
















本发明涉及无线通信技术,尤其涉及一种信号处理方法、发射机和接收机。The present invention relates to wireless communication technologies, and in particular, to a signal processing method, a transmitter, and a receiver.
随着数字多媒体的发展,人们对无线技术的传播速率提出了更高的要求,因此电气和电子工程师协会(Institute of Electrical and Electronics Engineers,简称为:IEEE)802.11标准组织计划开发NG60标准作为IEEE802.11ad 60GHz无线局域网(Wireless Local Area Networks,简称为:WLAN)下一代的演进技术,其主要目标为:采用60GHz频段来实现将峰值速率从7Gbps提升到大于20Gbps。With the development of digital multimedia, people have higher requirements for the transmission rate of wireless technology. Therefore, the Institute of Electrical and Electronics Engineers (IEEE) 802.11 standard organization plans to develop the NG60 standard as IEEE802. 11ad 60GHz Wireless Local Area Networks (WLAN) Next-generation evolution technology, its main goal is to use the 60GHz band to increase the peak rate from 7Gbps to more than 20Gbps.
现有的60GHz频段有4个信道,而目前IEEE 802.11ad收发信机进行信号的发送和接收时只使用1个信道,技术人员发现如果收发信机进行信号的发送和接收时使用2个或更多的信道,就可以使峰值速率提升到大于20Gbps的目的。The existing 60 GHz band has 4 channels, and currently IEEE 802.11ad transceivers use only one channel for transmitting and receiving signals. The technician finds that if the transceiver transmits and receives signals using two or more. With more channels, the peak rate can be increased to more than 20 Gbps.
图1所示为现有技术中通过2个信道进行信号传输的结构图,其中,每个信道所执行的操作相同,以一个信道为例:首先,基带信号处理模块将信道1对应的待传输的比特流进行调制得到原始信号;然后,过采样模块对原始信号进行过采样得到采样信号;然后,滤波模块对过采样信号进行滤波得到滤波信号;进而,变频模块将滤波信号变频到给定的频点上得到变频信号,进一步,数字信号/模拟信号(Digital signals/Analog signals,简称为:D/A)模块将变频信号转换为模拟信号,并由信号合并模块将2个信道输出的模拟信号进行叠加得到合并信号,最后功率放大器(Power Amplifier,简称为:PA)对合并信号进行放大并由天线将放大后的信号发送出去。FIG. 1 is a structural diagram of signal transmission through two channels in the prior art, wherein each channel performs the same operation, taking one channel as an example: first, the baseband signal processing module corresponds to
虽然采用现有技术可以达到速率的提升,但是现有技术中合并信号的信号质量较差,从而发射机的PA处理效率低。Although the rate increase can be achieved by the prior art, the signal quality of the combined signal in the prior art is poor, so that the PA processing efficiency of the transmitter is low.
发明内容Summary of the invention
本发明实施例提供一种信号处理方法、发射机和接收机,以克服现有技术中中合并信号的信号质量较差,从而发射机的PA处理效率低的问题。The embodiments of the present invention provide a signal processing method, a transmitter, and a receiver, to overcome the problem that the signal quality of the combined signal in the prior art is poor, and the PA processing efficiency of the transmitter is low.
本发明第一方面提供一种信号处理方法,应用于NG60无线通信系统,所述方法用于信道组的每个信道中的信号处理,所述方法包括:A first aspect of the present invention provides a signal processing method for an NG60 wireless communication system, the method being used for signal processing in each channel of a channel group, the method comprising:
发射机将所述每个信道的原始信号和所述每个信道的原始信号的相位旋转信息相乘,获得所述每个信道的调制信号;Transmitting, by the transmitter, the original signal of each channel and the phase rotation information of the original signal of each channel to obtain a modulated signal of each channel;
所述发射机对所述每个信道的调制信号合并,并将合并后的信号发送给接收机。The transmitter combines the modulated signals of each of the channels and transmits the combined signals to the receiver.
结合第一方面,在第一方面的的第一种可能的实现方式中,所述每个信道的原始信号包括:短训练STF序列、信道估计CE序列和正交频分复用OFDM数据,所述发射机将所述每个信道的原始信号和所述每个信道的原始信号的相位旋转信息相乘,获得所述每个信道的调制信号之前,包括:With reference to the first aspect, in a first possible implementation manner of the first aspect, the original signal of each channel includes: a short training STF sequence, a channel estimation CE sequence, and orthogonal frequency division multiplexing OFDM data. Transmitting, by the transmitter, multiplying the original signal of each channel and the phase rotation information of the original signal of each channel to obtain a modulated signal of each channel, including:
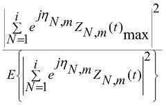
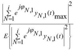
所述发射机选择使得的取值最小时对应的θ1,θ2,…,θi分别为所述每个信道的STF序列的相位旋转信息中的旋转相位;其中,θ1,θ2,…,θi∈Θ,所述Θ为F个相位的集合,所述F为大于1的正整数;所述i为所述信道组中的信道数,所述i为大于1的正整数;所述sN(t)为第N个信道的STF序列,N=1,2,…,i;所述为所述第N个信道的STF序列的相位旋转信息,所述θN为所述第N个信道的STF序列的相位旋转信息中的旋转相位;The transmitter selection makes Corresponding θ1 , θ2 , ..., θi are the rotational phases in the phase rotation information of the STF sequence of each channel, respectively, where θ1 , θ2 , ..., θi ∈Θ The Θ is a set of F phases, the F is a positive integer greater than 1; the i is a number of channels in the channel group, and the i is a positive integer greater than 1; the sN (t ) is the STF sequence of the Nth channel, N = 1, 2, ..., i; a phase rotation information of the STF sequence of the Nth channel, the θN being a rotation phase in phase rotation information of the STF sequence of the Nth channel;
所述发射机选择使得的取值最小时对应的θ1′,θ2′,…,θi′分别为所述每个信道的CE序列的相位旋转信息中的旋转相位;其中,θ1′,θ2′,…,θi′∈Θ′,所述Θ′为F个相位的集合,所述F为大于1的正整数;所述i为所述信道组中的信道数,所述i为大于1的正整数;所述s′N(t)为第N个信道的CE序列,N=1,2,…,i;所述为所述第N个信道的CE序列的相位旋转信息,所述θ′N为所述第N个信道的CE序列的相位旋转信息中的旋转相位;The transmitter selection makes When the value is the smallest, the corresponding θ1 ', θ2 ', ..., θi ' are the rotational phases in the phase rotation information of the CE sequence of each channel; wherein θ1 ', θ2 ', ... , θi ′′′, the Θ′ is a set of F phases, the F is a positive integer greater than 1; the i is the number of channels in the channel group, and the i is a positive greater than 1 An integer; the s'N (t) is a CE sequence of the Nth channel, N = 1, 2, ..., i; a phase rotation information of a CE sequence of the Nth channel, where θ′N is a rotation phase in phase rotation information of a CE sequence of the Nth channel;
所述发射机选择使得的取值最小时对应的θ1″,θ2″,…,θi″分别为所述每个信道的OFDM数据的相位旋转信息中的旋转相位;其中,θ1″,θ2″,…,θi″∈Θ″,所述Θ″为F个相位的集合,所述F为大于1的正整数;所述i为所述信道组中的信道数,所述i为大于1的正整数;所述s″N(t)为第N个信道的OFDM数据,N=1,2,…,i;所述为所述第N个信道的OFDM数据的相位旋转信息,所述θ″N为所述第N个信道的OFDM数据的相位旋转信息中的旋转相位。The transmitter selection makes When the value is the smallest, the corresponding θ1 ′′, θ2 ′′, . . . , θi ′′ is the rotation phase in the phase rotation information of the OFDM data of each channel; wherein θ1 ′′, θ2 ′′,... , θi ′′′′, the Θ” is a set of F phases, the F is a positive integer greater than 1; the i is the number of channels in the channel group, and the i is a positive greater than 1 An integer; the s"N (t) is OFDM data of the Nth channel, N = 1, 2, ..., i; And the phase rotation information of the OFDM data of the Nth channel, wherein the θ′′N is a rotation phase in phase rotation information of the OFDM data of the Nth channel.
结合第一方面,在第一方面的第二种可能的实现方式中,所述每个信道的原始信号包括:短训练STF序列、信道估计CE序列和单载波数据,其中,所述单载波数据包括至少一个数据块,所述数据块包括:传输数据DATA;With reference to the first aspect, in a second possible implementation manner of the first aspect, the original signal of each channel includes: a short training STF sequence, a channel estimation CE sequence, and single carrier data, where the single carrier data Include at least one data block, the data block comprising: transmission data DATA;
所述发射机将所述每个信道的原始信号和所述每个信道的原始信号的相位旋转信息相乘,获得所述每个信道的调制信号之前,包括:The transmitter multiplies the original signal of each channel and the phase rotation information of the original signal of each channel to obtain a modulated signal of each channel, including:
所述发射机选择使得的取值最小时对应的θ1,θ2,…,θi分别为所述每个信道的STF序列的相位旋转信息中的旋转相位;其中,θ1,θ2,…,θi∈Θ,所述Θ为F个相位的集合,所述F为大于1的正整数;所述i为所述信道组中的信道数,所述i为大于1的正整数;所述sN(t)为第N个信道的STF序列,N=1,2,…,i;所述为所述第N个信道的STF序列的相位旋转信息,所述θN为所述第N个信道的STF序列的相位旋转信息中的旋转相位;The transmitter selection makes Corresponding θ1 , θ2 , ..., θi are the rotational phases in the phase rotation information of the STF sequence of each channel, respectively, where θ1 , θ2 , ..., θi ∈Θ The Θ is a set of F phases, the F is a positive integer greater than 1; the i is a number of channels in the channel group, and the i is a positive integer greater than 1; the sN (t ) is the STF sequence of the Nth channel, N = 1, 2, ..., i; a phase rotation information of the STF sequence of the Nth channel, the θN being a rotation phase in phase rotation information of the STF sequence of the Nth channel;
所述发射机选择使得的取值最小时对应的θ1′,θ′2,…,θi′分别为所述每个信道的CE序列的相位旋转信息中的旋转相位;其中,θ1′,θ′2,…,θi′∈Θ′,所述Θ′为F个相位的集合,所述F为大于1的正整数;所述i为所述信道组的信道数,所述i为大于1的正整数;所述s′N(t)为第N个信道的CE序列,N=1,2,…,i;所述为所述第N个信道的CE序列的相位旋转信息,所述θ′N为所述第N个信道的CE序列的相位旋转信息中的旋转相位;The transmitter selection makes When the value is the smallest, the corresponding θ1 ', θ'2 , ..., θi ' are the rotational phases in the phase rotation information of the CE sequence of each channel; wherein θ1 ', θ'2 ,... , θi ′′′, the Θ′ is a set of F phases, the F is a positive integer greater than 1; the i is the number of channels of the channel group, and the i is a positive integer greater than 1. The s'N (t) is the CE sequence of the Nth channel, N = 1, 2, ..., i; a phase rotation information of a CE sequence of the Nth channel, where θ′N is a rotation phase in phase rotation information of a CE sequence of the Nth channel;
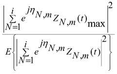
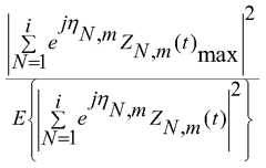
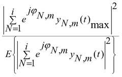
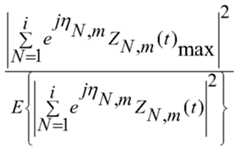
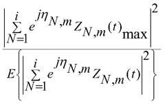
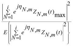
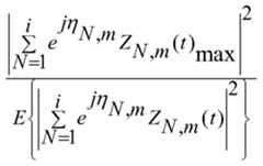
所述发射机选择使得的取值最小时对应的η1,m,η2,m,…,ηi,m分别为所述DATA的相位旋转信息中的旋转相位;其中,η1,m,η2,m,…,ηi,m∈Θ″′,所述Θ″′为F个相位的集合,所述F为大于1的正整数;所述i为大于1的正整数,所述m为大于等于1的正整数,N=1,2,…,i;所述ZN,m(t)为第N个信道的单载波数据中第m个数据块中的DATA,所述为所述第N个信道的单载波数据中第m个数据块中的DATA的相位旋转信息,所述ηN,m为所述第N个信道的单载波数据中第m个数据块中的DATA应的相位旋转信息中的旋转相位。The transmitter selection makes When the value is the smallest, the corresponding η1,m , η2,m ,...,ηi,m are the rotational phases in the phase rotation information of the DATA; wherein η1,m ,η2,m ,... , ηi,m ∈Θ′′′, the Θ′′′ is a set of F phases, the F is a positive integer greater than 1; the i is a positive integer greater than 1, and the m is greater than or equal to 1 a positive integer, N=1, 2, . . . , i; the ZN,m (t) is the DATA in the mth data block in the single carrier data of the Nth channel, a phase rotation information of DATA in the mth data block of the single carrier data of the Nth channel, where ηN,m is in the mth data block of the single carrier data of the Nth channel The phase of rotation in which DATA should rotate the information.
结合第一方面的第二种可能的实现方式,在第一方面的第三种可能的实现方式中,所述数据块还包括:保护间隔GI,In conjunction with the second possible implementation of the first aspect, in a third possible implementation manner of the first aspect, the data block further includes: a guard interval GI,
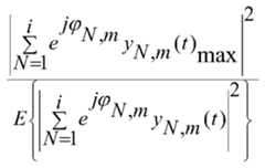
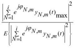
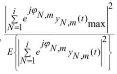
所述发射机选择使得的取值最小时对应的分别为所述GI的相位旋转信息中的旋转相位;其中,所述为F个相位的集合,所述F为大于1的正整数;所述i为大于1的正整数,所述m为大于等于1的整数,N=1,2,…,i;所述yN,m(t)为第N个信道的单载波数据中第m个数据块中的GI;所述为所述第N个信道的单载波数据中第m个数据块中的GI的相位旋转信息,所述为所述第N个信道的单载波数据中第m个数据块中的GI的相位旋转信息中的旋转相位。The transmitter selection makes Corresponding when the value is the smallest a rotation phase in the phase rotation information of the GI; wherein Said a set of F phases, the F being a positive integer greater than 1; the i being a positive integer greater than 1, the m being an integer greater than or equal to 1, N = 1, 2, ..., i;N, m (t) is the GI in the mth data block in the single carrier data of the Nth channel; Phase rotation information of the GI in the mth data block in the single carrier data of the Nth channel, The rotation phase in the phase rotation information of the GI in the mth data block in the single carrier data of the Nth channel.
结合第一方面的第二种可能的实现方式,在第一方面的第四种可能的实现方式中,所述数据块还包括:保护间隔GI,In conjunction with the second possible implementation of the first aspect, in a fourth possible implementation of the first aspect, the data block further includes: a guard interval GI,
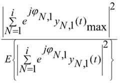
所述发射机选择使得的取值最小时对应的η1,m,η2,m,…,ηi,m分别为所述DATA的相位旋转信息中的旋转相位之后,还包括:The transmitter selection makes When the value of η1, m , η2, m , ..., ηi, m is the rotation phase in the phase rotation information of the DATA, the following includes:
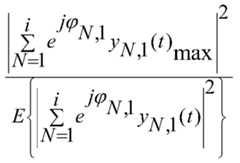
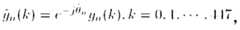
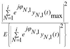
所述发射机选择使得的取值最小时对应的分别为所述信道组中所述每个信道中第1个数据块中GI的相位旋转信息中的旋转相位;其中,所述为F个相位的集合,所述F为大于1的正整数;所述i为大于1的正整数,N=1、2、…、i;所述yN,1(t)为第N个信道的单载波数据中第1个数据块中的GI;所述为所述第N个信道的单载波数据中第1个数据块中的GI的相位旋转信息;所述为所述第N个信道的单载波数据中第1个数据块中的GI的相位旋转信息中的旋转相位;The transmitter selection makes Corresponding when the value is the smallest a rotation phase in the phase rotation information of the GI in the first data block in each of the channels in the channel group; wherein Said For a set of F phases, the F is a positive integer greater than 1; the i is a positive integer greater than 1, N = 1, 2, ..., i; the yN, 1 (t) is the Nth GI in the first data block of the single carrier data of the channel; Phase rotation information of the GI in the first data block of the single carrier data of the Nth channel; a rotation phase in the phase rotation information of the GI in the first data block in the single carrier data of the Nth channel;
所述发射机根据确定所述信道组中所述每个信道中第n个数据块中的GI的相位旋转信息;The transmitter is based on Determining phase rotation information of a GI in an nth data block in each of the channels in the channel group;
其中,所述n为大于1的正整数,i=1、2、…、N;所述为第i个信道的单载波数据中第n个数据块中的GI的相位旋转信息;所述为所述第i个信道的单载波数据中第n-1个数据块中的GI的相位旋转信息;所述为所述第i个信道的单载波数据中第n-1个数据块中的DATA的相位旋转信息。Wherein n is a positive integer greater than 1, i=1, 2, . . . , N; Phase rotation information of the GI in the nth data block in the single carrier data of the i-th channel; Phase rotation information of the GI in the n-1th data block in the single carrier data of the i-th channel; The phase rotation information of DATA in the n-1th data block in the single carrier data of the i-th channel.
结合第一方面、第一方面的第一至第二种可能的实现方式中的任一种可能的实现方式,在第一方面的第五种可能的实现方式中,所述发射机将所述每个信道的原始信号和所述每个信道的原始信号的相位旋转信息相乘,获得所述每个信道的调制信号之前,还包括:Combining the first aspect, any one of the first to second possible implementations of the first aspect mayIn a fifth possible implementation manner of the first aspect, the transmitter multiplies the original signal of each channel and the phase rotation information of the original signal of each channel to obtain a Before describing the modulated signal of each channel, it also includes:
所述发射机保存所述每个信道的原始信号中的STF序列的相位旋转信息和所述每个信道的原始信号中的CE序列的相位旋转信息。The transmitter saves phase rotation information of an STF sequence in an original signal of each channel and phase rotation information of a CE sequence in an original signal of each channel.
本发明第二方面提供一种信号处理方法,应用于NG60无线通信系统,所述方法用于信道组中的每个信道中的信号处理,所述方法包括:A second aspect of the present invention provides a signal processing method for an NG60 wireless communication system, the method being used for signal processing in each channel in a channel group, the method comprising:
接收机接收发射机发送的合并信号;所述合并信号为所述发射机对所述每个信道的调制信号合并后得到的信号,所述每个信道的调制信号为所述发射机将所述每个信道的原始信号和所述每个信道的原始信号的相位旋转信息相乘后得到的信号;Receiving, by the receiver, a combined signal sent by the transmitter; the combined signal is a signal obtained by combining the modulated signals of the transmitter for each channel, and the modulated signal of each channel is that the transmitter will a signal obtained by multiplying the original signal of each channel and the phase rotation information of the original signal of each channel;
所述接收机根据所述每个信道的调制信号中的信道估计CE序列和所述每个信道的原始信号中的CE序列的相位旋转信息对所述每个信道进行信道估计,得到所述每个信道的第一信道信息;The receiver performs channel estimation on each channel according to a channel estimation CE sequence in a modulation signal of each channel and phase rotation information of a CE sequence in an original signal of each channel, to obtain each of the channels First channel information of the channels;
所述接收机根据所述每个信道的第一信道信息和所述每个信道的调制信号中的单载波数据进行信道均衡。The receiver performs channel equalization according to the first channel information of each channel and the single carrier data in the modulated signal of each channel.
结合第二方面,在第二方面的第一种可能的实现方式中,所述接收机根据所述每个信道的调制信号中的CE序列和所述每个信道的原始信号中的CE序列的相位旋转信息对所述每个信道进行信道估计,得到所述每个信道的第一信道信息,包括:With reference to the second aspect, in a first possible implementation manner of the second aspect, the receiver, according to the CE sequence in the modulated signal of each channel, and the CE sequence in the original signal of each channel The phase rotation information is used to perform channel estimation on each channel to obtain first channel information of each channel, including:
所述接收机根据所述每个信道的调制信号中的CE序列对所述每个信道进行信道估计,得到所述每个信道的第二信道信息;And the receiver performs channel estimation on each channel according to a CE sequence in the modulated signal of each channel, to obtain second channel information of each channel;
所述接收机根据所述每个信道的第二信道信息和所述每个信道的原始信号中的CE序列中的相位旋转信息确定所述每个信道的第一信道信息。The receiver determines first channel information of each channel according to second channel information of each channel and phase rotation information in a CE sequence in an original signal of each channel.
结合第二方面或第二方面的第一种可能的实现方式,在第二方面的第二种可能的实现方式中,所述每个信道的调制信号的单载波数据包括多个数据块,每个所述数据块还包括:保护间隔GI和传输数据DATA,所述接收机根据所述每个信道的第一信道信息和所述每个信道的调制信号中的单载波数据进行信道均衡,包括:With reference to the second aspect or the first possible implementation manner of the second aspect, in a second possible implementation manner of the second aspect, the single carrier data of the modulated signal of each channel includes multiple data blocks, each The data block further includes: a guard interval GI and a transmission data DATA, and the receiver performs channel equalization according to the first channel information of each channel and the single carrier data in the modulation signal of each channel, including :
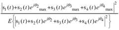
所述接收机根据所述每个信道的第N个数据块中的GI和所述每个信道的第N+1个数据块中的GI确定所述每个信道的第N个数据块中的DATA的相位旋转信息;所述N为大于等于1的正整数;The receiver is based on a GI in the Nth data block of each channel and each of the channelsThe GI in the (N+1)th data block determines phase rotation information of DATA in the Nth data block of each channel; the N is a positive integer greater than or equal to 1;
所述接收机根据所述每个信道的第N个数据块中的DATA的相位旋转信息和所述每个信道的第N个数据块中的DATA,得到所述发射机发送的与所述每个信道的第N个数据块中的DATA对应的原始DATA。The receiver obtains, according to the phase rotation information of the DATA in the Nth data block of each channel and the DATA in the Nth data block of each channel, the transmitter and the The original DATA corresponding to DATA in the Nth data block of the channel.
结合第二方面的第二种可能的实现方式,在第二方面第三种可能的实现方式中,所述接收机根据所述每个信道的第N个数据块中的GI和所述每个信道的第N+1个数据块中的GI确定所述每个信道的第N个数据块中的DATA的相位旋转信息,包括:With reference to the second possible implementation of the second aspect, in a third possible implementation manner of the second aspect, the receiver, according to the GI and the each of the Nth data blocks of each channel The GI in the N+1th data block of the channel determines the phase rotation information of the DATA in the Nth data block of each channel, including:
所述接收机根据所述每个信道的第N个数据块中的GI和所述每个信道的第一信道信息进行信道均衡,得到所述每个信道的第一信号,N≥0且N为整数;The receiver performs channel equalization according to the GI in the Nth data block of each channel and the first channel information of each channel, to obtain a first signal of each channel, N≥0 and N Is an integer;
所述接收机根据所述每个信道的第N+1个数据块中的GI和所述每个信道的第一信道信息进行信道均衡,得到所述每个信道的第二信号,N≥0且N为整数;The receiver performs channel equalization according to the GI in the N+1th data block of each channel and the first channel information of each channel, to obtain a second signal of each channel, N≥0 And N is an integer;
所述接收机根据所述每个信道的第一信号和所述每个信道的第二信号确定所述每个信道的第N个数据块中的DATA的相位旋转信息。The receiver determines phase rotation information of DATA in the Nth data block of each channel according to the first signal of each channel and the second signal of each channel.
结合第二方面的第二种可能的实现方式或第二方面的第三种可能的实现方式,在第二方面的第四种可能的实现方式中,所述接收机根据所述每个信道的第N个数据块中的DATA的相位旋转信息和所述每个信道的第N个数据块中的DATA得到所述发射机发送的与所述每个信道的第N个数据块中的DATA对应的原始DATA,包括:With reference to the second possible implementation of the second aspect or the third possible implementation of the second aspect, in a fourth possible implementation manner of the second aspect, Phase rotation information of DATA in the Nth data block and DATA in the Nth data block of each channel are obtained by the transmitter and corresponding to DATA in the Nth data block of each channel The original DATA, including:
所述接收机根据所述每个信道的第N个数据块中的DATA和所述每个信道的第一信道信息进行信道均衡,得到所述每个信道的第三信号,N≥0且N为整数;The receiver performs channel equalization according to DATA in the Nth data block of each channel and first channel information of each channel, to obtain a third signal of each channel, N≥0 and N Is an integer;
所述接收机根据所述每个信道的第N个数据块中的DATA的相位旋转信息和所述每个信道的第三信号,得到所述发射机发送的与所述每个信道的第N个数据块中的DATA对应的原始DATA。The receiver obtains a Nth of the each channel sent by the transmitter according to phase rotation information of DATA in the Nth data block of each channel and a third signal of each channel The original DATA corresponding to DATA in the data block.
结合第二方面、第二方面的第一至第四种可能的实现方式中的任一种可能的实现方式,在第二方面的第五种可能的实现方式中,所述接收机根据所述每个信道的调制信号中的CE序列和所述每个信道的原始信号中的CE序列的相位旋转信息对所述每个信道进行信道估计之前,还包括:With reference to the second aspect, any one of the first to the fourth possible implementation manners of the second aspect, in a fifth possible implementation manner of the second aspect,Before the CE sequence in the modulated signal of each channel and the phase rotation information of the CE sequence in the original signal of each channel are used for channel estimation on each channel, the method further includes:
所述接收机保存所述每个信道的原始信号中的CE序列的相位旋转信息。The receiver saves phase rotation information of a CE sequence in the original signal of each channel.
本发明第三方面提供一种发射机,应用于NG60无线通信系统,所述发射机用于对信道组的每个信道中的信号进行处理,所述发射机包括:A third aspect of the present invention provides a transmitter for use in an NG60 wireless communication system, the transmitter for processing signals in each channel of a channel group, the transmitter comprising:
相位旋转模块,用于将所述每个信道的原始信号和所述每个信道的原始信号的相位旋转信息相乘,获得所述每个信道的调制信号;a phase rotation module, configured to multiply the original signal of each channel and the phase rotation information of the original signal of each channel to obtain a modulation signal of each channel;
合并模块,用于对所述每个信道的调制信号合并,并将合并后的信号发送给接收机。And a merging module, configured to combine the modulated signals of each channel, and send the combined signals to the receiver.
结合第三方面,在第三方面的第一种可能的实现方式中,所述每个信道的原始信号包括:短训练STF序列、信道估计CE序列和正交频分复用OFDM数据,所述相位旋转模块,具体用于:With reference to the third aspect, in a first possible implementation manner of the third aspect, the original signal of each channel includes: a short training STF sequence, a channel estimation CE sequence, and orthogonal frequency division multiplexing OFDM data, Phase rotation module, specifically for:
选择使得的取值最小时对应的θ1,θ2,…,θi分别为所述每个信道的STF序列的相位旋转信息中的旋转相位;其中,θ1,θ2,…,θi∈Θ,所述Θ为F个相位的集合,所述F为大于1的正整数;所述i为所述信道组中的信道数,所述i为大于1的正整数;所述sN(t)为第N个信道的STF序列,N=1,2,…,i;所述为所述第N个信道的STF序列的相位旋转信息,所述θN为所述第N个信道的STF序列的相位旋转信息中的旋转相位;Choice makes Corresponding θ1 , θ2 , ..., θi are the rotational phases in the phase rotation information of the STF sequence of each channel, respectively, where θ1 , θ2 , ..., θi ∈Θ The Θ is a set of F phases, the F is a positive integer greater than 1; the i is a number of channels in the channel group, and the i is a positive integer greater than 1; the sN (t ) is the STF sequence of the Nth channel, N = 1, 2, ..., i; a phase rotation information of the STF sequence of the Nth channel, the θN being a rotation phase in phase rotation information of the STF sequence of the Nth channel;
选择使得的取值最小时对应的θ1′,θ′2,…,θi′分别为所述每个信道的CE序列的相位旋转信息中的旋转相位;其中,θ1′,θ′2,…,θi′∈Θ′,所述Θ′为F个相位的集合,所述F为大于1的正整数;所述i为所述信道组中的信道数,所述i为大于1的正整数;所述s′N(t)为第N个信道的CE序列,N=1,2,…,i;所述为所述第N个信道的CE序列的相位旋转信息,所述θ′N为所述第N个信道的CE序列的相位旋转信息中的旋转相位;Choice makes When the value is the smallest, the corresponding θ1 ', θ'2 , ..., θi ' are the rotational phases in the phase rotation information of the CE sequence of each channel; wherein θ1 ', θ'2 ,... , θi ′′′, the Θ′ is a set of F phases, the F is a positive integer greater than 1; the i is the number of channels in the channel group, and the i is a positive greater than 1 An integer; the s'N (t) is a CE sequence of the Nth channel, N = 1, 2, ..., i; a phase rotation information of a CE sequence of the Nth channel, where θ′N is a rotation phase in phase rotation information of a CE sequence of the Nth channel;
选择使得的取值最小时对应的θ1″,θ2″,…,θi″分别为所述每个信道的OFDM数据的相位旋转信息中的旋转相位;其中,θ1″,θ2″,…,θi″∈Θ″,所述Θ″为F个相位的集合,所述F为大于1的正整数;所述i为所述信道组中的信道数,所述i为大于1的正整数;所述s″N(t)为第N个信道的OFDM数据,N=1,2,…,i;所述为所述第N个信道的OFDM数据的相位旋转信息,所述θ″N为所述第N个信道的OFDM数据的相位旋转信息中的旋转相位。Choice makes When the value is the smallest, the corresponding θ1 ′′, θ2 ′′, . . . , θi ′′ is the rotation phase in the phase rotation information of the OFDM data of each channel; wherein θ1 ′′, θ2 ′′,... , θi ′′′′, the Θ” is a set of F phases, the F is a positive integer greater than 1; the i is the number of channels in the channel group, and the i is a positive greater than 1 An integer; the s"N (t) is OFDM data of the Nth channel, N = 1, 2, ..., i; And the phase rotation information of the OFDM data of the Nth channel, wherein the θ′′N is a rotation phase in phase rotation information of the OFDM data of the Nth channel.
结合第三方面,在第三方面的第二种可能的实现方式中,所述每个信道的原始信号包括:短训练STF序列、信道估计CE序列和单载波数据,其中,所述单载波数据包括至少一个数据块,所述数据块包括:传输数据DATA;With reference to the third aspect, in a second possible implementation manner of the third aspect, the original signal of each channel includes: a short training STF sequence, a channel estimation CE sequence, and single carrier data, where the single carrier data Include at least one data block, the data block comprising: transmission data DATA;
所述相位旋转模块,具体用于:The phase rotation module is specifically configured to:
选择使得的取值最小时对应的θ1,θ2,…,θi分别为所述每个信道的STF序列的相位旋转信息中的旋转相位;其中,θ1,θ2,…,θi∈Θ,所述Θ为F个相位的集合,所述F为大于1的正整数;所述i为所述信道组中的信道数,所述i为大于1的正整数;所述sN(t)为第N个信道的STF序列,N=1,2,…,i;所述为所述第N个信道的STF序列的相位旋转信息,所述θN为所述第N个信道的STF序列的相位旋转信息中的旋转相位;Choice makes When the value is the smallest, the corresponding θ1 , θ2 , ..., θi are the rotational phases in the phase rotation information of the STF sequence of each channel; wherein θ1 , θ2 , ..., θi ∈Θ The Θ is a set of F phases, the F is a positive integer greater than 1; the i is a number of channels in the channel group, and the i is a positive integer greater than 1; the sN (t ) is the STF sequence of the Nth channel, N = 1, 2, ..., i; a phase rotation information of the STF sequence of the Nth channel, the θN being a rotation phase in phase rotation information of the STF sequence of the Nth channel;
选择使得的取值最小时对应的θ1′,θ′2,…,θi′分别为所述每个信道的CE序列的相位旋转信息中的旋转相位;其中,θ1′,θ′2,…,θi′∈Θ′,所述Θ′为F个相位的集合,所述F为大于1的正整数;所述i为所述信道组的信道数,所述i为大于1的正整数;所述s′N(t)为第N个信道的CE序列,N=1,2,…,i;所述为所述第N个信道的CE序列的相位旋转信息,所述θ′N为所述第N个信道的CE序列的相位旋转信息中的旋转相位;Choice makes When the value is the smallest, the corresponding θ1 ', θ'2 , ..., θi ' are the rotational phases in the phase rotation information of the CE sequence of each channel; wherein θ1 ', θ'2 ,... , θi ′′′, the Θ′ is a set of F phases, the F is a positive integer greater than 1; the i is the number of channels of the channel group, and the i is a positive integer greater than 1. The s'N (t) is the CE sequence of the Nth channel, N = 1, 2, ..., i; a phase rotation information of a CE sequence of the Nth channel, where θ′N is a rotation phase in phase rotation information of a CE sequence of the Nth channel;
选择使得的取值最小时对应的η1,m,η2,m,…,ηi,m分别为所述DATA的相位旋转信息中的旋转相位;其中,η1,m,η2,m,…,ηi,m∈Θ″′,所述Θ″′为F个相位的集合,所述F为大于1的正整数;所述i为大于1的正整数,所述m为大于等于1的正整数,N=1,2,…,i;所述ZN,m(t)为第N个信道的单载波数据中第m个数据块中的DATA,所述为所述第N个信道的单载波数据中第m个数据块中的DATA的相位旋转信息,所述ηN,m为所述第N个信道的单载波数据中第m个数据块中的DATA应的相位旋转信息中的旋转相位。Choice makes When the value is the smallest, the corresponding η1,m , η2,m ,...,ηi,m are the rotational phases in the phase rotation information of the DATA; wherein η1,m ,η2,m ,... , ηi,m ∈Θ′′′, the Θ′′′ is a set of F phases, the F is a positive integer greater than 1; the i is a positive integer greater than 1, and the m is greater than or equal to 1 a positive integer, N=1, 2, . . . , i; the ZN,m (t) is the DATA in the mth data block in the single carrier data of the Nth channel, a phase rotation information of DATA in the mth data block in the single carrier data of the Nth channel, where ηN,m is in the mth data block of the single carrier data of the Nth channel The phase of rotation in which DATA should rotate the information.
结合第三方面的第二种可能的实现方式,在第三方面的第三种可能的实现方式中,所述数据块还包括:保护间隔GI,In conjunction with the second possible implementation of the third aspect, in a third possible implementation manner of the third aspect, the data block further includes: a guard interval GI,
所述相位旋转模块,还用于:The phase rotation module is further configured to:
选择使得的取值最小时对应的分别为所述GI的相位旋转信息中的旋转相位;其中,所述为F个相位的集合,所述F为大于1的正整数;所述i为大于1的正整数,所述m为大于等于1的整数,N=1,2,…,i;所述yN,m(t)为第N个信道的单载波数据中第m个数据块中的GI;所述为所述第N个信道的单载波数据中第m个数据块中的GI的相位旋转信息,所述为所述第N个信道的单载波数据中第m个数据块中的GI的相位旋转信息中的旋转相位。Choice makes Corresponding when the value is the smallest a rotation phase in the phase rotation information of the GI; wherein Said a set of F phases, the F being a positive integer greater than 1; the i being a positive integer greater than 1, the m being an integer greater than or equal to 1, N = 1, 2, ..., i;N, m (t) is the GI in the mth data block in the single carrier data of the Nth channel; Phase rotation information of the GI in the mth data block in the single carrier data of the Nth channel, The rotation phase in the phase rotation information of the GI in the mth data block in the single carrier data of the Nth channel.
结合第三方面的第二种可能的实现方式,在第三方面的第四种可能的实现方式中,所述数据块还包括:保护间隔GI,In conjunction with the second possible implementation of the third aspect, in a fourth possible implementation manner of the third aspect, the data block further includes: a guard interval GI,
所述相位旋转模块,还用于选择使得的取值最小时对应的η1,m,η2,m,…,ηi,m分别为所述DATA的相位旋转信息中的旋转相位之后,选择使得的取值最小时对应的分别为所述信道组中所述每个信道中第1个数据块中GI的相位旋转信息中的旋转相位;其中,所述为F个相位的集合,所述F为大于1的正整数;所述i为大于1的正整数,N=1、2、…、i;所述yN,1(t)为第N个信道的单载波数据中第1个数据块中的GI;所述为所述第N个信道的单载波数据中第1个数据块中的GI的相位旋转信息;所述为所述第N个信道的单载波数据中第1个数据块中的GI的相位旋转信息中的旋转相位;The phase rotation module is also used to select When the value is the smallest, the corresponding η1,m , η2,m ,...,ηi,m are respectively the rotational phase in the phase rotation information of the DATA, and the selection is made so that Corresponding when the value is the smallest a rotation phase in the phase rotation information of the GI in the first data block in each of the channels in the channel group; wherein Said For a set of F phases, the F is a positive integer greater than 1; the i is a positive integer greater than 1, N = 1, 2, ..., i; the yN, 1 (t) is the Nth GI in the first data block of the single carrier data of the channel; Phase rotation information of the GI in the first data block of the single carrier data of the Nth channel; a rotation phase in the phase rotation information of the GI in the first data block in the single carrier data of the Nth channel;
根据确定所述信道组中所述每个信道中第n个数据块中的GI的相位旋转信息;according to Determining phase rotation information of a GI in an nth data block in each of the channels in the channel group;
其中,所述n为大于1的正整数,i=1、2、…、N;所述为第i个信道的单载波数据中第n个数据块中的GI的相位旋转信息;所述为所述第i个信道的单载波数据中第n-1个数据块中的GI的相位旋转信息;所述为所述第i个信道的单载波数据中第n-1个数据块中的DATA的相位旋转信息。Wherein n is a positive integer greater than 1, i=1, 2, . . . , N; Phase rotation information of the GI in the nth data block in the single carrier data of the i-th channel; Phase rotation information of the GI in the n-1th data block in the single carrier data of the i-th channel; The phase rotation information of DATA in the n-1th data block in the single carrier data of the i-th channel.
结合第三方面、第三方面的第一至第二种可能的实现方式中的任一种可能的实现方式,在第三方面的第五种可能的实现方式中,还包括:保存模块,用于所述相位旋转模块将所述每个信道的原始信号和所述每个信道的原始信号的相位旋转信息相乘,获得所述每个信道的调制信号之前,保存所述每个信道的原始信号中的STF序列的相位旋转信息和所述每个信道的原始信号中的CE序列的相位旋转信息。With reference to the third aspect, the first possible implementation manner of the first to the second possible implementation manner of the third aspect, the fifth possible implementation manner of the third aspect, further includes: saving the module, And the phase rotation module multiplies the original signal of each channel and the phase rotation information of the original signal of each channel to obtain the original of each channel before obtaining the modulated signal of each channel Phase rotation information of the STF sequence in the signal and phase rotation information of the CE sequence in the original signal of each channel.
本发明第四方面提供一种接收机,应用于NG60无线通信系统,所述接收机用于对信道组中的每个信道中的信号进行处理,所述接收机包括:A fourth aspect of the present invention provides a receiver for use in an NG60 wireless communication system, the receiver for processing signals in each channel in a channel group, the receiver comprising:
接收模块,用于接收发射机发送的合并信号;所述合并信号为所述发射机对所述每个信道的调制信号合并后得到的信号,所述每个信道的调制信号为所述发射机将所述每个信道的原始信号和所述每个信道的原始信号的相位旋转信息相乘后得到的信号;a receiving module, configured to receive a combined signal sent by the transmitter; the combined signal is a signal obtained by combining the modulated signals of the transmitter for each channel, and a modulated signal of each channela signal obtained by multiplying the original signal of each channel and the phase rotation information of the original signal of each channel by the transmitter;
信道估计模块,用于根据所述每个信道的调制信号中的信道估计CE序列和所述每个信道的原始信号中的CE序列的相位旋转信息对所述每个信道进行信道估计,得到所述每个信道的第一信道信息;a channel estimation module, configured to perform channel estimation on each channel according to a channel estimation CE sequence in a modulation signal of each channel and phase rotation information of a CE sequence in an original signal of each channel, to obtain a channel estimation manner Describe the first channel information of each channel;
信道均衡模块,用于根据所述每个信道的第一信道信息和所述每个信道的调制信号中的单载波数据进行信道均衡。And a channel equalization module, configured to perform channel equalization according to the first channel information of each channel and the single carrier data in the modulated signal of each channel.
结合第四方面,在第四方面的第一种可能的实现方式中,所述信道估计模块具体用于:With reference to the fourth aspect, in a first possible implementation manner of the fourth aspect, the channel estimation module is specifically configured to:
根据所述每个信道的调制信号中的CE序列对所述每个信道进行信道估计,得到所述每个信道的第二信道信息;Performing channel estimation on each channel according to a CE sequence in the modulated signal of each channel, to obtain second channel information of each channel;
根据所述每个信道的第二信道信息和所述每个信道的原始信号中的CE序列中的相位旋转信息确定所述每个信道的第一信道信息。Determining the first channel information of each channel according to the second channel information of each channel and the phase rotation information in the CE sequence in the original signal of each channel.
结合第四方面或第四方面的第一种可能的实现方式,在第四方面的第二种可能的实现方式中,所述每个信道的调制信号的单载波数据包括多个数据块,每个所述数据块还包括:保护间隔GI和传输数据DATA,所述信道均衡模块具体用于:With reference to the fourth aspect, or the first possible implementation manner of the fourth aspect, in a second possible implementation manner of the fourth aspect, the single carrier data of the modulated signal of each channel includes multiple data blocks, each The data block further includes: a guard interval GI and a transmission data DATA, and the channel equalization module is specifically configured to:
根据所述每个信道的第N个数据块中的GI和所述每个信道的第N+1个数据块中的GI确定所述每个信道的第N个数据块中的DATA的相位旋转信息;所述N为大于等于1的正整数;Determining the phase rotation of DATA in the Nth data block of each channel according to the GI in the Nth data block of each channel and the GI in the N+1th data block of each channel Information; the N is a positive integer greater than or equal to 1;
根据所述每个信道的第N个数据块中的DATA的相位旋转信息和所述每个信道的第N个数据块中的DATA,得到所述发射机发送的与所述每个信道的第N个数据块中的DATA对应的原始DATA。Obtaining, according to phase rotation information of DATA in the Nth data block of each channel and DATA in the Nth data block of each channel, The original DATA corresponding to DATA in the N data blocks.
结合第四方面的第二种可能的实现方式,在第四方面第三种可能的实现方式中,所述信道均衡模块,还用于:With reference to the second possible implementation of the fourth aspect, in a third possible implementation manner of the fourth aspect, the channel equalization module is further configured to:
根据所述每个信道的第N个数据块中的GI和所述每个信道的第一信道信息进行信道均衡,得到所述每个信道的第一信号,N≥0且N为整数;Performing channel equalization according to the GI in the Nth data block of each channel and the first channel information of each channel, to obtain a first signal of each channel, N≥0 and N is an integer;
根据所述每个信道的第N+1个数据块中的GI和所述每个信道的第一信道信息进行信道均衡,得到所述每个信道的第二信号,N≥0且N为整数;Performing channel equalization according to the GI in the N+1th data block of each channel and the first channel information of each channel, to obtain a second signal of each channel, N≥0 and N is an integer ;
所述接收机根据所述每个信道的第一信号和所述每个信道的第二信号确定所述每个信道的第N个数据块中的DATA的相位旋转信息。The receiver is determined according to the first signal of each channel and the second signal of each channelPhase rotation information of DATA in the Nth data block of each channel is determined.
结合第四方面的第二种可能的实现方式或第四方面的第三种可能的实现方式,在第四方面的第四种可能的实现方式中,所述信道均衡模块,还用于:With reference to the second possible implementation of the fourth aspect or the third possible implementation of the fourth aspect, in a fourth possible implementation manner of the fourth aspect, the channel equalization module is further configured to:
根据所述每个信道的第N个数据块中的DATA和所述每个信道的第一信道信息进行信道均衡,得到所述每个信道的第三信号,N≥0且N为整数;Performing channel equalization according to DATA in the Nth data block of each channel and first channel information of each channel, to obtain a third signal of each channel, N≥0 and N is an integer;
根据所述每个信道的第N个数据块中的DATA的相位旋转信息和所述每个信道的第三信号,得到所述发射机发送的与所述每个信道的第N个数据块中的DATA对应的原始DATA。Obtaining, according to the phase rotation information of the DATA in the Nth data block of each channel and the third signal of each channel, in the Nth data block sent by the transmitter and each channel The DATA corresponds to the original DATA.
结合第四方面、第四方面的第一至第四种可能的实现方式中的任一种可能的实现方式,在第四方面的第五种可能的实现方式中,所述接收机还包括:保存模块,With reference to the fourth aspect, any one of the first to the fourth possible implementation manners of the fourth aspect, in a fifth possible implementation manner of the fourth aspect, the receiver further includes: Save the module,
用于在所述信道估计模块根据所述每个信道的调制信号中的CE序列和所述每个信道的原始信号中的CE序列的相位旋转信息对所述每个信道进行信道估计之前,保存所述每个信道的原始信号中的CE序列的相位旋转信息。And saving, before the channel estimation module performs channel estimation on each channel according to a CE sequence in a modulation signal of each channel and a phase rotation information of a CE sequence in an original signal of each channel Phase rotation information of the CE sequence in the original signal of each channel.
本发明第五方面提供一种发射机,应用于NG60无线通信系统,所述发射机用于对信道组的每个信道中的信号进行处理,所述发射机包括:存储器、处理器和发射器,其中,所述存储器用于存储一组代码,该代码用于所述处理器将所述每个信道的原始信号和所述每个信道的原始信号的相位旋转信息相乘,获得所述每个信道的调制信号,并对所述每个信道的调制信号合并;A fifth aspect of the present invention provides a transmitter for use in an NG60 wireless communication system, the transmitter for processing signals in each channel of a channel group, the transmitter comprising: a memory, a processor, and a transmitter The memory is configured to store a set of codes for the processor to multiply the original signal of each channel and the phase rotation information of the original signal of each channel to obtain the each Modulated signals of the channels and combining the modulated signals of each of the channels;
所述发射器用于将合并后的信号发送给接收机。The transmitter is for transmitting the combined signal to a receiver.
结合第五方面,在第五方面的第一种可能的实现方式中,所述每个信道的原始信号包括:短训练STF序列、信道估计CE序列和正交频分复用OFDM数据,所述处理器,还用于:With reference to the fifth aspect, in a first possible implementation manner of the fifth aspect, the original signal of each channel includes: a short training STF sequence, a channel estimation CE sequence, and orthogonal frequency division multiplexing OFDM data, The processor is also used to:
选择使得的取值最小时对应的θ1,θ2,…,θi分别为所述每个信道的STF序列的相位旋转信息中的旋转相位;其中,θ1,θ2,…,θi∈Θ,所述Θ为F个相位的集合,所述F为大于1的正整数;所述i为所述信道组中的信道数,所述i为大于1的正整数;所述sN(t)为第N个信道的STF序列,N=1,2,…,i;所述为所述第N个信道的STF序列的相位旋转信息,所述θN为所述第N个信道的STF序列的相位旋转信息中的旋转相位;Choice makes Corresponding θ1 , θ2 , ..., θi are the rotational phases in the phase rotation information of the STF sequence of each channel, respectively, where θ1 , θ2 , ..., θi ∈Θ The Θ is a set of F phases, the F is a positive integer greater than 1; the i is a number of channels in the channel group, and the i is a positive integer greater than 1; the sN (t ) is the STF sequence of the Nth channel, N = 1, 2, ..., i; a phase rotation information of the STF sequence of the Nth channel, the θN being a rotation phase in phase rotation information of the STF sequence of the Nth channel;
选择使得的取值最小时对应的θ1′,θ′2,…,θi′分别为所述每个信道的CE序列的相位旋转信息中的旋转相位;其中,θ1′,θ′2,…,θi′∈Θ′,所述Θ′为F个相位的集合,所述F为大于1的正整数;所述i为所述信道组中的信道数,所述i为大于1的正整数;所述s′N(t)为第N个信道的CE序列,N=1,2,…,i;所述为所述第N个信道的CE序列的相位旋转信息,所述θ′N为所述第N个信道的CE序列的相位旋转信息中的旋转相位;Choice makes When the value is the smallest, the corresponding θ1 ', θ'2 , ..., θi ' are the rotational phases in the phase rotation information of the CE sequence of each channel; wherein θ1 ', θ'2 ,... , θi ′′′, the Θ′ is a set of F phases, the F is a positive integer greater than 1; the i is the number of channels in the channel group, and the i is a positive greater than 1 An integer; the s'N (t) is a CE sequence of the Nth channel, N = 1, 2, ..., i; a phase rotation information of a CE sequence of the Nth channel, where θ′N is a rotation phase in phase rotation information of a CE sequence of the Nth channel;
选择使得的取值最小时对应的θ1″,θ2″,…,θi″分别为所述每个信道的OFDM数据的相位旋转信息中的旋转相位;其中,θ1″,θ2″,…,θi″∈Θ″,所述Θ″为F个相位的集合,所述F为大于1的正整数;所述i为所述信道组中的信道数,所述i为大于1的正整数;所述s″N(t)为第N个信道的OFDM数据,N=1,2,…,i;所述为所述第N个信道的OFDM数据的相位旋转信息,所述θ″N为所述第N个信道的OFDM数据的相位旋转信息中的旋转相位。Choice makes When the value is the smallest, the corresponding θ1 ′′, θ2 ′′, . . . , θi ′′ is the rotation phase in the phase rotation information of the OFDM data of each channel; wherein θ1 ′′, θ2 ′′,... , θi ′′′′, the Θ” is a set of F phases, the F is a positive integer greater than 1; the i is the number of channels in the channel group, and the i is a positive greater than 1 An integer; the s"N (t) is OFDM data of the Nth channel, N = 1, 2, ..., i; And the phase rotation information of the OFDM data of the Nth channel, wherein the θ"N is a rotation phase in the phase rotation information of the OFDM data of the Nth channel.
结合第五方面,在第五方面的第二种可能的实现方式中,所述每个信道的原始信号包括:短训练STF序列、信道估计CE序列和单载波数据,其中,所述单载波数据包括至少一个数据块,所述数据块包括:传输数据DATA;With reference to the fifth aspect, in a second possible implementation manner of the fifth aspect, the original signal of each channel includes: a short training STF sequence, a channel estimation CE sequence, and single carrier data, where the single carrier data Include at least one data block, the data block comprising: transmission data DATA;
所述处理器,还用于:The processor is further configured to:
选择使得的取值最小时对应的θ1,θ2,…,θi分别为所述每个信道的STF序列的相位旋转信息中的旋转相位;其中,θ1,θ2,…,θi∈Θ,所述Θ为F个相位的集合,所述F为大于1的正整数;所述i为所述信道组中的信道数,所述i为大于1的正整数;所述sN(t)为第N个信道的STF序列,N=1,2,…,i;所述为所述第N个信道的STF序列的相位旋转信息,所述θN为所述第N个信道的STF序列的相位旋转信息中的旋转相位;Choice makes Corresponding θ1 , θ2 , ..., θi are the rotational phases in the phase rotation information of the STF sequence of each channel, respectively, where θ1 , θ2 , ..., θi ∈Θ The Θ is a set of F phases, the F is a positive integer greater than 1; the i is a number of channels in the channel group, and the i is a positive integer greater than 1; the sN (t ) is the STF sequence of the Nth channel, N = 1, 2, ..., i; a phase rotation information of the STF sequence of the Nth channel, the θN being a rotation phase in phase rotation information of the STF sequence of the Nth channel;
选择使得的取值最小时对应的θ1′,θ′2,…,θi′分别为所述每个信道的CE序列的相位旋转信息中的旋转相位;其中,θ1′,θ′2,…,θi′∈Θ′,所述Θ′为F个相位的集合,所述F为大于1的正整数;所述i为所述信道组的信道数,所述i为大于1的正整数;所述s′N(t)为第N个信道的CE序列,N=1,2,…,i;所述为所述第N个信道的CE序列的相位旋转信息,所述θ′N为所述第N个信道的CE序列的相位旋转信息中的旋转相位;Choice makes When the value is the smallest, the corresponding θ1 ', θ'2 , ..., θi ' are the rotational phases in the phase rotation information of the CE sequence of each channel; wherein θ1 ', θ'2 ,... , θi ′′′, the Θ′ is a set of F phases, the F is a positive integer greater than 1; the i is the number of channels of the channel group, and the i is a positive integer greater than 1. The s'N (t) is the CE sequence of the Nth channel, N = 1, 2, ..., i; a phase rotation information of a CE sequence of the Nth channel, where θ′N is a rotation phase in phase rotation information of a CE sequence of the Nth channel;
选择使得的取值最小时对应的η1,m,η2,m,…,ηi,m分别为所述DATA的相位旋转信息中的旋转相位;其中,η1,m,η2,m,…,ηi,m∈Θ″′,所述Θ″′为F个相位的集合,所述F为大于1的正整数;所述i为大于1的正整数,所述m为大于等于1的正整数,N=1,2,…,i;所述ZN,m(t)为第N个信道的单载波数据中第m个数据块中的DATA,所述为所述第N个信道的单载波数据中第m个数据块中的DATA的相位旋转信息,所述ηN,m为所述第N个信道的单载波数据中第m个数据块中的DATA应的相位旋转信息中的旋转相位。Choice makes When the value is the smallest, the corresponding η1,m , η2,m ,...,ηi,m are the rotational phases in the phase rotation information of the DATA; wherein η1,m ,η2,m ,... , ηi,m ∈Θ′′′, the Θ′′′ is a set of F phases, the F is a positive integer greater than 1; the i is a positive integer greater than 1, and the m is greater than or equal to 1 a positive integer, N=1, 2, . . . , i; the ZN,m (t) is the DATA in the mth data block in the single carrier data of the Nth channel, a phase rotation information of DATA in the mth data block of the single carrier data of the Nth channel, where ηN,m is in the mth data block of the single carrier data of the Nth channel The phase of rotation in which DATA should rotate the information.
结合第五方面的第二种可能的实现方式,在第五方面的第三种可能的实现方式中,所述数据块还包括:保护间隔GI,In conjunction with the second possible implementation of the fifth aspect, in a third possible implementation manner of the fifth aspect, the data block further includes: a guard interval GI,
所述处理器,还用于:The processor is further configured to:
选择使得的取值最小时对应的分别为所述GI的相位旋转信息中的旋转相位;其中,所述为F个相位的集合,所述F为大于1的正整数;所述i为大于1的正整数,所述m为大于等于1的整数,N=1,2,…,i;所述yN,m(t)为第N个信道的单载波数据中第m个数据块中的GI;所述为所述第N个信道的单载波数据中第m个数据块中的GI的相位旋转信息,所述为所述第N个信道的单载波数据中第m个数据块中的GI的相位旋转信息中的旋转相位。Choice makes Corresponding when the value is the smallest a rotation phase in the phase rotation information of the GI; wherein Said a set of F phases, the F being a positive integer greater than 1; the i being a positive integer greater than 1, the m being an integer greater than or equal to 1, N = 1, 2, ..., i;N, m (t) is the GI in the mth data block in the single carrier data of the Nth channel; Phase rotation information of the GI in the mth data block in the single carrier data of the Nth channel, The rotation phase in the phase rotation information of the GI in the mth data block in the single carrier data of the Nth channel.
结合第五方面的第二种可能的实现方式,在第五方面的第四种可能的实现方式中,所述数据块还包括:保护间隔GI,With reference to the second possible implementation manner of the fifth aspect, in a fourth possible implementation manner of the fifth aspect, the data block further includes: a guard interval GI,
所述处理器还用于,选择使得的取值最小时对应的η1,m,η2,m,…,ηi,m分别为所述DATA的相位旋转信息中的旋转相位之后,还包括:The processor is also used to select When the value of η1, m , η2, m , ..., ηi, m is the rotation phase in the phase rotation information of the DATA, the following includes:
选择使得的取值最小时对应的分别为所述信道组中所述每个信道中第1个数据块中GI的相位旋转信息中的旋转相位;其中,所述为F个相位的集合,所述F为大于1的正整数;所述i为大于1的正整数,N=1、2、…、i;所述yN,1(t)为第N个信道的单载波数据中第1个数据块中的GI;所述为所述第N个信道的单载波数据中第1个数据块中的GI的相位旋转信息;所述为所述第N个信道的单载波数据中第1个数据块中的GI的相位旋转信息中的旋转相位;Choice makes Corresponding when the value is the smallest a rotation phase in the phase rotation information of the GI in the first data block in each of the channels in the channel group; wherein For a set of F phases, the F is a positive integer greater than 1; the i is a positive integer greater than 1, N = 1, 2, ..., i; the yN, 1 (t) is the Nth GI in the first data block of the single carrier data of the channel; Phase rotation information of the GI in the first data block of the single carrier data of the Nth channel; a rotation phase in the phase rotation information of the GI in the first data block in the single carrier data of the Nth channel;
根据确定所述信道组中所述每个信道中第n个数据块中的GI的相位旋转信息;according to Determining phase rotation information of a GI in an nth data block in each of the channels in the channel group;
其中,所述n为大于1的正整数,i=1、2、…、N;所述为第i个信道的单载波数据中第n个数据块中的GI的相位旋转信息;所述为所述第i个信道的单载波数据中第n-1个数据块中的GI的相位旋转信息;所述为所述第i个信道的单载波数据中第n-1个数据块中的DATA的相位旋转信息。Wherein n is a positive integer greater than 1, i=1, 2, . . . , N; Phase rotation information of the GI in the nth data block in the single carrier data of the i-th channel; Phase rotation information of the GI in the n-1th data block in the single carrier data of the i-th channel; The phase rotation information of DATA in the n-1th data block in the single carrier data of the i-th channel.
结合第五方面、第五方面的第一至第二种可能的实现方式中的任一种可能的实现方式,在第五方面的第五种可能的实现方式中,所述存储器还用于在所述处理器将所述每个信道的原始信号和所述每个信道的原始信号的相位旋转信息相乘,获得所述每个信道的调制信号之前,保存所述每个信道的原始信号中的STF序列的相位旋转信息和所述每个信道的原始信号中的CE序列的相位旋转信息。With reference to the fifth aspect, any one of the first to the second possible implementation manners of the fifth aspect, in a fifth possible implementation manner of the fifth aspect, the memory is further used to The processor multiplies the original signal of each channel and the phase rotation information of the original signal of each channel to obtain the original signal of each channel before obtaining the modulated signal of each channel Phase rotation information of the STF sequence and phase rotation information of the CE sequence in the original signal of each channel.
本发明第六方面提供一种接收机,应用于NG60无线通信系统,所述接收机用于对信道组中的每个信道中的信号进行处理,所述接收机包括:接收器、处理器和存储器,其中,所述存储器用于存储一组代码,该代码用于所述处理器和所述接收器执行以下动作:A sixth aspect of the present invention provides a receiver for use in an NG60 wireless communication system, the receiver for processing signals in each channel in a channel group, the receiver comprising: a receiver, a processor, and a memory, wherein the memory is for storing a set of codes for the processor and the receiver to perform the following actions:
所述接收器,用于接收发射机发送的合并信号;所述合并信号为所述发射机对所述每个信道的调制信号合并后得到的信号,所述每个信道的调制信号为所述发射机将所述每个信道的原始信号和所述每个信道的原始信号的相位旋转信息相乘后得到的信号;The receiver is configured to receive a combined signal sent by a transmitter; the combined signal is a signal obtained by combining a modulated signal of each channel of the transmitter, and the modulated signal of each channel is the Transmitting, by the transmitter, a signal obtained by multiplying the original signal of each channel and the phase rotation information of the original signal of each channel;
所述处理器,用于根据所述每个信道的调制信号中的信道估计CE序列和所述每个信道的原始信号中的CE序列的相位旋转信息对所述每个信道进行信道估计,得到所述每个信道的第一信道信息;The processor, configured to perform channel estimation on each channel according to a channel estimation CE sequence in a modulation signal of each channel and phase rotation information of a CE sequence in an original signal of each channel, The first channel information of each channel;
所述处理器,还用于根据所述每个信道的第一信道信息和所述每个信道的调制信号中的单载波数据进行信道均衡。The processor is further configured to perform channel equalization according to the first channel information of each channel and the single carrier data in the modulated signal of each channel.
结合第六方面,在第六方面的第一种可能的实现方式中,所述处理器,具体用于:With reference to the sixth aspect, in a first possible implementation manner of the sixth aspect, the processor is specifically configured to:
根据所述每个信道的调制信号中的CE序列对所述每个信道进行信道估计,得到所述每个信道的第二信道信息;Performing channel estimation on each channel according to a CE sequence in the modulated signal of each channel, to obtain second channel information of each channel;
根据所述每个信道的第二信道信息和所述每个信道的原始信号中的CE序列中的相位旋转信息确定所述每个信道的第一信道信息。Determining the first channel information of each channel according to the second channel information of each channel and the phase rotation information in the CE sequence in the original signal of each channel.
结合第六方面或第六方面的第一种可能的实现方式,在第六方面的第二种可能的实现方式中,所述每个信道的调制信号的单载波数据包括多个数据块,每个所述数据块还包括:保护间隔GI和传输数据DATA,所述处理器,具体用于:With reference to the sixth aspect, or the first possible implementation manner of the sixth aspect, in a second possible implementation manner of the sixth aspect, the single carrier data of the modulated signal of each channel includes multiple data blocks, each The data block further includes: a guard interval GI and a transmission data DATA, the processor,Specifically used for:
根据所述每个信道的第N个数据块中的GI和所述每个信道的第N+1个数据块中的GI确定所述每个信道的第N个数据块中的DATA的相位旋转信息;所述N为大于等于1的正整数;Determining the phase rotation of DATA in the Nth data block of each channel according to the GI in the Nth data block of each channel and the GI in the N+1th data block of each channel Information; the N is a positive integer greater than or equal to 1;
根据所述每个信道的第N个数据块中的DATA的相位旋转信息和所述每个信道的第N个数据块中的DATA,得到所述发射机发送的与所述每个信道的第N个数据块中的DATA对应的原始DATA。Obtaining, according to phase rotation information of DATA in the Nth data block of each channel and DATA in the Nth data block of each channel, The original DATA corresponding to DATA in the N data blocks.
结合第六方面的第二种可能的实现方式,在第六方面第三种可能的实现方式中,所述处理器,具体用于:With reference to the second possible implementation manner of the sixth aspect, in a third possible implementation manner of the sixth aspect, the processor is specifically configured to:
根据所述每个信道的第N个数据块中的GI和所述每个信道的第一信道信息进行信道均衡,得到所述每个信道的第一信号,N≥0且N为整数;Performing channel equalization according to the GI in the Nth data block of each channel and the first channel information of each channel, to obtain a first signal of each channel, N≥0 and N is an integer;
根据所述每个信道的第N+1个数据块中的GI和所述每个信道的第一信道信息进行信道均衡,得到所述每个信道的第二信号,N≥0且N为整数;Performing channel equalization according to the GI in the N+1th data block of each channel and the first channel information of each channel, to obtain a second signal of each channel, N≥0 and N is an integer ;
根据所述每个信道的第一信号和所述每个信道的第二信号确定所述每个信道的第N个数据块中的DATA的相位旋转信息。Phase rotation information of DATA in the Nth data block of each channel is determined according to the first signal of each channel and the second signal of each channel.
结合第六方面的第二种可能的实现方式或第六方面的第三种可能的实现方式,在第六方面的第四种可能的实现方式中,所述处理器,具体用于:With reference to the second possible implementation manner of the sixth aspect, or the third possible implementation manner of the sixth aspect, in a fourth possible implementation manner of the sixth aspect, the processor is specifically configured to:
根据所述每个信道的第N个数据块中的DATA和所述每个信道的第一信道信息进行信道均衡,得到所述每个信道的第三信号,N≥0且N为整数;Performing channel equalization according to DATA in the Nth data block of each channel and first channel information of each channel, to obtain a third signal of each channel, N≥0 and N is an integer;
根据所述每个信道的第N个数据块中的DATA的相位旋转信息和所述每个信道的第三信号,得到所述发射机发送的与所述每个信道的第N个数据块中的DATA对应的原始DATA。Obtaining, according to the phase rotation information of the DATA in the Nth data block of each channel and the third signal of each channel, in the Nth data block sent by the transmitter and each channel The DATA corresponds to the original DATA.
结合第六方面、第六方面的第一至第四种可能的实现方式中的任一种可能的实现方式,在第六方面的第五种可能的实现方式中,所述存储器还用于:在所述处理器根据所述每个信道的调制信号中的CE序列和所述每个信道的原始信号中的CE序列的相位旋转信息对所述每个信道进行信道估计之前,保存所述每个信道的原始信号中的CE序列的相位旋转信息。With reference to the sixth aspect, any one of the first to the fourth possible implementation manners of the sixth aspect, in a fifth possible implementation manner of the sixth aspect, the memory is further used to: Preserving each of the channels before the channel estimation is performed on the each channel according to the CE sequence in the modulation signal of each channel and the phase rotation information of the CE sequence in the original signal of each channel Phase rotation information of the CE sequence in the original signal of the channel.
本发明中,首先,发射机将每个信道的原始信号和每个信道的原始信号的相位旋转信息相乘,获得每个信道的调制信号;然后,发射机对每个信道的调制信号进行合并,并将合并后的信号发送给接收机。其中,发射机将每个信道的原始信号和每个信道的原始信号的相位旋转信息相乘,从而改变了原始信号的相位,使得合并后的信号的峰均比较低,从而使得进入PA的信号的峰均比不会超过PA的线性区,有效提高了PA的处理效率。In the present invention, first, the transmitter multiplies the original signal of each channel and the phase rotation information of the original signal of each channel to obtain a modulated signal for each channel; then, the transmitter combines the modulated signals of each channel. And send the combined signal to the receiver. Among them, the transmitter will beThe original signal of the channel is multiplied by the phase rotation information of the original signal of each channel, thereby changing the phase of the original signal, so that the peaks of the combined signal are relatively low, so that the peak-to-average ratio of the signal entering the PA is not Exceeding the linear region of PA effectively improves the processing efficiency of PA.
为了更清楚地说明本发明实施例或现有技术中的技术方案,下面将对实施例或现有技术描述中所需要使用的附图作一简单地介绍,显而易见地,下面描述中的附图是本发明的一些实施例,对于本领域普通技术人员来讲,在不付出创造性劳动性的前提下,还可以根据这些附图获得其他的附图。In order to more clearly illustrate the embodiments of the present invention or the technical solutions in the prior art, a brief description of the drawings used in the embodiments or the prior art description will be briefly described below. Obviously, the drawings in the following description It is a certain embodiment of the present invention, and other drawings can be obtained from those skilled in the art without any inventive labor.
图1所示为现有技术中通过2个信道进行信号传输的结构图;1 is a structural diagram of signal transmission through two channels in the prior art;
图2所示为60GHz频段的频谱资源的示意图;Figure 2 shows a schematic diagram of the spectrum resources in the 60 GHz band;
图3所示为IEEE 802.11ad规范的媒体访问控制子层(Media Access Control,简称为:MAC)架构;Figure 3 shows the Media Access Control (MAC) architecture of the IEEE 802.11ad specification;
图4为本发明实施例一提供的信号处理方法的流程图;4 is a flowchart of a signal processing method according to
图5所示为现有标准IEEE 802.11ad中数据帧的结构示意图;FIG. 5 is a schematic structural diagram of a data frame in an existing standard IEEE 802.11ad;
图6所示为采用单载波编码调制方式传输的数据的结构示意图;FIG. 6 is a schematic structural diagram of data transmitted by using a single carrier code modulation method;
图7所示为多载波编码调制方式传输的数据的结构示意图;FIG. 7 is a schematic structural diagram of data transmitted by a multi-carrier code modulation method;
图8所示为本发明实施例二提供的信号处理方法的流程图;FIG. 8 is a flowchart of a signal processing method according to
图9为本发明实施例三提供的信号处理方法的流程图;FIG. 9 is a flowchart of a signal processing method according to
图10为本发明实施例四提供的信号处理方法的流程图;10 is a flowchart of a signal processing method according to Embodiment 4 of the present invention;
图11所示为图10中步骤2031的具体实现方式;Figure 11 shows a specific implementation of
图12所示为图10中步骤2032的具体实现方式;Figure 12 shows a specific implementation of
图13所示为OFDM数据采用本发明实施例提供的信号处理方法获得的增益;FIG. 13 is a diagram showing gains obtained by using OFDM data according to a signal processing method provided by an embodiment of the present invention;
图14为本发明实施例一提供的发射机的结构示意图;FIG. 14 is a schematic structural diagram of a transmitter according to
图15为本发明实施例一提供的接收机的结构示意图;FIG. 15 is a schematic structural diagram of a receiver according to
图16所示为本发明实施例二提供的发射机的结构示意图;16 is a schematic structural diagram of a transmitter according to
图17为本发明实施例二提供的接收机的结构示意图。FIG. 17 is a schematic structural diagram of a receiver according to
为使本发明实施例的目的、技术方案和优点更加清楚,下面将结合本发明实施例中的附图,对本发明实施例中的技术方案进行清楚、完整地描述,显然,所描述的实施例是本发明一部分实施例,而不是全部的实施例。基于本发明中的实施例,本领域普通技术人员在没有做出创造性劳动前提下所获得的所有其他实施例,都属于本发明保护的范围。The technical solutions in the embodiments of the present invention will be clearly and completely described in conjunction with the drawings in the embodiments of the present invention. It is a partial embodiment of the invention, and not all of the embodiments. All other embodiments obtained by those skilled in the art based on the embodiments of the present invention without creative efforts are within the scope of the present invention.
无线保真(wireless fidelity,简称为:Wi-Fi)系统也就是IEEE 802.11(或称为无线局域网)系统,历经802.11a,802.11b,802.11g,802.11n和802.11ac等各个版本,技术发展越来越成熟,提供的系统传输速度也越来越大,目前802.11ac最大已经可以支持的传输速度为1.3Gbps。Wireless fidelity (Wi-Fi) system is an IEEE 802.11 (or wireless LAN) system. It has gone through various versions such as 802.11a, 802.11b, 802.11g, 802.11n and 802.11ac. The more mature, the faster the system transmission speed is. At present, the maximum transmission speed that 802.11ac can support is 1.3Gbps.
随着数字多媒体内容的广泛普及与使用促使人们对无线连接技术进行持续创新。市场对高速率、高容量、低延迟传输的需求推动了可与传统Wi-Fi功能相补充的新技术的发展,802.11ad应运而生。With the widespread adoption and use of digital multimedia content, people continue to innovate wireless connectivity technology. The market's demand for high-rate, high-capacity, low-latency transmissions has driven the development of new technologies that complement traditional Wi-Fi capabilities, and 802.11ad has emerged.
由于60GHz频段无需获得授权,所以被广泛使用。图2所示为60GHz频段的频谱资源的示意图,如图2所示,60GHz频段的频谱资源比2.4GHz和5GHz频段要丰富得多,通常可以达到7~8GHz频宽。同时,60GHz频段也被划分为多条信道:802.11ad规范定义了4条信道,每条信道宽度为2.16GHz,表1所示为60GHz各个信道的参数:Since the 60 GHz band does not require authorization, it is widely used. Figure 2 shows a schematic diagram of the spectrum resources in the 60 GHz band. As shown in Figure 2, the spectrum resources in the 60 GHz band are much richer than the 2.4 GHz and 5 GHz bands, and typically reach a 7-8 GHz bandwidth. At the same time, the 60 GHz band is also divided into multiple channels: the 802.11ad specification defines four channels, each channel width is 2.16 GHz, and Table 1 shows the parameters of each channel of 60 GHz:
表1Table 1
综上,与2.4GHz和5GHz两种频段相比,60GHz频段有更多频谱可供使用,从而可以通过使用低功率调制方案及更宽的信道,实现高达7Gbps的数据传输速率,因此,802.11ad也选择工作于60GHz高频段,相对于目前的Wi-Fi技术,802.11ad技术在多媒体应用方面具有高容量、高速率((物理层physical layer,简称为:PHY)采用正交频分复用(Orthogonal Frequency Division Multiplexing,简称为:OFDM)即多载波方案时最高传输速率可达7Gbps、采用单载波调制方案时最高传输速率可达4.6Gbps)、低延迟、低功耗等特点。因此802.11ad技术的上述特征使其非常适合室内连接,可以更好的支持包括视频在内的各种多媒体应用。综上802.11ad技术主要用于实现家庭内部无线高清音视频信号的传输,为家庭多媒体应用带来更完备的高清视频解决方案,也称作无线千兆比特(Wireless Gigabit,简称为:WiGig)(60GHz Wi-Fi)。In summary, there are more spectrum available in the 60 GHz band than in the 2.4 GHz and 5 GHz bands, so that data transmission rates of up to 7 Gbps can be achieved by using low power modulation schemes and wider channels. Therefore, 802.11ad Also choose to work in the 60GHz high frequency band, compared to the current Wi-Fi technology, 802.11ad technology has high capacity and high rate in multimedia applications ((Physical layer (referred to as: PHY) Orthogonal Frequency Division Multiplexing (OFDM), that is, multi-carrier scheme, the maximum transmission rate can reach 7Gbps, and the maximum transmission rate can be adopted when using a single carrier modulation scheme. Up to 4.6Gbps), low latency, low power consumption and more. Therefore, the above characteristics of 802.11ad technology make it very suitable for indoor connection, and can better support various multimedia applications including video. In summary, 802.11ad technology is mainly used to realize the transmission of wireless high-definition audio and video signals in the home, and bring a more complete high-definition video solution for home multimedia applications, also known as Wireless Gigabit (WiGig). 60GHz Wi-Fi).
802.11ad物理层相对于802.11n和802.11ac物理层,最大的区别在于采用了智能天线技术,也就是空间beam forming(波束成形或波束赋形)技术。这主要是由于802.11ad工作在60GHz频段,波长只有0.5mm,而一般天线阵中相邻天线之间的间距只要求在半波长左右,也就是说可以在较小的空间内实现较多天线阵元的天线阵。因此,在802.11ad中的发射机(如AP或路由器)和接收机(如终端)都可以采用天线阵来实现空间波束成形技术来提高接收信号能量和消除干扰。The biggest difference between the 802.11ad physical layer and the 802.11n and 802.11ac physical layers is the use of smart antenna technology, that is, spatial beam forming (beamforming or beamforming) technology. This is mainly because 802.11ad works in the 60 GHz band, and the wavelength is only 0.5 mm. However, the spacing between adjacent antennas in a general antenna array is only required to be about half a wavelength, that is, more antenna arrays can be realized in a smaller space. The antenna array of the element. Therefore, transmitters (such as APs or routers) and receivers (such as terminals) in 802.11ad can use antenna arrays to implement spatial beamforming techniques to improve received signal energy and eliminate interference.
基于上述,图3所示为IEEE 802.11ad规范的媒体访问控制子层(Media Access Control,简称为:MAC)架构,IEEE 802.11ad规范定义了一个新的MAC架构,使得两个设备能够彼此间直接通信,进而开发出一些新的功能(如快速同步两台设备,以及向投影仪或电视机发送音视频数据等)。并且IEEE802.11ad规范还支持现行的802.11网络架构。另外,从802.11ad的MAC架构可以看出,该MAC实现了在60GHz频段连接不可用的情况下向2.4GHz或5GHz Wi-Fi的无缝回退,从而可极大提升用户体验。举例而言,当设备从60GHz切换到频率较低的Wi-Fi信道的情况下,使用Wi-Fi/WiGig集成设备的用户将能够继续享受无中断连接。Based on the above, Figure 3 shows the Media Access Control (MAC) architecture of the IEEE 802.11ad specification. The IEEE 802.11ad specification defines a new MAC architecture, enabling two devices to directly communicate with each other. Communication, and then developed some new features (such as fast synchronization of two devices, as well as sending audio and video data to a projector or TV). And the IEEE 802.11ad specification also supports the current 802.11 network architecture. In addition, it can be seen from the MAC architecture of 802.11ad that the MAC achieves a seamless fallback to 2.4 GHz or 5 GHz Wi-Fi when the connection in the 60 GHz band is unavailable, thereby greatly improving the user experience. For example, a user using a Wi-Fi/WiGig integrated device will continue to enjoy an uninterrupted connection when the device switches from 60 GHz to a lower frequency Wi-Fi channel.
但是,现有802.11ad中的峰值速率最大为7Gbps,而在下一代的802.11ad也应是NG60中要求的将其提升到大于20Gbps。为达到这一目标,必须引入新的物理层技术,其中最可能的途径如图1所示,也即采用多信道汇聚的方法,由于目前60GHz频段有4个可用的信道,每个信道占用2.16GHz。而现有的IEEE 802.11ad收发信机一次只使用1个信道,如果收发信机一次使用2个或更多的信道,就可以使系统容量成倍增加,从而达到20Gbps的峰值速率,但是如图1所示,由于送入PA的信道为来自多个信道信号合并后得到的合并信号,这种合并信号的峰均比(Peak-to-Average Power Ratio,简称为:PAPR)将会远大于单个信道信号的峰均比,从而会影响PA的处理效率。However, the peak rate in existing 802.11ad is up to 7 Gbps, and the next generation of 802.11ad should also be upgraded to more than 20 Gbps as required by NG60. In order to achieve this goal, a new physical layer technology must be introduced. The most likely way is shown in Figure 1, that is, the multi-channel aggregation method. Since there are 4 available channels in the current 60 GHz band, each channel occupies 2.16. GHz. The existing IEEE 802.11ad transceiver uses only one channel at a time. If the transceiver uses two or more channels at a time, the system capacity can be multiplied to reach a peak rate of 20 Gbps.However, as shown in FIG. 1, since the channel sent to the PA is a combined signal obtained by combining a plurality of channel signals, the peak-to-average power ratio (PAPR) of the combined signal will be It is much larger than the peak-to-average ratio of a single channel signal, which affects the processing efficiency of the PA.
发明人在研究中发现,通过对每个信道中传输的信号进行相位旋转,便可以使得最终合并信号的峰均比降低,进而提高PA的效率。The inventors found in the study that by performing phase rotation on the signal transmitted in each channel, the peak-to-average ratio of the final combined signal can be reduced, thereby improving the efficiency of the PA.
实施例一
图4为本发明实施例一提供的信号处理方法的流程图,该方法应用于NG60无线通信系统,且用于信道组中的每个信道中的信号处理,如图4所示,本实施例的方法可以包括:4 is a flowchart of a signal processing method according to
步骤101:发射机将每个信道的原始信号和每个信道的原始信号的相位旋转信息相乘,获得每个信道的调制信号。Step 101: The transmitter multiplies the original signal of each channel and the phase rotation information of the original signal of each channel to obtain a modulated signal of each channel.
步骤102、发射机对每个信道的调制信号进行合并,并将合并后的信号发送给接收机。Step 102: The transmitter combines the modulated signals of each channel, and sends the combined signals to the receiver.
具体的,发射机首先对每个信道上待传输的比特流进行处理,得到信道的原始信号,也即得到在信道中传输的原始数据帧。Specifically, the transmitter first processes the bit stream to be transmitted on each channel to obtain the original signal of the channel, that is, obtains the original data frame transmitted in the channel.
图5所示为现有标准IEEE 802.11ad中数据帧的结构示意图,包括:前导序列(英文:Preamble)、Header、Data和波束精确调整准则(Beam Refinement protocol,简称为:BRP)等;具体的,Preamble包括:短训练(Short Training Field,简称为:STF)序列、信道估计(Channel Estimation,简称为:CE)序列;BRP包括自动增益控制(Automatic gain control,简称为:AGC)和波束跟踪请求(Tracking request field,简称为:TRN-R/T),其中,STF序列用于接收机的同步;CE序列用于信道估计,也即是一般所说的导频或前导码;Header用于传输控制信令,比如Data部分的编码调制方式;TRN-R/T用于发射机和接收机进行波束成形的训练,帮助发射机和接收机找到最好的波束成形方式。FIG. 5 is a schematic structural diagram of a data frame in an existing standard IEEE 802.11ad, including: a preamble sequence (English: Preamble), a Header, a Data, and a Beam Refinement Protocol (BRP); Preamble includes: Short Training Field (STF) sequence, Channel Estimation (CE) sequence; BRP includes Automatic Gain Control (AGC) and Beam Tracking Request (Tracking request field, abbreviated as: TRN-R/T), wherein the STF sequence is used for synchronization of the receiver; the CE sequence is used for channel estimation, that is, the so-called pilot or preamble; the Header is used for transmission. Control signaling, such as the coded modulation of the Data portion; TRN-R/T is used for beamforming training at the transmitter and receiver to help the transmitter and receiver find the best beamforming.
在802.11ad中,Data部分的编码调制方式可以采用两种不同的方式,单载波编码调制方式和多载波编码调制方式,其中,单载波编码调制方式适合于小型低功耗手持设备,功耗较低,支持的传输速度最高为4.6Gbps。多载波编码调制方式允许的最大传输速度高达7Gbps,由于两种不同的编码调制方式采用共同的前导码和信道编码等,从而降低了实施的复杂度,同时可以适用于不同的设备。其中,图6所示为采用单载波编码调制方式传输的数据的结构示意图,通过调制后,生成的448个符号构成一个传输数据DATA,在相邻的数据块中间插入保护间隔(Guard Interval,简称为:GI),GI为采用64位的Golay序列构成。图7所示为多载波编码调制方式传输的数据的结构示意图,通过调制后,生成的512个符号构成一个频域上的传输数据DATA,对512个符号作逆傅里叶变换(Inverse Discrete Fourier Transform,简称为:IDFT),得到时域上的512个符号,将时域上的512个符号中的最后128个符号拷贝到DATA的最前端成为循环前缀(Cyclic Prefix,简称为:CP)。根据目前的设计,一个OFDM符号在频域上有512个子载波,336个子载波用于传输数据,16个导频子载波用于估计相位偏移(相位偏移来源于收发信机之间的频率偏差和相位噪声)。In 802.11ad, the coding and modulation mode of the Data part can be adopted in two different ways, single carrier code modulation mode and multi-carrier code modulation mode. Among them, the single carrier code modulation mode is suitable for small low-power handheld devices, and the power consumption is relatively high. Low, supported transmission speeds up to 4.6Gbps. The multi-carrier coded modulation mode allows a maximum transmission speed of up to 7 Gbps. Since two different coded modulation modes use a common preamble and channel coding, etc., the implementation complexity is reduced, and at the same time,Suitable for different devices. FIG. 6 is a schematic structural diagram of data transmitted by using a single carrier code modulation method. After modulation, the generated 448 symbols form a transmission data DATA, and a guard interval (Guard Interval is inserted in the middle of adjacent data blocks. For: GI), GI is composed of 64-bit Golay sequences. FIG. 7 is a schematic structural diagram of data transmitted by a multi-carrier code modulation method. After modulation, 512 symbols are generated to form transmission data DATA in one frequency domain, and inverse Fourier transform is performed on 512 symbols (Inverse Discrete Fourier) Transform, abbreviated as: IDFT), obtains 512 symbols in the time domain, and copies the last 128 symbols of the 512 symbols in the time domain to the front end of the DATA to become a cyclic prefix (Cyclic Prefix, abbreviated as CP). According to the current design, one OFDM symbol has 512 subcarriers in the frequency domain, 336 subcarriers are used for transmitting data, and 16 pilot subcarriers are used to estimate phase offset (phase offset is derived from the frequency between transceivers) Deviation and phase noise).
具体地,在步骤101中,当得到每个信道的原始信号后,基于本发明的思想,在现有的发射机中会增加一个相位旋转模块,用于将基带信号处理模块输出的每个信道的原始信号与每个信道的原始信号的相位旋转信息相乘,得到调制信号,其中,将每个信道的原始信号和每个信道的原始信号的相位旋转信息相乘的目的是用于改变每个信道的原始信号的相位。Specifically, in
当信道的原始信号的相位发生变化后,就可以使得合并后的信号的峰均比较低,从而使得进入PA的信号的峰均比不会超过PA的线性区,有效提高了PA的处理效率。When the phase of the original signal of the channel changes, the peaks of the combined signals are relatively low, so that the peak-to-average ratio of the signal entering the PA does not exceed the linear region of the PA, which effectively improves the processing efficiency of the PA.
具体地,在步骤102中,发射机对每个信道的调制信号进行合并,具体包括:发射机对每个信道的调制信号进行过采样,得到每个信道的调制信号对应的过采样信号,然后通过滤波模块对过采样信号进行滤波,得到滤波信号,然后将滤波信号变频到给定的频点上得到变频信号,最后将变频信号经过D/A模块转换后,最终得到模拟信号,也即,得到每个信道的调制信号对应的模拟信号,以上处理步骤与现有技术中相同,此处不再赘述,进而对每个信道的调制信号对应的模拟信号进行合并,得到合并信号,并将合并信号进行放大,最后将放大后的合并信号发送给接收机。Specifically, in step 102, the transmitter combines the modulated signals of each channel, specifically: the transmitter oversamples the modulated signal of each channel to obtain an oversampled signal corresponding to the modulated signal of each channel, and then The over-sampling signal is filtered by the filtering module to obtain a filtered signal, and then the filtered signal is frequency-converted to a given frequency point to obtain a variable-frequency signal. Finally, the converted-frequency signal is converted by the D/A module, and finally an analog signal is obtained, that is, Obtaining the analog signal corresponding to the modulated signal of each channel, the above processing steps are the same as in the prior art, and are not described herein again, and then the analog signals corresponding to the modulated signals of each channel are combined to obtain a combined signal, and the merged signals are combined. The signal is amplified, and finally the amplified combined signal is sent to the receiver.
本实施例提供的信号处理方法,包括:首先,发射机将每个信道的原始信号和每个信道的原始信号的相位旋转信息相乘,获得每个信道的调制信号;然后,发射机对每个信道的调制信号进行合并,并将合并后的信号发送给接收机。其中,发射机将每个信道的原始信号和每个信道的原始信号的相位旋转信息相乘,从而改变了原始信号的相位,使得合并后的信号的峰均比较低,从而使得进入PA的信号的峰均比不会超过PA的线性区,有效提高了PA的处理效率。The signal processing method provided in this embodiment includes: first, the transmitter multiplies the original signal of each channel and the phase rotation information of the original signal of each channel to obtain a modulated signal of each channel; and then, the transmitter pairs The modulated signals of the channels are combined, and the combined signals are sent to the connectedReceived. Wherein, the transmitter multiplies the original signal of each channel and the phase rotation information of the original signal of each channel, thereby changing the phase of the original signal, so that the peaks of the combined signals are relatively low, thereby making the signal entering the PA The peak-to-average ratio does not exceed the linear region of the PA, which effectively improves the processing efficiency of the PA.
进一步的,为了提高速率,发射机会对待传输的比特流通过多个信道进行处理,最终对每个信道的信号进行合并,将合并后的信号发送至接收机,也即,在执行步骤101之前,发射机将待传输的比特流划分为与信道组数量相同的多组比特流,以使信道组中的每个信道传输一组比特流。而将待传输的比特流划分为与信道组数量相同的多组比特流的方式,本发明不加以限制。Further, in order to increase the rate, the transmitter processes the bit stream to be transmitted through multiple channels, and finally combines the signals of each channel, and sends the combined signals to the receiver, that is, before performing
在上述通过信道组进行发送信号的方式中,信道组中的每个信道中传输的原始信号均需乘以该信道的原始信号的相位旋转信息,但在具体实现的时候,发射机可以选择不同的信道组,因此,发射机还需要在不同的信道组中,需要寻找信道组中的每个信道的原始信号的相位旋转信息的最优组合,进而使得在对每个信道的原始信号的相位改变后,最终得到的合并后的信号的峰均比最低,从而可以更加有效的提高PA的处理效率,其中,确定信道组中的每个信道的原始信号的相位旋转信息的最优组合可以根据实施例二至实施例四的方式确定,详见实施例二至实施例四。In the above manner of transmitting a signal through a channel group, the original signals transmitted in each channel in the channel group are multiplied by the phase rotation information of the original signal of the channel, but in specific implementation, the transmitter may select different The channel group, therefore, the transmitter also needs to find the optimal combination of the phase rotation information of the original signal of each channel in the channel group in different channel groups, so that the phase of the original signal in each channel After the change, the peak-to-average ratio of the finally obtained combined signal is the lowest, so that the processing efficiency of the PA can be improved more effectively, wherein the optimal combination of the phase rotation information of the original signal of each channel in the channel group can be determined according to For the determination of the manners of the second embodiment to the fourth embodiment, see the second embodiment to the fourth embodiment.
实施例二
可选的,每个信道的原始信号的数据为以多载波调制方式传输数据,每个信道的原始信号包括短训练STF序列、信道估计CE序列和正交频分复用OFDM数据,在步骤101之前还包括:Optionally, the data of the original signal of each channel is transmitted in a multi-carrier modulation manner, and the original signal of each channel includes a short training STF sequence, a channel estimation CE sequence, and orthogonal frequency division multiplexing OFDM data, in
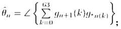
发射机选择使得的取值最小时对应的θ1,θ2,…,θi分别为所述每个信道的STF序列的相位旋转信息中的旋转相位;其中,θ1,θ2,…,θi∈Θ,Θ为F个相位的集合,F为大于1的正整数;i为信道组中的信道数,i为大于1的正整数;sN(t)为第N个信道的STF序列,N=1,2,…,i;为第N个信道的STF序列的相位旋转信息,θN为第N个信道的STF序列的相位旋转信息中的旋转相位;Transmitter selection makes Corresponding θ1 , θ2 , ..., θi are the rotational phases in the phase rotation information of the STF sequence of each channel, respectively, where θ1 , θ2 , ..., θi ∈Θ , Θ is a set of F phases, F is a positive integer greater than 1; i is the number of channels in the channel group, i is a positive integer greater than 1; sN (t) is the STF sequence of the Nth channel, N= 1, 2,...,i; The phase rotation information of the STF sequence of the Nth channel, where θN is the rotation phase in the phase rotation information of the STF sequence of the Nth channel;
发射机选择使得的取值最小时对应的θ1′,θ′2,…,θi′分别为所述每个信道的CE序列的相位旋转信息中的旋转相位;其中,θ1′,θ′2,…,θi′∈Θ′,所述Θ′为F个相位的集合,F为大于1的正整数;i为信道组中的信道数,i为大于1的正整数;s′N(t)为第N个信道的CE序列,N=1,2,…,i;为第N个信道的CE序列的相位旋转信息,θ′N为第N个信道的CE序列的相位旋转信息中的旋转相位;Transmitter selection makes When the value is the smallest, the corresponding θ1 ', θ'2 , ..., θi ' are the rotational phases in the phase rotation information of the CE sequence of each channel; wherein θ1 ', θ'2 ,... , θi ′′′, the Θ′ is a set of F phases, F is a positive integer greater than 1; i is the number of channels in the channel group, i is a positive integer greater than 1; s′N (t) The CE sequence of the Nth channel, N=1, 2, ..., i; a phase rotation information of a CE sequence of the Nth channel, where θ'N is a rotation phase in phase rotation information of the CE sequence of the Nth channel;
发射机选择使得的取值最小时对应的θ1″,θ2″,…,θi″分别为所述每个信道的OFDM数据的相位旋转信息中的旋转相位;其中,θ1″,θ2″,…,θi″∈Θ″,所述Θ″为F个相位的集合,F为大于1的正整数;i为信道组中的信道数,i为大于1的正整数;s″N(t)为第N个信道的OFDM数据,N=1,2,…,i;为第N个信道的OFDM数据的相位旋转信息,θ″N为第N个信道的OFDM数据的相位旋转信息中的旋转相位。Transmitter selection makes When the value is the smallest, the corresponding θ1 ′′, θ2 ′′, . . . , θi ′′ is the rotation phase in the phase rotation information of the OFDM data of each channel; wherein θ1 ′′, θ2 ′′,... , θi ′′′′′, the Θ” is a set of F phases, F is a positive integer greater than 1; i is the number of channels in the channel group, i is a positive integer greater than 1; s′′N (t) OFDM data for the Nth channel, N = 1, 2, ..., i; The phase rotation information of the OFDM data of the Nth channel, θ"N is the rotation phase in the phase rotation information of the OFDM data of the Nth channel.
下面以STF序列为例进行说明,首先选择一个有限相位的集合,根据发射机选择的信道组中每个信道的STF序列,确定每个信道的STF序列的相位旋转信息,在给定的有限相位的集合中选择使得取值最小的每个信道的STF序列对应的θN值。The following takes the STF sequence as an example. First, a set of finite phases is selected, and the phase rotation information of the STF sequence of each channel is determined according to the STF sequence of each channel in the channel group selected by the transmitter, in a given finite phase. Selection in the collection makes The θN value corresponding to the STF sequence of each channel with the smallest value.
在实际应用中,为了提高发射机确定相位旋转信息的速率,一般取第一个信道的原始信号的相位旋转信息中的旋转相位为0,也即θ1=0,假设有4个信道,θ1=0,,θ2,θ3,θ4按如下方法获取:In practical applications, in order to improve the rate at which the transmitter determines the phase rotation information, the rotation phase in the phase rotation information of the original signal of the first channel is generally 0, that is, θ1 =0, assuming 4 channels, θ1 =0,, θ2 , θ3 , θ4 are obtained as follows:
发射机选择使得取值最小时对应的θ1,θ2,θ3为每个信道的中的STF序列的相位旋转信息中的旋转相位,其中,s1(t)为第一个信道中的STF序列,s2(t)为第二个信道中的STF序列,s3(t)为第三个信道中的STF序列,s4(t)为第四个信道中的STF序列,θ1,θ2,θ3∈Θ,Θ为一个有限的相位集合,举例而言,Θ={0,π}或者Θ={0,0.5π,π,1.5π}。Transmitter selection makes When the value is the smallest, θ1 , θ2 , θ3 are the rotation phases in the phase rotation information of the STF sequence in each channel, where s1 (t) is the STF sequence in the first channel, s2 (t) is the STF sequence in the second channel, s3 (t) is the STF sequence in the third channel, and s4 (t) is the STF sequence in the fourth channel, θ1 , θ2 , θ3 ∈Θ, Θ is a finite set of phases, for example, Θ = {0, π} or Θ = {0, 0.5π, π, 1.5π}.
在802.11ad中,STF序列主要用于同步信号帧的作用。由于STF序列是固定不变的信号,因此,发射机在NG60的四个信道中使用不同的信道组合(例如:可以为信道1和信道2、信道1和信道3、信道2和信道3、信道1和信道2和信道3)进行信号的传输时,不同的信道组合中的各个信道中的STF序列的相位旋转信息也是固定的,因此可以预先将不同的信道组中的各个信道中STF序列的相位旋转信息保存在发射机中,在实际的应用中,可以选择其中一个信道的STF序列的相位旋转信息为1,也即其中一个信道的STF序列的相位旋转信号为0,对此信道的STF序列不进行旋转。In 802.11ad, the STF sequence is mainly used to synchronize the role of signal frames. Since the STF sequence is a fixed signal, the transmitter uses different channel combinations in the four channels of the NG 60 (for example:
表2为通过2个信道进行信号传输时,每个信道中的STF序列的相位旋转信息以及对每个信道中的STF序列进行优化后的增益。Table 2 shows the phase rotation information of the STF sequence in each channel and the gain after optimizing the STF sequence in each channel when signal transmission is performed through two channels.
表3为通过3个信道进行信号传输时,每个信道中的STF序列的相位旋转信息以及对每个信道中的STF序列进行优化后的增益。Table 3 shows the phase rotation information of the STF sequence in each channel and the gain after optimizing the STF sequence in each channel when signal transmission is performed through three channels.
其中,信道组中的数字代表NG60中的各个信道,相位旋转信息组合中的相位旋转信息的顺序与信道组中的各个信道的顺序对应。The numbers in the channel group represent the respective channels in the
表2和表3为多个信道进行信号传输时,STF序列优选的相位旋转信息。具体地,两个信道的情况下,第1个信道的相位旋转信息为1,第2个信道的相位旋转信息为ej1.49π。三个信道的情况下,第1个信道的相位旋转信息为1,第2个信道的相位旋转信息为ej0.13π,第3个信道的相位旋转信息为ej1.64π。Table 2 and Table 3 show the preferred phase rotation information of the STF sequence for signal transmission on multiple channels. Specifically, in the case of two channels, the phase rotation information of the first channel is 1, and the phase rotation information of the second channel is ej1.49π . In the case of three channels, the phase rotation information of the first channel is 1, the phase rotation information of the second channel is ej0.13π , and the phase rotation information of the third channel is ej1.64π .
表2Table 2
表3table 3
上述各个信道的STF序列的相位旋转信息采用相同的相位组合,也即在相同数量的信道组成的信道组中,信道组中各个信道(除第1个信道外)中的STF序列都对应相同的相位旋转信息,这样处理最简单,但性能不能达到最优。The phase rotation information of the STF sequence of each channel adopts the same phase combination, that is, in the channel group composed of the same number of channels, the STF sequences in each channel (except the first channel) in the channel group correspond to the same The phase rotation information is the easiest to handle, but the performance is not optimal.
在实际应用中,为了提高性能,在表2至表4的信道组中,还可以根据每个信道实际的传输情况,计算各个信道中的STF序列的最优的相位旋转信息,也即,表2和表3中在信道组中信道个数相同的情况下,各个信道中的STF序列都对应相同的相位旋转信息,而在表5至表7中,在信道组中信道个数相同的情况下,各个信道中的STF序列的相位旋转信息不完全相同。In practical applications, in order to improve performance, in the channel groups of Tables 2 to 4, the optimal phase rotation information of the STF sequence in each channel can also be calculated according to the actual transmission situation of each channel, that is, the table. 2 and Table 3, in the case where the number of channels in the channel group is the same, the STF sequences in each channel correspond to the same phase rotation information, and in Tables 5 to 7, the number of channels in the channel group is the same. The phase rotation information of the STF sequence in each channel is not completely the same.
表4为通过2个信道进行信号传输时,每个信道中的STF序列的相位旋转信息以及对每个信道中的STF序列进行优化后的增益。Table 4 shows the phase rotation information of the STF sequence in each channel and the gain obtained by optimizing the STF sequence in each channel when signal transmission is performed through two channels.
表5为通过3个信道进行信号传输时,每个信道中的STF序列的相位旋转信息以及对每个信道中的STF序列进行优化后的增益。Table 5 shows the phase rotation information of the STF sequence in each channel and the gain obtained by optimizing the STF sequence in each channel when signal transmission is performed through three channels.
表6为通过4个信道进行信号传输时,每个信道中的STF序列的相位旋转信息以及对每个信道中的STF序列进行优化后的增益。Table 6 shows the phase rotation information of the STF sequence in each channel and the gain after optimizing the STF sequence in each channel when signal transmission is performed through four channels.
表4-表6为多个信道进行信号传输时,STF序列优选的相位旋转信息。具体地:Table 4 - Table 6 shows the preferred phase rotation information of the STF sequence for signal transmission on multiple channels. specifically:
两个信道的情况下,在通过信道1和信道2传输STF序列时,信道1的相位旋转信息为1,信道2的相位旋转信息为ej1.52π;在通过信道1和信道3传输STF序列时,信道1的相位旋转信息为1,信道3的相位旋转信息为ej1.11π;在通过信道1和信道4传输STF序列时,信道1的相位旋转信息为1,信道4的相位旋转信息为ej1.48π;在通过信道2和信道3传输STF序列时,信道2的相位旋转信息为1,信道3的相位旋转信息为ej1.82π;在通过信道2和信道4传输STF序列时,信道2的相位旋转信息为1,信道4的相位旋转信息为ej1.53π;在通过信道3和信道4传输STF序列时,信道4的相位旋转信息为1,信道4的相位旋转信息为ej1.59π。In the case of two channels, when the STF sequence is transmitted through
三个信道的情况下,在通过信道1、信道2和信道3传输STF序列时,信道1的相位旋转信息为1,信道2的相位旋转信息为ej0.28π,信道3的相位旋转信息为ej1.56π;在通过信道1、信道2和信道4传输STF序列时,信道1的相位旋转信息为1,信道2的相位旋转信息为ej0.22π,信道4的相位旋转信息为ej1.72π;在通过信道1、信道3和信道4传输STF序列时信道1的相位旋转信息为1,信道3的相位旋转信息为ej1.00π,信道4的相位旋转信息为ej0.98π;在通过信道2、信道3和信道4传输STF序列时,信道2的相位旋转信息为1,信道3的相位旋转信息为ej0.27π,信道4的相位旋转信息为ej1.57π;In the case of three channels, when the STF sequence is transmitted through
四个信道的情况下,信道1的相位旋转信息为1,信道2的相位旋转信息为ej1.30π,信道3的相位旋转信息为ej1.31π,信道4的相位旋转信息为ej0.32π。In the case of four channels, the phase rotation information of
表4Table 4
表5table 5
表6Table 6
采用上述针对不同的信道组情况计算信道组中每个信道中的STF序列的相位旋转信息,以使信道组中的各个相位旋转信息的组合是最优的,从而使得最终得到的合并后的信号的峰均比最低,提高PA的处理效率,但是这样虽然性能可以达到最优,但需要发射机存储的组合较多。Calculating the phase rotation information of the STF sequence in each channel in the channel group by using the above-mentioned different channel group conditions, so that the combination of the respective phase rotation information in the channel group is optimal, so that the finally obtained combined signal is obtained. The peak-to-average ratio is the lowest, which improves the processing efficiency of the PA, but although the performance can be optimized, it requires more combinations of transmitter storage.
在实际的应用中,可根据发射机当前的状态,选择上述两种实现方式中的任一种实现方式。In an actual application, any one of the above two implementation manners may be selected according to the current state of the transmitter.
而对接收机而言,由于STF用于同步,对接收机的算法没有影响,接收机在每个信道上按正常接收即可。For the receiver, since the STF is used for synchronization, it has no effect on the receiver's algorithm, and the receiver can receive it normally on each channel.
在802.11ad中,CE主要用于信道估计。由于CE是固定不变的信号,因此,发射机在NG60的四个信道中使用不同的信道组合进行CE序列的传输时,不同的信道组(例如:可以为信道1和信道2、信道1和信道3、信道2和信道3、信道1和信道2和信道3)中各个信道中的CE序列的相位旋转信息也是固定的,因此可以预先将不同的信道组中的各个信道中CE序列的相位旋转信息保存在发射机中。在实际的应用中,可以选择其中一个信道的CE序列的相位旋转信息为1,也即其中一个信道的CE序列的相位旋转信号为0,对此信道的CE序列不进行旋转。In 802.11ad, CE is mainly used for channel estimation. Since the CE is a fixed signal, when the transmitter uses different channel combinations in the four channels of the NG60 for CE sequence transmission, different channel groups (for example,
表7为通过2个信道进行信号传输时,每个信道中的CE序列的相位旋转信息以及对每个信道中的CE序列进行优化后的增益。Table 7 shows the phase rotation information of the CE sequence in each channel and the gain after optimizing the CE sequence in each channel when signal transmission is performed through two channels.
表8为通过3个信道进行信号传输时,每个信道中CE序列的相位旋转信息以及对每个信道中的CE序列进行优化后的增益。Table 8 shows the phase rotation information of the CE sequence in each channel and the gain after optimizing the CE sequence in each channel when signal transmission is performed through three channels.
其中,信道组中的数字代表NG60中的各个信道,相位旋转信息组合中的相位旋转信息与信道组中的各个信道对应。The numbers in the channel group represent the respective channels in the
表7和表8为多个信道进行信号传输时,CE序列优选的相位旋转信息。具体地,两个信道的情况下,第1个信道的相位旋转信息为1,第2个信道的相位旋转信息为ej1.49π。三个信道的情况下,第1个信道的相位旋转信息为1,第2个信道的相位旋转信息为ej0.14π,第3个信道的相位旋转信息为ej1.68π。Tables 7 and 8 show the preferred phase rotation information of the CE sequence for signal transmission on multiple channels. Specifically, in the case of two channels, the phase rotation information of the first channel is 1, and the phase rotation information of the second channel is ej1.49π . In the case of three channels, the phase rotation information of the first channel is 1, the phase rotation information of the second channel is ej 0.14 π , and the phase rotation information of the third channel is ej1.68 π .
表7Table 7
表8Table 8
上述各个信道的CE序列对应的相位旋转信息采用相同的相位组合,也即在相同数量的信道组成的信道组中,信道组中的各个信道(除第1个信道外)中CE序列的相位旋转信息均相同,这样处理最简单,但性能不能达到最优。The phase rotation information corresponding to the CE sequence of each channel adopts the same phase combination, that is, the phase rotation of the CE sequence in each channel (except the first channel) in the channel group in the channel group composed of the same number of channels. The information is the same, so the process is the simplest, but the performance is not optimal.
在实际应用中,为了提高性能,在表7至表8的信道组中,还可以根据每个信道实际的传输情况,计算信道组中各个信道的CE序列的最优的相位旋转信息。也即,表7至表8中在信道组中信道个数相同的情况下,各个信道中的CE序列都对应相同的相位旋转信息,而在表9至表11中,在信道组中信道个数相同的情况下,各个信道中的CE序列的相位旋转信息不完全相同。In practical applications, in order to improve performance, in the channel groups of Tables 7 to 8, the optimal phase rotation information of the CE sequence of each channel in the channel group can also be calculated according to the actual transmission condition of each channel. That is, in the case where the number of channels in the channel group is the same in Tables 7 to 8, the CE sequences in the respective channels correspond to the same phase rotation information, and in Tables 9 to 11, the channels in the channel group are the same. In the case where the numbers are the same, the phase rotation information of the CE sequence in each channel is not completely the same.
表9为通过2个信道进行信号传输时,每个信道中的CE序列的相位旋转信息以及对每个信道中的CE序列进行优化后的增益。Table 9 shows the phase rotation information of the CE sequence in each channel and the gain after optimizing the CE sequence in each channel when signal transmission is performed through two channels.
表10为通过3个信道进行信号传输时,每个信道中的CE序列的相位旋转信息以及对每个信道中CE序列进行优化后的增益。Table 10 shows the phase rotation information of the CE sequence in each channel and the gain after optimizing the CE sequence in each channel when signal transmission is performed through three channels.
表11为通过4个信道进行信号传输时,每个信道中的CE序列的相位旋转信息以及对每个信道中的CE序列进行优化后的增益。Table 11 shows the phase rotation information of the CE sequence in each channel and the gain after optimizing the CE sequence in each channel when signal transmission is performed through four channels.
表9-表11为多个信道进行信号传输时,CE序列优选的相位旋转信息。具体地:Table 9 - Table 11 shows the preferred phase rotation information of the CE sequence when signal transmission is performed for a plurality of channels. specifically:
两个信道的情况下,在通过信道1和信道2传输CE序列时,信道1的相位旋转信息为1,信道2的相位旋转信息为ej1.77π;在通过信道1和信道3传输CE序列时,信道1的相位旋转信息为1,信道3的相位旋转信息为ej1.61π;在通过信道1和信道4传输CE序列时,信道1的相位旋转信息为1,信道4的相位旋转信息为ej1.48π;在通过信道2和信道3传输CE序列时,信道2的相位旋转信息为1,信道3的相位旋转信息为ej1.68π;在通过信道2和信道4传输CE序列时,信道2的相位旋转信息为1,信道4的相位旋转信息为ej1.79π;在通过信道3和信道4传输CE序列时,信道4的相位旋转信息为1,信道4的相位旋转信息为ej1.55π。In the case of two channels, when the CE sequence is transmitted through
三个信道的情况下,在通过信道1、信道2和信道3传输CE序列时,信道1的相位旋转信息为1,信道2的相位旋转信息为ej0.28π,信道3的相位旋转信息为ej1.56π;在通过信道1、信道2和信道4传输CE序列时,信道1的相位旋转信息为1,信道2的相位旋转信息为ej0.22π,信道4的相位旋转信息为ej1.72π;在通过信道1、信道3和信道4传输CE序列时信道1的相位旋转信息为1,信道3的相位旋转信息为ej1.68π,信道4的相位旋转信息为ej1.32π;在通过信道2、信道3和信道4传输CE序列时,信道2的相位旋转信息为1,信道3的相位旋转信息为ej0.32π,信道4的相位旋转信息为ej1.60π;In the case of three channels, when the CE sequence is transmitted through
四个信道的情况下,信道1的相位旋转信息为1,信道2的相位旋转信息为ej1.78π,信道3的相位旋转信息为ej1.16π,信道4的相位旋转信息为ej1.96π。In the case of four channels, the phase rotation information of
表9Table 9
表10Table 10
表11Table 11
采用上述针对不同的信道组情况计算信道组中每个信道中CE序列的相位旋转信息,以使信道组中的各个相位旋转信息的组合是最优的,从而使得最终得到的合并后的信号的峰均比最低,提高PA的处理效率,但是这样虽然性能可以达到最优,但需要发射机存储的组合较多。Calculating the phase rotation information of the CE sequence in each channel in the channel group by using the above-mentioned different channel group conditions, so that the combination of the respective phase rotation information in the channel group is optimal, so that the finally obtained combined signal is The peak-to-average ratio is the lowest, which improves the processing efficiency of the PA, but although the performance can be optimized, it requires more combinations of transmitter storage.
在实际的应用中,可根据发射机当前的状态,选择上述两种实现方式中的任一种实现方式。In an actual application, any one of the above two implementation manners may be selected according to the current state of the transmitter.
由于CE估计出的结果用于后续数据信号的均衡,因此用CE估计出的信道信息要消除相位信号的影响。例如发送的第n个信道的信号乘上相位旋转信息为ejφ,在接收端利用CE估计出的信道为消除相位旋转信息后的信道为h用于后续的信道均衡,其中n为大于1的正整数。Since the result estimated by the CE is used for equalization of subsequent data signals, the channel information estimated by the CE is to eliminate the influence of the phase signal. For example, the signal of the nth channel transmitted is multiplied by the phase rotation information as ejφ , and the channel estimated by the CE at the receiving end is The channel after eliminating the phase rotation information is h is used for subsequent channel equalization, where n is a positive integer greater than one.
综上,在步骤101之前,发射机还可以保存每个信道的原始信号中的STF序列的相位旋转信息和每个信道的原始信号中的CE序列的相位旋转信息。In summary, before
而对OFDM数据的处理,对接收机而言,由于OFDM数据的相位旋转信息中的旋转相位可以看作相位偏移的一部分,利用导频子载波估计并进行补偿,从而对接收机不需要进行特别的修改。For the processing of OFDM data, for the receiver, since the rotational phase in the phase rotation information of the OFDM data can be regarded as a part of the phase offset, the pilot subcarrier is used to estimate and compensate, so that the receiver does not need to be performed. Special modifications.
发射机通过上述方法确定原始信号的相位旋转信息后,发射机将每个信道的原始信号和每个信道的原始信号的相位旋转信息相乘,获得每个信道的调制信号;然后,发射机对每个信道的调制信号进行合并,并将合并后的信号发送给接收机。其中,发射机将每个信道的原始信号和每个信道的原始信号的相位旋转信息相乘,从而改变了原始信号的相位,使得合并后的信号的峰均比较低,从而使得进入PA的信号的峰均比不会超过PA的线性区,有效提高了PA的处理效率。After the transmitter determines the phase rotation information of the original signal by the above method, the transmitter multiplies the original signal of each channel and the phase rotation information of the original signal of each channel to obtain a modulated signal of each channel; then, the transmitter pair The modulated signals of each channel are combined and the combined signals are sent to the receiver. Wherein, the transmitter multiplies the original signal of each channel and the phase rotation information of the original signal of each channel, thereby changing the phase of the original signal, so that the peaks of the combined signals are relatively low, thereby making the signal entering the PA The peak-to-average ratio does not exceed the linear region of the PA, effectiveImprove the processing efficiency of PA.
实施例三
进一步的,如图3所示,每个信道的原始信号的数据为以单载波的编码调制方式传输的数据,每个信道的原始信号包括:短训练STF序列、信道估计CE序列和单载波数据,其中,单载波数据包括至少一个数据块,数据块包括:保护间隔GI和传输数据DATA,Further, as shown in FIG. 3, the data of the original signal of each channel is data transmitted in a single carrier code modulation manner, and the original signals of each channel include: a short training STF sequence, a channel estimation CE sequence, and single carrier data. The single carrier data includes at least one data block, and the data block includes: a guard interval GI and a transmission data DATA.
在步骤101之前还包括:Before
发射机选择使得的取值最小时对应的θ1,θ2,…,θi分别为所述每个信道的STF序列的相位旋转信息中的旋转相位;其中,θ1,θ2,…,θi∈Θ,所述Θ为F个相位的集合,F为大于1的正整数;i为信道组中的信道数,i为大于1的正整数;sN(t)为第N个信道的STF序列,N=1,2,…,i;为第N个信道的STF序列的相位旋转信息,θN为第N个信道的STF序列的相位旋转信息中的旋转相位;Transmitter selection makes Corresponding θ1 , θ2 , ..., θi are the rotational phases in the phase rotation information of the STF sequence of each channel, respectively, where θ1 , θ2 , ..., θi ∈Θ The Θ is a set of F phases, F is a positive integer greater than 1; i is the number of channels in the channel group, i is a positive integer greater than 1; sN (t) is the STF sequence of the Nth channel, N=1, 2,...,i; The phase rotation information of the STF sequence of the Nth channel, where θN is the rotation phase in the phase rotation information of the STF sequence of the Nth channel;
发射机选择使得的取值最小时对应的θ1′,θ′2,…,θi′分别为所述每个信道的CE序列的相位旋转信息中的旋转相位;其中,θ1′,θ′2,…,θi′∈Θ′,所述Θ′为F个相位的集合,F为大于1的正整数;i为信道组的信道数,i为大于1的正整数;s′N(t)为第N个信道的CE序列,N=1,2,…,i;为第N个信道的CE序列的相位旋转信息,θ′N为第N个信道的CE序列的相位旋转信息中的旋转相位;Transmitter selection makes When the value is the smallest, the corresponding θ1 ', θ'2 , ..., θi ' are the rotational phases in the phase rotation information of the CE sequence of each channel; wherein θ1 ', θ'2 ,... , θi ′′′, the Θ′ is a set of F phases, F is a positive integer greater than 1; i is the number of channels of the channel group, i is a positive integer greater than 1; s′N (t) is CE sequence of the Nth channel, N=1, 2, ..., i; a phase rotation information of a CE sequence of the Nth channel, where θ'N is a rotation phase in phase rotation information of the CE sequence of the Nth channel;
发射机选择使得的取值最小时对应的η1,m,η2,m,…,ηi,m分别为所述DATA的相位旋转信息中的旋转相位;其中,η1,m,η2,m,…,ηi,m∈Θ″′,Θ″′为F个相位的集合,F为大于1的正整数;i为大于1的正整数,m为大于等于1的正整数,N=1,2,…,i;ZN,m(t)为第N个信道的单载波数据中第m个数据块中的DATA,为第N个信道的单载波数据中第m个数据块中的DATA的相位旋转信息,ηN,m为第N个信道的单载波数据中第m个数据块中的DATA的相位旋转信息中的旋转相位。Transmitter selection makes When the value is the smallest, the corresponding η1,m , η2,m ,...,ηi,m are the rotational phases in the phase rotation information of the DATA; wherein η1,m ,η2,m ,... , ηi,m ∈Θ′′′, Θ′′′ is a set of F phases, F is a positive integer greater than 1; i is a positive integer greater than 1, m is a positive integer greater than or equal to 1, N=1, 2 , ..., i; ZN, m (t) is the DATA in the mth data block in the single carrier data of the Nth channel, The phase rotation information of DATA in the mth data block in the single carrier data of the Nth channel, ηN,m is the phase rotation information of the DATA in the mth data block in the single carrier data of the Nth channel The phase of rotation.
在步骤101之前还包括:Before
发射机选择使得的取值最小时对应的分别为所述GI的相位旋转信息中的旋转相位;其中,为F个相位的集合,F为大于1的正整数;i为大于1的正整数,m为大于等于1的整数,N=1,2,…,i;yN,m(t)为第N个信道的单载波数据中第m个数据块中的GI;为第N个信道的单载波数据中第m个数据块中的GI的相位旋转信息,为第N个信道的单载波数据中第m个数据块中的GI的相位旋转信息中的旋转相位。Transmitter selection makes Corresponding when the value is the smallest a rotation phase in the phase rotation information of the GI; wherein For a set of F phases, F is a positive integer greater than 1; i is a positive integer greater than 1, m is an integer greater than or equal to 1, N = 1, 2, ..., i; yN, m (t) is GI in the mth data block among the single carrier data of N channels; The phase rotation information of the GI in the mth data block in the single carrier data of the Nth channel, The phase of rotation in the phase rotation information of the GI in the mth data block in the single carrier data of the Nth channel.
通过上述方法确定相位旋转信息,并根据每个信道的原始信号以及每个信道的原始信号的相位旋转信息得到每个信道的调制信号,可以使得每个信道的原始信号的相位发生变化,从而当信道组中的每个信道的调制信号合并后得到的合并信号的峰均比不会明显增大,提高PA的处理效率。The phase rotation information is determined by the above method, and the modulation signal of each channel is obtained according to the original signal of each channel and the phase rotation information of the original signal of each channel, so that the phase of the original signal of each channel changes, thereby The peak-to-average ratio of the combined signals obtained by combining the modulated signals of each channel in the channel group is not significantly increased, and the processing efficiency of the PA is improved.
实施例四Embodiment 4
作为实施例三中单载波数据中的数据块中的GI的相位旋转信息的另一种可实施方式:根据本数据块相邻的前一个数据块中的GI的相位旋转信息以及本数据块相邻的前一个数据块中的DATA的相位旋转信息确定本数据块中的GI的相位旋转信息,也即,在确定相位旋转信息的过程中,可以首先确定每个信道中第1个数据块中的GI的相位旋转信息,然后确定每个信道中的各个DATA的相位旋转信息,进而确定其他数据块中GI对应的相位旋转信息,具体为:Another implementation manner of the phase rotation information of the GI in the data block in the single carrier data in the third embodiment: the phase rotation information of the GI in the previous data block adjacent to the data block and the data block phase The phase rotation information of the DATA in the previous data block of the neighbor determines the phase rotation information of the GI in the data block, that is, in the process of determining the phase rotation information, the first data block in each channel may be first determined. The phase rotation information of the GI, and then determine the phase rotation information of each DATA in each channel, thereby determining the phase rotation information corresponding to the GI in other data blocks, specifically:
结合实施例三,发射机选择使得的取值最小时对应的η1,m,η2,m,…,ηi,m分别为所述DATA的相位旋转信息中的旋转相位之后,还包括:In combination with the third embodiment, the transmitter selection makes When the value of η1, m , η2, m , ..., ηi, m is the rotation phase in the phase rotation information of the DATA, the following includes:
所述发射机选择使得的取值最小时对应的分别为所述信道组中所述每个信道中第1个数据块中GI的相位旋转信息中的旋转相位;其中,为F个相位的集合,F为大于1的正整数;i为大于1的正整数,N=1、2、…、i;yN,1(t)为第N个信道的单载波数据中第1个数据块中的GI;为第N个信道的单载波数据中第1个数据块中的GI的相位旋转信息;为第N个信道的单载波数据中第1个数据块中的GI的相位旋转信息中的旋转相位;The transmitter selection makes Corresponding when the value is the smallest a rotation phase in the phase rotation information of the GI in the first data block in each of the channels in the channel group; wherein For a set of F phases, F is a positive integer greater than 1; i is a positive integer greater than 1, N = 1, 2, ..., i; yN, 1 (t) is the single carrier data of the Nth channel GI in the first data block; Phase rotation information of the GI in the first data block in the single carrier data of the Nth channel; a rotation phase in the phase rotation information of the GI in the first data block in the single carrier data of the Nth channel;
发射机根据确定信道组中每个信道中第n个数据块中的GI的相位旋转信息;Transmitter according to Determining phase rotation information of a GI in an nth data block in each channel in the channel group;
其中,n为大于1的正整数,i=1、2、…、N;为第i个信道的单载波数据中第n个数据块中的GI的相位旋转信息;为第i个信道的单载波数据中第n-1个数据块中的GI的相位旋转信息;为第i个信道的单载波数据中第n-1个数据块中的DATA的相位旋转信息。Where n is a positive integer greater than 1, i=1, 2, ..., N; Phase rotation information of the GI in the nth data block in the single carrier data of the i-th channel; Phase rotation information of the GI in the n-1th data block in the single carrier data of the i-th channel; The phase rotation information of DATA in the n-1th data block in the single carrier data of the i-th channel.
进一步的,在上述实施例的基础上,发射机可以实时计算每个信道的原始信号中的CE序列的相位旋转信息和每个信道的原始信号中的STF序列相位旋转信息,也可以在接收原始信号之前,直接将这两者保存至发射机中,从而进一步提高速率。Further, on the basis of the foregoing embodiment, the transmitter can calculate the phase rotation information of the CE sequence in the original signal of each channel and the STF sequence phase rotation information in the original signal of each channel in real time, and can also receive the original Before the signal, save both directly to the transmitter to further increase the rate.
进一步的,在上述实施例的基础上,发射机还可以向接收机发送每个信道的原始信号中的CE序列的相位旋转信息,以使接收机根据每个信道的原始信号中的CE序列的相位旋转信息进行信道估计以确定每个信道的第一信道信息。Further, based on the foregoing embodiment, the transmitter may further transmit, to the receiver, phase rotation information of the CE sequence in the original signal of each channel, so that the receiver according to the CE sequence in the original signal of each channel The phase rotation information performs channel estimation to determine first channel information for each channel.
发射机通过上述方法确定原始信号的相位旋转信息后,发射机将每个信道的原始信号和每个信道的原始信号的相位旋转信息相乘,获得每个信道的调制信号;然后,发射机对每个信道的调制信号进行合并,并将合并后的信号发送给接收机。其中,发射机将每个信道的原始信号和每个信道的原始信号的相位旋转信息相乘,从而改变了原始信号的相位,使得合并后的信号的峰均比较低,从而使得进入PA的信号的峰均比不会超过PA的线性区,有效提高了PA的处理效率。After the transmitter determines the phase rotation information of the original signal by the above method, the transmitter multiplies the original signal of each channel and the phase rotation information of the original signal of each channel to obtain a modulated signal of each channel; then, the transmitter pair The modulated signals of each channel are combined and the combined signals are sent to the receiver. Wherein, the transmitter multiplies the original signal of each channel and the phase rotation information of the original signal of each channel, thereby changing the phase of the original signal, so that the peaks of the combined signals are relatively low, thereby making the signal entering the PA The peak-to-average ratio does not exceed the linear region of the PA, which effectively improves the processing efficiency of the PA.
实施例五
图8所示为本发明实施例二提供的信号处理方法的流程图,本方法应用于NG60无线通信系统,且用于信道组中的每个信道中的信号处理,如图8所示,该方法可以包括:8 is a flowchart of a signal processing method according to
本实施例提供的信号处理方法应用于接收机,且本实施例中信号处理方法与实施例一至实施例五中发射机进行信号处理的方法相对应,具体的:The signal processing method provided in this embodiment is applied to a receiver, and the signal processing method in this embodiment corresponds to the method in which the transmitter performs signal processing in the first embodiment to the fifth embodiment. Specifically:
步骤201:接收机接收发射机发送的合并信号;合并信号为发射机对每个信道的调制信号合并后得到的信号,每个信道的调制信号为发射机将每个信道的原始信号和每个信道的原始信号的相位旋转信息相乘后得到的信号。Step 201: The receiver receives the combined signal sent by the transmitter; the combined signal is a signal obtained by combining the modulated signals of the transmitter for each channel, and the modulated signal of each channel is the original signal of each channel of the transmitter and each The signal obtained by multiplying the phase rotation information of the original signal of the channel.
步骤202:接收机根据每个信道的调制信号中的信道估计CE序列和每个信道的原始信号中的CE序列的相位旋转信息对每个信道进行信道估计,得到每个信道的第一信道信息。Step 202: The receiver performs channel estimation on each channel according to the channel estimation CE sequence in the modulation signal of each channel and the phase rotation information of the CE sequence in the original signal of each channel, to obtain the first channel information of each channel. .
步骤203:接收机根据每个信道的第一信道信息和每个信道的调制信号中的单载波数据进行信道均衡。Step 203: The receiver performs channel equalization according to the first channel information of each channel and the single carrier data in the modulated signal of each channel.
具体的,与现有技术中相同,接收机会接收发射机发送的合并信号,当发射机通过信道传输该和合并信号后,由于受到信道中各个参数的影响,接收机接收到的合并信号与原合并信号并非完全的一致,因此,接收机需要用接收到的合并信号以及信道信息得到与发射机发送的合并信号对应的原始合并信号。Specifically, in the same manner as in the prior art, the receiving opportunity receives the combined signal sent by the transmitter. After the transmitter transmits the combined signal through the channel, the combined signal received by the receiver is affected by various parameters in the channel. The combined signals are not completely identical, so the receiver needs to use the received combined signal and channel information to obtain the original combined signal corresponding to the combined signal sent by the transmitter.
由于合并信号是发射机对每个信道的调制信号合并后得到的信号,所以合并信号中的各个调制信号依然与各个信道对应,本发明中的接收机对每个信道的调制信号进行处理。Since the combined signal is a signal obtained by combining the modulated signals of the transmitter for each channel, each modulated signal in the combined signal still corresponds to each channel, and the receiver in the present invention processes the modulated signal of each channel.
在接收机接收合并信号的过程中,或在接收合并信号之前、或在接收合并信号之后,接收机还会接收发射机发送的每个信道的原始信号中的CE序列的相位旋转信息,以用于后续的信道估计。并且在接收到每个信道的原始信号中的CE序列的相位旋转信息后,将其保存在接收机。In the process of receiving the combined signal by the receiver, or before receiving the combined signal, or after receiving the combined signal, the receiver also receives the phase rotation information of the CE sequence in the original signal of each channel transmitted by the transmitter, to use For subsequent channel estimation. And after receiving the phase rotation information of the CE sequence in the original signal of each channel, it is saved in the receiver.
在实际的应用中,也可以预先将每个信道的原始信号中的CE序列的相位旋转信息保存至接收机中,而无需从发射机接收,提高了信号处理的效率,本发明不对其加以限制。In practical applications, the phase rotation information of the CE sequence in the original signal of each channel can also be saved to the receiver in advance without receiving from the transmitter, which improves the efficiency of signal processing, which is not limited by the present invention. .
当发射机通过多个信道发送信号时,只需让不同信道的CE序列乘以该信道的CE序列的相位旋转信息即可,对于接收机而言,由于CE序列估计出的信道信息用于后续的信道均衡,因此用每个信道的CE序列估计出的每个信道的信道信息要消除与每个信道的CE序列的相位旋转信息的影响。When the transmitter transmits signals through multiple channels, it is only necessary to multiply the CE sequence of different channels by the phase rotation information of the CE sequence of the channel. For the receiver, the channel information estimated by the CE sequence is used for subsequent The channel is equalized, so the channel information of each channel estimated by the CE sequence of each channel is to eliminate the influence of the phase rotation information of the CE sequence with each channel.
图9为本发明实施例三提供的信号处理方法的流程图,9在上述图8所示实施例的基础上,如图9所示,步骤202的具体实现方式为:FIG. 9 is a flowchart of a signal processing method according to
步骤2021、接收机根据每个信道的调制信号中的CE序列对每个信道进行信道估计,得到每个信道的第二信道信息。Step 2021: The receiver performs channel estimation on each channel according to the CE sequence in the modulated signal of each channel, to obtain second channel information of each channel.
步骤2022、接收机根据每个信道的第二信道信息和每个信道的原始信号中的CE序列中的相位旋转信息确定每个信道的第一信道信息。Step 2022: The receiver determines first channel information of each channel according to the second channel information of each channel and the phase rotation information in the CE sequence in the original signal of each channel.
具体的,接收机首先利用现有技术中的方法根据每个信道的调制信号中的CE序列对信道进行信道估计得到每个信道的第二信道信息,但是此第二信道信息并非准确的信道对应的第一信道信息,因为此第二信道信息中还包括与信道的原始信号中的CE序列的相位旋转信息的影响,因此,在对信道进行信道估计的过程中还需要消除信道的原始信号中的CE序列的相位旋转信息的影响,本发明中通过在估计出的第二信道信息除以信道的原始信号中的CE序列的相位旋转信息,从而可以得到该信道对应的准确的第一信道信息。Specifically, the receiver first performs channel estimation on the channel according to the CE sequence in the modulated signal of each channel by using a method in the prior art to obtain second channel information of each channel, but the second channel information is not an accurate channel corresponding. The first channel information, because the second channel information also includes the influence of the phase rotation information of the CE sequence in the original signal of the channel, therefore, in the process of channel estimation of the channel, it is also necessary to eliminate the original signal of the channel. The influence of the phase rotation information of the CE sequence is obtained by dividing the estimated second channel information by the phase rotation information of the CE sequence in the original signal of the channel, thereby obtaining accurate first channel information corresponding to the channel. .
例如:发射机在第一信道上发送原始信号中的CE序列的相位旋转信息为ejφ,那么,发射机在发送的过程中,会发送原始信号中的CE序列乘以ejφ得到的调制信号,当接收机接收到发射机发送的处理后的调制信号后,根据调制信号估计出的信道信息为但此信道信息中包括ejφ,因此不是准确的信道信息,接收机需要消除原始信号中的CE序列的相位旋转信息ejφ对信道信息的影响,也即,将估计出的信道信息除以原始信号中的CE序列的相位旋转信息ejφ即可得到准确的信道信息,最终的准确的信道信息为其中,h用于后续的信道均衡。For example, the transmitter transmits the phase rotation information of the CE sequence in the original signal to ejφ on the first channel, then the transmitter transmits the modulated signal obtained by multiplying the CE sequence in the original signal by ejφ during the transmission. After the receiver receives the processed modulated signal sent by the transmitter, the channel information estimated according to the modulated signal is But this channel information Including ejφ , and therefore is not accurate channel information, the receiver needs to eliminate the influence of the phase rotation information ejφ of the CE sequence in the original signal on the channel information, that is, divide the estimated channel information by the CE in the original signal. The phase rotation information ejφ of the sequence can obtain accurate channel information, and the final accurate channel information is Where h is used for subsequent channel equalization.
其中,上述利用每个信道的CE进行信道估计得到的方法与现有技术中相同,本发明实施例中不再赘述。Wherein, the above-mentioned CE using each channel is used for channel estimation. The method is the same as that in the prior art, and is not described in detail in the embodiment of the present invention.
单载波数据包括多个数据块,每个数据块包括:保护间隔GI和传输数据DATA。The single carrier data includes a plurality of data blocks, each of which includes: a guard interval GI and a transmission data DATA.
图10为本发明实施例四提供的信号处理方法的流程图,在上述图8所示实施例的基础上,如图10所示,步骤203的具体实现方式为:FIG. 10 is a flowchart of a signal processing method according to Embodiment 4 of the present invention. On the basis of the foregoing embodiment shown in FIG. 8, as shown in FIG. 10, the specific implementation manner of
步骤2031、接收机根据每个信道的第N个数据块中的GI和每个信道的第N+1个数据块中的GI确定每个信道的第N个数据块中的DATA的相位旋转信息;N为大于等于1的正整数。Step 2031: The receiver determines, according to the GI in the Nth data block of each channel and the GI in the N+1th data block of each channel, the phase rotation of the DATA in the Nth data block of each channel.Turn information; N is a positive integer greater than or equal to 1.
步骤2032、接收机根据每个信道的第N个数据块中的DATA的相位旋转信息和每个信道的第N个数据块中的DATA,得到发射机发送的与每个信道的第N个数据块中的DATA对应的原始DATA。Step 2032: The receiver obtains the Nth data sent by the transmitter and each channel according to the phase rotation information of the DATA in the Nth data block of each channel and the DATA in the Nth data block of each channel. The original DATA corresponding to the DATA in the block.
其中,图11所示为图10中步骤2031的具体实现方式,如图11所示,包括:FIG. 11 is a specific implementation manner of
步骤2031a、接收机根据每个信道的第N个数据块中的GI和每个信道的第一信道信息进行信道均衡,得到每个信道的第一信号,N≥0且N为整数。Step 2031a: The receiver performs channel equalization according to the GI in the Nth data block of each channel and the first channel information of each channel, to obtain a first signal of each channel, where N≥0 and N is an integer.
步骤2031b、接收机根据每个信道的第N+1个数据块中的GI和每个信道的第一信道信息进行信道均衡,得到每个信道的第二信号,N≥0且N为整数。
步骤2031c、接收机根据每个信道的第一信号和每个信道的第二信号确定每个信道的第N个数据块中的DATA的相位旋转信息。Step 2031c: The receiver determines phase rotation information of DATA in the Nth data block of each channel according to the first signal of each channel and the second signal of each channel.
其中,图12所示为图10中步骤2032的具体实现方式,如图12所示,包括:FIG. 12 is a specific implementation manner of
步骤2032a、接收机根据每个信道的第N个数据块中的DATA和每个信道的第一信道信息进行信道均衡,得到每个信道的第三信号,N≥0且N为整数。
步骤2032b、接收机根据每个信道的第N个数据块中的DATA的相位旋转信息和每个信道的第三信号,得到发射机发送的与每个信道的第N个数据块中的DATA对应的原始DATA。
具体的,接收机根据每个信道的第N个数据块中的GI和每个信道的第一信道信息进行信号均衡得到每个信道的调制信号gn(k),k=0,1,…,63;然后根据每个信道的第N+1个数据块中的GI和每个信道的第一信道信息进行信号均衡得到每个信道的第一信号gn+1(k),k=0,1,…,63;利用gn(k)和gn+1(k)相关获得每个信道的第N个数据块中的DATA的相位旋转信息中的旋转角度θn的估计值:根据每个信道的第N个数据块中的DATA和每个信道的第一信道信息进行信号均衡得到每个信道的第二信号yn(k),k=0,1,…,447;最后根据θn的估计结果对每个信道的第N个数据块中的DATA进行补偿:得到发射机发送的与每个信道的第N个数据块中的DATA对应的原始DATA。Specifically, the receiver performs signal equalization according to the GI in the Nth data block of each channel and the first channel information of each channel to obtain a modulated signal gn (k), k=0, 1, ... And 63; then performing signal equalization according to the GI in the N+1th data block of each channel and the first channel information of each channel to obtain the first signal gn+1 (k) of each channel, k=0 , 1, ..., 63; obtaining an estimated value of the rotation angle θn in the phase rotation information of the DATA in the Nth data block of each channel by using gn (k) and gn+1 (k) correlation: Performing signal equalization according to DATA in the Nth data block of each channel and first channel information of each channel to obtain a second signal yn (k), k=0, 1, ..., 447 of each channel; The DATA in the Nth data block of each channel is compensated according to the estimation result of θn : The original DATA corresponding to the DATA in the Nth data block of each channel transmitted by the transmitter is obtained.
例如,接收机根据第一信道的第一个数据块中的GI和第一信道的第一信道信息进行信号均衡得到第一信道的调制信号,以及根据第一信道的第二个数据块中的GI和第一信道的第一信道信息进行信道均衡得到第一信道的第一信号,然后根据第一信道的调制信号和第一信道的第一信号进行相关获得第一信道的第一个数据块中传输数据DATA的相位旋转信息中的旋转角度,进而得到第一信道的第一个数据块中传输数据DATA的相位旋转信息,然后对第一信道的第一数据块中的DATA和和第一信道的第一信道信息进行信道均衡得到第一信道的第二信号,最后根据DATA的相位旋转信息以及第一信道的第二信号得到原始的DATA。For example, the receiver performs signal equalization according to the GI in the first data block of the first channel and the first channel information of the first channel to obtain a modulated signal of the first channel, and according to the second data block in the first channel according to the first channel. The GI and the first channel information of the first channel perform channel equalization to obtain a first signal of the first channel, and then obtain a first data block of the first channel according to the modulation signal of the first channel and the first signal of the first channel. Transmitting the rotation angle in the phase rotation information of the data DATA, thereby obtaining the phase rotation information of the transmission data DATA in the first data block of the first channel, and then DATA and the first in the first data block of the first channel The first channel information of the channel is channel-equalized to obtain a second signal of the first channel, and finally the original DATA is obtained according to the phase rotation information of the DATA and the second signal of the first channel.
其中,表12所示为单载波数据采用本实施例提供的信号处理方法得到的增益:Table 12 shows the gain obtained by the signal processing method provided by the embodiment in the single carrier data:
表12Table 12
本实施例提供的信号处理方法,首先,接收机接收发射机发送的合并信号;合并信号为发射机对每个信道的调制信号合并后得到的信号,每个信道的调制信号为发射机将每个信道的原始信号和每个信道的原始信号的相位旋转信息相乘后得到的信号;然后,接收机根据每个信道的调制信号中的信道估计CE序列和每个信道的原始信号中的CE序列的相位旋转信息对每个信道进行信道估计,得到每个信道的第一信道信息;最后,接收机根据每个信道的第一信道信息和每个信道的调制信号中的单载波数据进行信道均衡。其中,每个信道的调制信号为发射机将每个信道的原始信号和每个信道的原始信号的相位旋转信息相乘后得到的信号,从而使得每个信道的原始信号的相位发生变化,进而使得合并后的信号的峰均比不会明显增大,从而提高了接收机接收到信号的准确定。In the signal processing method provided by this embodiment, first, the receiver receives the combined signal sent by the transmitter; the combined signal is a signal obtained by combining the modulated signals of the transmitter for each channel, and the modulated signal of each channel is the transmitter will be The signal obtained by multiplying the original signal of the channel and the phase rotation information of the original signal of each channel; then, the receiver estimates the CE sequence and the CE in the original signal of each channel according to the channel in the modulated signal of each channel The phase rotation information of the sequence performs channel estimation on each channel to obtain first channel information of each channel; finally, the receiver performs channel according to the first channel information of each channel and the single carrier data in the modulated signal of each channel. balanced. Wherein, the modulated signal of each channel is a signal obtained by multiplying the original signal of each channel and the phase rotation information of the original signal of each channel by the transmitter, so that the phase of the original signal of each channel changes, and thus The peak-to-average ratio of the combined signal is not significantly increased, thereby improving the receiverA quasi-determination of the received signal.
在实际应用中,上述的每个信道的调制信号中还会包括:STF序列。In practical applications, the modulation signal of each channel described above may also include: an STF sequence.
具体的,当发射机通过多个信道发送信号时,只需让不同信道的STF乘以与每个信道的STF的相位旋转信息即可,但是对于接收机而言,由于每个信道的STF用于同步信号帧的作用,因此对接收机对信号处理的方法没有影响,接收机在每个信道上按现有技术中的信号处理的方法正常接收该信号即可,其处理反复与现有技术相同,此处不再赘述。Specifically, when the transmitter transmits signals through multiple channels, it is only necessary to multiply the STF of different channels by the phase rotation information of the STF of each channel, but for the receiver, since the STF of each channel is used The function of the synchronization signal frame has no effect on the receiver's method of signal processing. The receiver can normally receive the signal on each channel according to the signal processing method in the prior art, and the processing is repeated with the prior art. The same, no longer repeat here.
在实际应用中,上述每个信道的调制信号中还会包括:OFDM数据。In practical applications, the modulated signal of each channel mentioned above may further include: OFDM data.
但是对接收而言,发射机发送的OFDM数据乘以该OFDM数据的相位旋转信息其中,由于θn可以看作相位偏移的一部分,接收机利用导频子载波估计并进行补偿,从而接收机对信号进行处理的方法与现有技术中相同,具体而言第N个信道中的一个OFDM符号的信号均衡处理过程如下:But for reception, the OFDM data transmitted by the transmitter is multiplied by the phase rotation information of the OFDM data. Wherein, since θn can be regarded as a part of the phase offset, the receiver estimates and compensates by the pilot subcarrier, so that the receiver processes the signal in the same manner as in the prior art, specifically, in the Nth channel. The signal equalization process of an OFDM symbol is as follows:
①首先利用16个导频估计相位偏差。1 First estimate the phase deviation using 16 pilots.
假设第i个导频子载波上接收到的信号为:ri=hiejφpi+wi,其中i∈I,I为导频子载波序号组成的集合,hi为利用CE进行信道估计获得的第i个子载波上的信道响应,ejφ为相位偏移,pi为已知导频;It is assumed that the signal received on the i-th pilot subcarrier is: ri =hi ejφ pi +wi , where i ∈ I, I is a set of pilot subcarrier numbers, and hi is performed by using CE The channel response on the i-th subcarrier obtained by channel estimation, ejφ is a phase offset, and pi is a known pilot;
偏移相位的估计可以按如下方式获得:Estimation of offset phase It can be obtained as follows:
其中,φ=θn+φ0,其中θn是发射机为了降低PAPR引入的相位旋转信息对应的旋转角度,φ0为原来由于收发信机频率偏差和相位噪声引入的相位偏差。Where φ = θn + φ0 , where θn is the rotation angle corresponding to the phase rotation information introduced by the transmitter to reduce the PAPR, and φ0 is the phase deviation originally introduced due to the transceiver frequency deviation and phase noise.
②利用对频域上的信道进行纠偏:i为所有子载波的序号;2 use Correct the channel on the frequency domain: i is the sequence number of all subcarriers;
③用纠偏后的信道进行信道均衡。3 using the corrected channel Perform channel equalization.
图13所示为OFDM数据采用本发明实施例提供的信号处理方法获得的增益:Figure 13 shows the gain obtained by the OFDM data using the signal processing method provided by the embodiment of the present invention:
其中,具体的,图13为为互补累计分布函数(Complementary Cumulative Distribution Function,简称CCDF)示意图,如图13所示,对OFDM数据采用本发明实施例提供的信号处理方法可以获得2~3dB的增益。Specifically, FIG. 13 is a schematic diagram of a Complementary Cumulative Distribution Function (CCDF). As shown in FIG. 13, the signal processing method provided by the embodiment of the present invention can obtain a gain of 2 to 3 dB for OFDM data. .
实施例六
图14为本发明实施例一提供的发射机的结构示意图,该发射机可应用于NG60无线通信系统,对信道组的每个信道中的信号进行处理,如图14所示,该发射机包括:14 is a schematic structural diagram of a transmitter according to
相位旋转模块301,用于将每个信道的原始信号和每个信道的原始信号的相位旋转信息相乘,获得每个信道的调制信号;a
合并模块302,用于对每个信道的调制信号合并,并将合并后的信号发送给接收机。The merging
可选的,每个信道的原始信号包括:短训练STF序列、信道估计CE序列和正交频分复用OFDM数据,相位旋转模块301,具体用于:Optionally, the original signal of each channel includes: a short training STF sequence, a channel estimation CE sequence, and orthogonal frequency division multiplexing OFDM data, and a
选择使得的取值最小时对应的θ1,θ2,…,θi分别为所述每个信道的STF序列的相位旋转信息中的旋转相位;其中,θ1,θ2,…,θi∈Θ,Θ为F个相位的集合,F为大于1的正整数;i为信道组中的信道数,i为大于1的正整数;sN(t)为第N个信道的STF序列,N=1,2,…,i;为第N个信道的STF序列的相位旋转信息,θN为第N个信道的STF序列的相位旋转信息中的旋转相位;Choice makes Corresponding θ1 , θ2 , ..., θi are the rotational phases in the phase rotation information of the STF sequence of each channel respectively; wherein θ1 , θ2 , ..., θi ∈Θ , Θ is a set of F phases, F is a positive integer greater than 1; i is the number of channels in the channel group, i is a positive integer greater than 1; sN (t) is the STF sequence of the Nth channel, N= 1,2,...,i; The phase rotation information of the STF sequence of the Nth channel, where θN is the rotation phase in the phase rotation information of the STF sequence of the Nth channel;
选择使得的取值最小时对应的θ1′,θ′2,…,θi′分别为所述每个信道的CE序列的相位旋转信息中的旋转相位;其中,θ1′,θ′2,…,θi′∈Θ′,Θ′为F个相位的集合,F为大于1的正整数;i为信道组中的信道数,i为大于1的正整数;s′N(t)为第N个信道的CE序列,N=1,2,…,i;为第N个信道的CE序列的相位旋转信息,θ′N为第N个信道的CE序列的相位旋转信息中的旋转相位;Choice makes When the value is the smallest, the corresponding θ1 ', θ'2 , ..., θi ' are the rotational phases in the phase rotation information of the CE sequence of each channel; wherein θ1 ', θ'2 ,... , θi ′′′, Θ′ is a set of F phases, F is a positive integer greater than 1; i is the number of channels in the channel group, i is a positive integer greater than 1; s′N (t) is the first CE sequence of N channels, N=1, 2,..., i; a phase rotation information of a CE sequence of the Nth channel, where θ'N is a rotation phase in phase rotation information of the CE sequence of the Nth channel;
选择使得的取值最小时对应的θ1″,θ2″,…,θi″分别为所述每个信道的OFDM数据的相位旋转信息中的旋转相位;其中,θ1″,θ2″,…,θi″∈Θ″,Θ″为F个相位的集合,F为大于1的正整数;i为信道组中的信道数,i为大于1的正整数;s″N(t)为第N个信道的OFDM数据,N=1,2,…,i;为第N个信道的OFDM数据的相位旋转信息,θ″N为第N个信道的OFDM数据的相位旋转信息中的旋转相位。Choice makes When the value is the smallest, the corresponding θ1 ′′, θ2 ′′, . . . , θi ′′ is the rotation phase in the phase rotation information of the OFDM data of each channel; wherein θ1 ′′, θ2 ′′,... , θi ′′′′′, Θ” is a set of F phases, F is a positive integer greater than 1; i is the number of channels in the channel group, i is a positive integer greater than 1; s′′N (t) is the first OFDM data for N channels, N = 1, 2, ..., i; The phase rotation information of the OFDM data of the Nth channel, θ"N is the rotation phase in the phase rotation information of the OFDM data of the Nth channel.
可选的,每个信道的原始信号包括:短训练STF序列、信道估计CE序列和单载波数据,其中,单载波数据包括至少一个数据块,数据块包括:传输数据DATA;Optionally, the original signal of each channel includes: a short training STF sequence, a channel estimation CE sequence, and single carrier data, where the single carrier data includes at least one data block, and the data block includes: transmission data DATA;
相位旋转模块301,具体用于:The
选择使得的取值最小时对应的θ1,θ2,…,θi分别为所述每个信道的STF序列的相位旋转信息中的旋转相位;其中,θ1,θ2,…,θi∈Θ,Θ为F个相位的集合,F为大于1的正整数;i为信道组中的信道数,i为大于1的正整数;sN(t)为第N个信道的STF序列,N=1,2,…,i;为第N个信道的STF序列的相位旋转信息,θN为第N个信道的STF序列的相位旋转信息中的旋转相位;Choice makes Corresponding θ1 , θ2 , ..., θi are the rotational phases in the phase rotation information of the STF sequence of each channel respectively; wherein θ1 , θ2 , ..., θi ∈Θ , Θ is a set of F phases, F is a positive integer greater than 1; i is the number of channels in the channel group, i is a positive integer greater than 1; sN (t) is the STF sequence of the Nth channel, N= 1,2,...,i; The phase rotation information of the STF sequence of the Nth channel, where θN is the rotation phase in the phase rotation information of the STF sequence of the Nth channel;
选择使得的取值最小时对应的θ1′,θ′2,…,θi′分别为所述每个信道的CE序列的相位旋转信息中的旋转相位;其中,θ1′,θ′2,…,θi′∈Θ′,Θ′为F个相位的集合,F为大于1的正整数;i为信道组的信道数,i为大于1的正整数;s′N(t)为第N个信道的CE序列,N=1,2,…,i;为第N个信道的CE序列的相位旋转信息,θ′N为第N个信道的CE序列的相位旋转信息中的旋转相位;Choice makes When the value is the smallest, the corresponding θ1 ', θ'2 , ..., θi ' are the rotational phases in the phase rotation information of the CE sequence of each channel; wherein θ1 ', θ'2 ,... , θi ′′′, Θ′ is a set of F phases, F is a positive integer greater than 1; i is the number of channels of the channel group, i is a positive integer greater than 1; s′N (t) is the Nth CE sequence of channels, N=1, 2,...,i; a phase rotation information of a CE sequence of the Nth channel, where θ'N is a rotation phase in phase rotation information of the CE sequence of the Nth channel;
选择使得的取值最小时对应的η1,m,η2,m,…,ηi,m分别为所述DATA的相位旋转信息中的旋转相位;其中,η1,m,η2,m,…,ηi,m∈Θ″′,Θ″′为F个相位的集合,F为大于1的正整数;i为大于1的正整数,m为大于等于1的正整数,N=1,2,…,i;ZN,m(t)为第N个信道的单载波数据中第m个数据块中的DATA,为第N个信道的单载波数据中第m个数据块中的DATA的相位旋转信息,ηN,m为第N个信道的单载波数据中第m个数据块中的DATA应的相位旋转信息中的旋转相位。Choice makes When the value is the smallest, the corresponding η1,m , η2,m ,...,ηi,m are the rotational phases in the phase rotation information of the DATA; wherein η1,m ,η2,m ,... , ηi,m ∈Θ′′′, Θ′′′ is a set of F phases, F is a positive integer greater than 1; i is a positive integer greater than 1, m is a positive integer greater than or equal to 1, N=1, 2 , ..., i; ZN, m (t) is the DATA in the mth data block in the single carrier data of the Nth channel, The phase rotation information of DATA in the mth data block in the single carrier data of the Nth channel, ηN,m is the phase rotation information of the DATA in the mth data block of the single carrier data of the Nth channel The phase of rotation in .
可选的,数据块还包括:保护间隔GI,Optionally, the data block further includes: a guard interval GI,
相位旋转模块301,还用于:The
选择使得的取值最小时对应的分别为所述GI的相位旋转信息中的旋转相位;其中,为F个相位的集合,F为大于1的正整数;i为大于1的正整数,m为大于等于1的整数,N=1,2,…,i;yN,m(t)为第N个信道的单载波数据中第m个数据块中的GI;为第N个信道的单载波数据中第m个数据块中的GI的相位旋转信息,为第N个信道的单载波数据中第m个数据块中的GI的相位旋转信息中的旋转相位。Choice makes Corresponding when the value is the smallest a rotation phase in the phase rotation information of the GI; wherein For a set of F phases, F is a positive integer greater than 1; i is a positive integer greater than 1, m is an integer greater than or equal to 1, N = 1, 2, ..., i; yN, m (t) is GI in the mth data block among the single carrier data of N channels; The phase rotation information of the GI in the mth data block in the single carrier data of the Nth channel, The rotation phase in the phase rotation information of the GI in the mth data block in the single carrier data of the Nth channel.
可选的,数据块还包括:保护间隔GI,Optionally, the data block further includes: a guard interval GI,
相位旋转模块301,还用于选择使得的取值最小时对应的η1,m,η2,m,…,ηi,m分别为所述DATA的相位旋转信息中的旋转相位之后,还包括:选择使得的取值最小时对应的分别为所述信道组中所述每个信道中第1个数据块中GI的相位旋转信息中的旋转相位;其中,为F个相位的集合,F为大于1的正整数;i为大于1的正整数,N=1、2、…、i;yN,1(t)为第N个信道的单载波数据中第1个数据块中的GI;为第N个信道的单载波数据中第1个数据块中的GI的相位旋转信息;为第N个信道的单载波数据中第1个数据块中的GI的相位旋转信息中的旋转相位;The
根据确定信道组中每个信道中第n个数据块中的GI的相位旋转信息;according to Determining phase rotation information of a GI in an nth data block in each channel in the channel group;
其中,n为大于1的正整数,i=1、2、…、N;为第i个信道的单载波数据中第n个数据块中的GI的相位旋转信息;为第i个信道的单载波数据中第n-1个数据块中的GI的相位旋转信息;为第i个信道的单载波数据中第n-1个数据块中的DATA的相位旋转信息。Where n is a positive integer greater than 1, i=1, 2, ..., N; Phase rotation information of the GI in the nth data block in the single carrier data of the i-th channel; Phase rotation information of the GI in the n-1th data block in the single carrier data of the i-th channel; The phase rotation information of DATA in the n-1th data block in the single carrier data of the i-th channel.
可选的,如图14所示的发射机,还包括:保存模块303,用于相位旋转模块301将每个信道的原始信号和每个信道的原始信号的相位旋转信息相乘,获得每个信道的调制信号之前,保存每个信道的原始信号中的STF序列的相位旋转信息和每个信道的原始信号中的CE序列的相位旋转信息。Optionally, the transmitter shown in FIG. 14 further includes: a saving
本实施例的发射机,可以用于执行实施例一至实施例四所示方法实施例的技术方案,其实现原理和技术效果类似,此处不再赘述。The transmitter of this embodiment may be used to perform the technical solutions of the method embodiments shown in the first embodiment to the fourth embodiment. The implementation principle and the technical effects are similar, and details are not described herein again.
实施例七Example 7
图15为本发明实施例一提供的接收机的结构示意图,该接收机应用于NG60无线通信系统,对信道组中的每个信道中的信号进行处理,如图15所示,该接收机包括:FIG. 15 is a schematic structural diagram of a receiver according to
接收模块401,用于接收发射机发送的合并信号;合并信号为发射机对每个信道的调制信号合并后得到的信号,每个信道的调制信号为发射机将每个信道的原始信号和每个信道的原始信号的相位旋转信息相乘后得到的信号;The receiving
信道估计模块402,用于根据每个信道的调制信号中的信道估计CE序列和每个信道的原始信号中的CE序列的相位旋转信息对每个信道进行信道估计,得到每个信道的第一信道信息;The
信道均衡模块403,用于根据每个信道的第一信道信息和每个信道的调制信号中的单载波数据进行信道均衡。The
可选的,信道估计模块402具体用于:Optionally, the
根据每个信道的调制信号中的CE序列对每个信道进行信道估计,得到每个信道的第二信道信息;Channel estimation is performed on each channel according to a CE sequence in a modulated signal of each channel, to obtain second channel information of each channel;
根据每个信道的第二信道信息和每个信道的原始信号中的CE序列中的相位旋转信息确定每个信道的第一信道信息。The first channel information for each channel is determined based on the second channel information of each channel and the phase rotation information in the CE sequence in the original signal of each channel.
可选的,每个信道的调制信号的单载波数据包括多个数据块,每个数据块还包括:保护间隔GI和传输数据DATA,信道均衡模块403具体用于:Optionally, the single carrier data of the modulated signal of each channel includes multiple data blocks, and each dataThe block further includes: a guard interval GI and a transmission data DATA, and the
根据每个信道的第N个数据块中的GI和每个信道的第N+1个数据块中的GI确定每个信道的第N个数据块中的DATA的相位旋转信息;N为大于等于1的正整数;Determining phase rotation information of DATA in the Nth data block of each channel according to GI in the Nth data block of each channel and GI in the N+1th data block of each channel; N is greater than or equal to a positive integer of 1;
根据每个信道的第N个数据块中的DATA的相位旋转信息和每个信道的第N个数据块中的DATA,得到发射机发送的与每个信道的第N个数据块中的DATA对应的原始DATA。Obtaining, according to the phase rotation information of the DATA in the Nth data block of each channel and the DATA in the Nth data block of each channel, corresponding to the DATA in the Nth data block of each channel transmitted by the transmitter The original DATA.
可选的,信道均衡模块403,还用于:Optionally, the
根据每个信道的第N个数据块中的GI和每个信道的第一信道信息进行信道均衡,得到每个信道的第一信号,N≥0且N为整数;Performing channel equalization according to the GI in the Nth data block of each channel and the first channel information of each channel, to obtain a first signal of each channel, N≥0 and N is an integer;
根据每个信道的第N+1个数据块中的GI和每个信道的第一信道信息进行信道均衡,得到每个信道的第二信号,N≥0且N为整数;Performing channel equalization according to the GI in the N+1th data block of each channel and the first channel information of each channel, to obtain a second signal of each channel, N≥0 and N is an integer;
接收机根据每个信道的第一信号和每个信道的第二信号确定每个信道的第N个数据块中的DATA的相位旋转信息。The receiver determines phase rotation information of DATA in the Nth data block of each channel according to the first signal of each channel and the second signal of each channel.
可选的,信道均衡模块403,还用于:Optionally, the
根据每个信道的第N个数据块中的DATA和每个信道的第一信道信息进行信道均衡,得到每个信道的第三信号,N≥0且N为整数;Performing channel equalization according to DATA in the Nth data block of each channel and first channel information of each channel, to obtain a third signal of each channel, N≥0 and N is an integer;
根据每个信道的第N个数据块中的DATA的相位旋转信息和每个信道的第三信号,得到发射机发送的与每个信道的第N个数据块中的DATA对应的原始DATA。The original DATA corresponding to the DATA in the Nth data block of each channel is obtained by the transmitter according to the phase rotation information of the DATA in the Nth data block of each channel and the third signal of each channel.
进一步的,如图15所示,该接收机还包括:保存模块404,用于在信道估计模块402根据每个信道的调制信号中的CE序列和每个信道的原始信号中的CE序列的相位旋转信息对每个信道进行信道估计之前,保存每个信道的原始信号中的CE序列的相位旋转信息。Further, as shown in FIG. 15, the receiver further includes: a saving
本实施例的发射机,可以用于执行实施例五所示方法实施例的技术方案,其实现原理和技术效果类似,此处不再赘述。The transmitter of this embodiment may be used to implement the technical solution of the method embodiment shown in the fifth embodiment, and the implementation principle and technical effects are similar, and details are not described herein again.
实施例八Example eight
图16所示为本发明实施例二提供的发射机的结构示意图,应用于NG60无线通信系统,且对信道组的每个信道中的信号进行处理,如图16所示,发射机包括:存储器501、处理器502和发射器503,存储器501用于存储一组代码,该代码用于处理器502将每个信道的原始信号和每个信道的原始信号的相位旋转信息相乘,获得每个信道的调制信号,并将每个信道的调制信号合并;16 is a schematic structural diagram of a transmitter according to
所述发射器503用于将合并后的信号发送给接收机。The
可选的,每个信道的原始信号包括:短训练STF序列、信道估计CE序列和正交频分复用OFDM数据,处理器502,还用于:Optionally, the original signal of each channel includes: a short training STF sequence, a channel estimation CE sequence, and orthogonal frequency division multiplexing OFDM data, and the
选择使得的取值最小时对应的θ1,θ2,…,θi分别为所述每个信道的STF序列的相位旋转信息中的旋转相位;其中,θ1,θ2,…,θi∈Θ,Θ为F个相位的集合,F为大于1的正整数;i为信道组中的信道数,i为大于1的正整数;sN(t)为第N个信道的STF序列,N=1,2,…,i;为第N个信道的STF序列的相位旋转信息,θN为第N个信道的STF序列的相位旋转信息中的旋转相位;Choice makes Corresponding θ1 , θ2 , ..., θi are the rotational phases in the phase rotation information of the STF sequence of each channel respectively; wherein θ1 , θ2 , ..., θi ∈Θ , Θ is a set of F phases, F is a positive integer greater than 1; i is the number of channels in the channel group, i is a positive integer greater than 1; sN (t) is the STF sequence of the Nth channel, N= 1,2,...,i; The phase rotation information of the STF sequence of the Nth channel, where θN is the rotation phase in the phase rotation information of the STF sequence of the Nth channel;
选择使得的取值最小时对应的θ1′,θ′2,…,θi′分别为所述每个信道的CE序列的相位旋转信息中的旋转相位;其中,θ1′,θ′2,…,θi′∈Θ′,Θ′为F个相位的集合,F为大于1的正整数;i为信道组中的信道数,i为大于1的正整数;s′N(t)为第N个信道的CE序列,N=1,2,…,i;为第N个信道的CE序列的相位旋转信息,θ′N为第N个信道的CE序列的相位旋转信息中的旋转相位;Choice makes When the value is the smallest, the corresponding θ1 ', θ'2 , ..., θi ' are the rotational phases in the phase rotation information of the CE sequence of each channel; wherein θ1 ', θ'2 ,... , θi ′′′, Θ′ is a set of F phases, F is a positive integer greater than 1; i is the number of channels in the channel group, i is a positive integer greater than 1; s′N (t) is the first CE sequence of N channels, N=1, 2,..., i; a phase rotation information of a CE sequence of the Nth channel, where θ'N is a rotation phase in phase rotation information of the CE sequence of the Nth channel;
选择使得的取值最小时对应的θ1″,θ2″,…,θi″分别为所述每个信道的OFDM数据的相位旋转信息中的旋转相位;其中,θ1″,θ2″,…,θi″∈Θ″,Θ″为F个相位的集合,F为大于1的正整数;i为信道组中的信道数,i为大于1的正整数;s″N(t)为第N个信道的OFDM数据,N=1,2,…,i;为第N个信道的OFDM数据的相位旋转信息,θ″N为第N个信道的OFDM数据的相位旋转信息中的旋转相位。Choice makes When the value is the smallest, the corresponding θ1 ′′, θ2 ′′, . . . , θi ′′ is the rotation phase in the phase rotation information of the OFDM data of each channel; wherein θ1 ′′, θ2 ′′,... , θi ′′′′′, Θ” is a set of F phases, F is a positive integer greater than 1; i is the number of channels in the channel group, i is a positive integer greater than 1; s′′N (t) is the first OFDM data for N channels, N = 1, 2, ..., i; The phase rotation information of the OFDM data of the Nth channel, θ"N is the rotation phase in the phase rotation information of the OFDM data of the Nth channel.
可选的,每个信道的原始信号包括:短训练STF序列、信道估计CE序列和单载波数据,其中,单载波数据包括至少一个数据块,数据块包括:传输数据DATA;Optionally, the original signal of each channel includes: a short training STF sequence, a channel estimation CE sequence, and single carrier data, where the single carrier data includes at least one data block, and the data block includes: transmission data DATA;
处理器502,还用于:The
选择使得的取值最小时对应的θ1,θ2,…,θi分别为所述每个信道的STF序列的相位旋转信息中的旋转相位;其中,θ1,θ2,…,θi∈Θ,Θ为F个相位的集合,F为大于1的正整数;i为信道组中的信道数,i为大于1的正整数;sN(t)为第N个信道的STF序列,N=1,2,…,i;为第N个信道的STF序列的相位旋转信息,θN为第N个信道的STF序列的相位旋转信息中的旋转相位;Choice makes Corresponding θ1 , θ2 , ..., θi are the rotational phases in the phase rotation information of the STF sequence of each channel respectively; wherein θ1 , θ2 , ..., θi ∈Θ , Θ is a set of F phases, F is a positive integer greater than 1; i is the number of channels in the channel group, i is a positive integer greater than 1; sN (t) is the STF sequence of the Nth channel, N= 1,2,...,i; The phase rotation information of the STF sequence of the Nth channel, where θN is the rotation phase in the phase rotation information of the STF sequence of the Nth channel;
选择使得的取值最小时对应的θ1′,θ′2,…,θi′分别为所述每个信道的CE序列的相位旋转信息中的旋转相位;其中,θ1′,θ′2,…,θi′∈Θ′,Θ′为F个相位的集合,F为大于1的正整数;i为信道组的信道数,i为大于1的正整数;s′N(t)为第N个信道的CE序列,N=1,2,…,i;为第N个信道的CE序列的相位旋转信息,θ′N为第N个信道的CE序列的相位旋转信息中的旋转相位;Choice makes When the value is the smallest, the corresponding θ1 ', θ'2 , ..., θi ' are the rotational phases in the phase rotation information of the CE sequence of each channel; wherein θ1 ', θ'2 ,... , θi ′′′, Θ′ is a set of F phases, F is a positive integer greater than 1; i is the number of channels of the channel group, i is a positive integer greater than 1; s′N (t) is the Nth CE sequence of channels, N=1, 2,...,i; a phase rotation information of a CE sequence of the Nth channel, where θ'N is a rotation phase in phase rotation information of the CE sequence of the Nth channel;
选择使得的取值最小时对应的η1,m,η2,m,…,ηi,m分别为所述DATA的相位旋转信息中的旋转相位;其中,η1,m,η2,m,…,ηi,m∈Θ″′,Θ″′为F个相位的集合,F为大于1的正整数;i为大于1的正整数,m为大于等于1的正整数,N=1,2,…,i;ZN,m(t)为第N个信道的单载波数据中第m个数据块中的DATA,为第N个信道的单载波数据中第m个数据块中的DATA的相位旋转信息,ηN,m为第N个信道的单载波数据中第m个数据块中的DATA应的相位旋转信息中的旋转相位。Choice makes When the value is the smallest, the corresponding η1,m , η2,m ,...,ηi,m are the rotational phases in the phase rotation information of the DATA; wherein η1,m ,η2,m ,... , ηi,m ∈Θ′′′, Θ′′′ is a set of F phases, F is a positive integer greater than 1; i is a positive integer greater than 1, m is a positive integer greater than or equal to 1, N=1, 2 , ..., i; ZN, m (t) is the DATA in the mth data block in the single carrier data of the Nth channel, The phase rotation information of DATA in the mth data block in the single carrier data of the Nth channel, ηN,m is the phase rotation information of the DATA in the mth data block of the single carrier data of the Nth channel The phase of rotation in .
可选的,数据块还包括:保护间隔GI,Optionally, the data block further includes: a guard interval GI,
处理器502,还用于:The
选择使得的取值最小时对应的分别为所述GI的相位旋转信息中的旋转相位;其中,Choice makes Corresponding when the value is the smallest a rotation phase in the phase rotation information of the GI; wherein
其中,为F个相位的集合,F为大于1的正整数;i为大于1的正整数,m为大于等于1的整数,N=1,2,…,i;yN,m(t)为第N个信道的单载波数据中第m个数据块中的GI;为第N个信道的单载波数据中第m个数据块中的GI的相位旋转信息,为第N个信道的单载波数据中第m个数据块中的GI的相位旋转信息中的旋转相位。among them, For a set of F phases, F is a positive integer greater than 1; i is a positive integer greater than 1, m is an integer greater than or equal to 1, N = 1, 2, ..., i; yN, m (t) is GI in the mth data block among the single carrier data of N channels; The phase rotation information of the GI in the mth data block in the single carrier data of the Nth channel, The rotation phase in the phase rotation information of the GI in the mth data block in the single carrier data of the Nth channel.
可选的,数据块还包括:保护间隔GI,Optionally, the data block further includes: a guard interval GI,
处理器502还用于,选择使得的取值最小时对应的η1,m,η2,m,…,ηi,m分别为所述DATA的相位旋转信息中的旋转相位之后,还包括:The
选择使得的取值最小时对应的分别为所述信道组中所述每个信道中第1个数据块中GI的相位旋转信息中的旋转相位;其中,所述为F个相位的集合,F为大于1的正整数;i为大于1的正整数,N=1、2、…、i;yN,1(t)为第N个信道的单载波数据中第1个数据块中的GI;为第N个信道的单载波数据中第1个数据块中的GI的相位旋转信息;为第N个信道的单载波数据中第1个数据块中的GI的相位旋转信息中的旋转相位;Choice makes Corresponding when the value is the smallest a rotation phase in the phase rotation information of the GI in the first data block in each of the channels in the channel group; wherein Said For a set of F phases, F is a positive integer greater than 1; i is a positive integer greater than 1, N = 1, 2, ..., i; yN, 1 (t) is the single carrier data of the Nth channel GI in the first data block; Phase rotation information of the GI in the first data block in the single carrier data of the Nth channel; a rotation phase in the phase rotation information of the GI in the first data block in the single carrier data of the Nth channel;
根据确定信道组中每个信道中第n个数据块中的GI的相位旋转信息;according to Determining phase rotation information of the GI in the nth data block in each channel in the channel group;
其中,n为大于1的正整数,i=1、2、…、N;为第i个信道的单载波数据中第n个数据块中的GI的相位旋转信息;为第i个信道的单载波数据中第n-1个数据块中的GI的相位旋转信息;为第i个信道的单载波数据中第n-1个数据块中的DATA的相位旋转信息。Where n is a positive integer greater than 1, i=1, 2, ..., N; Phase rotation information of the GI in the nth data block in the single carrier data of the i-th channel; Phase rotation information of the GI in the n-1th data block in the single carrier data of the i-th channel; The phase rotation information of DATA in the n-1th data block in the single carrier data of the i-th channel.
可选的,存储器501还用于在处理器502将每个信道的原始信号和每个信道的原始信号的相位旋转信息相乘,获得每个信道的调制信号之前,保存每个信道的原始信号中的STF序列的相位旋转信息和每个信道的原始信号中的CE序列的相位旋转信息。Optionally, the
本实施例的发射机,可以用于执行实施例一至实施例四所示方法实施例的技术方案,其实现原理和技术效果类似,此处不再赘述。The transmitter of this embodiment may be used to perform the technical solutions of the method embodiments shown in the first embodiment to the fourth embodiment. The implementation principle and the technical effects are similar, and details are not described herein again.
实施例九Example nine
图17为本发明实施例二提供的接收机的结构示意图,接收机应用于NG60无线通信系统且对信道组中的每个信道中的信号进行处理,如图17所示,接收机包括:处理器601、接收器602和存储器603,其中,存储器603用于存储一组代码,该代码用于处理器601和接收器602执行以下动作:FIG. 17 is a schematic structural diagram of a receiver according to
接收器602,用于接收发射机发送的合并信号;合并信号为发射机对每个信道的调制信号合并后得到的信号,每个信道的调制信号为发射机将每个信道的原始信号和每个信道的原始信号的相位旋转信息相乘后得到的信号;The
处理器601,用于根据每个信道的调制信号中的信道估计CE序列和每个信道的原始信号中的CE序列的相位旋转信息对每个信道进行信道估计,得到每个信道的第一信道信息;The
处理器601,还用于根据每个信道的第一信道信息和每个信道的调制信号中的单载波数据进行信道均衡。The
可选的,处理器601,具体用于:Optionally, the
根据每个信道的调制信号中的CE序列对每个信道进行信道估计,得到每个信道的第二信道信息;Channel estimation is performed on each channel according to a CE sequence in a modulated signal of each channel, to obtain second channel information of each channel;
根据每个信道的第二信道信息和每个信道的原始信号中的CE序列中的相位旋转信息确定每个信道的第一信道信息。According to the second channel information of each channel and the CE sequence in the original signal of each channelThe phase rotation information determines the first channel information for each channel.
可选的,每个信道的调制信号的单载波数据包括多个数据块,每个数据块还包括:保护间隔GI和传输数据DATA,处理器601,具体用于Optionally, the single carrier data of the modulated signal of each channel includes multiple data blocks, and each data block further includes: a guard interval GI and a transmission data DATA, and the
根据每个信道的第N个数据块中的GI和每个信道的第N+1个数据块中的GI确定每个信道的第N个数据块中的DATA的相位旋转信息;N为大于等于1的正整数;Determining phase rotation information of DATA in the Nth data block of each channel according to GI in the Nth data block of each channel and GI in the N+1th data block of each channel; N is greater than or equal to a positive integer of 1;
根据每个信道的第N个数据块中的DATA的相位旋转信息和每个信道的第N个数据块中的DATA,得到发射机发送的与每个信道的第N个数据块中的DATA对应的原始DATA。Obtaining, according to the phase rotation information of the DATA in the Nth data block of each channel and the DATA in the Nth data block of each channel, corresponding to the DATA in the Nth data block of each channel transmitted by the transmitter The original DATA.
可选的,处理器601,具体用于:Optionally, the
根据每个信道的第N个数据块中的GI和每个信道的第一信道信息进行信道均衡,得到每个信道的第一信号,N≥0且N为整数;Performing channel equalization according to the GI in the Nth data block of each channel and the first channel information of each channel, to obtain a first signal of each channel, N≥0 and N is an integer;
根据每个信道的第N+1个数据块中的GI和每个信道的第一信道信息进行信道均衡,得到每个信道的第二信号,N≥0且N为整数;Performing channel equalization according to the GI in the N+1th data block of each channel and the first channel information of each channel, to obtain a second signal of each channel, N≥0 and N is an integer;
根据每个信道的第一信号和每个信道的第二信号确定每个信道的第N个数据块中的DATA的相位旋转信息。The phase rotation information of DATA in the Nth data block of each channel is determined according to the first signal of each channel and the second signal of each channel.
可选的,处理器601,具体用于:Optionally, the
根据每个信道的第N个数据块中的DATA和每个信道的第一信道信息进行信道均衡,得到每个信道的第三信号,N≥0且N为整数;Performing channel equalization according to DATA in the Nth data block of each channel and first channel information of each channel, to obtain a third signal of each channel, N≥0 and N is an integer;
根据每个信道的第N个数据块中的DATA的相位旋转信息和每个信道的第三信号,得到发射机发送的与每个信道的第N个数据块中的DATA对应的原始DATA。The original DATA corresponding to the DATA in the Nth data block of each channel is obtained by the transmitter according to the phase rotation information of the DATA in the Nth data block of each channel and the third signal of each channel.
可选的,存储器603还用于:在处理器601根据每个信道的调制信号中的CE序列和每个信道的原始信号中的CE序列的相位旋转信息对每个信道进行信道估计之前,保存每个信道的原始信号中的CE序列的相位旋转信息。Optionally, the
本实施例的发射机,可以用于执行实施例五所示方法实施例的技术方案,其实现原理和技术效果类似,此处不再赘述。The transmitter of this embodiment may be used to implement the technical solution of the method embodiment shown in the fifth embodiment, and the implementation principle and technical effects are similar, and details are not described herein again.
本领域普通技术人员可以理解:实现上述方法实施例的全部或部分步骤可以通过程序指令相关的硬件来完成,前述的程序可以存储于一计算机可读取存储介质中,该程序在执行时,执行包括上述方法实施例的步骤;而前述的存储介质包括:只读存储记忆体(Read-Only Memory,ROM)、随机存储记忆体(Random Access Memory,RAM)、磁碟或者光盘等各种可以存储程序代码的介质。A person skilled in the art can understand that all or part of the steps of implementing the above method embodiments may be completed by using hardware related to the program instructions. The foregoing program may be stored in a computer readable storage medium, and the program is executed when executed. Including the steps of the above method embodiments;The storage medium includes: a read-only memory (ROM), a random access memory (RAM), a magnetic disk, or an optical disk, and the like, which can store program codes.
最后应说明的是:以上各实施例仅用以说明本发明的技术方案,而非对其限制;尽管参照前述各实施例对本发明进行了详细的说明,本领域的普通技术人员应当理解:其依然可以对前述各实施例所记载的技术方案进行修改,或者对其中部分或者全部技术特征进行等同替换;而这些修改或者替换,并不使相应技术方案的本质脱离本发明各实施例技术方案的范围。Finally, it should be noted that the above embodiments are merely illustrative of the technical solutions of the present invention, and are not intended to be limiting; although the present invention has been described in detail with reference to the foregoing embodiments, those skilled in the art will understand that The technical solutions described in the foregoing embodiments may be modified, or some or all of the technical features may be equivalently replaced; and the modifications or substitutions do not deviate from the technical solutions of the embodiments of the present invention. range.
| Application Number | Priority Date | Filing Date | Title |
|---|---|---|---|
| CN201580081464.2ACN107735942B (en) | 2015-07-29 | 2015-07-29 | Signal processing method, transmitter and receiver |
| PCT/CN2015/085381WO2017015884A1 (en) | 2015-07-29 | 2015-07-29 | Signal processing method, transmitter, and receiver |
| Application Number | Priority Date | Filing Date | Title |
|---|---|---|---|
| PCT/CN2015/085381WO2017015884A1 (en) | 2015-07-29 | 2015-07-29 | Signal processing method, transmitter, and receiver |
| Publication Number | Publication Date |
|---|---|
| WO2017015884A1true WO2017015884A1 (en) | 2017-02-02 |
| Application Number | Title | Priority Date | Filing Date |
|---|---|---|---|
| PCT/CN2015/085381CeasedWO2017015884A1 (en) | 2015-07-29 | 2015-07-29 | Signal processing method, transmitter, and receiver |
| Country | Link |
|---|---|
| CN (1) | CN107735942B (en) |
| WO (1) | WO2017015884A1 (en) |
| Publication number | Priority date | Publication date | Assignee | Title |
|---|---|---|---|---|
| US20230039446A1 (en)* | 2019-12-30 | 2023-02-09 | Istanbul Medipol Universitesi | Secure communication method |
| Publication number | Priority date | Publication date | Assignee | Title |
|---|---|---|---|---|
| CN111294307A (en) | 2019-07-15 | 2020-06-16 | 锐迪科创微电子(北京)有限公司 | Signal transmission method and device, storage medium and user terminal |
| Publication number | Priority date | Publication date | Assignee | Title |
|---|---|---|---|---|
| WO2009060324A1 (en)* | 2007-11-07 | 2009-05-14 | Koninklijke Philips Electronics, N.V. | System and method of selectively communicating using ofdm transmissions and single-carrier block transmissions |
| US20090154625A1 (en)* | 2007-12-18 | 2009-06-18 | Inha-Industry Partnership Institute | Joint estimation apparatus of channel and frequency offset based on multiband-orthogonal frequency division multiplexing and thereof |
| CN104221281A (en)* | 2012-04-18 | 2014-12-17 | 高通股份有限公司 | Integrated circuit for mixing millimeter-wavelength signals |
| CN104320222A (en)* | 2014-11-04 | 2015-01-28 | 北京邮电大学 | Millimeter wave spatial modulation method and joint encoding device |
| CN104380678A (en)* | 2012-06-19 | 2015-02-25 | 韩国电子通信研究院 | Orthogonal frequency division multiplexing transmission method and device for wireless local area network system |
| Publication number | Priority date | Publication date | Assignee | Title |
|---|---|---|---|---|
| JP3311951B2 (en)* | 1996-12-20 | 2002-08-05 | 富士通株式会社 | Code multiplex transmitter |
| Publication number | Priority date | Publication date | Assignee | Title |
|---|---|---|---|---|
| WO2009060324A1 (en)* | 2007-11-07 | 2009-05-14 | Koninklijke Philips Electronics, N.V. | System and method of selectively communicating using ofdm transmissions and single-carrier block transmissions |
| US20090154625A1 (en)* | 2007-12-18 | 2009-06-18 | Inha-Industry Partnership Institute | Joint estimation apparatus of channel and frequency offset based on multiband-orthogonal frequency division multiplexing and thereof |
| CN104221281A (en)* | 2012-04-18 | 2014-12-17 | 高通股份有限公司 | Integrated circuit for mixing millimeter-wavelength signals |
| CN104380678A (en)* | 2012-06-19 | 2015-02-25 | 韩国电子通信研究院 | Orthogonal frequency division multiplexing transmission method and device for wireless local area network system |
| CN104320222A (en)* | 2014-11-04 | 2015-01-28 | 北京邮电大学 | Millimeter wave spatial modulation method and joint encoding device |
| Publication number | Priority date | Publication date | Assignee | Title |
|---|---|---|---|---|
| US20230039446A1 (en)* | 2019-12-30 | 2023-02-09 | Istanbul Medipol Universitesi | Secure communication method |
| Publication number | Publication date |
|---|---|
| CN107735942A (en) | 2018-02-23 |
| CN107735942B (en) | 2020-04-21 |
| Publication | Publication Date | Title |
|---|---|---|
| US10244531B2 (en) | Re-channelization of sub-carriers | |
| CN111865861B (en) | System and method for transmitting data payload in WB SC, aggregate SC, repeat SC, OFDM transmission frames | |
| EP3140967B1 (en) | Systems and methods for improvements to training field design for increased symbol durations | |
| KR102417324B1 (en) | A Simplified Detection Scheme for Spatial Modulation and Space-Time Block Coding with Antenna Selection | |
| CN102812763B (en) | Signaling and channel estimation for uplink transmit diversity | |
| US11172538B2 (en) | Reception apparatus and reception method | |
| CN104335542B (en) | Method and apparatus for selective channel update in wireless network | |
| CN108141321B (en) | Apparatus for wireless communication using carrier aggregation | |
| WO2016127324A1 (en) | Peak-to-average power ratio reducing method, apparatus, device and system | |
| EP3424192A2 (en) | Apparatus and method for transmitting single channel, bonded channel, and mimo ofdm frames with fields to facilitate agc, timing, and channel estimation | |
| CN107852394A (en) | Frame format for facilitating channel estimation of signals transmitted via bonded channels | |
| JP2015122757A (en) | Training signal transmission method and apparatus in wireless LAN system | |
| TW202315374A (en) | Data transmission method and communication apparatus | |
| CN107623565A (en) | Method and device for transmitting signals based on multi-channel | |
| CN107786483B (en) | Data signal processing method and related equipment | |
| CN116980996A (en) | Method and apparatus for configuring physical signals and physical channels in a wireless network | |
| US10212019B1 (en) | Sub-carrier adaptation in multi-carrier communication systems | |
| WO2007142233A1 (en) | Radio communication device and radio communication method in multi-carrier communication | |
| CN107735942B (en) | Signal processing method, transmitter and receiver | |
| EP3008850A1 (en) | Channel sounding and estimation strategies in mimo systems | |
| TWI411253B (en) | Radio apparatus | |
| CN117063449A (en) | Signal transmission method and device | |
| WO2008134928A1 (en) | Mobile terminal and method for transmitting frames | |
| US8094735B2 (en) | Methods and apparatus for maximum ratio combining for duplicated signals in OFDMA systems | |
| WO2018084963A1 (en) | Training unit generation for single carrier physical layer |
| Date | Code | Title | Description |
|---|---|---|---|
| 121 | Ep: the epo has been informed by wipo that ep was designated in this application | Ref document number:15899236 Country of ref document:EP Kind code of ref document:A1 | |
| NENP | Non-entry into the national phase | Ref country code:DE | |
| 122 | Ep: pct application non-entry in european phase | Ref document number:15899236 Country of ref document:EP Kind code of ref document:A1 |