Movatterモバイル変換


[0]ホーム

URL:


WO2016034203A1 - Method and device for automatically classifying heartbeats, computer program product and ecg device for carrying out the method - Google Patents

Method and device for automatically classifying heartbeats, computer program product and ecg device for carrying out the method
Download PDF

Info

Publication number
WO2016034203A1
WO2016034203A1PCT/EP2014/068534EP2014068534WWO2016034203A1WO 2016034203 A1WO2016034203 A1WO 2016034203A1EP 2014068534 WEP2014068534 WEP 2014068534WWO 2016034203 A1WO2016034203 A1WO 2016034203A1
Authority
WO
WIPO (PCT)
Prior art keywords
qrs
heartbeat
sequence
decision tree
template
Prior art date
Application number
PCT/EP2014/068534
Other languages
German (de)
French (fr)
Inventor
Roger Abächerli
Remo Leber
Ramun SCHMID
Johann-Jakob Schmid
Original Assignee
Schiller Ag
Priority date (The priority date is an assumption and is not a legal conclusion. Google has not performed a legal analysis and makes no representation as to the accuracy of the date listed.)
Filing date
Publication date
Application filed by Schiller AgfiledCriticalSchiller Ag
Priority to PCT/EP2014/068534priorityCriticalpatent/WO2016034203A1/en
Publication of WO2016034203A1publicationCriticalpatent/WO2016034203A1/en

Links

Classifications

Definitions

Landscapes

Abstract

The invention relates to a method and a device for automatically classifying heartbeats. A distribution into two or more heartbeat categories is carried out. In a first step, the QRS sequence of an individual beat is compared to the QRS templates of at least one heartbeat category. When a correlation threshold is exceeded, the QRS sequence is assigned to this first heartbeat category. When same falls below the correlation threshold, the QRS sequence is classified using a decision tree. The decision tree is based on characteristics of the individual beat, wherein these characteristics are factored in individually and/or in combination when using the decision tree.

Description

Verfahren und Vorrichtung zur automatischen Klassifikation von Herzschlägen, Computerprogrammprodukt und EKG-Gerät zur Durchführung des Verfahrens Die vorliegende Erfindung betrifft ein Verfahren und eine Vor¬ richtung zur automatischen Klassifikation von Herzschlägen, sowie ein Computerprogrammprodukt und ein EKG-Gerät zur Durchfüh¬ rung des Verfahrens gemäss den Oberbegriffen der unabhängigen Patentansprüche .Method and apparatus for automatic classification of heart beats, computer program product and ECG device for performing the method The present invention relates to a method and an on¬ direction for the automatic classification of heart beats, and a computer program product and an ECG device for imple¬ out the method according to the preambles of the independent claims.
Im täglichen klinischen Einsatz von EKG-Monitoren ist es für den Anwender wichtig, dass irreguläre und insbesondere supraventri¬ kuläre und ventrikuläre Herzschläge korrekt detektiert und die allenfalls erforderlichen Alarme zuverlässig ausgelöst werden.In daily clinical use of ECG monitors, it is important for the user that irregular and, in particular supraventri¬ lar and ventricular heart beats correctly detected and any required alarms are reliably triggered.
US 5,817,027 offenbart ein Verfahren zur Klassifikation von Herzschlägen, wobei die Herzschläge in zumindest vier Hauptklas¬ sen unterteilt werden. Die Herzschläge werden iterativ mit mehreren Templates solange verglichen, bis eine minimale Flächen- differenz zwischen dem Signal des Herzschlages und dem Template einen Schwellwert erreicht. Falls dieser Schwellwert bei keinem der Templates erreicht wird, wird ein neues Template erstellt. Dieses Verfahren ist zeitaufwändig und bei einer Vielzahl von unterschiedlichen oder irregulären Einzelschlägen des Herzens lässt die Genauigkeit nach, da jeweils immer neue Templates er¬ stellt werden und seit längerem bestehende Templates überschrie¬ ben werden. Ebenfalls wird durch häufige Iterationen die Ausgabe der Klassifizierung verzögert. Es ist Aufgabe der Erfindung, diese und weitere Nachteile desUS 5,817,027 discloses a method for classification of heart beats, the heart beats are divided into at least four main Klas¬ sen. Heartbeats are iteratively compared with multiple templates until a minimum area difference between the heartbeat signal and the template reaches a threshold. If this threshold is not reached for any of the templates, a new template is created. This method is time consuming and at a plurality of different single or irregular beats of the heart, the accuracy decreases, because each will always new templates it provides¬ and has long existing templates on cried¬ ben. Also, frequent iterations delay the output of the classification. It is an object of the invention to overcome these and other disadvantages of
Standes der Technik zu beheben. Insbesondere soll ein Verfahren und eine Vorrichtung bereitgestellt werden, welche es ermög¬ licht, vielerlei Arten von Herzschlägen zu klassifizieren und dabei schnell und mit hoher Genauigkeit arbeitet. Eine nachträg¬ liche manuelle Bearbeitung soll reduziert werden. Insbesondere soll auch beispielsweise die automatische Auswertung von EKG- Langzeitaufnahmen, wie z.B. Holter EKG, Ruhe-Rhythmen oder Ruhe- EKGs erleichtert werden. Dies erfordert eine zuverlässige auto¬ matische Klassifikation der Herzschläge.State of the art remedy. In particular, a method and apparatus to be provided which light it¬ made to classify many types of heart beats and works fast and with high accuracy. A nachträg¬ Liche manual processing is to be reduced. In particular, for example, the automatic evaluation of ECG long-term recordings, such as Holter ECG, resting rhythms or rest ECGs should be facilitated. This requires a reliable auto¬ matic classification of heartbeats.
Vorzugsweise soll ein Verfahren und eine Vorrichtung zur automa¬ tischen Klassifikation von insbesondere supraventrikulären und ventrikulären Herzschlägen im Elektrokardiogramm zur Verfügung gestellt werden, welche bevorzugt mit einer Verzögerung von ma¬ ximal einem Herzschlag arbeiten, wobei nach einer anfänglichen Lernphase die Klassifikation in vielen Fällen sogar unmittelbar nach der Detektion des Herzschlags ohne zusätzliche Verzögerung möglich sein soll.Preferably, a method and a device for automatic¬ tables classification should especially supraventricular and made ventricular heartbeats in the electrocardiogram are available which preferably ximal work with a delay of ma¬ a heartbeat, and after an initial learning phase, the classification in many cases even directly after the detection of the heartbeat should be possible without additional delay.
In die Klasse der supraventrikulären Herzschläge fallen alle prädominanten Herzschläge, Herzschläge mit Ursprung beim Sinus¬ knoten (Normalschläge) oder anderweitig innerhalb der Vorhöfe (supraventrikuläre Extrasystolen) bis hin zum AV-Knoten (Junkti- onale Schläge) . In die Klasse der ventrikulären Herzschläge fal¬ len alle nicht-prädominanten Herzschläge mit Ursprung in den Hauptkammern (ventrikuläre Extrasystolen) und die Fusionsschlä¬ ge, die durch eine Superposition von einem supraventrikulären und ventrikulären Schlag entstehen.All fall predominant heartbeats in the class of supraventricular heart beats, beats originating in the sinus node¬ (normal beats) or otherwise within the atria (supraventricular extrasystoles) to the AV node (Junkti- onal strokes). In the class of ventricular heartbeats fal¬ len all non-predominant heart beats originating in the ventricles (ventricular premature beats) and the Fusionsschlä¬ ge caused by a superposition of a supraventricular and ventricular beat.
Diese und weitere Aufgaben werden durch die in den unabhängigen Ansprüchen definierten Verfahren und Vorrichtungen gelöst. Weitere Ausführungsformen ergeben sich aus den abhängigen Patentan- Sprüchen.These and other objects are achieved by the methods and apparatus defined in the independent claims. Further embodiments emerge from the dependent patent claims.
Bei einem erfindungsgemässen Verfahren zur automatischen Klassifikation von Herzschlägen und insbesondere von supraventrikulä- ren und ventrikulären Herzschlägen wird eine Aufteilung der Herzschläge in zwei oder mehr Herzschlagklassen vorgenommen. Das Verfahren umfasst zumindest die SchritteIn a method according to the invention for the automatic classification of heartbeats and in particular of supraventricular ren and ventricular heartbeats, a division of the heartbeats in two or more heartbeat classes is made. The method comprises at least the steps
- Vergleich einer QRS-Sequenz eines Einzelschlages, vorzugsweise mittels Kreuzkorrelation, mit wenigstens einem bestehenden QRS Comparison of a QRS sequence of a single beat, preferably by cross-correlation, with at least one existing QRS
Template wenigstens einer ersten HerzschlagklasseTemplate of at least a first heartbeat class
- Zuordnung der QRS-Sequenz zu einer Herzschlagklasse beim Überschreiten einer Korrelationsschwelle zu dieser ersten Herzschlagklasse . Assignment of the QRS sequence to a heartbeat class when a correlation threshold to this first heartbeat class is exceeded.
Beim Unterschreiten der Korrelationsschwelle wird die QRS- Sequenz anschliessend mittels eines Entscheidungsbaumes klassi¬ fiziert. Der Entscheidungsbaum basiert auf einer Mehrzahl von Merkmalen des Einzelschlages. Diese Merkmale werden allein und/oder in Kombination bei der Anwendung des Entscheidungsbaumes einbezogen.When it falls below the correlation threshold the QRS sequence is then¬ fied classic means of a decision tree. The decision tree is based on a plurality of features of the single beat. These features are included alone and / or in combination in the application of the decision tree.
Unter Merkmalen des Einzelschlages werden hier und im Folgenden Merkmale verstanden, welche ebenfalls Merkmale der näheren Umge- bung des Einzelschlages aufweisen, wie beispielsweise den vor¬ gängigen oder nachfolgenden Schlagtyp, die aktuelle oder vorgängige Schlagkorrelation, Referenzwerte wie Dauer oder Amplitude der aktuellen oder vorgängigen QRS-Sequenz oder weitere spezifische Werte der aktuellen, nachfolgenden oder vorgängigen QRS- Sequenz .Among features of the individual stroke to be understood here and characteristics in the following, which bung also features the surrounding environ- of the single shock have, for example, the current or prior¬ subsequent blow type, the current or prior blow correlation reference values, such as duration or amplitude of the current or antecedent QRS Sequence or other specific values of the current, subsequent or previous QRS sequence.
In einem ersten Schritt kann damit ein neu detektierter Herzschlag einem bestehenden QRS Template zugeordnet werden, falls die Korrelationsschwelle überschritten wird. Dies ermöglicht eine schnelle und sichere Klassifizierung. Die QRS Templates sind eine limitierte Sammlung von Schlagmorphologien. Das wichtigste QRS Template ist der sogenannte prädominante Normal¬ schlag, vorliegend als Referenz-Template bezeichnet. Alle Herz- schlage, die diesem Referenz-Template zugeordnet werden können, sind automatisch ebenfalls Normalschläge. Daneben kann es weite¬ re QRS Templates geben, die anfangs noch nicht klassifiziert sind .In a first step, a newly detected heartbeat can thus be assigned to an existing QRS template if the correlation threshold is exceeded. This allows a fast and secure classification. The QRS templates are a limited collection of beat morphologies. The most important QRS template is the so-called predominant normal¬ strike, referred to herein as a reference template. All heart batches that can be assigned to this reference template are automatically also standard beats. In addition, there can be wide¬ re QRS templates, which are initially not yet classified.
Sie können in einer bevorzugten Ausführungsform erst eine Klassifizierung erhalten, wenn die ihnen zugeordneten Einzelschläge grossmehrheitlich beispielsweise als supraventrikulär ('Ν') oder ventrikulär ('V') klassifiziert worden sind. Die QRS Templates können nach einer anfänglichen Lernphase von beispielsweise 10s erstmals erstellt und anschliessend aufgrund der ihnen zugeord¬ neten Herzschläge laufend aufdatiert werden.In a preferred embodiment, they can only receive a classification if the individual strokes assigned to them have been largely classified, for example, as supraventricular ('Ν') or ventricular ('V'). The QRS templates can be created first and then because of them zugeord¬ Neten heartbeats continuously updated after an initial learning phase, for example, 10s.
Die Klassifizierung mittels eines zusätzlichen Entscheidungs¬ baums erlaubt es, einen Einzelschlag mit entsprechend gewünsch¬ ter Genauigkeit zu klassifizieren und in eindeutigen Fällen eine sehr schnelle Klassifizierung vorzunehmen. Je nach prägnanten Merkmalen der QRS-Sequenz ist es möglich, basierend auf unterschiedlichen Merkmalen eine Klassifizierung durchzuführen.The classification means of an additional decision¬ tree makes it possible to classify a single impact with correspondingly gewünsch¬ ter accuracy and make a very fast classification in clear cases. Depending on the distinctive features of the QRS sequence, it is possible to perform a classification based on different characteristics.
Der Entscheidungsbaum kann auf einem Satz von typischerweise 20 Merkmalen des aktuellen Herzschlages, des Referenz-Templates und deren Kombination basieren. Die Merkmale können sowohl in Alleinstellung als auch in Kombination von zwei oder mehr Merkmalen als potentielle Merkmale mit einbezogen werden. Merkmale mit höherer Aussagekraft können im Entscheidungsbaum mit einer höheren Gewichtung verwendet werden. Dies ermöglicht eine schnelle Klassifizierung eines Einzelschlages. Ein wie vorliegend beschriebener zweistufiger Aufbau der Klassifikation ermöglicht es, insbesondere nach einer anfänglichen Lernphase viele Herzschläge bereits in einem ersten Schritt zu klassifizieren. Dies ist z.B. für die meisten Normalschläge und monomorphe ventrikuläre Extrasystolen der Fall. Im Bedarfsfall kommt in einem zweiten Schritt der Entscheidungsbaum zum Einsatz, der mit einer geringen Verzögerung von einem einzigen Herzschlag eine robuste endgültige Klassifizierung vornimmt.The decision tree may be based on a set of typically 20 features of the current heartbeat, the reference template and their combination. The features may be included as potential features both alone and in combination of two or more features. Higher-significance features can be used in the decision tree with a higher weighting. This allows a quick classification of a single beat. A two-stage structure of the classification as described here makes it possible, especially after an initial learning phase, to classify many heartbeats in a first step. This is eg for most normal hits and monomorphic ventricular extrasystoles the case. If necessary, the decision tree is used in a second step, which makes a robust final classification with a small delay of a single heartbeat.
Vorzugsweise wird die QRS-Sequenz mittels des Entscheidungsbau¬ mes und/oder einer zusätzlichen Logik wie beispielsweise einem neuronalen Netzwerk, einer Fuzzy Logik oder K-Means Clustering in weitere Unterklassen unterteilt.The QRS sequence is preferably subdivided into further subclasses by means of the decisiontree and / or additional logic such as, for example, a neural network, a fuzzy logic or K-means clustering.
Dies ermöglicht es, eine feinere Unterteilung der Einzelschläge vorzunehmen. So ist es beispielsweise möglich, Einzelschläge die beispielsweise als prädominante Normalschläge klassifiziert wur¬ den, weiteren Kategorien zuzuordnen, beispielsweise aufgeteilt nach Vorzeitigkeit oder weiteren Eigenschaften.This makes it possible to make a finer subdivision of the single strokes. So it is possible, for example, single strokes, the WUR example, classified as a predominant normal beats¬ to assign other categories, for example, divided by prematurity or other properties.
Vorzugsweise wird die Klassifizierung der QRS-Sequenz an ein Ausgabegerät zur Anzeige weitergegeben. Die Ausgabe kann bei¬ spielsweise in Form einer Beschriftung oder mittels Einfärbung einer EKG-Kurve auf einem Bildschirm dargestellt werden.Preferably, the classification of the QRS sequence is forwarded to an output device for display. The output can be displayed in¬ example in the form of a label or by coloring an ECG waveform on a screen.
Somit ist es möglich, die unterschiedlichen Klassen einer beobachtenden Person, wie beispielsweise einem Pfleger oder Arzt, zur Beobachtung bereitzustellen. Ebenfalls möglich ist es, nur gewisse Klassen darzustellen, beispielsweise Klassen, die unmit¬ telbar auf lebensbedrohliche Arrhythmien hindeuten.Thus, it is possible to provide the different classes to an observing person, such as a caregiver or doctor, for observation. It is likewise possible to show only certain classes, such as classes that indicate UNMIT¬ telbar to life-threatening arrhythmias.
Es ist ebenfalls vorstellbar, mehrere nacheinander folgende QRS- Sequenzen zur Bestimmung einer Klassifikation des Herzrhythmus mittels eines weiteren Entscheidungsbaumes und/oder einer zu¬ sätzlichen Logik gemeinsam auszuwerten. Mit einer derartigen Auswertung ist eine Beurteilung des Herzrhythmus möglich. Dies ist insbesondere von Vorteil, da einzelne Unregelmässigkeiten oder zuweilen ein einzelner, abweichender Herzschlag durchaus nicht ungewöhnlich ist. Das Klassifizieren des Herzrhythmus ermöglicht somit eine generelle Aussage über den Zustand des Herzens.It is also conceivable to evaluate a plurality of successive QRS sequences to determine a classification of cardiac rhythm by means of a further decision tree and / or to¬ sätzlichen logic together. With such an evaluation, an evaluation of the heart rhythm is possible. This is particularly advantageous since individual irregularities or sometimes a single deviant heartbeat is not uncommon. The classification of the heart rhythm thus enables a general statement about the state of the heart.
Vorzugsweise wird mit den Eigenschaften des klassifizierten Einzelschlages das bestehende QRS-Template in der der Klassifizie- rung entsprechenden Klasse aufdatiert. Es ist ebenfalls möglich, auf der Basis der Klassifizierung ein neues QRS-Template zu er¬ stellen .Preferably, the properties of the classified single beat are used to update the existing QRS template in the class corresponding to the classification. It is also possible to make¬ on the basis of a new classification QRS template to it.
Ein bereits bestehendes QRS-Template kann somit noch weiter ver¬ feinert werden. Dies ist von Vorteil, da somit patientenspezifi¬ sche Templates generiert werden können, die eine individuelle Überwachung zulassen. Das Erstellen neuer Templates ermöglicht es ebenfalls, spezifische und individuelle Klassifizierungen vorzunehmen .An existing QRS template can thus further ver¬ be refined. This is advantageous since thus patientenspezifi¬ specific templates can be generated that allow individual monitoring. The creation of new templates also makes it possible to make specific and individual classifications.
Es ist ebenfalls möglich, mit einem erfindungsgemässen Verfahren eine QRS-Sequenz eines Einzelschlages aus einem bestehenden EKG zu klassifizieren. Dies ermöglicht eine spätere Auswertung eines EKGs.It is also possible with a method according to the invention to classify a QRS sequence of a single beat from an existing ECG. This allows a later evaluation of an ECG.
Ein weiterer Aspekt der vorliegenden Erfindung betrifft eine Vorrichtung zur automatischen Klassifikation von Herzschlägen im Elektrokardiogramm und insbesondere von supraventrikulären und ventrikulären Herzschlägen, insbesondere für ein wie vorliegend beschriebenes Verfahren. Die Vorrichtung umfasst eine Rechenano¬ rdnung zum Vergleich eines Herzschlages mit wenigstens einem bestehenden QRS-Template wenigstens einer Herzschlagklasse und zum Bestimmen zumindest eines Korrelationswertes zwischen dem QRS-Template und der QRS-Sequenz des Herzschlages. Die Vorrich¬ tung umfasst ein Klassifikationselement zur Zuordnung der QRS- Sequenz zu einer Klasse. Die Vorrichtung umfasst zur Klassifi- zierung der QSR-Sequenz ausserdem eine Rechenanordnung zurA further aspect of the present invention relates to a device for automatic classification of heartbeats in the electrocardiogram and in particular of supraventricular and ventricular heartbeats, in particular for a method as described herein. The apparatus comprises a Rechenano¬ rdnung for comparing a heart beat with at least one existing QRS template at least one heartbeat class and for determining at least one correlation value between the QRS template and the QRS sequence of the heartbeat. The Vorrich¬ tung comprises a classification element for allocating the QRS sequence to a class. The device also includes a computing arrangement for classifying the QSR sequence
Durchführung einer Klassifikation basierend auf einem Entscheidungsbaum. Der Entscheidungsbaum basiert auf einer Mehrzahl von Merkmalen des Einzelschlages wobei diese Merkmale allein Carrying out a classification based on a decision tree. The decision tree is based on a plurality of features of the single beat, these features alone
und/oder in Kombinationen der Merkmale bei der Anwendung des Entscheidungsbaums einbezogen werden. Typischerweise sind dieand / or in combinations of the features involved in the application of the decision tree. Typically, the
Rechenanordnungen durch eine gemeinsame Recheneinheit gebildet.Computer arrays formed by a common arithmetic unit.
Eine wie vorliegend beschriebene Vorrichtung ermöglicht es, eine Klassifikation sowohl in unmittelbarer Nähe zum Patienten als auch eine entfernte Überwachung und Klassifikation, beispielsweise in der Überwachungszentrale eines Spitales, vorzunehmen sowie die Klassifikation rasch und zuverlässig durchzuführen.A device as described herein makes it possible to carry out a classification both in the immediate vicinity of the patient and a remote monitoring and classification, for example in the monitoring center of a hospital, and to carry out the classification quickly and reliably.
Die Vorrichtung kann zur Unterteilung der QRS-Sequenz in Unter- klassen ausgebildet sein. Die Unterteilung in Unterklassen kann in einer gemeinsamen Recheneinheit oder in einer zusätzlichen Recheneinheit vorgenommen werden.The device can be designed to subdivide the QRS sequence into subclasses. The division into subclasses can be carried out in a common arithmetic unit or in an additional arithmetic unit.
Vorzugsweise umfasst die Vorrichtung eine Anzeigeeinheit und weiter bevorzugt einen Bildschirm zur Ausgabe oder Darstellung der Herzschlagklasse an den Anwender in Form einer Beschriftung oder mittels einer Einfärbung einer EKG-Kurve.Preferably, the device comprises a display unit and more preferably a screen for outputting or displaying the heartbeat class to the user in the form of a label or by means of a coloring of an ECG curve.
Es kann ebenfalls vorgesehen sein, dass die Vorrichtung eine zur Klassifikation eines mehrere QRS-Sequenzen enthaltenden Herzrhythmus ausgebildet ist. Es ist ebenfalls möglich, die Klassi¬ fikation in der gemeinsamen Recheneinheit oder in einer separaten Recheneinheit vorzunehmen. Ein weiterer Aspekt der Erfindung betrifft ein EKG-Gerät zur Durchführung eines wie vorliegend beschriebenen Verfahrens. Das EKG-Gerät umfasst vorzugsweise eine Vorrichtung wie vorliegend beschrieben.It can also be provided that the device is designed for the classification of a heart rhythm containing several QRS sequences. It is also possible to perform the classification¬ fication in the common processing unit or in a separate computing unit. Another aspect of the invention relates to an ECG device for carrying out a method as described herein. The ECG device preferably comprises a device as described herein.
Somit kann ein EKG-Gerät bereitgestellt werden, welches die Klassifizierung von Herzschlägen unmittelbar bei der Aufnahme des Signales erlaubt. Eine zusätzliche Vorrichtung oder externe Auswertung ist nicht nötig. Das EKG-Gerät kann in einen Patien¬ tenmonitor integriert sein.Thus, an ECG device may be provided which allows the classification of heartbeats immediately upon acquisition of the signal. An additional device or external evaluation is not necessary. The ECG device can be integrated into a patien¬ tenmonitor.
Ein weiterer Aspekt der Erfindung betrifft ein Computerprogrammprodukt zur automatischen Klassifikation von Herzschlägen, ins- besondere zum Durchführen eines wie vorliegend beschriebenen Verfahrens. Das Computerprogrammprodukt umfasst Softwareab¬ schnitte zur Bestimmung einer Korrelationsschwelle zwischen ei¬ ner QRS-Sequenz eines Einzelschlages und einem bestehenden QRS- Template zum Vergleich der QRS-Sequenz mit dem QRS-Template . Das Unterschreiten der Korrelationsschwelle veranlasst computerles¬ bare Programmmittel eines Computers, den aktuellen Herzschlag weiter in einem Entscheidungsbaum zu verarbeiten.Another aspect of the invention relates to a computer program product for the automatic classification of heartbeats, in particular for carrying out a method as described herein. The computer program product comprises Softwareab¬ sections for determining a correlation threshold between ei¬ ner QRS sequence of a single beat and a QRS existing template to compare the QRS-QRS sequence with the template.Falling below the correlation threshold causes computer readable program means of a computer to process the current heartbeat further in a decision tree.
Dies erlaubt die Umsetzung des Verfahrens in handelsüblichen Computern oder eine Implementierung in bestehenden Geräten.This allows the implementation of the method in commercial computers or an implementation in existing devices.
Im Folgenden wird ein Ausführungsbeispiel der Erfindung anhand einer Figur und mit Tabelle und Formeln detailliert beschrieben. Dabei zeigt im Blockdiagramm:In the following, an embodiment of the invention with reference to a figure and with table and formulas will be described in detail. The block diagram shows:
Fig. 1 das allgemeine erfindungsgemässe System Fig. 2 eine exemplarische Auswahl von Merkmalen eines Ent- scheidungsbaumsFig. 1, the general inventive system 2 shows an exemplary selection of features of a decision tree
Fig. 3 eine Visualisierung des Entscheidungsbaums auf Figur 23 shows a visualization of the decision tree on FIG. 2
Das Signal eines Herzschlages wird typischerweise über ein kon¬ ventionelles EKG-Gerät generiert. Elektroden werden auf der Oberfläche eines Patienten angebracht und Herzströme, welche im Herzen den Herzschlag initiieren, gemessen und Signale gene- riert. Diese Signale können weiterverarbeitet werden.The signal of a heartbeat is typically generated via a con ventional¬ ECG device. Electrodes are placed on the surface of a patient and heart waves, which initiate the heartbeat in the heart, are measured and signals are generated. These signals can be processed further.
Eine erfindungsgemässe Schaltung zur Auswertung eines EKG- Signals gemäss Figur 1 besteht aus einem QRS Template Matcher 1, einem ersten Klassifikator 2, einem Decision Tree Evaluator 3 und einem zweiten Klassifikator 4. Diese Bestandteile können als eine oder mehrere Rechenanordnungen oder als eine gemeinsame Recheneinheit ausgebildet sein. Der QRS Template Matcher 1 ver¬ sucht, einen neu detektierten Herzschlag einem bestehenden QRS Template zuzuordnen. Es werden die maximalen Kreuzkorrelations- koeffizienten zwischen dem neuen Herzschlag und allen bestehenden QRS Templates berechnet. Wenn der Kreuzkorrelationskoeffi¬ zient beim am besten passenden QRS Template (d.h. bei dem Template, bei dem der Kreuzkorrelationskoeffizient am grössten ist) eine fixe oder allenfalls auch variable Korrelationsschwelle übertrifft, dann wird der neue Herzschlag diesem QRS Template zugeordnet. Andernfalls kann der neue Herzschlag keinem beste¬ henden QRS Template zugeordnet werden. In diesem Fall kann ein neues QRS Template angelegt werden, sofern die maximale Anzahl möglicher QRS Templates noch nicht erreicht ist.A circuit according to the invention for evaluating an ECG signal according to FIG. 1 consists of a QRS template matcher 1, a first classifier 2, a decision tree evaluator 3 and a second classifier 4. These components can be designed as one or more arithmetic units or as a common arithmetic unit be. The QRS Template Matcher 1 ver¬ tries to assign a newly detected heartbeat to an existing QRS template. The maximum cross-correlation coefficients between the new heartbeat and all existing QRS templates are calculated. When the Kreuzkorrelationskoeffi¬ coefficient at best matching QRS template (ie, the template in which the cross-correlation coefficient is highest) exceeds a fixed or possibly also variable correlation threshold, then the new heart beat is included in this QRS template. Otherwise, the new heartbeat can not be assigned to best¬ Henden QRS template. In this case, a new QRS template can be created, provided the maximum number of possible QRS templates has not yet been reached.
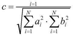
Der QRS Template Matcher 1 verwendet mehrere Kreuzkorrelatoren zur Bestimmung des am besten passenden QRS Templates. Die Kreuzkorrelationsberechnung erfolgt nicht direkt auf den einzelnen EKG-Ableitungen, sondern auf der absoluten räumlichen Geschwindigkeit (ASV) . Dazu wird aus dem Elektrokardiogramm in einem ersten Schritt das approximierte Vektorkardiogramm berechnet, d.h. die möglichst orthogonalen Komponenten x, y, z. Die ASV ergibt sich anschliessend als Betrag des 3-dimensionalen Gradi¬ enten im Vektorkardiogramm, z.B. gemäss den nachfolgenden Formeln. asv = -^ x2 + Ay2 + Az2 Die Kreuzkorrelation zwischen einer QRS-Sequenz und einem QRS- Template erfolgt typischerweise in einem Fenster von 180ms, be¬ ginnend 50ms vor der ersten QRS-Welle und endend 130ms nach der ersten QRS-Welle eines Einzelschlages und des jeweiligen Templa¬ tes. Die Zeitfenster werden zum Finden des Korrelationsmaximums in kleinen Schritten bis maximal 22ms nach links und 22ms nach rechts geschoben. Zum Berechnen der Kreuzkorrelationskoeffizienten werden jeweils in an sich bekannter Weise die Mittelwerte der gefensterten Signale entfernt, die Kreuzkorrelation berechnet und normiert mit der Wurzel des Produkts der Leistung der beiden beteiligten Signale. Der Kreuzkorrelationskoeffizient liegt zwischen -1 und +1. Benötigt werden nur Werte aus dem po¬ sitiven Bereich zwischen 0 und 1, d.h. zwischen 0% und 100%. Negative Werte werden auf Null gesetzt. Dabei ist c der Kreuz¬ korrelationskoeffizient und a und b die beiden zu vergleichenden Signale mit Fensterlänge N.The QRS Template Matcher 1 uses several cross correlators to determine the best matching QRS template. The cross-correlation calculation is not done directly on the individual ECG leads, but at the absolute spatial velocity (ASV). For this purpose, the approximated vector cardiogram is calculated from the electrocardiogram in a first step, ie the components orthogonal as possible x, y, z. The ASV arises then as the amount of 3-dimensional vectorcardiogram Gradi¬ ducks in, for example, according to the following formulas. ASV = - ^ x2 + Ay2 + Az2 The cross-correlation between a sequence and a QRS-QRS template typically takes place in a window of 180ms, be¬ ginnend 50ms before the first QRS wave and ending 130 ms after the first QRS wave of a single beat and the respective Templa¬ tes. The time windows are shifted to the left and 22ms to the right in small increments up to a maximum of 22 ms to find the correlation maximum. In order to calculate the cross-correlation coefficients, the mean values of the windowed signals are each removed in a manner known per se, the cross-correlation is calculated and normalized with the root of the product of the power of the two signals involved. The cross-correlation coefficient is between -1 and +1. Are only required values from the po¬ sitiven range between 0 and 1, that is between 0% and 100%. Negative values are set to zero. Here, c is the cross¬ correlation coefficient and a and b are the two signals to be compared with window length N.
N
Figure imgf000012_0001
N
Figure imgf000012_0001
Der maximale gefundene Kreuzkorrelationskoeffizient ist massge- bend für die Auswahl des am besten passenden QRS Templates. Eine definitive Zuordnung findet aber nur statt, wenn der maximale Kreuzkorrelationskoeffizient die Korrelationsschwelle über¬ trifft. Die Korrelationsschwelle ist entweder fix, z.B. 96%, oder variabel. Der zulässige Wertebereich der Korrelations- schwelle liegt vorzugsweise zwischen 80% und 98%.The maximum found cross correlation coefficient is decisive for the selection of the best matching QRS template. A however, definitive assignment only takes place if the maximum cross-correlation coefficientexceeds the correlationthreshold . The correlation threshold is either fixed, eg 96%, or variable. The permissible value range of the correlation threshold is preferably between 80% and 98%.
Wird ein neuer Einzelschlag definitiv einem QRS Template zuge¬ ordnet, dann wird das betreffende QRS Template mit Hilfe des neuen Einzelschlages aufdatiert. Dies wird vorzugsweise mit dem Verfahren der inkrementellen Mittelung gemacht, d.h. Anwendung einer fixen kleinen Schrittweite in die Richtung des neuen Einzelschlages. Dies ist ein robustes, nicht lineares Verfahren, das weitgehend immun ist gegenüber Artefakten im Einzelschlag.A new single impact definitely a QRS template supplied assigns¬, then the question QRS template is updated with the new single shock. This is preferably done with the method of incremental averaging, ie, applying a fixed small increment in the direction of the new single beat. This is a robust, non-linear process that is largely immune to single-art artefacts.
Wenn ein neuer Einzelschlag mittels Kreuzkorrelation keinem bestehenden QRS Template zugeordnet werden kann, dann kann ein neues QRS Template angelegt werden, sofern die maximale Anzahl möglicher QRS Templates noch nicht erreicht ist. Die maximale Anzahl QRS Templates ist z.B. auf eine Anzahl von 8 begrenzt, um den Rechenaufwand in sinnvollen Grenzen zu halten. Es ist auch ein Verfahren denkbar, wo QRS Templates nach einer gewissen unbenutzten Zeit gelöscht oder überschrieben werden können. Eine komplett neue Lernphase kann jederzeit manuell oder, z.B. nach Signalverlust, auch automatisch initiiert werden. Dann werden alle vorhandenen QRS Templates gelöscht und am Ende der Lernpha¬ se von 10s werden ein neues Referenz-Template und allfällige weitere QRS Templates generiert.If a new single stroke can not be assigned to an existing QRS template by means of cross-correlation, then a new QRS template can be created, provided that the maximum number of possible QRS templates has not yet been reached. For example, the maximum number of QRS templates is limited to a number of 8 in order to keep the computational effort within reasonable limits. It is also conceivable a method where QRS templates can be deleted or overwritten after a certain unused time. A completely new learning phase can be initiated manually at any time or automatically, eg after signal loss. Then all existing QRS templates are deleted and at the end of Lernpha¬ se 10s a new reference template and any other QRS generated templates.
Am Anfang des Betriebes der Vorrichtung oder des Verfahrens bei einem Patienten sind keine Templates vorhanden. Typischerweise weisen die meisten Patienten einen regelmässigen Pulsschlag auf. Somit kann bei Inbetriebnahme des Gerätes über einen Zeitraum von beispielsweise 10s bis 20s eine Detektion der Herzschläge erfolgen, wobei die Herzschläge, welche am häufigsten auftreten als Normalschläge klassifiziert werden. Somit ist ein erstes Referenztemplate geschaffen. Somit kann der erste Klassifikator 2 bereits eine abschliessende Klassifizierung vornehmen, wenn der neue Herzschlag dem prädominanten Normalschlag, dem sog. Referenz-Template, zugeordnet wer¬ den konnte. Es ist ebenfalls eine Klassifizierung möglich, wenn der neue Herzschlag zu einem anderen QRS Template passt und die- ses seinerseits bereits eine Klassifizierung besitzt. Ein QRSAt the beginning of the operation of the device or procedure in a patient, there are no templates. Typically, most patients have a regular pulse rate. Thus, upon startup of the device over a period of, for example, 10s to 20s, a detection of heartbeats take place, with the heartbeats that occur most frequently being classified as normal beats. Thus, a first reference template is created. Thus, the first classifier 2 may make a final classification already when the new heartbeat associated with the predominant normal beat, the so-called. Reference template, who could¬. Classification is also possible if the new heartbeat matches another QRS template and it already has a classification. A QRS
Template bekommt beispielsweise dann eine Klassifizierung, wenn die ihm in der vorangehenden Zeit, z.B. die letzten zwei Minuten, zugeordneten Herzschläge mit grosser Mehrheit, z.B. mit 2/3-Mehrheit, einer Schlagklasse zugeordnet werden konnte. Die Templates können somit patientenspezifisch angepasst werden.Template, for example, gets a classification if it has been classified in the previous time, e.g. the last two minutes, associated large majority heartbeats, e.g. could be assigned a strike class with a 2/3 majority. The templates can thus be adapted to the patient.
Insbesondere ist es möglich, wiederkehrende QRS-Sequenzen einer patientenspezifischen Herzschlagklasse zuzuordnen. Wenn der neue Herzschlag keinem bestehenden QRS Template zugeordnet werden kann oder wenn das passende QRS Template noch keine Klassifizie- rung hat, dann wird die Klassifizierung erst in der nachfolgenden zweiten Stufe mittels des Entscheidungsbaumes (Decision Tree Evaluator) vorgenommen.In particular, it is possible to associate recurrent QRS sequences with a patient-specific heartbeat class. If the new heartbeat can not be assigned to an existing QRS template, or if the matching QRS template does not yet have a classification, then the classification is only made in the subsequent second stage by means of the decision tree evaluator.
Der erste Klassifikator 2 klassifiziert einen neuen Herzschlag beispielsweise in einer nachfolgend beschriebenen konkreten Aus¬ führungsform als supraventrikulär ('Ν'), ventrikulär ('V') oder fragwürdig ('Q') . Die Entscheidung 'N' fällt, wenn der neue Herzschlag dem Referenz-Template oder einem anderen QRS Template der Klasse 'N' zugeordnet werden kann. Die Entscheidung 'V fällt, wenn der neue Herzschlag einem QRS Template der KlasseThe first classifier 2 classifies a new heartbeat, for example, in a specificembodiment described below as supraventricular ('Ν'), ventricular ('V') or questionable ('Q'). The decision 'N' is made if the new heartbeat can be assigned to the reference template or another QRS template of class 'N'. The decision 'V drops when the new heartbeat is a QRS template of the class
'V zugeordnet werden kann. Die Entscheidung 'Q' fällt, wenn der neue Herzschlag keinem QRS Template oder nur einem QRS Template ohne Klasse zugeordnet werden kann. Ein QRS Template hat die Klasse 'Ν', wenn es sich entweder um das Referenz-Template han¬ delt oder wenn in den letzten zwei Minuten mindestens 3 Einzelschläge zugeordnet und diese mit mehr als 2/3-Mehrheit als 'N' klassifiziert wurden. Ein QRS Template hat die Klasse 'V, wenn in den letzten zwei Minuten mindestens 3 Einzelschläge zugeord¬ net und diese mit mehr als 2/3-Mehrheit als 'V klassifiziert wurden. Ein QRS Template hat keine Klasse, wenn in den letzten zwei Minuten weniger als 3 Einzelschläge einer einheitlichen Klasse zugeordnet wurden oder wenn keine klare Mehrheit für 'N' oder 'V ersichtlich ist.'V can be assigned. The decision 'Q' is made if the new heartbeat can not be assigned to a QRS template or just a QRS template without a class. A QRS template has the Class 'Ν' if it were classified with more than 2/3 majority than 'N' either to the reference template han¬ punched or when associated with at least 3 single strokes in the last two minutes and this. A QRS template has the class 'V when in the last two minutes at least three single strokes zugeord¬ net and this with more than 2/3 majority as' classified V. A QRS template does not have a class if less than 3 single strikes have been assigned to a single class within the last two minutes, or if no clear majority for 'N' or 'V is apparent.
Der Entscheidungsbaum (Decision Tree Evaluator) 3 arbeitet mit einem Satz von typischerweise 20 Merkmalen des aktuellen Herzschlages, des Referenz-Templates und deren Kombination. Wenn der aktuelle Herzschlag einem QRS Template zugeordnet werden konnte, dann können anstelle der Messgrössen des aktuellen Herzschlags alternativ auch diejenigen des zugeordneten QRS Templates zur Klassifizierung des Templates verwendet werden. Diese sind in vielen Fällen robuster und die Klassifikationsergebnisse werden dadurch noch stabiler und besser.The decision tree evaluator 3 operates on a set of typically 20 features of the current heartbeat, the reference template and their combination. If the current heartbeat could be assigned to a QRS template, then instead of the measured variables of the current heartbeat, alternatively those of the assigned QRS template can also be used to classify the template. These are in many cases more robust and the classification results become even more stable and better.
Im Decision Tree Evalutor 3 kommt ein Entscheidungsbaum basierend auf den typischerweise gewählten 20 Merkmalen zum Einsatz. Es werden neben den einfachen Merkmalen auch alle möglichen Kom- binationen dieser Merkmale als potentielle Merkmale mit einbezo¬ gen. Merkmale mit höherer Aussagekraft können im Entscheidungs¬ baum mit einer höheren Gewichtung verwendet werden.Decision tree evaluator 3 employs a decision tree based on the typically selected 20 features. There are in addition to the basic features of all possible combinations of these characteristics as potential features with einbezo¬ gen. Features higher significance can be used in the decision tree¬ with a higher weighting.
Der Decision Tree Evaluator 3 beinhaltet einen Entscheidungsbaum basierend auf einem Satz von 20 Merkmalen gemäss der nachfolgenden Tabelle.The decision tree evaluator 3 includes a decision tree based on a set of 20 features according to the following table.
Indexindex
Merkmal Typ Wertebereich Einheit Beschreibung Characteristic Type Value range Unit Description
1 1
typ diskret -1, 0, 1 Aktueller SchlagtypType discrete -1, 0, 1 Current strike type
Figure imgf000016_0001
Figure imgf000016_0001
Die Merkmale können im Wesentlichen in die 3 Kategorien „diskret", „kontinuierlich" und „abgeleitet" eingeteilt werden. Die diskreten Merkmale sind ternäre oder binäre Zustandsvariablen . Die 12 kontinuierlichen Merkmale repräsentieren kontinuierliche Messgrössen. Die 3 abgeleiteten Merkmale ergeben sich durch paarweise Subtraktion von zwei zusammen gehörenden kontinuierli chen Merkmalen. The features can essentially be divided into the three categories "discrete", "continuous" and "derived." The discrete features are ternary or binary state variables. "The 12 continuous features represent continuous measures." The 3 derived features result from pairwise subtraction of two continuous characteristics.
Die einzelnen Merkmale sollen im Folgenden noch detailliert be schrieben werden.The individual features will be described in detail below.
Die drei Merkmale , typ ` , prevtyp ` , nexttyp ` beschreiben, o der aktuelle/vorgängige/nachfolgende Herzschlag zum Referenz Template, zu einem anderen Template oder zu keinem Template passt. Während der Lernphase sind die Werte auf -1 initiali¬ siert .The three features, type `, prevtype`, nexttype `describe, o the current / previous / following heartbeat matches the reference template, another template or no template. During the learning phase the values are Siert to -1 initiali¬.
Figure imgf000017_0001
Figure imgf000017_0001
Die Lernphase dient der Aufnahme verschiedener QRS-Sequenzen, wobei im Wesentlichen ähnliche Sequenzen einem Template zugeord¬ net werden. Die Lernphase kann sich über die gesamte Messdauer erstrecken, wobei die Zuordnungen und Entscheidungen mit Zunahme der Datenmenge und der gemessenen Signale immer genauer werden. Zu Beginn der Lernphase ist es ebenfalls möglich, dass keine Klassen definiert sind und somit alle QRS-Sequenzen der Einzel¬ schläge mit dem Entscheidungsbaum klassifiziert werden. Der Entscheidungsbaum ist vorzugsweise derart, dass er die Einzelschlä¬ ge zumindest in supraventrikuläre Schläge 'N' und ventrikuläre Schläge 'V einteilen kann. Eine weitere Einteilung und in der Folge eine weitere Endverzweigung des Baumes ist somit möglich.The learning phase is used to accommodate different QRS sequences with essentially similar sequences are a template zugeord¬ net. The learning phase can extend over the entire measurement period, with the assignments and decisions becoming more and more accurate as the amount of data and the signals measured increases. At the beginning of the learning phase, it is also possible that no classes are defined and thus all QRS sequences of the individual¬ strikes are classified with the decision tree. The decision tree is preferably such that it can divide the individualslugs into at least supraventricular beats 'N' and ventricular beats 'V'. A further division and in consequence a further end branching of the tree is thus possible.
Die zwei Merkmale , curpwave ` und , refpwave ` beschreiben, ob der aktuelle Herzschlag bzw. das Referenz-Template eine P-Welle ha¬ ben oder nicht. Während der Lernphase ist refpwave auf 1 initia¬ lisiert .The two features, and curpwave `,` refpwave describe whether the current heart beat or the reference template, a P-wave ha¬ ben or not. During the learning phase is refpwave lisiert 1 initia¬.
Figure imgf000017_0002
Die drei Merkmale ,corr ` , prevcorr ` , nextcorr ` e,ntsprechen dem maximalen Korrelationskoeffizienten zwischen aktuellem/vorgängigem/nachfolgendem Herzschlag und dem Referenz- Template. Während der Lernphase sind die Werte auf 80% initiali- siert. corr = 100 · corrcoef (AktuellerSchlag, Referenz - Template)
Figure imgf000017_0002
The three features, corr `, prevcorr`, nextcorr `e, correspond to the maximum correlation coefficient between current / previous / following heartbeat and the reference template. During the learning phase the values are initialized to 80%. corr = 100 · corrcoef (current strike, reference template)
prevcorr = 100 · corrcoef (Vorgängiger Schlag, Referenz - Template)prevcorr = 100 · corrcoef (previous strike, reference template)
nextcorr = 100 · corrcoef (Nachfolgender Schlag, Referenz - Template)nextcorr = 100 · corrcoef (following beat, reference template)
Die zwei Merkmale , curqrsdur ` und , refqrsdur ` entsprechen der QRS Dauer vom aktuellen Herzschlag bzw. vom Referenz-Template. Während der Lernphase ist refqrsdur auf 100ms initialisiert. curqrsdur = curqrsojf - curqrson (Aktueller Schlag)The two features, curqrsdur `and, refqrsdur` correspond to the QRS duration of the current heartbeat or reference template. During the learning phase, refqrsdur is initialized to 100ms. curqrsdur = curqrsojf - curqrson (current strike)
refqrsdur = refqrsoff - refqrson (Referenz - Template) Die nächsten vier Merkmale werden im Vektorkardiogramm berechnet. Sie verwenden die Vektormagnitude (mag) und die absolute räumliche Geschwindigkeit (asv) .refqrsdur = refqrsoff - refqrson (reference template) The next four features are calculated in the vectorcardiogram. They use the vector magnitude (mag) and the absolute spatial velocity (asv).
Figure imgf000018_0001
Figure imgf000018_0001
Die zwei Merkmale , curqrsact ` und , refqrsact ` bezeichnen die QRS Aktivität vom aktuellen Herzschlag bzw. vom Referenz-Template gemäss den nachfolgenden Formeln. Die Anzahl N entspricht 180ms. Der Skalierungsfaktor S ist typischerweise auf 4 gesetzt. Wäh¬ rend der Lernphase ist , refqrsact ` auf 100%The two features, curqrsact `and, refqrsact`, denote QRS activity from the current heartbeat or reference template, respectively, according to the formulas below. The number N corresponds to 180ms. The scaling factor S is typically set to 4. Is currency¬ rend the learning phase, refqrsact `100%
Figure imgf000019_0001
Figure imgf000019_0001
Die zwei Merkmale , curqrsmob ` und ,refqrsmob ` bezeichnen die QRS Mobilität vom aktuellen Herzschlag bzw. vom Referenz-Template gemäss den nachfolgenden Formeln. Die Anzahl N entspricht ebenfalls 180ms. Der Skalierungsfaktor S ist auf 4 gesetzt. Während der Lernphase ist ,refqrsmobx auf 100%The two features, curqrsmob `and, refqrsmob`, refer to QRS mobility from the current heartbeat or from the reference template according to the following formulas. The number N also corresponds to 180ms. The scaling factor S is set to 4. During the learning phase, refqrsmobx is set to 100%
Figure imgf000019_0002
Figure imgf000019_0002
Die drei Merkmale , relrr ` ,nextrr ` , relnnv ` beschreiben die zeitlichen Verhältnisse. Es sind dies das aktuelle/nächste rela tive RR Intervall und die relative NN Variabilität. Bei der NN Variabilität werden nur die Distanzen zwischen Normalschlägen berücksichtigt. Während der Lernphase sind relrr und nextrr auf 100% und relnnv auf 6% The three features, relrr `, nextrr`, relnnv` describe the temporal relationships. These are the current / next relative RR interval and the relative NN variability. In NN variability, only the distances between normal beats are considered. During the learning phase, relrr and nextrr are at 100% and relnnv at 6%
Figure imgf000019_0003
Figure imgf000019_0003
Die drei abgeleiteten Merkmale , difqrsdur ` ,difqrsact ` The three derived features, difqrsdur `, difqrsact`
,difqrsmob ` werden gemäss den nachfolgenden Formeln berechnet. Es sind jeweils die Differenzen zwischen einem Merkmal des aktu eilen Herzschlags und demselben Merkmal des Referenz-Templates. difqrsdur = curqrsdur - refqrsdur, difqrsmob `are calculated according to the formulas below. In each case, there are the differences between a feature of the current heartbeat and the same feature of the reference template. difqrsdur = curqrsdur - refqrsdur
difqrsact = curqrsact - refqrsactdifqrsact = curqrsact - refqrsact
difqrsmob = curqrsmob - refqrsmobdifqrsmob = curqrsmob - refqrsmob
Die oben beschriebenen 20 Merkmale sind die Grundlage des Ent- scheidungsbaums.The 20 features described above are the basis of the decision tree.
Figur 2 und 3 zeigen einen möglichen Entscheidungsbaum. Beim Knoten Nl startend, wird dieser für eine spezifische QRS Sequenz vollständig durchlaufen. Dabei wird bei jedem Knoten anhand der in der Tabelle aus Figur 2 dargestellten Parameter entschieden, welcher Knoten als nächstes zu durchlaufen ist oder ob die spezifische QRS Sequenz final klassifiziert werden kann. Wie im Flussdiagramm aus Figur 3 dargestellt, ist es möglich, dass mehrere End-Knoten die spezifische QRS Sequenz in die gleiche Klas- se einteilen können.Figures 2 and 3 show a possible decision tree. Starting at node Nl completes it for a specific QRS sequence. In this case, it is decided at each node on the basis of the parameters shown in the table from FIG. 2 which node is to be traversed next or whether the specific QRS sequence can be finally classified. As shown in the flowchart of FIG. 3, it is possible for several end nodes to divide the specific QRS sequence into the same class.
Der Entscheidungsbaum wurde mittels Training auf Standard- Datenbanken automatisch optimiert. Dabei wurden neben den Basis- Merkmalen zusätzlich auch alle Produkte von zwei Merkmalen als mögliche kombinierte Merkmale zur Verfügung gestellt. Bei derThe decision tree was automatically optimized by training on standard databases. In addition to the basic features, all products of two characteristics were also provided as possible combined features. In the
Optimierung des Entscheidungsbaums wird automatisch in optimaler Art und Weise entschieden, welche Basis-Merkmale und welche kom¬ binierten Merkmale bei den verschiedenen Entscheidungsknoten im Baum letztendlich verwendet werden. Bei der Anwendung des Ent- scheidungsbaumes müssen nur diejenigen kombinierten Merkmale berechnet werden, die tatsächlich beim Durchlaufen des Baumes mit einer Entscheidungsschwelle verglichen werden müssen. Es ist insgesamt eine sehr effiziente und wirkungsvolle Klassifizie¬ rungsmethode. Für die Erstellung des Entscheidungsbaums kann eine professionelle Software verwendet werden, beispielsweise Matlab. Auf mehreren annotierten Trainings-Datenbanken werden für jeden Herzschlag alle ausgewählten Merkmale berechnet und diese Daten werden zur automatischen Erstellung eines optimierten Entscheidungsbaumes verwendet. Die Klassifizierungsresulta¬ te, z.B. in Form von Sensitivität und positiver Prädiktivität , werden auch auf anderen annotierten Test-Datenbanken überprüft. Die bevorzugte Ausführungsform arbeitet auf einem Entscheidungs¬ baum mit 150 Entscheidungsknoten. Das Verfahren oder die Vorrichtung wird mit einem derart ermittelten Entscheidungsbaum statisch programmiert, so dass während des Einsatzes am Patien¬ ten keine weitere Optimierung des Entscheidungsbaumes stattfin- det.Optimization of the decision tree is automatically chosen in an optimal manner which basic characteristics and which com¬ bined features in the various decision node in the tree will eventually be used. When using the decision tree, only those combined features have to be calculated that actually have to be compared with a decision threshold when going through the tree. It is overall a very efficient and effective CLASSIFICA¬ approximate method. For the creation of the decision tree a professional software can be used, for example Matlab. On several annotated training databases, all selected features are calculated for each heartbeat and These data are used to automatically create an optimized decision tree. The classificationresults , eg in the form of sensitivity and positive predictivity, are also checked on other annotated test databases. The preferred embodiment operates on a decision tree with 150 decisionnodes . The method or device is programmed with a static thus determined decision tree so that during use the patien¬ th no further optimization of the decision tree takes place.
Der zweite Klassifikator 4 nimmt die endgültige Klassifizierung aufgrund der Ergebnisse vom Entscheidungsbaum vor. Die Klassifi¬ zierung erfolgt typischerweise mit der Verzögerung von einem Herzschlag, da einige der benötigten Merkmale die Eigenschaften bzw. die Distanz zum nächsten Herzschlag benötigen.The second classifier 4 makes the final classification based on the results from the decision tree. The classifi cation¬ typically occurs with the delay of a heartbeat, as some of the required features need the features or the distance to the next heartbeat.
Der zweite Klassifikator 4 klassifiziert jeden Herzschlag entwe¬ der beispielsweise als supraventrikulär ('Ν') oder als ventriku- lär ('V') aufgrund des Ergebnisses des vorangehenden Blocks.The second classifier 4 classifies each heartbeat entwe¬ example, as supraventricular ('Ν') or as a ventricular ('V') based on the result of the previous block.
Die Schaltung bzw. das Verfahren der vorliegenden Erfindung kann in einer nachgeschalteten zusätzlichen Logik eine zusätzliche Unterteilung der Schlagklassen wie der supraventrikulären oder ventrikulären Schlagklasse in Subklassen vornehmen. So können die supraventrikulären Schläge z.B. in Normalschläge, supra¬ ventrikuläre Extrasystolen und junktionale Schläge unterteilt werden. Eine derartige Einteilung ist beispielsweise mittels eines weiteren Entscheidungsbaums möglich. Oder bei den ventri- kulären Schlägen können ventrikuläre Extrasystolen und Fusionsschläge unterschieden werden. Die bevorzugte Ausführungsform kann problemlos auf einem handelsüblichen Prozessor programmiert oder in einer integrierten Schaltung realisiert werden. Dazu müssen alle Variablen geeignet quantisiert und die Operationen auf die vorhandenen Architekturblöcke hin optimiert werden. Abhängig vom Zielsystem gibt es dazu optimierte Vorgehensweisen. Diese sind aber nicht Gegen¬ stand der vorliegenden Erfindung.The circuit or method of the present invention may subclass the beat classes, such as the supraventricular or ventricular beat class, in a downstream additional logic. For example, the supraventricular beatings can be subdivided into normal beats, supra¬ ventricular extrasystoles, and junctional beats. Such a classification is possible for example by means of another decision tree. Or in ventricular beatings, ventricular extrasystoles and fusion beats can be distinguished. The preferred embodiment can be easily programmed on a commercial processor or implemented in an integrated circuit. All variables must be suitably quantized and the operations optimized to the existing architecture blocks. Depending on the target system, there are optimized procedures for this. But these are not opposite¬ standing of the present invention.

Claims

Patentansprüche 1. Verfahren zur automatischen Klassifikation von Herzschlägen im Elektrokardiogramm, insbesondere von supraventrikulären und ventrikulären Herzschlägen, wobei eine Aufteilung in zwei oder mehr Herzschlagklassen vorgenommen wird, umfassend die SchritteClaims 1. A method for automatically classifying heartbeats in the electrocardiogram, in particular supraventricular and ventricular heartbeats, by dividing into two or more heartbeat classes, comprising the steps
- Vergleich der QRS-Sequenz eines Einzelschlages, vorzugs¬ weise mittels Kreuzkorrelation, mit zumindest einem beste¬ henden QRS Template wenigstens einer ersten Herzschlagklas¬ se- Comparison of the QRS sequence of a single stroke, preferably by means¬ cross-correlation, with at least one best¬ Henden QRS template at least a first heartbeat Klas¬ se
- Zuordnung der QRS-Sequenz zu einer Herzschlagklasse beim Überschreiten einer Korrelationsschwelle zu dieser ersten Herzschlagklasse, dadurch gekennzeichnet, dass - Assignment of the QRS sequence to a heartbeat class when crossing a correlation threshold to this first heartbeat class, characterized in that
die QRS-Sequenz beim Unterschreiten der Korrelationsschwelle mittels eines Entscheidungsbaum klassifiziert wird, wo¬ bei der Entscheidungsbaum auf einer Mehrzahl von Merkmalen des Einzelschlages basiert und diese Merkmale allein und/oder in Kombinationen der Merkmale bei der Anwendung des Entscheidungsbaums einbezogen werden.the QRS sequence is classified when it falls below the correlation threshold by means of a decision tree, where¬ based on the decision tree on a plurality of features of individual shock and these features are used alone and / or included in combinations of the features when applying the decision tree.
2. Verfahren nach Anspruch 1, wobei die QRS-Sequenz mittels des Entscheidungsbaumes und/oder einer zusätzlichen Logik in weiteren Unterklassen klassifiziert wird.2. The method of claim 1, wherein the QRS sequence is classified by means of the decision tree and / or additional logic in further subclasses.
3. Verfahren nach einem der Ansprüche 1 oder 2, wobei die3. The method according to any one of claims 1 or 2, wherein the
Klassifizierung der QRS-Sequenz an ein Ausgabegerät zur Anzeige weitergegeben wird und/oder in Form einer Beschriftung oder mittels einer Einfärbung einer EKG-Kurve auf einem Bildschirm oder im Ausdruck dargestellt wird. Classification of the QRS sequence is passed to an output device for display and / or presented in the form of a label or by coloring an ECG curve on a screen or in the printout.
4. Verfahren nach einem der Ansprüche 1 bis 3, wobei mehrere nacheinander folgende QRS-Sequenzen zur Bestimmung einer Klassifikation des Herzrhythmus mittels eines weiteren Ent¬ scheidungsbaumes und/oder einer zusätzlichen Logik ausgewertet werden.4. The method according to any one of claims 1 to 3, wherein a plurality of successive QRS sequences for determining a Classification of the heart rhythm can be evaluated by means of a further decision¬ tree and / or additional logic.
5. Verfahren nach einem der Ansprüche 1 bis 4, dadurch gekennzeichnet, dass mit den Eigenschaften des klassifizierten Einzelschlages das bestehende QRS-Template in der der Klas¬ sifizierung entsprechenden Klasse aufdatiert wird oder ein neues QRS-Template erstellt wird.5. The method according to any one of claims 1 to 4, characterized in that with the properties of the classified individual shock the existing QRS template in which the Klas¬ sification corresponding class is updated or a new QRS template is created.
6. Verfahren nach einem der Ansprüche 1 bis 5, wobei die QRS- Sequenz aus einem bestehenden EKG klassifiziert wird.6. The method according to any one of claims 1 to 5, wherein the QRS sequence is classified from an existing ECG.
7. Vorrichtung zur automatischen Klassifikation von Herzschlägen im Elektrokardiogramm, insbesondere von supraventrikulären und ventrikulären Herzschlägen, insbesondere für ein Verfahren nach einem der Ansprüche 1 bis 6 in zwei oder mehr Herzschlagklassen, umfassend eine Rechenanordnung zum Vergleich eines Herzschlages mit wenigstens einem bestehen¬ den QRS-Template wenigstens einer Herzschlagklasse und zum Bestimmen wenigstens eines Korrelationswertes zwischen dem QRS-Template und der QRS-Sequenz des Herzschlages, ein Klassifikationselement zur Zuordnung der QRS-Sequenz zu ei¬ ner Klasse, dadurch gekennzeichnet, dass die Vorrichtung eine Rechenanordnung zur Durchführung einer Klassifizierung basierend auf einem Entscheidungsbaum zur Klassifizierung der QSR-Sequenz umfasst, welcher Entscheidungsbaum auf einer Mehrzahl von Merkmalen des Einzelschlages basiert und diese Merkmale allein und/oder in Kombinationen der Merkmale bei der Anwendung des Entscheidungsbaums einbezogen wer¬ den .7. The device for the automatic classification of heart beats in an electrocardiogram, in particular of supraventricular and ventricular heart beats, in particular for a method according to any one of claims 1 to 6 in two or more heartbeat classes comprising a calculation arrangement for comparison of one beat with at least one consist¬ the QRS Template of at least one heartbeat class and for determining at least one correlation value between the QRS template and the QRS sequence of the heartbeat, a classification element for assigning the QRS sequence to ei¬ ner class, characterized in that the device is a computing arrangement for performing a classification based on a decision tree for classifying the QSR sequence, which decision tree is based on a plurality of features of the single stroke and these features are included alone and / or in combinations of the features in the application of the decision tree he¬ the.
8. Vorrichtung nach Anspruch 7, dadurch gekennzeichnet, dass die Vorrichtung eine weitere Rechenanordnung zur Unterteilung der QRS-Sequenz in Unterklassen aufweist.8. The device according to claim 7, characterized in that the device has a further computing arrangement for subdividing the QRS sequence into subclasses.
9. Vorrichtung nach Anspruch 7 oder 8, umfassend eine Anzeige einheit, vorzugsweise einen Bildschirm, zur Ausgabe oder Darstellung der Herzschlagklasse an den Anwender in Form einer Beschriftung oder mittels einer Einfärbung einer EKG Kurve .9. Apparatus according to claim 7 or 8, comprising a display unit, preferably a screen for outputting or displaying the heartbeat class to the user in the form of a label or by means of a coloring of an ECG curve.
10. Vorrichtung nach einem der Ansprüche 7 bis 9, umfassend eine weitere Rechenanordnung zur Klassifikation eines meh rere QRS-Sequenzen enthaltenden Herzrhythmus.10. The device according to one of claims 7 to 9, comprising a further computing arrangement for the classification of a meh rere QRS sequences containing heart rhythm.
11. EKG-Gerät insbesondere umfassend eine Vorrichtung nach ei¬ nem der Ansprüche 7 bis 10 zur Durchführung eines Verfahrens nach einem der Ansprüche 1 bis 6.11. ECG device, in particular comprising a device according to ei¬ nem of claims 7 to 10 for carrying out a method according to any one of claims 1 to 6.
12. Computerprogrammprodukt zur automatischen Klassifikation von Herzschlägen, insbesondere zum Durchführen eines Verfahrens nach einem der Ansprüche 1 bis 6, welches Software abschnitte zur Bestimmung einer Korrelationsschwelle zwi¬ schen einer QRS-Sequenz eines Einzelschlages und einem bestehenden QRS-Template zum Vergleich der QRS-Sequenz mit dem QRS-Template umfasst, wobei das Unterschreiten der Kor relationsschwelle computerlesbare Programmmittel einen Com puter dazu veranlassen, das QRS-Signal weiter in einem Ent scheidungsbaum zu verarbeiten.12. A computer program product for automatic classification of heart beats, in particular for performing a method according to any one of claims 1 to 6, comprising software portions for determining a correlation threshold Zvi¬ rule a QRS sequence of a single shock and a current QRS template to compare the QRS sequence with the QRS template, wherein the falling below the correlation threshold computer-readable program means cause a computer to process the QRS signal further in a decision tree.
PCT/EP2014/0685342014-09-012014-09-01Method and device for automatically classifying heartbeats, computer program product and ecg device for carrying out the methodWO2016034203A1 (en)

Priority Applications (1)

Application NumberPriority DateFiling DateTitle
PCT/EP2014/068534WO2016034203A1 (en)2014-09-012014-09-01Method and device for automatically classifying heartbeats, computer program product and ecg device for carrying out the method

Applications Claiming Priority (1)

Application NumberPriority DateFiling DateTitle
PCT/EP2014/068534WO2016034203A1 (en)2014-09-012014-09-01Method and device for automatically classifying heartbeats, computer program product and ecg device for carrying out the method

Publications (1)

Publication NumberPublication Date
WO2016034203A1true WO2016034203A1 (en)2016-03-10

Family

ID=51492302

Family Applications (1)

Application NumberTitlePriority DateFiling Date
PCT/EP2014/068534WO2016034203A1 (en)2014-09-012014-09-01Method and device for automatically classifying heartbeats, computer program product and ecg device for carrying out the method

Country Status (1)

CountryLink
WO (1)WO2016034203A1 (en)

Cited By (5)

* Cited by examiner, † Cited by third party
Publication numberPriority datePublication dateAssigneeTitle
CN107766869A (en)*2016-08-222018-03-06富士通株式会社Object classification method and object sorting device
CN109303559A (en)*2018-11-012019-02-05杭州质子科技有限公司A kind of dynamic ECG beat classification method promoting decision tree based on gradient
CN114224353A (en)*2022-02-212022-03-25深圳泰和智能医疗科技有限公司Electrocardio detection classification method based on body temperature monitor
CN116350199A (en)*2023-05-312023-06-30合肥心之声健康科技有限公司Dynamic electrocardiogram and heart beat template generation method and system
US12232851B2 (en)2021-03-082025-02-25Medtronic, Inc.Acute health event monitoring

Citations (7)

* Cited by examiner, † Cited by third party
Publication numberPriority datePublication dateAssigneeTitle
US4589420A (en)*1984-07-131986-05-20Spacelabs Inc.Method and apparatus for ECG rhythm analysis
US4938228A (en)*1989-02-151990-07-03Righter William HWrist worn heart rate monitor
EP0853285A1 (en)*1997-01-091998-07-15Hewlett-Packard CompanyMethod and system for detecting acute myocardial infarction
US5817027A (en)1995-11-291998-10-06Hewlett-Packard CompanyMethod and apparatus for classifying heartbeats in an ECG waveform
WO2000047278A1 (en)*1999-02-122000-08-17Cardiac Pacemakers, Inc.System and method for classifying cardiac complexes
WO2006039694A2 (en)*2004-09-302006-04-13Cardiac Pacemakers, Inc.Arrhythmia classification and therapy selection
WO2013003852A1 (en)*2011-06-302013-01-03Coult JasonSystems and methods for analyzing electrocardiograms to detect ventricular fibrillation

Patent Citations (7)

* Cited by examiner, † Cited by third party
Publication numberPriority datePublication dateAssigneeTitle
US4589420A (en)*1984-07-131986-05-20Spacelabs Inc.Method and apparatus for ECG rhythm analysis
US4938228A (en)*1989-02-151990-07-03Righter William HWrist worn heart rate monitor
US5817027A (en)1995-11-291998-10-06Hewlett-Packard CompanyMethod and apparatus for classifying heartbeats in an ECG waveform
EP0853285A1 (en)*1997-01-091998-07-15Hewlett-Packard CompanyMethod and system for detecting acute myocardial infarction
WO2000047278A1 (en)*1999-02-122000-08-17Cardiac Pacemakers, Inc.System and method for classifying cardiac complexes
WO2006039694A2 (en)*2004-09-302006-04-13Cardiac Pacemakers, Inc.Arrhythmia classification and therapy selection
WO2013003852A1 (en)*2011-06-302013-01-03Coult JasonSystems and methods for analyzing electrocardiograms to detect ventricular fibrillation

Non-Patent Citations (3)

* Cited by examiner, † Cited by third party
Title
FRANCO CHIARUGI ET AL: "The morphological classification of heartbeats as dominant and non-dominant in ECG signals; Morphological classification of heartbeats as dominant and non-dominant in ECG signals", PHYSIOLOGICAL MEASUREMENT, INSTITUTE OF PHYSICS PUBLISHING, BRISTOL, GB, vol. 31, no. 5, 1 May 2010 (2010-05-01), pages 611 - 631, XP020175845, ISSN: 0967-3334*
SOFIA-MARIA DIMA ET AL: "On the Detection of Myocadial Scar Based on ECG/VCG Analysis", IEEE TRANSACTIONS ON BIOMEDICAL ENGINEERING, vol. 60, no. 12, 1 December 2013 (2013-12-01), pages 3399 - 3409, XP055184455, ISSN: 0018-9294, DOI: 10.1109/TBME.2013.2279998*
VESSELA KRASTEVA ET AL: "QRS Template Matching for Recognition of Ventricular Ectopic Beats", ANNALS OF BIOMEDICAL ENGINEERING, KLUWER ACADEMIC PUBLISHERS-PLENUM PUBLISHERS, NE, vol. 35, no. 12, 1 September 2007 (2007-09-01), pages 2065 - 2076, XP019547587, ISSN: 1573-9686, DOI: 10.1007/S10439-007-9368-9*

Cited By (7)

* Cited by examiner, † Cited by third party
Publication numberPriority datePublication dateAssigneeTitle
CN107766869A (en)*2016-08-222018-03-06富士通株式会社Object classification method and object sorting device
CN109303559A (en)*2018-11-012019-02-05杭州质子科技有限公司A kind of dynamic ECG beat classification method promoting decision tree based on gradient
CN109303559B (en)*2018-11-012021-05-14杭州质子科技有限公司Dynamic electrocardiogram and heartbeat classification method based on gradient boosting decision tree
US12232851B2 (en)2021-03-082025-02-25Medtronic, Inc.Acute health event monitoring
CN114224353A (en)*2022-02-212022-03-25深圳泰和智能医疗科技有限公司Electrocardio detection classification method based on body temperature monitor
CN116350199A (en)*2023-05-312023-06-30合肥心之声健康科技有限公司Dynamic electrocardiogram and heart beat template generation method and system
CN116350199B (en)*2023-05-312023-08-18合肥心之声健康科技有限公司Dynamic electrocardiogram and heart beat template generation method and system

Similar Documents

PublicationPublication DateTitle
DE102007057885B4 (en) Method for analyzing physiological data and checking the quality of the measurement using the analysis of the main components
DE60130986T2 (en) METHOD AND SYSTEM FOR EVALUATING CARDIAL ISCHEMIA WITH RR INTERVAL DATA SETS
DE69712895T2 (en) DEVICE FOR DETECTING THE INCLINATION OF FIBRILLING BY MEANS OF ELECTRICAL RESTITUTION CURVE
DE3878265T2 (en) ECG DEVICE.
DE102015216645A1 (en) IDENTIFYING A TYPE OF ISCHEMIC EVENT FROM A HEART SIGNAL SEGMENT
EP3518757B1 (en)Monitoring of biosignals, in particular electrocardiograms
WO2016034203A1 (en)Method and device for automatically classifying heartbeats, computer program product and ecg device for carrying out the method
DE3912028A1 (en) METHOD AND ARRANGEMENT FOR COMPARING WAVEFORMS OF TIME-VARIABLE SIGNALS
DE60315080T2 (en) METHOD AND DEVICE FOR EXTRACTING KAUSAL INFORMATION FROM A CHAOTIC TIME SERIES
DE112009000357T5 (en) System and method for morphological feature analysis of physiological data
DE102015116044A1 (en) Method and device for quantifying a respiratory sinus arrhythmia and use of such a method or device [
DE102012104565A1 (en) Method, device and computer program product for monitoring physiological signals
DE4039648A1 (en)Measurement value processing system for biological object - mathematically evaluates and compares with given measurement value structures
DE112018001324T5 (en) BLOOD PRESSURE MEASURING DEVICE, METHOD AND PROGRAM
EP2405808B1 (en)Method and device for recording an electrocardiogram
EP1175865B1 (en)Cardiological implantable apparatus comprising an evaluation method for determining the temporal stationarity of measured cardiological signals
DE102016204398A1 (en) CLASSIFICATION OF A TIME SERIES SIGNAL AS VENTRICULAR EXTRASYSTOLE AND VENTRICULAR TACHYCARDIA
DE4307545A1 (en)Device and method for determining the location and/or the extent of ischemias and/or infarcts in the heart of a patient
EP1192897B1 (en)Risk monitoring
DE102019125062A1 (en) Method for the automated determination of hemodynamic parameters in a blood vessel on invasively recorded pulse waves
DE102017125089A1 (en) Alarm monitoring method and apparatus for patient monitor and adaptive alerting method for a patient monitor
DE19781642B4 (en) Method for determining a value of a life to be assessed which describes the maximum oxygen uptake
DE102006053728A1 (en)Electrocardiogram signal evaluation i.e. premature extra-systole detection, method, for e.g. implant, involves determining partial section of temporal difference, which corresponds to maximum entropy-value, as irregular RR-interval range
EP1048000B1 (en)Expanded cardiogoniometry
EP3967220B1 (en)Processing and visualizing data of electrical impedance tomography

Legal Events

DateCodeTitleDescription
121Ep: the epo has been informed by wipo that ep was designated in this application

Ref document number:14759140

Country of ref document:EP

Kind code of ref document:A1

NENPNon-entry into the national phase

Ref country code:DE

122Ep: pct application non-entry in european phase

Ref document number:14759140

Country of ref document:EP

Kind code of ref document:A1


[8]ページ先頭

©2009-2025 Movatter.jp