Movatterモバイル変換


[0]ホーム

URL:


WO2015114102A1 - Silyl substituted azadibenzofurans and azadibenzothiophenes - Google Patents

Silyl substituted azadibenzofurans and azadibenzothiophenes
Download PDF

Info

Publication number
WO2015114102A1
WO2015114102A1PCT/EP2015/051953EP2015051953WWO2015114102A1WO 2015114102 A1WO2015114102 A1WO 2015114102A1EP 2015051953 WEP2015051953 WEP 2015051953WWO 2015114102 A1WO2015114102 A1WO 2015114102A1
Authority
WO
WIPO (PCT)
Prior art keywords
group
formula
compound
substituted
compounds
Prior art date
Application number
PCT/EP2015/051953
Other languages
French (fr)
Inventor
Ilona STENGEL
Annemarie Wolleb
Heinz Wolleb
Ute HEINEMEYER
Hideaki Nagashima
Original Assignee
Basf Se
Idemitsu Kosan Co., Ltd.
Priority date (The priority date is an assumption and is not a legal conclusion. Google has not performed a legal analysis and makes no representation as to the accuracy of the date listed.)
Filing date
Publication date
Application filed by Basf Se, Idemitsu Kosan Co., Ltd.filedCriticalBasf Se
Publication of WO2015114102A1publicationCriticalpatent/WO2015114102A1/en

Links

Classifications

Definitions

Landscapes

Abstract

The present invention relates to compounds of formula (I), which are characterized in that they are substituted by at least one group of formula (II) and in that at least one of the substituents B1, B2, B3, B4, B5, B6, B7 and B8 represents N; a process for their production and their use in electronic devices, especially electroluminescent devices. When used as electron transport material, hole blocking material and/or host material for phosphorescent emitters in electroluminescent devices, the compounds of formula I may provide improved efficiency, stability, manufacturability, or spectral characteristics of electroluminescent devices.

Description

Silyl substituted azadibenzofurans and azadibenzothiophenes
Description The present invention relates to compounds of formula (I), a process for their production and their use in electronic devices, especially electroluminescent devices. When used as electron transport material, hole blocking material and/or host material for phosphorescent emitters in electroluminescent devices, the compounds of formula I may provide improved efficiency, stability, manufacturability, or spectral characteristics of electroluminescent de- vices.
US20090134784 provides carbazole-containing compounds. In particular, the compounds are oligocarbazole-containing compounds having an unsymmetrical structure. The compounds may be substituted by azadibenzofuranyl and are useful as hosts in the emissive layer of organic light emitting devices.
WO201002 rganic light emitting devices. The follow
ing compou
Figure imgf000002_0001
is used as host and exciton blocking material.
US20100187984 discloses a process for making an aza-dibenzothiophene compound or an aza-dibenzofuran compound, comprising:
tre ution of an amino-arylthio pyridine intermediate having the formu
Figure imgf000002_0002
la , wherein one of Xi and X2 is nitrogen and the other of Xi and X2 is carb or O, with tBuONO to produce an aza complex having the
Figure imgf000002_0003
formula , wherein Ri and R2 may represent mono, di, tri, or tetra substitutions; wherein Ri is selected from the group consisting of hydrogen, alkyl, aryl, het- eroaryl and halide; and wherein R2 is selected from the group consisting of hydrogen, alkyl, aryl and halide. The aza-dibenzothiophene and aza-dibenzofuran compounds disclosed in US20100187984 are used as hosts in OLEDs.
In addition, reference is made to WO2012090967, WO2010090077A1 (EP2395573), WO2011 137072, WO2010090077, WO2009060780, WO2009060757, JP2011084531 and JP2008074939 with respect to aza-dibenzofuranyl substituted compounds and their use in OLEDs.
Figure imgf000003_0001
WO2014044722 relates to compounds of formula (I), which are characterized in that they substituted by benzimidazo[1 ,2-a]benzimidazo-5-yl and/or benzimidazo[1 ,2-a]benzimidazo-2,5-ylene groups and in that at least one of the substitu- ents B1, B2, B3, B4, B5, B6, B7 and B8 represents N; a process for their production and their use in electronic devices, especially electroluminescent devices.
WO2007142038 discloses triphenylsilyl substituted dibenzothiophenes and dibenzofurans for use in OLEDs.
WO2009003919A1 relates to an organic light-emitting diode comprising an anode An and a cathode Ka and a light-emitting layer E arranged between the anode An and the cathode Ka, and if appropriate at least one further layer, wherein the light-emitting layer E and/or the at least one further layer comprises at least one compound selected from disilylcarbazoles, disilyl-dibenzofurans, disilyldibenzothiophenes, disilyldibenzophospholes, disilyldibenzothi- ophene S-oxides and disilyldibenzothiophene S,S-dioxides.
WO2010079051 relates to silyl and heteroatom substituted compounds, selected from car- bazoles, dibenzofurans, dibenzothiophenes and disilylbenzophospholes and to the application of these compounds in organic-electronic applications, preferably in organic light diodes.
WO2010140801 discloses silyl-substituted dibenzothiophen and dibenzofuran heterocycles for use in electronic devices.
WO2012102967 relates to compounds comprising an aza-dibenzo moiety and a condensed aromatic moiety having at least three benzene rings are provided. In particular, the compounds may comprise an azadibenzofuran, azadibenzothiophene, or azadibenzose- lenophene joined directly or indirectly to an anthracene. The compounds may be used in the electron transport layer of organic light emitting devices. WO2013038650 relates to compounds relates to compounds represented by formula
Figure imgf000004_0001
(1)
wherein A1 represents O, S, Si(Ar )(Ar2), P(=0)(Ar3)(Ar4), a substituted or unsubstituted arylene group having 6 to 30 ring-forming carbon atoms, or a substituted or unsubstituted heteroarylene group having 5 to 30 ring-forming atoms.
US2013119353 relates to aryl silicon and aryl germanium host materials. In particular host materials containing triphenylene and pyrene fragments are described.
WO2011160758 relates to compounds according to formula
Figure imgf000004_0002
(1), which are suitable for use in electronic devices, in particular organic electroluminescent devices. Ar1 and Ar2 may be the same or different and x-x
<■■·
x=x
are a group of formula wherein at least two groups X are N. US2012298966 relates to aryl silicon and aryl germanium host materials, which may be used as hosts in the emissive layer of OLEDs. The host materials contain a -Si(Ar)(Ar1)-, or -Ge(Ar)(Ar1)- group, wherein Ar and Ar1 contains a group selected from the group consisting of dibenzofuran, dibenzothiophene, azadibenzofuran, azadibenzothiophene, dibenzose- lenophene and azadibenzoselenophene, which are optionally further substituted, and wherein the substitution is optionally fused to at least one benzo ring.
WO12153780A1 organic EL material having a meta-phenylene skeleton in the molecular skeleton and an organic electroluminescence device that employs this material.
Figure imgf000005_0001
WO13069242A1 relates to compounds represented by formula (1), wherein each of Ci and C2 represents a carbon atom; each of X1-X4 represents N, CH or C(Ri); and L represents a group that is represented by formula (2), -l_i-(A)n, wherein Li represents
a group represented by formula
Figure imgf000005_0002
(3) and A represents an alkyl group, a cycloalkyl group, an alkoxy group, a cycloalkoxy group, an aryl group, an aryloxy group, an arylthio group, a heteroaryl group, a heteroaryloxy group, an amino group, a silyl group, a diaryloxy phosphinyl group, a divalent group corresponding to one of these groups, a fluoro group or a cyano group. US2013293094A relates to novel asymmetric host compounds containing an electron- transport moiety, a hole-transport moiety, an aromatic spacer, and a triaryl silane group are provided. These compounds are useful materials that can be incorporated into OLED devices. None of the above references disclose triphenylsilyl substituted azadibenzofurans and aza- dibenzothiophenes.
Notwithstanding these developments, there remains a need for organic light emitting devices comprising new electron transport materials to provide improved efficiency, stability, manufacturability, and/or spectral characteristics of electroluminescent devices.
Accordingly, it is an object of the present invention, with respect to the aforementioned prior art, to provide further materials suitable for use in OLEDs and further applications in organic electronics. More particularly, it should be possible to provide electron transport materi- als, hole/exciton blocker materials and matrix materials for use in OLEDs. The materials should be suitable especially for OLEDs which comprise at least one phosphorescence emitter, especially at least one green emitter or at least one blue emitter. Furthermore, the materials should be suitable for providing OLEDs which ensure good efficiencies, good operative lifetimes and a high stability to thermal stress, and a low use and operating volt- age of the OLEDs.
Certain triphenylsilyl substituted azadibenzofurans and azadibenzothiophenes are found to be suitable for use in organo-electroluminescent devices. In particular, said derivatives are suitable electron transporting materials, hole blocking materials or host materials for phos- phorescent emitters with good efficiency and durability. Accordin ly the present invention relates to compounds of formula
Figure imgf000006_0001
(I), wherein
YisO, orS,
s N, orCR8
B2 s N, orCR82
B3 s N, orCR83
B4 s N, orCR84
Figure imgf000006_0002
Be s N, orCR86
B7 s N, orCR87
B8 s N, orCR88
R81, R82, R83, R84, R85 , R86, R87 and R88 are independently of each other H, CN, F, a Ci- C25alkyl group, which can optionally be interupted by D; a Cs-Cearyl group, which can optionally be substituted by G; a C2-Csheteroaryl group, which can optionally be substituted
R90
91
Figure imgf000006_0003
by G; or a group of formula (ID,
o is 0, or 1, p is 0, or 1,
Figure imgf000006_0004
A1 and A2 are independently of each other a group of formula or
Figure imgf000006_0005
s H, a roup of formula or group of formula
Figure imgf000006_0006
Y' and Y" are independently of each other O, or S,
Bi ' is N, or CR81 ',
B2' is N, or CR82',
B3' is N, or CR83',
B4' is N, or CR84',
Figure imgf000007_0001
B6' is N, or CR86',
B7' is N, or CR87',
B8' is N, or CR88',
R8 ', R82', R83', R84', R85 ', R86', R87' and R88' are independently of each other H, CN, F, a Ci- C25alkyl group, which can optionally be interupted by D;
R9o R9ianc| R92are independently of each other a phenyl group, which may optionally be substituted by one, or more d-Csalkyl groups,
R93 and R94 are independently of each other H, or a Ci-C2salkyl group;
D is -CO-, -COO-, -S-, -SO-, -SO2-, -0-, -NR∞-, -SiR70R71-, -POR72-, -CR63=CR64-, or -C≡C-
E is -OR69, -SR69, -NR65R66, -COR68, -COOR67, -CONR65R66, -CN, or F,
G is E, or a C-i-C-isalkyl group, a C6-C24aryl group, a C6-C24aryl group, which is substituted by F, Ci-Ci8alkyl, or Ci-Cisalkyl which is interrupted by O; a C2-C3oheteroaryl group, or a C2-C3oheteroaryl group, which is substituted by F, C-i-C-isalkyl, or C-i-C-isalkyl which is interrupted by O;
R63 and R64 are independently of each other H, C6-Cisaryl; C6-Cisaryl which is substituted by Ci-Cisalkyl, or Ci-Cisalkoxy; Ci-Cisalkyl; or Ci-Cisalkyl which is interrupted by -O-; R65 and R66 are independently of each other a C6-Cisaryl group; a C6-Cisaryl which is sub- stituted by C-i-C-isalkyl, or Ci-Cisalkoxy; a Ci-Cisalkyl group; or a C-i-C-isalkyl group, which is interrupted by -0-; or
R65 and R66 together form a five or six membered ring,
R67 is a C6-Ci8aryl group; a C6-Cisaryl group, which is substituted by Ci-Cisalkyl, or Ci- Ciealkoxy; a Ci-Cisalkyl group; or a C-i-C-isalkyl group, which is interrupted by -O-, R68 is H; a C6-Cisaryl group; a C6-Cisaryl group, which is substituted by C-i-C-isalkyl, or Ci- Cisalkoxy; a Ci-Cisalkyl group; or a Ci-Cisalkyl group, which is interrupted by -O-, R69 is a C6-Ciearyl; a C6-Cisaryl, which is substituted by Ci-Cisalkyl, or Ci-Cisalkoxy; a Ci- Ciealkyl group; or a Ci-Cisalkyl group, which is interrupted by -O-,
R70 and R71 are independently of each other a Ci-Cisalkyl group, a C6-Cisaryl group, or a Ce-Cisaryl group, which is substituted by Ci-Cisalkyl, and
R72 is a Ci-Cisalkyl group, a C6-Cisaryl group, or a C6-Cisaryl group, which is substituted by Ci-Cisalkyl, with the provisos that
at least one of the substituents B , B2, B3, B4, B5, B6, B7 and B8 represents N;
not more than two of the groups B1 , B2, B3 and B4 represent N;
not more than two of the groups B5, B6, B7 and B8 represent N; and
at least one of the substituents R81, R82, R83, R84, R85, R86, R87 and R88 represents a group of formula (II).
Certain compounds of the present invention show, when used as host and/or hole blocker in combination with phosphorescent emitters, excellent power efficiencies, in particular. Electroluminescent (EL) devices comprising the compounds of the present invention exhibit reduced drive voltage while maintaining excellent luminance properties. Furthermore, the colour and EQE can be improved and the roll-off may be reduced by use of the inventive compounds.
The compounds of the present invention may be used for electrophotographic photoreceptors, photoelectric converters, organic solar cells (organic photovoltaics), switching elements, such as organic transistors, for example, organic FETs and organic TFTs, organic light emitting field effect transistors (OLEFETs), image sensors, dye lasers and electrolumi- nescent devices, such as, for example, organic light-emitting diodes (OLEDs).
Accordingly, a further subject of the present invention is directed to an electronic device, comprising a compound according to the present invention. The electronic device is preferably an electroluminescent device.
The compounds of formula I can in principal be used in any layer of an EL device, but are preferably used as host, electron transport and/or hole blocking material.
Hence, a further subject of the present invention is directed to an electron transport layer and/or a hole blocking layer comprising a compound of formula I according to the present invention.
A further subject of the present invention is directed to an emitting layer, comprising a compound of formula I according to the present invention. In said embodiment a compound of formula I is preferably used as host material in combination with a phosphorescent emitter.
D is preferably -CO-, -COO-, -S-, -SO-, -SO2-, -0-, -N R65-, wherein R65 is Ci-Ci8alkyl, such as methyl, ethyl, n-propyl, iso-propyl, n-butyl, isobutyl, tert-butyl, or sec-butyl, or C6-Ci4aryl, such as phenyl, tolyl, naphthyl, or biphenylyl, or C2-C3oheteroaryl, such as, for example,
benzimidazo[1 ,2-a]be ), benzimidazo[1 ,2
Figure imgf000008_0001
a]benzimidazo-2-yl ( ), carbazolyl, dibenzofuranyl, which can be un- substituted or substituted especially by C6-Cioaryl, or C6-Cioaryl, which is substituted by Ci- C4alkyl; or C2-Ci4heteroaryl.
E is preferably -OR69; -SR69; -N RssRss; -COR68; -COOR67; -CON RssRss; or -CN; wherein R65, R67, R68 and R69 are independently of each other Ci-Cisalkyl, such as methyl, ethyl, n- propyl, iso-propyl, n-butyl, isobutyl, tert-butyl, sec-butyl, hexyl, octyl, or 2-ethyl-hexyl, or C6- Ci4aryl, such as phenyl, tolyl, naphthyl, or biphenylyl.
Preferably, at least one of the substituents B', B2', B3', B4', B5', B6', B7' and B8' represents N; not more than two of the groups B1 ', B2', B3' and B4' represent N; and not more than two of the groups B5', B6', B7' and B8' represent N.
In present invention is directed to compounds of formula
Figure imgf000009_0001
(Ι'), wherein wherein Y is O, or S, B4, B6, R81 , R83, R85 and R87 are as defined above, with the proviso that at least one group of formula (II) is present. The number of nitrogen atoms in the basic skeleton of the compound of formula (Γ) is preferably 1 (B6 is CR86 and B4 is CR84), or 2 (B6 is N and B4 is CR84, or B6 is CR86 and B4 is N). If B4 is N, B6 is preferably CH. If B6 is N, B4 is preferably CH. I the present invention is directed to compounds of formula
Figure imgf000009_0002
(I"), wherein wherein Y is O, or S, B7, R83 and R86 are as defined above, with the proviso that at least one group of formula (II) is present. The number of nitrogen atoms in the basic skeleton of the compound of formula (I") is preferably 1 , or 2. If B7 is different from N, it is preferably CH.
A
Figure imgf000009_0003
(Id),
Figure imgf000010_0001
(If), are preferred, wherein Y is O, or S, R81, R83, R85 , R86 and R87 are as defined in claim 1 , with the proviso that in the compounds of formula (la), (lb), (lc), (Id), (le), and (If), at least one group of formula (II) is present.
In a preferred embodiment the present invention is directed to compounds of formula (la), (lb), (lc), (Id), (le), or (If), wherein Y is S.
In another preferred embodiment the present invention is directed to compounds of formula (la), (lb), (lc), (Id), (le), or (If), wherein Y is O.
R81, R82, R83, R84, R85 , R86, R87 and R88 may be a C5-C6aryl group, which can optionally be substituted by G; or a C2-Csheteroaryl group, which can optionally be substituted by G. The C5-C6aryl group, which optionally can be substituted by G, is typically phenyl, 4- methylphenyl, or 4-methoxyphenyl.
The C2-Csheteroaryl group, which optionally can be substituted by G, represent an aromatic ring with five to seven ring atoms, wherein nitrogen, oxygen or sulfur are the possible hetero atoms, and is typically, furyl, furfuryl, 2H-pyranyl, pyrrolyl, imidazolyl, pyrazolyl, pyridyl, triazinyl, pyrimidinyl, pyrazinyl, pyridazinyl, indolizinyl, isoindolyl, indolyl, or indazol- yl, which can be unsubstituted or substituted.
The C5-C6aryl and C2-Csheteroaryl groups may be substituted by G.
G has the same preferences as E, or is Ci-Cisalkyl, such as methyl, ethyl, n-propyl, iso- propyl, n-butyl, isobutyl, sec-butyl, hexyl, octyl, or 2-ethyl-hexyl, or is Ci-Ci8perfluoroalkyl, such, for example, -CF3. R81, R82, R83, R84, R85 , R86, R87 and R88 are independently of each other H, CN, F, a Ci- C25alkyl group, which can optionally be interupted by D; a Cs-Cearyl group, which can optionally be substituted by G, or a group of formula (II).
In a particularly preferred embodiment the present invention is directed to compounds of formula (la), wherein R83 is a group of formula (II) and
R87 is a group of formula (II), H, or Ci-C2salkyl;
compounds of formula (la), wherein R87 is a group of formula (II) and
R83 is a group of formula (II), H, or Ci-C2salkyl;
compounds of formula (lb), wherein R81 is a group of formula (II) and
R85 is a group of formula (II), H, or Ci-C25alkyl; compounds of formula (Ic), wherein R83 is a group of formula (II) and
R87 is a group of formula (II), H, or Ci-C25alkyl;
compounds of formula (Ic), wherein R87 is a group of formula (II) and
R83 is a group of formula (II), H, or Ci-C25alkyl;
compounds of formula (Id), wherein R83 is a group of formula (II) and
R86 is a group of formula (II), H, or Ci-C25alkyl;
compounds of formula (Id), wherein R86 is a group of formula (II) and
R83 is a group of formula (II), H, or Ci-C2salkyl;
compounds of formula (le), wherein R83 is a group of formula (II) and
R85 and R87 are a group of formula (II), H, or Ci-C25alkyl;
compounds of formula (le), wherein R85 is a group of formula (II) and
R83 and R87 are a group of formula (II), H, or Ci-C25alkyl;
compounds of formula (le), wherein R87 is a group of formula (II) and
R83 and R85 are a group of formula (II), H, or Ci-C25alkyl;
compounds of formula (If), wherein R81 is a group of formula (II) and
R83 and R87 are a group of formula (II), H, or Ci-C25alkyl;
compounds of formula (If), wherein R83 is a group of formula (II) and
R8 and R87 are a group of formula (II), H, or Ci-C25alkyl; or
compounds of formula (If), wherein R87 is a group of formula (II) and
R81 and R83 are a group of formula (II), H, or Ci-C2salkyl. In the compounds of formula (I), especially (la), (lb), (Ic), (Id), (le), or (If), at least one group of formula (II) is present. Among compounds of formula (le) compounds are more preferred, wherein R83 is a group of formula (II) and R85 and R87 are H. Among compounds of formula (If) compounds are more preferred, wherein R83 and R87 are a group of formula (II) and R81 is H; or wherein R81 and R87 are a group of formula (II) and R83 is H.
The gro ula
Figure imgf000011_0001
, wherein
o is 0, or 1 , p is 0, or 1 ;
, or
Figure imgf000011_0002
, or
Figure imgf000012_0001
R89 is H, a group of formula
Figure imgf000012_0002
Figure imgf000012_0003
. Most preferred R89 is H.
Preferably, A1 and A2 are independently of each other a
Figure imgf000012_0004
group of formula or
Figure imgf000013_0001
The group of formula (II) is more preferably a group of formula
Examples of preferred compounds are compounds C-1 to C-12, C-49 and C-50 as shown i
Figure imgf000013_0003
(C-19), (C-20), 
Figure imgf000014_0001
Figure imgf000015_0001
Figure imgf000016_0001
Figure imgf000017_0001
Ci-C25alkyl (Ci-Cisalkyl) is typically linear or branched, where possible. Examples are me- thyl, ethyl, n-propyl, isopropyl, n-butyl, sec-butyl, isobutyl, tert.-butyl, n-pentyl, 2-pentyl, 3- pentyl, 2,2-dimethylpropyl, 1 ,1 ,3,3-tetramethylpentyl, n-hexyl, 1-methylhexyl, 1 ,1 ,3,3,5,5- hexa methyl hexyl, n-heptyl, isoheptyl, 1 ,1 ,3,3-tetramethylbutyl, 1-methylheptyl, 3-methyl- heptyl, n-octyl, 1 ,1 ,3,3-tetramethylbutyl and 2-ethylhexyl, n-nonyl, decyl, undecyl, dodecyl, tridecyl, tetradecyl, pentadecyl, hexadecyl, heptadecyl, or octadecyl. d-Csalkyl is typically methyl, ethyl, n-propyl, isopropyl, n-butyl, sec-butyl, isobutyl, tert.-butyl, n-pentyl, 2-pentyl, 3-pentyl, 2,2-dimethyl-propyl, n-hexyl, n-heptyl, n-octyl, 1 ,1 ,3,3-tetramethylbutyl and 2- ethylhexyl. Ci-C4alkyl is typically methyl, ethyl, n-propyl, isopropyl, n-butyl, sec-butyl, isobutyl, tert.-butyl. Ci-C25alkoxy groups (Ci-Cisalkoxy groups) are straight-chain or branched alkoxy groups, e.g. methoxy, ethoxy, n-propoxy, isopropoxy, n-butoxy, sec-butoxy, tert-butoxy, amyloxy, isoamyloxy or tert-amyloxy, heptyloxy, octyloxy, isooctyloxy, nonyloxy, decyloxy, un- decyloxy, dodecyloxy, tetradecyloxy, pentadecyloxy, hexadecyloxy, heptadecyloxy and octadecyloxy. Examples of d-Csalkoxy are methoxy, ethoxy, n-propoxy, isopropoxy, n-butoxy, sec-butoxy, isobutoxy, tert.-butoxy, n-pentyloxy, 2-pentyloxy, 3-pentyloxy, 2,2- dimethylpropoxy, n-hexyloxy, n-heptyloxy, n-octyloxy, 1 ,1 ,3,3-tetramethylbutoxy and 2- ethylhexyloxy, preferably Ci-C4alkoxy such as typically methoxy, ethoxy, n-propoxy, isopropoxy, n-butoxy, sec-butoxy, isobutoxy, tert.-butoxy. C6-C24aryl (C6-Ci8aryl), which optionally can be substituted, is typically phenyl, 4- methylphenyl, 4-methoxyphenyl, naphthyl, especially 1-naphthyl, or 2-naphthyl, biphenylyl, terphenylyl, pyrenyl, 2- or 9-fluorenyl, phenanthryl, or anthryl, which may be unsubstituted or substituted. Phenyl, 1-naphthyl and 2-naphthyl are examples of a C6-Cioaryl group.
C2-C3oheteroaryl represents a ring with five to seven ring atoms or a condensed ring system, wherein nitrogen, oxygen or sulfur are the possible hetero atoms, and is typically a heterocyclic group with five to 30 atoms having at least six conjugated π-electrons such as thienyl, benzothiophenyl, dibenzothiophenyl, thianthrenyl, furyl, furfuryl, 2H-pyranyl, benzo- furanyl, isobenzofuranyl, dibenzofuranyl, phenoxythienyl, pyrrolyl, imidazolyl, pyrazolyl, pyridyl, bipyridyl, triazinyl, pyrimidinyl, pyrazinyl, pyridazinyl, indolizinyl, isoindolyl, indolyl, indazolyl, purinyl, quinolizinyl, chinolyl, isochinolyl, phthalazinyl, naphthyridinyl, chinoxalinyl, chinazolinyl, cinnolinyl, pteridinyl, carbazolyl, carbolinyl, benzotriazolyl, benzoxazolyl, phe- nanthridinyl, acridinyl, pyrimidinyl, phenanthrolinyl, phenazinyl, isothiazolyl, phenothiazinyl, isoxazolyl, furazanyl, 4-imidazo[1 ,2-a]benzimidazoyl, 5-benzimidazo[1 ,2-a]benzimidazoyl, carbazolyl, or phenoxazinyl, which can be unsubstituted or substituted. Benzimidazo[1 ,2- a]benzimidazo-5-yl, benzimidazo[1 ,2-a]benzimidazo-2-yl, carbazolyl and dibenzofuranyl are examples of a C2-Ci4heteroaryl group.
The wording "substituted by G" means that one, or more, especially one to three substitu- ents G might be present. If a substituent occurs more than one time in a group, it can be different in each occurrence. As described above, the aforementioned groups may be interrupted by D. Interruptions are of course possible only in the case of groups containing at least 2 carbon atoms connected to one another by single bonds. Ci-Cisalkyl interrupted by one or more units D is, for example, (CH2CH20)i-9-Rx, where Rx is H or Ci-Cioalkyl or C2-Cioalkanoyl (e.g. CO- CH(C2H5)C4H9), CH2-CH(ORy')-CH2-0-Ry, where Ry is Ci-Ci8alkyl, C5-Ci2cycloalkyl, phe- nyl, Cz-Cisphenylalkyl, and Ry' embraces the same definitions as Ry or is H;
Ci-C8alkylene-COO-Rz, e.g. CH2COORz, CH(CH3)COORz, C(CH3)2COORz, where Rz is H, Ci-Cisalkyl, (CH2CH20)i-9-Rx, and Rx embraces the definitions indicated above;
CH2CH2-0-CO-CH=CH2; CH2CH(OH)CH2-0-CO-C(CH3)=CH2. The present invention is also directed to a process for the production of a compound of
Figure imgf000018_0001
formula (la), comprising i) with a compound of formula
Figure imgf000019_0001
in a solvent, such as, for example, dimethylformamide, at elevated temperature, such as, for example, at 80 to 153 °C, for 3 to 72 hours, to obtain a
Figure imgf000019_0002
compound of formula (la'), wherein R83' is Br, I, H, CN,
F, or a Ci-C25alkyl group, which can optionally be interupted by D; and
ii) if R83' is Br, or I, reacting the compound of formula (la') with a compound of formula
R 83
m catalyst and a base,
wherei
Figure imgf000019_0003
, wherein γι is a Ci-
Cioalkyl group and Y2 is a C2-Cioalkylene group, Y13 and Y14 are independently of each other hydrogen, or a Ci-Cioalkyl group;
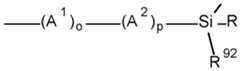
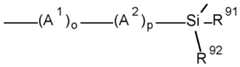
R83" is a C5-C6aryl group, which can optionally be substituted by G; a C2-Csheteroaryl group, which can optionally be substituted by G; or a group of formula
R90
1 2 / 91
-(A )o (A )p Si -R
\ 92
R
(ID,
R87 is H, a Ci-C25alkyl group, which can optionally be interupted by D; a group of formula (II), and
D, G, A1, A2, R83, R90, R91, R92, o and p are as defined above, with the proviso that R83 and/or R87 represent a group of formula (II).
The organic solvent is an aromatic hydrocarbon or a usual polar organic solvent, such as, for example benzene, toluene, xylene, tetrahydrofurane (TH F), N ,N-dimethyformamide
(DM F), dimethoxyethane (DME), or dioxane, or mixtures thereof, or mixtures of an aromatic hydrocarbon and an alcohol, such as, for example, toluene/ethanol. The organic solvent may be used in admixture with water. Suitable palladium catalysts are, for example, Pd(PPh3)4, Pd(OAc)2, Pd(PPh3)2CI2,
PdCI2(CH3CN)2, Pd(dba)2/P(t-Bu)3 and Pd2(dba)2/[t-Bu)3PH]BF4. In addition, a palladi- um/ligand system comprising selected from the group con
Figure imgf000020_0001
sisting of wherein
* -o
may be used.
Suitable bases are, for example, alkali and alkaline earth metal hydroxides, carboxylates, carbonates, fluorides and phosphates such as sodium and potassium hydroxide, acetate, carbonate, fluoride and phosphate or also metal alcoholates. It is also possible to use a mixture of bases. The reaction is preferably carried out in the presence of an aqueous base, such as, for example, an alkali metal hydroxide or carbonate such as NaOH, KOH, Na2C03, K2CO3 and CS2CO3, more preferably an aqueous K2CO3 solution is chosen. Organic bases, such as, for example, tetraalkylammonium hydroxide, and phase transfer catalysts, such as, for example tetrabutylammoniumbromide (TBAB), can promote the activity of the boron (see, for example, Leadbeater & Marco; Angew. Chem. Int. Ed. Eng. 42 (2003) 1407 and references cited therein).
Generally, the reaction temperature is chosen in the range of from 40 to 180°C, preferably under reflux conditions. Preferred, the reaction time is chosen in the range of from 1 to 80 hours, more preferably from 20 to 24 hours.
Figure imgf000020_0002
The synthesis of is described, for example, in Achour, Reddouane;
Zniber, Rachid, Bulletin d imiques Beiges 96 (1987) 787-92. Suitable base
Figure imgf000020_0003
skeletons of the formula are either commercially available (especially in the cases when X is S, O, NH), or can be obtained by processes known to those skilled in the art. Reference is made to WO2010079051 and EP1885818.
The halogenation can be performed by methods known to those skilled in the art. Preference is given to brominating or iodinating in the 3 and 6 positions (dibromination) or in the 3 or 6 positions (monobromination) of the base skeleton of the formula (II) 2,8 positions (dibenzofuran and dibenzothiophene) or 3,6 positions (carbazole).
Optionally substituted dibenzofurans, dibenzothiophenes and carbazoles can be dibromin- ated in the 2,8 positions (dibenzofuran and dibenzothiophene) or 3,6 positions (carbazole) with bromine or NBS in glacial acetic acid or in chloroform. For example, the bromination with Br2 can be effected in glacial acetic acid or chloroform at low temperatures, e.g. 0°C. Suitable processes are described, for example, in M. Park, J.R. Buck, C.J. Rizzo, Tetrahedron, 54 (1998) 12707-12714 for X= NPh, and in W. Yang et al., J. Mater. Chem. 13 (2003) 1351 for X= S. In addition, 3,6-dibromocarbazole, 3,6-dibromo-9-phenylcarbazole, 2,8- dibromodibenzothiophene, 2,8-dibromodibenzofuran, 2-bromocarbazole, 3- bromodibenzothiophene, 3-bromodibenzofuran, 3-bromocarbazole, 2- bromodibenzothiophene and 2-bromodibenzofuran are commercially available. Monobromination in the 4 position of dibenzofuran (and analogously for dibenzothiophene) is described, for example, in J. Am. Chem. Soc. 1984, 106, 7150. Dibenzofuran (dibenzothiophene) can be monobrominated in the 3 position by a sequence known to those skilled in the art, comprising a nitration, reduction and subsequent Sandmeyer reaction. Monobromination in the 2 position of dibenzofuran or dibenzothiophene and monobromination in the 3 position of carbazole are effected analogously to the dibromination, with the exception that only one equivalent of bromine or NBS is added.
Alternatively, it is also possible to utilize iodinated dibenzofurans, dibenzothiophenes and carbazoles. The preparation is described, inter alia, in Tetrahedron. Lett. 47 (2006) 6957-
6960, Eur. J. Inorg. Chem. 24 (2005) 4976-4984, J. Heterocyclic Chem. 39 (2002) 933-941 , J. Am. Chem. Soc. 124 (2002) 11900-11907, J. Heterocyclic Chem, 38 (2001) 77-87.
For the nucleophilic substitution, CI- or F-substituted dibenzofurans, dibenzothiophenes and carbazoles are required. The chlorination is described, inter alia, in J. Heterocyclic Chemistry, 34 (1997) 891-900, Org. Lett., 6 (2004) 3501-3504; J. Chem. Soc. [Section] C: Organic, 16 (1971) 2775-7, Tetrahedron Lett. 25 (1984) 5363-6, J. Org. Chem. 69 (2004) 8177-8182. The fluorination is described in J. Org. Chem. 63 (1998) 878-880 and J. Chem.
Soc, Perkin Trans. 2, 5 (2002) 953-957. Br' I , is described in EP 1885818.
Diboronic acid or diboronate group containing dibenzofurans, dibenzothiophenes and carbazoles can be readily prepared by an increasing number of routes. An overview of the synthetic routes is, for example, given in Angew. Chem. Int. Ed. 48 (2009) 9240 - 9261.
By one common route diboronic acid or diboronate group containing dibenzofurans, dibenzothiophenes, and carbazoles can be obtained by reacting halogenated dibenzofurans,
dibenzothiophenes and carbazoles with (Y10)2B-B(OY1)2
Figure imgf000021_0001
orY B-Y in the presence of a catalyst, such as, for example, [1 ,1'- bis(diphenylphosphino)ferrocene]dichloropalladium(ll), complex (Pd(CI)2(dppf)), and a base, such as, for example, potassium acetate, in a solvent, such as, for example, dimethyl formamide, dimethyl sulfoxide, dioxane and/or toluene (cf. Prasad Appukkuttan et al., Syn- lett 8 (2003) 1204), wherein Y1 is independently in each occurrence a Ci-Ci8alkylgroup and Y2 is independently in each occurrence a C2-Cioalkylene group, such as -CY3Y4-CY5Y6-, or -CY7Y8-CY9Y10- CY Y12-, wherein Y3, Y4, Ys, γβ, γ?, γβ_ γθ γιο. γιι and Y^ are independently of each other hydrogen, or a Ci-Ci8alkylgroup, especially -C(CH3)2C(CH3)2-, - C(CH3)2CH2C(CH3)2-, or -CH2C(CH3)2CH2-, and Y13 and Y14 are independently of each other hydrogen, or a Ci-Ci8alkylgroup.
Diboronic acid or diboronate group containing dibenzofurans, dibenzothiophenes and car- bazoles can also be prepared by reacting halogenated dibenzofurans, dibenzothiophenes and carbazoles with alkyl lithium reagents, such as, for example, n-butyl lithium, or t-buthyl lithium, followed by reaction with boronic esters, such as, for example, B(isopropoxy)3,
B(methoxy)3, or
Figure imgf000022_0001
(cf. Synthesis (2000) 442-446).
Diboronic acid or diboronate group containing dibenzofurans, dibenzothiophenes and carbazoles can also be prepared by reacting dibenzofurans, dibenzothiophenes and carbazoles with lithium amides, such as, for example, lithium diisopropylamide (LDA) followed by esters such as, for example, B(isopropoxy)3, B(methoxy)3, or
Figure imgf000022_0002
(J. Org. Chem. 73 (2008) 2176-2181).
Preferably, the Suzuki reaction is carried out in the presence of an organic solvent, such as an aromatic hydrocarbon or a usual polar organic solvent, such as benzene, toluene, xylene, tetrahydrofurane, or dioxane, or mixtures thereof, most preferred toluene. Usually, the amount of the solvent is chosen in the range of from 1 to 10 I per mol of boronic acid derivative. Also preferred, the reaction is carried out under an inert atmosphere such as nitrogen, or argon. Further, it is preferred to carry out the reaction in the presence of an aqueous base, such as an alkali metal hydroxide or carbonate such as NaOH, KOH, Na2C03, K2CO3, Cs2C03 and the like, preferably an aqueous K2CO3 solution is chosen. Usually, the molar ratio of the base to boronic acid or boronic ester derivative is chosen in the range of from 0.5: 1 to 50:1 , very especially 1 :1. Generally, the reaction temperature is chosen in the range of from 40 to 180°C, preferably under reflux conditions. Preferred, the reaction time is chosen in the range of from 1 to 80 hours, more preferably from 20 to 72 hours. In a preferred embodiment a usual catalyst for coupling reactions or for polycondensation reactions is used, preferably Pd-based, which is described in WO2007/101820. The palladium compound is added in a ratio of from 1 :10000 to 1 :50, preferably from 1 :5000 to 1 :200, based on the number of bonds to be closed. Preference is given, for example, to the use of palla- dium(ll) salts such as PdAc2 or Pd2dba3 d from the
Figure imgf000023_0001
group consisting of , ; wherein
* -o
. The ligand is added in a ratio of from 1 : 1 to 1 :10, based on Pd. Also preferred, the catalyst is added as in solution or suspension. Preferably, an appropriate organic solvent such as the ones described above, preferably benzene, toluene, xylene, THF, dioxane, more preferably toluene, or mixtures thereof, is used. The amount of solvent usually is chosen in the range of from 1 to 10 I per mol of boronic acid derivative. Organic bases, such as, for example, tetraalkylammonium hydroxide, and phase transfer catalysts, such as, for example TBAB, can promote the activity of the boron (see, for example, Lead- beater & Marco; Angew. Chem. Int. Ed. Eng. 42 (2003) 1407 and references cited therein). Other variations of reaction conditions are given by T. I. Wallow and B. M. Novak in J. Org. Chem. 59 (1994) 5034-5037; and M. Remmers, M. Schulze, G. Wegner in Macromol. Rapid Commun. 17 (1996) 239-252 and G. A. Molander und B. Canturk, Angew. Chem. , 121 (2009) 9404 - 9425.
The synthesis of aza- and diaza-dibenzofuran starting materials is known in the literature, or can be done in analogy to known procedures.
JP2011084531 describes, for example, the synthesis of benzofuro[3,2-b]pyridine in two steps starting from 2-bromopyridin-3-ol using a base catalyzed cyclisation. The brominated ation with bromine in the presence of silver sulfate.
Figure imgf000023_0002
US2010/0187984 describes, for example, the synthesis of 3,6-dichloro-benzofuro[2,3- b]pyridine in three steps starting from 2-amino-5-chloropyridine using a cyclisation of a dia- zoniumion salt.
Figure imgf000024_0001
L. Kaczmarek, Polish Journal of Chemistry 59 (1985) 1141 describes the synthesis of fu- ro[3,2-b:4,5-b]dipyridine starting from 2-(3-amino-2-pyridyl)pyridin-3-amine using an acid
Figure imgf000024_0002
JP2002284862 describes the syntheses of 2,7-dibromo-furo[3,2-b:4,5-b]dipyridine starting from 2-(3-amino-5-bromo-2-pyridyl)-5-bromo-pyridin-3-amine using an acid catalyzed cyclisation of a diazoniumion salt. The synthesis of the starting material is described by Y. Fort, T
Figure imgf000024_0003
J. Liu, J. Org. Chem. 73, 2951 (2008) describes e.g. the synthesis of benzofuro[2,3- c]pyridine using a copper catalyzed cyclisation step.
Figure imgf000024_0004
The synthesis of aza- and diaza-dibenzothiophene starting materials is known in the literature, or can be done in analogy to known procedures.
In WO2009086028 the synthesis of benzothiopheno[3,2-b]pyridine is described:
Figure imgf000025_0001
Several methods for the synthesis of benzofuropyrimidines in particular have been described in Indian Journal of Chemistry, Section B: Organic Chemistry Including Medicinal Chemistry (1976), 14B(9), 688-691 , Indian Journal of Chemistry, Section B: Organic Chem- istry Including Medicinal Chemistry (1993), 32B(9), 965-968, Tetrahedron Letters (2002), 43(46), 8235-8239, Advanced Synthesis + Catalysis (2010), 352(5), 884-892, Beilstein Journal of Organic Chemistry (2012), 8, 266-274, Organic Letters (2012), 14(9), 2398- 2401.
A possible synthetic route for compound C-9 is shown in the reaction scheme below:
Figure imgf000025_0002
(C-9)
The halogen/metal exchange is done with nBuLi/THF at -78°C, or tBuLi/THF at -78°C. Reference is made to WO2010/079051 , where the synthesis conditions are described in more detail.
Structure of the inventive OLED
The inventive organic light-emitting diode (OLED) thus generally has the following structure:
an anode (a) and a cathode (i) and a light-emitting layer (e) arranged between the anode (a) and the cathode (i).
The inventive OLED may, for example - in a preferred embodiment - be formed from the following layers:
1. Anode (a)
2. Hole transport layer (c)
3. Light-emitting layer (e)
4. Blocking layer for holes/excitons (f)
5. Electron transport layer (g)
6. Cathode (i)
Layer sequences different than the aforementioned structure are also possible, and are known to those skilled in the art. For example, it is possible that the OLED does not have all of the layers mentioned; for example, an OLED with layers (a) (anode), (e) (light-emitting layer) and (i) (cathode) is likewise suitable, in which case the functions of the layers (c) (hole transport layer) and (f) (blocking layer for holes/excitons) and (g) (electron transport layer) are assumed by the adjacent layers. OLEDs which have layers (a), (c), (e) and (i), or layers (a), (e), (f), (g) and (i), are likewise suitable. In addition, the OLEDs may have a blocking layer for electrons/excitons (d) between the hole transport layer (c) and the Light- emitting layer (e).
It is additionally possible that a plurality of the aforementioned functions (electron/exciton blocker, hole/exciton blocker, hole injection, hole conduction, electron injection, electron conduction) are combined in one layer and are assumed, for example, by a single material present in this layer. For example, a material used in the hole transport layer, in one em- bodiment, may simultaneously block excitons and/or electrons.
Furthermore, the individual layers of the OLED among those specified above may in turn be formed from two or more layers. For example, the hole transport layer may be formed from a layer into which holes are injected from the electrode, and a layer which transports the holes away from the hole-injecting layer into the light-emitting layer. The electron conduction layer may likewise consist of a plurality of layers, for example a layer in which electrons are injected by the electrode, and a layer which receives electrons from the electron injection layer and transports them into the light-emitting layer. These layers mentioned are each selected according to factors such as energy level, thermal resistance and charge carrier mobility, and also energy difference of the layers specified with the organic layers or the metal electrodes. The person skilled in the art is capable of selecting the structure of the OLEDs such that it is matched optimally to the organic compounds used in accordance with the invention. In a preferred embodiment the OLED according to the present invention comprises in this order:
(a) an anode,
(b) optionally a hole injection layer,
(c) optionally a hole transport layer,
(d) optionally an exciton blocking layer
(e) an emitting layer,
(f) optionally a hole/ exciton blocking layer
(g) optionally an electron transport layer,
(h) optionally an electron injection layer, and
(i) a cathode.
In a particularly preferred embodiment the OLED according to the present invention comprises in this order:
(a) an anode,
(b) optionally a hole injection layer,
(c) a hole transport layer,
(d) an exciton blocking layer
(e) an emitting layer,
(f) a hole/ exciton blocking layer
(g) an electron transport layer, and (h) optionally an electron injection layer, and
(i) a cathode.
The properties and functions of these various layers, as well as example materials are known from the prior art and are described in more detail below on basis of preferred embodiments.
Anode (a):
The anode is an electrode which provides positive charge carriers. It may be composed, for example, of materials which comprise a metal, a mixture of different metals, a metal alloy, a metal oxide or a mixture of different metal oxides. Alternatively, the anode may be a conductive polymer. Suitable metals comprise the metals of groups 1 1 , 4, 5 and 6 of the Periodic Table of the Elements, and also the transition metals of groups 8 to 10. When the anode is to be transparent, mixed metal oxides of groups 12, 13 and 14 of the Periodic Table of the Elements are generally used, for example indium tin oxide (ITO). It is likewise possible that the anode (a) comprises an organic material, for example polyaniline, as described, for example, in Nature, Vol. 357, pages 477 to 479 (June 11 , 1992). Preferred anode materials include conductive metal oxides, such as indium tin oxide (ITO) and indium zinc oxide (IZO), aluminum zinc oxide (AlZnO), and metals. Anode (and substrate) may be sufficiently transparent to create a bottom-emitting device. A preferred transparent substrate and anode combination is commercially available ITO (anode) deposited on glass or plastic (substrate). A reflective anode may be preferred for some top-emitting devices, to increase the amount of light emitted from the top of the device. At least either the anode or the cathode should be at least partly transparent in order to be able to emit the light formed. Other anode materials and structures may be used.
Hole injection layer (b):
Generally, injection layers are comprised of a material that may improve the injection of charge carriers from one layer, such as an electrode or a charge generating layer, into an adjacent organic layer. Injection layers may also perform a charge transport function. The hole injection layer may be any layer that improves the injection of holes from anode into an adjacent organic layer. A hole injection layer may comprise a solution deposited material, such as a spin-coated polymer, or it may be a vapor deposited small molecule material, such as, for example, CuPc or MTDATA. Polymeric hole-injection materials can be used such as poly(N-vinylcarbazole) (PVK), polythiophenes, polypyrrole, polyaniline, self-doping polymers, such as, for example, sulfonated poly(thiophene-3-[2[(2-methoxyethoxy)ethoxy]- 2,5-diyl) (Plexcore® OC Conducting Inks commercially available from Plextronics), and copolymers such as poly(3,4-ethylenedioxythiophene)/poly(4-styrenesulfonate) also called PEDOT/PSS.
Hole transport layer (c):
Either hole-transporting molecules or polymers may be used as the hole transport material. Suitable hole transport materials for layer (c) of the inventive OLED are disclosed, for example, in Kirk-Othmer Encyclopedia of Chemical Technology, 4th Edition, Vol. 18, pages 837 to 860, 1996, US20070278938, US2008/0106190, US2011/0163302 (triarylamines with (di)benzothiophen/(di)benzofuran; Nan-Xing Hu et al. Synth. Met. 1 11 (2000) 421 (in- dolocarbazoles), WO2010002850 (substituted phenylamine compounds) and
WO2012/16601 (in particular the hole transport materials mentioned on pages 16 and 17 of WO2012/16601). Combination of different hole transport material may be used. Reference
is m (HTL1-1)
and
Figure imgf000028_0001
(HTL2-1) constitute the hole transport layer.
Customarily used hole-transporting molecules are selected from the group consisting of
Figure imgf000028_0002
phenyl)phenyl]anilino)phenyl]phenyl]aniline),
Figure imgf000028_0003
(4-phenyl-N-(4- (4-phenyl-N-(4-phenylphenyl)anilino)phenyl]phenyl]aniline),
Figure imgf000028_0004
(9-phenylcarbazol-3-yl)phenyl]-N-(4-
phenylphenyl)aniline),
Figure imgf000028_0005
(1 , 1 ',3,3'-tetraphenylspiro[1 ,3,2-benzodiazasilole- 2,2'-3a,7a-dihydro-1 ,3,2-benzodiazasilole]),
Figure imgf000029_0001
(N2,N2,N2',N2',N7,N7,N7',N7'-octakis(p^ 4,4'- bis[N-(1-naphthyl)-N-phenylamino]biphenyl (a-NPD), N,N'-diphenyl-N,N'-bis(3- methylphenyl)-[1 ,1 '-biphenyl]-4,4'-diamine (TPD), 1 ,1-bis[(di-4-tolylamino)phenyl]- cyclohexane (TAPC), N,N'-bis(4-methylphenyl)-N,N'-bis(4-ethylphenyl)-[1 ,1 '-(3,3'-dimethyl)- biphenyl]-4,4'-diamine (ETPD), tetrakis(3-methylphenyl)-N,N,N',N'-2,5-phenylenediamine (PDA), a-phenyl-4-N,N-diphenylaminostyrene (TPS), p-(diethylamino)benzaldehyde diphe- nylhydrazone (DEH), triphenylamine (TPA), bis[4-(N,N-diethylamino)2-methylphenyl](4- methylphenyl)methane (MPMP), 1-phenyl-3-[p-(diethylamino)styryl]5-[p- (diethylamino)phenyl]pyrazoline (PPR or DEASP), 1 ,2-trans-bis(9H-carbazol9-yl)- cyclobutane (DCZB), N,N,N',N'-tetrakis(4-methylphenyl)-(1 ,1 '-biphenyl)-4,4'-diamine (TTB), fluorine compounds such as 2,2',7,7'-tetra(N,N-di-tolyl)amino9,9-spirobifluorene (spiro- TTB), N,N'-bis(naphthalen-1-yl)-N,N'-bis(phenyl)9,9-spirobifluorene (spiro-NPB) and 9,9- bis(4-(N,N-bis-biphenyl-4-yl-amino)phenyl-9Hfluorene, benzidine compounds such as Ν,Ν'- bis(naphthalen-1-yl)-N,N'-bis(phenyl)benzidine and porphyrin compounds such as copper phthalocyanines. In addition, polymeric hole-injection materials can be used such as poly(N-vinylcarbazole) (PVK), polythiophenes, polypyrrole, polyaniline, self-doping polymers, such as, for example, sulfonated poly(thiophene-3-[2[(2-methoxyethoxy)ethoxy]-2,5- diyl) (Plexcore® OC Conducting Inks commercially available from Plextronics), and copol- ymers such as poly(3,4-ethylenedioxythiophene)/poly(4-styrenesulfonate) also called PE- DOT/PSS. Preferred examples of a material of the hole injecting layer are a porphyrin compound, an aromatic tertiary amine compound, or a styrylamine compound. Particularly preferable examples include an aromatic tertiary amine compound such as hexacyanohex- aazatriphe mentioned as host below, such as, for
Figure imgf000029_0002
example, (SH-1 ), may be used as hole transport material and exciton blocker material.
In a preferred embodiment it is possible to use metal carbene complexes as hole transport materials. Suitable carbene complexes are, for example, carbene complexes as described in WO2005/019373A2, WO2006/056418 A2, WO2005/113704, WO2007/115970,
WO2007/115981 , WO2008/000727 and WO2014147134. One example of a suitable car-
Figure imgf000030_0001
bene complex is lr(DPBIC)3 with the formula: (HTM-1). Another exa carbene complex is lr(ABIC)3 with the
Figure imgf000030_0002
la:1 (HTM-2). The hole-transporting layer may also be electronically doped in order to improve the transport properties of the materials used, in order firstly to make the layer thicknesses more generous (avoidance of pinholes/short circuits) and in order secondly to minimize the operating voltage of the device. Electronic doping is known to those skilled in the art and is disclosed, for example, in W. Gao, A. Kahn, J. Appl. Phys., Vol. 94, 2003, 359 (p-doped organic layers); A. G. Werner, F. Li, K. Harada, M. Pfeiffer, T. Fritz, K. Leo, Appl. Phys. Lett., Vol. 82, No. 25, 2003, 4495 and Pfeiffer et al., Organic Electronics 2003, 4, 89 - 103 and K. Walzer, B. Maennig, M. Pfeiffer, K. Leo, Chem. Soc. Rev. 2007, 107, 1233. For example it is possible to use mixtures in the hole-transporting layer, in particular mixtures which lead to electrical p-doping of the hole-transporting layer. p-Doping is achieved by the addition of oxidizing materials. These mixtures may, for example, be the following mixtures: mixtures of the abovementioned hole transport materials with at least one metal oxide, for example M0O2, M0O3, WOx, ReCb and/or V2O5, preferably M0O3 and/or ReCb, more preferably M0O3, or mixtures comprising the aforementioned hole transport materials and one or more compounds selected from 7,7,8,8-tetracyanoquinodimethane (TCNQ), 2,3,5,6- tetrafluoro-7,7,8,8-tetracyanoquinodimethane (F4-TCNQ), 2,5-bis(2-hydroxyethoxy)-7,7,8,8- tetracyanoquinodimethane, bis(tetra-n-butylammonium)tetracyanodiphenoquinodimethane, 2,5-dimethyl-7,7,8,8-tetracyanoquinodimethane, tetracyanoethylene, 1 1 ,11 ,12,12- tetracyanonaphtho2,6-quinodimethane, 2-fluoro-7,7,8,8-tetracyanoquino-dimethane, 2,5- difluoro-7,7,8,8etracyanoquinodimethane, dicyanomethylene-1 ,3,4,5,7,8-hexafluoro-6H- naphthalen-2-ylidene)malononitrile (Fe-ΤΝΑΡ), Mo(tfd)3 (from Kahn et al., J. Am. Chem. Soc. 2009, 131 (35), 12530-12531 ), compounds as described in EP1988587,
US2008265216, EP2180029, US20100102709, WO2010132236, EP2180029 and quinone compounds as mentioned in EP2401254. Preferred mixtures comprise the aforementioned carbene complexes, such as, for example, the carbene complex HTM-1 and HTM-2, and M0O3 and/or ReCb, especially M0O3. In a particularly preferred embodiment the hole transport layer comprises from 0.1 to 10 wt % of M0O3 and 90 to 99.9 wt % carbene com- plex, especially of the carbene complex HTM-1 and HTM-2, wherein the total amount of the M0O3 and the carbene complex is 100 wt %.
Exciton blocking layer (d):
Blocking layers may be used to reduce the number of charge carriers (electrons or holes) and/or excitons that leave the emissive layer. An electron/exciton blocking layer (d) may be disposed between the first emitting layer (e) and the hole transport layer (c), to block electrons from emitting layer (e) in the direction of hole transport layer (c). Blocking layers may also be used to block excitons from diffusing out of the emissive layer. Suitable metal com- plexes for use as electron/exciton blocker material are, for example, carbene complexes as described in WO2005/019373A2, W02006/056418 A2, WO2005/113704, WO2007/115970, WO2007/115981 , WO2008/000727 and WO2014147134. Explicit reference is made here to the disclosure of the WO applications cited, and these disclosures shall be considered to be incorporated into the content of the present application. Examples of suitable carbene complexes are compounds HTM-1 and HTM-2.
Emitting layer (e)
The light-emitting layer (e) comprises at least one emitter material. In principle, it may be a fluorescence or phosphorescence emitter, suitable emitter materials being known to those skilled in the art. The at least one emitter material is preferably a phosphorescence emitter. The phosphorescence emitter compounds used with preference are based on metal complexes, and especially the complexes of the metals Ru, Rh, Ir, Pd and Pt, in particular the complexes of Ir, have gained significance. The compounds of the formula I can be used as the matrix in the light-emitting layer.
Suitable metal complexes for use in the inventive OLEDs are described, for example, in documents WO 02/60910 A1 , US 2001/0015432 A1 , US 2001/0019782 A1 ,
US 2002/0055014 A1 , US 2002/0024293 A1 , US 2002/0048689 A1 , EP 1 191 612 A2, EP 1 191 613 A2, EP 1 21 1 257 A2, US 2002/0094453 A1 , WO 02/02714 A2,
WO 00/70655 A2, WO 01/41512 A1 , WO 02/15645 A1 , WO 2005/019373 A2,
WO 2005/113704 A2, WO 2006/1 15301 A1 , WO 2006/067074 A1 , WO 2006/056418, WO 2006121811 A1 , WO 2007095118 A2, WO 2007/1 15970, WO 2007/115981 ,
WO 2008/000727, WO2010129323, WO2010056669, WO10086089, US2011/0057559, WO2011/106344, US201 1/0233528, WO2012/048266 and WO2012/172482.
Further suitable metal complexes are the commercially available metal complexes tris(2- phenylpyridine)iridium(lll), iridium(lll) tris(2-(4-tolyl)pyridinato-N,C2'), bis(2- phenylpyridine)(acetylacetonato)iridium(lll), iridium(lll) tris(l-phenylisoquinoline), iridium(lll) bis(2,2'-benzothienyl)pyridinato-N,C3')(acetylacetonate), tris(2-phenylquinoline)iridium(lll), iridium(lll) bis(2-(4,6-difluorophenyl)pyridinato-N,C2)picolinate, iridium(lll) bis(1- phenylisoquinoline)(acetylacetonate), bis(2-phenylquinoline)(acetylacetonato)iridium(lll), iridium(lll) bis(di-benzo[f,h]quinoxaline)(acetylacetonate), iridium(lll) bis(2-methyldi- benzo[f,h]quinoxaline)(acetylacetonate) and tris(3-methyl-1-phenyl-4-trimethylacetyl-5- pyrazolino)terbium(lll), bis[1-(9,9-dimethyl-9H-fluoren-2-yl)isoquinoline](acetyl- acetonato)iridium(lll), bis(2-phenylbenzothiazolato)(acetylacetonato)iridium(lll), bis(2-(9,9- dihexylfluorenyl)-1-pyridine)(acetylacetonato)iridium(lll), bis(2-benzo[b]thiophen-2-yl- pyridine)(acetylacetonato)iridium(lll).
In addition, the following commercially available materials are suitable:
tris(dibenzoylacetonato)mono(phenanthroline)europium(lll), tris(dibenzoylmethane)- mono(phenanthroline)europium(lll), tris(dibenzoylmethane)mono(5-aminophenanthroline)- europium(lll), tris(di-2-naphthoylmethane)mono(phenanthroline)europium(lll), tris(4- bromobenzoylmethane)mono(phenanthroline)europium(lll), tris(di(biphenyl)methane)- mono(phenanthroline)europium(lll), tris(dibenzoylmethane)mono(4,7-diphenyl- phenanthroline)europium(lll), tris(dibenzoylmethane)mono(4,7-di-methyl- phenanthroline)europium(lll), tris(dibenzoylmethane)mono(4,7-dimethylphenan- throlinedisulfonic acid)europium(lll) disodium salt, tris[di(4-(2-(2-ethoxyethoxy)ethoxy)- benzoylmethane)]mono(phenanthroline)europium(lll) and tris[di[4-(2-(2-ethoxy- ethoxy)ethoxy)benzoylmethane)]mono(5-aminophenanthroline)europium(lll), osmium(ll) bis(3-(trifluoromethyl)-5-(4-tert-butylpyridyl)-1 ,2,4-triazolato)diphenylmethylphosphine, os- mium(ll) bis(3-(trifluoromethyl)-5-(2-pyridyl)-1 ,2,4-triazole)dimethylphenylphosphine, osmi- um(ll) bis(3-(trifluoromethyl)-5-(4-tert-butylpyridyl)-1 ,2,4- triazolato)dimethylphenylphosphine, osmium(ll) bis(3-(trifluoromethyl)-5-(2-pyridyl)- pyrazolato)dimethylphenylphosphine, tris[4,4'-di-tert-butyl(2,2')-bipyridine]ruthenium(lll), osmium(ll) bis(2-(9,9-dibutylfluorenyl)-1-isoquinoline(acetylacetonate).
Preferred phosphorescence emitters are carbine complexes. Suitable phosphorescent blue emitters are specified in the following publications: WO2006/056418A2, WO2005/113704, WO2007/115970, WO2007/115981 , WO2008/000727, WO2009050281 , WO2009050290, WO2011051404, US201 1/057559 WO2011/073149, WO2012/121936A2,
US2012/0305894A1 , WO2012/170571 , WO2012/170461 , WO2012/170463,
WO2006/12181 1 , WO2007/095118, WO2008/156879, WO2008/156879, WO2010/068876, US201 1/0057559, WO2011/106344, US201 1/0233528, WO2012/048266 and
WO2012/172482, WO2015000955 and PCT/EP2014/066272.
Preferably, the light emitting layer (e) comprises at least one carbine complex as phosphorescence emitter. Suitable carbine complexes are, for example, compounds of the
M[carbene]n 1
[K]
formula ° (IX), which are described in WO 2005/019373 A2, wherein the symbols have the following meanings:
M is a metal atom selected from the group consisting of Co, Rh, Ir, Nb, Pd, Pt, Fe, Ru, Os, Cr, Mo, W, Mn, Tc, Re, Cu, Ag and Au in any oxidation state possible for the respective metal atom;
Carbene is a carbene ligand which may be uncharged or monoanionic and monodentate, bidentate or tridentate, with the carbene ligand also being able to be a biscarbene or triscarbene ligand;
L is a monoanionic or dianionic ligand, which may be monodentate or bidentate; K is an uncharged monodentate or bidentate ligand selected from the group consisting of phosphines; phosphonates and derivatives thereof, arsenates and derivatives thereof; phosphites; CO; pyridines; nitriles and conjugated dienes which form a π complex with M1; n1 is the number of carbene ligands, where n1 is at least 1 and when n1 > 1 the carbene ligands in the complex of the formula I can be identical or different;
ml is the number of ligands L, where ml can be 0 or≥ 1 and when ml > 1 the ligands L can be identical or different;
o is the number of ligands K, where o can be 0 or≥ 1 and when o > 1 the ligands K can be identical or different;
where the sum n1 + ml + o is dependent on the oxidation state and coordination number of the metal atom and on the denticity of the ligands carbene, L and K and also on the charge on the ligands, carbene and L, with the proviso that n1 is at least 1. of the general formula
Figure imgf000033_0001
which are described in WO2011/073149, where M, n1 , Y, A2', A3', A A^, Rsi , R52, RSS, R54, RSS, Rse, RS?, RSS, R59, κ, L, ml and o1 are each defined as follows:
M is Ir, or Pt,
n1 is an integer selected from 1 , 2 and 3,
Y is NRsi, O, S or C(R25)2,
A2', A3', A4', and A5'are each independently N or C, where 2 A' = nitrogen atoms and at least one carbon atom is present between two nitrogen atoms in the ring,
R51 is a linear or branched alkyl radical optionally interrupted by at least one heteroatom, optionally bearing at least one functional group and having 1 to 20 carbon atoms, cycloalkyi radical optionally interrupted by at least one heteroatom, optionally bearing at least one functional group and having 3 to 20 carbon atoms, substituted or unsubstituted aryl radical optionally interrupted by at least one heteroatom, optionally bearing at least one functional group and having 6 to 30 carbon atoms, substituted or unsubstituted heteroaryl radical optionally interrupted by at least one heteroatom, optionally bearing at least one functional group and having a total of 5 to 18 carbon atoms and/or heteroatoms,
R52, R53, R54anc| R5sare each, jf A2', A3', A4' and/or A5' is N, a free electron pair, or, if A2', A3', A4' and/or A5' is C, each independently hydrogen, linear or branched alkyl radical optionally interrupted by at least one heteroatom, optionally bearing at least one functional group and having 1 to 20 carbon atoms, cycloalkyi radical optionally interrupted by at least one heteroatom, optionally bearing at least one functional group and having 3 to 20 carbon atoms, substituted or unsubstituted aryl radical optionally interrupted by at least one heteroatom, optionally bearing at least one functional group and having 6 to 30 carbon atoms, substituted or unsubstituted heteroaryl radical optionally interrupted by at least one heteroatom, optionally bearing at least one functional group and having a total of 5 to 18 carbon atoms and/or heteroatoms, group with donor or acceptor action, or
R53 and R54 together with A3' and A4' form an optionally substituted, unsaturated ring op- tionally interrupted by at least one further heteroatom and having a total of 5 to 18 carbon atoms and/or heteroatoms,
R56, R57, R58 and R59 are each independently hydrogen, linear or branched alkyl radical optionally interrupted by at least one heteroatom, optionally bearing at least one functional group and having 1 to 20 carbon atoms, cycloalkyl radical optionally interrupted by at least one heteroatom, optionally bearing at least one functional group and having 3 to 20 carbon atoms, cycloheteroalkyl radical optionally interrupted by at least one heteroatom, optionally bearing at least one functional group and having 3 to 20 carbon atoms, substituted or unsubstituted aryl radical optionally interrupted by at least one heteroatom, optionally bearing at least one functional group and having 6 to 30 carbon atoms, substituted or unsubstituted heteroaryl radical optionally interrupted by at least one heteroatom, optionally bearing at least one functional group and having a total of 5 to 18 carbon atoms and/or heteroatoms, group with donor or acceptor action, or
R56 and R57, R57 and R58 or R58 and R59, together with the carbon atoms to which they are bonded, form a saturated, unsaturated or aromatic, optionally substituted ring optionally interrupted by at least one heteroatom and having a total of 5 to 18 carbon atoms and/or heteroatoms, and/or
if A5' is C, R55 and R56 together form a saturated or unsaturated, linear or branched bridge optionally comprising heteroatoms, an aromatic unit, heteroaromatic unit and/or functional groups and having a total of 1 to 30 carbon atoms and/or heteroatoms, to which is optional- ly fused a substituted or unsubstituted, five- to eight-membered ring comprising carbon atoms and/or heteroatoms,
R25 is independently a linear or branched alkyl radical optionally interrupted by at least one heteroatom, optionally bearing at least one functional group and having 1 to 20 carbon atoms, cycloalkyl radical optionally interrupted by at least one heteroatom, optionally bearing at least one functional group and having 3 to 20 carbon atoms, substituted or unsubstituted aryl radical optionally interrupted by at least one heteroatom, optionally bearing at least one functional group and having 6 to 30 carbon atoms, substituted or unsubstituted heteroaryl radical optionally interrupted by at least one heteroatom, optionally bearing at least one functional group and having a total of 5 to 18 carbon atoms and/or heteroatoms,
K is an uncharged mono- or bidentate ligand,
L is a mono- or dianionic ligand, preferably monoanionic ligand, which may be mono- or bidentate,
ml is 0, 1 or 2, where, when ml is 2, the K ligands may be the same or different, o1 is 0, 1 or 2, where, when o1 is 2, the L ligands may be the same or different.
The compound of formula IX is preferably a compound of the formula: 
Figure imgf000035_0001

Figure imgf000036_0001

Figure imgf000037_0001
Figure imgf000038_0001
(BE-46), (BE-47), (BE- 
Figure imgf000039_0001

Figure imgf000040_0001
Figure imgf000041_0001
Figure imgf000042_0001
Figure imgf000043_0001
43
Figure imgf000044_0001
44
Figure imgf000045_0001
The compound of formula IX is more preferably a compound (BE-1 ), (BE-2), (BE-7), (BE- 12), (BE-16), (BE-64), or (BE-70). The most preferred phosphorescent blue emitters are compounds (BE-1 ) and (BE-12). The homoleptic metal-carbene complexes may be present in the form of facial or meridional isomers, preference being given to the facial isomers.
Suitable carbene complexes of formula (IX) and their preparation process are, for example, described in WO201 1/073149.
The compounds of the present invention can also be used as host for phosphorescent green emitters. Suitable phosphorescent green emitters are, for example, specified in the following publications: WO2006014599, WO20080220265, WO2009073245, WO2010027583, WO2010028151 , US20110227049, WO201 1090535, WO2012/08881 , WO20100056669, WO20100118029, WO20100244004, WO201 1109042, WO2012166608, US20120292600, EP2551933A1 ; US6687266, US20070190359, US20070190359, US20060008670; WO2006098460, US20110210316, WO 2012053627; US6921915, US20090039776; JP2007123392 and European patent application no. 14180422.9.
Figure imgf000046_0001
Figure imgf000047_0001

Figure imgf000048_0001
Figure imgf000049_0001
Host (matrix) materials
The light-emitting layer may comprise further components in addition to the emitter material. For example, a fluroescent dye may be present in the light-emitting layer in order to alter the emission color of the emitter material. In addition - in a preferred embodiment - a matrix material can be used. This matrix material may be a polymer, for example poly(N- vinylcarbazole) or polysilane. The matrix material may, however, be a small molecule, for example 4,4'-N,N'-dicarbazolebiphenyl (CDP=CBP) or tertiary aromatic amines, for example TCTA.
In a preferred embodiment of the present invention, at least one compound of the formula I, especially a compound of the formula la, lb, lc, Id, le, or If is used as matrix material. Examples of preferred compounds of formula I are compounds C-1 to C-50.
In a preferred embodiment, the light-emitting layer is formed from 2 to 40% by weight, preferably 5 to 35% by weight, of at least one of the aforementioned emitter materials and 60 to 98% by weight, preferably 75 to 95% by weight, of at least one of the aforementioned matrix materials - in one embodiment at least one compound of the formula I - where the sum total of the emitter material and of the matrix material adds up to 100% by weight. Suitable metal complexes for use together with the compounds of the formula I as matrix material in OLEDs are, for example, also carbene complexes as described in
WO 2005/019373 A2, WO 2006/056418 A2, WO 2005/1 13704, WO 2007/1 15970, WO 2007/1 15981 , WO 2008/000727 and WO2014147134. Further suitable host materials, which may be small molecules or (co)polymers of the small molecules mentioned, are specified in the following publications: WO2007108459 (H-1 to H-37), preferably H-20 to H-22 and H-32 to H-37, most preferably H-20, H-32, H-36, H-37, WO2008035571 A1 (Host 1 to Host 6), JP2010135467 (compounds 1 to 46 and Host-1 to Host-39 and Host-43), WO2009008100 compounds No.1 to No.67, preferably No.3, No.4, No.7 to No. 12, No.55, No.59, No. 63 to No.67, more preferably No. 4, No. 8 to No. 12, No. 55, No. 59, No.64, No.65, and No. 67, WO2009008099 compounds No. 1 to No. 1 10, WO20081401 14 compounds 1-1 to 1-50, WO2008090912 compounds OC-7 to OC-36 and the polymers of Mo-42 to Mo-51 , JP2008084913 H-1 to H-70, WO2007077810 compounds 1 to 44, preferably 1 , 2, 4-6, 8, 19-22, 26, 28-30, 32, 36, 39-44, WO201001830 the poly- mers of monomers 1-1 to 1-9, preferably of 1-3, 1-7, and 1-9, WO2008029729 the (polymers of) compounds 1-1 to 1-36, WO20100443342 HS-1 to HS-101 and BH-1 to BH-17, preferably BH-1 to BH-17, JP2009182298 the (co)polymers based on the monomers 1 to 75, JP2009170764, JP2009135183 the (co)polymers based on the monomers 1-14, WO2009063757 preferably the (co)polymers based on the monomers 1-1 to 1-26,
WO2008146838 the compounds a-1 to a-43 and 1-1 to 1-46, JP2008207520 the
(co)polymers based on the monomers 1-1 to 1-26, JP2008066569 the (co)polymers based on the monomers 1-1 to 1-16, WO2008029652 the (co)polymers based on the monomers 1-1 to 1-52, WO20071 14244 the (co)polymers based on the monomers 1-1 to 1-18, JP2010040830 the compounds HA-1 to HA-20, HB-1 to HB-16, HC-1 to HC-23 and the (co)polymers based on the monomers HD-1 to HD-12, JP2009021336, WO2010090077 the compounds 1 to 55, WO2010079678 the compounds H 1 to H42, WO2010067746, WO2010044342 the compounds HS-1 to HS-101 and Poly-1 to Poly-4, JP20101 14180 the compounds PH-1 to PH-36, US2009284138 the compounds 1 to 1 1 1 and H 1 to H71 , WO2008072596 the compounds 1 to 45, JP2010021336 the compounds H-1 to H-38, pref- erably H-1 , WO2010004877 the compounds H-1 to H-60, JP2009267255 the compounds 1-1 to 1-105, WO2009104488 the compounds 1-1 to 1-38, WO2009086028,
US2009153034, US2009134784, WO2009084413 the compounds 2-1 to 2-56,
JP20091 14369 the compounds 2-1 to 2-40, JP20091 14370 the compounds 1 to 67, WO2009060742 the compounds 2-1 to 2-56, WO2009060757 the compounds 1-1 to 1-76, WO2009060780 the compounds 1-1 to 1-70, WO2009060779 the compounds 1-1 to 1-42, WO2008156105 the compounds 1 to 54, JP2009059767 the compounds 1 to 20,
JP2008074939 the compounds 1 to 256, JP2008021687 the compounds 1 to 50,
WO20071 19816 the compounds 1 to 37, WO2010087222 the compounds H-1 to H-31 , WO2010095564 the compounds HOST-1 to HOST-61 , WO2007108362, WO2009003898, WO2009003919, WO2010040777, US2007224446, WO06128800, WO2012014621 , WO2012105310, WO2012/130709, WO2014/009317 (in particular compound A-24), WO2014/044722 and WO2014/072320 (in particular page 25 to 29 of WO2014/072320).
The above-mentioned small molecules are more preferred than the above-mentioned (co)polymers of the small molecules.
Further suitable host materials, are described in WO2011137072 (for example,
Figure imgf000051_0001
Figure imgf000052_0001
In a particularly preferred embodiment, one or more compounds of the general formula (X) specified herein
Figure imgf000052_0002
(X), wherein
X is NR, S, O or PR;
R is aryl, heteroaryl, alkyl, cycloalkyl, or heterocycloalkyi;
A200 js .N R206 207, _p(O)R208R209 _pR210 211 _ -S(0)2R212, -S(0)R213, -SR2140ΐ -OR215;
R221 R222anc| R223are independently of each other aryl, heteroaryl, alkyl, cycloalkyl, or heterocycloalkyi, wherein at least on of the groups R221, R222, or R223 is aryl, or heteroaryl; R224 and R225 are independently of each other alkyl, cycloalkyl, heterocycloalkyi, aryl, heteroaryl, a group A200, or a group having donor, or acceptor characteristics;
n2 and m2 are independently of each other 0, 1 , 2, or 3;
R206 and R207form together with the nitrogen atom a cyclic residue having 3 to 10 ring at- oms, which can be unsubstituted, or which can be substituted with one, or more substitu- ents selected from alkyl, cycloalkyl, heterocycloalkyi, aryl, heteroaryl and a group having donor, or acceptor characteristics; and/or which can be annulated with one, or more further cyclic residues having 3 to 10 ring atoms, wherein the annulated residues can be unsubstituted, or can be substituted with one, or more substituents selected from alkyl, cycloalkyl, heterocycloalkyi, aryl, heteroaryl and a group having donor, or acceptor characteristics; and R208i R209i R2io_ R2i i _ R212_ R213_ R214u nc| R215are independently of each other aryl, heteroaryl, alkyl, cycloalkyl, or heterocycloalkyi. Compounds of formula X, such as, for exam-
Figure imgf000052_0003
(SH-6), are described in WO2010079051 (in particular pages on 19 to 26 and in tables on pages 27 to 34, pages 35 to 37 and pages 42 to 43).
Additional host materials on basis of dibenzofurane are, for example, described in US2009066226, EP1885818B1 , EP1970976, EP1998388 and EP2034538. Examples of particularly preferred host materials are shown below:
Figure imgf000053_0002
53
Figure imgf000054_0001
54
Figure imgf000055_0001
Figure imgf000056_0001
In the above-mentioned compounds T is O, or S, preferably O. If T occurs more than one time in a molecule, all groups T have the same meaning. Compounds
Figure imgf000056_0002
most preferred.
Hole/exciton blocking layer (f):
Blocking layers may be used to reduce the number of charge carriers (electrons or holes) and/or excitons that leave the emissive layer. The hole blocking layer may be disposed between the emitting layer (e) and electron transport layer (g), to block holes from leaving layer (e) in the direction of electron transport layer (g). Blocking layers may also be used to block excitons from diffusing out of the emissive layer.
In a preferred embodiment of the present invention, at least one compound of the formula I, especially a compound of the formula la, lb, lc, Id, le, or If is used as hole/exciton blocking material. Examples of preferred compounds of formula I are compounds C-1 to C-50.
Additional hole blocker materials typically used in OLEDs are 2,6-bis(N-carbazolyl)pyridine (mCPy), 2,9-dimethyl-4,7-diphenyl-1 ,10-phenanthroline (bathocuproin, (BCP)), bis(2- methyl-8-quinolinato)-4-phenylphenylato)aluminum(lll) (BAIq), phenothiazine S,S-dioxide derivates and 1 ,3,5-tris(N-phenyl-2-benzylimidazolyl)benzene) (TPBI), TPBI also being suitable as electron-transport material. Further suitable hole blockers and/or electron conductor materials are 2,2',2"-(1 ,3,5-benzenetriyl)tris(1-phenyl-1-H-benzimidazole), 2-(4- biphenylyl)-5-(4-tert-butylphenyl)-1 ,3,4-oxadiazole, 8-hydroxyquinolinolatolithium, 4- (naphthalen-1-yl)-3,5-diphenyl-4H-1 ,2,4-triazole, 1 ,3-bis[2-(2,2'-bipyridin-6-yl)-1 ,3,4- oxadiazo-5-yl] benzene, 4,7-diphenyl-1 ,10-phenanthroline, 3-(4-biphenylyl)-4-phenyl-5-tert- butylphenyl-1 ,2,4-triazole, 6,6'-bis[5-(biphenyl-4-yl)-1 ,3,4-oxadiazo-2-yl]-2,2'-bipyridyl, 2- phenyl-9, 10-di(naphthalene-2-yl)anthracene, 2,7-bis[2-(2,2'-bipyridin-6-yl)-1 ,3,4-oxadiazo- 5-yl]-9,9-dimethylfluorene, 1 ,3-bis[2-(4-tert-butylphenyl)-1 ,3,4-oxadiazo-5-yl]benzene, 2- (naphthalene-2-yl)-4,7-diphenyl-1 , 10-phenanthroline, tris(2,4,6-trimethyl-3-(pyridin-3- yl)phenyl)borane, 2,9-bis(naphthalene-2-yl)-4,7-diphenyl-1 , 10-phenanthroline, 1-methyl-2- (4-(naphthalene-2-yl)phenyl)-1 H-imidazo[4,5-f][1 ,10]phenanthroline. In a further embodiment, it is possible to use compounds which comprise aromatic or heteroaromatic rings joined via groups comprising carbonyl groups, as disclosed in WO2006/100298, disilyl compounds selected from the group consisting of disilylcarbazoles, disilylbenzofurans, dis- ilylbenzothiophenes, disilylbenzophospholes, disilylbenzothiophene S-oxides and dis- ilylbenzothiophene S,S-dioxides, as specified, for example, in PCT applications
WO2009/003919 and WO2009003898 and disilyl compounds as disclosed in
WO2008/034758, as a blocking layer for holes/excitons (f).
In another preferred embodiment compounds (SH-1 ), (SH-2), (SH-3), SH-4, SH-5, SH-6, (SH-7), (SH-8), (SH-9), (SH-10) and (SH-11) may be used as hole/exciton blocking materials. Electron transport layer (g):
Electron transport layer may include a material capable of transporting electrons. Electron transport layer may be intrinsic (undoped), or doped. Doping may be used to enhance conductivity. Suitable electron-transporting materials for layer (g) of the inventive OLEDs comprise metals chelated with oxinoid compounds, such as tris(8- hydroxyquinolato)aluminum (Alq3), compounds based on phenanthroline such as 2,9- dimethyl-4,7-diphenyl-1 ,10-phenanthroline (DDPA = BCP), 4,7-diphenyl-1 , 10- phenanthroline (Bphen), 2,4,7,9-tetraphenyl-1 , 10-phenanthroline, 4,7-diphenyl-1 , 10- phenanthroline (DPA) or phenanthroline derivatives disclosed in EP1786050, in
EP1970371 , or in EP1097981 , and azole compounds such as 2-(4-biphenylyl)-5-(4-t- butylphenyl)-1 ,3,4-oxadiazole (PBD) and 3-(4-biphenylyl)-4phenyl-5-(4-t-butylphenyl)-1 ,2,4- triazole (TAZ).
In a preferred embodiment of the present invention, at least one compound of the formula I, especially a compound of the formula la, lb, lc, Id, le, or If is used as electron transport material. Examples of preferred compounds of formula I are compounds C-1 to C-50.
It is likewise possible to use mixtures of at least two materials in the electron-transporting layer, in which case at least one material is electron-conducting. Preferably, in such mixed electron-transport layers, at least one phenanthroline compound is used, preferably BCP, or at least one pyridine compound according to the formula (VIII) below, preferably a compound of the formula (Vlllaa) below. More preferably, in mixed electron-transport layers, in addition to at least one phenanthroline compound, alkaline earth metal or alkali metal hy- droxyquinolate complexes, for example Liq, are used. Suitable alkaline earth metal or alkali metal hydroxyquinolate complexes are specified below (formula VII). Reference is made to WO201 1/157779.
The electron-transport layer may also be electronically doped in order to improve the transport properties of the materials used, in order firstly to make the layer thicknesses more generous (avoidance of pinholes/short circuits) and in order secondly to minimize the operating voltage of the device. Electronic doping is known to those skilled in the art and is disclosed, for example, in W. Gao, A. Kahn, J. Appl. Phys., Vol. 94, No. 1 , 1 July 2003 (p- doped organic layers); A. G. Werner, F. Li, K. Harada, M. Pfeiffer, T. Fritz, K. Leo, Appl. Phys. Lett., Vol. 82, No. 25, 23 June 2003 and Pfeiffer et al., Organic Electronics 2003, 4, 89 - 103 and K. Walzer, B. Maennig, M. Pfeiffer, K. Leo, Chem. Soc. Rev. 2007, 107, 1233. For example, it is possible to use mixtures which lead to electrical n-doping of the electron- transport layer. n-Doping is achieved by the addition of reducing materials. These mixtures may, for example, be mixtures of the abovementioned electron transport materials with alkali/alkaline earth metals or alkali/alkaline earth metal salts, for example Li, Cs, Ca, Sr, CS2CO3, with alkali metal complexes, for example 8-hydroxyquinolatolithium (Liq), and with Y, Ce, Sm, Gd, Tb, Er, Tm, Yb, Li3N, Rb2C03, dipotassium phthalate, W(hpp)4 from
EP1786050, or with compounds described in EP1837926B1 , EP1837927, EP2246862 and WO2010132236.
In a preferred embodiment, the electron-transport layer comprises at least one compound of the general formula (VII)
Figure imgf000058_0001
R32 and R33 are each independently F, d-Cs-alkyl, or C6-Ci4-aryl, which is optionally substituted by one or more d-Cs-alkyl groups, or two R32 and/or R33 substituents together form a fused benzene ring which is optionally substituted by one or more d-Cs-alkyl groups;
a and b are each independently 0, or 1 , 2 or 3,
M1 is an alkaline metal atom or alkaline earth metal atom,
p is 1 when M1 is an alkali metal atom, p is 2 when M1 is an earth alkali metal atom.
A very particularly preferred compound of the formula (VII) is
Figure imgf000059_0001
(Liq), which may be present as a single species, or in other forms such as LigQg in which g is an integer, for example LkQe- Q is an 8-hydroxyquinolate ligand or an 8-hydroxyquinolate derivative.
In a further preferred embodiment, the electron-transport layer comprises at least one compound of the formul
Figure imgf000059_0002
(VIII), in which
R34 R35, 36, 37, R3 R35', R36'anc| R37are each independently H, Ci-Cie-alkyl, Ci-Cie- alkyl which is substituted by E and/or interrupted by D, C6-C24-aryl, C6-C24-aryl which is substituted by G, C2-C2o-heteroaryl or C2-C2o-heteroaryl which is substituted by G,
Q is an arylene or heteroarylene group, each of which is optionally substituted by G;
D is -CO-; -COO-; -S-; -SO-; -SO2-; -0-; -NR4°-; -SiR45R46-; -POR47-; -CR38=CR39-; or -C≡C- ; E is -OR44; -SR44; -NR4oR4i; -COR43; -COOR42; -CONR40R4i; -CN; or F;
G is E, Ci-Cie-alkyl, Ci-Cie-alkyl which is interrupted by D , Ci-Ci8-perfluoroalkyl, C1-C18- alkoxy, or Ci-Cis-alkoxy which is substituted by E and/or interrupted by D, in which R38 and R39 are each independently H, C6-Cie-aryl; C6-Cis-aryl which is substituted by Ci-Cie-alkyl or Ci-Cis-alkoxy; Ci-Cie-alkyl; or Ci-Cie-alkyl which is interrupted by -0-; R40 and R41 are each independently C6-Cie-aryl; C6-Cis-aryl which is substituted by C1-C18- alkyl or Ci-Cis-alkoxy; Ci-Cie-alkyl; or Ci-Cie-alkyl which is interrupted by -0-; or
R40 and R41 together form a 6-membered ring;
R42 and R43 are each independently C6-Cie-aryl; C6-Cis-aryl which is substituted by C1-C18- alkyl or Ci-Cis-alkoxy; Ci-Cie-alkyl; or Ci-Cie-alkyl which is interrupted by -0-,
R44 is C6-Ci8-aryl; C6-Cis-aryl which is substituted by Ci-Cie-alkyl or Ci-Cis-alkoxy; C1-C18- alkyl; or Ci-Cie-alkyl which is interrupted by -0-,
R45 and R46 are each independently Ci-Cie-alkyl, C6-Cis-aryl or C6-Cis-aryl which is substituted by Ci-Cie-alkyl,
R47 is Ci-Cie-alkyl, C6-Cis-aryl or C6-Cis-aryl which is substituted by Ci-Cie-alkyl.
Preferred compounds of the formula (VIII) are compounds of the formula (Villa)
Particular prefer
Figure imgf000060_0001
In a further, very particularly preferred embodiment, the electron-transport layer comprises a compound Liq and a compound ETM-2.
In a preferred embodiment, the electron-transport layer comprises the compound of the formula (VII) in an amount of 99 to 1 % by weight, preferably 75 to 25% by weight, more preferably about 50% by weight, where the amount of the compounds of the formulae (VII) and the amount of the compounds of the formulae (VIII) adds up to a total of 100% by weight.
The preparation of the compounds of the formula (VIII) is described in J. Kido et al., Chem. Commun. (2008) 5821-5823, J. Kido et al., Chem. Mater. 20 (2008) 5951-5953 and JP2008/127326, or the compounds can be prepared analogously to the processes disclosed in the aforementioned documents.
It is likewise possible to use mixtures of alkali metal hydroxyquinolate complexes, preferably Liq, and dibenzofuran compounds in the electron-transport layer. Reference is made to WO2011/157790. Dibenzofuran compounds A-1 to A-36 and B-1 to B-22 described in d, wherein dibenzofuran compound
Figure imgf000061_0001
(A-10; = ETM-1) is most preferred.
In a preferred embodiment, the electron-transport layer comprises Liq in an amount of 99 to 1 % by weight, preferably 75 to 25% by weight, more preferably about 50% by weight, where the amount of Liq and the amount of the dibenzofuran compound(s), especially ETM-1 , adds up to a total of 100% by weight.
In a preferred embodiment, the electron-transport layer comprises at least one phenanthro- line derivative and/or pyridine derivative.
In a further preferred embodiment, the electron-transport layer comprises at least one phe- nanthroline derivative and/or pyridine derivative and at least one alkali metal hydroxyquino- late complex.
In a further preferred embodiment, the electron-transport layer comprises at least one of the dibenzofuran compounds A-1 to A-36 and B-1 to B-22 described in WO2011/157790, especially ETM-1.
In a further preferred embodiment, the electron-transport layer comprises a compound described in WO2012/11 1462, WO2012/147397, WO2012014621 , such as, for example, a
Figure imgf000061_0002
compound of formula (ETM-3), US2012/0261654, s
Figure imgf000061_0003
(ETM-4), and WO2012/115034, such as
Figure imgf000062_0001
Electron injection layer (h):
The electron injection layer may be any layer that improves the injection of electrons into an adjacent organic layer. Lithium-comprising organometallic compounds such as 8- hydroxyquinolatolithium (Liq), CsF, NaF, KF, CS2CO3 or LiF may be applied between the electron transport layer (g) and the cathode (i) as an electron injection layer (h) in order to reduce the operating voltage.
Cathode (i):
The cathode (i) is an electrode which serves to introduce electrons or negative charge carriers. The cathode may be any metal or nonmetal which has a lower work function than the anode. Suitable materials for the cathode are selected from the group consisting of alkali metals of group 1 , for example Li, Cs, alkaline earth metals of group 2, metals of group 12 of the Periodic Table of the Elements, comprising the rare earth metals and the lanthanides and actinides. In addition, metals such as aluminum, indium, calcium, barium, samarium and magnesium, and combinations thereof, may be used. In general, the different layers, if present, have the following thicknesses:
anode (a): 500 to 5000 A (angstrom), preferably 1000 to 2000 A;
hole injection layer (b): 50 to 1000 A, preferably 200 to 800 A,
hole-transport layer (c): 50 to 1000 A, preferably 100 to 800 A,
exciton blocking layer (d): 10 to 500 A, preferably 50 to 100 A,
light-emitting layer (e): 10 to 1000 A, preferably 50 to 600 A,
hole/ exciton blocking layer (f): 10 to 500 A, preferably 50 to 100 A,
electron-transport layer (g): 50 to 1000 A, preferably 200 to 800 A,
electron injection layer (h): 10 to 500 A, preferably 20 to 100 A,
cathode (i): 200 to 10 000 A, preferably 300 to 5000 A.
The person skilled in the art is aware (for example on the basis of electrochemical studies) of how suitable materials have to be selected. Suitable materials for the individual layers are known to those skilled in the art and are disclosed, for example, in WO 00/70655. In addition, it is possible that some of the layers used in the inventive OLED have been surface-treated in order to increase the efficiency of charge carrier transport. The selection of the materials for each of the layers mentioned is preferably determined by obtaining an OLED with a high efficiency and lifetime.
The inventive OLED can be produced by methods known to those skilled in the art. In gen- eral, the inventive OLED is produced by successive vapor deposition of the individual layers onto a suitable substrate. Suitable substrates are, for example, glass, inorganic semiconductors or polymer films. For vapor deposition, it is possible to use customary techniques, such as thermal evaporation, chemical vapor deposition (CVD), physical vapor deposition (PVD) and others. In an alternative process, the organic layers of the OLED can be applied from solutions or dispersions in suitable solvents, employing coating techniques known to those skilled in the art.
Use of the compounds of the formula I in at least one layer of the OLED, preferably in the light-emitting layer (preferably as a matrix material), charge transport layer and/or in the charge/exciton blocking layer makes it possible to obtain OLEDs with high efficiency and with low use and operating voltage. Frequently, the OLEDs obtained by the use of the compounds of the formula I additionally have high lifetimes. The efficiency of the OLEDs can additionally be improved by optimizing the other layers of the OLEDs. For example, high-efficiency cathodes such as Ca or Ba, if appropriate in combination with an intermedi- ate layer of LiF, can be used. Moreover, additional layers may be present in the OLEDs in order to adjust the energy level of the different layers and to facilitate electroluminescence.
The OLEDs may further comprise at least one second light-emitting layer. The overall emission of the OLEDs may be composed of the emission of the at least two light-emitting layers and may also comprise white light.
The OLEDs can be used in all apparatus in which electroluminescence is useful. Suitable devices are preferably selected from stationary and mobile visual display units and illumination units. Stationary visual display units are, for example, visual display units of computers, televisions, visual display units in printers, kitchen appliances and advertising panels, illuminations and information panels. Mobile visual display units are, for example, visual display units in cellphones, tablet PCs, laptops, digital cameras, MP3 players, vehicles and destination displays on buses and trains. Further devices in which the inventive OLEDs can be used are, for example, keyboards; items of clothing; furniture; wallpaper. In addition, the present invention relates to a device selected from the group consisting of stationary visual display units such as visual display units of computers, televisions, visual display units in printers, kitchen appliances and advertising panels, illuminations, information panels, and mobile visual display units such as visual display units in cellphones, tablet PCs, laptops, digital cameras, MP3 players, vehicles and destination displays on buses and trains; illumi- nation units; keyboards; items of clothing; furniture; wallpaper, comprising at least one inventive organic light-emitting diode or at least one inventive light-emitting layer.
The following examples are included for illustrative purposes only and do not limit the scope of the claims. Unless otherwise stated, all parts and percentages are by weight. Examples
Starting materials 2-bromodibenzofuran (WO2006128800A1), 2-bromo-8-iododibenzofuran (WO2006128800A1) and 8-bromobenzofuro[3,2-b]pyridine (WO2012153780A1) are syn- thesized according to procedures known from literature.
Synthesis Examples of Starting Materials
Figure imgf000064_0001
BB-1
Synthesis of (3-bromophenyl)triphenylsilane (BB-1 ): The synthesis of BB-1 is described in WO2009/148257A2 and Macromolecules 2010, 43, 3613-3623.
H NMR (CDCb, 300 MHz), δ [ppm] = 7.25 (t, 1 H, H-5,3J = 7.7 Hz), 7.36-7.50 (m, 10H, -SiPh3(9), H-6)), 7.54-7.59 (m, 7H, -SiPh3(6), H-4), 7.67-7.68 (m, 1 H, H-2).
Figure imgf000064_0002
BB-1 BB-2
Synthesis of triphenyl-[3-(4,4,5,5-tetramethyl-1 ,3,2-dioxaborolan-2-yl)phenyl]silane (BB-2): The synthesis of BB-2 is described in WO2012/098996A1.
1 H NMR (CDCb, 400 MHz), δ [ppm] = 1.31 (s, 12H, 4xCH3), 7.34-7.45 (m, 10H, -SiPh3(9), H-5), 7.56-7.58 (m, 6H, -SiPh3), 7.61-7.64 (m, 1 H, H-6), 7.87-7.89 (m, 1 H, H-4), 8.10 (s, 1 H, H-2).
Figure imgf000064_0003
BB-3
Synthesis of (E)-1 -(5-bromo-2-hydroxyphenyl)-3-(dimethylamino)prop-2-en-1 -one (BB-3):
The synthesis of BB-3 is reported in Synthesis, 2005, 1 1 , 1845-1849.
1 H NMR (CDCb, 300 MHz), δ [ppm] = 3.01 (s, 3H, -CH3), 3.21 (s, 3H, -CH3), 5.67 (d, 1 H, =HC-CO,3 J = 12 Hz), 6.83 (d, 1 H, H-3,3J = 8.5 Hz), 7.41 (dd, 1 H, H-4,3 J = 8.8 Hz, 4 J = 2.1 Hz), 7.77 (d, 1 H, H-6,4 J = 2.1 Hz), 7.90 (d, 1 H, =HC-NMe2,3J = 7.0 Hz).
Figure imgf000064_0004
BB-3 BB-4 Synthesis of 6-bromo-3-chlorochromen-4-one (BB-4):
BB-3 (1 g, 3.7 mmol) is dissolved in acetonitrile (40 ml) under nitrogen. Iodine monochlo- ride (0.2 ml, 3.7 mmol, 0.6 g) is added dropwise. Stirring is continued at room temperature for 45 min (until TLC shows complete consumption of the starting material). The reaction mixture is poured into water (150 ml) and is extracted with methyl ferf-butyl ether (MTBE) (3 x 100 ml). The organic layer is washed with 10% aqueous Na2S203 solution (100 ml) and brine (100 ml). It is dried over Na2S04 and the solvent is removed in vacuo. The crude product is recrystallized from 2-propanol. BB-4 (0.83 g, 3.2 mmol, 87%) is obtained as white crystalline solid.
1 H NMR (CDCb, 300 MHz), δ [ppm] = 7.40 (d, 1 H, H-8,3J = 8.9 Hz), 7.79 (dd, 1 H, H-7, 3 J =
(d, 1 H, H-5,4 J = 2.1 Hz).
Figure imgf000065_0001
Synthesis of 8-bromobenzofuro[3,2-d]pyrimidine (BB-5): BB-4 (1 g, 3.85 mmol) and forma- midine hydrochloride (0.34 g, 4.24 mmol) are dissolved in Ν,Ν-dimethylformamide (DMF, 75 ml) under argon. 1 ,8-Diazabicyclo[5.4.0]undec-7-ene (DBU) (1.58 ml, 8.48 mmol, 1.29 g) is added and the mixture is heated to 90 °C for 23 h (until TLC shows complete consumption of the phenolic intermediate). The reaction mixture is cooled to room temperature and poured into water (100 ml). It is extracted with dichloromethane (DCM, 3 x 100 ml). The combined organic layers are washed with water (100 ml) and dried over Na2S04. The solvent is removed in vacuo. The crude product is dissolved in DCM (30 ml) and basic alumina (13 g) is added. The mixture is stirred at room temperature for 30 min. The alumina is filtered off and washed with little DCM. The solvent is removed in vacuo and BB-5 (0.77 g, 3.09, 80%) is obtained as white solid.
1 H NMR (CDCb, 300 MHz), δ [ppm] = 7.59 (d, 1 H, H-7, 3 J = 8.5 Hz), 7.82 (dd, 1 H, H-6,3J = 8.5 Hz, 4J = 2.0 Hz), 8.42 (d, 1 H, H-9,4 J = 2.0 Hz), 9.06 (s, 1 H, H-4), 9.26 (s, 1 H, H-2). GC-
Figure imgf000065_0002
Synthesis of 8-(4,4,5,5-tetramethyl-1 ,3,2-dioxaborolan-2-yl)benzofuro[3,2-d]pyrimidine (BB- 6): BB-5 (3 g, 12.0 mmol), bis(pinacolato)diboron (3.67 g, 14.5 mmol) and potassium acetate (4.73 g, 48.2 mmol) are dissolved in dry and degassed A/,/V-dimethylformamide (DMF) under argon. dpp/PdCl2*CH2Cl2 (0.79 g, 0.96 mmol) is added and the reaction mixture is stirred at 70 °C for 3 h. It is cooled to room temperature and the mixture is poured into water (100 ml). Extraction is carried out using ethyl acetate (3 x 100 ml). The combined organic layers are washed with water (100 ml) and brine (100 ml) and dried over Na2S04. The solvent is removed in vacuo. The crude product is refluxed in MTBE (150 ml) for 20 min and the remaining solid is filtered off. The solvent is again removed in vacuo and the residue is suspended in n-pentane, stirred for 30 min, filtered off and washed with cold n- pentane. The solid is dried in vacuo and BB-6 (3.2 g, 10.8 mmol, 90%) is obtained as grey solid.
1 H NMR (CDCb, 300 MHz), δ [ppm] = 1.39 (s, 12H, 4xCH3), 7.66 (dd, 1 H, H-6,3J = 8.2 Hz, 5J = 0.7 Hz), 8.15 (dd, 1 H, H-7, 3 J = 8.3 Hz, 4 J = 1.2 Hz), 8.79 (m, 1 H, H-9), 9.02 (s, 1 H, H- 4), 9.24 (s, 1 H, H-2).
Figure imgf000066_0001
BB-7
Synthesis of 5-bromo-3H-benzofuran-2-one (BB-7):
2-(5-Bromo-2-methoxyphenyl)acetic acid (16.3 g, 66.6 mmol) is dissolved in DCM (300 ml). A 1 M solution of BBr3 in DCM (200 ml, 50.1 mmol) is added dropwise at 0 °C. The solution is warmed to room temperature while stirring within 90 min. Stirring at room temperature is continued for 2 h, then, it is cooled to 0 °C again. Water (250 ml) is added and the solution is slowly warmed to room temperature. The precipitate is filtered off and washed with water. The layers of the filtrate are separated. The aqueous layer is extracted with DCM (2 x 100 ml). The combined organic layers are dried over Na2S04 and the solvent is removed in vacuo. The residue is combined with the solid of the filtration and dissolved in xylene (400 ml). p-Toluenesulfonic acid (160 mg) is added in catalytic amounts and the mixture is heated under reflux using a Dean-Stark trap overnight. The reaction is cooled to 100 °C and filtered. The xylene filtrate is washed with water (100 ml) and brine (100 ml) and is dried over Na2S04. The solvent is removed in vacuo. The crude material BB-7 (9.7 g, 45.5 mmol, 68%) is obtained as white solid and is used in the next step without further purification.
1 H NMR (CDCb, 300 MHz), δ [ppm] = 3.75 (s, 2H, -CH2-), 7.00 (d, 1 H, H-7, 3 J = 9.4 Hz),
Figure imgf000066_0002
BB-7 BB-8
Synthesis of 5-bromo-2-chlorobenzofuran-3-carbaldehyde (BB-8):
DMF (6.9 ml, 89 mmol, 6.5 g) and chloroform (28 ml) are mixed under argon and cooled to 0 °C with stirring. POCb (8.1 ml, 89 mmol, 13.7 g) as added within 20 min. BB-7 (9.5 g, 44.6 mmol) is added in portions within 5 min. The reaction is warmed to room temperature within 30 min and subsequently heated under reflux for 2 h. After cooling to room temperature the reaction mixture is poured into ice-cold water (200 ml) and chloroform (200 ml). Potassium acetate is added with stirring until the solution shows pH 5. The layers are separated and the aqueous layer is extracted with chloroform (2 x 100 ml). The combined organic layers are washed with water (100 ml) and dried over Na2S04. The solvent is removed in vacuo. The residue is purified via silica column chromatography using heptane/toluene (7:3) as eluent. BB-8 (5.51 g, 21.2 mmol, 48%) is obtained as yellow powder. 1 H NMR (CDCb, 400 MHz), δ [ppm] = 7.36 (d, 1 H, H-7, 3 J = 8.9 Hz), 7.50 (dd, 1 H, H-6,3J = 8.5 Hz, 4J = 1.7 Hz), 8.30 (d, 1 H, H-4, 4J = 1.7 Hz), 10.15 (s, 1 H, CH=0).
Figure imgf000067_0001
BB-8 BB-9
Synthesis of 6-bromobenzofuro[2,3-d]pyrimidine (BB-9): BB-8 (500 mg, 1.9 mmol) is dissolved in ethanol (20 ml) under argon. Formamidine hydrochloride (171 mg, 2.1 mmol) is added at room temperature with stirring. An aqueous solution of KOH (108 mg, 1.9 mmol, in 8 ml) is added. Stirring is continued for 30 min and another portion of KOH in water (108 mg, 1.9 mmol, in 8 ml) is added. Stirring is continued at room temperature until the GC shows complete consumption of the starting material and the intermediate (1 h). The reaction mixture is poured into water (50 ml) and it is extracted with ethyl acetate (2 x 100 ml). The combined organic layers are washed with water (50 ml) and brine (50 ml). It was dried over Na2S04 and the solvent is removed in vacuo. The crude product is purified by silica column chromatography using heptane/ethyl acetate (4: 1 ) as eluent. BB-9 (340 mg, 1.4 mmol, 71 %) is obtained as white solid.
1 H NMR (CDCb, 400 MHz), δ [ppm] = 7.59 (d, 1 H, H-8,3J = 8.9 Hz), 7.72 (dd, 1 H, H-7, 3 J = 8.9 Hz, 4J = 1.9 Hz), 8.17 (d, 1 H, H-5,4 J = 1.9 Hz), 9.13 (s, 1 H, H-4), 9.29 (s, 1 H, H-2). GC-
Figure imgf000067_0002
Synthesis of 8-bromo-2-tert-butylbenzofuro[3,2-d]pyrimidine (BB-10): The compound is synthesized using the method described for BB-5 applying BB-4 (1 .90 g, 7.34 mmol), tert- butylformamidine hydrochloride (1 .10 g, 8.07 mmol), DBU (2.6 ml, 16.14 mmol, 2.46 g) and DMF (130 ml). BB-10 (2.06 g, 6.75 mmol, 92%) is obtained as white solid.
1 H NMR (CDCb, 300 MHz), δ [ppm] = 1 .51 (s, 9H, Bu), 7.52 (d, 1 H, H-6,3J = 8.9 Hz), 7.75 (dd, 1 H, H-7, 3J = 9.0 Hz,4 J = 2.1 Hz), 8.42 (d, 1 H, H-9, J = 2.1 Hz), 8.96 (s, 1 H, H-4). GC-
Figure imgf000067_0003
BB-1 BB-11
Synthesis of 3-triphenylsilylbenzonitrile (BB-11 ): BB-1 (1 g, 2.4 mmol) and CuCN (0.32 g, 3.6 mmol) are suspended in DMF (12 ml) under argon and heated up to 145 °C with stirring. TLC shows complete consumption of the starting material after 17 h. The reaction mixture is diluted with aqueous 1 % NaCN solution (36 ml) and stirring is continued for 1 h at 100 °C. The precipitate is filtered off, washed with water and ethanol. It is dried in vacuo at 60 °C and crude product BB-11 (896 mg, 2.1 mmol, 86%) is obtained with 83% HPLC purity and is used in the next reaction without further purification. 1 H NMR (DMSO-cfe, 300 MHz), δ [ppm] = 7.47-7.56 (m, 15H, -SiPh3), 7.67-7.72 (m, 1 H, H 5), 7.80-7.86 (m, 2H, H-2 + H-6), 7.99-8.01 (m, 1 H, H-4).
HCI
Figure imgf000068_0001
BB-11 BB-12
Synthesis of 3-triphenylsilylbenzamidine hydrochloride (BB-12): Hexamethyldisilazane lithi- um (LiHMDS) (18.9 g, 113 mmol) is suspended in THF (100 ml) at room temperature under argon. BB-11 (6.8 g, 18.8 mol) is dissolved in THF (30 ml) and is added. Stirring at room temperature is continued for 40 min. It is cooled to 0 °C and a 12 M solution of HCI in etha- nol (18.8 ml, 226 mmol) is added dropwise. The volume of the reaction mixture is reduced to about 30% and subsequently, water is added to precipitate the crude product. The solid is filtered off, washed with water and is dried in vacuo at 50 °C. BB-12 (7.70 g, 18.6 mmol, 99%) is obtained as white solid and is used in the next reaction without further purification. 1 H NMR (DMSO-cfe, 300 MHz), δ [ppm] = 7.47-7.58 (m, 15H, -SiPh3), 7.69-7.75 (m, 1 H, H- .87 (m, 1 H, H-4), 7.92-7.96 H-2 + H-6), 9.23 + 9.44 (2xs, br, 4H, H2N-).
Figure imgf000068_0002
BB-13
Synthesis of (E)-3-(dimethylamino)-1 -(2-hydroxyphenyl)prop-2-en-1 -one (BB-13):
The synthesis of BB-13 is described in Synth. Commun. 1979, 901-903.
1 H NMR (CDCb, 300 MHz), δ [ppm] = 2.97 (s, 3H, -CH3), 3.19 (s, 3H, -CH3), 5.78 (d, 1 H,
=HC-CO, 3J = 11.8 Hz), 6.79-6.84 (m, 1 H, H-5), 6.94 (dd, 1 H, H-3,3J = 8.2 Hz, 4J = 1.0
Hz), 7.32-7.38 (m, 1 H, H-4), 7.69 (dd, 1 H, H-6,3J = 8.0 Hz, 4J = 1.5 Hz), 7.88 (d, 1 H, =HC- NMe2,3J = 12.0 Hz).
Figure imgf000068_0003
BB-13 BB-14
Synthesis of 3-chlorochromen-4-one (BB-14):
The synthesis of BB-14 is described in Chem. Pharm. Bull. 1994, 42 (8), 1697-1699. 1 H NMR (CDCb, 300 MHz), δ [ppm] = 7.43-7.51 (m, 2H, H-6 + H-8), 7.69-7.74 (m, 1 , H-7),
Figure imgf000068_0004
BB-15
Synthesis of (8-bromodibenzofuran-2-yl)triphenylsilane (BB-15): The preparation of BB-15 is described in WO2010/079051 A1.
1 H NMR (CDCb, 300 MHz), δ [ppm] = 7.38-7.50 (m, 10H, -SiPh3(9), H-4), 7.54 (dd, 1 H, H- 3,3 J = 8.7 Hz, 4J = 2.1 Hz), 7.57-7.63 (m, 7H, -SiPh3(6), H-6). 7.69 (dd, 1 H, H-7,3 J = 9.0 Hz, 4J = 1 .2 Hz), 7.99 (d, 1 H, H-1 , 4 J = 2.1 Hz), 8.1 1 (d, 1 H, H-9,4J = 1 .2 Hz). MS (CI) m/z
Figure imgf000069_0001
BB-15 BB-16
Synthesis of (8-cyanodibenzofuran-2-yl)triphenylsilane (BB-16): BB-15 (8.6 g, 17 mmol) and CuCN (2.29 g, 25.5 mmol) are suspended in DMF (170 ml) under argon and heated up to 145 °C with stirring. TLC shows complete consumption of the starting material after 48 h. The reaction mixture is diluted with aqueous 1 % NaCN solution (255 ml) and stirring is continued at 100 °C for 1 h. It is cooled to room temperature, the mixture is diluted with ethyl acetate (100 ml) and the layers are separated. The aqueous layer is extracted with ethyl acetate. The combined organic layers are washed with brine (5 x 100 ml) and dried over MgS04. The solvent is removed in vacuo and the crude product is purified via silica column chromatography using heptane/DCM (2: 1 , 1 : 1 ) as eluent. BB-16 (4.64 g, 10.3 mmol, 60%) is obtained as white solid.
1 H NMR (CDCb, 300 MHz), δ [ppm] = 7.38-7.51 (m, 9H, -SiPh3(9)), 7.59-7.67 (m, 8H, -SiPh3(6), H-4, H-9). 7.74 (dd, 1 H, H-7,3 J = 8.6 Hz, 4J = 1 .7 Hz), 7.76 (dd, 1 H, H-3,3J
1 H, H-6).
Figure imgf000069_0002
Synthesis of 8-triphenylsilyldibenzofuran-2-carboxamidine hydrochloride (BB-17): The compound is synthesized using the method described for BB-12 applying BB-16 (4.6 g, 10.2 mmol), LiHMDS (10.2 g, 61 .1 mmol), THF (150 ml), cone. HCI (10 ml) and ethanol (10 ml). BB-17 (4.85 g, 9.6 mmol, 94%) is obtained as beige solid.
1 H NMR (DMSO-de, 300 MHz), δ [ppm] = 7.48-7.61 (m, 15H, -SiPh3), 7.70 (dd, 1 H, H-7,3 J = 8.3 Hz, 4J = 1 .2 Hz), 7.93 (d, 1 H , H-3,3J = 8.3 Hz), 8.04 (m, 2H, H-4, H-6), 8.42 (m, 1 H, H-9), 8.75 (m, 1 H, H-1 ), 9.26 + 9.45 (2xs, br, 4H, H2N-).
Figure imgf000070_0001
BB-18
Synthesis of (3-(8'-bromodibenzofuran-2'-yl)phenyl)triphenylsilane (BB-18): 2-Bromo-8- iododibenzofuran (161 mg, 0.43 mmol) and BB-2 (200 mg, 0.43 mmol) are dissolved in toluene (30 ml) under argon. Ethanol (10 ml) is added and the solution is degassed. K2CO3 (321 mg, 2.32 mmol) is dissolved in water (5 ml), the solution is degassed and added to the reaction mixture. Pd(P i3)4 (15 mg, 0.013 mmol) is added and it is heated up to 40 °C with stirring for 8.5 h (until TLC shows complete consumption of the starting material). The reaction mixture is poured into water (100 ml) and ethyl acetate (100 ml). The layers were separated and the aqueous layer is extracted with ethyl acetate (2 x 75 ml). The combined or- ganic layers are washed with brine (75 ml) and dried over Na2S04. The solvent is removed in vacuo. The crude product is purified via alumina (bas. act. II) column chromatography using heptane/DCM (1 :1) as eluent. BB-18 (226 mg, 0.389 mmol, 90%) is obtained as white solid.
1 H NMR (CDCIs, 300 MHz), δ [ppm] = 7.38-7.52 (m, 1 1 H, -SiPh3(9) + H-7', H-6), 7.54-7.66 (m, 10H, -SiPh3(6) + H-1 ', H-3', H-5, H-6'), 7.70-7.74 (m, 1 H, H-4), 7.86 (m, 1 H, H-2), 8.01 (m, 1 H, H-4'), 8.07 (d, 1 H, H-9',4 J = 1.9 Hz).
Figure imgf000070_0002
C-1
Synthesis of [3-(benzofuro[3',2'-b]pyridin-8'-yl)phenyl]triphenylsilane (C-1): 8-bromobenzo- furo[3,2-b]pyridine (1.25 g, 5.04 mmol) and BB-2 (2.33 g, 5.04 mmol) are dissolved in toluene (100 ml) under argon. Ethanol (50 ml) is added and the solution is degassed. K2CO3 (3.74 g, 27.1 mmol) is dissolved in water (25 ml), the solution is degassed and added to the reaction mixture. Pd(P i3)4 (175 mg, 0.15 mmol) is added and it is heated up to 80 °C with stirring for 17 h (until TLC shows complete consumption of the starting material). The reaction mixture is cooled to room temperature and is poured into water (150 ml) and ethyl acetate (200 ml). The layers are separated and the aqueous layer is extracted with ethyl acetate (2 x 100 ml). The combined organic layers are washed with water (100 ml) and dried over Na2S04. The solvent is removed in vacuo. The crude product is dissolved in chloro- form (100 ml) and 3% aqueous NaCN solution (100 ml) is added. The mixture is heated under reflux for 2 h. The layers are separated and the organic layer is washed with water (3 x 100 ml), dried over Na2S04 and the solvent is removed in vacuo. The material is purified by silica column chromatography using chloroform/cyclohexane (2: 1) as eluent. C-1 (1.87 g, 3.7 mmol, 74%) is obtained as white solid. It is further purified via recrystallization from toluene and subsequent distillation at 210 °C / 4.0x10-7 mbar.
H NMR (CDCb, 300 MHz), δ [ppm] = 7.36-7.52 (m, 11 H, -SiPh3(9) + H-3, H-4), 7.56-7.66 (m, 8H, -SiPh3(6) + H-5, H-9'), 7.71 (dd, 1 H, H-6,3J = 8.7 Hz, 4 J = 2.1 Hz), 7.75-7.78 (m, 1 H, H-4), 7.85 (dd, 1 H, H-7', 3 J = 8.1 Hz, 4J = 1.2 Hz), 7.91-7.93 (m, 1 H, H-2), 8.40-8.41 (m, 1 H, H-6'), 8.65 (dd, 1 H, H-2', 3 J = 4.7 Hz, 4J = 1.4 Hz). 13C NMR (CDCb, 75 MHz), δ [ppm] = 1 12.7, 119.1 , 119.9, 121.8, 124.1 , 128.3, 128.8, 129.2, 130.0, 134.4, 135.4, 135.5, 135.8, 136.8, 137.7, 140.6, 144.6, 145.6, 150.6, 157.3. LC-MS (CI): m/z = 504 [MH+].
Elemental analysis: calcd (%) for C35H25NOSi: C 83.46, H 5.00, N 2.78; found: C 83.7, H 4.74, N 3.00.
Example 2
Figure imgf000071_0001
Synthesis of [3-(benzofuro[3\2'-d]pyrimidin-8'-yl)phenyl]triphenylsilane (C-2): The compound is synthesized using the method described for C-1 applying BB-5 (1.25 g, 5.02 mmol), BB-2 (2.32 g, 5.02 mmol), toluene (100 ml), ethanol (50 ml), water (25 ml), K2CO3 (3.72 g, 27 mmol) and Pd(PPh3)4 (174 mg, 0.15 mmol). C-2 (2.21 g, 4.4 mmol, 87%) is obtained as white solid. It was distilled at 235 °C / 1.6x10-6 mbar.
1 H NMR (CDCb, 300 MHz), δ [ppm] = 7.37-7.54 (m, 10H, -SiPh3(9) + H-6), 7.59-7.65 (m, 7H, -SiPh3(6) + H-5), 7.70 (dd, 1 H, H-6',3J = 8.6 Hz, 4 J = 0.6 Hz), 7.73-7.76 (m, 1 H, H-4), 7.85 (dd, 1 H, H-7', 3 J = 8.6 Hz, 4J = 1.9 Hz), 7.88-7.89 (m, 1 H, H-2), 8.41 (m, 1 H, H-9'), 9.04 (s, 1 H, H-4'), 9.25 (s, 1 H, H-2'). 13C NMR (CDCb, 75 MHz), δ [ppm] = 112.9, 116.1 , 120.6, 120.7, 128.3, 128.8, 129.9, 129.3, 130.1 , 134.2, 135.4, 135.7, 136.1 , 136.7, 138.7, 140.0, 150.3, 153.7, 156.3, 168.7. LC-MS (CI): m/z = 505 [MH+].
Figure imgf000071_0002
BB-8 C-3
Synthesis of [3-(benzofuro[2',3'-d]pyrimidin-6'-yl)phenyl]triphenylsilane (C-3): The compound is synthesized using the method described for C-1 applying BB-8 (1.5 g, 6.02 mmol), BB-2 (2.79 g, 6.02 mmol), toluene (120 ml), ethanol (60 ml), water (30 ml), K2C03 (4.47 g, 32 mmol) and Pd(PPh3)4 (209 mg, 0.18 mmol). C-3 (2.06 g, 4.1 mmol, 68%) is obtained as white solid. It is distilled at 230 °C / 7.4 x10-6 mbar.
1 H NMR (CDCb, 300 MHz), δ [ppm] = 7.38-7.54 (m, 10H, -SiPh3(9) + H-5), 7.60-7.65 (m, 7H, -SiPh3(6) + H-6), 7.68-7.76 (m, 3H, H-7', H-8', H-4), 7.85-7.86 (m, 1 H, H-2), 8.10-8.1 1 (m, 1 H, H-5'), 9.11 (s, 1 H, H-4'), 9.30 (s, 1 H, H-2'). 13C NMR (CDCb, 75 MHz), δ [ppm] = 113.4, 121.0, 122.3, 128.3, 128.9, 129.2, 130.1 , 132.1 , 134.3, 135.4, 135.8, 136.2, 136.8, 138.6, 139.9, 140.1 , 148.6, 150.9, 153.9, 158.0. LC-MS (CI): m/z = 505 [MH+].
Figure imgf000072_0001
Synthesis of [3-(2'-tert-butylbenzofuro[3\2'-d]pyrimidin-8'-yl)phenyl]triphenylsilane (C-4):
The compound is synthesized using the method described for C-1 applying BB-9 (1.83 g, 6.0 mmol), BB-2 (2.77 g, 6.0 mmol), toluene (120 ml), ethanol (60 ml), water (30 ml), K2C03 (4.45 g, 32 mmol) and Pd(PPh3)4 (208 mg, 0.18 mmol). C-4 (2.9 g, 5.2 mmol, 86%) is ob- tained as white solid. It is distilled at 240 °C / 3.4 x10-6 mbar.
1 H NMR (CDCb, 300 MHz), δ [ppm] = 1.53 (s, 9H, ¾u), 7.38-7.53 (m, 10H, -SiPh3(9) + H- 5), 7.58-7.66 (m, 8H, -SiPh3(6) + H-6, H-6'), 7.76-7.82 (m, 2H, H-4, H-7'), 7.89-7.91 (m, 1 H, H-2), 8.39-8.40 (m, 1 H, H-9'), 8.95 (s, 1 H, H-4'). 13C NMR (CDCb, 75 MHz), δ [ppm] = 30.5, 40.0, 113.2, 121.2, 122.9, 128.3, 128.8, 129.1 , 130.1 , 134.4, 135.5, 136.0, 136.2, 136.8, 137.9, 139.2, 140.1 , 146.8, 150.7, 158.2, 172.8. LC-MS (CI): m/z = 561 [MH+]. Elemental analysis: calcd (%) for C38H32N2OSi: C 81.39, H 5.75, N 5.00; found: C 81.6, H 5.74, N 5.06.
Example 5
Figure imgf000072_0002
BB-12 BB-14 C-5
Synthesis of [3-(benzofuro[3',2'-d]pyrimidin-2'-yl)phenyl]triphenylsilane (C-5): BB-12 (2.28 g, 5.48 mmol) and BB-14 (0.90 g, 4.98 mmol) are dissolved in DMF (25 ml) under argon. DBU (1.64 ml, 11.0 mmol, 1.67 g) is added and the mixture is heated up to 135 °C for 24 h (until TLC shows complete consumption of the phenolic intermediate). The reaction mixture is cooled to room temperature and is diluted with MTBE (200 ml). It is washed with water (9 x 75 ml) and brine (75 ml). The organic layer is dried over MgS04 and the solvent is removed in vacuo. The crude product is purified via silica column chromatography using hep- tane/DCM as eluent (3:1 , 2:1 , 1 :1). C-5 (1.19 g, 2.36 mmol, 47%) is obtained as white solid. It is further purified via recrystallization from toluene/cyclohexane and subsequent distillation at 220°C/ 6.3x10-6 mbar.
1 H NMR (CDCb, 300 MHz), δ [ppm] = 7.39-7.58 (m, 11 H, -SiPh3(9) + H-7', H-8'), 7.64-7.73 (m, 9H, -SiPh3(6) + H-2, H-5, H-6), 8.25-8.27 (m, 1 H, H-6'), 8.62-8.66 (m, 1 H, H-9'), 8.86- 8.88 (m, 1 H, H-4), 9.01 (s, 1 H, H-4'). 13C NMR (CDCb, 75 MHz), δ [ppm] = 113.2, 122.3, 123.0, 124.5, 128.3, 128.6, 130.0, 132.1 , 134.6, 134.9, 136.6, 136.9, 137.8, 138.6, 139.9, 147.0, 151.5, 158.9, 160.7. LC-MS (CI): m/z = 505 [MH+].
Figure imgf000073_0001
BB-15 c-6
Synthesis of [8-(benzofuro[3\2'-d]pyrimidin-8'-yl)dibenzofuran-2-yl]triphenylsilane (C-6):
The compound is synthesized using the method described for C-1 applying BB-15 (3.1 g,
6.1 mmol), BB-6 (1.82 g, 6.1 mmol), toluene (120 ml), ethanol (60 ml), water (15 ml), K2C03
(4.55 g, 33 mmol) and Pd(PPh3)4 (213 mg, 0.18 mmol). C-6 (2.43 g, 4.1 mmol, 67%) is obtained as white solid. It is recrystallized from cyclohexane and distilled at 280 - 295 °C /
2.5 x 10-6 mbar.
1 H NMR (CDCb, 300 MHz), δ [ppm] = 7.39-7.50 (m, 9H, -SiPh3(9)), 7.61-7.71 (m,
9H, -SiPh3(6) + H-3, H-6, H-6'), 7.74-7.78 (m, 2H, H-7', H-4), 8.81 (dd, 1 H, H-7, 3 J = 8.7 Hz, 4J = 2.0 Hz), 8.15-8.16 (m, 1 H, H-9), 8.23-8.24 (m, 1 H, H-1), 8.51-8.52 (m, 1 H, H-9'), 9.06 (s, 1 H, H-4'), 9.26 (s, 1 H, H-2'). 13C NMR (CDCb, 75 MHz), δ [ppm] = 111.9, 1 12.3, 113.3, 119.9, 121.0, 122.2, 124.4, 125.0, 127.0, 128.3, 128.6, 129.3, 130.0, 132.0, 134.6, 135.5, 135.9, 136.8, 138.3, 139.9, 148.5, 150.8, 153.8, 156.1 , 157.7, 158.2. LC-MS (CI): m/z = 595 [MH+]. Elemental analysis: calcd (%) for C40H25N2O2S1: C 80.78, H 4.41 , N 4.71 ; found: C 80.8, H 4.22, N 4.68.
Figure imgf000073_0002
BB-17 C-7
Synthesis of [8-(benzofuro[3',2'-d]pyrimidin-2'-yl)dibenzofuran-2-yl]triphenylsilane (C-7): BB-17 (2.2 g, 4.36 mmol) and BB-14 (0.79 g, 4.36 mmol) are dissolved in DMF (180 ml) under argon. DBU (1.4 ml, 9.58 mmol, 1.46 g) is added and the mixture is heated up to 130 °C for 22 h (until TLC shows complete consumption of the phenolic intermediate). The reaction mixture is cooled to room temperature and the volume is reduced to about 20 ml. The residue is poured into chloroform (200 ml) and water (200 ml). The layers are separated and the aqueous layer is extracted with chloroform (3 x 150 ml). The combined organic layers are washed with brine (100 ml) and dried over MgS04. The solvent is removed in vacuo. The crude product is purified via filtration over a short alumina (bas. act. II) column and silica column chromatography using heptane/DCM as eluent (1 :1 , 1 :2). C-7 (2.15 g, 3.62 mmol, 83%) is obtained as white solid. It is further purified via recrystallization from xylene/cyclohexane.
1 H NMR (CDCb, 300 MHz), δ [ppm] = 7.39-7.55 (m, 10H, -SiPh3(9) + H-7'), 7.60-7.76 (m, 11 H, -SiPh3(6) + H-4, H-6, H-7, H-6', H-8'), 8.34-8.35 (m, 1 H, H-9), 8.36-8.40 (m, 1 H, H-9'), 8.75 (dd, 1 H, H-3,3J = 8.8 Hz, 4J = 1.9 Hz), 9.08 (s, 1 H, H-4'), 9.10 (m, 1 H, H-1). LC-MS (CI): m/z = 595 [MH+].
Figure imgf000074_0001
BB-18 C-8
Synthesis of [3-[8'-(benzofuro[3^2"-d]pyrimidin-8"-yl)dibenzofuran-2'-yl]phenyl]tri- phenylsilane (C-8): The compound is synthesized using the method described for C-1 applying BB-18 (3.2 g, 5.5 mmol), BB-6 (1.63 g, 5.5 mmol), toluene (75 ml), ethanol (38 ml), water (18 ml), K2C03 (4.08 g, 29.5 mmol) and Pd(PPh3)4 (191 mg, 0.17 mmol). C-8 (1.63 g, 2.43 mmol, 44%) is obtained as white solid. It is recrystallized from toluene and distilled at 310 °C / 2.5 x10-6 mbar.
1 H NMR (CDCb, 300 MHz), δ [ppm] = 7.38-7.54 (m, 10H, -SiPh3(9), H-5), 7.57-7.60 (m, 1 H, H-3'), 7.62-7.69 (m, 9H, -SiPh3(6) + H-6, H-6', H-6"), 7.75-7.80 (m, 3H, H-4, H-4', H-7"),
7.91-7.92 (m, 1 H, H-2), 8.85 (dd, 1 H, H-7', 3 J = 8.9 Hz, 4 J = 2.0 Hz), 8.13-8.14 (m, 1 H, H-9' ), 8.24-8.25 (m, 1 H, H-1 '), 8.55-8.56 (m, 1 H, H-9"), 9.07 (s, 1 H, H-4"), 9.28 (s, 1 H, H-2"). 13C NMR (CDCb, 75 MHz), δ [ppm] = 112.3, 112.5, 113.4, 119.6, 1 19.9, 121.1 , 122.4, 124.9, 125.3, 125.6, 127.2, 127.4, 128.3, 128.6, 128.8, 129.1 , 129.4, 130.0, 132.0, 134.5, 135.4, 135.5, 135.6, 135.7, 136.8, 137.0, 138.4, 140.0, 140.8, 148.7, 150.9, 154.0, 156.6, 156.7, 157.9. LC-MS (CI): m/z = 671 [MH+]. Elemental analysis: calcd (%) for
C46H3oN202Si: C 82.36, H 4.56, N 4.18; found: C 82.6, H 4.22, N 4.26.
Figure imgf000074_0002
a) 13.92 g (46.56 mmol) of 5-bromo-3-iodo-pyridin-2-amine, 1 1.71 g (50.75 mmol) of (5- bromo-2-methoxy-phenyl)boronic acid, 32.82 g (237.44 mmol) of potassium carbonate, 700 ml of toluene, 280 ml of ethanol and 175 ml of water are mixed and evacuated and flushed with argon four times. Then 5.38 g (4.66 mmol) of tetrakis triphenyl phosphine palladium are added. The mixture is heated to reflux for 2.5 hours while stirring, then cooled to room temperature. The phases are separated and the aqueous phase extracted twice with tolu- ene (250 ml each). The combined organic phases are washed three times with water (100 ml each), dried with magnesium sulfate, filtered and the solvent is evaporated on the rota- vap. The crude product (16.8 g) is purified by flash chromatography with heptane/ethyl acetate as eluent yielding 12.4 g (74%) of 5-bromo-3-(5-bromo-2-methoxy-phenyl)pyridin-2- amine.
1H NMR (400 MHz, CDCb): δ 8.12 (d,J=2.4Hz,1 H); 7.48 (dxd,Ji=8.8Hz,J2=2.8Hz,1 H); 7.43 ( z,1 H); 4.49 (br s,2H), 3.80 (s,3H)
Figure imgf000075_0001
b) A solution of 12.89 g (36 mmol) of 5-bromo-3-(5-bromo-2-methoxy-phenyl)pyridine-2- amine in 35 ml of THF and 90 ml of glacial acetic acid is cooled to 0°C and 9.28 g (90 mmol) of tert-butyl nitrite are added trop by drop within 20 minutes at a temperature of 0 to 5°C under nitrogen. The reaction mixture is stirred at 0°C for 15 minutes, then warmed to room temperature and stirred for 1 hour. The suspension is poured on 250 ml of ice water and stirred for one hour. The yellow suspension is filtered, washed twice with 30 ml of ice water each, twice with 30 ml of methanol each and dried at high vacuum. The crude product (8.57 g) is purified by flash chromatography with ethyl acetate/toluene as eluent yielding 8.19 g of product. The light yellow crystals are refluxed in 80 ml of chloroform, cooled to room temperature, filtered and dried to yield 7.33 g (62 %) of 3,6-dibromobenzofuro[2,3- b]pyridine.
1H NMR (400 MHz, CDCb): δ 8.51 (d,J=3.2Hz,1 H); 8.34 (d,J=3.2Hz,1 H); 8.04 (d,J=2.8Hz,
Hz,1 H)
Figure imgf000075_0002
C-9
c) 3.27 g (10 mmol) of 3,6-dibromobenzofuro[2,3-b]pyridine are suspended in 100 ml of tetrahydrofuran at room temperature under nitrogen and cooled to -78°C. 1.60 g (25 mmol) of n-butyllithium (2.5 molar in hexene) are added within 3 minutes drop by drop under nitrogen and the dark yellow suspension is stirred for 45 minutes at -78°C. 8.85 g (30 mmol) of chloro(triphenyl)silane in 50 ml of tetrahydrofuran are added drop by drop within 8 minutes under nitrogen. The suspension is stirred for 5 minutes at -78°C, then warmed to room temperature. The clear solution is stirred for 1 hour at room temperature, then poured on 250 ml of water and extracted twice with 150 ml of ethyl acetate each. The water phase is extracted again with 150 ml of ethyl acetate. The combined organic phases are washed with 250 ml of brine, dried over Na2S04, filtered and the solvent is evaporated at high vacuum. The crude product is purified by flash chromatography with heptane/toluene as eluent yielding 4.13 g of yellow crystals. After two recrysalizations from toluene, 3.94 g (57%) of triphenyl-(3-triphenylsilylbenzofuro[2,3-b]pyridin-6-yl)silane (C-9)with a HPLC purity of 100% are obtained.
1H NMR (400 MHz, CDCb): δ 8.56 (d,J=2.0Hz,1 H); 8.38 (d,J=1.60Hz,1 H); 8.13 (s,1 H); 7.73 (dxd,Ji=8.4Hz,J2=1.2Hz,1 H); 7.68 (d,J=8.0Hz,1 H); 7.63-7.59 (m,12H); 7.51-7.34 (m, 18H) Example 10
Figure imgf000076_0001
a) 3,3'-dinitro-2,2'-bipyridine was synthesized and worked up according to Eur. J. Inorg. Chem. 2002, 1985-1997.
1H NMR (400 MHz, CDCb): δ 8.88 (dxd,Ji=6.4Hz,J2=2.0Hz,2H); 8.58 (dxd,Ji=11.2Hz, J2=2.0Hz,2H), 7.65 (dxd,Ji=11.2Hz,J2=6.4Hz,2H)
Figure imgf000076_0002
b) To a solution of 700 ml of hydrochloric acid (37%) in 800 ml of ice water are added 72 g (0.292 mol) of 3,3'-dinitro-2,2'-bipyridine and 249.0 g (2.029 mol) of Sn powder (exothermic, wait until cooled down). The green suspension is slowly heated to 120°C under nitrogen. After 1.5 hours TLC (CH2CI2) analysis showes that all starting material has been consumed. The reaction mixture is cooled to room temperature and filtered. The residue is suspended in 1000 ml of water : ethyl acetate 1 :1 , then 400 ml of NaOH (2N) are added (pH = 10). To the thick green-yellow mixture are added 250 ml of ethyl acetate, then the mixture is stirred for 30 minutes. After filtration (slow) the filtrate is stored during the weekend and shows after that time a nice phase separation. The phases are separated and the water phase is extracted 3 times with 250 ml of ethyl acetate each. The organic phase is washed with 250 ml of a puffer solution of pH 7 and 250 ml of brine, dried over Na2S04, filtered and evaporated to yield 51.7 g (88 %) of yellow crystals of 3,3'-diamino-2,2'- bipyridine.
1H NMR (400 MHz, CDCb): δ 7.98 (dxd,Ji=3.6Hz,J2=2.0Hz,2H); 7.06-7.01 (m,4H); 6.28 (
Figure imgf000076_0003
c) The synthesis furo(3,2-b:4,5-b)dipyridine is described in Polish Journal of Chemistry, 59, 1141 (1985).
1H NMR (400 MHz, DMSO): δ 8.76 (dxd,Ji=4.4Hz,J2=1.2Hz,2H); 8.25 (dxd,Ji=8.4Hz, J
Figure imgf000076_0004
C-10
d) 150 ml of tetrahydrofuran are cooled to -20°C under nitrogen, then 2.26 g (35.3 mmol) of n-butyllithium (2.7 molar) are added. The solution is cooled to -30°C and 3.57 g (35.3 mmol) of diisopropylamine are added, then the yellow solution is warmed to 0°C and stirred for 30 minutes at this temperature. After cooling to -78°C 5.0 g (29.4 mmol) of furo(3,2- b:4,5-b)dipyridine, dissolved in 50 ml of tetrahydrofuran, are added drop by drop at -70°C under nitrogen within 30 minutes. The solution is stirred at -78°C for 45 minutes. 10.72 g (35.3 mmol) of chloro(triphenyl)silane are dissolved in 50 ml of tetrahydrofuran and added drop by drop at -65°C within 20 minutes, then the soolution is stirred for 45 minutes at -78° C. After warming to room temperature the reaction mixture is poured on 150 ml of water and stirred for 30 minutes. The two phase mixture is evaporated at the rotavap to obtain a yellow emulsion, which is extracted 3 times with 100 ml of ethyl acetate each. The organic phases are washed with 100 ml of brine, dried over MgS04, filtered, washed with ethyl acetate and the solvent is evaporated on the rotavap. The crude product is purified by flash chromatography twice with ethyl acetate/toluene as eluent yielding 3.3 g (26.2 %) of fu- ro(3,2-b:4,5-b)dipyridine -4-yl(triphenyl)silane (C-10) with a HPLC purity of 99.8%.
1 H NMR (400 MHz, CDCb): δ 8.78 (dxd,Ji=6.0Hz,J2=1.6Hz,1 H); 8.76 (d,J=6.4Hz,1 H) 7.70 (dxd,Ji=11.2Hz,J2=1.6Hz,1 H), 7.65-7.60 (m,6H), 7.52-7.37 (m,1 1 H)
Figure imgf000077_0001
C-11
a) 75 ml of tetrahydrofuran are cooled to -20°C under nitrogen, then 7.0 g (109.3 mmol) of n-butyllithium (2.7 molar) are added. The solution is cooled to -30°C and 11.06 g (109.3 mmol) of diisopropylamine are added, then the yellow solution is warmed to 0°C and stirred for 20 minutes at this temperature. After cooling to -78°C 6.2 g (36.4 mmol) of furo(3,2- b:4,5-b)dipyridine, dissolved in 20 ml of tetrahydrofuran, are added drop by drop at -70°C under nitrogen within 25 minutes. The solution is stirred at -78°C for 1 hour. 33.23 g (109.3 mmol) of chloro(triphenyl)silane are dissolved in 5 ml of tetrahydrofuran and added drop by drop at -70°C within 2 minutes, then the solution is stirred for 15 minutes at -78°C. After warming to room temperature the reaction mixture is stirred over night, then poured on 600 ml of a saturated NhUCI-solution and stirred for 30 minutes. Tetrahydrofuran is evaporated on the rotavap, then 250 ml of ethyl acetate are added. The suspension is stirred, filtered and the residue washed with 50 ml of a 1 : 1 mixture of water/ethyl acetate and dried, to yield 29.6 g of white crystals. The crude product is stirred and heated to reflux in 300 ml of toluene for 1 hour, cooled to room temperature, then to 0°C, filtered, washed with 50 ml of toluene and dried. Decocting in toluene is repeated and 22.9 g (91 %) of white crystals of triphenyl-(6-triphenylsilylfuro(3,2-b:4,5-b)dipyridine-4-yl)silane (C-11 ) are obtained.
1 H NMR (400 MHz, CDCb): δ 8.73 (d,J=6.0Hz,2H); 7.34-7.23 (m,20H); 7.15-7.06 (m, 12H)
Example 12
Figure imgf000077_0002
a) 59.78 g (200 mmol) of 5-bromo-3-iodo-pyridin-2-amine, 31.3 g (206 mmol) of (2- methoxyphenyl)boronic acid and 69.1 g (500 mmol) of potassium carbonate are mixed, evacuated and flushed with argon 3 times. 400 ml of toluene, 150 ml of ethanol and 65 ml of water are added and the suspension is evacuated and flushed with argon five times, then argon is bubbled through for 30 minutes. Then 4.62 g (4 mmol) of palladium; tri- phenylphosphane are added, argon is bubbled through for another 5 minutes and then the reaction mixture is heated to 85°C. After stirring for 6.5 hours at this temperature under argon, the mixture is cooled to room temperature, 500 ml of water and 300 ml of ethyl acetate are added and after stirring the suspension is filterted through hyflo into a separation funnel. The phases are separated and the water phase is extracted with 250 ml of ethyl acetate. The combined organic phases are washed with 500 ml of warer, 350 ml of brine, dried over Na2S04, filtered and the solvent is evaporated on the rotavap.The crude product is recrystallized in hot toluene to yield 43.0 g (77%) of 5-bromo-3-(2-methoxyphenyl)pyridin- 2-amine.
1H NMR (400 MHz, CDCb): δ 8.10 (d,J=2.4Hz,1 H); 7.45 (d,J=2.4Hz,1 H); 7.41-7.36 (m,1 H); 7.22 (dxd,Ji=7.2Hz,J2=2.4Hz,1 H); 7.07-7.02 (m,1 H); 7.00 (d,J=8.4Hz,1 H), 4.53 (br s,2H); 3
Figure imgf000078_0001
b) A solution of 37.68 g (135 mmol) of 5-bromo-3-(2-methoxyphenyl)pyridin-2-amine in 140 ml of THF and 350 ml of glacial acetic acid are cooled to 0°C under nitrogen. 27.84 g (270 mmol) of tert-butyl nitrite are added drop by drop within 30 minutes. The reaction mixture is stirred at 0°C for 30 minutes, warmed to room temperature and stirred over night at this temperature. The yellow suspension is poured on 2000 ml of water and stirred for one hour. The yellow suspension is filtered, washed 3 times with 100 ml of water each and dried (70°C / 150 mbar). The crude product is purified by flash chromatography with ethyl acetae/toluene as eluent to yield 22.83 g (68%) of 3-bromobenzofuro[2,3-b]pyridine.
1H NMR (400 MHz, CDCb): δ 8.45 (d,J=2.4Hz,1 H); 8.31 (d,J=2.4Hz,1 H); 7.87
(d,J=8.4Hz, 1 H); 7.60 (d,J=8.4H (m,1 H); 7.41-7.35 (m,1 H)
Figure imgf000078_0002
c) 31.48 g (100 mmol) of 1 ,3,5-tribromobenzene are suspended in 400 ml of tetrahydrofu- ran under nitrogen and cooled to -78°C. 6.41 g (100 mmol) of n-butyllithium (2.5 molar in hexane) are added drop by drop at -78°C within 20 minutes and the solution is stirred at this temperature for 10 minutes. After warming up to 0°C, the solution is stirred at this temperature for 45 minutes. 35.38 g (120 mmol) of chloro(triphenyl)silane are added in one portion at 0°C under nitrogen and the solution is stirred for 10 minutes at this temperature and then warmed to room temperature. After stirring 2.5 hours at room temperature the reaction mixture is poured on 450 ml of water and extracted twice with 200 ml of toluene each. The combined organic phases are washed with 400 ml of water and 400 ml of brine, dried over Na2S04, filterted and the solvent evaporated on the rotavap. The crude product is stirred in 100 ml of dichloromethane for 15 minutes, filtered and the residue is dried at high vacuum to yield 30.75 g (62%) of (3,5-dibromophenyl)-triphenyl-silane.
1H NMR (400 MHz, CDCb): δ 7.75 (t,J=2.0Hz,1 H); 7.61 (d,J=2.0Hz,2H); 7.58-7.53 (m,6H);
Figure imgf000079_0001
d) 17.3 g (35 mmol) of (3,5-dibromophenyl)-triphenyl-silane, 19.55 g (77 mmol) of 4,4,5,5- tetramethyl-2-(4,4,5,5-tetramethyl-1 ,3,2-dioxaborolan-2-yl)-1 ,3,2-dioxaborolane and 20.61 g (210 mmol) of potassium acetate are mixed at room temperature and evacuated and flushed with argon 5 times. 150 ml of dimethylformamide are added, again the suspension is evacuated and flushed with argon 5 times, then argon is bubbled through for 30 minutes. 1.14 g (1.4 mmol) of bis[(1 R)-2-diphenylphosphanylcyclopenta-2,4-dien-1-yl]iron; dichloromethane; palladium(2+); dichloride are added under argon, then the orange suspension is heated to 70°C. After 2 hours stirring at this temperature, the suspension is cooled to room temperature, then the solvent is evaporated on the rotavap and at high vacuum. The resi- due is stirred in a mixture of 250 ml of water and 250 ml of toluene, filtered through a sintered glass funnel into a separation funnel and the phases are separated. The water phase is extracted with 250 ml of toluene, the combined organic phases are washed with 250 ml of water and 250 ml of brine, dried over Na2S04, filtered and the solvent is evaporated on the rotavap. The crude product is recrystallized in hot acetonitrile, then recrystallized a sec- ond time in toluene/isopropanol 2:5 to yield 16.50 g (80%) of [3,5-bis(4,4,5,5-tetramethyl-
1 ,3,2-dioxaborolan-2-yl)phenyl]-triphenyl-silane.
1H NMR (400 MHz, CDCb): δ 8.38 (s,1 H); 8.18 (s,2H); 7.60-7.57 (m,6H); 7.46-7.36 (
Figure imgf000079_0002
C-12
e) 1488 mg (6 mmol) of 3-bromobenzofuro[2,3-b]pyridine and 2206 mg (3 mmol) of [3,5- bis(4,4,5,5-tetramethyl-1 ,3,2-dioxaborolan-2-yl)phenyl]-triphenyl-silane are mixed, evacuated and flushed with argon three times. Then 24 ml of tetrahydrofuran are added and the mixture is evacuated and flushed with argon five times, then argon is bubbled through for 20 minutes. 52.22 mg (0.18 mmol) of tritert-butylphosphonium tetrafluoroborate and 82.41 mg (0.09 mmol) of (1 E,4E)-1 ,5-diphenylpenta-1 ,4-dien-3-one; palladium (Pd2(dba)3) are added under argon to the brown solution, bubbled with argon for another 3 minutes and then the solution is warmed to 50°C. In a separate round bottom flask 2865 mg (13.5 mmol) of tripotassium phosphate are dissolved in 6 ml of water under argon and argon is bubbled through for 25 minutes. This solution is added in one portion at 50°C to the reac- tion mixture prepared above, then the brown emulsion is heated to 75°C and stirred at this temperature for 1.5 hours. The reaction mixture is filtered through hyflo into a separation funnel, then 50 ml of water and 500 ml of toluene are added and the phases are separated. The water phase is extracted with 25 ml of toluene. The combined organic phases are washed with 50 ml of water, 50 ml of brine, dried over Na2S04, filtered and the solvent is evaporated on the rotavap. The crude product is purified by flash chromatography with ethyl acetate/toluene as eluent. The pure fractions are recrystallized in hot toluene to yield 1.89 g (94%) of [3,5-bis(benzofuro[2,3-b]pyridin-3-yl)phenyl]-triphenyl-silane (C-12).
1H NMR (400 MHz, CDC ): δ 8.69 (d,J=2.0Hz,2H); 8.46 (d,J=2.0Hz,2H); 8.02-7.95 (m,5H); 7.71-7.64 (m,8H); 7.58-7.39 (m, 13H)
Application Example 1
Determination of triplet energy and of PL quantum efficiencies
For evaluation of hosts, spectroscopic measurements were made for pure host films as well lms using the following emitter for reference.
Figure imgf000080_0001
All thin films are prepared by dissolving the materials in dichloromethane according intended concentrations, followed by stirring it for few minutes until dissolution. The solutions are casted by doctor-blading with a film applicator (Model 360 2082, Erichsen) with a 60 μιη gap onto quartz substrates providing thin doped polymer films (thickness ca. 5-6 μιη).
The triplet energy of the host materials is extracted from phosphorescence spectrum of a neat host film. The phosphorescence spectra are measured from neat films at 4K by time- gated spectroscopy using FLS920 spectrometer system (Edinburgh Instruments) with excitation by Xe flash pulses and a detection delay-time of 0.18 ms.
The photoluminescence (PL) of emitter in the corresponding host systems are measured for hostemitter (96:4) films where 4% of reference emitter is doped into the corresponding host.
The PL spectra and quantum-yields (Q.Y.) of these films are measured with the integrating- sphere method using the Absolute PL Quantum Yield Measurement System (Hamamatsu, Model C9920-02) (excitation wavelength: 370 nm).
Table 1
Material ET [eV]* PLQE CIEx CIEy
SH-1 2.86 83.0% 0.157 0.292
C-10 2.96 85.9% 0.149 0.236
C-9 2.95 83.9% 0.151 0.283
C-11 2.92 91.1 % 0.145 0.234
C-1 2.88 85.8% 0.146 0.244
C-3 2.89 83.6% 0.150 0.267 C-2 2.90 79.2% 0.153 0.254
C-5 2.89 67.0% 0.151 0.259
C-4 2.89 76.1 % 0.145 0.216
C-49 2.80 64.9% 0.150 0.259
C-50 2.99 74.9% 0.146 0.220
*Onset of the neat film gated emission spectrum at 4 K
The results show that all host result in deeper blue colour (i.e. lower CIEy) compared to the reference (SH-1 ).
Comparative Application Example 1
The ITO substrate used as the anode is first cleaned with an acetone/isopropanol mixture in an ultrasonic bath. To eliminate any possible organic residues, the substrate is exposed to a continuous ozone flow in an ozone oven for further 25 minutes. This treatment also improves the hole injection properties of the ITO. Then Plexcore® OC AJ20-1000 (commercially available from Plextronics Inc.) is spin-coated and dried to form a hole injection layer (-40 nm).
Thereafter, the organic materials specified below are applied by vapor deposition to the clean substrate at a rate of in at about 10-7 - 10-9 mbar. As a hole
transport and exciton blocker
Figure imgf000081_0001
dpbic)3; HTM-1), is applied to the substrate with a thickness of 20 nm, wherein the first 10 nm are doped with MoOx (-10%) to improve the conductivity.
Figure imgf000081_0002
Subsequently, a mixture of 10% by weight of emitter compound,
3 and 85% by weight of compound
Figure imgf000081_0003
(SH-1) is applied by vapor deposition in a thickness of 40 nm. Subsequently, material SH-1 is applied by vapour deposition with a thickness of 5 nm as blocker. Thereafter, a 20 nm thick electron transport layer is deposited consisting of
Figure imgf000082_0001
(Liq). Finally a 2 nm KF layer serves as an electron injection layer and a 100 nm-thick Al electrode completes the device.
All fabricated parts are sealed with a glass lid and a getter in an inert nitrogen atmosphere.
Application Example 2 to 4 and 13
Comparative Application Example 1 is repeated except that the 5 nm hole blocking material SH-1 is replaced by the following compounds:
Figure imgf000082_0002
spectively.
OLED characterization
To characterize the OLED, electroluminescence spectra are recorded at various currents and voltages. In addition, the current-voltage characteristic is measured in combination with the light output emitted. The light output is converted to photometric parameters by calibration with a photometer. The results are shown in Table 2. Data are given at luminance (L) = 1000 Cd/m2 except otherwise stated.
Table 2
Appl. HBL U M [Cd/A] [Im/W] EQED CIEx CIEy
Ex. [%] 2 C-2 6.74 29.1 13.6 14.8 0.161 0.300
3 C-5 6.63 28.1 13.3 14.2 0.162 0.301
4 C-4 6.67 27.6 13.0 14.2 0.162 0.295
13 C-49 6.67 28.2 13.2 14.6 0.162 0.292
Comp. Appl. Ex. 1 SH-1 7.05 27.0 12.0 14.0 0.162 0.292
1) External quantum efficiency (EQE) is # of generated photons escaped from a substance or a device / # of electrons flowing through it.
It is evident that the voltage is reduced and the efficiency is increased by replacing the hole blocking material SH-1 by compounds C-2, C-5, or C-4. As shown in Application Example 13, the material C-49 with X = S shows similar performance as the materials C-2, C-5 and C-4 with X = O.
Comparative Application Example 2
The devices are fabricated and characterized as in Comparative Application Example 2 except for the following: As a hole transport and exciton blocker material SH-1 is applied to the substrate with a thickness of 20 nm, wherein the first 10 nm are doped with MoOx (-10%) to improve the conductivity. Subsequently, a mixture of 10% by weight of emitter compound BE-1 and 90% of compound SH-1 is deposited followed by 5 nm compound SH- 1 as hole blocking layer (HBL).
Application Examples 5 to 1 1 and 14
Comparative Application Example 2 is repeated except that the host and the hole blocking material are fully or partly replaced by the following materials:
Figure imgf000083_0001
tively.
Application Example 12
Figure imgf000084_0001
Application Example 11 is repeated except that
SH-1 as EBL and as 45% host.
To characterize the OLED, electroluminescence spectra are recorded at various currents and voltages. In addition, the current-voltage characteristic is measured in combination with the light output emitted. The light output is converted to photometric parameters by calibration with a photometer. The results are shown in Table 3. Data are given at luminance (L) = 1000 Cd/m2 except otherwise stated.
Table 3
Figure imgf000084_0003
The results demonstrate that the voltage is significantly reduced and the quantum efficiency is increased, if inventive compounds are used as host and/or hole blocking material. Additionally, the colour coordinate of the devices, where inventive compounds are used as host and/or hole blocking material, is blue shifted compared to a device, where compound SH-1 is used as host and/or hole blocking material. As shown in Application Example 14, the material C-49 with X = S shows similar performance as the materials with X
Figure imgf000084_0002
a) (2-Methylsulfanylphenyl)boronic acid (5.96 mmol, 1.0 g), 5-bromo-3-iodopyridin-2-amine (5.95 mmol, 1.0 g) and K2CO3 (32 mmol, 4.44 g) are dissolved in toluene (40 ml), ethanol (20 ml) and water (10 ml) under argon. The solution is degassed. Pd(PPh3)4 (0.15 mmol, 172 mg) is added and stirring is continued at 50 °C over night. After cooling to room temperature the mixture is poured into water (100 ml) and ethyl acetat (50 ml). The layers are separated and the aqueous layer is extracted with ethyl acetate (2 x 100 ml). The combined organic layers are washed with brine and were dried over MgS04. The solvent is removed in vacuo and the curde product is purified via column chromatography with silica and heptane/ethyl acetate 7:3. 5-Bromo-3-(2'-methylsulfanylphenyl)pyridin-2-amine is isolated as yellow solid (1.49 g, 5.05 mmol, 85%). H NMR (CDCb, 300 MHz), δ [ppm] = 5.18 (s, 1 H, - SCHs), 7.17 (dd, 1 H, H-6',3J = 7.3 Hz, 4J = 1.5 Hz), 7.26 (td, 1 H, H-5',3J = 7.3 Hz, 4J = 1.5 Hz), 7.32 (d, 1 H, H-3',3J = 8.1 Hz), 7.44 (td, 1 H, H-4',3 J = 8.1 Hz, 4J = 1.8 Hz), 7.55 (d, 1 H, H-4, 4J = 2.2 Hz), 8.08 (d, 1 H, H-6,4J = 2.2 Hz).
Figure imgf000085_0001
b) 5-Bromo-3-(2'-methylsulfanylphenyl)pyridin-2-amine (4.07 mmol, 1.2 g) is dissolved in THF (15 ml) under argon. Glacial acetic acid (40 ml) is added and the mixture is cooled to 0 °C. tert-Butyl nitrite (8.13 mmol, 0.84 g, 0.97 ml) is added dropwise. Stirring is continued at 0 °C for 2 hours and then at room temperature for 3 hours. The mixture is poured into water (100 ml) and is extracted with ethyl acetat (3 x 100 ml). The combined organic layers are washed with sat. NaHC03 solution and are dried over MgS04. The solvent is removed in vacuo and the crude product is purified using column chromatography with silica and heptane/ethyl acetate 9: 1. 2-Bromobenzothiopheno[2,3-b]pyridine is obtained as white powder (0.57 g, 2.16 mmol, 53 %). H NMR (CDCb, 300 MHz), δ [ppm] = 7.49-7.57 (m, 2H, H-7' + H-8'), 7.87-7.89 (m, 1 H, H-6'), 8.07-8.09 (m, 1 H, H-9'), 8.48 (d, 1 H, H-1 ', 4J = 2.1 Hz), 8.68 (d, 1 H, H-3',4J = 2.1 Hz).
Figure imgf000085_0002
c) C-49 is synthesized using the method described for C-1 applying 2- bromobenzothiopheno[2,3-b]pyridine (2.0 g, 7.57 mmol), BB-2 (3.68 g, 7.95 mmol), toluene (100 ml), ethanol (50 ml), water (25 ml), K2C03 (5.65 g, 41 mmol) and Pd(PPh3)4 (219 mg, 0.19 mmol). C-49 (3.40 g, 6.54 mmol, 86%) is obtained as white solid. It is distilled at 260 °C / 1.6x10-6 mbar. Ή NMR (CDCb, 300 MHz), δ [ppm] = 7.39-7.58 (m, 12H, -SiPh3(9) + H-5, H-7', H-8'), 7.63-7.69 (m, 7H, -SiPh3(6) + H-6), 7.77 (dt, 1 H, H-4,3J = 7.9 Hz, 4J = 1.6 Hz), 7.86-7.91 (m, 2H, H-6' + H-9'), 8.09-8.14 (m, 1 H, H-2), 8.44 (d, 1 H, H-1 ', 4J = 2.1 Hz), 8.79 (d, 1 H, H-3',4J = 2.1 Hz). 13C NMR (CDCb, 75 MHz), δ [ppm] = 122.5, 123.6, 125.4, 128.0, 128.3, 128.4, 129.0, 129.1 , 130.2, 130.3, 132.9, 133.7, 134.1 , 135.5, 136.3, 136.6, 136.7, 137.4, 139.0, 146.9, 160.3. LC-MS (CI): m/z = 520 [MH+].
Example 14
Figure imgf000086_0001
a) Benzothiopheno[3,2-b]pyridine is synthesized according to WO2009086028 (compound 50).
1 H NMR (400 MHz, CDCIs): [ppm] = 8.75 (dxd, Ji = 4.8 Hz, J2 = 1 .6 Hz, 1 H), 8.54 (dxd, Ji = 6.8 Hz, J2 = 2 Hz, 1 H), 8.19 (dxd, Ji = 8 Hz, J2 = 1 .2 Hz, 1 H), 7.88 - 7.86 (m, 1 H), 7.60 - 8 (dxd, Ji = 8 Hz, 1 H)
Figure imgf000086_0002
b) 2.914 g (28.8 mmol) of diisopropylamine are dissolved in 25 ml of THF abs. under nitrogen at room temperature and cooled to -78°C. 10.8 ml (27 mmol) of butyllithium (2.5 M) are added drop by drop within 10 minutes at -78°C. The reaction mixture is warmed to room temperature within 20 minutes. 3.33 g (18 mmol) of benzothiopheno[3,2-b]pyridine is dissolved in 325 ml of THF under nitrogen at room temperature and heated in a water bath to get the starting material into solution. The clear solution is cooled to -78°C. The LDA solution prepared as described above is now added drop by drop within 15 minutes and the reaction mixture is stirred at -78°C for 20 minutes. 9.132 g (32.4 mmol) of diiodoethan are added; the reaction mixture is stirred for 5 minutes at -78°C and then warmed to room temperature. After stirring for 90 minutes at room temperature, the solution is poured on 200 ml of a 5% solution of Na2S03, the phases are separated and the water phase is extracted with 200 ml of ethyl acetate. The organic phases are washed twice with 200 ml of brine each, dried over Na2S03, filtered and the solvent is removed in vacuo. The crude product is purified by flash chromatography using toluene as eluent yielding 2.99 g (53%) of 4- iodobenzothiopheno[3,2-b]pyridine.
1 H NMR (400 MHz, CDCI3): [ppm] = 8.48 (dxd, Ji = 7.2 Hz, J2 = 1.6 Hz, 1 H), 8.37 (d, J = 4.8 Hz, 1 H), 7.88 (dxd, Ji = 7.2 Hz, J2 = 1.6 Hz, 1 H), 7.77 (d, J = 4.8 Hz, 1 H), 7.62-7.55 (m, 2H)
Figure imgf000086_0003
c) 2.70 g (8.68 mmol) of 4-iodobenzothiopheno[3,2-b]pyridine are dissolved in 30 ml of dry diethylether and cooled to -15°C (ice/NaCI). 3.7 ml (9.25 mmol) of butyllithium (2.5 M) are added within 5 minutes. The reaction mixture is stirred for 60 minutes at -12°C, then 2.665 g (8.68 mmol) of chloro(triphenyl)silane (96%), dissolved in 15 ml of dry diethylether, are added to the black solution within 5 minutes. Cooling is stopped and the reaction mixture stirred overnight.
To the reaction mixture are added 10 ml of methanol and the residue is filtered off. The filtrate is transferred to a separation funnel, 30 ml of water are added and the phases are separated. The water phase is extracted once with ethyl acetate, then the combined organ- ic phases are washed twice with brine, dried over Na2S04, filtered and the solvent is removed in vacuo. 3.36 g of crude product, containing 19% of the desired product according to HPLC analysis, are received.
The crude product is purified by flash chromatography using toluene as eluent. Two addi- tional purifications by flash chromatography using chloroform/heptane in a ratio 1 :1 as eluent and finally decocting in heptane give benzothiopheno[3,2-b]pyridin-4- yl(tr phenyl)silane (C-50) in a HPLC purity of 100%.
1 H NMR (400 MHz, CDCIs): [ppm] = 8.72 (d, J = 4.4 Hz, 1 H), 8.54 - 8.51 (m, 1 H), 7.68 - 7.61 (m, 7H), 7.54 - 7.46 (m, 5H), 7.44 - 7.38 (m, 7H)

Claims

Claims
Figure imgf000088_0001
1. A compound of formula (I), wherein
Yis O, orS,
Bi is N, orCR8 ,
B2 is N, orCR82,
B3 is N, orCR83,
B4 is N, orCR84,
B5 is N, orCR85,
B6 is N, orCR86,
B7 is N, orCR87,
B8 is N, orCR88,
R81, R82, R83, R84, R85 , R86, R87 and R88 are independently of each other H, CN, F, a Ci-C25alkyl group, which can optionally be interupted by D; a Cs-Cearyl group, which can optionally be substituted by G; a C2-Csheteroaryl group, which can optionally be substituted by G; or a group of formula
90
Figure imgf000088_0002
o is 0, or 1, p is 0, or 1,
A ntly of each other a group of formula , or
Figure imgf000088_0003
Figure imgf000088_0004
R89is H, a group of formula , or group of formula
Figure imgf000089_0001
Y' and Y" are independently of each other O, or S,
Bi' is N, or CR81 ',
B2' is N, or CR82',
B3' is N, or CR83',
B4' is N, or CR84',
Figure imgf000089_0002
B6' is N, or CR86',
B7' is N, or CR87',
B8' is N, or CR88',
R81 ', R82', R83', R84', R85 ', R86', R87' and R88' are independently of each other H, CN, F, a Ci-C25alkyl group, which can optionally be interupted by D;
R9o R9ianc| R92are independently of each other a phenyl group, which may optionally be substituted by one, or more d-Csalkyl groups,
R93 and R94 are independently of each other H, or a Ci-C25alkyl group;
D is -CO-, -COO-, -S-, -SO-, -SO2-, -0-, -NR65-, -SiR70R71-, -POR72-, -CR63=CR64-, or
-C≡C-,
E is -OR69, -SR69, -NR65R66, -COR68, -COOR67, -CONR65R66, -CN, or F,
G is E, or a C-i-C-isalkyl group, a C6-C24aryl group, a C6-C24aryl group, which is sub- stituted by F, C-i-C-isalkyl, or C-i-C-isalkyl which is interrupted by O; a C2-C3oheteroaryl group, or a C2-C3oheteroaryl group, which is substituted by F, C-i-C-isalkyl, or Ci- Ciealkyl which is interrupted by O;
R63 and R64 are independently of each other H, C6-Cisaryl; C6-Cisaryl which is substituted by Ci-Ci8alkyl, or Ci-Cisalkoxy; C-i-C-isalkyl; or Ci-Cisalkyl which is interrupted by -0-;
R65 and R66 are independently of each other a C6-Cisaryl group; a C6-Cisaryl which is substituted by C-i-C-isalkyl, or Ci-Cisalkoxy; a Ci-Cisalkyl group; or a Ci-Cisalkyl group, which is interrupted by -O-; or
R65 and R66 together form a five or six membered ring,
R67 is a C6-Ciearyl group; a C6-Cisaryl group, which is substituted by Ci-Cisalkyl, or
Ci-Cisalkoxy; a Ci-Cisalkyl group; or a C-i-C-isalkyl group, which is interrupted by -0-, R68 is H; a C6-Cisaryl group; a C6-Cisaryl group, which is substituted by C-i-C-isalkyl, or Ci-Cisalkoxy; a Ci-Cisalkyl group; or a Ci-Cisalkyl group, which is interrupted by - 0-,
R69 is a C6-Cisaryl; a C6-Cisaryl, which is substituted by C-i-C-isalkyl, or Ci-Cisalkoxy; a Ci-Cisalkyl group; or a C-i-C-isalkyl group, which is interrupted by -O-,
R70 and R71 are independently of each other a Ci-Cisalkyl group, a C6-Cisaryl group, or a C6-Ci8aryl group, which is substituted by C-i-C-isalkyl, and
R72 is a Ci-Cisalkyl group, a C6-Cisaryl group, or a C6-Cisaryl group, which is substi- tuted by C-i-C-isalkyl, with the provisos that at least one of the substituents B , B2, B3, B4, B5, B6, B7 and B8 represents N;
not more than two of the groups B1 , B2, B3 and B4 represent N;
not more than two of the groups B5, B6, B7 and B8 represent N; and
at least one of the substituents R8 , R82, R83, R84, R85, R86, R87 and R88 represents a group of formula (II).
2. The compound according to claim 1 , which is a compound of formula
Figure imgf000090_0001
(If), wherein
Y is O, or S, R81 , R83, R85 , R86 and R87 are as defined in claim 1 , with the proviso that in the compounds of formula (la), (lb), (Ic), (Id), (le) and (If) at least one group of formula (II) is present.
The compound according to claim 1 , wherein Y is O. 4. The compound according to claim 1 , wherein Y is S. The compound according to claim 3, which is
a compound of formula (la), wherein R83 is a group of formula (II) and
R87 is a group of formula (II), H, or Ci-C25alkyl;
a compound of formula (la), wherein R87 is a group of formula (II) and
R83 is a group of formula (II), H, or Ci-C25alkyl;
a compound of formula (lb), wherein R81 is a group of formula (II) and
R85 is a group of formula (II), H, or Ci-C25alkyl;
a compound of formula (lc), wherein R83 is a group of formula (II) and
R87 is a group of formula (II), H, or Ci-C2salkyl;
a compound of formula (lc), wherein R87 is a group of formula (II) and
R83 is a group of formula (II), H, or Ci-C2salkyl;
a compound of formula (Id), wherein R83 is a group of formula (II) and
R86 is a group of formula (II), H, or Ci-C2salkyl;
a compound of formula (Id), wherein R86 is a group of formula (II) and
R83 is a group of formula (II), H, or Ci-C2salkyl;
a compound of formula (le), wherein R83 is a group of formula (II) and
R85 and R87 are a group of formula (II), H, or Ci-C25alkyl;
a compound of formula (le), wherein R85 is a group of formula (II) and
R83 and R87 are a group of formula (II), H, or Ci-C25alkyl;
a compound of formula (le), wherein R87 is a group of formula (II) and
R83 and R85 are a group of formula (II), H, or Ci-C25alkyl.
a compound of formula (If), wherein R81 is a group of formula (II) and
R83 and R87 are a group of formula (II), H, or Ci-C25alkyl;
a compound of formula (If), wherein R83 is a group of formula (II) and
R8 and R87 are a group of formula (II), H, or Ci-C25alkyl; or
a compound of formula (If), wherein R87 is a group of formula (II) and
R81 and R83 are a group of formula (II), H, or Ci-C25alkyl.
The compound a roup of formula (II) is
Figure imgf000091_0001
group of formula , wherein o is 0, or 1 , p is 0, or 1 ; A , or
Figure imgf000092_0001
R89is H, a group of formula
Figure imgf000092_0002
o
7. The comp p of formula (II) is a group of
Figure imgf000092_0003
formula , wherein
o is 0, or 1, p is 0, or 1;
Figure imgf000093_0001
A1 and A2 are independently of each other a group of formula , or
Figure imgf000093_0002
Figure imgf000093_0003
Figure imgf000093_0004
Figure imgf000094_0001
10. An electronic device, comprising a compound according to any of claims 1 to 9.
11. The electronic device according to claim 10, which is an electroluminescent device.
12. A electron transport layer, hole blocking layer, or emitting layer comprising a compound according to any of claims 1 to 9.
13. The emitting layer according to claim 12, comprising a compound according to any of claims 1 to 9 as host material in combination with a phosphorescent emitter.
14. An apparatus selected from the group consisting of stationary visual display units; mobile visual display units; illumination units; keyboards; items of clothing; furniture; wallpaper, comprising the organic electronic device according to claim 10, or 11 , or electron transport layer, hole blocking layer, or an emitting layer according to claim 12.
Use of the compounds of formula I according to any of claims 1 to 9 as hole blocking layer materials, for electrophotographic photoreceptors, photoelectric converters, organic solar cells, switching elements, organic light emitting field effect transistors, image sensors, dye lasers and electroluminescent devices.
A process for the production of a compound of formula
Figure imgf000095_0001
(la), comprising
Figure imgf000095_0002
i) reacting a compound of formula with a compound of formula
Figure imgf000095_0003
in a solvent at elevated temperature to obtain a com-
Figure imgf000095_0004
pound of formula (la'), wherein R83' is Br, I, H,
CN, F, or a Ci-C2salkyl group, which can optionally be interupted by D; and ii) if R83' is Br, or I, reacting the compound of formula (la') with a compound of formu¬
83" 12
R -X
la in an organic solvent in the presence of a palladium catalyst
and a base, wherein X12 is -B(OH)2, -B(OY1)2,
Figure imgf000095_0005
, or
wherein Y1 is a Ci-Cioalkyl group and Y2 is a C2-Cioalkylene group, Y13 and Y14 are independently of each other hydrogen, or a Ci-Cioalkyl group;
R83" is a Cs-Cearyl group, which can optionally be substituted by G; a C2-Csheteroaryl group, which can optionally be substituted by G; or a group of formula
90
R
Figure imgf000095_0006
(ID, R87 is H, a Ci-C25alkyl group, which can optionally be interupted by D; a group of formula (II), and
D, G, A1, A2, R83, R9o, R91, R92, o and p are as defined in claim 1 , with the proviso that R83 and/or R87 represent a group of formula (II).
PCT/EP2015/0519532014-02-032015-01-30Silyl substituted azadibenzofurans and azadibenzothiophenesWO2015114102A1 (en)

Applications Claiming Priority (2)

Application NumberPriority DateFiling DateTitle
EP14153670.62014-02-03
EP141536702014-02-03

Publications (1)

Publication NumberPublication Date
WO2015114102A1true WO2015114102A1 (en)2015-08-06

Family

ID=50068817

Family Applications (1)

Application NumberTitlePriority DateFiling Date
PCT/EP2015/051953WO2015114102A1 (en)2014-02-032015-01-30Silyl substituted azadibenzofurans and azadibenzothiophenes

Country Status (1)

CountryLink
WO (1)WO2015114102A1 (en)

Cited By (6)

* Cited by examiner, † Cited by third party
Publication numberPriority datePublication dateAssigneeTitle
EP3133666A1 (en)*2015-08-212017-02-22Samsung Display Co., Ltd.Organic light-emitting device
KR20170023388A (en)*2015-08-212017-03-03삼성디스플레이 주식회사Organic light emitting device
CN108752237A (en)*2018-07-052018-11-06四川青木制药有限公司A kind of new preparation process of p-amino-benzamidine hydrochloride
WO2019059577A1 (en)*2017-09-202019-03-28삼성에스디아이(주)Organic compound, composition, organic photoelectronic element, and display device
KR20200131858A (en)*2018-03-162020-11-24닛산 가가쿠 가부시키가이샤 Aniline derivatives and their use
US20210028376A1 (en)*2019-07-222021-01-28Universal Display CorporationOrganic electroluminescent materials and devices

Citations (5)

* Cited by examiner, † Cited by third party
Publication numberPriority datePublication dateAssigneeTitle
WO2009003919A1 (en)*2007-07-052009-01-08Basf SeOrganic light-emitting diodes comprising at least one disilyl compound selected from disilylcarbazoles, disilyldibenzofurans, disilyldibenzothiophenes, disilyldibenzophospholes, disilyldibenzothiophene s-oxides and disilyldibenzothiophene s,s-dioxides
WO2010079051A1 (en)*2009-01-072010-07-15Basf SeSilyl and heteroatom substituted compounds selected from carbazoles, dibenzofurans, dibenzothiophenes and dibenzo phospholes and the application thereof in organic electronics
WO2010140801A1 (en)*2009-06-022010-12-09Dow Advanced Display Materials, Ltd.Novel organic electroluminescent compounds and organic electroluminescent device using the same
US20130293094A1 (en)*2012-05-042013-11-07Universal Display CorporationAsymmetric Hosts With Triaryl Silane Side Chains
WO2014044722A1 (en)*2012-09-202014-03-27Basf SeAzadibenzofurans for electronic applications

Patent Citations (5)

* Cited by examiner, † Cited by third party
Publication numberPriority datePublication dateAssigneeTitle
WO2009003919A1 (en)*2007-07-052009-01-08Basf SeOrganic light-emitting diodes comprising at least one disilyl compound selected from disilylcarbazoles, disilyldibenzofurans, disilyldibenzothiophenes, disilyldibenzophospholes, disilyldibenzothiophene s-oxides and disilyldibenzothiophene s,s-dioxides
WO2010079051A1 (en)*2009-01-072010-07-15Basf SeSilyl and heteroatom substituted compounds selected from carbazoles, dibenzofurans, dibenzothiophenes and dibenzo phospholes and the application thereof in organic electronics
WO2010140801A1 (en)*2009-06-022010-12-09Dow Advanced Display Materials, Ltd.Novel organic electroluminescent compounds and organic electroluminescent device using the same
US20130293094A1 (en)*2012-05-042013-11-07Universal Display CorporationAsymmetric Hosts With Triaryl Silane Side Chains
WO2014044722A1 (en)*2012-09-202014-03-27Basf SeAzadibenzofurans for electronic applications

Cited By (17)

* Cited by examiner, † Cited by third party
Publication numberPriority datePublication dateAssigneeTitle
CN106469790B (en)*2015-08-212019-12-06三星显示有限公司Organic light emitting device
US11672173B2 (en)2015-08-212023-06-06Samsung Display Co., Ltd.Organic light-emitting device
US20170054081A1 (en)*2015-08-212017-02-23Samsung Display Co., Ltd.Organic light-emitting device
CN106469790A (en)*2015-08-212017-03-01三星显示有限公司Organic light emitting apparatus
KR20170023388A (en)*2015-08-212017-03-03삼성디스플레이 주식회사Organic light emitting device
US9960361B2 (en)*2015-08-212018-05-01Samsung Display Co., Ltd.Organic light-emitting device
KR102806395B1 (en)*2015-08-212025-05-16삼성디스플레이 주식회사Organic light emitting device
US11968890B2 (en)2015-08-212024-04-23Samsung Display Co., Ltd.Organic light-emitting device
JP2017041636A (en)*2015-08-212017-02-23三星ディスプレイ株式會社Samsung Display Co.,Ltd. Organic light emitting device
JP2023052206A (en)*2015-08-212023-04-11三星ディスプレイ株式會社Organic light-emitting element
EP3133666A1 (en)*2015-08-212017-02-22Samsung Display Co., Ltd.Organic light-emitting device
US11211564B2 (en)2015-08-212021-12-28Samsung Display Co., Ltd.Organic light-emitting device
WO2019059577A1 (en)*2017-09-202019-03-28삼성에스디아이(주)Organic compound, composition, organic photoelectronic element, and display device
KR20200131858A (en)*2018-03-162020-11-24닛산 가가쿠 가부시키가이샤 Aniline derivatives and their use
KR102786862B1 (en)2018-03-162025-03-26닛산 가가쿠 가부시키가이샤 Aniline derivatives and their uses
CN108752237A (en)*2018-07-052018-11-06四川青木制药有限公司A kind of new preparation process of p-amino-benzamidine hydrochloride
US20210028376A1 (en)*2019-07-222021-01-28Universal Display CorporationOrganic electroluminescent materials and devices

Similar Documents

PublicationPublication DateTitle
JP6375069B2 (en) Phenylquinazoline bridged with heteroatoms
JP6333262B2 (en) Azadibenzofuran for electronic applications
EP3119770B1 (en)New dibenzofurans and dibenzothiophenes
EP2776443B1 (en)4h-imidazo[1,2-a]imidazoles for electronic applications
KR101951852B1 (en)4h-imidazo[1,2-a]imidazoles for electronic applications
EP2651904B1 (en)Bispyrimidines for electronic applications
EP3072943B1 (en)Dibenzofuran/carbazole-substituted benzonitriles
EP3075737B1 (en)Benzimidazolo[1,2-a]benzimidazole carrying aryl- or heteroarylnitril groups for organic light emitting diodes
EP2872512A1 (en)Benzimidazo[1,2-a]benzimidazole derivatives for electronic applications
WO2015014791A1 (en)Benzimidazolo[2,1-b][1,3]benzothiazoles for electronic applications
EP3356368B1 (en)Benzimidazolo[1,2-a]benzimidazole carrying benzimidazolo[1,2-a]benzimidazolyl groups, carbazolyl groups, benzofurane groups or benzothiophene groups for organic light emitting diodes
EP3150604B1 (en)Benzimidazolo[1,2-a]benzimidazole carrying benzimidazolo[1,2-a]benzimidazolylyl groups, carbazolyl groups, benzofurane groups or benzothiophene groups for organic light emitting diodes
WO2016097983A1 (en)1-functionalized dibenzofurans and dibenzothiophenes for organic light emitting diodes (oleds)
EP3174885A1 (en)2,9-functionalized benzimidazolo[1,2-a]benzimidazoles as hosts for organic light emitting diodes (oleds)
WO2015114102A1 (en)Silyl substituted azadibenzofurans and azadibenzothiophenes
EP3356369B1 (en)Benzimidazolo[1,2-a]benzimidazole carrying triazine groups for organic light emitting diodes
EP3034506A1 (en)4-functionalized carbazole derivatives for electronic applications
EP3070144A1 (en)Seven-membered ring compounds
WO2017078182A1 (en)Benzimidazole fused heteroaryls
EP3061759B1 (en)Nitrile substituted dibenzofurans
WO2017178864A1 (en)Seven-membered ring compounds
WO2016079667A1 (en)Indole derivatives for electronic applications
WO2016067261A1 (en)5-((benz)imidazol-2-yl)benzimidazo[1,2-a]benzimidazoles for electronic applications
EP3150606B1 (en)Benzimidazolo[1,2-a]benzimidazoles carrying benzofurane or benzothiophene groups for organic light emitting diodes

Legal Events

DateCodeTitleDescription
121Ep: the epo has been informed by wipo that ep was designated in this application

Ref document number:15702242

Country of ref document:EP

Kind code of ref document:A1

NENPNon-entry into the national phase

Ref country code:DE

122Ep: pct application non-entry in european phase

Ref document number:15702242

Country of ref document:EP

Kind code of ref document:A1


[8]ページ先頭

©2009-2025 Movatter.jp