Movatterモバイル変換


[0]ホーム

URL:


WO2015082999A2 - Method for scheduling user equipment in a heterogeneous network - Google Patents

Method for scheduling user equipment in a heterogeneous network
Download PDF

Info

Publication number
WO2015082999A2
WO2015082999A2PCT/IB2014/003040IB2014003040WWO2015082999A2WO 2015082999 A2WO2015082999 A2WO 2015082999A2IB 2014003040 WIB2014003040 WIB 2014003040WWO 2015082999 A2WO2015082999 A2WO 2015082999A2
Authority
WO
WIPO (PCT)
Prior art keywords
user equipment
small cell
cell
scheduling
macro
Prior art date
Application number
PCT/IB2014/003040
Other languages
French (fr)
Other versions
WO2015082999A3 (en
Inventor
Zhenning Shi
Liang Liu
Daqing Gu
Original Assignee
Orange
Priority date (The priority date is an assumption and is not a legal conclusion. Google has not performed a legal analysis and makes no representation as to the accuracy of the date listed.)
Filing date
Publication date
Application filed by OrangefiledCriticalOrange
Publication of WO2015082999A2publicationCriticalpatent/WO2015082999A2/en
Publication of WO2015082999A3publicationCriticalpatent/WO2015082999A3/en

Links

Classifications

Definitions

Landscapes

Abstract

The invention relates to a method for scheduling user equipment (UE) in a heterogeneous network comprising macro cells and small cells having overlapping coverage. The method comprises the steps of: - scheduling UE served by the macro cell and allocating radio resources to them, - determining, in a scheduler for the macro cell, a set of scheduled UE prone to cause interference in the uplink on a victim small cell, - sending, through a backhaul link between the scheduler for the macro cell and a scheduler for the victim small cell, a coordination message comprising information on the scheduled UE prone to cause interference on the victim small cell and on radio resources allocated to it; - in the scheduler for the victim small cell, performing interference aware scheduling of UE served by the victim small cell and allocating radio resources to the scheduled UE, on the basis of the coordination messages received from the macro cell.

Description

METHOD FOR SCHEDULING USER EQUI PMENT IN A HETEROGENEOUS NETWORK
The present invention generally relates to scheduling in a cellular network, more particularly for the uplink transmission in a heterogeneous cellular network.
Wireless networks have witnessed the proliferation of smart communication terminals and drastic growth in the network traffic from data services. To effectively cope with the ra pidly growing demands on network ca pacity, heterogeneous networks have been proposed, where small cells are introduced, as a complement to macro cells. Such small cells allow to significantly offload the traffic from macro cells, a nd to extend the network coverage. I n addition, access nodes (or hotspots) of such small cells may use the short transmission range for exchanging data with user equipment, thus increasing loca l capacities at hotspots.
However, such small cells have a coverage overlapping that of the macro cells. Their presence in the heterogeneous network ( HetNet) thus creates severe interference scenarios in both the uplink and the downlink to the overlaid macro cells, and vice versa. Small cells also receive significant interference from co-channel macro cells. These high interference levels may compromise the benefits obtained through the use of additive small cells in cellular networks operating with universal frequency reuse, such as the 3G PP UTRAN Long Term Evolution (LTE).
Actually, when a macro-associated user is in the vicinity of a small cell, it is far away from the serving node of the macro cell: hence, it has to increase its emitting power to compensate for the large propagation loss. However, the short distance between this user and the small cell access node, combined with a high transmission power, may generate severe interference in the small cell uplink.
The uplink interference may substantially jeopardize the received signal quality of small cells and, in turn, the transmission performance. If closed-loop power control is adopted in the small cell uplink, users will reactively increase the transmission power to maintain the signal-to-interference-plus-noise ratio (SI NR). Nevertheless, this may add to the co-channel interference in the uplink of macro cells and may aggravate the already weak macro cell uplink channels.
A solution could consist of allocating some sub-bands for the exclusive use of macro cells to avoid cross-tier interference. This may significantly enhance the received signal qua lity of both macro cells and small cells, but at the cost of limiting the spectrum access in small cells. I n order to improve the performance and quality of experience of mobile users in a cellular network such as a LTE ( Long Term Evolution) network defined in E-UTRAN standard,, several approaches have been proposed to control the uplink inter-cell interference. Among these, P. Frank et al. suggest, in an article called "Cooperative Interference-Aware Joint Scheduling for the 3G PP LTE U plink", I EE E PI M RC, 2010, to perform coordinated scheduling between different base stations ( BS) : thus, different BSs cooperate with each other via a fast backhaul network, in order to jointly allocate frequency resources to the various U Es (User Equipment), taking the inter-cell interference from and to nea rby BSs into account.
According to this method, the resource allocation is performed in a cooperative fashion by a central scheduling unit for a set of cooperating BSs. M ulti-cell Channel State Information (CSI) of all U Es associated with the set of cooperating BSs ca n be periodically exchanged in order to predict the experienced inter-cell interference level if a certain U E would be scheduled on certain physical resource blocks. This information is then considered in the scheduling decisions for minimizing the inter-cell interference, leading to an interference- aware scheduling.
Though very interesting for conventional LTE Release 8 cellular networks, such a multi- cell scheduling method was solely designed for homogeneous networks, and does not take into account the characteristics of interference scenarios encountered in the uplink of heterogeneous networks. I n other words, such a method is not optimized in terms of performance or complexity for HetNet, notably as it requires the use of a central scheduler, which is needed to make scheduling decisions based on global user cha nnel information.
Hence there is a need to develop a method for interference-aware scheduling in a heterogeneous network that can improve the existing situation.
To this end, the presented method relates to a method for scheduling user equipment in a heterogeneous network comprising at least one macro cell and at least one small cell having at least partially overlapping coverage, the method being run by a scheduling unit for said at least one macro cell and comprising the steps of:
scheduling user equipment served by said macro cell and allocating radio resources to said scheduled user equipment,
- determining a set of at least one of said scheduled user equipment prone to cause interference in the uplink on at least one of said sma ll cell(s), called a victim small cell, sending, through a backhaul link between said scheduling unit for said macro cell and a scheduling unit for said victim small cell, a coordination message comprising information on said at least one scheduled user equipment prone to cause interference on said victim small cell and on radio resources allocated to it.
Hence, the invention relies on a novel and inventive approach of the scheduling in a heterogeneous network. Actually, in a first step, the macro cell schedules users and allocates resource blocks to scheduled users, for example based on a performance metric optimization. In a second step, the macro cell identifies, among its scheduling information, the information that could be useful to small cells to carry out a coordinated interference-aware scheduling, and forwards it to the affected small cells, in an effort to assist the latter to develop optimal resource allocation strategy.
Such a method has little impact on macro cells, as it does not compromise the performance of macro users, nor changes the scheduling of users served by the macro cell. However, it defines a minimal set of exchange signaling between macro a nd small cells, sent through a backhaul link between the access nodes of both the macro cell and the sma ll cell, which allows the small cell to take into account the user scheduling information in the macro cells to mitigate the inter-cell interference. Such a method advantageously relies on a coordinated scheduling scheme, which works between macro cells and small cells, without a need to introduce in the heterogeneous network a central scheduling unit that would perform scheduling for all small and macro cells.
It must be noted that, throughout this document, the terms "sma ll cell" designate any cell, which is smaller than a conventional macro cell served by a macro base station, as described in the LTE standard : for exa mple, such a small cell may be a pico cell for in-building coverage, or a femto cell served by an access point, which is called a Home Node B ( HeN B). More precisely, an heterogeneous network as described in this document usually comprises macro eNodes B (eN Bs), which a re deployed for initial coverage of the network by macro cells, and pico access nodes or HeN Bs, which serve small cells, and are added to the network for capacity growth and better user experience.
According to an embodiment of the invention, such a method also comprises a step of predicting a transmission channel condition between said user equipment and an access node to said macro cell, and said step of allocating radio resources to said scheduled user equipment relies on an optimization metric taking account of said predicted tra nsmission channel condition. Such a solution allows overcoming the macro cell scheduling unit sub optimality that could be induced by backhaul latency, in the case of legacy networks with non-ideal backhauls. Actually, according to this embodiment, the macro cell scheduler does not assign the radio resources to users with the best channel condition (or the best relative channel condition) but rather to those who are predicted to have the best channel condition at the time of tra nsmission, to compensate for the channel mismatch caused by the backhaul latency.
According to another embodiment of the invention, such a method also comprises an additional step of scheduling said user equipment served by said macro cell and of allocating radio resources to said newly scheduled user equipment at a time when said coordination message has been received by said scheduling unit for said victim small cell.
Such a solution can be implemented as an alternative or as a complement to the channel- prediction approach embodiment described above. According to this solution, a re-scheduling mechanism is implemented at macro-cell nodes to compensate for the backhaul latency and optimize the scheduling performance by considering the instantaneous channel conditions of macro cell in a further scheduling step. Hence, the macro-cell scheduling unit performs additional scheduling at the time when small cell receive the coordination message and performs user scheduling. By doing this, the macro cell can exploit the most recent Channel State I nformation (CSI ) in user assignment and fully utilize the multi-user diversity to maximize the network performance.
According to a further embodiment of the invention, said step of determining comprises a step of receiving from said scheduled user equipment propagation loss va lues towards an access node to said macro cell and towards an access node to at least one small cell in the neighborhood of said scheduled user equipment.
Hence, macro cell users measure the signal powers received from the serving macro-cell and form detectable small cells in the neighborhood on reference channels; they then estimate the propagation loss towa rds the access nodes to theses cells, a nd report them periodically to the macro serving cell, which uses them to determine the set of interfering cell edge users, along with the most affected small cells.
According to a further embodiment of the invention, said coordination message comprises:
an index of said at least one scheduled user equipment prone to cause interference on said victim small cell; an index of a Resource Block Group where said at least one scheduled user equipment prone to cause interference on said victim small cell is assigned;
an estimated power received by said victim small cell from said at least one scheduled user equipment prone to cause interference on said victim small cell.
Such a coordination message defines the minimal set of exchange signaling, which must be provided by the macro cell to the small cells, in order to allow them performing an interference aware scheduling and to help them in resource allocation.
The invention also concerns a method for scheduling user equipment in a heterogeneous network comprising at least one macro cell and at least one small cell having at least partially overlapping coverage, the method being run by a scheduling unit for said small cell and comprising the steps of:
receiving at least one coordination message, through a backhaul link between said scheduling unit for said small cell and a scheduling unit for said at least one macro cell, sa id coordination message comprising information on at least one user equipment scheduled by said scheduling unit for said macro cell and prone to cause interference on said small cell, called an interfering macro user equipment, said coordination message also comprising information on radio resources a llocated to said interfering macro user equipment by said scheduling unit for said macro cell, performing interference awa re scheduling of user equipment served by said small cell and allocating radio resources to said scheduled user equipment, on the basis of said coordination messages received from said at least one macro cell.
Hence, the invention relies on a novel and inventive approach of coordinated scheduling in a heterogeneous network. Actually, according to such a method, the sma ll cell collects coordination messages sent by macro-cells, such messages informing the small cell on the users, which will generate interference in the uplink on such or such resource block group. The small cell scheduling unit may advantageously use this information to adapt its own scheduling to mitigate inter-cell interference in the uplink.
Such a method thus relies on a scheduling scheme with coordination between macro cells and small cells to combat the uplink interference seen by small cell users while not compromising the performance of macro users. Such a scheme utilizes the multi-user spatial diversity to optimize the channel ca pacity while causing no additional complexity to the small cell access node. Notably, there is no need to introduce in the HetNet a central scheduling unit which would perform scheduling for both the macro cells and the small cells. According to an aspect of the invention, such a method also comprises a step of determining a constra ined channel space (CCS) for a sub cha nnel / of a bandwidth used by said small cell, said constrained channel space taking as its elements channel state information from said interfering macro user equipment for said sub cha nnel / to an access node of said small cell.
According to a first embodiment, sa id step of performing interference aware scheduling of user equipment served by said small cell a nd allocating radio resources to said scheduled user equipment comprises the sub-steps of:
determining a set of user equipment having a transmission channel towa rds said access node of said small cell, which is pseudo-orthogonal to said constrained channel space for said sub channel /;
assigning said sub channel / to a user equipment in said set, which optimizes a predetermined metric.
Such a solution allows the small cell to identify a set of users which are pseudo- orthogonal to the Constrained Channel Space (CCS), and then to choose the best channel- conditioned user from this set of users. By doing this, the selected user is subdue to a minimum amount of interference from macro-associated users.
According to a second embodiment, sa id step of performing interference aware scheduling of user equipment served by said sma ll cell and allocating radio resources to said scheduled user equipment comprises the sub-steps of:
for each user equipment served by said small cell, computing an instantaneous data rate for said sub channel / by taking into account an estimated interference generated by said interfering macro user equipment;
assigning said sub cha nnel / to the user equipment with the maximum instantaneous data rate.
Such a solution allows the small cell to select the user with the best tradeoff between the desired signal strength and cross tier interference.
Another objective of the invention is a scheduling unit for a macro cell in a heterogeneous network comprising at least one macro cell and at least one small cell having at least partially overlapping coverage, said scheduling unit comprising:
a scheduler for scheduling user equipment served by said macro cell a nd for allocating radio resources to said scheduled user equipment, a computing unit for determining a set of at least one of said scheduled user equipment prone to cause interference in the uplink on at least one of said small cell(s), called a victim small cell,
a sending unit for sending, through a backhaul link between said scheduling unit for said macro cell and a scheduling unit for said victim small cell, a coordination message comprising information on sa id at least one scheduled user equipment prone to cause interference on said victim small cell and on radio resources allocated to it.
The invention also relates to a scheduling unit for a small cell in a heterogeneous network comprising at least one macro cell and at least one small cell having at least partially overlapping coverage, said scheduling unit comprising:
a receiving unit for receiving at least one coordination message, through a backhaul link between said scheduling unit for said small cell and a scheduling unit for said at least one macro cell, said coordination message comprising information on at least one user equipment scheduled by said scheduling unit for said macro cell and prone to cause interference on said small cell, called an interfering macro user equipment, said coordination message also comprising information on radio resources allocated to said interfering macro user equipment by said scheduling unit for said macro cell, a scheduler for performing interference aware scheduling of user equipment served by said small cell and for allocating radio resources to said scheduled user equipment, on the basis of said coordination messages received from said at least one macro cell.
Another objective of the invention is a method for scheduling user equipment in a heterogeneous network comprising at least one macro cell and at least one small cell having at least partially overlapping coverage, the method comprising the steps of:
scheduling user equipment served by said macro cell and allocating radio resources to said scheduled user equipment,
determining, in a scheduling unit for said macro cell, a set of at least one of said scheduled user equipment prone to cause interference in the uplink on at least one of said small cell(s), called a victim small cell,
sending, through a backhaul link between said scheduling unit for said macro cell and a scheduling unit for said victim small cell, a coordination message comprising information on said at least one scheduled user equipment prone to cause interference on said victim small cell and on radio resources allocated to it;
in a scheduling unit for said victim small cell, performing interference aware scheduling of user equipment served by said victim small cell and allocating radio resources to said scheduled user equipment, on the basis of said coordination messages received from said at least one macro cell.
Another objective of the invention is a communication system over a heterogeneous network comprising at least one macro cell and at least one small cell having at least partially overlapping coverage, said communication system comprising user equipment receiving and transmitting data from and to access nodes to said macro cell(s) a nd said small cell(s), said communication system also comprising a scheduling unit for said at least one macro cell and a scheduling unit for said at least one small cell,
said scheduling unit for said macro cell comprising:
a scheduler for scheduling user equipment served by said macro cell a nd for allocating radio resources to said scheduled user equipment,
a computing unit for determining a set of at least one of said scheduled user equipment prone to cause interference in the uplink on at least one of said small cell(s), called a victim small cell,
a sending unit for sending, through a backhaul link between said scheduling unit for said macro cell and sa id scheduling unit for sa id victim small cell, a coordination message comprising information on sa id at least one scheduled user equipment prone to cause interference on said victim small cell and on radio resources allocated to it,
and said scheduling unit for said victim small cell comprising:
a receiving unit for receiving said coordination message;
a scheduler for performing interference aware scheduling of user equipment served by said victim small cell and for allocating radio resources to said scheduled user equipment, on the basis of said coordination message.
Finally, the invention concerns also two computer programs, in particular computer programs on or in an information medium or memory, suitable for implementing the methods of the invention. These programs can use any programming language, and be in the form of source code, object code, or of intermediate code between source code and object code such as in a partially compiled form, or in any other desirable form for implementing the configuration method according to the invention.
The information medium may be any entity or device capable of storing the programs. For example, the medium can comprise a storage means, such as a ROM, for example a CD ROM or a microelectronic circuit ROM, or else a magnetic recording means, for example a diskette (floppy disk) or a hard disk.
Moreover, the information medium may be a transmissible medium such as an electrical or optical signal, which may be conveyed via an electrical or optical cable, by radio or by other means. The programs according to the invention may in particular be downloaded from a network of Internet type.
The present system and methods are explained in further detail, and by way of example, with reference to the accompanying drawings wherein :
FIG. 1 represents a heterogeneous network N in which the methods of the invention are run,
F IG. 2 represents the different steps of a method for coordinated scheduling in the heterogeneous network of figure 1, according to an embodiment of the invention,
FIG. 3 shows a spatial visualisation of the scheduling of user equipment according to embodiments of the method of figure 2,
F IG. 4 represents the time flow of the scheduling scheme according to an embodiment of the invention,
F IG. 5 shows the time flow of the scheduling scheme according to another embodiment of the invention,
F IG. 6 represents a scheduling unit for a macro cell running some of the steps of the method for coordinated scheduling described by figure 2,
F IG. 7 represents a scheduling unit for a small cell running some of the steps of the method for coordinated scheduling described by figure 2.
Figure 1 represents a network N in which the methods of the invention are run. The network N is for example a heterogeneous LTE network, comprising several macro cells and several small cells showing overlapping coverage. For the sa ke of clarity, the network N on figure 1 shows only one macro cell MC, covered by a n access node AN l. The network N also comprises two small cells SCI and SC2, which coverage is included in the coverage of the macro cell MC. Each small cell SCI, SC2 is covered by an access node, respectively AN2, AN3. Each access node AN l, AN2, AN3, comprises at least one antenna for radio signal transmission. Several mobile devices, such as mobile phones, laptops or tablets for example, are attached to the access nodes of network N. As shown in figure 1, mobiles devices SU E1 and SU E2 are respectively attached to access nodes AN2 and AN3 of sma ll cells SCI and SC2. Hence, a transmission channel is established between the mobile device SU E 1 a nd the access node AN2, as well as between the mobile device SU E2 and the access node AN3. Small cells SCI and SC2 thus serve respectively mobile devices SU E1 and SU E2.
While traffic is served by macro base stations in homogeneous networks, deploying small cells SCI, SC2 in heterogeneous network N offers capacity gains by traffic offloading, which means that U Es are prefera bly served by the small cells SCI, SC2, rather than the macro cell MC. Better load balancing between macro and small layer improves the network capacity and the user experience. To this end, as shown in figure 1, the coverage area of the small cell SCI, SC2 is artificially enlarged, in such a way that the U E should connect to the small cell even if the macro cell downlink coverage is stronger. Such an artificial enlargement is called a Range Extension Zone, shown as REZ1 for small cell SCI and REZ2 for small cell SC2.
Other mobile devices M U E1 to MU E4 are a lso located in the coverage area of the macro cell MC.
User association is classically determined following some well-known criteria : for example, a mobile device is attached to the cell from which it receives the maximum Reference Signal Receive Power ( RSRP). Actua lly, RSRP is a key parameter in LTE network measurement, which provides cell-specific signal strength metric. This measurement can be used to rank different LTE cells according to their signal strength, and hence serves as an input for handover and cell reselection. RSRP is defined for a specific cell as the linear average over the power contributions (in Watts) of the Resource Elements ( REs), which carry cell- specific reference signal within the considered measurement frequency ba ndwidth.
According to this RSRP criterion, adjusted with RE bias, it is decided that mobile devices M U E1 to M U E4 are all ca mpping on the macro cell MC. As can be seen on figure 1, mobile device M U E1 is located in a so-called imbala nce region I R, at the bounda ry between the macro cell MC and the small cell SCI. Therefore, M U E1 transmission power has to be tuned high to compensate for the weak channel link between itself and the access node AN l of the serving macro cell MC. This may create strong interference in the uplink of small cell SCI and compromise the user performa nce, for example for the mobile device SU E1. Such a strong interference is illustrated in figure 1 by a dashed a rrow going from user equipment M U E1 to access node AN2 of small cell SCI. Other mobile devices M U E2 and SU E2 may also generate some interference on small cell SCI, also illustrated by dashed arrows between mobile devices SU E2, MU E2 and access node AN2. However, such interference is typically weaker than that generated by mobile device MU E1.
One possible approach to mitigate the uplink interference is to employ advanced interference cancellation (IC) techniques at small cell receive ends. Nevertheless it adds to the complexity of small cell access nodes AN2 and AN3, and the performance is sensitive to the interference levels of cross-tier signals.
As will be described in more details in relation to figure 2, an embodiment of the invention consists of a scheduling scheme with coordination between macro cell MC and small cells SCI and SC2 to combat the uplink interference seen by small cell users SU El and SU E2 while not compromising the performance of macro users MU E1 to M UE4. As will be explained below, the scheme utilizes the multi-user spatial diversity to optimize the channel capacity while causing no additional complexity to small cell access nodes AN2 and AN3.
It should be noted, however, that the method which will be described in relation to figure 2 to 5 can also be implemented with IC-equipped and interference-aware receivers, notably in access nodes AN2 and AN3, and hence achieve additional benefits.
Figure 2 represents the different steps of a method for coordinated scheduling in the heterogeneous network N of figure 1.
As indicated, some steps are carried out at the macro cell level (MC, steps 10 to 12)), while some steps are carried out at the small cell level (SC, steps 13 and 14). Such a method relies on a coordinated scheduling between the small cell and the macro cell, where the small cell MAC (i.e. the Medium Access Control layer in the small cell base station protocol) takes into account the user scheduling information in the macro cells to mitigate the inter-cell interference.
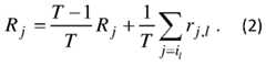
In a first step SCH. U E 10, a scheduling unit for macro cell MC schedules users and allocates resource blocks to scheduled users based on a predetermined performance metric optimization. According to an embodiment of the invention, a performance metrics denoted as χ{ϊ) is used to select users in good channel conditions with fairness consideration. For example, the well-known proportional fair (PF) scheduler can be employed to assign resource block / as ij = arg maxr■>'/' „ | (1)
j≡um I /Kj where Um is the macro cell user set, χ{]) = is the PF optimization metric, rl is the data
Figure imgf000013_0001
rate of user J on resource block group / and Rj is the average user throughput over a specific time window, which is updated after each scheduling cycle as
Figure imgf000013_0002
In a second step DET. I NTERF. U E 11, the macro cell scheduling unit needs to determine on the scheduling information that is most critical to the coordinated scheduling over the heterogeneous network N and forwards it to the affected small cells, in an effort to assist the latter to develop optimal resource allocation strategy. This step can be realized in a sequence of operations as follows:
• Macro cell users measure the signal powers received from the access node AN 1 serving the macro cell MC and from the access nodes to detectable small cells in the neighbourhood on reference channels, e.g. RSRP. They then estimate the propagation loss towards these access nodes.
• Macro cell users periodically report these propagation loss values to the access node AN1 of the serving macro cell MC, which reflect their positions relative to the serving cell MC as well as to small cells SC.
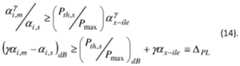
• the macro cell scheduling unit then determines the set of cell edge users and the most affected small cells as
\r- «i,m - > ^PL,PL > as }, (3) ieU
where{ m and{ s are path loss values between user i on the one hand, and either the macro cell access node or the small cell access node, on the other hand, γ is a parameter used in macro cell user power control module, as described in the specification standard 3GPP TR36.942 "Evolved Universal Terrestrial Radio Access (E- UTRA); Radio Frequency (RF) Systems Scenarios". APL and CCPL are system-defined thresholds on differential pathloss and small cell pathloss to determine if the macro- connected users are in the proximity of small cells. Appendix 1 gives an example of deriving APL and (XPL . Hence the set Im denotes macro-connected users that severely impact small cells and Sm represents the set of affected small cells.
In a third step COORD. MSG 12, the macro cell scheduling unit determines the scheduling information, which should be sent to the victim small cells Sm , in order to assist them in performing a cross-tier interference-aware scheduling. To this end, the macro cell scheduling unit looks up the set Im to see if user il assigned on resource block group / is in the set of cell edge users, which are defined as those who will cause significant interference to one or more small cells in the uplink.
Table 1 below shows a set of coordination messages, also called macro-assisted scheduling messages, which are sent by the macro cell scheduling unit to small cells, which receive them in a fourth step RX COORD. MSG 13.
Figure imgf000014_0001
As can be observed in Table 1, there are no small cells detected as the victims of macro cell MC on Resource Block Groups #2, 3 and 4. In other words, for example, user equipment i2, which was assigned to Resource Block Group #2 by the macro cell scheduling unit does not generate any interference on any of the neighboring small cells, and none of the small cells receives any power from user equipment i2. Hence, no coordination message needs to be prepared in step COORD. MSG 12 by the macro cell scheduling unit concerning Resource Block Groups #2 to 4.
On the other hand, small cells i1 and s5 are affected by macro-connected users i and i5 , respectively, and they should receive macro-assisted scheduling messages in step RX COORD. MSG 13 to help them in resource allocation. Such a coordination message may comprise:
(i) macro-connected User Equipment (U E) index,
(ii) Resource Block Group (RBG) index where the U E is assigned, and
(iii) estimated UE power{ Ρ Ρζ } received by the victim small cell . In the fourth step RX COORD. MSG 13, the small cell scheduling unit hence collects the coordination messages sent by macro cells and develops a constrained channel space (CCS) for all resource block groups. Such a constrained channel space CCS takes as its elements the channel state information (CSI) of the scheduled macro cell users that are close to the small cell access nodes.
In other words, CCS consists of channels between identified interfering macro cell U Es and small cell access nodes. The small cell access node hence uses the coordination messages sent by macro cells to know which macro cell UE will be transmitting and causing interference. It may then estimate the channel of interfering macro cell U Es in the following exemplary way.
(1) Through high-layer signalling, small cell gets to know the information of reference signals of all active macro cell U Es (this may happen just once as U E reference signals do not change often);
(2) For every scheduling cycle (i.e., one TTI (Transmit Time Interval)), the macro cell
scheduling unit sent to small cell scheduling unit the information of macro U Es who are (i) scheduled in the next transmission and (ii) considered as strong interferer to small cell node (i.e., identified as interferer);
(3) Once small cell scheduling unit gets information of (2), it can extract the UE index of identified interfering macro cell UE. It then looks up in the reference signals obtained at (1) to find the reference signals of the macro U E;
(4) Small cell access node estimates the channel between the interfering macro cell U E and the small cell access node with the reference signal obtained in (3).
It should be noted that there can be multiple interfering macro cell users (capped on different macro cells) in a specific RBG. It should also be noted that the larger the spatial dimension of CCS, the more spatially constrained the small cell users are, due to the cross-tier interference.
The CCS for subchannel / is denoted as H; .
In a fifth step CTIAS 14, the small cell scheduling unit then performs a cross-tier inference- aware scheduling (CTIAS) with this information.
According to a first embodiment of the invention, such a CTIAS step 14 implements an algorithm called CTIAS-I, which is detailed as below:
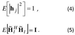
1) V RBGi , the small cell scheduling unit determines a pre-selected user set by choosing users that are pseudo-orthogonal to CCS H; , i.e., IJ = j¾ |h, H;H; h, < ε, i Us where Us is the user set of the small cell, h( is the uplink channel for user /. Here the channel state is the fast fading channel elements only with unit variance, that is,
Figure imgf000016_0001
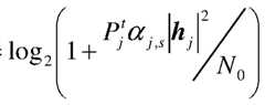
2) The small cell scheduling unit then assigns the RBG to a user in set U i with the best optimization metric. For example, PF-scheduling leads to iz = arg max l (6)
j≡ , where rj l— is the estimated instantaneous data rate for user j,
Figure imgf000016_0002
with Pj being the transmit power of user j determined according to specific power control procedures methods.
According to a second embodiment of the invention, in the CTIAS step 14, the small cell heduling unit implements an algorithm called CTIAS-I I, which is detailed below:
1) For RBG / from 1 to Z.
2) Vj e Us , the small cell scheduling unit computes the instantaneous data rate by taking into account the estimated cross-tier interference as
Figure imgf000016_0003
where Pf is a diagonal matrix containing all interference power of macro-connected users received by the small cell.
3) The small cell scheduling unit assigns the RBG to the user with the maximum optimization metric.
Figure 3 represents a spatial visualisation of the interfering macro-user channel w.r.t. those of small cell users. More precisely, in figure 3, the vectors indicate the channel direction in the spatial domain while the length of vectors represents the channel strength. The dashed arrow 35 denotes the CCS, that is to say, the channel of the macro cell user U El, considered as an interferer, towards the small cell access node. Arrows referenced 31, 32, 33 and 34 respectively show the channels of small cell users referenced U El, U E2, U E3, U E4 towards the small cell access node. The shaded area referenced 30 represents the space that is pseudo- orthogonal to CCS 35. It can hence be seen that the user set with good spatial separation w.r.t. the macro interferer is Ut = {2,3}.
If a conventional scheduler is employed, the small cell scheduling unit has no information of the interferer channel, and will logically assign the resource block to U E 1 as it has the best channel condition. Nevertheless, the cross-tier interference 36, which corresponds to the projection of dashed arrow 35 onto arrow 31 (showing the channel of the small cell user U El towards the small cell access node), is quite significant and in turn degrades the transmission rate of U E 1.
According to a first embodiment of the invention, where the small cell scheduling unit implements the CTIAS-1 algorithm, small cell chooses the best channel-conditioned user from set U i = { 2, 3} which is U E2 in this case. By doing this, the selected user U E2 is subdue to a minimum amount of interference from macro-associated user U El.
According to a second embodiment of the invention, where the small cell scheduling unit implements the CTIAS-2 algorithm, small cell tends to select the user with the best tradeoff between the desired signal strength and cross-tier interference, which results in UE 4.
It should be noted that, with macro-user information, both CTIAS-1 and CTIAS-2 take cross- tier interference as the constraint in scheduling, to enhance the small cell user experience.
The method for coordinated scheduling in a heterogeneous network described above in relation with figures 1 to 3 works well for a network with an ideal backhaul linking the access nodes of macro cells and small cells. However, some legacy networks show non-ideal backhauls, and it may be necessary to compensate for the backhaul latency, in order to enable implementation of the method according to the invention.
Figure 4 actually shows the time flow diagram for the scheduling scheme of figure 2. At time T, the macro cell scheduling unit implements step SCH. U E 10, and schedules the macro cell users. Due to a backhaul delay D0, the macro-assisted message exchange occurs at a time T+D0. Due to a small cell processing delay, the small cell only performs interference aware scheduling CTIAS 14 at time T+D!. Hence, there exists a latency of D2 between the macro cell scheduling time T and the user data transmission MC Tx 40 (macro U E packet transmission) and SC Tx 41 (small cell U E packet transmission). To a large extent, the latency of D2'\s dominated by the time interval D0 of coordination message exchange between macro cells and small cells, which is subject to the backhaul, which carries coordinated message. In centralized RAN architecture, e.g. Cloud RAN, there are high-bandwidth low-latency inter-BBU (BaseBandUnit) connections to facilitate inter- cell message exchange. Thus, the performance of the proposed scheme according to an embodiment of the invention can be optimized with negligible backhaul delay denoted as D0. On the other hand, the backhaul delay D0 may become significant in some scenarii of legacy networks and degrades the system performance.
Actually, if macro cells employ frequency selective scheduling (FSS), e.g. MAX C/l (Carrier-to- interference) scheduling, PF (Proportional Fair) scheduling, the coordinated scheduler efficiency according to embodiments of the invention may decrease as the backhaul latency D0 increases.
This can be understood as FSS tries to utilize the multi-user diversity and assigns the channel to the user with the best channel state (for MAX C/l) or the best channel relative to the user maximum (for PF scheduling). If there is a substantial gap between the time of user assignment T and the time T+ D2 at which the data transmission MC Tx 40 and SC Tx 41 takes place, the user channel may experience significant variation in the mean time. Thus, the macro cell scheduling decision becomes suboptimal at the time of data transmission.
According to a first complementary embodiment of the invention, the macro cell scheduling unit uses channel prediction to overcome the sub optimality of the coordinated scheduling caused by backhaul latency. Hence, in step SCH. UE 10, the macro cell scheduler does not assign the radio resources to users with the best channel condition (or the best relative channel condition) but rather to those who are predicted to have the best channel condition at the time T+D2 of transmission MC Tx 40, to compensate for the channel mismatch caused by the backhaul latency D0.
Any known channel predictor may be used, such as the one described by Alexandra Duel- Hallen in "Fading Channel Prediction for Mobile Radio Adaptive Transmission Systems, " IEEE Proceedings, 2007. However, it is important to underline that the accuracy of the chosen channel predictor may affect the decision of macro cell user assignment, and in sequel the scheduling of small cells.
According to a second complementary embodiment of the invention, disclosed in figure 5, an additional macro cell scheduling CTIAS-RS MC 51 is performed at the time when the small cell receives the coordination message RX COORD. MSG 13 and performs user scheduling CTIAS-RS SC 50.
Hence, the macro cell scheduling unit can exploit the most recent CSIs in user assignment and may fully utilize the multi-user diversity to maximize the network performance.
In other words, the macro cell scheduling unit performs a scheduling step SCH. U E 10 to schedule user equipment and allocate radio resources to the scheduled users at time T. As described previously in relation to figure 2, the macro cell scheduling unit then determines the set of macro cell users which may generate severe interference on victim small cells, and send a coordination message to the victim small cell, which is received in step RX COORD. MSG 13 at time T+D0. After a small cell processing delay, the small cell scheduling unit performs a cross-tier interference-aware scheduling, with an additional re-scheduling feature at the macro cell level, CTIAS-RS SC 50, at a time T + Di.
In the re-scheduling step CTIAS-RS MC 51, the macro cell scheduling unit may alter the user assignment decisions for a number of RBGs where the previously assigned user CSI has substantially degenerated. Nevertheless, this may impact the small cells as the newly assigned users may bring the unexpected interference to small cell scheduled users that are best matched to the macro-connected users chosen in the first scheduling step SCH. U E 10. Hence, according to this embodiment of the invention, the re-scheduler is designed with a number of specific considerations on maximizing macro cell and small cell performance at the same time.
1) For RBG / from l to /.
2) If ii e
Figure imgf000019_0001
\ Im }, that is, the user selected in the first scheduling step SCH. U E 10 by the macro cell scheduling unit does not severely impact any small cell, perform rescheduling CTIAS-RS MC 51 by selecting users i" e {Um \ Im } with the best optimization metric. Henceforth users with the best CSIs (or best relative CSIs) can occupy the radio resource without impacting small cells at all.
3) If ii e Im , that is, the user selected in the first scheduling step SCH. U E 10 by the macro cell scheduling unit may interfere small cells in the uplink, the re-scheduler implements the following steps: a) Select ij e
Figure imgf000019_0002
Im } with the best optimization metric χ{ί} )■
b) Select i, e / according to I max z ) , (8)
Figure imgf000020_0001
Hence, it can be ensured that the re-selected users in step CTIAS-RS MC 51 have the best (relative) CSI while being also spatially aligned with the user channel in the first scheduling step SCH. UE 10, such that the resulted cross-tier interference can be controlled. It should be noted that there is a chance that Im(l) be an empty set and it — φ , i.e., there is no user re-selected in step (b).
Figure imgf000020_0002
Figures 6 and 7 respectively show the structure of the macro cell scheduling unit and of the small cell scheduling unit implementing the methods of coordinated scheduling as described above.
The macro cell scheduling unit shown on figure 6 comprises a receiving unit Rx. 60 for receiving propagation loss values, which are periodically reported by macro cell users, and which correspond to the propagation loss between the macro cell users and the access nodes to small cells located in the neighborhood.
It also comprises a scheduler SCH. 61, which performs scheduling of user equipment and allocation of radio resources to the scheduled U E. Such a scheduler 61 may also perform rescheduling of user equipment, according to the embodiment of the invention shown in figure 5.
The macro cell scheduling unit of figure 6 may also comprise a channel prediction unit PRED. 64, which predicts the channel condition of users at a future time, in order to take account of the backhaul latency, as described above. Such a channel prediction unit PRED. 64 provides the predicted channels to the scheduler SCH. 61, so that the scheduler SCH. 61 does not assign the radio resources to users with the best channel condition (or the best relative channel condition) but rather to those who are predicted to have the best channel condition at the time T+D2.
The macro cell scheduling unit of figure 6 also comprises a computing unit μΡ 62 for determining a set of scheduled user equipment prone to cause interference in the uplink on one or several victim small cell(s), and which receives at its input information from the scheduler SCH 61. Such a computing unit 62 determines the set of cell edge users a nd the most affected small cells, and determines the scheduling information which should be included in a coordination message, which will be sent to small cells by a sending unit Tx. 63.
The small cell scheduling unit shown on figure 7 comprises a receiving unit Rx. 70 for receiving coordination messages from macro cell scheduling units, through a backhaul link linking them in the network. As described above, such coordination messages comprise information on interfering macro user equipment, and on radio resources allocated to them by the macro cell scheduling unit.
The sma ll cell scheduling unit shown on figure 7 also comprises a scheduler SCH . 71 for performing interference aware scheduling of user equipment served by the small cell and for allocating radio resources to them, on the basis of the coordination messages received from the receiving unit 70.
The scheduler SCH. 71 encompasses all the means necessary for performing the various CTIAS algorithms described above in relation with the previous figures.
The various embodiments of the invention described throughout this document hence enable global scheduling in the heterogeneous uplink.
(1) The scheduler coordinates the transmission of users in macrocells and overlaid small cells such that the cross-tier interference can be eliminated in the uplink;
(2) The scheduler enables small cells to utilize multi-user diversity to enhance the small cell user transmissions while not compromising the performance of macro cell users;
(3) The scheduler can be readily implemented in RAN centralization architectures and work jointly with other multi-point technologies to maximize the benefits;
(4) It is also implementable with legacy backhaul with non-negligible latencies. The invention comprises enabling mechanisms to enhance user performance in this scenario.
With this invention the user experience in small cells can be greatly enhanced disregarding the interference from macro cells. APPENDIX 1
The transmitted power of macro-connected user / can be determined using the approach described in the article by K. Balachandran, J. H. Kang, K. Karakayali and K. Rege, "Virtual soft handoff enabled dominant interference cancellation for enhanced uplink performance in heterogeneous cellular networks" IEEE WCNC, 2012:
Pt,m = ^maxminl L max Rmin ,( (11)
lx-ile where i"max is the maximum user transmit power, ^^ (« 1) is the minimum power reduction ratio to prevent UEs with good channels to transmit at very low power level, ai m is the path coupling loss between the user and the serving macro cell and Ox-ue is the x-percentile pathloss coupling value, that is, the x percent of UEs that have the highest coupling loss will transmit at Pmax. User / is deemed as a small cell interferer if it is detected by small cells exceeding received power threshold Pth s th,s (12)
It can be deduced that the inequality (12) is equivalent to satisfying A
Figure imgf000022_0001
(B u C), with A, B and C being the inequalities defined as follows:
A: P max >— /Ύ
*i,s P th,s
B: max "mm i,srth,s
p (Y- I ^ι,ιη ,
C: max I /. - i,sPth,s
It is noted that inequality B holds if a macro cell center user (transmitted at a minimum power as it is in very good channel condition w.r.t the serving cell) generates substantial interference to small cell. Although it is conceptually possible it is not likely to occur in real deployment. Based on this observation it is reasonable to assume S = O and thus (12) is equivalent to A n C . From A and C, it can be derived that
a PL ≥ (13)
rth,s dB
Figure imgf000022_0002
As a consequence, the interfering user set is obtained as
Figure imgf000023_0001
ieU

Claims

1. A method for scheduling user equipment in a heterogeneous network (N ) comprising at least one macro cell (MC) and at least one small cell (SCI, SC2) having at least partially overlapping coverage,
the method being run by a scheduling unit for said at least one macro cell and comprising the steps of:
scheduling (10) user equipment served by said macro cell a nd allocating radio resources to said scheduled user equipment,
determining (11) a set of at least one of said scheduled user equipment prone to cause interference in the uplink on at least one of said small cell(s), called a victim small cell,
sending (12), through a backhaul link between said scheduling unit for said macro cell and a scheduling unit for said victim small cell, a coordination message comprising information on said at least one scheduled user equipment prone to cause interference on said victim small cell and on radio resources allocated to it.
2. The method of claim 2, wherein it also comprises a step of predicting a transmission channel condition between said user equipment and an access node to said macro cell, and wherein said step of allocating radio resources to said scheduled user equipment relies on an optimization metric ta king account of said predicted transmission channel condition.
3. The method of claim 1 or 2, wherein it also comprises an additional step (51) of scheduling said user equipment served by said macro cell and of allocating radio resources to said newly scheduled user equipment at a time when said coordination message has been received by said scheduling unit for sa id victim small cell.
4. The method of any of claims 1 to 3, wherein said step of determining comprises a step of receiving from said scheduled user equipment propagation loss values towards an access node to said macro cell a nd towards an access node to at least one small cell in the neighborhood of said scheduled user equipment.
5. The method of any of claims 1 to 4, wherein said coordination message comprises:
an index of said at least one scheduled user equipment prone to cause interference on said victim small cell; an index of a Resource Block Group where said at least one scheduled user equipment prone to cause interference on said victim small cell is assigned;
an estimated power received by said victim small cell from said at least one scheduled user equipment prone to cause interference on said victim small cell.
6. A method for scheduling user equipment in a heterogeneous network (N ) comprising at least one macro cell (MC) and at least one small cell (SCI, SC2) having at least partially overlapping coverage,
the method being run by a scheduling unit for said small cell and comprising the steps of: receiving ( 13) at least one coordination message, through a backhaul link between said scheduling unit for said small cell and a scheduling unit for said at least one macro cell, said coordination message comprising information on at least one user equipment scheduled by said scheduling unit for said macro cell and prone to cause interference on said small cell, called an interfering macro user equipment, said coordination message also comprising information on radio resources a llocated to said interfering macro user equipment by said scheduling unit for said macro cell, performing (14) interference aware scheduling of user equipment served by said small cell and allocating radio resources to said scheduled user equipment, on the basis of said coordination messages received from said at least one macro cell.
7. The method of claim 6, wherein it also comprises a step of determining a constrained channel space (CCS) for a sub channel / of a bandwidth used by said small cell, said constrained channel space taking as its elements channel state information from said interfering macro user equipment for said sub channel / to an access node of said small cell.
8. The method of claim 7, wherein said step of performing interference aware scheduling of user equipment served by said small cell and allocating radio resources to said scheduled user equipment comprises the sub-steps of:
determining a set of user equipment having a transmission channel towards said access node of said small cell, which is pseudo-orthogonal to said constrained channel space for said sub channel /;
assigning said sub channel / to a user equipment in said set, which optimizes a predetermined metric.
9. The method of claim 7, wherein said step of performing interference aware scheduling of user equipment served by said small cell and allocating radio resources to said scheduled user equipment comprises the sub-steps of:
for each user equipment served by said small cell, computing an instantaneous data rate for said sub channel / by taking into account an estimated interference generated by said interfering macro user equipment;
assigning said sub cha nnel / to the user equipment with the maximum instantaneous data rate.
10. Scheduling unit for a macro cell in a heterogeneous network comprising at least one macro cell and at least one small cell having at least pa rtia lly overlapping coverage, said scheduling unit comprising:
a scheduler for scheduling user equipment served by said macro cell a nd for allocating radio resources to said scheduled user equipment,
a computing unit for determining a set of at least one of said scheduled user equipment prone to cause interference in the uplink on at least one of said small cell(s), called a victim small cell,
a sending unit for sending, through a backhaul link between said scheduling unit for said macro cell and a scheduling unit for said victim small cell, a coordination message comprising information on sa id at least one scheduled user equipment prone to cause interference on said victim small cell and on radio resources allocated to it.
11. Scheduling unit for a small cell in a heterogeneous network comprising at least one macro cell and at least one small cell having at least pa rtia lly overlapping coverage, said scheduling unit comprising:
- a receiving unit for receiving at least one coordination message, through a backhaul link between said scheduling unit for said small cell and a scheduling unit for said at least one macro cell, said coordination message comprising information on at least one user equipment scheduled by said scheduling unit for said macro cell and prone to cause interference on said small cell, called an interfering macro user equipment, said coordination message also comprising information on radio resources allocated to said interfering macro user equipment by said scheduling unit for said macro cell, a scheduler for performing interference aware scheduling of user equipment served by said small cell and for allocating radio resources to said scheduled user equipment, on the basis of said coordination messages received from said at least one macro cell.
12. A method for scheduling user equipment in a heterogeneous network comprising at least one macro cell and at least one sma ll cell having at least partially overlapping coverage, the method comprising the steps of:
scheduling user equipment served by said macro cell and allocating radio resources to said scheduled user equipment,
determining, in a scheduling unit for said macro cell, a set of at least one of said scheduled user equipment prone to cause interference in the uplink on at least one of said small cell(s), called a victim small cell,
sending, through a backhaul link between said scheduling unit for said macro cell and a scheduling unit for said victim small cell, a coordination message comprising information on said at least one scheduled user equipment prone to cause interference on said victim small cell and on radio resources allocated to it;
in a scheduling unit for said victim small cell, performing interference aware scheduling of user equipment served by said victim small cell and allocating radio resources to said scheduled user equipment, on the basis of said coordination messages received from said at least one macro cell.
13. Communication system over a heterogeneous network comprising at least one macro cell and at least one small cell having at least partially overla pping coverage,
said communication system comprising user equipment receiving and transmitting data from and to access nodes to said macro cell(s) and said small cell(s),
said communication system also comprising a scheduling unit for said at least one macro cell and a scheduling unit for said at least one small cell,
said scheduling unit for said macro cell comprising:
a scheduler for scheduling user equipment served by said macro cell a nd for allocating radio resources to said scheduled user equipment, a computing unit for determining a set of at least one of said scheduled user equipment prone to cause interference in the uplink on at least one of said small cell(s), called a victim small cell,
a sending unit for sending, through a backhaul link between said scheduling unit for said macro cell and said scheduling unit for said victim small cell, a coordination message comprising information on said at least one scheduled user equipment prone to cause interference on said victim small cell and on radio resources allocated to it,
and said scheduling unit for said victim small cell comprising:
a receiving unit for receiving said coordination message;
a scheduler for performing interference aware scheduling of user equipment served by said victim small cell and for allocating radio resources to said scheduled user equipment, on the basis of said coordination message.
14. Computer program characterized in that it comprises program code instructions for the implementation of the steps of the method for scheduling of claim 1 when the program is executed by a processor.
15. Computer program characterized in that it comprises program code instructions for the implementation of the steps of the method for coordinated scheduling of claim 6 when the program is executed by a processor.
PCT/IB2014/0030402013-12-062014-12-04Method for scheduling user equipment in a heterogeneous networkWO2015082999A2 (en)

Applications Claiming Priority (2)

Application NumberPriority DateFiling DateTitle
PCT/CN2013/088808WO2015081570A1 (en)2013-12-062013-12-06Method for scheduling user equipment in a heterogeneous network
CNPCT/CN2013/0888082013-12-06

Publications (2)

Publication NumberPublication Date
WO2015082999A2true WO2015082999A2 (en)2015-06-11
WO2015082999A3 WO2015082999A3 (en)2015-09-03

Family

ID=52682760

Family Applications (2)

Application NumberTitlePriority DateFiling Date
PCT/CN2013/088808WO2015081570A1 (en)2013-12-062013-12-06Method for scheduling user equipment in a heterogeneous network
PCT/IB2014/003040WO2015082999A2 (en)2013-12-062014-12-04Method for scheduling user equipment in a heterogeneous network

Family Applications Before (1)

Application NumberTitlePriority DateFiling Date
PCT/CN2013/088808WO2015081570A1 (en)2013-12-062013-12-06Method for scheduling user equipment in a heterogeneous network

Country Status (1)

CountryLink
WO (2)WO2015081570A1 (en)

Cited By (6)

* Cited by examiner, † Cited by third party
Publication numberPriority datePublication dateAssigneeTitle
CN105357692A (en)*2015-09-282016-02-24北京拓明科技有限公司Multi-network cooperative network optimization and energy saving method and system
CN105898757A (en)*2016-05-092016-08-24南京邮电大学Spectrum resource allocation method for wireless return link heterogeneous internet of things
CN110213731A (en)*2019-04-292019-09-06中国科学院计算技术研究所A kind of group of subscribers network selecting method and system based on intelligent pricing
WO2021123649A1 (en)*2019-12-202021-06-24OrangeMethod for allocating radio signal transmission frequencies between one or more communication entities, allowing a reduction in interferences between said communication entities using the same frequency channel
WO2021123650A1 (en)*2019-12-202021-06-24OrangeMethod for allocating radio signal transmission frequencies between one or more communication entities, allowing a reduction in interferences between said communication entities using the same frequency channel
US11425734B2 (en)*2017-08-102022-08-23Ntt Docomo, Inc.User equipment and reference signal transmission method

Families Citing this family (2)

* Cited by examiner, † Cited by third party
Publication numberPriority datePublication dateAssigneeTitle
WO2017000158A1 (en)*2015-06-302017-01-05OrangeMethod for scheduling user equipment in a heterogeneous network
CN116234022A (en)*2021-11-302023-06-06大唐移动通信设备有限公司Resource allocation method, electronic device, apparatus and storage medium

Family Cites Families (6)

* Cited by examiner, † Cited by third party
Publication numberPriority datePublication dateAssigneeTitle
US8442069B2 (en)*2008-04-142013-05-14Qualcomm IncorporatedSystem and method to enable uplink control for restricted association networks
WO2010121437A1 (en)*2009-04-242010-10-28华为技术有限公司Method and device for transmitting wireless data in a communication system
JP5388955B2 (en)*2010-06-212014-01-15株式会社Nttドコモ COMMUNICATION CONTROL METHOD, COMMUNICATION SYSTEM, AND BASE STATION DEVICE
WO2013053121A1 (en)*2011-10-132013-04-18Nokia CorporationInterference coordination between macrocell and small cell
US9049730B2 (en)*2011-11-142015-06-02Qualcomm IncorporatedUplink data transmission with interference mitigation
CN102711122B (en)*2012-06-012014-12-03哈尔滨工业大学Femtocell interference suppression method combining with frequency spectrum distribution and power control

Non-Patent Citations (3)

* Cited by examiner, † Cited by third party
Title
ALEXANDRA DUEL-HALLEN: "Fading Channel Prediction for Mobile Radio Adaptive Transmission Systems", IEEE PROCEEDINGS, 2007
K. BALACHANDRAN; J. H. KANG; K. KARAKAYALI; K. REGE: "Virtual soft handoff enabled dominant interference cancellation for enhanced uplink performance in heterogeneous cellular networks", IEEE WCNC, 2012
P. FRANK ET AL.: "Cooperative Interference-Aware Joint Scheduling for the 3GPP LTE Uplink", IEEE PIMRC, 2010

Cited By (12)

* Cited by examiner, † Cited by third party
Publication numberPriority datePublication dateAssigneeTitle
CN105357692A (en)*2015-09-282016-02-24北京拓明科技有限公司Multi-network cooperative network optimization and energy saving method and system
CN105357692B (en)*2015-09-282018-12-25北京拓明科技有限公司A kind of network optimization of multi-network cooperative and power-economizing method and system
CN105898757A (en)*2016-05-092016-08-24南京邮电大学Spectrum resource allocation method for wireless return link heterogeneous internet of things
CN105898757B (en)*2016-05-092019-02-26南京邮电大学 A Spectrum Resource Allocation Method in Wireless Backhaul Link Heterogeneous Internet of Things
US11425734B2 (en)*2017-08-102022-08-23Ntt Docomo, Inc.User equipment and reference signal transmission method
CN110213731A (en)*2019-04-292019-09-06中国科学院计算技术研究所A kind of group of subscribers network selecting method and system based on intelligent pricing
WO2021123649A1 (en)*2019-12-202021-06-24OrangeMethod for allocating radio signal transmission frequencies between one or more communication entities, allowing a reduction in interferences between said communication entities using the same frequency channel
WO2021123650A1 (en)*2019-12-202021-06-24OrangeMethod for allocating radio signal transmission frequencies between one or more communication entities, allowing a reduction in interferences between said communication entities using the same frequency channel
FR3105671A1 (en)*2019-12-202021-06-25Orange A method of allocating radio signal transmission frequencies between one or more communication entities, allowing a reduction in interference between these communication entities using the same frequency channel
FR3105672A1 (en)*2019-12-202021-06-25Orange A method of allocating radio signal transmission frequencies between one or more communication entities, allowing a reduction in interference between these communication entities using the same frequency channel
US12155441B2 (en)2019-12-202024-11-26OrangeMethod for allocating radio signal transmission frequencies between one or more communication entities, allowing a reduction in interferences between the communication entities using the same frequency channel
US12356436B2 (en)2019-12-202025-07-08OrangeMethod for allocating radio signal transmission frequencies between one or more communication entities, allowing a reduction in interferences between the communication entities using the same frequency channel

Also Published As

Publication numberPublication date
WO2015082999A3 (en)2015-09-03
WO2015081570A1 (en)2015-06-11

Similar Documents

PublicationPublication DateTitle
US9332474B2 (en)Signaling support for multi sector deployment in cellular communications
CN109861802B (en)System and method for adaptive transmission in wireless networks
CN104938008B (en)Method and apparatus for resource allocation in a wireless communication network
US8463272B2 (en)Wireless communication system and load balancing aware handover method therefor
US9794812B2 (en)Methods and network nodes for determining an indication of interference mitigation and for scheduling a transmission
CN103493388B (en) Coordinated transmission method in multiple cells of wireless communication system
US8868091B2 (en)Methods and apparatus for facilitating inter-cell interference coordination via over the air load indicator and relative narrowband transmit power
CN106688195B (en)Method, apparatus and storage medium for beamforming in wireless communication network
WO2015082999A2 (en)Method for scheduling user equipment in a heterogeneous network
US9844048B2 (en)Resource allocation system and control method
JP5747125B2 (en) Method and device for processing basic sequences in a communication network
US20120178462A1 (en)Method and apparatus for multi-cell cooperative transmission
EP2982044B1 (en)Method and apparatus for interference mitigation configuration in a wireless communication network
US20150043546A1 (en)Radio communication system, high-power base station, low-power base station, and communication control method
WO2014178765A1 (en)Method and network node for downlink scheduling in a mobile communication network
CN106465220A (en) Systems and methods for UE-specific offload
EP2636257A1 (en)Method for uplink fractional transmit power control
US8761682B2 (en)Distributed interference management
EP2544500B1 (en)Concept for inter-cell interference coordination in a cellular communication network
EP2878164B1 (en)Wireless communication network with noise metric based optimization for cellular capacity improvement
Chang et al.Cooperative communication in ultra-dense small cells toward 5G cellular communication
Choi et al.Location-Aware Self-Optimization for Interference Management in Ultra-Dense Small Cell Networks
WO2017000158A1 (en)Method for scheduling user equipment in a heterogeneous network
Oh et al.Centralized resource coordination scheme for Inter-enB CoMP with non-ideal backhaul
WO2015016753A1 (en)Methods and devices for sector selection

Legal Events

DateCodeTitleDescription
121Ep: the epo has been informed by wipo that ep was designated in this application

Ref document number:14844982

Country of ref document:EP

Kind code of ref document:A2

NENPNon-entry into the national phase

Ref country code:DE

122Ep: pct application non-entry in european phase

Ref document number:14844982

Country of ref document:EP

Kind code of ref document:A2


[8]ページ先頭

©2009-2025 Movatter.jp