Movatterモバイル変換


[0]ホーム

URL:


WO2015128566A1 - Method for treating keratin fibres with an amino polymer and an activated ester - Google Patents

Method for treating keratin fibres with an amino polymer and an activated ester
Download PDF

Info

Publication number
WO2015128566A1
WO2015128566A1PCT/FR2015/050412FR2015050412WWO2015128566A1WO 2015128566 A1WO2015128566 A1WO 2015128566A1FR 2015050412 WFR2015050412 WFR 2015050412WWO 2015128566 A1WO2015128566 A1WO 2015128566A1
Authority
WO
WIPO (PCT)
Prior art keywords
weight
composition
activated ester
hair
polymer
Prior art date
Application number
PCT/FR2015/050412
Other languages
French (fr)
Inventor
Gwenaëlle JEGOU
Nawel Baghdadli
Original Assignee
L'oreal
Priority date (The priority date is an assumption and is not a legal conclusion. Google has not performed a legal analysis and makes no representation as to the accuracy of the date listed.)
Filing date
Publication date
Application filed by L'orealfiledCriticalL'oreal
Priority to US15/121,134priorityCriticalpatent/US10045929B2/en
Priority to EP15709287.5Aprioritypatent/EP3110395B1/en
Publication of WO2015128566A1publicationCriticalpatent/WO2015128566A1/en

Links

Classifications

Definitions

Landscapes

Abstract

The invention relates to a cosmetic method for treating keratin fibres, comprising a step of application, to the keratin fibres, of a first cosmetic composition comprising an amino polymer comprising a primary amine group, followed by a step of application of a second cosmetic composition comprising an activated ester of formula R-C(O)OA1 in which R denotes a C5-C21 alkyl group, and A1 denotes a specific reactive group and in particular a succinimide group. The invention also relates to a kit comprising a first cosmetic composition comprising said amino polymer and a second cosmetic composition comprising said activated ester, the first and second compositions each being packaged in a distinct packaging assembly. The method confers a hydrophobic surface finish on the treated damaged fibre in a long-lasting manner, the hydrophobicity effect being persistent after one or more shampooing operations, while at the same time providing a good cosmetic feel.

Description

Procédé de traitement des fibres kératiniques avec un polymère aminé et un ester activé Process for treating keratinous fibers with an amino polymer and an activated ester
La présente invention concerne un procédé de traitement des fibres kératiniques comprenant l'application sur les fibres d'un polymère aminé et d'un ester activé particuliers. Elle concerne également un kit permettant la mise en oeuvre d'un tel procédé. The present invention relates to a method for treating keratinous fibers comprising the application to the fibers of a particular amino polymer and activated ester. It also relates to a kit for implementing such a method.
Les cheveux sont généralement abîmés et fragilisés par l'action des traitements chimiques tels que les teintures, les décolorations, les permanentes, les défri- sages, les lavages répétés.The hair is generally damaged and weakened by the action of chemical treatments such as dyes, discolourations, perms, stripping, repeated washing.
Il est connu que certains traitements capillaires tels que les teintures, les décoloration, les permanentes, les défrisages peuvent agresser la fibre capillaire et notamment engendrer la perte de certains de ses constituants présents à l'état natu- rel, en particulier des acides gras tels que l'acide 18-méthyl eicosanoïque. Les cheveux se retrouvent endommagés et deviennent sensibilisés.It is known that certain hair treatments such as dyes, bleaching, perms, straightening can attack the hair fiber and in particular cause the loss of some of its components present in the natural state, in particular fatty acids such as as 18-methyl eicosanoic acid. The hair is damaged and becomes sensitized.
La fibre abimée présente un caractère électrostatique, rendant difficile la mise en forme correcte des cheveux, notamment lors du peignage ou du brossage. De plus, la fibre abimée présente un caractère plus hydrophile, la rendant très sen- sible à l'eau : la fibre a tendance à gonfler et à frisoter au contact de l'humidité ambiante, et n'assure pas dans ces conditions un bon maintien de la coiffure.The damaged fiber has an electrostatic character, making it difficult to properly shape the hair, especially during combing or brushing. In addition, the damaged fiber has a more hydrophilic character, making it very sensitive to water: the fiber has a tendency to swell and frize on contact with the ambient humidity, and does not provide in these conditions a good maintaining the hairstyle.
On sait que les qualités cosmétiques des cheveux peuvent être améliorées par application de diverses compositions à base d'actifs ou de polymères permettant de leur conférer diverses propriétés telles que brillance, facilité de démêlage, gonflant, souplesse, nervosité ou douceur. Pour obtenir une bonne efficacité, il convient bien entendu que ces actifs présentent vis-à-vis des fibres kératiniques, une certaine affinité.It is known that the cosmetic qualities of the hair can be improved by the application of various compositions based on active ingredients or polymers to give them various properties such as shine, ease of disentangling, swelling, flexibility, nervousness or softness. To obtain good efficacy, it is of course understood that these active agents have a certain affinity for keratinous fibers.
Il est décrit dans le document WO2008/156327 une composition comprenant des lipides portant des groupes fonctionnels qui, après application sur les cheveux ou sur la peau, sont liés de façon covalente à la surface des matières kératiniques. WO2008 / 156327 discloses a composition comprising lipids bearing functional groups which, after application to the hair or to the skin, are covalently bound to the surface of the keratin materials.
Les groupes fonctionnels sont par exemple les groupes hydroxysuccinimidyl ester.The functional groups are, for example, hydroxysuccinimidyl ester groups.
Les lipides quant à eux sont des acides gras en Cs-C28- Toutefois, l'effet d'hydrophobie obtenu en surface du cheveu s'estompe au cours des shampoings successifs et ne présente pas une rémanence au shampooing satisfaisante.As for the lipids, they are Cs-C28 fatty acids. However, the effect of hydrophobicity obtained on the surface of the hair fades during successive shampoos and does not exhibit a satisfactory remanence to the shampoo.
Par ailleurs, l'application de polymères traitants sur les cheveux peut nuire au maintien d'un bon toucher : les cheveux traités sont chargés, le toucher est rêche, peu lisse, crissant, peu cosmétique. II est également connu du document WO2008/ 563 un procédé de traitement des cheveux par application d'un ester activé qui confère aux cheveux traités une hydrophobie de surface , pour la réparation et prévention des dommages, pour obtenir un effet brillant, soyeux, et un coating, et avec un effet de conditionnement semi-permanent, en particulier rémanent au shampooing. Le document KR2012-0036877 décrit également un procédé de traitement des cheveux avec un ester activé similaire qui confère brillance, hydratation et résistance aux dommages.Furthermore, the application of treating polymers on the hair can interfere with the maintenance of a good touch: the treated hair is loaded, the touch is rough, not very smooth, crunchy, not very cosmetic. It is also known from WO2008 / 563 a hair treatment method by application of an activated ester which gives the treated hair surface hydrophobicity, for the repair and prevention of damage, to obtain a glossy, silky effect, and a coating, and with a semi-permanent conditioning effect, in particular remanent to shampoo. KR2012-0036877 also discloses a hair treatment method with a similar activated ester which imparts shine, hydration and resistance to damage.
Toutefois, ces traitements ne permettent pas d'obtenir des propriétés optimales d'hydrophobie et de rémanence. Il existe donc un besoin de disposer d'un procédé de traitement des cheveux permettant d'obtenir des propriétés d'hydrophobie et de rémanence améliorées. However, these treatments do not make it possible to obtain optimum properties of hydrophobicity and remanence. There is therefore a need for a hair treatment method to obtain improved hydrophobicity and remanence properties.
La présente invention a pour but de proposer un procédé de traitement cosmétique des fibres kératiniques, notamment des cheveux, permettant de redonner à une fibre abimée, les propriétés physicochimiques de surface d'une fibre naturelle, et ce de façon durable dans le temps.The object of the present invention is to propose a process for the cosmetic treatment of keratin fibers, in particular the hair, making it possible to restore to an abraded fiber the surface physicochemical properties of a natural fiber, and this in a lasting manner over time.
L'invention a ainsi pour objet un procédé cosmétique non thérapeutique de traitement des fibres kératiniques, comprenant dans l'ordre suivant :The subject of the invention is thus a non-therapeutic cosmetic process for treating keratin fibers, comprising in the following order:
une étape d'application sur les fibres kératiniques d'une première composition cosmétique comprenant un polymère aminé tel que défini ci-après,a step of application to the keratinous fibers of a first cosmetic composition comprising an amino polymer as defined below,
suivi d'une étape d'application d'une deuxième composition cosmétique comprenant un ester activé tel que défini ci-après.followed by a step of applying a second cosmetic composition comprising an activated ester as defined below.
Le procédé de traitement est en particulier un procédé de soin des fibres kérati- niques. The treatment process is in particular a method for the care of keratin fibers.
L'invention a également pour objet un kit comprenant :The subject of the invention is also a kit comprising:
une première composition cosmétique comprenant un polymère aminé tel que défini ci-après et une deuxième composition cosmétique comprenant un ester activé tel que défini ci-après, les premières et deuxième compositions étant conditionnées chacune dans un ensemble de conditionnement distinct.a first cosmetic composition comprising an amino polymer as defined below and a second cosmetic composition comprising an activated ester as defined below, the first and second compositions being each packaged in a separate packaging unit.
L'ensemble de conditionnement des compositions est de façon connue tout packaging adapté pour stocker les compositions cosmétiques (flacons, tube, flacon spray, flacon aérosol notamment).The packaging assembly of the compositions is in a known manner any packaging adapted to store the cosmetic compositions (bottles, tube, spray bottle, aerosol bottle in particular).
Un tel kit permet de mettre en œuvre le procédé de traitement des matières kératiniques selon l'invention.Such a kit makes it possible to implement the process for treating keratin materials according to the invention.
Il est connu des documents US4713236, FR2289167, FR2910276 des polymères à groupe aminé primaire tels que polyéthylèneimines, pollyalylimines pour améliorer les propriétés de conditionnement du cheveu.It is known documents US4713236, FR2289167, FR2910276 primary amine polymers such as polyethyleneimines, pollyalylimines to improve the conditioning properties of the hair.
Le procédé selon l'invention permet à la fibre abîmée de retrouver un état de surface hydrophobe proche de celui du cheveu naturel et ceci de manière durable l'effet d'hydrophobie étant rémanent après un ou plusieurs shampoings effectués sur les fibres kératiniques traitées. L'apparence générale du cheveu se trouve améliorée, le cheveu traité est moins électrostatique, présente un moindre gonflement et moins de frisotis au contact de l'humidité ambiante, contribuant ainsi à une bonne mise en forme des cheveux, en particulier des cheveux fins. Les che- veux traités présentent également un bon toucher cosmétique, doux, non rêche. En particulier, comme le montre l'exemple 1 , le procédé selon l'iinvention permet d'obtenir des propriétés optimales améliorées d'hydrophobie et de rémanence, tout en ayant un bon toucher. L'application seule de l'ester activé sur le cheveu ne permet pas d'atteindre la propriété otpimale d'hydrophobie et l'application seule du polymère aminé confère un toucher chargé, rêche donc peu cosmétique.The method according to the invention allows the damaged fiber to find a hydrophobic surface state close to that of natural hair and this in a sustainable manner the hydrophobicity effect being remanent after one or more shampoos performed on keratin fibers treated. The general appearance of the hair is improved, the treated hair is less electrostatic, has less swelling and less frizziness in contact with the ambient humidity, thus contributing to good shaping of the hair, especially fine hair. The Che- want treated also have a good cosmetic feel, soft, not rough. In particular, as shown in Example 1, the process according to the invention makes it possible to obtain improved optimum properties of hydrophobicity and remanence, while having a good feel. The application of the activated ester alone to the hair does not make it possible to reach the otpimal property of hydrophobicity and the application of the aminated polymer alone gives a loaded, therefore unkempt, cosmetic feel.
Le procédé selon l'invention met en œuvre une première composition cosmétique comprenant un polymère aminé choisi parmi les polymères aminés à groupes aminés primaires. Il s'agit de polymères issu de la polymérisation de monomères, le polymère comprenant au moins 2 groupes aminés primaire -IMH2 .The method according to the invention implements a first cosmetic composition comprising an aminated polymer chosen from amine polymers having primary amine groups. These are polymers resulting from the polymerization of monomers, the polymer comprising at least 2 primary amine groups - IMH2.
Le polymère aminé peut être notamment choisi parmi :The amino polymer may in particular be chosen from:
- les poly(alkylène (C2-C5) imines), et en particulier les polyéthylèneimines et les polypropylèneimines, notamment les poly(éthylène imine) linéaires ou ramifiéspoly (C2 -C5 ) alkylene imines), and in particular polyethyleneimines and polypropyleneimines, especially linear or branched poly (ethylene imines)
(par exemple celui vendu sous la référence 46,852-3 par la société Aldrich Chemical) ;(for example that sold under the reference 46,852-3 by the company Aldrich Chemical);
- la poly(allylamine) (par exemple celle vendue sous la référence 47,913-6 par la société Aldrich Chemical ou par la société Beckmann-Kenko) ; poly (allylamine) (for example that sold under the reference 47,913-6 by Aldrich Chemical or by Beckmann-Kenko);
- les polyvinylamines et leurs copolymères notamment avec des vinylamides; on peut notamment citer les copolymères vinylamine/vinylformamide ( le taux de vi- nylamine pouvant aller de 30 à 90 % en poids du poids total du polymère) ; tels que ceux commercialisés sour la dénomination LUPAMIN® 9030 par la société BASF ;polyvinylamines and their copolymers, especially with vinylamides; mention may be made especially of vinylamine / vinylformamide copolymers (the proportion of vinylamine may range from 30 to 90% by weight of the total weight of the polymer); such as those sold under the name LUPAMIN® 9030 by the company BASF;
- les polyacides aminés présentant des groupes NH2 comme la polylysine ; par exemple celle vendu par la société JNC Corporation ;polyamino acids having NH 2 groups such as polylysine; for example, that sold by JNC Corporation;
- l'amino dextrane, tel que celui vendu par la société CarboMer Inc ; amino dextran, such as that sold by CarboMer Inc;
- les copolymères vinyl amine / alcool vinylique tel que ceux vendu par la société Chemwill ; vinyl amine / vinyl alcohol copolymers such as those sold by Chemwill;
- les polymères d'acrylamidopropylamine ;acrylamidopropylamine polymers;
- les chitosanes, tels que ceux vendus sous les dénominations « ZENZIVO® Pro- tect » , « ZENZIVO Aqua » par la société Clariant. chitosans, such as those sold under the names "ZENZIVO® Protect" and "ZENZIVO Aqua" by the company Clariant.
De préférence, le polymère aminé est choisi parmi :Preferably, the amino polymer is chosen from:
- les poly(éthylène imine) ;poly (ethylene imine);
- la poly(allylamine) ; poly (allylamine);
- la polylysine ; polylysine;
- les copolymères vinylamine/vinylformamide ; vinylamine / vinylformamide copolymers;
- les chitosanes. - chitosan
Préférentiellement, le polymère aminé est choisi parmi la poly allylamine, , les copolymères poly(vinylamine/vinylformamide) , les chitosanes.Preferably, the aminated polymer is chosen from polyallylamine, poly (vinylamine / vinylformamide) copolymers and chitosan.
Plus préférentiellement, le polymère aminé est une poly allylamine. Avantageusement, le polymère aminé a un poids moléculaire moyen en poids allant de 200 à 1 000 000 g/mol, de préférence allant de 300 à 500 000 g/mol. De préférence, le polymère aminé est hydrosoluble. On entend par polymère hy- drosoluble un polymère ayant une solublité dans l'eau, à 25 °C, d'au moins 0,1 g/l.More preferably, the aminated polymer is a polyallylamine. Advantageously, the aminated polymer has a weight average molecular weight ranging from 200 to 1,000,000 g / mol, preferably ranging from 300 to 500,000 g / mol. Preferably, the amino polymer is water soluble. The term "water-soluble polymer" means a polymer having a solubility in water at 25 ° C. of at least 0.1 g / l.
Le polymère aminé peut être présent dans la première composition en une teneur allant de 0,001 à 20 % en poids, par rapport au poids total de la composition, de préférence allant de 0,001 à 10 % en poids, et préférentiellement allant de 0,001 à 5 % en poids, et plus préférentiellement allant de 0,1 à 5 % en poids.The aminated polymer may be present in the first composition in a content ranging from 0.001% to 20% by weight, relative to the total weight of the composition, preferably ranging from 0.001% to 10% by weight, and preferably ranging from 0.001% to 5% by weight. by weight, and more preferably from 0.1 to 5% by weight.
La deuxième composition comprend un ester activé répondant à la formule (I) :The second composition comprises an activated ester of formula (I):
R-C(O)OA (I) dans laquelle R désigne un groupe alkyle en C5-C21 , de préférence en C9-C17, préférentiellement en Ci -Q, 5 ;R-C (O) OA (I) wherein R denotes a C5-C21 alkyl group, preferably a C9-C17, preferably a C1-C5 alkyl group;
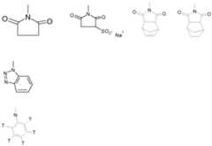
Ai désigne un groupe réactif choisi parmi :Ai denotes a reactive group chosen from:
Figure imgf000005_0001
Figure imgf000005_0002
Figure imgf000005_0003
Figure imgf000005_0001
Figure imgf000005_0002
Figure imgf000005_0003
avec T= indépendamment H ou F ou Cl with T = independently H or F or Cl
Ces composés esters activés sont connus de la littérature.ΟγΝ οThese activated ester compounds are known from the literature.Ο γΝ ο
De préférence , A1 désigne le groupe réactif et R désigne un groupe alkyle en C9-C17, préférentiellement en C-n -C-15 . Preferably, A1 denotes the reactive group and R denotes a C9-C17 alkyl group, preferentially C-n -C-15.
L'ester activé est de préférence choisi parmi : l'ester d'acide laurique et du N- hydroxy succinimide, l'ester d'acide palmitique et du N-hydroxysuccinimide. Avantageusement l'ester activé est l'ester d'acide palmitique et du N- hydroxysuccinimide.The activated ester is preferably selected from: lauric acid ester and N-hydroxy succinimide, palmitic acid ester and N-hydroxysuccinimide. Advantageously, the activated ester is the palmitic acid ester and N-hydroxysuccinimide.
L'ester activé peut être présent dans la deuxième composition en une teneur al- lant de 0,1 à 5 % en poids par rapport au poids total de la composition, de préférence allant de 0,5 à 4 % en poids, et préférentiellement allant de 1 à 4 % en poids.The activated ester may be present in the second composition in a content ranging from 0.1 to 5% by weight relative to the total weight of the composition, preferably ranging from 0.5 to 4% by weight, and preferably ranging from 1 to 4% by weight.
Les compositions cosmétiques utilisées selon l'invention contiennent un milieu physiologiquement acceptable, c'est-à-dire compatible avec les matières kérati- niques d'êtres humains tels que la peau (corps, visage, contour des yeux, cuir chevelu), les cheveux, les cils, les sourcils, les poils, les ongles, les lèvres.The cosmetic compositions used according to the invention contain a physiologically acceptable medium, that is to say compatible with the keratinous substances of human beings such as the skin (body, face, eye contour, scalp), hair, eyelashes, eyebrows, hairs, nails, lips.
Avantageusement, la première composition cosmétique utilisée selon l'invention comprend un milieu aqueux physiologiquement acceptable. Il peut par exemple être constitué par de l'eau ou par un mélange d'eau et d'au moins un solvant organique cosmétiquement acceptable. A titre de solvant organique, on peut par exemple citer les alcools inférieurs en C2-C4, tels que l'éthanol et l'isopro- panol ; les polyols , notamment ceux ayant de 2 à 6 atomes de carbones comme la glycérine, le propylène glycol, le butylène glycol, le pentylène glycol, l'hexylène glycol, le dipropylène glycol, le diéthylène glycol ; les éthers de polyols comme le 2-butoxyéthanol, le monométhyléther de propylèneglycol, le monoéthyléther et le monométhyléther du diéthylèneglycol , les esters courts comme l'acétate d'éthyle, l'acétate de butyle; et leurs mélanges.Advantageously, the first cosmetic composition used according to the invention comprises a physiologically acceptable aqueous medium. It may for example consist of water or a mixture of water and at least one cosmetically acceptable organic solvent. Examples of organic solvents that may be mentioned are lower C2 -C4 alcohols, such as ethanol and isopropanol; polyols, especially those having 2 to 6 carbon atoms such as glycerine, propylene glycol, butylene glycol, pentylene glycol, hexylene glycol, dipropylene glycol, diethylene glycol; polyol ethers such as 2-butoxyethanol, propylene glycol monomethyl ether, diethylene glycol monoethyl ether and monomethyl ether, short esters such as ethyl acetate, butyl acetate; and their mixtures.
De préférence, la composition cosmétique comprend de 50 à 99,5% en poids d'eau par rapport au poids de la composition.Preferably, the cosmetic composition comprises from 50 to 99.5% by weight of water relative to the weight of the composition.
Avantageusement, la deuxième composition cosmétique utilisée selon l'invention comprend un milieu non aqueux physiologiquement acceptable. Il peut par exemple être constitué d'un ou plusieurs solvants organiques cosmétiquement acceptable, tels que ceux décrits précédemment, ou bien encore d'une ou plusieurs huiles usuelles en cosmétique.Advantageously, the second cosmetic composition used according to the invention comprises a physiologically acceptable non-aqueous medium. It may for example consist of one or more cosmetically acceptable organic solvents, such as those described above, or else one or more oils customary in cosmetics.
Les compositions utilisées selon l'invention peuvent contenir en outre un ou plu- sieurs additifs cosmétiques choisi parmi les agents tensio-actifs non-ioniques, anioniques, cationiques et amphotères, les vitamines et pro-vitamines dont le panthénol, les filtres solaires, les charges, les matières colorantes, les agents nacrants, les agents opacifiants, les agents séquestrants, les polymères filmogènes, les agents plastifiants, les agents épaississants, les huiles, les agents anti- oxydants, les agents anti-mousse, les agents hydratants, les agents émollients, les agents de pénétration, les parfums et les agents conservateurs.The compositions used according to the invention may also contain one or more cosmetic additives chosen from nonionic surfactants, anionic, cationic and amphoteric, vitamins and pro-vitamins including panthenol, sunscreens, fillers, dyestuffs, pearlescent agents, opacifying agents, sequestering agents, film-forming polymers, plasticizers, thickeners oils, antioxidants, antifoaming agents, moisturizers, emollients, penetrating agents, perfumes and preservatives.
Les compositions utilisées selon l'invention peuvent se présenter sous toutes les formes galéniques classiquement utilisées pour une application capillaire et no- tamment sous forme de solutions aqueuses, solutions hydroalcooliques, d'émulsions huile-dans-eau (H/E) ou eau-dans-huile (E/H) ou multiple (triple : E/H/E ou H/E/H), de gels aqueux, de gels hydroalcooliques. Ces compositions sont préparées selon les méthodes usuelles. De préférence, la composition est sous forme de solution ou de gel aqueux ou hydroalcoolique.The compositions used according to the invention may be in any of the galenical forms conventionally used for capillary application and in particular in the form of aqueous solutions, hydroalcoholic solutions, oil-in-water (O / W) emulsions or water-based solutions. in-oil (W / O) or multiple (triple: W / O / W or W / E / H), aqueous gels, hydroalcoholic gels. These compositions are prepared according to the usual methods. Preferably, the composition is in the form of an aqueous or aqueous-alcoholic solution or gel.
Le procédé selon l'invention peut être mise en œuvre sur des fibres kérati- niques, notamment des cheveux, sèches ou humides. Préférentiellement, le procédé est mis en œuvre sur fibres kératiniques, notamment des cheveux, sèches.The process according to the invention can be carried out on keratinous fibers, in particular hair which is dry or moist. Preferably, the method is implemented on keratin fibers, especially dry hair.
Après application sur les fibres kératiniques de la composition cosmétique comprenant le polymère aminé et/ou l'ester activé, on peut laisser poser la composition appliquée pendant une durée allant de 1 à 60 minutes, de préférence allant de 2 à 50 minutes, préférentiellement allant de 5 à 30 minutes. Le temps de pose peut être effectué à une température allant de 15 °C à 45 °C, de préférence à la température ambiante (25 °C).After application to the keratinous fibers of the cosmetic composition comprising the aminated polymer and / or the activated ester, the applied composition may be applied for a duration ranging from 1 to 60 minutes, preferably ranging from 2 to 50 minutes, preferably ranging from from 5 to 30 minutes. The exposure time can be carried out at a temperature ranging from 15 ° C to 45 ° C, preferably at room temperature (25 ° C).
Les compositions cosmétiques décrites précédemment sont avantageusement appliquées sur les fibres kératiniques en une quantité allant de 0,1 à 10 grammes, de préférence de 0,2 à 5 grammes de composition par gramme de fibres kératiniques.The cosmetic compositions described above are advantageously applied to the keratin fibers in an amount ranging from 0.1 to 10 grams, preferably from 0.2 to 5 grams of composition per gram of keratin fibers.
Après application des compositions cosmétique sur les fibres kératiniques, ces dernières peuvent être essorées pour retirer l'excès de composition ou bien lavées à l'eau. After application of the cosmetic compositions to the keratinous fibers, the latter may be dewatered to remove the excess composition or washed with water.
Après le traitement, les fibres kératiniques peuvent être éventuellement rincées à l'eau ou lavées avec un shampooing. Les fibres kératiniques sont ensuite éventuellement séchées au moyen d'un sèche-cheveux ou d'un casque ou à l'air libre. Le procédé de traitement selon l'invention est de préférence mis en œuvre sur des fibres kératiniques, notamment des cheveux, sensibilisées telles que des fibres colorées artificiellement (fibres kératiniques teintes suite à un procédé de coloration directe ou par un procédé de coloration d'oxydation), décolorées, défri- sées ou permanentées.After the treatment, the keratin fibers may be optionally rinsed with water or washed with a shampoo. The keratinous fibers are then optionally dried by means of a hairdryer or a helmet or in the open air. The treatment method according to the invention is preferably carried out on keratinous fibers, in particular sensitized hair, such as artificially colored fibers (keratin fibers dyed following a direct dyeing process or by an oxidation dyeing process. ), discolored, degraded or permed.
Le procédé de traitement selon l'invention peut être mis en œuvre avant, pendant et/ou après un procédé de traitement cosmétique additionnel des fibres kératiniques, tels qu'un procédé de mise en forme temporaire (mise en forme avec bi- goudis, fer à friser, fer à lisser) ou un procédé de mise en forme durable (permanente, défrisage) des fibres kératiniques.The treatment method according to the invention can be implemented before, during and / or after an additional cosmetic treatment process for keratinous fibers, such as a temporary shaping process (shaping with bioudoud, iron curling iron, hair straightener) or a process for the permanent shaping (permanent, straightening) of the keratinous fibers.
Le procédé de traitement peut être mis en œuvre en pré-traitement d'un procédé de coloration, de défrisage et/ou d'un procédé de permanente afin de proté- ger cosmétiquement les fibres kératiniques de ces traitements. En d'autres termes, ce procédé est effectué pour préserver les propriétés cosmétiques des fibres kératiniques avant un procédé de traitement cosmétique tel que décrit précédemment. Préférentiellement, le procédé de traitement est mis en œuvre en posttraitement d'un procédé de décoloration, de coloration artificielle, de défrisage et/ou d'un procédé de permanente afin de réparer lesdites fibres.The treatment method can be implemented in pre-treatment of a staining process, hair straightening and / or permanent process in order to cosmetically protect the keratinous fibers of these treatments. In other words, this process is performed to preserve the cosmetic properties of the keratinous fibers before a cosmetic treatment process as described above. Preferably, the treatment process is carried out post-treatment of a fading, artificial coloring, straightening and / or a permanent process in order to repair said fibers.
Le procédé selon l'invention est de préférence mis en œuvre sur des cheveux.The process according to the invention is preferably carried out on hair.
Les exemples suivants sont donnés à titre illustratif de la présente invention.The following examples are illustrative of the present invention.
Les quantités indiquées dans les exemples sont exprimées en pourcentage en poids. Exemple 1 :The amounts indicated in the examples are expressed as percentage by weight. Example 1
On a utilisé des mèches de cheveux sensibilisés (décoloration SA 20 %).Sensitized locks of hair (SA 20% discoloration) were used.
Compositions réaliséesCompositions realized
Compositions A1 A2 BCompositions A1 A2 B
Polyallylamine* 0 , 5 3Polyallylamine* 0, 5 3
Ester d'acide palmitique et 3 Ester of palmitic acid and 3
de
Figure imgf000009_0001
of
Figure imgf000009_0001
* polyallylamine de chez Beckmann-Kenko* polyallylamine from Beckmann-Kenko
Les essais ont été effectués sur une mèche de cheveu.The tests were carried out on a lock of hair.
On a appliqué la composition A1 ou A2 sur des mèches de cheveux humidifiées (1 ,5 g de composition par gramme de cheveu), puis les mèches ont été placées en étuve à 60 °C pendant 30 minutes, en retournant les mèches au bout de 15 minutes.Composition A1 or A2 was applied to moistened locks of hair (1.5 g of composition per gram of hair), then the locks were placed in an oven at 60 ° C. for 30 minutes, turning the locks back after 15 minutes.
On a ensuite appliqué sur les mèches la composition B (1 ,5 g de composition par gramme de cheveu). Les mèches ont ensuite été placées en étuve à 40 °C pendant 30 minutes, en les retournant au bout de 15 minutes. Composition B was then applied to the locks (1.5 g of composition per gram of hair). The locks were then placed in an oven at 40 ° C for 30 minutes, returning them after 15 minutes.
On a ensuite rincées les mèches à l'eau courante , on les a essorées puis sé- chées au casque pendant 15 minutes à 60°C.The locks were then rinsed under running water, wrung out and then dried with a helmet for 15 minutes at 60 ° C.
Pour certaines mèches, on a effectué 5 shampooings selon le protocole suivant :For some locks, we performed 5 shampoos according to the following protocol:
Les mèches traitées ont été lavées avec un shampoing DOP camomille, à rai- son de 0,4 g de shampooing par gramme de cheveux, à la température de 38 °C. The treated locks were washed with DOP chamomile shampoo, at a rate of 0.40 g of shampoo per gram of hair, at a temperature of 38 ° C.
Humidifier la mèche pendant 5 secondes avec de l'eau. Appliquer le shampooing en malaxant la mèche de la racine à la pointe pendant 15 secondes. Rincer à l'eau pendant 10 secondes. Essorer. Renouveler les étapes d'application du shamppoing suivi du rinçage. Sécher les mèches pendant 10 minutes par gramme de cheveux à 60 °C au sèche cheveux. Moisten the wick for 5 seconds with water. Apply the shampoo by kneading the wick from root to tip for 15 seconds. Rinse with water for 10 seconds. Wring. Repeat the application steps of the shampoo followed by rinsing. Dry the locks for 10 minutes per gram of hair at 60 ° C in the hair dryer.
Pour chaque mèche de cheveux traitées, on a mesuré la mouillabilité du cheveu (mesure notamment décrite dans l'ouvrage « The science of Hair Care »de C. Bouillon et J.Wilkinson - 2ème édition 2005 - Chapitre 12 Evaluation of product efficacy - page 407).For each strand of hair treated, the wettability of the hair was measured (a measure particularly described in the book "The science of Hair Care" by C. Bouillon and J.Wilkinson -2nd edition 2005 - Chapter 12 Evaluation of product efficacy - page 407).
La mesure de la mouillabilité d'un cheveu consiste à immerger un morceau de cheveu dans un cristallisoir d'eau ultra-pure et de mesurer la force engendrée par le déplacement de la fibre capillaire lors de son immersion (force de mouillage) et lors de son retrait de l'eau. Cette force varie en fonction de l'affinité du cheveu pour le liquide et permet de rendre compte de l'état de surface de la fibre.The measurement of the wettability of a hair consists in immersing a piece of hair in a crystallizer of ultrapure water and measuring the force generated by the displacement of the hair fiber during its immersion (wetting force) and when removing from the water. This force varies according to the affinity of the hair for the liquid and makes it possible to account for the surface state of the fiber.
Nous utilisons un tensiomètre K14 de la société KRÛSS dans les conditions opé- ratoires suivantes :We use a K14 tensiometer from KRÜSS under the following operating conditions:
- Vitesse d'approche: 4 mm/min- Approach speed: 4 mm / min
- Vitesse de mesure : 2 mm/min - Measuring speed: 2 mm / min
- Sensibilité de la balance: 10 g - Sensitivity of the scale: 10 g
- Temps d'attente après immersion: 2 secondes- Waiting time after immersion: 2 seconds
- Profondeur d'immersion: 2 mm - Depth of immersion: 2 mm
Les cheveux montés sur un portoir sont toujours orientés dans le même sens à savoir, pointe vers le bas, racine vers le haut.The hair mounted on a rack is always oriented in the same direction ie, points down, root up.
Pour chaque traitement 20 échantillons sont mesurés dans les mêmes conditions. On laisse les cheveux régulés toute une nuit dans une boite à gant à 25°C et 45 % d'hygrométrie avant de les mesurer. Traitement des données.For each treatment 20 samples are measured under the same conditions. The hair is left overnight in a glove box at 25 ° C and 45% humidity before being measured. Data processing.
La force de mouillage (F en Newton) est déterminée selon la formule suivante : F = L x σ x cos9 The wetting force (F in Newton) is determined according to the following formula: F = L x σ x cos9
L étant le périmètre du cheveu (en mètre)L being the perimeter of the hair (in meters)
Θ : angle de contactΘ: contact angle
∑ : tension superficelle de l'eau pure = 72,75 mN/m à la pression atmosphérique Σ: superficial tension of pure water = 72.75 mN / m at atmospheric pressure
La force de mouillage exprimée en mN est transformée en g, puis normalisée par rapport au périmètre moyen des fibres.The wetting force expressed in mN is converted to g, then normalized with respect to the average perimeter of the fibers.
A partir des 20 mesures pour chaque mèche, la valeur moyenne et son intervalle de confiance sont calculés. Plus la force de mouilage est faible, plus le cheveu traité est hydrophobe.From the 20 measurements for each wick, the average value and its confidence interval are calculated. The lower the wetting strength, the more the treated hair is hydrophobic.
On a également évalué le toucher de la mèche traitée (aspect plus ou moins rêche au toucher).The touch of the treated lock was also evaluated (appearance more or less rough to the touch).
On a obtenu les résultats suivants :
Figure imgf000010_0001
traitée 5.39 ± 0.36
The following results were obtained:
Figure imgf000010_0001
treated 5.39 ± 0.36
Mèche 1 traitée avec Toucher correctWick 1 treated with correct touch
composition B 3.59 ± 0.53composition B 3.59 ± 0.53
Mèche 2 traitée avec Toucher plus rêcheWick 2 treated with toucher rougher
composition A1 -2.30 ± 0.35composition A1 -2.30 ± 0.35
Mèche 3 traitée avecWick 3 treated with
composition A1 + 5 Toucher rêche -6.28 ± 0.51 shampooingscomposition A1 + 5 rough touch -6.28 ± 0.51 shampoos
Mèche 4 traitée avec Wick 4 treated with
composition A1 + 10 Toucher rêche -5.96 ± 0.82 shampooingscomposition A1 + 10 rough touch -5.96 ± 0.82 shampoos
Mèche 5 traitée avec Toucher correct Wick 5 treated with correct touch
composition A1 puis -3.49 ± 0.65 Bcomposition A1 then -3.49 ± 0.65 B
Mèche 6 traitée avec Wick 6 treated with
composition A1 puis Toucher correct -5.03 ± 0.43 B + 5 shampooingscomposition A1 then correct touch -5.03 ± 0.43 B + 5 shampoos
Mèche 7 traitée avec Wick 7 treated with
composition A1 puis Toucher correct -4.76 ± 0.38 B + 10 shampooingscomposition A1 then correct touch -4.76 ± 0.38 B + 10 shampoos
Mèche 8 traitée avec Wick 8 treated with
composition A2 Toucher chargé, rêche -2.61 ± 0.60composition A2 Touch loaded, rough -2.61 ± 0.60
Mèche 9 traitée avecWick 9 treated with
composition A2 + 5 Toucher chargé, rêche -6.34 ± 1 .30 shampooingscomposition A2 + 5 Touch loaded, rough -6.34 ± 1 .30 shampoos
Mèche 10 traitée Wick 10 treated
avec composition A2 Toucher correct -4.43 ± 0.57 puis Bwith composition A2 Correct touch -4.43 ± 0.57 then B
Mèche 1 1 traitée Wick 1 1 treated
avec composition A2 Toucher correct -4.72 ± 0.62 puis B + 5 shampooings Les résultats obtenus montrent que les mèches n° 5, 6, 7 et 10,1 1 traitées avec le procédé selon l'invention ont les meilleures propriétés d'hydrophobicité en surface et de bon toucher.with composition A2 Correct touch -4.72 ± 0.62 then B + 5 shampoos The results obtained show that the locks No. 5, 6, 7 and 10.1 1 treated with the process according to the invention have the best hydrophobicity properties on the surface and good touch.
Exemple 2 :Example 2
Sur une mèche de cheveux sensibilisés (type SA 20) , on applique la composition de basecoat suivante (teneurs en pourcentage pondéral) :On a strand of sensitized hair (type SA 20), the following composition of basecoat (contents in percentage by weight) is applied:
Polyéthylène imine de poids moléculaire 423 g/molImine polyethylene of molecular weight 423 g / mol
(référence 46,853-3 de chez Aldrich) 0,5 % (reference 46.853-3 from Aldrich) 0.5%
Eau qsp 100 % Water qs 100%
On laisse poser pendant 30 minutes à 60 °C Allowed to stand for 30 minutes at 60 ° C
On essuie l'excès de produit puis applique la composition de topcoat suivante : ester d'acide palmitique et de N-hydroxysuccinimide 3 % The excess product is wiped off and then the following topcoat composition is applied: palmitic acid ester and N-hydroxysuccinimide 3%
acétate de butyle/éthanol (50/50 poids/poids) qsp 00 %butyl acetate / ethanol (50/50 w / w) qs 00%
On laisse poser pendant 30 minutes.Let it sit for 30 minutes.
On rince les cheveux traités puis on effectue un shampooing (DOP camomille) et les cheveux sont séchés au sèche-cheveux. The treated hair is rinsed then a shampoo (DOP chamomile) is performed and the hair is dried with a hair dryer.
Les cheveux traités après l'application des 2 compositions présentent une hydrophobie de surface améliorée rémanente au shampooing ainsi qu'un bon toucher.The hair treated after the application of the 2 compositions have improved surface hydrophobicity retentive shampoo and a good touch.
Exemple 3 :Example 3
Sur une mèche de cheveux sensibilisés (type SA 20), on applique la composition de basecoat suivante (teneurs en pourcentage pondéral) : On a strand of sensitized hair (type SA 20), the following composition of basecoat (contents in percentage by weight) is applied:
Copolymère poly(vinylamine/vinylformamide) Poly (vinylamine / vinylformamide) copolymer
(LUPAMIN® 9030 de chez BASF) 0,5 % (LUPAMIN® 9030 from BASF) 0.5%
Eau qsp 100 % Water qs 100%
On laisse poser pendant 30 minutes à 60 °C Allowed to stand for 30 minutes at 60 ° C
On essuie l'excès de produit puis applique la composition de topcoat suivante : ester d'acide palmitique et de N-hydroxysuccinimide 3 %The excess product is wiped off and then the following topcoat composition is applied: palmitic acid ester and N-hydroxysuccinimide 3%
acétate de butyle/éthanol (50/50 poids/poids) qsp 00 %butyl acetate / ethanol (50/50 w / w) qs 00%
On laisse poser pendant 30 minutes. Let it sit for 30 minutes.
On rince les cheveux traités puis on effectue un shampooing (DOP camomille) et les cheveux sont séchés au sèche-cheveux. The treated hair is rinsed then a shampoo (DOP chamomile) is performed and the hair is dried with a hair dryer.
Les cheveux traités après l'application des 2 compositions présentent une hydrophobie de surface améliorée rémanente au shampooing ainsi qu'un bon toucher. Exemple 4 :The hair treated after the application of the 2 compositions have improved surface hydrophobicity retentive shampoo and a good touch. Example 4
Sur une mèche de cheveux sensibilisés (type SA20), on a appliqué la composition de basecoat suivante (teneurs en pourcentage pondéral) : On a lock of sensitized hair (type SA20), the following composition of basecoat (contents in percentage by weight) was applied:
Polylysine (Polylysine 25 % solution de chez JNC) 0,5 % MAPolylysine (Polylysine 25% solution from JNC) 0.5% MA
(référence 47,913-6 de chez Aldrich) (reference 47,913-6 from Aldrich)
Eau qsp 100 % Water qs 100%
On laisse poser pendant 30 minutes à 60 °C Allowed to stand for 30 minutes at 60 ° C
On essuie l'excès de produit puis applique la composition de topcoat suivante : ester d'acide palmitique et de N-hydroxysuccinimide 3 % The excess product is wiped off and then the following topcoat composition is applied: palmitic acid ester and N-hydroxysuccinimide 3%
acétate de butyle/éthanol (50/50 poids/poids) qsp 00 %butyl acetate / ethanol (50/50 w / w) qs 00%
On laisse poser pendant 30 minutes.Let it sit for 30 minutes.
On rince les cheveux traités puis on effectue un shampooing (DOP camomille) et les cheveux sont séchés au sèche-cheveux. The treated hair is rinsed then a shampoo (DOP chamomile) is performed and the hair is dried with a hair dryer.
Les cheveux traités après l'application des 2 compositions présentent une hydrophobie de surface améliorée rémanente au shampooing ainsi qu'un bon toucher.The hair treated after the application of the 2 compositions have improved surface hydrophobicity retentive shampoo and a good touch.

Claims

REVENDICATIONS
1 . Procédé cosmétique non thérapeutique de traitement des fibres kératiniques, comprenant dans l'ordre suivant :1. Non-therapeutic cosmetic process for treating keratin fibers, comprising in the following order:
une étape d'application sur les fibres kératiniques d'une première composition cosmétique comprenant un polymère aminé à groupe aminé primaire,a step of applying to the keratin fibers a first cosmetic composition comprising an amino polymer with a primary amino group,
puis une étape d'application d'une deuxième composition cosmétique comprenant un ester activé de formule (I) :then a step of applying a second cosmetic composition comprising an activated ester of formula (I):
R-C(O)OA (I) dans laquelle R désigne un groupe alkyle en C5-C2 , R-C(O)OA (I) in which R denotes a C5-C2 alkyl group,
Ai désigne un groupe réactif choisi parmi :Ai designates a reactive group chosen from:
Figure imgf000014_0001
Figure imgf000014_0001
avec T= indépendamment H ou F ou Cl with T= independently H or F or Cl
2. Procédé selon la revendication précédente, caractérisé en ce que le polymère aminé est choisi parmi :2. Method according to the preceding claim, characterized in that the amine polymer is chosen from:
- les poly(alkylène (C2-C5) imines) ; - poly(alkylene (C2 -C5 ) imines);
- la poly(allylamine) ;- poly(allylamine);
- les polyvinylamines , les les copolymères vinylamine/vinylformamide ; - polyvinylamines, vinylamine/vinylformamide copolymers;
- les polyacides aminés présentant des groupes NH2 ; - polyamino acids presenting NH2 groups;
- l'amino dextrane ; - amino dextran;
- les copolymères vinyl aminé / alcool vinylique ; - vinyl amine/vinyl alcohol copolymers;
- les polymères à d'acrylamidopropylamine ;- acrylamidopropylamine polymers;
- les chitosanes. - chitosans.
3. Procédé selon l'une quelconque des revendications précédentes, caractérisé en ce que le polymère aminé est choisi parmi : - les poly(éthylène imine) ;3. Method according to any one of the preceding claims, characterized in that the amine polymer is chosen from: - poly(ethylene imine);
- la poly(allylamine) ; - poly(allylamine);
- la polylysine ; - polylysine;
- les copolymères vinylamine/vinylformamide ; - vinylamine/vinylformamide copolymers;
- les chitosanes. - chitosans.
4. Procédé selon l'une quelconque des revendications précédentes, caractérisé en ce que le polymère aminé est une poly allylamine.4. Method according to any one of the preceding claims, characterized in that the amine polymer is a poly allylamine.
5. Procédé selon l'une quelconque des revendications précédentes, caractérisé en ce que le polymère aminé a un poids moléculaire moyen en poids allant de 200 à 1 000 000 g/mol, de préférence allant de 300 à 500 000 g/mol.5. Method according to any one of the preceding claims, characterized in that the aminated polymer has a weight average molecular weight ranging from 200 to 1,000,000 g/mol, preferably ranging from 300 to 500,000 g/mol.
6. Procédé selon l'une quelconque des revendications précédentes, caractérisé en ce que le polymère aminé a une solublité dans l'eau, à 25 °C, d'au moins 0,16. Process according to any one of the preceding claims, characterized in that the aminated polymer has a solubility in water, at 25°C, of at least 0.1
7. Procédé selon l'une quelconque des revendications précédentes, caractérisé en ce que le polymère aminé est présent dans la première composition en une teneur allant de 0,001 à 20 % en poids, par rapport au poids total de la composition, de préférence allant de 0,001 à 10 % en poids, et préférentiellement allant de 0,001 à 5 % en poids, et plus préférentiellement allant de 0,1 à 5 % en poids.7. Method according to any one of the preceding claims, characterized in that the amino polymer is present in the first composition in a content ranging from 0.001 to 20% by weight, relative to the total weight of the composition, preferably ranging from 0.001 to 10% by weight, and preferably ranging from 0.001 to 5% by weight, and more preferably ranging from 0.1 to 5% by weight.
8. Procédé selon l'une quelconque des revendications précédentes, caractérisé en ce que pour l'ester activé de formule (I) R désigne un groupe alkyle en Cg- Ci 7, de préférence en Ci -Q, 5 .8. Method according to any one of the preceding claims, characterized in that for the activated ester of formula (I) R denotes a Cg-Ci 7, preferably Ci -Q, 5 alkyl group.
9. Procédé selon l'une quelconque des revendications précédentes, caractérisé en ce que pour l'ester activé de formule (I) A1 désigne le groupe réactif
Figure imgf000015_0001
9. Method according to any one of the preceding claims, characterized in that for the activated ester of formula (I) A1 denotes the reactive group
Figure imgf000015_0001
et R désigne un groupe alkyle en C9-C17, préférentiellement en and R denotes a C9-C17 alkyl group, preferably in
C1 1 -C15 .C1 1 -C15 .
10. Procédé selon l'une quelconque des revendications précédentes, caractérisé en ce que l'ester activé de formule (I) est choisi parmi : l'ester d'acide laurique et du N-hydroxy succinimide, l'ester d'acide palmitique et du N-hydroxysuccinimide.10. Method according to any one of the preceding claims, characterized in that the activated ester of formula (I) is chosen from: the ester of lauric acid and N-hydroxy succinimide, the ester of palmitic acid and N-hydroxysuccinimide.
1 1 . Procédé selon l'une quelconque des revendications précédentes, caractérisé en ce que l'ester activé de formule (I) est présent dans la deuxième composition en une teneur allant de 0,1 à 5 % en poids par rapport au poids total de la com- position, de préférence allant de 0,5 à 4 % en poids, et préférentiellement allant de 1 à 4 % en poids.1 1 . Process according to any one of the preceding claims, characterized in that the activated ester of formula (I) is present in the second composition in a content ranging from 0.1 to 5% by weight relative to the total weight of the composition. - position, preferably ranging from 0.5 to 4% by weight, and preferably ranging from 1 to 4% by weight.
12. Procédé selon l'une quelconque des revendications précédentes, caractérisé en ce qu'après application sur les fibres kératiniques de la composition cosmétique comprenant le polymère aminé et/ou l'ester activé, on peut laisser poser la composition appliquée pendant une durée allant de 1 à 60 minutes, de préférence à une température allant de 15 °C à 45 °C12. Method according to any one of the preceding claims, characterized in that after application to the keratin fibers of the cosmetic composition comprising the amino polymer and/or the activated ester, the applied composition can be left on for a period ranging 1 to 60 minutes, preferably at a temperature of 15°C to 45°C
13. Procédé selon l'une quelconque des revendications précédentes, caractérisé en ce qu'il est mis en œuvre sur des cheveux.13. Method according to any one of the preceding claims, characterized in that it is carried out on hair.
14. Kit comprenant :14. Kit including:
une première composition cosmétique comprenant un polymère aminé tel que dé- fini selon l'une des revendications 1 à 7 et une deuxième composition cosmétique comprenant un ester activé tel que défini selon l'une des revendications 1 et 8 à 1 1 , les premières et deuxième compositions étant conditionnées chacune dans un ensemble de conditionnement distinct.a first cosmetic composition comprising an amino polymer as defined according to one of claims 1 to 7 and a second cosmetic composition comprising an activated ester as defined according to one of claims 1 and 8 to 1 1, the first and second compositions each being packaged in a separate packaging assembly.
PCT/FR2015/0504122014-02-262015-02-20Method for treating keratin fibres with an amino polymer and an activated esterWO2015128566A1 (en)

Priority Applications (2)

Application NumberPriority DateFiling DateTitle
US15/121,134US10045929B2 (en)2014-02-262015-02-20Method for treating keratin fibres with an amino polymer and an activated ester
EP15709287.5AEP3110395B1 (en)2014-02-262015-02-20Method for treating keratin fibres with an amino polymer and an activated ester

Applications Claiming Priority (2)

Application NumberPriority DateFiling DateTitle
FR14515362014-02-26
FR1451536AFR3017797B1 (en)2014-02-262014-02-26 PROCESS FOR TREATING KERATIN FIBERS WITH AN AMINO POLYMER AND AN ACTIVE ESTER

Publications (1)

Publication NumberPublication Date
WO2015128566A1true WO2015128566A1 (en)2015-09-03

Family

ID=50513328

Family Applications (1)

Application NumberTitlePriority DateFiling Date
PCT/FR2015/050412WO2015128566A1 (en)2014-02-262015-02-20Method for treating keratin fibres with an amino polymer and an activated ester

Country Status (4)

CountryLink
US (1)US10045929B2 (en)
EP (1)EP3110395B1 (en)
FR (1)FR3017797B1 (en)
WO (1)WO2015128566A1 (en)

Cited By (8)

* Cited by examiner, † Cited by third party
Publication numberPriority datePublication dateAssigneeTitle
WO2017029335A1 (en)*2015-08-172017-02-23L'orealMethod for treating keratin fibres with a polymer containing a nucleophilic group and a polyalkoxylated activated (thio) ester
WO2017029336A1 (en)*2015-08-172017-02-23L'orealProcess for treating keratin fibres with an alkoxysilane polymer bearing a nucleophilic group and an activated (thio)ester
GB2559443A (en)*2016-09-302018-08-08Innospec LtdMethods, compositions and uses relating thereto
GB2559312A (en)*2016-09-302018-08-08Innospec LtdMethods, compositions and uses relating thereto
WO2019175041A1 (en)2018-03-152019-09-19Basf SeA composition suitable for hair care
WO2021004845A1 (en)2019-07-082021-01-14Basf SeLysine-branched copolymer
WO2021151828A1 (en)2020-01-302021-08-05Basf SeThe use of a polylysine for increasing the gloss of hair
WO2021239622A1 (en)2020-05-272021-12-02Basf SeBranched amino-acid-based polymers for hair strengthening

Families Citing this family (3)

* Cited by examiner, † Cited by third party
Publication numberPriority datePublication dateAssigneeTitle
US10250058B2 (en)2016-09-152019-04-02Raytheon CompanyCharge management system
GB201616670D0 (en)2016-09-302016-11-16Innospec LtdMethods, compositions and uses relating thereto
GB201616666D0 (en)2016-09-302016-11-16Innospec LtdMethods, compositions and uses relating thereto

Citations (8)

* Cited by examiner, † Cited by third party
Publication numberPriority datePublication dateAssigneeTitle
FR2289167A2 (en)1974-10-251976-05-28Reckitt & Colmann Prod Ltd IMPROVED COSMETIC COMPOSITIONS
JPS57159706A (en)*1981-03-301982-10-01Takemi TamuraHair cosmetic
US4713236A (en)1981-12-071987-12-15Morton Thiokol, Inc.Polymeric amine conditioning additives for hair care products
WO2008001563A1 (en)2006-06-302008-01-03Sharp Kabushiki KaishaBacklight module manufacturing method, lamp unit, lighting jig, illuminating apparatus, display apparatus, and television receiving apparatus
FR2910276A1 (en)2006-12-202008-06-27OrealUse of cationic polymers in hair styling compositions containing alkoxysilanes with solubilizing functional groups, to avoid degradation in hair feel
WO2008156327A2 (en)2007-06-202008-12-24Lg Household & Health Care Ltd.Lipid having specific functional group and personal care composition comprising the lipid
KR20120036877A (en)2009-06-122012-04-18자콥스 비히클 시스템즈, 인코포레이티드.Exhaust brake
KR20130114468A (en)*2012-04-092013-10-18주식회사 엘지생활건강Cosmetic compositon for hair and method for hair tretments using the same

Family Cites Families (6)

* Cited by examiner, † Cited by third party
Publication numberPriority datePublication dateAssigneeTitle
US2874126A (en)*1956-02-081959-02-17Emulsol Chemical CorpHair shampoo
US4637892A (en)*1986-02-041987-01-20Merryman Ora SCleaning solution
US20020172650A1 (en)*2001-03-302002-11-21Cannell David W.Heat activated durable conditioning compositions comprising C1 to C22 substituted C3 to C5 monosaccharides and methods for using same
US20050129646A1 (en)*2003-11-282005-06-16L'orealComposition capable of forming a polymer matrix comprising hollow reliefs or excrescences
WO2009073759A1 (en)*2007-12-042009-06-11Boston Cosmetics, LlcPigment compositions for hair coloring
FR2926988B1 (en)*2008-01-312014-05-23Oreal AQUEOUS COSMETIC COMPOSITION COMPRISING A VINYLFORMAMIDE / VINYLFORMAMINE COPOLYMER, A NON-SILICONE FATTY BODY AND SURFACTANT

Patent Citations (8)

* Cited by examiner, † Cited by third party
Publication numberPriority datePublication dateAssigneeTitle
FR2289167A2 (en)1974-10-251976-05-28Reckitt & Colmann Prod Ltd IMPROVED COSMETIC COMPOSITIONS
JPS57159706A (en)*1981-03-301982-10-01Takemi TamuraHair cosmetic
US4713236A (en)1981-12-071987-12-15Morton Thiokol, Inc.Polymeric amine conditioning additives for hair care products
WO2008001563A1 (en)2006-06-302008-01-03Sharp Kabushiki KaishaBacklight module manufacturing method, lamp unit, lighting jig, illuminating apparatus, display apparatus, and television receiving apparatus
FR2910276A1 (en)2006-12-202008-06-27OrealUse of cationic polymers in hair styling compositions containing alkoxysilanes with solubilizing functional groups, to avoid degradation in hair feel
WO2008156327A2 (en)2007-06-202008-12-24Lg Household & Health Care Ltd.Lipid having specific functional group and personal care composition comprising the lipid
KR20120036877A (en)2009-06-122012-04-18자콥스 비히클 시스템즈, 인코포레이티드.Exhaust brake
KR20130114468A (en)*2012-04-092013-10-18주식회사 엘지생활건강Cosmetic compositon for hair and method for hair tretments using the same

Non-Patent Citations (6)

* Cited by examiner, † Cited by third party
Title
C. BOUILLON; J.WILKINSON: "Evaluation of product efficacy", 2005, article "The science of Hair Care", pages: 407
DATABASE WPI Week 198320, Derwent World Patents Index; AN 1983-47418K, XP002731377*
DATABASE WPI Week 201414, Derwent World Patents Index; AN 2013-T28949, XP002731374*
JANET WOODARD: "Aziridine Chemistry - Applications for Cosmetics", J. SOC. COSMET. CHEM., 1 January 1972 (1972-01-01), pages 593 - 603, XP055147506, Retrieved from the Internet <URL:http://journal.scconline.org//pdf/cc1972/cc023n10/p00593-p00603.pdf> [retrieved on 20141020]*
TARA E. GOTTSCHALCK AND HALYNA P. BRESLAWEC: "International Cosmetic Ingredient Dictionary and Handbook", vol. 2, 2012, PERSONAL CARE PRODUCTS COUNCIL, Washington, D.C., article "Polylysine", pages: 2540 - 2541, XP002731375*
TARA E. GOTTSCHALCK AND HALYNA P. BRESLAWEC: "International Cosmetic Ingredient Dictionary and Handbook", vol. 3, 2012, PERSONAL CARE PRODUCTS COUNCIL, Washington, D.C., article "Vinylamine/vinylformamide copolymer", pages: 3462, XP002731376*

Cited By (11)

* Cited by examiner, † Cited by third party
Publication numberPriority datePublication dateAssigneeTitle
WO2017029335A1 (en)*2015-08-172017-02-23L'orealMethod for treating keratin fibres with a polymer containing a nucleophilic group and a polyalkoxylated activated (thio) ester
WO2017029336A1 (en)*2015-08-172017-02-23L'orealProcess for treating keratin fibres with an alkoxysilane polymer bearing a nucleophilic group and an activated (thio)ester
FR3040136A1 (en)*2015-08-172017-02-24Oreal PROCESS FOR TREATING KERATINOUS FIBERS WITH A NUCLEOPHILIC GROUP POLYMER AND A POLYALCOXYLATED ACTIVE THIO (ES)
FR3040137A1 (en)*2015-08-172017-02-24Oreal PROCESS FOR TREATING KERATIN FIBERS WITH A NUCLEOPHILIC ALCOXYSILANE POLYMER AND AN ACTIVE (THIO) ESTER
GB2559443A (en)*2016-09-302018-08-08Innospec LtdMethods, compositions and uses relating thereto
GB2559312A (en)*2016-09-302018-08-08Innospec LtdMethods, compositions and uses relating thereto
GB2559443B (en)*2016-09-302020-09-23Innospec LtdA method of combatting colour loss from a dyed material
WO2019175041A1 (en)2018-03-152019-09-19Basf SeA composition suitable for hair care
WO2021004845A1 (en)2019-07-082021-01-14Basf SeLysine-branched copolymer
WO2021151828A1 (en)2020-01-302021-08-05Basf SeThe use of a polylysine for increasing the gloss of hair
WO2021239622A1 (en)2020-05-272021-12-02Basf SeBranched amino-acid-based polymers for hair strengthening

Also Published As

Publication numberPublication date
EP3110395B1 (en)2019-01-30
US10045929B2 (en)2018-08-14
EP3110395A1 (en)2017-01-04
FR3017797A1 (en)2015-08-28
US20170007528A1 (en)2017-01-12
FR3017797B1 (en)2019-09-27

Similar Documents

PublicationPublication DateTitle
EP3110395B1 (en)Method for treating keratin fibres with an amino polymer and an activated ester
EP1108416A1 (en)Cosmetic aqueous emulsion compositions containing a vinyldimethicone/dimethicone copolymer and an associative thickener and their uses
JP7213819B2 (en) chemical composition
US20180344606A1 (en)A hair care composition, process for preparing the same and method of use thereof
US20180353401A1 (en)A hair care composition, process for preparing the same and method of use thereof
BR112017006015B1 (en) POLYORGANOSYLOXAN, METHOD TO TREAT AMINO ACID-BASED SUBSTRATES, COMPOSITION TO TREAT AMINO ACID-BASED SUBSTRATES, AND KIT
US8540975B2 (en)Hair styling method
US20110180093A1 (en)Hair styling method
EP0827391B1 (en)Cosmetic composition including an acrylic anionic polymer and an oxyalkylene silicone
EP1584329B2 (en)Hair treatment method and its use
FR3010311A1 (en) PROCESS FOR TREATING KERATIN FIBERS WITH POLYSACCHARIDE AND SILANE ADDED IN WATER
CA2360899A1 (en)Cosmetic composition providing good wearing properties and including an acid unit bearing copolymer
CA2735362A1 (en)Hair styling method
WO1996023482A1 (en)Cosmetic composition containing non-ionic guar gum and a non-cross linked anionic polymer
JP2004346040A (en)Hair cosmetic, styling agent for damaged hair and hair-care styling method
EP1064915A1 (en)Cosmetic compositions containing an amphoteric polymer and a conditioning agent and their uses
FR3040137A1 (en) PROCESS FOR TREATING KERATIN FIBERS WITH A NUCLEOPHILIC ALCOXYSILANE POLYMER AND AN ACTIVE (THIO) ESTER
JP6548350B1 (en) Hair repair composition and hair repair method
JP2001064121A (en)Hair cosmetic
FR2948874A1 (en)Cosmetic composition, useful e.g. as a care product, a sunscreen or tanning product, a personal hygiene product, comprises polymer comprising at least one 3,4-dimethyl-pyrrolidinium salt in a medium
JPS5855407A (en) Hair cosmetic composition
EP1430872A1 (en)Cosmetic compositions comprising an amphoteric surfactant and a hydroxilic acid and their use
FR2927802A1 (en) COSMETIC COMPOSITION COMPRISING A REACTIVE GROUP STATISTICAL ETHYLENIC POLYMER, AND COSMETIC PROCESSING METHOD.

Legal Events

DateCodeTitleDescription
121Ep: the epo has been informed by wipo that ep was designated in this application

Ref document number:15709287

Country of ref document:EP

Kind code of ref document:A1

REEPRequest for entry into the european phase

Ref document number:2015709287

Country of ref document:EP

WWEWipo information: entry into national phase

Ref document number:2015709287

Country of ref document:EP

WWEWipo information: entry into national phase

Ref document number:15121134

Country of ref document:US

NENPNon-entry into the national phase

Ref country code:DE


[8]ページ先頭

©2009-2025 Movatter.jp