

















本発明は、脂質膜含有物を固定化するための化合物、当該化合物で修飾された基材、当該基材上に脂質膜含有物をパターニングする方法及び当該基材上で脂質膜含有物を単離する方法に関する。The present invention relates to a compound for immobilizing a lipid membrane-containing material, a substrate modified with the compound, a method for patterning a lipid membrane-containing material on the substrate, and a lipid membrane-containing material on the substrate. Relates to the method of releasing.
生体内の組織では、複数種類の細胞が特定の位置に配置され、組織化することにより、正常な機能を発現している。このような生体内の組織に近い機能を発現する移植用組織や組織モデルの構築を可能とする、複数種類の細胞をそれぞれ任意の位置に配置する技術の開発が求められている。In a tissue in a living body, a plurality of types of cells are arranged at specific positions and organized to express normal functions. Development of a technique for arranging a plurality of types of cells at arbitrary positions that enables the construction of a tissue for transplantation or a tissue model that expresses a function similar to that of a tissue in a living body is required.
また、多種類の細胞を配置した基材を用いることで、多種類の細胞サンプルに対する薬剤スクリーニングが一度に可能となる。したがって、複数種類の細胞をそれぞれ任意の位置に配置する技術により、アッセイのハイスループット化や試薬の節約が可能となる。Also, by using a base material on which many types of cells are arranged, drug screening for many types of cell samples becomes possible at one time. Therefore, it is possible to increase the throughput of the assay and save the reagent by the technique of arranging a plurality of types of cells at arbitrary positions.
複数種類の細胞からなるパターンを作製可能とする技術として、複数種類の細胞特異性の高い抗体を用いる方法が知られている(非特許文献1)。As a technique that makes it possible to produce a pattern composed of a plurality of types of cells, a method using a plurality of types of cells with high cell specificity is known (Non-patent Document 1).
 また、光照射によって細胞を自発的に接着可能とする機能性ポリマーを用いる方法が知られている(非特許文献2及び3)。Also, a method using a functional polymer that allows cells to adhere spontaneously by light irradiation is known (Non-patent
さらに、相補的なDNAを細胞及び基材上に修飾し、それらの相補性を利用して複数種類の細胞からなるパターンを作製する技術が知られている(非特許文献4)。Furthermore, a technique is known in which complementary DNA is modified on a cell and a base material, and a pattern composed of a plurality of types of cells is produced using their complementarity (Non-patent Document 4).
また、細胞に障害を与えることなく、当該細胞表面を修飾することができる生体適合性アンカーとして、BAM(Biocompatible Anchor for cell Membrane)が知られている(非特許文献5)。BAMは疎水性の脂肪族炭化水素基であるオレイル基と親水性基であるPEG基を有する両親媒性化合物である。BAMの疎水性部位が、脂質膜である細胞膜と非共有結合することで、当該細胞膜を修飾することが可能である。また、疎水性鎖と親水性鎖を持つ担体(BAMを含む)を基材に結合させて、細胞やリポソームを固定化できることが報告されている(特許文献1)。In addition, BAM (Biocompatible Anchor for cell Membrane) is known as a biocompatible anchor that can modify the cell surface without causing damage to the cells (Non-patent Document 5). BAM is an amphiphilic compound having an oleyl group which is a hydrophobic aliphatic hydrocarbon group and a PEG group which is a hydrophilic group. It is possible to modify the cell membrane by the non-covalent bond between the hydrophobic site of BAM and the cell membrane which is a lipid membrane. It has also been reported that cells and liposomes can be immobilized by binding a carrier (including BAM) having a hydrophobic chain and a hydrophilic chain to a substrate (Patent Document 1).
また、癌は遠隔転移を起こすことが知られている。原発巣の一部の癌細胞が血管内に侵入し、血中循環癌細胞(CTC)として血液内を循環し、原発癌から離れた部位に転移巣を形成する。癌患者の死亡する原因の多くは遠隔転移である。したがって、癌患者の血液検体からCTCを早期に検出することによって、遠隔転移の有無や、原発癌に対する外科手術、放射線治療、分子標的薬剤療法、または化学療法の効果を判断することができ、ひいては癌患者の生存率の向上の延長に寄与することが可能となる。さらに、CTCを生きたまま単離し、培養を行うことで、CTCの解析が可能になると期待されている。Also, cancer is known to cause distant metastasis. Some cancer cells in the primary lesion enter the blood vessel, circulate in the blood as circulating cancer cells (CTC) in the blood, and form a metastatic lesion at a site away from the primary cancer. Many causes of cancer patient death are distant metastases. Therefore, early detection of CTCs from blood samples of cancer patients can determine the presence of distant metastases and the effects of surgery, radiation therapy, molecular targeted drug therapy, or chemotherapy on the primary cancer, It becomes possible to contribute to prolonging the improvement of the survival rate of cancer patients. Furthermore, it is expected that CTC can be analyzed by isolating and culturing CTC while alive.
CTCの数は、血液に含まれる白血球細胞数と比較して非常に少なく、血液1mLあたり赤血球細胞50億個、白血球細胞300万~1000万個に対し、CTCの数は10個程度である。そのため、CTCを検出するためには、大量の血球細胞と少数の癌細胞とが混合された状態の細胞群の中から、少数の癌細胞のみを何らかの方法を利用して濃縮し、さらに血球細胞と癌細胞とを何らかの方法を利用して識別しなければならない。The number of CTCs is very small compared to the number of white blood cells contained in blood, and the number of CTCs is about 10 for 5 billion red blood cells and 3 million to 10 million white blood cells per mL of blood. Therefore, in order to detect CTC, only a small number of cancer cells are concentrated using some method from a group of cells in which a large number of blood cells and a small number of cancer cells are mixed, and further, blood cells And cancer cells must be identified using some method.
非特許文献1のように複数種類の細胞特異性の高い抗体を用いる方法は、高価な抗体を用いなければならない。また、抗体により特定の細胞のみを結合させるため、抗体と細胞の組み合わせを考慮する必要があり、煩雑な組み合わせの探索が必要となる。また、特異的な抗体が得られていない細胞もあるため、汎用性に欠ける。さらに、プロテアーゼ等の酵素や変性剤の混入等で容易に分解・変性するため、厳重な品質管理が必要となるなどの問題点がある。As in Non-Patent Document 1, a method using a plurality of types of antibodies having high cell specificity must use expensive antibodies. In addition, since only specific cells are bound by the antibody, it is necessary to consider the combination of the antibody and the cell, and it is necessary to search for a complicated combination. In addition, since some cells have not obtained specific antibodies, they lack general versatility. Furthermore, since it is easily decomposed and denatured by mixing enzymes such as protease and denaturing agents, there is a problem that strict quality control is required.
 また、非特許文献2及び3のように光照射によって細胞を自発的に接着可能とする機能性ポリマーを用いる方法では、細胞の接着性を利用するため、非接着性細胞や弱接着性細胞に適用することができない。また、一種類の細胞をパターン化するために数時間から一日以上必要であり、スループット性が低いという問題点がある。In addition, in the method using a functional polymer that allows cells to adhere spontaneously by light irradiation as in
また、非特許文献4のようにDNAの相補性を利用する方法では、事前に細胞表面にDNAを修飾する必要があるために、作業が煩雑になる。また、DNAはmgスケール以上の大量合成が難しいため、産業化が困難である。さらに、DNase等の酵素の混入で容易に分解するため、厳重な品質管理が必要となるなどの問題点がある。Further, in the method using the complementarity of DNA as in Non-Patent Document 4, it is necessary to modify the DNA on the cell surface in advance, so that the work becomes complicated. In addition, DNA is difficult to synthesize because it is difficult to synthesize at a mass scale of mg or more. Furthermore, since it is easily decomposed by contamination with an enzyme such as DNase, there is a problem that strict quality control is required.
また、血中に極めて少量しか含まれていないCTCを特異的に単離できる技術が求められている。また、多数の夾雑物を含む混合物の中から特定の脂質膜含有物を単離し得る技術が求められている。There is also a need for a technique that can specifically isolate CTCs that are contained in blood in very small amounts. There is also a need for a technique that can isolate a specific lipid membrane-containing material from a mixture containing a large number of contaminants.
従って本発明は、複数種類の細胞を基材上に迅速かつ簡便にパターニングする方法の提供を課題とする。さらに本発明は、細胞のみならず、その他の脂質膜含有物(例えば細胞小器官、小胞、ウイルス、リポソーム、ミセル及び脂質で被覆された量子ドット)のパターニングにも適用可能である方法の提供を課題とする。また本発明は、特定の脂質膜含有物を単離する方法を提供することも課題とする。Therefore, an object of the present invention is to provide a method for quickly and easily patterning a plurality of types of cells on a substrate. Furthermore, the present invention provides a method that can be applied not only to patterning cells but also to other lipid membrane-containing materials (for example, organelles, vesicles, viruses, liposomes, micelles, and lipid-coated quantum dots). Is an issue. Another object of the present invention is to provide a method for isolating a specific lipid membrane-containing material.
本発明者らは上記課題に鑑み、鋭意検討した結果、光照射により、細胞をはじめとした脂質膜含有物を固定化する機能を有する新規化合物を開発した。当該化合物を表面に修飾した基材は、光照射を行うことにより、細胞の自発的な接着性を必要とせずに、任意の細胞を迅速に固定化できることが明らかとなった。一方、光照射を行っていない基材表面には細胞が固定化されない。また本発明者らは、当該基材表面に光照射と細胞播種とを繰り返すことにより、複数種類の細胞を迅速かつ簡便にパターニングできることを見出した。さらに本発明者らは、当該基材を使用することで特定の脂質膜含有物を選択的に単離し得ることを見出した。本発明は上記知見に基づく。As a result of intensive studies in view of the above problems, the present inventors have developed a novel compound having a function of immobilizing lipid membrane-containing materials including cells by light irradiation. It was revealed that the base material modified with the compound on the surface can rapidly immobilize arbitrary cells without the need for spontaneous adhesion of cells by light irradiation. On the other hand, cells are not immobilized on the surface of the substrate that has not been irradiated with light. The present inventors have also found that a plurality of types of cells can be patterned quickly and easily by repeating light irradiation and cell seeding on the surface of the substrate. Furthermore, the present inventors have found that a specific lipid membrane-containing material can be selectively isolated by using the substrate. The present invention is based on the above findings.
 すなわち本発明は、以下の態様を有する。
[1]
 以下の式(I)
A1は、脂質膜含有物中の脂質膜と結合する脂質膜結合基であり、
A2は、前記脂質膜結合基の脂質膜への結合を阻害する脂質膜結合阻害基であり、
A3は、光反応基であり、
A4は、親水性基であり、
A5は、修飾対象基材への反応基であり、
A6は、少なくとも3本の結合手を有する足場部位であり、
L1及びL2は、リンカーであり、
k1及びk2は、それぞれ独立して0又は1である]
で表される化合物であって、光反応により、脂質膜結合阻害基による結合阻害が解消されて、前記脂質膜結合基が脂質膜に結合可能となる、前記化合物。
[2]
 前記脂質膜含有物が、細胞、細胞小器官、小胞、ウイルス、リポソーム、ミセル及び脂質で被覆された量子ドットからなる群から選択される、上記[1]に記載の化合物。
[3]
 前記修飾対象基材が、ウシ血清アルブミン(BSA)、3-アミノプロピルトリエトキシシラン(APTES)及びコラーゲンからなる群から選択される少なくとも1つで被覆された基材である、上記[1]又は[2]に記載の化合物。That is, this invention has the following aspects.
 [1]
 The following formula (I)
 A1 is a lipid membrane-binding group that binds to the lipid membrane in the lipid membrane-containing material,
 A2 is a lipid membrane binding inhibitor that inhibits the binding of the lipid membrane binding group to the lipid membrane;
 A3 is a photoreactive group,
 A4 is a hydrophilic group,
 A5 is a reactive group to the substrate to be modified,
 A6 is a scaffold site having at least three bonds,
 L1 and L2 are linkers;
 k1 and k2 are each independently 0 or 1]
 The compound represented by the above, wherein the inhibition of binding by the lipid membrane binding inhibitory group is eliminated by a photoreaction, and the lipid membrane binding group can bind to the lipid membrane.
 [2]
 The compound according to [1] above, wherein the lipid membrane-containing material is selected from the group consisting of cells, organelles, vesicles, viruses, liposomes, micelles, and quantum dots coated with lipids.
 [3]
 [1] or [1] above, wherein the substrate to be modified is a substrate coated with at least one selected from the group consisting of bovine serum albumin (BSA), 3-aminopropyltriethoxysilane (APTES) and collagen The compound according to [2].
[4]
 A1及びA2が、それぞれ独立してC7-22アルキル基、C6-14アリール基、C6-14アリールC7-22アルキル基及びC7-22アルキルC6-14アリール基からなる群から選択され、ここで前記C7-22アルキル基中の隣接する炭素原子は、1~3個の不飽和結合によって連結されていてもよい、上記[1]~[3]のいずれか1つに記載の化合物。
[5]
 A3が、2-ニトロベンジル骨格、クマリン-4-イルメチル骨格、フェニルカルボニルメチル骨格、7-ニトロインドリノカルボニル骨格、アゾベンゼン骨格、フルギド骨格、スピロピラン骨格、スピロオキサジン骨格及びジアリールエテン骨格からなる群から選択される骨格を有する二価の基である、上記[1]~[4]のいずれか1つに記載の化合物。
[6]
 A4が、以下:
Zは、炭素数2~4のオキシアルキレン基であり、nは炭素数2~4のオキシアルキレン基の平均付加モル数を示し、かつ2≦n≦500であり、
左側の矢印は、A6への連結を示し、右側の矢印は、k2が0の場合にはA5への連結を示し、k2が1の場合にはL2への連結を示す]
で表される、上記[1]~[5]のいずれか1つに記載の化合物。
[7]
 A5が、以下の置換基:
矢印は、k2が0の場合にはA4への連結を示し、k2が1の場合にはL2への連結を示し、
Xはハロゲンであり、R1、R2及びR3はそれぞれ独立して、C1-10アルキル基、ハロゲン、C1-10アルコキシ基からなる群から選択される]
からなる群から選択される、上記[1]~[6]のいずれか1つに記載の化合物。
[8]
 L1及びL2が、それぞれ独立して、C6-14アリーレン基又はC1-10アルキレン基であり、ここで前記アルキレン基中の炭素原子は1~5個のオキソ基で置換されていてもよく、隣接する炭素原子同士が1~5個の不飽和結合で結ばれていてもよく、そして前記アルキレン基中の炭素原子のうち、1~4個の炭素原子がNH、N(C1-10アルキル)、O又はSで置き換えられていてもよい、上記[1]~[7]のいずれか1つに記載の化合物。
[9]
 A6が、以下:
L3、L4及びL5は、それぞれ独立して、C6-14アリーレン基又はC1-10アルキレン基であり、ここで前記アルキレン基中の炭素原子は1~5個のオキソ基で置換されていてもよく、隣接する炭素原子同士が1~5個の不飽和結合で結ばれていてもよく、そして前記アルキレン基中の炭素原子のうち、1~4個の炭素原子がNH、N(C1-10アルキル)、O又はSで置き換えられていてもよく、
k3、k4及びk5は、それぞれ独立して0又は1であり、
(A1)、(A3)及び(A4)への矢印はそれぞれ、A1、A3及びA4への連結を示す]
で表される、上記[1]~[8]のいずれか1つに記載の化合物。
[10]
 以下の式(I-a):
A1及びA2が、それぞれ独立してC7-22アルキル基、C6-14アリール基、C6-14アリールC7-22アルキル基及びC7-22アルキルC6-14アリール基からなる群から選択され、ここで前記C7-22アルキル基中の隣接する炭素原子は、1~3個の不飽和結合によって連結されていてもよく、
L1~L5が、それぞれ独立して、C6-14アリーレン基又はC1-10アルキレン基であり、ここで前記アルキレン基中の炭素原子は1~5個のオキソ基で置換されていてもよく、隣接する炭素原子同士が1~5個の不飽和結合で結ばれていてもよく、そして前記アルキレン基中の炭素原子のうち、1~4個の炭素原子がNH、N(C1-10アルキル)、O又はSで置き換えられていてもよく、
A3が、ニトロベンゼン骨格、クマリン骨格、ヒドロキシフェナンシル骨格、ニトロインドリン骨格、アゾベンゼン骨格、フルギド骨格、スピロピラン骨格、スピロオキサジン骨格及びジアリールエテン骨格からなる群から選択される骨格を有する二価の基であり、
 A5が、以下の置換基:
矢印は、L2への連結を示し、
Xはハロゲンであり、R1、R2及びR3はそれぞれ独立して、C1-10アルキル基、ハロゲン、C1-10アルコキシ基からなる群から選択される)
からなる群から選択される]
で表される、上記[1]~[9]のいずれか1つに記載の化合物。
[11]
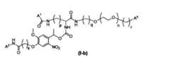
 以下の式(I-b):
A1及びA2が、それぞれ独立してC7-22アルキル基、C6-14アリール基、C6-14アリールC7-22アルキル基及びC7-22アルキルC6-14アリール基からなる群から選択され、ここで前記C7-22アルキル基中の隣接する炭素原子は、1~3個の不飽和結合によって連結されていてもよく、
nはオキシエチレン基の平均付加モル数を示し、かつ45≦n≦500であり、
pは0~8であり、
q及びsは、それぞれ独立して0~7であり、
rは0~10であり、
 A5が、以下の置換基:
矢印は、化合物の残りの部分への連結を示し、
Xはハロゲンであり、R1、R2及びR3はそれぞれ独立して、C1-10アルキル基、ハロゲン、C1-10アルコキシ基からなる群から選択される)
からなる群から選択される]
で表される、上記[1]~[10]のいずれか1つに記載の化合物。
[12]
 以下の式(I-c)
で表される、上記[1]~[11]のいずれか1つに記載の化合物。
[13]
 以下の式(II-a)
A1及びA2が、それぞれ独立してC7-22アルキル基、C6-14アリール基、C6-14アリールC7-22アルキル基及びC7-22アルキルC6-14アリール基からなる群からから選択され、ここで前記C7-22アルキル基中の隣接する炭素原子は、1~3個の不飽和結合によって連結されていてもよく、
nはオキシエチレン基の平均付加モル数を示し、かつ45≦n≦500であり、
pは0~8であり、
qは、それぞれ独立して0~7であり、
rは0~10であり、
 A5が、以下の置換基:
矢印は、化合物の残りの部分への連結を示し、
Xはハロゲンであり、R1、R2及びR3はそれぞれ独立して、C1-10アルキル基、ハロゲン、C1-10アルコキシ基からなる群から選択される)
からなる群から選択される]
で表される、[1]~[10]のいずれか1つに記載の化合物。
[14]
 以下の式(II-b)
で表される、[13]に記載の化合物。
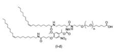
[15]
 以下の式(I-d)
または、以下の式(II-c)
で表される、[1]~[10]のいずれか1つに記載の化合物。
[16]
 上記[1]~[15]のいずれか1つに記載の化合物とその修飾対象基材とを反応させて得られた、脂質膜含有物を固定化するための基材。
[17]
 以下の式(III)の基:
A1~A4、A6、L1、L2、k1及びk2は、[1]~[15]のいずれか1項に定義された通りであり、
A7は、式(III)のその他の部分と修飾対象基材とを連結する二価の基であるか、又は基材と非共有結合で連結可能な反応基であり、
矢印は、基材への共有結合又は非共有結合による連結を示す]
を有する、脂質膜含有物を固定化するための基材。
[18]
 基材上に脂質膜含有物をパターニングする方法であって、以下のステップ:
(1)上記[16]又は[17]に記載の脂質膜含有物を固定化するための基材上において脂質膜含有物のパターンを形成する部分に光を照射して、当該部分の脂質膜結合基を脂質膜と結合可能な状態とし;
(2)前記脂質膜含有物を前記脂質膜結合基と反応させて前記脂質膜含有物のパターンを形成すること
を含む、前記方法。
[19]
 以下のステップ:
(3)ステップ(2)で得られた基材を洗浄して、未反応の脂質膜含有物を基材から除去し;
(4)以前のステップで使用した脂質膜含有物とは異なる脂質膜含有物を使用して、ステップ(1)~(3)を繰り返すことで、複数の異なる脂質膜含有物のパターンを形成すること
をさらに含む、[18]に記載の方法。
[20]
 脂質膜含有物を単離する方法であって、以下のステップ:
(1)上記[16]又は[17]に記載の脂質膜含有物を固定化するための基材上に、脂質膜含有物を含む試料を適用し;
(2)基材上の前記脂質膜含有物の位置を顕微鏡観察に基づいて検出し;
(3)前記位置に光を照射して、前記位置の脂質膜結合基を脂質膜と結合可能な状態とし、基材上に前記脂質膜含有物を固定化し;
(4)ステップ(3)で得られた基材を洗浄して、基材に固定化されていない物質を基材から除去すること
を含む、前記方法。[4]
 A1 and A2 each independently comprise a C7-22 alkyl group, a C6-14 aryl group, a C6-14 aryl C7-22 alkyl group and a C7-22 alkyl C6-14 aryl group. Any one of the above-mentioned [1] to [3], selected from the group, wherein adjacent carbon atoms in the C7-22 alkyl group may be linked by 1 to 3 unsaturated bonds; Compounds described in 1.
 [5]
 A3 is selected from the group consisting of 2-nitrobenzyl skeleton, coumarin-4-ylmethyl skeleton, phenylcarbonylmethyl skeleton, 7-nitroindolinocarbonyl skeleton, azobenzene skeleton, fulgide skeleton, spiropyran skeleton, spirooxazine skeleton and diarylethene skeleton The compound according to any one of the above [1] to [4], which is a divalent group having a skeleton.
 [6]
 A4 is selected from the group consisting of:
 Z is an oxyalkylene group having 2 to 4 carbon atoms, n is an average added mole number of the oxyalkylene group having 2 to 4 carbon atoms, and 2 ≦ n ≦ 500,
 The left arrow indicates the connection to A6 , the right arrow indicates the connection to A5 when k2 is 0, and the connection to L2 when k2 is 1]
 The compound according to any one of [1] to [5], which is represented by:
 [7]
 A5 is the following substituent:
 The arrows indicate the connection to A4 when k2 is 0, the connection to L2 when k2 is 1,
 X is a halogen, and R1 , R2 and R3 are each independently selected from the group consisting of a C1-10 alkyl group, a halogen, and a C1-10 alkoxy group]
 The compound according to any one of [1] to [6] above, which is selected from the group consisting of:
 [8]
 L1 and L2 are each independently a C6-14 arylene group or a C1-10 alkylene group, wherein the carbon atom in the alkylene group is substituted with 1 to 5 oxo groups. Adjacent carbon atoms may be connected by 1 to 5 unsaturated bonds, and 1 to 4 carbon atoms in the alkylene group may be NH, N (C1 -10 alkyl), a compound according to any one of [1] to [7] above, which may be replaced by O or S.
 [9]
 A6 is selected from the group consisting of:
 L3 , L4 and L5 are each independently a C6-14 arylene group or a C1-10 alkylene group, wherein the carbon atom in the alkylene group is substituted with 1 to 5 oxo groups Adjacent carbon atoms may be connected by 1 to 5 unsaturated bonds, and 1 to 4 of the carbon atoms in the alkylene group may be NH, N (C1-10 alkyl),optionally substituted with O or S,
 k3 , k4 and k5 are each independently 0 or 1,
 Arrows to (A1 ), (A3 ), and (A4 ) indicate connections to A1 , A3, and A4 , respectively]
 The compound according to any one of the above [1] to [8] represented by:
 [10]
 The following formula (Ia):
 A1 and A2 each independently comprise a C7-22 alkyl group, a C6-14 aryl group, a C6-14 aryl C7-22 alkyl group and a C7-22 alkyl C6-14 aryl group. Selected from the group, wherein adjacent carbon atoms in said C7-22 alkyl group may be linked by 1 to 3 unsaturated bonds;
 L1 to L5 are each independently a C6-14 arylene group or a C1-10 alkylene group, wherein the carbon atom in the alkylene group is substituted with 1 to 5 oxo groups. Adjacent carbon atoms may be connected by 1 to 5 unsaturated bonds, and 1 to 4 carbon atoms in the alkylene group may be NH, N (C1 -10 alkyl), O or S may be substituted,
 A3 is a divalent group having a skeleton selected from the group consisting of a nitrobenzene skeleton, a coumarin skeleton, a hydroxyphenanthyl skeleton, a nitroindoline skeleton, an azobenzene skeleton, a fulgide skeleton, a spiropyran skeleton, a spirooxazine skeleton, and a diarylethene skeleton. ,
 A5 is the following substituent:
 The arrow indicates the connection to L2
 X is a halogen, and R1 , R2 and R3 are each independently selected from the group consisting of a C1-10 alkyl group, a halogen, and a C1-10 alkoxy group)
 Selected from the group consisting of]
 The compound according to any one of [1] to [9], which is represented by:
 [11]
 The following formula (Ib):
 A1 and A2 each independently comprise a C7-22 alkyl group, a C6-14 aryl group, a C6-14 aryl C7-22 alkyl group and a C7-22 alkyl C6-14 aryl group. Selected from the group, wherein adjacent carbon atoms in said C7-22 alkyl group may be linked by 1 to 3 unsaturated bonds;
 n represents the average number of moles added of oxyethylene groups, and 45 ≦ n ≦ 500,
 p is 0-8,
 q and s are each independently 0 to 7,
 r is 0-10,
 A5 is the following substituent:
 The arrow indicates the connection to the rest of the compound,
 X is a halogen, and R1 , R2 and R3 are each independently selected from the group consisting of a C1-10 alkyl group, a halogen, and a C1-10 alkoxy group)
 Selected from the group consisting of]
 The compound according to any one of [1] to [10], which is represented by:
 [12]
 The following formula (Ic)
 The compound according to any one of [1] to [11], which is represented by:
 [13]
 The following formula (II-a)
 A1 and A2 each independently comprise a C7-22 alkyl group, a C6-14 aryl group, a C6-14 aryl C7-22 alkyl group, and a C7-22 alkyl C6-14 aryl group. Selected from the group wherein adjacent carbon atoms in the C7-22 alkyl group may be linked by 1 to 3 unsaturated bonds;
 n represents the average number of moles added of oxyethylene groups, and 45 ≦ n ≦ 500,
 p is 0-8,
 q is independently 0 to 7,
 r is 0-10,
 A5 is the following substituent:
 The arrow indicates the connection to the rest of the compound,
 X is a halogen, and R1 , R2 and R3 are each independently selected from the group consisting of a C1-10 alkyl group, a halogen, and a C1-10 alkoxy group)
 Selected from the group consisting of]
 The compound according to any one of [1] to [10], which is represented by:
 [14]
 The following formula (II-b)
 [13] The compound according to [13].
 [15]
 The following formula (Id)
 Or the following formula (II-c)
 The compound according to any one of [1] to [10], which is represented by:
 [16]
 A base material for immobilizing a lipid membrane-containing material obtained by reacting the compound according to any one of [1] to [15] above with a base material to be modified.
 [17]
 The group of formula (III) below:
 A1 to A4 , A6 , L1 , L2 , k1 and k2 are as defined in any one of [1] to [15],
 A7 is a divalent group that links the other part of formula (III) and the substrate to be modified, or a reactive group that can be linked to the substrate by a non-covalent bond,
 Arrow indicates covalent or non-covalent linkage to substrate]
 A substrate for immobilizing a lipid membrane-containing material.
 [18]
 A method for patterning a lipid membrane-containing material on a substrate, comprising the following steps:
 (1) A portion of the lipid membrane-containing material forming the pattern of the lipid membrane-containing material is irradiated with light on the substrate for immobilizing the lipid membrane-containing material according to [16] or [17], and the lipid membrane of the part Making the binding group capable of binding to the lipid membrane;
 (2) The method comprising reacting the lipid membrane-containing material with the lipid membrane-binding group to form a pattern of the lipid membrane-containing material.
 [19]
 The following steps:
 (3) The substrate obtained in step (2) is washed to remove unreacted lipid membrane-containing material from the substrate;
 (4) Using a lipid membrane containing material different from the lipid membrane containing material used in the previous step, repeating steps (1) to (3) to form a plurality of different lipid membrane containing patterns The method according to [18], further comprising:
 [20]
 A method for isolating a lipid membrane-containing material comprising the following steps:
 (1) Applying a sample containing a lipid membrane-containing material on a substrate for immobilizing the lipid membrane-containing material according to [16] or [17];
 (2) detecting the position of the lipid membrane-containing material on the substrate based on microscopic observation;
 (3) irradiating the position with light so that the lipid membrane-bound group at the position can be bound to the lipid membrane, and immobilizing the lipid membrane-containing material on the substrate;
 (4) The said method including wash | cleaning the base material obtained at step (3), and removing the substance which is not fix | immobilized in the base material from a base material.
本発明によれば、単一種類の細胞のみならず、複数種類の細胞も迅速かつ簡便にパターニングすることが可能である。また、本発明は細胞のみならず、その他の脂質膜含有物(例えば細胞小器官、小胞、ウイルス、リポソーム、ミセル及び脂質で被覆された量子ドット)のパターニングにも適用可能である。さらに、特定の脂質膜含有物を選択的に単離することも可能である。According to the present invention, not only a single type of cell but also a plurality of types of cells can be patterned quickly and easily. The present invention is also applicable to patterning not only cells but also other lipid membrane-containing materials (for example, organelles, vesicles, viruses, liposomes, micelles and lipid-coated quantum dots). Furthermore, it is possible to selectively isolate a specific lipid membrane-containing material.
本明細書において、「C7-22アルキル基」とは、炭素数7~22の直鎖もしくは分枝鎖状のアルキル基である。C7-22アルキル基の例としては、ヘプチル基、オクチル基、ノニル基、デシル基、ウンデシル基、ドデシル基、トリデシル基、テトラデシル基、ペンタデシル基、ヘキサデシル基、ヘプタデシル基、オクタデシル(ステアリル)基、ノナデシル基、イコシル基、ヘニコサニル基、ドコサニル基及びそれらの異性体が挙げられる。In the present specification, the “C7-22 alkyl group” is a linear or branched alkyl group having 7 to 22 carbon atoms. Examples of C7-22 alkyl groups include heptyl, octyl, nonyl, decyl, undecyl, dodecyl, tridecyl, tetradecyl, pentadecyl, hexadecyl, heptadecyl, octadecyl (stearyl), Nonadecyl group, icosyl group, henicosanyl group, docosanyl group and isomers thereof may be mentioned.
本明細書において、「C1-10アルキル基」とは、炭素数1~10の直鎖もしくは分枝鎖状のアルキル基である。C1-10アルキル基の例としては、メチル基、エチル基、プロピル基、ブチル基、ペンチル基、ヘキシル基、ヘプチル基、オクチル基、ノニル基、デシル基及びそれらの異性体が挙げられる。In the present specification, the “C1-10 alkyl group” is a linear or branched alkyl group having 1 to 10 carbon atoms. Examples of the C1-10 alkyl group include methyl group, ethyl group, propyl group, butyl group, pentyl group, hexyl group, heptyl group, octyl group, nonyl group, decyl group and isomers thereof.
本明細書において、「C1-10アルコキシ基」とは、酸素原子に上記C1-10アルキル基が置換された基である。C1-10アルコキシ基の例としては、メトキシ基、エトキシ基、プロポキシ基、ブトキシ基、ペンチルオキシ基、ヘキシルオキシ基、ヘプチルオキシ基、オクチルオキシ基、ノニルオキシ基、デシルオキシ基及びそれらの異性体が挙げられる。In the present specification, the “C1-10 alkoxy group” is a group in which the above C1-10 alkyl group is substituted on an oxygen atom. Examples of C1-10 alkoxy groups include methoxy, ethoxy, propoxy, butoxy, pentyloxy, hexyloxy, heptyloxy, octyloxy, nonyloxy, decyloxy and isomers thereof. Can be mentioned.
本明細書において「ハロゲン」とは、ハロゲン原子の1価基であり、具体的には例えばフルオロ基、クロロ基、ブロモ基、ヨード基が挙げられる。In the present specification, “halogen” is a monovalent group of a halogen atom, and specific examples thereof include a fluoro group, a chloro group, a bromo group, and an iodo group.
本明細書において、C7-22アルキル基中において「隣接する炭素原子は、1~3個の不飽和結合によって連結されていてもよい」とは、炭素数7~22の直鎖もしくは分枝鎖状のアルキル基中に1~3個の不飽和結合が含まれてもよいことを示す。ここで不飽和結合は二重結合又は三重結合のいずれかである。隣接する炭素原子が1~3個の不飽和結合によって連結されたC7-22アルキル基の例としては、例えば、シス-9-ヘキサデセン-1-イル(パルミトレイル)基、トランス-9-オクタデセニル(エライジル)基、シス-9-オクタデセニル(オレイル)基、シス,シス-9,12-オクタデカジエニル(リノレニル)基、(9E,12E,15E)-オクタデカ-9,12,15-トリエニル(エライドリノレニル)基などが挙げられる。In the present specification, in the C7-22 alkyl group, “adjacent carbon atoms may be linked by 1 to 3 unsaturated bonds” means a straight or branched chain having 7 to 22 carbon atoms. It indicates that 1 to 3 unsaturated bonds may be contained in the chain alkyl group. Here, the unsaturated bond is either a double bond or a triple bond. Examples of C7-22 alkyl groups in which adjacent carbon atoms are linked by 1 to 3 unsaturated bonds include, for example, cis-9-hexadecen-1-yl (palmitoleyl) group, trans-9-octadecenyl (Elidyl) group, cis-9-octadecenyl (oleyl) group, cis, cis-9,12-octadecadienyl (linolenyl) group, (9E, 12E, 15E) -octadeca-9,12,15-trienyl ( Elidelinolenyl) group and the like.
本明細書において、「C6-14アリール基」とは、炭素数6~14の芳香族環式基をいい、具体的には例えば、フェニル基、ナフチル基、アントラセニル基などが挙げられる。In the present specification, the “C6-14 aryl group” refers to an aromatic cyclic group having 6 to 14 carbon atoms, and specific examples thereof include a phenyl group, a naphthyl group, and an anthracenyl group.
本明細書において、「C6-14アリールC7-22アルキル基」とは、上記「C6-14アリール基」の置換可能な部分が上記「C6-14アリール基」で置換された基である。C6-14アリールC7-22アルキル基の例としては、フェニルヘプチル基、フェニルオクチル基、フェニルノニル基、フェニルデシル基、フェニルウンデシル基、フェニルドデシル基、フェニルトリデシル基、フェニルテトラデシル基、フェニルペンタデシル基、フェニルヘキサデシル基、フェニルヘプタデシル基、フェニルオクタデシル基、フェニルノナデシル基、フェニルイコシル基、フェニルヘニコサニル基、フェニルドコサニル基、ナフチルヘプチル基、ナフチルオクチル基、ナフチルノニル基、ナフチルデシル基、ナフチルウンデシル基、ナフチルドデシル基、ナフチルトリデシル基、ナフチルテトラデシル基、ナフチルペンタデシル基、ナフチルヘキサデシル基、ナフチルヘプタデシル基、ナフチルオクタデシル基、ナフチルノナデシル基、ナフチルイコシル基、ナフチルヘニコサニル基、ナフチルドコサニル基、アントラセニルヘプチル基、アントラセニルオクチル基、アントラセニルノニル基、アントラセニルデシル基、アントラセニルウンデシル基、アントラセニルドデシル基、アントラセニルトリデシル基、アントラセニルテトラデシル基、アントラセニルペンタデシル基、アントラセニルヘキサデシル基、アントラセニルヘプタデシル基、アントラセニルオクタデシル基、アントラセニルノナデシル基、アントラセニルイコシル基、アントラセニルヘニコサニル基、アントラセニルドコサニル基などが挙げられる。In the present specification, the "C6-14 aryl C7-22 alkyl group", a substituted moiety of the "C6-14 aryl group" is substituted with the above "C6-14 aryl group" group It is. Examples of C6-14 aryl C7-22 alkyl groups include phenylheptyl, phenyloctyl, phenylnonyl, phenyldecyl, phenylundecyl, phenyldodecyl, phenyltridecyl, phenyltetradecyl , Phenylpentadecyl group, phenylhexadecyl group, phenylheptadecyl group, phenyloctadecyl group, phenylnonadecyl group, phenylicosyl group, phenylhexicosanyl group, phenyldocosanyl group, naphthylheptyl group, naphthyloctyl group, naphthyl Nonyl, naphthyldecyl, naphthylundecyl, naphthyldodecyl, naphthyltridecyl, naphthyltetradecyl, naphthylpentadecyl, naphthylhexadecyl, naphthylheptadecyl, naphthyloctadecyl, naphthylnonadecyl Group, naphthyl icosyl group, naphthyl henicosanyl group, naphthyl docosanyl group, anthracenyl heptyl group, anthracenyl octyl group, anthracenyl nonyl group, anthracenyl decyl group, anthracenyl undecyl group, anthracenyl Dodecyl group, anthracenyl tridecyl group, anthracenyl tetradecyl group, anthracenyl pentadecyl group, anthracenyl hexadecyl group, anthracenyl heptadecyl group, anthracenyl octadecyl group, anthracenyl nonadecyl group, Anthracenyl icosyl group, anthracenyl henicosanyl group, anthracenyl docosanyl group, etc. are mentioned.
本明細書において、「C7-22アルキルC6-14アリール基」とは、上記「C6-14アリール基」の置換可能な部分が上記「C7-22アルキル基」で置換された基である。C7-22アルキルC6-14アリール基の例としては、ヘプチルフェニル基、オクチルフェニル基、ノニルフェニル基、デシルフェニル基、ウンデシルフェニル基、ドデシルフェニル基、トリデシルフェニル基、テトラデシルフェニル基、ペンタデシルフェニル基、ヘキサデシルフェニル基、ヘプタデシルフェニル基、オクタデシルフェニル基、ノナデシルフェニル基、イコシルフェニル基、ヘニコサニルフェニル基、ドコサニルフェニル基、ヘプチルナフチル基、オクチルナフチル基、ノニルナフチル基、デシルナフチル基、ウンデシルナフチル基、ドデシルナフチル基、トリデシルナフチル基、テトラデシルナフチル基、ペンタデシルナフチル基、ヘキサデシルナフチル基、ヘプタデシルナフチル基、オクタデシルナフチル基、ノナデシルナフチル基、イコシルナフチル基、ヘニコサニルナフチル基、ドコサニルナフチル基、ヘプチルアントラセニル基、オクチルアントラセニル基、ノニルアントラセニル基、デシルアントラセニル基、ウンデシルアントラセニル基、ドデシルアントラセニル基、トリデシルアントラセニル基、テトラデシルアントラセニル基、ペンタデシルアントラセニル基、ヘキサデシルアントラセニル基、ヘプタデシルアントラセニル基、オクタデシルアントラセニル基、ノナデシルアントラセニル基、イコシルアントラセニル基、ヘニコサニルアントラセニル基、ドコサニルアントラセニル基などが挙げられる。In the present specification, the “C7-22 alkyl C6-14 aryl group” is a group in which a substitutable portion of the “C6-14 aryl group” is substituted with the “C7-22 alkyl group”. It is. Examples of C7-22 alkyl C6-14 aryl groups include heptylphenyl, octylphenyl, nonylphenyl, decylphenyl, undecylphenyl, dodecylphenyl, tridecylphenyl, tetradecylphenyl , Pentadecylphenyl group, hexadecylphenyl group, heptadecylphenyl group, octadecylphenyl group, nonadecylphenyl group, icosylphenyl group, henicosanylphenyl group, docosanylphenyl group, heptylnaphthyl group, octylnaphthyl group, nonyl Naphthyl, decylnaphthyl, undecylnaphthyl, dodecylnaphthyl, tridecylnaphthyl, tetradecylnaphthyl, pentadecylnaphthyl, hexadecylnaphthyl, heptadecylnaphthyl, octadecylnaphthyl, nonadecylnaphthyl Group, icosylnaphthyl group, henicosanylnaphthyl group, docosanylnaphthyl group, heptylanthracenyl group, octylanthracenyl group, nonylanthracenyl group, decylanthracenyl group, undecylanthracenyl group, dodecylanthracyl group Cenyl group, tridecylanthracenyl group, tetradecylanthracenyl group, pentadecylanthracenyl group, hexadecylanthracenyl group, heptadecylanthracenyl group, octadecylanthracenyl group, nonadecylanthracenyl group Group, icosylanthracenyl group, henicosanylanthracenyl group, docosanylanthracenyl group and the like.
本明細書において、「オキソ基」とは、それが結合する炭素原子と一緒になってカルボニル基を形成する基のことである。In the present specification, the “oxo group” refers to a group that forms a carbonyl group together with the carbon atom to which it is bonded.
本明細書において、「炭素数2~4のオキシアルキレン基」としては、例えばオキシエチレン基、オキシプロピレン基、オキシトリメチレン基、オキシブチレン基、オキシテトラメチレン基などが挙げられる。In the present specification, examples of the “oxyalkylene group having 2 to 4 carbon atoms” include an oxyethylene group, an oxypropylene group, an oxytrimethylene group, an oxybutylene group, and an oxytetramethylene group.
本明細書において、「C6-14アリーレン基」とは、炭素数6~14のアリーレン基のことである。具体的には例えば、フェニレン基、ナフチレン基、アントラニレン基などが挙げられる。In the present specification, the “C6-14 arylene group” means an arylene group having 6 to 14 carbon atoms. Specific examples include a phenylene group, a naphthylene group, and an anthranylene group.
本明細書において、「C1-10アルキレン基」とは、炭素数1~10の直鎖もしくは分枝鎖状のアルキレン基のことである。具体的には例えば、メチレン基、エチレン基、プロピレン基、ブチレン基、ペンチレン基、へキシレン基、ヘプチレン基、オクチレン基、ノニレン基、デカレン基及びそれらの異性体が挙げられる。In the present specification, the “C1-10 alkylene group” means a linear or branched alkylene group having 1 to 10 carbon atoms. Specific examples include methylene group, ethylene group, propylene group, butylene group, pentylene group, hexylene group, heptylene group, octylene group, nonylene group, decalene group and isomers thereof.
 本明細書において、C1-10アルキレン基について「前記アルキレン基中の炭素原子は1~5個のオキソ基で置換されていてもよく、隣接する炭素原子同士が1~5個の不飽和結合で結ばれていてもよく、そして前記アルキレン基中の炭素原子のうち、1~4個の炭素原子がNH、N(C1-10アルキル)、O又はSで置き換えられていてもよい」とは、例えば、以下のような構造をとり得ることを示す。
m1は0~6であり、m2は0~7であり、m3は0~8であり、m4は0~9であり、m5は0~10であり、NHは、任意にN(C1-10アルキル)で置き換えられてもよい。]In the present specification, for the C1-10 alkylene group, “the carbon atom in the alkylene group may be substituted with 1 to 5 oxo groups, and the adjacent carbon atoms are 1 to 5 unsaturated bonds”. And 1 to 4 carbon atoms in the alkylene group may be replaced by NH, N (C1-10 alkyl), O or S ". Indicates that, for example, the following structure can be taken.
 m1 is 0-6, m2 is 0-7, m3 is 0-8, m4 is 0-9, m5 is 0-10, NH is optionally N (C1- 10 alkyl). ]
 本発明は、以下の式(I)
A1は、脂質膜含有物中の脂質膜と結合する脂質膜結合基であり、
A2は、前記脂質膜結合基の脂質膜への結合を阻害する脂質膜結合阻害基であり、
A3は、光反応基であり、
A4は、親水性基であり、
A5は、修飾対象基材への反応基であり、
A6は、少なくとも3本の結合手を有する足場部位であり、
L1及びL2は、リンカーであり、
k1及びk2は、それぞれ独立して0又は1である]
で表される化合物であって、光反応により、脂質膜結合阻害基による結合阻害が解消されて、前記脂質膜結合基が脂質膜に結合可能となる、前記化合物(以下、「本発明の化合物」とも呼ぶ)に関する。The present invention provides the following formula (I)
 A1 is a lipid membrane-binding group that binds to the lipid membrane in the lipid membrane-containing material,
 A2 is a lipid membrane binding inhibitor that inhibits the binding of the lipid membrane binding group to the lipid membrane;
 A3 is a photoreactive group,
 A4 is a hydrophilic group,
 A5 is a reactive group to the substrate to be modified,
 A6 is a scaffold site having at least three bonds,
 L1 and L2 are linkers;
 k1 and k2 are each independently 0 or 1]
 Wherein the inhibition of binding by the lipid membrane binding inhibitory group is eliminated by photoreaction, and the lipid membrane binding group can bind to the lipid membrane (hereinafter referred to as “the compound of the present invention”). ").
本明細書中、「脂質膜含有物」とは、任意の脂質膜を含む物質のことである。ここで「脂質膜」とは膜状の脂質のことである。本明細書中、「脂質」とは、水に溶けにくく、有機溶媒に溶けやすい物質群をいう。通常、脂質には、長鎖脂肪酸及びその誘導体、または類似体が含まれるが、本明細書においては、ステロイド、カロテノイド、テルペノイド、イソプレノイド、脂溶性ビタミンなどの有機化合物群もまた包含される。脂質としては、例えば、1)単純脂質(脂肪酸とアルコールとのエステルで中性脂質ともいう。例えば、油脂(トリアシルグリセロール)、蝋(ワックス、高級アルコールの脂肪酸エステル)、ステロールエステル、ビタミンの脂肪酸エステルなどが挙げられる);2)複合脂質(エステル結合あるいはアミド結合を有し、脂肪酸とアルコールのほかにリン酸、糖、硫酸、アミンなど極性基をもつ化合物のことである。例えばリン脂質(グリセロリン脂質及びスフィンゴリン脂質など)、糖脂質(グリセロ糖脂質及びスフィンゴ糖脂質など)、リポタンパク質、スルホ脂質などが含まれる);3)誘導脂質(単純脂質および複合脂質の加水分解によって生成する化合物のうち脂溶性のものをいい、脂肪酸、高級アルコール、脂溶性ビタミン、ステロイド、炭化水素などが含まれる)が挙げられるが、それらに限定されない。In the present specification, “lipid membrane-containing material” refers to a substance containing an arbitrary lipid membrane. Here, “lipid membrane” refers to a membrane-like lipid. In the present specification, “lipid” refers to a group of substances that are hardly soluble in water and easily soluble in organic solvents. Lipids typically include long chain fatty acids and derivatives or analogs thereof, but herein also includes a group of organic compounds such as steroids, carotenoids, terpenoids, isoprenoids, and fat-soluble vitamins. Examples of lipids include: 1) simple lipids (esters of fatty acids and alcohols, also called neutral lipids), for example, fats and oils (triacylglycerol), waxes (waxes, fatty acid esters of higher alcohols), sterol esters, fatty acids of vitamins 2) Complex lipids (compounds having ester bonds or amide bonds and having polar groups in addition to fatty acids and alcohols such as phosphoric acid, sugar, sulfuric acid, amines, etc.) Glycerophospholipids and sphingophospholipids), glycolipids (including glyceroglycolipids and glycosphingolipids), lipoproteins, sulfolipids, etc .; 3) derived lipids (compounds produced by hydrolysis of simple and complex lipids) Of these, fat-soluble ones, fatty acids, higher alcohols, fat-soluble vitamins, Steroids, such as a hydrocarbon is included) include, but are not limited to.
脂質膜含有物としては特に限定されないが、脂質膜で被覆された構造体(例えば、細胞、細胞小器官、小胞、ウイルス、リポソーム、ミセル及び脂質で被覆された量子ドット)が挙げられる。細胞としては、例えば、動物細胞、プロトプラスト化された植物細胞、及び微生物などが挙げられる。細胞は、接着性細胞であっても非接着性細胞であってもよい。The lipid membrane-containing material is not particularly limited, and examples thereof include structures coated with lipid membranes (for example, cells, organelles, vesicles, viruses, liposomes, micelles, and lipid-coated quantum dots). Examples of cells include animal cells, plant cells converted to protoplasts, and microorganisms. The cell may be an adherent cell or a non-adherent cell.
本明細書中、「脂質膜結合基」とは、脂質膜含有物の脂質膜に対して非共有結合的に結合する基のことである。脂質膜結合基としては特に限定されないが、例えば、C7-30アルキル基(好ましくはC7-22アルキル基)、C6-14アリール基、C6-14アリールC7-30アルキル基(好ましくはC6-14アリールC7-22アルキル基)、及びC7-30アルキルC6-14アリール基(好ましくはC6-14アリールC7-22アルキル基)などの疎水性基が挙げられる。ここで前記C7-30アルキル基中の隣接する炭素原子は、1~3個の不飽和結合によって連結されていてもよい。脂質膜結合基としては、疎水性基が好ましい。また脂質膜結合基としては、隣接する炭素原子が1~3個の不飽和結合によって連結されていてもよいC7-30アルキル基、隣接する炭素原子が1~3個の不飽和結合によって連結されていてもよいC7-22アルキル基、又は隣接する炭素原子が1~3個の不飽和結合によって連結されていてもよいC11-22アルキル基、又は隣接する炭素原子が1~3個の不飽和結合によって連結されていてもよいC16-18アルキル基がより好ましい。また脂質膜結合基としては、ヘキサデシル基、ヘプタデシル基、オクタデシル(ステアリル)基、シス-9-ヘキサデセニル(パルミトレイル)基、シス-8-ヘプタデセニル基、トランス-8-ヘプタデセニル基、トランス-9-オクタデセニル(エライジル)基、シス-9-オクタデセニル(オレイル)基、シス,シス-9,12-オクタデカジエニル(リノレニル)基、(9E,12E,15E)-オクタデカ-9,12,15-トリエニル(エライドリノレニル)基がさらに好ましく、シス-8-ヘプタデセニル基、オレイル基が特に好ましい。In the present specification, the “lipid membrane binding group” is a group that binds non-covalently to the lipid membrane of the lipid membrane-containing material. The lipid membrane binding group is not particularly limited. For example, a C7-30 alkyl group (preferably a C7-22 alkyl group), a C6-14 aryl group, a C6-14 aryl C7-30 alkyl group (preferablyAre hydrophobic groups such as C6-14 aryl C7-22 alkyl group) and C7-30 alkyl C6-14 aryl group (preferably C6-14 aryl C7-22 alkyl group). Here, adjacent carbon atoms in the C7-30 alkyl group may be linked by 1 to 3 unsaturated bonds. As the lipid membrane binding group, a hydrophobic group is preferable. The lipid membrane binding group includes a C7-30 alkyl group in which adjacent carbon atoms may be connected by 1 to 3 unsaturated bonds, and adjacent carbon atoms connected by 1 to 3 unsaturated bonds. Anoptionally substituted C7-22 alkyl group, or a C11-22 alkyl group in which adjacent carbon atoms may be linked by 1 to 3 unsaturated bonds, or 1 to 3 adjacent carbon atoms A C16-18 alkyl group which may be linked by an unsaturated bond is more preferable. Examples of lipid membrane binding groups include hexadecyl, heptadecyl, octadecyl (stearyl), cis-9-hexadecenyl (palmitoleyl), cis-8-heptadecenyl, trans-8-heptadecenyl, trans-9-octadecenyl. (Elidyl) group, cis-9-octadecenyl (oleyl) group, cis, cis-9,12-octadecadienyl (linolenyl) group, (9E, 12E, 15E) -octadeca-9,12,15-trienyl ( Elidelinolenyl) group is more preferable, and cis-8-heptadecenyl group and oleyl group are particularly preferable.
本明細書中、「脂質膜結合阻害基」とは、脂質膜結合基の脂質膜への結合を物理的に又は化学的に阻害する基のことである。脂質膜結合阻害基の構造は、脂質膜結合基の構造と同一であっても異なってもよい。脂質膜結合阻害基としては、特に限定されないが、例えばC7-30アルキル基(好ましくはC7-22アルキル基)、C6-14アリール基、C6-14アリールC7-30アルキル基(好ましくはC6-14アリールC7-22アルキル基)、及びC7-30アルキルC6-14アリール基(好ましくはC7-22アルキルC6-14アリール基)、コレステリル基などの疎水性基が挙げられる。ここで前記C7-30アルキル基中の隣接する炭素原子は、1~3個の不飽和結合によって連結されていてもよい。脂質膜結合阻害基としては、疎水性基が好ましい。また脂質膜結合阻害基としては、隣接する炭素原子が1~3個の不飽和結合によって連結されていてもよいC7-30アルキル基、隣接する炭素原子が1~3個の不飽和結合によって連結されていてもよいC7-22アルキル基、又は隣接する炭素原子が1~3個の不飽和結合によって連結されていてもよいC11-22アルキル基、又は隣接する炭素原子が1~3個の不飽和結合によって連結されていてもよいC16-18アルキル基がより好ましい。また脂質膜結合阻害基としては、ヘキサデシル基、ヘプタデシル基、オクタデシル(ステアリル)基、シス-9-ヘキサデセニル(パルミトレイル)基、シス-8-ヘプタデセニル基、トランス-8-ヘプタデセニル基、トランス-9-オクタデセニル(エライジル)基、シス-9-オクタデセニル(オレイル)基、シス,シス-9,12-オクタデカジエニル(リノレニル)基、(9E,12E,15E)-オクタデカ-9,12,15-トリエニル(エライドリノレニル)基がさらに好ましく、シス-8-ヘプタデセニル基、オレイル基が特に好ましい。In the present specification, the “lipid membrane binding inhibitory group” is a group that physically or chemically inhibits the binding of a lipid membrane binding group to a lipid membrane. The structure of the lipid membrane binding inhibitor group may be the same as or different from the structure of the lipid membrane binding group. The lipid membrane binding inhibitor group is not particularly limited, but for example, a C7-30 alkyl group (preferably a C7-22 alkyl group), a C6-14 aryl group, a C6-14 aryl C7-30 alkyl group ( C6-14 aryl C7-22 alkyl group), and C7-30 alkyl C6-14 aryl group (preferably C7-22 alkyl C6-14 aryl group), hydrophobic groups such as cholesteryl group Is mentioned. Here, adjacent carbon atoms in the C7-30 alkyl group may be linked by 1 to 3 unsaturated bonds. As the lipid membrane binding inhibitory group, a hydrophobic group is preferable. In addition, the lipid membrane binding inhibitory group includes a C7-30 alkyl group in which adjacent carbon atoms may be linked by 1 to 3 unsaturated bonds, and an adjacent carbon atom by 1 to 3 unsaturated bonds. C7-22 alkyl group which may be linked, or C11-22 alkyl group where adjacent carbon atoms may be linked by 1 to 3 unsaturated bonds, or 1 to 3 adjacent carbon atoms More preferred are C16-18 alkyl groups which may be linked by one unsaturated bond. Examples of the lipid membrane binding inhibitory group include hexadecyl group, heptadecyl group, octadecyl (stearyl) group, cis-9-hexadecenyl (palmitoleyl) group, cis-8-heptadecenyl group, trans-8-heptadecenyl group, trans-9- Octadecenyl (eridyl) group, cis-9-octadecenyl (oleyl) group, cis, cis-9,12-octadecadienyl (linolenyl) group, (9E, 12E, 15E) -octadeca-9,12,15-trienyl (Elidelinolenyl) group is more preferable, and cis-8-heptadecenyl group and oleyl group are particularly preferable.
本明細書中、「光反応基」とは、光反応によって当該光反応基中の結合が切断されるか、又はその構造が変化する基のことである。In the present specification, the “photoreactive group” is a group whose bond in the photoreactive group is cleaved by the photoreaction or whose structure is changed.
光反応によって脂質膜結合阻害基による物理的又は化学的結合阻害が解消されて、本発明の化合物中の脂質膜結合基は、脂質膜に結合可能となる。一の実施形態において、光反応基は、光反応によって、脂質膜結合阻害基と連結されたまま足場部位から切り出される。これにより、脂質膜結合阻害基による結合阻害が解消される。本実施形態において使用され得る光反応基は、足場部位から切り出される限り特に限定されないが、例えば、2-ニトロベンジル骨格、クマリン-4-イルメチル骨格、フェニルカルボニルメチル骨格又は7-ニトロインドリノカルボニル骨格を有する二価の基である。The physical or chemical binding inhibition by the lipid membrane binding inhibitory group is eliminated by the photoreaction, and the lipid membrane binding group in the compound of the present invention can bind to the lipid membrane. In one embodiment, the photoreactive group is excised from the scaffold site by photoreaction while remaining linked to the lipid membrane binding inhibitory group. Thereby, the binding inhibition by the lipid membrane binding inhibitory group is eliminated. The photoreactive group that can be used in the present embodiment is not particularly limited as long as it is excised from the scaffold site. For example, a 2-nitrobenzyl skeleton, a coumarin-4-ylmethyl skeleton, a phenylcarbonylmethyl skeleton, or a 7-nitroindolinocarbonyl skeleton Is a divalent group.
 本明細書中、「2-ニトロベンジル骨格を有する二価の基」とは、以下の構造又はその誘導体構造を有する二価の基である。
 2-ニトロベンジル骨格を有する二価の基としては、以下のものが好ましい。
 本明細書中、「クマリン-4-イルメチル骨格を有する二価の基」とは、以下の構造又はその誘導体構造を有する二価の基である。
 クマリン-4-イルメチル骨格を有する二価の基としては、以下のものが好ましい。
 本明細書中、「フェニルカルボニルメチル骨格を有する二価の基」とは、以下の構造又はその誘導体構造を有する二価の基である。
 フェニルカルボニルメチル骨格を有する二価の基としては、以下のものが好ましい。
 本明細書中、「7-ニトロインドリノカルボニル骨格を有する二価の基」とは、以下の構造又はその誘導体構造を有する二価の基である。
 7-ニトロインドリノカルボニル骨格を有する二価の基としては、以下のものが好ましい。
また別の実施形態において、光反応によって、光反応基の構造が変化し、それに伴って光反応基に連結した脂質膜結合阻害基と脂質膜結合基との間の距離が離れる。これにより、脂質膜結合阻害基による結合阻害が解消される。本実施形態において使用され得る光反応基は、光反応によって脂質膜結合阻害基による結合阻害を解消するものであれば特に限定されないが、例えば、アゾベンゼン骨格、フルギド骨格、スピロピラン骨格、スピロオキサジン骨格又はジアリールエテン骨格を有する二価の基である。In yet another embodiment, the structure of the photoreactive group is changed by the photoreaction, and the distance between the lipid membrane binding group and the lipid membrane binding group linked to the photoreactive group is increased accordingly. Thereby, the binding inhibition by the lipid membrane binding inhibitory group is eliminated. The photoreactive group that can be used in the present embodiment is not particularly limited as long as the photoreaction eliminates the binding inhibition by the lipid membrane binding inhibitory group. For example, an azobenzene skeleton, fulgide skeleton, spiropyran skeleton, spirooxazine skeleton, It is a divalent group having a diarylethene skeleton.
 本明細書中、「アゾベンゼン骨格を有する二価の基」とは、以下の構造又はその誘導体構造を有する二価の基である。
 アゾベンゼン骨格を有する二価の基としては、以下のものが好ましい。
 本明細書中、「フルギド骨格を有する二価の基」とは、以下の構造又はその誘導体構造を有する二価の基である。
 フルギド骨格を有する二価の基としては、以下のものが好ましい。
 本明細書中、「スピロピラン骨格を有する二価の基」とは、以下の構造又はその誘導体構造を有する二価の基である。
 スピロピラン骨格を有する二価の基としては、以下の骨格が好ましい。
 本明細書中、「スピロオキサジン骨格を有する二価の基」とは、以下の構造又はその誘導体構造を有する二価の基である。
 スピロオキサジン骨格を有する二価の基としては、以下のものが好ましい。
 本明細書中、「ジアリールエテン骨格を有する二価の基」とは、以下の構造又はその誘導体構造を有する二価の基である。
 ジアリールエテン骨格を有する二価の基としては、以下のものが好ましい。
本明細書中、「親水性基」とは、水溶性の化合物残基を含む二価の基であり、好ましくは水溶性の高分子化合物残基を含む二価の基である。そのような残基を与える化合物は特に限定されないが、例えばポリアルキレングリコール、ポリサッカライド、ポリ乳酸、ポリビニルアルコール、ポリペプチド、ポリアクリル酸及びポリアクリルアミドなどが挙げられる。In the present specification, the “hydrophilic group” is a divalent group containing a water-soluble compound residue, preferably a divalent group containing a water-soluble polymer compound residue. Although the compound which gives such a residue is not specifically limited, For example, polyalkylene glycol, polysaccharide, polylactic acid, polyvinyl alcohol, polypeptide, polyacrylic acid, polyacrylamide etc. are mentioned.
 本発明の化合物の「親水性基」は、好ましくは以下の構造を有する:
Zは、炭素数2~4のオキシアルキレン基であり、nは炭素数2~4のオキシアルキレン基の平均付加モル数を示し、かつ2≦n≦500であり、
左側の矢印は、A6への連結を示し、右側の矢印は、k2が0の場合にはA5への連結を示し、k2が1の場合にはL2への連結を示す。]The “hydrophilic group” of the compounds of the present invention preferably has the following structure:
 Z is an oxyalkylene group having 2 to 4 carbon atoms, n is an average added mole number of the oxyalkylene group having 2 to 4 carbon atoms, and 2 ≦ n ≦ 500,
 The left arrow indicates a connection to A6 , the right arrow indicates a connection to A5 when k2 is 0, and a connection to L2 when k2 is 1. ]
 上記式において、Zはオキシエチレン基が好ましい。すなわち、親水性基は以下の2つの構造のいずれかであることが好ましい。
Zは、nは炭素数2~4のオキシアルキレン基の平均付加モル数を示し、かつ2≦n≦500であり、
左側の矢印は、A6への連結を示し、右側の矢印は、k2が0の場合にはA5への連結を示し、k2が1の場合にはL2への連結を示す。]In the above formula, Z is preferably an oxyethylene group. That is, the hydrophilic group is preferably one of the following two structures.
 Z represents the average number of moles of oxyalkylene groups having 2 to 4 carbon atoms, and 2 ≦ n ≦ 500,
 The left arrow indicates a connection to A6 , the right arrow indicates a connection to A5 when k2 is 0, and a connection to L2 when k2 is 1. ]
上記式において、nの数だけオキシアルキレン基が存在するが、このオキシアルキレン基は1種単独であってもよく、あるいは2種以上が組み合わされていてもよい。2種以上が組み合わされる場合には、その組み合わせ方に制限はない。またオキシアルキレン基はブロック状であってもランダム状であってもよい。全オキシアルキレン基に対するオキシエチレン基の比率は50~100モル%である場合、良好な水溶性が得られる点で好ましい。In the above formula, there are as many oxyalkylene groups as n, but these oxyalkylene groups may be used singly or in combination of two or more. When two or more kinds are combined, there is no restriction on the combination. The oxyalkylene group may be in a block form or a random form. When the ratio of oxyethylene groups to all oxyalkylene groups is 50 to 100 mol%, it is preferable in terms of obtaining good water solubility.
上記式において、nは45≦n≦500が好ましく、45≦n≦200がより好ましい。In the above formula, n is preferably 45 ≦ n ≦ 500, and more preferably 45 ≦ n ≦ 200.
 本明細書中、「修飾対象基材への反応基」(以下、単に「反応基」とも呼ぶ)とは、修飾対象基材と共有結合的に又は非共有結合的に反応して、本発明の化合物を当該修飾対象基材上に固定化するための基である。反応基と修飾対象基材との反応が共有結合である場合、修飾対象基材は反応基と共有結合可能な官能基を少なくとも一つ有する。そのような共有結合可能な官能基としては、例えば以下のものが挙げられる。
 共有結合性の「修飾対象基材への反応基」としては、修飾対象基材に含まれる官能基と反応して共有結合を形成できる限り特に限定されないが、例えば、以下の置換基が挙げられる:
矢印は、k2が0の場合にはA4への連結を示し、k2が1の場合にはL2への連結を示し、
Xはハロゲンであり、R1、R2及びR3はそれぞれ独立して、C1-10アルキル、ハロゲン、C1-10アルコキシからなる群から選択される。]
この中でも、カルボキシル基及び以下の置換基が好ましい。
 The arrows indicate the connection to A4 when k2 is 0, the connection to L2 when k2 is 1,
 X is halogen, and R1 , R2 and R3 are each independently selected from the group consisting of C1-10 alkyl, halogen, C1-10 alkoxy. ]
 Among these, a carboxyl group and the following substituents are preferable.
 本発明の化合物の「修飾対象基材への反応基」(以下、単に「反応基」とも呼ぶ。)を、修飾対象基材と非共有結合的に反応させて固定化する例として、例えば以下が挙げられる。
(i)本願発明の化合物の反応基として疎水性置換基を採用し、疎水性置換基を含む修飾対象基材との疎水性相互作用により固定化する場合。
(ii)本願発明の化合物の反応基としてポリペプチドや核酸を採用し、それらと結合可能な物質を含む修飾対象基材と反応させて固定化する場合(例えば、相補的なDNA鎖の組み合わせ;ビオチンとアビジンとの組み合わせなど)。
(iii)本願発明の化合物の反応基として超分子(例えばシクロデキストリン)を認識可能な小分子(例えばフェロセン)を採用し、超分子を含む修飾対象基材と反応させて固定化する場合。As an example of immobilizing the “reactive group to the base material to be modified” (hereinafter also simply referred to as “reactive group”) of the compound of the present invention by reacting non-covalently with the base material to be modified, for example, Is mentioned.
 (I) When a hydrophobic substituent is employed as a reactive group of the compound of the present invention and is immobilized by a hydrophobic interaction with a substrate to be modified containing the hydrophobic substituent.
 (Ii) When a polypeptide or nucleic acid is employed as a reactive group of the compound of the present invention and is immobilized by reacting with a base material to be modified containing a substance capable of binding thereto (for example, a combination of complementary DNA strands; Combination of biotin and avidin).
 (Iii) A case where a small molecule (for example, ferrocene) capable of recognizing a supramolecule (for example, cyclodextrin) is employed as a reactive group of the compound of the present invention, and is reacted with a substrate to be modified containing the supramolecule and immobilized.
本明細書中、本発明の化合物の「修飾対象基材」としては、特に限定されないが、例えば、基板(本発明の化合物が修飾されるべき部位がプレート状又はフィルム状のもの、例えばスライドガラス、ディッシュ、マイクロプレート、マイクロアレイ用基板)、担体(例えばビーズ)、繊維状構造物、管、容器(例えば試験管及びバイアル)などが挙げられる。修飾対象基材の原料としては、ガラス;セメント;陶磁器等のセラミックスもしくはファインセラミックス;ポリエチレンテレフタレート、酢酸セルロース、ポリカーボネート、ポリスチレン及びポリメチルメタクリレートなどのポリマー樹脂;ポリペプチド及びタンパク質などの生体材料;シリコン;活性炭;多孔質ガラス;多孔質セラミックス;多孔質シリコン;多孔質活性炭;不織布;濾紙;メンブレンフィルター;金などの導電性材料、などが挙げられる。修飾対象基材の表面は、アミノ基、カルボキシル基、ヒドロキシ基などを導入するため、ポリ陽イオンなどのポリマーによる被覆処理、あるいは基材表面への導入置換基を有するシランカップリング剤による処理が施されていてもよい。あるいはプラズマ処理により反応性官能基が導入されていてもよい。本発明の化合物の「修飾対象基材」として、ウシ血清アルブミン(BSA)、3-アミノプロピルトリエトキシシラン(APTES)及びコラーゲンからなる群から選択される少なくとも1つで被覆された基材が好ましい。In the present specification, the “substrate to be modified” of the compound of the present invention is not particularly limited. For example, the substrate (where the compound of the present invention is to be modified is a plate or film, for example, a slide glass) , Dishes, microplates, microarray substrates), carriers (eg, beads), fibrous structures, tubes, containers (eg, test tubes and vials), and the like. Materials for the base material to be modified include glass; cement; ceramics such as ceramics or fine ceramics; polymer resins such as polyethylene terephthalate, cellulose acetate, polycarbonate, polystyrene, and polymethyl methacrylate; biomaterials such as polypeptides and proteins; silicon; Examples include activated carbon; porous glass; porous ceramics; porous silicon; porous activated carbon; non-woven fabric; filter paper; membrane filter; Since the surface of the base material to be modified introduces amino groups, carboxyl groups, hydroxy groups, etc., it can be coated with a polymer such as polycation or treated with a silane coupling agent having a substituent introduced onto the surface of the base material. It may be given. Alternatively, a reactive functional group may be introduced by plasma treatment. As the “substrate to be modified” of the compound of the present invention, a substrate coated with at least one selected from the group consisting of bovine serum albumin (BSA), 3-aminopropyltriethoxysilane (APTES) and collagen is preferable. .
本発明の化合物は、A2とA3との間にリンカーL1が存在してもよく、そしてA4とA5との間に、リンカーL2が存在してもよい。本明細書において「リンカー」とは、二つの官能基を連結するための二価の基である。リンカーとしては特に限定されないが、例えば、C6-14アリーレン基又はC1-10アルキレン基である。ここで前記アルキレン基中の炭素原子は1~5個のオキソ基で置換されていてもよく、隣接する炭素原子同士が1~5個の不飽和結合で結ばれていてもよく、そして前記アルキレン基中の炭素原子のうち、1~4個の炭素原子がNH、N(C1-10アルキル)、O又はSで置き換えられていてもよい。In the compound of the present invention, a linker L1 may be present between A2 and A3, and a linker L2 may be present between A4 and A5 . In the present specification, the “linker” is a divalent group for connecting two functional groups. Although it does not specifically limit as a linker, For example, they are aC6-14 arylene group or aC1-10 alkylene group. Here, the carbon atom in the alkylene group may be substituted with 1 to 5 oxo groups, adjacent carbon atoms may be connected with 1 to 5 unsaturated bonds, and the alkylene group Of the carbon atoms in the group, 1 to 4 carbon atoms may be replaced by NH, N (C1-10 alkyl), O or S.
本発明の化合物中、L1とA2との間及びL1とA3の間、ならびにL2とA4の間及びL2とA5の間は、それぞれ独立して、アルキレン構造、アミド構造、エステル構造、アミノ構造、及びエーテル構造からなる群から選択される構造を有することが好ましい。In the compounds of the present invention, between L1 and A2 and between L1 and A3 , and between L2 and A4 and between L2 and A5 are each independently an alkylene structure, amide It is preferable to have a structure selected from the group consisting of a structure, an ester structure, an amino structure, and an ether structure.
 「リンカー」であるL1及びL2としては、例えば、以下の式:
m1は0~6であり、m2は0~7であり、m3は0~8であり、m4は0~9であり、m5は0~10であり、NHは、任意にN(C1-10アルキル)で置き換えられてもよい]
で表される構造を有することが好ましい。Examples of the “linker” L1 and L2 include the following formula:
 m1 is 0-6, m2 is 0-7, m3 is 0-8, m4 is 0-9, m5 is 0-10, NH is optionally N (C1- 10 alkyl) may be substituted]
 It preferably has a structure represented by
 本明細書中、「足場部位」とは、少なくとも3本の結合手を有する化学構造のことである。当該足場部位が、脂質膜結合基、光反応基及び親水性基と連結することにより、本発明の化合物が形成される。足場部位としては特に限定されないが、例えば以下の構造を有する:
L3、L4及びL5は、それぞれ独立して、C6-14アリーレン基又はC1-10アルキレン基であり、ここで前記アルキレン基中の炭素原子は1~5個のオキソ基で置換されていてもよく、隣接する炭素原子同士が1~5個の不飽和結合で結ばれていてもよく、そして前記アルキレン基中の炭素原子のうち、1~4個の炭素原子がNH、N(C1-10アルキル)、O又はSで置き換えられていてもよく、
k3、k4及びk5は、それぞれ独立して0又は1であり、
(A1)、(A3)及び(A4)への矢印はそれぞれ、A1、A3及びA4への連結を示す。]In this specification, the “scaffold site” refers to a chemical structure having at least three bonds. The said scaffold site | part couple | bonds with a lipid membrane binding group, a photoreactive group, and a hydrophilic group, The compound of this invention is formed. Although it does not specifically limit as a scaffold site | part, For example, it has the following structures:
 L3 , L4 and L5 are each independently a C6-14 arylene group or a C1-10 alkylene group, wherein the carbon atom in the alkylene group is substituted with 1 to 5 oxo groups Adjacent carbon atoms may be connected by 1 to 5 unsaturated bonds, and 1 to 4 of the carbon atoms in the alkylene group may be NH, N (C1-10 alkyl),optionally substituted with O or S,
 k3 , k4 and k5 are each independently 0 or 1,
 The arrows to (A1 ), (A3 ) and (A4 ) indicate the connection to A1 , A3 and A4 , respectively. ]
上記式において、L3とA1との間、及びL4とA4の間は、それぞれ独立して、アルキレン構造、アミド構造、エステル構造、アミノ構造、及びエーテル構造からなる群から選択される構造を有することが好ましい。In the above formula, between L3 and A1 and between L4 and A4 are each independently selected from the group consisting of an alkylene structure, an amide structure, an ester structure, an amino structure, and an ether structure. It preferably has a structure.
 上記式において、L3、L4及びL5はとしては、例えば、以下の式:
m1は0~6であり、m2は0~7であり、m3は0~8であり、m4は0~9であり、m5は0~10であり、NHは、任意にN(C1-10アルキル)で置き換えられてもよい]
で表される構造を有することが好ましい。In the above formula, as L3 , L4 and L5 , for example, the following formula:
 m1 is 0-6, m2 is 0-7, m3 is 0-8, m4 is 0-9, m5 is 0-10, NH is optionally N (C1- 10 alkyl) may be substituted]
 It preferably has a structure represented by
 足場部位として、好ましくは、
L3は
m3は0~8であり、
左側の矢印は脂質膜結合基への連結を示し、右側の矢印は足場部位の中心炭素への連結を示す)
であり、
L4は、
m2は0~7であり、
左側の矢印は足場部位の中心炭素への連結を示し、右側の矢印は親水性基への連結を示す)
であり、
L5は、NHである]
である。As a scaffold site, preferably
 L3 is
 m3 is 0-8,
 (The arrow on the left indicates the connection to the lipid membrane binding group, and the arrow on the right indicates the connection to the central carbon of the scaffold site)
 And
 L4 is
 m2 is 0-7,
 (The arrow on the left indicates the connection to the central carbon of the scaffold site, and the arrow on the right indicates the connection to the hydrophilic group)
 And
 L5 is NH]
 It is.
 式(I)の好ましい化合物として、以下の式(I-a):
A1及びA2が、それぞれ独立してC7-22アルキル基、C6-14アリール基、C6-14アリールC7-22アルキル基及びC7-22アルキルC6-14アリール基からなる群から選択され、ここで前記C7-22アルキル基中の隣接する炭素原子は、1~3個の不飽和結合によって連結されていてもよく、
L1~L5が、それぞれ独立して、C6-14アリーレン基又はC1-10アルキレン基であり、ここで前記アルキレン基中の炭素原子は1~5個のオキソ基で置換されていてもよく、隣接する炭素原子同士が1~5個の不飽和結合で結ばれていてもよく、そして前記アルキレン基中の炭素原子のうち、1~4個の炭素原子がNH、N(C1-10アルキル)、O又はSで置き換えられていてもよく、
A3が、ニトロベンゼン骨格、クマリン骨格、ヒドロキシフェナンシル骨格、ニトロインドリン骨格、アゾベンゼン骨格、フルギド骨格、スピロピラン骨格、スピロオキサジン骨格及びジアリールエテン骨格からなる群から選択される骨格を有する二価の基であり、
 A5が、以下の置換基:
矢印は、L2への連結を示し、
Xはハロゲンであり、R1、R2及びR3はそれぞれ独立して、C1-10アルキル、ハロゲン、C1-10アルコキシからなる群から選択される)
からなる群から選択される]
で表される化合物が挙げられる。As preferred compounds of formula (I), the following formula (Ia):
 A1 and A2 each independently comprise a C7-22 alkyl group, a C6-14 aryl group, a C6-14 aryl C7-22 alkyl group and a C7-22 alkyl C6-14 aryl group. Selected from the group, wherein adjacent carbon atoms in said C7-22 alkyl group may be linked by 1 to 3 unsaturated bonds;
 L1 to L5 are each independently a C6-14 arylene group or a C1-10 alkylene group, wherein the carbon atom in the alkylene group is substituted with 1 to 5 oxo groups. Adjacent carbon atoms may be connected by 1 to 5 unsaturated bonds, and 1 to 4 carbon atoms in the alkylene group may be NH, N (C1 -10 alkyl), O or S may be substituted,
 A3 is a divalent group having a skeleton selected from the group consisting of a nitrobenzene skeleton, a coumarin skeleton, a hydroxyphenanthyl skeleton, a nitroindoline skeleton, an azobenzene skeleton, a fulgide skeleton, a spiropyran skeleton, a spirooxazine skeleton, and a diarylethene skeleton. ,
 A5 is the following substituent:
 The arrow indicates the connection to L2
 X is a halogen, and R1 , R2 and R3 are each independently selected from the group consisting of C1-10 alkyl, halogen, C1-10 alkoxy)
 Selected from the group consisting of]
 The compound represented by these is mentioned.
 式(I)のより好ましい化合物として、以下の式(I-b):
A1及びA2は、それぞれ独立してC7-22アルキル基、C6-14アリール基、C6-14アリールC7-22アルキル基及びC7-22アルキルC6-14アリール基からなる群から選択され、ここで前記C7-22アルキル基中の隣接する炭素原子は、1~3個の不飽和結合によって連結されていてもよく、
nはオキシエチレン基の平均付加モル数を示し、かつ45≦n≦500であり、
pは0~8であり、
q及びsは、それぞれ独立して0~7であり、
rは0~10であり、
 A5は、以下の置換基:
矢印は、化合物の残りの部分への連結を示し、
Xはハロゲンであり、R1、R2及びR3はそれぞれ独立して、C1-10アルキル、ハロゲン、C1-10アルコキシからなる群から選択される)
からなる群から選択される]
で表される化合物が挙げられる。As more preferred compounds of formula (I), the following formula (Ib):
 A1 and A2 consist each independently C7-22 alkyl, C6-14 aryl group, C6-14 aryl C7-22 alkyl and C7-22 alkyl C6-14 aryl group Selected from the group, wherein adjacent carbon atoms in said C7-22 alkyl group may be linked by 1 to 3 unsaturated bonds;
 n represents the average number of moles added of oxyethylene groups, and 45 ≦ n ≦ 500,
 p is 0-8,
 q and s are each independently 0 to 7,
 r is 0-10,
 A5 is the following substituent:
 The arrow indicates the connection to the rest of the compound,
 X is a halogen, and R1 , R2 and R3 are each independently selected from the group consisting of C1-10 alkyl, halogen, C1-10 alkoxy)
 Selected from the group consisting of]
 The compound represented by these is mentioned.
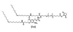
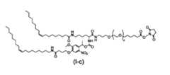
 式(I)のさらに好ましい化合物として、以下の式(I-c):
で表される化合物が挙げられる。As further preferred compounds of formula (I), the following formula (Ic):
 The compound represented by these is mentioned.
 また、式(I)の好ましい化合物として、以下の式(II-a):
A1及びA2が、それぞれ独立してC7-22アルキル基、C6-14アリール基、C6-14アリールC7-22アルキル基及びC7-22アルキルC6-14アリール基からなる群からから選択され、ここで前記C7-22アルキル基中の隣接する炭素原子は、1~3個の不飽和結合によって連結されていてもよく、
nはオキシエチレン基の平均付加モル数を示し、かつ45≦n≦500であり、
pは0~8であり、
qは、それぞれ独立して0~7であり、
rは0~10であり、
 A5が、以下の置換基:
矢印は、化合物の残りの部分への連結を示し、
Xはハロゲンであり、R1、R2及びR3はそれぞれ独立して、C1-10アルキル基、ハロゲン、C1-10アルコキシ基からなる群から選択される)
からなる群から選択される]
で表される化合物が挙げられる。As preferred compounds of formula (I), the following formula (II-a):
 A1 and A2 each independently comprise a C7-22 alkyl group, a C6-14 aryl group, a C6-14 aryl C7-22 alkyl group, and a C7-22 alkyl C6-14 aryl group. Selected from the group wherein adjacent carbon atoms in the C7-22 alkyl group may be linked by 1 to 3 unsaturated bonds;
 n represents the average number of moles added of oxyethylene groups, and 45 ≦ n ≦ 500,
 p is 0-8,
 q is independently 0 to 7,
 r is 0-10,
 A5 is the following substituent:
 The arrow indicates the connection to the rest of the compound,
 X is a halogen, and R1 , R2 and R3 are each independently selected from the group consisting of a C1-10 alkyl group, a halogen, and a C1-10 alkoxy group)
 Selected from the group consisting of]
 The compound represented by these is mentioned.
 式(II-a)の好ましい化合物として、以下の式(II-b):
で表される化合物が挙げられる。As preferred compounds of formula (II-a), the following formula (II-b):
 The compound represented by these is mentioned.
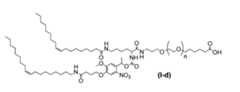
 また、式(I)の好ましい化合物として、以下の式(I-d)の化合物及び式(II-c)の化合物が挙げられる。
 一般的製造法
 式(I)で示される化合物は、その基本骨格あるいは置換基の種類に基づく特徴を利用し、種々の公知の合成法を適応して合成することができる。以下に代表的な製造法を例示するが、以下に記載の方法のみに限定されるものではない。なお、官能基の種類によっては、当該官能基を原料もしくは中間体の段階で適当な保護基、すなわち容易に当該官能基に転化可能な基に変えておくことが製造技術上効果的な場合があり、必要に応じて保護基を除去し、所望の化合物を得ることができる。このような官能基としては、水酸基、カルボキシル基、アミノ基等を挙げることができ、それら保護基としては例えば、グリーン(Greene)及びウッツ(Wutt)著プロテクティブ グループス イン オーガニック シンセシス 第3版「Protective Groups in Organic Synthesis (third edition)」に記載の保護基を挙げることができ、これらを反応条件に応じて適宜用いればよい。出発原料及び反応試薬は、公知の化合物であるか、又は公知化合物から有機化学の分野で周知の方法に従って容易に製造することができる。General Production Method The compound represented by the formula (I) can be synthesized by adapting various known synthesis methods using characteristics based on the basic skeleton or the type of substituent. Although the typical manufacturing method is illustrated below, it is not limited only to the method as described below. Depending on the type of functional group, it may be effective in terms of production technology to change the functional group to a suitable protecting group at the raw material or intermediate stage, that is, a group that can be easily converted to the functional group. Yes, the protecting group can be removed as necessary to obtain the desired compound. Examples of such a functional group include a hydroxyl group, a carboxyl group, an amino group, and the like, and examples of the protecting group include
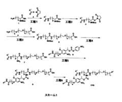
 式(I)に含まれる、式(I-b)で示される化合物は、以下のスキーム1で概説されるように調製され得る。なお以下のスキーム中の記号は、上記のものと同一である。
 工程1
 化合物1のアミノ基をN-ヒドロキシスクシンイミドエステルである化合物2と反応させて、化合物3を製造することができる。本工程で用いる溶媒としては、反応を阻害しないものであれば特に制限はないが、例えば、ジエチルエーテル、テトラヒドロフラン、1,4-ジオキサン、ベンゼン、トルエン、キシレン、ヘキサン、シクロヘキサン、N,N-ジメチルホルムアミド、酢酸エチル、ジクロロメタン、クロロホルム、1,2-ジクロロエタン、ジメチルスルホキシド、アセトン、アセトニトリル、又は、それらの混合溶媒等が挙げられる。好ましくはN,N-ジメチルホルムアミド、テトラヒドロフラン、アセトニトリルである。本工程における反応温度は、使用する原料、溶媒によって異なるが、通常、-78~200℃、好ましくは0~100℃であり、反応時間は、通常、1時間~7日間、好ましくは1時間~72時間である。Process 1
本工程は、A1-C(O)OHのN-ヒドロキシスクシンイミドエステルの代わりに、別の活性化剤を用いて得られた活性化エステルを用いて行うこともできる。そのような活性化剤は特に限定されないが、例えば、N-ヒドロキシスルホスクシンイミド、クロロぎ酸4-ニトロフェニル、1-ヒドロキシベンゾトリアゾール及び1-ヒドロキシ-7-アザベンゾトリアゾールが挙げられる。This step can also be performed using an activated ester obtained by using another activator instead of the N-hydroxysuccinimide ester of A1 -C (O) OH. Such activators are not particularly limited and include, for example, N-hydroxysulfosuccinimide, 4-nitrophenyl chloroformate, 1-hydroxybenzotriazole and 1-hydroxy-7-azabenzotriazole.
 工程2
 化合物3のカルボキシル基をN-ヒドロキシスクシンイミドと反応させて、N-ヒドロキシスクシンイミドエステルである化合物4を製造することができる。本工程で用いる溶媒としては、反応を阻害しないものであれば特に制限はないが、例えば、ジエチルエーテル、テトラヒドロフラン、1,4-ジオキサン、ベンゼン、トルエン、キシレン、ヘキサン、シクロヘキサン、N,N-ジメチルホルムアミド、酢酸エチル、ジクロロメタン、クロロホルム、1,2-ジクロロエタン、ジメチルスルホキシド、アセトン、アセトニトリル、又は、それらの混合溶媒などが挙げられる。好ましくはジクロロメタンである。本工程における反応温度は、使用する原料、溶媒によって異なるが、通常、-78~200℃、好ましくは0~100℃であり、反応時間は、通常、1時間~3日間、好ましくは1時間~24時間である。
 Compound 4 which is an N-hydroxysuccinimide ester can be produced by reacting the carboxyl group of
 なお、工程2において化合物3のカルボキシル基をN-ヒドロキシスクシンイミドエステルの代わりに、別の活性化剤を用いて得られた活性化エステルを用いて、その後の工程3に付すこともできる。行うこともできる。そのような活性化エステルは特に限定されないが、例えば、N-ヒドロキシスルホスクシンイミド、クロロぎ酸4-ニトロフェニル、1-ヒドロキシベンゾトリアゾールや1-ヒドロキシ-7-アザベンゾトリアゾールが挙げられる。In
 工程3
 N-ヒドロキシスクシンイミドエステルである化合物4を化合物5のアミノ基と反応させて、化合物6を製造することができる。本工程で用いる溶媒としては、反応を阻害しないものであれば特に制限はないが、例えば、ジエチルエーテル、テトラヒドロフラン、1,4-ジオキサン、ベンゼン、トルエン、キシレン、ヘキサン、シクロヘキサン、N,N-ジメチルホルムアミド、酢酸エチル、ジクロロメタン、クロロホルム、1,2-ジクロロエタン、ジメチルスルホキシド、アセトン、アセトニトリル、又は、それらの混合溶媒などが挙げられる。好ましくはジクロロメタンである。本工程における反応温度は、使用する原料、溶媒によって異なるが、通常、-78~200℃、好ましくは0~100℃であり、反応時間は、通常、1時間~3日間、好ましくは1時間~24時間である。
 Compound 6, which is an N-hydroxysuccinimide ester, can be reacted with the amino group of Compound 5 to produce Compound 6. The solvent used in this step is not particularly limited as long as it does not inhibit the reaction. For example, diethyl ether, tetrahydrofuran, 1,4-dioxane, benzene, toluene, xylene, hexane, cyclohexane, N, N-dimethyl Examples include formamide, ethyl acetate, dichloromethane, chloroform, 1,2-dichloroethane, dimethyl sulfoxide, acetone, acetonitrile, or a mixed solvent thereof. Preferred is dichloromethane. The reaction temperature in this step varies depending on the raw materials and the solvent to be used, but is usually −78 to 200 ° C., preferably 0 to 100 ° C., and the reaction time is usually 1 hour to 3 days, preferably 1 hour to 24 hours.
 工程4
 化合物6のアミノ基の保護基であるBoc基を、酸性条件下で脱保護して、化合物7を得ることができる。本工程で用いる酸としては、特に制限はないが、例えば、塩酸、硫酸、硝酸、ギ酸、トリフルオロ酢酸、メタンスルホン酸、p-トルエンスルホン酸が挙げられる。好ましくは、トリフルオロ酢酸もしくは塩酸である。本工程で用いる溶媒としては、反応を阻害しないものであれば特に制限はないが、例えば、メタノール、エタノール、2-プロパノール、ジエチルエーテル、テトラヒドロフラン、1,4-ジオキサン、ベンゼン、トルエン、キシレン、ヘキサン、シクロヘキサン、N,N-ジメチルホルムアミド、酢酸エチル、ジクロロメタン、クロロホルム、1,2-ジクロロエタン、ジメチルスルホキシド、アセトン、アセトニトリル、又は、それらの混合溶媒などが挙げられる。好ましくはジクロロメタン、もしくはメタノールである。本工程における反応温度は、使用する原料、溶媒によって異なるが、通常、-78~200℃、好ましくは0~100℃であり、反応時間は、通常、1時間~3日間、好ましくは1時間~24時間である。Process 4
 The Boc group, which is a protecting group for the amino group of Compound 6, can be deprotected under acidic conditions to give Compound 7. The acid used in this step is not particularly limited, and examples thereof include hydrochloric acid, sulfuric acid, nitric acid, formic acid, trifluoroacetic acid, methanesulfonic acid, and p-toluenesulfonic acid. Preferred is trifluoroacetic acid or hydrochloric acid. The solvent used in this step is not particularly limited as long as it does not inhibit the reaction. For example, methanol, ethanol, 2-propanol, diethyl ether, tetrahydrofuran, 1,4-dioxane, benzene, toluene, xylene, hexane , Cyclohexane, N, N-dimethylformamide, ethyl acetate, dichloromethane, chloroform, 1,2-dichloroethane, dimethyl sulfoxide, acetone, acetonitrile, or a mixed solvent thereof. Preferred is dichloromethane or methanol. The reaction temperature in this step varies depending on the raw materials and the solvent to be used, but is usually −78 to 200 ° C., preferably 0 to 100 ° C., and the reaction time is usually 1 hour to 3 days, preferably 1 hour to 24 hours.
 工程5
 化合物7と8とを塩基存在下で縮合して、化合物9を製造することができる。本工程で用いる塩基としては、特に制限はないが、例えば、トリメチルアミン、トリエチルアミン、トリイソプロピルアミン、ジイソプロピルエチルアミン、トリブチルアミン、ピリジン、4-ジメチルアミノピリジンが挙げられる。好ましくは、トリメチルアミン又はトリエチルアミンである。本工程で用いる溶媒としては、反応を阻害しないものであれば特に制限はないが、例えば、ジエチルエーテル、テトラヒドロフラン、1,4-ジオキサン、ベンゼン、トルエン、キシレン、ヘキサン、シクロヘキサン、N,N-ジメチルホルムアミド、酢酸エチル、ジクロロメタン、クロロホルム、1,2-ジクロロエタン、ジメチルスルホキシド、アセトン、アセトニトリル、又は、それらの混合溶媒などが挙げられる。好ましくはジクロロメタンである。本工程における反応温度は、使用する原料、溶媒によって異なるが、通常、-78~200℃、好ましくは0~100℃であり、反応時間は、通常、1時間~7日間、好ましくは12時間~72時間である。Process 5
 工程6
 化合物9のカルボキシル基を活性化剤により活性化して、修飾対象基材への反応基A5を有する式(I-b)の化合物を製造することができる。本工程で用いる溶媒としては、反応を阻害しないものであれば特に制限はないが、例えば、ジエチルエーテル、テトラヒドロフラン、1,4-ジオキサン、ベンゼン、トルエン、キシレン、ヘキサン、シクロヘキサン、N,N-ジメチルホルムアミド、酢酸エチル、ジクロロメタン、クロロホルム、1,2-ジクロロエタン、ジメチルスルホキシド、アセトン、アセトニトリル、又は、それらの混合溶媒などが挙げられる。好ましくはジクロロメタンである。本工程における反応温度は、使用する原料、溶媒によって異なるが、通常、-78~200℃、好ましくは0~100℃であり、反応時間は、通常、1時間~3日間、好ましくは1時間~24時間である。例えば、A5がN-ヒドロキシスクシンイミドエステルである場合、上記工程2と同様に製造することができる。Step 6
 The compound of formula (Ib) having a reactive group A5 on the base material to be modified can be produced by activating the carboxyl group of compound 9 with an activating agent. The solvent used in this step is not particularly limited as long as it does not inhibit the reaction. For example, diethyl ether, tetrahydrofuran, 1,4-dioxane, benzene, toluene, xylene, hexane, cyclohexane, N, N-dimethyl Examples include formamide, ethyl acetate, dichloromethane, chloroform, 1,2-dichloroethane, dimethyl sulfoxide, acetone, acetonitrile, or a mixed solvent thereof. Preferred is dichloromethane. The reaction temperature in this step varies depending on the raw materials and the solvent to be used, but is usually −78 to 200 ° C., preferably 0 to 100 ° C., and the reaction time is usually 1 hour to 3 days, preferably 1 hour to 24 hours. For example, when A5 is N-hydroxysuccinimide ester, it can be produced in the same manner as in
 上記スキーム1中の化合物8は、例えば以下のスキーム2に従って製造され得る。
 工程7
 化合物10のカルボキシル基を化合物11のアミノ基を、縮合剤存在下で反応させて、化合物12を製造することができる。本工程で用いる縮合剤としては、特に制限はないが、例えば、ジシクロヘキシルカルボジイミド、ジイソプロピルカルボジイミド、1-エチル-3-(3-ジメチルアミノプロピル)カルボジイミド塩酸塩、ベンゾトリアゾール-1-イルオキシ-トリスジメチルアミノホスホニウム塩、ヘキサフルオロリン酸(ベンゾトリアゾール-1-イルオキシ)トリピロリジノホスホニウム、4-(4,6-ジメトキシ-1,3,5-トリアジン-2-イル)-4-メチルモルホリニウムクロリドなどが挙げられる。好ましくは1-エチル-3-(3-ジメチルアミノプロピル)カルボジイミド塩酸塩である。本工程で用いる溶媒としては、反応を阻害しないものであれば特に制限はないが、例えば、ジエチルエーテル、テトラヒドロフラン、1,4-ジオキサン、ベンゼン、トルエン、キシレン、ヘキサン、シクロヘキサン、N,N-ジメチルホルムアミド、酢酸エチル、ジクロロメタン、クロロホルム、1,2-ジクロロエタン、ジメチルスルホキシド、アセトン、アセトニトリル、又は、それらの混合溶媒などが挙げられる。好ましくはテトラヒドロフラン、もしくはジクロロメタンである。本工程における反応温度は、使用する原料、溶媒によって異なるが、通常、-78~200℃、好ましくは0~100℃であり、反応時間は、通常、1時間~3日間、好ましくは1時間~24時間である。Step 7
 Compound 12 can be produced by reacting the carboxyl group of compound 10 with the amino group of compound 11 in the presence of a condensing agent. The condensing agent used in this step is not particularly limited. For example, dicyclohexylcarbodiimide, diisopropylcarbodiimide, 1-ethyl-3- (3-dimethylaminopropyl) carbodiimide hydrochloride, benzotriazol-1-yloxy-trisdimethylamino Phosphonium salt, hexafluorophosphoric acid (benzotriazol-1-yloxy) tripyrrolidinophosphonium, 4- (4,6-dimethoxy-1,3,5-triazin-2-yl) -4-methylmorpholinium chloride, etc. Is mentioned. 1-ethyl-3- (3-dimethylaminopropyl) carbodiimide hydrochloride is preferred. The solvent used in this step is not particularly limited as long as it does not inhibit the reaction. For example, diethyl ether, tetrahydrofuran, 1,4-dioxane, benzene, toluene, xylene, hexane, cyclohexane, N, N-dimethyl Examples include formamide, ethyl acetate, dichloromethane, chloroform, 1,2-dichloroethane, dimethyl sulfoxide, acetone, acetonitrile, or a mixed solvent thereof. Tetrahydrofuran or dichloromethane is preferred. The reaction temperature in this step varies depending on the raw materials and the solvent to be used, but is usually −78 to 200 ° C., preferably 0 to 100 ° C., and the reaction time is usually 1 hour to 3 days, preferably 1 hour to 24 hours.
 工程8
 化合物12のヒドロキシル基を、塩基存在下、クロロギ酸4-ニトロフェノールと反応させて式8の化合物を製造することができる。本工程で用いる塩基としては、特に制限はないが、例えば、トリメチルアミン、トリエチルアミン、トリイソプロピルアミン、ジイソプロピルエチルアミン、トリブチルアミン、ピリジン、4-ジメチルアミノピリジンが挙げられる。好ましくは、トリエチルアミンである。本工程で用いる溶媒としては、反応を阻害しないものであれば特に制限はないが、例えば、ジエチルエーテル、テトラヒドロフラン、1,4-ジオキサン、ベンゼン、トルエン、キシレン、ヘキサン、シクロヘキサン、N,N-ジメチルホルムアミド、酢酸エチル、ジクロロメタン、クロロホルム、1,2-ジクロロエタン、ジメチルスルホキシド、アセトン、アセトニトリル、又は、それらの混合溶媒などが挙げられる。好ましくはテトラヒドロフランである。本工程における反応温度は、使用する原料、溶媒によって異なるが、通常、-78~200℃、好ましくは0~100℃であり、反応時間は、通常、5分~3日間、好ましくは15分~24時間である。
 The hydroxyl group of compound 12 can be reacted with 4-nitrophenol chloroformate in the presence of a base to produce a compound of
 また、式(II-b)の化合物は、上記スキーム1中の化合物8を以下のスキーム3に従って製造され得る化合物16と置き換えることで製造され得る。
  上記スキーム3の工程9は、上記スキーム1の工程1と同様に行うことができる。また、上記工程10は上記スキーム2の工程8と同様に行うことができる。化合物13は、例えば本願実施例に記載の方法で製造することができる。Step 9 of
本明細書中の各反応において、加熱を伴う反応は、当業者にとって明らかなように、水浴、油浴、砂浴又はマイクロウェーブを用いて行なうことができる。In each reaction in the present specification, the reaction involving heating can be performed using a water bath, an oil bath, a sand bath, or a microwave, as will be apparent to those skilled in the art.
本明細書中の各反応において、適宜、高分子ポリマー(例えば、ポリスチレン、ポリアクリルアミド、ポリプロピレン、ポリエチレングリコール等)に担持させた固相担持試薬を用いてもよい。In each reaction in the present specification, a solid-phase-supported reagent supported on a polymer (eg, polystyrene, polyacrylamide, polypropylene, polyethylene glycol, etc.) may be used as appropriate.
以上のようにして得られた式(I)の化合物及び各中間体は、抽出、結晶化、再結晶、透析、各種クロマトグラフィーなどの通常の有機合成操作により単離精製される。The compound of formula (I) and each intermediate obtained as described above are isolated and purified by ordinary organic synthesis operations such as extraction, crystallization, recrystallization, dialysis, and various chromatography.
本発明の一態様は、本発明の化合物とその修飾対象基材とを反応させて得られた、脂質膜含有物を固定化するための基材である(以下、「本発明の基材」とも呼ぶ)。本発明の基材の形態は特に限定されないが、例えば、基板(本発明の化合物が修飾されるべき部位がプレート状又はフィルム状のもの、例えばスライドガラス、ディッシュ、マイクロプレート、マイクロアレイ用基板)、担体(例えばビーズ)、繊維状構造物、管、容器(例えば試験管及びバイアル)などが挙げられる。修飾対象基材の原料としては、ガラス;セメント;陶磁器等のセラミックスもしくはファインセラミックス;ポリエチレンテレフタレート、酢酸セルロース、ポリカーボネート、ポリスチレン及びポリメチルメタクリレートなどのポリマー樹脂;ポリペプチド及びタンパク質などの生体材料;シリコン;活性炭;多孔質ガラス;多孔質セラミックス;多孔質シリコン;多孔質活性炭;不織布;濾紙;メンブレンフィルター;金などの導電性材料、などが挙げられる。修飾対象基材の表面は、アミノ基、カルボキシル基、ヒドロキシ基などを導入するため、ポリ陽イオンなどのポリマーによる被覆処理、あるいは基材表面への導入置換基を有するシランカップリング剤による処理が施されていてもよい。あるいはプラズマ処理により反応性官能基が導入されていてもよい。One embodiment of the present invention is a substrate for immobilizing a lipid membrane-containing material obtained by reacting a compound of the present invention with a substrate to be modified (hereinafter, “substrate of the present invention”). Also called). Although the form of the base material of the present invention is not particularly limited, for example, a substrate (where the compound of the present invention is to be modified is a plate or film, such as a glass slide, a dish, a microplate, a microarray substrate), Examples include carriers (for example, beads), fibrous structures, tubes, containers (for example, test tubes and vials), and the like. Materials for the base material to be modified include glass; cement; ceramics such as ceramics or fine ceramics; polymer resins such as polyethylene terephthalate, cellulose acetate, polycarbonate, polystyrene, and polymethyl methacrylate; biomaterials such as polypeptides and proteins; silicon; Examples include activated carbon; porous glass; porous ceramics; porous silicon; porous activated carbon; non-woven fabric; filter paper; membrane filter; Since the surface of the base material to be modified introduces amino groups, carboxyl groups, hydroxy groups, etc., it can be coated with a polymer such as polycation or treated with a silane coupling agent having a substituent introduced onto the surface of the base material. It may be given. Alternatively, a reactive functional group may be introduced by plasma treatment.
一の実施形態において、本発明の化合物とその修飾対象基材との反応は、修飾対象基材表面を本発明の化合物と接触させることによって行われる。当該接触により、本発明の化合物の「修飾対象基材への反応基」が修飾対象基材と非共有結合的に反応して固定化され、脂質膜含有物を固定化するための基材が調製される。当該反応において、本発明の化合物とその修飾対象基材との反応で用いる溶媒の種類は、反応に関与しない溶媒であれば特に制限されないが、例えばリン酸緩衝液、ホウ酸緩衝液、トリス緩衝液、酢酸緩衝液、炭酸緩衝液、グッドの緩衝液等の緩衝液もしくはその等張液;又はアセトニトリル、ジメチルスルホキシド、ジメチルホルムアミド等の有機溶媒;又は前記緩衝液若しくは等張液と前記有機溶媒との混合液を用いることができる。修飾対象基材を損傷・変性させないために、本発明の化合物を溶解しやすい有機溶媒(例えばアセトニトリル、ジメチルスルホキシド、ジメチルホルムアミド)に溶解した後に、前記緩衝液若しくは等張液で充分に希釈した溶液を使用することが好ましい。反応温度は、特に限定されないが、例えば、-78~200℃、さらに0~100℃が好ましい。反応時間は通常は1分~72時間程度であり、30分~24時間が好ましい。反応後、基材を水で洗浄することが好ましい。In one embodiment, the reaction between the compound of the present invention and the substrate to be modified is carried out by bringing the surface of the substrate to be modified into contact with the compound of the present invention. By this contact, the “reactive group to the substrate to be modified” of the compound of the present invention is immobilized by reacting non-covalently with the substrate to be modified, and the substrate for immobilizing the lipid membrane-containing material is Prepared. In the reaction, the type of the solvent used in the reaction between the compound of the present invention and the base material to be modified is not particularly limited as long as it is a solvent that does not participate in the reaction. For example, phosphate buffer, borate buffer, Tris buffer Buffer, acetate buffer, carbonate buffer, buffer such as Good's buffer or isotonic solution thereof; or organic solvent such as acetonitrile, dimethyl sulfoxide, dimethylformamide; or the buffer or isotonic solution and the organic solvent Can be used. In order not to damage or modify the base material to be modified, the compound of the present invention is dissolved in an easily soluble organic solvent (for example, acetonitrile, dimethyl sulfoxide, dimethylformamide) and then sufficiently diluted with the buffer or isotonic solution. Is preferably used. The reaction temperature is not particularly limited, but is preferably −78 to 200 ° C., more preferably 0 to 100 ° C. The reaction time is usually about 1 minute to 72 hours, preferably 30 minutes to 24 hours. After the reaction, the substrate is preferably washed with water.
他の実施形態において、本発明の化合物とその修飾対象基材との反応は、修飾対象基材と本発明の化合物とを混合することによって行われる。当該混合は、例えば基材原料を本発明の化合物と混合し、当該混合物を用いて基材を製造する場合も含む。この場合、基材原料と本発明の化合物との混合工程時に両者が反応してもよいし、混合工程後、基材の製造工程時に両者が反応してもよい。混合工程は、基材原料と本発明の化合物とを固体状態で混合することにより行われてもよいし、本発明の化合物を溶媒(例えば上記の水性溶媒及び/又は有機溶媒)に溶解後、得られた溶液と基材原料とを混合することにより行われてもよい。基材の製造工程は、その基材の製造業者にとって周知の一般的な方法により行われ得る。In another embodiment, the reaction between the compound of the present invention and the substrate to be modified is performed by mixing the substrate to be modified and the compound of the present invention. The mixing includes, for example, a case where a base material is mixed with the compound of the present invention and a base material is produced using the mixture. In this case, both may react during the mixing step of the base material and the compound of the present invention, or both may react during the manufacturing step of the substrate after the mixing step. The mixing step may be performed by mixing the base material and the compound of the present invention in a solid state, or after dissolving the compound of the present invention in a solvent (for example, the above aqueous solvent and / or organic solvent), You may carry out by mixing the obtained solution and base material. The manufacturing process of a base material can be performed by a general method well known to the manufacturer of the base material.
 本発明の一態様は、以下の式(III)の基:
A1~A4、A6、L1、L2、k1及びk2は、上の本発明の化合物で定義された通りであり、
A7は、式(III)のその他の部分と基材とを連結する二価の基であるか、又は基材と非共有結合で連結可能な反応基であり、
矢印は、基材への共有結合又は非共有結合による連結を示す]
を有する、脂質膜含有物を固定化するための基材に関する。以下で「本発明の式(III)の基を有する基材」とも呼ぶ。One aspect of the present invention is a group of the following formula (III):
 A1 to A4 , A6 , L1 , L2 , k1 and k2 are as defined for the compounds of the present invention above,
 A7 is a divalent group that connects the other part of formula (III) and the substrate, or a reactive group that can be connected to the substrate by a non-covalent bond,
 Arrow indicates covalent or non-covalent linkage to substrate]
 The present invention relates to a base material for immobilizing a lipid membrane-containing material. Hereinafter, it is also referred to as “a substrate having a group of the formula (III) of the present invention”.
本発明の式(III)の基を有する基材の形態及び原料は、「本発明の基材」の形態及び原料として上で例示したものであってもよい。The form and raw material of the substrate having the group of the formula (III) of the present invention may be those exemplified above as the form and raw material of the “substrate of the present invention”.
本発明の式(III)の基を有する基材において、式(III)のその他の部分と基材とを連結する二価の基とは、特に限定されないが、例えば本発明の化合物中の共有結合性の「修飾対象基材への反応基」と修飾対象基材に含まれる官能基との反応により形成された二価の基が挙げられる。共有結合性の「修飾対象基材への反応基」としては、本発明の化合物に関して上で例示したものであってもよい。In the base material having the group of the formula (III) of the present invention, the divalent group for linking the other part of the formula (III) and the base material is not particularly limited, but for example, sharing in the compound of the present invention Examples thereof include a divalent group formed by a reaction between a binding “reactive group to the substrate to be modified” and a functional group contained in the substrate to be modified. The covalent bond “reactive group to the substrate to be modified” may be those exemplified above with respect to the compound of the present invention.
本発明の式(III)の基を有する基材において、基材と非共有結合で連結可能な反応基とは、特に限定されないが、例えば上記の、本発明の化合物中の「修飾対象基材への反応基」を修飾対象基材と非共有結合的に反応させて固定化する例において挙げられたものであってもよい。In the substrate having the group of the formula (III) of the present invention, the reactive group that can be linked to the substrate by a non-covalent bond is not particularly limited. For example, the above-mentioned “substrate to be modified” in the compound of the present invention The “reactive group” may be the same as mentioned in the example of immobilizing by reacting non-covalently with the base material to be modified.
本発明の式(III)の基を有する基材は、例えば、本発明の化合物とその修飾対象基材とを反応させて得ることができる。その反応条件は、例えば上記した「本発明の基材」の調製方法が適用され得る。The base material having the group of the formula (III) of the present invention can be obtained, for example, by reacting the compound of the present invention with a base material to be modified. As the reaction conditions, for example, the above-described method for preparing the “substrate of the present invention” can be applied.
本発明の一態様は、基材上に脂質膜含有物をパターニングする方法であって、以下のステップ:(1)本発明の基材上において脂質膜含有物のパターンを形成する部分に光を照射して、当該部分の脂質膜結合基を脂質膜と結合可能な状態とし;(2)前記脂質膜含有物を前記脂質膜結合基と反応させて前記脂質膜含有物のパターンを形成すること、を含む、前記方法に関する(以下、「本発明のパターニング方法」とも呼ぶ)。One aspect of the present invention is a method for patterning a lipid membrane-containing material on a substrate, which comprises the following steps: (1) light is applied to a portion of the substrate of the present invention that forms the pattern of the lipid membrane-containing material. Irradiating to make the lipid membrane-bound group of the part capable of binding to the lipid membrane; (2) reacting the lipid membrane-containing material with the lipid membrane-bound group to form a pattern of the lipid membrane-containing material (Hereinafter also referred to as “patterning method of the present invention”).
本明細書中「パターニング」とは、基材上を局所的に改質し、脂質膜含有物を当該基材上の所望の位置に配置し、固定化することをいう。パターニングにおいて、基材上に単一種類の脂質膜含有物を特定のパターンで配置してもよく、複数種類の脂質膜含有物を特定のパターンで配置してもよい。パターンの形状は、特に限定されないが、例えば脂質膜含有物を一定の間隔を空けて配置してもよい。この場合、脂質膜含有物を配置する場所の個数に制限はなく、たとえ一点であっても「パターニング」に含まれる。また、パターンの形状は、脂質膜含有物を連続的に配置してもよい。In the present specification, “patterning” refers to locally modifying the base material, placing the lipid membrane-containing material at a desired position on the base material, and immobilizing it. In patterning, a single type of lipid membrane-containing material may be arranged in a specific pattern on the substrate, or a plurality of types of lipid membrane-containing materials may be arranged in a specific pattern. Although the shape of a pattern is not specifically limited, For example, you may arrange | position a lipid membrane containing thing with a fixed space | interval. In this case, the number of places where the lipid membrane-containing material is disposed is not limited, and even one point is included in “patterning”. Moreover, the shape of a pattern may arrange | position a lipid membrane containing material continuously.
上記ステップ(1)において、照射する光の波長は、本発明の化合物中の光反応基の種類に応じて決めればよく、通常、157~600nmの範囲の波長、好ましくは250~450nm付近の波長の光を照射する。しかし、多光子吸収により光反応を行う場合は、上記よりも長波長の光を用いることも可能である。光源は太陽光、水銀灯などの電灯光、レーザー光(半導体レーザー、固体レーザー、ガスレーザー)、発光ダイオードの発光、エレクトロルミネッセント素子の発光などが利用できる。光照射の方法は、光源からの光を必要に応じて適当なフィルターを介して基材表面に均一に照射することもできるし、いわゆるマスクを用いて所望の形状のパターン露光をしてもよい。あるいは、光をレンズや鏡を用いて集光し、微細な形状に照射してもよい。あるいは、集光した光線を走査露光してもよい。パターン露光の場合、マスク(レチクル)とワーク(試料)を接触させて露光する露光形式であるコンタクト露光で行われてもよい。また、マスク(レチクル)とワーク(試料)の隙間を数μmから数十μm程度に設定して露光する非接触の露光方式であるプロキシミティ露光で行われてもよい。さらには、液晶やデジタルミラーデバイスで作製した像をワーク表面に投影する投影露光法(マスクレス露光法)を用いてもよい。反応温度は、特に限定されないが、通常-78~200℃であり、0~100℃が好ましく、細胞等の生物試料を含む水性媒体がワーク上に存在する場合は、4~50℃がより好ましい。光照射エネルギーは、本化合物で修飾された基材表面が脂質膜含有物を固定化する機能を発揮できる程度であればよく、通常は0.001~1000J/cm2であり、0.01~100J/cm2が好ましい。In the above step (1), the wavelength of the light to be irradiated may be determined according to the type of the photoreactive group in the compound of the present invention, and is usually in the range of 157 to 600 nm, preferably in the vicinity of 250 to 450 nm. Irradiate the light. However, in the case of performing a photoreaction by multiphoton absorption, it is possible to use light having a longer wavelength than the above. Light sources such as sunlight, electric light such as mercury lamps, laser light (semiconductor lasers, solid state lasers, gas lasers), light emission of light emitting diodes, light emission of electroluminescent elements can be used. As the light irradiation method, light from the light source can be uniformly irradiated onto the substrate surface through an appropriate filter as necessary, or pattern exposure of a desired shape may be performed using a so-called mask. . Alternatively, the light may be collected using a lens or a mirror and irradiated in a fine shape. Alternatively, the condensed light beam may be subjected to scanning exposure. In the case of pattern exposure, the exposure may be performed by contact exposure, which is an exposure format in which a mask (reticle) and a workpiece (sample) are brought into contact with each other for exposure. Further, proximity exposure, which is a non-contact exposure method in which exposure is performed by setting a gap between a mask (reticle) and a workpiece (sample) to about several μm to several tens of μm, may be performed. Furthermore, you may use the projection exposure method (maskless exposure method) which projects the image produced with the liquid crystal or the digital mirror device on the workpiece | work surface. The reaction temperature is not particularly limited, but is usually −78 to 200 ° C., preferably 0 to 100 ° C., and more preferably 4 to 50 ° C. when an aqueous medium containing a biological sample such as a cell is present on the workpiece. . The light irradiation energy may be such that the surface of the base material modified with the present compound can exhibit the function of immobilizing the lipid membrane-containing material, and is usually 0.001 to 1000 J / cm2 , 0.01 to 100 J / cm2 is preferred.
上記ステップ(2)における反応は、通常は-78~200℃で、好ましくは0~100℃で行い、細胞等の生物試料を含む水性媒体がワーク上に存在する場合は、4~50℃がより好ましい。通常は1秒間~120分間で、好ましくは15秒間~30分間行う。The reaction in the above step (2) is usually carried out at −78 to 200 ° C., preferably 0 to 100 ° C. When an aqueous medium containing a biological sample such as a cell is present on the workpiece, 4 to 50 ° C. More preferred. Usually, it is carried out for 1 second to 120 minutes, preferably 15 seconds to 30 minutes.
上記ステップ(1)及び(2)を繰り返すことで、基材上に複数の異なる脂質膜含有物を、迅速かつ簡便にパターニングすることが可能である。ステップ(2)の終了後、ステップ(1)を再度行う前に、未反応の脂質膜含有物を基材から除去するための洗浄ステップが行われてもよい。By repeating the above steps (1) and (2), it is possible to quickly and easily pattern a plurality of different lipid membrane-containing materials on the substrate. After the completion of step (2), before performing step (1) again, a washing step for removing the unreacted lipid membrane-containing material from the substrate may be performed.
一の実施形態において、本発明のパターニング方法は、以下のステップ:(3)ステップ(2)で得られた基材を洗浄して、未反応の脂質膜含有物を基材から除去し;(4)以前のステップで使用した脂質膜含有物とは異なる脂質膜含有物を使用して、ステップ(1)~(3)を繰り返すことで、複数の異なる脂質膜含有物のパターンを形成すること、をさらに含んでもよい。In one embodiment, the patterning method of the present invention includes the following steps: (3) washing the substrate obtained in step (2) to remove unreacted lipid membrane-containing materials from the substrate; 4) Form a plurality of different lipid membrane-containing patterns by repeating steps (1) to (3) using a lipid membrane-containing material different from that used in the previous step. , May further be included.
本発明の一態様は、脂質膜含有物を単離する方法であって、以下のステップ:(1)「本発明の基材」又は「本発明の式(III)の基を有する基材」に、脂質膜含有物を含む試料を適用し;(2)基材上の前記脂質膜含有物の位置を顕微鏡観察に基づいて検出し;(3)前記位置に光を照射して、前記位置の脂質膜結合基を脂質膜と結合可能な状態とし、基材上に前記脂質膜含有物を固定化し;(4)ステップ(3)で得られた基材を洗浄して、基材に固定化されていない物質を基材から除去することを含む、前記方法に関する。(以下、「本発明の単離方法」とも呼ぶ)。One aspect of the present invention is a method for isolating a lipid membrane-containing material, comprising the following steps: (1) “substrate of the present invention” or “substrate having the group of formula (III) of the present invention” (2) detecting the position of the lipid film-containing material on the substrate based on microscopic observation; (3) irradiating the position with light, and The lipid membrane-binding group of is allowed to bind to the lipid membrane, and the lipid membrane-containing material is immobilized on the substrate; (4) The substrate obtained in step (3) is washed and immobilized on the substrate. The method comprising removing unmodified material from the substrate. (Hereinafter also referred to as “the isolation method of the present invention”).
本発明の単離方法で単離されるべき脂質膜含有物は、特に限定されないが、例えば血中循環腫瘍細胞(Circulating Tumor Cells: CTC)が挙げられる。The lipid membrane-containing material to be isolated by the isolation method of the present invention is not particularly limited, and examples thereof include circulating tumor cells (Circulating Tumor Cells: CTC).
本発明の単離方法で単離されるべき脂質膜含有物の顕微鏡観察に基づく検出は、脂質膜含有物を標識することなく、単離されるべき脂質膜含有物の特有の形態や特性などに基づいて行われても良い。また、単離されるべき脂質膜含有物を標識して当該標識に基づいて行われても良い。The detection based on the microscopic observation of the lipid membrane-containing material to be isolated by the isolation method of the present invention is based on the specific form and characteristics of the lipid membrane-containing material to be isolated without labeling the lipid membrane-containing material. It may be done. Moreover, the lipid membrane-containing material to be isolated may be labeled and performed based on the label.
本発明の単離方法におけるステップ(2)の光照射条件、及び脂質膜含有物の固定化条件は、本発明のパターニング方法のステップ(1)及び(2)と同様の条件で行い得る。The light irradiation conditions in step (2) and the conditions for immobilizing the lipid membrane-containing material in the isolation method of the present invention can be performed under the same conditions as in steps (1) and (2) of the patterning method of the present invention.
以下に示す実施例及び比較例を参照して本発明をさらに詳しく説明するが、本発明の範囲は、これらの実施例によって限定されるものでないことは言うまでもない。The present invention will be described in more detail with reference to the following examples and comparative examples, but it goes without saying that the scope of the present invention is not limited by these examples.
 なお、下記実施例中で用いられている略号は下記の意味を示す。
1H-NMR: プロトン核磁気共鳴スペクトル
APTES: 3-アミノプロピルトリエトキシシラン
BOC: N-tert-ブトキシカルボニル
BSA: ウシ血清アルブミン
CDCl3: 重水素化クロロホルム
CHCl3: クロロホルム
DCC: N,N'-ジシクロヘキシルカルボジイミド
DCM: ジクロロメタン
DMEM: ダルベッコ改変イーグル培地
DMF: N,N-ジメチルホルムアミド
DMSO: ジメチルスルホキシド
eq: 化学当量
Et3N: トリエチルアミン
FBS: ウシ胎児血清
MeOH: メタノール
MW: 分子量
NHS: N-ヒドロキシスクシンイミド
PBS: リン酸緩衝生理食塩水
PEG: ポリエチレングリコール
Ph: 位相差顕微鏡
PL: 光切断性リンカー (Photo cleavable linker), 4-[4-(1-ヒドロキシ-エチル)-2-メトキシ-5-ニトロフェノキシ] 酪酸
Rf: 保持因子
rpm: 回毎分
TFA: トリフルオロ酢酸
THF: テトラヒドロフラン
TLC: 薄層クロマトグラフィー
WSC: 1-エチル-3-(3-ジメチルアミノプロピル)カルボジイミド塩酸塩In addition, the symbol used in the following Example shows the following meaning.
 1H-NMR: Proton nuclear magnetic resonance spectrum
 APTES: 3-Aminopropyltriethoxysilane
 BOC: N-tert-butoxycarbonyl
 BSA: Bovine serum albumin
 CDCl3 : Deuterated chloroform
 CHCl3 : Chloroform
 DCC: N, N'-dicyclohexylcarbodiimide
 DCM: dichloromethane
 DMEM: Dulbecco's Modified Eagle Medium
 DMF: N, N-dimethylformamide
 DMSO: Dimethyl sulfoxide
 eq: chemical equivalent
 Et3 N: Triethylamine
 FBS: Fetal bovine serum
 MeOH: methanol
 MW: molecular weight
 NHS: N-hydroxysuccinimide
 PBS: phosphate buffered saline
 PEG: Polyethylene glycol
 Ph: Phase contrast microscope
 PL: Photo cleavable linker, 4- [4- (1-hydroxy-ethyl) -2-methoxy-5-nitrophenoxy] butyric acid
 Rf: retention factor
 rpm: times per minute
 TFA: trifluoroacetic acid
 THF: tetrahydrofuran
 TLC: Thin layer chromatography
 WSC: 1-ethyl-3- (3-dimethylaminopropyl) carbodiimide hydrochloride
 実施例1
 式(I-c)の化合物の製造
 Preparation of compounds of formula (Ic)
(1)化合物1cの製造
 50mLナスフラスコ中にオレイルアミン(MW: 267.5, 264.0 mg, 987.0 μmol, 2.01 eq)と、4-[4-(1-ヒドロキシ-エチル)-2-メトキシ-5-ニトロフェノキシ] 酪酸 (以下、「Photo cleavable linker」又は「PL」とも呼ぶ) (MW: 299.28, 143.8 mg, 480.5 μmol, 1.0 eq)を入れ、乾燥THF 5 mLを入れ撹拌した。WSC (MW: 191.7, 268.7 mg, 1401.6 μmol, 2.92 eq)、NHS (MW: 115.1, 97.3 mg, 1.76 eq)、乾燥Et3N 3滴を入れ、17時間反応させた。TLC(CHCl3:MeOH=6:1)により、PL (Rf: 0.4)のスポットの消失により反応の完了を確認した。減圧乾燥したのち、直径3.0 cmのカラム管に高さ10 cmまでシリカゲルを詰め、反応物をCHCl3 3 mLでロードし、カラム精製した。減圧乾燥により、オイル状の黄色固体を得た。1H-NMRにより解析を行った。
1H NMR (600 MHz, CDCl3) δ . 0.88 (t, CH2CH3, 3H); 1.20-1.40 (br m, CH3CH2, CH=CHCH2CH2CH2CH2CH2CH2, 22H); 1.47 (tt, CH2CH2NH, 2H); 1.56 (d, CH(OH)CH3, 3H); 1.93-2.08 (m, CH2CH=CH, 4H); 2.20 (tt, OCH2CH2, 2H); 2.40 (t, C(=O)CH2, 2H); 3.23 (dt, NHCH2, 2H); 3.98 (s, OCH3, 3H); 4.12 (t, OCH2, 2H); 5.29-5.43 (br m, CH=CH, 2H); 5.58 (m, CHOH, 1H); 7.30 (s, aromatic CH-m-NO2, 1H); 7.58 (s, aromatic CH-O-NO2, 1H).In a 50 mL eggplant flask, oleylamine (MW: 267.5, 264.0 mg, 987.0 μmol, 2.01 eq) and 4- [4- (1-hydroxy-ethyl) -2-methoxy-5-nitrophenoxy] butyric acid (hereinafter “Photo (also called “cleavable linker” or “PL”) (MW: 299.28, 143.8 mg, 480.5 μmol, 1.0 eq) was added, and 5 mL of dry THF was added and stirred. WSC (MW: 191.7, 268.7 mg, 1401.6 μmol, 2.92 eq), NHS (MW: 115.1, 97.3 mg, 1.76 eq) and 3 drops of dry Et3 N were added and reacted for 17 hours. TLC (CHCl3 : MeOH = 6: 1) confirmed the completion of the reaction by the disappearance of the PL (Rf: 0.4) spot. After drying under reduced pressure, silica gel was packed in a column tube having a diameter of 3.0 cm to a height of 10 cm, and the reaction product was loaded with 3 mL of CHCl3 to purify the column. By drying under reduced pressure, an oily yellow solid was obtained. Analysis was performed by 1H-NMR.
1 H NMR (600 MHz, CDCl3 ) δ .0.88 (t, CH2CH3, 3H); 1.20-1.40 (br m, CH3CH2, CH = CHCH2CH2CH2CH2CH2CH2, 22H); 1.47 (tt, CH2CH2NH, 2H); 1.56 (d, CH (OH) CH3, 3H); 1.93-2.08 (m, CH2CH = CH, 4H); 2.20 (tt, OCH2CH2, 2H); 2.40 (t, C (= O) CH2, 2H); 3.23 (dt, NHCH2 , 2H); 3.98 (s, OCH3, 3H); 4.12 (t, OCH2, 2H); 5.29-5.43 (br m, CH = CH, 2H); 5.58 (m, CHOH, 1H); 7.30 (s, aromatic (CH-m-NO2 , 1H); 7.58 (s, aromatic CH-O-NO2 , 1H).
(2)化合物2cの製造
1H NMR (600 MHz, CDCl3) δ . 0.88 (t, CH2CH3, 3H); 1.20-1.40 (br m, CH3CH2, CH=CHCH2CH2CH2CH2CH2CH2, 22H); 1.48 (tt, CH2CH2NH, 2H); 1.78 (d, CH(O)CH3, 3H); 1.93-2.08 (m, CH2CH=CH, 4H); 2.21 (tt, OCH2CH2, 2H); 2.39 (t, C(=O)CH2, 2H); 3.25 (dt, NHCH2, 2H); 4.00 (s, OCH3,3H); 4.14 (t, OCH2, 2H); 5.30-5.42 (br m, CH=CH, 2H); 6.54 (q, CH3CHO, 1H); 7.11 (s, aromatic CH-m-NO2, 1H); 7.35 (d, aromatic CH-o-NO2, 2H); 7.62 (s, aromatic CH-o-NO2, 1H); 8.26 (d, aromatic CH-m-NO2, 2H).(2) Production of compound 2c
1 H NMR (600 MHz, CDCl3 ) δ .0.88 (t, CH2CH3, 3H); 1.20-1.40 (br m, CH3CH2, CH = CHCH2CH2CH2CH2CH2CH2, 22H); 1.48 (tt, CH2CH2NH, 2H); 1.78 (d, CH (O) CH3, 3H); 1.93-2.08 (m, CH2CH = CH, 4H); 2.21 (tt, OCH2CH2, 2H); 2.39 (t, C (= O) CH2, 2H); 3.25 (dt, NHCH2 , 2H); 4.00 (s, OCH3,3H); 4.14 (t, OCH2, 2H); 5.30-5.42 (br m, CH = CH, 2H); 6.54 (q, CH3CHO, 1H); 7.11 (s, aromatic CH-m-NO2 , 1H); 7.35 (d, aromatic CH-o-NO2 , 2H); 7.62 (s, aromatic CH-o-NO2 , 1H); 8.26 (d, aromatic CH-m-NO2 , 2H).
(3)化合物3cの製造
1H NMR (600 MHz, CDCl3) δ . 0.88 (t, CH2CH3, 3H); 1.20-1.40 (br m, CH3CH2, CH=CHCH2CH2CH2CH2CH2CH2, 22H); 1.42 (m, NHCH2CH2CH2, 2H); 1.45 (s, C(CH3)3, 9H); 1.54 (m, NHCH2CH2, 2H); 1.71 (m, NHCHCH2, 2H); 1.87 (m, CH2CH2C(=O), 2H); 1.93-2.08 (m, CH2CH=CH, 4H); 2.17 (t, CH2C(=O), 2H); 3.25 (dt, NHCH2, 2H); 3.73 (dt, NHCHC(=O), 1H); 5.20-5.40 (br m, CH=CH, 2H).(3) Production of compound 3c
1 H NMR (600 MHz, CDCl3 ) δ .0.88 (t, CH2CH3, 3H); 1.20-1.40 (br m, CH3CH2, CH = CHCH2CH2CH2CH2CH2CH2, 22H); 1.42 (m, NHCH2CH2CH2, 2H); 1.45 (s, C (CH3) 3, 9H); 1.54 (m, NHCH2CH2, 2H); 1.71 (m, NHCHCH2, 2H); 1.87 (m, CH2CH2C (= O), 2H); 1.93-2.08 (m, CH2CH = CH, 4H); 2.17 (t, CH2C (= O), 2H); 3.25 (dt, NHCH2, 2H); 3.73 (dt, NHCHC (= O), 1H); 5.20-5.40 (br m, CH = CH, 2H ).
(4)化合物4cの製造
1H NMR (600 MHz, CDCl3) δ . 0.88 (t, CH2CH3, 3H); 1.20-1.40 (br m, CH3CH2CH2, CH=CHCH2CH2CH2CH2CH2, 20H); 1.46 (s, C(CH3)3, 9H); 1.52-1.72 (br m, NHCH2CH2CH2CH2, 6H); 1.91 (m, CH2CH2C(=O), 2H); 2.01 (m, CH2CH=CH, 4H); 2.85 (s, C(=O)CH2CH2C(=O), 4H); 3.19-3.35 (m, NHCH2, 2H); 3.72 (m, NHCHC(=O), 1H); 5.34 (m, CH=CH, 2H).(4) Production of compound 4c
1 H NMR (600 MHz, CDCl3 ) δ .0.88 (t, CH2CH3, 3H); 1.20-1.40 (br m, CH3CH2CH2, CH = CHCH2CH2CH2CH2CH2, 20H); 1.46 (s, C (CH3) 3, 9H); 1.52-1.72 (br m, NHCH2CH2CH2CH2, 6H); 1.91 (m, CH2CH2C (= O), 2H); 2.01 (m, CH2CH = CH, 4H); 2.85 (s, C (= O) CH2CH2C (= O) , 4H); 3.19-3.35 (m, NHCH2, 2H); 3.72 (m, NHCHC (= O), 1H); 5.34 (m, CH = CH, 2H).
(5)化合物5cの製造
1H NMR (600 MHz, CDCl3) δ . 0.88 (t, CH2CH3, 3H); 1.20-1.35 (br m, CH3CH2CH2, CH=CHCH2CH2CH2CH2CH2, 20H); 1.38-1.40 (br m, CH2CH2C(=O), NHCH2CH2CH2O, 4H); 1.44 (s, C(CH3)3, 9H); 1.57-1.69 (br m, CH2CH2CH2C(=O)OH, 4H); 1.73-1.86 (br m, CH2C(=O)NHCH2CH2, 4H); 2.01 (m, CH2CH=CH, 4H); 2.15 (t, CH2CHC(=O)NH, 2H); 2.32 (t, CH2C(=O)OH, 2H); 3.23 (m, CH2C(=O)NHCH2, 2H); 3.33 (s, CHC(=O)NHCH2, 2H); 3.47 (t, CHC(=O)NH, 1H); 3.50-3.80 (br m, CH2O(CH2CH2O)nCH2, OCH2CH2CH2CH2); 5.34 (m, CH=CH, 2H).(5) Production of compound 5c
1 H NMR (600 MHz, CDCl3 ) δ .0.88 (t, CH2CH3, 3H); 1.20-1.35 (br m, CH3CH2CH2, CH = CHCH2CH2CH2CH2CH2, 20H); 1.38-1.40 (br m, CH2CH2C (= O), NHCH2CH2CH2O, 4H); 1.44 (s, C (CH3) 3, 9H); 1.57-1.69 (br m, CH2CH2CH2C (= O) OH, 4H); 1.73-1.86 (br m, CH2C (= O) NHCH2CH2, 4H 2.01 (m, CH2CH = CH, 4H); 2.15 (t, CH2CHC (= O) NH, 2H); 2.32 (t, CH2C (= O) OH, 2H); 3.23 (m, CH2C (= O) NHCH2, 2H); 3.33 (s, CHC (= O) NHCH2, 2H); 3.47 (t, CHC (= O) NH, 1H); 3.50-3.80 (br m, CH2O (CH2CH2O) nCH2, OCH2CH2CH2CH2); 5.34 (m, CH = CH, 2H).
(6)化合物6cの製造
1H NMR (600 MHz, CDCl3) δ . 0.88 (t, CH2CH3, 3H); 1.20-1.38 (br m, CH3CH2CH2, CH=CHCH2CH2CH2CH2CH2, 20H); 1.38-1.48 (br m, CH2CH2C(=O), NHCH2CH2CH2O, 4H); 1.53-1.72 (br m, CH2CH2CH2C(=O)OH, CH2CH2CH(NH2), 6H); 1.73-1.86 (br m, CH2C(=O)NHCH2CH2, 4H); 2.00 (m, CH2CH=CH, 4H); 2.29 (t, CH2CHC(=O)NH, 2H); 2.34 (t, CH2C(=O)OH, 2H); 3.27 (m, CH2C(=O)NHCH2, 2H); 3.33 (s, CHC(=O)NHCH2, 2H); 3.48 (m, CHC(=O)NH, 1H); 3.50-3.80 (br m, CH2O(CH2CH2O)nCH2, OCH2CH2CH2CH2); 5.34 (m, CH=CH, 2H).(6) Production of compound 6c
1 H NMR (600 MHz, CDCl3 ) δ .0.88 (t, CH2CH3, 3H); 1.20-1.38 (br m, CH3CH2CH2, CH = CHCH2CH2CH2CH2CH2, 20H); 1.38-1.48 (br m, CH2CH2C (= O), NHCH2CH2CH2O, 4H); 1.53-1.72 (br m, CH2CH2CH2C (= O) OH, CH2CH2CH (NH2), 6H); 1.73-1.86 (br m, CH2C (= O) NHCH2CH2, 4H); 2.00 (m, CH2CH = CH, 4H); 2.29 (t, CH2CHC (= O) NH, 2H); 2.34 (t, CH2C (= O) OH, 2H); 3.27 (m, CH2C (= O) NHCH2, 2H); 3.33 (s , CHC (= O) NHCH2, 2H); 3.48 (m, CHC (= O) NH, 1H); 3.50-3.80 (br m, CH2O (CH2CH2O) nCH2, OCH2CH2CH2CH2); 5.34 (m, CH = CH, 2H ).
(7)化合物7cの製造
1H NMR (600 MHz, CDCl3) δ . 0.88 (t, CH2CH3, 3H); 1.20-1.36 (br m, CH3CH2CH2, CH=CHCH2CH2CH2CH2CH2, NHCH2CH2CH2CH2, 42H); 1.38-1.53 (br m, CH2CH2CH2CH2C(=O)NH, NHCH2CH2CH2O, 4H); 1.55-1.68 (br m, CH2CH2CH2C(=O)OH, CH2CH2CH(NH2), 6H); 1.70-1.84 (m, CH2C(=O)NH, 4H); 2.00 (m, CH2CH=CH, 8H); 2.08-2.24 (br m, CH2CHC(=O)NH, NHC(=O)CH2CH2CH2O, 4H); 2.32 (t, CH2C(=O)OH, 2H); 2.39 (m, CH2CH2NHC(=O)CH2, 4H); 3.24 (m, CH2C(=O)NHCH2, 2H); 3.33 (m, CHC(=O)NHCH2, 2H); 3.48 (m, CHC(=O)NH, 1H); 3.50-3.80 (br m, CH2O(CH2CH2O)nCH2, OCH2CH2CH2CH2); 3.97 (d, OCH3, 3H); 4.10 (t, NHC(=O)CH2CH2CH2O, 2H); 5.34 (m, CH=CH, 2H); 5.62 (m, CHC(=O)NH, 1H); 6.32 (m, CHO, 1H); 7.08 (s, aromatic CH-m-NO2, 1H); 7.55 (s, aromatic CH-o-NO2, 1H).(7) Production of compound 7c
1 H NMR (600 MHz, CDCl3 ) δ .0.88 (t, CH2CH3, 3H); 1.20-1.36 (br m, CH3CH2CH2, CH = CHCH2CH2CH2CH2CH2, NHCH2CH2CH2CH2, 42H); 1.38-1.53 (br m, CH2CH2CH2CH2C (= O ) NH, NHCH2CH2CH2O, 4H); 1.55-1.68 (br m, CH2CH2CH2C (= O) OH, CH2CH2CH (NH2), 6H); 1.70-1.84 (m, CH2C (= O) NH, 4H); 2.00 (m, CH2CH = CH, 8H); 2.08-2.24 (br m, CH2CHC (= O) NH, NHC (= O) CH2CH2CH2O, 4H); 2.32 (t, CH2C (= O) OH, 2H); 2.39 (m, CH2CH2NHC (= O) CH2, 4H); 3.24 (m, CH2C (= O) NHCH2, 2H); 3.33 (m, CHC (= O) NHCH2, 2H); 3.48 (m, CHC (= O) NH, 1H) ; 3.50-3.80 (br m, CH2O (CH2CH2O) nCH2, OCH2CH2CH2CH2); 3.97 (d, OCH3, 3H); 4.10 (t, NHC (= O) CH2CH2CH2O, 2H); 5.34 (m, CH = CH, 2H) ; 5.62 (m, CHC (= O) NH, 1H); 6.32 (m, CHO, 1H); 7.08 (s, aromatic CH-m-NO2 , 1H); 7.55 (s, aromatic CH-o-NO2 , 1H).
(8)式(I-c)の化合物の製造
1H NMR (600 MHz, CDCl3) δ . 0.88 (t, CH2CH3, 3H); 1.20-1.36 (br m, CH3CH2CH2, CH=CHCH2CH2CH2CH2CH2, NHCH2CH2CH2CH2, 42H); 1.41-1.54 (br m, CH2CH2CH2CH2C(=O)NH, NHCH2CH2CH2O, 4H); 1.53-1.69 (br m, CH2CH2CH2C(=O)O, CH2CH2CH(NH2), 6H); 1.70-1.83 (m, CH2C(=O)NH, 4H); 2.01 (m, CH2CH=CH, 8H); 2.08-2.24 (br m, CH2CHC(=O)NH, NHC(=O)CH2CH2CH2O, 4H); 2.38 (m, CH2CH2NHC(=O)CH2, 4H); 2.62 (t, CH2C(=O)O, 2H); 2.85 (s, C(=O)CH2CH2C(=O), 4H); 3.24 (m, CH2C(=O)NHCH2, 2H); 3.34 (m, CHC(=O)NHCH2, 2H); 3.47 (m, CHC(=O)NH, 1H); 3.50-3.80 (br m, CH2O(CH2CH2O)nCH2, OCH2CH2CH2CH2); 3.96 (d, OCH3, 3H); 4.10 (m, NHC(=O)CH2CH2CH2O, 2H); 5.34 (m, CH=CH, 2H); 5.62 (m, CHC(=O)NH, 1H); 6.35 (m, CHO, 1H); 7.03 (s, aromatic CH-m-NO2, 1H); 7.57 (s, aromatic CH-o-NO2, 1H).(8) Production of compound of formula (Ic)
1 H NMR (600 MHz, CDCl3 ) δ .0.88 (t, CH2CH3, 3H); 1.20-1.36 (br m, CH3CH2CH2, CH = CHCH2CH2CH2CH2CH2, NHCH2CH2CH2CH2, 42H); 1.41-1.54 (br m, CH2CH2CH2CH2C (= O ) NH, NHCH2CH2CH2O, 4H); 1.53-1.69 (br m, CH2CH2CH2C (= O) O, CH2CH2CH (NH2), 6H); 1.70-1.83 (m, CH2C (= O) NH, 4H); 2.01 (m, CH2CH = CH, 8H); 2.08-2.24 (br m, CH2CHC (= O) NH, NHC (= O) CH2CH2CH2O, 4H); 2.38 (m, CH2CH2NHC (= O) CH2, 4H); 2.62 (t, CH2C (= O) O, 2H); 2.85 (s, C (= O) CH2CH2C (= O), 4H); 3.24 (m, CH2C (= O) NHCH2, 2H); 3.34 (m, CHC (= O) NHCH2, 2H); 3.47 (m, CHC (= O) NH, 1H); 3.50-3.80 (br m, CH2O (CH2CH2O) nCH2, OCH2CH2CH2CH2); 3.96 (d, OCH3, 3H); 4.10 (m, NHC ( = O) CH2CH2CH2O, 2H); 5.34 (m, CH = CH, 2H); 5.62 (m, CHC (= O) NH, 1H); 6.35 (m, CHO, 1H); 7.03 (s, aromatic CH-m -NO2 , 1H); 7.57 (s, aromatic CH-o-NO2 , 1H).
 実施例2:細胞を固定化するための基板の製造方法
(1)コラーゲンコート基板の調製
 スライドガラスを4 well plateに入れ、0.3 mg/mLコラーゲン/pH 3.0 HCl 溶液を4 mL入れた。室温で一晩静置し、MilliQ水で3回洗浄して乾燥させた。
(2)脂質膜含有物を固定化するための基板の製造
 実施例1で製造された式(I-c)の化合物のDMSO溶液(1mM)をPBS溶液で100倍希釈した溶液を、上記(1)で調製したコラーゲンコート基板と直径3.5cmのディッシュ中で、4時間、37℃で反応させた。実施例1で製造された式(I-c)の化合物のPBS溶液を除去し、1mLのMilliQ水による洗浄を6回行った後、乾燥させて、細胞を固定化するための基板を製造した。Example 2: Manufacturing method of substrate for immobilizing cells (1) Preparation of collagen-coated substrate A slide glass was placed in a 4-well plate, and 4 mL of 0.3 mg / mL collagen / pH 3.0 HCl solution was added. It was allowed to stand at room temperature overnight, washed 3 times with MilliQ water and dried.
 (2) Production of Substrate for Immobilizing Lipid Membrane-Containing Substance A solution obtained by diluting a DMSO solution (1 mM) of the compound of the formula (Ic) produced in Example 1 100-fold with a PBS solution (the above ( The collagen-coated substrate prepared in 1) was reacted in a dish having a diameter of 3.5 cm for 4 hours at 37 ° C. The PBS solution of the compound of the formula (Ic) produced in Example 1 was removed, washed with 1 mL of MilliQ water 6 times, and then dried to produce a substrate for immobilizing cells.
 実施例3:高密度一細胞アレイの作製
 実施例2で調製した基板の表面に対して、図1に示すフォトマスクを用いてコンタクト露光(0.6 mW/cm2, 3000 秒, 1.8 J/cm2)し、3.5 cm ディッシュ底面に設置した。ここに2 mLのPBS溶液を入れ、5×106 cells/mL Ba/F3細胞/PBS懸濁液1 mLを播種し、15分静置し、固定されなかった細胞をPBS溶液により洗浄除去した。Ba/F3細胞を、0.25 μg/mL カルセイン-AM/PBS 1 mLで15分染色したのち、顕微鏡観察(蛍光, 明視野, ×4対物レンズ)した。結果を図2に示す。Example 3 Fabrication of High Density Single Cell Array Contact exposure (0.6 mW / cm2 , 3000 seconds, 1.8 J / cm2) to the surface of the substrate prepared in Example 2 using the photomask shown in FIG. And installed on the bottom of a 3.5 cm dish.
非常に高密度な一細胞アレイを作製することができた。14μm四方に一細胞が固定化され、細胞の密度は5.1x105細胞/cm2であった。A very dense single cell array could be made. One cell was fixed in a 14 μm square, and the cell density was 5.1 × 105 cells / cm2 .
 実施例4:一細胞単位の複数種細胞パターニング
 底面が食品用ラップ(膜厚約10 μm, ポリ塩化ビニリデン)で作製された、直径25 mmのディッシュを作製した。このディッシュに1 mLの0.3 mg/mL TypeIコラーゲン/pH 3.0 HClを入れ、一晩コラーゲンを被覆した。MilliQ水で3回洗浄し、乾燥させた。実施例1で製造された式(I-c)の化合物のDMSO溶液(1mM)をPBS溶液で100倍希釈した溶液(1 mL)で4時間、37℃で反応させた。MilliQ水で6回洗浄し、乾燥させた。微量のMilliQ水でこのディッシュ底面の裏にフォトマスクを張り付け、1.8 J/cm2 (365 nm, 1.0 mW/cm2, 1800秒)のプロミキシティ露光を行った。ここに1 mLのPBS溶液を入れ、5×106 cells/mLのBa/F3(EGFP)細胞/PBS 1 mLを播種した。15分の静置の後、1 mLのPBS溶液で6回洗浄した。ディッシュ底面の裏にフォトマスクを張り付け、顕微鏡で観察しながら作製された細胞パターンとフォトマスクのアライメントを行い、ふたたび1.8 J/cm2(365 nm, 1.0 mW/cm2, 1800秒)でプロミキシティ露光を行った。ここに、CytoRedで染色したBa/F3細胞(Ba/F3(CytoRed))のPBS懸濁液(5×106 cells/mL)を1 mL播種した。15分の静置の後、1 mLのPBSで6回洗浄した。本実験の手順の模式図を図3に示す。作製された複数細胞集団の細胞パターンを共焦点顕微鏡で観察した。結果を図4に示す。Example 4: Patterning of multiple types of cells in single cell units A dish with a diameter of 25 mm was prepared, the bottom of which was made of food wrap (film thickness: about 10 μm, polyvinylidene chloride). To this dish, 1 mL of 0.3 mg / mL Type I collagen / pH 3.0 HCl was added, and the collagen was coated overnight. Washed 3 times with MilliQ water and dried. A DMSO solution (1 mM) of the compound of formula (Ic) produced in Example 1 was reacted with a solution (1 mL) diluted 100-fold with a PBS solution for 4 hours at 37 ° C. Washed 6 times with MilliQ water and dried. A photomask was attached to the back of the bottom of the dish with a small amount of MilliQ water, and proximity exposure of 1.8 J / cm2 (365 nm, 1.0 mW / cm2 , 1800 seconds) was performed. 1 mL of PBS solution was added thereto, and 5 × 106 cells / mL Ba / F3 (EGFP) cells / PBS 1 mL was seeded. After standing for 15 minutes, it was washed 6 times with 1 mL of PBS solution. Sticking a photomask on the back of the dish bottom, Puromiki in alignment is performed of a cell pattern and a photomask fabricated while observing with a microscope, again1.8 J / cm 2 (365 nm , 1.0 mW /
 実施例5:共焦点顕微鏡を用いたレーザー描画による複数細胞集団のパターニング
 マイクロ流路(μ-Slide VI 0.1, 流路幅1 mm x 全長17 mm x 高さ0.1 mm, ibidi社製)に1 w/v%BSA/PBS溶液を導入し、一晩、室温で静置した。その後、流路の両出口にあるチャンバーにそれぞれ100 μLのMilliQ水を入れ、除去する洗浄を3回行った。100 μLのMilliQ水を片方のチャンバーにのみ入れ、大気圧でもう一方のチャンバーに流路を通って流れ込ませることにより、流路内を洗浄した。両チャンバーに溜まっている洗浄液を除去し、片方のチャンバーにのみ、実施例1で製造された式(I-c)の化合物のDMSO溶液(10 mM)をPBS溶液で100倍希釈した溶液を100 μL入れることにより、大気圧により式(I-c)の化合物の溶液を流路内に流れ込ませた。37℃で4時間反応させることにより、式(I-c)の化合物を基板に結合させた。流路の両出口にあるチャンバーにそれぞれ100 μLのMilliQ水を入れ、除去する洗浄を6回行った。100 μLのMilliQ水を片方のチャンバーにのみ入れ、大気圧でもう一方のチャンバーに流路を通って流れ込ませることにより、流路内を洗浄した。この流路の入り口に5 mLシリンジを加工した大型チャンバーを増設し、出口にシリンジポンプに接続したチューブを取り付けた(図5)。Example 5: Patterning of multiple cell populations by laser drawing using a confocal microscope 1 microchannel (μ-Slide VI0.1 , channel width 1 mm x total length 17 mm x height 0.1 mm, manufactured by ibidi) A / v% BSA / PBS solution was introduced and allowed to stand overnight at room temperature. Thereafter, 100 μL of MilliQ water was added to the chambers at both outlets of the flow path, and washing for removing was performed three times. 100 μL of MilliQ water was put into only one chamber, and the inside of the flow channel was washed by allowing the other chamber to flow through the flow channel at atmospheric pressure. The cleaning solution accumulated in both chambers was removed, and a solution obtained by diluting the DMSO solution (10 mM) of the compound of the formula (Ic) prepared in Example 1 100-fold with a PBS solution was added to only one chamber. By adding μL, the solution of the compound of formula (Ic) was caused to flow into the flow path by atmospheric pressure. By reacting at 37 ° C. for 4 hours, the compound of the formula (Ic) was bound to the substrate. 100 μL of MilliQ water was put in the chambers at both outlets of the flow path, and washing was performed 6 times for removal. 100 μL of MilliQ water was put into only one chamber, and the inside of the flow channel was washed by allowing the other chamber to flow through the flow channel at atmospheric pressure. A large chamber with a 5 mL syringe was added to the inlet of this flow path, and a tube connected to a syringe pump was attached to the outlet (FIG. 5).
パターニングする細胞として、5色の異なる蛍光を示すBa/F3細胞を調製した。緑色の細胞として高感度緑色蛍光タンパク質 (Enhanced Green Fluorescent Protein) (EGFP) を発現させたBa/F3(EGFP)細胞を用いた。赤色の細胞として、Kusabira Orangeを発現させたBa/F3(KO)細胞を用いた。青色の細胞として、Hoechst33342で染色したBa/F3(Hoechst)細胞を用いた。黄色の細胞として、Ba/F3(KO)細胞をCalcein-AM (Dojindo Laboratories, Kumamoto, Japan)で染色したBa/F3(KO+Calcein)を用いた。水色の細胞としてHoechst33342とCalcein-AMで染色したBa/F3(Hoschst+Calcein)を用いた。それぞれの細胞は、1 x 108 cells/mLの濃度でPBSに懸濁し、パターニング用細胞溶液を調製した。As cells to be patterned, Ba / F3 cells showing different colors of fluorescence were prepared. As the green cells, Ba / F3 (EGFP) cells in which enhanced green fluorescent protein (EGFP) was expressed were used. As red cells, Ba / F3 (KO) cells in which Kusabira Orange was expressed were used. Ba / F3 (Hoechst) cells stained with Hoechst33342 were used as blue cells. As yellow cells, Ba / F3 (KO + Calcein) obtained by staining Ba / F3 (KO) cells with Calcein-AM (Dojindo Laboratories, Kumamoto, Japan) was used. As the light blue cells, Hoechst33342 and Ba / F3 (Hoschst + Calcein) stained with Calcein-AM were used. Each cell was suspended in PBS at a concentration of 1 × 108 cells / mL to prepare a cell solution for patterning.
 レーザー光による図形の描画、細胞の播種、洗浄を繰り返すことにより、5種類の細胞それぞれを任意の形にパターニングした。詳細な方法は以下の通りとなる。
(1)共焦点顕微鏡を用いて、式(I-c)化合物修飾表面を作製した流路底面に405 nmレーザーを任意の形に照射した。
(2)50 μLの各種細胞溶液を流路入口に設置した大型チャンバーに入れ、その溶液をシリンジポンプで20 μL引き入れることにより、流路内に細胞を導入した。
(3)20分静置後、固定化されていない細胞の洗浄溶液としてPBSを大型チャンバーに入れた。シリンジポンプを用いて30 mL/hの流速で1分間、続いて60 mL/hの流速で2分間、流路内をPBS溶液で洗浄した。
この(1)レーザー描画、(2)細胞播種、(3)洗浄を緑、黄色、水色、青、赤の細胞の順に行い、複数細胞集団のパターニングを行った。Each of the five types of cells was patterned into an arbitrary shape by repeating drawing with a laser beam, seeding of cells, and washing. The detailed method is as follows.
 (1) Using a confocal microscope, a 405 nm laser was irradiated in an arbitrary shape on the bottom of the flow channel on which the compound-modified surface of formula (Ic) was prepared.
 (2) 50 μL of various cell solutions were placed in a large chamber installed at the channel inlet, and 20 μL of the solution was drawn with a syringe pump to introduce cells into the channel.
 (3) After standing for 20 minutes, PBS was placed in a large chamber as a washing solution for cells not immobilized. Using a syringe pump, the flow path was washed with a PBS solution for 1 minute at a flow rate of 30 mL / h and then for 2 minutes at a flow rate of 60 mL / h.
 This (1) laser drawing, (2) cell seeding, and (3) washing were performed in the order of green, yellow, light blue, blue, and red cells to pattern a plurality of cell populations.
結果、式(I-c)の化合物修飾表面を用いることにより、複数種類の細胞サンプルを、それぞれ任意の形にパターニングすることが可能であった。(図6及び7)。この実験では、5種の細胞を3時間程度でパターニングすることができた。As a result, by using the compound-modified surface of the formula (Ic), it was possible to pattern a plurality of types of cell samples into arbitrary shapes. (FIGS. 6 and 7). In this experiment, 5 types of cells could be patterned in about 3 hours.
 実施例6:化合物(I-c)で修飾された基板表面上での細胞培養
 直径34 mmのカバーグラス上に0.3 mg/mLコラーゲン/pH 3.0 HCl 溶液を500 μL塗布し、スピンコーター(20秒で3000 rpmまで加速、3000 rpmで20秒回転、20秒かけて停止)でコラーゲンのコーティングを行った。MilliQ水で3回洗浄して乾燥させた。コラーゲンコート基板を直径35 mmディッシュ中に置き、化合物(I-c)のDMSO溶液(1 mM)をPBS溶液で100倍希釈した溶液1.5 mLで、3時間、37℃で反応させた。化合物(I-c)のPBS溶液を除去し、MilliQ水による洗浄を6回行った後、乾燥させて、細胞を固定化するための基板を製造した。これを6 well plateの底面に設置し、1 mLの70%エタノールで滅菌後、2 mLのPBSで二回洗浄した。FBS不含DMEM培地に懸濁させたHEK293T細胞(接着性細胞, ヒト胎児由来腎臓上皮細胞株)を2×105 cells/wellとなるように播種した。30分静置した後、培地中に10%v/vとなるようにFBSを添加した。3日間37℃, 5% CO2環境下において培養した。トリプシン処理により細胞を回収後、トリパンブルーにより死細胞を染色し、生細胞数と細胞生存率を計測した。Example 6: Cell culture on substrate surface modified with compound (Ic) 500 μL of 0.3 mg / mL collagen / pH 3.0 HCl solution was applied to a cover glass having a diameter of 34 mm and spin coater (20 seconds) Accelerated to 3000 rpm, rotated at 3000 rpm for 20 seconds, and stopped for 20 seconds). Washed 3 times with MilliQ water and dried. The collagen-coated substrate was placed in a 35 mm diameter dish, and reacted with 1.5 mL of a DMSO solution (1 mM) of compound (Ic) 100-fold diluted with PBS solution at 37 ° C. for 3 hours. The PBS solution of the compound (Ic) was removed, washed with MilliQ water 6 times, and then dried to manufacture a substrate for immobilizing cells. This was placed on the bottom of a 6-well plate, sterilized with 1 mL of 70% ethanol, and washed twice with 2 mL of PBS. HEK293T cells (adherent cells, human embryonic kidney epithelial cell line) suspended in FBS-free DMEM medium were seeded at 2 × 105 cells / well. After leaving still for 30 minutes, FBS was added to the medium so as to be 10% v / v. The cells were cultured in a 37 ° C, 5% CO2 environment for 3 days. After collecting cells by trypsin treatment, dead cells were stained with trypan blue, and the number of viable cells and cell viability were measured.
光照射(365 nm、1.6 J/cm2)・非照射にかかわらず、化合物(I-c)表面上での培養における細胞数と細胞生存率は、ともにコラーゲン表面や細胞培養用ディッシュ等のポジティブコントロールと同様であった(図8)。これらの結果から、化合物(I-c)表面上では光固定化した細胞を培養することが可能であり、高い細胞適合性を持つことが示された。Regardless of light irradiation (365 nm, 1.6 J / cm2 ) or non-irradiation, both the number of cells and the cell viability in the culture on the compound (Ic) surface are positive, such as collagen surface and cell culture dishes. It was the same as the control (FIG. 8). From these results, it was shown that photofixed cells can be cultured on the surface of compound (Ic), and have high cytocompatibility.
 実施例7:接着性細胞(HepG2細胞)、初代培養細胞(NHDF細胞)、リポソーム(ローダミン蛍光)の一細胞レベルパターニング
 直径34 mmのカバーグラスを0.3 mg/mLコラーゲン/pH 3.0 HCl 溶液に浸漬した後、スピンコーティング(20秒で3000 rpmまで加速、3000 rpmで20秒回転、20秒かけて停止)を行うことにより、コラーゲンのコーティングを行った。MilliQ水で3回洗浄して乾燥させた。コラーゲンコート基板を直径35 mmディッシュ中に置き、化合物(I-c)のDMSO溶液(1 mM)をPBS溶液で100倍希釈した溶液1.5 mLで、4時間、37℃で反応させた。化合物(I-c)のPBS溶液を除去し、MilliQ水による洗浄を6回行った後、乾燥させて、細胞を固定化するための基板を製造した。これをアレイパターンが描画されたフォトマスク上に置き、波長365 nm, 1.6 J/cm2にてコンタクト露光を行った。70%エタノールで滅菌後、PBSで3回洗浄した。Example 7: Single cell level patterning of adherent cells (HepG2 cells), primary cultured cells (NHDF cells), liposomes (rhodamine fluorescence) A cover glass having a diameter of 34 mm was immersed in a 0.3 mg / mL collagen / pH 3.0 HCl solution. Thereafter, spin coating (acceleration to 3000 rpm in 20 seconds, rotation at 3000 rpm for 20 seconds, and stopping for 20 seconds) was performed to coat collagen. Washed 3 times with MilliQ water and dried. A collagen-coated substrate was placed in a 35 mm diameter dish, and reacted with 1.5 mL of a DMSO solution of compound (Ic) (1 mM) diluted 100-fold with a PBS solution at 37 ° C. for 4 hours. The PBS solution of compound (I-c) was removed, and washing with MilliQ water was performed 6 times, followed by drying to produce a substrate for immobilizing cells. This was placed on a photomask on which an array pattern was drawn, and contact exposure was performed at a wavelength of 365 nm and 1.6 J / cm2 . After sterilizing with 70% ethanol, it was washed 3 times with PBS.
この基板を直径35 mmディッシュ中に置き、2 mLのPBSを入れた後、HepG2細胞(ヒト肝癌由来細胞株, 接着性細胞)もしくはNHDF細胞(正常ヒト皮膚線維芽細胞, 初代培養細胞, 接着性細胞)のPBS懸濁液(3×106 cells/ml)を1 mL入れて5分後に非固定化細胞の洗浄除去を行った。固定化されたHepG2細胞において、培地を10%v/v FBS含有DMEM培地に交換し、37℃で2時間培養したところ、一細胞アレイ化されたHepG2細胞が伸展し基板に接着していることが確認された(図9)。固定化されたNHDF細胞においても、培地を10%v/v FBS含有DMEM培地に交換し、37℃で15分培養したところ、一細胞アレイ化されたNHDF細胞が伸展し基板に接着していることが確認された(図10)。Place this substrate in a 35 mm diameter dish, add 2 mL of PBS, then HepG2 cells (human hepatoma-derived cell line, adherent cells) or NHDF cells (normal human skin fibroblasts, primary cultured cells, adhesiveness) 1 mL of PBS suspension of cells) (3 × 106 cells / ml) was added, and after 5 minutes, unfixed cells were washed away. In the fixed HepG2 cells, the medium was replaced with DMEM medium containing 10% v / v FBS and cultured at 37 ° C for 2 hours. The HepG2 cells that were arrayed in a single cell were stretched and adhered to the substrate. Was confirmed (FIG. 9). Even in the immobilized NHDF cells, the medium was replaced with 10% v / v FBS-containing DMEM medium and cultured at 37 ° C for 15 minutes. As a result, NHDF cells that were arrayed in one cell were stretched and adhered to the substrate. This was confirmed (FIG. 10).
上記と同様の基板において、アレイパターンのコンタクト露光後に、リポソーム(F60203F-R, FormuMax Scientific社製)のPBS100倍希釈用液を1 mL入れて10分後に洗浄したところ、リポソームのアレイパターンが確認された(図11)。On the same substrate as above, after contact exposure of the array pattern, after washing 10 minutes after adding 1 μmL of PBS (F60203F-R, FormuMax cient Scientific) PBS 100-fold dilution, the liposome array pattern was confirmed. (FIG. 11).
 実施例8:量子ドットのパターニング
 実施例5と同様の方法で作製した化合物(I-c)修飾マイクロ流路表面に、405 nmレーザー光を用いてヒト型のパターンを照射した。そこへビオチン修飾脂質被覆量子ドット(biotin-labeled Qdot(登録商標) 655 nanocrystals, Thermo Fisher Scientific社製)をQdot(登録商標) incubation buffer(Thermo Fisher Scientific社製)で20 nMに希釈した溶液を導入し、5分間静置した。PBSにより固定化されなかった量子ドットを洗浄除去したところ、ヒト型に量子ドットがパターニングされていることが確認された(図12)。また、同様の方法でカルボン酸修飾脂質被覆量子ドット(CdSeS/ZnS alloyed quantum dots, COOH functionalized, fluorescence λem 525 nm, Sigma-Aldrich社製)の10 μg/mL MilliQ水溶液のパターニングを試みたところ、ヒト型に量子ドットがパターニングされていることが確認された(図13)。Example 8: Patterning of quantum dots The surface of the compound (Ic) -modified microchannel prepared by the same method as in Example 5 was irradiated with a human-type pattern using 405 nm laser light. Biotin-modified lipid-coated quantum dots (biotin-labeled Qdot (registered trademark) 655 nanocrystals, manufactured by Thermo Fisher Scientific) were diluted to 20 nM with Qdot (registered trademark) incubation buffer (produced by Thermo Fisher Scientific). And left to stand for 5 minutes. When quantum dots that were not immobilized with PBS were washed away, it was confirmed that the quantum dots were patterned in a human mold (FIG. 12). In addition, we tried patterning a 10 μg / mL MilliQ aqueous solution of carboxylic acid-modified lipid-coated quantum dots (CdSeS / ZnS alloyed quantum dots, COOH functionalized, fluorescence λem 525 nm, manufactured by Sigma-Aldrich) by the same method. It was confirmed that quantum dots were patterned on the mold (FIG. 13).
 実施例9:非接着性細胞と接着性細胞の共パターニング
 直径34 mmのカバーグラスを0.3 mg/mLコラーゲン/pH 3.0 HCl 溶液に浸漬した後、スピンコーティング(20秒で3000 rpmまで加速、3000 rpmで20秒回転、20秒かけて停止)を行うことにより、コラーゲンのコーティングを行った。MilliQ水で3回洗浄して乾燥させた。コラーゲンコート基板を直径35 mmディッシュ中に置き、化合物(I-c)のDMSO溶液(1 mM)をPBS溶液で100倍希釈した溶液1.5 mLで、4時間、37℃で反応させた。化合物(I-c)のPBS溶液を除去し、MilliQ水による洗浄を6回行った後、乾燥させて、細胞を固定化するための基板を製造した。これをラインパターン(幅200 μm, 間隔 200 μm)が描画されたフォトマスク上に置き、波長365 nm, 1.6 J/cm2にてコンタクト露光を行った。70%エタノールで滅菌後、PBSで3回洗浄した。この基板を直径35 mmディッシュ中に置き、2 mLのPBSを入れた後に、赤色蛍光タンパク質を発現させたBa/F3(KO)細胞のPBS懸濁液(5×106 cells/ml)を1 mL入れた。10分間静置後、PBSで非固定化細胞を洗浄除去し、直径50 mm, ガラス観察窓直径40 mmのディッシュ(WillCo-Dish, WillCo Wells社製)中に置き、2 mLのPBSを入れた。これをラインパターン(幅200 μm, 間隔 200 μm)が描画されたフォトマスク上に、Ba/F3(KO)細胞のラインパターンとフォトマスクのラインパターンが直交するように置き、波長365 nm, 1.6 J/cm2にて露光を行った。細胞パターニング基板を直径35 mmディッシュ中に移し、2 mLのPBSを入れた後に、緑色蛍光タンパク質を発現させたHEK293T(EGFP)細胞のPBS懸濁液(2.5×106 cells/ml)を1 mL入れた。10分間静置後、PBSで非固定化細胞を洗浄除去したところ、それぞれBa/F3(KO)細胞とHEK293T(EGFP)細胞から構成される直交する二つのラインパターンが確認された(図14左)。また、培地を10%v/v FBS含有DMEM培地に交換し、37℃で3時間培養したところ、HEK293T(EGFP)細胞が伸展し基板に接着していることが確認された(図14右)。Example 9: Co-patterning of non-adherent and adherent cells A 34 mm diameter cover glass was immersed in a 0.3 mg / mL collagen / pH 3.0 HCl solution followed by spin coating (accelerated to 3000 rpm in 20 seconds, 3000 rpm The coating of collagen was performed by rotating for 20 seconds and stopping for 20 seconds). Washed 3 times with MilliQ water and dried. The collagen-coated substrate was placed in a 35 mm diameter dish, and reacted with 1.5 mL of a solution of compound (Ic) in DMSO (1 mM) diluted 100-fold with PBS solution at 37 ° C. for 4 hours. The PBS solution of the compound (I-c) was removed, and washing with MilliQ water was performed 6 times, followed by drying to produce a substrate for immobilizing cells. This was placed on a photomask on which a line pattern (
また、同様の手法で、リポソーム(ローダミン蛍光)のラインパターニング、続いてHEK293T(EGFP)細胞のラインパターニングを行ったところ、それぞれリポソーム(ローダミン蛍光)とHEK293T(EGFP)細胞から構成される直交する二つのラインパターンが確認された(図15)。この時、幅100 μm, 間隔100 μmのラインパターンが描画されたフォトマスクを用いた。In addition, line patterning of liposomes (rhodamine fluorescence) followed by line patterning of HEK293T (EGFP) cells was performed in the same manner, and two orthogonal configurations composed of liposomes (rhodamine fluorescence) and HEK293T (EGFP) cells, respectively. One line pattern was confirmed (FIG. 15). At this time, a photomask on which a line pattern having a width of 100 μm and an interval of 100 μm was drawn was used.
 実施例10:担癌マウスからのCTCのソーティング
 CTC単離のモデル実験として、担癌マウス末梢血からの癌細胞の光捕捉を行った。DLD1細胞を坦癌したマウスの心臓から末梢血を採取した。末梢血を0.9%塩化アンモニウムで処理して赤血球を溶血したのち、PBSで遠心洗浄を行った。100 nMのビオチン修飾抗Epiregulin抗体を15分反応させた後、10 nMのストレプトアビジン修飾量子ドット(Qdot(登録商標) 655 Streptavidin Conjugate, Thermo Fisher Scientific)を5分反応させることにより、末梢血中の癌細胞を蛍光標識した。この細胞溶液を実施例5と同様の方法で化合物(I-c)をコートしたマイクロ流路に導入し、量子ドットの蛍光(ex/em 488/655 nm)から癌細胞を検出した。検出した癌細胞に対してのみ405 nmレーザーを照射することにより、癌細胞を流路内に固定化し、その他の細胞をPBSにより洗浄除去した。結果、末梢血中から癌細胞を選択的に流路内に単離することに成功した(図16)。Example 10: Sorting of CTCs from tumor-bearing mice As a model experiment for CTC isolation, light capture of cancer cells from peripheral blood of tumor-bearing mice was performed. Peripheral blood was collected from the heart of mice bearing DLD1 cells. Peripheral blood was treated with 0.9% ammonium chloride to lyse erythrocytes, and then centrifuged and washed with PBS. After reacting with 100 nM biotin-modified anti-Epiregulin antibody for 15 minutes, 10 nM streptavidin-modified quantum dots (Qdot (registered trademark) 655 Streptavidin Conjugate, Thermo Fisher Scientific) are reacted for 5 minutes. Cancer cells were fluorescently labeled. This cell solution was introduced into a microchannel coated with compound (Ic) in the same manner as in Example 5, and cancer cells were detected from the fluorescence of the quantum dots (ex / em 488/655 nm). By irradiating only the detected cancer cells with a 405 nm laser, the cancer cells were fixed in the flow path, and other cells were washed away with PBS. As a result, it succeeded in selectively isolating cancer cells from the peripheral blood into the channel (FIG. 16).
 実施例11:光活性化PEG脂質誘導体である化合物(II-b)の合成
(1)化合物1dの合成
1H NMR (600 MHz, CDCl3) δ . 1.49 (s, C(CH3)3, 9H); 2.58 (s, C(=O)CH3, 3H); 3.26 (br, C(=O)N(CH)2, 2H); 3.61 (br, N(CH)2, 2H); 7.00 (d, aromatic NC(CH)2, 2H); 7.51 (s, aromatic C(=O)CCH, 1H); 7.56 (d, aromatic C(CH)2, 2H); 7.71 (d, aromatic CH-m-NO2, 1H); 8.17 (d, aromatic CH-o-NO2, 1H)Example 11: Synthesis of compound (II-b) which is a photoactivated PEG lipid derivative (1) Synthesis of compound 1d
1 H NMR (600 MHz, CDCl3 ) δ 1.49 (s, C (CH3) 3, 9H); 2.58 (s, C (= O) CH3, 3H); 3.26 (br, C (= O) N ( (CH) 2, 2H); 3.61 (br, N (CH) 2, 2H); 7.00 (d, aromatic NC (CH) 2, 2H); 7.51 (s, aromatic C (= O) CCH, 1H); 7.56 (d, aromatic C (CH) 2, 2H); 7.71 (d, aromatic CH-m-NO2 , 1H); 8.17 (d, aromatic CH-o-NO2 , 1H)
(2)化合物2dの合成
1H NMR (600 MHz, CDCl3) δ . 1.49 (s, C(CH3)3, 9H); 1.63 (s, C(=O)CH3, 3H); 3.25 (br, C(=O)N(CH)2, 2H); 3.61 (br, N(CH)2, 2H); 5.55 (m, CHOH, 1H); 7.01 (d, aromatic NC(CH)2, 2H); 7.58 (d, aromatic CH-m-NO2, 1H); 7.59 (d, aromatic C(CH)2, 2H); 8.02 (d, aromatic CH-o-NO2, 1H); 8.03 (s, aromatic C(OH)CCH, 1H)(2) Synthesis of compound 2d
1 H NMR (600 MHz, CDCl3 ) δ 1.49 (s, C (CH3) 3, 9H); 1.63 (s, C (= O) CH3, 3H); 3.25 (br, C (= O) N ( (CH) 2, 2H); 3.61 (br, N (CH) 2, 2H); 5.55 (m, CHOH, 1H); 7.01 (d, aromatic NC (CH) 2, 2H); 7.58 (d, aromatic CH-m-NO 2, 1H); 7.59 (d, aromatic C (CH) 2, 2H); 8.02 (d, aromatic CH-o-
(3)化合物3dの合成
1H NMR (600 MHz, CDCl3) δ . 1.60 (s, C(=O)CH3, 3H); 3.46 (br, NH(CH)2, 2H); 3.66 (br, N(CH)2, 2H); 5.52 (m, CHOH, 1H); 7.16 (d, aromatic NC(CH)2, 2H); 7.58 (d, aromatic C(CH)2, 2H); 7.79 (d, aromatic CH-m-NO2, 1H); 8.02 (d, aromatic CH-o-NO2, 1H); 8.07 (s, aromatic C(OH)CCH, 1H)(3) Synthesis of compound 3d
1 H NMR (600 MHz, CDCl3 ) δ 1.60 (s, C (= O) CH3, 3H); 3.46 (br, NH (CH) 2, 2H); 3.66 (br, N (CH) 2, 2H 5.52 (m, CHOH, 1H); 7.16 (d, aromatic NC (CH) 2, 2H); 7.58 (d, aromatic C (CH) 2, 2H); 7.79 (d, aromatic CH-m-NO2 , 1H); 8.02 (d, aromatic CH-o-NO2 , 1H); 8.07 (s, aromatic C (OH) CCH, 1H)
(4)化合物4dの合成
1H NMR (600 MHz, CDCl3) δ . 0.88 (t, CH2CH3, 3H); 1.20-1.36 (br m, CH3CH2CH2CH2CH2 CH2CH2, CH=CHCH2CH2CH2CH2CH2, 20H); 1.60-1.72 (m, CH(OH)CH3, NC(=O)CH2CH2, 5H); 2.01 (m, CH2CH=CH, 4H); 2.38 (t, C(=O)CH2, 2H); 3.22-3.32 (br, N(CH)2, 2H); 3.66,3.81 (br, C(=O)N(CH)2, 2H); 5.35 (m, CH=CH, 2H); 5.55 (m, CHOH, 1H); 7.01 (d, aromatic NC(CH)2, 2H); 7.58 (d, aromatic CH-m-NO2, 1H); 7.59 (d, aromatic C(CH)2, 2H); 8.02 (d, aromatic CH-o-NO2, 1H); 8.03 (s, aromatic C(OH)CCH, 1H)(4) Synthesis of compound 4d
1 H NMR (600 MHz, CDCl3 ) δ .0.88 (t, CH2CH3, 3H); 1.20-1.36 (br m, CH3CH2CH2CH2CH2 CH2CH2, CH = CHCH2CH2CH2CH2CH2, 20H); 1.60-1.72 (m, CH (OH) CH3, NC (= O) CH2CH2, 5H); 2.01 (m, CH2CH = CH, 4H); 2.38 (t, C (= O) CH2, 2H); 3.22-3.32 (br, N (CH) 2, 2H); 3.66,3.81 (br, C (= O) N (CH) 2, 2H); 5.35 (m, CH = CH, 2H); 5.55 (m, CHOH, 1H); 7.01 (d, aromatic NC (CH) 2 , 2H); 7.58 (d, aromatic CH-m-NO2 , 1H); 7.59 (d, aromatic C (CH) 2, 2H); 8.02 (d, aromatic CH-o-NO2 , 1H); 8.03 ( s, aromatic C (OH) CCH, 1H)
(5)化合物5dの合成
1H NMR (600 MHz, CDCl3) δ . 0.88 (t, CH2CH3, 3H); 1.20-1.36 (br m, CH3CH2CH2CH2CH2 CH2CH2, CH=CHCH2CH2CH2CH2CH2, 20H); 1.67 (t, NC(=O)CH2, 2H); 1.84 (d, CH(OH)CH3, 3H); 2.01 (m, CH2CH=CH, 4H); 2.38 (t, C(=O)CH2, 2H); 3.24-3.33 (br, N(CH)2, 2H); 3.67,3.82 (br, C(=O)N(CH)2, 2H); 5.35 (m, CH=CH, 2H); 6.52 (m, CHOH, 1H); 7.03 (d, aromatic NC(CH)2, 2H); 7.34 (d, aromatic C(=O)OC(CH)2, 2H); 7.58 (d, aromatic C(CH)2, 2H); 7.65 (d, aromatic CH-m-NO2, 1H); 7.87 (s, aromatic C(OH)CCH, 1H); 8.11 (d, aromatic CH-o-NO2, 1H); 8.25 (d, aromatic (CH)2-o-NO2, 2H)(5) Synthesis of compound 5d
1 H NMR (600 MHz, CDCl3 ) δ .0.88 (t, CH2CH3, 3H); 1.20-1.36 (br m, CH3CH2CH2CH2CH2 CH2CH2, CH = CHCH2CH2CH2CH2CH2, 20H); 1.67 (t, NC (= O) CH2, 2H ); 1.84 (d, CH (OH) CH3, 3H); 2.01 (m, CH2CH = CH, 4H); 2.38 (t, C (= O) CH2, 2H); 3.24-3.33 (br, N (CH) 2,2H); 3.67,3.82 (br, C (= O) N (CH) 2, 2H); 5.35 (m, CH = CH, 2H); 6.52 (m, CHOH, 1H); 7.03 (d, aromatic NC (CH) 2, 2H); 7.34 (d, aromatic C (= O) OC (CH) 2, 2H); 7.58 (d, aromatic C (CH) 2, 2H); 7.65 (d, aromatic CH-m -NO2 , 1H); 7.87 (s, aromatic C (OH) CCH, 1H); 8.11 (d, aromatic CH-o-NO2 , 1H); 8.25 (d, aromatic (CH) 2-o-NO2 , 2H)
(6)化合物6dの合成
1H NMR (600 MHz, CDCl3) δ . 0.88 (t, CH2CH3, 6H); 1.20-1.36 (br m, CH3CH2CH2CH2CH2 CH2CH2, CH=CHCH2CH2CH2CH2CH2, NHCH2CH2CH2CH2, 44H); 1.38-1.53 (br m, CH2CH2CH2CH2C(=O)NH, NHCH2CH2CH2O, 4H); 1.55-1.68 (br m, CH2CH2CH2C(=O)OH, CH2CH2CH(NH2), 6H); 1.70-1.84 (m, CH2C(=O)NH, 4H); 2.00 (m, CH2CH=CH, 8H); 2.08-2.24 (br m, CH2CHC(=O)NH, NHC(=O)CH2CH2CH2O, 4H); 2.32 (t, CH2C(=O)OH, 2H); 2.39 (m, CH2CH2NHC(=O)CH2, 4H); 3.24-3.40 (br m, N(CH)2, CH2C(=O)NHCH2, CHC(=O)NHCH2, 6H); 3.48 (m, CHC(=O)NH, 1H); 3.50-3.88 (br m, CH2O(CH2CH2O)nCH2, OCH2CH2CH2CH2, C(=O)N(CH)2); 5.34 (m, CH=CH, 4H); 5.59 (m, CHC(=O)NH, 1H); 6.37 (m, CHO, 1H); 7.05 (d, aromatic NC(CH)2, 2H); 7.56-7.62 (m, aromatic C(CH)2, aromatic CH-m-NO2, 3H); 7.82 (s, aromatic OCH(CH3)CCH, 1H); 8.05 (t, aromatic CH-o-NO2, 1H);(6) Synthesis of compound 6d
1 H NMR (600 MHz, CDCl3 ) δ .0.88 (t, CH2CH3, 6H); 1.20-1.36 (br m, CH3CH2CH2CH2CH2 CH2CH2, CH = CHCH2CH2CH2CH2CH2, NHCH2CH2CH2CH2, 44H); 1.38-1.53 (br m, CH2CH2CH2CH2C (= O) NH, NHCH2CH2CH2O, 4H); 1.55-1.68 (br m, CH2CH2CH2C (= O) OH, CH2CH2CH (NH2), 6H); 1.70-1.84 (m, CH2C (= O) NH, 4H); 2.00 (m , CH2CH = CH, 8H); 2.08-2.24 (br m, CH2CHC (= O) NH, NHC (= O) CH2CH2CH2O, 4H); 2.32 (t, CH2C (= O) OH, 2H); 2.39 (m, CH2CH2NHC (= O) CH2, 4H); 3.24-3.40 (br m, N (CH) 2, CH2C (= O) NHCH2, CHC (= O) NHCH2, 6H); 3.48 (m, CHC (= O) NH , 1H); 3.50-3.88 (br m, CH2O (CH2CH2O) nCH2, OCH2CH2CH2CH2, C (= O) N (CH) 2); 5.34 (m, CH = CH, 4H); 5.59 (m, CHC (= O ) NH, 1H); 6.37 (m, CHO, 1H); 7.05 (d, aromatic NC (CH) 2, 2H); 7.56-7.62 (m, aromatic C (CH) 2, aromatic CH-m-NO2 , 3H); 7.82 (s, aromatic OCH (CH3) CCH, 1H); 8.05 (t, aromatic CH-o-NO 2, 1H);
(7)化合物(II-b)の合成
1H NMR (600 MHz, CDCl3) δ . 0.88 (t, CH2CH3, 6H); 1.20-1.36 (br m, CH3CH2CH2CH2CH2 CH2CH2, CH=CHCH2CH2CH2CH2CH2, NHCH2CH2CH2CH2, 44H); 1.38-1.53 (br m, CH2CH2CH2CH2C(=O)NH, NHCH2CH2CH2O, 4H); 1.55-1.68 (br m, CH2CH2CH2C(=O)OH, CH2CH2CH(NH2), 6H); 1.70-1.84 (m, CH2C(=O)NH, 4H); 2.00 (m, CH2CH=CH, 8H); 2.08-2.24 (br m, CH2CHC(=O)NH, NHC(=O)CH2CH2CH2O, 4H); 2.39 (m, CH2CH2NHC(=O)CH2, 4H); 2.62 (t, CH2C(=O)O, 2H); 2.85 (s, C(=O)CH2CH2C(=O), 4H); 3.24-3.40 (br m, N(CH)2, CH2C(=O)NHCH2, CHC(=O)NHCH2, 6H); 3.48 (m, CHC(=O)NH, 1H); 3.50-3.88 (br m, CH2O(CH2CH2O)nCH2, OCH2CH2CH2CH2, CON(CH)2); 5.34 (m, CH=CH, 4H); 5.59 (m, CHC(=O)NH, 1H); 6.37 (m, CHO, 1H); 7.05 (d, aromatic NC(CH)2, 2H); 7.56-7.62 (m, aromatic C(CH)2, aromatic CH-m-NO2, 3H); 7.82 (s, aromatic OC(CH3)CCH, 1H); 8.05 (t, aromatic CH-o-NO2, 1H)(7) Synthesis of compound (II-b)
1 H NMR (600 MHz, CDCl3 ) δ .0.88 (t, CH2CH3, 6H); 1.20-1.36 (br m, CH3CH2CH2CH2CH2 CH2CH2, CH = CHCH2CH2CH2CH2CH2, NHCH2CH2CH2CH2, 44H); 1.38-1.53 (br m, CH2CH2CH2CH2C (= O) NH, NHCH2CH2CH2O, 4H); 1.55-1.68 (br m, CH2CH2CH2C (= O) OH, CH2CH2CH (NH2), 6H); 1.70-1.84 (m, CH2C (= O) NH, 4H); 2.00 (m , CH2CH = CH, 8H); 2.08-2.24 (br m, CH2CHC (= O) NH, NHC (= O) CH2CH2CH2O, 4H); 2.39 (m, CH2CH2NHC (= O) CH2, 4H); 2.62 (t, CH2C (= O) O, 2H); 2.85 (s, C (= O) CH2CH2C (= O), 4H); 3.24-3.40 (br m, N (CH) 2, CH2C (= O) NHCH2, CHC ( = O) NHCH2, 6H); 3.48 (m, CHC (= O) NH, 1H); 3.50-3.88 (br m, CH2O (CH2CH2O) nCH2, OCH2CH2CH2CH2, CON (CH) 2); 5.34 (m, CH = CH, 4H); 5.59 (m, CHC (= O) NH, 1H); 6.37 (m, CHO, 1H); 7.05 (d, aromatic NC (CH) 2, 2H); 7.56-7.62 (m, aromatic C (CH) 2, aromatic CH-m-NO2 , 3H); 7.82 (s, aromatic OC (CH3) CCH, 1H); 8.05 (t, aromatic CH-o-NO2 , 1H)
 実施例10:化合物(II-b)の細胞固定化機能の評価
 実施例5と同様の方法でマイクロ流路にBSAのコート、続いて化合物(II-b)の修飾を行った。ただし、化合物(II-b)をH2O:DMSO=1:1(v/v)に溶解した溶液を基板修飾に用いた。また、化合物(II-b)修飾後の洗浄は、PBSによって行った。そのマイクロ流路に405 nmの光を照射し、45 μLのBa/F3(EGFP)細胞(2×108 cells/mL)PBS懸濁液をマイクロ流路の片方のチャンバーにのみ入れ、大気圧により流路内に細胞を流れ込ませた。30分静置後、1 mLのPBSで非固定化細胞を洗浄除去し、蛍光顕微鏡により流路内に固定化されている細胞を観察した。光を照射しなかった表面には細胞はほとんど固定化されなかったが(図17左)、光照射表面には細胞が固定化された(図17右)。したがって、化合物(II-b)も光照射による細胞固定化に利用可能であることが確認された。Example 10: Evaluation of Cell Immobilization Function of Compound (II-b) In the same manner as in Example 5, the microchannel was coated with BSA and then the compound (II-b) was modified. However, the compound(II-b) H 2 O : DMSO = 1: using 1 solution of the (v / v) to the substrate modification. In addition, washing after modification with compound (II-b) was performed with PBS. Irradiate the microchannel with 405 nm light, and put 45 μL of Ba / F3 (EGFP) cells (2 × 108 cells / mL) in PBS into only one chamber of the microchannel. The cells were caused to flow into the flow path. After standing for 30 minutes, non-immobilized cells were washed away with 1 mL of PBS, and the cells immobilized in the channel were observed with a fluorescence microscope. Although the cells were hardly immobilized on the surface not irradiated with light (FIG. 17 left), the cells were immobilized on the light irradiated surface (right of FIG. 17). Therefore, it was confirmed that compound(II-b) can also be used for cell immobilization by light irradiation.
 参考例1
 脂質膜結合阻害基の効果についての検討
 以下のモデル化合物(I-e)~(I-k)を合成し、脂質膜結合阻害基として機能する置換基を検討した。
 Study on Effect of Lipid Membrane Binding Inhibiting Group The following model compounds (Ie) to (Ik) were synthesized, and a substituent functioning as a lipid membrane binding inhibiting group was examined.
(1)化合物(I-e、I-f、I-g、I-h、I-i、I-j)の合成
 (1-1)化合物1f、1g、1h、1jの合成
 (1-2)化合物(I-e)、(I-f)、(I-g)、(I-h)、(I-i)、(I-j)の合成
 合成によって得た脂肪酸NHS活性エステルである化合物1f、1g、1h、1j、そして購入した化合物1e(N-アセトキシスクシンイミド)及び化合物1i(オレイン酸N-ヒドロキシスクシンイミドエステル)を化合物6cのアミノ基に結合させ、続いてPEG末端カルボン酸をNHS活性エステル化した。これらのNHS活性エステルとアミノ基の反応、そしてはカルボン酸のNHS活性エステル化は、共通して、以下に示す当該業者に既知の手法で行った。化合物6cと過剰量の脂肪酸NHS活性エステルを、乾燥Et3Nの存在下で、乾燥DCM中で反応させた。ニンヒドリンを用いて反応の完了を確認した後、減圧乾燥を行った。過剰量のN-ヒドロキシスクシンイミドとDCCを加えて、乾燥DCM中で反応させた。反応溶液をろ過することにより、余剰のN-ヒドロキシスクシンイミドとDCC由来の反応副生成物を除去した。これを撹拌中のジエチルエーテルに滴下し、遠心後、上清をデカンテーションにより除去した。減圧乾燥を行ったところ、白色固体として化合物(I-e)、(I-f)、(I-g)、(I-h)、(I-i)、(I-j)を得た。(1-2) Synthesis of Compounds (Ie), (If), (Ig), (Ih), (Ii), (Ij) Fatty Acid NHS Activity Obtained by Synthesis Compounds 1f, 1g, 1h, 1j, which are esters, and purchased compounds 1e (N-acetoxysuccinimide) and compound 1i (oleic acid N-hydroxysuccinimide ester) are coupled to the amino group of compound 6c, followed by PEG-terminal carboxylic acid The acid was NHS active esterified. The reaction of these NHS active esters with amino groups, and the NHS active esterification of carboxylic acids were commonly performed by methods known to those skilled in the art shown below. Compound 6c and an excess of fatty acid NHS active ester were reacted in dry DCM in the presence of dry Et3 N. After confirming completion of the reaction using ninhydrin, vacuum drying was performed. Excess N-hydroxysuccinimide and DCC were added and reacted in dry DCM. The reaction solution was filtered to remove excess N-hydroxysuccinimide and DCC-derived reaction by-products. This was added dropwise to stirring diethyl ether, and after centrifugation, the supernatant was removed by decantation. When dried under reduced pressure, compounds (Ie), (If), (Ig), (Ih), (Ii), and (Ij) were obtained as white solids.
化合物(I-e)
1H NMR (600 MHz, CDCl3) δ . 0.88 (t, CH2CH3, 3H); 1.20-1.36 (br m, CH3CH2CH2CH2CH2 CH2CH2, CH=CHCH2CH2CH2CH2CH2, NHCH2CH2CH2CH2, 24H); 1.38-1.53 (br m, CH2CH2CH2CH2C(=O)NH, NHCH2CH2CH2O, 6H); 1.55-1.68 (br m, CH2CH2CH2C(=O)OH, CH2CH2CH(NH2), 6H); 1.70-1.84 (m, CH2C(=O)NH, 2H); 2.00-2.08 (m, CH2CH=CH, CH3C(=O)NH, 7H); 2.15 (br m, NHC(=O)CH2CH2CH2O, 2H); 2.62 (t, CH2C(=O)O, 2H); 2.85 (s, C(=O)CH2CH2C(=O), 4H); 3.24-3.40 (br m, CH2C(=O)NHCH2, CHC(=O)NHCH2, 4H); 3.50-3.88 (br m, CH2O(CH2CH2O)nCH2, OCH2CH2CH2CH2); 4.34 (m, CHC(=O)NH, 1H); 5.34 (m, CH=CH, 2H)Compound (Ie)
1 H NMR (600 MHz, CDCl3 ) δ .0.88 (t, CH2CH3, 3H); 1.20-1.36 (br m, CH3CH2CH2CH2CH2 CH2CH2, CH = CHCH2CH2CH2CH2CH2, NHCH2CH2CH2CH2, 24H); 1.38-1.53 (br m, CH2CH2CH2CH2C (= O) NH, NHCH2CH2CH2O, 6H); 1.55-1.68 (br m, CH2CH2CH2C (= O) OH, CH2CH2CH (NH2), 6H); 1.70-1.84 (m, CH2C (= O) NH, 2H); 2.00-2.08 (m, CH2CH = CH, CH3C (= O) NH, 7H); 2.15 (br m, NHC (= O) CH2CH2CH2O, 2H); 2.62 (t, CH2C (= O) O, 2H); 2.85 (s, C (= O) CH2CH2C (= O), 4H); 3.24-3.40 (br m, CH2C (= O) NHCH2, CHC (= O) NHCH2, 4H); 3.50-3.88 (br m, CH2O (CH2CH2O) nCH2 , OCH2CH2CH2CH2); 4.34 (m, CHC (= O) NH, 1H); 5.34 (m, CH = CH, 2H)
化合物(I-f)
1H NMR (600 MHz, CDCl3) δ . 0.88 (t, CH2CH3, 6H); 1.20-1.36 (br m, CH3CH2CH2CH2CH2 CH2CH2, CH=CHCH2CH2CH2CH2CH2, NHCH2CH2CH2CH2, CH3(CH2)9, 44H); 1.38-1.53 (br m, CH2CH2CH2CH2C(=O)NH, NHCH2CH2CH2O, 4H); 1.55-1.68 (br m, CH2CH2CH2C(=O)OH, CH2CH2CH(NH2), 6H); 1.70-1.84 (m, CH2C(=O)NH, 2H); 2.00 (m, CH2CH=CH, 4H); 2.15 (br m, NHC(=O)CH2CH2CH2O, 2H); 2.21 (m, CH2C(=O)NHCH, 2H); 2.62 (t, CH2C(=O)O, 2H); 2.85 (s, C(=O)CH2CH2C(=O), 4H); 3.24-3.40 (br m, CH2C(=O)NHCH2, CHC(=O)NHCH2, 4H); 3.50-3.88 (br m, CH2O(CH2CH2O)nCH2, OCH2CH2CH2CH2); 4.34 (m, CHC(=O)NH, 1H); 5.34 (m, CH=CH, 2H)Compound (If)
1 H NMR (600 MHz, CDCl3 ) δ .0.88 (t, CH2CH3, 6H); 1.20-1.36 (br m, CH3CH2CH2CH2CH2 CH2CH2, CH = CHCH2CH2CH2CH2CH2, NHCH2CH2CH2CH2, CH3 (CH2) 9, 44H); 1.38-1.53 ( br m, CH2CH2CH2CH2C (= O) NH, NHCH2CH2CH2O, 4H); 1.55-1.68 (br m, CH2CH2CH2C (= O) OH, CH2CH2CH (NH2), 6H); 1.70-1.84 (m, CH2C (= O) NH, 2H); 2.00 (m, CH2CH = CH, 4H); 2.15 (br m, NHC (= O) CH2CH2CH2O, 2H); 2.21 (m, CH2C (= O) NHCH, 2H); 2.62 (t, CH2C (= O) O, 2H); 2.85 (s, C (= O) CH2CH2C (= O), 4H); 3.24-3.40 (br m, CH2C (= O) NHCH2, CHC (= O) NHCH2, 4H); 3.50 -3.88 (br m, CH2O (CH2CH2O) nCH2, OCH2CH2CH2CH2); 4.34 (m, CHC (= O) NH, 1H); 5.34 (m, CH = CH, 2H)
化合物(I-g)
1H NMR (600 MHz, CDCl3) δ . 0.88 (t, CH2CH3, 6H); 1.20-1.36 (br m, CH3CH2CH2CH2CH2 CH2CH2, CH=CHCH2CH2CH2CH2CH2, NHCH2CH2CH2CH2, CH3(CH2)12, 50H); 1.38-1.53 (br m, CH2CH2CH2CH2C(=O)NH, NHCH2CH2CH2O, 4H); 1.55-1.68 (br m, CH2CH2CH2C(=O)OH, CH2CH2CH(NH2), 6H); 1.70-1.84 (m, CH2C(=O)NH, 2H); 2.00 (m, CH2CH=CH, 4H); 2.15 (br m, NHC(=O)CH2CH2CH2O, 2H); 2.21 (m, CH2C(=O)NHCH, 2H); 2.62 (t, CH2C(=O)O, 2H); 2.85 (s, C(=O)CH2CH2C(=O), 4H); 3.24-3.40 (br m, CH2C(=O)NHCH2, CHC(=O)NHCH2, 4H); 3.50-3.88 (br m, CH2O(CH2CH2O)nCH2, OCH2CH2CH2CH2); 4.34 (m, CHC(=O)NH, 1H); 5.34 (m, CH=CH, 2H)Compound (Ig)
1 H NMR (600 MHz, CDCl3 ) δ .0.88 (t, CH2CH3, 6H); 1.20-1.36 (br m, CH3CH2CH2CH2CH2 CH2CH2, CH = CHCH2CH2CH2CH2CH2, NHCH2CH2CH2CH2, CH3 (CH2) 12, 50H); 1.38-1.53 ( br m, CH2CH2CH2CH2C (= O) NH, NHCH2CH2CH2O, 4H); 1.55-1.68 (br m, CH2CH2CH2C (= O) OH, CH2CH2CH (NH2), 6H); 1.70-1.84 (m, CH2C (= O) NH, 2H); 2.00 (m, CH2CH = CH, 4H); 2.15 (br m, NHC (= O) CH2CH2CH2O, 2H); 2.21 (m, CH2C (= O) NHCH, 2H); 2.62 (t, CH2C (= O) O, 2H); 2.85 (s, C (= O) CH2CH2C (= O), 4H); 3.24-3.40 (br m, CH2C (= O) NHCH2, CHC (= O) NHCH2, 4H); 3.50 -3.88 (br m, CH2O (CH2CH2O) nCH2, OCH2CH2CH2CH2); 4.34 (m, CHC (= O) NH, 1H); 5.34 (m, CH = CH, 2H)
化合物(I-h)
1H NMR (600 MHz, CDCl3) δ . 0.88 (t, CH2CH3, 6H); 1.20-1.36 (br m, CH3CH2CH2CH2CH2 CH2CH2, CH=CHCH2CH2CH2CH2CH2, NHCH2CH2CH2CH2, CH3(CH2)15, 56H); 1.38-1.53 (br m, CH2CH2CH2CH2C(=O)NH, NHCH2CH2CH2O, 4H); 1.55-1.68 (br m, CH2CH2CH2C(=O)OH, CH2CH2CH(NH2), 6H); 1.70-1.84 (m, CH2C(=O)NH, 2H); 2.00 (m, CH2CH=CH, 4H); 2.15 (br m, NHC(=O)CH2CH2CH2O, 2H); 2.21 (m, CH2C(=O)NHCH, 2H); 2.62 (t, CH2C(=O)O, 2H); 2.85 (s, C(=O)CH2CH2C(=O), 4H); 3.24-3.40 (br m, CH2C(=O)NHCH2, CHC(=O)NHCH2, 4H); 3.50-3.88 (br m, CH2O(CH2CH2O)nCH2, OCH2CH2CH2CH2); 4.34 (m, CHC(=O)NH, 1H); 5.34 (m, CH=CH, 2H)Compound (Ih)
1 H NMR (600 MHz, CDCl3 ) δ .0.88 (t, CH2CH3, 6H); 1.20-1.36 (br m, CH3CH2CH2CH2CH2 CH2CH2, CH = CHCH2CH2CH2CH2CH2, NHCH2CH2CH2CH2, CH3 (CH2) 15, 56H); 1.38-1.53 ( br m, CH2CH2CH2CH2C (= O) NH, NHCH2CH2CH2O, 4H); 1.55-1.68 (br m, CH2CH2CH2C (= O) OH, CH2CH2CH (NH2), 6H); 1.70-1.84 (m, CH2C (= O) NH, 2H); 2.00 (m, CH2CH = CH, 4H); 2.15 (br m, NHC (= O) CH2CH2CH2O, 2H); 2.21 (m, CH2C (= O) NHCH, 2H); 2.62 (t, CH2C (= O) O, 2H); 2.85 (s, C (= O) CH2CH2C (= O), 4H); 3.24-3.40 (br m, CH2C (= O) NHCH2, CHC (= O) NHCH2, 4H); 3.50 -3.88 (br m, CH2O (CH2CH2O) nCH2, OCH2CH2CH2CH2); 4.34 (m, CHC (= O) NH, 1H); 5.34 (m, CH = CH, 2H)
化合物(I-i)
1H NMR (600 MHz, CDCl3) δ . 0.88 (t, CH2CH3, 6H); 1.20-1.36 (br m, CH3CH2CH2CH2CH2 CH2CH2, CH=CHCH2CH2CH2CH2CH2, NHCH2CH2CH2CH2, 44H); 1.38-1.53 (br m, CH2CH2CH2CH2C(=O)NH, NHCH2CH2CH2O, 4H); 1.55-1.68 (br m, CH2CH2CH2C(=O)OH, CH2CH2CH(NH2), 6H); 1.70-1.84 (m, CH2C(=O)NH, 2H); 2.00 (m, CH2CH=CH, 4H); 2.15 (br m, NHC(=O)CH2CH2CH2O, 2H); 2.21 (m, CH2C(=O)NHCH, 2H); 2.62 (t, CH2C(=O)O, 2H); 2.85 (s, C(=O)CH2CH2C(=O), 4H); 3.24-3.40 (br m, CH2C(=O)NHCH2, CHC(=O)NHCH2, 4H); 3.50-3.88 (br m, CH2O(CH2CH2O)nCH2, OCH2CH2CH2CH2); 4.34 (m, CHC(=O)NH, 1H); 5.34 (m, CH=CH, 4H)Compound (Ii)
1 H NMR (600 MHz, CDCl3 ) δ .0.88 (t, CH2CH3, 6H); 1.20-1.36 (br m, CH3CH2CH2CH2CH2 CH2CH2, CH = CHCH2CH2CH2CH2CH2, NHCH2CH2CH2CH2, 44H); 1.38-1.53 (br m, CH2CH2CH2CH2C (= O) NH, NHCH2CH2CH2O, 4H); 1.55-1.68 (br m, CH2CH2CH2C (= O) OH, CH2CH2CH (NH2), 6H); 1.70-1.84 (m, CH2C (= O) NH, 2H); 2.00 (m , CH2CH = CH, 4H); 2.15 (br m, NHC (= O) CH2CH2CH2O, 2H); 2.21 (m, CH2C (= O) NHCH, 2H); 2.62 (t, CH2C (= O) O, 2H) 2.85 (s, C (= O) CH2CH2C (= O), 4H); 3.24-3.40 (br m, CH2C (= O) NHCH2, CHC (= O) NHCH2, 4H); 3.50-3.88 (br m, CH2O (CH2CH2O) nCH2, OCH2CH2CH2CH2); 4.34 (m, CHC (= O) NH, 1H); 5.34 (m, CH = CH, 4H)
化合物(I-j)
1H NMR (600 MHz, CDCl3) δ . 0.88 (t, CH2CH3, 6H); 1.20-1.36 (br m, CH3CH2CH2CH2CH2 CH2CH2, CH=CHCH2CH2CH2CH2CH2, NHCH2CH2CH2CH2, CH3(CH2)21, 68H); 1.38-1.53 (br m, CH2CH2CH2CH2C(=O)NH, NHCH2CH2CH2O, 4H); 1.55-1.68 (br m, CH2CH2CH2C(=O)OH, CH2CH2CH(NH2), 6H); 1.70-1.84 (m, CH2C(=O)NH, 2H); 2.00 (m, CH2CH=CH, 4H); 2.15 (br m, NHC(=O)CH2CH2CH2O, 2H); 2.21 (m, CH2C(=O)NHCH, 2H); 2.62 (t, CH2C(=O)O, 2H); 2.85 (s, C(=O)CH2CH2C(=O), 4H); 3.24-3.40 (br m, CH2C(=O)NHCH2, CHC(=O)NHCH2, 4H); 3.50-3.88 (br m, CH2O(CH2CH2O)nCH2, OCH2CH2CH2CH2); 4.34 (m, CHC(=O)NH, 1H); 5.34 (m, CH=CH, 2H)Compound (Ij)
1 H NMR (600 MHz, CDCl3 ) δ .0.88 (t, CH2CH3, 6H); 1.20-1.36 (br m, CH3CH2CH2CH2CH2 CH2CH2, CH = CHCH2CH2CH2CH2CH2, NHCH2CH2CH2CH2, CH3 (CH2) 21, 68H); 1.38-1.53 ( br m, CH2CH2CH2CH2C (= O) NH, NHCH2CH2CH2O, 4H); 1.55-1.68 (br m, CH2CH2CH2C (= O) OH, CH2CH2CH (NH2), 6H); 1.70-1.84 (m, CH2C (= O) NH, 2H); 2.00 (m, CH2CH = CH, 4H); 2.15 (br m, NHC (= O) CH2CH2CH2O, 2H); 2.21 (m, CH2C (= O) NHCH, 2H); 2.62 (t, CH2C (= O) O, 2H); 2.85 (s, C (= O) CH2CH2C (= O), 4H); 3.24-3.40 (br m, CH2C (= O) NHCH2, CHC (= O) NHCH2, 4H); 3.50 -3.88 (br m, CH2O (CH2CH2O) nCH2, OCH2CH2CH2CH2); 4.34 (m, CHC (= O) NH, 1H); 5.34 (m, CH = CH, 2H)
(2)化合物(I-k)の合成
 (2-1)化合物1kの合成
 実施例1(2)における化合物cの製造と同様の手法でコレステロールのp-ニトロフェノール誘導体化を行った。
 (2-2)化合物2kの合成
 実施例1(7)における化合物7cの製造と同様の手法で化合物1kを化合物6cに結合させた。
 (2-3)化合物(I-k)の合成
1H NMR (600 MHz, CDCl3) δ . 0.68 (s, CH3C(CH)2CH2, 3H), 0.84-0.93 (m, CH2CH3, (CH3)2CH, CH3CH(CH)CH2, 12H); 1.00 (s, CH3C(CH)(CH2)C, 3H); 1.20-1.36 (br m, CH3CH2CH2CH2CH2 CH2CH2, CH=CHCH2CH2CH2CH2CH2, NHCH2CH2CH2CH2, CH3(CH2)21, 68H); 1.38-1.53 (br m, CH2CH2CH2CH2C(=O)NH, NHCH2CH2CH2O, 4H); 1.55-1.68 (br m, CH2CH2CH2C(=O)O, CH2CH2CH(NH2), 6H); 1.70-1.91 (m, CH2C(=O)NH, CCH2CH, 4H); 2.00 (m, CH2CH=CH, 4H); 2.15 (br m, NHC(=O)CH2CH2CH2O, 2H); 2.62 (t, CH2C(=O)O, 2H); 2.85 (s, C(=O)CH2CH2C(=O), 4H); 3.24-3.40 (br m, CH2C(=O)NHCH2, CHC(=O)NHCH2, 4H); 3.50-3.88 (br m, CH2O(CH2CH2O)nCH2, OCH2CH2CH2CH2); 4.08 (br, CH(CH2)O, 1H); 4.34 (m, CHC(=O)NH, 1H); 4.47 (br, CH=C, 1H); 5.34 (m, CH=CH, 2H)(2-3) Synthesis of compound (Ik)
1 H NMR (600 MHz, CDCl3 ) δ. 0.68 (s, CH3C (CH) 2CH2, 3H), 0.84-0.93 (m, CH2CH3, (CH3) 2CH, CH3CH (CH) CH2, 12H); 1.00 (s , CH3C (CH) (CH2) C, 3H); 1.20-1.36 (br m, CH3CH2CH2CH2CH2 CH2CH2, CH = CHCH2CH2CH2CH2CH2, NHCH2CH2CH2CH2, CH3 (CH2) 21, 68H); 1.38-1.53 (br m, CH2CH2CH2CH2C (= O) NH, NHCH2CH2CH2O, 4H); 1.55-1.68 (br m, CH2CH2CH2C (= O) O, CH2CH2CH (NH2), 6H); 1.70-1.91 (m, CH2C (= O) NH, CCH2CH, 4H); 2.00 (m , CH2CH = CH, 4H); 2.15 (br m, NHC (= O) CH2CH2CH2O, 2H); 2.62 (t, CH2C (= O) O, 2H); 2.85 (s, C (= O) CH2CH2C (= O ), 4H); 3.24-3.40 (br m, CH2C (= O) NHCH2, CHC (= O) NHCH2, 4H); 3.50-3.88 (br m, CH2O (CH2CH2O) nCH2, OCH2CH2CH2CH2); 4.08 (br, CH (CH2) O, 1H); 4.34 (m, CHC (= O) NH, 1H); 4.47 (br, CH = C, 1H); 5.34 (m, CH = CH, 2H)
実施例5と同様の方法でマイクロ流路にBSAのコート、続いて各種PEG脂質誘導体の修飾を行った。ただし、PEG脂質をH2O:DMSO=1:1(v/v)に溶解した溶液を基板修飾に用いた。また、PEG脂質修飾後の洗浄は、PBSによって行った。100 μLのBa/F3(EGFP)細胞(1×107 cells/mL)PBS懸濁液をマイクロ流路の片方のチャンバーにのみ入れ、大気圧により流路内に細胞を流れ込ませた。30分静置後、1 mLのPBSで非固定化細胞を洗浄除去し、流路内に固定化されている細胞数を計測した。結果を図18に示す。In the same manner as in Example 5, the microchannel was coated with BSA and subsequently modified with various PEG lipid derivatives. However, a solution in which PEG lipid was dissolved in H2 O: DMSO = 1: 1 (v / v) was used for substrate modification. In addition, washing after PEG lipid modification was performed with PBS. 100 μL of Ba / F3 (EGFP) cell (1 × 107 cells / mL) PBS suspension was placed in only one chamber of the microchannel, and the cells were allowed to flow into the channel by atmospheric pressure. After standing for 30 minutes, non-immobilized cells were washed away with 1 mL of PBS, and the number of cells immobilized in the flow channel was counted. The results are shown in FIG.
脂質膜結合阻害基がメチル基である場合のモデルである化合物(I-e)を修飾した流路には、細胞が固定化され、細胞固定化機能が阻害されることが無かった。一方、脂質膜結合阻害基が、メチルよりも長鎖のアルキル基(C11、C14、C17及びC23)及びコレステリル基などの疎水性基である場合のモデルである化合物(I-f、I-g、I-h、I-i、I-j、I-k)を修飾した流路には細胞が固定化されず、脂質膜結合機能が阻害された。したがって、脂質膜結合阻害基が疎水性基である場合に、脂質膜結合機能の阻害が好適になされることが示された。In the flow channel modified with the compound (Ie), which is a model when the lipid membrane binding inhibitory group is a methyl group, cells were immobilized, and the cell immobilization function was not inhibited. On the other hand, compounds (I-f, I-g), which are models when the lipid membrane binding inhibitory group is a hydrophobic group such as an alkyl group (C11, C14, C17 and C23) longer than methyl and a cholesteryl group. , Ih, Ii, Ij, Ik), the cells were not immobilized, and the lipid membrane binding function was inhibited. Therefore, it was shown that when the lipid membrane binding inhibitory group is a hydrophobic group, the lipid membrane binding function is preferably inhibited.
本発明によれば、単一種類の脂質膜含有物のみならず、複数種類の脂質膜含有物も迅速かつ簡便にパターニングすることが可能である。そのため、例えば、同一基板上に複数の異なる種類の細胞を配置して、薬剤候補品が効果を示す病態を一度に調べるなど、ハイスループットな薬剤スクリーニングが可能となる。また、単に細胞をランダムに混ぜ合わせただけの組織様構造物よりも、実際の生体組織に近い機能を有する組織を構築可能である。さらに、特定の細胞を選択的に単離することも可能である。According to the present invention, not only a single type of lipid membrane-containing material but also a plurality of types of lipid membrane-containing materials can be patterned quickly and easily. Therefore, for example, a high-throughput drug screening is possible, for example, by arranging a plurality of different types of cells on the same substrate and examining a disease state in which the drug candidate product is effective at one time. Moreover, it is possible to construct a tissue having a function close to that of an actual biological tissue rather than a tissue-like structure in which cells are simply mixed at random. Furthermore, specific cells can be selectively isolated.
| Application Number | Priority Date | Filing Date | Title | 
|---|---|---|---|
| JP2017509496AJP6901714B2 (en) | 2015-03-30 | 2016-03-11 | A compound for immobilizing a lipid film-containing material, a base material modified with the compound, a method for patterning the lipid film-containing material on the base material, and a method for isolating the lipid film-containing material on the base material. | 
| Application Number | Priority Date | Filing Date | Title | 
|---|---|---|---|
| JP2015070210 | 2015-03-30 | ||
| JP2015-070210 | 2015-03-30 | ||
| US201662300346P | 2016-02-26 | 2016-02-26 | |
| US62/300,346 | 2016-02-26 | 
| Publication Number | Publication Date | 
|---|---|
| WO2016158327A1true WO2016158327A1 (en) | 2016-10-06 | 
| Application Number | Title | Priority Date | Filing Date | 
|---|---|---|---|
| PCT/JP2016/057852CeasedWO2016158327A1 (en) | 2015-03-30 | 2016-03-11 | Compound for fixing lipid membrane-containing composition, base material modified by compound, method for patterning lipid membrane-containing composition on base material, and method for isolating lipid membrane-containing composition on base material | 
| Country | Link | 
|---|---|
| JP (1) | JP6901714B2 (en) | 
| WO (1) | WO2016158327A1 (en) | 
| Publication number | Priority date | Publication date | Assignee | Title | 
|---|---|---|---|---|
| WO2019088258A1 (en)* | 2017-11-06 | 2019-05-09 | 国立大学法人 東京大学 | Photodegradable cell immobilization agent | 
| WO2019230441A1 (en)* | 2018-05-31 | 2019-12-05 | 国立大学法人 東京大学 | Photoresponsive cell fixing agent | 
| WO2021117680A1 (en)* | 2019-12-09 | 2021-06-17 | 国立大学法人 東京大学 | Biological substance immobilization material | 
| CN113230412A (en)* | 2021-05-11 | 2021-08-10 | 中南大学 | Mesoporous silica-lipid composite nano material and preparation method and application thereof | 
| Publication number | Priority date | Publication date | Assignee | Title | 
|---|---|---|---|---|
| JPH04112863A (en)* | 1990-08-31 | 1992-04-14 | Hiroyoshi Shirai | Amino acid derivative and gelling agent | 
| US20060116383A1 (en)* | 2004-11-12 | 2006-06-01 | Jason Bloxham | Integrin antagonists useful as anticancer agents | 
| US20100047814A1 (en)* | 2004-11-18 | 2010-02-25 | Washington State University | Protein interaction reporter agents and methods for using same | 
| WO2014188911A1 (en)* | 2013-05-22 | 2014-11-27 | 独立行政法人産業技術総合研究所 | Photodegradable crosslinking agent, photodegradable gel, cell culture device, cell arrangement/separation device, cell arrangement method, cell separation method, method of forming tissue material, and tissue material | 
| JP2014226089A (en)* | 2013-05-22 | 2014-12-08 | 独立行政法人産業技術総合研究所 | Cell isolation device and cell isolation method | 
| JP2014226088A (en)* | 2013-05-22 | 2014-12-08 | 独立行政法人産業技術総合研究所 | Photodegradable and hydrolyzable crosslinking agent, photodegradable and hydrolyzable gel, cell culture device, cell arrangement/separation device, cell arrangement method, cell separation method, and method of forming tissue material | 
| Publication number | Priority date | Publication date | Assignee | Title | 
|---|---|---|---|---|
| JPH04112863A (en)* | 1990-08-31 | 1992-04-14 | Hiroyoshi Shirai | Amino acid derivative and gelling agent | 
| US20060116383A1 (en)* | 2004-11-12 | 2006-06-01 | Jason Bloxham | Integrin antagonists useful as anticancer agents | 
| US20100047814A1 (en)* | 2004-11-18 | 2010-02-25 | Washington State University | Protein interaction reporter agents and methods for using same | 
| WO2014188911A1 (en)* | 2013-05-22 | 2014-11-27 | 独立行政法人産業技術総合研究所 | Photodegradable crosslinking agent, photodegradable gel, cell culture device, cell arrangement/separation device, cell arrangement method, cell separation method, method of forming tissue material, and tissue material | 
| JP2014226089A (en)* | 2013-05-22 | 2014-12-08 | 独立行政法人産業技術総合研究所 | Cell isolation device and cell isolation method | 
| JP2014226088A (en)* | 2013-05-22 | 2014-12-08 | 独立行政法人産業技術総合研究所 | Photodegradable and hydrolyzable crosslinking agent, photodegradable and hydrolyzable gel, cell culture device, cell arrangement/separation device, cell arrangement method, cell separation method, and method of forming tissue material | 
| Title | 
|---|
| BRIEKE,C. ET AL.: "Light-Controlled Tools", ANGEW CHEM INT ED, vol. 51, no. 34, 2012, pages 8446 - 8476, XP055160738* | 
| LAC, D. ET AL.: "Covalent Chemical Ligation Strategy for Mono- and Polyclonal Immunoglobulins at Their Nucleotide Binding Sites", BIOCONJUGATE CHEMISTRY, vol. 27, no. 1, 2016, pages 159 - 169* | 
| SUSANI-ETZERODT, H. ET AL.: "A versatile library of activity-based probes for fluorescence detection and/or affinity isolation of lipolytic enzymes", CHEMISTRY AND PHYSICS OF LIPIDS, vol. 144, no. 1, 2006, pages 60 - 68, XP027877439* | 
| TANG, X. ET AL.: "Profiling the Membrane Proteome of Shewanella oneidensis MR-1 with New Affinity Labeling Probes", JOURNAL OF PROTEOME RESEARCH, vol. 6, no. 2, 2007, pages 724 - 734, XP055320494* | 
| YAMAGUCHI, S. ET AL., ANGEW CHEM INT ED, vol. 51, no. 1, 18 November 2011 (2011-11-18), pages 128 - 131* | 
| Publication number | Priority date | Publication date | Assignee | Title | 
|---|---|---|---|---|
| WO2019088258A1 (en)* | 2017-11-06 | 2019-05-09 | 国立大学法人 東京大学 | Photodegradable cell immobilization agent | 
| JPWO2019088258A1 (en)* | 2017-11-06 | 2020-11-26 | 国立大学法人 東京大学 | Photodegradable cell fixative | 
| JP7205910B2 (en) | 2017-11-06 | 2023-01-17 | 国立大学法人 東京大学 | Photodegradable cell fixative | 
| WO2019230441A1 (en)* | 2018-05-31 | 2019-12-05 | 国立大学法人 東京大学 | Photoresponsive cell fixing agent | 
| JP2019208381A (en)* | 2018-05-31 | 2019-12-12 | 国立大学法人 東京大学 | Photoresponsive cell fixing agent | 
| JP7236126B2 (en) | 2018-05-31 | 2023-03-09 | 国立大学法人 東京大学 | Photoresponsive cell fixative | 
| WO2021117680A1 (en)* | 2019-12-09 | 2021-06-17 | 国立大学法人 東京大学 | Biological substance immobilization material | 
| CN113230412A (en)* | 2021-05-11 | 2021-08-10 | 中南大学 | Mesoporous silica-lipid composite nano material and preparation method and application thereof | 
| CN113230412B (en)* | 2021-05-11 | 2022-07-15 | 中南大学 | A kind of mesoporous silica-lipid composite nanomaterial and its preparation method and application | 
| Publication number | Publication date | 
|---|---|
| JPWO2016158327A1 (en) | 2018-01-25 | 
| JP6901714B2 (en) | 2021-07-14 | 
| Publication | Publication Date | Title | 
|---|---|---|
| JP6901714B2 (en) | A compound for immobilizing a lipid film-containing material, a base material modified with the compound, a method for patterning the lipid film-containing material on the base material, and a method for isolating the lipid film-containing material on the base material. | |
| US6582930B1 (en) | Porphyrin compounds, their conjugates and assay methods based on the use of said conjugates | |
| ES2548518T3 (en) | Molecular conjugate | |
| TWI750134B (en) | Glycan arrays and method of use | |
| JP5580202B2 (en) | Functional lipid construct | |
| KR20230159629A (en) | Water-soluble polymeric dyes | |
| CN110057804B (en) | Application of N-methyl o-phenylenediamine hydrochloride-based fluorescent carbon dots in lysosome targeting | |
| Jung et al. | A wavelength-tunable and facilely functionable DA type naphthalene core skeleton: Synthesis, photophysical property, and bio-imaging applications for cells and tissues | |
| CN104861039A (en) | Phthalocyanine compound, preparation method and application as single/two-photon fluorescent probe in cancer targeting and mitochondria labeling | |
| CN105399775B (en) | There are the preparation and application of Mitochondrially targeted phosphorescent iridium complex | |
| CN108727177B (en) | Method for material surface/interface photoproduction aldehyde/ketone group covalent immobilization biological activity factor | |
| CN101948566B (en) | A kind of multifunctional polymer for antifungal, anticancer and cell imaging and preparation method thereof | |
| JP4949206B2 (en) | Polyion dendrimers for biomolecular modification | |
| WO2021168511A1 (en) | A microfluidic device for investigating interactions of substances with cells | |
| Paciello et al. | A supramolecular two-photon-active hydrogel platform for direct bioconjugation under near-infrared radiation | |
| JP7205910B2 (en) | Photodegradable cell fixative | |
| US12397530B2 (en) | Patterned, dendrimeric substrate surfaces and production and use thereof | |
| JP7236126B2 (en) | Photoresponsive cell fixative | |
| JP7752415B2 (en) | Biomaterial immobilization materials | |
| US20220041968A1 (en) | Cell adhesion composition and cell adhesion substrate | |
| US20130281656A1 (en) | Methods for labeling a substrate having a plurality of thiol groups attached thereto | |
| TWI468469B (en) | Dyes and methods of marking biological materials | |
| CN109082478B (en) | Zanamivir-magnetic nanoparticle conjugate, its preparation method and use | |
| JP2016125946A (en) | Nano gap structure type substrate | |
| WO2021117680A1 (en) | Biological substance immobilization material | 
| Date | Code | Title | Description | 
|---|---|---|---|
| 121 | Ep: the epo has been informed by wipo that ep was designated in this application | Ref document number:16772211 Country of ref document:EP Kind code of ref document:A1 | |
| ENP | Entry into the national phase | Ref document number:2017509496 Country of ref document:JP Kind code of ref document:A | |
| NENP | Non-entry into the national phase | Ref country code:DE | |
| 122 | Ep: pct application non-entry in european phase | Ref document number:16772211 Country of ref document:EP Kind code of ref document:A1 |