities (e.g., geometry, surface quality, transmittance of visible light, flexibility, etc.) to facilitate the use in various architectural glass applications.
[0060] The present description provides improved methods and systems for utilizing thermal strengthening to produce highly strengthened architectural glass materials, and in particular highly strengthened thin architectural glass sheets. The methods and systems solve a variety of the limitations of conventional architectural glass strengthening processes, allowing for high levels of strengthening in architectural glass sheets with thicknesses less than about 3 mm, less than 2 mm, less than 1.5 mm, less than 1.0 mm, less than 0.5 mm, less than about 0.25 mm, and less than about 0.1 mm. In particular, Applicant has developed a system and method that provides a very high rate of thermal conduction forming a large enough temperature differential between the surface and center of an architectural glass sheet to provide strengthening or tempering even in very thin architectural glass sheets.
Overview of Conventional Thermal Tempering Technology and Limitations
[0061] Conventional industrial processes for thermally strengthening glass involve heating glass sheets in a radiant energy furnace or a convection furnace (or a "combined mode" furnace using both techniques) to a predetermined temperature, then gas cooling ("quenching"), typically via convection by blowing large amounts of ambient air against or along the glass surface. This gas cooling process is predominantly convective, whereby the heat transfer is by mass motion (collective movement) of the fluid, via diffusion and advection, as the gas carries heat away from the hot glass sheet.
[0062] In conventional tempering processes, certain factors can restrict the amount of strengthening typically consider possible in glass sheets, particularly thin glass sheets.
Limitations exist, in part, because the amount of compressive stress on the finished sheet is related directly to the size of the temperature differential between the surface and the center of the sheet, achieved during quenching. However, the larger the temperature differential during quenching, the more likely glass is to break during quenching. Breakage can be reduced, for a given rate of cooling, by starting the quench from a higher initial glass temperature. Also, higher starting temperatures typically allow the tempered glass sheet to achieve the full strengthening potential provided by high cooling rates. However, increasing the temperature of the sheet at the start of the quench also has its own potential drawbacks. For example, high initial glass temperatures can lead to excessive deformation of the sheet as it becomes softer, again limiting the practically achievable temperature differential.
[0063] In conventional tempering processes, sheet thickness also imposes significant limits on the achievable temperature differential during quenching. The thinner the sheet, the lower the temperature differential between the surface and the center for a given cooling rate during quenching. This is because there is less glass thickness to thermally insulate the center from the surface. Accordingly, thermal strengthening of thin glass typically requires higher cooling rates (as compared to thermal strengthening of thicker glass) and, thus, faster removal of heat from the external surfaces of the glass typically requires significant energy consumption in order to generate strengthening levels of differential temperature between the inner and outer portions of the glass sheet.
[0064] By way of example, FIG. 1 shows the power required by air blowers (in kilowatts per square meter of glass sheet area) employed to blow sufficient ambient air to "fully temper" soda- lime glass ("SLG"), as a function of glass thickness in millimeters, based on industry standard thermal strengthening processes developed 35 years ago. The power required increases exponentially as the glass used gets thinner. Thus, glass sheets of about 3 mm in thickness were the thinnest fully thermally tempered commercial glass available for many years.
[0065] Further, the thinner the sheet, the greater the likelihood of deformation at a given softness (that is, at a given viscosity) of the glass. Therefore, decreasing thickness both reduces the achievable temperature differential directly and, because of increased risk of deformation of the sheet, tends to reduce the opportunity to use higher sheet temperatures to achieve the full benefits of higher cooling rates and to prevent glass breakage caused by higher cooling rates. Thus, in conventional convective gas glass strengthening processes, higher rates of cooling are achieved by increasing the rate of air flow, decreasing the distance of air nozzle openings to the glass sheet surface, increasing the temperature of the glass (at the start of cooling), and optionally, decreasing the temperature of the cooling air.
[0066] As a more recent example, the performance curves of FIG. 2 (Prior Art) were published using state of the art glass thermal strengthening equipment. This improved equipment continues to use traditional air blown convective processes to cool the glass, but replaces rollers used to support the glass during heating with a system that utilizes air to support the glass during at least the last stages of heating. Without roller contact, the glass can be heated to higher temperatures (and higher softness / lower viscosity) prior to quenching, reportedly allowing the production of fully tempered glass at 2 mm thickness. As shown in FIG. 2, the reported blower power required to strengthen a 2 mm thick sheet is reduced from 1200 kW/m2 to 400 kW/m2 at the higher temperatures enabled by using air to support the glass (curve N) as compared to using rollers (curve O).
[0067] Although it represents progress to be able to produce fully tempered 2 mm thick glass, scaling the old and new curves O and N of FIG. 2 to match the scale of FIG. 1, as shown in FIG. 3 (Prior Art), shows that the improvement in performance achieved by the state of the art convective tempering process (shown in FIG. 2) is relatively small and simply an incremental change in the previous understanding of the energy needs in convective strengthening of glass sheets. In FIG. 3 the old and new curves O and N of FIG. 2 are scaled to match the graph of FIG. 1, and overlaid thereon (with the old curve O truncated at the top at 240 kW/m2 for easier viewing of the new curve N). From FIG. 3 it is apparent that the technology represented by the curve N changes only slightly the performance curve of convective gas quenching processes as glass thickness is decreased from 3 mm to 2 mm. The high operating point (400 kW/m2 of blower power for 2 mm glass) shows the extreme increase in power still required to process thinner glass by this method. The sharp increase in airflow and, thus, power needed suggests the difficulty, as a matter of both engineering practice and economics, in going below 2 mm thickness while producing fully tempered glass using conventional convective gas strengthening methods. Additionally, the very high airflows needed also could deform the shape of thinner sheets. Accordingly, to reach full temper of glass having a thickness of less than 2 mm or to reach full temper at 2 mm in glasses having coefficients of thermal expansion ("CTE") lower than that of soda-lime glasses using thermal tempering, Applicant has identified that another tempering method/system is needed.
[0068] Alternative thermal strengthening methods to current commercial convective gas strengthening have been tried as well, but each has certain drawbacks relative to convective gas strengthening. In particular, typical alternative thermal strengthening methods that achieve higher cooling rates generally require at least some liquid or solid contact with the glass surfaces, rather than gas contact only. Such contact with the glass sheet can adversely affect glass surface quality, glass flatness, and/or evenness of the strengthening process. These defects sometimes can be perceived by the human eye, particularly when viewed in reflected light. As described in more detail below, at least in some embodiments, the conductive thermal tempering system of the present disclosure reduces or eliminates such contact-related defects.
[0069] Liquid contact strengthening, in the form of immersion in liquid baths or flowing liquids, as well as in the form of spraying, has been used to achieve higher cooling rates than convective gas strengthening, but has the drawback of causing excessive thermal variations across a sheet during the cooling process. In immersion or immersion-like spraying or flowing of liquids, large thermal variations over small areas can occur due to convection currents that arise spontaneously within the liquid bath or liquid flow. In finer spraying, the discrete spray droplets and the effects of nozzle spray patterns also produce significant thermal variations. Excessive thermal variations tend to cause glass breakage during thermal strengthening by liquid contact, which can be mitigated by limiting the cooling rates, but limiting cooling rates also lowers the resulting strengths that can be achieved. Further, the necessary handling of the sheet (to position or hold it within the liquid bath or liquid flow or liquid spray) also causes physical stress and excessive thermal variations from physical contact with the sheet, tending also to cause breakage during strengthening and limiting the cooling rates and resulting strengths. Finally, some liquid cooling methods, such as high cooling rate quenching by oil immersion and various spraying techniques, can alter the glass surface during such cooling, requiring later removal of glass material from the sheet surface to produce a satisfactory finish.
[0070] Solid contact thermal strengthening involves contacting the surface of the hot glass with a cooler solid surface. As with liquid contact strengthening, excessive thermal variations, like those seen in liquid contact strengthening, can easily arise during the quenching process. Any imperfection in the surface finish of the glass sheet, in the quenching surfaces, or in the consistency of the thickness of the sheet, results in imperfect contact over some area of the sheet, and this imperfect contact may cause large thermal variations that tend to break the glass during processing and may also cause unwanted birefringence if the sheet survives. Additionally, contacting the hot glass sheet with a solid object can lead to the formation of surface defects, such as chips, checks, cracks, scratches, and the like. Achieving good physical contact over the entirety of the surfaces of a glass sheet also can become increasing difficult as the dimensions of the sheet increase. Physical contact with a solid surface also can mechanically stress the sheet during quenching, adding to the likelihood of breaking the sheet during the process. Further, the extreme high rate temperature changes at the initiation of contact can cause breakage during sheet processing and, as such, contact cooling of thin glass substrates has not been commercially viable.
Overview of Applicant's Thermally Strengthened Architectural Glass and Related
Conductive Cooling Process and Method
[0071] The present disclosure surpasses the traditional processes described above to effectively, efficiently, and evenly thermally strengthen thin architectural glass sheets at commercial scales without generating various flaws common in conventional processes, e.g., without damaging the surface of the architectural glass, without inducing birefringence, without uneven strengthening, and/or without causing unacceptable breakage, etc. Previously unobtainable, thin, thermally tempered/strengthened architectural glass sheets can be produced by one or more of the embodiments disclosed herein. The systems and processes discussed herein accomplish this by providing very high heat transfer rates in a precise manner, with good physical control and gentle handling of the architectural glass. In particular embodiments, the processes and systems discussed herein utilize a small-gap, gas bearing in the cooling/quenching section that Applicant has identified as allowing for processing thin architectural glass sheets at higher relative temperatures at the start of cooling, resulting in higher thermal strengthening levels. As described below, this small-gap, gas bearing cooling/quenching section achieves very high heat transfer rates via conductive heat transfer to heat sink(s) across the gap, rather than using high air flow based convective cooling. This high rate conductive heat transfer is achieved while not contacting the architectural glass with liquid or solid material, by supporting the architectural glass on gas bearings within the gap. As described below, Applicant has also identified that, in at least some embodiments, the processes and systems discussed herein form thermally strengthened architectural glass, specifically thermally strengthened thin architectural glass, having one or more unique properties.
[0072] Some embodiments of architectural glass sheets treated by methods and/or systems according to the present disclosure have higher levels of permanent thermally induced stresses than previously known. Without wishing to be bound by theory, it is believed that the achieved levels of thermally induced stress are obtainable for a combination of reasons. The high uniformity of the heat transfer in the processes detailed herein reduces or removes physical and unwanted thermal stresses in the architectural glass, allowing architectural glass sheets to be tempered at higher heat transfer rates without breaking. Further, the present methods can be performed at lower architectural glass sheet viscosities (higher initial temperatures at the start of quench), while still preserving the desired architectural glass flatness and form, which provides a much greater change in temperature in the cooling process, thus increasing the heat strengthening levels achieved. Thermally Tempered Architectural Glass Sheet
[0073] As noted above, Applicant has developed a system and process for forming thermally strengthened architectural glass sheets, particularly thin architectural glass sheets, and as discussed in this section, the thermally strengthened, thin architectural glass sheets formed as discussed herein have one or more unique properties and/or combinations of properties, previously unachievable through conventional thermal or other tempering methods.
Thermally Tempered Architectural Glass Sheet Structure and Dimensions
[0074] Referring to FIG. 4 and FIG. 5, a thermally strengthened architectural glass sheet having a high surface compressive stress and/or a high central tension is shown according to an exemplary embodiment. FIG. 4 shows a perspective view of a thermally strengthened
architectural glass or glass-ceramic article or sheet 500, and FIG. 5 is a diagrammatic partial cross-section of thermally strengthened architectural glass sheet 500 according to one or more embodiments. Sheet 500 may also be referred to as pane or as a glass-based layer herein.
[0075] As shown in FIG. 4, a strengthened architectural glass or glass-ceramic article 500 (e.g., sheet, beam, plate), includes a first major surface 510, a second major surface 520 (dotted line to back side of the sheet 500, which may be translucent as disclosed herein), and a body 522 extending therebetween. The second major surface 520 is on an opposite side of the body 522 from the first major surface 510 such that a thickness t of the strengthened architectural glass or glass-ceramic sheet 500 is defined as a distance between the first and second major surfaces 510, 520, where the thickness t is also a dimension of depth. A width, w, of the strengthened architectural glass or glass-ceramic sheet 500 is defined as a first dimension of one of the first or second major surfaces 510, 520 orthogonal to the thickness t. A length, /, of the strengthened architectural glass or glass-ceramic sheet 500 is defined as a second dimension of one of the first or second major surfaces 510, 520 orthogonal to both the thickness t and the width w.
[0076] In exemplary embodiments, thickness t of architectural glass sheet 500 is less than length / of architectural glass sheet 500. In other exemplary embodiments, thickness t of architectural glass sheet 500 is less than width w of architectural glass sheet 500. In yet other exemplary embodiments, thickness t of architectural glass sheet 500 is less than both length / and width w of architectural glass sheet 500. As shown in FIG. 5, architectural glass sheet 500 further has regions of permanent thermally induced compressive stress 530 and 540 at and/or near the first and second major surfaces 510, 520, balanced by a region of permanent thermally induced central tensile stress 550 (i.e., tension) in the central portion of the sheet.
[0077] The methods and systems may be used to form strengthened architectural glass sheets having a wide variety of thickness ranges. In various embodiments, thickness t of architectural glass sheet 500 ranges from 0.1 mm to 5.7 or 6.0 mm, including, in addition to the end point values, 0.2 mm, 0.28 mm, 0.4 mm, 0.5 mm, 0.55 mm, 0.7 mm, 1 mm, 1.1 mm, 1.5 mm, 1.8 mm, 2 mm, and 3.2 mm. Contemplated embodiments include thermally strengthened architectural glass sheets 500 having thicknesses t in ranges from 0.1 to 20 mm, from 0.1 to 16 mm, from 0.1 to 12 mm, from 0.1 to 8 mm, from 0.1 to 6 mm, from 0.1 to 4 mm, from 0.1 to 3 mm, from 0.1 to 2 mm, from 0.1 to less than 2 mm, from 0.1 to 1.5 mm, from 0.1 to 1 mm, from 0.1 to 0.7 mm, from 0.1 to 0.5 mm and from 0.1 to 0.3 mm.
[0078] In some embodiments, architectural glass sheets of 3 mm or less in thickness are used. In some embodiments, the architectural glass thickness is about (e.g., plus or minus 1%) 8 mm or less, about 6 mm or less, about 3 mm or less, about 2.5 mm or less, about 2 mm or less, about 1.8 mm or less, about 1.6 mm or less, about 1.4 mm or less, about 1.2 mm or less, about 1 mm or less, about 0.8 mm or less, about 0.7 mm or less, about 0.6 mm or less, about 0.5 mm or less, about 0.4 mm or less, about 0.3 mm or less, or about 0.28 mm or less.
[0079] In some embodiments, thermally strengthened architectural glass sheets have high aspect ratios - i.e., the length and width to thickness ratios are large. Because the thermal tempering processes discussed herein do not rely on high pressures or large volumes of air, various architectural glass sheet properties, such as surface roughness and flatness, can be maintained after tempering by the use of gas bearings and high thermal transfer rate systems discussed herein. Similarly, the thermal tempering processes discussed herein allow high aspect ratio architectural glass sheets (i.e., architectural glass sheets with high ratio of length to thickness, or of width to thickness, or both) to be thermally strengthened while retaining the desired or necessary shape. Specifically, sheets with length to thickness and/or width to thickness ratios ("aspect ratios") of approximately at least 10: 1, at least 20: 1, and up to and over 1000: 1 can be strengthened. In contemplated embodiments, sheets with aspect ratios of at least 200: 1, at least 500: 1, at least 1000: 1, at least 2000: 1, at least 4000: 1 can be strengthened.
[0080] According to an exemplary embodiment, the length / of the strengthened architectural glass or glass-ceramic sheet 500 is greater than or equal to the width w, such as greater than twice the width w, greater than five times the width w, and/or no more than fifty times the width w. In some such embodiments, the width w of the strengthened architectural glass or glass- ceramic sheet 500 is greater than or equal to the thickness t, such as greater than twice the thickness t, greater than five times the thickness t, and/or no more than fifty times the thickness t.
[0081] In some embodiments, such as for applications disclosed with regard to FIGS. 27-30 discussed below, for example, the length / of the architectural glass or glass-ceramic sheet 500 is at least 1 cm, such as at least 3 cm, at least 5 cm, at least 7.5 cm, at least 20 cm, at least 50 cm, and/or no more than 50 m, such as no more than 10 m, no more than 7.5 m, no more than 5 m. In some such embodiments, the width w of the architectural glass or glass-ceramic sheet 500 is at least 1 cm, such as at least 3 cm, at least 5 cm, at least 7.5 cm, at least 20 cm, at least 50 cm, and/or no more than 50 m, such as no more than 10 m, no more than 7.5 m, no more than 5 m. Referring to FIG. 4, architectural glass or glass-ceramic is in the form a sheet 500 has a thickness t that is thinner than 5 cm, such as 2.5 cm or less, 1 cm or less, 5 mm or less, 2.5 mm or less, 2 mm or less, 1.7 mm or less, 1.5 mm or less, 1.2 mm or less, or even 1 mm or less in
contemplated embodiments, such as 0.8 mm or less; and/or the thickness t is at least 10 μηι, such as at least 50 μηι, at least 100 μηι, at least 300 μηι.
[0082] In other contemplated embodiments, the architectural glass or glass-ceramic article may be sized other than as disclosed herein. In contemplated embodiments, the length /, width w, and/or thickness t of the architectural glass or glass-ceramic articles may vary, such as for more complex geometries (see generally FIG. 30), where dimensions disclosed herein at least apply to aspects of the corresponding architectural glass or glass-ceramic articles having the above- described definitions of length /, width w, and thickness t with respect to one another. [0083] In some embodiments, at least one of the first or second surfaces 510, 520 of architectural glass sheet 500 has a relatively large surface area. In various embodiments, first and/or second surfaces 510, 520 having areas of at least 100 mm2, such as at least 900 mm2, at least 2500 mm2, at least 5000 mm2, at least 100 cm2, at least 900 cm2, at least 2500 cm2, at least 5000 cm2, and/or no more than 2500 m2, such as no more than 100 m2, no more than 5000 cm2, no more than 2500 cm2, no more than 1000 cm2, no more than 500 cm2, no more than 100 cm2. As such, the architectural glass or glass-ceramic sheet 500 may have a relatively large surface area; which, except by methods and systems disclosed herein, may be difficult or impossible to thermally strengthen particularly while having the thicknesses, surface qualities, and/or strain homogeneities of the architectural glass sheets discussed herein. Further, except by methods and systems disclosed herein, it may be difficult or impossible to achieve the stress profile, particularly the negative tensile stress portion of the stress profile (see generally FIG. 6), without relying upon ion-exchange or a change in the type of architectural glass.
Thermally Strengthened Architectural Glass Sheet Compressive and Tensile Stresses
[0084] As noted above, the thermally strengthened architectural glass sheets discussed herein may have surprisingly high surface compressive stresses, e.g., in regions 530, 540 shown in FIG. 5, surprisingly high central tensile stresses, e.g., in region 550 shown in FIG. 5, and/or unique stress profiles (see FIG. 6). This is particularly true considering the low thickness and/or other unique physical properties (e.g., very low roughness, high degree of flatness, various optical properties, fictive temperature properties, etc.) of architectural glass sheet 500 as discussed herein.
[0085] Compressive stresses of architectural glasses (e.g., in regions 530, 540 shown in FIG. 5) formed by the processes and systems disclosed herein can vary as a function of thickness t of the architectural glasses. In various embodiments, architectural glasses, e.g., architectural glass sheet 500, having a thickness of 3 mm or less have a compressive stress (e.g., surface
compressive stress) of at least, 45 MPa, of at least 60 MPa, of at least 80 MPa, at least 100 MPa, at least 150 MPa, at least 200 MPa, at least 250 MPa, at least 300 MPa, at least 350 MPa, at least 400 MPa, and/or no more than 1 GPa. In contemplated embodiments, architectural glasses having a thickness of 2 mm or less have a compressive stress of at least 45 MPa, of at least 60 MPa, of at least 80 MPa, at least 100 MPa, at least 150 MPa, at least 175 MPa, at least 200 MPa, at least 250 MPa, at least 300 MPa, at least 350 MPa, at least 400 MPa, and/or no more than 1 GPa. In contemplated embodiments, architectural glasses having a thickness of 1.5 mm or less have a compressive stress of at least 45MPa, of at least 60 MPa, of at least 80 MPa, at least 100 MPa, at least 150 MPa, at least 175 MPa, at least 200 MPa, at least 250 MPa, at least 300-MPa, at least 350 MPa, and/or no more than 1 GPa. In contemplated embodiments, architectural glasses having a thickness of 1 mm or less have a compressive stress of at least 45 MPa, of at least 60 MPa, of at least 80 MPa, at least 100 MPa, at least 150 MPa, at least 175 MPa, at least 200 MPa, at least 250 MPa, at least 300 MPa, and/or no more than 1 GPa. In contemplated embodiments, architectural glasses having a thickness of 0.5 mm or less have a compressive stress of at least 45 MPa, of at least 60 MPa, of at least 50 MPa, at least 80 MPa, at least 100 MPa, at least 150 MPa, at least 175 MPa, at least 200 MPa, at least 250 MPa, and/or no more than 1 GPa.
[0086] In some embodiments, the thermally induced central tension in architectural glasses formed by the processes and systems disclosed herein (e.g., in the region 550 shown in FIG. 5) may be greater than 30 MPa, may be greater than 40 MPa, greater than 50 MPa, greater than 75 MPa, greater than 100 MPa. In other embodiments, the thermally induced central tension may be less than 300 MPa, or less than 400 MPa. In some embodiments, the thermally induced central tension may be from about 30 MPa to about 300 MPa, about 50 MPa to about 300 MPa, about 60 MPa to about 200 MPa, about 70 MPa to about 150 MPa, or about 80 MPa to about 140 MPa. In some embodiments, the thermally strengthened architectural glass sheets have high thinness i.e., are particularly thin. Because very high-heat transfer rates can be applied via the systems and methods discussed herein, significant thermal effects, for example central tensions of at least 10 or even at least 20 MPa, can be produced in sheets of SLG of less than 0.3 mm thickness. In fact, very thin sheets, sheets at least as thin as 0.1 mm, can be thermal
strengthened. Specific levels of thermal stresses achieved and achievable, considered as a function of thickness and other variables, are described in further detail herein. [0087] Referring to FIG. 6, a conceptual stress profile 560, at room temperature of 25° C and standard atmospheric pressure, of the strengthened architectural glass or glass-ceramic sheet 500 of FIG. 4, shows an interior portion 550 of the strengthened architectural glass or glass-ceramic sheet 500 under positive tensile stress and portions 530, 540 of the strengthened architectural glass or glass-ceramic sheet 500 exterior to and adjoining the interior portion 550 under negative tensile stress (e.g., positive compressive stress). Applicant believes that the negative tensile stress at least in part fortifies the strengthened architectural glass or glass-ceramic sheet 500 by limiting initiation and/or propagation of cracks therethrough.
[0088] Believed unique to the present inventive technology, given relatively large surface areas and/or thin thicknesses of the strengthened architectural glass or glass-ceramic sheet 500 as disclosed herein, tensile stress in the stress profile 560 sharply transitions between the positive tensile stress of the interior portion 550 and the negative tensile stress of the portions 530, 540 exterior to and adjoining the interior portion 550. This sharp transition may be understood as a rate of change (i.e., slope) of the tensile stress which may be expressed as a magnitude of stress
(e.g., 100 MPa, 200 MPa, 250 MPa, 300 MPa, 400 MPa, a difference in peak values of the positive and negative tensile stresses +σ, -σ) divided by a distance of thickness over which the change occurs, such as a distance of 1 mm, such as a distance of 500 μπι, 250 μπι, 100 μπι
(which is the distance used to quantify a rate of change, which may be a portion of article thickness, and not necessarily a dimension of the article geometry). In some such embodiments, the rate of change of the tensile stress does not exceed 7000 MPa divided by 1 mm, such as no more than 5000 MPa divided by 1 mm. In contemplated embodiments, the difference in peak values of the positive and negative tensile stresses is at least 50 MPa, such as at least 100 MPa, at least 150 MPa, at least 200 MPa, at least 250 MPa, at least 300 MPa, at least 400 MPa, at least
500 MPa, and/or no more than 50 GPa. In contemplated embodiments, the architectural glass or glass-ceramic sheet 500 has a peak negative tensile stress of at least 50 MPa in magnitude, such as at least 100 MPa, at least 150 MPa, at least 200 MPa, at least 250 MPa, at least 300 MPa, at least 400 MPa, at least 500 MPa. The steep tensile curve transitions generated by the system and method discussed herein are believed to be indicative of the ability to achieve higher magnitudes of negative tensile stress at a surface of an architectural glass sheet for a given thickness and/or to manufacture thinner architectural glass articles to a higher degree of negative tensile stress, such as to achieve a fragmentation potential for dicing as disclosed herein. Conventional thermal tempering approaches may be unable to achieve such steep tensile stress curves.
[0089] According to an exemplary embodiment, the high rate of change of tensile stress is at least one of the above-described magnitudes or greater sustained over a thickness-wise stretch of the stress profile 560 that is at least 2% of the thickness, such as at least 5% of the thickness, at least 10% of the thickness, at least 15% of the thickness, or at least 25% of the thickness of architectural glass sheet 500. In contemplated embodiments, the strengthening extends deep into the strengthened architectural glass or glass-ceramic sheet 500 such that the thickness-wise stretch with the high rate of change of tensile stress is centered at a depth of between 20% and 80%) into the thickness from the first surface, which may further distinguish chemical tempering for example.
[0090] In at least some contemplated embodiments, the strengthened architectural glass or glass- ceramic article includes a change in the composition thereof in terms of ion content, conceptually shown as dotted line 562 in FIG. 6. More specifically, the composition of the strengthened architectural glass or glass-ceramic article 500 in such embodiments includes exchanged or implanted ions that influence the stress profile 560. In some such embodiments, the exchanged or implanted ions do not extend fully through the portions 530, 540 of the strengthened architectural glass or glass-ceramic article 500 under the negative tensile stress because the negative tensile stress is also a result of the thermal tempering as disclosed herein.
[0091] Accordingly, the curve of the tensile stress profile 560 with ion exchange strength augmentation includes a discontinuity or sudden change 564 in direction where tangents of the curve differ from one another on either side of the discontinuity or sudden change 564. The sudden change 564 is located within the portions 530, 540 under negative tensile stress such that the tensile stress is negative on either side immediately adjacent to the discontinuity or sudden change 564. The discontinuity or sudden change 564 may correspond to the depth of the different ion content, however in some such embodiments other parts of the portions 530, 540 under negative tensile stress still have the same composition in terms of ion content as the portion 550 under positive tensile stress. [0092] Put another way, for at least some strengthened architectural glass or glass-ceramic articles 500, with or without ion-exchange or implantation, the composition of at least a part of the portions 530, 540 of the strengthened architectural glass or glass-ceramic sheet 500, which is under the negative tensile stress and is exterior to and adjoining the interior portion 550, is the same as the composition of at least a part of the interior portion 550, which is under the positive tensile stress. In such embodiments, at least some of the negative tensile stress of the stress profile is independent of a change in the composition (e.g., ion composition) of the strengthened architectural glass or glass-ceramic sheet 500. Such structure may simplify the composition of the strengthened architectural glass or glass-ceramic sheet 500 at least to a degree by providing sufficient strength without and/or with less chemical tempering. Further, such structure may reduce stress concentrations within the strengthened architectural glass or glass-ceramic sheet 500 due to discontinuity/changes in composition, possibly reducing chances of delamination and/or cracking at the composition discontinuity.
Thermally Tempered Architectural Glass Sheet Break Performance
[0093] If sufficient energy is stored in the region of tensile stress 550, the architectural glass will break like safety glass or "dice" when sufficiently damaged. As used herein, an architectural glass sheet is considered to dice when an area of the architectural glass sheet 25 cm2 breaks into 40 or more pieces. In some embodiments, dicing is used as a qualitative measure of showing that the architectural glass sheet is "fully tempered" (i.e., for 2 mm or thicker architectural glass, where the architectural glass sheet has a compressive stress of at least 65 MPa or an edge compression of at least 67 MPa). In various embodiments, architectural glass sheet 500 has sufficient tensile stress in region of tensile stress 550 such that a 25 cm2 piece of architectural glass sheet 500 breaks into 40 or more pieces.
[0094] Referring to FIG. 7, an architectural glass or glass-ceramic article 610, having properties as disclosed herein with respect to the architectural glass or glass-ceramic sheets, such as sheet 500, has been fractured, such as using a prick punch or other instrument and/or generally in accordance with American National Standards Institute (ANSI) Z97.1 (impact test) and the ASTM 1048 standard. According to an exemplary embodiment, the architectural glass or glass- ceramic article 610 has been strengthened to a degree that dicing has occurred upon the fracture, forming a plurality of small granular chunks 616 (e.g., fragments, pieces). In some
embodiments, the architectural glass or glass-ceramic article 610 has a thermally-induced stress sufficient to produce a number of granular chunks 616 that is not less than 40 within an area of 50-by-50 mm of the architectural glass or glass-ceramic article 610 in a fragmentation test in which an impact is applied with a hammer or a punch to initiate cracking of the architectural glass into granular pieces. A standard office thumb tack 612, with a metal pin length 614 of about 1 cm is shown for reference.
[0095] According to various contemplated embodiments, despite the thin thickness of the strengthened architectural glass or glass-ceramic article 610, the stress profile (see generally FIG. 6) imparts a high fragmentation potential of the strengthened architectural glass or glass-ceramic article 610 such that when fractured the strengthened architectural glass or glass-ceramic article 610 shatters into particularly small granular chunks 616, those having an area on either the first or second surface of less than 90 mm2, such as less than 50 mm2, such as less than 20 mm2, such as less than 10 mm2, such as less than 5 mm2, and/or at least 10 μπι2. In some such
embodiments, the fragmentation potential of the strengthened architectural glass or glass-ceramic article 610 is such that at least 20% (e.g., at least 50%, at least 70%, at least 95%) of the granular chunks 616 have an area of at least one of the first or second surfaces of one of the above- described amounts when the strengthened architectural glass or glass-ceramic article is fractured.
[0096] Due at least in part to the particularly thin geometry of the architectural glass or glass- ceramic article 610 that may be manufactured with the tensile stresses as disclosed herein using the inventive technology in some embodiments, the fragmentation potential of the strengthened architectural glass or glass-ceramic article 610 is such that, when fractured, the strengthened architectural glass or glass-ceramic article 610 shatters into particularly low- volume granular chunks, those having a volume of less than 50 mm3, such as less than 40 mm3, such as less than 30 mm3, such as less than 25 mm3, and/or at least a volume of 50 μπι3.
[0097] Due at least in part to the particularly large area of the architectural glass or glass-ceramic article 610 that may be manufactured with the tensile stresses as disclosed herein using the inventive technology in some embodiments, the fragmentation potential of the strengthened architectural glass or glass-ceramic article 610 is such that, when fractured, the strengthened architectural glass or glass-ceramic article 610 shatters into at least 100 granular chunks 616 of at least of 50 μιη3 in volume, such as at least 200, at least 400, at least 1000, at least 4000 granular chunks 616 of at least of 50 μιη3 in volume.
[0098] Referring now to FIG. 8 and FIG. 9, experiments were performed on 1.1 mm thick glass sheets of glass comprising at least 70% silicon dioxide by weight, and/or at least 10% sodium oxide by weight, and/or at least 7% calcium oxide by weight, and strengthened using the equipment and processes disclosed herein. As shown in FIG. 8, the number of granular chunks 616 per square centimeter of the glass has been found to be generally related to the magnitude of positive tensile stress at the center of the respective glass or glass-ceramic article 610. Similarly, as shown in FIG. 9, the fragmentation potential of the respective glass or glass-ceramic article 610 has also been found to be related to temperature of the glass in the hot zone (see e.g., FIG. 21, FIG. 22 and FIG. 23) and the calculated expected heat transfer coefficient (h) in units of cal/cms»°C (SI units watt/m°K) effectively applied to the glass surfaces during quenching, based on size of the gap between the glass sheet surfaces and the heat sink / gas bearing during quenching and on the thermal conductivity of the gas used in the gap.
Thermally Tempered Architectural Glass Sheet Fictive Temperature
[0099] In various embodiments, the thermally strengthened architectural glass sheets formed by the systems and methods discussed herein (e.g., architectural glass sheet 500) have high fictive temperatures. It will be understood that in various embodiments, high fictive temperatures of the architectural glass materials discussed herein relate to the high level of tempering, high central tensile stresses and/or high compressive surface stress of architectural glass sheet 500. Surface fictive temperatures may be determined by any suitable method, including differential scanning calorimetry, Brillouin spectroscopy, or Raman spectroscopy.
[00100] According to an exemplary embodiment, the architectural glass or glass-ceramic sheet 500 has a portion thereof, such as at or near the first and/or second surfaces 510, 520, that has a particularly high fictive temperature, such as at least 500° C, such as at least 600° C, or even at least 700° C in some embodiments, such as for soda-lime glass. According to an exemplary embodiment, the architectural glass or glass-ceramic sheet 500 has a portion thereof, such as at or near the first and/or second surfaces 510, 520, that has a particularly high fictive temperature relative to annealed glass of the same chemical composition, such as at least 10° C greater, at least 30° C greater, at least 50° C greater, at least 70° C greater, or even at least 100° C greater. High fictive temperature may be achieved by the presently disclosed inventive technology at least in part due to the rapid transition from the hot to the cooling zones in the strengthening system (see e.g., FIG. 21, FIG. 22 and FIG. 23). Applicant believes that high fictive temperature may correspond or relate to increased damage resistance of glass.
[00101] In some methods of determining surface fictive temperatures, it may be necessary to break the glass to relieve the "temper stresses" induced by the heat strengthening process in order to measure fictive temperature with reasonably accuracy. It is well known that
characteristic structure bands measured by Raman spectroscopy shift in a controlled manner both with respect to the fictive temperature and with respect to applied stress in silicate glasses. This shift can be used to non-destructively measure the fictive temperature of a thermally
strengthened glass sheet if the temper stress is known.
[00102] Referring generally to FIG. 10, determination of fictive temperature for several exemplary architectural glass articles is shown. Stress effects on the Raman spectrum of silica glass are reported in D.R. Tallant, T.A. Michalske, and W.L. Smith, "The effects of tensile stress on the Raman spectrum of silica glass," J. Non-Cryst. Solids, 106 380-383 (1988). Commercial glasses of 65 wt. % silica or more have substantially the same response. Although the reported stress response is for uniaxial stress, in the case of a unibiaxial stress state such as that which is observed in tempered glass, σχχ = oyy, the peak can be expected to shift by twice that expected by a uniaxial stress. The peak near 1090 cm"1 in soda-lime glass and in glass 2 corresponds to the 1050 cm"1 peak observed in silica glass. The effects of stress on the 1050 cm"1 peak in silica, and on the corresponding peak in SLG and other silicate glasses can be expressed, as a function of stress σ in MPa, by equation a) ro(cm_1) = 1054.93 - 0.00232 σ.
[00103] A calibration curve was produced of Raman band positions as a function of the fictive temperature for SLG and another glass, glass 2. Glass samples were heat-treated for various times, 2-3 times longer than the structural relaxation times calculated by τ = 10*r|/G, where η is the viscosity, and G the shear modulus. After heat-treatment, the glasses were quenched in water to freeze the fictive temperature at the heat-treatment temperature. The glass surfaces were then measured by micro Raman at 50x magnification and a 1-2 μπι spot size using a 442 nm laser, 10-30 s exposure time, and 100% power, over the range of 200-1800 cm"1. The position of the peak at 1000-1200 cm"1 was fit using computer software, Renishaw WiRE version 4.1, in this case. A good fit of the 1090 cm"1 Raman peak measured in SLG on the air side as a function of fictive temperature Tf (in °C) is given by equation b) ro(cm_1) = 1110.66 - 0.0282 Tf. For glass 2, a good fit is given by equation c) ro(cm_1) = 1102.00 - 0.0231 Tf
[00104] Using the relationships established in equations a), b), and c), it is possible to express the fictive temperature of the architectural glass as a function of a measured Raman peak position with a correction factor due to surface compressive stress. A compressive stress of 100 MPa, Gc, shifts the Raman band position equivalent to approximately a 15 to 20 degree Celsius reduction in the fictive temperature. The following equation is applicable to SLG:
7>(°C) = + 2 [0.082 * ac(MPa)] (1)
Figure imgf000031_0001
The equation applicable to glass 2 is: 1)— 1102(cm_1)
7>(°C) = L(cm_
+ 2 [0.0996 * ac(MPa)] (2)
-0.0231( ζ-)
[00105] In these equations, ω is the measured peak wavenumber for the peak near 1090 cm"1, Gc is the surface compressive stress measured by any suitable technique, yielding stress-corrected measurement of fictive temperature in °C.As a demonstration of increased damage resistance related to the determined fictive temperature, four glass sheet samples were prepared, two 6 mm soda-lime glass (SLG) sheets by conventional tempering methods to approximately 70 and 110 MPa surface compressive stress (CS), and two 1.1 mm SLG sheets by the methods and systems disclosed herein to about the same levels of CS. Two additional sheets, one of each thickness were used as controls. The surfaces of each test sheet were subjected to standard Vickers indentation. Various levels of force were applied, for 15 seconds each, and after a 24 hour wait, indentations were each examined. As shown in Table I, the 50% cracking threshold (defined as the load at which the average number of cracks appearing is two out of the four points of the indenter at which cracks tend to initiate) was determined for each sample.
[00106] Table I shows that the Vickers crack initiation threshold for SLG processed by conventional convective gas tempering (as reflected in the 6 mm sheet) is essentially the same as that for annealed or as-delivered SLG sheets, rising from between zero and one newton (N) to about one to less than two newtons. This correlates with the relatively modest rise in surface fictive temperature (TfS or Tfsurface) of -25 to 35 °C relative to glass transition temperature (Tg = 550° C for SLG, defined as η=1012"13 Poise) that was provided by conventional tempering. In contrast, by tempering using the present methods and systems, the Vickers crack initiation threshold improved to greater than 10 N, a 10-fold increase over the Vickers damage resistance imparted by conventional tempering. In the embodied glasses, the Τ¾ minus Tg was at least 50°C, or at least 75°C, or at least 90°C, or in the range of from approximately 75°C to 100°C. Even in embodiments comprising lower levels of heat strengthening, the embodied glasses can still provide increased resistance, at levels such as 5 N, for instance. In certain contemplated embodiments, the 50% cracking threshold after a 15 second Vickers crack initiation test may be equal to or greater than 5 N, 10 N, 20 N, or 30 N.
Figure imgf000032_0001
[00107] The following non-dimensional fictive temperature parameter Θ can be used to compare the relative performance of a thermal strengthening process in terms of the fictive temperature produced. Given in terms of surface fictive temperature 6s in this case: θ$ (Tj - Tanneaj)l(Tsoft - Ί anneal) (3) where Τβ is the surface fictive temperature, Ί anneal (the temperature of the glass at a viscosity of η=1013 2 Poise) is the annealing point and Tsoft(t e temperature of the glass at a viscosity of n=107 6 Poise) is the softening point of the glass of the sheet. FIG. 10 is a plot of 0s for measured surface fictive temperatures as a function of heat transfer rate, h, applied during thermal strengthening for two different glasses. As shown in FIG. 10, the results for the two different glasses overlie each other fairly closely. This means that parameter Θ provides a means to compare the fictive temperatures of different glasses compared directly, in relation to the heat transfer rate h required to produce them. The vertical range of results at each h corresponds to variation in the value of T0, the initial temperature at the start of quenching. In embodiments, parameter 6s comprises from about (e.g., plus or minus 10%) 0.2 to about 0.9, or 0.21 to 0.09, or 0.22 to 0.09, or 0.23 to 0.09, or 0.24 to 0.09, or 0.25 to 0.09, or 0.30 to 0.09, or 0.40 to 0.09, or 0.5 to 0.9, or 0.51 to 0.9, or 0.52 to 0.9, or 0.53 to 0.9, or 0.54 to 0.9, or 0.54 to 0.9, or 0.55 to 0.9, or 0.6 to 0.9, or even 0.65 to 0.9.
Thermally Tempered Architectural Glass Sheet Temperability Parameter
[00108] In various embodiments, the thermally strengthened architectural glass sheets formed by the systems and methods discussed herein (e.g., architectural glass sheet 500) have a high temperability and/or heat transfer value. The "specific thermal stress" of a glass is given by:
where is the (low temperature linear) CTE of the glass, E is the modulus of elasticity of the glass material and μ is Poisson's ratio of the glass material. This value is used to indicate the level of stress produced within a given glass composition when subjected to a temperature gradient. It may also be used as an estimator of thermal "temperability." At higher thermal transfer rates (such as at about 800 W/m2K and above, for example), however, the high temperature or "liquidus" CTE of the glass begins to affect tempering performance. Therefore, under such conditions, the temperability parameter Ψ, based on an approximation of integration over the changing CTE values across the viscosity curve, is found to be useful:
Ψ = E
Figure imgf000034_0001
C cTE +aCTE ' ( soft~ (5) s
where a CTE is the low temperature linear CTE (equivalent to the average linear expansion coefficient from 0-300°C for the glass), expressed in 1/°C (°C_1) , L TE is the high temperature linear CTE (equivalent to the high-temperature plateau value which is observed to occur somewhere between the glass transition and softening point), expressed in 1/°C (°C_1), E is the elastic modulus of the glass, expressed in GPa (not MPa) (which allows values of the (non- dimensional) parameter Wto range generally between 0 and 1), Tstram is the strain point temperature of the glass, (the temperature of the glass at a viscosity of η=1014 7 Poise) expressed in °C, and Tsoft is the softening point of the glass (the temperature of the glass at a viscosity of η=107 6 Poise), expressed in °C.
[00109] The thermal strengthening process and resulting surface compressive stresses were modeled for glasses having varying properties to determine the tempering parameter, Ψ. The glasses were modeled at the same starting viscosity of 108 2 Poise and at varying heat transfer coefficients. The properties of the various glasses are shown in Table II, together with the temperature for each glass at 108 2 Poise and the calculated value of the temperability parameter Ψ for each.
TABLE II
Figure imgf000034_0002
7 73.6 3.6 13.3 929 963 708 0.44
8 81.1 3.86 12.13 968 995 749 0.48
[00110] The results in Table II show that is proportional to the thermal strengthening performance of the glass. This correlation is further shown in FIG. 1 1, which provides an embodied example for a high heat transfer rate (a heat transfer coefficient of 2093 W/m2K (0.05 cal/s cm2 oC)) and a glass sheet thickness of only 1 mm. As seen in the figure, the variation in the seven differing glasses' resulting compressive stress correlates well with the variation in the proposed temperability parameter Ψ.
Thermally Tempered Architectural Glass Sheet Heat Transfer Coefficient and Relation to
Surface Compressive Stress and Central Tension Stress
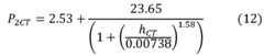
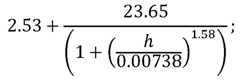
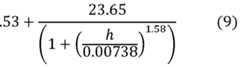
[00111] In another aspect, it has been found that for any glass, at any given value of the heat transfer coefficient, h (expressed in cal/cm2-s-°C), the curves of surface compressive stress (ocs, in MPa) vs. thickness (t, in mm) can be fit (over the range of t from 0 to 6 mm) by the hyperbola, where Pi and P2 are functions of h such that:
Figure imgf000035_0001
acs(Glass, h, t) = C(h, t) * (Glass) =r * Ψ (Glass) (6)
(P2(h) + t) or with the expression for ^ substituted in, the curve of compressive stress ocs (Glass, h,t) is given by:
P^h * t s L ( Yi
(P (h) + t)' ' acTE aCTE' ( Tsoft~ Tstrain) (7) where the constants Pi, P2, in either (6) or (7) above, are each continuous functions of the heat transfer value, h, given by: h
910.2 - 259.2 - exp (-—) (8) and
Figure imgf000036_0001
The constants Pi, P2, are graphed as functions of h in FIGS. 12 and 13, respectively.
Accordingly, by using a value of Pi, for a given h and the corresponding P2, for that same h in expression (6) or (7) above, a curve is specified corresponding to the surface compressive stress (CS) obtainable at that h, as a function of thickness t.
[00112] In some embodiments, a similar expression may be used to predict the central tension (CT) of a thermally strengthened architectural glass sheet, particularly at a thickness of 6 mm and less, and the thermal transfer coefficient, such as 800 W/m2K and up, by simply dividing the compressive stress predicted under the same conductions by 2. Thus, expected central tension may be given by
1 ( soft (10)
Figure imgf000036_0002
Where Pier and P2CT are given as follows:
Figure imgf000036_0003
and
Figure imgf000036_0004
In some embodiments, h and her, may have the same value for a given physical instance of thermal strengthening. However, in some embodiments, they may vary, and providing separate variables and allowing variation between them allows for capturing, within descriptive performance curves, instances in which the typical ratio of 2: 1 CS/CT does not hold. [00113] One or more embodiments of the currently disclosed processes and systems have produced thermally strengthened SLG sheets at all of the heat transfer rate values (h and her) shown in Table III.
Table III
Figure imgf000037_0001
[00114] In some embodiments, the heat transfer value rates (h and her) may be from about 0.024 to about 0.15, about 0.026 to about 0.10, or about 0.026 to about 0.075 cal/s cm2 oC.
[00115] FIG. 14 shows the newly opened performance space in MPa of surface compression of a glass sheet as a function of thickness t (in mm), by a graph of C(h,t) W(SLG) for selected values of h according to equations 6-9 above, with W(SLG) corresponding to the value of Ψϊοχ SLG in Table II. The traces labeled GC represent the estimated range of maximum stresses versus thinness of SLG sheets achievable by gas convective tempering, from 0.02 cal/s cm2 oC (or 840 W/m2K) to 0.03 cal/s cm2 oC or 1250 W/m2K, assuming that these levels of heat transfer coefficient can be employed in that process at a heated glass viscosity of 108 2 Poises or about 704°C, a temperature above the capability of convective gas processes.
[00116] Examples of highest reported sheet CS values based on gas convective tempering processes are shown by the triangle markers labeled Gas in the legend. The value 601 represents advertised product performance capability of commercial equipment, while the value 602 is based on an oral report at a glass processing conference. The trace labeled LC represents the curve of maximum stresses versus thinness of SLG sheets estimated to be achievable by liquid contact tempering, given by a heat transfer rate h of 0.0625 cal/s cm2 oC (or about 2600
W/m2K), also assuming processing at an initial heated glass viscosity of 108 2 Poises or about 704°C. Examples of highest reported sheet CS values based on liquid contact tempering processes are shown by the circle markers labeled Liquid in the legend. The higher of the two values at 2 mm thickness is based on a report of tempering of a borosilicate architectural glass sheet, and the stress achieved has been scaled for the figure by ( ¾G) ( ^borosiiicate) for scaled direct comparison.
[00117] The trace labeled 704 represents stresses achievable by one or more embodiments of the presently disclosed methods and systems at a heat transfer rate of 0.20 cal/s cm2 oC (or about 8370 W/m2K) and an initial temperature, just before quenching, of 704 °C. The level of stress on the architectural glass sheet thus achievable represents almost the same scope of improvement over liquid tempering strength levels as liquid tempering represents over state of the art gas convective tempering. But the trace labeled 704 is not an upper limit - embodiments have been shown to be viable above this value due to the good control of form and flatness achievable in a small-gap gas bearing thermal strengthening at even higher temperatures (at lower viscosities of the architectural glass). The trace labeled 730 shows some of the additional strengthening performance achieved by a heat transfer rate of 0.20 cal/s cm2 oC (or about 8370 W/m2K) at a starting temperature for a SLG sheet of 730°C, very near or above the softening point of the architectural glass. Significant improvements in compressive stress and thus in architectural glass sheet strength are thus achieved particularly by the combination of high heat transfer rate and the use of high initial temperatures enabled by the good handling and control of sheet flatness and form in a tight gas bearing— and the improvements are particularly striking at thickness 2 mm and below.
[00118] FIG. 15 shows the traces of FIG. 14 explained above, at 2 mm and below, but with compressive stress as a function of thickness plotted for selected examples of tempered glass sheets produced by one or more embodiments of the present disclosure, showing the extreme combination of thermal strengthening levels and thinness enabled by the present disclosure.
Thermally Tempered Architectural Glass Sheet with Low Surface Roughness and High Degree of Flatness
[00119] In various embodiments, thermally strengthened architectural glass sheets disclosed herein, such as sheet 500, have both high thermal stresses and low, as-formed surface roughness. The processes and methods disclosed herein can thermally strengthen a sheet of architectural glass without increasing the surface roughness of the as-formed surfaces. For example, incoming float architectural glass air-side surfaces and incoming fusion formed architectural glass surfaces were characterized by atomic force microscopy (AFM) before and after processing. Ra surface roughness was less than 1 nm (0.6-0.7 nm) for incoming 1.1 mm soda-lime float architectural glass, and the Ra surface roughness was not increased by thermal strengthening according to the present processes. Similarly, an Ra surface roughness of less than 0.3 nm (0.2 - 0.3) for 1.1 mm sheets of fusion-formed architectural glass was maintained by thermal strengthening according to this disclosure. Accordingly, thermally strengthened architectural glass sheets have a surface roughness on at least a first surface in the range from 0.2 to 1.5 nm Ra roughness, 0.2 to 0.7 nm, 0.2 to 0.4 nm or even such as 0.2 to 0.3 nm, over at least an area of 10 x 10 μπι. Surface roughness may be measured over an area of 10 x 10 μπι in exemplary embodiments, or in some embodiments, 15 x 15 μπι.
[00120] In some contemplated embodiments, thermally strengthened architectural glass sheets disclosed herein have both high thermal stresses and low, as-formed surface roughness and/or coated surfaces. The processes and methods disclosed herein can thermally strengthen a sheet of architectural glass without increasing the surface roughness of smooth as-formed or as-delivered surfaces of architectural glass sheets, and likewise without damaging sensitive low-E or anti- reflective or other coatings. Incoming float architectural glass air-side surfaces, and incoming fusion- formed architectural glass surfaces, were characterized by atomic force microscopy (AFM) before and after processing. Ra surface roughness was less than 1 nm (such as 0.6 to 0.7 nm) for incoming on the air side of 1.1 mm soda-lime float architectural glass and was not increased by thermal strengthening according to the present disclosure. Ra surface roughness was less than 0.3 nm (such as 0.2 to 0.3 nm) incoming on 1.1 mm sheets of fusion-formed architectural glass and likewise was not increased by thermal strengthening according to this disclosure. Accordingly, in contemplated embodiments, thermally strengthened architectural glass sheets, according to this disclosure, have surface roughness on at least a first surface in the range of at least 0.2 nm and/or no more than 1.5 nm Ra roughness, such as no more than 0.7 nm, such as no more than 0.4 nm or even such as no more than 0.3 nm, or have thermally
strengthened sheets having coatings thereon of the type that may be applied before strengthening, or have combinations of these low roughness values and coatings, are obtained from the present process used with corresponding architectural glass sheets as starting material. It is Applicant's understanding that such preservation of surface quality and/or surface coating(s) previously required use of convective gas tempering or perhaps a low heat transfer liquid tempering process, which produces limited thermal strengthening effects relative to the total range available with the present processes and methods.
[00121] In another embodiment, the thermally strengthened architectural glass sheets described herein have high flatness. In various embodiments, the strengthening system discussed herein utilizes controlled gas bearings to support the architectural glass material during transporting and heating, and in some embodiments, can be used to assist in controlling and/or improving the flatness of the architectural glass sheet, resulting in a higher degree of flatness than previously obtainable, particularly for thin and/or highly strengthened architectural glass sheets. For example, sheets at least 0.6 mm can be strengthened with improved post-strengthening flatness.
The flatness of thermally strengthened architectural glass sheets embodied herein can comprise
100 μπι or less total indicator run-out (TIR) along any 50 mm length along one of the first or second surfaces thereof, 300 μπι TIR or less within a 50 mm length on one of the first or second surfaces, 200 μπι TIR or less, 100 μπι TIR or less, or 70 μπι TIR or less within a 50 mm length on one of the first or second surfaces. In exemplary embodiments, flatness is measured along any 50 mm or less profile of the architectural glass sheet. In contemplated embodiments, sheets with thickness disclosed herein have flatness 200 μπι TIR or less within a 20 mm length on one of the first or second surfaces, such as flatness 100 μπι TIR or less, flatness 70 μπι TIR or less, flatness 50 μπι TIR or less.
[00122] According to contemplated embodiments, the strengthened architectural glass or glass- ceramic articles discussed herein (e.g., architectural glass sheet or pane 500 shown in FIG. 4) have a high-degree of dimensional consistency such that the thickness t thereof along a 1 cm lengthwise stretch of the body 522 does not change by more than 50 μπι, such as, by not more than 10 μπι, not more than 5 μπι, not more than 2 μπι. Such dimensional consistency may not be achievable for given thicknesses, areas, and/or magnitudes of negative tensile stress, as disclosed herein, by solid quenching due to practical considerations, such as cooling plate alignment and/or surface irregularities that may distort the dimensions.
[00123] According to contemplated embodiments, the strengthened architectural glass or glass- ceramic articles discussed herein have at least one major surface (e.g., first and second surfaces 510, 520 of the strengthened architectural glass or glass-ceramic sheet 500 in FIG. 4) that is flat such that a 1 cm lengthwise profile therealong stays within 50 μπι of a straight line, such as within 20 μπι, 10 μπι, 5 μπι, 2 μπι; and/or a 1 cm widthwise profile therealong stays within 50 μπι of a straight line, such as within 20 μπι, 10 μπι, 5 μπι, 2 μπι. Such high flatness may not be achievable for given thicknesses, areas, and/or magnitudes of negative tensile stress, as disclosed herein, by liquid quenching due to practical considerations, such as warping or bending of the architectural glass strengthened in these processes due to convective currents and associated forces of the liquid.
Thermally Strengthened Architectural Glass Sheet CTE
[00124] Another aspect comprises thermally strengthened low coefficient of thermal expansion (CTE) architectural glass sheets. As discussed above (see e.g., equations 7 and 10), thermal strengthening effects are significantly dependent upon the CTE of the architectural glass of which the architectural glass sheet is comprised. However, thermal strengthening of low CTE architectural glasses may provide strengthened architectural glass compositions having advantageous properties, such as increased chemical resistance, or better compatibility with electronic devices due to low alkali content. Architectural glass sheets having CTEs of 65, 60, 55, 50, 45, 40, and even SS x lO"6 ^"1 and below are capable of safety-glass like break patterns ("dicing") at thicknesses of less than 4 mm, less than 3.5 mm, less than 3 mm, and even at 2 mm or less. Architectural glasses having CTE values of 40 x 10"6 °C_1 and below can be strengthened using the processes described herein. Such low CTE architectural glasses strengthened by the systems and methods discussed herein can have similar surface compressions to SLG sheets strengthened by convention commercial (gas convective) processes at the same thickness. In some embodiments, the compressive stress of low CTE architectural glasses can comprise at least 50 MPa, at least 100 MPa, at least 125 MPa, at least 150 MPa, at least 200 MP a, at least 250 MPa, at least 300 MPa, or at least 400 MPa for architectural glass sheets having a thickness of no more than 1 cm, no more than 5 mm, no more than 3 mm, no more 2 mm, no more than 1.5 mm, no more than 1 mm, no more than 0.75 mm, no more than 0.5 mm, no more than 0.3 mm, no more than 0.2 mm, or no more than 0.1 mm.
[00125] Architectural glass sheets formed according to the present disclosure have a multitude of applications, for example in single and multi-pane windows, such as architectural glass- interlayer-architectural glass laminates used in architectural glass panes. Stronger and thinner laminates can be produced, resulting in weight and cost savings and fuel efficiency increases. Desirably, a thermally strengthened thin sheet may be cold bent and laminated to a formed thicker architectural glass, providing an easy and reliable manufacturing process not requiring any hot forming of the thin sheet.
Alpha of Thermally Tempered Architectural Glass Sheet
[00126] Table IV below shows results obtained by the methods of the present disclosure (indicated as "Source of Method" I in the table), and a figure of merit, Alpha, that is a rough measure of the coefficient of heat exchange obtained within the tempering process. Alpha is given by:
I ■
Alpha (13)
(t-CTE-E) where CS is physical compressive stress (in MPa), t is thickness in millimeters, CTE is the coefficient of thermal expansion in °C_1, and E is the elasticity of the glass in (MPa), and yields units in °C/mm.
TABLE IV
Figure imgf000043_0001
Samples 1 and 3 are repeatable values obtained from the disclosed processes, sample 1 using air and sample 3 using helium as the gas in the process. Sample 2 represents a "champion" value using air within the present process, that is, not reliably repeatable to date. Glass samples processed by the processes of the present disclosure (samples 1-3) all exceeded an Alpha at 117 °C/mm. Applicant believes that the slope of Alpha with thickness may have an inherent trend lower with lower glass thickness. Architectural glass disclosed herein has an Alpha of greater than 20t+77, where t is thickness of the glass, in mm, in some embodiments.
Thermal Strengthening System and Process
[00127] In various embodiments, a process for strengthening an architectural glass sheet comprises supporting or guiding at least a portion of an architectural glass sheet, such as architectural glass sheet 500, into a cool or quenching zone in which the sheet is rapidly cooled creating a strengthened architectural glass sheet having one or more of the properties discussed herein. In various embodiments, the architectural glass sheet is supported at least in part by a flow or a pressure of a gas delivered to a gap between the surfaces of the architectural glass sheet and one or more heat sinks. In general, the temperature of the architectural glass sheet is above the transition temperature of the architectural glass when the sheet is moved into the cool zone, and in various embodiments, the architectural glass sheet is cooled within the cooling zone by thermal conduction more than by convection. Conduction is a process of heat transfer where energy is transmitted through interactions between adjacent molecules, and convection is a process of heat transfer where energy is communicated via motion of a fluid (e.g., air, helium, etc.), such as where heated fluid moves away from a heat source and is replaced by cooler fluid. Thus, the present system is markedly different from conventional convection-based glass strengthening/tempering systems in which the primary mode of heat transfer during cooling of the glass sheet is convective.
[00128] In some embodiments, an overall process for strengthening an architectural glass sheet comprises heating an architectural glass sheet in a hot zone and then cooling the architectural glass sheet in a cooling zone. The architectural glass sheet has a transition temperature, which is the temperature at which the viscosity of the architectural glass has a value of η = 1012- 1013 Poise. The architectural glass is heated sufficiently to bring the architectural glass sheet above the transition temperature, and then moved into a cooling zone. Optionally, the architectural glass can be transitioned from the hot zone to a cool zone through a transition zone. In the cooling zone, the surfaces of the architectural glass sheet are positioned adjacent to heat sinks, one on either side of the architectural glass sheet, each with a gap in between one of the architectural glass surfaces and an opposing surface of the heat sink. Gas is delivered into the gaps through multiple apertures in the heat sinks, and in some embodiments, this delivered gas forms an air bearing which supports the architectural glass between the heat sinks such that the architectural glass surfaces are not in contact with the heat sinks. Within the cooling zone, the architectural glass sheet is cooled by conduction more than by convection and is cooled sufficiently to fix or create a thermally induced surface compression and a thermally induced central tension of the sheet which provides the increased strength as discussed herein. In various embodiments, primarily cooling via conduction is achieved by having a very low gap size within the cooling zone such that the architectural glass sheet is close to, but not touching, the opposing surfaces of the heat sinks.
[00129] An apparatus for enabling the processes described can include a heating zone for heating an architectural glass sheet to a temperature above the transition temperature and a cooling zone for cooling the heated architectural glass sheet to provide a strengthened architectural glass sheet. The apparatus can include an optional transition zone between the heating zone and the cooling zone. The cooling zone may include a heat sink having a pair of opposing surfaces defining a gap, within which the heated architectural glass sheet is received. The cooling zone can comprise a pair of gas bearings disposed on opposite sides of that gap that acts to support the architectural glass sheet within the gap. The gap can be configured to cool the heated architectural glass sheet by conduction more than by convection. In some embodiments, the gas bearings can include a plurality of apertures for delivering the gas to the gap, and the gas bearing surfaces act as the heat sinks, capable of conducting heat away from the heated architectural glass sheet by conduction more than by convection.
[00130] Strengthening processes and equipment disclosed herein (see generally FIGS. 21-25) allow for strengthening of architectural glass or glass-ceramic articles (see generally FIGS. 4-7 and 27-30) by an inventive form of thermal tempering. The processes allow for steep, tensile stress versus thickness/depth curves (see generally FIG. 6), particularly steep in slope near the surface of the architectural glass or glass-ceramic articles, which enable strengthening of the architectural glass or glass ceramic articles to particularly high levels of negative tensile stress for a given thickness near the surface of the respective articles, without requiring strengthening by ion-exchange or laminating different architectural glasses. However, in some embodiments, the thermal tempering processes disclosed herein may be augmented with ion-exchange or applied to glass-to-glass laminations. The thermal tempering processes disclosed herein enable particularly high levels of strengthening in large-area articles (e.g., sheets) that may be too large for strengthening via conventional thermal tempering methods, such as due to alignment limitations of contact quench equipment, cooling rate limitations of conventional convection systems, and/or warping damage associated with liquid quench tempering. The processes disclosed herein uniquely allow high levels of strengthening in particularly thin sheets that may be too thin for strengthening via conventional tempering methods, such as due sensitivity to breakage or fracture of the thin architectural glass or glass ceramic articles during the strengthening process and associated contact forces with solid or liquid quenching and/or due to the cooling rate limitations of conventional convection tempering. However, in other contemplated embodiments, architectural glass or glass ceramic articles as disclosed herein may be manufactured with at least some solid or liquid quenching, such as in combination with the unique strengthening processes disclosed herein. [00131] One embodiment of a method according to this disclosure is illustrated in the flow chart of FIG. 16. The method or process 100 includes a step 140 of providing an architectural glass sheet that is at a temperature above a transition temperature of the architectural glass sheet. The method or process 100 also includes the step 160 of supporting an architectural glass sheet at least in part by a gas (through gas flow and pressure). Step 160 includes, while the architectural glass sheet is support by the gas, cooling the sheet: 1) by conduction more than by convection through the gas to a heat sink, and 2) sufficiently to create or fix a thermally-induced surface compression stress and a thermally-induced central tension stress, of the sheet when at ambient temperature.
[00132] According to a variation on the embodiment of FIG. 16, depicted as method 100' in the flow chart of FIG. 17, the method can include the step 110 of heating an architectural glass sheet sufficiently such that the sheet is above a transition temperature of the architectural glass. As part of, or as preparation for, the cooling step 160, the method 100' further comprises, in step 120, providing a heat sink (whether as a single piece or in separate pieces) having first and second heat sink surfaces (see generally FIGS. 21-25), each having apertures therein. In step 130A the method further includes positioning a first sheet surface facing a first heat sink surface across a first gap and, in step 130B, positioning the second sheet surface facing a second heat sink surface across a second gap. The heat sink surfaces can include apertures and/or can be porous. The method 100' can further include, in step 160, cooling the sheet, by conduction more than by convection through a gas to the respective heat sink surfaces, sufficiently to strengthen the architectural glass (e.g., to sufficiently create or fix in the sheet a thermally-induced surface compression stress and a thermally-induced central tension stress). The step 160 also can include delivering the gas to the first and second gaps through the apertures or porous heat sink, and in some such embodiments, the gas is delivered to form air bearings that support the architectural glass sheet adjacent the heat sinks. In some embodiments, the gas is delivered only through the apertures of the heat sink or only through the pores or pores and apertures of the porous heat sink.
[00133] These and other related methods of this disclosure go against the currently dominant technique of gas-convection-cooling by using conduction as the dominant mode of cooling, instead of convection. Instead of a solid-to-gas (glass to air) heat exchange, methods described herein use a solid-to-solid (glass to heat sink) heat exchange, mediated across a small gap by a small amount of gas (e.g., without physical contact between glass surfaces and heat sink), both to begin and to complete the cooling that produces thermal strengthening. Although some convection is present as gas (e.g., air bearing gas) flows into the small gap, conduction directly across the gap through the gas and into the heat sink is the principal mode of cooling. Applicant has determined that dominance of conductive heat transfer increases the rate of heat transfer relative to convection dominant cooling processes.
[00134] Because solid-to-solid conduction (even across the gap) allows for more rapid heat flow than convection, the cooling rate increases needed for thinner architectural glass sheets are not tied to gas velocity and volume. According to various embodiments, without the constraints typically imposed by gas flow and gap size in a convective system, gas flow and gap size can be selected, controlled or optimized for other purposes, such as for controlling stiffness of the gas cushion in the gap, for supporting the sheet, for flattening or otherwise shaping a sheet, for optimizing heat conduction, for maintaining sheet flatness and/or shape during thermal strengthening, and/or for balancing ease of sheet handling with high cooling rates. For example, in some embodiments, because cooling is not via convection, helium becomes an economically viable alternative to air in the system of the present disclosure due to the very low gas flow rates that support the gas bearing, and in such embodiments, helium offers thermal conductivity about five times that of air. Even helium with prices assumed at multiples of those available today becomes an economically viable alternative at the low flow rates of the system of the present disclosure.
[00135] Further, because the system of the present disclosure decreases the volume of air flowing over an architectural glass sheet during cooling (relative to convective systems), the systems and methods discussed herein decrease the potential risk of deformation of hot thin sheets of architectural glass typically caused by the high speed, high volume air flows needed in conventional convection based tempering systems. This also allows softer, higher temperature architectural glass sheets to be handled with no or minimal distortion, further improving the achievable degree of strengthening. Eliminating high air flow rates also eases problems sometimes seen in transporting the sheet into the quenching chamber (moving against the high air flow) and in keeping the high-flow, cooler air from entering into and cooling the adjacent parts of the furnace used to heat the sheet.
[00136] Further the use of conduction, through a gas, may mitigate contact damage, warping, shaping, etc. associated with conventional liquid contact or solid contact quench tempering. Use of a gas as an intermediate conductor preserves the surface quality of the processed articles by avoiding solid-to-solid contact. Mediating the high conduction rates through a gas also avoids liquid contact. Some types of liquid quenching can introduce unwanted distortions, spatial variation in tempering and contamination of the architectural glass surfaces. These embodiments essentially provide non-contact (except by a gas) but very high-rate cooling. In other
embodiments, as discussed above, solid- or liquid- contact may be included.
Power Consumption of Thermal Tempering System/Process
[00137] Another advantage of avoiding high air flow rates lies in the power and energy savings achieved by using solid-gas-solid conduction as the primary architectural glass cooling mechanism. Points A and B of FIG. 18 and FIG. 19 represent a high-end estimate of peak power use of the air bearing, per square meter of architectural glass sheet, by a compressed air supply at relatively high flow. Practical low-end peak power use of compressed air could be as little as 1/16 of the values shown. Points A and B do not include active cooling of the heat sink, however, which can be included in some embodiments, especially where a machine is in continuous, quasi-continuous or high frequency operation.
[00138] Referring again to FIG. 18 and FIG. 19, points A and B' represent the conservatively estimated peak power levels for operation of the air bearing at points A and B when active cooling of the heat sink surfaces is factored in, assuming the thermal load equivalent of a 300 °C drop in architectural glass sheet temperature is accomplished by an active cooling system having a thermal-to-mechanical (or electrical) efficiency ratio of 7.5 to 1, within a time limit of 2.1 seconds for point A and within 1 second for point B'. (These points correspond approximately to architectural glass sheets actually tempered in the apparatus described herein.) [00139] Although the four points within region R of FIG. 18 and FIG. 19 illustrate the significance of the improvement obtainable by the methods and systems of the present disclosure (at least to some degree), it should be noted that the full benefits are likely significantly understated in the figures because power demand is the quantity represented. For example, peak power of air blowers, as represented by the curve N, is not efficiently turned on and off, typically requiring gated airways to block off large fans, which still rotate (but at reduced load), when air is not needed. Peak power demands of fluid cooling systems such as chilled water plants, represented by the points A' and B' as examples easily achievable according to the present disclosure, can generally be much more efficiently accommodated, and effective peak power would be significantly lower, approaching A' and B' only as fully continuous operation is approached. Thus, the difference in total energy demands would tend to be greater than the difference for peak power demand, which is represented in the figure. In some embodiments, the processes described herein have peak powers of less than 120 KW/m2, less than 100 KW/m2, less than 80 KW/m2 to thermally strengthen an architectural glass sheet of 2 mm thickness or less.
Heat Transfer from Thin Architectural Glass Sheet during Thermal Tempering
[00140] In general, heat transfer from the thin architectural glass sheet in the system and process of the present disclosure includes a conduction component, a convection component and a radiant component. As noted above and explained in detail herein, the thermal tempering system of the present disclosure provides for thin architectural glass tempering by utilizing conductive heat transfer as the primary mechanism for quenching the thin architectural glass sheets.
[00141] The following is Applicant's understanding of the underlying theory. It may well occur to one of ordinary skill in the art of glass tempering, in which conduction effects are normally so small as to be commonly ignored in favor of analysis of convection and radiation alone, to ask whether sufficiently high cooling rates for thin architectural glass sheets (such as at 2 millimeters and below) are actually achievable by conduction through a gas such as air— and if so, whether such rates are achievable at practical gap sizes. [00142] The amount of thermal conduction at conditions embodied in processes using systems described herein can be determined via the following. First, in the context of thermal
strengthening by conduction as in the present disclosure, the thermal conductivity of the gas within the gap must be evaluated in the direction of conduction, which is along a thermal slope. Air at high temperature, at or near the surface of the sheet being cooled, has significantly higher thermal conductivity than air at a lower temperature, such as air at or near room temperature at or near the surface of the heat sink (the nominal thermal conductivity of (dry) room temperature air (25°C) is approximately 0.026 W/m K). An approximation that assumes air over the whole gap to be at the average temperature of the two facing surfaces at the start of cooling is used. At the start of cooling, an architectural glass sheet may be at a temperature of 670°C, for example, while the heat sink surface may start at 30°C, for example. Accordingly, the average temperature of the air in the gap would be 350°C, at which dry air has a thermal conductivity of about 0.047 W/m K; more than 75% higher than its thermal conductivity at room temperature and
sufficiently high to conduct large amounts of heat energy through gaps of the sizes within the system of the present disclosure, as discussed below, assuming the sheet is finished to a reasonably high degree of surface and thickness consistency.
[00143] To illustrate, QCOnd, the conductive component of the rate of heat transfer through a gap of distance g which gap has an area Ag (in a direction everywhere perpendicular to the direction of the gap distance g) may be given by:
Avk(Ts - THS)
Qcona =9n (14)
9 where k is the thermal conductivity of the material (gas) in the gap evaluated in the direction of (or opposite of) heat conduction, Ts is the temperature of the architectural glass surface and THs is the temperature of the heat sink surface (or the heat source surface, for other embodiments). As mentioned above, to evaluate k rigorously would require integrating the thermal conductivity of the gas along (or against) the direction of conductive heat flow, as the thermal conductivity of the gas varies with temperature— but as a good approximation, k may be taken as the value of k for the gas in the gap when at the average of the temperatures of the two surfaces, Ts and THs- [00144] Reframing equation (14) in units of heat transfer coefficient (units of heat flow power per meter squared per degree Kelvin) gives:
so the effective heat transfer coefficient for conduction across the gap is the thermal conductivity of the medium in the gap (air in this case) (in units of W/mK) divided by the length of the gap (in meters), giving a value of Watts per meter squared per degree of temperature difference. Table V shows the heat transfer coefficients (k/g), due to conduction alone, for air and helium filled gaps of gap sizes from 10 μπι up to 200 μπι in steps of 10 μπι each.
TABLE V
Figure imgf000051_0001
[00145] FIG. 20 (Prior Art) shows an industry-standard curve from about 35 years ago (with reference line at 2 mm added) showing the heat transfer coefficient required to fully temper a sheet of glass, as a function of thickness in mm, under certain assumed conditions. As may be seen from a comparison of Table V with FIG. 20, an air- filled gap of approximately 40 μπι can allow full tempering of 2 mm thick architectural glass by conduction. While slightly less than 40 micrometers is a rather small gap, planar porous air bearings in conveyor applications may generally be reliably run with gaps of as low as 20 micrometers. Thus 37 micrometers is achievable for an air gap fed by pores in the heat sink surface. Using helium (or hydrogen, with similar thermal conductivity) as the gas, a gap of about 200 μπι can be used to fully temper 2 mm thick architectural glass. Using helium or hydrogen as the gas allows for a gap size about 5 times larger for the same heat transfer coefficient. In other words, using helium or hydrogen as the gas in the gap increases the heat transfer coefficient available for quenching by about 5 times at the same gap size. So even with air the spacing is not impractical, and with high conductivity gases, the gap spacing is relatively easy to achieve, even for sheet thicknesses smaller than 2 millimeters.
[00146] In addition to cooling through a gas by conduction more than by convection, another embodiment includes heating (or heating and/or cooling) through a gas by conduction more than by convection. Regarding the relative contributions of conduction and convection, whether for heating or cooling, the convective QCOnv component of the rate of heat transfer across the gap (or gaps) may be given by:
Figure imgf000052_0001
where m is the mass flow rate of the gas, Cp is the specific heat capacity of the gas, T, is the inlet temperature of the gas as it flows into the gap, and e is the effectiveness of the heat exchange between the gas flowing in the gap, the sheet surface and the surface of the heat sink/source (the "walls" of the gap). The value of e varies from 0 (representing zero surface-to-gas heat exchange) to 1 (representing the gas fully reaching the temperature of the surfaces). The value of e can be computed by those skilled in the art of heat transfer using, for example, the e-NTU method.
[00147] Typically, however, if the gap between the surface of the sheet and the surface of the heat sink/source is small, the value of e will be very nearly equal to 1, meaning the gas heats nearly completely— to equal, on average, the average of the temperatures of the two surfaces on either side— before it leaves the gap. Assuming e = 1 (a slight overestimate of the rate of convective heat transfer), and the gas being supplied to the gap through the surface of the heat sink/source, it can be assumed that the initial temperature of the gas in the gap is the same as the temperature of the surface of the heat sink/source (Tt = THs). The rate of heat transfer due to convection may then be simplified to:
Figure imgf000053_0001
[00148] At the temperatures typically useful for heat strengthening or heat treating of architectural glass and similar materials, radiative heat transfer out of the sheet under treatment is relatively small. To cool (or heat, assuming the amount of radiation from the heat source when heating is not too high) the sheet (e.g., sheet 200 shown in FIG. 21) principally by conduction, in the area of the gap (e.g., gaps 204a, 204b shown in FIG. 21), thus requires only that:
Qcond > Q< conv (18)
Combining (18) with equations (14) and (17) gives the following conditional: k mCv
(19)
which, when held, will essentially ensure that the sheet, in the area of the gap at issue, is cooled
(or heated) principally by conduction. Accordingly, the mass flow rate m of the gas should be less than 2kAg/gCp, or 2k/gCp per square meter of gap area. In an embodiment, m < (2kAg/gCp), where B is the ratio of convective cooling to conductive cooling. As used herein, B is a positive constant less than one and greater than zero, specifically having a value of 2/3 or less, or even
4/5 or 9/10 or less. Generally, m should be kept as low as possible, consistent with the needs of using the gas flow to control the position of the architectural glass sheet (e.g., sheet 200 shown in
FIG. 21 relative to the heat sink surface(s)) (e.g., heat sink surfaces 201b, 202b, shown in FIG.
21) or the position of the heat exchange surfaces themselves. The ratio of convective cooling to conductive cooling can be any value from less than one to lxl 0"8. In some embodiments, B is less than 0.9, 0.8, 0.7, 0.6, 0.5, 0.4, 0.1, 5xl0"2, lxlO"2, 5xlO"3, lxlO"3, 5xl0"4, lxlO"4, 5xl0"5, 5 6 6 7 7 8 8
1x10" , 5x10" , 1x10" , 5x10"', 1x10"', 5x10 , or 1x10"°. In some embodiments, m is minimized, consistent with the needs of using the gas flow to support and control the sheet position relative to the heat sink surface(s). In other embodiments, m should be selected to control the position of the heat exchange surfaces themselves, relative to the sheet.
[00149] In various embodiments, the mass flow rate m of the gas within the conductive-based cooling system of the present disclosure is substantially lower as compared to the conventional convection-based tempering systems. This substantially lower gas flow rate allows the conductive system to be operated at substantially reduced power usage, as discussed herein. Further, in at least some embodiments, the reduced gas flow rate also results in a substantially quieter cooling system as compared to a conventional convective cooling system. In such embodiments, the decrease in noise may increase operator safety by reducing the potential for hearing damage and even reducing or eliminating the need for operators to use hearing protection.
[00150] As will be understood, in embodiments in which a sheet of architectural glass material is supported on air bearings between opposing heat sink surfaces, conductive heat transfer will occur from both sides of the architectural glass sheet to both heat sink surfaces. Thus, in such embodiments, the architectural glass sheet has first and second sheet surfaces, and cooling of the architectural glass sheet is performed by positioning the first sheet surface (e.g., a lower surface of the architectural glass sheet) adjacent to a first heat sink surface (e.g., a surface of a lower heat sink) such that a first gap is located between the first sheet surface and the first heat sink surface and by positioning the second sheet surface (e.g., an upper surface of the architectural glass sheet) adjacent to a second heat sink surface (e.g., a surface of an upper heat sink) such that a second gap is located between the second sheet surface and the second heat sink surface. In such embodiments, thermal conduction from the first sheet surface to the first heat sink surface and from the second sheet surface to the second heat sink surface is permitted to occur. In such embodiments, the first gap has a length across the first gap of g\ and an area of the first gap of Agi, and the second gap has a length across the second gap of g2 and an area of the second gap of Ag2. In such embodiments, a first flow of a first gas to the first gap is provided, and a second flow of a second gas to the second gap is provided. As will be understood, similar to the discussion above, the first gas has a heat capacity Cpi and a thermal conductivity k}, and the first flow is provided at a mass flow rate rh\. In such embodiments, fh\ is greater than zero and less than {2k1Agi)l{g1Cpi). Further, the second gas has a heat capacity CP2 and a thermal conductivity k2, and the second flow is provided at a mass flow rate m2. In such embodiments, m2 is greater than zero and less than {2k2Agl g2CP2). In such embodiments, the first and second flows contact the architectural glass sheet such that the architectural glass sheet is supported without touching the heat sink surfaces. In this manner, the sheet is cooled by conduction more than by convection in a manner to create a surface compressive stress and a central tension of the sheet.
Architectural Glass Strengthening System including High Conduction Cooling Zone
[00151] Referring to FIG. 21, a diagrammatic cross-section of a high conduction glass cooling/quenching station and of a glass sheet being cooled by conduction more than by convection is shown. A hot glass sheet 200 has its first and second (major) surfaces 200a, 200b each facing a respective first and second surface 201b, 202b of respective first and second heat sinks 201a, 202a across respective gaps 204a and 204b. Gas 230 is fed through the first and second surfaces 201b, 202b as represented by the arrows, to supply the gaps 204a, 204b, and to assist in keeping the architectural glass sheet centered or otherwise positioned between the heat sinks 201a, 202a. The air or other gas may leave passing by the edges of the heat sinks 201a, 202a as shown by arrows 240. By choosing the size of the gaps 204a, 204b and the gas and the flow rate of the gas 230 in accordance with the discussion herein, the architectural glass sheet 200 will be cooled more by conduction than convection. In specific embodiments, architectural glass sheet 200 is cooled by heat sinks 201a and 202a such that more than 20%, specifically more than 50%, and more specifically more than 80%, of the thermal energy leaving a heated article, such as architectural glass sheet 200, crosses the gaps, such as gaps 204a and 204b, and is received by the heat sink 201a and 202a.
[00152] In some embodiments, the gaps 204a, 204b are configured to have a thickness or distance across the gap sufficient such that the heated architectural glass sheet is cooled by conduction more than by convention. As will be understood, size of gaps 204a, 204b generally is the distance between the major architectural glass surfaces and the opposing heat sink surfaces.
[00153] In some embodiments, gaps 204a and 204b may have a thicknesses of about (e.g., plus or minus 1%) 100 μιη or greater (e.g., in the ranges from about 100 μιη to about 200 μπι, from about 100 μπι to about 190 μπι, from about 100 μιη to about 180 μπι, from about 100 μιη to about 170 μπι, from about 100 μιη to about 160 μπι, from about 100 μιη to about 150 μπι, from about 110 μπι to about 200 μπι, from about 120 μιη to about 200 μπι, from about 130 μιη to about 200 μπι, or from about 140 μιη to about 200 μιη). In other embodiments, gaps 204a and 204b may have a thicknesses of about (e.g., plus or minus 1%) 100 μιη or less (e.g., in the ranges from about 10 μιη to about 100 μπι, from about 20 μιη to about 100 μπι, from about 30 μιη to about 100 μπι, from about 40 μιη to about 100 μπι, from about 10 μιη to about 90 μπι, from about 10 μπι to about 80 μπι, from about 10 μιη to about 70 μπι, from about 10 μιη to about 60 μηι, or from about 10 μιη to about 50 μιη).
[00154] Heat sinks 201a, 202a may be solid or porous configurations. Suitable materials include, but are not limited to, aluminum, bronze, carbon or graphite, stainless steel, etc. Heat sink dimensions may be designed to be sufficient to address the size of the architectural glass sheet and to efficiently and effectively transfer heat without changing the heat sink temperature significantly. In the case where heat sinks 201a and/or 202a are porous, they may still include additional apertures or holes for flowing gas or may use the porous structure to provide flow, or both. In some embodiments, the heat sinks further comprise passages to allow fluid flow for controlling the temperature of the heat sink, described in more detail in FIGS. 23-25 and below.
[00155] Eliminating high gas flow rates of the prior art may enable use of very small apertures or pores 206, as shown in FIG. 21, in the heat sink face to provide the gas to the gap(s). In some embodiments, apertures may be less than 2 mm, less than 1.5 mm, less than 1 mm, less than 0.5 mm, less than 0.25 mm, or less than or equal to 200, 150, 100, 50, 30, 20, or 10 μπι, when measured in the smallest direction (e.g., diameter in the case of circular apertures). In some embodiments, the apertures are from about (e.g., plus or minus 1%) 10 μπι to about 1 mm, about
20 μπι to about 1 mm, or about 50 μπι to about 1 mm. [00156] Spacing between adjacent apertures 206 can be from about (e.g., plus or minus 1%) 10 μιη to about 3 mm, about 20 μιη to about 2 mm, or about 50 μιη to about 1 mm, measured edge- to-edge of apertures. Small apertures or pores may function as individual flow restrictors, providing high-performance, gas-bearing-type dynamics, such as high levels of stiffness and consistency of support of the sheet to position the sheet and control gap size, allowing for high homogeneity of thermal strengthening effects to avoid or reduce stress birefringence. Further, because very small pores or apertures may be used, the relative amount of solid matter at the surface of the heat sink facing the sheet surface across the gap(s) can be maximized, thereby increasing conductive heat flow.
[00157] According to various embodiments, use of such apertures 206 as the only path for providing gas to the gaps 204a, 204b, and desirably using apertures 206 that lie in directions close to normal to the heat sink surface 201b, 202b, ensures that air-bearing type dynamics are optimized, and not compromised by gas flows from larger apertures, or from sources other than through the heat sink surface(s) 201b, 202b adjacent to the sheet 200, or by other excessive lateral flow. In other embodiments gas may be provided to the gaps 204a, 204b via other sources, such as in addition to the apertures 206 or pores. Accordingly, aspects of the present disclosure allow for power and energy savings by use of low gas flows and solid-gas-solid conduction, such as relative to conventional convective tempering processes.
[00158] FIGS. 22-25 show an exemplary embodiment of an architectural glass strengthening system 300 according to this disclosure. FIG. 22 shows a schematic cross-sectional diagram of the system 300, in which an architectural glass sheet can be cooled via conduction of heat from the architectural glass sheet, through a gas into a conductive heat sink. The apparatus includes a hot zone 310, a cold zone 330, and a transition gas bearing 320. Transition gas bearing 320 moves or directs an architectural glass article (e.g., architectural glass sheet 400a) from the hot zone 310 to the cold zone 330 such that no contact or substantially no contact occurs between the architectural glass and the bearings. The hot zone 310 has gas bearings 312 each fed from a hot zone plenum 318, and the bearings 312 have cartridge heaters 314 inserted into holes through the bearings 312, which serve to heat the hot zone gas bearings 312 to a desired starting process temperature. An architectural glass sheet (hot zone) 400a is kept between the hot zone gas bearings 312 for a duration long enough to bring it to a desired pre-cooling temperature (e.g., above the transition temperature).
[00159] In some embodiments, heating the sheet in the hot zone may be done predominantly via conduction of heat from a heat sink through a thin gas barrier. The conductive heating processes used in the hot zone can be similar to, but the reverse of the cooling processes described herein (e.g., pushing heat into the architectural glass sheet).
[00160] In some embodiments, gaps 316, between the hot zone gas bearings 312 and the architectural glass sheet 400a, may be relatively large, on the order of 0.05" (1.27 mm) to 0.125" (3.175 mm) or greater, since the architectural glass sheet 400a may be heated up relatively slowly and thermal radiation from the hot gas bearings 312 into the architectural glass sheet 400a is adequate for this purpose. In other embodiments, hot zone gap size may be as small as 150 microns per side or 500 microns per side. Smaller gaps may be advantageous, in some embodiments, because they enable the bearings to have better "stiffness" - i.e., ability to centralize the architectural glass and therefore flatten it while it is in its softened state. In some embodiments, the process may re-form the architectural glass sheets - flattening them - in the initial heating step, for example via the pressure supplied by the gas bearings 312. In some embodiments, the top and bottom hot zone bearings may be on actuators, allowing for changing the gap width in a continuous manner or, alternatively, allowing the architectural glass to be brought into the hot zone when the gap is large and then compressing the gap to flatten the architectural glass while it is still soft.
[00161] Process temperatures are dependent on a number of factors, including architectural glass composition, architectural glass thickness, architectural glass properties (CTE, etc.), and desired level of strengthening. Generally, the starting process temperature may be any value between the architectural glass transition temperature and the Littleton softening point, or in some embodiments, even higher. For SLG, for example, system 300 heats the architectural glass sheet 400a to a temperature between about (e.g., plus or minus 1%) 640 to about 730°C or between about 690 to about 730°C. In some embodiments, system 300 heats the architectural glass sheet 400a to a temperature from about (e.g., plus or minus 1%) 620 to about 800°C, about 640 to about 770°C, about 660 to about 750°C, about 680 to about 750°C, about 690 to about 740°C, or about 690 to about 730°C.
[00162] The architectural glass sheet 400a is heated to its desired starting process temperature (e.g., above the architectural glass transition temperature), and it is then moved from the hot zone 310 to the cold zone 330 using any suitable means. In some embodiments, moving the architectural glass sheet 400a from the hot zone 310 to the cold zone 330 may be accomplished by, for example (1) tilting the entire assembly such that gravity acting on the architectural glass sheet forces it to move to the cold zone, (2) blocking off the gas flow from the leftmost exit of the hot zone 310 (the sides are enclosed in this embodiment), thereby forcing all of the gas emanating from all of the gas bearings to exit from the rightmost exit of the cold zone, causing fluid forces to be exerted on the architectural glass sheet 400a and causing it to move to the cold zone 330, or (3) by a combination of (1) and (2))
[00163] The transition gas bearings 320 may be supplied with gas by transition bearing plenums 328. The solid material thickness behind the surfaces of the transition gas bearings 320 may be thin, of low thermal mass and/or low thermal conductivity, allowing for reduced heat conduction from the hot zone 310 to the cold zone 330. The transition gas bearings 320 may serve as a thermal break or transition between the two zones 310 and 330 and may serve to transition from the larger gaps 316 of the hot zone down to small gaps 336 of the cold zone 330. Further, the low thermal mass and/or low thermal conductivity of transition gas bearings 320 limit(s) the amount of heat transfer and therefore cooling experienced by architectural glass sheet 400a while passing past transition gas bearings 320.
[00164] Once the architectural glass sheet (cold zone) 400b moves into the cold zone 330 and into the channel 330a, it is stopped from exiting the right side exit by a mechanical stop or any other suitable blocking mechanism, shown as stop gate 341. Once the architectural glass sheet 400b cools sufficiently that the center has passed the architectural glass transition (in the case, for example, of 1 mm thick SLG, to below about 490° C, corresponding in this example to about 325° C at the surface), the stop gate 341 may be moved, unblocking cold zone channel 330a, and then the architectural glass sheet 400b may be removed from the system 300. If desired, the architectural glass sheet 400b may be left in the cold zone 330 until somewhere near room temperature before removal.
[00165] As noted above, within hot zone 310, architectural glass sheet 400 is heated to a temperature above the architectural glass transition temperature of the architectural glass sheet. In the embodiment shown in FIG. 22, the cold zone 330 includes a channel 330a for receiving heated architectural glass sheet 400b through an opening 330b, conveying the architectural glass sheet 400b, and cooling the architectural glass sheet 400b in the cold zone. In one or more embodiments, the channel 330a includes a conveyance system that may include gas bearings, roller wheels, conveyor belt, or other means to physically transport the architectural glass sheet through the cold zone. As shown in FIG. 22, cold zone 330 includes gas bearings 332 which are fed plenums 338 that are separate from hot zone plenums 318 and transition plenums 328.
[00166] As shown in FIG. 22, the cold zone 330 includes one or more heat sinks 331 disposed adjacent to the channel 330a. Where two heat sinks are utilized, such heat sinks may be disposed on opposite sides of the channel 330a, facing each other across a channel gap 330a. In some embodiments, the heat sinks include a plurality of apertures 33 la which form part of the gas bearing 332, and the surfaces of the cold gas bearings 332 of the cold zone 330 serve as the two heat sink surfaces. Due to the low air flow rate within channel 330a and the small size of channel gap 330a, architectural glass sheet 400b is cooled within cold zone 330 primarily by conduction of heat from the architectural glass sheet across the gap and into the solid heat sinks 331, without the architectural glass sheet 400b touching the heat sink surfaces.
[00167] In some embodiments, the heat sinks and/or the surfaces thereof may be segmented. As noted above, in some embodiments, the heat sinks may be porous, and in such embodiments, the apertures through which the gas for gas bearings 332 is delivered are the pores of the porous heat sinks. The plurality of apertures 332b, a gas source and the channel gap 330a may be in fluid communication. In some embodiments, the gas flows through the apertures 33 la to form gas cushions, layers or bearings in the channel gap 330a. The gas cushions of some
embodiments prevent the architectural glass sheet 400b from contacting the heat sink 331 surfaces. The gas also serves as the gas through which the architectural glass sheet 400b is cooled by conduction more than by convection.
[00168] Because cooling occurs essentially by solid-to-solid heat conduction across the gaps, issues not present in convection-dominated cooling may need to be addressed. For example, for tempering of a large, thin sheet, the sheet may be (1) introduced quickly into the cold zone, optionally at higher speeds than those typically used in convection-based quenching and/or (2) the process is operated in a quasi-continuous mode, in which multiple sheets are heated and cooled one after the other in a continuous stream with little space between them, and where the heat sink is actively cooled such that it reaches a thermal equilibrium so that the front and trailing edges of the large sheets have similar thermal history.
[00169] In some embodiments, the gas flowed through the apertures 331a cools the heat sinks. In some embodiments, the gas flowed through the apertures both facilitates heat conduction, from the architectural glass, across the gap, into the heat sinks, and also cools the heat sinks 331. In some instances, a separate gas or fluid may be used to cool the heat sinks 331. For instance, the heat sinks 331 may include passages 334, for flowing a cooling fluid therethrough to cool the heat sinks 331, as is more fully described with respect to FIG. 23. The passages 334 can be enclosed.
[00170] Where two heat sinks are used (i.e., a first heat sink and the second heat sink), one or more gas sources may be used to provide a gas to the channel gap 330a. The gas sources may include the same gas as one another or different gases. The channel gap 330a may, therefore, include one gas, a mixture of gases from different gas sources, or the same gas source.
Exemplary gases include air, nitrogen, carbon dioxide, helium or other noble gases, hydrogen and various combinations thereof. The gas may be described by its thermal conductivity when it enters the channel 330a just before it begins to conductively cool the architectural glass sheet 400b. In some instances, the gas may have a thermal conductivity of about (e.g., plus or minus 1%) 0.02 W/(m K) or greater, about 0.025 W/(m K) or greater, about 0.03 W/(m K) or greater, about 0.035 W/(m K) or greater, about 0.04 W/(m K) or greater, about 0.045 W/(m K) or greater, about 0.05 W/(m K) or greater, about 0.06 W/(m K) or greater, about 0.07 W/(m K) or greater, about 0.08 W/(m K) or greater, about 0.09 W/(m K) or greater, about 0.1 W/(m K) or greater, about 0.15 W/(m K) or greater, or about 0.2 W/(m K) or greater).
[00171] The processes and systems described herein allow for high heat transfer rates which, as discussed above, allow for a strengthening degree of temperature differential to form within even a very thin architectural glass sheet. Using air as the gas, with gaps between the architectural glass sheet and the heat sinks, heat transfer rates as high as 350, 450, 550, 650, 750, 1000, and 1200 kW/m2 or more are possible through conduction alone. Using helium or hydrogen, heat transfer rates of 5000 kW/m2 or more can be achieved.
[00172] The heat sinks 331 of one or more embodiments may be stationary or may be movable to modify the thickness of the channel gap 330a. The thickness of the architectural glass sheet 400b may be in a range from about 0.4 times the thickness to about 0.6 times the thickness of channel gap 300a, which is defined as the distance between the opposing surfaces of the heat sinks 331 (e.g., upper and lower surface of heat sinks 331 in the arrangement of FIG. 22). In some instances, the channel gap is configured to have a thickness sufficient such that the heated architectural glass sheet is cooled by conduction more than by convection.
[00173] In some embodiments, the channel gap may have a thickness such that when architectural glass sheet 400b is being conveyed through or located within the channel 330a, the distance between the major surfaces of the architectural glass sheet 400b and the heat sink surface (e.g., the gap size discussed above) is about (e.g., plus or minus 1%) 100 μπι or greater (e.g., in the range from about 100 μπι to about 200 μπι, from about 100 μπι to about 190 μπι, from about 100 μπι to about 180 μπι, from about 100 μπι to about 170 μπι, from about 100 μπι to about 160 μπι, from about 100 μπι to about 150 μηι, from about 1 10 μπι to about 200 μπι, from about 120 μπι to about 200 μπι, from about 130 μπι to about 200 μπι, or from about 140 μπι to about 200 μπι). In some embodiments, the channel gap may have a thickness such that when architectural glass sheet 400b is being conveyed through the channel, the distance between the architectural glass sheet and the heat sink surface (the gap or gaps 336) is about (e.g., plus or minus 1%) 100 μπι or less (e.g., in the range from about 10 μπι to about 100 μπι, from about 20 μπι to about 100 μπι, from about 30 μπι to about 100 μπι, from about 40 μπι to about 100 μπι, from about 10 μιη to about 90 μιη, from about 10 μιη to about 80 μιη, from about 10 μιη to about 70 μιη, from about 10 μιη to about 60 μιη, or from about 10 μιη to about 50 μιη). The total thickness of the channel gap 330a is dependent on the thickness of the architectural glass sheet 400b, but can be generally characterized as 2 times the distance between the heat sink surface and the architectural glass sheet, plus the thickness of the architectural glass sheet. In some embodiments, the distance or gaps 336 between the architectural glass sheet and the heat sinks may not be equal. In such embodiments, the total thickness of the channel gap 330a may be characterized as the sum of the distances between the architectural glass sheet and each heat sink surface, plus the thickness of the architectural glass sheet.
[00174] In some instances, the total thickness of the channel gap may be less than about (e.g., plus or minus 1%) 2500 μιη (e.g., in the range from about 120 μιη to about 2500 μιη, about 150 μιη to about 2500 μιη, about 200 μιη to about 2500 μιη, about 300 μιη to about 2500 μιη, about 400 μιη to about 2500 μιη, about 500 μιη to about 2500 μιη, about 600 μιη to about 2500 μιη, about 700 μιη to about 2500 μιη, about 800 μιη to about 2500 μιη, about 900 μιη to about 2500 μηι, about 1000 μιη to about 2500 μιη, about 120 μιη to about 2250 μιη, about 120 μιη to about 2000 μιη, about 120 μιη to about 1800 μιη, about 120 μιη to about 1600 μιη, about 120 μιη to about 1500 μιη, about 120 μιη to about 1400 μιη, about 120 μιη to about 1300 μιη, about 120 μιη to about 1200 μιη, or about 120 μιη to about 1000 μιη). In some instances, the total thickness of the channel gap may be about 2500 μιη or more (e.g., in the range from about 2500 μιη to about 10,000 μιη, about 2500 μιη to about 9,000 μιη, about 2500 μιη to about 8,000 μιη, about 2500 μιη to about 7,000 μιη, about 2500 μιη to about 6,000 μιη, about 2500 μιη to about 5,000 μιη, about 2500 μιη to about 4,000 μιη, about 2750 μιη to about 10,000 μιη, about 3000 μιη to about 10,000 μιη, about 3500 μιη to about 10,000 μιη, about 4000 μιη to about 10,000 μηι, about 4500 μιη to about 10,000 μιη, or about 5000 μιη to about 10,000 μιη).
[00175] The apertures 33 la in the heat sink 331 may be positioned to be perpendicular to the heat sink surface or may be positioned at an angle of 20 degrees or less, such as about (e.g., plus or minus 1%) 15 degrees or less, about 10 degrees or less or about 5 degrees or less) from perpendicular to the heat sink surface. [00176] In some embodiments, the material behind the heat sink (cold bearing 332) surfaces can be any suitable material having high heat transfer rates, including metals (e.g., stainless steel, copper, aluminum), ceramics, carbon, etc. This material may be relatively thick compared to the material behind the surfaces of the transition bearings 320, as shown in FIG. 22, such that heat sink can easily accept relatively large amounts of thermal energy. In an exemplary embodiment, the material of the heat sinks 331 is stainless steel.
[00177] FIG. 23 is a cut-away perspective cross-section of an apparatus similar to that of FIG. 22, albeit reversed from right to left, and comprising additionally a load/unload zone 340, next to cold zone 330 of system 300, including a load/unload gas bearing 342 with an architectural glass sheet 400c positioned thereon. Also, the apparatus of FIG. 23 uses tight channel gaps (not indicated on the figure) in hot zone 310, transition bearing 320, and cold zone 330.
[00178] The inset in FIG. 23 shows an alternative embodiment of a cold zone gas bearing 332a, in which the gas bearing 322a is actively cooled by coolant channels 334, between gas bearing feed holes 333, where the feed holes feed the apertures in the surface of the bearing 322a. The cooling channels 334 are defined between heat sink segments 333b, which are assembled together to form the heat sink 331 and the surface thereof facing the architectural glass sheet 400b.
[00179] The cooling channels 334 may be positioned very near the surface of the heat sink 331, in the solid material of the gas bearing 332, with a region of solid bearing material between the heat sink/gas bearing surface and the nearest-the-surface edge of the coolant channel 334, having the same width as the nearest-the-surface edge of the coolant channel 334. Accordingly, in some embodiments there is no region of reduced cross section in the solid material of the heat sink 331/gas bearing 332a between a coolant channel 334 and the surface facing the architectural glass 400b. This differs from the typical convective gas cooling equipment, because the high gas flow rates mandate that significant space be provided in the middle of the array of gas nozzles for the gas flows to escape. Where active cooling is used, heat sink 331/gas bearing 332a has a region of reduced cross section in the solid material of the gas nozzle design, relative to the solid material nearest the architectural glass surface. The reduced cross section region is generally positioned between the active cooling fluid and architectural glass sheet under treatment, in order to give a high-volume path for the large volume of heated gas returning from the sheet.
[00180] FIG. 24 shows yet another alternative embodiment of a cold zone gas bearing 332, like that of the inset of FIG. 23. In this embodiment, coolant channels 334 are formed between a gas bearing feed member 335, containing gas bearing feed holes 333, and a gas bearing face member 337a, which provides the architectural glass sheet 400b facing surface of the gas bearing 332. FIG. 25 shows yet another alternative cold zone gas bearing 332c having a similar structure to the embodiment of FIG. 24, but having a porous member 339 between a bearing plate member 337b and architectural glass sheet 400b, such that porous member 339 forms the surface facing the architectural glass sheet 400b.
[00181] It should be understood that in various embodiments, the architectural glass strengthening processes and systems described herein in relation to FIGS. 16-26 may be used or operated to form an architectural glass or glass ceramic article (such as architectural glass sheet 500) having any combination of features, characteristics, dimensions, physical properties, etc. of any of the architectural glass article embodiments discussed herein.
[00182] Architectural glass sheets having undergone the thermal strengthening processes described herein may be further processed by undergoing ion exchange to further enhance their strength. Ion-exchanging the surface of architectural glasses heat strengthened as described herein may increase the above-described compressive stresses by at least 20 MPa, such as at least 50 MPa, such as at least 70 MPa, such as at least 80 MPa, such as at least 100 MPa, such as at least 150 MPa, such as at least 200 MPa, such as at least 300 MPa, such as at least 400 MPa, such as at least 500 MPa, such as at least 600 MPa and/or no more than 1 GPa, in some such contemplated embodiments.
Systems and Processes for Thermal Conditioning and/or Heating Architectural Glass Sheet
[00183] In addition to thermally strengthening thin architectural glass sheets, the processes and systems described herein can be used for additional thermal conditioning processes as well. While cooling is specifically discussed herein, the systems and processes can be used to transfer heat into the architectural glass sheet via a conductive method. Accordingly, additional embodiments of the processes of the current disclosure, including heating through a gas by conduction more than convection. Such a process or method 700 is illustrated in the flow chart of FIG. 26.
[00184] The method 700 includes two main steps. The first step, step 710, involves providing an article, such as an architectural glass sheet, having at least one surface. The second step, step 720, involves heating or cooling a portion of the surface of the article, up to and including the entire surface of the article. Step 720 is performed by conduction more than by convection through a gas from or to a heat source or a heat sink source as shown in sub-part 720a, and is performed sufficiently to complete thermal conditioning of the article or the portion of the surface of the article in sub-part 720b, and the conduction of the cooling/heating of step 720 is performed at a high rate of heat transfer, at least 450 kW/m2 of the area of the portion in sub-part 720b.
[00185] For example, an article can be thermally conditioned - i.e., either heated or cooled - by cooling or heating a portion of the surface of the article, up to and including the entire surface of the article(the portion having an area), by conduction more than by convection, the conduction mediated through a gas to or from a heat sink or a heat source and not through solid-to-solid contact, sufficiently to complete a thermal conditioning of the article or of the portion of the surface of the article, and the conduction being performed, during at least some time of the heating or cooling, at a rate of at least 450, 550, 650, 750, 800, 900, 1000, 1100, 1200, 1500, 2000, 3000, 4000 or even 5000 or more kW per square meter.
[00186] In addition to tempering, the high rates of thermal power transfer provided by the systems and methods discussed herein allow for thermal processing or conditioning of all kinds, including heating and cooling during tempering, edge strengthening of architectural glass, firing or sintering of ceramics, glasses, or other materials, and so forth. Additionally, since the heat is extracted or delivered primarily by conduction, tight control is provided over the thermal history and the heat distribution in the treated article while preserving surface smoothness and quality. Accordingly, in yet another aspect of the present disclosure, tight control is provided over the thermal history and the heat distribution in the treated article, since the heat is extracted or delivered primarily by conduction, yet surface smoothness and quality are preserved.
Accordingly, it will be possible to use the systems and methods of the present disclosure to intentionally vary the stress profile from the strengthening process, both in the thickness direction and in the directions in which the plane of the sheet lies, by varying gaps, varying heat sink/source materials, varying heat sink/source temperatures, varying the gas mixture— and all these may be varied by position along the path of the sheet as it moves, or across the path of the sheet, or potentially in time also, not merely with position (for most of the variables).
Devices, Products and Structures Incorporating Strengthened Architectural Glass Sheets
[00187] The strengthened architectural glass or glass-ceramic articles and sheets discussed herein have a wide range of uses in a wide range of articles, devices, products, structures, etc. In exemplary embodiments, the strengthened architectural glass or glass-ceramic articles and sheets discussed herein make up a part of or the whole pane in single-pane, multi-pane, and vacuum insulated glass (VIG) windows.
[00188] Referring to FIG. 27, a structure 1010, such as a building, house, office, vehicle, etc., includes an architectural glass or glass-ceramic article 1012 in the form of a window, portion of walls (e.g., surfaces), dividers, decorated panels, mirrors, etc. In other embodiments, architectural glass or glass-ceramic article 1012 may be included in a cooler door, an oven door, similar appliances, or other indoor applications. In contemplated embodiments, the architectural glass or ceramic article 1012 may be strengthened such that the architectural glass or ceramic article 1012 has a negative tensile stress on or near surfaces thereof, balanced by a positive tensile stress internal thereto, as disclosed herein. Further, the architectural glass or glass- ceramic article 1012 may have a composition that resists chemicals and/or corrosion as may be present in outdoor environments by having a relatively high silicon dioxide content, such as at least 70% silicon dioxide by weight, such as at least 75% by weight.
[00189] According to an exemplary embodiment, the architectural glass or glass-ceramic article 1012 has major surfaces orthogonal to a thickness thereof (see generally sheet 500 as shown in FIG. 4), where the major surfaces have a large area (e.g., at least 5 cm2, at least 9 cm2, at least 15 cm2, at least 50 cm2, at least 250 cm2) relative to architectural glass or glass-ceramic articles used in other applications (e.g., lenses, battery components, etc.). In contemplated embodiments, total light transmission through the architectural glass or glass-ceramic articles 1012 is at least about 50% (e.g., at least 65%, at least 75%) from wavelengths of about 300 nm to about 800 nm, when the architectural glass or glass ceramic article 1012 has thicknesses t as disclosed herein, such as a thickness of less than 5 cm, less than 3 cm, less than 2 cm, less than 1.75 cm, less than 1.5 cm, less than 1 cm, less than 5 mm, less than 3 mm, less than 2 mm, less than 1.75 mm, less than 1.5 mm, less than 1 mm, less than 0.8 mm, less than 0.6 mm, less than 0.5 mm, less than 0.4 mm, less than 0.2 mm, and/or at least 10 micrometers, such as at least 50 micrometers.
[00190] Referring to FIG. 31, an architectural window 1400 is shown from the outside of a structure (e.g., building, home, office, automobile, train, etc.). Of course, various dimensions and shapes (e.g., FIG. 30) of window 1400 are possible and in accordance with the present disclosure. In embodiments, window 1400 may be installed in a structure 1010 as shown in FIG. 27. Window 1400 may be a single-pane, double-pane, triple-pane window, or even quadruple pane window. At least one of the panes in window 1400 may be an architectural glass or glass- ceramic article manufactured as disclosed herein and/or with any combination of stress profiles, structures, surface roughness, and/or other physical properties discussed herein. In
embodiments, all of the panes in window 1400 include the architectural glass or glass-ceramic sheet (e.g., FIG. 4) manufactured as disclosed herein. In alternative embodiments, one or more of the panes in window 1400 may include an architectural glass-based layer (i.e., a thermally strengthened glass or glass-ceramic article) manufactured as disclosed herein and/or with any combination of stress profiles, structures, surface roughness, and/or other physical properties discussed herein.
[00191] Referring to an example of a double-pane embodiment of window 1400 shown in FIG. 32 (a cross-section along line 1-1 at a peripheral edge of window 1400 in FIG. 31), window 1400 includes a first glass-based layer 4102 and a second glass-based layer 4202 with a space or sealed interior region 4401 there between. In embodiments, first glass-based layer 4102 and second glass-based layer 4202 face each other and are spaced apart from and disposed substantially parallel to each other. In embodiments, first glass-based layer 4102 includes a body 4101 with an outside surface 4104 opposite an inside surface 4106, and an outer edge 4108. Outside and inside surface 4104, 4106 may be referred to as major surfaces herein. In embodiments, first glass-based layer 4102 includes an interior region defining thickness t between major surfaces 4104, 4106. In embodiments, second glass-based layer 4202 includes a body 4201 with an outside surface 4206 opposite an inside surface 4204, and an outer edge 4208. Outside and inside surface 4206, 4204 may be referred to as major surfaces herein. In embodiments, second glass-based layer 4202 includes an interior region defining thickness t between major surfaces 4204, 4206. Glass-based layers 4102, 4202 may both act as the inside or outside pane of a structure.
[00192] At least one or both of first and second glass-based layers 4102, 4202 is a thermally strengthened architectural glass or glass-ceramic sheet manufactured according to systems and methods disclosed herein and/or with any combination of stress profiles, structures, glass composition, surface roughness, etc. and/or physical properties as disclosed herein. In one or more embodiments, second glass-based layer 4202 is a thermally strengthened architectural glass or glass-ceramic sheet according to the present disclosure (e.g., FIG. 4) while first glass-based layer 4102 is a thermally strengthened glass layer, a chemically strengthened glass layer, a mechanically strengthened glass layer, a thermally and chemically strengthened glass layer, a thermally and mechanically strengthened glass layer or a chemically and mechanically strengthened glass layer. First and second glass-based layers 4102, 4202 may the same or different glass material compositions as disclosed herein.
[00193] In mechanically-strengthening, the compressive stress (CS) region is generated by a mismatch of the coefficient of thermal expansion between portions of the glass layer. In thermally- strengthening, the CS region is formed by heating the glass layer to an elevated temperature above the glass transition temperature, near the glass softening point, and then cooling the glass surface regions more rapidly than the inner regions of the glass layer. The differential cooling rates between the surface regions and the inner regions generates a residual surface CS. [00194] Chemically- strengthened glass substrates may include a compressive stress (CS) region and a central tension (CT) region generated by an ion exchange process. In chemically strengthened glass layers, the replacement of smaller ions by larger ions at a temperature below that at which the glass network can relax produces a distribution of ions across the surface of the glass layer that results in a stress profile. The larger volume of the incoming ion produces a CS on the surface portion of the layer and tension (CT) in the center of the glass.
[00195] Surface compressive stress (CS) and depth of compressive stress layer (DOL) are determined by surface stress meter (FSM) using commercially available instruments such as the FSM-6000, manufactured by Luceo Co., Ltd. (Tokyo, Japan), or the like, and methods of measuring CS and depth of layer are described in ASTM 1422C-99, entitled "Standard
Specification for Chemically Strengthened Flat Glass," and ASTM 1279.19779 "Standard Test Method for Non-Destructive Photoelastic Measurement of Edge and Surface Stresses in
Annealed, Heat- Strengthened, and Fully-Tempered Flat Glass," the contents of which are incorporated herein by reference in their entirety. Surface stress measurements rely upon the accurate measurement of the stress optical coefficient (SOC), which is related to the
birefringence of the glass. SOC in turn is measured by those methods that are known in the art, such as fiber and four point bend methods, both of which are described in ASTM standard C770- 98 (2008), entitled "Standard Test Method for Measurement of Glass Stress-Optical
Coefficient," the contents of which are incorporated herein by reference in their entirety, and a bulk cylinder method.
[00196] When FSM is used to measure the compressive stress, the CS is related to the CT by the following approximate relationship:
CSxDOL
thickness ~~ 2 x DOL
where thickness is the total thickness of the strengthened glass substrate. Unless otherwise specified, CT and CS are expressed herein in megaPascals (MPa), whereas thickness and DOL or DOC are expressed in millimeters or microns. [00197] In one embodiment, a glass layer that is chemically strengthened (alone or in combination with other strengthening mechanisms) may have a surface CS of 250 MPa or greater, 300 MPa or greater, e.g., 400 MPa or greater, 450 MPa or greater, 500 MPa or greater, 550 MPa or greater, 600 MPa or greater, 650 MPa or greater, 700 MPa or greater, 750 MPa or greater or 800 MPa or greater. In one embodiment, a glass layer that is chemically strengthened (alone or in combination with other strengthening mechanisms) may have a DOL of ΙΟμιη or greater, 15 μιη or greater, 20 μιη or greater (e.g., 25 μπι, 30 μπι, 35 μπι, 40 μπι, 45 μπι, 50 μιη or greater) and/or a CT of 10 MPa or greater, 20 MPa or greater, 30 MPa or greater, 40 MPa or greater (e.g., 42 MPa, 45 MPa, or 50 MPa or greater) but less than 100 MPa (e.g., 95, 90, 85, 80, 75, 70, 65, 60, 55 MPa or less). In one or more specific embodiments, a glass layer that is chemically strengthened (alone or in combination with other strengthening mechanisms) has one or more of the following: a surface CS greater than 500 MPa, a DOL greater than 10 μπι, and a CT greater than 18 MPa.
[00198] Window 1400 may further include a member 4421 between its panes. Member 4421 may be an edge seal (e.g., glass frit, laser edge seal, solder, rubber) formed around respective edges of glass panes 4102, 4202 (forming a hermetic or non-hermetic seal), a metallic pillar between the surfaces of glass panes 4102, 4202, a low thermal conduction material, or a glass- bump spacer 50 attached to or formed integral with one or both glass panes. Member 4421 may assist in creating a space between one or both distances 4001, 4002 between its glass panes. Window 1400 may further include a frame 4420 around the edges of its glass panes.
[00199] Space 4401 includes a distance 4001 between glass-based layers 4102 and 4202. Distance 4001 may be from about 50 microns to about 50 mm, or from about 0.1 mm to about 25 mm, or from about 0.1 mm to about 23 mm, or from about 0.2 mm to about 22 mm, or from about 0.3 mm to about 21 mm, or from about 0.4 mm to about 20 mm, or from about 0.5 mm to about 19 mm, or from about 0.6 mm to about 18 mm, or from about 0.7 mm or about 17 mm, or from about 2 mm to about 15 mm. Space 4401 may be sealed and include an insulating gas such as air or a noble gas (e.g., argon, krypton, xenon). Alternatively, space 4401 may be sealed and include a vacuum pressure less than atmospheric pressure (e.g., 10"4 torr). One or both of first and second glass-based layers 4102, 4202 may include a low emissivity layer 4110 on any of its major surfaces. Low emissivity layer 4110 may be a film, a coating, or a layer on a major surface or within the body of glass-based layers 4102 and 4202. As shown in FIG. 32, low emissivity layer 4110 is on inside surface 4106 of first glass-based layer 4102 adjacent the outside of a structure. One or both of first and second glass-based layers 4102, 4202 may include an indium tin oxide layer or film for use in active smart windows such as electrochromic windows. One or both of first and second glass-based layers 4102, 4202 may also include reflective coatings, transparent coating, a polymer coating, an electrically conductive coating, a frosting film, or combinations thereof.
[00200] FIG. 33 illustrates an example embodiment of window 1400 where one of the panes is a laminate including glass-based layer 4202 laminated to a glass pane 4300 with an interlay er 4250 there between. In embodiments, interlayer 4250 is at least partially coextensive with the glass-based layer 4202 and coupled directly and/or indirectly to a side of glass pane 4300. In embodiments, interlayer 4250 may include a polymer material. The polymer material may include poly vinyl butyral (PVB), polycarbonate, acoustic PVB, ethylene vinyl acetate (EVA), thermoplastic polyurethane (TPU), ionomer, a thermoplastic material, and combinations thereof. Glass-based layer 4102 may alternatively or additionally be configured as a laminate.
[00201] Referring to an example of a triple-pane embodiment of window 1400 shown in FIG. 34 (a cross-section along line 1-1 at a peripheral edge of window 1400 in FIG. 31), window 1400 includes a third glass-based layer 4302. In embodiments, third glass-based layer 4302 includes a body 4301 with an outside surface 4304 opposite an inside surface 4306, and an outer edge 4308. Outside and inside surface 4304, 4306 may be referred to as major surfaces herein. In embodiments, third glass-based layer 4302 includes an interior region defining the thickness t between major surfaces 4304, 4306. In embodiments, third glass-based layer 4302 is facing, spaced apart from, and disposed substantially parallel to first and/or second glass-based layers 4102, 4202 with a second space or sealed interior region 4402 there between. In the FIG. 43 embodiment, third glass-based layer 4302 is spaced apart from second glass-based layer 4202 by a second spaced apart distance 4002. Accordingly, glass-based layer 4302 may both act as the inside or outside pane of a structure. Third glass-based layer 4302 may also be the middle pane between first and/or second glass-based layers 4102, 4202 of triple-pane window 1400. [00202] Third glass-based layer may be a thermally strengthened architectural glass or glass- ceramic sheet manufactured according to systems and methods disclosed herein and/or with any combination of stress profiles, glass compositions, structures, surface roughness attributes, and/or physical properties as disclosed herein. In one or more embodiments, third glass-based layer 4302 is a thermally strengthened glass layer, a chemically strengthened glass layer, a mechanically strengthened glass layer, a thermally and chemically strengthened glass layer, a thermally and mechanically strengthened glass layer or a chemically and mechanically strengthened glass layer. Third glass-based layer 4302 may be any glass composition as disclosed herein or similar glass materials. First, second, and third glass-based layers 4102, 4202, 4302 may be all the same or all different glass material compositions as disclosed herein. Third glass-based layers 4302 may include a low emissivity layer 4110 on any of its major surfaces. Low emissivity layer 4110 may be a film, a coating, or a layer on a major surface or within the body of glass-based layer 4302. In embodiments, third glass-based layer 4302 is laminated to a glass pane 4300 with an interlayer 4250 there between. In embodiments, interlayer 4250 is at least partially coextensive with the glass-based layer 4302 and coupled directly and/or indirectly to a side of glass pane 4300. Third glass-based layer 4302 may include an indium tin oxide layer or film for use in active smart windows such as electrochromic windows. Third glass-based layer 4302 may also include reflective coatings, transparent coating, a polymer coating, an electrically conductive coating, a frosting film, or combinations thereof.
[00203] First, second, third glass-based layers 4102, 4202, 4302 may also be configured as a double or triple-pane vacuum insulated glass (VIG) window. FIG. 35 is a front-on view of an example embodiment of a VIG window 1500. The configuration of VIG window 1500 may be similar to that of double or triple-pane window 1400. VIG window 1500 may contain two panes or three panes. FIG. 36 is a cross-sectional view of the example two-pane VIG window 1500 of
FIG. 35 as viewed in the direction 1-1. In one embodiment, VIG window 1500 includes first glass-based layer 4102 (i.e., a thermally strengthened glass or glass-ceramic article) spaced apart from and positioned substantially parallel to second glass-based layer 4202. The first and second glass panes 4102, 4202 each include an inner surface 4106, 4204 opposite an outer surface 4104,
4206. The first and second glass-based layers 4102, 4202 also each include at least one outer edge 4108, 4208. In other embodiments, VIG window 1500 may include third glass-based layer 4302 including an inner surface 4304 opposite an outer surface 4306, and at least one outer edge 4308. Third glass-based layer 4302 may be positioned between and substantially parallel the first and second glass pane 4102, 4202, or opposite a major surface of either the first or second glass pane 4102, 4202. First, second, and third glass-based layers 4102, 4202, 4302 may include any glass or glass-ceramic composition disclosed herein. One, two, or all of the glass-based layers 4102, 4202, 4302 may include thermally strengthened architectural glass or glass-ceramic sheet manufactured according to systems and methods disclosed herein and/or with any combination of stress profiles, glass compositions, structures, surface roughness attributes, and/or physical properties as disclosed herein. In one embodiment of window 1500 not shown, at least one of glass-based layers 4102, 4202, 4302 is configured as a laminate and laminated to a glass pane 4300 with an interlayer 4250 there between (similar to that shown in FIG. 33). In embodiments, interlayer 4250 is at least partially coextensive with the applicable glass-based layer (4102, 4202, 4302) and coupled directly and/or indirectly to a side of glass pane 4300. In embodiments, interlayer 4250 may include a polymer material. One, two, or all of the glass- based layers 4102, 4202, 4302 in window 1500 may be configured as a laminate. One, two, or all of the glass-based layers 4102, 4202, 4302 in window 1500 may include a low emissivity layer 4110 within its body or on one or both major surfaces in window 1500. One, two, or all of the glass-based layers 4102, 4202, 4302 in window 1500 may include an indium tin oxide layer or film for use in active smart windows such as electrochromic windows. One, two, or all of the glass-based layers 4102, 4202, 4302 (including a fourth glass-based layer) in window 1500 may include may also include reflective coatings, transparent coating, a polymer coating, an electrically conductive coating, a frosting film, or combinations thereof. Frosting films of the present disclosure may be partially transparent or opaque. Further, frosting films may be decorative and/or functional.
[00204] VIG window 1500 further includes spacers 50. In embodiments, spacers 50 are a plurality of glass-bump spacers 50 integrally formed in inner surface 4204 of second glass-based layer 4202. Glass-bump spacers 50 may also be formed on inner surface 4106 of glass-based layer 4102. FIG. 3 is a close-up view of an example glass-bump spacer 50. Glass-bump spacers
50 may be integrally formed in first or second glass-based layer 4102, 4202 or added as separate or discrete elements to VIG window 1500. When integrally formed, glass-bumps 50 are formed from (and thus consist of) the same material as the glass-based layer. Example methods of forming glass-bumps 50 (including by laser-induced radiation on the major surfaces of glass- based layers herein) are discussed in U.S. Patent No. 8,679,599 and 8,821,999, the entire contents of which is incorporate by reference herein. Example methods of etching glass-bumps 50 from glass pane 20B, for example, are provided in U.S. Patent Application No. 62/248,715 entitled "VACUUM INSULATED GLASS UNITS AND METHODOLOGY FOR
MANUFACTURING THE SAME" (Attorney Docket No. SP15-339PZ) the entire content of which is incorporated by reference herein. Glass-bumps spacers 50 may be provided or grown from glass-based layers 4102, 4202, 4302 before or after the thermally strengthening techniques are applied to the architectural glass or glass-ceramic sheet as disclosed herein. Spacers 50 may also be discrete metal, ceramic, aluminum, plastic, or glass spacers between panes 20B and 20F.
[00205] In an example embodiment, glass-bump spacers 50 are regularly spaced with respect to one another. Because glass-bump spacers 50 are integrally formed in body 4101, 4201, 4301, they are substantially invisible when the VIG window 1500 is viewed at regular (i.e.,
substantially normally incident) viewing angles. Consequently, glass-bumps 50 are shown in phantom (dotted lines) in FIG. 35. Glass-bump 50 has a "tip" or "top portion" 51, as shown in FIG. 3. As discussed below, top portion 51 need not be rounded as is shown in FIG. 37. For example, top portion 51 may have a large radius of curvature or even a flat top portion. Glass- bump geometries according to the present disclosure are provided in U.S. Patent Application No. 14/808,790 entitled "GLASS BUMPS ON GLASS ARTICLES AND METHODS OF LASER- INDUCED GROWTH" (Attorney Docket No. SP15-169PZ) the entire content of which is incorporated by reference herein. In embodiments, glass-based layers 4102, 4202, 4302 are transmissive at 420 nm to 750 nm. In an example embodiment, glass-bump spacers 50 have a height ("bump height") H in the range from 50 μιη to 300 μπι, or from 75 μιη to 150 μπι, and or even from 100 μιη to 120 μιη. In embodiments, the height H of glass-bump spacers 50 may define spaced distances 4001, 4002.
[00206] In the FIG. 36 embodiment, glass-bump spacers 50 contact front glass-based layer 4101 (at surface 4106) to maintain the first distance 4001 between front and back glass panes 4102, 4202. In embodiments, the glass-based layer contacted by the glass-bump spacers 50 in window 1500 is thermally strengthened architectural glass or glass-ceramic sheet manufactured according to systems and methods disclosed herein. The compressive stress of the major surface thereon may help minimize damage caused by the point stress at top portion 51 of each glass- bump spacer 50 caused by vacuum force in space 4401 and thermal contraction and expansion of the opposing panes.
[00207] Member 4421 (e.g., an edge seal) may be provided at respective outer edges 4108 and 4208 between at least a portion of each outer edge to provide a hermetic seal. Edge seal between front and back glass-based layers 4102, 4202 defines a sealed interior region 4401. In embodiments, the edge seal is at least partially laser-induced. Edge seal may be a seal by glass frit, a seal directly between glass-based layers 4102, 4202, or a seal with a shim or glass segment there between glass-based layers 4102, 4202.
[00208] Space 4401 may be at least partially evacuated so that it has a vacuum pressure of less than one atmosphere or less than atmospheric pressure (e.g., 10"4 torr, or even less than 10"6 torr), which provides VIG window 1500 with desirable thermal and acoustic insulation properties. In embodiments, member 4421 around the respective outer edges 4108, 4208 of front and back glass-based layers 4102, 4202 creates a hermetically sealed space 4401 between surfaces 4106 and 4204 of front and back glass-based layers 4102 and 4202.
[00209] FIG. 38 is a cross-sectional view similar to FIG. 36 and illustrates an example embodiment of a three-pane VIG window 1500. First and second sets of glass-bump spacers 50 are respectively formed in both the front and back surfaces 4204 and 4206 of second glass-based layer 4202 to maintain distance 4001 from first glass-based layer 4102, and distance 4002 from third glass-based layer 4302. In the example embodiment shown in FIG. 38, multiple edge seals may be used, where one edge seal serves to seal at least respective portions of edges 4108 and 4208, and the other edge seal serves to seal at least respective portions of edges 4208 and 4308. In another example embodiment, a single edge seal 4421 serves to seal edges 4108, 4208, and 4308 to define both sealed interior regions 4401 and 4402.
[00210] Of course, the glass-bumps spacers may be formed on any surface of any of the two of three glass-based layers 4102, 4202, 4302 in VIG window 1500. Glass-based layers 4102, 4202, 4302 may be referred to as front, middle, and back glass-based layers herein. FIG. 39 is similar to FIG. 38, and illustrates an alternate example embodiment of a three-pane VIG window 1500 FIG. 35 as viewed in the direction 1-1. In this embodiment, the second set of glass-bump spacers 50 are on third glass-based layer 4302 rather than in the middle glass-based layer 4202. FIG. 39 also illustrates an example embodiment where multiple members 4421 (e.g., edge seals) are used, as described above. FIG. 40 is similar to FIG. 38, and illustrates yet another alternate example embodiment of a three-pane VIG window 1500, wherein the first set of glass-bump spacers 50 are on the front glass-based layer 4102 rather than in the middle glass-based layer 4202. Thus, in the embodiment illustrated in FIG. 40, the glass-bump spacers 50 are formed in the inner and outer glass-based-layers, while in the embodiment illustrated in FIG. 38, the glass- bump spacers are formed in the middle glass-based layer.
[00211] One, two, or all of glass-based layers 4102, 4202, 4302 (including a fourth glass-based layer) in VIG window 1500 may be a thermally strengthened architectural glass or glass-ceramic sheet manufactured according to systems and methods disclosed herein and/or with any combination of stress profiles, glass compositions, structures, surface roughness attributes, and/or physical properties as disclosed herein. In other embodiments, one, two, or all of glass- based layers 4102, 4202, 4302 may be a thermally strengthened glass layer, a chemically strengthened glass layer, a mechanically strengthened glass layer, a thermally and chemically strengthened glass layer, a thermally and mechanically strengthened glass layer or a chemically and mechanically strengthened glass layer.
[00212] Thin thicknesses of the architectural glass or glass-ceramic article 1012 may not harm the function of the architectural glass or glass-ceramic article 1012 in architectural, window, automotive, or other applications relative to conventional articles because the high level of strength of the architectural glass or glass-ceramic article 1012 provided by the inventive processes disclosed herein. Thin architectural glass or glass-ceramic articles 1012 may be particularly useful as layers or panes in architectural windows, or other applications because the architectural glass or glass ceramic article 1012 may be lighter than conventional such articles, reducing the weight of the corresponding overall structure. For automobiles, a result may be greater fuel efficiency. For buildings, a result may be lighter, sturdier or less resource-intensive structures. In other contemplated embodiments, architectural glass or glass-ceramic articles disclosed herein may have areas of lesser magnitude, greater thicknesses, transmit less light, and/or may be used in different applications, such as those disclosed with regard to FIGS. 27-30, for example.
[00213] Referring to FIG. 28, a surface 1 1 10 includes a glass or glass ceramic article 1 1 12, manufactured as disclosed herein and/or with any combination of stress profiles, structures and/or physical properties discussed herein, that functions as a countertop and/or as a portion of a display. In some embodiments, total transmission through the glass or glass ceramic articles 1012 is at least about 30% (e.g., at least 50%) from infrared wavelengths of about 800 nm to about 1500 nm, facilitating use of the surface 11 10 as a cooktop. In some embodiments, the glass or glass-ceramic article 11 12 has a coefficient of thermal expansion (CTE) from about lO lO"7 0C_1 to about 14 about 20 10"7 °CA to about 12 about 30x 10"7 0C_1 to about lOOx lO"7
Figure imgf000078_0001
40χ 10"7 °CA to about ΙΟΟχ ΙΟ"7 50χ 10"7 °CA to about lOOx lO"7 °C_1, or about 60χ 10"7 °C_1 to about 120χ 10"7 0C"\ In various embodiments, the processes are ideally suited for glass compositions having moderate to high CTEs. Example glasses that work well with the processes described herein include alkali aluminosilicates, such as Coming' s® Gorilla® Glasses, boroaluminosilicates, and soda-lime glasses. In some embodiments, the glasses used have CTEs greater than 40, greater than 50, greater than 60, greater than 70, greater than 80, or greater than 90χ 10"7 /°C. Some such CTEs may be particularly low for thermal tempering as disclosed herein, where the degree of negative tensile stress is no more than 50 MPa and/or at least 10 MPa.
[00214] Referring to FIG. 29, a device 1210 (e.g., handheld computer, tablet, portable computer, cellular phone, television, display board, etc.) includes one or more glass or glass-ceramic articles 1212, 1214, 1216, manufactured as disclosed herein and/or with any combination of stress profiles, structures and/or physical properties as disclosed herein, and further includes electronic components 1218 and a housing 1220. In contemplated embodiments, the housing 1220 may be or include a glass or glass-ceramic article as disclosed herein. In contemplated embodiments, a substrate 1222 for the electronic components 1218 may be a glass or glass-ceramic article as disclosed herein. [00215] In some embodiments, the glass or glass ceramic articles 1212, 1214 may function as frontplane and backplane substrates, and the glass or glass ceramic article 1216 may function as a cover glass in the device 1210. According to an exemplary embodiment, the glass or glass-ceramic article 1216 of the device 1210 is an alkali-aluminosilicate glass. Such
composition may allow the glass or glass-ceramic article 1216 to be strengthened by thermal tempering, as disclosed herein, and may be additionally strengthened by ion-exchange, providing a particularly high degree of negative tensile stress (e.g., at least 200 MPa, at least 250 MPa) at or near surfaces thereof. In other embodiments, the glass or glass-ceramic article 1216 may include sodium carbonate, calcium oxide, calcium magnesium carbonate, silicon dioxide (e.g., at least 70% by weight), aluminum oxide, and/or other constituents; and may be strengthened by the inventive processes disclosed herein. The glass or glass ceramic article 1216 may be particularly thin or otherwise structured, such as having any of the dimensions as disclosed herein.
[00216] Referring now to FIG. 30, an architectural glass or glass-ceramic article 1310, manufactured according to processes disclosed herein and/or with any combination of stress profiles, structures and/or physical properties as disclosed herein, has curvature and/or a variable cross-sectional dimension D. Such articles may have thicknesses disclosed herein as an average of dimension D or as a maximum value of dimension D. While the architectural glass or glass- ceramic article 1310 is shown as a curved sheet, other shapes, such as more complex shapes, may be strengthened by processes disclosed herein. In contemplated embodiments, the architectural glass or glass ceramic article 1310 may be used as a window for an automobile (e.g., sunroof) or for a building, as a skylight, or for other applications.
[00217] In various embodiments, glass material manufactured according to processes disclosed herein, and/or with any combination of stress profiles, structures and/or physical properties as disclosed herein, is useful to form at least one sheet of an architectural glass-interlayer- architectural glass laminate. Stronger and thinner laminates can be produced, resulting in weight and cost savings. Desirably, a thermally strengthened thin sheet may be cold bent (see generally FIG. 30) and laminated to a formed thicker glass, providing an easy and reliable manufacturing process not requiring any hot forming/shaping of the thin sheet. Glass and Glass Ceramic Materials for Thermally Strengthened Architectural Glass Sheets
[00218] The systems and methods discussed may be used to thermally condition, strengthen and/or temper a wide variety of architectural glass and/or glass-ceramic materials.
[00219] The processes and systems described herein may generally be used with almost any architectural glass composition, and some embodiments can be used with architectural glass laminates, architectural glass ceramics, and/or ceramics. In various embodiments, the processes can be used with architectural glass compositions having high CTEs. In embodiments, architectural glasses strengthened via the processes and systems discussed herein include alkali aluminosilicates, such as Coming's® Gorilla® Glasses, SLG, soda- or alkali-free glasses and the like. In some embodiments, architectural glasses strengthened via the processes and systems discussed herein have CTEs of greater than 40xl0"7 /°C, greater than 50xl0"7 /°C, greater than 60x10"7 /°C, greater than 70x10"7 /°C, greater than 80x10"7 /°C, or greater than 90x10"7 /°C.
[00220] In some applications and embodiments, architectural glasses strengthened via the processes and systems discussed herein (such as architectural glass sheet 500) may have a composition configured for chemical durability. In some such embodiments, the composition comprises at least 70% silicon dioxide by weight, and/or at least 10% sodium oxide by weight, and/or at least 7% calcium oxide by weight. Conventional articles of such compositions may be difficult to chemically temper to a deep depth, and/or may be difficult, if not impossible, to thermally temper by conventional processes to a sufficient magnitude of negative surface tensile stress for thin thicknesses, such as due to fragility and forces of conventional processes.
However, in contemplated embodiments, inventive processes disclosed herein allow a strengthened architectural glass or glass-ceramic article or sheet, such as architectural glass sheet 500, with such a composition, where negative tensile stress extends into the respective strengthened architectural glass or glass-ceramic sheet to a distance of at least 10% of the thickness of the strengthened architectural glass or glass-ceramic sheet from at least one of the first and second surfaces (e.g., surfaces 510, 520 of architectural glass sheet 500), such as at least 12%) of the thickness, 15%> of the thickness, 18%> of the thickness, 20%> of the thickness. [00221] In some embodiments, the architectural glass or glass-ceramic sheets and articles strengthened as discussed herein have one or more coatings that are placed on the architectural glass prior to the thermal strengthening of the architectural glass sheet. The processes discussed herein can be used to produce strengthened architectural glass sheets having one or more coatings, and, in some such embodiments, the coating is placed on the architectural glass prior to thermal strengthening and is unaffected by the thermal strengthening process. Specific coatings that are advantageously preserved on architectural glass sheets of the present disclosure include low E coatings, reflective coatings, antireflective coatings, anti-fingerprint coatings, cut-off filters, pyrolytic coatings, etc.
[00222] According to an exemplary embodiment, glass or glass-ceramic sheets or articles discussed herein, for example articles 1212, 1214 of the device 1210 shown in FIG. 29, are boro- aluminosilicate glasses. In some embodiments, glass or glass-ceramic sheets or articles discussed herein, for example articles 1212, 1214 of the device 1210 shown in FIG. 29, are generally non-alkali glasses, yet still have stress profiles and structures as disclosed herein. Such composition may reduce the degree of relaxation of the architectural glass, facilitating coupling of electronics thereto (for electrochromic windows for example). In some embodiments, the architectural glass sheets/articles discussed herein are flexible architectural glass sheets. In other embodiments, the architectural glass sheets/articles discussed herein comprise a laminate of two or more architectural glass sheets.
[00223] In some contemplated embodiments, architectural glasses strengthened via the processes and systems discussed herein (such as architectural glass sheet 500) may include an amorphous substrate, a crystalline substrate or a combination thereof, such as an architectural glass-ceramic substrate. Architectural glasses strengthened via the processes and systems discussed herein (such as architectural glass sheet 500) may include an alkali alumino silicate glass, alkali containing borosilicate glass, alkali aluminophosphosilicate glass or alkali aluminoborosilicate glass, photochromic glass, electrochromic glass, or thermochromic glass. In one or more embodiments, architectural glasses strengthened via the processes and systems discussed herein (such as architectural glass sheet 500), in portions thereof not ion-exchanged, may include an architectural glass having a composition, in mole percent (mol%), including: Si02 in the range from about (e.g., plus or minus 1%) 40 to about 80 mol%, A1203 in the range from about 10 to about 30 mol%, B203 in the range from about 0 to about 10 mol%, R20 in the range from about 0 to about 20 mol%, and/or RO in the range from about 0 to about 15 mol%. In some contemplated embodiments, the composition may include either one or both of Zr02 in the range from about 0 to about 5 mol% and P205 in the range from about 0 to about 15 mol%. In some contemplated embodiments, Ti02 can be present from about 0 to about 2 mol%.
[00224] In some contemplated embodiments, compositions used for the strengthened architectural glass or glass-ceramic sheet or article discussed herein may be batched with 0-2 mol% of at least one fining agent selected from a group that includes Na2S04, NaCl, NaF, NaBr, K2S04, KC1, KF, KBr, and Sn02. The architectural glass composition according to one or more embodiments may further include Sn02 in the range from about 0 to about 2 mol%, from about 0 to about 1 mol%, from about 0.1 to about 2 mol%, from about 0.1 to about 1 mol%, or from about 1 to about 2 mol%. Architectural glass compositions disclosed herein for the strengthened architectural glass or glass-ceramic sheet 500 may be substantially free of As203 and/or Sb203, in some embodiments.
[00225] In contemplated embodiments, the strengthened architectural glass or glass-ceramic sheet or article discussed herein may include alkali aluminosilicate architectural glass compositions or alkali aluminoborosilicate architectural glass compositions that are further strengthened via an ion exchange process. One example architectural glass composition comprises Si02, B203 and Na20, where (Si02 + B203) > 66 mol. %, and/or Na20 > 9 mol. %. In an embodiment, the architectural glass composition includes at least 6 wt.% aluminum oxide. In a further embodiment, the strengthened architectural glass or glass-ceramic sheet or article discussed herein may include an architectural glass composition with one or more alkaline earth oxides, such that a content of alkaline earth oxides is at least 5 wt.%. Suitable architectural glass compositions, in some embodiments, further comprise at least one of K20, MgO and CaO. In a particular embodiment, the architectural glass compositions used in the strengthened
architectural glass or glass-ceramic sheet or article discussed herein can comprise 61-75 mol.% Si02; 7-15 mol.% A1203; 0-12 mol.% B203; 9-21 mol.% Na20; 0-4 mol.% K20; 0-7 mol.% MgO; and/or 0-3 mol.% CaO. [00226] A further example glass composition suitable for the strengthened architectural glass or glass-ceramic sheet or article discussed herein comprises: 60-70 mol.% Si02; 6- 14 mol.% A1203; 0-15 mol.% B203; 0-15 mol.% Li20; 0-20 mol.% Na20; 0- 10 mol.% K20; 0-8 mol.% MgO; 0-10 mol.% CaO; 0-5 mol.% Zr02; 0- 1 mol.% Sn02; 0- 1 mol.% Ce02; less than 50 ppm As203; and less than 50 ppm Sb203; where 12 mol.% < (Li20 + Na20 + K20) < 20 mol.% and/or 0 mol.%) < (MgO + CaO) < 10 mol.%. A still further example glass composition suitable for the strengthened architectural glass or glass-ceramic sheet or article discussed herein comprises: 63.5-66.5 mol.% Si02; 8- 12 mol.% A1203; 0-3 mol.% B203; 0-5 mol.% Li20; 8- 18 mol.% Na20; 0-5 mol.% K20; 1-7 mol.% MgO; 0-2.5 mol.% CaO; 0-3 mol.% Zr02; 0.05-0.25 mol.% Sn02;
0.05-0.5 mol.%) Ce02; less than 50 ppm As203; and less than 50 ppm Sb203; where 14 mol.% < (Li20 + Na20 + K20) < 18 mol.% and/or 2 mol.% < (MgO + CaO) < 7 mol.%.
[00227] In particular contemplated embodiments, an alkali aluminosilicate glass composition suitable for the strengthened architectural glass or glass-ceramic sheet or article discussed herein comprises alumina, at least one alkali metal and, in some embodiments, greater than 50 mol.% Si02, in other embodiments at least 58 mol.% Si02, and in still other embodiments at least 60 mol.%) Si02, wherein the ratio (A1203 + B203)/∑modifiers (i.e., sum of modifiers) is greater than
1, where in the ratio the components are expressed in mol.% and the modifiers are alkali metal oxides. This architectural glass composition, in particular embodiments, comprises: 58-72 mol.% Si02; 9- 17 mol.% A1203; 2- 12 mol.% B203; 8- 16 mol.% Na20; and/or 0-4 mol.% K20, wherein the ratio (A1203 + B203)/∑modifiers (i.e., sum of modifiers) is greater than 1. In still another embodiment, the strengthened architectural glass or glass-ceramic sheet 500 may include an alkali aluminosilicate glass composition comprising: 64-68 mol.% Si02; 12-16 mol.% Na20; 8- 12 mol.% A1203; 0-3 mol.% B203; 2-5 mol.% K20; 4-6 mol.% MgO; and 0-5 mol.% CaO, wherein: 66 mol.% < Si02 + B203 + CaO < 69 mol.%; Na20 + K20 + B203 + MgO + CaO + SrO > 10 mol.%; 5 mol.% < MgO + CaO + SrO < 8 mol.%; (Na20 + B203) - A1203 < 2 mol.%; 2 mol.% < Na20 - A1203 < 6 mol.%; and 4 mol.% < (Na20 + K20) - A1203 < 10 mol.%. In an alternative embodiment, the strengthened architectural glass or glass-ceramic sheet or articles discussed herein may comprise an alkali aluminosilicate glass composition comprising: 2 mol.% or more of A1203 and/or Zr02, or 4 mol.% or more of A1203 and/or Zr02. [00228] In contemplated embodiments, examples of suitable glass ceramics for the strengthened architectural glass or glass-ceramic sheet or articles discussed herein may include Li20-Al203-Si02 system (i.e. LAS-System) glass ceramics, MgO-Al203-Si02 system (i.e. MAS- System) glass ceramics, and/or glass ceramics that include a predominant crystal phase including β-quartz solid solution, β-spodumene ss, cordierite, and lithium disilicate. The strengthened architectural glass or glass-ceramic sheet or article discussed herein may be characterized by the manner in which it is formed. For instance, the strengthened architectural glass or glass-ceramic sheet or article discussed hereinmay be characterized as float-formable (i.e., formed by a float process), down-drawable and, in particular, fusion-formable or slot-drawable (i.e., formed by a down draw process such as a fusion draw process or a slot draw process).
[00229] A float-formable strengthened architectural glass or glass-ceramic sheet or article may be characterized by smooth surfaces and consistent thickness, and is made by floating molten architectural glass on a bed of molten metal, typically tin. In an example process, molten architectural glass or glass-ceramic that is fed onto the surface of the molten tin bed forms a floating architectural glass or glass-ceramic ribbon. As the architectural glass ribbon flows along the tin bath, the temperature is gradually decreased until the architectural glass or glass-ceramic ribbon solidifies into a solid architectural glass or glass-ceramic article that can be lifted from the tin onto rollers. Once off the bath, the architectural glass or glass-ceramic article can be cooled further and annealed to reduce internal stress. Where the architectural glass or glass-ceramic article is a glass ceramic, the architectural glass article formed from the float process may be subjected to a ceramming process by which one or more crystalline phases are generated.
[00230] Down-draw processes produce architectural glass or glass-ceramic articles having a consistent thickness that possess relatively pristine surfaces. Because the average flexural strength of the architectural glass or glass-ceramic article is controlled by the amount and size of surface flaws, a pristine surface that has had minimal contact has a higher initial strength. When this high strength architectural glass or glass-ceramic article is then further strengthened (e.g., chemically), the resultant strength can be higher than that of an architectural glass or glass- ceramic article with a surface that has been lapped and polished. Down-drawn architectural glass or glass-ceramic articles may be drawn to a thickness of less than about 2 mm. In addition, down-drawn architectural glass or glass-ceramic articles have a very flat, smooth surface that can be used in its final application without costly grinding and polishing. Where the architectural glass or glass-ceramic article is a glass ceramic, the architectural glass or glass-ceramic article formed from the down-draw process may be subjected to a ceramming process by which one or more crystalline phases are generated.
[00231] The fusion draw process, for example, uses a drawing tank that has a channel for accepting molten architectural glass raw material. The channel has weirs that are open at the top along the length of the channel on both sides of the channel. When the channel fills with molten material, the molten architectural glass overflows the weirs. Due to gravity, the molten architectural glass flows down the outside surfaces of the drawing tank as two flowing architectural glass films. These outside surfaces of the drawing tank extend down and inwardly so that they join at an edge below the drawing tank. The two flowing architectural glass films join at this edge to fuse and form a single flowing architectural glass article. The fusion draw method offers the advantage that, because the two architectural glass films flowing over the channel fuse together, neither of the outside surfaces of the resulting architectural glass article comes in contact with any part of the apparatus. Thus, the surface properties of the fusion drawn architectural glass article are not affected by such contact. Where the architectural glass or glass- ceramic article is a glass ceramic, the architectural glass or glass-ceramic article formed from the fusion process may be subjected to a ceramming process by which one or more crystalline phases are generated.
[00232] The slot draw process is distinct from the fusion draw method. In slot draw processes, the molten raw material glass is provided to a drawing tank. The bottom of the drawing tank has an open slot with a nozzle that extends the length of the slot. The molten glass flows through the slot/nozzle and is drawn downward as a continuous glass article and into an annealing region. Where the architectural glass or glass-ceramic article is a glass ceramic, the architectural glass article formed from the slot draw process may be subjected to a ceramming process by which one or more crystalline phases are generated. [00233] In some embodiments, the architectural glass article may be formed using a thin rolling process, as described in U.S. Patent No. 8,713,972, U.S. Patent No. 9,003,835, U.S. Patent Publication No. 2015/0027169, and U.S. Patent Publication No. 20050099618, the contents of which are incorporated herein by reference in their entirety. More specifically the architectural glass or glass-ceramic article may be formed by supplying a vertical stream of molten glass, forming the supplied stream of molten glass or glass-ceramic with a pair of forming rolls, maintained at a surface temperature of about 500° C or higher or about 600° C or higher, to form a formed architectural glass ribbon having a formed thickness, sizing the formed ribbon of glass with a pair of sizing rolls, maintained at a surface temperature of about 400° C or lower to produce a sized glass ribbon having a desired thickness less than the formed thickness and a desired thickness consistency. The apparatus used to form the glass ribbon may include a glass feed device for supplying a supplied stream of molten glass; a pair of forming rolls maintained at a surface temperature of about 500° C or higher, the forming rolls being spaced closely adjacent each other, defining a glass forming gap between the forming rolls with the glass forming gap located vertically below the glass feed device for receiving the supplied stream of molten glass and thinning the supplied stream of molten glass between the forming rolls to form a formed glass ribbon having a formed thickness; and a pair of sizing rolls maintained at a surface temperature of about 400° C or lower, the sizing rolls being spaced closely adjacent each other, defining a glass sizing gap between the sizing rolls with the glass sizing gap located vertically below the forming rolls for receiving the formed architectural glass ribbon and thinning the formed architectural glass ribbon to produce a sized architectural glass ribbon having a desired thickness and a desired thickness consistency.
[00234] In some instances, the thin rolling process may be utilized where the viscosity of the architectural glass does not permit use of fusion or slot draw methods. For example, thin rolling can be utilized to form the architectural glass or glass-ceramic articles when the glass exhibits a liquidus viscosity less than 100 kP. The architectural glass or glass-ceramic article may be acid polished or otherwise treated to remove or reduce the effect of surface flaws.
[00235] In contemplated embodiments, the architectural glass or glass-ceramic sheet or article discussed herein has a composition that differs by side surface. On one side of the architectural glass or glass-ceramic sheet 500, an exemplary composition is: 69-75 wt.% Si02, 0-1.5 wt.% A1203, 8-12 wt.% CaO, 0-0.1 wt.% CI, 0-500 ppm Fe, 0-500 ppm K , 0.0-4.5 wt.% MgO, 12-15 wt.% Na20, 0-0.5 wt.% S03, 0-0.5 wt.% Sn02, 0-0.1 wt.% SrO, 0-0.1 wt.% Ti02, 0-0.1 wt.% ZnO, and/or 0-0.1 wt.% Zr02. On the other side of the architectural glass or glass-ceramic sheet or article discussed herein an exemplary composition is: 73.16 wt.% Si02, 0.076 wt.% Al203, 9.91 wt.% CaO, 0.014 wt.% CI, 0.1 wt.% Fe203, 0.029 wt.% K20, 2.792 wt.% MgO, 13.054 wt.% Na20, 0.174 wt.% S03, 0.001 Sn02, 0.01 wt.% SrO, 0.01 wt.% Ti02, 0.002 wt.% ZnO, and/or 0.005 wt.% Zr02.
[00236] In other contemplated embodiments, composition of the architectural glass or glass- ceramic sheet or article discussed herein includes Si02 55-85 wt.%, Al203 0-30 wt.%, B203 0-20 wt.%, Na20 0-25 wt.%, CaO 0-20 wt.%, K20 0-20 wt.%, MgO 0-15 wt.%, BaO 5-20 wt.%, Fe203 0.002-0.06 wt.%, and/or Cr203 0.0001-0.06 wt.%. In other contemplated embodiments, composition of the architectural glass or glass-ceramic sheet or article discussed herein includes Si02 60-72 mol.%, A1203 3.4-8 mol.%, Na20 13- 16 mol.%, K20 0-1 mol.%, MgO 3.3-6 mol.%, Ti02 0-0.2 mol.%, Fe203 0.01-0.15 mol.%, CaO 6.5-9 mol.%, and/or S03 0.02-0.4 mol.%.
Examples
[00237] Apparatus setup - As detailed above, the apparatus comprises three zones - a hot zone, a transition zone, and a cool or quench zone. The gaps between the top and bottom thermal bearings (heat sinks) in the hot zone and the quench zone are set to the desired spacings. Gas flow rates in the hot zone, transition zone, and quench zone are set to ensure centering of the architectural glass material, sheet or part on the air-bearing. The hot zone is pre-heated to the desired T0, the temperature from which the architectural glass article will be subsequently quenched. To ensure uniform heating, architectural glass articles are pre-heated in a separate preheating apparatus, such as a batch or continuous furnace. Generally, architectural glass sheets are pre-heated for greater than 5 minutes prior to loading in the hot zone. For soda-lime glasses, preheating is done around 450°C. After the pre-heat phase, the architectural glass article is loaded into the hot zone and allowed to equilibrate, where equilibration is where the architectural glass is uniformly at T0. T0 can be determined by the level of strengthening/tempering desired, but is generally kept in the range between the softening point and the glass transition temperature. The time to equilibration is dependent at least on the thickness of the architectural glass. For example, for architectural glass sheets of approximately 1.1 mm or less, equilibration occurs in approximately 10 seconds. For 3 mm architectural glass sheets, equilibration occurs in approximately 10 seconds to 30 seconds. For thicker sheets, up to approximately 6 mm, the equilibration time may be on the order of 60 seconds. Once the architectural glass has equilibrated to T0, it is rapidly transferred through the transition zone on air bearings and into the cool or quench zone. The architectural glass article rapidly quenches in the quench zone to a temperature below the glass transition temperature, Tg. The architectural glass sheet can be maintained in the quench zone for any period of time from 1 second, 10 seconds, or to several minutes or more, depending on the degree of quench desired and/or the desired temperature of the architectural glass at removal. Upon removal the architectural glass is optionally allowed to cool before handling.
[00238] The following examples are summarized in Table VI.
[00239] Example 1 - A soda-lime silicate glass plate (e.g., glass comprising at least 70% silicon dioxide by weight, and/or at least 10% sodium oxide by weight, and/or at least 7% calcium oxide by weight) of 5.7 mm thickness is pre-heated for 10 minutes at 450°C before transferring to the hot zone where it is held at a T0 of 690°C for 60 seconds. After equilibrating to To, it is rapidly transferred to the quench zone filled with helium, which has a gap of 91 μπι (wherein the gap is the distance between the surface of the glass sheet and the nearest heat sink), where it is held for 10 seconds. The resulting article has a surface compression of -312 MPa, a central tension of 127 MPa, and a flatness of 83 μπι.
[00240] Example 2 - A soda-lime silicate glass plate of 5.7 mm thickness is pre-heated for 10 minutes at 450°C before transferring to the hot zone where it is held at a T0 of 690°C for 60 seconds. After equilibrating it is rapidly transferred to the quench zone, which has a gap of 91 μπι, where it is held for 10 seconds. The resulting article has a surface compression of -317 MPa, a central tension of 133 MPa, and a flatness of about 89.7 micrometers. [00241] Example 3 - A soda-lime silicate glass plate of 1.1 mm thickness is pre-heated for 10 minutes at 450°C before transferring to the hot zone where it is held at a To of 700°C for 10 seconds. After equilibrating it is rapidly transferred to the quench zone filled with helium, which has a gap of 56 μπι, where it is held for 10 seconds. The resulting article has a surface fictive temperature measured to be 661°C, a surface compression of -176 MPa, a central tension of 89 MPa, a flatness of 190 μπι, and a Vicker's cracking threshold of 10-20 N.
[00242] Example 4 - A soda-lime silicate glass plate of 0.55 mm thickness is pre-heated for 10 minutes at 450°C before transferring to the hot zone where it is held at a T0 of 720°C for 10 seconds. After equilibrating it is rapidly transferred to the quench zone, which has a gap of 25 μπι, where it is held for 10 seconds, resulting in an effective heat transfer rate of 0.184 cal/(cm2- s-°C). The resulting article has a surface compression of -176 MPa and a central tension of 63 MPa. Also, the resulting strengthened articles had a flatness of about 168 (for the initial 710° C temperature sample) and 125 micrometers (for the initial 720° C temperature sample).
[00243] Example 5 - A CORNING® GORILLA® Glass plate of 1.5 mm thickness is pre-heated for 10 minutes at 550°C before transferring to the hot zone where it is held at a T0 of 790°C for 30 seconds. After equilibrating it is rapidly transferred to the quench zone, which has a gap of 226 μπι, where it is held for 10 seconds. The glass article has an improvement in flatness measured to be 113 μπι pre-processing and 58 μπι post-processing.
[00244] Example 6 - A soda-lime silicate glass plate of 0.7 mm thickness is pre-heated for 10 minutes at 450°C before transferring to the hot zone where it is held at a T0 of 730°C for 10 seconds. After equilibrating it is rapidly transferred to the quench zone filled with helium, which has a gap of 31 μπι, where it is held for 10 seconds, resulting in an effective heat transfer rate of 0.149 cal/(cm2-s-°C). The resulting article has a surface compression of -206 MPa, a central tension of 100 MPa, and a flatness of 82 μπι. Upon fracture, the glass sheet is observed to "dice" (using standard terminology for 2 mm thickness or greater sheet dicing - i.e., a 5x5 cm square of glass sheet breaks into 40 or more pieces) suggesting that the sheet is fully tempered.
[00245] Example 7 - A Borofloat-33 glass plate of 3.3 mm thickness is pre-heated for 10 minutes at 550°C before transferring to the hot zone where it is held at a T0 of 800°C for 30 seconds. After equilibrating it is rapidly transferred to the quench zone, which has a gap of 119 μιη, where it is held for 10 seconds. The resulting article has a flatness of 120 μιη. Upon fracture of the part it is observed to "dice" (using standard terminology for 2 mm or greater thickness sheet dicing - i.e., a 5x5 cm square of glass sheet breaks into 40 or more pieces) showing that the sheet is fully tempered.
[00246] Example 8 - A soda-lime silicate glass plate of 3.2 mm thickness is pre-heated for 10 minutes at 450°C before transferring to the hot zone where it is held at a T0 of 690°C for 30 seconds. After equilibrating it is rapidly transferred to the quench zone, which has a gap of 84 μιη, where it is held for 10 seconds. The resulting article has a surface compression of -218 MPa, a central tension of 105 MPa, and a flatness of 84 μιη.
[00247] Example 9 - A soda-lime silicate glass plate of 0.3 mm thickness is pre-heated for 10 minutes at 450°C before transferring to the hot zone where it is held at a T0 of 630°C for 10 seconds. After equilibrating it is rapidly transferred to the quench zone, which has a gap of 159 μπι, where it is held for 10 seconds. The resulting article has membrane stresses which are observable by gray field polarimetry, suggesting the glass has incorporated the thermal stress.
[00248] Example 10 - A CORNING® GORILLA® Glass plate of 0.1 mm thickness is pre-heated for 10 minutes at 550°C before transferring to the hot zone where it is held at a T0 of 820°C for 10 seconds. After equilibrating it is rapidly transferred to the quench zone, which has a gap of 141 μιη, where it is held for 10 seconds, resulting in an effective heat transfer rate of 0.033 cal/(cm2-s-°C). Upon fracture, the resulting article displays behavior consistent with a residually stressed glass.
[00249] Example 11 - A soda-lime silicate glass plate of 1.1 mm thickness is pre-heated for 10 minutes at 450°C before transferring to the hot zone where it is held at a T0 of 700°C for 10 seconds. After equilibrating it is rapidly transferred to the quench zone, which has a gap of 65 μιη, where it is held for 10 seconds, resulting in an effective heat transfer rate of 0.07 cal/(cm2-s- °C). The resulting article has a surface Active temperature measured to be 657°C, a surface compression of -201 MPa, a central tension of 98 MPa, a flatness of 158 μπι, and a Vicker's cracking threshold of 10-20 N. [00250] Example 12 - A CORNING® GORILLA® Glass plate of 1.1 mm thickness is pre-heated for 10 minutes at 550°C before transferring to the hot zone where it is held at a To of 810°C for 10 seconds. After equilibrating it is rapidly transferred to the quench zone which has a gap of 86 μπι, where it is held for 10 seconds, resulting in an effective heat transfer rate of 0.058 cal/(cm2- s-°C). The resulting article has a surface fictive temperature measured to be 711°C, a surface compression of -201 MPa, a central tension of 67 MPa, and a Vicker's cracking threshold of 20- 30 N.
[00251] Example 13 - A CORNING® GORILLA® Glass plate of 1.1 mm thickness is pre-heated for 10 minutes at 550°C before transferring to the hot zone where it is held at a T0 of 800°C for 10 seconds. After equilibrating it is rapidly transferred to the quench zone, which has a gap of 91 μπι, where it is held for 10 seconds. The resulting article has a surface fictive temperature measured to be 747°C, a surface compression of -138 MPa, a central tension of 53 MPa, a flatness of 66 μπι, and a Vicker's cracking threshold of 20-30 N.
Table VI
Figure imgf000091_0001
[00252] Additional Example - a 5.7 mm thick sheet of glass comprising at least 70% silicon dioxide by weight, and/or at least 10% sodium oxide by weight, and/or at least 7% calcium oxide by weight was run with helium gas and gaps 204a, 204b (FIG. 21) of about 90 micrometers. The glass was heated to an initial temperature of about 690° C and quickly cooled. The resulting strengthened article had a negative tensile stress of about 300 MPa on surfaces thereof and a positive tensile stress of about 121 MPa in the center. Also, the resulting strengthened article had a flatness of about 106.9 micrometers.
[00253] Additional Example - In one experiment using inventive technology disclosed herein, a 1.1 mm thick sheet of glass comprising at least 70% silicon dioxide by weight, and/or at least 10% sodium oxide by weight, and/or at least 7% calcium oxide by weight was run with helium gas and gaps 204a, 204b (FIG. 21) of about 160 micrometers. The glass was heated to an initial temperature of about 680° C and quickly cooled. The resulting strengthened article had a negative tensile stress of about 112 MPa on surfaces thereof and a positive tensile stress of about 54 MPa in the center. Prior to strengthening, the sheet of glass had a flatness of about 96 micrometers, but the resulting strengthened article had a flatness of about 60 micrometers.
Accordingly, the strengthening process also flattened the strengthened glass or glass ceramic article.
[00254] Other aspects and advantages will be apparent from a review of the specification as a whole and the appended claims.
[00255] The construction and arrangements of the architectural glass and glass-ceramic, as shown in the various exemplary embodiments, are illustrative only. Although only a few embodiments have been described in detail in this disclosure, many modifications are possible (e.g., variations in sizes, dimensions, structures, shapes, and proportions of the various elements, values of parameters, mounting arrangements, use of materials, colors, orientations) without materially departing from the novel teachings and advantages of the subject matter described herein. Some elements shown as integrally formed may be constructed of multiple parts or elements, the position of elements may be reversed or otherwise varied, and the nature or number of discrete elements or positions may be altered or varied. The order or sequence of any process, logical algorithm, or method steps may be varied or re-sequenced according to alternative embodiments. Other substitutions, modifications, changes and omissions may also be made in the design, operating conditions and arrangement of the various exemplary embodiments without departing from the scope of the present inventive technology.

Claims

CLAIMS What is claimed is:
1. A window comprising: a first glass-based layer comprising first and second major surfaces, a first body formed from a first glass material, and a first outer edge; a second glass-based layer comprising first and second major surfaces, a second body formed from a second glass material, and a second outer edge; the second glass-based layer facing, spaced apart from and disposed substantially parallel to the first glass-based layer by a first distance; the second glass based layer comprising an interior region located between the first and second major surfaces of the second glass-based layer; wherein an ion content and chemical constituency of at least a portion of one of the first major surface or the second major surface of the second glass- based layer is the same as an ion content and chemical constituency of at least a portion of the interior region of the second glass-based layer; wherein the first and second major surfaces of the second glass-based layer are under compressive stress greater than 60 MPa and the interior region of the second glass-based layer is under tensile stress; wherein a surface roughness of the first major surface of the second glass-based layer is between 0.2 and 1.5 nm Ra roughness.
2. The window of claim 1, wherein the stress within the second glass-based layer varies as a function of position relative to the first and second major surfaces of the second glass- based layer, wherein the stress within the second glass-based layer has slope of at least 200 MPa over a distance of less than 500 μπι of the thickness of the second glass-based layer.
3. The window of claim 1 or claim 2, wherein a surface roughness of the second glass-based layer second major surface is between 0.2 and 1.5 nm Ra roughness.
4. The window according to any of claims 1-3, wherein the first and second major surfaces of the second glass-based layer are flat to at least 50 μπι total indicator run-out along a 50 mm profile of the first and second major surfaces of the second glass-based layer.
5. The window according to any of claims 1-4, wherein the areas of the first and second major surfaces of the second glass-based layer are at least 50 cm2.
6. The window according to any of claims 1-5, wherein the first or second glass material is soda-lime glass, alkali alumino silicate glass, alkali containing borosilicate glass, alkali aluminophosphosilicate glass, alkali aluminoborosilicate glass, photochromic glass, electrochromic glass, or thermochromic glass.
7. The window according to any of claims 1-6, wherein the first glass material and second glass material are the same.
8. The window according to any of claims 1-7, wherein the first distance between first and second glass-based layers comprises a noble gas or air.
9. The window according to any of claims 1-8, further comprising a third glass- based layer having first and second major surfaces, a body formed from a third glass material, and a third outer edge; wherein the third glass-based layer is facing, spaced apart from and disposed substantially parallel to the first glass-based layer on a side opposite the second glass-based layer at a second spaced apart distance.
10. The window according to claim 9, wherein the first glass material, second glass material, and third glass material are the same.
11. The window according to any of claims 1-10, wherein the first glass-based layer comprises a thermally strengthened glass layer, a chemically strengthened glass layer, a mechanically strengthened glass layer, a thermally and chemically strengthened glass layer, a thermally and mechanically strengthened glass layer or a chemically and mechanically strengthened glass layer.
12. The window according to any of claims 9-11, wherein the third glass material is soda-lime glass, alkali aluminosilicate glass, alkali containing borosilicate glass, alkali aluminophosphosilicate glass, alkali aluminoborosilicate glass, photochromic glass,
electrochromic glass, or thermochromic glass.
13. The window according to any of claims 9-12, wherein the third glass-based layer comprises a thermally strengthened glass layer, a chemically strengthened glass layer, a mechanically strengthened glass layer, a thermally and chemically strengthened glass layer, a thermally and mechanically strengthened glass layer or a chemically and mechanically strengthened glass layer.
14. The window according to any of claims 1-7 and 9-13, wherein the first glass- based layer further comprises a first plurality of glass-bump spacers formed from the first body from one of the first or second major surface and consisting of the first glass material, wherein the plurality of glass bump spacers contact the second glass-based layer to maintain the spaced apart first distance; a first edge seal formed around at least respective portions of the first and second outer edges so as to define a first sealed interior region between the first and second glass-based layers, wherein the first sealed interior region has a vacuum pressure of less than atmospheric pressure.
15. The window of claim 14, wherein the first plurality of glass-bump spacers are formed by laser beam irradiation on the first or second major surface of the first glass-based layer.
16. The window according to any of claims 14-15, further comprising a second plurality of glass-bump spacers formed integrally in the first glass-based layer in the major surface opposite that having the first plurality of glass-bump spacers, the second plurality of glass-bump spacers consisting of the first glass material and contact the third glass-based layer to maintain the spaced apart second distance; and either (i) a second edge seal surrounds at least respective portions of the first and third outer edges to define, between the first and third glass-based layers, a second sealed interior region having a vacuum pressure of less than atmospheric pressure, or (ii) the first edge seal further surrounds at least a portion of the third outer edge to further define, between the first and third glass-based layers, a second sealed interior region having a vacuum pressure of less than atmospheric pressure.
17. The window of claim 16, wherein the second plurality of glass-bump spacers are formed by laser beam irradiation on the first or second major surface of the first glass-based layer.
18. The window of any of claims 14-15, further comprising a second plurality of glass-bump spacers formed integrally in the first or second major surface of the third glass-based layer, adjacent the first glass-based layer, opposite the second plurality of glass-bump spacers and consisting of the third glass material and contact the first glass-based layer to maintain the spaced apart second distance; and either i) a second edge seal surrounds at least respective portions of the first and third outer edges to define, between the first and third glass-based layer, a second sealed interior region having a vacuum pressure of less than atmospheric pressure, or ii) the first edge seal further surrounds at least a portion of the third outer edge to further define, between the first and third glass-based layers, a second sealed interior region having a vacuum pressure of less than atmospheric pressure.
19. The window according to any of claims 1-18, wherein at least one of first glass- based layer or second glass-based layer further comprises a low emissivity layer.
20. The window according to any of claims 8-19 wherein the third glass-based layer further comprises a low emissivity layer.
21. The window according to any of claims 1-20, wherein the second glass-based layer is laminated to a glass pane by at least one interlayer, the interlayer at least partially coextensive with the second glass-based layer and coupled directly or indirectly to a side of the glass pane.
22. The window of claim 21, wherein the interlayer material comprises a polymer material selected from the group consisting of poly vinyl butyral (PVB), polycarbonate, acoustic PVB, ethylene vinyl acetate (EVA), thermoplastic polyurethane (TPU), ionomer, a thermoplastic material, and combinations thereof.
23. A window comprising: a first glass-based layer comprising first and second major surfaces, a first body formed from a first glass material, and a first outer edge; a second glass-based layer comprising first and second major surfaces, a second body formed from a second glass material, and a second outer edge; the second glass-based layer spaced apart from and disposed substantially parallel to the first glass-based layer by a first distance; the first and second major surface of the second glass-based layer separated by the thickness t, the first major surface of the second glass-based layer being flat to 100 μπι total indicator run-out (TIR) along any 50 mm or less profile of the first major surface; the second glass material having a low temperature linear CTE, expressed in 1/°C, of
S L
a CTE, a high temperature linear CTE, expressed in 1/°C, of a CTE, an elastic modulus, expressed in GPa, of E, a strain temperature, expressed in units of °C, of Tstram, and a softening
temperature, expressed in units of °C, of Tsoft; the first major surface of the second glass-based layer having a thermally induced surface compressive stress of less than 600 MPa and greater than ;
Figure imgf000098_0001
in units of MPa; wherein P} is given by
Figure imgf000098_0002
P2 is given by
23.65
2.53 + 1.58\ '
Χ + (θ.0073δ) and h is greater than or equal to 0.020 cal/s cm2 oC.
24. The window of claim 23, wherein the areas of the first and second major surfaces of the second glass-based layer are at least 50 cm2.
25. The window of claim 23, wherein the second glass-based layer further comprises, a length, expressed in millimeters, of /, and a width, expressed in millimeters, of w, wherein t is less than /, and t is less than w.
26. The window according to any of claims 23-25, wherein a surface roughness of the second glass-based layer second major surface is between 0.2 and 1.5 nm Ra roughness.
27. The window according to any of claims 23-26, wherein the first and second major surfaces of the second glass-based layer are flat to at least 50 μπι total indicator run-out along a 50 mm profile of the first and second major surfaces of the second glass-based layer.
28. The window according to any of claims 23-27, wherein the first or second glass material is soda-lime glass, alkali alumino silicate glass, alkali containing borosilicate glass, alkali aluminophosphosilicate glass, alkali aluminoborosilicate glass, photochromic glass, electrochromic glass, or thermochromic glass.
29. The window according to any of claims 23-28, wherein the first glass-based layer comprises a thermally strengthened glass layer, a chemically strengthened glass layer, a mechanically strengthened glass layer, a thermally and chemically strengthened glass layer, a thermally and mechanically strengthened glass layer or a chemically and mechanically strengthened glass layer.
30. The window according to any of claims 23-29, wherein the first glass material and second glass material are the same.
31. The window according to any of claims 23-30, wherein the first distance between first and second glass-based layers comprises a noble gas or air.
32. The window according to any of claims 23-30, further comprising a third glass- based layer having first and second major surfaces, a body formed from a third glass material, and a third outer edge; wherein the third glass-based layer is spaced apart from and disposed substantially parallel to the first glass-based layer on a side opposite the second glass-based layer at a second spaced apart distance.
33. The window of claim 32, wherein the third glass material is soda-lime glass, alkali alumino silicate glass, alkali containing borosilicate glass, alkali aluminophosphosilicate glass, alkali aluminoborosilicate glass, photochromic glass, electrochromic glass, or thermochromic glass.
34. The window of claim 32 of claim 33, wherein the first glass material, second glass material, and third glass material are the same.
35. The window according to any of claims 32-34, wherein the third glass-based layer comprises a thermally strengthened glass layer, a chemically strengthened glass layer, a mechanically strengthened glass layer, a thermally and chemically strengthened glass layer, a thermally and mechanically strengthened glass layer or a chemically and mechanically strengthened glass layer.
36. The window according to any of claims 23-30 and 32-35, wherein the first glass- based layer further comprises a first plurality of glass-bump spacers formed from the first body from one of the first or second major surface and consisting of the first glass material, wherein the plurality of glass bump spacers contact the second glass-based layer to maintain the spaced apart first distance; a first edge seal formed around at least respective portions of the first and second outer edges so as to define a first sealed interior region between the first and second glass-based layers, wherein the first sealed interior region has a vacuum pressure of less than atmospheric pressure.
37. The window of claim 36, wherein the first plurality of glass-bump spacers are formed by laser beam irradiation on the first or second major surface of the first glass-based layer.
38. The window according to any of claims 32-37, further comprising a second plurality of glass-bump spacers formed integrally in the first glass-based layer in the major surface opposite that having the first plurality of glass-bump spacers, the second plurality of glass-bump spacers consisting of the first glass material and contact the third glass-based layer to maintain the spaced apart second distance; and either (i) a second edge seal surrounds at least respective portions of the first and third outer edges to define, between the first and third glass-based layers, a second sealed interior region having a vacuum pressure of less than atmospheric pressure, or (ii) the first edge seal further surrounds at least a portion of the third outer edge to further define, between the first and third glass-based layers, a second sealed interior region having a vacuum pressure of less than atmospheric pressure.
39. The window of claim 38, wherein the second plurality of glass-bump spacers are formed by laser beam irradiation on the first or second major surface of the first glass-based layer.
40. The window of any of claims 32-37, further comprising a second plurality of glass-bump spacers formed integrally in the first or second major surface of the third glass-based layer, adjacent the first glass-based layer, opposite the second plurality of glass-bump spacers and consisting of the third glass material and contact the first glass-based layer to maintain the spaced apart second distance; and either i) a second edge seal surrounds at least respective portions of the first and third outer edges to define, between the first and third glass-based layer, a second sealed interior region having a vacuum pressure of less than atmospheric pressure, or ii) the first edge seal further surrounds at least a portion of the third outer edge to further define, between the first and third glass-based layers, a second sealed interior region having a vacuum pressure of less than atmospheric pressure.
41. The window of claim 40, wherein the second plurality of glass-bump spacers are formed by laser beam irradiation on the first or second major surface of the third glass-based layer.
42. The window according to any of claims 23-31, wherein at least one of first glass-based layer or second glass-based layer further comprises a low emissivity layer.
43. The window according to any of claims 32-42 wherein the third glass-based layer further comprises a low emissivity layer.
44. The window according to any of claims 23-43, wherein the second glass-based layer is laminated to a glass pane by at least one interlayer, the interlayer at least partially coextensive with the second glass-based layer and coupled directly or indirectly to a side of the glass pane.
45. The window of claim 44, wherein the interlayer material comprises a polymer material selected from the group consisting of poly vinyl butyral (PVB), polycarbonate, acoustic PVB, ethylene vinyl acetate (EVA), thermoplastic polyurethane (TPU), ionomer, a thermoplastic material, and combinations thereof.
46. A window comprising: a first glass pane comprising first and second major surfaces, a first body formed from a first glass material, and a first outer edge; a second glass pane comprising first and second major surfaces, a second body formed from a second glass material, and a second outer edge; the second glass pane spaced apart from and disposed substantially parallel to the first glass pane by a first distance; the first major surface of the second glass pane being flat to 100 μπι total indicator run-out (TIR) along any 50 mm or less profile of the first major surface of the second glass pane; the second glass pane comprising a glass having a softening temperature, expressed in units of °C, of Tsofl and an annealing temperature, expressed in units of °C, of Tanneai, and a surface fictive temperature measured on the first major surface of the second glass pane represented by Tfs, when expressed in units of °C; the second glass pane having a non-dimensional surface fictive temperature parameter 0s given by (Tfs - Tanneal)l{Tsoft - Tanneai); and wherein the parameter 6s is in the range of from 0.20 to 0.9.
47. The window of claim 46, wherein the stress within the second glass pane varies as a function of position relative to the first and second major surfaces of the second glass pane, wherein the stress within the second glass pane has slope of at least 200 MPa over a distance of less than 500 μιη of the thickness of the second glass pane.
48. The window of claim 46 or claim 47, wherein a surface roughness of the second glass pane second major surface is between 0.2 and 1.5 nm Ra roughness.
49. The window according to any of claims 46-48, wherein the first and second major surfaces of the second glass pane are flat to at least 50 μπι total indicator run-out along a 50 mm profile of the first and second major surfaces of the second glass pane.
50. The window according to any of claims 46-49, wherein the areas of the first and second major surfaces of the second glass pane are at least 50 cm2.
51. The window according to any of claims 46-50, wherein the first or second glass material is soda-lime glass, alkali alumino silicate glass, alkali containing borosilicate glass, alkali aluminophosphosilicate glass, alkali aluminoborosilicate glass, photochromic glass, electrochromic glass, or thermochromic glass.
52. The window according to any of claims 46-51, wherein the first glass material and second glass material are the same.
53. The window according to any of claims 46-52, wherein the first distance between first and second glass pane comprises a noble gas or air.
54. The window according to any of claims 46-53, further comprising a third glass pane having first and second major surfaces, a body formed from a third glass material, and a third outer edge; wherein the third glass pane is facing, spaced apart from and disposed substantially parallel to the first glass pane on a side opposite the second glass pane at a second spaced apart distance.
55. The window according to claim 54, wherein the first glass material, second glass material, and third glass material are the same.
56. The window according to any of claims 46-55, wherein the first glass pane comprises a thermally strengthened glass layer, a chemically strengthened glass layer, a mechanically strengthened glass layer, a thermally and chemically strengthened glass layer, a thermally and mechanically strengthened glass layer or a chemically and mechanically strengthened glass layer.
57. The window according to any of claims 54-56, wherein the third glass material is soda-lime glass, alkali aluminosilicate glass, alkali containing borosilicate glass, alkali aluminophosphosilicate glass, alkali aluminoborosilicate glass, photochromic glass,
electrochromic glass, or thermochromic glass.
58. The window according to any of claims 54-57, wherein the third glass pane comprises a thermally strengthened glass layer, a chemically strengthened glass layer, a mechanically strengthened glass layer, a thermally and chemically strengthened glass layer, a thermally and mechanically strengthened glass layer or a chemically and mechanically strengthened glass layer.
59. The window according to any of claims 46-52 and 54-58, wherein the first glass pane further comprises a first plurality of glass-bump spacers formed from the first body from one of the first or second major surface and consisting of the first glass material, wherein the plurality of glass bump spacers contact the second glass pane to maintain the spaced apart first distance; a first edge seal formed around at least respective portions of the first and second outer edges so as to define a first sealed interior region between the first and second glass panes, wherein the first sealed interior region has a vacuum pressure of less than atmospheric pressure.
60. The window of claim 59, wherein the first plurality of glass-bump spacers are formed by laser beam irradiation on the first or second major surface of the first glass pane.
61. The window according to any of claims 59-60, further comprising a second plurality of glass-bump spacers formed integrally in the first glass pane in the major surface opposite that having the first plurality of glass-bump spacers, the second plurality of glass-bump spacers consisting of the first glass material and contact the third glass pane to maintain the spaced apart second distance; and either (i) a second edge seal surrounds at least respective portions of the first and third outer edges to define, between the first and third glass panes, a second sealed interior region having a vacuum pressure of less than atmospheric pressure, or (ii) the first edge seal further surrounds at least a portion of the third outer edge to further define, between the first and third glass panes, a second sealed interior region having a vacuum pressure of less than atmospheric pressure.
62. The window of claim 61, wherein the second plurality of glass-bump spacers are formed by laser beam irradiation on the first or second major surface of the first glass pane.
63. The window of any of claims 59-60, further comprising a second plurality of glass-bump spacers formed integrally in the first or second major surface of the third glass pane, adjacent the first glass pane, opposite the second plurality of glass-bump spacers and consisting of the third glass material and contact the first glass pane to maintain the spaced apart second distance; and either i) a second edge seal surrounds at least respective portions of the first and third outer edges to define, between the first and third glass panes a second sealed interior region having a vacuum pressure of less than atmospheric pressure, or ii) the first edge seal further surrounds at least a portion of the third outer edge to further define, between the first and third glass panes, a second sealed interior region having a vacuum pressure of less than atmospheric pressure.
64. The window of claim 63, wherein the second plurality of glass-bump spacers are formed by laser beam irradiation on the first or second major surface of the third glass pane.
65. The window according to any of claims 46-64, wherein at least one of first glass pane or second glass pane further comprises a low emissivity layer.
66. The window according to any of claims 54-65, wherein the third glass pane further comprises a low emissivity layer.
67. The window according to any of claims 46-66, wherein the second glass pane is laminated to a fourth glass pane by at least one interlayer, the interlayer at least partially coextensive with the second glass pane and coupled directly or indirectly to a side of the fourth glass pane.
68. The window of claim 67, wherein the interlayer material comprises a polymer material selected from the group consisting of poly vinyl butyral (PVB), polycarbonate, acoustic PVB, ethylene vinyl acetate (EVA), thermoplastic polyurethane (TPU), ionomer, a thermoplastic material, and combinations thereof.
PCT/US2016/0444012014-07-312016-07-28Thermally strengthened architectural glass and related systems and methodsCeasedWO2017019837A1 (en)

Priority Applications (7)

Application NumberPriority DateFiling DateTitle
EP16751079.1AEP3328807A1 (en)2015-07-302016-07-28Thermally strengthened architectural glass and related systems and methods
US15/748,992US10611664B2 (en)2014-07-312016-07-28Thermally strengthened architectural glass and related systems and methods
KR1020187005875AKR20180035862A (en)2015-07-302016-07-28 Thermal reinforced architectural glass and related systems and methods
JP2018504919AJP2018528918A (en)2015-07-302016-07-28 Thermally reinforced architectural glass and related systems and methods
BR112018002058ABR112018002058A2 (en)2015-07-302016-07-28 Thermally reinforced architectural glass and related systems and methods
CN201680055008.5ACN108883977A (en)2015-07-302016-07-28The building glass and related system and method for heat enhancing
CA2994236ACA2994236A1 (en)2015-07-302016-07-28Thermally strengthened architectural glass and related systems and methods

Applications Claiming Priority (20)

Application NumberPriority DateFiling DateTitle
US14/814,3032015-07-30
US14/814,3352015-07-30
US14/814,2742015-07-30
US14/814,303US9783448B2 (en)2014-07-312015-07-30Thin dicing glass article
US14/814,363US10005691B2 (en)2014-07-312015-07-30Damage resistant glass article
US14/814,232US9296638B2 (en)2014-07-312015-07-30Thermally tempered glass and methods and apparatuses for thermal tempering of glass
US14/814,274US9776905B2 (en)2014-07-312015-07-30Highly strengthened glass article
US14/814,319US9975801B2 (en)2014-07-312015-07-30High strength glass having improved mechanical characteristics
US14/814,3632015-07-30
US14/814,293US9802853B2 (en)2014-07-312015-07-30Fictive temperature in damage-resistant glass having improved mechanical characteristics
US14/814,3192015-07-30
US14/814,2932015-07-30
US14/814,2322015-07-30
US14/814,335US10077204B2 (en)2014-07-312015-07-30Thin safety glass having improved mechanical characteristics
US201562236296P2015-10-022015-10-02
US62/236,2962015-10-02
US201662288851P2016-01-292016-01-29
US201662288669P2016-01-292016-01-29
US62/288,6692016-01-29
US62/288,8512016-01-29

Related Parent Applications (4)

Application NumberTitlePriority DateFiling Date
US14/814,319ContinuationUS9975801B2 (en)2013-08-272015-07-30High strength glass having improved mechanical characteristics
US14/814,303ContinuationUS9783448B2 (en)2013-08-272015-07-30Thin dicing glass article
US14/814,293ContinuationUS9802853B2 (en)2013-08-272015-07-30Fictive temperature in damage-resistant glass having improved mechanical characteristics
US14/814,232ContinuationUS9296638B2 (en)2013-08-272015-07-30Thermally tempered glass and methods and apparatuses for thermal tempering of glass

Publications (1)

Publication NumberPublication Date
WO2017019837A1true WO2017019837A1 (en)2017-02-02

Family

ID=57885392

Family Applications (1)

Application NumberTitlePriority DateFiling Date
PCT/US2016/044401CeasedWO2017019837A1 (en)2014-07-312016-07-28Thermally strengthened architectural glass and related systems and methods

Country Status (7)

CountryLink
EP (1)EP3328807A1 (en)
JP (1)JP2018528918A (en)
KR (1)KR20180035862A (en)
CN (1)CN108883977A (en)
BR (1)BR112018002058A2 (en)
CA (1)CA2994236A1 (en)
WO (1)WO2017019837A1 (en)

Cited By (22)

* Cited by examiner, † Cited by third party
Publication numberPriority datePublication dateAssigneeTitle
WO2019035994A1 (en)*2017-08-172019-02-21Corning IncorporatedMethods for producing thermally strengthened glass with enhanced strength properties
WO2019126521A1 (en)*2017-12-212019-06-27Corning IncorporatedMulti-layer insulated glass unit comprising a low cte glass layer
EP3467143B1 (en)*2017-10-062020-04-22VKR Holding A/SVacuum insulated glazing unit
US10731403B2 (en)2017-10-062020-08-04Vkr Holding A/SVacuum insulated glazing unit
US20210292217A1 (en)*2018-07-272021-09-23Nippon Electric Glass Co., Ltd.Tempered glass and glass to be tempered
US11485673B2 (en)2017-08-242022-11-01Corning IncorporatedGlasses with improved tempering capabilities
US11643355B2 (en)2016-01-122023-05-09Corning IncorporatedThin thermally and chemically strengthened glass-based articles
US11697617B2 (en)2019-08-062023-07-11Corning IncorporatedGlass laminate with buried stress spikes to arrest cracks and methods of making the same
US11708296B2 (en)2017-11-302023-07-25Corning IncorporatedNon-iox glasses with high coefficient of thermal expansion and preferential fracture behavior for thermal tempering
US11771831B2 (en)2016-10-112023-10-03Phillips-Medisize A/SAuto injector with automated reconstitution
US11795102B2 (en)2016-01-262023-10-24Corning IncorporatedNon-contact coated glass and related coating system and method
US11891324B2 (en)2014-07-312024-02-06Corning IncorporatedThermally strengthened consumer electronic glass and related systems and methods
US20240167318A1 (en)*2022-11-232024-05-23LuxWall, Inc.Vacuum insulated panel with optimized compressive and/or tensile stress in glass
WO2024112483A1 (en)*2022-11-232024-05-30LuxWall, Inc.Vacuum insulated panel with tellurium oxide and/or vanadium oxide inclusive seal
WO2024112499A1 (en)*2022-11-232024-05-30LuxWall, Inc.Vacuum insulated panel with tellurium oxide and/or boron and bismuth oxide inclusive seal
WO2024112487A1 (en)*2022-11-232024-05-30LuxWall, Inc.Vacuum insulated panel with optimized compressive and/or tensile stress in glass
US12064938B2 (en)2019-04-232024-08-20Corning IncorporatedGlass laminates having determined stress profiles and methods of making the same
EP4416109A1 (en)*2022-11-232024-08-21Luxwall, Inc.Vacuum insulated panel with layered seal and/or method of making same
EP4423024A1 (en)*2022-11-232024-09-04Luxwall, Inc.Vacuum insulated panel seal
EP4490382B1 (en)*2022-11-232025-04-30Luxwall, Inc.Vacuum insulated panel with seal for pump-out tube and/or method of making same
US12338159B2 (en)2015-07-302025-06-24Corning IncorporatedThermally strengthened consumer electronic glass and related systems and methods
US12442244B2 (en)2023-10-042025-10-14LuxWall, Inc.Vacuum insulated panel seal density

Families Citing this family (1)

* Cited by examiner, † Cited by third party
Publication numberPriority datePublication dateAssigneeTitle
WO2021010960A1 (en)*2019-07-152021-01-21Vkr Holding A/SManufacturing of vacuum insulated glazing unit

Citations (5)

* Cited by examiner, † Cited by third party
Publication numberPriority datePublication dateAssigneeTitle
GB1112781A (en)*1961-09-221968-05-08Pittsburgh Plate Glass CoMethod and apparatus for bending a glass sheet
US20050138892A1 (en)*2002-05-072005-06-30Nippon Sheet Glass Company, LimitedLight-transmitting glass panel
US20120247063A1 (en)*2011-03-292012-10-04Richard Robert GrzybowskiLight-weight strengthened, low-emittance vacuum insulated glass (vig) windows
US20140162000A1 (en)*2011-08-112014-06-12Lg Hausys, LtdHeat-strengthened vacuum glass
WO2016019171A1 (en)*2014-07-312016-02-04Corning IncorporatedGlass or glass-ceramic for windows, countertops, and other applications

Family Cites Families (4)

* Cited by examiner, † Cited by third party
Publication numberPriority datePublication dateAssigneeTitle
BE622749A (en)*1961-09-22
JP3238322B2 (en)*1996-04-152001-12-10日本板硝子株式会社 Heat strengthened flat glass
JP4528692B2 (en)*2005-08-052010-08-18日本板硝子株式会社 Double glazing
JP4811647B2 (en)*2006-01-172011-11-09独立行政法人産業技術総合研究所 Manufacturing method of glass molded product

Patent Citations (5)

* Cited by examiner, † Cited by third party
Publication numberPriority datePublication dateAssigneeTitle
GB1112781A (en)*1961-09-221968-05-08Pittsburgh Plate Glass CoMethod and apparatus for bending a glass sheet
US20050138892A1 (en)*2002-05-072005-06-30Nippon Sheet Glass Company, LimitedLight-transmitting glass panel
US20120247063A1 (en)*2011-03-292012-10-04Richard Robert GrzybowskiLight-weight strengthened, low-emittance vacuum insulated glass (vig) windows
US20140162000A1 (en)*2011-08-112014-06-12Lg Hausys, LtdHeat-strengthened vacuum glass
WO2016019171A1 (en)*2014-07-312016-02-04Corning IncorporatedGlass or glass-ceramic for windows, countertops, and other applications

Non-Patent Citations (1)

* Cited by examiner, † Cited by third party
Title
D.R. TALLANT; T.A. MICHALSKE; W.L. SMITH: "The effects of tensile stress on the Raman spectrum of silica glass", J. NON-CRYST. SOLIDS, vol. 106, 1988, pages 380 - 383, XP024062594, DOI: doi:10.1016/0022-3093(88)90292-X

Cited By (47)

* Cited by examiner, † Cited by third party
Publication numberPriority datePublication dateAssigneeTitle
US11891324B2 (en)2014-07-312024-02-06Corning IncorporatedThermally strengthened consumer electronic glass and related systems and methods
US12338159B2 (en)2015-07-302025-06-24Corning IncorporatedThermally strengthened consumer electronic glass and related systems and methods
US11643355B2 (en)2016-01-122023-05-09Corning IncorporatedThin thermally and chemically strengthened glass-based articles
US20240010550A1 (en)*2016-01-262024-01-11Corning IncorporatedNon-contact coated glass and related coating system and method
US11795102B2 (en)2016-01-262023-10-24Corning IncorporatedNon-contact coated glass and related coating system and method
US11771831B2 (en)2016-10-112023-10-03Phillips-Medisize A/SAuto injector with automated reconstitution
CN111212817A (en)*2017-08-172020-05-29康宁股份有限公司Method for producing thermally strengthened glass having strengthened strength properties
WO2019035994A1 (en)*2017-08-172019-02-21Corning IncorporatedMethods for producing thermally strengthened glass with enhanced strength properties
US11485673B2 (en)2017-08-242022-11-01Corning IncorporatedGlasses with improved tempering capabilities
EP3467144B1 (en)*2017-10-062020-06-03VKR Holding A/SVacuum insulated glazing unit
US10731403B2 (en)2017-10-062020-08-04Vkr Holding A/SVacuum insulated glazing unit
EP3467143B1 (en)*2017-10-062020-04-22VKR Holding A/SVacuum insulated glazing unit
US12410090B2 (en)2017-11-302025-09-09Corning IncorporatedNon-iox glasses with high coefficient of thermal expansion and preferential fracture behavior for thermal tempering
US11708296B2 (en)2017-11-302023-07-25Corning IncorporatedNon-iox glasses with high coefficient of thermal expansion and preferential fracture behavior for thermal tempering
KR102779115B1 (en)*2017-12-212025-03-11코닝 인코포레이티드 Multi-layer insulating glass unit containing low CTE glass layers
JP7369126B2 (en)2017-12-212023-10-25コーニング インコーポレイテッド Multilayer insulating glass unit including low CTE glass layer
US11312658B2 (en)2017-12-212022-04-26Corning IncorporatedMulti-layer insulated glass unit comprising a low CTE glass layer
WO2019126521A1 (en)*2017-12-212019-06-27Corning IncorporatedMulti-layer insulated glass unit comprising a low cte glass layer
KR20200101384A (en)*2017-12-212020-08-27코닝 인코포레이티드 Multi-layer insulating glass unit with low CTE glass layer
JP2021507870A (en)*2017-12-212021-02-25コーニング インコーポレイテッド Multi-layer insulated glass unit with low CTE glass layer
US20210292217A1 (en)*2018-07-272021-09-23Nippon Electric Glass Co., Ltd.Tempered glass and glass to be tempered
US12064938B2 (en)2019-04-232024-08-20Corning IncorporatedGlass laminates having determined stress profiles and methods of making the same
US11697617B2 (en)2019-08-062023-07-11Corning IncorporatedGlass laminate with buried stress spikes to arrest cracks and methods of making the same
US12043575B2 (en)2019-08-062024-07-23Corning IncorporatedGlass laminate with buried stress spikes to arrest cracks and methods of making the same
EP4490381A1 (en)*2022-11-232025-01-15Luxwall, Inc.Vacuum insulated panel with tellurium oxide and/or vanadium oxide inclusive layered seal
EP4490382B1 (en)*2022-11-232025-04-30Luxwall, Inc.Vacuum insulated panel with seal for pump-out tube and/or method of making same
EP4423358A1 (en)*2022-11-232024-09-04Luxwall, Inc.Method of making vacuum insulated panel with optimized laser speed
EP4423024A1 (en)*2022-11-232024-09-04Luxwall, Inc.Vacuum insulated panel seal
EP4448910A1 (en)*2022-11-232024-10-23Luxwall, Inc.Vacuum insulated panel with getter having ti-al-v crystalline phase and method of making same
EP4448912A1 (en)*2022-11-232024-10-23Luxwall, Inc.Method of making vacuum insulated panel using laser processing of seal material to change stoichiometry and/or oxidation state(s)
EP4421282A3 (en)*2022-11-232024-10-30Luxwall, Inc.Vacuum insulated panel with tellurium oxide and/or vanadium oxide inclusive seal
WO2024112487A1 (en)*2022-11-232024-05-30LuxWall, Inc.Vacuum insulated panel with optimized compressive and/or tensile stress in glass
EP4490383A1 (en)*2022-11-232025-01-15Luxwall, Inc.Vacuum insulated panel with layered seal and/or method of making same
WO2024112499A1 (en)*2022-11-232024-05-30LuxWall, Inc.Vacuum insulated panel with tellurium oxide and/or boron and bismuth oxide inclusive seal
EP4544143A1 (en)*2022-11-232025-04-30Luxwall, Inc.Method of making vacuum insulated panel with pre-heating and laser heating
EP4416109A1 (en)*2022-11-232024-08-21Luxwall, Inc.Vacuum insulated panel with layered seal and/or method of making same
EP4448912B1 (en)*2022-11-232025-05-28Luxwall, Inc.Method of making vacuum insulated panel using laser processing of seal material to change stoichiometry and/or oxidation state(s)
EP4423024B1 (en)*2022-11-232025-06-18Luxwall, Inc.Vacuum insulated panel seal
EP4423358B1 (en)*2022-11-232025-06-18Luxwall, Inc.Method of making vacuum insulated panel with optimized laser speed
EP4416109B1 (en)*2022-11-232025-06-18Luxwall, Inc.Vacuum insulated panel with layered seal and/or method of making same
WO2024112483A1 (en)*2022-11-232024-05-30LuxWall, Inc.Vacuum insulated panel with tellurium oxide and/or vanadium oxide inclusive seal
EP4581228A1 (en)*2022-11-232025-07-09Luxwall, Inc.Vacuum insulated panel with layered seal
EP4448910B1 (en)*2022-11-232025-07-09Luxwall, Inc.Vacuum insulated panel with getter having ti-al-v crystalline phase and method of making same
EP4544143B1 (en)*2022-11-232025-08-27Luxwall, Inc.Method of making vacuum insulated panel with pre-heating and laser heating
US20240167318A1 (en)*2022-11-232024-05-23LuxWall, Inc.Vacuum insulated panel with optimized compressive and/or tensile stress in glass
EP4490383B1 (en)*2022-11-232025-09-17Luxwall, Inc.Vacuum insulated panel with layered seal and/or method of making same
US12442244B2 (en)2023-10-042025-10-14LuxWall, Inc.Vacuum insulated panel seal density

Also Published As

Publication numberPublication date
JP2018528918A (en)2018-10-04
KR20180035862A (en)2018-04-06
EP3328807A1 (en)2018-06-06
BR112018002058A2 (en)2018-09-18
CA2994236A1 (en)2017-02-02
CN108883977A (en)2018-11-23

Similar Documents

PublicationPublication DateTitle
US11891324B2 (en)Thermally strengthened consumer electronic glass and related systems and methods
US10611664B2 (en)Thermally strengthened architectural glass and related systems and methods
WO2017019837A1 (en)Thermally strengthened architectural glass and related systems and methods
US20190002329A1 (en)Strengthened glass and related systems and methods
WO2017019851A1 (en)Thermally strengthened automotive glass
EP3402762B1 (en)Thin thermally and chemically strengthened glass-based articles
WO2017020041A1 (en)Thermally strengthened glass and related systems and methods
EP3365750A2 (en)Strengthened glass and related systems and methods
US20190002330A1 (en)Thermally strengthened automotive glass
KR102544090B1 (en) Thermally strengthened consumer electronics glass and systems and methods therefor
US20190047893A1 (en)Thermally strengthened photochromic glass and related systems and methods
US12338159B2 (en)Thermally strengthened consumer electronic glass and related systems and methods
US20230051724A1 (en)Strengthened glass articles and consumer electronic products including the same

Legal Events

DateCodeTitleDescription
121Ep: the epo has been informed by wipo that ep was designated in this application

Ref document number:16751079

Country of ref document:EP

Kind code of ref document:A1

ENPEntry into the national phase

Ref document number:2994236

Country of ref document:CA

Ref document number:2018504919

Country of ref document:JP

Kind code of ref document:A

NENPNon-entry into the national phase

Ref country code:DE

ENPEntry into the national phase

Ref document number:20187005875

Country of ref document:KR

Kind code of ref document:A

WWEWipo information: entry into national phase

Ref document number:2016751079

Country of ref document:EP

REGReference to national code

Ref country code:BR

Ref legal event code:B01A

Ref document number:112018002058

Country of ref document:BR

ENPEntry into the national phase

Ref document number:112018002058

Country of ref document:BR

Kind code of ref document:A2

Effective date:20180130


[8]ページ先頭

©2009-2025 Movatter.jp