Movatterモバイル変換


[0]ホーム

URL:


WO2016067143A1 - N-(2-alkyleneimino-3-phenylpropyl)acetamide compounds and their use against pain and pruritus via inhibition of trpa1 channels - Google Patents

N-(2-alkyleneimino-3-phenylpropyl)acetamide compounds and their use against pain and pruritus via inhibition of trpa1 channels
Download PDF

Info

Publication number
WO2016067143A1
WO2016067143A1PCT/IB2015/057884IB2015057884WWO2016067143A1WO 2016067143 A1WO2016067143 A1WO 2016067143A1IB 2015057884 WIB2015057884 WIB 2015057884WWO 2016067143 A1WO2016067143 A1WO 2016067143A1
Authority
WO
WIPO (PCT)
Prior art keywords
trifluoromethyl
piperidin
pain
compounds
fluorophenyl
Prior art date
Application number
PCT/IB2015/057884
Other languages
French (fr)
Inventor
Nigel Alan Swain
David Cameron Pryde
David James Rawson
Thomas Ryckmans
Sarah Elizabeth Skerratt
George Salvatore Amato
Brian Edward Marron
Steven Michael Reister
Christopher William West
Original Assignee
Pfizer Inc.
Priority date (The priority date is an assumption and is not a legal conclusion. Google has not performed a legal analysis and makes no representation as to the accuracy of the date listed.)
Filing date
Publication date
Application filed by Pfizer Inc.filedCriticalPfizer Inc.
Publication of WO2016067143A1publicationCriticalpatent/WO2016067143A1/en

Links

Classifications

Definitions

Landscapes

Abstract

The present invention relates to carboxamide derivatives. More particularly, it relates toN-(2-alkyleneimino-3-phenylpropyl)acetamide derivatives of formula (I): and pharmaceutically acceptable salts thereof, wherein R1, R2, R3, RA, RB, RC, X and n are as defined in the description. TheN-(2-alkyleneimino-3- phenylpropyl)acetamide derivatives of the present invention modulate the activity of the TrpA1 ion channel. They are useful in the treatment of a number of conditions, including pain and pruritus.

Description

N-(2-ALKYLENEIMINO-3-PHENYLPROPYL)ACETAMIDE COMPOUNDS AND THEIR USE AGAINST PAIN AND PRURITUS VIA INHIBITION OF TRPA1 CHANNELS
Field of the Invention
The present invention relates to carboxamide derivatives. More particularly, it relates to A/-(2-alkyleneimino-3-phenylpropyl)acetamide derivatives. The carboxamide derivatives of the present invention modulate the activity of the TrpA1 ion channel. They are useful in the treatment of a number of conditions, including pain and pruritus.
Background
TrpA1 is a member of the Transient Receptor Potential (Trp) family of ion channels. It was first described as being activated in response to noxious cold. It is activated by a number of exogenous chemical compounds and some endogenous inflammatory mediators. It has also been reported to be activated in response to mechanical stress.
There is substantial evidence for the involvement of TrpA1 in the physiology of pain, including neuropathic and inflammatory pain, and in pruritus (itch). For example, see:
Bautista, D.M. et al., "TRPA 1: A Gatekeeper for Inflammation" , Annu. Rev. Physiol.
2013, 75, 181-200;
Bishnoi, M. & Premkumar, L.S., "Changes in TRP Channels Expression in Painful
Conditions", Open Pain Journal 2013, 6(Suppl. 1), 10-22;
Brederson, J.-D. et al., "Targeting TRP channels for pain relief, Eur. J. Pharmacol.
2013, 716, 61-76;
Radresa, O. et al., "Roles of TRPAI in Pain Pathophysiology and Implications for the Development of a New Class of Analgesic Drugs", Open Pain Journal 2013, 6(Suppl. 1), 137-153; and
Toth, B.I. & Biro, T., "TRP Channels and Pruritus" , Open Pain Journal 2013, 6(Suppl.
1), 62-80.
There is a continuing interest in finding new compounds that interact with TrpA1. Summary of the Invention
In a first aspect, the ula (I)
Figure imgf000003_0001
or a pharmaceutically acceptable salt thereof, wherein
RA and RB are each independently (C C3)alkyl, or RA and RB together are— (CH2);
Figure imgf000003_0002
R1, R2, R3, R4, R5 and R6 are each independently selected from H, halo, OH, CH3, CF3, OCH3, and CN;
X is H or OH;
Y is C(H) or N; a is 2, 3, 4 or 5; and n is 1 or 2.
The compounds of formula (I) and their pharmaceutically acceptable salts, solvates and complexes are referred to herein as "the compounds of the invention". The definition above is referred to herein as embodiment E1 of this aspect. Further embodiments of this aspect of the invention are described in detail below.
In another aspect, the invention provides for a compound of formula (I) as described above, or in any one of the preferred embodiments, or a pharmaceutically acceptable salt thereof, for use as a medicament. In an embodiment according to this aspect the compound of formula (I), or a pharmaceutically acceptable salt thereof, is for use in the treatment of pain. In another embodiment according to this aspect the compound of formula (I), or a pharmaceutically acceptable salt thereof, is for use in the treatment of pruritus.
In another aspect, the invention provides for a pharmaceutical composition comprising a compound of formula (I) as described above, or in any one of the preferred embodiments, or a pharmaceutically acceptable salt thereof, and a pharmaceutically acceptable excipient.
In another aspect, the invention provides for a method of treating pain comprising administering a therapeutically effective amount of a compound of formula (I) as described above, or in any one of the preferred embodiments, or a pharmaceutically acceptable salt thereof, to an individual in need of such treatment.
In another aspect, the invention provides for a method of treating pruritus comprising administering a therapeutically effective amount of a compound of formula (I) as described above, or in any one of the preferred embodiments, or a pharmaceutically acceptable salt thereof, to an individual in need of such treatment.
In another aspect, the invention provides for the use of a compound of formula (I) as described above, or in any one of the preferred embodiments, or a pharmaceutically acceptable salt thereof, for the manufacture of a medicament for treating pain.
In another aspect, the invention provides for the use of a compound of formula (I) as described above, or in any one of the preferred embodiments, or a pharmaceutically acceptable salt thereof, for the manufacture of a medicament for treating pruritus. In another aspect, the invention provides for the use of a compound of formula (I) as described above, or in any one of the preferred embodiments, or a pharmaceutically acceptable salt thereof, for the treatment of pain.
In another aspect, the invention provides for the use of a compound of formula (I) as described above, or in any one of the preferred embodiments, or a pharmaceutically acceptable salt thereof, for the treatment of pruritus.
In another aspect, the invention provides for a combination comprising a compound of formula (I) as described above, or in any one of the preferred embodiments, or a pharmaceutically acceptable salt thereof, and a second pharmaceutically active agent.
Detailed description of the Invention
AlkyI groups, containing the requisite number of carbon atoms, can be unbranched or branched. (Ci-C3)Alkyl includes methyl, ethyl, n-propyl (1-propyl) and isopropyl (2- propyl, 1-methylethyl).
The term "halo" includes fluoro (-F), chloro (-CI), bromo (-Br) and iodo (-I).
The term "polyfluoroalkyl" denotes an alkyl group in which two or more hydrogen atoms are replaced by fluorine atoms. Polyfluoroalkyl includes perfluoroalkyl, which denotes an alkyl group in which all the hydrogen atoms are replaced by fluorine atoms. (CrC3)Polyfluoroalkyl includes, but is not limited to, difluoromethyl, trifluoromethyl, 2,2,2-trifluoroethyl, pentafluoroethyl, 3,3,3-trifluoropropyl, 2,2,3,3,3- pentafluoropropyl, and 2,2,2-trifluoro-1-(trifluoromethyl)ethyl.
Further specific embodiments of the compounds of the invention are as follows.
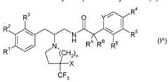
In embodiment E2, there is provided a compound according to embodiment E1 or a harmaceutically acceptable salt thereof, wherein Rc
Figure imgf000006_0001
Compounds of Embodiment E2 may be represented by formula (lA).
Figure imgf000006_0002
In embodiment E3, there is provided a compound according to embodiment E2, or a pharmaceutically acceptable salt thereof, wherein RA and RB together are— (CH2)a— and Y is C(H). Compounds of Embodiment E3 may be represented by formula (lB).
Figure imgf000006_0003
In embodiment E4, there is provided a compound according to any one of embodiments E1 , E2 or E3 or a pharmaceutically acceptable salt thereof, wherein R1 is selected from H, F, CI, Br, CH3, CF3, OCH3, and CN; and R2 and R3 are both H.
In embodiment E5, there is provided a compound according to any one of embodiments E1 , E2, E3 or E4, or a pharmaceutically acceptable salt thereof, wherein R4 is selected from H, F, CI, Br, CH3, CF3, OCH3, and CN; and R5 and R6 are both H. In embodiment E6, there is provided a compound according to embodiment E1 , or a table salt thereof, wherein RA and RB together are— (CH2)a— ;
R1 is selected from H and F; R2 and R3 are both H; R4 is
Figure imgf000007_0001
selected from H, F and CI; R5 and R6 are both H; and Y is C(H). Compounds Embodiment E6 may be represented by formula (lc).
Figure imgf000007_0002
In embodiment E7, there is provided a compound according to embodiment E6, or a pharmaceutically acceptable salt thereof, wherein X is OH, a is 4 and n is 2.
Compounds of Embodiment E7 may be represented by formula (lD).
Figure imgf000007_0003
In embodiment E8, there is provided a compound according to embodiment E1 selected from:
A/-[2-(4-hydroxy-4-(trifluoromethyl)piperidin-1-yl)-3-phenyl-propyl]-1-phenyl- cyclopentanecarboxamide,
1-(4-chlorophenyl)-/V-[2-(4-hydroxy-4-(trifluoromethyl)piperidin-1-yl)-3-phenylpropyl]- cyclopentanecarboxamide, 1-(4-chlorophenyl)-N-{2-[4-hydroxy-4-(trifluoromethyl)piperidin-1-yl]-3- phenylpropyl}cyclopentanecarboxamide,
1-(4-chlorophenyl)-N-{2-[4-hydroxy-4-(trifluoromethyl)piperidin-1-yl]-3- phenylpropyl}cyclopropanecarboxamide,
1-(4-chlorophenyl)-N-{3-(4-cyanophenyl)-2-[4-hydroxy-4-(trifluoromethyl)piperidin yl]propyl}cyclopentanecarboxamide,
1-(4-chlorophenyl)-N-{3-(4-fluorophenyl)-2-[4-hydroxy-4-(trifluoromethyl)piperidin^ yl]propyl}cyclopentanecarboxamide, and
1-(4-fluorophenyl)-/V-[2-(4-hydroxy-4-(trifluoromethyl)piperidin-1-yl)-3-phenylpropyl]- cyclopentanecarboxamide;
or a pharmaceutically acceptable salt thereof.
In embodiment E9, there is provided a compound according to embodiment E8 that is 1-(4-chlorophenyl)-/V-[2-(4-hydroxy-4-(trifluoromethyl)piperidin-1-yl)-3-phenylpropyl]- cyclopentanecarboxamide, or a pharmaceutically acceptable salt thereof. This compound is represented by formula (lE).
Figure imgf000008_0001
Compounds of formula (I) include one or more stereogenic centers and so may exist as optical isomers, such as enantiomers and disastereomers. All such isomers and mixtures thereof are included within the scope of the present invention. More specifically, compounds of formula (I) include a stereogenic center at the position marked with a * in the structural formula below.
Figure imgf000009_0001
The two epimers at this position are designated as ((S)-l) and {{R)-\).
Figure imgf000009_0002
((S)-l) ((*)-")
These isomers represent further embodiments E10 and E11 of the invention. It will be understood that compounds of formula (lA), (lB), (lc) and (lD) also exist as the corresponding epimeric pairs, namely ((S)-IA) and ((R)-\ ), ((S)-IB) and ((R)-\B), ((S)-\°) and ((R)-\°), and ((S)-ID) and ((R)-\D). These isomers also represent further embodiments (E12 to E19 respectively) of the invention.
In embodiment E20, there is provided a compound according to embodiment E9 that is 1-(4-chlorophenyl)-/V-[2-(4-hydroxy-4-(trifluoromethyl)piperidin-1-yl)-3- phenylpropyl]-cyclopentanecarboxamide, or a pharmaceutically acceptable salt thereof, wherein the compound is racemic.
In embodiment E21 , there is provided a compound according to embodiment E9 that is 1-(4-chlorophenyl)-/V-{(2S)-[2-(4-hydroxy-4-(trifluoromethyl)piperidin-1-yl)-3- phenylpropyl]}cyclopentanecarboxamide, or a pharmaceutically acceptable salt thereof, wherein the compound is enriched with the (2S) enantiomer. The
enantiomeric excess may be, for example, at least 50%, at least 80%, at least 90%, at least 95%, at least 98%, at least 99% or at least 99.5%. In embodiment E22, there is provided a compound according to embodiment E9 that is 1-(4-chlorophenyl)-/V-{(2f?)-[2-(4-hydroxy-4-(trifluoromethyl)piperidin-1-yl)-3- phenylpropyl]}cyclopentanecarboxamide, or a pharmaceutically acceptable salt thereof, wherein the compound is enriched with the (2R) enantiomer. The
enantiomeric excess may be, for example, at least 50%, at least 80%, at least 90%, at least 95%, at least 98%, at least 99% or at least 99.5%.
Compounds of formula (I), (lA), (lB), and (lc) wherein n is 1 include a second stereogenic center in the alkyleneimino ring, marked as ** in the fragment below. The designation of the configuration at this position as (S) or (R) depends on the nature of X.
Figure imgf000010_0001
Conventional techniques for the preparation/isolation of individual enantiomers include chiral synthesis from a suitable optically pure precursor or resolution of the racemate (or the racemate of a salt or derivative) using, for example, chiral high pressure liquid chromatography (HPLC).
Alternatively, the racemate (or a racemic precursor) may be reacted with a suitable optically active compound, for example, an alcohol, or, in the case where the compound of formula (I) contains an acidic or basic moiety, a base or acid such as 1 - phenylethylamine or tartaric acid. The resulting diastereomeric mixture may be separated by chromatography and/or fractional crystallization and one or both of the diastereoisomers converted to the corresponding pure enantiomer(s) by means well known to a skilled person.
Chiral compounds of the invention (and chiral precursors thereof) may be obtained in enantiomerically-enriched form using chromatography, typically HPLC, on an asymmetric resin with a mobile phase consisting of a hydrocarbon, typically heptane or hexane, containing from 0 to 50% by volume of isopropanol, typically from 2% to 20%, and from 0 to 5% by volume of an alkylamine, typically 0.1 % diethylamine. Concentration of the eluate affords the enriched mixture.
Mixtures of stereoisomers may be separated by conventional techniques known to those skilled in the art; see, for example, "Stereochemistry of Organic Compounds" by E. L. Eliel and S. H. Wilen (Wiley, New York, 1994).
Hereinafter, all references to compounds of the invention include compounds of formula (I) or pharmaceutically acceptable salts, solvates, or multi-component complexes thereof, or pharmaceutically acceptable solvates or multi-component complexes of pharmaceutically acceptable salts of compounds of formula (I), as discussed in more detail below.
Preferred compounds of the invention are compounds of formula (I) or pharmaceutically acceptable salts thereof.
Suitable acid addition salts are formed from acids which form non-toxic salts. Examples include the acetate, adipate, aspartate, benzoate, besylate, bicarbonate/carbonate, bisulphate/sulphate, borate, camsylate, citrate, cyclamate, edisylate, esylate, formate, fumarate, gluceptate, gluconate, glucuronate, hexafluorophosphate, hibenzate, hydrochloride/chloride, hydrobromide/bromide, hydroiodide/iodide, isethionate, lactate, malate, maleate, malonate, mesylate, methylsulphate, naphthylate, 2-napsylate, nicotinate, nitrate, orotate, oxalate, palmitate, pamoate, phosphate/hydrogen phosphate/dihydrogen phosphate, pyroglutamate, saccharate, stearate, succinate, tannate, tartrate, tosylate, trifluoroacetate and xinofoate salts.
Hemisalts of acids and bases may also be formed, for example, hemisulphate salts.
The skilled person will appreciate that the aforementioned salts include ones wherein the counterion is optically active, for example d-lactate, or racemic, for example dl- tartrate. For a review on suitable salts, see "Handbook of Pharmaceutical Salts: Properties, Selection, and Use" by Stahl and Wermuth (Wiley-VCH, Weinheim, Germany, 2002).
Pharmaceutically acceptable salts of compounds of formula (I) may be prepared by one or more of three methods:
(i) by reacting the compound of formula (I) with the desired acid or base;
(ii) by removing an acid- or base-labile protecting group from a suitable precursor of the compound of formula (I) using the desired acid or base; or
(iii) by converting one salt of the compound of formula (I) to another by reaction with an appropriate acid or base or by means of a suitable ion exchange column.
All three reactions are typically carried out in solution. The resulting salt may precipitate out and be collected by filtration or may be recovered by evaporation of the solvent. The degree of ionisation in the resulting salt may vary from completely ionised to almost non-ionised.
The compounds of formula (I) or pharmaceutically acceptable salts thereof may exist in both unsolvated and solvated forms. The term 'solvate' is used herein to describe a molcular complex comprising a compound of formula (I) or a pharmaceutically acceptable salt thereof and one or more pharmaceutically acceptable solvent molcules, for example, ethanol. The term 'hydrate' is employed when said solvent is water. Pharmaceutically acceptable solvates in accordance with the invention include those wherein the solvent of crystallization may be isotopically substituted, e.g. D2O, d6-acetone and d6-DMSO.
A currently accepted classification system for organic hydrates is one that defines isolated site, channel, or metal-ion coordinated hydrates - see Polymorphism in Pharmaceutical Solids by K. R. Morris (Ed. H. G. Brittain, Marcel Dekker, 1995), incorporated herein by reference. Isolated site hydrates are ones in which the water molcules are isolated from direct contact with each other by intervening organic molcules. In channel hydrates, the water molcules lie in lattice channels where they are next to other water molcules. In metal-ion coordinated hydrates, the water molcules are bonded to the metal ion. When the solvent or water is tightly bound, the complex will have a well-defined stoichiometry independent of humidity. When, however, the solvent or water is weakly bound, as in channel solvates and hygroscopic compounds, the water/solvent content will be dependent on humidity and drying conditions. In such cases, non- stoichiometry will be the norm.
The compounds of the invention may exist in a continuum of solid states ranging from fully amorphous to fully crystalline. The term 'amorphous' refers to a state in which the material lacks long range order at the molcular level and, depending upon temperature, may exhibit the physical properties of a solid or a liquid. Typically such materials do not give distinctive X-ray diffraction patterns and, while exhibiting the properties of a solid, are more formally described as a liquid. Upon heating, a change from solid to liquid properties occurs which is characterised by a change of state, typically second order ('glass transition'). The term 'crystalline' refers to a solid phase in which the material has a regular ordered internal structure at the molcular level and gives a distinctive X-ray diffraction pattern with defined peaks. Such materials when heated sufficiently will also exhibit the properties of a liquid, but the change from solid to liquid is characterised by a phase change, typically first order ('melting point').
Also included within the scope of the invention are multi-component complexes (other than salts and solvates) of compounds of formula (I) or pharmaceutically acceptable salts thereof wherein the drug and at least one other component are present in stoichiometric or non-stoichiometric amounts. Complexes of this type include clathrates (drug-host inclusion complexes) and co-crystals. The latter are typically defined as crystalline complexes of neutral molcular constituents which are bound together through non-covalent interactions, but could also be a complex of a neutral molcule with a salt. Co-crystals may be prepared by melt crystallisation, by recrystallisation from solvents, or by physically grinding the components together - see Chem Commun, 17, 1889-1896, by O. Almarsson and M. J. Zaworotko (2004), incorporated herein by reference. For a general review of multi-component complexes, see J Pharm Sci, 64 (8), 1269-1288, by Haleblian (August 1975), incorporated herein by reference. The compounds of the invention may also exist in a mesomorphic state (mesophase or liquid crystal) when subjected to suitable conditions. The mesomorphic state is intermediate between the true crystalline state and the true liquid state (either melt or solution). Mesomorphism arising as the result of a change in temperature is described as 'thermotropic' and that resulting from the addition of a second component, such as water or another solvent, is described as 'lyotropic'. Compounds that have the potential to form lyotropic mesophases are described as 'amphiphilic' and consist of molcules which possess an ionic (such as -COO"Na+, -COO"K+, or - SC>3"Na+) or non-ionic (such as -N"N+(CH3)3) polar head group. For more information, see Crystals and the Polarizing Microscope by N. H. Hartshorne and A. Stuart, 4th Edition (Edward Arnold, 1970), incorporated herein by reference.
The compounds of the invention may be administered as prodrugs. Thus certain derivatives of compounds of formula (I) which may have little or no pharmacological activity themselves can, when administered into or onto the body, be converted into compounds of formula (I) having the desired activity, for example, by hydrolytic cleavage. Such derivatives are referred to as 'prodrugs'. Further information on the use of prodrugs may be found in 'Pro-drugs as Novel Delivery Systems, Vol. 14, ACS Symposium Series (T Higuchi and W Stella) and 'Bioreversible Carriers in Drug Design', Pergamon Press, 1987 (ed. E B Roche, American Pharmaceutical Association).
Prodrugs can, for example, be produced by replacing appropriate functionalities present in a compound of formula (I) with certain moieties known to those skilled in the art as 'pro-moieties' as described, for example, in "Design of Prodrugs" by H Bundgaard (Elsevier, 1985).
Also included within the scope of the invention are metabolites of compounds of formula (I), that is, compounds formed in vivo upon administration of the drug. Some examples of metabolites in accordance with the invention include, where the compound of formula (I) contains a phenyl (Ph) moiety, a phenol derivative thereof (-Ph > -PhOH); and where the compound of formula (I) contains a methyl (-CH3) group, the hydroxymethyl derivative thereof (-CH3 > -CH2OH). The scope of the invention includes all crystal forms of the compounds of the invention, including racemates and racemic mixtures (conglomerates) thereof. Stereoisomeric conglomerates may also be separated by the conventional techniques described herein just above.
The scope of the invention includes all pharmaceutically acceptable isotopically- labelled compounds of the invention wherein one or more atoms are replaced by atoms having the same atomic number, but an atomic mass or mass number different from the atomic mass or mass number which predominates in nature.
Examples of isotopes suitable for inclusion in the compounds of the invention include isotopes of hydrogen, such as2H and3H, carbon, such as11C,13C and14C, chlorine, such as36CI, fluorine, such as18F, iodine, such as123l and125l, nitrogen, such as13N and15N, oxygen, such as150,170 and180, phosphorus, such as32P, and sulphur, such as35S.
Certain isotopically-labelled compounds of the invention, for example, those incorporating a radioactive isotope, are useful in drug and/or substrate tissue distribution studies. The radioactive isotopes tritium, i.e.3H, and carbon-14, i.e.14C, are particularly useful for this purpose in view of their ease of incorporation and ready means of detection. Substitution with isotopes such as deuterium, i.e.2H, may afford certain therapeutic advantages resulting from greater metabolic stability, for example, increased in vivo half-life or reduced dosage requirements, and hence may be preferred in some circumstances. Substitution with positron emitting isotopes, such as11C,18F,150 and13N, can be useful in Positron Emission Topography (PET) studies for examining substrate receptor occupancy.
Isotopically-labeled compounds of formula (I) can generally be prepared by conventional techniques known to those skilled in the art or by processes analogous to those described in the accompanying Examples and Preparations using an appropriate isotopically-labeled reagent in place of the non-labeled reagent previously employed. Also within the scope of the invention are intermediate compounds as hereinafter defined, all salts, solvates and complexes thereof and all solvates and complexes of salts thereof as defined hereinbefore for compounds of formula (I). The invention includes all polymorphs of the aforementioned species and crystal habits thereof.
The compounds of the invention may be prepared by any method known in the art for the preparation of compounds of analogous structure. In particular, the compounds of the invention can be prepared by the procedures described by reference to the Schemes that follow, or by the specific methods described in the Examples, or by similar processes to either.
The skilled person will appreciate that the experimental conditions set forth in the schemes that follow are illustrative of suitable conditions for effecting the
transformations shown, and that it may be necessary or desirable to vary the precise conditions employed for the preparation of compounds of formula (I). It will be further appreciated that it may be necessary or desirable to carry out the transformations in a different order from that described in the schemes, or to modify one or more of the transformations, to provide the desired compound of the invention.
In addition, the skilled person will appreciate that it may be necessary or desirable at any stage in the synthesis of compounds of the invention to protect one or more sensitive groups, so as to prevent undesirable side reactions. In particular, it may be necessary or desirable to protect amino or carboxylic acid groups. The protecting groups used in the preparation of the compounds of the invention may be used in conventional manner. See, for example, those described in 'Greene's Protective Groups in Organic Synthesis' by Theodora W Greene and Peter G M Wuts, 4th edition, (John Wiley and Sons, 2006), in particular chapters 7 ("Protection for the Amino Group") and 5 ("Protection for the Carboxyl Group"), incorporated herein by reference, which also describes methods for the removal of such groups.
All of the derivatives of the formula (I) can be prepared by the procedures described in the general methods presented below or by routine modifications thereof. The present invention also encompasses any one or more of these processes for preparing the derivatives of formula (I), in addition to any novel intermediates used therein.
According to a first process, compounds of formula (I) may be prepared from compounds of formula (II) and (III) as illustrated by Scheme 1 ,
Figure imgf000017_0001
(III) (ID (I)
Scheme 1
Compounds of formula (II) are commercially available or may be synthesized by those skilled in the art according to the literature or preparations described herein.
Compounds of formula (III) may be prepared as described in Schemes 3 and 4. Racemic compounds of formula (I) may be chirally separated into enantiomers or diastereomers using appropriate chiral chromatography.
Compounds of formula (I) may be prepared from compounds of formula (II) and (III) according to process step (i), an amide bond formation reaction. Typical conditions employ activation of the carboxylic acid (II) using a suitable organic base and a suitable coupling agent. Preferred coupling agents are either EDCI with HOBt, HATU, HBTU or BOP. Preferred organic bases comprise either DIPEA or triethylamine in a suitable organic solvent such as DMF, DMA or MeCN, shaken or stirred at room temperature (See Methods 1 -5).
According to a second process, compounds of formula (ly) wherein R1 is nitrile may be interconverted from compounds of formula (lx) wherein R1 is Hal as illustrated by Scheme 2,
Figure imgf000018_0001
(|y)
Scheme 2
Wherein Hal is Bromo or lodo;
Compounds of formula (ly) may be prepared from compounds of formula (lx) according to process step (ii), a palladium catalysed cyanation reaction. Typical conditions employ a suitable palladium catalyst with a metal cyanide in a polar solvent at elevated temperatures. Preferred conditions comprise tetrakistriphenylphosphine palladium (0) with zinc cyanide in DMF at 110°C.
According to a third process, compounds of formula (III) may be prepared from compounds of formula (IV) and (V) as illustrated by Scheme 3,
Figure imgf000018_0002
(IV) (V) (III)
Scheme 3
Compounds of formulae (IV) and (V) are commercially available or may be synthesized by those skilled in the art according to the literature or preparations described herein.
Racemic compounds of formula (III) may be chirally separated into enantiomers or diastereomers using appropriate chiral chromatography.
Compounds of formula (III) may be prepared from compounds of formula (IV) and (V) according to process step (iii), a modified Strecker reaction where the intermediate nitrile is reduced to an aminomethylene instead of hydrolysis to an acid. Preferred conditions comprise catalytic zinc iodide with TMSCN in diethyl ether at reflux followed by reduction with either LiAIH4 or by hydrogenation over Raney Nickel.
Alternatively compounds of formula (III) may be prepared from compounds of formula (V), (IX) and (VIII) according to Scheme 4,
Figure imgf000019_0001
Scheme 4
Wherein M is a metal such as magnesium or zinc, and NPth is pthalimido;
Compounds of formula (V), (IX) and (VIII) are commercially available or may be synthesized by those skilled in the art according to the literature or preparations described herein.
Compounds of formula (III) may be prepared from compounds of formula (VI) according to process step (iv), a deprotection under basic reaction conditions. Preferred conditions comprise hydrazine monohydrate in ethanol at reflux.
Compounds of formula (VI) may be prepared from compounds of formula (VII) and (VIII) according to process step (v) an alkyl Grignard or zincate displacement of a benzotriazole.
Preferred conditions comprise reacting compounds of formula (VII) with synthesised or commercially available zincates of formula (VIII) in THF at from -60°C to 0°C. Compounds of formula (VII) may be prepared from compounds of formula (V) and (IX) with benzotriazole according to process step (vi), a Katritzky reaction. Preferred conditions comprise heating in toluene at reflux under Dean-Stark conditions.
Alternatively compounds of formula (III) may be prepared from compounds
(V), (IX) and (VIII) according to Scheme 5,
Figure imgf000020_0001
Scheme 5
Compounds of formula (V) and (XIII) are commercially available or may be synthesized by those skilled in the art according to the literature or preparations described herein.
Compounds of formula (III) may be prepared from compounds of formula (X) according to process step (i) an amide bond formation reaction as described in Scheme 1 , followed by process step (vii), a reduction reaction. Preferred conditions comprise carbonyldiimidazole in THF with ammonium hydroxide followed by LiAIH4 in DME at elevated temperatures of 50-65°C.
Compounds of formula (X) may be prepared from compounds of formula (XI) according to process step (viii), a hydrolysis reaction under acidic reaction conditions. Preferred conditions comprise heating in cHCI at 90°C for 18 hours.
Compounds of formula (XI) may be prepared from compounds of formula (XII) and (V) according to process step (ix), a nucleophilic substitution reaction. Preferred conditions comprise potassium phosphate in EtOAc at room temperature. Compounds of formula (XII) may be prepared from compounds of formula (XIII) according to process step (x), a transformation of an alcohol into a leaving group such as triflate. Preferred conditions comprise trifluoromethanesulfonic anhydride with 2.6- lutidine in DCM at room temperature.
Compounds of the invention intended for pharmaceutical use may be administered as crystalline or amorphous products or may exist in a continuum of solid states ranging from fully amorphous to fully crystalline. They may be obtained, for example, as solid plugs, powders, or films by methods such as precipitation, crystallization, freeze drying, spray drying, or evaporative drying. Microwave or radio frequency drying may be used for this purpose.
They may be administered alone or in combination with one or more other compounds of the invention or in combination with one or more other drugs (or as any combination thereof). Generally, they will be administered as a formulation in association with one or more pharmaceutically acceptable excipients. The term 'excipient' is used herein to describe any ingredient other than the compound(s) of the invention. The choice of excipient will to a large extent depend on factors such as the particular mode of administration, the effect of the excipient on solubility and stability, and the nature of the dosage form.
In another aspect the invention provides a pharmaceutical composition comprising a compound of the invention together with one or more pharmaceutically acceptable excipients.
Pharmaceutical compositions suitable for the delivery of compounds of the present invention and methods for their preparation will be readily apparent to those skilled in the art. Such compositions and methods for their preparation may be found, for example, in "Remington's Pharmaceutical Sciences", 19th Edition (Mack Publishing Company, 1995).
Suitable modes of administration include oral, parenteral, topical, inhaled/intranasal, rectal/intravaginal, and ocular/aural administration. Formulations suitable for the aforementioned modes of administration may be formulated to be immediate and/or modified release. Modified release formulations include delayed-, sustained-, pulsed-, controlled-, targeted and programmed release.
The compounds of the invention may be administered orally. Oral administration may involve swallowing, so that the compound enters the gastrointestinal tract, or buccal or sublingual administration may be employed by which the compound enters the blood stream directly from the mouth. Formulations suitable for oral administration include solid formulations such as tablets, capsules containing particulates, liquids, or powders, lozenges (including liquid-filled), chews, multi- and nano-particulates, gels, solid solution, liposome, films, ovules, sprays, liquid formulations and buccal/mucoadhesive patches..
Liquid formulations include suspensions, solutions, syrups and elixirs. Such formulations may be employed as fillers in soft or hard capsules and typically comprise a carrier, for example, water, ethanol, polyethylene glycol, propylene glycol, methylcellulose, or a suitable oil, and one or more emulsifying agents and/or suspending agents. Liquid formulations may also be prepared by the reconstitution of a solid, for example, from a sachet.
The compounds of the invention may also be used in fast-dissolving, fast- disintegrating dosage forms such as those described in Expert Opinion in Therapeutic Patents, V\_ (6), 981-986, by Liang and Chen (2001).
For tablet dosage forms, depending on dose, the drug may make up from 1 weight % to 80 weight % of the dosage form, more typically from 5 weight % to 60 weight % of the dosage form. In addition to the drug, tablets generally contain a disintegrant. Examples of disintegrants include sodium starch glycolate, sodium carboxymethyl cellulose, calcium carboxymethyl cellulose, croscarmellose sodium, crospovidone, polyvinylpyrrolidone, methyl cellulose, microcrystalline cellulose, lower alkyl- substituted hydroxypropyl cellulose, starch, pregelatinised starch and sodium alginate. Generally, the disintegrant will comprise from 1 weight % to 25 weight %, preferably from 5 weight % to 20 weight % of the dosage form. Binders are generally used to impart cohesive qualities to a tablet formulation. Suitable binders include microcrystalline cellulose, gelatin, sugars, polyethylene glycol, natural and synthetic gums, polyvinylpyrrolidone, pregelatinised starch, hydroxypropyl cellulose and hydroxypropyl methylcellulose. Tablets may also contain diluents, such as lactose (monohydrate, spray-dried monohydrate, anhydrous and the like), mannitol, xylitol, dextrose, sucrose, sorbitol, microcrystalline cellulose, starch and dibasic calcium phosphate dihydrate.
Tablets may also optionally comprise surface active agents, such as sodium lauryl sulfate and polysorbate 80, and glidants such as silicon dioxide and talc. When present, surface active agents may comprise from 0.2 weight % to 5 weight % of the tablet, and glidants may comprise from 0.2 weight % to 1 weight % of the tablet.
Tablets also generally contain lubricants such as magnesium stearate, calcium stearate, zinc stearate, sodium stearyl fumarate, and mixtures of magnesium stearate with sodium lauryl sulphate. Lubricants generally comprise from 0.25 weight % to 10 weight %, preferably from 0.5 weight % to 3 weight % of the tablet. Other possible ingredients include anti-oxidants, colourants, flavouring agents, preservatives and taste-masking agents.
Exemplary tablets contain up to about 80% drug, from about 10 weight % to about 90 weight % binder, from about 0 weight % to about 85 weight % diluent, from about 2 weight % to about 10 weight % disintegrant, and from about 0.25 weight % to about 10 weight % lubricant. Tablet blends may be compressed directly or by roller to form tablets. Tablet blends or portions of blends may alternatively be wet-, dry-, or melt- granulated, melt congealed, or extruded before tabletting. The final formulation may comprise one or more layers and may be coated or uncoated; it may even be encapsulated. The formulation of tablets is discussed in "Pharmaceutical Dosage Forms: Tablets", Vol. 1 , by H. Lieberman and L. Lachman (Marcel Dekker, New York, 1980).
Suitable modified release formulations for the purposes of the invention are described in US Patent No. 6, 106,864. Details of other suitable release technologies such as high energy dispersions and osmotic and coated particles are to be found in "Pharmaceutical Technology On-line", 25(2), 1 -14, by Verma et al (2001). The use of chewing gum to achieve controlled release is described in WO 00/35298.
The compounds of the invention may also be administered directly into the blood stream, into muscle, or into an internal organ. Suitable means for parenteral administration include intravenous, intraarterial, intraperitoneal, intrathecal, intraventricular, intraurethral, intrasternal, intracranial, intramuscular and subcutaneous. Suitable devices for parenteral administration include needle (including microneedle) injectors, needle-free injectors and infusion techniques.
Parenteral formulations are typically aqueous solutions which may contain excipients such as salts, carbohydrates and buffering agents (preferably to a pH of from 3 to 9), but, for some applications, they may be more suitably formulated as a sterile nonaqueous solution or as a dried form to be used in conjunction with a suitable vehicle such as sterile, pyrogen-free water.
The preparation of parenteral formulations under sterile conditions, for example, by lyophilisation, may readily be accomplished using standard pharmaceutical techniques well known to those skilled in the art.
The solubility of compounds of formula (I) used in the preparation of parenteral solutions may be increased by the use of appropriate formulation techniques, such as the incorporation of solubility-enhancing agents. Formulations for parenteral administration may be formulated to be immediate and/or modified release. Modified release formulations include delayed-, sustained-, pulsed-, controlled-, targeted and programmed release. Thus compounds of the invention may be formulated as a solid, semi-solid, or thixotropic liquid for administration as an implanted depot providing modified release of the active compound. Examples of such formulations include drug-coated stents and poly(dl-lactic-coglycolic)acid (PGLA) microspheres.
The compounds of the invention may also be administered topically to the skin or mucosa, that is, dermally or transdermally. Typical formulations for this purpose include gels, hydrogels, lotions, solutions, creams, ointments, dusting powders, dressings, foams, films, skin patches, wafers, implants, sponges, fibres, bandages and microemulsions. Liposomes may also be used. Typical carriers include alcohol, water, mineral oil, liquid petrolatum, white petrolatum, glycerin, polyethylene glycol and propylene glycol. Penetration enhancers may be incorporated - see, for example, J Pharm Sci, 88 (10), 955-958, by Finnin and Morgan (October 1999).
Other means of topical administration include delivery by electroporation, iontophoresis, phonophoresis, sonophoresis and microneedle or needle-free (e.g. Powderject™, Bioject™, etc.) injection.
The compounds of the invention can also be administered intranasally or by inhalation, typically in the form of a dry powder (either alone, as a mixture, for example, in a dry blend with lactose, or as a mixed component particle, for example, mixed with phospholipids, such as phosphatidylcholine) from a dry powder inhaler or as an aerosol spray from a pressurised container, pump, spray, atomiser (preferably an atomiser using electrohydrodynamics to produce a fine mist), or nebuliser, with or without the use of a suitable propellant, such as 1 ,1 , 1 ,2-tetrafluoroethane or 1 , 1 , 1 ,2,3,3,3-heptafluoropropane. For intranasal use, the powder may comprise a bioadhesive agent, for example, chitosan or cyclodextrin.
The pressurised container, pump, spray, atomizer, or nebuliser contains a solution or suspension of the compound(s) of the invention comprising, for example, ethanol, aqueous ethanol, or a suitable alternative agent for dispersing, solubilising, or extending release of the active, a propellant(s) as solvent and an optional surfactant, such as sorbitan trioleate, oleic acid, or an oligolactic acid.
Prior to use in a dry powder or suspension formulation, the drug product is micronised to a size suitable for delivery by inhalation (typically less than 5 microns). This may be achieved by any appropriate comminuting method, such as spiral jet milling, fluid bed jet milling, supercritical fluid processing to form nanoparticles, high pressure homogenisation, or spray drying.
Capsules (made, for example, from gelatin or hydroxypropylmethylcellulose), blisters and cartridges for use in an inhaler or insufflator may be formulated to contain a powder mix of the compound of the invention, a suitable powder base such as lactose or starch and a performance modifier such as l-leucine, mannitol, or magnesium stearate. The lactose may be anhydrous or in the form of the monohydrate, preferably the latter. Other suitable excipients include dextran, glucose, maltose, sorbitol, xylitol, fructose, sucrose and trehalose.
A suitable solution formulation for use in an atomiser using electrohydrodynamics to produce a fine mist may contain from ^g to 20mg of the compound of the invention per actuation and the actuation volume may vary from 1 μΙ to 100μΙ. A typical formulation may comprise a compound of formula (I), propylene glycol, sterile water, ethanol and sodium chloride. Alternative solvents which may be used instead of propylene glycol include glycerol and polyethylene glycol.
Suitable flavours, such as menthol and levomenthol, or sweeteners, such as saccharin or saccharin sodium, may be added to those formulations of the invention intended for inhaled/intranasal administration.
In the case of dry powder inhalers and aerosols, the dosage unit is determined by means of a valve which delivers a metered amount. Units in accordance with the invention are typically arranged to administer a metered dose or "puff" containing from ^g to 100mg of the compound of formula (I). The overall daily dose will typically be in the range ^g to 200mg which may be administered in a single dose or, more usually, as divided doses throughout the day.
The compounds of the invention may be administered rectally or vaginally, for example, in the form of a suppository, pessary, microbicide, vaginal ring or enema. Cocoa butter is a traditional suppository base, but various alternatives may be used as appropriate.
The compounds of the invention may also be administered directly to the eye or ear, typically in the form of drops of a micronised suspension or solution in isotonic, pH- adjusted, sterile saline. Other formulations suitable for ocular and aural administration include ointments, biodegradable (e.g. absorbable gel sponges, collagen) and nonbiodegradable (e.g. silicone) implants, wafers, lenses and particulate or vesicular systems, such as niosomes or liposomes. A polymer such as crossed-linked polyacrylic acid, polyvinylalcohol, hyaluronic acid, a cellulosic polymer, for example, hydroxypropylmethylcellulose, hydroxyethylcellulose, or methyl cellulose, or a heteropolysaccharide polymer, for example, gelan gum, may be incorporated together with a preservative, such as benzalkonium chloride. Such formulations may also be delivered by iontophoresis.
The compounds of the invention may be combined with soluble macromolcular entities, such as cyclodextrin and suitable derivatives thereof or polyethylene glycol- containing polymers, in order to improve their solubility, dissolution rate, taste- masking, bioavailability and/or stability for use in any of the aforementioned modes of administration.
Drug-cyclodextrin complexes, for example, are found to be generally useful for most dosage forms and administration routes. Both inclusion and non-inclusion complexes may be used. As an alternative to direct complexation with the drug, the cyclodextrin may be used as an auxiliary additive, i.e. as a carrier, diluent, or solubiliser. Most commonly used for these purposes are alpha-, beta- and gamma-cyclodextrins, examples of which may be found in International Patent Applications Nos. WO 91/1 1172, WO 94/02518 and WO 98/55148.
For administration to human patients, the total daily dose of the compounds of the invention is typically in the range 1 mg to 10g, such as 5mg to 1 g, for example 10mg to 500mg depending, of course, on the mode of administration and efficacy. For example, oral administration may require a total daily dose of from 25mg to 250mg. Smaller doses may be effective when administered topically to a small area of skin. The total daily dose may be administered in single or divided doses and may, at the physician's discretion, fall outside of the typical range given herein. These dosages are based on an average human subject having a weight of about 60kg to 70kg. The physician will readily be able to determine doses for subjects whose weight falls outside this range, such as infants and the elderly.
The compounds of the invention are useful because they exhibit pharmacological activity, i.e. TrpA1 ion channel inhibition. The compounds of the invention are accordingly of use in the treatment of disorders in animals for which a TrpA1 ion channel inhibitor is indicated. In certain embodiments the animal is a mammal. In other embodiments the animal is a human.
In a further aspect of the invention there is provided a compound of the invention for use as a medicament.
In a further aspect of the invention there is provided a compound of the invention for the treatment of a disorder for which a TrpA1 ion channel inhibitor is indicated.
In a further aspect of the invention there is provided use of a compound of the invention for the preparation of a medicament for the treatment of a disorder for which a TrpA1 ion channel inhibitor is indicated.
In a further aspect of the invention there is provided a method of treating a disorder in an animal (preferably a mammal, more preferably a human) for which a TrpA1 ion channel inhibitor is indicated, comprising administering to said animal a therapeutically effective amount of a compound of the invention.
The TrpA1 ion channel inhibitors of formula (I) may be used:
• as analgesics, for example for the treatment of pain, including acute pain, chronic pain, neuropathic pain, nociceptive (including inflammatory) pain, somatic pain, visceral pain, and dysfunctional pain, as further discussed below; or
• as antipruritic agents, for example for the treatment of itch associated with inflammatory and other dermatological conditions, such as psoriasis and atopic dermatitis, as further discussed below.
Other potential therapeutic indications for the TrpA1 ion channel inhibitors of formula (I) include the treatment of: respiratory diseases such as asthma, chronic obstructive pulmonary disorder (COPD), bronchoconstriction and cough; neurodegenerative diseases such as Alzheimer's disease, Parkinson's disease, Huntington's disease and amyotrophic lateral sclerosis (ALS); neurodegenration following stroke or acute cerebral ischemia; multiple sclerosis; urinary tract diseases such as incontinence, bladder overactivity, bladder cystits, micturition disorder and renal colic; inflammatory conditions such as rheumatoid arthritis, osteoarthritis oral mucositis, inflammatory bowel disease (IBD), colitis and Crohn's disease; gastrointestinal disorders such as gastroesophagal reflux disease (GERD), dysphagia, irritable bowel syndrome (IBS) and emesis such as chemotherapt-induced emesis; burns; hypertension; and exposure to riot control agents such as CS and CR.
A preferred use for the compounds of formula (I) is the treatment of pain. Pain may be either acute or chronic and additionally may be of central and/or peripheral origin. Pain may be of a neuropathic and/or nociceptive and/or inflammatory nature, such as pain affecting either the somatic or visceral systems, as well as dysfunctional pain affecting multiple systems.
Physiological pain is an important protective mechanism designed to warn of danger from potentially injurious stimuli from the external environment. The system operates through a specific set of primary sensory neurones and is activated by noxious stimuli via peripheral transducing mechanisms (see Meyer et al., 2006, Wall and Melzack's Textbook of Pain (5th Ed), Chapter"!). These sensory fibres are known as nociceptors, and are characteristically small diameter axons with slow conduction velocities, of which there are two main types, A-delta fibres (myelinated) and C fibres (non-myelinated). Nociceptors encode the intensity, duration and quality of noxious stimulus and by virtue of their topographically organised projection to the spinal cord, the location of the stimulus. The activity generated by nociceptor input is transferred, after complex processing in the dorsal horn, either directly, or via brain stem relay nuclei, to the ventrobasal thalamus and then on to the cortex, where the sensation of pain is generated.
Pain may generally be classified as acute or chronic. Acute pain begins suddenly and is short-lived (usually twelve weeks or less). It is usually, although not always, associated with a specific cause such as a defined injury, is often sharp and severe and can result from numerous origins such as surgery, dental work, a strain or a sprain. Acute pain does not generally result in any persistent psychological response. When a substantial injury occurs to body tissue, via disease or trauma, the characteristics of nociceptor activation may be altered such that there is sensitisation in the periphery, locally around the injury and centrally where the nociceptors terminate. These effects lead to a hightened sensation of pain. In acute pain these mechanisms can be useful, in promoting protective behaviours which may better enable repair processes to take place. The normal expectation would be that sensitivity returns to normal once the injury has healed. However, in many chronic pain states, the hypersensitivity far outlasts the healing process and is often due to nervous system injury or alteration which can be associated with maladaptation and aberrant activity (Woolf & Salter, 2000, Science, 288, 1765-1768). As such, chronic pain is long-term pain, typically persisting for more than three months and leading to significant psychological and emotional problems. Common examples of chronic pain are neuropathic pain (e.g. painful diabetic neuropathy or postherpetic neuralgia), carpal tunnel syndrome, back pain, headache, cancer pain, arthritic pain and chronic post-surgical pain, but may include any chronic painful condition affecting any system, such as those described by the International Association for the Study of Pain (Classification of Chronic Pain, a publication freely available for download at http://www.iasp-pain.org).
The clinical manifestation of pain is present when discomfort and abnormal sensitivity feature among the patient's symptoms. Patients tend to be quite heterogeneous and may present with various pain symptoms. Such symptoms can include: 1) spontaneous pain which may be dull, burning, or stabbing; 2) exaggerated pain responses to noxious stimuli (hyperalgesia); and 3) pain produced by normally innocuous stimuli (allodynia) (Meyer et al., 2006, Wall and Melzack's Textbook of Pain (5th Ed), Chapterl). Although patients suffering from various forms of acute and chronic pain may have similar symptoms, the underlying mechanisms may be different and may, therefore, require different treatment strategies. Apart from acute or chronic, pain can also be broadly categorized into: nociceptive pain, affecting either the somatic or visceral systems, which can be inflammatory in nature (associated with tissue damage and the infiltration of immune cells); or neuropathic pain.
Nociceptive pain can be defined as the process by which intense thermal, mechanical, or chemical stimuli are detected by a subpopulation of peripheral nerve fibers, called nociceptors, and can be induced by tissue injury or by intense stimuli with the potential to cause injury. Pain afferents are activated by transduction of stimuli by nociceptors at the site of injury and activate neurons in the spinal cord at the level of their termination. This is then relayed up the spinal tracts to the brain where pain is perceived (Meyer et al., 2006, Wall and Melzack's Textbook of Pain (5th Ed), Chapter"!). Myelinated A-delta fibres transmit rapidly and are responsible for sharp and stabbing pain sensations, whilst unmyelinated C fibres transmit at a slower rate and convey a dull or aching pain. Moderate to severe acute nociceptive pain is a prominent feature of pain from strains/sprains, burns, myocardial infarction and acute pancreatitis, post-operative pain (pain following any type of surgical procedure), posttraumatic pain, pain associated with gout, cancer pain and back pain. Cancer pain may be chronic pain such as tumour related pain (e.g. bone pain, headache, facial pain or visceral pain) or pain associated with cancer therapy (e.g. in response to chemotherapy, immunotherapy, hormonal therapy or radiotherapy). Back pain may be due to herniated or ruptured intervertabral discs or abnormalities of the lumber facet joints, sacroiliac joints, paraspinal muscles or the posterior longitudinal ligament. Back pain may resolve naturally but in some patients, where it lasts over 12 weeks, it becomes a chronic condition which can be particularly debilitating.
Nociceptive pain can also be related to inflammatory states. The inflammatory process is a complex series of biochemical and cellular events, activated in response to tissue injury or the presence of foreign substances, which results in swelling and pain (McMahon et al., 2006, Wall and Melzack's Textbook of Pain (5th Ed), Chapter3). A common inflammatory condition assoiciated with pain is arthritis. It has been estimated that almost 27 million Americans have symptomatic osteoarthritis (OA) or degenerative joint disease (Lawrence et al., 2008, Arthritis Rheum, 58, 15-35); most patients with osteoarthritis seek medical attention because of the associated pain. Arthritis has a significant impact on psychosocial and physical function and is known to be the leading cause of disability in later life. Rheumatoid arthritis is an immune- mediated, chronic, inflammatory polyarthritis disease, mainly affecting peripheral synovial joints. It is one of the commonest chronic inflammatory conditions in developed countries and is a major cause of pain.
In regard to nociceptive pain of visceral origin, visceral pain results from the activation of nociceptors of the thoracic, pelvic, or abdominal organs (Bielefeldt and Gebhart, 2006, Wall and Melzack's Textbook of Pain (5th Ed), Chapter48). This includes the reproductive organs, spleen, liver, gastrointestinal and urinary tracts, airway structures, cardiovascular system and other organs contained within the abdominal cavity. As such visceral pain refers to pain associated with conditions of such organs, such as painful bladder syndrome, interstitial cystitis, prostatitis, ulcerative colitis, Crohn's disease, renal colic, irritable bowl syndrome, endometriosis and dysmenorrhea! (Classification of Chronic Pain, available at http://www.iasp-pain.org). Currently the potential for a neuropathic contribution (either through central changes or nerve injury/damage) to visceral pain states is poorly understood but may play a role in certain conditions (Aziz et al., 2009, Dig Dis 27, Suppl 1 , 31-41)
Neuropathic pain is currently defined as pain arising as a direct consequence of a lesion or disease affecting the somatosensory system. Nerve damage can be caused by trauma and disease and thus the term 'neuropathic pain' encompasses many disorders with diverse aetiologies. These include, but are not limited to, peripheral neuropathy, diabetic neuropathy, post herpetic neuralgia, trigeminal neuralgia, back pain, cancer neuropathy, HIV neuropathy, phantom limb pain, carpal tunnel syndrome, central post-stroke pain and pain associated with chronic alcoholism, hypothyroidism, uremia, multiple sclerosis, spinal cord injury, Parkinson's disease, epilepsy and vitamin deficiency. Neuropathic pain is pathological as it has no protective role. It is often present well after the original cause has dissipated, commonly lasting for years, significantly decreasing a patient's quality of life (Dworkin, 2009, Am J Med, 122, S1-S2; Geber et al., 2009, Am J Med, 122, S3-S12; Haanpaa et al., 2009, Am J Med, 122, S13-S21). The symptoms of neuropathic pain are difficult to treat, as they are often heterogeneous even between patients with the same disease (Dworkin, 2009, Am J Med, 122, S1-S2; Geber et al., 2009, Am J Med, 122, S3-S12; Haanpaa et al., 2009, Am J Med, 122, S13-S21). They include spontaneous pain, which can be continuous, and paroxysmal or abnormal evoked pain, such as hyperalgesia (increased sensitivity to a noxious stimulus) and allodynia (sensitivity to a normally innocuous stimulus).
It should be noted that some types of pain have multiple aetiologies and thus can be classified in more than one area, e.g. back pain, cancer pain and even migaine headaches may include both nociceptive and neuropathic components. Similarly other types of chronic pain, perhaps less well understood, are not easily defined by the simplistic definitions of nociceptive or neuropathic. Such conditions include in particular fibromyalgia and chronic regional pain syndrome, which are often described as dysfunctional pain states e.g. fibromyalgia or complex regional pain syndrome (Woolf, 2010, J Clin Invest, 120, 3742-3744), but which are included in classifications of chronic pain states (Classification of Chronic Pain, available at http://www.iasp-pain.org).
Another preferred use for the compounds of formula (I) is the treatment of pruritus. Pruritus (itch) is a sensation that stimulates the desire or reflex to scratch. It may be either localized or generalized, and it may be either acute or chronic. The sensation is unpleasant and can cause significant discomfort. Scratching as a result of pruritus can lead to damage to the skin which may cause scarring, and may exacerbate a preexisting inflammatory condition.
Pruritus may be caused by, or be a component of, a number of dermatological disorders and diseases. Examples of such disorders and diseases include: acne vulgaris; aquagenic pruritus; asteatosis; dermatitis, such as atopic dermatitis, nervous dermatitis, contact dermatitis, seborrheic dermatitis, autosensitization dermatitis and caterpillar dermatitis; eczema; fungal infections such as yeast infections, diaper rash, vaginal itch and athlete's foot; impetigo; lichen, such as lichen planus, lichen simplex, lichen simplex chronicus and lichen sclerosis; photosensitive dermatosis; prurigo, including prurigo nodularis; psoriasis; tinea; viral infections such as herpes and chicken pox, including post-herpetic pruritis; and xerosis. Pruritis may be associated with physical damage to the skin, for example burns, scalds, and sunburn, and with wound healing.
Pruritus may also be caused by, or associated with, systemic disorders and diseases. Examples of such disorders and diseases include: anemia; cancer; cholestatic pruritus; diabetes mellitus; haemorrhoids; hepatic diseases; Hodgkin's lymphoma; hyperparathyroidism; hyperthyroidism; neurological conditions including brachioradial pruritus, neuropathic pruritus, and multiple sclerosis associated pruritus; polycythemia vera; primary biliary cirrhosis; primary sclerosis cholangitis; renal failure, uremic pruritus;
Pruritus may also be caused by, or associated with, non-pathological conditions such as pregnancy.
Pruritus has been associated with the use of several classes of pharmaceutical agent. Examples of such agents include: allopurinol; antibiotics such as ampicillins, neomycin penicillins, sulphonamides and tetracyclines; cancer chemotherapies;
chloroquine; HIV protease inhibitors; hormones such as estrogens, progestins and testosterone; hydroxyethyl cellulose; hydroxyethyl starch; opioids and opiate-like drugs such as morphine; and simvastatin. Pruritus has also been associated with non-pharmacological medical procedures such as hemodialysis and peritoneal dialysis.
Pruritus may result from contact with an allergen or irritant, or from an insect bite or sting. Examples include: allergic conjunctivitis; allergic rhinitis; urticaria caused by a plant such as poison ivy or stinging nettle; itch associated with a flea or mite bite; itch associated with a bee, mosquito or wasp sting; and itch associated with a parasitic infestation such as scabies or lice.
In some cases of pruritus there is no identifiable cause. These cases may be classified as generalized pruritus, idiopathic pruritus, intractable pruritus, psychogenic pruritus or senile pruritus.
A TrpA1 ion channel inhibitor may be usefully combined with another pharmacologically active compound, or with two or more other pharmacologically active compounds, particularly in the treatment of pain or pruritus. Such combinations offer the possibility of significant advantages, including patient compliance, ease of dosing and synergistic activity.
In the combinations that follow the compound of the invention may be administered simultaneously, sequentially or separately in combination with the other therapeutic agent or agents. For the treatment of pain, a TrpA1 ion channel inhibitor of formula (I), or a pharmaceutically acceptable salt thereof, as defined above, may be administered in combination with one or more agents selected from:
• a selective Nav1.3 channel modulator, such as a compound disclosed in WO2008/118758;
• a selective Nav1.7 channel modulator, such as a compound disclosed in WO2010/079443, e.g. 4-[2-(5-amino-1 H-pyrazol-4-yl)-4-chlorophenoxy]-5-chloro- 2-fluoro-N-1 ,3-thiazol-4-ylbenzenesulfonamide or 4-[2-(3-amino-1 H-pyrazol-4-yl)- 4-(trifluoromethyl)phenoxy]-5-chloro-2-fluoro-N-1 ,3-thiazol-4- ylbenzenesulfonamide, or a pharmaceutically acceptable salt of either;
• a selective Nav1.8 channel modulator;
• a selective Nav1.9 channel modulator;
• a compound which modulates activity at more than one Nav channel, including a non-selective modulator such as bupivacaine, carbamazepine, lamotrigine, lidocaine, mexiletine or phenytoin;
• any inhibitor of nerve growth factor (NGF) signaling, such as: an agent that binds to NGF and inhibits NGF biological activity and/or downstream pathway(s) mediated by NGF signaling (e.g. tanezumab), a TrkA antagonist or a p75 antagoinsist, or an agent that inhibits downstream signaling in regard to NGF stimulated TrkA or P75 signalling;
• an inhibitor of neurotrophic pathways, where such inhibition is achieved by: (a) an agent that binds to nerve growth factor (NGF) (e.g. tanezumab, fasinumab or fulranumab), brain-derived neurotrophic factor (BDNF), neurotrophin-3 (NT-3) or neurotrophin-4 (NT-4), or to more than one of the aforementioned neurotrophins (e.g. soluble P75); or (b) an agent that inhibits receptor function at one or more of TrKA, TrKB, TrKC or P75, either at the orthosteric site, an allosteric site or by inhibition of the catalytic activity of the receptor(s);
• a compound which increases the levels of endocannabinoid, such as a compound with fatty acid amid hydrolase inhibitory (FAAH) or monoacylglycerol lipase (MAGL) activity;
• an analgesic, in particular paracetamol; an opioid analgesic, such as: buprenorphine, butorphanol, cocaine, codeine, dihydrocodeine, fentanyl, heroin, hydrocodone, hydromorphone, levallorphan levorphanol, meperidine, methadone, morphine, nalmefene, nalorphine, naloxone, naltrexone, nalbuphine, oxycodone, oxymorphone, propoxyphene or pentazocine; an opioid analgesic which preferentially stimulates a specific intracellular pathway, for example G-protein as opposed to beta arrestin recruitment, such as TRV130;an opioid analgesic with additional pharmacology, such as: noradrenaline (norepinephrine) reuptake inhibitory (NRI) activity, e.g. tapentadol; serotonin and norepinephrine reuptake inhibitory (SNRI) activity, e.g. tramadol; or nociceptin receptor (NOP) agonist activity, such as GRT6005;
a nonsteroidal antiinflammatory drug (NSAID), such as a non-selective cyclooxygenase (COX) inhibitor, e.g. aspirin, diclofenac, diflusinal, etodolac, fenbufen, fenoprofen, flufenisal, flurbiprofen, ibuprofen, indomethacin, ketoprofen, ketorolac, meclofenamic acid, mefenamic acid, meloxicam, nabumetone, naproxen, nimesulide, nitroflurbiprofen, olsalazine, oxaprozin, phenylbutazone, piroxicam, sulfasalazine, sulindac, tolmetin or zomepirac; or a COX-2 selective inhibitor, e.g. celecoxib, deracoxib, etoricoxib, mavacoxib or parecoxib;
a prostaglandin E2 subtype 4 (EP4) antagonist;
a microsomal prostaglandin E synthase type 1 (mPGES-1) inhibitor;
a sedative, such as glutethimide, meprobamate, methaqualone or dichloralphenazone;
a GABAA modulator with broad subtype modulatory effects mediated via the benzodiazepine binding site, such as chlordiazepoxide, alprazolam, diazepam, lorazepam, oxazepam, temazepam, triazolam, clonazepam or clobazam;
a GABAA modulator with subtype-selective modulatory effects mediated via the benzodiazepine binding site with reduced adverse effects, for example sedation, such as TPA023, TPA023B, L-838,417, CTP354 or NSD72;
a GABAA modulator acting via alternative binding sites on the receptor, such as barbiturates, e.g. amobarbital, aprobarbital, butabital, mephobarbital, methohexital, pentobarbital, phenobartital, secobarbital, or thiopental; neurosteroids such as alphaxalone, alphadolone or ganaxolone; β-subunit ligands, such as etifoxine; or δ-preferring ligands, such as gaboxadol;
a GlyR3 agonist or positive allosteric modulator; • a skeletal muscle relaxant, e.g. baclofen, carisoprodol, chlorzoxazone, cyclobenzaprine, metaxolone, methocarbamol or orphrenadine;
• a glutamate receptor antagonist or negative allosteric modulator, such as an NMDA receptor antagonist, e.g. dextromethorphan, dextrorphan, ketamine or, memantine; or an mGluR antagonist or modulator;
• an alpha-adrenergic, such as clonidine, guanfacine or dexmetatomidine;
• a beta-adrenergic such as propranolol;
• a tricyclic antidepressant, e.g. desipramine, imipramine, amitriptyline or nortriptyline;
• a tachykinin (NK) antagonist, such as aprepitant or maropitant;
• a muscarinic antagonist, e.g oxybutynin, tolterodine, propiverine, tropsium chloride, darifenacin, solifenacin, temiverine and ipratropium;
• a cholinergic (nicotinic) analgesic, such as ispronicline (TC-1734), varenicline or nicotine;
• a Transient Receptor Potential V1 (TRPV1) receptor agonist (e.g. resinferatoxin or capsaicin) or antagonist (e.g. capsazepine or mavatrap);
• a Transient Receptor Potential M8 (TRPM8) receptor agonist (e.g. menthol or icilin) or antagonist;
• a Transient Receptor Potential V3 (TRPV3) receptor agonist or antagonist (e.g.
GRC- 15300);
• a corticosteroid such as dexamethasone;
• a 5-HT receptor agonist or antagonist, particularly a 5-HTI B/ID agonist, such as eletriptan, sumatriptan, naratriptan, zolmitriptan or rizatriptan;
• a 5-HT2A receptor antagonist;
• a PDEV inhibitor, such sildenafil, tadalafil or vardenafil;
• an alpha-2-delta ligand such as gabapentin, gabapentin enacarbil or pregabalin, ;
• a serotonin reuptake inhibitor (SRI) such as sertraline, demethylsertraline, fluoxetine, norfluoxetine, fluvoxamine, paroxetine, citalopram, desmethylcitalopram, escitalopram, d,l-fenfluramine, femoxetine, ifoxetine, cyanodothiepin, litoxetine, dapoxetine, nefazodone, cericlamine and trazodone;
• an NRI, such as maprotiline, lofepramine, mirtazepine, oxaprotiline, fezolamine, tomoxetine, mianserin, buproprion, buproprion metabolite hydroxybuproprion, nomifensine and viloxazine, especially a selective noradrenaline reuptake inhibitor such as reboxetine;
• an SNRI, such as venlafaxine, O-desmethylvenlafaxine, clomipramine, desmethylclomipramine, duloxetine, milnacipran and imipramine;
• an inducible nitric oxide synthase (iNOS) inhibitor;
• a leukotriene B4 antagonist;
• a 5-lipoxygenase inhibitor, such as zileuton;
• a potassium channel opener or positive modulator, such as an opener or positive modulator of KCNQ/Kv7 (e.g. retigabine or flupirtine), a G protein-coupled inwardly-rectifying potassium channel (GIRK), a calcium-activated potassium channel (Kca) or a potassium voltage-gated channel such as a member of subfamily A (e.g. Kv1.1), subfamily B (e.g. Kv2.2) or subfamily K (e.g. TASK, TREK or TRESK);
• a P2X3 receptor antagonist (e.g. AF219) or an antagonist of a receptor which contains as one of its subunits the P2X3 subunit, such as a P2X2/3 heteromeric receptor;
• a Cav2.2 calcium channel blocker (N-type), such as ziconotide; and
• a Cav3.2 calcium channel blocker (T-type), such as ethosuximide.
For the treatment of pruritus, a TrpA1 ion channel inhibitor of formula (I), or a pharmaceutically acceptable salt thereof, as defined above, may be administered in combination with one or more agents such as:
• an alpha-2-delta ligand such as pregabalin or gabapentin;
• an antihistamine such as loratidine or cetirizine;
• a calcineurin inhinbitor such as tacrolimus or pimecrolimus;
• a cannabinoid such as N-palmitoylethanolamine;
• a cooling agent such as menthol;
• a corticosteroid such as hydrocortisone;
• a kappa opioid agonist such as butorphanol or nalfurafine;
• a local anesthetic such as lidocaine, prilocaine;
• a neurokinin NK1 receptor antagonist such as aprepitant;
• a norepinephrine re-uptake inhibitor (NRI) such as mirtazapine; or • a selective serotonin re-uptake inhibitor (SSRI) such as paroxetine, fluvoxamine or sertraline.
There is also included within the scope the present invention combinations of a compound of the invention together with one or more additional therapeutic agents which slow down the rate of metabolism of the compound of the invention, thereby leading to increased exposure in patients. Increasing the exposure in such a manner is known as boosting. This has the benefit of increasing the efficacy of the compound of the invention or reducing the dose required to achieve the same efficacy as an unboosted dose. The metabolism of the compounds of the invention includes oxidative processes carried out by P450 (CYP450) enzymes, particularly CYP 3A4 and conjugation by UDP glucuronosyl transferase and sulphating enzymes. Thus, among the agents that may be used to increase the exposure of a patient to a compound of the present invention are those that can act as inhibitors of at least one isoform of the cytochrome P450 (CYP450) enzymes. The isoforms of CYP450 that may be beneficially inhibited include, but are not limited to, CYP1A2, CYP2D6, CYP2C9, CYP2C19 and CYP3A4. Suitable agents that may be used to inhibit CYP 3A4 include ritonavir, saquinavir, ketoconazole, N-(3,4-difluorobenzyl)-N-methyl-2- {[(4-methoxypyridin-3-yl)amino]sulfonyl}benzamide and N-(1-(2-(5-(4-fluorobenzyl)-3- (pyridin-4-yl)-1 H-pyrazol-1-yl)acetyl)piperidin-4-yl)methanesulfonamide.
It is within the scope of the invention that two or more pharmaceutical compositions, at least one of which contains a compound of the invention, may conveniently be combined in the form of a kit suitable for coadministration of the compositions. Thus the kit of the invention comprises two or more separate pharmaceutical compositions, at least one of which contains a compound of the invention, and means for separately retaining said compositions, such as a container, divided bottle, or divided foil packet. An example of such a kit is the familiar blister pack used for the packaging of tablets, capsules and the like. The kit of the invention is particularly suitable for administering different dosage forms, for example, oral and parenteral, for administering the separate compositions at different dosage intervals, or for titrating the separate compositions against one another. To assist compliance, the kit typically comprises directions for administration and may be provided with a so-called memory aid. In another aspect the invention provides a pharmaceutical product (such as in the form of a kit) comprising a compound of the invention together with one or more additional therapeutically active agents as a combined preparation for simultaneous, separate or sequential use in the treatment of a disorder for which a Nav1.8 modulator is indicated.
It is to be appreciated that all references herein to treatment include curative, palliative and prophylactic treatment.
In the non-limiting Examples and Preparations that are set out later in the description, and in the aforementioned Schemes, the following the abbreviations, definitions and analytical procedures may be referred to:
AcOH is acetic acid;
aq is aqueous;
BOP is (Benzotriazol-1-yloxy)tris(dimethylamino)phosphonium hexafluorophosphate; br is broad;
°C is degrees celcius;
CDCI3 is deuterochloroform;
CHCI3 is chloroform;
CO2 is carbon dioxide;
δ is chemical shift;
d is doublet;
DCM is dichloromethane; methylene chloride;
DEA is diethylamine;
DIPEA is N-ethyldiisopropylamine, N,N-diisopropylethylamine;
DMA is dimethylacetamide;
DMF is N,N-dimethylformamide;
DMSO is dimethyl sulphoxide;
EDCI is 1-(3-dimethylaminopropyl)-3-ethylcarbodiimide hydrochloride;
EtOAc is ethyl acetate;
EtOH is ethanol;
g is gram; HATU is 1-[bis(dimethylamino)methylene]-1H-1 ,2,3-triazolo[4,5- 5]pyridinium 3-oxid hexafluorophosphate;
HBTU is /V,/V,A/',/\/-Tetramethyl-0-(1 H-benzotriazol-1-yl)uronium
hexafluorophosphate;
HCI is hydrochloric acid;
HOBt is N-hydroxybenzotriazole hydrate;
HPLC is high pressure liquid chromatography;
IPA is isopropyl alcohol;
KHMDS is potassium bis(trimethylsilyl)amide;
L is litre;
LCMS is liquid chromatography mass spectrometry (Rt = retention time);
L1AIH4 is lithium aluminium hydride;
m is multiplet;
M is molar;
MeCN is acetonitrile;
MeOH is methanol;
mg is milligram;
MHz is mega Hertz;
min is minutes;
ml_ is millilitre;
mmol is millimole;
mol is mole;
MS m/z is mass spectrum peak;
NaHCCb is sodium hydrogencarbonate;
NaOH is sodium hydroxide;
NH3 or NH4OH is ammonia or ammonium hydroxide or 880 ammonia
NMM is N-methyl morpholine;
NMR is nuclear magnetic resonance;
Pd/C is palladium on carbon;
pH is power of hydrogen;
ppm is parts per million;
q is quartet;
Rt is retention time;
s is singlet; t is triplet;
TBME is tert-butyl methyl ether;
TEA is triethylamine;
TFA is trifluoroacetic acid;
THF is tetrahydrofuran;
μΙ_ is microlitre; and
μηιοΙ is micromol
1H and19F Nuclear magnetic resonance (NMR) spectra were in all cases consistent with the proposed structures. Characteristic chemical shifts (δ) are given in parts-per- million downfield from tetramethylsilane (for1 H-NMR) and upfield from trichloro-fluoro- methane (for19F NMR) using conventional abbreviations for designation of major peaks: e.g. s, singlet; d, doublet; t, triplet; q, quartet; m, multiplet; br, broad. The following abbreviations have been used for common solvents: CDCI3, deuterochloroform; d6-DMSO, deuterodimethylsulphoxide; and CD3OD, deuteromethanol.
Mass spectra, MS (m/z), were recorded using either electrospray ionisation (ESI) or atmospheric pressure chemical ionisation (APCI).
Where relevant and unless otherwise stated the m/z data provided are for isotopes
Example 1
rac-1 -(4-Chlorophenyl)-N-f2-r4-hvdroxy-4-(trifluoromethyl)piperidin-1-vn-3- phenylpropyDcyclopentanecarboxamide
Figure imgf000042_0001
Method 1 To a solution of rac-1-(1-amino-3-phenylpropan-2-yl)-4-(trifluoromethyl)piperidin-4-ol (Preparation 2, 50 mg, 0.214 mmol) in DMF (1 mL) was added 1-(4- chlorophenyl)cyclopentanecarboxylic acid (37 mg, 0.165 mmol), DIPEA (0.035 mL, 0.198 mmol) and EDCI (38 mg, 0.198 mmol), followed by HOBt (30 mg, 0.198 mmol) and the reaction was stirred at room temperature for 18 hours. Water was added and the reaction stirred for a further 2 hours. DCM was added with further stirring for 1 hour followed by elution through a phase separation cartridge. The organic filtrate was concentrated in vacuo. The residue was dissolved in MeOH and treated with ethereal HCI with standing for 18 hours. The resulting suspension was filtered and triturated with EtOAc, heptanes and TBME to afford the title compound as the hydrochloride salt (69 mg, 82%).
1H NMR (400MHz, DMSO-d6): δ ppm 1.50-1.60 (m, 4H), 1.70-1.90 (m, 4H), 2.15-2.25 (m, 2H), 2.40-2.48 (m, 2H), 2.70-2.80 (m, 1 H), 3.05-3.25 (m, 6H), 3.47-3.62 (m, 2H), 6.38 (br s, 1 H), 7.20-7.40 (m, 9H), 7.80 (br m, 1 H).
MS m/z 509 [M+H]+
Example 1 may also be prepared according to the following method:
A mixture of 1-(4-chlorophenyl)cyclopentanecarboxylic acid (25.7 g, 114 mmol), 1- [bis(dimethylamino)methylene]-1 H-1 ,2,3-triazolo[4,5-b]pyridinium-3-oxid-hexafluoro phosphate (49.4 g, 130 mmol) and N,N-diisopropylethylamine (40 mL, 229 mmol) in DMF (475 mL) was stirred at room temperature for 15 minutes. To this mixture was added a solution of 1-(1-amino-3-phenylpropan-2-yl)-4-(trifluoromethyl)piperidin-4-ol (Preparation 2, 31.4 g, 104 mmol) in DMF (200 mL). The reaction was stirred at room temperature for 18 hours before partitioning between EtOAc (600 mL) and saturated aqueous sodium hydrogen carbonate solution (600 mL). The aqueous layer was washed with EtOAc (2 x 600 mL). The combined organic layers were washed with water (600 mL), brine (600 mL), dried over sodium sulphate and concentrated in vacuo. The residue was purified using silica gel column chromatography eluting with 0: 1 to 1 : 1 EtOAc: heptanes to afford the title compound (44 g, 76%).
1H NMR (400MHz, CDCI3): δ ppm 1.35 (br s, 1 H), 1.49-1.85 (m, 6H), 1.90-1.99 (m, 2H), 2.25-2.55 (m, 7H), 2.56-2.70 (m, 1 H), 2.75-3.00 (m, 4H), 3.23-3.31 (m, 1 H), 5.87 (br s, 1 H), 7.07 (d, 2H), 7.16-7.30 (m, 7H).
MS m/z 509 [M+H]+ Examples 2 and 3
IS) and (R)-1-(4-Chlorophenyl)-N-f2-r4-hvdroxy-4-(trifluoromethyl)piperidin-1 -vn- 3-phenylpropyl)cyclopentanecarboxamide
Figure imgf000044_0001
Example 2
To a suspension of (S)-1-(1-amino-3-phenylpropan-2-yl)-4-(trifluoromethyl)piperidin-4- ol (Preparation 3, 70 mg, 0.232 mmol) and 1-(4-chlorophenyl)cyclopentanecarboxylic acid (57.3 mg, 0.255 mmol) in acetonitrile (0.8 mL) was added triethylamine (0.133 mL, 0.928 mmol) followed by propylphosphonic anhydride (50% wt solution in EtOAc, 0.21 mL, 0.35 mmol). The reaction was stirred at room temperature for 1.5 hours after which the solution was purified directly by silica gel column chromatography eluting with 0-30% EtOAc in heptanes to afford the title compound (75 mg, 64%).
[a]D20 = +9.6 in DCM [20 mg/mL]
ee determination:
Column: ChiralTech AD-H, 250x4.6 mm, 5 micron.
Mobile phase A: CO2; Mobile phase B: MeOH with 0.2% ammonium hydroxide Gradient: 5% B at 0.00 mins, 60% B at 9.00 mins; hold to 9.5 mins and return to 5% B at 10 mins. Flow rate 3 mL/min.
Rt = 5.047 minutes, ee = 95%
Example 2 may also be prepared from rac-1-(4-chlorophenyl)-N-{2-[4-hydroxy-4-
(trifluoromethyl)piperidin-1-yl]-3-phenylpropyl}cyclopentanecarboxamide (Example 1).
The racemate was separated into two enantiomers using preparative chiral chromatography as described below:
Chiralpak IA, 4.6x250mm, 5 micron.
Mobile phase: Hexane:DCM:EtOH:DEA 90:8:2:0.1
Flow rate: 1 mL/min Rt = 8.351 minutes and Rt = 10.068 minutes
The first eluting isomer is Example 2: (S)-1-(4-chlorophenyl)-N-{2-[4-hydroxy-4- (trifluoromethyl)piperidin-1-yl]-3-phenylpropyl}cyclopentanecarboxamide. ee = 100% The second eluting isomer is Example 3: (R)-1-(4-chlorophenyl)-N-{2-[4-hydroxy-4- (trifluoromethyl)piperidin-1-yl]-3-phenylpropyl}cyclopentanecarboxamide. ee = 99.62% The compound of Example 2 prepared from the chiral separation method is identical by a-rotation and retention time to the compound of Example 2 prepared as the single enantiomer described above.
MS m/z 509 [M+H]+
1H NMR (400MHz, DMSO-d6): δ 1.30-1.80 (m, 10H), 2.20-2.30 (m, 1 H), 2.35-2.60 (m, 6H), 2.65-2.85 (m, 4H), 3.00-3.15 (m, 1 H), 5.50 (br s, 1 H), 6.95-7.00 (m, 1 H), 7.05- 7.15 (m, 2H), 7.20-7.35 (m, 6H) ppm
Example 4
rac-1 -(3-Fluoro-4-hvdroxyphenyl)-N-f3-(4-fluorophenyl)-2-r4-hydroxy-4- (trifluoromethyl)piperidin-1-yllpropyl)cvclopentanecarboxamide
Figure imgf000045_0001
Method 2
To a solution of 1-(3-fluoro-4-hydroxyphenyl)cyclopentanecarboxylic acid (Preparation 23, 58 mg, 0.257 mmol) in DMF (2 mL) was added HATU (11 1 mg, 0.293 mmol) and DIPEA (0.09 mL, 0.515 mmol) and the reaction was stirred at room temperature for 15 minutes. rac-1-[1-Amino-3-(4-fluorophenyl)propan-2-yl]-4- (trifluoromethyl)piperidin-4-ol (Preparation 5, 75 mg, 0.234 mmol) was added and the reaction stirred at room temperature for 18 hours. The reaction was diluted with EtOAc (20 mL), washed with 2N HCI (aq) (15 mL), saturated aqueous NaHC03 solution (15 mL), brine (15 mL), dried over magnesium sulphate and concentrated in vacuo. The residue was dissolved in MeOH (5 mL), treated with 2M NaOH (aq) (0.5 mL) and stirred at room temperature for 18 hours. The solution was concentrated in vacuo, diluted with water (10 mL), acidified to pH=4 and extracted into EtOAc (2 x 20 mL). The combined organic extracts were washed with brine (20 mL), dried over magnesium sulphate and concentrated in vacuo. The residue was triturated with 19: 1 heptanes: EtOAc to afford the title compound (8 mg, 6%).
MS m/z 527 [M+H]+
1H NMR (400MHz, CDCI3): δ 1.30-1.40 (m, 1 H), 1.50-1.60 (m, 7H), 1.70-2.00 (m, 3H), 2.25-2.65 (m, 7H), 2.80-2.95 (m, 3H), 3.20-3.35 (m, 1 H), 5.90 (br m, 1 H), 6.90-7.10 (m, 7H) ppm
Example 5
rac-1 -(4-Chlorophenyl)-N-f3-(4-cvanophenyl)-2-r4-hvdroxy-4-(trifluoromethyl)- piperidin-l-yllpropyllcvclopentanecarboxamide
Figure imgf000046_0001
Method 3
To a solution of 1-(4-chlorophenyl)-cyclopentane carboxylic acid (43 mg, 0.19 mmol) in DMF (0.5 mL) was added DIPEA (0.033 mL, 0.19 mmol) and HBTU (72 mg, 0.19 mmol). The reaction was stirred at room temperature for 2 minutes before the addition of rac-4-{3-amino-2-[4-hydroxy-4-(thfluoromethyl)piperidin-1-yl]propyl}benzonitrile (Preparation 14, 50 mg, 0.15 mmol) and the reaction was stirred at room temperature for 18 hours. The reaction was diluted with EtOAc (4 mL) and washed with water (4 mL), 2N (aq) potassium carbonate solution (4 mL), brine, dried over magnesium sulphate and concentrated in vacuo. The residue was purified using silica gel column chromatography eluting with 10-90% EtOAc in heptanes to afford the title compound that solidified on standing (60 mg, 73%).
MS m/z 534 [M35CI+H]+
1H NMR (400MHz, CDCI3): δ 1.30-1.40 (m, 1 H), 1.50-2.00 (m, 10H), 2.30-2.55 (m, 5H), 2.60-3.00 (m, 4H), 3.20-3.30 (m, 1 H), 5.75-5.80 (m, 1 H), 7.20-7.38 (m, 6H), 7.55- 7.60 (m, 2H) ppm Example 6
rac-N-f3-(4-Bromophenyl)-2-r4-hvdroxy-4-(trifluoromethyl)piperidin-1-yllpropylV 1-(4-chlorophenyl)cyclopentanecarboxamide
Figure imgf000047_0001
Method 4
To a solution of BOP (341 mg, 0.76 mmol) in MeCN (3 mL) was added 1-(4- chlorophenyl)cyclopentanecarboxylic acid (170 mg, 0.76 mmol) and triethylamine (0.115 mL, 0.82 mmol) and the reaction was stirred at room temperature under argon for 30 minutes. rac-1-[1-Amino-3-(4-bromophenyl)propan-2-yl]-4-(trifluoromethyl)- piperidin-4-ol (Preparation 12, 240 mg, 0.64 mmol) and triethylamine (0.100 mL, 0.70 mmol) were added and the reaction was stirred at room temperature for 20 hours. The reaction was diluted with water (0.7 mL), brine (3.5 mL), saturated aqueous ammonium chloride solution (0.7 mL) and extracted into EtOAc (7mL). The organic layer was collected and washed with saturated aqueous sodium bicarbonate solution (3.5 mL). To the organic layer was added celite and the suspension was filtered and concentrated in vacuo. The residue was purified using silica gel column chromatography eluting with 0-1 % MeOH in [40% EtOAc in heptanes] followed by recrystallisation from 50% chloroform in hexanes to afford the title compound (246 mg, 66%).
1H NMR (400MHz, DMSO-d6): δ 1.30-1.80 (m, 9H), 2.20-2.80 (m, 11 H), 3.05-3.20 (m, 1 H), 5.60 (s, 1 H), 7.05-7.15 (m, 4H), 7.35-7.45 (m, 4H) ppm Example 7
rac-1 -(4-Chlorophenyl)-N-{3-(4-fluorophenyl)-2-r4-hvdroxy-4-(trifluoromethyl)- piperidin-l-yllpropyltovclopentanecarboxamide
Figure imgf000048_0001
Method 5
To a solution of 1-(4-chlorophenyl)cyclopentanecarboxylic acid (193 mg, 0.86 mmol) and DIPEA (0.304 mL, 0.97 mmol) in DMA (3 mL) was added HATU (370 mg, 0.97 mmol) and the reaction was stirred at room temperature for 15 minutes. A solution of rac-1-[1-amino-3-(4-fluorophenyl)propan-2-yl]-4-(trifluoromethyl)piperidin-4-ol
(Preparation 5, 250 mg, 0.78 mmol) in DMA (2 mL) was added and the reaction was stirred at room temperature for 16 hours. The reaction was diluted with EtOAc (50 mL) and saturated aqueous NaHCC>3 solution (50 mL). The organic layer was collected, washed with water, brine, dried over sodium sulphate and concentrated in vacuo. The residue was purified using silica gel column chromatography eluting with 15-25% EtOAc in heptanes followed by trituration with 5% EtOAc in heptanes to afford the title compound as a white solid (45 mg, 1 1 %).
MS m/z 527 [M35CI+H]+
1H NMR (400MHz, CDCI3): δ 1.30-1.40 (m, 1 H), 1.50-2.00 (m, 10H), 2.20-2.40 (m, 5H), 2.50-2.65 (m, 1 H), 2.73-2.93 (m, 3H), 3.20-3.30 (m, 1 H), 5.83 (br m, 1 H), 6.88- 7.08 (m, 4H), 7.26 (m, 4H) ppm
Examples 8 and 9
(R) and (S)-1-(4-Chlorophenyl)-N-f3-(4-fluorophenyl)-2-r4-hydroxy-4- (trifluoromethyl)piperidin-1-yllpropyl)cvclopentanecarboxamide
Figure imgf000049_0001
rac-1-(4-Chlorophenyl)-N-{3-(4-fluorophenyl)-2-[4-hydroxy-4-(trifluoromethyl)piperidi 1-yl]propyl}cyclopentanecarboxamide (Example 7) was separated into two enantiomers using preparative chiral chromatography as described below:
Chiralpak IA, 4.6x250mm
Mobile phase: 10% EtOH in heptanes modified with 0.1 % DEA
Rt = 9.384 minutes and Rt = 11.487 minutes
The two single enantiomers have unknown stereochemistry and are arbitrarily assigned as:
Example 8: (R)-1-(4-chlorophenyl)-N-{3-(4-fluorophenyl)-2-[4-hydroxy-4- (trifluoromethyl)piperidin-1-yl]propyl}cyclopentanecarboxamide
Example 9: (S)-1 -(4-chlorophenyl)-N-{3-(4-fluorophenyl)-2-[4-hydroxy-4- (trifluoromethyl)piperidin-1-yl]propyl}cyclopentanecarboxamide
Example 10
rac-1 -(4-Fluorophenyl)-N-f3-(4-fluorophenyl)-2-r3-hvdroxy-3-(trifluoromethyl)- pyrrolidin-1-yllpropyllcvclopentanecarboxamide
Figure imgf000049_0002
The title compound was prepared according to Method 2 using rac-1 -[1-amino-3-(4- fluorophenyl)propan-2-yl]-3-(trifluoromethyl)pyrrolidin-3-ol (Preparation 10) and 1-(4- fluorophenyl)cyclopentanecarboxylic acid. The residue was purified using silica gel column chromatography eluting with 0-100% EtOAc in heptanes in 64% yield.
MS m/z 497 [M+H]+
1H NMR (400MHz, DMSO-d6): δ 1.50-2.00 (m, 9H), 2.25-2.75 (m, 7H), 2.80-3.10 (m, 3H), 6.05 (d, 1 H), 7.00-7.25 (m, 6H), 7.30-7.40 (m, 2H) ppm
Examples 11 -14
Diastereomers of 1 -(4-fluorophenyl)-N-{3-(4-f luorophenyl)-2-r3-hydroxy-3- (trifluoromethyl)pyrrolidin-1-vnpropyl)cvclopentanecarboxamide
Figure imgf000050_0001
rac-1-(4-Fluorophenyl)-N-{3-(4-fluorophenyl)-2-[3-hydroxy-3-(trifluoromethyl)pyrrolidin- 1-yl]propyl}cyclopentanecarboxamide (Example 10) was separated into four diastereomers using preparative chiral column chromatography. Two separate chiral chromatography methods were used to isolate four single diastereomers of unknown stereochemistry:
Prep Method Column 1 : Chiral-Tech ID-H 250x10 mm
Mobile phase: 90% C02 and 10% MeOH
Flow rate: 10 mL/min.
QC Method: Column 1 : Chiral-Tech ID-H 250x4.6 mm
Mobile phase A: C02 and mobile phase B: MeOH; 0-1 min 95% A, 9 min 40% A and back to 5% A at 10 min.
Flow rate: 3 mL/min.
Example 11 Peak 1 Rt = 4.059 minutes
Example 12 Peak 2 Rt = 4.086 minutes
Prep Method Column 2: Phenomenex Cellulose-4 250x10 mm, 5 micron, Mobile phase: 80% C02 and 20% MeOH
Flow rate: 10 mL/min.
QC Method: Column 2: Phenomenex-Lux Cellulose-4 250x4.6 mm, 5 micron,
Mobile phase A: C02 and mobile phase B: MeOH; 0-1 min 95% A, 9 min 40% A and back to 5% A at 10 min.
Flow rate: 3 mL/min.
Example 13 Peak 3 Rt = 4.169 minutes
Example 14 Peak 4 Rt = 4.275 minutes
Example 15
rac-1 -(4-Chlorophenyl)-N-f3-(4-fluorophenyl)-2-r3-hvdroxy-3-(trifluoromethyl)- pyrrolidin-1-yllpropyllcvclopropanecarboxamide
Figure imgf000051_0001
The title compound was prepared according to Method 2 using rac-1 -[1-amino-3-(4- fluorophenyl)propan-2-yl]-3-(trifluoromethyl)pyrrolidin-3-ol (Preparation 10) and 1-(4- chlorophenyl)cyclopropanecarboxylic acid. The residue was purified using silica gel column chromatography eluting with 0-100% EtOAc in heptanes in 74% yield.
MS m/z 485 [M35CI+H]+
1H NMR (400MHz, DMSO-d6): δ 0.80-1.00 (m, 2H), 1.25-1.35 (m, 2H), 1.65-1.75 (m, 2H), 2.25-3.00 (m, 9H), 6.00-6.10 (m, 1 H), 6.25-6.40 (m, 1 H), 7.00-7.40 (m, 8H) ppm
Examples 16-18
Diastereomers of 1 -(4-chlorophenyl)-N-{3-(4-fluorophenyl)-2-r3-hydroxy-3- (trifluoromethyl)pyrrolidin-1-vnpropyl)cvclopropanecarboxamide
Figure imgf000052_0001
rac-1-(4-Chlorophenyl)-N-{3-(4-fluorophenyl)-2-[3-hydroxy-3-(trifluoromethyl)- pyrrolidin-1-yl]propyl}cyclopropanecarboxamide (Example 15) was separated into diastereomers using preparative chiral column chromatography as described below: Prep Method Column 2: Phenomenex Cellulose-4 250x10 mm, 5 micron,
Mobile phase: 85% C02 with 15% [2M ammonia in EtOH] in MeOH
Flow rate: 10 mL/min.
QC Method: Column 2: Phenomenex-Lux Cellulose-4 250x4.6 mm, 5 micron, Mobile phase A: C02 and mobile phase B: 15% [2M ammonia in EtOH] in MeOH; 0-1 min 95% A, 9 min 40% A and back to 5% A at 10 min.
Flow rate: 3 mL/min.
Only three single diastereomers were isolated out of the possible 4:
Example 16 Peak 1 Rt = 4.32 minutes
Example 17 Peak 2 Rt = 4.68 minutes
Example 18 Peak 3 Rt = 4.81 minutes
Examples 19 and 20
(R)- and (S)-1-(4-Fluorophenyl)-N-{3-(2-fluorophenyl)-2-r4-hydroxy-4- (trifluoromethyl)piperidin-1-yllpropyl)cvclobutanecarboxamide
Figure imgf000053_0001
The racemic title compound was prepared according to Method 1 using TEA in DCM with rac-1-[1-amino-3-(2-fluorophenyl)propan-2-yl]-4-(trifluoromethyl)piperidin-4-ol (Preparation 6) and 1-(4-fluorophenyl)cyclobutanecarboxylic acid in 46% yield.
MS m/z 497 [M+H]+
1H NMR (400MHz, MeOH-d4): δ 1.35-1.65 (m, 4H), 1.75-2.05 (m, 2H), 2.40-2.60 (m,
6H), 2.65-2.80 (m, 4H), 2.90-2.95 (m, 1 H), 3.00-3.20 (m, 2H), 6.98-7.40 (m, 8H) ppm
The racemate was separated into two enantiomers by chiral chromatography using an
AD-H column and eluting with Heptane: I PA:TFA 95:5: 1. The two single enantiomers have unknown stereochemistry and were arbitrarily assigned as:
Example 19 Peak 1 (R)-4-fluorophenyl)-N-{3-(2-fluorophenyl)-2-[4-hydroxy-4-
(trifluoromethyl)piperidin-1-yl]propyl}cyclobutanecarboxamide
Example 20 Peak 2 (S)-4-fluorophenyl)-N-{3-(2-fluorophenyl)-2-[4-hydroxy-4-
(trifluoromethyl)piperidin-1-yl]propyl}cyclobutanecarboxamide
Examples 21 and 22
(R)- and (S)-1-(4-Fluorophenyl)-N-{3-(3-fluorophenyl)-2-r4-hydroxy-4- (trifluoromethyl)piperidin-1-yllpropyl)cvclobutanecarboxamide
Figure imgf000054_0001
The racemic title compound was prepared according to Method 1 using TEA in DCM with rac-1-[1-amino-3-(3-fluorophenyl)propan-2-yl]-4-(trifluoromethyl)piperidin-4-ol (Preparation 7) and 1-(4-fluorophenyl)cyclobutanecarboxylic acid in 33% yield.
MS m/z 497 [M+H]+
1H NMR (400MHz, MeOH-d4): δ 1.35-1.65 (m, 4H), 1.75-2.05 (m, 2H), 2.40-2.60 (m,
6H), 2.65-2.80 (m, 4H), 2.90-2.95 (m, 1 H), 3.00-3.20 (m, 2H), 6.90-7.40 (m, 8H) ppm
The racemate was separated into two enantiomers by chiral chromatography using an
AD-H column and eluting with Heptane: I PA:TFA 95:5: 1. The two single enantiomers have unknown stereochemistry and were arbitrarily assigned.
Example 21 Peak 1 (R)-4-fluorophenyl)-N-{3-(2-fluorophenyl)-2-[4-hydroxy-4-
(trifluoromethyl)piperidin-1-yl]propyl}cyclobutanecarboxamide
Example 22 Peak 2 (S)-4-fluorophenyl)-N-{3-(2-fluorophenyl)-2-[4-hydroxy-4-
(trifluoromethyl)piperidin-1-yl]propyl}cyclobutanecarboxamide
Examples 23-46 were prepared according to Methods 1 -4 above using the appropriate amines and acids as described below. Purification is as described below or as otherwise stated in the aforementioned methods.
Figure imgf000055_0001
rac-N-{3-(4-Fluorophenyl)-2-r4-(trifluoromethyl)piperidin-1-vnpropyl)-1 - methylcyclohexanecarboxamide
RA , RB = -(CH2)5- RC = -CH3 X = H
Amine rac-3-(4-Fluorophenyl)-2-[4-(trifluoromethyl)piperidin-1-yl]propan-1 - amine (Preparation 1)
Acid 1-Methylcyclohexanecarboxylic acid
Method 4
MS m/z 429 [M+H]+
1H NMR (400MHz, CDCI3): δ 1.10-1.20 (m, 3H), 1.30-1.70 (m, 12H), 1.90-2.10
(m, 5H), 2.20-2.70 (m, 2H), 2.80-3.10 (m, 4H), 3.35-3.45 (m, 1 H), 6.40 (br m, 1 H), 7.00-7.20 (m, 4H) ppm rac-N-{3-(4-Fluorophenyl)-2-r4-(trifluoromethyl)piperidin-1-vnpropyl)-2,2- dimethylpentanamide
RA = -CH3 RB = -CH3 Rc = -(CH2)2CH3 X = H
Amine rac-3-(4-Fluorophenyl)-2-[4-(trifluoromethyl)piperidin-1-yl]propan-1 - amine (Preparation 1)
Acid 2,2-Dimethylpentanoic acid
Method 2 using NMM
MS m/z 417 [M+H]+
1H NMR (400MHz, CDCI3): δ 0.85-0.95 (m, 5H), 1.10-1.30 (m, 8H), 1.40-1.55
(m, 3H), 1.58-1.68 (m, 1 H), 1.90-2.00 (m, 2H), 2.00-2.15 (m, 1 H), 2.25-2.45 (m, 2H), 2.80-3.05 (m, 4H), 3.28-3.42 (m, 1 H), 6.35-6.45 (br d, 1 H), 6.98-7.20 (m, 4H) ppm rac-N-{3-(4-Fluorophenyl)-2-r4-(trifluoromethyl)piperidin-1-vnpropyl)-1 -
(trifluoromethyl)cyclopropanecarboxamide RA , RB = -(CH2)2- Rc = -CF3 X = H
Amine rac-3-(4-Fluorophenyl)-2-[4-(trifluoromethyl)piperidin-1-yl]propan-1 - amine (Preparation 1)
Acid 1-(Trifluoromethyl)cyclopropanecarboxylic acid
Method 4
MS m/z 441 [M+H]+
1H NMR (400MHz, CDCI3): δ 1.15-1.35 (m, 2H), 1.40-1.75 (m, 4H), 1.90-2.20
(m, 3H), 2.25-2.35 (m, 1 H), 2.40-2.50 (m, 1 H), 2.60-2.70 (m, 1 H), 2.85-3.05 (m, 5H), 3.45-3.55 (m, 1 H), 7.00-7.25 (m, 5H) ppm rac-3,3,3-Trifluoro-N-f3-(4-fluorophenyl)-2-r4-(trifluoromethyl)piperidin-1- yllpropylV2.2-dimethylpropanamide
RA = -CH3 RB = -CH3 Rc = -CF3 X = H
Amine rac-3-(4-Fluorophenyl)-2-[4-(trifluoromethyl)piperidin-1-yl]propan-1 - amine (Preparation 1)
Acid 3,3,3-Trifluoro-2,2-dimethylpropionic acid
Method 4
MS m/z 443 [M+H]+
1H NMR (400MHz, CDCI3): δ 1.40 (s, 6H), 1.45-1.75 (m, 3H), 1.90-2.10 (m,
3H), 2.25-2.45 (m, 2H), 2.60-2.70 (m, 1 H), 2.80-3.05 (m, 4H), 3.35- 3.45 (m, 1 H), 6.80 (br m, 1 H), 6.95-7.20 (m, 4H) ppm rac-N-f3-(4-Fluorophenyl)-2-r4-(trifluoromethyl)piperidin-1-vnpropylV1 - (trifluoromethyl)cvclobutanecarboxamide
RA , RB = -(CH2)3- Rc = -CF3 X = H
Amine rac-3-(4-Fluorophenyl)-2-[4-(trifluoromethyl)piperidin-1-yl]propan-1 - amine (Preparation 1)
Acid 1-(Trifluoromethyl)cyclobutanecarboxylic acid
Method 4
MS m/z 455 [M+H]+
1H NMR (400MHz, CDCI3): δ 1.40-1.70 (m, 3H), 1.90-2.10 (m, 5H), 2.20-2.70
(m, 7H), 2.80-3.10 (m, 4H), 3.35-3.45 (m, 1 H), 6.50-6.60 (br m, 1 H), 6.95-7.20 (m, 4H) ppm rac-N-{3-(4-Fluorophenyl)-2-r4-(trifluoromethyl)piperidin-1-vnpropyl)-1 - methylcyclopentanecarboxamide
RA , RB = -(CH2)4- Rc = -CH3 X = H
Amine rac-3-(4-Fluorophenyl)-2-[4-(trifluoromethyl)piperidin-1-yl]propan-1 - amine (Preparation 1)
Acid 1-Methylcyclopentanecarboxylic acid.
Method 4
MS m/z 415 [M+H]+
1H NMR (400MHz, CDCI3): δ 1.20 (s, 3H), 1.40-1.80 (m, 9H), 1.85-2.10 (m,
5H), 2.20-2.50 (m, 2H), 2.60-2.70 (m, 1 H), 2.80-3.10 (m, 4H), 3.30- 3.40 (m, 1 H), 6.40 (br m, 1 H), 6.95-7.20 (m, 4H) ppm rac-N-{3-(4-Fluorophenyl)-2-r4-(trifluoromethyl)piperidin-1-vnpropyl)-1 - (trifluoromethyl)cyclopentanecarboxamide
RA , RB = -(CH2)4- Rc = -CF3 X = H
Amine rac-3-(4-Fluorophenyl)-2-[4-(trifluoromethyl)piperidin-1-yl]propan-1 - amine (Preparation 1)
Acid 1-(Trifluoromethyl)cyclopentanecarboxylic acid.
Method 4
MS m/z 469 [M+H]+
1H NMR (400MHz, CDCI3): δ 1.40-1.80 (m, 8H), 1.90-2.10 (m, 4H), 2.20-2.35
(m, 3H), 2.30-2.45 (m, 1 H), 2.60-2.75 (m, 1 H), 2.80-3.10 (m, 4H), 3.40-3.50 (m, 1 H), 6.80 (br m, 1 H), 6.95-7.20 (m, 4H) ppm rac-N-{3-(4-Fluorophenyl)-2-r4-(trifluoromethyl)piperidin-1-vnpropyl)-1 -r5-
(trifluoromethyl)pyridin-2-yl1cyclopropanecarboxamide
Figure imgf000057_0001
Amine rac-3-(4-Fluorophenyl)-2-[4-(trifluoromethyl)piperidin-1-yl]propan-1 - amine (Preparation 1)
Acid 1-[5-(Trifluoromethyl)pyridin-2-yl]cyclopropanecarboxylic acid (Preparation 28)
Method 2
MS m/z 518 [M+H]+
1H NMR (400MHz, DMSO-d6): δ 1.00-1.50 (m, 6H), 1.75-1.90 (m, 2H), 2.15- 2.50 (m, 4H), 2.75-3.10 (m, 6H), 7.00-7.20 (m 4H), 7.50 (t, 1 H), 7.60 (d, 1 H), 8.10 (d, 1 H), 8.80 (d, 1 H) ppm rac-N-f3-(4-Fluorophenyl)-2-r4-(trifluoromethyl)piperidin-1-vnpropylV1 - (trifluoromethyl)cyclohexanecarboxamide
RA , RB = -(CH2)5- RC = -CF3 X = H
Amine rac-3-(4-Fluorophenyl)-2-[4-(trifluoromethyl)piperidin-1-yl]propan-1 - amine (Preparation 1)
Acid 1-(Trifluoromethyl)cyclohexanecarboxylic acid
Method 2 using NMM.
MS m/z 483 [M+H]+
1H NMR (400MHz, CDCI3): δ 1.10-1.75 (m, 10), 1.87-2.10 (m, 3H), 2.12-2.30
(m, 3H), 2.35-2.45 (m, 1 H), 2.55-2.65 (m, 1 H), 2.78-3.08 (m, 5H), 3.35-3.45 (m, 1 H), 6.70-6.80 (br d, 1 H), 6.94-7.15 (m, 4H) ppm rac-4,4,4-Trifluoro-N-f3-(4-fluorophenyl)-2-r4-(trifluoromethyl)piperidin-1- yl1propyl)-2,2-dimethylbutanamide
RA = -CH3 RB = -CH3 Rc = -CH2CF3 X = H
Amine rac-3-(4-Fluorophenyl)-2-[4-(trifluoromethyl)piperidin-1-yl]propan-1 - amine (Preparation 1)
Acid 4,4,4-Trifluoro-2,2-dimethylbutanoic acid
Method 4
MS m/z 457 [M+H]+
1H NMR (400MHz, CDCI3): δ 1.30 (s, 6H), 1.40-1.75 (m, 2H), 1.90-2.18 (m,
3H), 2.22-2.70 (m, 5H), 2.80-3.05 (m, 5H), 3.35-3.45 (m, 1 H), 6.60 (br d, 1 H), 7.00-7.20 (m, 4H) ppm rac-N-f3-(4-Fluorophenyl)-2-r4-hvdroxy-4-(trifluoromethyl)piperidin-1- vnpropyl)-1 -(trifluoromethyl)cyclopropanecarboxamide R , R = -(CH2)2- R° = -CF3 X = -OH
Amine rac-1-[1-Amino-3-(4-fluorophenyl)propan-2-yl]-4-trifluoromethyl)- piperidin-4-ol (Preparation 5)
Acid 1-(Trifluoromethyl)cyclopropanecarboxylic acid
Method 4
MS m/z 457 [M+H]+
1H NMR (400MHz, CDCI3): δ 1.20-1.50 (m, 4H), 1.75-2.10 (m, 4H), 2.40-2.55
(m, 1 H), 2.60-3.10 (m, 7H), 3.40-3.55 (m, 1 H), 7.10-7.30 (m, 5H) ppm rac-1 -(4-Chloro-3-hvdroxyphenyl)-N-{3-(4-fluorophenyl)-2-r4-hydroxy-4- (trifluoromethyl)piperidin-1-yllpropyl)cvclopentanecarboxamide
Figure imgf000059_0001
Amine rac-1-[1-Amino-3-(4-fluorophenyl)propan-2-yl]-4-trifluoromethyl)- piperidin-4-ol (Preparation 5)
Acid 1 -(4-Chloro-3-hydroxyphenyl)cyclopentanecarboxylic acid
(Preparation 24)
Method
MS m/z 544 [M+H]+
1H NMR (400MHz, CDCI3): δ 1.30-1.65 (m, 7H), 1.70-1.83 (m, 1 H), 1.85-1.97
(m, 1 H), 2.20-2.53 (m, 6H), 2.55-2.67 (m, 1 H), 2.70-2.95 (m, 3H), 3.20-3.30 (m, 1 H), 5.84-5.92 (m, 1 H), 6.82 (dd, 1 H), 6.94 (t, 2H), 6.98-7.06 (m, 3H), 7.24 (d, 1 H) ppm rac-1 -(4-Chlorophenyl)-N-f3-(4-fluorophenyl)-2-r4-
(trifluoromethyl)piperidin-1-vnpropyl)cvclopropanecarboxamide
Figure imgf000059_0002
Amine rac-3-(4-Fluorophenyl)-2-[4-(trifluoromethyl)piperidin-1-yl]propan-1 - amine (Preparation 1)
Acid 1-(4-Chlorophenyl)cyclopropane carboxylic acid Method 2 : Purified using silica gel column chromatography eluting with 0-
100% EtOAc in heptanes
MS m/z 483 [M35CI+H]+
1H NMR (400MHz, DMSO-d6): δ 0.80-1.10 (m, 4H), 1.20-1.30 (m, 2H), 1.60- 1.70 (m, 2H), 2.00-2.20 (m, 2H), 2.25-2.80 (m, 7H), 2.95-3.05 (m, 1 H), 6.25 (br m, 1 H), 7.00-7.50 (m, 8H) ppm rac-N-f3-(4-Fluorophenyl)-2-r4-(trifluoromethyl)piperidin-1-vnpropylV1 -(5-
Figure imgf000060_0001
Amine rac-3-(4-Fluorophenyl)-2-[4-(trifluoromethyl)piperidin-1-yl]propan-1 - amine (Preparation 1)
Acid 1-(5-Fluoropyridin-2-yl)cyclopentanecarboxylic acid (Preparation 27). Method 2 : Purified using silica gel column chromatography eluting with 0-
50% EtOAc in heptanes
MS m/z 496 [M+H]+
1H NMR (400MHz, DMSO-d6): δ 1.00-1.30 (m, 2H), 1.50-1.75 (m, 6H), 2.00- 2.25 (m, 4H), 2.30-2.45 (m, 4H), 2.65-2.75 (m, 4H), 2.75-2.85 (m, 1 H), 2.90-3.05 (m, 1 H), 6.95-6.99 (m, 1 H), 7.00-7.20 (m, 4H), 7.40- 7.50 (m, 1 H), 7.60-7.70 (m, 1 H), 8.50 (s, 1 H) ppm
Figure imgf000060_0002
rac-1 -(4-Fluorophenyl)-N-{2-r4-hvdroxy-4-(trifluoromethyl)piperidin-1-vn-3- phenylpropyltovclohexanecarboxamide
RA , RB = -(CH2)5- R1 = H R4 = F X = -OH n = 2 Amine rac-1-(1-Amino-3-phenylpropan-2-yl)-4-(trifluoromethyl)piperidin-4-ol
(Preparation 2)
Acid 1-(4-Fluorophenyl)cyclohexanecarboxylic acid.
Method 2 : Purified using silica gel column chromatography eluting with 0-
50% [80% CHCI3:20% MeOH:0.1 % NH4OH] in DCM.
MS m/z 507 [M+H]+
1H NMR (400MHz, DMSO-d6): δ 1.25-1.40 (m, 1 H), 1.50-1.80 (m, 11 H), 2.25- 2.85 (m, 10H), 3.15-3.30 (m, 1 H), 7.00-7.45 (m, 9H) ppm rac-1 -(4-Fluorophenyl)-N-{3-(4-fluorophenyl)-2-r3- (trifluoromethyl)pyrrolidin-1 -vnpropyl)cvclopentanecarboxamide
RA , RB = -(CH2)4- R1 = F R4 = F X = H n = 1
Amine rac-3-(4-Fluorophenyl)-2-[3-(trifluoromethyl)pyrrolidin-1-yl]propan-1- amine (Preparation 1 1)
Acid 1-(4-fluorophenyl)cyclopentanecarboxylic acid
Method 2 : Purified using silica gel column chromatography eluting with 0-
100% EtOAc in heptanes
MS m/z 481 [M+H]+
1H NMR (400MHz, DMSO-d6): δ 1.50-2.00 (m, 7H), 2.25-3.00 (m, 12H), 3.05- 3.15 (m, 1 H), 7.00-7.25 (m, 6H), 7.30-7.40 (m, 2H) ppm rac-1 -(4-Chlorophenyl)-N-{2-r4-hvdroxy-4-(trifluoromethyl)piperidin-1 -vn-3- phenylpropyltovclopropanecarboxamide
RA , RB = -(CH2)2- R1 = H R4 = CI X = -OH n = 2
Amine rac-1-(1-Amino-3-phenylpropan-2-yl)-4-(trifluoromethyl)piperidin-4-ol
(Preparation 2)
Acid 1-(4-Chlorophenyl)cyclopropanecarboxylic acid
Method 2 : Purified by trituration with 1 : 1 I PA: heptanes
MS m/z 481 [M35CI+H]+
1H NMR (400MHz, CDCI3): δ 0.89-1.03 (m, 2H), 1.26-1.41 (m, 2H), 1.45-1.70
(m, 4H), 2.22-2.68 (m, 5H), 2.76-2.93 (m, 3H), 3.25-3.40 (m, 1 H), 6.06 (d, 1 H), 7.06 (d, 2H), 7.13-7.32 (m, 7H) ppm (S)-1 -(4-Chlorophenyl)-N-f2-r4-hvdroxy-4-(trifluoromethyl)piperidin-1-vn-3- phenylpropyDcyclopropanecarboxamide
RA , RB = -(CH2)2- R1 = H R4 = CI X = -OH n = 2
Amine (S)-1-(1-Amino-3-phenylpropan-2-yl)-4-(trifluoromethyl)piperidin-4-ol
(Preparation 3)
Acid 1-(4-Chlorophenyl)cyclopropanecarboxylic acid
Method 1 : Purified by precipitation with water added directly to the reaction MS m/z 481 [M35CI+H]+
1H NMR (400MHz, DMSO-d6): δ 0.85-0.98 (m, 2H), 1.10-1.30 (m, 5H), 1.50- 1.56 (m, 2H), 2.30-2.40 (m, 4H), 2.57-2.85 (m, 3H), 2.95-3.05 (m, 1 H), 5.60 (s, 1 H), 6.25-6.30 (m, 1 H), 7.15-7.35 (m, 9H) ppm (R)-1-(4-Chlorophenyl)-N-f2-r4-hvdroxy-4-(trifluoromethyl)piperidin-1-vn-3- phenylpropyDcyclopropanecarboxamide
RA , RB = -(CH2)2- R1 = H R4 = CI X = -OH n = 2
Amine (R)-1-(1-Amino-3-phenylpropan-2-yl)-4-(trifluoromethyl)piperidin-4-ol
(Preparation 4)
Acid 1-(4-Chlorophenyl)cyclopropanecarboxylic acid
Method 1 : Purified by precipitation with water added directly to the reaction MS m/z 481 [M35CI+H]+
1H NMR (400MHz, DMSO-d6): δ 0.85-0.98 (m, 2H), 1.10-1.30 (m, 5H), 1.50- 1.56 (m, 2H), 2.30-2.40 (m, 4H), 2.57-2.85 (m, 3H), 2.95-3.05 (m, 1 H), 5.60 (s, 1 H), 6.20-6.25 (m, 1 H), 7.15-7.40 (m, 9H) ppm rac-1 -(4-Chlorophenyl)-N-{3-phenyl-2-r4-(trifluoromethyl)piperidin-1 - yllpropyDcyclopentanecarboxamide
RA , RB = -(CH2)4- R1 = H R4 = CI X = H n = 2
Amine rac-3-Phenyl-2-[4-(trifluoromethyl)piperidin-1-yl]propan-1-amine
(Preparation 8)
Acid 1-(4-Chlorophenyl)cyclopentanecarboxylic acid.
Method 2
MS m/z 493 [M35CI+H]+
1H NMR (400MHz, CDCI3): δ 1.00-1.10 (m, 1 H), 1.20-1.32 (m, 1 H), 1.50-2.22 (m, 11 H), 2.21-2.90 (m, 8H), 3.20-3.32 (m, 1 H), 5.88 (br m, 1 H), 7.03- 7.05 (m, 2H), 7.12-7.37 (m, 7H) ppm
Figure imgf000063_0001
rac-3.3.3-Trifluoro-N-f2-r4-hvdroxy-4-(trifluoromethyl)piperidin-1-vn-3- phenylpropylV2,2-dimethylpropanamide
Amine rac-3-Phenyl-2-[4-(trifluoromethyl)piperidin-1-yl]propan-1-amine
(Preparation 8)
Acid 3,3,3-Trifluoro-2,2-dimethylpropanoic acid
Method 2
MS m/z 441 [M+H]+
1H NMR (400MHz, CDCI3): δ 1.33 (s, 6H), 1.70-1.80 (m, 4H), 1.85-1.92 (m,
1 H), 2.40-2.79 (m, 4H), 2.80-3.10 (m, 4H), 3.29-3.39 (m, 1 H), 6.77 (s, 1 H), 7.12-7.15 (m, 2H), 7.16-7.35 (m, 3H) ppm
Figure imgf000063_0002
rac-1 -(4-Chlorophenyl)-N-f2-r4-hvdroxy-4-(trifluoromethyl)piperidin-1 -vn-3- (4-methoxyphenyl)propyl)cyclopropanecarboxamide
RA , RB = -(CH2)2- R1 = -OCH3 R4 = CI X = -OH n = 2
Amine rac- 1-[1-Amino-3-(4-methoxyphenyl)propan-2-yl]-4-
(trifluoromethyl)piperidin-4-ol (Preparation 15)
Acid 1-(4-Chlorophenyl)cyclopropanecarboxylic acid. Method 3 : Purified by precipitation with water added directly to the reaction MS m/z 51 1 [M35CI+H]+
1H NMR (400MHz, CDCI3): δ 0.90-1.00 (m, 2H), 1.15-1.80 (m, 6H), 2.20-2.65
(m, 5H), 2.70-2.90 (m, 3H), 3.15-3.20 (m, 1 H), 3.80 (s, 3H), 6.00-6.10 (m, 1 H), 6.80 (d, 2H), 7.00 (d, 2H), 7.20-7.35 (m, 4H) ppm rac-1 -(4-Chlorophenyl)-N-f3-(4-fluorophenyl)-2-r4-hvdroxy-4- (trifluoromethyl)piperidin-1-yllpropyl)cyclopropanecarboxamide
RA , RB = -(CH2)2- R1 = F R4 = CI X = -OH n = 2
Amine rac- 1-[1-Amino-3-(4-fluorophenyl)propan-2-yl]-4-
(trifluoromethyl)piperidin-4-ol (Preparation 5)
Acid 1-(4-Chlorophenyl)cyclopropanecarboxylic acid.
Method 3 : Purified by precipitation with water added directly to the reaction MS m/z 499 [M35CI+H]+
1H NMR (400MHz, CDCI3): δ 0.90-1.05 (m, 2H), 1.40-2.00 (m, 7H), 2.20-2.75
(m, 4H), 2.80-3.00 (m, 3H), 3.20-3.40 (m, 1 H), 6.00-6.10 (m, 1 H), 6.90-7.10 (m, 4H), 7.20-7.40 (m, 4H) ppm rac-N-f3-(4-Bromophenyl)-2-r3-hvdroxy-3-(trifluoromethyl)pyrrolidin-1- vnpropylV1 -(4-fluorophenyl)cyclopentanecarboxamide
RA , RB = -(CH2)4- R1 = Br R4 = F X = -OH n = 1
Amine rac- 1-[1-amino-3-(4-bromophenyl)propan-2-yl]-3-
(trifluoromethyl)pyrrolidin-3-ol (Preparation 9)
Acid 1-(4-Fluorophenyl)cyclopentanecarboxylic acid.
Method 2 : Purified using silica gel column chromatography eluting with 0-
50% EtOAc in heptanes
MS m/z 559 [M81 Br+H]+ Example 47
1-(4-Fluorophenyl)-N-{2-r3-hvdroxy-3-(trifluoromethyl)pyrrolidin-1-vn-3- phenylpropyltovclobutanecarboxamide (Single Diastereomer)
Figure imgf000065_0001
The title compound was prepared according to Method 1 using the fourth eluting diastereoisomer of 1-[1-amino-3-(4-fluorophenyl)propan-2-yl]-3-(trifluoromethyl)- pyrrolidin-3-ol of unknown stereochemistry (Preparation 13) and 1-(4-fluorophenyl)- cyclobutanecarboxylic acid in 65% yield.
MS m/z 465 [M+H]+
1H NMR (400MHz, CDCI3): δ 1.10-1.15 (m, 1 H), 1.80-2.00 (m, 2H), 2.05-2.20 (m, 2H), 2.20-2.60 (m, 4H), 2.60-3.00 (m, 6H), 3.00-3.05 (m, 1 H), 3.20-3.25 (m, 1 H), 5.50-5.55 (m, 1 H), 7.00-7.05 (m, 4H), 7.20-7.30 (m, 5H) ppm
Examples 48-54 were prepared according to the method described for Library Protocol 1 as described below:
Library Protocol 1
Figure imgf000065_0002
To a 0.093M solution of rac-1-(1-amino-3-phenylpropan-2-yl)-4-(trifluoromethyl)- piperidin-4-ol (Preparation 2, 75 μηιοΙ) in DCM was added DI PEA (2 eq) followed by the appropriate carboxylic acid (75 μηιοΙ). A 0.375M solution of HATU (200 μί, 75 μηιοΙ) in MeCN was added and the reactions were shaken at 30°C for 16 hours. The reactions were concentrated in vacuo and purified using preparative HPLC. All Examples were isolated as their TFA salts.
LCMS QC Column: YMC ODS-AQ, 2.0 x 40 mm, δμηιοΙ with 0.05% TFA
F3C OH
rac-N-{2-r4-Hvdroxy-4-(trifluoromethyl)piperidin-1-yl1-3-phenylpropyl)-1-(4- methylphenvDcyclopropanecarboxamide trifluoroacetate
Figure imgf000066_0001
Acid 1-(4-Methylphenyl)cyclopropanecarboxylic acid
MS m/z 461 [M+H]+ Rt = 2.71 minutes rac-N-f2-r4-Hvdroxy-4-(trifluoromethyl)piperidin-1-vn-3-phenylpropylV2- methyl-2-phenylpropanamide
Figure imgf000066_0002
Acid 2-Methyl-2-phenylpropanoic acid
MS m/z 449 [M+H]+ Rt = 2.57 minutes rac-N-f2-r4-Hvdroxy-4-(trifluoromethyl)piperidin-1-vn-3-phenylpropylV2,2- dimethylpentanamide
RA = -CH3 RB = -CH3 Rc = -(CH2)2CH3
Acid 2,2-Dimethylpentanoic acid
MS m/z 415 [M+H]+ Rt = 2.57 minutes rac-N-f2-r4-Hvdroxy-4-(trifluoromethyl)piperidin-1-vn-3-phenylpropylV1-(4- methylphenvDcyclopropanecarboxamide trifluoroacetate
Figure imgf000067_0001
Acid 4-(3-Methylphenyl)tetrahydropyran-4-carboxylic acid
MS m/z 505 [M+H]+ Rt = 2.74 minutes rac-N-f2-r4-Hvdroxy-4-(trifluoromethyl)piperidin-1-vn-3-phenylpropyl 4- phenyltetrahvdro-2H-pyran-4-carboxamide
Figure imgf000067_0002
Acid 4-Phenyltetrahydropyran-4-carboxylic acid
MS m/z 491 [M+H]+ Rt = 2.62 minutes rac-N-f2-r4-Hvdroxy-4-(trifluoromethyl)piperidin-1-vn-3-phenylpropylV1- phenylcyclopropanecarboxamide
Figure imgf000067_0003
Acid 1-Phenylcyclopropanecarboxylic acid
MS m/z 447 [M+H]+ Rt = 2.53 minutes rac-N-f2-r4-Hvdroxy-4-(trifluoromethyl)piperidin-1-vn-3-phenylpropylV2,2- dimethylbutanamide
RA = -CH3 RB = -CH3 Rc = -CH2CH3
Acid 2,2-Dimethylbutanoic acid
MS m/z 401 [M+H]+ Rt = 2.62 minutes Example 55
rac-N-{3-(4-Cvanophenyl)-2-r3-hvdroxy-3-(trifluoromethyl)pyrrolidin-1-vn- propylV1-(4-fluorophenyl)cyclopentanecarboxamide
Figure imgf000068_0001
To a solution of rac-N-{3-(4-bromophenyl)-2-[3-hydroxy-3-(trifluoromethyl)pyrrolidin-1- yl]propyl}-1-(4-fluorophenyl)cyclopentanecarboxamide (Example 46, 252 mg, 0.452 mmol) in DMF (5 ml_) was added zinc cyanide (64 mg, 0.542 mmol) followed by tetrakistnphenylphosphine palladium(O) (53 mg, 0.045 mmol) and the reaction was heated to 110°C for 18 hours. Additional tetrakistnphenylphosphine palladium (0) (53 mg, 0.045 mmol) was added and the reaction continued for a further 18 hours. The reaction was cooled, diluted with water and extracted into EtOAc. The organic layers were combined, washed with brine, dried over magnesium sulphate and concentrated in vacuo. The residue was purified using silica gel column chromatography eluting with 0-50% EtOAc in heptanes to afford the title compound (76 mg, 33%).
MS m/z 504 [M+H]+
1H NMR (400MHz, DMSO-d6): δ 1.50-1.90 (m, 8H), 2.45-3.00 (m, 9H), 3.05-3.15 (m, 1 H), 6.05 (d, 1 H), 7.00-7.40 (m, 6H), 7.60-7.65 (m, 2H) ppm
Preparation 1
rac-3-(4-Fluorophenyl)-2-r4-(trifluoromethyl)piperidin-1-vnpropan-1 -amine
To a solution of 4-fluorophenylacetaldehyde (2.76 g, 20 mmol) in diethylether (2 ml_) was added trimethylsilylcyanide (2 g, 20 mmol) followed by zinc iodide (34 mg, 0.10 mmol) and the reaction was stirred at room temperature for 15 minutes. A solution of 4-(trifluoromethyl)piperidine (3.06 g, 20 mmol) and triethylamine (2.07 ml_, 20 mmol) in MeOH (3 ml_) was added and the reaction was heated at 50°C for 18 hours. The reaction was cooled and purified using silica gel column chromatography eluting with 0-50% EtOAc in heptanes to afford the intermediate 3-(4-fluorophenyl)-2-[4- (trifluoromethyl)piperidin-1-yl]propanenitrile (3.98 g, 66%). To a solution of the intermediate nitrile (2 g, 6.66 mmol) in ethanol (100 mL) was added 880 ammonia (10 mL) and the solution was hydrogenated at room temperature over Raney Nickel at 40psi for 18 hours. The reaction was filtered through Celite and concentrated in vacuo to afford the title compound as an oil (1.75 g, 86%).
1H NMR (400MHz, DMSO-d6): δ 1.25-1.55 (m, 3H), 1.70-1.85 (m, 2H), 2.10-2.60 (m, 6H), 2.75-2.90 (m, 3H), 7.00-7.10 (m, 4H) ppm
Preparation 2
rac-1 -(1-Amino-3-phenylpropan-2-yl)-4-(trifluoromethyl)piperidin-4-ol
A solution of phenylacetaldehyde (355 mg, 2.96 mmol) and tnmethylsilylcyanide (293 mg, 2.96 mmol) in diethyl ether (1.5 mL) was treated with zinc iodide (5 mg) and stirred at room temperature for 15 minutes. 4-(trifluoromethyl)piperidin-4-ol (500 mg, 2.96 mmol) in MeOH (5 mL) was added and the reaction heated to reflux for 18 hours. The reaction was cooled and concentrated in vacuo, azeotroping with toluene. The residue was dissolved in THF (5 mL), treated with LiAIH4 (2M solution in THF, 2.2 mL, 4.43 mmol) and stirred at room temperature for 48 hours. The reaction was diluted with TBME (10 mL) and treated with water (0.17 mL), 15%(aq) NaOH solution (0.17 mL) followed by another aliquot of water (0.51 mL). Sodium sulphate was added and the reaction was filtered and concentrated in vacuo. The residue was purified using silica gel column chromatography eluting with DCM:MeOH:NH3, 90:9:1 to 80: 18:2 to afford the title compound as a colourless oil (600 mg, 74%).
MS m/z 303 [M+H]+
1H NMR (400MHz, MeOH-d4): δ 1.75-1.80 (m, 3H), 1.83-1.90 (m, 1 H), 2.35-2.50 (m, 2H), 2.55-2.65 (m, 3H), 2.75-2.80 (m, 2H), 2.90-3.03 (m, 2H), 7.15-7.30 (m, 5H) ppm
Preparation 3
(S)-1 -(1 -Amino-3-phenylpropan-2-yl)-4-(trifluoromethyl)piperidin-4-ol
To a solution of (S)-2-(4-hydroxy-4-(trifluoromethyl)piperidin-1-yl)-3-phenyl- propanamide (Preparation 19, 919 mg, 2.90 mmol) in THF (14.5 mL) was added a 0.5M solution of LiAIH4 in DME (14.5 mL) and the reaction was heated to 65°C for 6 hours followed by heating at 50°C for 18 hours. The reaction was cooled to -7°C and quenched by the addition of water (0.3 mL), followed by 15%(aq) NaOH solution (0.3 mL) followed by water (0.9 mL) and stirred for 1 hour. The reaction was diluted with diethyl ether and filtered through a pad of sodium sulphate. The filtrate was collected and concentrated in vacuo to afford the title compound as a white solid (778 mg, 87%).
The title compound may also be prepared as described above using rac-1-(1-amino- 3-phenylpropan-2-yl)-4-(trifluoromethyl)piperidin-4-ol (Preparation 2) followed by separation of the enantiomers using preparative chiral chromatography as described below:
Column: Chiralpak AD-H.
Mobile phase: 30% I PA in Heptanes modified with 0.1 % DEA in I PA.
Flow rate: 18 mL/min (preparative); 1 mL/min (analytical).
Preparation 3: (S)-1-(1-amino-3-phenylpropan-2-yl)-4-(trifluoromethyl)piperidin-4-ol Rt = 3.949 minutes and
Preparation 4: (R)-1-(1-amino-3-phenylpropan-2-yl)-4-(trifluoromethyl)piperidin-4-ol Rt = 4.954 minutes
Preparation 5
rac-1 -ri-Amino-3-(4-fluorophenyl)propan-2-yl1-4-(trifluoromethyl)piperidin-4-ol
The title compound may be prepared according to the method described for Preparation 2 using 4-(fluorophenyl)acetaldehyde and 4-(trifluoromethyl)piperidin-4-
01 in 25% yield.
MS m/z 321 [M+H]+
1H NMR (400MHz, MeOH-d4): δ 1.68-1.95 (m, 4H), 2.40-3.10 (m, 9H), 7.01 (t, 2H), 7.21 (t, 2H) ppm
Preparations 6-12 were prepared according to the method described for Preparation
2 using the appropriate aldehyde and amine as described below:
6 rac-1 -ri-Amino-3-(2-fluorophenyl)propan-2-vn-4-(trifluoromethyl)piperidin- 4-ol
Aldehyde (2-Fluorophenyl)acetaldehyde
Amine 4-(Trifluoromethyl)piperidin-4-ol
1H NMR (400MHz, CDCI3): δ 1.60-1.80 (m, 3H), 1.85-1.95 (m, 1 H), 2.30- 2.80 (m, 7H), 2.95-3.00 (m, 2H), 6.90-7.20 (m, 4H) ppm rac-1 -ri-Amino-3-(3-fluorophenyl)propan-2-vn-4-(trifluoromethyl)piperidin- 4-ol
Aldehyde (3-Fluorophenyl)acetaldehyde
Amine 4-(Trifluoromethyl)piperidin-4-ol
1H NMR (400MHz, MeOH-d4): δ 1.70-1.90 (m, 4H), 2.40-3.10 (m, 9H), 6.90- 7.10 (m, 3H), 7.20-7.30 (m, 1 H) ppm rac-3-Phenyl-2-r4-(trifluoromethyl)piperidin-1-vnpropan-1 -amine
Aldehyde Phenylacetaldehyde
Amine 4-(Trifluoromethyl)piperidine
MS m/z 287 [M+H]+
1H NMR (400MHz, CDCI3): δ 1.48-1.70 (m, 2H), 1.80-1.90 (m, 2H), 1.95- 2.05 (m, 1 H), 2.05-2.35 (m, 4H), 2.55-3.00 (m, 5H), 7.10-7.50 (m, 5H) ppm rac-1-ri-Amino-3-(4-bromophenyl)propan-2-vn-3-(trifluoromethyl)- pyrrolidin-3-ol
Aldehyde (4-Bromophenyl)acetaldehyde
Amine 3-(Trifluoromethyl)pyrrolidin-3-ol.
Purified using silica gel column chromatography eluting with 0-100%
[80%DCM:20%MeOH:0.5%NH4OH] in DCM
MS m/z 366 [M79Br+H]+ rac-1-ri-Amino-3-(4-fluorophenyl)propan-2-vn-3-(trifluoromethyl)- pyrrolidin-3-ol
Aldehyde (4-Fluorophenyl)acetaldehyde
Amine 3-(Trifluoromethyl)pyrrolidin-3-ol.
Purified using silica gel column chromatography eluting with 0-100%
[80%DCM:20%MeOH:0.5%NH4OH] in DCM
MS m/z 307 [M+H]+ rac-3-(4-Fluorophenyl)-2-r3-(trifluoromethyl)pyrrolidin-1-vnpropan-1 -amine
Aldehyde (4-Fluorophenyl)acetaldehyde
Amine rac-3-(Trifluoromethyl)pyrrolidine Purified using silica gel column chromatography eluting with 0-100% [80%DCM:20%MeOH:0.5%NH4OH] in DCM
MS m/z 291 [M+H]+
12 rac-1-ri-Amino-3-(4-bromophenyl)propan-2-yl1-4-(trifluoromethyl)- piperidin-4-ol
Aldehyde (4-Bromophenyl)acetaldehyde
Amine 4-(Trifluoromethyl)piperidin-4-ol
MS m/z 383 [M81 Br+H]+
Preparation 13
rac-1 -(1-Amino-3-phenylpropan-2-yl)-3-(trifluoromethyl)pyrrolidin-3-ol
The title compound was prepared according to the method described for Preparation
2 using phenylacetaldehyde and 3-trifluoromethyl-pyrrolidin-3-ol in 36% yield.
The 4 diastereomers were separated using chiral chromatography:
Column: AD-H, Mobile phase 80:20: 1 Heptanes: I PA: DEA. Four peaks were obtained and the 4 diastereoisomers were arbitrarily assigned stereochemistry.
MS m/z 289 [M+H]+
Preparation 14
rac-4-f3-Amino-2-r4-hvdroxy-4-(trifluoromethyl)piperidin-1 -vnpropylV
benzonitrile
A mixture of rac-4-{3-(1 ,3-dioxo-1 ,3-dihydro-2H-isoindol-2-yl)-2-[4-hydroxy-4- (trifluoromethyl)piperidin-1-yl]propyl}benzonitrile (Preparation 16, 440 mg, 0.96 mmol) and hydrazine monohydrate (0.42 ml_, 8.66 mmol) in EtOH (10 ml_) was heated to reflux for 1 hour. The reaction was cooled, filtered and the filtrate was concentrated in vacuo. The residue was purified using silica gel column chromatography eluting with 50% EtOAc in heptanes to 90: 10: 1 EtOAc:MeOH:NH3 to afford the title compound as a white foam (210 mg, 67%).
MS m/z 328 [M+H]+ Preparation 15
rac-1 -ri-Amino-3-(4-methoxyphenyl)propan-2-yl1-4-(trifluoromethyl)piperidin-4- ol
The title compound was prepared according to the method described for Preparation 14 using rac-1-[1-(1 ,3-dioxo-1 ,3-dihydro-2H-isoindol-2-yl)-3-(4-methoxyphenyl)- propan-2-yl]-4-(trifluoromethyl)piperidin-4-ol (Preparation 17) in >100% yield.
MS m/z 333 [M+H]+
Preparation 16
rac-4-{3-(1 ,3-Dioxo-1 ,3-dihvdro-2H-isoindol-2-yl)-2-r4-hydroxy-4- (trifluoromethyl)piperidin-1-yllpropyl)benzonitrile
To a solution of rac-2-{2-(1/-/-benzotriazol-1-yl)-2-[4-hydroxy-4-(trifluoromethyl)- piperidin-1-yl]ethyl}-1/-/-isoindole-1 ,3(2/-/)-dione (Preparation 18, 2.7 g, 5.88 mmol) in 2-methyltetrahydrofuran (40 mL) cooled to -60°C was added a 0.5M solution of 4- cyanobenzylzinc bromide in THF (35.3 mL, 17.6 mmol). The reaction was allowed to warm to room temperature over 18 hours before quenching with ammonium hydroxide (20 mL) and diluting with water (50 mL). The solution was extracted into EtOAc (3 x 50 mL), the organic layers combined, washed with brine (50 mL), dried over magnesium sulphate and concentrated in vacuo. The residue was purified using silica gel column chromatography eluting with 0-10% EtOAc in heptanes to afford the title compound as a yellow foam (440 mg, 16%).
MS m/z 458 [M+H]+
1H NMR (400MHz, CDCI3): δ 1.50-1.85 (m, 5H), 2.50-2.85 (m, 2H), 2.87-2.90 (m, 1 H), 2.95-3.05 (m, 2H), 3.40-3.55 (m, 2H), 3.90-3.95 (m, 1 H), 7.10-7.90 (m, 8H) ppm
Preparation 17
rac-1 -ri-(1 ,3-Dioxo-1 ,3-dihvdro-2H-isoindol-2-yl)-3-(4-methoxyphenyl)propan-2- vn-4-(trifluoromethyl)piperidin-4-ol
Zinc dust (247 mg, 1.31 mmol) was flushed with nitrogen before the addition of a solution of 1 ,2-dibromoethane (6.2 mg, 0.033 mmol) in THF (2 mL). The suspension was heated to reflux for 10 minutes and cooled to room temperature. A solution of 4- methoxybenzylbromide (263 mg, 1.31 mmol) in THF (2 mL) was added and the reaction stirred at room temperature for 1.5 hours. The reaction was cooled to 0°C and a solution of rac-2-{2-(1 H-benzotriazol-1-yl)-2-[4-hydroxy-4-(trifluoromethyl)- piperidin-1-yl]ethyl}-1/-/-isoindole-1 ,3(2/-/)-dione (Preparation 18, 300 mg, 0.65 mmol) in THF (2 mL) was added and the reaction stirred at room temperature for 18 hours. The reaction was quenched by the addition of saturated aqueous ammonium chloride solution (1 mL) and 880 ammonia (5 mL) and extracted into EtOAc (3 x 5 mL). The combined organic layers were washed with brine (5 mL), dried over magnesium sulphate and concentrated in vacuo. The residue was purified using silica gel column chromatography eluting with 10-90% EtOAc in heptanes to afford the title compound (90 mg, 30%).
MS m/z 461 [M-H]"
Preparation 18
rac-2-f2-(1H-Benzotriazol-1-yl)-2-r4-hvdroxy-4-(trifluoromethyl)piperidin-1-vn- ethyl V 1 H-isoindole-1 ,3(2H)-dione
A mixture of (1 ,3-dioxo-1 ,3-dihydro-2/-/-isoindol-2-yl)acetaldehyde (1.89 g, 10 mmol), 4-(trifluoromethyl)piperidin-4-ol (1.70 g, 10 mmol) and benzotriazole (1.19 g, 10 mmol) in toluene (50 mL) was heated to reflux under Dean-Stark conditions for 1 hour. The reaction was cooled in an ice-bath and the resulting precipitate was filtered to afford the title compound as a white solid (2.7 g, 58%) that was taken directly on to the next step.
Preparation 19
(S)-2-(4-Hvdroxy-4-(trifluoromethyl)piperidin-1-yl)-3-phenylpropanamide
A solution of (S)-2-(4-hydroxy-4-(trifluoromethyl)piperidin-1-yl)-3-phenylpropanoic acid (Preparation 20, 1211 mg, 3.816 mmol) and carbonyldiimidazole (1 180 mg, 7.25 mmol) in THF (38 mL) was stirred at room temperature for 1 hour before cooling to 0°C. Ammonium hydroxide (2.97 mL) dropwise was added and the reaction was stirred at 0°C for 30 minutes. The reaction was diluted with water and extracted into EtOAc. The organic layer was collected, dried over magnesium sulphate and concentrated in vacuo. The residue was purified using silica gel column chromatography eluting with 0-75% EtOAc in heptanes to afford the title compound (1 g, 83%). Preparation 20
(S)-2-(4-Hvdroxy-4-(trifluoromethyl)piperidin-1-yl)-3-phenylpropanoic acid
A solution of (S)-methyl 2-(4-hydroxy-4-(trifluoromethyl)piperidin-1-yl)-3-phenyl- propanoate (Preparation 21 , 1.3 g, 3.924 mmol) in 6N HCI (aq) (30 ml_) was heated to 90°C for 18 hours. The reaction was cooled to -10°C with a brine/ice mixture and treated with 6N NaOH (aq) until pH=3-4. The aqueous mixture was extracted into EtOAc four times. The organic layers were combined, washed with brine, dried over sodium sulphate and concentrated in vacuo to afford the title compound that was used directly in the next step (1.2 g, 97%).
MS m/z 318 [M+H]+
1H NMR (400MHz, MeOH-d4): δ 2.00-2.30 (m, 4H), 3.10-3.30 (m, 2H), 3.40-3.65 (m, 3H), 3.75-3.85 (m, 1 H), 4.30-4.50 (m, 1 H), 7.25-7.45 (m, 5H) ppm
Preparation 21
(S)-Methyl-2-(4-hvdroxy-4-(trifluoromethyl)piperidin-1-yl)-3-phenylpropanoate
To a solution of (R)-methyl 3-phenyl-2-(((trifluoromethyl)sulfonyl)oxy)propanoate (Preparation 22, 3 g, 9.6 mmol) in EtOAc (24.6 ml_) was added 4- (trifluoromethyl)piperidin-4-ol (2.72 g, 9.61 mmol) and potassium phosphate (8.16 g, 38.4 mmol) and the reaction was stirred at room temperature for 18 hours. The reaction was diluted with EtOAc, washed with water, dried over magnesium sulphate and concentrated in vacuo. The residue was purified using silica gel column chromatography eluting with 0-25% EtOAc in heptanes to afford the title compound (1.93 g, 60%).
HPLC Analysis:
Column: XBridge C18 150 x 4.6 mm, 5 micron;
Mobile phase A: water with 0.1 % TFA, Mobile phase B: MeCN with 0.1 % TFA.
Gradient: 5% B for 0-1.5 min, 5-100% B for 1.5-10 min, 100% B for 10-1 1 min and 100-5% B for 11-12 min. Flow rate 1.5 mL/min.
Rt = 5.96 minutes.
Preparation 22
(R)-Methyl 3-phenyl-2-(((trifluoromethyl)sulfonyl)oxy)propanoate
To a cooled solution (-10°C) of (R)-methyl 2-hydroxy-3-phenylpropanoate (0.99 g, 5.49 mmol) in DCM (14 ml_) was added 2,6-lutidine (0.77 ml_, 6.6 mmol) followed by tnfluoromethanesulfonic anhydride (1.1 1 mL, 6.59 mmol) dropwise. The reaction was stirred at this temperature for 1 hour. The reaction was quenched by the addition of water and stirred for 2 minutes. The solution was extracted into DCM and the organic layer was collected, dried over magnesium sulphate and concentrated in vacuo. The residue was purified using silica gel column chromatography eluting with 0-25% EtOAc in heptanes to afford the title compound as an oil (1.435 g, 84%).
1H NMR (400MHz, CDCI3): δ 3.15-3.25 (m, 1 H), 3.30-3.40 (m, 1 H), 3.85 (s, 3H), 5.10- 5.15 (m, 1 H), 7.10-7.40 (m, 5H) ppm
Preparation 23
1 -(3-Fluoro-4-hvdroxyphenyl)cvclopentanecarboxylic acid
To a solution of 1-(4-chloro-3-methoxyphenyl)cyclopentanecarboxylic acid (Preparation 25, 500 mg, 2.10 mmol) in DCM (10 mL) at 0°C was added boron tribromide (1 M solution in DCM, 4.2 mL, 4.2 mmol) dropwise. The reaction was stirred at room temperature for 3 hours. The reaction was quenched by the addition of MeOH (5 mL), diluted with DCM (30 mL) and washed with 2N HCI (aq) (2 x 30 mL), brine (30 mL), dried over magnesium sulphate and concentrated in vacuo. The residue was purified using silica gel column chromatography eluting with 5% MeOH in DCM to afford the title compound as a beige solid (1 10 mg, 23%).
1H NMR (400MHz, DMSO-d6): δ 1.49-1.75 (m, 6H), 2.40-2.50 (m, 2H), 6.84 (t, 1 H), 6.91 (dd, 1 H), 7.02 (dd, 1 H), 9.71 (s, 1 H), 12.21 (s, 1 H) ppm
Preparation 24
1-(4-Chloro-3-hvdroxyphenyl)cvclopentanecarboxylic acid
The title compound was prepared according to the method described for Preparation 23 using 1-(4-chloro-3-methoxyphenyl)cyclopentanecarboxylic acid (Preparation 26) in 55% yield.
1H NMR (400MHz, CDCI3): δ 1.60-1.80 (m, 4H), 1.80-1.91 (m, 2H), 2.55-2.65 (m, 2H), 6.91 (dd, 1 H), 7.05 (d, 1 H), 7.22 (d, 1 H) ppm
Preparation 25
1-(3-Fluoro-4-methoxyphenyl)cvclopentanecarboxylic acid
A mixture of 1-(4-chloro-3-methoxyphenyl)cyclopentanecarbonitrile (Preparation 29, 1.13 g, 5.15 mmol) and sodium hydroxide (40% aqueous solution, 10 mL) in ethylene glycol (10 mL) was heated to 130°C for 48 hours. The reaction was cooled, diluted with water (20 mL) and extracted into EtOAc (2 x 75 mL). The combined organic extracts were washed with brine (3 x 50 mL), dried over magnesium sulphate and concentrated in vacuo to afford the title compound as an orange solid that was taken on directly to the next step (923 mg, 75%).
1H NMR (400MHz, CDCI3): δ 1.70-1.76 (m, 4H), 1.83-1.88 (m, 2H), 2.57-2.62 (m, 2H), 3.88 (s, 3H), 6.88 (t, 1 H), 7.08-7.13 (m, 2H) ppm
Preparation 26
1 -(4-Chloro-3-methoxyphenyl)cvclopentanecarboxylic acid
The title compound was prepared according to the method described for Preparation 25 using 1-(4-chloro-3-methoxyphenyl)cyclopentanecarbonitrile (Preparation 30) in 89% yield.
1H NMR (400MHz, CDCI3): δ 1.70-1.95 (m, 6H), 2.55-2.70 (m, 2H), 3.88 (s, 3H), 6.87- 6.95 (m, 2H), 7.23-7.30 (m, 1 H) ppm
Preparation 27
1-(5-Fluoropyridin-2-yl)cvclopentanecarboxylic acid
To a solution of cyclopentanecarbonitrile (1 g, 1 1 mmol) in THF (15 mL) at 15°C was added a 1 M solution of KHMDS in THF (15.8 mL, 15.8 mmol) and the mixture was stirred warming to room temperature for 15 minutes. The mixture was added to a solution of 2,5-difluoropyridine (1.81 g, 15.8 mmol) in THF (15 mL) and the reaction was stirred at room temperature for 1 hour. The reaction was quenched by the addition of saturated aqueous ammonium chloride solution and extracted into EtOAc. The organic layer was collected, washed with saturated aqueous sodium bicarbonate solution, dried over magnesium sulphate and concentrated in vacuo. The residue was purified using silica gel column chromatography eluting with 0-50% EtOAc in heptanes to afford the intermediate 1-(5-fluoropyridin-2-yl)cyclopentanecarbonitrile (1.64 g, 82%). The nitrile was dissolved in ethanol (15 mL), concentrated sulphuric acid was added (15 mL) and the reaction heated to 60°C for 18 hours. The reaction was cooled and 6M (aq) NaOH was added until pH=5. The solution was extracted into EtOAc, the organic extract was collected and concentrated in vacuo. The residue was dissolved in THF (2 mL) and MeOH (2 mL). 2M (aq) NaOH was added and the reaction heated to 100°C in a sealed vessel for 18 hours. The reaction was cooled to room temperature and concentrated in vacuo. The residue was partitioned between diethylether and 1 M NaOH. The aqueous layer was collected, acidified with cHCI to pH=4 and extracted into EtOAc. The organic layer was collected, washed with brine, dried over magnesium sulphate and concentrated in vacuo to afford the title compound (2.2 g >100%) that was used directly in the next reaction.
1H NMR (400MHz, CDCI3): δ 1.70-2.00 (m, 4H), 2.10-2.30 (m, 2H), 2.50-2.60 (m, 2H), 7.45-7.50 (m, 2H), 8.50 (s, 1 H) ppm
Preparation 28
1-r5-(Trifluoromethyl)pyridin-2-vncvclopropanecarboxylic acid
The title compound was prepared according to the method described for Preparation 27 using cyclopropylcarbonitrile and 2-fluoro-5-(trifluoromethyl)pyridine in 86% yield.1H NMR (400MHz, CDCI3): δ 1.50 (t, 2H), 2.25 (t, 2H), 7.10 (d, 1 H), 8.05 (d, 1 H), 8.80 (s, 1 H) ppm
Preparation 29
1-(3-Fluoro-4-methoxyphenyl)cyclopentanecarbonitrile
To a solution of 2-(3-fluoro-4-methoxyphenyl)acetonitrile (1 g, 6.05 mmol) and 1 ,4- dibromobutane (0.76 mL, 6.36 mmol) in DMF (30 mL) at 0°C was added sodium hydride (60% dispersion in oil, 726 mg, 18 mmol) portionwise. The reaction was allowed to warm to room temperature for 18 hours. The reaction was quenched by the addition of 2N HCI (aq) and extracted into EtOAc (2 x 50 mL). The combined organic layers were combined, washed with brine (50 mL), dried over magnesium sulphate and concentrated in vacuo. The residue was purified using silica gel column chromatography eluting with 0-50% EtOAc in heptanes to afford the title compound as an orange oil (1.19 g, 89%).
1H NMR (400MHz, CDCI3): δ 1.89-2.05 (m, 6H), 2.40-2.50 (m, 2H), 3.89 (s, 3H), 6.94 (t, 1 H), 7.12-7.25 (m, 2H) ppm
Preparation 30
1-(4-Chloro-3-methoxyphenyl)cyclopentanecarbonitrile
The title compound was prepared according to the method described for Preparation 29 using 2-(4-chloro-3-methoxyphenyl)acetonitrile in 1 12 % yield.1H NMR (400MHz, CDCI3): δ 1.85-2.15 (m, 6H), 2.40-2.60 (m, 2H), 3.93 (s, 3H), 6.94 (d, 1 H), 7.03 (s, 1 H), 7.34 (d, 1 H) ppm
Biological Assay
Cell Culture
Full-length human TRPA1 cDNA was subcloned into inducible vector pcDNA5/TO (Invitrogen, Carlsbad, CA). Stable clonal hTRPA1/293-T-REx cell lines (Invitrogen) were selected in 150 ug/ml hygromycin and 5 ug/ml blasticidin and cultured in DMEM/high glucose (HyClone, Logan, UT) media supplemented with 2 mM Na pyruvate, 10 mM HEPES, 10% fetal bovine serum and incubated at 37°C in 10% CO2. Culture selection was maintained with 75 μg/ml hygromycin and 5 μg/ml blasticidin. hTRPAI expression was induced with ^g/ml tetracycline 24 hours prior to electrophysiological recording.
Electrophysiological Recording
Poly-D-lysine coated cover slips containing hTRPAI /293-T-REx cells were placed in a bath on the stage of an inverted microscope and perfused (approximately 1 ml/min) with extracellular solution of the following composition: (in mM) 132 NaCI, 5.4 KCI, 1.8 CaCI2, 0.8 MgCI2, 10 HEPES, and 5 Glucose, pH adjusted to 7.4 with NaOH .
Pipettes were filled with an intracellular solution of the following composition: (in mM) 90 CsCI, 32 CsF, 10 HEPES, 10 EGTA, 10 Cs4 BAPTA, 1 MgCI2, 5 Mg ATP, and 0.1 Na GTP, pH adjusted to 7.3 with CsOH and had a resistance of 1 to 2 megaohms. The osmolarity of the extracellular and intracellular solutions was 300 mOsm/kg and 296 mOsm/kg, respectively. All recordings were made at room temperature (22-24°C) using AXOPATCH 200B amplifiers and PCLAMP software (Molecular Devices, Sunnyvale, CA). hTRPAI currents were measured using the whole-cell configuration of the patch-clamp technique. Uncompensated series resistance was typically 2 to 5 megaohms and >85% series resistance compensation was routinely achieved. As a result, voltage errors were negligible Current records were acquired at 4 KHz and filtered at 1 KHz. hTRPAI expressing cells were viewed under Hoffman contrast optics and placed in front of an array of flow pipes emitting either control or compound-containing extracellular solutions. All compounds were dissolved in dimethyl sulfoxide to make 10 mM stock solutions, which were then diluted into extracellular solution to attain the final concentrations desired. The final concentration of dimethyl sulfoxide (<0.1 % dimethyl sulfoxide) was found to have no significant effect on hTRPAI currents. To determine zero current base line a non-permeating solution was perfused periodically throughout the experiment. This solution consisted of: (in mM) 140 NMDG-CI, 10 MgCI2, 10 HEPES, 1.8 CaCI2, pH 7.4.
Compounds were tested for their ability to inhibit hTRPAI channels activated by bath perfusion of 150 μΜ cinnamaldehyde. Currents were monitored at 5 sec intervals with a voltage ramp/step protocol from a holding potential of +15 mV. This protocol consisted of a 150 msec ramp from -50 mV to +50 mV followed by a 100 msec step to +40 and a subsequent 100 msec step to -40 mV. The mean current during the -40 mV step was analyzed to evaluate compound effect. Compound effect (% inhibition) was determined by difference in current amplitude before and after application of test compounds, normalized to the zero current base line. For ease of comparison, "estimated IC-50" values were calculated from single point electrophysiology data by the following equation, (tested concentration, μΜ) X (100-% inhibition/% inhibition). Inhibition values <20% and >80% were excluded from the calculation.
In many cases electrophysiological assays were conducted with PatchXpress 7000 hardware and associated software (Molecular Devices, Sunnyvale, CA). For these experiments extracellular solutions were identical to those used for manual patch recording. The Ca2+ buffering capacity of the intracellular solution was increased to further prevent channel desensitization and was of the following composition: (in mM): 60 CsCI, 30 CsF, 10 HEPES, 1 MgCI2, 20 EGTA, 20 Cs4 BAPTA, 5 Mg ATP, and 0.1 Na GTP, pH adjusted to 7.3 with CsOH. To activate hTRPAI channels, 300 μΜ cinnamaldehyde was continually perfused in extracellular solution. hTRPAI cells were grown as above to 50% - 80% confluency and harvested by trypsinization. Trypsinized cells were washed and resuspended in extracellular buffer at a concentration of 1x106 cells/ml. The onboard liquid handling facility of the PatchXpress was used for dispensing cells and application of test compounds. Results
Example TrpA1 Inhibition
TrpA1 Inhibition
number EST ICso (μΜ)
Example EST ICso (μΜ)
number
Manual PatchXpress Manual PatchXpress Method Method Method Method
1 0.001 29 0.039
2 0.175 30 0.332
3 0.001 31 <0.3
4 0.162 32 0.205
5 0.063 <0.3 33 0.087
6 0.012 0.029 34 0.276
7 ND ND 35 0.054
8 0.061 36 0.133
9 0.006 37 0.004
10 0.019 38 0.069
11 0.493 39 0.014 0.060
12 0.163 40 0.121 0.474
13 0.006 41 0.007 0.053
14 0.141 42 0.007
15 0.262 0.905 43 0.091
16 >3 44 0.199 Example TrpA1 Inhibition
TrpA1 Inhibition
number EST ICso (μΜ)
Example EST ICso (μΜ)
number
Manual PatchXpress Manual PatchXpress Method Method Method Method
17 >3 45 0.002
18 0.193 46 ND ND
19 ND ND 47 0.1 13
20 0.166 48 <1 0.066
21 ND ND 49 0.043
22 0.044 50 0.135 0.127
23 0.138 51 0.285
24 0.097 52 0.256
25 0.092 53 <0.368
26 0.102 54 0.270
27 0.104 55 0.451
28 0.174
ND = not determined

Claims

Claims
1. A compound of fo
Figure imgf000083_0001
or a pharmaceutically acceptable salt thereof, wherein
RA and RB are each independently (Ci-C3)alkyl, or
RA and RB together are— (CH2)a— or— (CH2)20(CH2)2— ; selected from (CrC3)alkyl, (CrC3)polyfluoroalkyl, and
Figure imgf000083_0002
R1, R2, R3, R4, R5 and R6 are each independently selected from H, halo, OH,
CH3, CF3, OCH3, and CN;
X is H or OH;
Y is C(H) or N;
a is 2, 3, 4 or 5; and
n is 1 or 2.
2. The compound accordin or a pharmaceutically acceptable salt
thereof, wherein R is
Figure imgf000083_0003
3. The compound according to Claim 2 or a pharmaceutically acceptable salt thereof, wherein
RA and RB together are— (CH2)a— ; and Y is C(H).
4. The compound according to any one of Claims 1 to 3 or a pharmaceutically acceptable salt thereof, wherein
R1 is selected from H, F, CI, Br, CH3, CF3, OCH3, and CN; and
R2 and R3 are both H.
5. The compound according to any one of Claims 1 to 4 or a pharmaceutically acceptable salt thereof, wherein
R4 is selected from H, F, CI, Br, CH3, CF3, OCH3, and CN; and
R5 and R6 are both H.
6. The compound according to Claim 1 or a pharmaceutically acceptable salt thereof, wherein
A and RB together are— (CH2)a— ;
Figure imgf000084_0001
R1 is selected from H and F,
R2 and R3 are both H;
R4 is selected from H, F and CI;
R5 and R6 are both H; and
Y is C(H).
7. The compound according to claim 1 selected from:
A/-[2-(4-hydroxy-4-(trifluoromethyl)piperidin-1 -yl)-3-phenyl-propyl]-1-phenyl- cyclopentanecarboxamide,
1-(4-chlorophenyl)-/V-[2-(4-hydroxy-4-(trifluoromethyl)piperidin-1-yl)-3- phenylpropyl]- cyclopentanecarboxamide,
1-(4-chlorophenyl)-N-{2-[4-hydroxy-4-(trifluoromethyl)piperidin-1-yl]-3- phenylpropyl}cyclopentanecarboxamide,
1-(4-chlorophenyl)-N-{2-[4-hydroxy-4-(trifluoromethyl)piperidin-1-yl]-3- phenylpropyl}cyclopropanecarboxamide,
1-(4-chlorophenyl)-N-{3-(4-cyanophenyl)-2-[4-hydroxy-4- (trifluoromethyl)piperidin-1-yl]propyl}cyclopentanecarboxamide,
1-(4-chlorophenyl)-N-{3-(4-fluorophenyl)-2-[4-hydroxy-4- (trifluoromethyl)piperidin-1-yl]propyl}cyclopentanecarboxamide, and
1-(4-fluorophenyl)-/V-[2-(4-hydroxy-4-(trifluoromethyl)piperidin-1-yl)-3- phenylpropyl]cyclopentanecarboxamide;
or a pharmaceutically acceptable salt thereof.
8. The compound according to claim 1 that is 1-(4-chlorophenyl)-/V-[2-(4-hydroxy-4- (trifluoromethyl)piperidin-1-yl)-3-phenylpropyl]cyclopentanecarboxamide, or a pharmaceutically acceptable salt thereof.
9. The compound according to claim 8 that is 1-(4-chlorophenyl)-/V-{(2f?)-[2-(4- hydroxy-4-(trifluoromethyl)piperidin-1-yl)-3-phenylpropyl]}cyclopentane- carboxamide, or a pharmaceutically acceptable salt thereof.
10. The compound according to claim 8 that is 1-(4-chlorophenyl)-/V-{(2S)-[2-(4- hydroxy-4-(trifluoromethyl)piperidin-1-yl)-3-phenylpropyl]}cyclopentane- carboxamide, or a pharmaceutically acceptable salt thereof.
11. A compound according to any one of claims 1 to 10 for use as a medicament.
12. The compound according to claim 11 for use in the treatment of pain.
13. The compound according to claim 11 for use in the treatment of pruritus.
14. A pharmaceutical composition comprising a compound according to any one of claims 1 to 10 and at least one pharmaceutically acceptable excipient.
15. The pharmaceutical composition according to claim 14, further comprising a second pharmaceutically active agent.
16. A method of treating pain comprising the administration to a subject in need of such treatment of an effective amount of a compound according to any one of claims 1 to 10.
17. A method of treating pruritus comprising the administration to a subject in need of such treatment of an effective amount of a compound according to any one of claims 1 to 10.
18. The use of a compound according to any one of claims 1 to 10 for the
manufacture of a medicament for treating pain.
19. The use of a compound according to any one of claims 1 to 10 for the
manufacture of a medicament for treating pruritus.
20. The use of a compound according to any one of claims 1 to 10 for treating pain.
21. The use of a compound according to any one of claims 1 to 10 for treating
pruritus.
PCT/IB2015/0578842014-10-282015-10-14N-(2-alkyleneimino-3-phenylpropyl)acetamide compounds and their use against pain and pruritus via inhibition of trpa1 channelsWO2016067143A1 (en)

Applications Claiming Priority (2)

Application NumberPriority DateFiling DateTitle
US201462069457P2014-10-282014-10-28
US62/069,4572014-10-28

Publications (1)

Publication NumberPublication Date
WO2016067143A1true WO2016067143A1 (en)2016-05-06

Family

ID=54478183

Family Applications (1)

Application NumberTitlePriority DateFiling Date
PCT/IB2015/057884WO2016067143A1 (en)2014-10-282015-10-14N-(2-alkyleneimino-3-phenylpropyl)acetamide compounds and their use against pain and pruritus via inhibition of trpa1 channels

Country Status (1)

CountryLink
WO (1)WO2016067143A1 (en)

Cited By (4)

* Cited by examiner, † Cited by third party
Publication numberPriority datePublication dateAssigneeTitle
WO2018109155A1 (en)2016-12-162018-06-21Galderma Research & DevelopmentTrpa1 antagonists for use in the treatment of atopic dermatitis
CN112867705A (en)*2018-04-042021-05-28埃皮欧黛公司Opioid receptor modulators and products and methods related thereto
WO2022058946A1 (en)2020-09-182022-03-24Université Grenoble AlpesAstrocytic trpa1 channel inhibition as a novel neuroprotective therapeutic target in the prodromal phases of alzheimer's disease
IT202100015098A1 (en)2021-06-092022-12-09Flonext S R L TRPA1 CHANNEL ANTAGONIST COMPOUND FOR USE IN DEGENERATIVE DISEASES OF THE RETINA

Citations (10)

* Cited by examiner, † Cited by third party
Publication numberPriority datePublication dateAssigneeTitle
WO1991011172A1 (en)1990-01-231991-08-08The University Of KansasDerivatives of cyclodextrins exhibiting enhanced aqueous solubility and the use thereof
WO1994002518A1 (en)1992-07-271994-02-03The University Of KansasDerivatives of cyclodextrins exhibiting enhanced aqueous solubility and the use thereof
WO1998055148A1 (en)1997-06-051998-12-10Janssen Pharmaceutica N.V.Pharmaceutical compositions comprising cyclodextrins
WO2000035298A1 (en)1996-11-272000-06-22Wm. Wrigley Jr. CompanyChewing gum containing medicament active agents
US6106864A (en)1995-09-152000-08-22Pfizer Inc.Pharmaceutical formulations containing darifenacin
WO2008118758A1 (en)2007-03-232008-10-02Icagen, Inc.Inhibitors of ion channels
WO2010079443A1 (en)2009-01-122010-07-15Pfizer LimitedSulfonamide derivatives
EP2520566A1 (en)*2011-05-062012-11-07Orion CorporationNew Pharmaceutical Compounds
WO2014056958A1 (en)*2012-10-122014-04-17F. Hoffmann-La Roche AgSubstituted phenylcarbamate compounds
WO2014060341A1 (en)*2012-10-162014-04-24F. Hoffmann-La Roche AgSubstituted carbamate compounds and their use as transient receptor potential (trp) channel antagonists

Patent Citations (10)

* Cited by examiner, † Cited by third party
Publication numberPriority datePublication dateAssigneeTitle
WO1991011172A1 (en)1990-01-231991-08-08The University Of KansasDerivatives of cyclodextrins exhibiting enhanced aqueous solubility and the use thereof
WO1994002518A1 (en)1992-07-271994-02-03The University Of KansasDerivatives of cyclodextrins exhibiting enhanced aqueous solubility and the use thereof
US6106864A (en)1995-09-152000-08-22Pfizer Inc.Pharmaceutical formulations containing darifenacin
WO2000035298A1 (en)1996-11-272000-06-22Wm. Wrigley Jr. CompanyChewing gum containing medicament active agents
WO1998055148A1 (en)1997-06-051998-12-10Janssen Pharmaceutica N.V.Pharmaceutical compositions comprising cyclodextrins
WO2008118758A1 (en)2007-03-232008-10-02Icagen, Inc.Inhibitors of ion channels
WO2010079443A1 (en)2009-01-122010-07-15Pfizer LimitedSulfonamide derivatives
EP2520566A1 (en)*2011-05-062012-11-07Orion CorporationNew Pharmaceutical Compounds
WO2014056958A1 (en)*2012-10-122014-04-17F. Hoffmann-La Roche AgSubstituted phenylcarbamate compounds
WO2014060341A1 (en)*2012-10-162014-04-24F. Hoffmann-La Roche AgSubstituted carbamate compounds and their use as transient receptor potential (trp) channel antagonists

Non-Patent Citations (30)

* Cited by examiner, † Cited by third party
Title
"Bioreversible Carriers in Drug Design", 1987, PERGAMON PRESS
"Remington's Pharmaceutical Sciences", 1995, MACK PUBLISHING COMPANY
AZIZ ET AL., DIG DIS, vol. 27, no. 1, 2009, pages 31 - 41
BAUTISTA, D.M. ET AL.: "TRPA1: A Gatekeeper for Inflammation", ANNU. REV. PHYSIOL., vol. 75, 2013, pages 181 - 200
BIELEFELDT; GEBHART: "Wall and Melzack's Textbook of Pain", 2006
BISHNOI, M.; PREMKUMAR, L.S.: "Changes in TRP Channels Expression in Painful Conditions", OPEN PAIN JOURNAL, vol. 6, no. 1, 2013, pages 10 - 22
BREDERSON, J.-D. ET AL.: "Targeting TRP channels for pain relief", EUR. J. PHARMACOL., vol. 716, 2013, pages 61 - 76
DWORKIN, AM J MED, vol. 122, 2009, pages S1 - S2
E. L. ELIEL; S. H. WLEN: "Stereochemistry of Organic Compounds", 1994, WILEY
FINNIN; MORGAN, J PHARM SCI, vol. 88, no. 10, October 1999 (1999-10-01), pages 955 - 958
GEBER ET AL., AM J MED, vol. 122, 2009, pages S3 - S12
H BUNDGAARD: "Design of Prodrugs", 1985, ELSEVIER
H. LIEBERMAN; L. LACHMAN: "Pharmaceutical Dosage Forms: Tablets", vol. 1, 1980, MARCEL DEKKER
HAANPAA ET AL., AM J MED, vol. 122, 2009, pages S13 - S21
HALEBLIAN, J PHARM SCI, vol. 64, no. 8, August 1975 (1975-08-01), pages 1269 - 1288
K. R. MORRIS: "Polymorphism in Pharmaceutical Solids", 1995, MARCEL DEKKER
LAWRENCE ET AL., ARTHRITIS RHEUM, vol. 58, 2008, pages 15 - 35
LIANG; CHEN, EXPERT OPINION IN THERAPEUTIC PATENTS, vol. 11, no. 6, 2001, pages 981 - 986
MCMAHON ET AL.: "Wall and Melzack's Textbook of Pain", 2006
MEYER ET AL.: "Wall and Melzack's Textbook of Pain", 2006
N. H. HARTSHORNE; A. STUART: "Crystals and the Polarizing Microscope", 1970, EDWARD ARNOLD
O. ALMARSSON; M. J. ZAWOROTKO, CHEM COMMUN, vol. 17, 2004, pages 1889 - 1896
RADRESA, O. ET AL.: "Roles of TRPA 1 in Pain Pathophysiology and Implications for the Development of a New Class of Analgesic Drugs", OPEN PAIN JOURNAL, vol. 6, no. 1, 2013, pages 137 - 153
STAHL; WERMUTH: "Handbook of Pharmaceutical Salts: Properties, Selection, and Use", 2002, WILEY-VCH
T HIGUCHI; W STELLA: "Pro-drugs as Novel Delivery Systems", vol. 14, ACS SYMPOSIUM SERIES
THEODORA W GREENE; PETER G M WUTS: "Greene's Protective Groups in Organic Synthesis", 2006, JOHN WILEY AND SONS, article "Protection for the Amino Group"
TOTH, B.I.; BIRO, T.: "TRP Channels and Pruritus", OPEN PAIN JOURNAL, vol. 6, no. 1, 2013, pages 62 - 80
VERMA ET AL., PHARMACEUTICAL TECHNOLOGY ON-LINE, vol. 25, no. 2, 2001, pages 1 - 14
WOOLF, J CLIN INVEST, vol. 120, 2010, pages 3742 - 3744
WOOLF; SALTER, SCIENCE, vol. 288, 2000, pages 1765 - 1768

Cited By (5)

* Cited by examiner, † Cited by third party
Publication numberPriority datePublication dateAssigneeTitle
WO2018109155A1 (en)2016-12-162018-06-21Galderma Research & DevelopmentTrpa1 antagonists for use in the treatment of atopic dermatitis
CN112867705A (en)*2018-04-042021-05-28埃皮欧黛公司Opioid receptor modulators and products and methods related thereto
WO2022058946A1 (en)2020-09-182022-03-24Université Grenoble AlpesAstrocytic trpa1 channel inhibition as a novel neuroprotective therapeutic target in the prodromal phases of alzheimer's disease
FR3114235A1 (en)2020-09-182022-03-25Université Grenoble Alpes INHIBITION OF ASTROCYTIC TRPA1 CHANNEL AS A NEW NEUROPROTECTIVE THERAPEUTIC TARGET IN THE PRODROMAL PHASES OF ALZHEIMER'S DISEASE
IT202100015098A1 (en)2021-06-092022-12-09Flonext S R L TRPA1 CHANNEL ANTAGONIST COMPOUND FOR USE IN DEGENERATIVE DISEASES OF THE RETINA

Similar Documents

PublicationPublication DateTitle
CA2850925C (en)(4-phenylimidazol-2-yl) ethylamine derivatives useful as sodium channel modulators
US9802945B2 (en)Imidazopyridazine derivatives as modulators of the GABAA receptor activity
US8927587B2 (en)Chemical compounds
US7649004B2 (en)Pyridine derivatives
US9085517B2 (en)Sulfonamide derivatives
EP2800740A1 (en)N-aminosulfonyl benzamides
CA2804351A1 (en)Chemical compounds
WO2012120398A1 (en)Aryl substituted carboxamide derivatives as trpm8 modulators
US20100240652A1 (en)Pyridine Derivatives as Sodium Channel Modulators
WO2016067143A1 (en)N-(2-alkyleneimino-3-phenylpropyl)acetamide compounds and their use against pain and pruritus via inhibition of trpa1 channels
CA3007595C (en)4-(biphen-3-yl)-1h-pyrazolo[3,4-c]pyridazine derivatives of formula (i) as gaba receptor modulators for use in the treatment of epilepsy and pain
US20090227680A1 (en)Amino Acid Derivatives
EP3148992A1 (en)Benzenesulfonamides useful as sodium channel inhibitors
WO2013093688A1 (en)Sulfonamide derivatives and use thereof as vgsc inhibitors
WO2016009296A1 (en)N-acylpiperidine ether tropomyosin-related kinase inhibitors

Legal Events

DateCodeTitleDescription
121Ep: the epo has been informed by wipo that ep was designated in this application

Ref document number:15791364

Country of ref document:EP

Kind code of ref document:A1

NENPNon-entry into the national phase

Ref country code:DE

122Ep: pct application non-entry in european phase

Ref document number:15791364

Country of ref document:EP

Kind code of ref document:A1


[8]ページ先頭

©2009-2025 Movatter.jp