Movatterモバイル変換


[0]ホーム

URL:


WO2015061683A1 - D-amino acid phosphoramidate and d-alanine thiophosphoramidate pronucleotides of nucleoside compounds useful for the treatment of hcv - Google Patents

D-amino acid phosphoramidate and d-alanine thiophosphoramidate pronucleotides of nucleoside compounds useful for the treatment of hcv
Download PDF

Info

Publication number
WO2015061683A1
WO2015061683A1PCT/US2014/062174US2014062174WWO2015061683A1WO 2015061683 A1WO2015061683 A1WO 2015061683A1US 2014062174 WUS2014062174 WUS 2014062174WWO 2015061683 A1WO2015061683 A1WO 2015061683A1
Authority
WO
WIPO (PCT)
Prior art keywords
compound
certain embodiments
compounds
hydrogen
formula
Prior art date
Application number
PCT/US2014/062174
Other languages
French (fr)
Inventor
Alistair James Stewart
Adel M. Moussa
Benjamin Alexander Mayes
Original Assignee
Idenix Pharmaceuticals, Inc.
Priority date (The priority date is an assumption and is not a legal conclusion. Google has not performed a legal analysis and makes no representation as to the accuracy of the date listed.)
Filing date
Publication date
Application filed by Idenix Pharmaceuticals, Inc.filedCriticalIdenix Pharmaceuticals, Inc.
Publication of WO2015061683A1publicationCriticalpatent/WO2015061683A1/en

Links

Classifications

Definitions

Landscapes

Abstract

Provided herein are compounds, compositions and methods for the treatment ofFlaviviridae infections, including HCV infections. In certain embodiments, compounds and compositions of nucleoside derivatives are disclosed, which can be administered either alone or in combination with other anti-viral agents. In certain embodiments, the compounds are of Formula AI or 1001 or a pharmaceutically acceptable salt, solvate, stereoisomeric form, tautomeric form or polymorphic form thereof.

Description

D-AMINO ACID PHO SPHORAMID ATE AND D-ALANINE THIOPHOSPHORAMIDATE PRONUCLEOTIDES OF NUCLEOSIDE COMPOUNDS
USEFUL FOR THE TREATMENT OF HCV
FIELD
[0001] Provided herein are compounds, methods and pharmaceutical compositions for use in treatment of viral infections, including hepatitis C virus infections in hosts in need thereof. In certain embodiments, D-alanine thiophosphoramidate pronucleotides of nucleoside compounds are provided which can display remarkable efficacy and bioavailability for the treatment of, for example, HCV infection in a human.
BACKGROUND
[0002] The hepatitis C virus (HCV) is the leading cause of chronic liver disease
worldwide. (Boyer, N. et al., J. Hepatol. 32:98-112, 2000). HCV causes a slow growing viral infection and is the major cause of cirrhosis and hepatocellular carcinoma (Di Besceglie, A. M. and Bacon, B. R., Scientific American, Oct.: 80-85, 1999; Boyer, N. et al., J. Hepatol. 32:98- 112, 2000). It is estimated there are about 130-150 million people with chronic hepatitis C virus infection. Hepatitis C-related liver diseases cause approximately 350,000 to 500,000 deaths each year. HCV infection becomes chronic in about 55-85% of cases, with many patients initially being asymptomatic. About 15-30% of patients with chronic hepatitis due to HCV develop cirrhosis within about 20 years. (Hepatitis C Fact Sheet, World Health
Organization Fact Sheet No. 164, April 2014). Development of cirrhosis due to HCV also increases the risk of hepatocellular cancer (The Merck Manual Online, Chronic Hepatitis, available at www.merckmanuals.com/professional/hepatic_and_biliary_disorders/hepatitis/ chronic_hepatitis.html, last revision February 2014).
[0003] In light of the fact that HCV infection has reached epidemic levels worldwide, and has tragic effects on the infected patient, there remains a strong need to provide new effective pharmaceutical agents to treat hepatitis C that have low toxicity to the host. Further, given the rising threat of other flaviviridae infections, there remains a strong need to provide new effective pharmaceutical agents that have low toxicity to the host. Therefore, there is a continuing need for effective treatments of flavivirus infections and HCV infections.
SUMMARY
[0004] Provided herein are compounds useful, for example, for the treatment of flavivirus infections such as HCV infections. The compounds are D-amino acid phosphoramidate or thiophosphoramidate nucleoside compounds. In certain embodiments, the compounds display high tissue levels of active species, remarkable efficacy, or bioavailability, or all, for the treatment of, for example, liver disease and conditions in a human in need thereof. Some of the compounds are based, in part, on the discovery that the active component of certain therapeutic moieties linked to D-amino acids can accumulate favorably in liver cells when the compounds are administered to subjects.
[0005] In certain embodiments, the compounds provided herein are useful in the prevention and treatment of Flaviviridae infections and other related conditions such as anti- Flaviviridae antibody positive and Flaviviridae-positivQ conditions, chronic liver inflammation caused by HCV, cirrhosis, fibrosis, acute hepatitis, fulminant hepatitis, chronic persistent hepatitis and fatigue. These compounds or formulations can also be used prophylactically to prevent or retard the progression of clinical illness in individuals who are anti-Flaviviridae antibody or Flaviviridae-antigen positive or who have been exposed to a Flaviviridae. In particular embodiments, the Flaviviridae is hepatitis C. In certain embodiments, the compounds are used to treat any virus that replicates through an RNA-dependent R A polymerase.
[0006] A method for the treatment of a Flaviviridae infection in a host, including a human, is also provided that includes administering an effective amount of a compound provided herein, administered either alone or in combination or alternation with another anti- Flaviviridae agent, optionally in a pharmaceutically acceptable carrier.
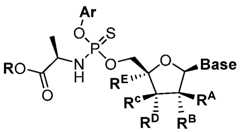
[0007] In certain embodiments, provided herein are compounds according to Formula AI:
Figure imgf000003_0001
(AI);
or a pharmaceutically acceptable salt, solvate, stereoisomeric form, tautomeric form or polymorphic form thereof, wherein: RA is hydrogen, hydroxyl, methyl or halo; RB is hydrogen, hydroxyl, halo, cyano, azido, amino, or ethynyl; R is hydrogen; R is hydrogen or hydroxyl; RE is hydrogen or halo; or, in the alternative, RB and RE join to form alkylene or heteroalkylene; Base is a nucleobase; Ar is aryl; and R is hydrogen or alkyl.
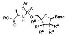
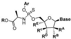
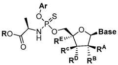
[0008] In certain embodiments, provided herein are compounds according to Formula I:
Figure imgf000004_0001
(i);
or a pharmaceutically acceptable salt, solvate, stereoisomeric form, tautomeric form or polymorphic form thereof, wherein: RA is hydrogen, hydroxyl, methyl or halo; RB is hydrogen, hydroxyl, halo, cyano, azido or amino; R is hydrogen; R is hydrogen or hydroxyl; RE is hydrogen or halo; or, in the alternative, RB and RE join to form alkylene or heteroalkylene; Base is a nucleobase; Ar is aryl; and R is hydrogen or alkyl.
[0009] In certain embodiments, provided are compounds according to Formula 1001 :
Figure imgf000004_0002
(1001);
or a pharmaceutically acceptable salt, solvate, stereoisomeric form, tautomeric form or polymorphic form thereof; wherein:
Figure imgf000004_0003
L is -O- or -CH2-;
M is -0-, -S- or -CH2-;
Z is hydroxyl;
X is hydroxyl or -O-Ar; or, in the alternative, X and Z combine to form a single divalent -0-;
W is O or S;
Ar is aryl;
Sc is a side chain of a naturally occurring or non-naturally occurring amino acid; Q1 is -SRY, -NRYRY, hydroxyl or alkoxyl; RA is hydroxyl or fluoro; RB is hydrogen or methyl; RY is hydrogen or alkyl; each R4 is independently hydrogen, hydroxyl, amino, or alkoxyl; each R5 is independently hydrogen, hydroxyl, or alkoxyl; each R6 is independently hydrogen, halogen, or alkyl; and each R7 is independently hydrogen, hydroxyl or amino; subject to the proviso that when: Base is 6-methoxyl guanine, L is -0-, M is -0-, W is O, Sc is methyl, RA is hydroxyl, Z is hydroxyl, RB is hydrogen, and Q1 is -OCH2C(CH2)3; then X is other than naphthyloxyl; subject to the proviso that when: Base is 6-methoxyl guanine, L is -0-, M is -0-, W is O, Sc is phenyl, RA is hydroxyl, Z is hydroxyl, RB is hydrogen, and Q1 is -0(CH2)2CH3, - OCH2C(CH2)3, or -O-cyclohexyl; then X is other than naphthyloxyl; subject to the proviso that when: Base is cytosine, L is -0-, M is -0-, W is O, Sc is methyl, RA is hydroxyl, Z is hydroxyl, RB is hydrogen, and Q1 is methoxyl; then X is other than p-chlorophenyloxyl; subject to the proviso that when: Base is guanine, L is -0-, M is -0-, W is O, Sc is methyl, RA is hydroxyl, Z is hydroxyl, RB is hydrogen, and Q1 is benzyloxyl; then X is other than naphthyloxyl; and subject to the proviso that when: Base is uracil, L is -0-, M is -0-, W is O, Sc is methyl, RA is fluoro, Z is hydroxyl, RB is hydrogen, and X is phenyloxyl; then Q1 is other than n-butyloxyl, isopropyloxyl, or benzyloxyl; and subject to the proviso that when: Base is 6-ethoxylguanine, L is -0-, M is -0-, W is O, Sc is methyl, RA is fluoro, Z and X combine to form a single divalent -0-, and RB is hydrogen; then Q1 is other than isopropyloxyl.
[0010] In certain embodiments, provided herein are diastereomerically pure compounds according to Formula 1001 useful, for example, for the treatment of flavivirus infections such as HCV infections. In certain embodiments the diastereomerically pure compounds display remarkable efficacy or bioavailability, or both, for the treatment of, for example, HCV infection in a human. In certain embodiments, the diastereomerically pure compounds display increased efficacy or bioavailability, or both, for example, for HCV infection in a human when compared with racemic mixtures or other diastereomers of the same compounds.
[0011] In one aspect, the compounds provided herein are provided or administered in combination with a second therapeutic agent, such as one useful for the treatment or prevention of HCV infections. Exemplary second therapeutic agents are provided in detail elsewhere herein.
[0012] In another aspect, provided herein are pharmaceutical compositions, single unit dosage forms, and kits suitable for use in treating or preventing disorders such as HCV infections which comprise a therapeutically or prophylactically effective amount of a compound provided herein, e.g., of Formula AI, I-XVII, 101-152d, 1001-1024b and 2001- 2286b, and a therapeutically or prophylactically effective amount of a second therapeutic agent such as one useful for the treatment or prevention of HCV infections.
[0013] In certain embodiments, the compounds provided herein are useful in the prevention and treatment of Flaviviridae infections and other related conditions such as anti- Flaviviridae antibody positive and Flaviviridae-positive conditions, chronic liver
inflammation caused by HCV, cirrhosis, fibrosis, acute hepatitis, fulminant hepatitis, chronic persistent hepatitis, and fatigue. These compounds or formulations can also be used prophylactically to prevent or retard the progression of clinical illness in individuals who are anti-Flaviviridae antibody or Flaviviridae-antigen positive or who have been exposed to a Flaviviridae. In particular embodiments, the Flaviviridae is hepatitis C. In certain
embodiments, the compounds are used to treat any virus that replicates through an R A- dependent RNA polymerase.
[0014] In certain embodiments, a method of treatment of a liver disorder is provided comprising administering to an individual in need thereof a treatment effective amount of a D- alanine thiophosphoramidate pronucleotide of a nucleoside compound.
[0015] In certain embodiments, a method of treatment of a liver disorder is provided comprising administering to an individual in need thereof a treatment effective amount of a compound of Formula AI, I-XVII, 101-152d, 1001-1024b and 2001 -2286b.
[0016] In an embodiment, a method for the treatment of a host infected with a hepatitis C virus is provided, comprising the administration of an effective treatment amount of a compound of Formula AI, I-XVII, 101-152d, 1001-1024b and 2001 -2286b or a
pharmaceutically acceptable salt or solvate thereof. [0017] A method for the treatment of a Flaviviridae infection in a host, including a human, is also provided that includes administering an effective amount of a compound provided herein, administered either alone or in combination or alternation with another anti- Flaviviridae agent, optionally in a pharmaceutically acceptable carrier.
[0018] Flaviviridae which can be treated are, e.g., discussed generally in Fields Virology, Sixth Ed., Editors: Knipe, D. M., and Howley, P. M., Lippincott Williams & Wilkins Publishers, Philadelphia, PA, Chapters 25-27, 2013. In a particular embodiment of the invention, the Flaviviridae is HCV. In an alternate embodiment, the Flaviviridae is a flavivirus or pestivirus. In certain embodiments, the Flaviviridae can be from any class of Flaviviridae. In certain embodiments, the Flaviviridae is a mammalian tick-borne virus. In certain embodiments, the Flaviviridae is a seabird tick-borne virus. In certain embodiments, the Flaviviridae is a mosquito-borne virus. In certain embodiments, the Flaviviridae is an Aroa virus. In certain embodiments, the Flaviviridae is a Dengue virus. In certain
embodiments, the Flaviviridae is a Japanese encephalitis virus. In certain embodiments, the Flaviviridae is a Kokobera virus. In certain embodiments, the Flaviviridae is a Ntaya virus. In certain embodiments, the Flaviviridae is a Spondweni virus. In certain embodiments, the Flaviviridae is a Yellow fever virus. In certain embodiments, the Flaviviridae is a Entebbe virus. In certain embodiments, the Flaviviridae is a Modoc virus. In certain embodiments, the Flaviviridae is a Rio Bravo virus.
[0019] Specific flaviviruses which can be treated include, without limitation: Absettarov, Aedes, Alfuy, Alkhurma, Apoi, Aroa, Bagaza, Banzi, Bukalasa bat, Bouboui, Bussuquara, Cacipacore, Calbertado, Carey Island, Cell fusing agent, Cowbone Ridge, Culex, Dakar bat, Dengue 1, Dengue 2, Dengue 3, Dengue 4, Edge Hill, Entebbe bat, Gadgets Gully,
Hanzalova, Hypr, Ilheus, Israel turkey meningoencephalitis, Japanese encephalitis, Jugra, Jutiapa, Kadam, Kamiti River, Karshi, Kedougou, Kokobera, Koutango, Kumlinge, Kunjin, Kyasanur Forest disease, Langat, Louping ill, Meaban, Modoc, Montana myotis
leukoencephalitis, Murray valley encephalitis, Nakiwogo, Naranjal, Negishi, Ntaya, Omsk hemorrhagic fever, Phnom-Penh bat, Powassan, Quang Binh, Rio Bravo, Rocio, Royal Farm, Russian spring-summer encephalitis, Saboya, St. Louis encephalitis, Sal Vieja, San Perlita, Saumarez Reef, Sepik, Sokuluk, Spondweni, Stratford, Tembusu, Tick-borne encephalitis, Turkish sheep encephalitis, Tyuleniy, Uganda S, Usutu, Wesselsbron, West Nile, Yaounde, Yellow fever, Yokose, and Zika. [0020] Pestiviruses which can be treated are discussed generally in Fields Virology, Sixth Ed., Editors: Knipe, D. M., and Howley, P. M., Lippincott Williams & Wilkins Publishers, Philadelphia, PA, Chapter 25, 2013. Specific pestiviruses which can be treated include, without limitation: bovine viral diarrhea virus ("BVDV"), classical swine fever virus
("CSFV," also called hog cholera virus), and border disease virus ("BDV").
DESCRIPTION OF EXEMPLARY EMBODIMENTS
[0021] Provided herein are compounds, compositions and methods useful for treating liver disorders such as HCV infection in a subject. Further provided are dosage forms useful for such methods.
Definitions
[0022] When referring to the compounds provided herein, the following terms have the following meanings unless indicated otherwise. Unless defined otherwise, all technical and scientific terms used herein have the same meaning as is commonly understood by one of ordinary skill in the art. In the event that there is a plurality of definitions for a term herein, those in this section prevail unless stated otherwise.
[0023] The term "alkyl," as used herein, unless otherwise specified, refers to a saturated straight or branched hydrocarbon. In certain embodiments, the alkyl group is a primary, secondary, or tertiary hydrocarbon. In certain embodiments, the alkyl group includes one to ten carbon atoms, i.e., C\ to Cio alkyl. In certain embodiments, the alkyl group is methyl, CF3, CC13, CFC12, CF2CI, ethyl, CH2CF3, CF2CF3, propyl, isopropyl, butyl, isobutyl, secbutyl, t- butyl, pentyl, isopentyl, neopentyl, hexyl, isohexyl, 3-methylpentyl, 2,2-dimethylbutyl, or 2,3- dimethylbutyl. The term includes both substituted and unsubstituted alkyl groups, including halogenated alkyl groups. In certain embodiments, the alkyl group is a fluorinated alkyl group. Non-limiting examples of moieties with which the alkyl group can be substituted include halogen (fluoro, chloro, bromo or iodo), oxo, epoxy, hydroxyl, carbonyl, cycloalkyl, aralkyl, sulfanyl, amino, alkylamino, arylamino, alkoxy, aryloxy, nitro, cyano, sulfonic acid, sulfate, phosphonic acid, phosphate, or phosphonate, either unprotected, or protected as necessary, as known to those skilled in the art, for example, as taught in Greene, et al. , Protective Groups in Organic Synthesis, John Wiley and Sons, Second Edition, 1991 , hereby incorporated by reference.
[0024] The term "lower alkyl," as used herein, and unless otherwise specified, refers to a saturated straight or branched hydrocarbon having one to six carbon atoms, i.e., C\ to C6 alkyl. In certain embodiments, the lower alkyl group is a primary, secondary, or tertiary hydrocarbon. The term includes both substituted and unsubstituted moieties.
[0025] The term "upper alkyl," as used herein, and unless otherwise specified, refers to a saturated straight or branched hydrocarbon having seven to thirty carbon atoms, i.e., C7 to C30 alkyl. In certain embodiments, the upper alkyl group is a primary, secondary, or tertiary hydrocarbon. The term includes both substituted and unsubstituted moieties.
[0026] The term "cycloalkyl," as used herein, unless otherwise specified, refers to a saturated cyclic hydrocarbon. In certain embodiments, the cycloalkyl group may be a saturated, and/or bridged, and/or non-bridged, and/or a fused bicyclic group. In certain embodiments, the cycloalkyl group includes three to ten carbon atoms, i.e., C3 to C10 cycloalkyl. In some embodiments, the cycloalkyl has from 3 to 15 (C3-15), from 3 to 10 (C3-10), or from 3 to 7 (C3_7) carbon atoms. In certain embodiments, the cycloalkyl group is
cyclopropyl, cyclobutyl, cyclopentyl, cyclohexyl, cyclohexylmethyl, cycloheptyl,
bicyclo[2.1.1]hexyl, bicyclo[2.2.1]heptyl, decalinyl or adamantyl. The term includes both substituted and unsubstituted cycloalkyl groups, including halogenated cycloalkyl groups. In certain embodiments, the cycloalkyl group is a fluorinated cycloalkyl group. Non-limiting examples of moieties with which the cycloalkyl group can be substituted include halogen (fluoro, chloro, bromo or iodo), oxo, epoxy, hydroxyl, carbonyl, sulfanyl, amino, alkylamino, arylamino, alkoxy, aryloxy, nitro, cyano, sulfonic acid, sulfate, phosphonic acid, phosphate, or phosphonate, either unprotected, or protected as necessary.
[0027] "Cyclopropylene," as used herein, refers to a divalent cyclopropane group. In
certain embodiments, a cyclopropylene group is of formula
Figure imgf000009_0001
[0028] "Oxiranylene," as used herein, refers to a divalent oxirane group. In certain
embodiments, a oxiranylene group is of formula
Figure imgf000009_0002
[0029] "Alkylene" refers to divalent saturated aliphatic hydrocarbon groups, including those having from one to eleven carbon atoms which can be straight-chained or branched. In certain embodiments, the alkylene group contains 1 to 10 carbon atoms. The term includes both substituted and unsubstituted moieties. This term is exemplified by groups such as methylene (-CH2-), ethylene (-CH2CH2-), the propylene isomers {e.g., -CH2CH2CH2- and - CH(CH3)CH2-) and the like. The term includes halogenated alkylene groups. In certain embodiments, the alkylene group is a fluorinated alkylene group. Non- limiting examples of moieties with which the alkylene group can be substituted include halogen (fluoro, chloro, bromo or iodo), oxo, epoxy, hydroxyl, carbonyl, sulfanyl, amino, alkylamino, alkylaryl, arylamino, alkoxy, aryloxy, nitro, cyano, sulfonic acid, sulfate, phosphonic acid, phosphate, and phosphonate, either unprotected, or protected as necessary.
[0030] "Alkenyl" refers to monovalent olefmically unsaturated hydrocarbon groups, in certain embodiments, having up to about 11 carbon atoms, including from 2 to 8 carbon atoms, or from 2 to 6 carbon atoms, which can be straight-chained or branched and having at least 1 , including from 1 to 2, site of olefmic unsaturation. The term includes both substituted and unsubstituted moieties. Exemplary alkenyl groups include ethenyl (i.e., vinyl, or -CH=CH2), n-propenyl (-CH2CH=CH2), isopropenyl (-C(CH3)=CH2), and the like. The term includes halogenated alkenyl groups. In certain embodiments, the alkenyl group is a fluorinated alkenyl group. Non-limiting examples of moieties with which the alkenyl group can be substituted include halogen (fluoro, chloro, bromo or iodo), oxo, epoxy, hydroxyl, carbonyl, sulfanyl, amino, alkylamino, arylamino, alkoxy, aryloxy, nitro, cyano, sulfonic acid, sulfate, phosphonic acid, phosphate, or phosphonate, either unprotected, or protected as necessary.
[0031] The term "cycloalkenyl," as used herein, unless otherwise specified, refers to an unsaturated cyclic hydrocarbon. In certain embodiments, cycloalkenyl refers to mono- or multicyclic ring systems that include at least one double bond. In certain embodiments, the cycloalkenyl group may be a bridged, non-bridged, and/or a fused bicyclic group. In certain embodiments, the cycloalkyl group includes at least three carbon atoms, including three to ten carbon atoms, i.e., C3 to C10 cycloalkyl. In some embodiments, the cycloalkenyl has from 3 to 10 (C3-10), or from 4 to 7 (C4-7) carbon atoms. The term includes both substituted and unsubstituted cycloalkenyl groups, including halogenated cycloalkenyl groups. In certain embodiments, the cycloalkenyl group is a fluorinated cycloalkenyl group. Non- limiting examples of moieties with which the cycloalkenyl group can be substituted include halogen (fluoro, chloro, bromo or iodo), oxo, epoxy, hydroxyl, carbonyl, sulfanyl, amino, alkylamino, arylamino, alkoxy, aryloxy, nitro, cyano, sulfonic acid, sulfate, phosphonic acid, phosphate, or phosphonate, either unprotected, or protected as necessary.
[0032] "Alkenylene" refers to divalent olefmically unsaturated hydrocarbon groups, in certain embodiments, having up to about 11 carbon atoms or from 2 to 6 carbon atoms which can be straight-chained or branched and having at least 1 or from 1 to 2 sites of olefmic unsaturation. This term is exemplified by groups such as ethenylene (-CH=CH-), the propenylene isomers (e.g., -CH=CHCH2- and -C(CH3)=CH- and -CH=C(CH3)-) and the like. The term includes both substituted and unsubstituted alkenylene groups, including halogenated alkenylene groups. In certain embodiments, the alkenylene group is a fluorinated alkenylene group. Non-limiting examples of moieties with which the alkenylene group can be substituted include halogen (fluoro, chloro, bromo or iodo), oxo, epoxy, hydroxyl, carbonyl, sulfanyl, amino, alkylamino, arylamino, alkoxy, aryloxy, nitro, cyano, sulfonic acid, sulfate, phosphonic acid, phosphate, or phosphonate, either unprotected, or protected as necessary.
[0033] "Alkynyl" refers to acetylenically unsaturated hydrocarbon groups, in certain embodiments, having up to about 11 carbon atoms or from 2 to 6 carbon atoms which can be straight-chained or branched and having at least 1 or from 1 to 2 sites of alkynyl unsaturation. Non-limiting examples of alkynyl groups include acetylenic, ethynyl (-C≡CH), propargyl (-CH2C≡CH), and the like. The term includes both substituted and unsubstituted alkynyl groups, including halogenated alkynyl groups. In certain embodiments, the alkynyl group is a fluorinated alkynyl group. Non- limiting examples of moieties with which the alkynyl group can be substituted include halogen (fluoro, chloro, bromo or iodo), oxo, epoxy, hydroxyl, carbonyl, sulfanyl, amino, alkylamino, arylamino, alkoxy, aryloxy, nitro, cyano, sulfonic acid, sulfate, phosphonic acid, phosphate, or phosphonate, either unprotected, or protected as necessary.
[0034] The term "aryl," as used herein, and unless otherwise specified, refers to a substituent derived from an aromatic ring. In an embodiment, an aryl group is a C6-Ci2 aryl group. In an embodiment, an aryl group is phenyl, biphenyl or naphthyl. The term includes both substituted and unsubstituted moieties. An aryl group can be substituted with any described moiety, including, but not limited to, one or more moieties selected from the group halogen (fluoro, chloro, bromo or iodo), alkyl, haloalkyl, hydroxyl, amino, alkylamino, arylamino, alkoxy, aryloxy, nitro, cyano, sulfonic acid, sulfate, phosphonic acid, phosphate, or phosphonate, either unprotected, or protected as necessary, as known to those skilled in the art, for example, as taught in Greene, et al. , Protective Groups in Organic Synthesis, John Wiley and Sons, Second Edition, 1991.
[0035] "Alkoxy" and "alkoxyl" refer to the group -OR' where R' is alkyl or cycloalkyl as defined herein. Alkoxy and alkoxyl groups include, by way of example, methoxy, ethoxy, n- propoxy, isopropoxy, n-butoxy, tert-butoxy, sec-butoxy, n-pentoxy, n-hexoxy, 1 ,2- dimethylbutoxy, and the like. [0036] "Alkylcarbonyloxy" refers to a radical -0-C(0)-alkyl, wherein alkyl is as defined herein.
[0037] "Alkoxylcarbonyl" refers to a radical -C(0)-alkoxyl where alkoxyl is as defined herein.
[0038] "Alkoxylalkylcarbonyl" refers to a radical -C(0)-alkyl-alkoxyl where alkoxyl and alkyl are as defined herein.
[0039] "Alkoxylcarbonylalkyl" refers to a radical -alkyl-C(0)-alkoxyl where alkoxyl and alkyl are as defined herein.
[0040] "Alkoxylcarbonylamino" refers to a radical -amino-C(0)-alkoxyl where alkoxyl and amino are as defined herein.
[0041] As used herein, "alkylcarbonylthioalkyl" refers to a radical -alkyl-S-C(0)-alkyl, where alkyl is as defined herein.
[0042] As used herein, "(alkoxylcarbonyl)(alkoxylcarbonylamino)alkyl" refers to an alkyl radical substituted with both an alkoxylcarbonyl and an alkoxylcarbonylamino group, where "alkoxylcarbonyl" and "alkoxylcarbonylamino" are as described herein. In an embodiment, the
AA
|-(CH2)n— CH
term refers to a radical of formula A? wherein n is an integer selected over the range of 1-10, AA is -C(O)-O-R10°, AN is -NH-C(0)-0-R101, and each of R100 and R101 is independently lower alkyl. In an embodiment, each of R100 and R101 is independently C1-C5 alkyl.
[0043] "Amino" refers to the group -NRrR2 or -NR1'-, wherein R1' and R2' are
independently hydrogen, alkyl, alkenyl, alkynyl, cycloalkyl, heterocyclic, aryl, or heteroaryl, each of which is as defined herein.
[0044] The term "alkylamino" or "arylamino" refers to an amino group that has one or two alkyl or aryl substituents, respectively. In certain embodiments, the alkyl substituent is an upper alkyl. In certain embodiments, the alkyl substituent is a lower alkyl. In another embodiment, the alkyl, upper alkyl, or lower alkyl is unsubstituted.
[0045] "Oxo" refers to the group =0.
[0046] "Epoxy" refers to an oxygen atom bonded to two carbon atoms, where the two carbon atoms are also bonded to each other. [0047] "Amino alcohol" refers to the radical -NHLOH, wherein L is alkylene.
[0048] "Carboxyl" or "carboxy" refers to the radical -C(0)OH.
[0049] "Halogen" or "halo" refers to chloro, bromo, fluoro, or iodo.
[0050] "Monoalkylamino" refers to the group -NR'-alkyl, wherein R' is selected from hydrogen, alkyl, and cycloalkyl.
[0051] "Thioalkoxyl" refers to the group -SR' where R' is alkyl or cycloalkyl.
[0052] The term "heterocyclo" or "heterocyclic" refers to a monovalent monocyclic non- aromatic ring system and/or multicyclic ring system that contains at least one non-aromatic ring, wherein one or more of the non-aromatic ring atoms are heteroatoms independently selected from O, S, or N; and the remaining ring atoms are carbon atoms. In certain embodiments, the heterocyclo or heterocyclic group has from 3 to 20, from 3 to 15, from 3 to 10, from 3 to 8, from 4 to 7, or from 5 to 6 ring atoms. Heterocyclo groups are bonded to the rest of the molecule through the non-aromatic ring. In certain embodiments, the heterocyclo is a monocyclic, bicyclic, tricyclic, or tetracyclic ring system, which may include a fused or bridged ring system, and in which the nitrogen or sulfur atoms may be optionally oxidized, the nitrogen atoms may be optionally quaternized, and some rings may be partially or fully saturated, or aromatic. The heterocyclo may be attached to the main structure at any heteroatom or carbon atom which results in the creation of a stable compound. Examples of such heterocyclic radicals include, but are not limited to, azepinyl, benzodioxanyl,
benzodioxolyl, benzofuranonyl, benzopyranonyl, benzopyranyl, benzotetrahydrofuranyl, benzotetrahydrothienyl, benzothiopyranyl, benzoxazinyl, β-carbolinyl, chromanyl, chromonyl, cinnolinyl, coumarinyl, decahydroisoquinolinyl, dihydrobenzisothiazinyl,
dihydrobenzisoxazinyl, dihydrofuryl, dihydroisoindolyl, dihydropyranyl, dihydropyrazolyl, dihydropyrazinyl, dihydropyridinyl, dihydropyrimidinyl, dihydropyrrolyl, dioxolanyl, 1 ,4- dithianyl, furanonyl, imidazolidinyl, imidazolinyl, indolinyl, isobenzotetrahydrofuranyl, isobenzotetrahydrothienyl, isochromanyl, isocoumarinyl, isoindolinyl, isothiazolidinyl, isoxazolidinyl, morpholinyl, octahydroindolyl, octahydroisoindolyl, oxazolidinonyl, oxazolidinyl, oxiranyl, piperazinyl, piperidinyl, 4-piperidonyl, pyrazolidinyl, pyrazolinyl, pyrrolidinyl, pyrrolinyl, quinuclidinyl, tetrahydrofuryl, tetrahydroisoquinolinyl,
tetrahydropyranyl, tetrahydrothienyl, thiamorpholinyl, thiazolidinyl, tetrahydroquinolinyl, and 1,3,5-trithianyl. In certain embodiments, heterocyclic may also be optionally substituted as described herein. Non-limiting examples of moieties with which the heterocyclic group can be substituted include halogen (fluoro, chloro, bromo or iodo), oxo, epoxy, hydroxyl, carbonyl, alkoxycarbonyl, alkoxycarbonylalkyl, sulfanyl, amino, alkylamino, arylamino, alkoxy, aryloxy, nitro, cyano, sulfonic acid, sulfate, phosphonic acid, phosphate, or phosphonate, either unprotected, or protected as necessary.
[0053] The term "heteroaryl" refers to a monovalent monocyclic aromatic group and/or multicyclic aromatic group that contain at least one aromatic ring, wherein at least one aromatic ring contains one or more heteroatoms independently selected from O, S and N in the ring. Heteroaryl groups are bonded to the rest of the molecule through the aromatic ring. Each ring of a heteroaryl group can contain one or two O atoms, one or two S atoms, and/or one to four N atoms, provided that the total number of heteroatoms in each ring is four or less and each ring contains at least one carbon atom. In certain embodiments, the heteroaryl has from 5 to 20, from 5 to 15, or from 5 to 10 ring atoms. Examples of monocyclic heteroaryl groups include, but are not limited to, furanyl, imidazolyl, isothiazolyl, isoxazolyl, oxadiazolyl, oxadiazolyl, oxazolyl, pyrazinyl, pyrazolyl, pyridazinyl, pyridyl, pyrimidinyl, pyrrolyl, thiadiazolyl, thiazolyl, thienyl, tetrazolyl, triazinyl and triazolyl. Examples of bicyclic heteroaryl groups include, but are not limited to, benzofuranyl, benzimidazolyl,
benzoisoxazolyl, benzopyranyl, benzothiadiazolyl, benzothiazolyl, benzothienyl,
benzotriazolyl, benzoxazolyl, furopyridyl, imidazopyridinyl, imidazothiazolyl, indolizinyl, indolyl, indazolyl, isobenzofuranyl, isobenzothienyl, isoindolyl, isoquinolinyl, isothiazolyl, naphthyridinyl, oxazolopyridinyl, phthalazinyl, pteridinyl, purinyl, pyridopyridyl,
pyrrolopyridyl, quinolinyl, quinoxalinyl, quinazolinyl, thiadiazolopyrimidyl, and thienopyridyl. Examples of tricyclic heteroaryl groups include, but are not limited to, acridinyl, benzindolyl, carbazolyl, dibenzofuranyl, perimidinyl, phenanthrolinyl, phenanthridinyl, phenarsazinyl, phenazinyl, phenothiazinyl, phenoxazinyl and xanthenyl. In certain embodiments, heteroaryl may also be optionally substituted as described herein.
[0054] The term "alkylaryl" refers to an aryl group with an alkyl substituent, wherein aryl and alkyl are as defined herein. The term "aralkyl" or "arylalkyl" refers to an alkyl group with an aryl substituent, wherein aryl and alkyl are as defined herein.
[0055] The term "alkylheterocyclo" refers to a heterocyclo group with an alkyl substituent. The term "heterocycloalkyl" refers to an alkyl group with a heterocyclo substituent.
[0056] The term "alkylheteroaryl" refers to a heteroaryl group with an alkyl substituent. The term "heteroarylalkyl" refers to an alkyl group with a heteroaryl substituent. [0057] As used herein, the term "hydantoinyl" refers to the group
Figure imgf000015_0001
, where
R and R are each independently hydrogen or lower alkyl.
[0058] As used herein, the term "hydantoinylalkyl" refers to the group -alkyl -hydantoinyl, where alkyl and hydantoinyl are as described herein.
[0059] The term "protecting group" as used herein and unless otherwise defined refers to a group that is added to an oxygen, nitrogen or phosphorus atom to prevent its further reaction or for other purposes. A wide variety of oxygen and nitrogen protecting groups are known to those skilled in the art of organic synthesis.
[0060] "Pharmaceutically acceptable salt" refers to any salt of a compound provided herein which retains its biological properties and which is not toxic or otherwise undesirable for pharmaceutical use. Such salts may be derived from a variety of organic and inorganic counter- ions well known in the art. Such salts include, but are not limited to: (1) acid addition salts formed with organic or inorganic acids such as hydrochloric, hydrobromic, sulfuric, nitric, phosphoric, sulfamic, acetic, trifluoroacetic, trichloroacetic, propionic, hexanoic,
cyclopentylpropionic, glycolic, glutaric, pyruvic, lactic, malonic, succinic, sorbic, ascorbic, malic, maleic, fumaric, tartaric, citric, benzoic, 3-(4-hydroxybenzoyl)benzoic, picric, cinnamic, mandelic, phthalic, lauric, methanesulfonic, ethanesulfonic, 1 ,2-ethane-disulfonic, 2- hydroxyethanesulfonic, benzenesulfonic, 4-chlorobenzenesulfonic, 2-naphthalenesulfonic, 4- toluenesulfonic, camphoric, camphorsulfonic, 4-methylbicyclo[2.2.2]-oct-2-ene-l-carboxylic, glucoheptonic, 3-phenylpropionic, trimethylacetic, tert-butylacetic, lauryl sulfuric, gluconic, benzoic, glutamic, hydroxynaphthoic, salicylic, stearic, cyclohexylsulfamic, quinic, muconic acid and the like acids; or (2) base addition salts formed when an acidic proton present in the parent compound either (a) is replaced by a metal ion, e.g., an alkali metal ion, an alkaline earth ion or an aluminum ion, or alkali metal or alkaline earth metal hydroxides, such as sodium, potassium, calcium, magnesium, aluminum, lithium, zinc, and barium hydroxide, ammonia or (b) coordinates with an organic base, such as aliphatic, alicyclic, or aromatic organic amines, such as ammonia, methylamine, dimethylamine, diethylamine, picoline, ethanolamine, diethanolamine, triethanolamine, ethylenediamine, lysine, arginine, ornithine, choline, Ν,Ν'-dibenzylethylene-diamine, chloroprocaine, diethanolamine, procaine, N- benzylphenethylamine, N-methylglucamine piperazine, tris(hydroxymethyl)-aminomethane, tetramethylammonium hydroxide, and the like.
[0061] Pharmaceutically acceptable salts further include, by way of example only and without limitation, sodium, potassium, calcium, magnesium, ammonium, tetraalkylammonium and the like, and when the compound contains a basic functionality, salts of non-toxic organic or inorganic acids, such as hydrohalides, e.g. hydrochloride and hydrobromide, sulfate, phosphate, sulfamate, nitrate, acetate, trifluoroacetate, trichloroacetate, propionate, hexanoate, cyclopentylpropionate, glycolate, glutarate, pyruvate, lactate, malonate, succinate, sorbate, ascorbate, malate, maleate, fumarate, tartarate, citrate, benzoate, 3-(4- hydroxybenzoyl)benzoate, picrate, cinnamate, mandelate, phthalate, laurate, methanesulfonate (mesylate), ethanesulfonate, 1 ,2-ethane-disulfonate, 2-hydroxyethanesulfonate,
benzenesulfonate (besylate), 4-chlorobenzenesulfonate, 2-naphthalenesulfonate, 4- toluenesulfonate, camphorate, camphorsulfonate, 4-methylbicyclo[2.2.2]-oct-2-ene-l- carboxylate, glucoheptonate, 3-phenylpropionate, trimethylacetate, tert-butyl acetate, lauryl sulfate, gluconate, benzoate, glutamate, hydroxynaphthoate, salicylate, stearate,
cyclohexylsulfamate, quinate, muconate and the like.
[0062] As used herein, the term "nucleobase" refers to the base portion of a nucleoside or nucleotide. In certain embodiments, a nucleobase is a purine or pyrimidine base, as defined herein.
[0063] The term "purine" or "pyrimidine" base refers to, but is not limited to, adenine, N6- alkylpurines, N6-acylpurines (wherein acyl is C(0)(alkyl, aryl, alkylaryl, or arylalkyl), N6- benzylpurine, N6-halopurine, N6-vinylpurine, N6-acetylenic purine, N6-acyl purine,
N6-hydroxyalkyl purine, N6-alkylaminopurine, N6-thioalkyl purine, N2-alkylpurines, N2-alkyl- 6-thiopurines, thymine, cytosine, 5-fluorocytosine, 5-methylcytosine, 6-azapyrimidine, including 6-azacytosine, 2- and/or 4-mercaptopyrmidine, uracil, 5-halouracil, including 5-fluorouracil, C5-alkylpyrimidines, C5-benzylpyrimidines, C5-halopyrimidines,
C5-vinylpyrimidine, C5-acetylenic pyrimidine, C5-acyl pyrimidine, C5 -hydroxyalkyl purine, C5- amidopyrimidine, C5-cyanopyrimidine, C5-iodopyrimidine, C6-iodo-pyrimidine, C5-Br-vinyl pyrimidine, C6-Br-vinyl pyrimidine, C5-nitropyrimidine, C5-amino-pyrimidine, N2- alkylpurines, N -alkyl-6-thiopurines, 5-azacytidinyl, 5-azauracilyl, triazolopyridinyl, imidazolopyridinyl, pyrrolopyrimidinyl, pyrrolotriazine, and pyrazolopyrimidinyl. Purine bases include, but are not limited to, guanine, adenine, hypoxanthine, 7-deazaguanine, 7-fluoro-7- deazaguanine, 7-deazaadenine, 7-fluoro-7-deazaadenine, 2,6-diaminopurine, 2-amino-6- chloropurine, 6-ethoxypurine, 6-methoxylpurine and 6-chloropurine. Functional oxygen and nitrogen groups on the base can be protected as necessary or desired. Suitable protecting groups are well known to those skilled in the art, and include trimethylsilyl,
dimethylhexylsilyl, t-butyldimethylsilyl, and t-butyldiphenylsilyl, trityl, alkyl groups, and acyl groups such as acetyl and propionyl, methanesulfonyl, and p-toluenesulfonyl.
[0064] The term "acyl" or "O-linked ester" refers to a group of the formula C(0)R', wherein R' is alkyl or cycloalkyl (including lower alkyl), carboxylate reside of amino acid, aryl including phenyl, alkaryl, arylalkyl including benzyl, alkoxyalkyl including methoxymethyl, aryloxyalkyl such as phenoxymethyl; or substituted alkyl (including lower alkyl), aryl including phenyl optionally substituted with chloro, bromo, fluoro, iodo, Ci to C4 alkyl, or Ci to C4 alkoxy, sulfonate esters such as alkyl or arylalkyl sulphonyl including methanesulfonyl, the mono, di or triphosphate ester, trityl or monomethoxy-trityl, substituted benzyl, alkaryl, arylalkyl including benzyl, alkoxyalkyl including methoxymethyl, aryloxyalkyl such as phenoxymethyl. Aryl groups in the esters optimally comprise a phenyl group. In particular, acyl groups include acetyl, trifluoroacetyl, methylacetyl, cyclpropylacetyl, propionyl, butyryl, hexanoyl, heptanoyl, octanoyl, neo-heptanoyl, phenylacetyl, 2-acetoxy-2-phenylacetyl, diphenylacetyl, α-methoxy-a-trifluoromethyl-phenylacetyl, bromoacetyl, 2-nitro- benzeneacetyl, 4-chloro-benzeneacetyl, 2-chloro-2,2-diphenylacetyl, 2-chloro-2 -phenylacetyl, trimethylacetyl, chlorodifluoroacetyl, perfluoroacetyl, fluoroacetyl, bromodifluoroacetyl, methoxyacetyl, 2-thiopheneacetyl, chlorosulfonyl acetyl, 3-methoxyphenylacetyl,
phenoxyacetyl, tert-butylacetyl, trichloroacetyl, monochloro-acetyl, dichloroacetyl, 7H- dodecafluoro-heptanoyl, perfluoro-heptanoyl, 7H-dodeca-fluoroheptanoyl, 7- chlorododecafluoro-heptanoyl, 7-chloro-dodecafluoro-heptanoyl, 7H-dodecafluoroheptanoyl, 7H-dodeca-fluoroheptanoyl, nona-fluoro-3 ,6-dioxa-heptanoyl, nonafluoro-3 ,6-dioxaheptanoyl, perfluoroheptanoyl, methoxybenzoyl, methyl 3-amino-5-phenylthiophene-2-carboxyl, 3,6- dichloro-2-methoxy-benzoyl, 4-(l , 1 ,2,2-tetrafluoro-ethoxy)-benzoyl, 2-bromo-propionyl, omega-aminocapryl, decanoyl, n-pentadecanoyl, stearyl, 3-cyclopentyl-propionyl, 1-benzene- carboxyl, O-acetylmandelyl, pivaloyl acetyl, 1-adamantane-carboxyl, cyclohexane-carboxyl, 2,6-pyridinedicarboxyl, cyclopropane-carboxyl, cyclobutane-carboxyl, perfluorocyclohexyl carboxyl, 4-methylbenzoyl, chloromethyl isoxazolyl carbonyl, perfluorocyclohexyl carboxyl, crotonyl, 1 -methyl- lH-indazole-3 -carbonyl, 2-propenyl, isovaleryl, 1-pyrrolidinecarbonyl, 4- phenylbenzoyl. [0065] The term "amino acid" refers to naturally occurring and synthetic α, β, γ, or δ amino acids, and includes but is not limited to, amino acids found in proteins, i.e. glycine, alanine, valine, leucine, isoleucine, methionine, phenylalanine, tryptophan, proline, serine, threonine, cysteine, tyrosine, asparagine, glutamine, aspartate, glutamate, lysine, arginine and histidine. In certain embodiments, the amino acid is in the L-configuration. In certain embodiments, the amino acid is in the D-configuration. In certain embodiments, the amino acid is provided as a substituent of a compound described herein, wherein the amino acid is a residue selected from alanyl, valinyl, leucinyl, isoleuccinyl, prolinyl, phenylalaninyl, tryptophanyl, methioninyl, glycinyl, serinyl, threoninyl, cysteinyl, tyrosinyl, asparaginyl, glutaminyl, aspartoyl, glutaroyl, lysinyl, argininyl, histidinyl, β-alanyl, β-valinyl, β-leucinyl, β- isoleuccinyl, β-prolinyl, β-phenylalaninyl, β-tryptophanyl, β-methioninyl, β-glycinyl, β- serinyl, β-threoninyl, β-cysteinyl, β-tyrosinyl, β-asparaginyl, β-glutaminyl, β-aspartoyl, β- glutaroyl, β-lysinyl, β-argininyl, or β-histidinyl.
[0066] The term "amino acid derivative" refers to a group derivable from a naturally or non-naturally occurring amino acid, as described and exemplified herein. Amino acid derivatives are apparent to those of skill in the art and include, but are not limited to, ester, amino alcohol, amino aldehyde, amino lactone, and N-methyl derivatives of naturally and non-naturally occurring amino acids. In an embodiment, an amino acid derivative is provided as a substituent of a compound described herein, wherein the substituent is -NRX-
Figure imgf000018_0001
wherein Q1 is -SRY, -NRYRY, or alkoxyl, RY is hydrogen or alkyl, Sc is a side chain of a naturally occurring or non-naturally occurring amino acid, G is C1-C2 alkylene, and Rx is hydrogen or Rx and Sc, together with the atoms to which they are attached, combine to form a five-membered heterocyclic ring. In an embodiment, an amino acid derivative is provided as a substituent of a compound described herein, wherein the
2 2
substituent is -0-C(0)-G(Sc)-NH-Q , wherein Q is hydrogen or alkoxyl, Sc is a side chain of a naturally occurring or non-naturally occurring amino acid and G is C1-C2 alkylene. In certain embodiments, Q and Sc, together with the atoms to which they are attached, combine to form a five-membered heterocyclic ring. In certain embodiments, G is Ci alkylene and Sc is hydrogen, alkyl, arylalkyl, heterocycloalkyl, carboxylalkyl, heteroarylalkyl, aminoalkyl, hydroxylalkyl, aminoiminoaminoalkyl, aminocarbonylalkyl, sulfanylalkyl, carbamoylalkyl, alkylsulfanylalkyl, or hydroxylarylalkyl. In an embodiment, an amino acid derivative is provided as a substituent of a compound described herein, wherein the amino acid derivative is in the D-configuration. In an embodiment, an amino acid derivative is provided as a substituent of a compound described herein, wherein the amino acid derivative is in the L- configuration.
[0067] As used herein, the term "aminoalkyl" refers to an alkyl group with an amino substituent, where alkyl and amino are as described herein.
[0068] As used herein, the terms "hydroxylalkyl" and "hydroxyalkyl" refer to an alkyl group with a hydroxyl substituent, where alkyl is as described herein.
[0069] As used herein, the term "carboxylalkyl" refers to the group -alkyl-C(0)OH, where alkyl is as described herein.
[0070] As used herein, the term "aminoiminoaminoalkyl" refers to the group -alkyl- amino-C(NH)-amino, where alkyl and amino are as described herein.
[0071] As used herein, the term "aminocarbonylalkyl" refers to the group -alkyl-C(O)- amino, where alkyl and amino are as described herein.
[0072] As used herein, the term "sulfanylalkyl" refers to the group -alkyl-SH, where alkyl is as described herein.
[0073] As used herein, the term "carbamoylalkyl" refers to the group -alkyl-C(O)- amino, where alkyl and amino are as described herein.
[0074] As used herein, the term "alkylsulfanylalkyl" refers to the group -alkyl-S-alkyl, where alkyl is as described herein.
[0075] As used herein, the term "hydroxylarylalkyl" refers to the group -alkyl-aryl-OH, where alkyl and aryl are as described herein.
[0076] As used herein when referring to a substituent on a sugar ring of a nucleoside, the term "alpha" refers to a substituent on the same side of the plane of the sugar ring as the 5' carbon and the term "beta" refers to a substituent on the opposite side of the plane of the sugar ring from the 5' carbon. As shown below, substituent "A" is in the "alpha" position, and substituent "B" is in the "beta" position with respect to the 5' carbon:
"alpha"
"beta"
Figure imgf000019_0001
[0077] The term "substantially free of or "substantially in the absence of," when used in connection with an article (including, but not limited to, a compound, a salt thereof, a solvate thereof, a solid form thereof, and the like), refers to the article that includes at least 85% or 90% by weight, in certain embodiments, 95%, 98%, 99%, or 100% by weight, of the designated article. For example, the term "substantially free of or "substantially in the absence of with respect to a nucleoside composition can refer to a nucleoside composition that includes at least 85% or 90%> by weight, in certain embodiments, 95%, 98%>, 99%, or 100%) by weight, of the designated stereoisomer of that nucleoside. In certain embodiments, in the methods and compounds provided herein, the compounds are substantially free of undesignated stereoisomers or other compounds. For another example, the term
"substantially free of or "substantially in the absence of with respect to a solid form can refer to a solid form that includes at least 85% or 90% by weight, in certain embodiments, 95%), 98%), 99%), or 100% by weight, of the designated solid form. In certain embodiments, in the methods and compounds provided herein, the solid form is substantially free of other solid forms.
[0078] Similarly, the term "isolated" with respect to a nucleoside composition refers to a nucleoside composition that includes at least 85%, 90%, 95%, 98%, or 99% to 100% by weight, of the nucleoside, the remainder comprising other chemical species or stereoisomers. Similarly, the term "isolated" with respect to a solid form of a compound refers to a solid that includes at least 85%, 90%, 95%, 98%, or 99% to 100% by weight, of such solid form of the compound, the remainder comprising other solid forms of the compound, other compounds, solvents, and/or other impurities.
[0079] "Solvate" refers to a compound provided herein or a salt thereof, that further includes a stoichiometric or non-stoichiometric amount of solvent bound by non-covalent intermolecular forces. Where the solvent is water, the solvate is a hydrate.
[0080] "Isotopic composition" refers to the amount of each isotope present for a given atom, and "natural isotopic composition" refers to the naturally occurring isotopic composition or abundance for a given atom. Atoms containing their natural isotopic composition may also be referred to herein as "non-enriched" atoms. Unless otherwise designated, the atoms of the compounds recited herein are meant to represent any stable isotope of that atom. For example, unless otherwise stated, when a position is designated specifically as "FT or "hydrogen," the position is understood to have hydrogen at its natural isotopic composition. [0081] "Isotopic enrichment" refers to the percentage of incorporation of an amount of a specific isotope at a given atom in a molecule in the place of that atom's natural isotopic abundance. For example, deuterium enrichment of 1% at a given position means that 1% of the molecules in a given sample contain deuterium at the specified position. Because the naturally occurring distribution of deuterium is about 0.0156%, deuterium enrichment at any position in a compound synthesized using non-enriched starting materials is about 0.0156%). The isotopic enrichment of the compounds provided herein can be determined using conventional analytical methods known to one of ordinary skill in the art, including mass spectrometry and nuclear magnetic resonance spectroscopy.
[0082] "Isotopically enriched" refers to an atom having an isotopic composition other than the natural isotopic composition of that atom. "Isotopically enriched" may also refer to a compound containing at least one atom having an isotopic composition other than the natural isotopic composition of that atom.
[0083] As used herein, "alkyl," "cycloalkyl," "alkenyl," "cycloalkenyl," "alkynyl," "aryl," "alkoxy," "alkoxycarbonyl," "alkoxycarbonylalkyl," "amino," "carboxyl," "alkylamino," "arylamino," "thioalkyoxy," "heterocyclo," "heteroaryl," "alkylheterocyclo,"
"alkylheteroaryl," "acyl," "aralkyl," "alkaryl," "purine," "pyrimidine," "carboxyl," and "amino acid" groups optionally comprise deuterium at one or more positions where hydrogen atoms are present, and wherein the deuterium composition of the atom or atoms is other than the natural isotopic composition.
[0084] Also as used herein, "alkyl," "cycloalkyl," "alkenyl," "cycloalkenyl," "alkynyl," "aryl," "alkoxy," "alkoxycarbonyl," "alkoxycarbonylalkyl," "carboxyl," "alkylamino," "arylamino," "thioalkyoxy," "heterocyclo," "heteroaryl," "alkylheterocyclo,"
"alkylheteroaryl," "acyl," "aralkyl," "alkaryl," "purine," "pyrimidine," "carboxyl," and "amino acid" groups optionally comprise carbon- 13 at an amount other than the natural isotopic composition.
[0085] As used herein, EC50 refers to a dosage, concentration or amount of a particular test compound that elicits a dose-dependent response at 50% of maximal expression of a particular response that is induced, provoked or potentiated by the particular test compound.
[0086] As used herein, the IC50 refers to an amount, concentration or dosage of a particular test compound that achieves a 50% inhibition of a maximal response in an assay that measures such response. [0087] The term "host," as used herein, refers to any unicellular or multicellular organism in which the virus can replicate, including cell lines and animals, and in certain embodiments, a human. Alternatively, the host can be carrying a part of the Flaviviridae viral genome, whose replication or function can be altered by the compounds of the present invention. The term host specifically includes infected cells, cells transfected with all or part of the Flaviviridae genome and animals, in particular, primates (including chimpanzees) and humans. In most animal applications of the present invention, the host is a human patient. Veterinary applications, in certain indications, however, are clearly anticipated by the present invention (such as chimpanzees).
[0088] As used herein, the terms "subject" and "patient" are used interchangeably herein. The terms "subject" and "subjects" refer to an animal, such as a mammal including a non- primate {e.g., a cow, pig, horse, cat, dog, rat, and mouse) and a primate {e.g., a monkey such as a cynomolgous monkey, a chimpanzee and a human), and for example, a human. In certain embodiments, the subject is refractory or non-responsive to current treatments for hepatitis C infection. In another embodiment, the subject is a farm animal {e.g., a horse, a cow, a pig, etc.) or a pet {e.g., a dog or a cat). In certain embodiments, the subject is a human.
[0089] As used herein, the terms "therapeutic agent" and "therapeutic agents" refer to any agent(s) which can be used in the treatment or prevention of a disorder or one or more symptoms thereof. In certain embodiments, the term "therapeutic agent" includes a compound provided herein. In certain embodiments, a therapeutic agent is an agent which is known to be useful for, or has been or is currently being used for the treatment or prevention of a disorder or one or more symptoms thereof.
[0090] "Therapeutically effective amount" refers to an amount of a compound or composition that, when administered to a subject for treating a disease, is sufficient to effect such treatment for the disease. A "therapeutically effective amount" can vary depending on, inter alia, the compound, the disease and its severity, and the age, weight, etc., of the subject to be treated.
[0091] "Treating" or "treatment" of any disease or disorder refers, in certain embodiments, to ameliorating a disease or disorder that exists in a subject. In another embodiment, "treating" or "treatment" includes ameliorating at least one physical parameter, which may be
indiscernible by the subject. In yet another embodiment, "treating" or "treatment" includes modulating the disease or disorder, either physically {e.g., stabilization of a discernible symptom) or physiologically (e.g., stabilization of a physical parameter) or both. In yet another embodiment, "treating" or "treatment" includes delaying the onset of the disease or disorder.
[0092] As used herein, the terms "prophylactic agent" and "prophylactic agents" as used refer to any agent(s) which can be used in the prevention of a disorder or one or more symptoms thereof. In certain embodiments, the term "prophylactic agent" includes a compound provided herein. In certain other embodiments, the term "prophylactic agent" does not refer a compound provided herein. For example, a prophylactic agent is an agent which is known to be useful for, or has been or is currently being used to prevent or impede the onset, development, progression and/or severity of a disorder.
[0093] As used herein, the phrase "prophylactically effective amount" refers to the amount of a therapy (e.g. , prophylactic agent) which is sufficient to result in the prevention or reduction of the development, recurrence or onset of one or more symptoms associated with a disorder, or to enhance or improve the prophylactic effect(s) of another therapy (e.g., another prophylactic agent).
Compounds
[0094] Provided herein are D-alanine thiophosphoramidate pronucleotides of nucleoside compounds useful for the treatment of Flaviviridae infections such as HCV infection. The D- alanine thiophosphoramidate pronucleotides of nucleoside compounds can be formed as described herein and used for the treatment of Flaviviridae infections such as HCV infection.
[0095] In certain embodiments, provided herein are compounds according to Formula AI:
Figure imgf000023_0001
(AI);
or a pharmaceutically acceptable salt, solvate, stereoisomeric form, tautomeric form or polymorphic form thereof, wherein: RA is hydrogen, hydroxyl, methyl or halo; RB is hydrogen, hydroxyl, halo, cyano, azido, amino, or ethynyl; R is hydrogen; R is hydrogen or hydroxyl; RE is hydrogen or halo; or, in the alternative, RB and RE join to form alkylene or heteroalkylene; Base is a nucleobase; Ar is aryl; and R is hydrogen or alkyl.
[0096] In certain embodiments, provided herein are compounds according to Formula I:
Figure imgf000024_0001
or a pharmaceutically acceptable salt, solvate, stereoisomeric form, tautomeric form or polymorphic form thereof, wherein: RA is hydrogen, hydroxyl, methyl or halo; RB is hydrogen, hydroxyl, halo, cyano, azido or amino; Rc is hydrogen; RD is hydrogen or hydroxyl; RE is hydrogen or halo; or, in the alternative, RB and RE join to form alkylene or heteroalkylene; Base is a nucleobase; Ar is aryl; and R is hydrogen or alkyl.
[0097] In certain embodiments, provided are compounds of Formula I or AI wherein R is lower alkyl. In certain embodiments, provided are compounds of Formula I or AI wherein R is lower alkyl and Ar is phenyl. In certain embodiments, provided are compounds of Formula I or AI wherein R is lower alkyl; Ar is phenyl; and Base is guanosine, 6-deoxyguanosine (2- aminopurine), 6-methoxyguanosine (6-methoxy-2-aminopurine), 6-ethoxyguanosine (6- ethoxy-2-aminopurine), adenine, thymine, cytosine, uracil, 5-fluoro-uracil or 2,6- diaminopurine.
[0098] In certain embodiments, provided herein are compounds according to Formula Ala or Alb:
Figure imgf000024_0002
(Ala); (Alb);
or a pharmaceutically acceptable salt, solvate, stereoisomeric form, tautomeric form or polymorphic form thereof, wherein: RA is hydrogen, hydroxyl, methyl or halo; RB is hydrogen hydroxyl, halo, cyano, azido, amino, or ethynyl; R is hydrogen; R is hydrogen or hydroxyl; RE is hydrogen or halo; or, in the alternative, RB and RE join to form alkylene or
heteroalkylene; Base is a nucleobase; Ar is aryl; and R is hydrogen or alkyl. [0099] In certain embodiments, provided herein are compounds according to Formula la or lb:
Figure imgf000025_0001
or a pharmaceutically acceptable salt, solvate, stereoisomeric form, tautomeric form or polymorphic form thereof, wherein: RA is hydrogen, hydroxyl, methyl or halo; RB is hydrogen hydroxyl, halo, cyano, azido or amino; Rc is hydrogen; RD is hydrogen or hydroxyl; RE is hydrogen or halo; or, in the alternative, RB and RE join to form alkylene or heteroalkylene; Base is a nucleobase; Ar is aryl; and R is hydrogen or alkyl.
[00100] In certain embodiments, provided are compounds of Formula Ala, Alb, Ia or lb wherein R is lower alkyl. In certain embodiments, provided are compounds of Formula Ala, Alb, Ia or lb wherein R is lower alkyl and Ar is phenyl. In certain embodiments, provided are compounds of Formula Ala, Alb, Ia or lb wherein R is lower alkyl; Ar is phenyl; and Base is guanosine, 6-deoxyguanosine, 6-methoxyguanosine, 6-ethoxyguanosine, adenine, thymine, cytosine, uracil, 5-fluoro-uracil or 2,6-diaminopurine.
[00101] In an embodiment, compounds according to Formula Ala, Alb, Ia or lb are provided which are substantially free of corresponding diastereomers and corresponding L- alanine compounds. In an embodiment, a composition is provided which is 85%-100% by weight compounds according to Formula Ala, Alb, Ia or lb and 0%-15% by weight the corresponding diastereomers and/or corresponding L-alanine compounds. In an embodiment, a composition is provided which is 90%- 100% by weight compounds according to Formula Ala, Alb, Ia or lb and 0%>-10%> by weight the corresponding diastereomers and/or
corresponding L-alanine compounds. In an embodiment, a composition is provided which is 95%- 100%) by weight compounds according to Formula Ala, Alb, Ia or lb and 0%>-5%> by weight the corresponding diastereomers and/or corresponding L-alanine compounds. In an embodiment, a composition is provided which is 97%>-100%> by weight compounds according to Formula Ala, Alb, Ia or lb and 0%>-3%> by weight the corresponding diastereomers and/or corresponding L-alanine compounds. In certain embodiments, weight percent is relative to the total weight of compound Ala, Alb, la or lb, the corresponding diastereomers and corresponding L-alanine compounds.
[00102] In certain embodiments, provided herein are compounds according to Formula II, Ila or lib:
Figure imgf000026_0001
(Ila) (lib);
or a pharmaceutically acceptable salt, solvate, stereoisomeric form, tautomeric form or polymorphic form thereof, wherein R, Ar, Base and RB are as described in the context of Formula I or AI.
[00103] In certain embodiments, provided are compounds of Formula II, Ila or lib wherein RB is hydroxyl. In certain embodiments, provided are compounds of Formula II, Ila or lib wherein RB is hydroxyl; and R is lower alkyl. In certain embodiments, provided are compounds of Formula II, Ila or lib wherein RB is hydroxyl; R is lower alkyl and Ar is phenyl. In certain embodiments, provided are compounds of Formula II, Ila or lib wherein RB is hydroxyl; R is lower alkyl; Ar is phenyl; and Base is guanosine, 6-deoxyguanosine, 6- methoxyguanosine, 6-ethoxyguanosine, adenine, thymine, cytosine, uracil, 5-fluoro-uracil or 2 , 6-diaminopurine .
[00104] In certain embodiments, provided are compounds of Formula II, Ila or lib wherein RB is fluoro. In certain embodiments, provided are compounds of Formula II, Ila or lib wherein RB is fluoro; and R is lower alkyl. In certain embodiments, provided are compounds of Formula II, Ila or lib wherein RB is fluoro; R is lower alkyl and Ar is phenyl. In certain embodiments, provided are compounds of Formula II, Ila or lib wherein RB is fluoro; R is lower alkyl; Ar is phenyl; and Base is guanosine, 6-deoxyguanosine, 6-methoxyguanosine, 6- ethoxyguanosine, adenine, thymine, cytosine, uracil, 5-fluoro-uracil or 2,6-diaminopurine. [00105] In certain embodiments, provided are compounds of Formula II, Ila or lib wherein RB is chloro. In certain embodiments, provided are compounds of Formula II, Ila or lib wherein RB is chloro; and R is lower alkyl. In certain embodiments, provided are compounds of Formula II, Ila or lib wherein RB is chloro; R is lower alkyl and Ar is phenyl. In certain embodiments, provided are compounds of Formula II, Ila or lib wherein RB is chloro; R is lower alkyl; Ar is phenyl; and Base is guanosine, 6-deoxyguanosine, 6-methoxyguanosine, 6- ethoxyguanosine, adenine, thymine, cytosine, uracil, 5-fluoro-uracil or 2,6-diaminopurine.
[00106] In certain embodiments, provided are compounds of Formula II, Ila or lib wherein RB is cyano. In certain embodiments, provided are compounds of Formula II, Ila or lib wherein RB is cyano; and R is lower alkyl. In certain embodiments, provided are compounds of Formula II, Ila or lib wherein RB is cyano; R is lower alkyl and Ar is phenyl. In certain embodiments, provided are compounds of Formula II, Ila or lib wherein RB is cyano; R is lower alkyl; Ar is phenyl; and Base is guanosine, 6-deoxyguanosine, 6-methoxyguanosine, 6- ethoxyguanosine, adenine, thymine, cytosine, uracil, 5-fluoro-uracil or 2,6-diaminopurine.
[00107] In certain embodiments, provided are compounds of Formula II, Ila or lib wherein RB is amino. In certain embodiments, provided are compounds of Formula II, Ila or lib wherein RB is amino; and R is lower alkyl. In certain embodiments, provided are compounds of Formula II, Ila or lib wherein RB is amino; R is lower alkyl and Ar is phenyl. In certain embodiments, provided are compounds of Formula II, Ila or lib wherein RB is amino; R is lower alkyl; Ar is phenyl; and Base is guanosine, 6-deoxyguanosine, 6-methoxyguanosine, 6- ethoxyguanosine, adenine, thymine, cytosine, uracil, 5-fluoro-uracil or 2,6-diaminopurine.
[00108] In certain embodiments, provided are compounds of Formula II, Ila or lib wherein RB is azido. In certain embodiments, provided are compounds of Formula II, Ila or lib wherein RB is azido; and R is lower alkyl. In certain embodiments, provided are compounds of Formula II, Ila or lib wherein RB is azido; R is lower alkyl and Ar is phenyl. In certain embodiments, provided are compounds of Formula II, Ila or lib wherein RB is azido; R is lower alkyl; Ar is phenyl; and Base is guanosine, 6-deoxyguanosine, 6-methoxyguanosine, 6- ethoxyguanosine, adenine, thymine, cytosine, uracil, 5-fluoro-uracil or 2,6-diaminopurine.
[00109] In certain embodiments, provided are compounds of Formula II, Ila or lib wherein RB is ethynyl. In certain embodiments, provided are compounds of Formula II, Ila or lib wherein RB is ethynyl; and R is lower alkyl. In certain embodiments, provided are compounds of Formula II, Ila or lib wherein RB is ethynyl; R is lower alkyl and Ar is phenyl. In certain embodiments, provided are compounds of Formula II, Ila or lib wherein R is ethynyl; R is lower alkyl; Ar is phenyl; and Base is guanosine, 6-deoxyguanosine, 6-methoxyguanosine, 6- ethoxyguanosine, adenine, thymine, cytosine, uracil, 5-fluoro-uracil or 2,6-diaminopurine.
[00110] In an embodiment, compounds according to Formula Ila or lib are provided which are substantially free of corresponding diastereomers and corresponding L-alanine compounds. In an embodiment, a composition is provided which is 85%- 100% by weight compounds according to Formula Ila or lib and 0%>-15 > by weight the corresponding diastereomers and/or corresponding L-alanine compounds. In an embodiment, a composition is provided which is 90%>-100%> by weight compounds according to Formula Ila or lib and 0%)-10%> by weight the corresponding diastereomers and/or corresponding L-alanine compounds. In an embodiment, a composition is provided which is 95%>-100%> by weight compounds according to Formula Ila or lib and 0%>-5%> by weight the corresponding diastereomers and/or corresponding L-alanine compounds. In an embodiment, a composition is provided which is 97%>-100%> by weight compounds according to Formula Ila or lib and 0%>-3%> by weight the corresponding diastereomers and/or corresponding L-alanine compounds. In certain embodiments, weight percent is relative to the total weight of compound Ila or lib, the corresponding diastereomers and corresponding L-alanine compounds.
[00111] In certain embodiments, provided herein are compounds according to Formula III, Ilia or lib:
Figure imgf000028_0001
(Ilia) (Illb);
or a pharmaceutically acceptable salt, solvate, stereoisomeric form, tautomeric form or polymorphic form thereof, wherein R, Ar, Base and RB are as described in the context of Formula I or AI. [00112] In certain embodiments, provided are compounds of Formula III, Ilia or Illb wherein RB is cyano. In certain embodiments, provided are compounds of Formula III, Ilia or Illb wherein RB is cyano; and R is lower alkyl. In certain embodiments, provided are compounds of Formula III, Ilia or Illb wherein RB is cyano; R is lower alkyl and Ar is phenyl. In certain embodiments, provided are compounds of Formula III, Ilia or Illb wherein RB is cyano; R is lower alkyl; Ar is phenyl; and Base is guanosine, 6-deoxyguanosine, 6- methoxyguanosine, 6-ethoxyguanosine, adenine, thymine, cytosine, uracil, 5-fluoro-uracil or 2 , 6-diaminopurine .
[00113] In certain embodiments, provided are compounds of Formula III, Ilia or Illb wherein RB is amino. In certain embodiments, provided are compounds of Formula III, Ilia or Illb wherein RB is amino; and R is lower alkyl. In certain embodiments, provided are compounds of Formula III, Ilia or Illb wherein RB is amino; R is lower alkyl and Ar is phenyl. In certain embodiments, provided are compounds of Formula III, Ilia or Illb wherein RB is amino; R is lower alkyl; Ar is phenyl; and Base is guanosine, 6-deoxyguanosine, 6- methoxyguanosine, 6-ethoxyguanosine, adenine, thymine, cytosine, uracil, 5-fluoro-uracil or 2 , 6-diaminopurine .
[00114] In certain embodiments, provided are compounds of Formula III, Ilia or Illb wherein RB is azido. In certain embodiments, provided are compounds of Formula III, Ilia or Illb wherein RB is azido; and R is lower alkyl. In certain embodiments, provided are compounds of Formula III, Ilia or lib wherein RB is azido; R is lower alkyl and Ar is phenyl. In certain embodiments, provided are compounds of Formula III, Ilia or Illb wherein RB is azido; R is lower alkyl; Ar is phenyl; and Base is guanosine, 6-deoxyguanosine, 6- methoxyguanosine, 6-ethoxyguanosine, adenine, thymine, cytosine, uracil, 5-fluoro-uracil or 2 , 6-diaminopurine .
[00115] In certain embodiments, provided are compounds of Formula III, Ilia or Illb wherein RB is ethynyl. In certain embodiments, provided are compounds of Formula III, Ilia or Illb wherein RB is ethynyl; and R is lower alkyl. In certain embodiments, provided are compounds of Formula III, Ilia or lib wherein RB is ethynyl; R is lower alkyl and Ar is phenyl. In certain embodiments, provided are compounds of Formula III, Ilia or Illb wherein RB is ethynyl; R is lower alkyl; Ar is phenyl; and Base is guanosine, 6-deoxyguanosine, 6- methoxyguanosine, 6-ethoxyguanosine, adenine, thymine, cytosine, uracil, 5-fluoro-uracil or 2 , 6-diaminopurine . [00116] In an embodiment, compounds according to Formula Ilia or Illb are provided which are substantially free of corresponding diastereomers and corresponding L-alanine compounds. In an embodiment, a composition is provided which is 85%- 100% by weight compounds according to Formula Ilia or Illb and 0%>-15 > by weight the corresponding diastereomers and/or corresponding L-alanine compounds. In an embodiment, a composition is provided which is 90%>-100%> by weight compounds according to Formula Ilia or Illb and 0%)-10%> by weight the corresponding diastereomers and/or corresponding L-alanine compounds. In an embodiment, a composition is provided which is 95%>-100%> by weight compounds according to Formula Ilia or Illb and 0%>-5%> by weight the corresponding diastereomers and/or corresponding L-alanine compounds. In an embodiment, a composition is provided which is 97%>-100%> by weight compounds according to Formula Ilia or Illb and 0%>-3%> by weight the corresponding diastereomers and/or corresponding L-alanine
compounds. In certain embodiments, weight percent is relative to the total weight of compound Ilia or Illb, the corresponding diastereomers and corresponding L-alanine compounds.
[00117] In certain embodiments, provided herein are compounds according to Formula IV, IVa or lVb:
Figure imgf000030_0001
Figure imgf000030_0002
(IVa) (IVb);
or a pharmaceutically acceptable salt, solvate, stereoisomeric form, tautomeric form or polymorphic form thereof, wherein R, Ar, Base, RA, RB and RE are as described in the context of Formula I or AI.
[00118] In certain embodiments, provided are compounds of Formula IV, IVa or IVb wherein RA is fluoro; RB is hydrogen; and RE is fluoro. In certain embodiments, provided are compounds of Formula IV, IVa or IVb wherein RA is fluoro; RB is hydrogen; RE is fluoro; and R is lower alkyl. In certain embodiments, provided are compounds of Formula IV, IVa or IVb wherein RA is fluoro; RB is hydrogen; RE is fluoro; R is lower alkyl and Ar is phenyl. In certain embodiments, provided are compounds of Formula IV, IVa or IVb wherein RA is fluoro; RB is hydrogen; RE is fluoro; R is lower alkyl; Ar is phenyl; and Base is guanosine, 6- deoxyguanosine, 6-methoxyguanosine, 6-ethoxyguanosine, adenine, thymine, cytosine, uracil, 5-fluoro-uracil or 2,6-diaminopurine.
[00119] In certain embodiments, provided are compounds of Formula IV, IVa or IVb wherein RA is hydrogen; RB is fluoro; and RE is fluoro. In certain embodiments, provided are compounds of Formula IV, IVa or IVb wherein RA is hydrogen; RB is fluoro; RE is fluoro; and R is lower alkyl. In certain embodiments, provided are compounds of Formula IV, IVa or IVb wherein RA is hydrogen; RB is fluoro; RE is fluoro; R is lower alkyl and Ar is phenyl. In certain embodiments, provided are compounds of Formula IV, IVa or IVb wherein RA is hydrogen; RB is fluoro; RE is fluoro; R is lower alkyl; Ar is phenyl; and Base is guanosine, 6- deoxyguanosine, 6-methoxyguanosine, 6-ethoxyguanosine, adenine, thymine, cytosine, uracil, 5-fluoro-uracil or 2,6-diaminopurine.
[00120] In certain embodiments, provided are compounds of Formula IV, IVa or IVb wherein RA is hydrogen; RB is hydroxyl; and RE is fluoro. In certain embodiments, provided are compounds of Formula IV, IVa or IVb wherein RA is hydrogen; RB is hydroxyl; RE is fluoro; and R is lower alkyl. In certain embodiments, provided are compounds of Formula IV, IVa or IVb wherein RA is hydrogen; RB is hydroxyl; RE is fluoro; R is lower alkyl and Ar is phenyl. In certain embodiments, provided are compounds of Formula IV, IVa or IVb wherein RA is hydrogen; RB is hydroxyl; RE is fluoro; R is lower alkyl; Ar is phenyl; and Base is guanosine, 6-deoxyguanosine, 6-methoxyguanosine, 6-ethoxyguanosine, adenine, thymine, cytosine, uracil, 5-fluoro-uracil or 2,6-diaminopurine.
[00121] In certain embodiments, provided are compounds of Formula IV, IVa or IVb wherein RA is methyl; RB is hydroxyl; and RE is fluoro. In certain embodiments, provided are compounds of Formula IV, IVa or IVb wherein RA is methyl; RB is hydroxyl; RE is fluoro; and R is lower alkyl. In certain embodiments, provided are compounds of Formula IV, IVa or IVb wherein RA is methyl; RB is hydroxyl; RE is fluoro; R is lower alkyl and Ar is phenyl. In certain embodiments, provided are compounds of Formula IV, IVa or IVb wherein RA is methyl; RB is hydroxyl; RE is fluoro; R is lower alkyl; Ar is phenyl; and Base is guanosine, 6- deoxyguanosine, 6-methoxyguanosine, 6-ethoxyguanosine, adenine, thymine, cytosine, uracil, 5-fluoro-uracil or 2,6-diaminopurine.
[00122] In an embodiment, compounds according to Formula IVa or IVb are provided which are substantially free of corresponding diastereomers and corresponding L-alanine compounds. In an embodiment, a composition is provided which is 85%- 100% by weight compounds according to Formula IVa or IVb and 0%>-15 > by weight the corresponding diastereomers and/or corresponding L-alanine compounds. In an embodiment, a composition is provided which is 90%>-100%> by weight compounds according to Formula IVa or IVb and 0%)-10%> by weight the corresponding diastereomers and/or corresponding L-alanine compounds. In an embodiment, a composition is provided which is 95%>-100%> by weight compounds according to Formula IVa or IVb and 0%>-5%> by weight the corresponding diastereomers and/or corresponding L-alanine compounds. In an embodiment, a composition is provided which is 97%>-100%> by weight compounds according to Formula IVa or IVb and 0%>-3%> by weight the corresponding diastereomers and/or corresponding L-alanine compounds. In certain embodiments, weight percent is relative to the total weight of compound IVa or IVb, the corresponding diastereomers and corresponding L-alanine compounds.
[00123] In certain embodiments, provided herein are compounds according to Formula V, Vb or Vb:
Figure imgf000032_0001
(Va) (Vb);
or a pharmaceutically acceptable salt, solvate, stereoisomeric form, tautomeric form or polymorphic form thereof, wherein R, Ar, Base, and RA are as described in the context of Formula I or AI, and W is -CH2- -O- or -NH-. [00124] In certain embodiments, provided are compounds of Formula V, Va or Vb wherein RA is methyl; and W is -0-. In certain embodiments, provided are compounds of Formula V, Va or Vb wherein RA is methyl; W is -0-; and R is lower alkyl. In certain embodiments, provided are compounds of Formula V, Va or Vb wherein RA is methyl; W is -0-; R is lower alkyl and Ar is phenyl. In certain embodiments, provided are compounds of Formula V, Va or Vb wherein RA is methyl; W is -0-; R is lower alkyl; Ar is phenyl; and Base is guanosine, 6- deoxyguanosine, 6-methoxyguanosine, 6-ethoxyguanosine, adenine, thymine, cytosine, uracil, 5-fluoro-uracil or 2,6-diaminopurine.
[00125] In certain embodiments, provided are compounds of Formula V, Va or Vb wherein RA is hydrogen; and W is -0-. In certain embodiments, provided are compounds of Formula V, Va or Vb wherein RA is hydrogen; W is -0-; and R is lower alkyl. In certain
embodiments, provided are compounds of Formula V, Va or Vb wherein RA is hydrogen; W is -0-; R is lower alkyl and Ar is phenyl. In certain embodiments, provided are compounds of Formula V, Va or Vb wherein RA is hydrogen; W is -0-; R is lower alkyl; Ar is phenyl; and Base is guanosine, 6-deoxyguanosine, 6-methoxyguanosine, 6-ethoxyguanosine, adenine, thymine, cytosine, uracil, 5-fluoro-uracil or 2,6-diaminopurine.
[00126] In certain embodiments, provided are compounds of Formula V, Va or Vb wherein RA is methyl; and W is -CH2-. In certain embodiments, provided are compounds of Formula V, Va or Vb wherein RA is methyl; W is -CH2-; and R is lower alkyl. In certain
embodiments, provided are compounds of Formula V, Va or Vb wherein RA is methyl; W is - CH2-; R is lower alkyl and Ar is phenyl. In certain embodiments, provided are compounds of Formula V, Va or Vb wherein RA is methyl; W is -CH2-; R is lower alkyl; Ar is phenyl; and Base is guanosine, 6-deoxyguanosine, 6-methoxyguanosine, 6-ethoxyguanosine, adenine, thymine, cytosine, uracil, 5-fluoro-uracil or 2,6-diaminopurine.
[00127] In certain embodiments, provided are compounds of Formula V, Va or Vb wherein RA is hydrogen; and W is -CH2- In certain embodiments, provided are compounds of Formula V, Va or Vb wherein RA is hydrogen; W is -CH2-; and R is lower alkyl. In certain embodiments, provided are compounds of Formula V, Va or Vb wherein RA is hydrogen; W is -CH2-; R is lower alkyl and Ar is phenyl. In certain embodiments, provided are compounds of Formula V, Va or Vb wherein RA is hydrogen; W is -CH2-; R is lower alkyl; Ar is phenyl; and Base is guanosine, 6-deoxyguanosine, 6-methoxyguanosine, 6-ethoxyguanosine, adenine, thymine, cytosine, uracil, 5-fluoro-uracil or 2,6-diaminopurine. [00128] In certain embodiments, provided are compounds of Formula V, Va or Vb wherein RA is methyl; and W is -NH-. In certain embodiments, provided are compounds of Formula V, Va or Vb wherein RA is methyl; W is -NH-; and R is lower alkyl. In certain embodiments, provided are compounds of Formula V, Va or Vb wherein RA is methyl; W is -NH-; R is lower alkyl and Ar is phenyl. In certain embodiments, provided are compounds of Formula V, Va or Vb wherein RA is methyl; W is -NH-; R is lower alkyl; Ar is phenyl; and Base is guanosine, 6-deoxyguanosine, 6-methoxyguanosine, 6-ethoxyguanosine, adenine, thymine, cytosine, uracil, 5-fluoro-uracil or 2,6-diaminopurine.
[00129] In certain embodiments, provided are compounds of Formula V, Va or Vb wherein RA is hydrogen; and W is -NH-. In certain embodiments, provided are compounds of Formula V, Va or Vb wherein RA is hydrogen; W is -NH-; and R is lower alkyl. In certain embodiments, provided are compounds of Formula V, Va or Vb wherein RA is hydrogen; W is -NH-; R is lower alkyl and Ar is phenyl. In certain embodiments, provided are compounds of Formula V, Va or Vb wherein RA is hydrogen; W is -NH-; R is lower alkyl; Ar is phenyl; and Base is guanosine, 6-deoxyguanosine, 6-methoxyguanosine, 6-ethoxyguanosine, adenine, thymine, cytosine, uracil, 5-fluoro-uracil or 2,6-diaminopurine.
[00130] In an embodiment, compounds according to Formula Va or Vb are provided which are substantially free of corresponding diastereomers and corresponding L-alanine compounds. In an embodiment, a composition is provided which is 85%- 100% by weight compounds according to Formula Va or Vb and 0%>-15 > by weight the corresponding diastereomers and/or corresponding L-alanine compounds. In an embodiment, a composition is provided which is 90%>-100%> by weight compounds according to Formula Va or Vb and 0%)-10%> by weight the corresponding diastereomers and/or corresponding L-alanine compounds. In an embodiment, a composition is provided which is 95%>-100%> by weight compounds according to Formula Va or Vb and 0%>-5%> by weight the corresponding diastereomers and/or corresponding L-alanine compounds. In an embodiment, a composition is provided which is 97%>-100%> by weight compounds according to Formula Va or Vb and 0%>-3%> by weight the corresponding diastereomers and/or corresponding L-alanine
compounds. In certain embodiments, weight percent is relative to the total weight of compound Va or Vb, the corresponding diastereomers and corresponding L-alanine
compounds.
[00131] In certain embodiments, provided herein are compounds according to any of Formulas AI or I-Vb, wherein each Base is independently:
Figure imgf000035_0001
or tautomeric form thereof, wherein: each R is independently hydrogen, hydroxyl, alkoxyl, amino or aminoalkyl; each R5 is independently hydrogen, hydroxyl, amino, or alkoxyl; each R6 is independently hydrogen, halogen, or alkyl; and each R7 is independently hydrogen or amino.
[00132] In certain embodiments, provided herein are compounds according to any of Formulas VI -IX:
Figure imgf000035_0002
(VIII) (IX);
or a pharmaceutically acceptable salt, solvate, stereoisomeric form, tautomeric form or polymorphic form thereof, wherein: RA, RB, Rc, RD, RE, Ar, and R are as described in the context of Formula I or AI; each R is independently hydrogen, halogen, or alkyl; and each R is independently hydrogen or -NH2.
[00133] In certain embodiments, provided herein are compounds according to any of Formulas X-XVIII:
Figure imgf000036_0001
(XVII)
or a pharmaceutically acceptable salt, solvate, stereoisomeric form, tautomeric form or polymorphic form thereof, wherein RA, RB, Rc, RD, RE, Ar, and R are as described in the context of Formula I or AI. [00134] In certain embodiments provided herein is a compound according to any of Formulas l-56d:
Figure imgf000037_0001
1-56 la-56a lb-56b
Figure imgf000037_0002
lc-56c lc-56d
# R Ar R E R* RA Base
1/a/b/c/d -CH(CH,)2 -C6H5 -H -OH -CH3
/a/b/c/d -CH(CH3)2 -C6H5 -H -F -CH,
/a/b/c/d -CH(CH3)2 -C6H5 -H -CI -CH3
/a/b/c/d -CH(CH3)2 -C6H5 -F -H -F
/a/b/c/d -CH(CH3)2 -C6H5 -F -OH -CH3
Figure imgf000037_0003
/a/b/c/d -CH(CH,)2 -C6H5 -F -OH -H
/a/b/c/d -CH(CH3)2 -C6H5 -F -F -H
/a/b/c/d -CH(CH3)2 -C6H5 -H -OH -CH3
/a/b/c/d -CH(CH3)2 -C6H5 -H -F -CH3
0/a/b/c/d -CH(CH3)2 -C6H5 -H -CI -CH3
1/a/b/c/d -CH(CH,)2 -C6¾ -F -H -F
2/a/b/c/d -CH(CH3)2 -C6H5 -F -OH -CH3
Figure imgf000037_0004
3/a/b/c/d -CH(CH3)2 -C6H5 -F -OH -H
4/a/b/c/d -CH(CH3)2 -C6H5 -F -F -H
5/a/b/c/d -CH(CH3)2 -C6H5 -H -OH -CH3
6/a/b/c/d -CH(CH,)2 -C6H5 -H -F -CH3
7/a/b/c/d -CH(CH3)2 -C6H5 -H -CI -CH3
8/a/b/c/d -CH(CH3)2 -C6H5 -F -H -F
9/a/b/c/d -CH(CH3)2 -C6H5 -F -OH -CH3
Figure imgf000037_0005
0/a/b/c/d -CH(CH3)2 -C6H5 -F -OH -H
1/a/b/c/d -CH(CH3)2 -C6H5 -F -F -H
2/a/b/c/d -CH(CH3)2 -C6H5 -H -OH -CH3
3/a/b/c/d -CH(CH3)2 -C6H5 -H -F -CH3
4/a/b/c/d -CH(CH3)2 -C6H5 -H -CI -CH3
5/a/b/c/d -CH(CH3)2 -C6H5 -F -H -F
6/a/b/c/d -CH(CH,)2 -C6H5 -F -OH -CH3
Figure imgf000037_0006
7/a/b/c/d -CH(CH3)2 -C6H5 -F -OH -H
8/a/b/c/d -CH(CH3)2 -C6H5 -F -F -H
Figure imgf000038_0001
1-56 la-56a lb-56b
Figure imgf000038_0002
lc-56c lc-56d
# R ArRE RB RA Base 9/a/b/c/d -CH(CH3)2 -C6H5 -H -OH -CH3
0/a/b/c/d -CH(CH3)2 -C6H5 -H -F -CH3
1/a/b/c/d -CH(CH3)2 -C6H5 -H -CI -CH3
2/a/b/c/d -CH(CH3)2 -C6H5 -F -H -F
3/a/b/c/d -CH(CH3)2 -C6H5 -F -OH -CH3
Figure imgf000038_0003
4/a/b/c/d -CH(CH3)2 -C6H5 -F -OH -H
5/a/b/c/d -CH(CH3)2 -C6H5 -F -F -H
6/a/b/c/d -CH(CH3)2 -C6H5 -H -OH -CH3
7/a/b/c/d -CH(CH3)2 -C6H5 -H -F -CH3
8/a/b/c/d -CH(CH3)2 -C6H5 -H -CI -CH3
9/a/b/c/d -CH(CH3)2 -C6H5 -F -H -F
0/a/b/c/d -CH(CH3)2 -C6H5 -F -OH -CH3
Figure imgf000038_0004
1/a/b/c/d -CH(CH3)2 -C6H5 -F -OH -H
2/a/b/c/d -CH(CH3)2 -C6H5 -F -F -H
3/a/b/c/d -CH(CH3)2 -C6H5 -H -OH -CH3
4/a/b/c/d -CH(CH3)2 -C6H5 -H -F -CH3
5/a/b/c/d -CH(CH3)2 -C6H5 -H -CI -CH3
6/a/b/c/d -CH(CH3)2 -C6H5 -F -H -F
7/a/b/c/d -CH(CH3)2 -C6H5 -F -OH -CH3
Figure imgf000038_0005
8/a/b/c/d -CH(CH3)2 -C6H5 -F -OH -H
Figure imgf000038_0006
6/a/b/c/d -CH(CH3)2 -C6H5 -F -F -H or a pharmaceutically acceptable salt, solvate, stereoisomeric form, tautomeric form or polymorphic form thereof. In the table, each row provides five structures - one according to the top left structure (1-56), one according to the top middle structure (la-56a), one according to the top right structure (lb-56b), one according to the bottom left structure (lc-56c), and one according to the bottom right structure (lc-56d). For instance, the first row provides compound 1 according to the top left structure, compound la according to the top middle structure, compound lb according to the top right structure, compound lc according to the bottom left structure, and compound Id according to the bottom right structure, each with the indicated variables in the row.
[00135] In certain embodiments provided herein is a compound according to any of Formulas 57-104d:
Figure imgf000039_0001
62/a/b/c/d -CH(CH3)2 -C6H5 -H -NH2 -H
63/a/b/c/d -CH(CH3)2 -C6H5 -H -CN -CH3
64/a/b/c/d -CH(CH3)2 -C6H5 -H -CN -H
65/a/b/c/d -CH(CH3)2 -C6H5 -H -N3 -CH3
66/a/b/c/d -CH(CH3)2 -C6H5 -H -N3 -H
67/a/b/c/d -CH(CH3)2 -C6H5 -H -NH2 -CH3
68/a/b/c/d -CH(CH3)2 -C6H5 -H -NH2 -H
69/a/b/c/d -CH(CH3)2 -C6H5 -H -CN -CH3
70/a/b/c/d -CH(CH3)2 -C6H5 -H -CN -H
71/a/b/c/d -CH(CH3)2 -C6H5 -H -N3 -CH3
72/a/b/c/d -CH(CH3)2 -C6H5 -H -N3 -H
73/a/b/c/d -CH(CH3)2 -C6H5 -H -NH2 -CH3
74/a/b/c/d -CH(CH3)2 -C6H5 -H -NH2 -H
75/a/b/c/d -CH(CH3)2 -C6H5 -H -CN -CH3
76/a/b/c/d -CH(CH3)2 -C6H5 -H -CN -H
77/a/b/c/d -CH(CH3)2 -C6H5 -H -N3 -CH3
78/a/b/c/d -CH(CH3)2 -C6H5 -H -N3 -H
79/a/b/c/d -CH(CH3)2 -C6H5 -H -NH2 -CH3
80/a/b/c/d -CH(CH3)2 -C6H5 -H -NH2 -H
81/a/b/c/d -CH(CH3)2 -C6H5 -H -CN -CH3
82/a/b/c/d -CH(CH3)2 -C6H5 -H -CN -H
83/a/b/c/d -CH(CH3)2 -C6H5 -H -N3 -CH3
84/a/b/c/d -CH(CH3)2 -C6H5 -H -N3 -H
Figure imgf000039_0002
85/a/b/c/d -CH(CH3)2 -C6H5 -H -NH2 -CH3
Figure imgf000040_0001
57c-104c 57d-104d
# R ArRE RB RA Base
86/a/b/c/d -CH(CH3)2 -C6H5 -H -NH2 -H
87/a/b/c/d -CH(CH3)2 -C6H5 -H -CN -CH3
88/a/b/c/d -CH(CH3)2 -C6H5 -H -CN -H
89/a/b/c/d -CH(CH3)2 -C6H5 -H -N3 -CH3
90/a/b/c/d -CH(CH3)2 -C6H5 -H -N3 -H
91/a/b/c/d -CH(CH3)2 -C6H5 -H -NH2 -CH3
92/a/b/c/d -CH(CH3)2 -C6H5 -H -NH2 -H
93/a/b/c/d -CH(CH3)2 -C6H5 -H -CN -CH3
94/a/b/c/d -CH(CH3)2 -C6H5 -H -CN -H
95/a/b/c/d -CH(CH3)2 -C6H5 -H -N3 -CH3
96/a/b/c/d -CH(CH3)2 -C6H5 -H -N3 -H
97/a/b/c/d -CH(CH3)2 -C6H5 -H -NH2 -CH3
98/a/b/c/d -CH(CH3)2 -C6H5 -H -NH2 -H
99/a/b/c/d -CH(CH3)2 -C6H5 -H -CN -CH3
100/a/b/c/d -CH(CH3)2 -C6H5 -H -CN -H
101/a/b/c/d -CH(CH3)2 -C6H5 -H -N3 -CH3
102/a/b/c/d -CH(CH3)2 -C6H5 -H -N3 -H
103/a/b/c/d -CH(CH3)2 -C6H5 -H -NH2 -CH3
Figure imgf000040_0002
104/a/b/c/d -CH(CH3)2 -C6H5 -H -NH2 -H or a pharmaceutically acceptable salt, solvate, stereoisomeric form, tautomeric form or polymorphic form thereof. In the table, each row provides five structures - one according to the top left structure (57-104), one according to the top middle structure 57- 104a), one according to the top right structure (57b -104b), one according to the bottom left structure (57c- 104c), and one according to the bottom right structure 57-104d). For instance, the first row provides compound 57 according to the top left structure, compound 57a according to the top middle structure, compound 57b according to the top right structure, compound 57c according to the bottom left structure, and compound 57d according to the bottom right structure, each with the indicated variables in the row.
[00136] In certain embodiments provided herein is a compound according to any of Formulas 105-152d:
Figure imgf000041_0001
105c-152c 105d-152d
# R Ar w RA Base5/a/b/c/d -CH(CH3)2 -C6H5 -0- -CH3
6/a/b/c/d -CH(CH3)2 -C6H5 -0- -H
7/a/b/c/d -CH(CH3)2 -C6H5 -NH- -CH3
8/a/b/c/d -CH(CH3)2 -C6H5 -NH- -H
9/a/b/c/d -CH(CH3)2 -C6H5 -CH2- -CH3
Figure imgf000041_0002
0/a/b/c/d -CH(CH3)2 -C6H5 -CH2- -H
1/a/b/c/d -CH(CH3)2 -C6H5 -0- -CH3 02/a/b/c/d -CH(CH3)2 -C6H5 -0- -H
3/a/b/c/d -CH(CH3)2 -C6H5 -NH- -CH3
4/a/b/c/d -CH(CH3)2 -C6H5 -NH- -H
5/a/b/c/d -CH(CH3)2 -C6H5 -CH2- -CH3
6/a/b/c/d -CH(CH3)2 -C6H5 -CH2- -H
7/a/b/c/d -CH(CH3)2 -C6¾ -0- -CH3
8/a/b/c/d -CH(CH3)2 -C6H5 -0- -H
9/a/b/c/d -CH(CH3)2 -C6H5 -NH- -CH3
0/a/b/c/d -CH(CH3)2 -C6H5 -NH- -H
1/a/b/c/d -CH(CH3)2 -C6H5 -CH2- -CH3
2/a/b/c/d -CH(CH3)2 -C6H5 -CH2- -H
3/a/b/c/d -CH(CH3)2 -C6H5 -0- -CH3
4/a/b/c/d -CH(CH3)2 -C6H5 -0- -H
5/a/b/c/d -CH(CH3)2 -C6H5 -NH- -CH3
6/a/b/c/d -CH(CH3)2 -C6H5 -NH- -H
7/a/b/c/d -CH(CH3)2 -C6H5 -CH2- -CH3
Figure imgf000041_0003
8/a/b/c/d -CH(CH3)2 -C6H5 -CH2- -H
9/a/b/c/d -CH(CH3)2 -C6H5 -0- -CH3 o0/a/b/c/d -CH(CH3)2 -C6H5 -0- -H
1/a/b/c/d -CH(CH3)2 -C6H5 -NH- -CH3
2/a/b/c/d -CH(CH3)2 -C6H5 -NH- -H
3/a/b/c/d -CH(CH3)2 -C6H5 -CH2- -CH3
4/a/b/c/d -CH(CH3)2 -C6H5 -CH2- -H
5/a/b/c/d -CH(CH3)2 -C6H5 -O- -CH3
6/a/b/c/d -CH(CH3)2 -C6H5 -O- -H
7/a/b/c/d -CH(CH3)2 -C6H5 -NH- -CH3
8/a/b/c/d -CH(CH3)2 -C6H5 -NH- -H
Figure imgf000041_0004
9/a/b/c/d -CH(CH3)2 -C6H5 -CH2- -CH3
0/a/b/c/d -CH(CH3)2 -C6H5 -CH2- -H
Figure imgf000042_0001
105c-152c 105d-152d
# R Ar w RA Base
141/a/b/c/d -CH(CH3)2 -C6H5 -0- -CH3
142/a/b/c/d -CH(CH3)2 -C6H5 -0- -H
143/a/b/c/d -CH(CH3)2 -C6H5 -NH- -CH3
144/a/b/c/d -CH(CH3)2 -C6H5 -NH- -H
145/a/b/c/d -CH(CH3)2 -C6H5 -CH2- -CH3
146/a/b/c/d -CH(CH3)2 -C6H5 -CH2- -H
147/a/b/c/d -CH(CH3)2 -C6H5 -0- -CH3
148/a/b/c/d -CH(CH3)2 -C6H5 -0- -H
149/a/b/c/d -CH(CH3)2 -C6H5 -NH- -CH3
150/a/b/c/d -CH(CH3)2 -C6H5 -NH- -H
151/a/b/c/d -CH(CH3)2 -C6H5 -CH2- -CH3
Figure imgf000042_0002
152/a/b/c/d -CH(CH3)2 -C6H5 -CH2- -H or a pharmaceutically acceptable salt, solvate, stereoisomeric form, tautomeric form or polymorphic form thereof. In the table, each row provides five structures - one according to the top left structure (105-152), one according to the top middle structure (105a-152a), one according to the top right structure (105b-152b), one according to the bottom left structure (lc-56c), and one according to the bottom right structure (105c-152d). For instance, the first row provides compound 105 according to the top left structure, compound 105 a according to the top middle structure, compound 105b according to the top right structure, compound 105 c according to the bottom left structure, and compound 105d according to the bottom right structure, each with the indicated variables in the row.
[00137] In certain embodiments provided herein is a compound according to any of the following formulas:
Figure imgf000043_0001
42
Figure imgf000044_0001
43
Figure imgf000045_0001
(41a) (41b)
Figure imgf000046_0001

Figure imgf000047_0001
Figure imgf000048_0001
Figure imgf000049_0001
(136a) (136b) or a pharmaceutically acceptable salt, solvate, stereoisomeric form, tautomeric form or polymorphic form thereof.
[00138] Provided herein are compounds of Formula I useful for the treatment of Flaviviridae infections such as HCV infection in a subject in need thereof. The compounds of Formula I can be formed as described herein and used for the treatment of Flaviviridae infections such as HCV infection.
[00139] In an embodiment, provided herein is a compound according to any of Formulas 1001-lOOlb:
Figure imgf000049_0002
(1001) (1001a) (1001b);
or a pharmaceutically acceptable salt, solvate, stereoisomeric form, tautomeric form or polymorphic form thereof; wherein:
Figure imgf000050_0001
Base is or
L is -O- or -CH2-;
M is -0-, -S- or -CH2-;
Z is hydroxyl;
X is hydroxyl or -O-Ar; or, in the alternative, X and Z combine to form a single divalent -0-;
W is O or S;
Ar is aryl;
Sc is a side chain of a naturally occurring or non-naturally occurring amino acid; Q1 is -SRY, -NRYRY, hydroxyl or alkoxyl; RA is hydroxyl or fluoro; RB is hydrogen or methyl; RY is hydrogen or alkyl; each R4 is independently hydrogen, hydroxyl, amino, or alkoxyl; each R5 is independently hydrogen, hydroxyl, or alkoxyl; each R6 is independently hydrogen, halogen, or alkyl; and each R7 is independently hydrogen, hydroxyl or amino; subject to the proviso that when: Base is 6-methoxyl guanine, L is -0-, M is -0-, W is O, Sc is methyl, RA is hydroxyl, Z is hydroxyl, RB is hydrogen, and Q1 is -OCH2C(CH2)3; then X is other than naphthyloxyl; subject to the proviso that when: Base is 6-methoxyl guanine, L is -0-, M is -0-, W is O, Sc is phenyl, RA is hydroxyl, Z is hydroxyl, RB is hydrogen, and Q1 is -0(CH2)2CH3, -OCH2C(CH2)3, or -O-cyclohexyl; then X is other than naphthyloxyl; subject to the proviso that when: Base is cytosine, L is -0-, M is -0-, W is O, Sc is methyl, RA is hydroxyl, Z is hydroxyl, RB is hydrogen, and Q1 is methoxyl; then X is other than p-chlorophenyloxyl; subject to the proviso that when: Base is guanine, L is -0-, M is -0-, W is O, Sc is methyl, RA is hydroxyl, Z is hydroxyl, RB is hydrogen, and Q1 is benzyloxyl; then X is other than naphthyloxyl; subject to the proviso that when: Base is uracil, L is -0-, M is -0-, W is O, Sc is methyl, RA is fluoro, Z is hydroxyl, RB is hydrogen, and X is phenyloxyl; then Q1 is other than n-butyloxyl, isopropyloxyl, or benzyloxyl; and subject to the proviso that when: Base is 6-ethoxylguanine, L is -0-, M is -0-, W is O, Sc is methyl, RA is fluoro, Z and X combine to form a single divalent -0-, and RB is hydrogen; then Q1 is other than isopropyloxyl.
[00140] In an embodiment, provided herein is a compound according to any of Formulas 1002-1002b:
Figure imgf000051_0001
(1002) (1002a) (1002b); or a pharmaceutically acceptable salt, solvate, stereoisomeric form, tautomeric form or polymorphic form thereof; wherein Ar is aryl and Base, RB, M, W, Sc and Q1 are as described in the context of Formula 1001. In certain embodiments, provided herein is a compound according to Formula 1002-1002b, wherein Ar is phenyl and Q1 is isopropyloxyl.
[00141] In an embodiment, provided herein is a compound according to any of Formulas 1003-1003b:
Figure imgf000051_0002
(1003) (1003a) (1003b); or a pharmaceutically acceptable salt, solvate, stereoisomeric form, tautomeric form or polymorphic form thereof; wherein Ar is aryl and Base, RB, W, Sc and Q1 are as described in the context of Formula 1001. In certain embodiments, provided herein is a compound according to Formula 1003-1003b, wherein Ar is phenyl and Q1 is isopropyloxyl.
[00142] In an embodiment, provided herein is a compound according to any of Formulas
1004- 1004b:
Figure imgf000052_0001
(1004) (1004a) (1004b); or a pharmaceutically acceptable salt, solvate, stereoisomeric form, tautomeric form or polymorphic form thereof; wherein Ar is aryl and Base, W, Sc and Q1 are as described in the context of Formula 1001. In certain embodiments, provided herein is a compound according to Formula 1004-1004b, wherein Ar is phenyl and Q1 is isopropyloxyl.
[00143] In an embodiment, provided herein is a compound according to any of Formulas
1005- 1005b:
Figure imgf000052_0002
(1005) (1005a) (1005b); or a pharmaceutically acceptable salt, solvate, stereoisomeric form, tautomeric form or polymorphic form thereof; wherein Ar is aryl and Base, Sc and Q1 are as described in the context of Formula 1001. In certain embodiments, provided herein is a compound according to Formula 1005-1005b, wherein Ar is phenyl and Q1 is isopropyloxyl.
[00144] In an embodiment, provided herein is a compound according to any of Formulas 1006-1006b:
Figure imgf000052_0003
(1006a) (1006b);
or a pharmaceutically acceptable salt, solvate, stereoisomeric form, tautomeric form or polymorphic form thereof; wherein Base, Sc and Q1 are as described in the context of Formula 1001. In certain embodiments, provided herein is a compound according to Formula
1006- 1006b, wherein Q1 is isopropyloxyl.
[00145] In an embodiment, provided herein is a compound according to any of Formulas
1007- 1007b:
Figure imgf000053_0001
(1007) (1007a) (1007b); or a pharmaceutically acceptable salt, solvate, stereoisomeric form, tautomeric form or polymorphic form thereof; wherein R is Ci-Cio alkyl, Ar is aryl, and Base, Sc and Q1 are as described in the context of Formula I. In certain embodiments, provided herein is a compound according to Formula 1007-1007b, wherein Ar is phenyl and Q1 is isopropyloxyl.
[00146] In an embodiment, provided herein is a compound according to any of Formulas 1019-1019b:
Figure imgf000053_0002
(1019) (1019a) (1019b); or a pharmaceutically acceptable salt, solvate, stereoisomeric form, tautomeric form or polymorphic form thereof, wherein Ar is aryl and Base, M, L, RB, W, Sc and Q1 are as described in the context of Formula I. In certain embodiments, provided herein is a compound according to Formula 1019-1019b, wherein Ar is phenyl and Q1 is isopropyloxyl
[00147] In an embodiment, provided herein is a compound according to any of Formulas
1020-1020b:
Figure imgf000053_0003
(1020) (1020a) (1020b); or a pharmaceutically acceptable salt, solvate, stereoisomeric form, tautomeric form or polymorphic form thereof, wherein Ar is aryl and Base, M, L, RB, W, Sc and Q1 are as described in the context of Formula 1001. In certain embodiments, provided herein is a compound according to Formula 1020-1020b, wherein Ar is phenyl and Q1 is isopropyloxyl.
[00148] In an embodiment, provided herein is a compound according to any of Formulas
1021-1021b:
Figure imgf000054_0001
(1021) (1021a) (1021b); or a pharmaceutically acceptable salt, solvate, stereoisomeric form, tautomeric form or polymorphic form thereof, wherein Base, RA, RB, M, W, Sc, Q1 are as described in the context of Formula 1001. In certain embodiments, provided herein is a compound according to Formula 1021-1021b, wherein Q1 is isopropyloxyl.
[00149] In an embodiment, provided herein is a compound according to any of Formulas
1022- 1022b:
Figure imgf000054_0002
(1022) (1022a) (1022b); or a pharmaceutically acceptable salt, solvate, stereoisomeric form, tautomeric form or polymorphic form thereof, wherein Ar is aryl and Base, RB, W, Sc and Q1 are as described in the context of Formula 1001. In certain embodiments, provided herein is a compound according to Formula 1022-1022b, wherein Ar is phenyl and Q1 is isopropyloxyl.
[00150] In an embodiment, provided herein is a compound according to any of Formulas
1023- 1023b:
Figure imgf000055_0001
(1023) (1023a) (1023b); or a pharmaceutically acceptable salt, solvate, stereoisomeric form, tautomeric form or polymorphic form thereof, wherein Base, RA, RB, W, Sc, Q1 are as described in the context of Formula 1001. In certain embodiments, provided herein is a compound according to Formula 1023-1023b, wherein Q1 is isopropyloxyl.
[00151] In an embodiment, provided herein is a compound according to any of Formulas 1024-1024b:
Figure imgf000055_0002
(1024) (1024a) (1024b); or a pharmaceutically acceptable salt, solvate, stereoisomeric form, tautomeric form or polymorphic form thereof, wherein Ar is aryl and Base, RB, W, Sc and Q1 are as described in the context of Formula 1001. In certain embodiments, provided herein is a compound according to Formula 1024-1024b, wherein Sc is methyl and Q1 is isopropyloxyl.
[00152] In an embodiment, provided herein is a compound according to any of Formulas 1001-1007b or 1019-1024b, wherein each Base is independently:
Figure imgf000055_0003
or a tautomeric form thereof.
[00153] In an embodiment, provided herein is a compound according to any of Formulas 1001-1007b or 1019-1024b, wherein: each Base is independently:
Figure imgf000056_0001
, or a tautomeric form thereof; and Sc is selected from the group consisting of alkyl, arylalkyl, heterocycloalkyl,
carboxylalkyl, heteroarylalkyl, aminoalkyl, hydroxylalkyl, aminoiminoaminoalkyl, aminocarbonylalkyl, sulfanylalkyl, carbamoylalkyl, alkylsulfanylalkyl and hydroxylarylalkyl. In an embodiment, provided herein is a compound according to any of Formulas 1001-1007b or 1019-1024b, wherein: each Base is independently:
Figure imgf000056_0002
Figure imgf000056_0003
, or a tautomeric form thereof;
Sc is selected from the group consisting of alkyl, arylalkyl, heterocycloalkyl, carboxylalkyl, heteroarylalkyl, aminoalkyl, hydroxylalkyl, aminoiminoaminoalkyl, aminocarbonylalkyl, sulfanylalkyl, carbamoylalkyl, alkylsulfanylalkyl and hydroxylarylalkyl; and wherein Q1 is alkoxyl. In an embodiment, provided herein is a compound according to any of Formulas 1001-1007b or 1019-1024b, wherein: each Base is independently:
Figure imgf000056_0004
, , or , or a tautomeric form thereof;
Sc is selected from the group consisting of alkyl, arylalkyl, heterocycloalkyl, carboxylalkyl, heteroarylalkyl, aminoalkyl, hydroxylalkyl, aminoiminoaminoalkyl, aminocarbonylalkyl, sulfanylalkyl, carbamoylalkyl, alkylsulfanylalkyl and hydroxylarylalkyl; and wherein Q1 is Ci-Cio alkoxyl. In an embodiment, provided herein is a compound according to any of Formulas 1001-1007b or 1019-1024b, wherein: each Base is independently:
Figure imgf000057_0001
Figure imgf000057_0002
, or a tautomeric form thereof;
Sc is selected from the group consisting of alkyl, arylalkyl, heterocycloalkyl, carboxylalkyl, heteroarylalkyl, aminoalkyl, hydroxylalkyl, aminoiminoaminoalkyl, aminocarbonylalkyl, sulfanylalkyl, carbamoylalkyl, alkylsulfanylalkyl and hydroxylarylalkyl; and wherein Q1 is C1-C5 alkoxyl. In an embodiment, provided herein is a compound according to any of Formulas 1001-1007b or 1019-1024b, wherein: each Base is independently:
Figure imgf000057_0003
or a tautomeric form thereof;
Sc is selected from the group consisting of alkyl, arylalkyl, heterocycloalkyl, carboxylalkyl, heteroarylalkyl, aminoalkyl, hydroxylalkyl, aminoiminoaminoalkyl, aminocarbonylalkyl, sulfanylalkyl, carbamoylalkyl, alkylsulfanylalkyl and hydroxylarylalkyl; and wherein Q1 is -OCH(CH3)2.
[00154] In an embodiment, provided herein is a compound according to any of Formulas 1001-1007b or 1019-1024b, wherein: each Base is independently:
Figure imgf000057_0004
or , or a tautomeric form thereof; and Sc is alkyl. In an embodiment, provided herein is a compound according to any of Formulas 1001-1007b or 1019-1024b, wherein: each Base is independently:
Figure imgf000058_0001
Sc is alkyl; and wherein Q is alkoxyl. In an embodiment, provided herein is a compound according to any of Formulas 1001-1007b or 1019-1024b, wherein: each Base is independently:
Figure imgf000058_0002
Sc is alkyl; and wherein Q is Ci-Cio alkoxyl. In an embodiment, provided herein is a compound according to any of Formulas 1001-1007b or 1019-1024b, wherein: each Base is independently:
Figure imgf000058_0003
Sc is alkyl; and wherein Q is C1-C5 alkoxyl. In an embodiment, provided herein is a compound according to any of Formulas 1001-1007b or 1019-1024b, wherein: each Base is independently:
Figure imgf000059_0001
, or a tautomeric form thereof;
Sc is alkyl; and wherein Q1 is -OCH(CH3)2.
[00155] In an embodiment, provided herein is a compound according to any of Formulas 1001-1007b or 1019-1024b, wherein: each Base is independently:
Figure imgf000059_0002
, or a tautomeric form thereof; and Sc is Ci-C3 alkyl. In an embodiment, provided herein is a compound according to any of Formulas 1001-1007b or 1019-1024b, wherein: each Base is independently:
Figure imgf000059_0003
, , or , or a tautomeric form thereof;
Sc is Ci-C3 alkyl; and wherein Q1 is alkoxyl. In an embodiment, provided herein is a compound according to any of Formulas 1001-1007b or 1019-1024b, wherein: each Base is independently:
Figure imgf000060_0001
, or a tautomeric form thereof;
Sc is C1-C3 alkyl; and wherein Q1 is C1-C10 alkoxyl. In an embodiment, provided herein is a compound according to any of Formulas 1001-1007b or 1019-1024b, wherein: each Base is independently:
Figure imgf000060_0002
, , or , or a tautomeric form thereof;
Sc is C1-C3 alkyl; and wherein Q1 is C1-C5 alkoxyl. In an embodiment, provided herein is a compound according to any of Formulas 1001-1007b or 1019-1024b, wherein: each Base is independently:
Figure imgf000060_0003
, , or , or a tautomeric form thereof;
Sc is C1-C3 alkyl; and wherein Q1 is -OCH(CH3)2.
[00156] In an embodiment, provided herein is a compound according to any of Formulas 1001-1007b or 1019-1024b, wherein: each Base is independently:
Figure imgf000061_0001
, , or , or a tautomeric form thereof; and Sc is methyl. In an embodiment, provided herein is a compound according to any of Formulas 1001-1007b or 1019-1024b, wherein: each Base is independently:
Figure imgf000061_0002
, , or , or a tautomeric form thereof;
Sc is methyl; and wherein Q1 is alkoxyl. In an embodiment, provided herein is a compound according to any of Formulas 1001-1007b or 1019-1024b, wherein: each Base is independently:
Figure imgf000061_0003
, , or , or a tautomeric form thereof;
Sc is methyl; and wherein Q1 is Ci-Cio alkoxyl. In an embodiment, provided herein is a compound according to any of Formulas 1001-1007b or 1019-1024b, wherein: each Base is independently:
Figure imgf000062_0001
, , or , or a tautomeric form thereof;
Sc is methyl; and wherein Q1 is C1-C5 alkoxyl. In an embodiment, provided herein is a compound according to any of Formulas 1001-1007b or 1019-1024b, wherein: each Base is independently:
Figure imgf000062_0002
, , or , or a tautomeric form thereof;
Sc is methyl; and wherein Q1 is -OCH(CH3)2.
[00157] In an embodiment, provided herein is a compound according to any of Formulas 1008-1018:
Figure imgf000062_0003
(1009) (1009a) (1009b)
Figure imgf000063_0001
(1016) (1016a) (1016b)
Figure imgf000064_0001
or a pharmaceutically acceptable salt, solvate, stereoisomeric form, tautomeric form or polymorphic form thereof; wherein RB, L, M, W, Ar, Sc and Q1 are as described in the context of Formula 1001.
[00158] In an embodiment, provided herein is a compound according to any of Formulas 1001-1024b, wherein Sc is selected from the group consisting of alkyl, arylalkyl, heterocycloalkyl, carboxylalkyl, heteroarylalkyl, aminoalkyl, hydroxylalkyl,
aminoiminoaminoalkyl, aminocarbonylalkyl, sulfanylalkyl, carbamoylalkyl,
alkylsulfanylalkyl and hydroxylarylalkyl. In an embodiment, provided herein is a compound according to any of Formulas 1001-1024b, wherein Sc is selected from the group consisting of alkyl, arylalkyl, heterocycloalkyl, carboxylalkyl, heteroarylalkyl, aminoalkyl,
hydroxylalkyl, aminoiminoaminoalkyl, aminocarbonylalkyl, sulfanylalkyl, carbamoylalkyl, alkylsulfanylalkyl and hydroxylarylalkyl, and wherein Q1 is alkoxyl. In an embodiment, provided herein is a compound according to any of Formulas 1001-1024b, wherein Sc is selected from the group consisting of alkyl, arylalkyl, heterocycloalkyl, carboxylalkyl, heteroarylalkyl, aminoalkyl, hydroxylalkyl, aminoiminoaminoalkyl, aminocarbonylalkyl, sulfanylalkyl, carbamoylalkyl, alkylsulfanylalkyl and hydroxylarylalkyl, and wherein Q1 is Ci-Cio alkoxyl. In an embodiment, provided herein is a compound according to any of Formulas 1001-1024b, wherein Sc is selected from the group consisting of alkyl, arylalkyl, heterocycloalkyl, carboxylalkyl, heteroarylalkyl, aminoalkyl, hydroxylalkyl,
aminoiminoaminoalkyl, aminocarbonylalkyl, sulfanylalkyl, carbamoylalkyl,
alkylsulfanylalkyl and hydroxylarylalkyl, and wherein Q1 is C1-C5 alkoxyl. In an embodiment, provided herein is a compound according to any of Formulas 1001-1024b, wherein Sc is selected from the group consisting of alkyl, arylalkyl, heterocycloalkyl, carboxylalkyl, heteroarylalkyl, aminoalkyl, hydroxylalkyl, aminoiminoaminoalkyl, aminocarbonylalkyl, sulfanylalkyl, carbamoylalkyl, alkylsulfanylalkyl and hydroxylarylalkyl, and wherein Q1 is -OCH(CH3)2.
[00159] In an embodiment, provided herein is a compound according to any of Formulas 1001-1024b, wherein Sc is alkyl. In an embodiment, provided herein is a compound according to any of Formulas 1001-1024b, wherein Sc is alkyl and wherein Q1 is alkoxyl. In an embodiment, provided herein is a compound according to any of Formulas 1001-1024b, wherein Sc is alkyl and wherein Q1 is Ci-Cio alkoxyl. In an embodiment, provided herein is a compound according to any of Formulas 1001-1024b, wherein Sc is alkyl and wherein Q1 is C1-C5 alkoxyl. In an embodiment, provided herein is a compound according to any of Formulas 1001-1024b, wherein Sc is alkyl and wherein Q1 is -OCH(CH3)2.
[00160] In an embodiment, provided herein is a compound according to any of Formulas 1001-1024b, wherein Sc is C1-C3 alkyl. In an embodiment, provided herein is a compound according to any of Formulas 1001-1024b, wherein Sc is C1-C3 alkyl wherein Q1 is alkoxyl In an embodiment, provided herein is a compound according to any of Formulas 1001-1024b, wherein Sc is C1-C3 alkyl and wherein Q1 is C1-C10 alkoxyl. In an embodiment, provided herein is a compound according to any of Formulas 1001-1024b, wherein Sc is C1-C3 alkyl and wherein Q1 is C1-C5 alkoxyl. In an embodiment, provided herein is a compound according to any of Formulas 1001-1024b, wherein Sc is C1-C3 alkyl and wherein Q1 is -OCH(CH3)2.
[00161] In an embodiment, provided herein is a compound according to any of Formulas 1001-1024b, wherein Sc is methyl. In an embodiment, provided herein is a compound according to any of Formulas 1001-1024b, wherein Sc is methyl and wherein Q1 is alkoxyl. In an embodiment, provided herein is a compound according to any of Formulas 1001-1024b, wherein Sc is methyl and wherein Q1 is C1-C10 alkoxyl. In an embodiment, provided herein is a compound according to any of Formulas 1001-1024b, wherein Sc is methyl and wherein Q1 is C1-C5 alkoxyl. In an embodiment, provided herein is a compound according to any of Formulas 1001-1024b, wherein Sc is methyl and wherein Q1 is -OCH(CH3)2.
[00162] Formulas 1001-1024b include a chiral amino acid residue linked to a 5'- phosphoramidate group. Those of skill in the art will recognize that the amino acid residue has R stereochemistry at the carbon bonded to Sc; i.e. , that it is a D-amino acid residue. The compounds provided herein are based, at least in part, on the discovery that D-amino acid phosphoramidate prodrugs can provide superior human pharmacokinetics including superior accumulation of active nucleoside and nucleotide analogs in target cells, such as liver cells. In certain embodiments, the compounds provided herein are D-amino acid,
phosphoramidate compounds. In certain embodiments, the compounds provided herein are D-amino acid, Sp phosphoramidate compounds. Any compound provided herein is preferably in the form of a composition that is substantially free of other stereoisomers of the compound, as described herein.
[00163] In certain embodiments provided herein is a compound according to any of Formulas 2001 -2095b:
Figure imgf000066_0001
2001-2095 2001 a-2095a 2001 b-2095b
B
Ar R w Sc Base
2001/a/b -OCH(CH3)2 -CeH5 -OH -H O -CH3
2002/a/b -OCH(CH3)2 -C6H5 -OH -H S -CH3 NH
2003/a/b -OCH(CH3)2 -C6H5 -OH -H 0 -CH(CH3)2
2004/a/b -OCH(CH3)2 -C6H5 -OH -H s -CH(CH3)2 Λ
2005/a/b -OCH(CH3)2 -C6H5 -F -H 0 -CH3
2006/a/b -OCH(CH3)2 -C6H5 -F -H s -CH3
2007/a/b -OCH(CH3)2 -C6H5 -F -H 0 -CH(CH3)2 X
2008/a/b -OCH(CH3)2 -C6H5 -F -H s -CH(CH3)2
2009/a/b -OCH(CH3)2 -C6H5 -OH -H O -CH3
2010/a/b -OCH(CH3)2 -C6H5 -OH -H S -CH3
2011/a/b -OCH(CH3)2 -C6H5 -OH -H 0 -CH(CH3)2
2012/a/b -OCH(CH3)2 -C6H5 -OH -H s -CH(CH3)2
2013/a/b -OCH(CH3)2 -C6H5 -F -H s -CH3
2014/a/b -OCH(CH3)2 -C6H5 -F -H 0 -CH(CH3)2
Figure imgf000066_0002
2015/a/b -OCH(CH3)2 -C6H5 -F -H s -CH(CH3)2
2016/a/b -OCH(CH3)2 -C6H5 -
2017/a/b -OCH(CH3)2 -C6H5 -
2018/a/b -OCH(CH3)2 -C6H5 -
2019/a/b -OCH(CH3)2 -C6H5 -
2020/a/b -OCH(CH3)2 -C6H5
2021/a/b -OCH(CH3)2 -C6H5
2022/a/b -OCH(CH3)2 -C6H5
Figure imgf000066_0003
2023/a/b -OCH(CH3)2 -C6H5 -F -H s -CH(CH3)2
Figure imgf000067_0001
2001-2095 2001 a-2095a 2001 b-2095b
# _fll Ar R B w Sc Base
2024/a/b -OCH(CH -CeH5 -OH -H O -CH3
2025/a/b -OCH(CH -C6H5 -OH -H S -CH3
2026/a/b -OCH(CH -C6H5 -OH -H o -CH(CH3)2
2027/a/b -OCH(CH -C6H5 -OH -H s -CH(CH3)2
2028/a/b -OCH(CH -C6H5 -F -H o -CH3
2029/a/b -OCH(CH -C6H5 -H s -CH3
2030/a/b -OCH(CH -C6H5 -H o -CH(CH3)2
Figure imgf000067_0002
2031/a/b -OCH(CH -C6H5 -H s -CH(CH3)2
2032/a/b -OCH(CH -C6H5 -OH -H O -CH3
2033/a/b -OCH(CH -C6H5 -OH -H S -CH3
2034/a/b -OCH(CH -C6H5 -OH -H o -CH(CH3)2
2035/a/b -OCH(CH -C6H5 -OH -H s -CH(CH3)2
2036/a/b -OCH(CH -C6H5 -F -H o -CH3
2037/a/b -OCH(CH -C6H5 -H s -CH3
Figure imgf000067_0003
2038/a/b -OCH(CH -C6H5 -H o -CH(CH3)2
2039/a/b -OCH(CH -C6H5 -H s -CH(CH3)2
2040/a/b -OCH(CH -C6H5 -OH -H O -CH3
2041/a/b -OCH(CH -C6H5 -OH -H S -CH3
2042/a/b -OCH(CH -C6H5 -OH -H o -CH(CH3)2
2043/a/b -OCH(CH -C6H5 -OH -H s -CH(CH3)2
2044/a/b -OCH(CH -C6H5 -F -H o -CH3
2045/a/b -OCH(CH -C6H5 -H s -CH3
2046/a/b -OCH(CH -C6H5 -H o -CH(CH3)2
Figure imgf000067_0004
2047/a/b -OCH(CH -C6H5 -H s -CH(CH3)2
2048/a/b -OCH(CH -C6H5 -OH -H O -CH3
2049/a/b -OCH(CH -C6H5 -OH -H S -CH3
2050/a/b -OCH(CH -C6H5 -OH -H o -CH(CH3)2
2051/a/b -OCH(CH -C6H5 -OH -H s -CH(CH3)2
2052/a/b -OCH(CH -C6H5 -F -H o -CH3
2053/a/b -OCH(CH -C6H5 -H s -CH3
Figure imgf000067_0005
2054/a/b -OCH(CH -C6H5 -H o -CH(CH3)2
2055/a/b -OCH(CH -C6H5 -H s -CH(CH3)2
2056/a/b -OCH(CH -C6H5 -OH -H O -CH3
2057/a/b -OCH(CH -C6H5 -OH -H S -CH3
2058/a/b -OCH(CH -C6H5 -OH -H o -CH(CH3)2
2059/a/b -OCH(CH -C6H5 -OH -H s -CH(CH3)2
2060/a/b -OCH(CH -C6H5 -F -H o -CH3
2061/a/b -OCH(CH -C6H5 -H s -CH3
2062/a/b -OCH(CH -C6H5 -H o -CH(CH3)2
2063/a/b -OCH(CH -C6H5 -H s -CH(CH3)2
Figure imgf000067_0006
Figure imgf000068_0001
2001-2095 2001 a-2095a 2001 b-2095b
# _fll Ar R B w Sc Base
2064/a/b -OCH(CH -CeH5 -OH -H O -CH3
2065/a/b -OCH(CH -C6H5 -OH -H S -CH3
2066/a/b -OCH(CH -C6H5 -OH -H o -CH(CH3)2
2067/a/b -OCH(CH -C6H5 -OH -H s -CH(CH3)2
2068/a/b -OCH(CH -C6H5 -F -H o -CH3
2069/a/b -OCH(CH -C6H5 -H s -CH3
2070/a/b -OCH(CH -C6H5 -H o -CH(CH3)2
Figure imgf000068_0002
2071/a/b -OCH(CH -C6H5 -H s -CH(CH3)2
2072/a/b -OCH(CH -C6H5 -OH -H O -CH3
2073/a/b -OCH(CH -C6H5 -OH -H S -CH3
2074/a/b -OCH(CH -C6H5 -OH -H o -CH(CH3)2
2075/a/b -OCH(CH -C6H5 -OH -H s -CH(CH3)2
2076/a/b -OCH(CH -C6H5 -F -H o -CH3
2077/a/b -OCH(CH -C6H5 -H s -CH3
Figure imgf000068_0003
2078/a/b -OCH(CH -C6H5 -H o -CH(CH3)2
2079/a/b -OCH(CH -C6H5 -H s -CH(CH3)2
2080/a/b -OCH(CH -C6H5 -OH -H O -CH3
2081/a/b -OCH(CH -C6H5 -OH -H S -CH3
2082/a/b -OCH(CH -C6H5 -OH -H o -CH(CH3)2
2083/a/b -OCH(CH -C6H5 -OH -H s -CH(CH3)2
2084/a/b -OCH(CH -C6H5 -F -H o -CH3
2085/a/b -OCH(CH -C6H5 -H s -CH3
Figure imgf000068_0004
2086/a/b -OCH(CH -C6H5 -H o -CH(CH3)2
2087/a/b -OCH(CH -C6H5 -H s -CH(CH3)2
2088/a/b -OCH(CH -C6H5 -OH -H O -CH3
2089/a/b -OCH(CH -C6H5 -OH -H S -CH3
2090/a/b -OCH(CH -C6H5 -OH -H o -CH(CH3)2
2091/a/b -OCH(CH -C6H5 -OH -H s -CH(CH3)2
2092/a/b -OCH(CH -C6H5 -F -H o -CH3
2093/a/b -OCH(CH -C6H5 -H s -CH3
Figure imgf000068_0005
2094/a/b -OCH(CH -C6H5 -H o -CH(CH3)2
2095/a/b -OCH(CH -C6H5 -H s -CH(CH3)2 or a pharmaceutically acceptable salt, solvate, stereoisomeric form, tautomeric form or polymorphic form thereof. In the table, each row provides four structures - one according to the left structure (2001-2095), one according to the middle structure (2001a-2095a), and one according to the right structure (2001b-2095b). For instance, the first row provides compound 2001 according to the left structure, compound 2001a according to the middle structure, and compound 2001b according to the right structure, each with the indicated variables in the row. [00164] In certain embodiments provided herein is a compound according to any of Formulas 2096-2190b:
Figure imgf000069_0001
2096/a/b -OCH(CH OH -H O -CH3
2097/a/b -OCH(CH OH -H S -CH3
2098/a/b -OCH(CH3 OH -H o -CH(CH3)2
2099/a/b -OCH(CH OH -H s -CH(CH3)2
2100/a/b -OCH(CH -F -H o -CH3
2101/a/b -OCH(CH -H s -CH3
2102/a/b -OCH(CH3 -H o -CH(CH3)2
Figure imgf000069_0002
2103/a/b -OCH(CH3 -H s -CH(CH3)2
2104/a/b -OCH(CH OH -H O -CH3
2105/a/b -OCH(CH OH -H S -CH3
2106/a/b -OCH(CH3 OH -H o -CH(CH3)2
2107/a/b -OCH(CH OH -H s -CH(CH3)2
2108/a/b -OCH(CH -F -H o -CH3
2109/a/b -OCH(CH -H s -CH3
2110/a/b -OCH(CH3 -H o -CH(CH3)2
Figure imgf000069_0003
2111/a/b -OCH(CH3 -H s -CH(CH3)2
2112/a/b -OCH(CH OH -H O -CH3
2113/a/b -OCH(CH OH -H S -CH3
2114/a/b -OCH(CH3 OH -H o -CH(CH3)2
2115/a/b -OCH(CH OH -H s -CH(CH3)2
2116/a/b -OCH(CH -F -H o -CH3
2117/a/b -OCH(CH -H s -CH3
2118/a/b -OCH(CH3 -H o -CH(CH3)2
Figure imgf000069_0004
2119/a/b -OCH(CH3 -H s -CH(CH3)2
2120/a/b -OCH(CH OH -H O -CH3
2121/a/b -OCH(CH OH -H S -CH3
2122/a/b -OCH(CH3 OH -H o -CH(CH3)2
2123/a/b -OCH(CH OH -H s -CH(CH3)2
2124/a/b -OCH(CH -F -H o -CH3
2125/a/b -OCH(CH -H s -CH3
2126/a/b -OCH(CH3 -H o -CH(CH3)2
Figure imgf000069_0005
2127/a/b -OCH(CH3 -H s -CH(CH3)2
Figure imgf000070_0001
2135/a/b -OCH(CH3 -H s -CH(CH3)2
2136/a/b -OCH(CH3 OH -H O -CH3
2137/a/b -OCH(CH3 OH -H S -CH3
2138/a/b -OCH(CH3 OH -H o -CH(CH3)2 2139/a/b -OCH(CH3 OH -H s -CH(CH3)2 2140/a/b -OCH(CH3 -F -H s -CH3
2141/a/b -OCH(CH3 -H o -CH(CH3)2
Figure imgf000070_0002
2142/a/b -OCH(CH3 -H s -CH(CH3)2
2143/a/b -OCH(CH3 OH -H O -CH3
2144/a/b -OCH(CH3 OH -H S -CH3
2145/a/b -OCH(CH3 OH -H o -CH(CH3)2 2146/a/b -OCH(CH3 OH -H s -CH(CH3)2 2147/a/b -OCH(CH3 -F -H o -CH3
2148/a/b -OCH(CH3 -H s -CH3
Figure imgf000070_0003
2149/a/b -OCH(CH3 -H o -CH(CH3)2 2150/a/b -OCH(CH3 -H s -CH(CH3)2
2151/a/b -OCH(CH3 OH -H O -CH3
2152/a/b -OCH(CH3 OH -H S -CH3
2153/a/b -OCH(CH3 OH -H o -CH(CH3)2 2154/a/b -OCH(CH3 OH -H s -CH(CH3)2 2155/a/b -OCH(CH3 -F -H o -CH3
2156/a/b -OCH(CH3 -H s -CH3
Figure imgf000070_0004
2157/a/b -OCH(CH3 -H o -CH(CH3)2 2158/a/b -OCH(CH3 -H s -CH(CH3)2
2159/a/b -OCH(CH3 OH -H O -CH3
2160/a/b -OCH(CH3 OH -H S -CH3
2161/a/b -OCH(CH3 OH -H o -CH(CH3)2 2162/a/b -OCH(CH3 OH -H s -CH(CH3)2 2163/a/b -OCH(CH3 -F -H o -CH3
2164/a/b -OCH(CH3 -H s -CH3
Figure imgf000070_0005
2165/a/b -OCH(CH3 -H o -CH(CH3)2 2166/a/b -OCH(CH3 -H s -CH(CH3)2
Figure imgf000071_0001
2174/a/b -OCH(CH3)2 -H s -CH(CH3)2
2175/a/b -OCH(CH3)2 -OH -H 0 -CH3
2176/a/b -OCH(CH3)2 -OH -H S -CH3
2177/a/b -OCH(CH3)2 -OH -H 0 -CH(CH3)2 1
2178/a/b -OCH(CH3)2 -OH -H s -CH(CH3)2
2179/a/b -OCH(CH3)2 -F -H 0 -CH3
80/a/b -OCH(CH3)2 -F -H s -CH3 < 1ST i A
21 N NH2
2181/a/b -OCH(CH3)2 -F -H 0 -CH(CH3)2
2182/a/b -OCH(CH3)2 -F -H s -CH(CH3)2
2183/a/b -OCH(CH3)2 -OH -H 0 -CH3
2184/a/b -OCH(CH3)2 -OH -H s -CH3
2185/a/b -OCH(CH3)2 -OH -H 0 -CH(CH3)2
2186/a/b -OCH(CH3)2 -OH -H s -CH(CH3)2
2187/a/b -OCH(CH3)2 -F -H 0 -CH3
2188/a/b -OCH(CH3)2 -F -H s -CH3
Figure imgf000071_0002
2189/a/b -OCH(CH3)2 -F -H 0 -CH(CH3)2
2190/a/b -OCH(CH3)2 -F -H s -CH(CH3)2 or a pharmaceutically acceptable salt, solvate, stereoisomeric form, tautomeric form or polymorphic form thereof. In the table, each row provides four structures - one according to the left structure (2096-2190), one according to the middle structure (2096a-2190a), and one according to the right structure (2096b-2190b). For instance, the first row provides compound 2096according to the left structure, compound 2096a according to the middle structure, and compound 2096b according to the right structure, each with the indicated variables in the row.
[00165] In certain embodiments provided herein is a compound according to any of Formulas 2191-2286b:
Figure imgf000072_0001
2191-2286 2191a-2286a 2191b-2286b
# Qt X RA RB W Sc Base
2191/a/b -OH -OH -OH -H 0 -CH3
2192/a/b -OH -OH -OH -H s -CH3
2193/a/b -OCH(CH3)2 -OH -OH -H 0 -CH3
2194/a/b -OCH(CH3)2 -OH -OH -H s -CH3
2195/a/b -OH -OH -F -H 0 -CH3
2196/a/b -OH -OH -F -H s -CH3
2197/a/b -OCH(CH3)2 -OH -F -H 0 -CH3
Figure imgf000072_0002
2198/a/b -OCH(CH3)2 -OH -F -H s -CH3
2199/a/b -OH -OH -OH -H 0 -CH3
2200/a/b -OH -OH -OH -H S -CH3 0
2201/a/b -OCH(CH3)2 -OH -OH -H 0 -CH3 X
2202/a/b -OCH(CH3)2 -OH -OH -H s -CH3
2203/a/b -OH -OH -F -H 0 -CH3 Cx
2204/a/b -OH -OH -F -H s -CH3
2205/a/b -OCH(CH3)2 -OH -F -H 0 -CH3
2206/a/b -OCH(CH3)2 -OH -F -H s -CH3
2207/a/b -OH -OH -OH -H 0 -CH3
2208/a/b -OH -OH -OH -H S -CH3
2209/a/b -OCH(CH3)2 -OH -OH -H 0 -CH3
2210/a/b -OCH(CH3)2 -OH -OH -H s -CH3
2211/a/b -OH -OH -F -H 0 -CH3
2212/a/b -OH -OH -F -H s -CH3
2213/a/b -OCH(CH3)2 -OH -F -H 0 -CH3
Figure imgf000072_0003
2214/a/b -OCH(CH3)2 -OH -F -H s -CH3
2215/a/b -OH -OH -OH -H 0 -CH3
2216/a/b -OH -OH -OH -H S -CH3
2217/a/b -OCH(CH3)2 -OH -OH -H 0 -CH3
2218/a/b -OCH(CH3)2 -OH -OH -H s -CH3
2219/a/b -OH -OH -F -H 0 -CH3
2220/a/b -OH -OH -F -H s -CH3
2221/a/b -OCH(CH3)2 -OH -F -H 0 -CH3
Figure imgf000072_0004
2222/a/b -OCH(CH3)2 -OH -F -H s -CH3
2223/a/b -OH -OH -OH -H O -CH3
2224/a/b -OH -OH -OH -H S -CH3
2225/a/b -OCH(CH3)2 -OH -OH -H o -CH3
2226/a/b -OCH(CH3)2 -OH -OH -H s -CH3
2227/a/b -OH -OH -F -H o -CH3
2228/a/b -OH -OH -H s -CH3
Figure imgf000072_0005
2229/a/b -OCH(CH3)2 -OH -H o -CH3
2230/a/b -OCH(CH3)2 -OH -H s -CH3
Figure imgf000073_0001
2191a-2286a 2191b-2286b
# X R B w Sc Base
2231/a/b -OH -OH -OH -H 0 -CH3
2232/a/b -OH -OH -OH -H S -CH3
2233/a/b -OCH(CH3)2 -OH -OH -H 0 -CH3
2234/a/b -OCH(CH3)2 -OH -OH -H s -CH3
2235/a/b -OH -OH -F -H 0 -CH3
2236/a/b -OH -OH -F -H s -CH3
2237/a/b
Figure imgf000073_0002
-OCH(CH3)2 -OH -F -H 0 -CH3
2238/a/b -OCH(CH3)2 -OH -F -H s -CH3
Figure imgf000073_0003
2247/a/b -OH -OH -OH -H 0 -CH3
2248/a/b -OH -OH -OH -H S -CH3
2249/a/b -OCH(CH3)2 -OH -OH -H 0 -CH3
2250/a/b -OCH(CH3)2 -OH -OH -H s -CH3
2251/a/b -OH -OH -F -H 0 -CH3
2252/a/b -OH -OH -F -H s -CH3
Figure imgf000073_0004
2253/a/b -OCH(CH3)2 -OH -F -H 0 -CH3
2254/a/b -OCH(CH3)2 -OH -F -H s -CH3
2255/a/b -OH -OH -OH -H 0 -CH3
2256/a/b -OH -OH -OH -H S -CH3
NH2
2257/a/b -OCH(CH3)2 -OH -OH -H 0 -CH3 [
2258/a/b -OCH(CH3)2 -OH -OH -H s -CH3
il
2259/a/b -OH -OH -F -H 0 -CH3 i X V
2260/a/b -OH -OH -F -H s -CH3 N^O
2261/a/b -OCH(CH3)2 -OH -F -H 0 -CH3
2262/a/b -OCH(CH3)2 -OH -F -H s -CH3
2263/a/b -OH -OH -OH -H O -CH3
2264/a/b -OH -OH -OH -H S -CH3
2265/a/b -OCH(CH3)2 -OH -OH -H o -CH3
2266/a/b -OCH(CH3)2 -OH -OH -H s -CH3
2267/a/b -OH -OH -F -H o -CH3
Figure imgf000073_0005
2268/a/b -OH -OH -H s -CH3
2269/a/b -OCH(CH3)2 -OH -H o -CH3
2270/a/b -OCH(CH3)2 -OH -H s -CH3
Figure imgf000074_0001
2191-2286 2191a-2286a 2191b-2286b
# X RA RB W Sc Base
Figure imgf000074_0002
2279/a/b -OH -OH -OH -H 0 -CH3
2280/a/b -OH -OH -OH -H s -CH3
2281/a/b -OCH(CH3)2 -OH -OH -H 0 -CH3
2282/a/b -OCH(CH3)2 -OH -OH -H s -CH3
2283/a/b -OH -OH -F -H 0 -CH3
2284/a/b -OH -OH -F -H s -CH3
Figure imgf000074_0003
2285/a/b -OCH(CH3)2 -OH -F -H 0 -CH3
2286/a/b -OCH(CH3)2 -OH -F -H s -CH3 or a pharmaceutically acceptable salt, solvate, stereoisomeric form, tautomeric form or polymorphic form thereof. In the table, each row provides four structures - one according to the left structure (2191-2286), one according to the middle structure (2191a-2286a), and one according to the right structure (2191b-2286b). For instance, the first row provides
compound 2191 according to the left structure, compound 2191a according to the middle structure, and compound 2191b according to the right structure, each with the indicated variables in the row.
[00166] In certain embodiments, provided herein are compounds according to the following:
(a) compounds as described herein, e.g., of Formula AI, I-XVII, 101-152d, 1001-1024b and 2001 -2286b, and pharmaceutically acceptable salts and compositions thereof;
(b) compounds as described herein, e.g., of Formula AI, I-XVII, 101-152d, 1001-1024b and 2001 -2286b, and pharmaceutically acceptable salts and compositions thereof for use in the treatment and/or prophylaxis of a liver disorder including Flaviviridae infection, especially in individuals diagnosed as having a Flaviviridae infection or being at risk of becoming infected by hepatitis C; (c) processes for the preparation of compounds as described herein, e.g., of Formula AI, I- XVII, 101-152d, 1001-1024b and 2001 -2286b, as described in more detail elsewhere herein;
(d) pharmaceutical formulations comprising a compound as described herein, e.g., of
Formula AI, I-XVII, 101-152d, 1001-1024b and 2001 -2286b, or a pharmaceutically acceptable salt thereof together with a pharmaceutically acceptable carrier or diluent;
(e) pharmaceutical formulations comprising a compound as described herein, e.g., of
Formula AI, I-XVII, 101-152d, 1001-1024b and 2001 -2286b, or a pharmaceutically acceptable salt thereof together with one or more other effective anti-HCV agents, optionally in a pharmaceutically acceptable carrier or diluent;
(f) a method for the treatment and/or prophylaxis of a host infected with Flaviviridae that includes the administration of an effective amount of a compound as described herein, e.g., of Formula AI, I-XVII, 101-152d, 1001-1024b and 2001 -2286b, its
pharmaceutically acceptable salt or composition; or
(g) a method for the treatment and/or prophylaxis of a host infected with Flaviviridae that includes the administration of an effective amount of a compounds as described herein, e.g., of Formula AI, I-XVII, 101-152d, 1001-1024b and 2001 -2286b, its
pharmaceutically acceptable salt or composition in combination and/or alternation with one or more effective anti-HCV agent.
Optically Active Compounds
[00167] It is appreciated that compounds provided herein have several chiral centers and may exist in and be isolated in optically active and racemic forms. Some compounds may exhibit polymorphism. It is to be understood that any racemic, optically-active,
diastereomeric, polymorphic, or stereoisomeric form, or mixtures thereof, of a compound provided herein, which possess the useful properties described herein is within the scope of the invention. It being well known in the art how to prepare optically active forms (for example, by resolution of the racemic form by recrystallization techniques, by synthesis from optically- active starting materials, by chiral synthesis, or by chromatographic separation using a chiral stationary phase).
[00168] In particular, since the 1 ' and 4' carbons of a nucleoside are chiral, their non- hydrogen substituents (the base and the CHOR groups, respectively) can be either cis (on the same side) or trans (on opposite sides) with respect to the sugar ring system. The four optical isomers therefore are represented by the following configurations (when orienting the sugar moiety in a horizontal plane such that the oxygen atom is in the back): cis (with both groups "up", which corresponds to the configuration of naturally occurring β-D nucleosides), cis (with both groups "down", which is a non-naturally occurring β-L configuration), trans (with the CT substituent "up" and the C4' substituent "down"), and trans (with the CT substituent "down" and the C4' substituent "up"). The "D-nucleosides" are cis nucleosides in a natural configuration and the "L-nucleosides" are cis nucleosides in the non-naturally occurring configuration.
[00169] Likewise, most amino acids are chiral (designated as L or D, wherein the L enantiomer is the naturally occurring configuration) and can exist as separate enantiomers.
[00170] Examples of methods to obtain optically active materials are known in the art, and include at least the following. i) physical separation of crystals - a technique whereby macroscopic
crystals of the individual enantiomers are manually separated. This technique can be used if crystals of the separate enantiomers exist, i.e., the material is a conglomerate, and the crystals are visually distinct; ii) simultaneous crystallization - a technique whereby the individual
enantiomers are separately crystallized from a solution of the racemate, possible only if the latter is a conglomerate in the solid state; iii) enzymatic resolutions - a technique whereby partial or complete
separation of a racemate by virtue of differing rates of reaction for the enantiomers with an enzyme; iv) enzymatic asymmetric synthesis - a synthetic technique whereby at least one step of the synthesis uses an enzymatic reaction to obtain an enantiomerically pure or enriched synthetic precursor of the desired enantiomer; v) chemical asymmetric synthesis - a synthetic technique whereby the desired enantiomer is synthesized from an achiral precursor under conditions that produce asymmetry (i.e., chirality) in the product, which may be achieved using chiral catalysts or chiral auxiliaries; diastereomer separations - a technique whereby a racemic compound is reacted with an enantiomerically pure reagent (the chiral auxiliary) that converts the individual enantiomers to diastereomers. The resulting diastereomers are then separated by chromatography or crystallization by virtue of their now more distinct structural differences and the chiral auxiliary later removed to obtain the desired enantiomer; first- and second-order asymmetric transformations - a technique whereby diastereomers from the racemate equilibrate to yield a preponderance in solution of the diastereomer from the desired enantiomer or where preferential crystallization of the diastereomer from the desired enantiomer perturbs the equilibrium such that eventually in principle all the material is converted to the crystalline diastereomer from the desired enantiomer. The desired enantiomer is then released from the diastereomer; kinetic resolutions - this technique refers to the achievement of partial or complete resolution of a racemate (or of a further resolution of a partially resolved compound) by virtue of unequal reaction rates of the enantiomers with a chiral, non-racemic reagent or catalyst under kinetic conditions; enantiospecific synthesis from non-racemic precursors - a synthetic technique whereby the desired enantiomer is obtained from non-chiral starting materials and where the stereochemical integrity is not or is only minimally compromised over the course of the synthesis; chiral liquid chromatography - a technique whereby the enantiomers of a racemate are separated in a liquid mobile phase by virtue of their differing interactions with a stationary phase. The stationary phase can be made of chiral material or the mobile phase can contain an additional chiral material to provoke the differing interactions; chiral gas chromatography - a technique whereby the racemate is volatilized and enantiomers are separated by virtue of their differing interactions in the gaseous mobile phase with a column containing a fixed non-racemic chiral adsorbent phase; xii) extraction with chiral solvents - a technique whereby the enantiomers are separated by virtue of preferential dissolution of one enantiomer into a particular chiral solvent; xiii) transport across chiral membranes - a technique whereby a racemate is placed in contact with a thin membrane barrier. The barrier typically separates two miscible fluids, one containing the racemate, and a driving force such as concentration or pressure differential causes preferential transport across the membrane barrier. Separation occurs as a result of the non-racemic chiral nature of the membrane which allows only one enantiomer of the racemate to pass through.
[00171] In some embodiments, provided is a composition of a D-alanine
thiophosphoramidate pronucleotide of a nucleoside compound that comprises a substantially pure designated enantiomer of the D-alanine thiophosphoramidate pronucleotide of a nucleoside compound. In certain embodiments, in the methods and compounds of this invention, the compounds are substantially free of other enantiomers. In some embodiments, a composition includes a compound that is at least 85%, 90%, 95%, 98%, 99% or 100% by weight, of the compound, the remainder comprising other chemical species or enantiomers.
Isotopically Enriched Compounds
[00172] Also provided herein are isotopically enriched compounds, including but not limited to isotopically enriched D-alanine thiophosphoramidate pronucleotides of nucleoside compounds.
[00173] Isotopic enrichment (for example, deuteration) of pharmaceuticals to improve pharmacokinetics ("PK"), pharmacodynamics ("PD"), and toxicity profiles, has been demonstrated previously with some classes of drugs. See, for example, Lijinsky et. al, Food Cosmet. Toxicol, 20: 393 (1982); Lijinsky et. al, J. Nat. Cancer Inst., 69: 1127 (1982);
Mangold et. al, Mutation Res. 308: 33 (1994); Gordon et. al, Drug Metab. Dispos., 15: 589 (1987); Zello et. al, Metabolism, 43: 487 (1994); Gately et. al, J. Nucl. Med., 27: 388 (1986); Wade D, Chem. Biol. Interact. 117: 191 (1999).
[00174] Isotopic enrichment of a drug can be used, for example, to (1) reduce or eliminate unwanted metabolites, (2) increase the half-life of the parent drug, (3) decrease the number of doses needed to achieve a desired effect, (4) decrease the amount of a dose necessary to achieve a desired effect, (5) increase the formation of active metabolites, if any are formed, and/or (6) decrees the production of deleterious metabolites in specific tissues and/or create a more effective drug and/or a safer drug for combination therapy, whether the combination therapy is intentional or not.
[00175] Replacement of an atom for one of its isotopes often will result in a change in the reaction rate of a chemical reaction. This phenomenon is known as the Kinetic Isotope Effect ("KIE"). For example, if a C-H bond is broken during a rate-determining step in a chemical reaction (i.e. the step with the highest transition state energy), substitution of a deuterium for that hydrogen will cause a decrease in the reaction rate and the process will slow down. This phenomenon is known as the Deuterium Kinetic Isotope Effect ("DKIE"). (See, e.g., Foster et ah, Adv. Drug Res., vol. 14, pp. 1-36 (1985); Kushner et ah, Can. J. Physiol. Pharmacol, vol. 77, pp. 79-88 (1999)).
[00176] The magnitude of the DKIE can be expressed as the ratio between the rates of a given reaction in which a C-H bond is broken, and the same reaction where deuterium is substituted for hydrogen. The DKIE can range from about 1 (no isotope effect) to very large numbers, such as 50 or more, meaning that the reaction can be fifty, or more, times slower when deuterium is substituted for hydrogen. High DKIE values may be due in part to a phenomenon known as tunneling, which is a consequence of the uncertainty principle.
Tunneling is ascribed to the small mass of a hydrogen atom, and occurs because transition states involving a proton can sometimes form in the absence of the required activation energy. Because deuterium has more mass than hydrogen, it statistically has a much lower probability of undergoing this phenomenon.
[00177] Tritium ("T") is a radioactive isotope of hydrogen, used in research, fusion reactors, neutron generators and radiopharmaceuticals. Tritium is a hydrogen atom that has 2 neutrons in the nucleus and has an atomic weight close to 3. It occurs naturally in the environment in very low concentrations, most commonly found as T20. Tritium decays slowly (half-life = 12.3 years) and emits a low energy beta particle that cannot penetrate the outer layer of human skin. Internal exposure is the main hazard associated with this isotope, yet it must be ingested in large amounts to pose a significant health risk. As compared with deuterium, a lesser amount of tritium must be consumed before it reaches a hazardous level. Substitution of tritium ("T") for hydrogen results in yet a stronger bond than deuterium and gives numerically larger isotope effects. Similarly, substitution of isotopes for other elements, including, but not limited to,13C or14C for carbon,33S,34S, or36S for sulfur,15N for nitrogen, and170 or180 for oxygen, may lead to a similar kinetic isotope effect. [00178] For example, the DKIE was used to decrease the hepatotoxicity of halothane by presumably limiting the production of reactive species such as trifluoroacetyl chloride.
However, this method may not be applicable to all drug classes. For example, deuterium incorporation can lead to metabolic switching. The concept of metabolic switching asserts that xenogens, when sequestered by Phase I enzymes, may bind transiently and re-bind in a variety of conformations prior to the chemical reaction (e.g., oxidation). This hypothesis is supported by the relatively vast size of binding pockets in many Phase I enzymes and the promiscuous nature of many metabolic reactions. Metabolic switching can potentially lead to different proportions of known metabolites as well as altogether new metabolites. This new metabolic profile may impart more or less toxicity.
[00179] The animal body expresses a variety of enzymes for the purpose of eliminating foreign substances, such as therapeutic agents, from its circulation system. Examples of such enzymes include the cytochrome P450 enzymes ("CYPs"), esterases, proteases, reductases, dehydrogenases, and monoamine oxidases, to react with and convert these foreign substances to more polar intermediates or metabolites for renal excretion. Some of the most common metabolic reactions of pharmaceutical compounds involve the oxidation of a carbon-hydrogen (C-H) bond to either a carbon-oxygen (C-O) or carbon-carbon (C-C) pi-bond. The resultant metabolites may be stable or unstable under physiological conditions, and can have
substantially different pharmacokinetic, pharmacodynamic, and acute and long-term toxicity profiles relative to the parent compounds. For many drugs, such oxidations are rapid. These drugs therefore often require the administration of multiple or high daily doses.
[00180] Therefore, isotopic enrichment at certain positions of a compound provided herein will produce a detectable KIE that will affect the pharmacokinetic, pharmacologic, and/or toxicological profiles of a compound provided herein in comparison with a similar compound having a natural isotopic composition.
Preparation of Compounds
[00181] The compounds provided herein can be prepared, isolated or obtained by any method apparent to those of skill in the art. Compounds provided herein can be prepared according to the Exemplary Preparation Schemes provided below. Reaction conditions, steps and reactants not provided in the Exemplary Preparation Schemes would be apparent to, and known by, those skilled in the art. Exemplary Preparation Scheme 1
Exem lary Preparation Scheme 1
Figure imgf000081_0001
[00182] In Exemplary Preparation Scheme 1 , R Base, RA, RB, Rc, RD, RE and Ar are as described herein in the context of Formula I or AI. Nucleosides can be prepared according to international application nos. PCT/US 13/063731 and PCT/US13/065892, and U.S. provisional application nos. 61/807,266, 61/807,268, 61/726,521, 61/726,522, 61/889,384, and 61/807,259, the contents of which are hereby incorporated by reference in their entireties. In certain embodiments, one or more protection or deprotection steps may be included in the methods of preparation described in Exemplary Preparation Scheme 1. In certain embodiments, provided herein is a compound prepared according to the above Exemplary Preparation Scheme 1.
[00183] In certain embodiments, compounds provided herein can be prepared according to the Exemplary Preparation Scheme 2 or 3, as discussed further herein.
Exemplary Preparation Scheme 2
Figure imgf000081_0002
[00184] In Exemplary Preparation Schemes 2 and 3, Base, M, W, X, Z, RA, RB, Sc and Q1 are as described herein in the context of Formula 1001. In certain embodiments, one or more protection or deprotection steps may be included in the methods of preparation described in Exemplary Preparation Schemes 2 and 3. In certain embodiments, provided herein is a compound prepared according to the above Exemplary Preparation Scheme 2 or 3.
Pharmaceutical Compositions and Methods of Administration
[00185] D-alanine thiophosphoramidate pronucleotides of nucleoside compounds can be formulated into pharmaceutical compositions using methods available in the art and those disclosed herein. Any of the compounds disclosed herein can be provided in the appropriate pharmaceutical composition and be administered by a suitable route of administration.
[00186] The methods provided herein encompass administering pharmaceutical compositions containing at least one compound as described herein, including a compound of general Formula AI, I-XVII, 101-152d, 1001-1024b and 2001 -2286b, if appropriate in the salt form, either used alone or in the form of a combination with one or more compatible and pharmaceutically acceptable carriers, such as diluents or adjuvants, or with another anti-HCV agent.
[00187] In certain embodiments, the second agent can be formulated or packaged with the compound provided herein. Of course, the second agent will only be formulated with the compound provided herein when, according to the judgment of those of skill in the art, such co-formulation should not interfere with the activity of either agent or the method of administration. In certain embodiments, the compound provided herein and the second agent are formulated separately. They can be packaged together, or packaged separately, for the convenience of the practitioner of skill in the art.
[00188] In clinical practice the active agents provided herein may be administered by any conventional route, in particular orally, parenterally, rectally or by inhalation {e.g. in the form of aerosols). In certain embodiments, the compound provided herein is administered orally.
[00189] Use may be made, as solid compositions for oral administration, of tablets, pills, hard gelatin capsules, powders or granules. In these compositions, the active product is mixed with one or more inert diluents or adjuvants, such as sucrose, lactose or starch.
[00190] These compositions can comprise substances other than diluents, for example a lubricant, such as magnesium stearate, or a coating intended for controlled release. [00191] Use may be made, as liquid compositions for oral administration, of solutions which are pharmaceutically acceptable, suspensions, emulsions, syrups and elixirs containing inert diluents, such as water or liquid paraffin. These compositions can also comprise substances other than diluents, for example wetting, sweetening or flavoring products.
[00192] The compositions for parenteral administration can be emulsions or sterile solutions. Use may be made, as solvent or vehicle, of propylene glycol, a polyethylene glycol, vegetable oils, in particular olive oil, or injectable organic esters, for example ethyl oleate. These compositions can also contain adjuvants, in particular wetting, isotonizing, emulsifying, dispersing and stabilizing agents. Sterilization can be carried out in several ways, for example using a bacteriological filter, by radiation or by heating. They can also be prepared in the form of sterile solid compositions which can be dissolved at the time of use in sterile water or any other injectable sterile medium.
[00193] The compositions for rectal administration are suppositories or rectal capsules which contain, in addition to the active principle, excipients such as cocoa butter, semisynthetic glycerides or polyethylene glycols.
[00194] The compositions can also be aerosols. For use in the form of liquid aerosols, the compositions can be stable sterile solutions or solid compositions dissolved at the time of use in apyrogenic sterile water, in saline or any other pharmaceutically acceptable vehicle. For use in the form of dry aerosols intended to be directly inhaled, the active principle is finely divided and combined with a water-soluble solid diluent or vehicle, for example dextran, mannitol or lactose.
[00195] In certain embodiments, a composition provided herein is a pharmaceutical composition or a single unit dosage form. Pharmaceutical compositions and single unit dosage forms provided herein comprise a prophylactically or therapeutically effective amount of one or more prophylactic or therapeutic agents (e.g. , a compound provided herein, or other prophylactic or therapeutic agent), and a typically one or more pharmaceutically acceptable carriers or excipients. In a specific embodiment and in this context, the term
"pharmaceutically acceptable" means approved by a regulatory agency of the Federal or a state government or listed in the U.S. Pharmacopeia or other generally recognized pharmacopeia for use in animals, and more particularly in humans. The term "carrier" includes a diluent, adjuvant (e.g., Freund's adjuvant (complete and incomplete)), excipient, or vehicle with which the therapeutic is administered. Such pharmaceutical carriers can be sterile liquids, such as water and oils, including those of petroleum, animal, vegetable or synthetic origin, such as peanut oil, soybean oil, mineral oil, sesame oil and the like. Water can be used as a carrier when the pharmaceutical composition is administered intravenously. Saline solutions and aqueous dextrose and glycerol solutions can also be employed as liquid carriers, particularly for injectable solutions. Examples of suitable pharmaceutical carriers are described in
"Remington's Pharmaceutical Sciences" by E.W. Martin.
[00196] Typical pharmaceutical compositions and dosage forms comprise one or more excipients. Suitable excipients are well-known to those skilled in the art of pharmacy, and non-limiting examples of suitable excipients include starch, glucose, lactose, sucrose, gelatin, malt, rice, flour, chalk, silica gel, sodium stearate, glycerol monostearate, talc, sodium chloride, dried skim milk, glycerol, propylene, glycol, water, ethanol and the like. Whether a particular excipient is suitable for incorporation into a pharmaceutical composition or dosage form depends on a variety of factors well known in the art including, but not limited to, the way in which the dosage form will be administered to a subject and the specific active ingredients in the dosage form. The composition or single unit dosage form, if desired, can also contain minor amounts of wetting or emulsifying agents, or pH buffering agents.
[00197] Lactose free compositions provided herein can comprise excipients that are well known in the art and are listed, for example, in the U.S. Pharmocopia (USP) SP (XXI)/NF (XVI). In general, lactose free compositions comprise an active ingredient, a binder/filler, and a lubricant in pharmaceutically compatible and pharmaceutically acceptable amounts.
Exemplary lactose free dosage forms comprise an active ingredient, microcrystalline cellulose, pre gelatinized starch, and magnesium stearate.
[00198] Further encompassed herein are anhydrous pharmaceutical compositions and dosage forms comprising active ingredients, since water can facilitate the degradation of some compounds. For example, the addition of water (e.g., 5%) is widely accepted in the
pharmaceutical arts as a means of simulating long term storage in order to determine characteristics such as shelf life or the stability of formulations over time. See, e.g., Jens T. Carstensen, Drug Stability: Principles & Practice, 2d. Ed., Marcel Dekker, New York, 1995, pp. 379 80. In effect, water and heat accelerate the decomposition of some compounds. Thus, the effect of water on a formulation can be of great significance since moisture and/or humidity are commonly encountered during manufacture, handling, packaging, storage, shipment, and use of formulations. [00199] Anhydrous pharmaceutical compositions and dosage forms provided herein can be prepared using anhydrous or low moisture containing ingredients and low moisture or low humidity conditions. Pharmaceutical compositions and dosage forms that comprise lactose and at least one active ingredient that comprises a primary or secondary amine can be anhydrous if substantial contact with moisture and/or humidity during manufacturing, packaging, and/or storage is expected.
[00200] An anhydrous pharmaceutical composition should be prepared and stored such that its anhydrous nature is maintained. Accordingly, anhydrous compositions can be packaged using materials known to prevent exposure to water such that they can be included in suitable formulary kits. Examples of suitable packaging include, but are not limited to, hermetically sealed foils, plastics, unit dose containers (e.g., vials), blister packs, and strip packs.
[00201] Further provided are pharmaceutical compositions and dosage forms that comprise one or more compounds that reduce the rate by which an active ingredient will decompose. Such compounds, which are referred to herein as "stabilizers," include, but are not limited to, antioxidants such as ascorbic acid, pH buffers, or salt buffers.
[00202] The pharmaceutical compositions and single unit dosage forms can take the form of solutions, suspensions, emulsion, tablets, pills, capsules, powders, sustained-release formulations and the like. Oral formulation can include standard carriers such as
pharmaceutical grades of mannitol, lactose, starch, magnesium stearate, sodium saccharine, cellulose, magnesium carbonate, etc. Such compositions and dosage forms will contain a prophylactically or therapeutically effective amount of a prophylactic or therapeutic agent, in certain embodiments, in purified form, together with a suitable amount of carrier so as to provide the form for proper administration to the subject. The formulation should suit the mode of administration. In a certain embodiment, the pharmaceutical compositions or single unit dosage forms are sterile and in suitable form for administration to a subject, for example, an animal subject, such as a mammalian subject, for example, a human subject.
[00203] A pharmaceutical composition is formulated to be compatible with its intended route of administration. Examples of routes of administration include, but are not limited to, parenteral, e.g., intravenous, intradermal, subcutaneous, intramuscular, subcutaneous, oral, buccal, sublingual, inhalation, intranasal, transdermal, topical, transmucosal, intra-tumoral, intra-synovial and rectal administration. In a specific embodiment, the composition is formulated in accordance with routine procedures as a pharmaceutical composition adapted for intravenous, subcutaneous, intramuscular, oral, intranasal or topical administration to human beings. In an embodiment, a pharmaceutical composition is formulated in accordance with routine procedures for subcutaneous administration to human beings. Typically, compositions for intravenous administration are solutions in sterile isotonic aqueous buffer. Where necessary, the composition may also include a solubilizing agent and a local anesthetic such as lignocamne to ease pain at the site of the injection.
[00204] Examples of dosage forms include, but are not limited to: tablets; caplets; capsules, such as soft elastic gelatin capsules; cachets; troches; lozenges; dispersions; suppositories; ointments; cataplasms (poultices); pastes; powders; dressings; creams; plasters; solutions; patches; aerosols (e.g., nasal sprays or inhalers); gels; liquid dosage forms suitable for oral or mucosal administration to a subject, including suspensions (e.g., aqueous or non-aqueous liquid suspensions, oil in water emulsions, or a water in oil liquid emulsions), solutions, and elixirs; liquid dosage forms suitable for parenteral administration to a subject; and sterile solids (e.g. , crystalline or amorphous solids) that can be reconstituted to provide liquid dosage forms suitable for parenteral administration to a subject.
[00205] The composition, shape, and type of dosage forms provided herein will typically vary depending on their use. For example, a dosage form used in the initial treatment of viral infection may contain larger amounts of one or more of the active ingredients it comprises than a dosage form used in the maintenance treatment of the same infection. Similarly, a parenteral dosage form may contain smaller amounts of one or more of the active ingredients it comprises than an oral dosage form used to treat the same disease or disorder. These and other ways in which specific dosage forms encompassed herein will vary from one another will be readily apparent to those skilled in the art. See, e.g., Remington's Pharmaceutical Sciences, 20th ed., Mack Publishing, Easton PA (2000).
[00206] Generally, the ingredients of compositions are supplied either separately or mixed together in unit dosage form, for example, as a dry lyophilized powder or water free concentrate in a hermetically sealed container such as an ampoule or sachette indicating the quantity of active agent. Where the composition is to be administered by infusion, it can be dispensed with an infusion bottle containing sterile pharmaceutical grade water or saline.
Where the composition is administered by injection, an ampoule of sterile water for injection or saline can be provided so that the ingredients may be mixed prior to administration. [00207] Typical dosage forms comprise a compound provided herein, or a pharmaceutically acceptable salt, solvate or hydrate thereof lie within the range of from about 0.1 mg to about 1000 mg per day, given as a single once-a-day dose in the morning or as divided doses throughout the day taken with food. Particular dosage forms can have about 0.1 , 0.2, 0.3, 0.4, 0.5, 1.0, 2.0, 2.5, 5.0, 10.0, 15.0, 20.0, 25.0, 50.0, 100, 200, 250, 500 or 1000 mg of the active compound.
Oral Dosage Forms
[00208] Pharmaceutical compositions that are suitable for oral administration can be presented as discrete dosage forms, such as, but are not limited to, tablets {e.g., chewable tablets), caplets, capsules, and liquids {e.g., flavored syrups). Such dosage forms contain predetermined amounts of active ingredients, and may be prepared by methods of pharmacy well known to those skilled in the art. See generally, Remington's Pharmaceutical Sciences, 20th ed., Mack Publishing, Easton PA (2000).
[00209] In certain embodiments, the oral dosage forms are solid and prepared under anhydrous conditions with anhydrous ingredients, as described in detail herein. However, the scope of the compositions provided herein extends beyond anhydrous, solid oral dosage forms. As such, further forms are described herein.
[00210] Typical oral dosage forms are prepared by combining the active ingredient(s) in an intimate admixture with at least one excipient according to conventional pharmaceutical compounding techniques. Excipients can take a wide variety of forms depending on the form of preparation desired for administration. For example, excipients suitable for use in oral liquid or aerosol dosage forms include, but are not limited to, water, glycols, oils, alcohols, flavoring agents, preservatives, and coloring agents. Examples of excipients suitable for use in solid oral dosage forms {e.g., powders, tablets, capsules, and caplets) include, but are not limited to, starches, sugars, micro crystalline cellulose, diluents, granulating agents, lubricants, binders, and disintegrating agents.
[00211] Because of their ease of administration, tablets and capsules represent the most advantageous oral dosage unit forms, in which case solid excipients are employed. If desired, tablets can be coated by standard aqueous or non-aqueous techniques. Such dosage forms can be prepared by any of the methods of pharmacy. In general, pharmaceutical compositions and dosage forms are prepared by uniformly and intimately admixing the active ingredients with liquid carriers, finely divided solid carriers, or both, and then shaping the product into the desired presentation if necessary.
[00212] For example, a tablet can be prepared by compression or molding. Compressed tablets can be prepared by compressing in a suitable machine the active ingredients in a free flowing form such as powder or granules, optionally mixed with an excipient. Molded tablets can be made by molding in a suitable machine a mixture of the powdered compound moistened with an inert liquid diluent.
[00213] Examples of excipients that can be used in oral dosage forms include, but are not limited to, binders, fillers, disintegrants, and lubricants. Binders suitable for use in
pharmaceutical compositions and dosage forms include, but are not limited to, corn starch, potato starch, or other starches, gelatin, natural and synthetic gums such as acacia, sodium alginate, alginic acid, other alginates, powdered tragacanth, guar gum, cellulose and its derivatives (e.g., ethyl cellulose, cellulose acetate, carboxymethyl cellulose calcium, sodium carboxymethyl cellulose), polyvinyl pyrrolidone, methyl cellulose, pre gelatinized starch, hydroxypropyl methyl cellulose, (e.g., Nos. 2208, 2906, 2910), microcrystalline cellulose, and mixtures thereof.
[00214] Examples of fillers suitable for use in the pharmaceutical compositions and dosage forms disclosed herein include, but are not limited to, talc, calcium carbonate (e.g., granules or powder), microcrystalline cellulose, powdered cellulose, dextrates, kaolin, mannitol, silicic acid, sorbitol, starch, pre gelatinized starch, and mixtures thereof. The binder or filler in pharmaceutical compositions is typically present in from about 50 to about 99 weight percent of the pharmaceutical composition or dosage form.
[00215] Suitable forms of microcrystalline cellulose include, but are not limited to, the materials sold as AVICEL PH 101 , AVICEL PH 103 AVICEL RC 581 , AVICEL PH 105 (available from FMC Corporation, American Viscose Division, Avicel Sales, Marcus Hook, PA), and mixtures thereof. A specific binder is a mixture of microcrystalline cellulose and sodium carboxymethyl cellulose sold as AVICEL RC 581. Suitable anhydrous or low moisture excipients or additives include AVICEL PH 103™ and Starch 1500 LM.
[00216] Disintegrants are used in the compositions to provide tablets that disintegrate when exposed to an aqueous environment. Tablets that contain too much disintegrant may disintegrate in storage, while those that contain too little may not disintegrate at a desired rate or under the desired conditions. Thus, a sufficient amount of disintegrant that is neither too much nor too little to detrimentally alter the release of the active ingredients should be used to form solid oral dosage forms. The amount of disintegrant used varies based upon the type of formulation, and is readily discernible to those of ordinary skill in the art. Typical
pharmaceutical compositions comprise from about 0.5 to about 15 weight percent of disintegrant, specifically from about 1 to about 5 weight percent of disintegrant.
[00217] Disintegrants that can be used in pharmaceutical compositions and dosage forms include, but are not limited to, agar, alginic acid, calcium carbonate, micro crystalline cellulose, croscarmellose sodium, crospovidone, polacrilin potassium, sodium starch glycolate, potato or tapioca starch, pre gelatinized starch, other starches, clays, other algins, other celluloses, gums, and mixtures thereof.
[00218] Lubricants that can be used in pharmaceutical compositions and dosage forms include, but are not limited to, calcium stearate, magnesium stearate, mineral oil, light mineral oil, glycerin, sorbitol, mannitol, polyethylene glycol, other glycols, stearic acid, sodium lauryl sulfate, talc, hydrogenated vegetable oil (e.g., peanut oil, cottonseed oil, sunflower oil, sesame oil, olive oil, corn oil, and soybean oil), zinc stearate, ethyl oleate, ethyl laureate, agar, and mixtures thereof. Additional lubricants include, for example, a syloid silica gel (AEROSIL 200, manufactured by W.R. Grace Co. of Baltimore, MD), a coagulated aerosol of synthetic silica (marketed by Degussa Co. of Piano, TX), CAB O SIL (a pyrogenic silicon dioxide product sold by Cabot Co. of Boston, MA), and mixtures thereof. If used at all, lubricants are typically used in an amount of less than about 1 weight percent of the pharmaceutical compositions or dosage forms into which they are incorporated.
Delayed Release Dosage Forms
[00219] Active ingredients such as the compounds provided herein can be administered by controlled release means or by delivery devices that are well known to those of ordinary skill in the art. Examples include, but are not limited to, those described in U.S. Patent Nos.:
3,845,770; 3,916,899; 3,536,809; 3,598,123; and 4,008,719; 5,674,533; 5,059,595; 5,591,767; 5,120,548; 5,073,543; 5,639,476; 5,354,556; 5,639,480; 5,733,566; 5,739,108; 5,891,474; 5,922,356; 5,972,891; 5,980,945; 5,993,855; 6,045,830; 6,087,324; 6,113,943; 6,197,350; 6,248,363; 6,264,970; 6,267,981; 6,376,461; 6,419,961; 6,589,548; 6,613,358; and 6,699,500; each of which is incorporated herein by reference in its entirety. Such dosage forms can be used to provide slow or controlled release of one or more active ingredients using, for example, hydropropylmethyl cellulose, other polymer matrices, gels, permeable membranes, osmotic systems, multilayer coatings, microparticles, liposomes, microspheres, or a combination thereof to provide the desired release profile in varying proportions. Suitable controlled release formulations known to those of ordinary skill in the art, including those described herein, can be readily selected for use with the active ingredients provided herein. Thus encompassed herein are single unit dosage forms suitable for oral administration such as, but not limited to, tablets, capsules, gelcaps, and caplets that are adapted for controlled release.
[00220] All controlled release pharmaceutical products have a common goal of improving drug therapy over that achieved by their non-controlled counterparts. Ideally, the use of an optimally designed controlled release preparation in medical treatment is characterized by a minimum of drug substance being employed to cure or control the condition in a minimum amount of time. Advantages of controlled release formulations include extended activity of the drug, reduced dosage frequency, and increased subject compliance. In addition, controlled release formulations can be used to affect the time of onset of action or other characteristics, such as blood levels of the drug, and can thus affect the occurrence of side (e.g., adverse) effects.
[00221] Most controlled release formulations are designed to initially release an amount of drug (active ingredient) that promptly produces the desired therapeutic effect, and gradually and continually release of other amounts of drug to maintain this level of therapeutic or prophylactic effect over an extended period of time. In order to maintain this constant level of drug in the body, the drug must be released from the dosage form at a rate that will replace the amount of drug being metabolized and excreted from the body. Controlled release of an active ingredient can be stimulated by various conditions including, but not limited to, pH, temperature, enzymes, water, or other physiological conditions or compounds.
[00222] In certain embodiments, the drug may be administered using intravenous infusion, an implantable osmotic pump, a transdermal patch, liposomes, or other modes of
administration. In certain embodiments, a pump may be used (see, Sefton, CRC Crit. Ref. Biomed. Eng. 14:201 (1987); Buchwald et al., Surgery 88:507 (1980); Saudek et al., N. Engl. J. Med. 321 :574 (1989)). In another embodiment, polymeric materials can be used. In yet another embodiment, a controlled release system can be placed in a subject at an appropriate site determined by a practitioner of skill, i.e., thus requiring only a fraction of the systemic dose (see, e.g., Goodson, Medical Applications of Controlled Release, vol. 2, pp. 115-138 (1984)). Other controlled release systems are discussed in the review by Langer (Science 249: 1527-1533 (1990)). The active ingredient can be dispersed in a solid inner matrix, e.g., polymethylmethacrylate, polybutylmethacrylate, plasticized or unplasticized polyvinylchloride, plasticized nylon, plasticized polyethyleneterephthalate, natural rubber, polyisoprene, polyisobutylene, polybutadiene, polyethylene, ethylene-vinylacetate copolymers, silicone rubbers, polydimethylsiloxanes, silicone carbonate copolymers, hydrophilic polymers such as hydrogels of esters of acrylic and methacrylic acid, collagen, cross-linked polyvinylalcohol and cross-linked partially hydrolyzed polyvinyl acetate, that is surrounded by an outer polymeric membrane, e.g., polyethylene, polypropylene, ethylene/propylene copolymers, ethyl ene/ethyl acrylate copolymers, ethylene/vinylacetate copolymers, silicone rubbers, polydimethyl siloxanes, neoprene rubber, chlorinated polyethylene, polyvinylchloride, vinylchloride copolymers with vinyl acetate, vinylidene chloride, ethylene and propylene, ionomer polyethylene terephthalate, butyl rubber epichlorohydrin rubbers, ethylene/ vinyl alcohol copolymer, ethylene/vinyl acetate/vinyl alcohol terpolymer, and ethylene/vinyloxyethanol copolymer, that is insoluble in body fluids. The active ingredient then diffuses through the outer polymeric membrane in a release rate controlling step. The percentage of active ingredient in such parenteral compositions is highly dependent on the specific nature thereof, as well as the needs of the subject.
Parenteral Dosage Forms
[00223] In certain embodiments, provided are parenteral dosage forms. Parenteral dosage forms can be administered to subjects by various routes including, but not limited to, subcutaneous, intravenous (including bolus injection), intramuscular, and intraarterial.
Because their administration typically bypasses subjects' natural defenses against
contaminants, parenteral dosage forms are typically, sterile or capable of being sterilized prior to administration to a subject. Examples of parenteral dosage forms include, but are not limited to, solutions ready for injection, dry products ready to be dissolved or suspended in a pharmaceutically acceptable vehicle for injection, suspensions ready for injection, and emulsions.
[00224] Suitable vehicles that can be used to provide parenteral dosage forms are well known to those skilled in the art. Examples include, but are not limited to: Water for Injection USP; aqueous vehicles such as, but not limited to, Sodium Chloride Injection, Ringer's Injection, Dextrose Injection, Dextrose and Sodium Chloride Injection, and Lactated Ringer's Injection; water miscible vehicles such as, but not limited to, ethyl alcohol, polyethylene glycol, and polypropylene glycol; and non-aqueous vehicles such as, but not limited to, corn oil, cottonseed oil, peanut oil, sesame oil, ethyl oleate, isopropyl myristate, and benzyl benzoate.
[00225] Compounds that increase the solubility of one or more of the active ingredients disclosed herein can also be incorporated into the parenteral dosage forms.
Transdermal, Topical & Mucosal Dosage Forms
[00226] Also provided are transdermal, topical, and mucosal dosage forms. Transdermal, topical, and mucosal dosage forms include, but are not limited to, ophthalmic solutions, sprays, aerosols, creams, lotions, ointments, gels, solutions, emulsions, suspensions, or other forms known to one of skill in the art. See, e.g., Remington's Pharmaceutical Sciences, 16th, 18th and 20th eds., Mack Publishing, Easton PA (1980, 1990 & 2000); and Introduction to
Pharmaceutical Dosage Forms, 4th ed., Lea & Febiger, Philadelphia (1985). Dosage forms suitable for treating mucosal tissues within the oral cavity can be formulated as mouthwashes or as oral gels. Further, transdermal dosage forms include "reservoir type" or "matrix type" patches, which can be applied to the skin and worn for a specific period of time to permit the penetration of a desired amount of active ingredients.
[00227] Suitable excipients {e.g. , carriers and diluents) and other materials that can be used to provide transdermal, topical, and mucosal dosage forms encompassed herein are well known to those skilled in the pharmaceutical arts, and depend on the particular tissue to which a given pharmaceutical composition or dosage form will be applied. With that fact in mind, typical excipients include, but are not limited to, water, acetone, ethanol, ethylene glycol, propylene glycol, butane 1,3 diol, isopropyl myristate, isopropyl palmitate, mineral oil, and mixtures thereof to form lotions, tinctures, creams, emulsions, gels or ointments, which are nontoxic and pharmaceutically acceptable. Moisturizers or humectants can also be added to pharmaceutical compositions and dosage forms if desired. Examples of such additional ingredients are well known in the art. See, e.g., Remington's Pharmaceutical Sciences, 16th, 18th and 20th eds., Mack Publishing, Easton PA (1980, 1990 & 2000).
[00228] Depending on the specific tissue to be treated, additional components may be used prior to, in conjunction with, or subsequent to treatment with active ingredients provided. For example, penetration enhancers can be used to assist in delivering the active ingredients to the tissue. Suitable penetration enhancers include, but are not limited to: acetone; various alcohols such as ethanol, oleyl, and tetrahydrofuryl; alkyl sulfoxides such as dimethyl sulfoxide; dimethyl acetamide; dimethyl formamide; polyethylene glycol; pyrrolidones such as polyvinylpyrrolidone; Kollidon grades (Povidone, Polyvidone); urea; and various water soluble or insoluble sugar esters such as Tween 80 (polysorbate 80) and Span 60 (sorbitan
monostearate).
[00229] The pH of a pharmaceutical composition or dosage form, or of the tissue to which the pharmaceutical composition or dosage form is applied, may also be adjusted to improve delivery of one or more active ingredients. Similarly, the polarity of a solvent carrier, its ionic strength, or tonicity can be adjusted to improve delivery. Compounds such as stearates can also be added to pharmaceutical compositions or dosage forms to advantageously alter the hydrophilicity or lipophilicity of one or more active ingredients so as to improve delivery. In this regard, stearates can serve as a lipid vehicle for the formulation, as an emulsifying agent or surfactant, and as a delivery enhancing or penetration enhancing agent. Different salts, hydrates or solvates of the active ingredients can be used to further adjust the properties of the resulting composition.
Dosage and Unit Dosage Forms
[00230] In human therapeutics, the doctor will determine the posology which he considers most appropriate according to a preventive or curative treatment and according to the age, weight, stage of the infection and other factors specific to the subject to be treated. In certain embodiments, doses are from about 1 to about 1000 mg per day for an adult, or from about 5 to about 250 mg per day or from about 10 to 50 mg per day for an adult. In certain embodiments, doses are from about 5 to about 400 mg per day or 25 to 200 mg per day per adult. In certain embodiments, dose rates of from about 50 to about 500 mg per day are also contemplated.
[00231] In further aspects, provided are methods of treating or preventing an HCV infection in a subject by administering, to a subject in need thereof, an effective amount of a compound provided herein, or a pharmaceutically acceptable salt thereof. The amount of the compound or composition which will be effective in the prevention or treatment of a disorder or one or more symptoms thereof will vary with the nature and severity of the disease or condition, and the route by which the active ingredient is administered. The frequency and dosage will also vary according to factors specific for each subject depending on the specific therapy {e.g., therapeutic or prophylactic agents) administered, the severity of the disorder, disease, or condition, the route of administration, as well as age, body, weight, response, and the past medical history of the subject. Effective doses may be extrapolated from dose-response curves derived from in vitro or animal model test systems. [00232] In certain embodiments, exemplary doses of a composition include milligram or microgram amounts of the active compound per kilogram of subject or sample weight (e.g., about 10 micrograms per kilogram to about 50 milligrams per kilogram, about 100 micrograms per kilogram to about 25 milligrams per kilogram, or about 100 microgram per kilogram to about 10 milligrams per kilogram). For compositions provided herein, in certain embodiments, the dosage administered to a subject is 0.140 mg/kg to 3 mg/kg of the subject's body weight, based on weight of the active compound. In certain embodiments, the dosage administered to a subject is between 0.20 mg/kg and 2.00 mg/kg, or between 0.30 mg/kg and 1.50 mg/kg of the subject's body weight.
[00233] In certain embodiments, the recommended daily dose range of a composition provided herein for the conditions described herein lie within the range of from about 0.1 mg to about 1000 mg per day, given as a single once-a-day dose or as divided doses throughout a day. In certain embodiments, the daily dose is administered twice daily in equally divided doses. In certain embodiments, a daily dose range should be from about 10 mg to about 200 mg per day, in other embodiments, between about 10 mg and about 150 mg per day, in further embodiments, between about 25 and about 100 mg per day. It may be necessary to use dosages of the active ingredient outside the ranges disclosed herein in some cases, as will be apparent to those of ordinary skill in the art. Furthermore, it is noted that the clinician or treating physician will know how and when to interrupt, adjust, or terminate therapy in conjunction with subject response.
[00234] Different therapeutically effective amounts may be applicable for different diseases and conditions, as will be readily known by those of ordinary skill in the art. Similarly, amounts sufficient to prevent, manage, treat or ameliorate such disorders, but insufficient to cause, or sufficient to reduce, adverse effects associated with the composition provided herein are also encompassed by the herein described dosage amounts and dose frequency schedules. Further, when a subject is administered multiple dosages of a composition provided herein, not all of the dosages need be the same. For example, the dosage administered to the subject may be increased to improve the prophylactic or therapeutic effect of the composition or it may be decreased to reduce one or more side effects that a particular subject is experiencing.
[00235] In certain embodiment, the dosage of the composition provided herein, based on weight of the active compound, administered to prevent, treat, manage, or ameliorate a disorder, or one or more symptoms thereof in a subject is 0.1 mg/kg, 1 mg/kg, 2 mg/kg, 3 mg/kg, 4 mg/kg, 5 mg/kg, 6 mg/kg, 10 mg/kg, or 15 mg/kg or more of a subject's body weight. In another embodiment, the dosage of the composition or a composition provided herein administered to prevent, treat, manage, or ameliorate a disorder, or one or more symptoms thereof in a subject is a unit dose of 0.1 mg to 200 mg, 0.1 mg to 100 mg, 0.1 mg to 50 mg, 0.1 mg to 25 mg, 0.1 mg to 20 mg, 0.1 mg to 15 mg, 0.1 mg to 10 mg, 0.1 mg to 7.5 mg, 0.1 mg to 5 mg, 0.1 to 2.5 mg, 0.25 mg to 20 mg, 0.25 to 15 mg, 0.25 to 12 mg, 0.25 to 10 mg, 0.25 mg to 7.5 mg, 0.25 mg to 5 mg, 0.5 mg to 2.5 mg, 1 mg to 20 mg, 1 mg to 15 mg, 1 mg to 12 mg, 1 mg to 10 mg, 1 mg to 7.5 mg, 1 mg to 5 mg, or 1 mg to 2.5 mg.
[00236] In certain embodiments, treatment or prevention can be initiated with one or more loading doses of a compound or composition provided herein followed by one or more maintenance doses. In such embodiments, the loading dose can be, for instance, about 60 to about 400 mg per day, or about 100 to about 200 mg per day for one day to five weeks. The loading dose can be followed by one or more maintenance doses. In certain embodiments, each maintenance does is, independently, about from about 10 mg to about 200 mg per day, between about 25 mg and about 150 mg per day, or between about 25 and about 80 mg per day. Maintenance doses can be administered daily and can be administered as single doses, or as divided doses.
[00237] In certain embodiments, a dose of a compound or composition provided herein can be administered to achieve a steady-state concentration of the active ingredient in blood or serum of the subject. The steady-state concentration can be determined by measurement according to techniques available to those of skill or can be based on the physical
characteristics of the subject such as height, weight and age. In certain embodiments, a sufficient amount of a compound or composition provided herein is administered to achieve a steady- state concentration in blood or serum of the subject of from about 300 to about 4000 ng/mL, from about 400 to about 1600 ng/mL, or from about 600 to about 1200 ng/mL. In some embodiments, loading doses can be administered to achieve steady-state blood or serum concentrations of about 1200 to about 8000 ng/mL, or about 2000 to about 4000 ng/mL for one to five days. In certain embodiments, maintenance doses can be administered to achieve a steady- state concentration in blood or serum of the subject of from about 300 to about 4000 ng/mL, from about 400 to about 1600 ng/mL, or from about 600 to about 1200 ng/mL.
[00238] In certain embodiments, administration of the same composition may be repeated and the administrations may be separated by at least 1 day, 2 days, 3 days, 5 days, 10 days, 15 days, 30 days, 45 days, 2 months, 75 days, 3 months, or 6 months. In other embodiments, administration of the same prophylactic or therapeutic agent may be repeated and the administration may be separated by at least at least 1 day, 2 days, 3 days, 5 days, 10 days, 15 days, 30 days, 45 days, 2 months, 75 days, 3 months, or 6 months.
[00239] In certain aspects, provided herein are unit dosages comprising a compound, or a pharmaceutically acceptable salt thereof, in a form suitable for administration. Such forms are described in detail herein. In certain embodiments, the unit dosage comprises 1 to 1000 mg, 5 to 250 mg or 10 to 50 mg active ingredient. In particular embodiments, the unit dosages comprise about 1, 5, 10, 25, 50, 100, 125, 250, 500 or 1000 mg active ingredient. Such unit dosages can be prepared according to techniques familiar to those of skill in the art.
[00240] The dosages of the second agents are to be used in the combination therapies provided herein. In certain embodiments, dosages lower than those which have been or are currently being used to prevent or treat HCV infection are used in the combination therapies provided herein. The recommended dosages of second agents can be obtained from the knowledge of those of skill. For those second agents that are approved for clinical use, recommended dosages are described in, for example, Hardman et ah, eds., 1996, Goodman & Gilman's The Pharmacological Basis Of Basis Of Therapeutics 9th Ed, Mc-Graw-Hill, New York; Physician's Desk Reference (PDR) 57th Ed., 2003, Medical Economics Co., Inc., Montvale, NJ, which are incorporated herein by reference in its entirety.
[00241] In various embodiments, the therapies {e.g., a compound provided herein and the second agent) are administered less than 5 minutes apart, less than 30 minutes apart, 1 hour apart, at about 1 hour apart, at about 1 to about 2 hours apart, at about 2 hours to about 3 hours apart, at about 3 hours to about 4 hours apart, at about 4 hours to about 5 hours apart, at about 5 hours to about 6 hours apart, at about 6 hours to about 7 hours apart, at about 7 hours to about 8 hours apart, at about 8 hours to about 9 hours apart, at about 9 hours to about 10 hours apart, at about 10 hours to about 11 hours apart, at about 11 hours to about 12 hours apart, at about 12 hours to 18 hours apart, 18 hours to 24 hours apart, 24 hours to 36 hours apart, 36 hours to 48 hours apart, 48 hours to 52 hours apart, 52 hours to 60 hours apart, 60 hours to 72 hours apart, 72 hours to 84 hours apart, 84 hours to 96 hours apart, or 96 hours to 120 hours apart. In various embodiments, the therapies are administered no more than 24 hours apart or no more than 48 hours apart. In certain embodiments, two or more therapies are administered within the same patient visit. In other embodiments, the compound provided herein and the second agent are administered concurrently. [00242] In other embodiments, the compound provided herein and the second agent are administered at about 2 to 4 days apart, at about 4 to 6 days apart, at about 1 week part, at about 1 to 2 weeks apart, or more than 2 weeks apart.
[00243] In certain embodiments, administration of the same agent may be repeated and the administrations may be separated by at least 1 day, 2 days, 3 days, 5 days, 10 days, 15 days, 30 days, 45 days, 2 months, 75 days, 3 months, or 6 months. In other embodiments,
administration of the same agent may be repeated and the administration may be separated by at least at least 1 day, 2 days, 3 days, 5 days, 10 days, 15 days, 30 days, 45 days, 2 months, 75 days, 3 months, or 6 months.
[00244] In certain embodiments, a compound provided herein and a second agent are administered to a patient, for example, a mammal, such as a human, in a sequence and within a time interval such that the compound provided herein can act together with the other agent to provide an increased benefit than if they were administered otherwise. For example, the second active agent can be administered at the same time or sequentially in any order at different points in time; however, if not administered at the same time, they should be administered sufficiently close in time so as to provide the desired therapeutic or prophylactic effect. In certain embodiments, the compound provided herein and the second active agent exert their effect at times which overlap. Each second active agent can be administered separately, in any appropriate form and by any suitable route. In other embodiments, the compound provided herein is administered before, concurrently or after administration of the second active agent.
[00245] In certain embodiments, the compound provided herein and the second agent are cyclically administered to a patient. Cycling therapy involves the administration of a first agent (e.g., a first prophylactic or therapeutic agents) for a period of time, followed by the administration of a second agent and/or third agent (e.g., a second and/or third prophylactic or therapeutic agents) for a period of time and repeating this sequential administration. Cycling therapy can reduce the development of resistance to one or more of the therapies, avoid or reduce the side effects of one of the therapies, and/or improve the efficacy of the treatment.
[00246] In certain embodiments, the compound provided herein and the second active agent are administered in a cycle of less than about 3 weeks, about once every two weeks, about once every 10 days or about once every week. One cycle can comprise the administration of a compound provided herein and the second agent by infusion over about 90 minutes every cycle, about 1 hour every cycle, about 45 minutes every cycle. Each cycle can comprise at least 1 week of rest, at least 2 weeks of rest, at least 3 weeks of rest. The number of cycles administered is from about 1 to about 12 cycles, more typically from about 2 to about 10 cycles, and more typically from about 2 to about 8 cycles.
[00247] In other embodiments, courses of treatment are administered concurrently to a patient, i.e., individual doses of the second agent are administered separately yet within a time interval such that the compound provided herein can work together with the second active agent. For example, one component can be administered once per week in combination with the other components that can be administered once every two weeks or once every three weeks. In other words, the dosing regimens are carried out concurrently even if the
therapeutics are not administered simultaneously or during the same day.
[00248] The second agent can act additively or synergistically with the compound provided herein. In certain embodiments, the compound provided herein is administered concurrently with one or more second agents in the same pharmaceutical composition. In another embodiment, a compound provided herein is administered concurrently with one or more second agents in separate pharmaceutical compositions. In still another embodiment, a compound provided herein is administered prior to or subsequent to administration of a second agent. Also contemplated are administration of a compound provided herein and a second agent by the same or different routes of administration, e.g., oral and parenteral. In certain embodiments, when the compound provided herein is administered concurrently with a second agent that potentially produces adverse side effects including, but not limited to, toxicity, the second active agent can advantageously be administered at a dose that falls below the threshold that the adverse side effect is elicited.
Kits
[00249] Also provided are kits for use in methods of treatment of a liver disorder such as HCV infections. The kits can include a compound or composition provided herein, a second agent or composition, and instructions providing information to a health care provider regarding usage for treating the disorder. Instructions may be provided in printed form or in the form of an electronic medium such as a floppy disc, CD, or DVD, or in the form of a website address where such instructions may be obtained. A unit dose of a compound or composition provided herein, or a second agent or composition, can include a dosage such that when administered to a subject, a therapeutically or prophylactically effective plasma level of the compound or composition can be maintained in the subject for at least 1 days. In some embodiments, a compound or composition can be included as a sterile aqueous pharmaceutical composition or dry powder (e.g., lyophilized) composition.
[00250] In some embodiments, suitable packaging is provided. As used herein, "packaging" includes a solid matrix or material customarily used in a system and capable of holding within fixed limits a compound provided herein and/or a second agent suitable for administration to a subject. Such materials include glass and plastic (e.g., polyethylene, polypropylene, and polycarbonate) bottles, vials, paper, plastic, and plastic-foil laminated envelopes and the like. If e-beam sterilization techniques are employed, the packaging should have sufficiently low density to permit sterilization of the contents.
Methods of Use
[00251] Provided herein is a method for inhibiting replication of a virus in a host, which comprises contacting the host with a therapeutically effective amount of a 3 '-substituted methyl nucleoside disclosed herein, e.g., a D-alanine thiophosphoramidate pronucleotide of a nucleoside compound according to Formula AI, I-XVII, 101-152d, 1001-1024b and 2001- 2286b, including a single enantiomer, a mixture of an enantiomeric pair, an individual diastereomer, a mixture of diastereomers, or a tautomeric form thereof; or a pharmaceutically acceptable salt, solvate, prodrug, phosphate, or active metabolite thereof.
[00252] Provided herein is a method for inhibiting replication of a virus in a cell, which comprises contacting the cell with a therapeutically effective amount of a D-alanine thiophosphoramidate pronucleotide of a nucleoside compound disclosed herein, e.g. , a compound of Formula AI, I-XVII, 101-152d, 1001-1024b and 2001 -2286b, including a single enantiomer, a mixture of an enantiomeric pair, an individual diastereomer, a mixture of diastereomers, or a tautomeric form thereof; or a pharmaceutically acceptable salt, solvate, prodrug, phosphate, or active metabolite thereof.
[00253] Provided herein is a method for inhibiting replication of a virus, which comprises contacting the virus with a therapeutically effective amount of a D-alanine
thiophosphoramidate pronucleotide of a nucleoside compound disclosed herein, e.g. , a D- alanine thiophosphoramidate pronucleotide of a nucleoside compound of Formula AI, I- XVII, 101-152d, 1001-1024b and 2001 -2286b, including a single enantiomer, a mixture of an enantiomeric pair, an individual diastereomer, a mixture of diastereomers, or a tautomeric form thereof; or a pharmaceutically acceptable salt, solvate, prodrug, phosphate, or active metabolite thereof. [00254] Provided herein is a method for inhibiting the activity of a polymerase, which comprises contacting the polymerase with a D-alanine thiophosphoramidate pronucleotide of a nucleoside compound disclosed herein, e.g. , a D-alanine thiophosphoramidate
pronucleotide of a nucleoside compound of Formula AI, I-XVII, 101-152d, 1001-1024b and 2001 -2286b, including a single enantiomer, a mixture of an enantiomeric pair, an individual diastereomer, a mixture of diastereomers, or a tautomeric form thereof; or a pharmaceutically acceptable salt, solvate, prodrug, phosphate, or active metabolite thereof.
[00255] In certain embodiments, provided herein are methods for the treatment and/or prophylaxis of a host infected with Flaviviridae that includes the administration of an effective amount of a D-alanine thiophosphoramidate pronucleotide of a nucleoside compound disclosed herein, e.g., a D-alanine thiophosphoramidate pronucleotide of a nucleoside compound of Formula AI, I-XVII, 101-152d, 1001-1024b and 2001 -2286b, including a single enantiomer, a mixture of an enantiomeric pair, an individual diastereomer, a mixture of diastereomers, or a tautomeric form thereof; or a pharmaceutically acceptable salt, solvate, prodrug, phosphate, or active metabolite thereof.
[00256] In certain embodiments, provided herein are methods for treating an HCV infection in a subject. In certain embodiments, the methods encompass the step of administering to the subject in need thereof an amount of a compound effective for the treatment or prevention of an HCV infection in combination with a second agent effective for the treatment or prevention of the infection. The compound can be any compound as described herein, and the second agent can be any second agent described in the art or herein. In certain embodiments, the compound is in the form of a pharmaceutical composition or dosage form, as described elsewhere herein.
[00257] In certain embodiments, provided herein are methods for the treatment and/or prophylaxis of a host infected with Flaviviridae that includes the administration of an effective amount of a compounds provided herein, or a pharmaceutically acceptable salt thereof. In certain embodiments, provided herein are methods for treating an HCV infection in a subject. In certain embodiments, the methods encompass the step of administering to the subject in need thereof an amount of a compound effective for the treatment or prevention of an HCV infection in combination with a second agent effective for the treatment or prevention of the infection. The compound can be any compound as described herein, and the second agent can be any second agent described in the art or herein. In certain embodiments, the compound is in the form of a pharmaceutical composition or dosage form, as described elsewhere herein. [00258] Flaviviridae which can be treated are, e.g., discussed generally in Fields Virology, Fifth Ed., Editors: Knipe, D. M., and Howley, P. M., Lippincott Williams & Wilkins
Publishers, Philadelphia, PA, Chapters 33-35, 2006. In a particular embodiment of the invention, the Flaviviridae is HCV. In an alternate embodiment, the Flaviviridae is a flavivirus or pestivirus. In certain embodiments, the Flaviviridae can be from any class of Flaviviridae. In certain embodiments, the Flaviviridae is a mammalian tick-borne virus. In certain embodiments, the Flaviviridae is a seabird tick-borne virus. In certain embodiments, the Flaviviridae is a mosquito-borne virus. In certain embodiments, the Flaviviridae is an Aroa virus. In certain embodiments, the Flaviviridae is a Dengue virus. In certain
embodiments, the Flaviviridae is a Japanese encephalitis virus. In certain embodiments, the Flaviviridae is a Kokobera virus. In certain embodiments, the Flaviviridae is a Ntaya virus. In certain embodiments, the Flaviviridae is a Spondweni virus. In certain embodiments, the Flaviviridae is a Yellow fever virus. In certain embodiments, the Flaviviridae is a Entebbe virus. In certain embodiments, the Flaviviridae is a Modoc virus. In certain embodiments, the Flaviviridae is a Rio Bravo virus.
[00259] Specific flaviviruses which can be treated include, without limitation: Absettarov, Aedes, Alfuy, Alkhurma, Apoi, Aroa, Bagaza, Banzi, Bukalasa bat, Bouboui, Bussuquara, Cacipacore, Calbertado, Carey Island, Cell fusing agent, Cowbone Ridge, Culex, Dakar bat, Dengue 1, Dengue 2, Dengue 3, Dengue 4, Edge Hill, Entebbe bat, Gadgets Gully, Hanzalova, Hypr, Ilheus, Israel turkey meningoencephalitis, Japanese encephalitis, Jugra, Jutiapa, Kadam, Kamiti River, Karshi, Kedougou, Kokobera, Koutango, Kumlinge, Kunjin, Kyasanur Forest disease, Langat, Louping ill, Meaban, Modoc, Montana myotis leukoencephalitis, Murray valley encephalitis, Nakiwogo, Naranjal, Negishi, Ntaya, Omsk hemorrhagic fever, Phnom- Penh bat, Powassan, Quang Binh, Rio Bravo, Rocio, Royal Farm, Russian spring-summer encephalitis, Saboya, St. Louis encephalitis, Sal Vieja, San Perlita, Saumarez Reef, Sepik, Sokuluk, Spondweni, Stratford, Tembusu, Tick-borne encephalitis, Turkish sheep encephalitis, Tyuleniy, Uganda S, Usutu, Wesselsbron, West Nile, Yaounde, Yellow fever, Yokose, and Zika.
[00260] Pestiviruses which can be treated are discussed generally in Fields Virology, Fifth Ed., Editors: Knipe, D. M., and Howley, P. M., Lippincott Williams & Wilkins Publishers, Philadelphia, PA, Chapters 33-35, 2006. Specific pestiviruses which can be treated include, without limitation: bovine viral diarrhea virus ("BVDV"), classical swine fever virus ("CSFV," also called hog cholera virus), and border disease virus ("BDV"). [00261] In certain embodiments, the subject can be any subject infected with, or at risk for infection with, HCV. Infection or risk for infection can be determined according to any technique deemed suitable by the practitioner of skill in the art. In certain embodiments, subjects are humans infected with HCV.
[00262] In certain embodiments, the subject has never received therapy or prophylaxis for an HCV infection. In further embodiments, the subject has previously received therapy or prophylaxis for an HCV infection. For instance, in certain embodiments, the subject has not responded to an HCV therapy. For example, under current interferon therapy, up to 50% or more HCV subjects do not respond to therapy. In certain embodiments, the subject can be a subject that received therapy but continued to suffer from viral infection or one or more symptoms thereof. In certain embodiments, the subject can be a subject that received therapy but failed to achieve a sustained virologic response. In certain embodiments, the subject has received therapy for an HCV infection but has failed to show, for example, a 2 logio decline in HCV R A levels after 12 weeks of therapy. It is believed that subjects who have not shown more than 2 logio reduction in serum HCV RNA after 12 weeks of therapy have a 97-100% chance of not responding.
[00263] In certain embodiments, the subject is a subject that discontinued an HCV therapy because of one or more adverse events associated with the therapy. In certain embodiments, the subject is a subject where current therapy is not indicated. For instance, certain therapies for HCV are associated with neuropsychiatric events. Interferon (IFN)-alfa plus ribavirin is associated with a high rate of depression. Depressive symptoms have been linked to a worse outcome in a number of medical disorders. Life-threatening or fatal neuropsychiatric events, including suicide, suicidal and homicidal ideation, depression, relapse of drug
addiction/overdose, and aggressive behavior have occurred in subjects with and without a previous psychiatric disorder during HCV therapy. Interferon-induced depression is a limitation for the treatment of chronic hepatitis C, especially for subjects with psychiatric disorders. Psychiatric side effects are common with interferon therapy and responsible for about 10% to 20% of discontinuations of current therapy for HCV infection.
[00264] Accordingly, provided are methods of treating or preventing an HCV infection in subjects where the risk of neuropsychiatric events, such as depression, contraindicates treatment with current HCV therapy. In certain embodiments, provided are methods of treating or preventing HCV infection in subjects where a neuropsychiatric event, such as depression, or risk of such indicates discontinuation of treatment with current HCV therapy. Further provided are methods of treating or preventing HCV infection in subjects where a neuropsychiatric event, such as depression, or risk of such indicates dose reduction of current HCV therapy.
[00265] Current therapy is also contraindicated in subjects that are hypersensitive to interferon or ribavirin, or both, or any other component of a pharmaceutical product for administration of interferon or ribavirin. Current therapy is not indicated in subjects with hemoglobinopathies (e.g., thalassemia major, sickle-cell anemia) and other subjects at risk from the hematologic side effects of current therapy. Common hematologic side effects include bone marrow suppression, neutropenia and thrombocytopenia. Furthermore, ribavirin is toxic to red blood cells and is associated with hemolysis. Accordingly, in certain embodiments, provided are methods of treating or preventing HCV infection in subjects hypersensitive to interferon or ribavirin, or both, subjects with a hemoglobinopathy, for instance thalassemia major subjects and sickle-cell anemia subjects, and other subjects at risk from the hematologic side effects of current therapy.
[00266] In certain embodiments, the subject has received an HCV therapy and discontinued that therapy prior to administration of a method provided herein. In further embodiments, the subject has received therapy and continues to receive that therapy along with administration of a method provided herein. The methods can be co-administered with other therapy for HBC and/or HCV according to the judgment of one of skill in the art. In certain embodiments, the methods or compositions provided herein can be co-administered with a reduced dose of the other therapy for HBC and/or HCV.
[00267] In certain embodiments, provided are methods of treating a subject that is refractory to treatment with interferon. For instance, in some embodiments, the subject can be a subject that has failed to respond to treatment with one or more agents selected from the group consisting of interferon, interferon a, pegylated interferon a, interferon plus ribavirin, interferon a plus ribavirin and pegylated interferon a plus ribavirin. In some embodiments, the subject can be a subject that has responded poorly to treatment with one or more agents selected from the group consisting of interferon, interferon a, pegylated interferon a, interferon plus ribavirin, interferon a plus ribavirin and pegylated interferon a plus ribavirin. A pro-drug form of ribavirin, such as taribavirin, may also be used.
[00268] In certain embodiments, the subject has, or is at risk for, co-infection of HCV with HIV. For instance, in the United States, 30% of HIV subjects are co-infected with HCV and evidence indicates that people infected with HIV have a much more rapid course of their hepatitis C infection. Maier and Wu, 2002, World J Gastroenterol 8:577-57. The methods provided herein can be used to treat or prevent HCV infection in such subjects. It is believed that elimination of HCV in these subjects will lower mortality due to end-stage liver disease. Indeed, the risk of progressive liver disease is higher in subjects with severe AIDS-defining immunodeficiency than in those without. See, e.g., Lesens et al, 1999, J Infect Dis 179:1254- 1258. In certain embodiments, compounds provided herein have been shown to suppress HIV in HIV subjects. Thus, in certain embodiments, provided are methods of treating or preventing HIV infection and HCV infection in subjects in need thereof.
[00269] In certain embodiments, the compounds or compositions are administered to a subject following liver transplant. Hepatitis C is a leading cause of liver transplantation in the U.S., and many subjects that undergo liver transplantation remain HCV positive following transplantation. In certain embodiments, provided are methods of treating such recurrent HCV subjects with a compound or composition provided herein. In certain embodiments, provided are methods of treating a subject before, during or following liver transplant to prevent recurrent HCV infection.
Assay Methods
[00270] Compounds can be assayed for HCV activity according to any assay known to those of skill in the art.
[00271] Further, compounds can be assayed for accumulation in liver cells of a subject according to any assay known to those of skill in the art. In certain embodiments, a compound can be administered to the subject, and a liver cell of the subject can be assayed for the compound or a derivative thereof, e.g. a nucleoside, nucleoside phosphate or nucleoside triphosphate derivative thereof.
[00272] In certain embodiments, a D-alanine thiophosphoramidate pronucleotide of a nucleoside compound is administered to cells, such as liver cells, in vivo or in vitro, and the nucleoside triphosphate levels delivered intracellularly are measured, to indicate delivery of the compound and triphosphorylation in the cell. The levels of intracellular nucleoside
triphosphate can be measured using analytical techniques known in the art. Methods of detecting ddATP are described herein below by way of example, but other nucleoside triphosphates can be readily detected using the appropriate controls, calibration samples and assay techniques. [00273] In certain embodiments, ddATP concentrations are measured in a sample by comparison to calibration standards made from control samples. The ddATP concentrations in a sample can be measured using an analytical method such as HPLC LC MS. In certain embodiments, a test sample is compared to a calibration curve created with known
concentrations of ddATP to thereby obtain the concentration of that sample.
[00274] In certain embodiments, the samples are manipulated to remove impurities such as salts (Na+, K+, etc.) before analysis. In certain embodiments, the lower limit of quantitation is about - 0.2 pmol / mL for hepatocyte cellular extracts particularly where reduced salt is present.
[00275] In certain embodiments, the method allows successfully measuring triphosphate nucleotides formed at levels of 1 - 10,000 pmol per million cells in e.g. cultured hepatocytes and HepG2 cells.
Second Therapeutic Agents
[00276] In certain embodiments, the compounds and compositions provided herein are useful in methods of treatment of a liver disorder, that comprise further administration of a second agent effective for the treatment of the disorder, such as HCV infection in a subject in need thereof. The second agent can be any agent known to those of skill in the art to be effective for the treatment of the disorder, including those currently approved by the FDA.
[00277] In certain embodiments, a compound provided herein is administered in
combination with one second agent. In further embodiments, a second agent is administered in combination with two second agents. In still further embodiments, a second agent is administered in combination with two or more second agents.
[00278] As used herein, the term "in combination" includes the use of more than one therapy (e.g., one or more prophylactic and/or therapeutic agents). The use of the term "in combination" does not restrict the order in which therapies {e.g., prophylactic and/or therapeutic agents) are administered to a subject with a disorder. A first therapy {e.g., a prophylactic or therapeutic agent such as a compound provided herein) can be administered prior to {e.g., 5 minutes, 15 minutes, 30 minutes, 45 minutes, 1 hour, 2 hours, 4 hours, 6 hours, 12 hours, 24 hours, 48 hours, 72 hours, 96 hours, 1 week, 2 weeks, 3 weeks, 4 weeks, 5 weeks, 6 weeks, 8 weeks, or 12 weeks before), concomitantly with, or subsequent to {e.g., 5 minutes, 15 minutes, 30 minutes, 45 minutes, 1 hour, 2 hours, 4 hours, 6 hours, 12 hours, 24 hours, 48 hours, 72 hours, 96 hours, 1 week, 2 weeks, 3 weeks, 4 weeks, 5 weeks, 6 weeks, 8 weeks, or 12 weeks after) the administration of a second therapy (e.g., a prophylactic or therapeutic agent) to a subject with a disorder.
[00279] As used herein, the term "synergistic" includes a combination of a compound provided herein and another therapy (e.g. , a prophylactic or therapeutic agent) which has been or is currently being used to prevent, manage or treat a disorder, which is more effective than the additive effects of the therapies. A synergistic effect of a combination of therapies (e.g., a combination of prophylactic or therapeutic agents) permits the use of lower dosages of one or more of the therapies and/or less frequent administration of said therapies to a subject with a disorder. The ability to utilize lower dosages of a therapy (e.g., a prophylactic or therapeutic agent) and/or to administer said therapy less frequently reduces the toxicity associated with the administration of said therapy to a subject without reducing the efficacy of said therapy in the prevention or treatment of a disorder). In addition, a synergistic effect can result in improved efficacy of agents in the prevention or treatment of a disorder. Finally, a synergistic effect of a combination of therapies (e.g., a combination of prophylactic or therapeutic agents) may avoid or reduce adverse or unwanted side effects associated with the use of either therapy alone.
[00280] The active compounds provided herein can be administered in combination or alternation with another therapeutic agent, in particular an anti-HCV agent. In combination therapy, effective dosages of two or more agents are administered together, whereas in alternation or sequential-step therapy, an effective dosage of each agent is administered serially or sequentially. The dosages given will depend on absorption, inactivation and excretion rates of the drug as well as other factors known to those of skill in the art. It is to be noted that dosage values will also vary with the severity of the condition to be alleviated. It is to be further understood that for any particular subject, specific dosage regimens and schedules should be adjusted over time according to the individual need and the professional judgment of the person administering or supervising the administration of the compositions. In certain embodiments, an anti-HCV (or anti-pestivirus or anti-flavivirus) compound that exhibits an EC50 of 10-15 μΜ. In certain embodiments, less than 1-5 μΜ, is desirable.
[00281 ] It has been recognized that drug-resistant variants of flaviviruses, pestiviruses or HCV can emerge after prolonged treatment with an antiviral agent. Drug resistance most typically occurs by mutation of a gene that encodes for an enzyme used in viral replication. The efficacy of a drug against the viral infection can be prolonged, augmented, or restored by administering the compound in combination or alternation with a second, and perhaps third, antiviral compound that induces a different mutation from that caused by the principle drug. Alternatively, the pharmacokinetics, biodistribution or other parameter of the drug can be altered by such combination or alternation therapy. In general, combination therapy is typically preferred over alternation therapy because it induces multiple simultaneous stresses on the virus.
[00282] Any of the viral treatments described herein can be used in combination or alternation with the compounds described in this specification. Non-limiting examples of second agents include:
[00283] HCV Protease inhibitors: Examples include Medivir HCV Protease Inhibitor (HCV- PI or TMC435) (Medivir/Tibotec); MK-7009 (Merck), RG7227 (ITMN-191)
(Roche/Pharmasset/InterMune), boceprevir (SCH 503034) (Schering), SCH 446211
(Schering), narlaprevir SCH900518 (Schering/Merck), ABT-450 (Abbott/Enanta), ACH-1625 (Achillion), BI 201335 (Boehringer Ingelheim), PHX1766 (Phenomix), VX-500 (Vertex) and telaprevir (VX-950) (Vertex). Further examples of protease inhibitors include substrate-based NS3 protease inhibitors (Attwood et al., Antiviral peptide derivatives, PCT WO 98/22496, 1998; Attwood et al., Antiviral Chemistry and Chemotherapy 1999, 10, 259-273; Attwood et al., Preparation and use of amino acid derivatives as anti-viral agents, German Patent Pub. DE 19914474; Tung et al., Inhibitors of serine proteases, particularly hepatitis C virus NS3 protease, PCT WO 98/17679), including alphaketoamides and hydrazinoureas, and inhibitors that terminate in an electrophile such as a boronic acid or phosphonate (Llinas-Brunet et al, Hepatitis C inhibitor peptide analogues, PCT WO 99/07734); Non-substrate-based NS3 protease inhibitors such as 2,4,6-trihydroxy-3-nitro-benzamide derivatives (Sudo K. et al., Biochemical and Biophysical Research Communications, 1997, 238, 643-647; Sudo K. et al., Antiviral Chemistry and Chemotherapy, 1998, 9, 186), including RD3-4082 and RD3-4078, the former substituted on the amide with a 14 carbon chain and the latter processing a para- phenoxyphenyl group; and Sch 68631, a phenanthrenequinone, an HCV protease inhibitor (Chu M. et al, Tetrahedron Letters 37:7229-7232, 1996);
[00284] SCH 351633, isolated from the fungus Penicillium griseofulvum, was identified as a protease inhibitor (Chu M. et al., Bioorganic and Medicinal Chemistry Letters 9: 1949-1952). Eglin c, isolated from leech, is a potent inhibitor of several serine proteases such as S. griseus proteases A and B, a-chymotrypsin, chymase and subtilisin. Qasim M.A. et al, Biochemistry 36: 1598-1607, 1997; [00285] U.S. patents disclosing protease inhibitors for the treatment of HCV include, for example, U.S. Patent No. 6,004,933 to Spruce et al., which discloses a class of cysteine protease inhibitors for inhibiting HCV endopeptidase 2; U.S. Patent No. 5,990,276 to Zhang et al, which discloses synthetic inhibitors of hepatitis C virus NS3 protease; U.S. Patent No. 5,538,865 to Reyes et a; WO 02/008251 to Corvas International, Inc., and US7,169,760, US2005/176648, WO 02/08187 and WO 02/008256 to Schering Corporation. HCV inhibitor tripeptides are disclosed in US Patent Nos. 6,534,523, 6,410,531, and 6,420,380 to Boehringer Ingelheim and WO 02/060926 to Bristol Myers Squibb. Diaryl peptides as NS3 serine protease inhibitors of HCV are disclosed in WO 02/48172 and US 6,911,428 to Schering Corporation. Imidazoleidinones as NS3 serine protease inhibitors of HCV are disclosed in WO 02/08198 and US 6,838,475 to Schering Corporation and WO 02/48157 and US 6,727,366 to Bristol Myers Squibb. WO 98/17679 and US 6,265,380 to Vertex Pharmaceuticals and WO 02/48116 and US 6,653,295 to Bristol Myers Squibb also disclose HCV protease inhibitors. Further examples of HCV serine protease inhibitors are provided in US 6,872,805 (Bristol- Myers Squibb); WO 2006000085 (Boehringer Ingelheim); US 7,208,600 (Vertex); US
2006/0046956 (Schering-Plough); WO 2007/001406 (Chiron); US 2005/0153877; WO
2006/119061 (Merck); WO 00/09543 (Boehringer Ingelheim), US 6,323,180 (Boehringer Ingelheim) WO 03/064456 (Boehringer Ingelheim), US 6,642,204(Boehringer Ingelheim), WO 03/064416 (Boehringer Ingelheim), US 7,091,184 (Boehringer Ingelheim), WO 03/053349 (Bristol-Myers Squibb), US 6,867,185, WO 03/099316 (Bristol-Myers Squibb), US 6,869,964, WO 03/099274 (Bristol-Myers Squibb), US 6,995,174, WO 2004/032827 (Bristol-Myers Squibb), US 7,041,698, WO 2004/043339 and US 6,878,722 (Bristol-Myers Squibb);
[00286] Thiazolidine derivatives which show relevant inhibition in a reverse-phase HPLC assay with an NS3/4A fusion protein and NS5A/5B substrate (Sudo K. et ah, Antiviral Research, 1996, 32, 9-18), especially compound RD-1-6250, possessing a fused cinnamoyl moiety substituted with a long alkyl chain, RD4 6205 and RD4 6193;
[00287] Thiazolidines and benzanilides identified in Kakiuchi N. et al., J. EBS Letters 421, 217-220; Takeshita N. et al., Analytical Biochemistry, 1997, 247, 242-246;
[00288] A phenanthrenequinone possessing activity against protease in a SDS-PAGE and autoradiography assay isolated from the fermentation culture broth of Streptomyces sp., SCH 68631 (Chu M. et al, Tetrahedron Letters, 1996, 37, 7229-7232), and SCH 351633, isolated from the fungus Penicillium griseofulvum, which demonstrates activity in a scintillation proximity assay (Chu M. et al., Bioorganic and Medicinal Chemistry Letters 9, 1949-1952); [00289] Helicase inhibitors (Diana G.D. et al, Compounds, compositions and methods for treatment of hepatitis C, U.S. Pat. No. 5,633,358; Diana G.D. et al, Piperidine derivatives, pharmaceutical compositions thereof and their use in the treatment of hepatitis C, PCT WO 97/36554);
[00290] HCV polymerase inhibitors, including nucleoside and non-nucleoside polymerase inhibitors, such as ribavirin, viramidine, clemizole, filibuvir (PF-00868554), HCV POL, NM 283 (valopicitabine), MK-0608, 7-Fluoro-MK-0608, MK-3281, IDX-375, ABT-072, ABT- 333, ANA598, BI 207127, GS 9190, PSI-6130, R1626, PSI-6206, PSI-938, PSI-7851, PSI- 7977, RG1479, RG7128, HCV-796 VCH-759 or VCH-916;
[00291] Gliotoxin (Ferrari R. et al, Journal of Virology, 1999, 73, 1649-1654), and the natural product cerulenin (Lohmann V. et al, Virology, 1998, 249, 108-118);
[00292] Interfering RNA (iRNA) based antivirals, including short interfering RNA (siRNA) based antivirals, such as Sirna-034 and others described in International Patent Publication Nos. WO/03/070750 and WO 2005/012525, and US Patent Publication No. US 2004/0209831;
[00293] HCV NS5A inhibitors, such as BMS-790052 (daclatasvir, Bristol-Myers Squibb), PPI-461 (Presidio Pharmaceuticals), PPI-1301 (Presidio Pharmaceuticals), IDX-719 (Idenix Pharmaceuticals), AZD7295 (Arrow Therapeutics, AstraZeneca), EDP-239 (Enanta), ACH- 2928 (Achillion), ACH-3102 (Achillion), ABT-267 (Abbott), or GS-5885 (Gilead);
[00294] Antisense phosphorothioate oligodeoxynucleotides (S-ODN) complementary to sequence stretches in the 5' non-coding region (NCR) of the virus (Alt M. et al, Hepatology, 1995, 22, 707-717), or nucleotides 326-348 comprising the 3' end of the NCR and nucleotides 371-388 located in the core coding region of the HCV RNA (Alt M. et al, Archives of
Virology, 1997, 142, 589-599; Galderisi U. et al, Journal of Cellular Physiology, 1999, 181, 251-257);
[00295] Inhibitors of IRES-dependent translation (Ikeda N et al. , Agent for the prevention and treatment of hepatitis C, Japanese Patent Pub. JP-08268890; Kai Y. et al, Prevention and treatment of viral diseases, Japanese Patent Pub. JP-10101591);
[00296] HCV entry inhibitors, such as celgosivir (MK-3253) (MIGENIX Inc.), SP-30 (Samaritan Pharmaceuticals), ITX4520 (iTherX), ITX5061 (iTherX), PRO-206 (Progenies Pharmaceuticals) and other entry inhibitors by Progenies Pharmaceuticals, e.g., as disclosed in U.S. Patent Publication No. 2006/0198855; [00297] Ribozymes, such as nuclease-resistant ribozymes (Maccjak, D. J. et al, Hepatology 1999, 30, abstract 995) and those disclosed in U.S. Patent No. 6,043,077 to Barber et al, and U.S. Patent Nos. 5,869,253 and 5,610,054 to Draper et al; and
[00298] Nucleoside analogs have also been developed for the treatment of Flaviviridae infections.
[00299] In certain embodiments, the compounds provided herein can be administered in combination with any of the compounds described by Idenix Pharmaceuticals in International Publication Nos. WO 01/90121, WO 01/92282, WO 2004/003000, 2004/002422 and WO 2004/002999.
[00300] Other patent applications disclosing the use of certain nucleoside analogs that can be used as second agents to treat hepatitis C virus include: PCT/CAOO/01316 (WO 01/32153; filed November 3, 2000) and PCT/CA01/00197 (WO 01/60315; filed February 19, 2001) filed by BioChem Pharma, Inc. (now Shire Biochem, Inc.); PCT/US02/01531 (WO 02/057425; filed January 18, 2002); PCT/US02/03086 (WO 02/057287; filed January 18, 2002); US 7,202,224; 7,125,855; 7,105,499 and 6,777,395 by Merck & Co., Inc.; PCT/EP01/09633 (WO 02/18404; published August 21, 2001); US 2006/0040890; 2005/0038240; 2004/0121980; 6,846,810; 6,784,166 and 6,660,721 by Roche; PCT Publication Nos. WO 01/79246 (filed April 13, 2001), WO 02/32920 (filed October 18, 2001) and WO 02/48165; US 2005/0009737; US 2005/0009737; 7,094,770 and 6,927,291 by Pharmasset, Ltd.
[00301] Further compounds that can be used as second agents to treat hepatitis C virus are disclosed in PCT Publication No. WO 99/43691 to Emory University, entitled "2'- Fluoronucleosides". The use of certain 2'-fluoronucleosides to treat HCV is disclosed.
[00302] Other compounds that can be used as second agents include 1-amino- alkylcyclohexanes (U.S. Patent No. 6,034,134 to Gold et al), alkyl lipids (U.S. Pat. No.
5,922,757 to Chojkier et al), vitamin E and other antioxidants (U.S. Pat. No. 5,922,757 to Chojkier et al), squalene, amantadine, bile acids (U.S. Pat. No. 5,846,964 to Ozeki et al), N- (phosphonoacetyl)-L-aspartic acid, (U.S. Pat. No. 5,830,905 to Diana et al),
benzenedicarboxamides (U.S. Pat. No. 5,633,388 to Diana et al), polyadenylic acid derivatives (U.S. Pat. No. 5,496,546 to Wang et al), 2',3'-dideoxyinosine (U.S. Pat. No. 5,026,687 to Yarchoan et al), benzimidazoles (U.S. Pat. No. 5,891,874 to Colacino et al), plant extracts (U.S. Patent No. 5,837,257 to Tsai et al, U.S. Patent No. 5,725,859 to Omer et al, and U.S. Patent No. 6,056,961), and piperidines (U.S. Patent No. 5,830,905 to Diana et al). [00303] In certain embodiments, a compound of Formula AI, I-XVII, 101 -152d, 1001- 1024b and 2001 -2286b, or a composition comprising a compound of Formula AI, I-XVII, 101- 152d, 1001-1024b and 2001 -2286b, is administered in combination or alternation with a second anti-viral agent selected from the group consisting of an interferon, a nucleotide analogue, a polymerase inhibitor, an NS3 protease inhibitor, an NS5A inhibitor, an entry inhibitor, a non-nucleoside polymerase inhibitor, a cyclosporine immune inhibitor, an NS4A antagonist, an NS4B-RNA binding inhibitor, a locked nucleic acid mRNA inhibitor, a cyclophilin inhibitor, and combinations thereof.
Exemplary Second Therapeutic Agents for Treatment of HCV
[00304] In certain embodiments, one or more compounds provided herein can be administered in combination or alternation with an anti-hepatitis C virus interferon, such as Intron A® (interferon alfa-2b) and; Roferon A® (Recombinant interferon alfa-2a), Infergen® (consensus interferon; interferon alfacon-1), PEG-Intron® (pegylated interferon alfa-2b), and Pegasys® (pegylated interferon alfa-2a). In certain embodiments, one or more compounds provided herein can be administered in combination or alternation with ribavirin and in combination or alternation with an anti-hepatitis C virus interferon. In certain embodiments, one or more compounds provided herein can be administered in combination or alternation with ribavirin, in combination or alternation with an anti-hepatitis C virus interferon, and in combination or alternation with an anti-hepatitis C virus protease inhibitor. In certain embodiments, one or more compounds provided herein can be administered in combination or alternation with ribavirin. In certain embodiments, one or more compounds provided herein can be administered in combination or alternation with an anti-hepatitis C virus interferon and without ribavirin. In certain embodiments, one or more compounds provided herein can be administered in combination or alternation with an anti-hepatitis C virus interferon, in combination or alternation with an anti-hepatitis C virus protease inhibitor, and without ribavirin.
[00305] In certain embodiments, the anti-hepatitis C virus interferon is infergen, IL-29 (PEG-Interferon lambda), R7025 (Maxy-alpha), Belerofon, Oral Interferon alpha, BLX-883 (Locteron), omega interferon, multiferon, medusa interferon, Albuferon or REBIF®.
[00306] In certain embodiments, one or more compounds provided herein can be administered in combination or alternation with an anti-hepatitis C virus polymerase inhibitor, such as ribavirin, viramidine, HCV POL, NM 283 (valopicitabine), MK-0608, 7-Fluoro-MK- 0608, PSI-6130, R1626, PSI-6206, PSI-938, R1479, HCV-796, VX-950 (Telaprevir, Vertex), GS 9190 N (Gilead), GS 9256 (Gilead), PSI-7792 (BMS), BI 207127 (BI), R7128 (Roche), PSI-7977 (Pharmasset), PSI-938 (Pharmasset), VX-222 (Vertex), ALS-2200 (Vertex), ALS- 2158 (Vertex), MK-0608 (Merck), TMC649128 (Medivir), PF-868554 (Pfizer), PF-4878691 (Pfizer), ANA598 (Roche), VCH-759 (Vertex), IDX184 (Idenix), IDX375 (Idenix), A-837093 (Abbott), GS 9190 (Gilead), GSK625433 (GlaxoSmithKline), ABT-072 (Abbott), ABT-333 (Abbott), USX- 189 (Inhibitex), or EDP-239 (Enanta).
[00307] In certain embodiments, the one or more compounds provided herein can be administered in combination with ribavarin and an anti-hepatitis C virus interferon, such as Intron A® (interferon alfa-2b) and Pegasys® (Peginterferon alfa-2a); Roferon A® (Recombinant interferon alfa-2a), Infergen® (consensus interferon; interferon alfacon-1), PEG-Intron® (pegylated interferon alfa-2b), Zalbin (albinterferon alfa-2b), omega interferon, pegylated interferon lambda, and Pegasys® (pegylated interferon alfa-2a).
[00308] In certain embodiments, one or more compounds provided herein can be administered in combination or alternation with an anti-hepatitis C virus protease inhibitor such as ITMN-191, SCH 503034 (bocepravir), VX950 (telaprevir), VX985, VX500, VX813, PHX1766, BMS-650032, GS 9256, BI 201335, IDX320, R7227, MK-7009 (vaniprevir), TMC435, BMS-791325, ACH-1625, ACH-2684, ABT-450, or AVL-181.
[00309] In certain embodiments, one or more compounds provided herein can be administered in combination or alternation with an HCV NS5A inhibitor, such as BMS-790052 (daclatasvir , Bristol-Myers Squibb), PPI-461 (Presidio Pharmaceuticals), PPI-1301 (Presidio Pharmaceuticals), IDX-719 (Idenix Pharmaceuticals), AZD7295 (Arrow Therapeutics, AstraZeneca), EDP-239 (Enanta), ACH-2928 (Achillion), ACH-3102 (Achillion), ABT-267 (Abbott), or GS-5885 (Gilead).
[00310] In certain embodiments, one or more compounds provided herein can be administered in combination or alternation with an anti-hepatitis C virus vaccine, such as TG4040, PeviPROTM, CGI-5005, HCV/MF59, GV1001, IC41, GNI-103, GenPhar HCV vaccine, C-Vaxin, CSL123, Hepavaxx C, ChronVac-C® or INNO0101 (El).
[00311] In certain embodiments, one or more compounds provided herein can be administered in combination or alternation with an anti-hepatitis C virus monoclonal antibody, such as MBL-HCV1, AB68 or XTL-6865 (formerly HepX-C); or an anti-hepatitis C virus polyclonal antibody, such as cicavir.
I l l [00312] In certain embodiments, one or more compounds provided herein can be administered in combination or alternation with an anti-hepatitis C virus immunomodulator, such as Zadaxin® (thymalfasin), SCV-07, NOV-205 or Oglufanide.
[00313] In certain embodiments, one or more compounds provided herein can be administered in combination or alternation with cyclophilin inhibitor, such as Enanta cyclophilin binder, SCY-635, or Debio-025.
[00314] In certain embodiments, one or more compounds provided herein can be administered in combination or alternation with Nexavar, doxorubicin, PI-88, amantadine, JBK-122, VGX-410C, MX-3253 (Ceglosivir), Suvus (BIVN-401 or virostat), PF-03491390 (formerly IDN-6556), G126270, UT-231B, DEBIO-025, EMZ702, ACH-0137171, MitoQ, ANA975, AVI-4065, Bavituxinab (Tarvacin), Alinia (nitrazoxanide) or PYN17.
[00315] In certain embodiments, one or more compounds provided herein can be administered in combination or alternation with telaprevir, bocepravir, interferon alfacon-1, interferon alfa-2b, pegylated interferon alpha 2a, pegylated interferon alpha 2b, ribavirin, or combinations thereof.
[00316] In certain embodiments, one or more compounds provided herein can be administered in combination or alternation with a protease inhibitor. In certain embodiments, one or more compounds provided herein can be administered in combination or alternation with telaprevir. In certain embodiments, one or more compounds provided herein can be administered in combination or alternation with bocepravir.
[00317] In certain embodiments, one or more compounds provided herein can be administered in combination or alternation with a protease inhibitor and in combination or alternation with ribavirin. In certain embodiments, one or more compounds provided herein can be administered in combination or alternation with telaprevir and in combination or alternation with ribavirin. In certain embodiments, one or more compounds provided herein can be administered in combination or alternation with bocepravir and in combination or alternation with ribavirin.
[00318] In certain embodiments, one or more compounds provided herein can be administered in combination or alternation with a protease inhibitor and not in combination or alternation with ribavirin. In certain embodiments, one or more compounds provided herein can be administered in combination or alternation with telaprevir and not in combination or alternation with ribavirin. In certain embodiments, one or more compounds provided herein can be administered in combination or alternation with bocepravir and not in combination or alternation with ribavirin.
[00319] In certain embodiments, one or more compounds provided herein can be
administered in combination or alternation with an interferon. In certain embodiments, one or more compounds provided herein can be administered in combination or alternation with interferon alfacon-1. In certain embodiments, one or more compounds provided herein can be administered in combination or alternation with interferon alfa-2b. In certain embodiments, one or more compounds provided herein can be administered in combination or alternation with pegylated interferon alpha 2a. In certain embodiments, one or more compounds provided herein can be administered in combination or alternation with pegylated interferon alpha 2b.
[00320] In certain embodiments, one or more compounds provided herein can be
administered in combination or alternation with an interferon and in combination or alternation with ribavirin. In certain embodiments, one or more compounds provided herein can be administered in combination or alternation with interferon alfacon-land in combination or alternation with ribavirin. In certain embodiments, one or more compounds provided herein can be administered in combination or alternation with interferon alfa-2b and in combination or alternation with ribavirin. In certain embodiments, one or more compounds provided herein can be administered in combination or alternation with pegylated interferon alpha 2a and in combination or alternation with ribavirin. In certain embodiments, one or more compounds provided herein can be administered in combination or alternation with pegylated interferon alpha 2b and in combination or alternation with ribavirin.
[00321] In certain embodiments, one or more compounds can be administered in
combination or alternation with one or more of the second agents provided herein and not in combination or alternation with ribavirin. In certain embodiments, one or more compounds provided herein can be administered in combination or alternation with an interferon and not in combination or alternation with ribavirin. In certain embodiments, one or more compounds provided herein can be administered in combination or alternation with interferon alfacon-land not in combination or alternation with ribavirin. In certain embodiments, one or more compounds provided herein can be administered in combination or alternation with interferon alfa-2b and not in combination or alternation with ribavirin. In certain embodiments, one or more compounds provided herein can be administered in combination or alternation with pegylated interferon alpha 2a and not in combination or alternation with ribavirin. In certain embodiments, one or more compounds provided herein can be administered in combination or alternation with pegylated interferon alpha 2b and not in combination or alternation with ribavirin.
EXAMPLES
[00322] As used herein, the symbols and conventions used in these processes, schemes and examples, regardless of whether a particular abbreviation is specifically defined, are consistent with those used in the contemporary scientific literature, for example, the Journal of the American Chemical Society or the Journal of Biological Chemistry. Specifically, but without limitation, the following abbreviations may be used in the examples and throughout the specification: g (grams); mg (milligrams); mL (milliliters); μΐ^ (microliters); mM (millimolar); μΜ (micromolar); Hz (Hertz); MHz (megahertz); mmol (millimoles); hr or hrs (hours); min (minutes); MS (mass spectrometry); ESI (electrospray ionization); TLC (thin layer
chromatography); HPLC (high pressure liquid chromatography); THF (tetrahydrofuran); CDC13 (deuterated chloroform); AcOH (acetic acid); DCM (dichloromethane); DMSO
(dimethylsulfoxide); DMSO- ^ (deuterated dimethylsulfoxide); EtOAc (ethyl acetate); MeOH (methanol); and BOC (t-butyloxycarbonyl).
[00323] For all of the following examples, standard work-up and purification methods known to those skilled in the art can be utilized. Unless otherwise indicated, all temperatures are expressed in °C (degrees Centigrade). All reactions are conducted at room temperature unless otherwise noted. Synthetic methodologies illustrated herein are intended to exemplify the applicable chemistry through the use of specific examples and are not indicative of the scope of the disclosure.
Example 1
Preparation of Compounds
Figure imgf000115_0001
A1 A2 A3
Figure imgf000116_0001
Compound 8, Mixture of Diastereomers Compound 8, Diastereomer 1
Compound 8, Diastereomer 2
[00324] To a solution of phenol (59 mmol) and thiophosphoryl chloride (59 mmol) in diethylether (2.5 mL/mmol) at 0°C was added dropwise triethylamine (59 mmol). The reaction mixture was stirred at room temperature overnight, filtered, washed with
diethylether, and dried under vacuum to afford the expected intermediate A2 as a colorless oil in 91% yield.
[00325] To a solution of compound A2 (11.93 mmol) and D-Alanine isopropylester hydrochloride (11.93 mmol) in DCM (6.7 mL/mmol) at 0°C was added dropwise
triethylamine (23.78 mmol). The reaction mixture was stirred at room temperature overnight and then concentrated under reduced pressure. The crude residue was purified by
chromatography on silica gel (petroleum ether/ ethyl acetate: 0 to 50%) to afford the expected intermediate A3 as a colorless oil in 65% yield.
[00326] To a solution of 2'-C-methyluridine (3.72 mmol) in acetonitrile (1.55 mL/mmol) was added N-methylimidazole (18.58 mmol) dropwise rapidly. The reaction mixture was stirred 20 minutes at room temperature and then cooled at 0 °C. Compound A3 (5.2 mmol) was then added dropwise. The reaction mixture was stirred at 0 °C for 1 hour and then allowed to warm up to room temperature overnight. Methanol was added and the reaction mixture was stirred for 45 minutes, then concentrated under reduced pressure. The crude residue was diluted in ethyl acetate, washed with HC1 2N, NaHC03, and brine. The organic layer was concentrated under reduced pressure. The crude residue was purified by
chromatography on silica gel (ethyl acetate: 100%) and triturated in petroleum ether to afford the expected mixture of diastereoisomers of Compound 8 as a beige solid in 16.5% yield. This mixture was then purified by MS preparative to afford isolated diastereoisomers 1 and 2.
[00327] Compound 8, Diastereoisomer 1 : White foam; MS (ESI) m/z = 544.2 (MH+); 1H NMR (DMSO-^, 400MHz) δ (ppm) 11.44 (brs, 1H), 7.59 (d, J=8.17Hz, 1H), 7.43-7.39 (m, 2H), 7.29-7.27 (m, 2H), 7.24-7.20 (m, 1H), 6.73 (dd, J=15.21Hz and 10.07Hz, 1H), 5.84 (s, IH), 5.53 (d, J=8.17Hz, IH), 5.44 (d, J=6.94Hz, IH), 5.28 (s, IH), 4.89 (heptuplet,
J=6.17Hz, IH), 4.39-4.23 (m, 2H), 4.03-3.93 (m, 2H), 3.64 (dd, J=8.91Hz and 7.13Hz, IH), 1.30 (d, J=7.28Hz, 3H), 1.19-1.16 (m, 6H), 1.00 (s, 3H);31P NMR (DMSO-< , 162MHz) δ (ppm) 66.80 (s, IP).
[00328] Compound 8 Diastereoisomer 2: White foam; MS (ESI) m/z = 544.2 (MH+); 1H NMR (DMSO-^, 400MHz) δ (ppm) 11.44 (brs, IH), 7.67 (d, J=8.08Hz, IH), 7.43-7.39 (m, 2H), 7.24-7.20 (m, 3H), 6.68 (dd, J=12.27Hz and 9.98Hz, IH), 5.86 (s, IH), 5.52 (d,
J=8.08Hz, IH), 5.41 (d, J=6.98Hz, IH), 5.30 (s, IH), 4.89 (heptuplet, J=6.22Hz, IH), 4.42- 4.24 (m, 2H), 4.06-3.92 (m, 2H), 3.72-3.68 (m, IH), 1.26 (d, J=7.26Hz, 3H), 1.19-1.16 (m, 6H), 1.04 (s, 3H);31P NMR (DMSO-^, 162MHz) δ (ppm) 68.29 (s, IP).
Example 2
HCV Polymerase Enzyme Assay
[00329] Test compounds in the form of nucleoside triphosphates are examined for inhibitory activity against purified HCV polymerase in a standard assay. Bacterial expression constructs encoding the approximately 65 kDa HCV genotype lb NS5B protein are used to generate recombinant HCV polymerases (with a deletion of the 21 carboxy terminal amino acids). Both the wild-type genotype lb protein and protein containing the S282T mutation are expressed and purified for use in the enzymatic activity assay.
[00330] The enzymatic activity assay measures the inhibitory effect of increasing
33
concentrations of test compound on the incorporation of a-[ P] -labeled nucleotide into trichloroacetic acid-precipitable material. Recombinant polymerase and synthetic RNA
33 template are combined in reaction buffer containing ribonucleoside triphosphates, a-[ P]- labeled nucleotide and eight concentrations of test compound in three-fold dilutions. Reactions are incubated for two hours at 30°C.
[00331] Reactions are terminated by the addition of ice-cold trichloroacetic acid and sodium pyrophosphate to promote precipitation of newly-synthesized ribonucleic acid. Precipitable material from the reactions is collected by filtration onto 96-well filter plates, washed extensively with water, and quantified by liquid scintillation.
[00332] The inhibitory activity of test compounds is determined by fitting results to dose- response curves using XLfit software.
[00333] Results are provided in Table 1. Table 1 - HCV Polymerase Enzyme Activity
Figure imgf000118_0001
a ND = not determined IC5o is provided as follows:
++++ < 250 11M < +++ < 1 μΜ < ++ < 10 μΜ < +
Example 3
HCV Replicon Assay
[00334] Huh-7-derived cell line (Zluc) that harbors an HCV genotype lb replicon and a luciferase reporter gene is grown in Dulbecco's Modified Eagle Medium (DMEM) supplemented with 10% fetal bovine serum, 2 mM GlutaMAX, 1% MEM nonessential amino acids, 100 IU/mL penicillin, 100 μg/mL streptomycin, and 0.5 mg/mL Geneticin® (G418). For dose response testing the cells were seeded in 96-well plates at 7.5 x 10 cells per well in a volume of 50 μί, and incubated at 37°C/5%> C02. Drug solutions are made up freshly in Huh-7 media as 2X stocks. Ten additional 5-fold dilutions are prepared from these stocks in DMEM without G418. At least three hours after Zluc cells are seeded, drug treatment is initiated by adding 50 μΐ^ of drug dilutions to the plates in duplicate. Final concentrations of drug range from 100 μΜ to 0.0000512 μΜ. Cells are then incubated at 37°C/5% C02.
Alternatively, compounds are tested at two concentrations (1 μΜ and 10 μΜ). Huh-7 (which do not harbors the HCV replicon) serves as negative control. After 72 hours of incubation, the inhibition of HCV replication is measured by quantification of photons emitted after mono-oxygenation of 5'-fluoroluciferin to oxyfluoroluciferin by firefly luciferase. For this, media are removed from the plates via gentle tapping. Fifty microliters of ONE-glo luciferase assay reagent are added to each well. The plates are shaken gently for 3 min at room temperature and luminescence was measured on a Victor V 1420 multilabel counter (Perkin Elmer) with a 1 second read time using a 700 nm cut-off filter. The EC50 values are calculated from dose response curves from the resulting best-fit equations determined by Microsoft Excel and XLfit 4.1 software. When screening at two fixed concentrations, the results are expressed as percent (%) inhibition at 1 μΜ and 10 μΜ.
[00335] For cytotoxicity evaluation, Zluc cells are treated with compound as described herein, and cell viability was monitored using the CellTiter-Blue Cell Viability Assay (Promega) by adding 20 μΐ^ of the assay solution to each well. The plates are then incubated at 37°C/5% C02 for at least 3 hours. Fluorescence is detected in plates using excitation and emission wavelengths of 560 and 590 nm, respectively, in a Victor V 1420 multilabel counter (Perkin Elmer) and CC50 values are determined using Microsoft Excel and XLfit 4.1 software.
[00336] Compounds presented in Table 2 below were assayed according to the replicon assay described herein.
Table 2 - HCV Replicon Activity
Figure imgf000119_0001
HCV Replicon
Compound
Figure imgf000120_0001
Compound 8
+ +
Diastereomer 2
EC50 is provided as follows:
++++ < 250 nM < +++ < 1 μΜ < ++ < 10 μΜ < + CC5o is provided as follows: ++ < 50 μΜ < +
Example 4
Pharmacokinetics of plasma nucleoside and liver triphosphate following a single oral dose in
CD-I Mice
[00337] Abbreviations: Ms = Mouse; TP = triphosphate; AUC = area under curve; Cmax = maximum concentration.
[00338] A single oral dose of Compound 8 Dial or 8 Dia2 at 10 mg/kg in PEG 200 (dose volume 5 mL/kg) was administered to nine CD-I male mice. Five untreated animals were used for the collection of control plasma and liver. Terminal plasma and liver samples were collected from three animals per time point at 4, 12 and 24 hours post dose. Liver specimens were collected from all animals immediately after the incision. Freezing forceps stored in liquid nitrogen were used to freeze the liver before excision.
[00339] Plasma samples were analyzed for nucleoside by LC-MS/MS. The internal standard (IS) was 15 N213 C-2'-MeU. For protein precipitation and extraction, each plasma sample (50 μί) was treated with 500 μΐ^ of 0.2% formic acid in acetonitrile and 20 μΐ^ of the internal standard working solution. After vortexing and centrifugation, 500μί of the sample extracts were transferred to a new plate, dried under N2 at ~28°C and reconstituted with 75 μΐ^ of 0.2% FA in water. The extracts were chromatographed on an Aquasil C18 column using a gradient system of 0.1% formic acid in water and acetonitrile. The analyte was detected and quantified by tandem mass spectrometry in positive ion mode on an MDS Sciex API5000 equipped with a Turbo Ionspray® interface. The calibration range was 2.50 (LLOQ) to 500 ng/mL in mouse plasma. [00340] Liver samples were analyzed for the nucleoside triphosphates by LC-MS/MS. The triphosphate levels were assayed by homogenizing (on ice) a known weight of mouse liver with 4X volume of 0.95 M trichloroacetic acid (TCA). To a 200 aliquot of the homogenate, 30 water, 30 of a solution of internal standard ((2'-MeATP, 25000ng/mL in water) and 400μί of 1M of TEAA were added. The sample was analyzed by LC-MS/MS. The samples were chromatographed on a ACE 3 CI 8 3μιη 150x2.1 mm column using a gradient system of triethylammonium acetate (50 mM) in water and acetonitrile. The analytes were detected and quantified by tandem mass spectrometry in negative ion mode on an AP 14000 equipped with a Turbo Ionspray® interface.
[00341] Results are provided in Table 3 below.
Table 3 - Mouse Plasma and Liver Pharmacokinetic Parameters
Figure imgf000121_0001
a Compound Tl is as set forth in Table 1.
Cmax and AUC are provided as follows:
+ < 150 < ++ < 500 < +++ < 2000 < ++++
[00342] All publications, patents, and patent applications cited in this specification are herein incorporated by reference as if each individual publication, patent, or patent application were specifically and individually indicated to be incorporated by reference. The following United States Provisional Patent Applications are specifically incorporated by reference herein: US 61/895,992 entitled "D-Alanine Thiophosphoramidate Pronucleotides of Nucleoside Compounds Useful for the Treatment of HCV" filed 25 October 2013; and
US 61/909,338 entitled "D-Amino Acid Phosphoramidate Nucleosides for HCV" filed 26 November 2013.
[00343] This application claims priority to, and the benefit of, the following United States Provisional Patent Applications: US 61/895,992 entitled "D-Alanine Thiophosphoramidate Pronucleotides of Nucleoside Compounds Useful for the Treatment of HCV" filed 25
October 2013; and US 61/909,338 entitled "D-Amino Acid Phosphoramidate Nucleosides for HCV" filed 26 November 2013.
[00344] While the claimed subject matter has been described in terms of various
embodiments, the skilled artisan will appreciate that various modifications, substitutions, omissions, and changes may be made without departing from the spirit thereof. Accordingly, it is intended that the scope of the claimed subject matter is limited solely by the scope of the following claims, including equivalents thereof.

Claims

WHAT IS CLAIMED IS:
1. A compound according to Formula AI:
Figure imgf000123_0001
or a pharmaceutically acceptable salt, solvate, stereoisomeric form, tautomeric form or polymorphic form thereof, wherein:
RA is hydrogen, hydroxyl, methyl or halo;
RB is hydrogen, hydroxyl, halo, cyano, azido, amino, or ethynyl;
R is hydrogen;
RD is hydrogen or hydroxyl;
RE is hydrogen or halo; or, in the alternative, RB and RE join to form alkylene or heteroalkylene;
Base is a nucleobase;
Ar is aryl; and
R is hydrogen or alkyl.
2. The compound of claim 1, wherein RB is hydrogen, hydroxyl, halo, cyano, azido or amino.
3. The compound of claim 1 or 2 according to Formula la or lb:
Figure imgf000123_0002
(la) (lb).
4. The compound of claim 1 or 2 according to Formula II, Ila or lib:
Figure imgf000124_0001
(Ila) (lib).
5. The compound of claim 1 or 2 according to Formula III, Ilia or lib:
Figure imgf000124_0002
(Ilia) (Illb).
6. The compound of claim 1 or 2 according to Formula IV, IVa or IVb:
Figure imgf000124_0003
(IVa) (IVb)
7. The compound of claim 1 or 2 according to according to Formula V, Va or Vb:
Figure imgf000125_0001
(V)
Figure imgf000125_0002
(Va) (Vb);
wherein W is -CH2- -O- or -NH-.
8. The compound of any of claims 1-7, wherein each Base is independently:
Figure imgf000125_0003
or ; or a tautomeric form thereof, wherein: each R4 is independently hydrogen, hydroxyl, alkoxyl, amino or aminoalkyl; each R5 is independently hydrogen, hydroxyl, amino, or alkoxyl;
each R6 is independently hydrogen, halogen, or alkyl; and
each R7 is independently hydrogen or amino.
9. The compound of claim 8 according to any of Formulas VI-IX:
Figure imgf000125_0004
(VI) (VII)
Figure imgf000126_0001
(VIII) (IX);
wherein each R is independently hydrogen, halogen, or alkyl; and each R is independently hydrogen or -NH2
10. The compound of claim 1 or 2 according to any of Formulas X-XVIII:
Figure imgf000126_0002
(XIV) (XV)
Figure imgf000127_0001
Figure imgf000127_0002
(XVII)
11. The compound of any of the above claims, wherein R is lower alkyl.
12. The compound of any of the above claims, wherein Ar is phenyl.
13. The compound of any of the above claims, wherein Base is guanosine, 6-deoxyguanosine, 6-methoxyguanosine, 6-ethoxyguanosine, adenine, thymine, cytosine, uracil, 5-fluoro-uracil or 2 , 6-diaminopurine .
14. The compound of any of claims 1 -13, wherein RAis methyl.
15. The compound of any of claims 1 -13, wherein RAis hydrogen.
16. The compound of any of claims 1 -13, wherein RAis fluoro.
17. The compound of any of claims 1 -16, wherein RB is hydroxyl.
18. The compound of any of claims 1 -16, wherein RB is fluoro.
19. The compound of any of claims 1 -16, wherein RB is chloro.
20. The compound of any of claims 1 -16, wherein RB is cyano.
21. The compound of any of claims 1 -16, wherein RB is amino.
22. The compound of any of claims 1 -16, wherein RB is azido.
23. The compound of any of claims 1 -22, wherein Rc is hydrogen.
24. The compound of any of claims 1 -23, wherein RD is hydroxyl.
25. The compound of any of claims 1 -23, wherein RD is hydrogen.
26. The compound of any of claims 1-25, wherein R is hydrogen.
27. The compound of any of claims 1-25, wherein RE is fluoro.
28. The compound of claim 1 or 2 according to any of Formulas I-XVII.
29. The compound of claim 1 or 2 according to any of Formulas 101-152c.
30. A pharmaceutical composition comprising the compound of any one of claims 1-29 and a pharmaceutically acceptable excipient, carrier or diluent.
31. The pharmaceutical composition of claim 30, wherein the composition is an oral formulation.
32. A method for the treatment of a host infected with a hepatitis C virus, comprising the administration of an effective treatment amount of a compound or composition of any one of claims 1-31.
33. The method of claim 32, wherein the host is a human.
34. The method of any of claims 32-33, wherein the administration directs a substantial amount of the compound, or pharmaceutically acceptable salt or stereoisomer thereof, to a liver of the host.
35. The method of any of claims 32-34, wherein the compound or composition is administered in combination or alternation with a second anti-viral agent selected from the group consisting of an interferon, a nucleotide analogue, a polymerase inhibitor, an NS3 protease inhibitor, an NS5A inhibitor, an entry inhibitor, a non-nucleoside polymerase inhibitor, a cyclosporine immune inhibitor, an NS4A antagonist, an NS4B-R A binding inhibitor, a locked nucleic acid mR A inhibitor, a cyclophilin inhibitor, and combinations thereof.
36. The method of claim 35, wherein the second anti-viral agent is selected from the group consisting of telaprevir, bocepravir, interferon alfacon-1, interferon alfa-2b, pegylated interferon alpha 2a, pegylated interferon alpha 2b, ribavirin, and combinations thereof.
37. The method of claim 36, wherein the second anti-viral agent is selected from the group consisting of telaprevir, bocepravir, interferon alfacon-1, interferon alfa-2b, pegylated interferon alpha 2a, pegylated interferon alpha 2b, and combinations thereof, and further wherein the administration is not in combination or alternation with ribavirin.
38. A method for the treatment of a host infected with a hepatitis C virus, comprising the administration of an effective treatment amount of a compound of any of Formulas AI, I- XVII, or 101-152d.
39. A compound according to Formula 1001:
Figure imgf000129_0001
(1001);
or a pharmaceutically acceptable salt, solvate, stereoisomeric form, tautomeric form or polymorphic form thereof; wherein:
Figure imgf000129_0002
L is -O- or -CH2-;
M is -0-, -S- or -CH2-;
Z is hydroxyl;
X is hydroxyl or -O-Ar; or, in the alternative, X and Z combine to form a single divalent -0-;
W is O or S;
Ar is aryl;
Sc is a side chain of a naturally occurring or non-naturally occurring amino acid; Q1 is -SRY, -NRYRY, hydroxyl or alkoxyl; RA is hydroxyl or fluoro; RB is hydrogen or methyl; RY is hydrogen or alkyl; each R4 is independently hydrogen, hydroxyl, amino, or alkoxyl; each R5 is independently hydrogen, hydroxyl, or alkoxyl; each R6 is independently hydrogen, halogen, or alkyl; and each R7 is independently hydrogen, hydroxyl or amino; subject to the proviso that when: Base is 6-methoxyl guanine, L is -0-, M is -0-, W is O, Sc is methyl, RA is hydroxyl, Z is hydroxyl, RB is hydrogen, and Q1 is -OCH2C(CH2)3; then X is other than naphthyloxyl; subject to the proviso that when: Base is 6-methoxyl guanine, L is -0-, M is -0-, W is O, Sc is phenyl, RA is hydroxyl, Z is hydroxyl, RB is hydrogen, and Q1 is -0(CH2)2CH3, -OCH2C(CH2)3, or -O-cyclohexyl; then X is other than naphthyloxyl; subject to the proviso that when: Base is cytosine, L is -0-, M is -0-, W is O, Sc is methyl, RA is hydroxyl, Z is hydroxyl, RB is hydrogen, and Q1 is methoxyl; then X is other than p-chlorophenyloxyl; subject to the proviso that when: Base is guanine, L is -0-, M is -0-, W is O, Sc is methyl, RA is hydroxyl, Z is hydroxyl, RB is hydrogen, and Q1 is benzyloxyl; then X is other than naphthyloxyl; subject to the proviso that when: Base is uracil, L is -0-, M is -0-, W is O, Sc is methyl, RA is fluoro, Z is hydroxyl, RB is hydrogen, and X is phenyloxyl; then Q1 is other than n-butyloxyl, isopropyloxyl, or benzyloxyl; and subject to the proviso that when: Base is 6-ethoxylguanine, L is -0-, M is -0-, W is O, Sc is methyl, RA is fluoro, Z and X combine to form a single divalent -0-, and RB is hydrogen; then Q1 is other than isopropyloxyl.
40. The compound of claim 39 according to Formula 1019:
Figure imgf000130_0001
(1019);
or a pharmaceutically acceptable salt, solvate, stereoisomeric form, tautomeric form or polymorphic form thereof, wherein Ar is aryl.
41. The compound of claim 39 according to Formula 1020:
Figure imgf000131_0001
(1020);
or a pharmaceutically acceptable salt, solvate, stereoisomeric form, tautomeric form or polymorphic form thereof.
42. The compound of claim 39 according to Formula 1021:
Figure imgf000131_0002
(1021);
or a pharmaceutically acceptable salt, solvate, stereoisomeric form, tautomeric form polymorphic form thereof.
43. The compound of claim 39 according to Formula 1002:
Figure imgf000131_0003
(1002);
or a pharmaceutically acceptable salt, solvate, stereoisomeric form, tautomeric form or polymorphic form thereof, wherein Ar is aryl.
44. The compound of claim 39 according to Formula 1022:
Figure imgf000131_0004
(1022);
or a pharmaceutically acceptable salt, solvate, stereoisomeric form, tautomeric form or polymorphic form thereof, wherein Ar is aryl.
45. The compound of claim 39 according to Formula 1023:
Figure imgf000132_0001
(1023) ;
or a pharmaceutically acceptable salt, solvate, stereoisomeric form, tautomeric form or polymorphic form thereof.
46. The compound of claim 39 according to Formula 1024:
Figure imgf000132_0002
(1024) ;
or a pharmaceutically acceptable salt, solvate, stereoisomeric form, tautomeric form or polymorphic form thereof.
47. The compound of any of claims 39-46,wherein each Base is independently:
Figure imgf000132_0003
Figure imgf000132_0004
Figure imgf000133_0001
(1018);
or a pharmaceutically acceptable salt, solvate, stereoisomeric form, tautomeric form or polymorphic form thereof.
49. The compound of any of claims 39-48, wherein Sc is selected from the group consisting of alkyl, arylalkyl, heterocycloalkyl, carboxylalkyl, heteroarylalkyl, aminoalkyl, hydroxylalkyl, aminoiminoaminoalkyl, aminocarbonylalkyl, sulfanylalkyl, carbamoylalkyl, alkylsulfanylalkyl and hydroxylarylalkyl.
50. The compound of any of claims 39- -48, wherein Sc is alkyl.
51. The compound of any of claims 39- -48, wherein Sc is C1-C3 alkyl.
52. The compound of any of claims 39- -48, wherein Sc is methyl.
53. The compound of any of claims 39- -52, wherein Q1 is alkoxyl.
54. The compound of any of claims 39- -52, wherein Q1 is C1-C10 alkoxyl.
55. The compound of any of claims 39- -52, wherein Q1 is C1-C5 alkoxyl.
56. The compound of any of claims 39- -52, wherein Q1 is -OCH(CH3)2.
57. The compound of any of claims 39- -56, wherein Ar is phenyl.
58. A compound selected from the group consisting of compounds 2001-2286b.
59. A substantially pure ?P diastereomer compound of any of claims 39-58.
60. A substantially pure Sp diastereomer compound of any of claims 39-58.
61. A pharmaceutical composition comprising the compound of any of claims 39-60 and a pharmaceutically acceptable excipient, carrier or diluent.
62. The pharmaceutical composition of claim 61 , wherein the composition is an oral formulation.
63. A method for the treatment of a host infected with a hepatitis C virus, comprising the administration of an effective treatment amount of a compound or composition of any one of claims 39-62.
64. The method of claim 63, wherein the host is a human.
65. The method of any of claims 63-64, wherein the administration directs a substantial amount of the compound, or pharmaceutically acceptable salt or stereoisomer thereof, to a liver of the host.
66. The method of any of claims 63-65, wherein the compound or composition is administered in combination or alternation with a second anti-viral agent selected from the group consisting of an interferon, a nucleotide analogue, a polymerase inhibitor, an NS3 protease inhibitor, an NS5A inhibitor, an entry inhibitor, a non-nucleoside polymerase inhibitor, a cyclosporine immune inhibitor, an NS4A antagonist, an NS4B-R A binding inhibitor, a locked nucleic acid mRNA inhibitor, a cyclophilin inhibitor, and combinations thereof.
67. The method of claim 66, wherein the second anti-viral agent is selected from the group consisting of telaprevir, boceprevir, simeprevir, interferon alphacon-1, interferon alpha-2a, interferon alpha-2b, pegylated interferon alpha 2a, pegylated interferon alpha 2b, ribavirin, and combinations thereof.
68. The method of claim 66, wherein the second anti-viral agent is selected from the group consisting of telaprevir, boceprevir, simeprevir, interferon alphacon-1, interferon alpha-2a, interferon alpha-2b, pegylated interferon alpha 2a, pegylated interferon alpha 2b, and combinations thereof, and further wherein the administration is not in combination or alternation with ribavirin.
PCT/US2014/0621742013-10-252014-10-24D-amino acid phosphoramidate and d-alanine thiophosphoramidate pronucleotides of nucleoside compounds useful for the treatment of hcvWO2015061683A1 (en)

Applications Claiming Priority (4)

Application NumberPriority DateFiling DateTitle
US201361895992P2013-10-252013-10-25
US61/895,9922013-10-25
US201361909338P2013-11-262013-11-26
US61/909,3382013-11-26

Publications (1)

Publication NumberPublication Date
WO2015061683A1true WO2015061683A1 (en)2015-04-30

Family

ID=51905394

Family Applications (1)

Application NumberTitlePriority DateFiling Date
PCT/US2014/062174WO2015061683A1 (en)2013-10-252014-10-24D-amino acid phosphoramidate and d-alanine thiophosphoramidate pronucleotides of nucleoside compounds useful for the treatment of hcv

Country Status (1)

CountryLink
WO (1)WO2015061683A1 (en)

Cited By (10)

* Cited by examiner, † Cited by third party
Publication numberPriority datePublication dateAssigneeTitle
US9422323B2 (en)2012-05-252016-08-23Janssen Sciences Ireland UcUracyl spirooxetane nucleosides
WO2016144918A1 (en)2015-03-062016-09-15Atea Pharmaceuticals, Inc.β-D-2'-DEOXY-2'α-FLUORO-2'-β-C-SUBSTITUTED-2-MODIFIED-N6-SUBSTITUTED PURINE NUCLEOTIDES FOR HCV TREATMENT
WO2018013937A1 (en)2016-07-142018-01-18Atea Pharmaceuticals, Inc.Beta-d-2'-deoxy-2'-alpha-fluoro-2'-beta-c-substituted-4'-fluoro-n6-substituted-6-amino-2-substituted purine nucleotides for the treatment of hepatitis c virus infection
WO2018048937A1 (en)2016-09-072018-03-15Atea Pharmaceuticals, Inc.2'-substituted-n6-substituted purine nucleotides for rna virus treatment
US10202411B2 (en)2014-04-162019-02-12Idenix Pharmaceuticals Llc3′-substituted methyl or alkynyl nucleosides nucleotides for the treatment of HCV
US10231986B2 (en)2013-03-132019-03-19Idenix Pharmaceuticals LlcAmino acid phosphoramidate pronucleotides of 2′-cyano, azido and amino nucleosides for the treatment of HCV
US10238680B2 (en)2013-08-012019-03-26Idenix Pharmaceuticals LlcD-amino acid phosphoramidate pronucleotides of halogeno pyrimidine compounds for liver disease
US10513534B2 (en)2012-10-082019-12-24Idenix Pharmaceuticals Llc2′-chloro nucleoside analogs for HCV infection
US10717758B2 (en)2012-05-222020-07-21Idenix Pharmaceuticals LlcD-amino acid compounds for liver disease
EP4450129A2 (en)2017-02-012024-10-23ATEA Pharmaceuticals, Inc.Nucleotide hemi-sulfate salt for the treatment of hepatitis c virus

Citations (112)

* Cited by examiner, † Cited by third party
Publication numberPriority datePublication dateAssigneeTitle
US3536809A (en)1969-02-171970-10-27Alza CorpMedication method
US3598123A (en)1969-04-011971-08-10Alza CorpBandage for administering drugs
US3845770A (en)1972-06-051974-11-05Alza CorpOsmatic dispensing device for releasing beneficial agent
US3916899A (en)1973-04-251975-11-04Alza CorpOsmotic dispensing device with maximum and minimum sizes for the passageway
US4008719A (en)1976-02-021977-02-22Alza CorporationOsmotic system having laminar arrangement for programming delivery of active agent
US5026687A (en)1990-01-031991-06-25The United States Of America As Represented By The Department Of Health And Human ServicesTreatment of human retroviral infections with 2',3'-dideoxyinosine alone and in combination with other antiviral compounds
US5059595A (en)1989-03-221991-10-22Bioresearch, S.P.A.Pharmaceutical compositions containing 5-methyltetrahydrofolic acid, 5-formyltetrahydrofolic acid and their pharmaceutically acceptable salts in controlled-release form active in the therapy of organic mental disturbances
US5073543A (en)1988-07-211991-12-17G. D. Searle & Co.Controlled release formulations of trophic factors in ganglioside-lipsome vehicle
US5120548A (en)1989-11-071992-06-09Merck & Co., Inc.Swelling modulated polymeric drug delivery device
US5354556A (en)1984-10-301994-10-11Elan Corporation, PlcControlled release powder and process for its preparation
US5496546A (en)1993-02-241996-03-05Jui H. WangCompositions and methods of application of reactive antiviral polyadenylic acid derivatives
US5538865A (en)1990-04-061996-07-23Genelabs Technologies, Inc.Hepatitis C virus epitopes
JPH08268890A (en)1995-03-311996-10-15Eisai Co Ltd Preventive and therapeutic agent for hepatitis C
US5591767A (en)1993-01-251997-01-07Pharmetrix CorporationLiquid reservoir transdermal patch for the administration of ketorolac
US5610054A (en)1992-05-141997-03-11Ribozyme Pharmaceuticals, Inc.Enzymatic RNA molecule targeted against Hepatitis C virus
US5633358A (en)1994-09-141997-05-27Huels AktiengesellschaftProcess for bleaching aqueous surfactant solutions
US5633388A (en)1996-03-291997-05-27Viropharma IncorporatedCompounds, compositions and methods for treatment of hepatitis C
US5639480A (en)1989-07-071997-06-17Sandoz Ltd.Sustained release formulations of water soluble peptides
US5639476A (en)1992-01-271997-06-17Euro-Celtique, S.A.Controlled release formulations coated with aqueous dispersions of acrylic polymers
US5674533A (en)1994-07-071997-10-07Recordati, S.A., Chemical And Pharmaceutical CompanyPharmaceutical composition for the controlled release of moguisteine in a liquid suspension
WO1997036554A1 (en)1996-03-291997-10-09Viropharma IncorporatedPiperidine derivatives, pharmaceutical compositions thereof and their use in the treatment of hepatitis c
US5725859A (en)1994-05-031998-03-10Omer; Osama L.M.Plant-based therapeutic agent with virustatic and antiviral effect
US5733566A (en)1990-05-151998-03-31Alkermes Controlled Therapeutics Inc. IiControlled release of antiparasitic agents in animals
US5739108A (en)1984-10-041998-04-14Monsanto CompanyProlonged release of biologically active polypeptides
JPH10101591A (en)1996-09-271998-04-21Eisai Co LtdPreventing and therapeutic agent for viral infectious disease
WO1998017679A1 (en)1996-10-181998-04-30Vertex Pharmaceuticals IncorporatedInhibitors of serine proteases, particularly hepatitis c virus ns3 protease
WO1998022496A2 (en)1996-11-181998-05-28F. Hoffmann-La Roche AgAntiviral peptide derivatives
US5837257A (en)1996-07-091998-11-17Sage R&DUse of plant extracts for treatment of HIV, HCV and HBV infections
US5846964A (en)1993-07-191998-12-08Tokyo Tanabe Company LimitedHepatitis C virus proliferation inhibitor
WO1999007734A2 (en)1997-08-111999-02-18Boehringer Ingelheim (Canada) Ltd.Hepatitis c inhibitor peptide analogues
US5891474A (en)1997-01-291999-04-06Poli Industria Chimica, S.P.A.Time-specific controlled release dosage formulations and method of preparing same
US5891874A (en)1996-06-051999-04-06Eli Lilly And CompanyAnti-viral compound
US5922757A (en)1996-09-301999-07-13The Regents Of The University Of CaliforniaTreatment and prevention of hepatic disorders
US5922356A (en)1996-10-091999-07-13Sumitomo Pharmaceuticals Company, LimitedSustained release formulation
WO1999043691A1 (en)1998-02-251999-09-02Emory University2'-fluoronucleosides
DE19914474A1 (en)1998-03-301999-10-07Hoffmann La RocheNew peptide aldehyde and boronic acid derivatives are proteinase inhibitors useful for treatment of viral infections, especially hepatitis
US5972891A (en)1992-12-071999-10-26Takeda Chemical Industries, Ltd.Sustained-release preparation
US5980945A (en)1996-01-161999-11-09Societe De Conseils De Recherches Et D'applications Scientifique S.A.Sustained release drug formulations
US5990276A (en)1996-05-101999-11-23Schering CorporationSynthetic inhibitors of hepatitis C virus NS3 protease
US5993855A (en)1995-09-181999-11-30Shiseido Company, Ltd.Delayed drug-releasing microspheres
US6004933A (en)1997-04-251999-12-21Cortech Inc.Cysteine protease inhibitors
WO2000009543A2 (en)1998-08-102000-02-24Boehringer Ingelheim (Canada) Ltd.Hepatitis c inhibitor tri-peptides
US6034134A (en)1997-06-302000-03-07Merz + Co. Gmbh & Co.1-Amino-alkylcyclohexane NMDA receptor antagonists
US6043077A (en)1996-02-292000-03-28Immusol Inc.Hepatitis C virus ribozymes
US6045830A (en)1995-09-042000-04-04Takeda Chemical Industries, Ltd.Method of production of sustained-release preparation
US6056961A (en)1996-12-152000-05-02Lavie; DavidPlant extracts for the preparation of pharmaceutical compositions for the treatment of hepatitis
US6087324A (en)1993-06-242000-07-11Takeda Chemical Industries, Ltd.Sustained-release preparation
US6113943A (en)1996-10-312000-09-05Takeda Chemical Industries, Ltd.Sustained-release preparation capable of releasing a physiologically active substance
US6197350B1 (en)1996-12-202001-03-06Takeda Chemical Industries, Ltd.Method of producing a sustained-release preparation
WO2001032153A2 (en)1999-11-042001-05-10Shire Biochem Inc.Method for the treatment or prevention of flaviviridae viral infection using nucleoside analogues
US6248363B1 (en)1999-11-232001-06-19Lipocine, Inc.Solid carriers for improved delivery of active ingredients in pharmaceutical compositions
US6264970B1 (en)1996-06-262001-07-24Takeda Chemical Industries, Ltd.Sustained-release preparation
US6267981B1 (en)1995-06-272001-07-31Takeda Chemical Industries, Ltd.Method of producing sustained-release preparation
WO2001060315A2 (en)2000-02-182001-08-23Shire Biochem Inc.Method for the treatment or prevention of flavivirus infections using nucleoside analogues
WO2001079246A2 (en)2000-04-132001-10-25Pharmasset, Ltd.3'-or 2'-hydroxymethyl substituted nucleoside derivatives for treatment of hepatitis virus infections
WO2001090121A2 (en)2000-05-232001-11-29Idenix (Cayman) LimitedMethods and compositions for treating hepatitis c virus
WO2001092282A2 (en)2000-05-262001-12-06Idenix (Cayman) LimitedMethods and compositions for treating flaviviruses and pestiviruses
WO2002008251A2 (en)2000-07-212002-01-31Corvas International, Inc.Peptides as ns3-serine protease inhibitors of hepatitis c virus
WO2002008187A1 (en)2000-07-212002-01-31Schering CorporationNovel peptides as ns3-serine protease inhibitors of hepatitis c virus
WO2002008198A2 (en)2000-07-212002-01-31Schering CorporationNovel imidazolidinones as ns3-serine protease inhibitors of hepatitis c virus
WO2002008256A2 (en)2000-07-212002-01-31Schering CorporationPeptides as ns3-serine protease inhibitors of hepatitis c virus
WO2002018404A2 (en)2000-08-302002-03-07F. Hoffmann-La Roche AgNucleoside derivatives for the treatment of hepatitis c
WO2002032920A2 (en)2000-10-182002-04-25Pharmasset LimitedModified nucleosides for treatment of viral infections and abnormal cellular proliferation
WO2002048157A2 (en)2000-12-132002-06-20Bristol-Myers Squibb Pharma CompanyImidazolidinones and their related derivatives as hepatitis c virus ns3 protease inhibitors
WO2002048116A2 (en)2000-12-132002-06-20Bristol-Myers Squibb Pharma CompanyInhibitors of hepatitis c virus ns3 protease
WO2002048172A2 (en)2000-12-122002-06-20Schering CorporationDiaryl peptides as ns3-serine protease inhibitors of hepatits c virus
WO2002048165A2 (en)2000-12-152002-06-20Pharmasset Ltd.Antiviral agents for treatment of flaviviridae infections
US6419961B1 (en)1996-08-292002-07-16Takeda Chemical Industries, Ltd.Sustained release microcapsules of a bioactive substance and a biodegradable polymer
WO2002057287A2 (en)2001-01-222002-07-25Merck & Co., Inc.Nucleoside derivatives as inhibitors of rna-dependent rna viral polymerase
WO2002060926A2 (en)2000-11-202002-08-08Bristol-Myers Squibb CompanyHepatitis c tripeptide inhibitors
WO2003053349A2 (en)2001-12-202003-07-03Bristol-Myers Squibb CompanyInhibitors of hepatitis c virus
US6589548B1 (en)1998-05-162003-07-08Mogam Biotechnology Research InstituteControlled drug delivery system using the conjugation of drug to biodegradable polyester
WO2003064416A1 (en)2002-02-012003-08-07Boehringer Ingelheim International GmbhHeterocyclic tripeptides as hepatitis c inhibitors
WO2003064456A1 (en)2002-02-012003-08-07Boehringer Ingelheim International GmbhTripeptides having a hydroxyproline ether of a substituted quinoline for the inhibition of ns3 (hepatitis c)
WO2003070750A2 (en)2002-02-202003-08-28Sirna Therapeutics, IncRna interference mediated inhibition of hepatitis c virus
US6613358B2 (en)1998-03-182003-09-02Theodore W. RandolphSustained-release composition including amorphous polymer
US6642204B2 (en)2002-02-012003-11-04Boehringer Ingelheim International GmbhHepatitis C inhibitor tri-peptides
US6653295B2 (en)2000-12-132003-11-25Bristol-Myers Squibb CompanyInhibitors of hepatitis C virus NS3 protease
WO2003099274A1 (en)2002-05-202003-12-04Bristol-Myers Squibb CompanyHepatitis c virus inhibitors
WO2003099316A1 (en)2002-05-202003-12-04Bristol-Myers Squibb CompanyHeterocyclicsulfonamide hepatitis c virus inhibitors
US6660721B2 (en)2001-05-232003-12-09Hoffmann-La Roche Inc.Anti-HCV nucleoside derivatives
WO2004002422A2 (en)2002-06-282004-01-08Idenix (Cayman) Limited2’-c-methyl-3’-o-l-valine ester ribofuranosyl cytidine for treatment of flaviviridae infections
WO2004002999A2 (en)2002-06-282004-01-08Idenix (Cayman) LimitedModified 2' and 3' -nucleoside produgs for treating flaviridae infections
WO2004003000A2 (en)2002-06-282004-01-08Idenix (Cayman) Limited1’-, 2'- and 3'- modified nucleoside derivatives for treating flaviviridae infections
WO2004032827A2 (en)2002-05-202004-04-22Bristol-Myers Squibb CompanyHepatitis c virus inhibitors
WO2004043339A2 (en)2002-05-202004-05-27Bristol-Myers Squibb CompanySubstituted cycloalkyl p1' hepatitis c virus inhibitors
US20040121980A1 (en)2002-11-192004-06-24Roche Palo Alto LlcAntiviral nucleoside derivatives
US6784166B2 (en)2001-06-122004-08-31Syntex (U.S.A.) Llc4′-substituted nucleoside derivatives as inhibitors of HCV RNA replication.
US20040209831A1 (en)2002-02-202004-10-21Mcswiggen JamesRNA interference mediated inhibition of hepatitis C virus (HCV) gene expression using short interfering nucleic acid (siNA)
US20050009737A1 (en)2003-05-302005-01-13Jeremy ClarkModified fluorinated nucleoside analogues
WO2005012525A1 (en)2003-07-252005-02-10Amgen IncShort interfering rna as an antiviral agent for hepatitis c
US20050038240A1 (en)2003-06-192005-02-17Roche Palo Alto LlcProcesses for preparing 4'-azido-nucleoside derivatives
US20050153877A1 (en)2003-02-072005-07-14Zhenwei MiaoMacrocyclic hepatitis C serine protease inhibitors
US6927291B2 (en)2001-03-012005-08-09Pharmasset, Ltd.Method for the synthesis of 2′,3′-dideoxy-2′,3′-didehydronucleosides
WO2006000085A1 (en)2004-06-282006-01-05Boehringer Ingelheim International GmbhHepatitis c inhibitor peptide analogs
US20060040890A1 (en)2004-08-232006-02-23Roche Palo Alto LlcAnti-viral nucleosides
US20060046956A1 (en)2004-08-272006-03-02Schering CorporationAcylsulfonamide compounds as inhibitors of hepatitis C virus NS3 serine protease
US7091184B2 (en)2002-02-012006-08-15Boehringer Ingelheim International GmbhHepatitis C inhibitor tri-peptides
US20060198855A1 (en)2001-06-262006-09-07Progenics Pharmaceuticals, Inc.Uses of DC-SIGN and DC-SIGNR for inhibiting hepatitis C virus infection
US7105499B2 (en)2001-01-222006-09-12Merck & Co., Inc.Nucleoside derivatives as inhibitors of RNA-dependent RNA viral polymerase
WO2006119061A2 (en)2005-05-022006-11-09Merck & Co., Inc.Hcv ns3 protease inhibitors
WO2007001406A2 (en)2004-10-052007-01-04Chiron CorporationAryl-containing macrocyclic compounds
US7208600B2 (en)2003-10-102007-04-24Vertex Pharmaceuticals IncorporatedInhibitors of serine proteases, particularly HCV NS3-NS4A proteases
WO2008121634A2 (en)*2007-03-302008-10-09Pharmasset, Inc.Nucleoside phosphoramidate prodrugs
WO2010075554A1 (en)*2008-12-232010-07-01Pharmasset, Inc.Synthesis of purine nucleosides
WO2012088155A1 (en)*2010-12-222012-06-28Alios Biopharma, Inc.Cyclic nucleotide analogs
WO2012142523A2 (en)*2011-04-132012-10-18Gilead Sciences, Inc.1'-substituted pyrimidine n-nucleoside analogs for antiviral treatment
WO2013092481A1 (en)*2011-12-202013-06-27F. Hoffmann-La Roche Ag2',4'-difluoro-2'-methyl substituted nucleoside derivatives as inhibitors of hcv rna replication
WO2013177219A1 (en)*2012-05-222013-11-28Idenix Pharmaceuticals, Inc.D-amino acid compounds for liver disease
WO2014078436A1 (en)*2012-11-142014-05-22Idenix Pharmaceuticals, Inc.D-alanine ester of sp-nucleoside analog
WO2014078427A1 (en)*2012-11-142014-05-22Idenix Pharmaceuticals, Inc.D-alanine ester of rp-nucleoside analog
WO2014148949A1 (en)*2013-03-222014-09-25Асави, ЛлсAlkyl 2-{[(2r,3s,5r)-5-(4-amino-2-oxo-2н-pyrimidin-1-yl)-3-hydroxy- tetrahydro-furan-2-yl-methoxy]-phenoxy-phosphoryl-amino}-propionates, nucleoside inhibitors of hcv ns5b rna-polymerase, and methods for producing and use thereof

Patent Citations (138)

* Cited by examiner, † Cited by third party
Publication numberPriority datePublication dateAssigneeTitle
US3536809A (en)1969-02-171970-10-27Alza CorpMedication method
US3598123A (en)1969-04-011971-08-10Alza CorpBandage for administering drugs
US3845770A (en)1972-06-051974-11-05Alza CorpOsmatic dispensing device for releasing beneficial agent
US3916899A (en)1973-04-251975-11-04Alza CorpOsmotic dispensing device with maximum and minimum sizes for the passageway
US4008719A (en)1976-02-021977-02-22Alza CorporationOsmotic system having laminar arrangement for programming delivery of active agent
US5739108A (en)1984-10-041998-04-14Monsanto CompanyProlonged release of biologically active polypeptides
US5354556A (en)1984-10-301994-10-11Elan Corporation, PlcControlled release powder and process for its preparation
US5073543A (en)1988-07-211991-12-17G. D. Searle & Co.Controlled release formulations of trophic factors in ganglioside-lipsome vehicle
US5059595A (en)1989-03-221991-10-22Bioresearch, S.P.A.Pharmaceutical compositions containing 5-methyltetrahydrofolic acid, 5-formyltetrahydrofolic acid and their pharmaceutically acceptable salts in controlled-release form active in the therapy of organic mental disturbances
US5639480A (en)1989-07-071997-06-17Sandoz Ltd.Sustained release formulations of water soluble peptides
US5120548A (en)1989-11-071992-06-09Merck & Co., Inc.Swelling modulated polymeric drug delivery device
US5026687A (en)1990-01-031991-06-25The United States Of America As Represented By The Department Of Health And Human ServicesTreatment of human retroviral infections with 2',3'-dideoxyinosine alone and in combination with other antiviral compounds
US5538865A (en)1990-04-061996-07-23Genelabs Technologies, Inc.Hepatitis C virus epitopes
US5733566A (en)1990-05-151998-03-31Alkermes Controlled Therapeutics Inc. IiControlled release of antiparasitic agents in animals
US5639476A (en)1992-01-271997-06-17Euro-Celtique, S.A.Controlled release formulations coated with aqueous dispersions of acrylic polymers
US5610054A (en)1992-05-141997-03-11Ribozyme Pharmaceuticals, Inc.Enzymatic RNA molecule targeted against Hepatitis C virus
US5869253A (en)1992-05-141999-02-09Ribozyme Pharmaceuticals, Inc.Method and reagent for inhibiting hepatitis C virus replication
US5972891A (en)1992-12-071999-10-26Takeda Chemical Industries, Ltd.Sustained-release preparation
US5591767A (en)1993-01-251997-01-07Pharmetrix CorporationLiquid reservoir transdermal patch for the administration of ketorolac
US5496546A (en)1993-02-241996-03-05Jui H. WangCompositions and methods of application of reactive antiviral polyadenylic acid derivatives
US6087324A (en)1993-06-242000-07-11Takeda Chemical Industries, Ltd.Sustained-release preparation
US6376461B1 (en)1993-06-242002-04-23Takeda Chemical Industries, Ltd.Sustained-release preparation
US5846964A (en)1993-07-191998-12-08Tokyo Tanabe Company LimitedHepatitis C virus proliferation inhibitor
US5725859A (en)1994-05-031998-03-10Omer; Osama L.M.Plant-based therapeutic agent with virustatic and antiviral effect
US5674533A (en)1994-07-071997-10-07Recordati, S.A., Chemical And Pharmaceutical CompanyPharmaceutical composition for the controlled release of moguisteine in a liquid suspension
US5633358A (en)1994-09-141997-05-27Huels AktiengesellschaftProcess for bleaching aqueous surfactant solutions
JPH08268890A (en)1995-03-311996-10-15Eisai Co Ltd Preventive and therapeutic agent for hepatitis C
US6267981B1 (en)1995-06-272001-07-31Takeda Chemical Industries, Ltd.Method of producing sustained-release preparation
US6045830A (en)1995-09-042000-04-04Takeda Chemical Industries, Ltd.Method of production of sustained-release preparation
US5993855A (en)1995-09-181999-11-30Shiseido Company, Ltd.Delayed drug-releasing microspheres
US5980945A (en)1996-01-161999-11-09Societe De Conseils De Recherches Et D'applications Scientifique S.A.Sustained release drug formulations
US6043077A (en)1996-02-292000-03-28Immusol Inc.Hepatitis C virus ribozymes
US5633388A (en)1996-03-291997-05-27Viropharma IncorporatedCompounds, compositions and methods for treatment of hepatitis C
WO1997036554A1 (en)1996-03-291997-10-09Viropharma IncorporatedPiperidine derivatives, pharmaceutical compositions thereof and their use in the treatment of hepatitis c
US5830905A (en)1996-03-291998-11-03Viropharma IncorporatedCompounds, compositions and methods for treatment of hepatitis C
US5990276A (en)1996-05-101999-11-23Schering CorporationSynthetic inhibitors of hepatitis C virus NS3 protease
US5891874A (en)1996-06-051999-04-06Eli Lilly And CompanyAnti-viral compound
US6264970B1 (en)1996-06-262001-07-24Takeda Chemical Industries, Ltd.Sustained-release preparation
US5837257A (en)1996-07-091998-11-17Sage R&DUse of plant extracts for treatment of HIV, HCV and HBV infections
US6419961B1 (en)1996-08-292002-07-16Takeda Chemical Industries, Ltd.Sustained release microcapsules of a bioactive substance and a biodegradable polymer
JPH10101591A (en)1996-09-271998-04-21Eisai Co LtdPreventing and therapeutic agent for viral infectious disease
US5922757A (en)1996-09-301999-07-13The Regents Of The University Of CaliforniaTreatment and prevention of hepatic disorders
US5922356A (en)1996-10-091999-07-13Sumitomo Pharmaceuticals Company, LimitedSustained release formulation
WO1998017679A1 (en)1996-10-181998-04-30Vertex Pharmaceuticals IncorporatedInhibitors of serine proteases, particularly hepatitis c virus ns3 protease
US6265380B1 (en)1996-10-182001-07-24Vertex Pharmaceuticals IncorporatedInhibitors of serine proteases, particularly hepatitis C virus NS3 protease
US6699500B2 (en)1996-10-312004-03-02Takeda Chemical Industries, Ltd.Sustained-release preparation capable of releasing a physiologically active substance
US6113943A (en)1996-10-312000-09-05Takeda Chemical Industries, Ltd.Sustained-release preparation capable of releasing a physiologically active substance
WO1998022496A2 (en)1996-11-181998-05-28F. Hoffmann-La Roche AgAntiviral peptide derivatives
US6056961A (en)1996-12-152000-05-02Lavie; DavidPlant extracts for the preparation of pharmaceutical compositions for the treatment of hepatitis
US6197350B1 (en)1996-12-202001-03-06Takeda Chemical Industries, Ltd.Method of producing a sustained-release preparation
US5891474A (en)1997-01-291999-04-06Poli Industria Chimica, S.P.A.Time-specific controlled release dosage formulations and method of preparing same
US6004933A (en)1997-04-251999-12-21Cortech Inc.Cysteine protease inhibitors
US6034134A (en)1997-06-302000-03-07Merz + Co. Gmbh & Co.1-Amino-alkylcyclohexane NMDA receptor antagonists
WO1999007734A2 (en)1997-08-111999-02-18Boehringer Ingelheim (Canada) Ltd.Hepatitis c inhibitor peptide analogues
WO1999043691A1 (en)1998-02-251999-09-02Emory University2'-fluoronucleosides
US6613358B2 (en)1998-03-182003-09-02Theodore W. RandolphSustained-release composition including amorphous polymer
DE19914474A1 (en)1998-03-301999-10-07Hoffmann La RocheNew peptide aldehyde and boronic acid derivatives are proteinase inhibitors useful for treatment of viral infections, especially hepatitis
US6589548B1 (en)1998-05-162003-07-08Mogam Biotechnology Research InstituteControlled drug delivery system using the conjugation of drug to biodegradable polyester
WO2000009543A2 (en)1998-08-102000-02-24Boehringer Ingelheim (Canada) Ltd.Hepatitis c inhibitor tri-peptides
US6323180B1 (en)1998-08-102001-11-27Boehringer Ingelheim (Canada) LtdHepatitis C inhibitor tri-peptides
US6534523B1 (en)1998-08-102003-03-18Boehringer Ingelheim (Canada) Ltd.Hepatitis C inhibitor tri-peptides
US6420380B2 (en)1998-08-102002-07-16Boehringer Ingelheim (Canada) Ltd.Hepatitis C inhibitor tri-peptides
US6410531B1 (en)1998-08-102002-06-25Boehringer Ingelheim (Canada) Ltd.Hepatitis C inhibitor tri-peptides
WO2001032153A2 (en)1999-11-042001-05-10Shire Biochem Inc.Method for the treatment or prevention of flaviviridae viral infection using nucleoside analogues
US6248363B1 (en)1999-11-232001-06-19Lipocine, Inc.Solid carriers for improved delivery of active ingredients in pharmaceutical compositions
WO2001060315A2 (en)2000-02-182001-08-23Shire Biochem Inc.Method for the treatment or prevention of flavivirus infections using nucleoside analogues
US7094770B2 (en)2000-04-132006-08-22Pharmasset, Ltd.3′-or 2′-hydroxymethyl substituted nucleoside derivatives for treatment of hepatitis virus infections
WO2001079246A2 (en)2000-04-132001-10-25Pharmasset, Ltd.3'-or 2'-hydroxymethyl substituted nucleoside derivatives for treatment of hepatitis virus infections
WO2001090121A2 (en)2000-05-232001-11-29Idenix (Cayman) LimitedMethods and compositions for treating hepatitis c virus
WO2001092282A2 (en)2000-05-262001-12-06Idenix (Cayman) LimitedMethods and compositions for treating flaviviruses and pestiviruses
WO2002008251A2 (en)2000-07-212002-01-31Corvas International, Inc.Peptides as ns3-serine protease inhibitors of hepatitis c virus
WO2002008198A2 (en)2000-07-212002-01-31Schering CorporationNovel imidazolidinones as ns3-serine protease inhibitors of hepatitis c virus
WO2002008187A1 (en)2000-07-212002-01-31Schering CorporationNovel peptides as ns3-serine protease inhibitors of hepatitis c virus
US20050176648A1 (en)2000-07-212005-08-11Schering-Plough CorporationNovel peptides as NS3-serine protease inhibitors of hepatitis C virus
US7169760B2 (en)2000-07-212007-01-30Schering CorporationPeptides as NS3-serine protease inhibitors of hepatitis C virus
WO2002008256A2 (en)2000-07-212002-01-31Schering CorporationPeptides as ns3-serine protease inhibitors of hepatitis c virus
US6838475B2 (en)2000-07-212005-01-04Schering CorporationImidazolidinones as NS3-serine protease inhibitors of hepatitis C virus
WO2002018404A2 (en)2000-08-302002-03-07F. Hoffmann-La Roche AgNucleoside derivatives for the treatment of hepatitis c
WO2002032920A2 (en)2000-10-182002-04-25Pharmasset LimitedModified nucleosides for treatment of viral infections and abnormal cellular proliferation
WO2002060926A2 (en)2000-11-202002-08-08Bristol-Myers Squibb CompanyHepatitis c tripeptide inhibitors
US6872805B2 (en)2000-11-202005-03-29Bristol-Myers Squibb CompanyHepatitis C virus inhibitors
WO2002048172A2 (en)2000-12-122002-06-20Schering CorporationDiaryl peptides as ns3-serine protease inhibitors of hepatits c virus
US6911428B2 (en)2000-12-122005-06-28Schering CorporationDiaryl peptides as NS3-serine protease inhibitors of hepatitis C virus
WO2002048157A2 (en)2000-12-132002-06-20Bristol-Myers Squibb Pharma CompanyImidazolidinones and their related derivatives as hepatitis c virus ns3 protease inhibitors
US6727366B2 (en)2000-12-132004-04-27Bristol-Myers Squibb Pharma CompanyImidazolidinones and their related derivatives as hepatitis C virus NS3 protease inhibitors
US6653295B2 (en)2000-12-132003-11-25Bristol-Myers Squibb CompanyInhibitors of hepatitis C virus NS3 protease
WO2002048116A2 (en)2000-12-132002-06-20Bristol-Myers Squibb Pharma CompanyInhibitors of hepatitis c virus ns3 protease
WO2002048165A2 (en)2000-12-152002-06-20Pharmasset Ltd.Antiviral agents for treatment of flaviviridae infections
WO2002057425A2 (en)2001-01-222002-07-25Merck & Co., Inc.Nucleoside derivatives as inhibitors of rna-dependent rna viral polymerase
US7202224B2 (en)2001-01-222007-04-10Merck & Co., Inc.Nucleoside derivatives as inhibitors of RNA-dependent RNA viral polymerase
US7125855B2 (en)2001-01-222006-10-24Merck & Co., Inc.Nucleoside derivatives as inhibitors of RNA-dependent RNA viral polymerase
US7105499B2 (en)2001-01-222006-09-12Merck & Co., Inc.Nucleoside derivatives as inhibitors of RNA-dependent RNA viral polymerase
WO2002057287A2 (en)2001-01-222002-07-25Merck & Co., Inc.Nucleoside derivatives as inhibitors of rna-dependent rna viral polymerase
US6777395B2 (en)2001-01-222004-08-17Merck & Co., Inc.Nucleoside derivatives as inhibitors of RNA-dependent RNA viral polymerase of hepatitis C virus
US6927291B2 (en)2001-03-012005-08-09Pharmasset, Ltd.Method for the synthesis of 2′,3′-dideoxy-2′,3′-didehydronucleosides
US6660721B2 (en)2001-05-232003-12-09Hoffmann-La Roche Inc.Anti-HCV nucleoside derivatives
US6784166B2 (en)2001-06-122004-08-31Syntex (U.S.A.) Llc4′-substituted nucleoside derivatives as inhibitors of HCV RNA replication.
US20060198855A1 (en)2001-06-262006-09-07Progenics Pharmaceuticals, Inc.Uses of DC-SIGN and DC-SIGNR for inhibiting hepatitis C virus infection
US6867185B2 (en)2001-12-202005-03-15Bristol-Myers Squibb CompanyInhibitors of hepatitis C virus
WO2003053349A2 (en)2001-12-202003-07-03Bristol-Myers Squibb CompanyInhibitors of hepatitis c virus
US7091184B2 (en)2002-02-012006-08-15Boehringer Ingelheim International GmbhHepatitis C inhibitor tri-peptides
WO2003064456A1 (en)2002-02-012003-08-07Boehringer Ingelheim International GmbhTripeptides having a hydroxyproline ether of a substituted quinoline for the inhibition of ns3 (hepatitis c)
WO2003064416A1 (en)2002-02-012003-08-07Boehringer Ingelheim International GmbhHeterocyclic tripeptides as hepatitis c inhibitors
US6642204B2 (en)2002-02-012003-11-04Boehringer Ingelheim International GmbhHepatitis C inhibitor tri-peptides
WO2003070750A2 (en)2002-02-202003-08-28Sirna Therapeutics, IncRna interference mediated inhibition of hepatitis c virus
US20040209831A1 (en)2002-02-202004-10-21Mcswiggen JamesRNA interference mediated inhibition of hepatitis C virus (HCV) gene expression using short interfering nucleic acid (siNA)
WO2004043339A2 (en)2002-05-202004-05-27Bristol-Myers Squibb CompanySubstituted cycloalkyl p1' hepatitis c virus inhibitors
WO2003099316A1 (en)2002-05-202003-12-04Bristol-Myers Squibb CompanyHeterocyclicsulfonamide hepatitis c virus inhibitors
US6878722B2 (en)2002-05-202005-04-12Bristol-Myers Squibb CompanySubstituted cycloalkyl P1′ hepatitis C virus inhibitors
WO2004032827A2 (en)2002-05-202004-04-22Bristol-Myers Squibb CompanyHepatitis c virus inhibitors
US7041698B2 (en)2002-05-202006-05-09Bristol-Myers Squibb CompanyHepatitis C virus inhibitors
US6869964B2 (en)2002-05-202005-03-22Bristol-Myers Squibb CompanyHeterocyclicsulfonamide hepatitis C virus inhibitors
US6995174B2 (en)2002-05-202006-02-07Bristol-Myers Squibb CompanyHepatitis C virus inhibitors
WO2003099274A1 (en)2002-05-202003-12-04Bristol-Myers Squibb CompanyHepatitis c virus inhibitors
WO2004002999A2 (en)2002-06-282004-01-08Idenix (Cayman) LimitedModified 2' and 3' -nucleoside produgs for treating flaviridae infections
WO2004003000A2 (en)2002-06-282004-01-08Idenix (Cayman) Limited1’-, 2'- and 3'- modified nucleoside derivatives for treating flaviviridae infections
WO2004002422A2 (en)2002-06-282004-01-08Idenix (Cayman) Limited2’-c-methyl-3’-o-l-valine ester ribofuranosyl cytidine for treatment of flaviviridae infections
US20040121980A1 (en)2002-11-192004-06-24Roche Palo Alto LlcAntiviral nucleoside derivatives
US6846810B2 (en)2002-11-192005-01-25Roche Palo Alto LlcAntiviral nucleoside derivatives
US20050153877A1 (en)2003-02-072005-07-14Zhenwei MiaoMacrocyclic hepatitis C serine protease inhibitors
US20050009737A1 (en)2003-05-302005-01-13Jeremy ClarkModified fluorinated nucleoside analogues
US20050038240A1 (en)2003-06-192005-02-17Roche Palo Alto LlcProcesses for preparing 4'-azido-nucleoside derivatives
WO2005012525A1 (en)2003-07-252005-02-10Amgen IncShort interfering rna as an antiviral agent for hepatitis c
US7208600B2 (en)2003-10-102007-04-24Vertex Pharmaceuticals IncorporatedInhibitors of serine proteases, particularly HCV NS3-NS4A proteases
WO2006000085A1 (en)2004-06-282006-01-05Boehringer Ingelheim International GmbhHepatitis c inhibitor peptide analogs
US20060040890A1 (en)2004-08-232006-02-23Roche Palo Alto LlcAnti-viral nucleosides
US20060046956A1 (en)2004-08-272006-03-02Schering CorporationAcylsulfonamide compounds as inhibitors of hepatitis C virus NS3 serine protease
WO2007001406A2 (en)2004-10-052007-01-04Chiron CorporationAryl-containing macrocyclic compounds
WO2006119061A2 (en)2005-05-022006-11-09Merck & Co., Inc.Hcv ns3 protease inhibitors
WO2008121634A2 (en)*2007-03-302008-10-09Pharmasset, Inc.Nucleoside phosphoramidate prodrugs
WO2010075554A1 (en)*2008-12-232010-07-01Pharmasset, Inc.Synthesis of purine nucleosides
WO2012088155A1 (en)*2010-12-222012-06-28Alios Biopharma, Inc.Cyclic nucleotide analogs
WO2012142523A2 (en)*2011-04-132012-10-18Gilead Sciences, Inc.1'-substituted pyrimidine n-nucleoside analogs for antiviral treatment
WO2013092481A1 (en)*2011-12-202013-06-27F. Hoffmann-La Roche Ag2',4'-difluoro-2'-methyl substituted nucleoside derivatives as inhibitors of hcv rna replication
WO2013177219A1 (en)*2012-05-222013-11-28Idenix Pharmaceuticals, Inc.D-amino acid compounds for liver disease
WO2014078436A1 (en)*2012-11-142014-05-22Idenix Pharmaceuticals, Inc.D-alanine ester of sp-nucleoside analog
WO2014078427A1 (en)*2012-11-142014-05-22Idenix Pharmaceuticals, Inc.D-alanine ester of rp-nucleoside analog
WO2014148949A1 (en)*2013-03-222014-09-25Асави, ЛлсAlkyl 2-{[(2r,3s,5r)-5-(4-amino-2-oxo-2н-pyrimidin-1-yl)-3-hydroxy- tetrahydro-furan-2-yl-methoxy]-phenoxy-phosphoryl-amino}-propionates, nucleoside inhibitors of hcv ns5b rna-polymerase, and methods for producing and use thereof

Non-Patent Citations (38)

* Cited by examiner, † Cited by third party
Title
"Chronic Hepatitis", THE MERCK MANUAL ONLINE, - February 2014 (2014-02-01), Retrieved from the Internet <URL:www.merckmanuals.com/professional/hepatic_and biliary_disorders/hepatitis/ chronic - hepatitis.html>
"Hepatitis C Fact Sheet", WORLD HEALTH ORGANIZATION FACT SHEET NO. 164, April 2014 (2014-04-01)
"Physician's Desk Reference (PDR) 57th Ed.", 2003, MEDICAL ECONOMICS CO., INC.
"Remington's Pharmaceutical Sciences, 16th, 18th and 20th eds", 1980, MACK PUBLISHING
"Remington's Pharmaceutical Sciences, 20th ed.", 2000, MACK PUBLISHING
ALT M. ET AL., ARCHIVES OF VIROLOGY, vol. 142, 1997, pages 589 - 599
ALT M. ET AL., HEPATOLOGY, vol. 22, 1995, pages 707 - 717
ATTWOOD ET AL., ANTIVIRAL CHEMISTRY AND CHEMOTHERAPY, vol. 10, 1999, pages 259 - 273
BOYER, N. ET AL., J. HEPATOL., vol. 32, 2000, pages 98 - 112
BUCHWALD ET AL., SURGERY, vol. 88, 1980, pages 507
CHU M. ET AL., BIOORGANIC AND MEDICINAL CHEMISTRY LETTERS, vol. 9, pages 1949 - 1952
CHU M. ET AL., TETRAHEDRON LETTERS, vol. 37, 1996, pages 7229 - 7232
DI BESCEGLIE; A. M.; BACON, B. R., SCIENTIFIC AMERICAN, October 1999 (1999-10-01), pages 80 - 85
E.W. MARTIN: "Remington's Pharmaceutical Sciences"
FERRARI R. ET AL., JOURNAL OF VIROLOP, vol. 73, 1999, pages 1649 - 1654
FOSTER ET AL., ADV. DRUG RES., vol. 14, 1985, pages 1 - 36
GALDERISI U. ET AL., JOURNAL OF CELLULAR PHYSIOLOGY, vol. 181, 1999, pages 251 - 257
GOODSON, MEDICAL APPLICATIONS OF CONTROLLED RELEASE, vol. 2, 1984, pages 115 - 138
GREENE ET AL.: "Protective Groups in Organic Synthesis, 2nd ed.", 1991, JOHN WILEY AND SONS
HARDMAN ET AL.: "Goodman & Gilman's The Pharmacological Basis Of Basis Of Therapeutics, 9th ed.", 1996, MC-GRAW-HILL
JENS T. CARSTENSEN: "Drug Stability: Principles & Practice, 2nd ed.", 1995, MARCEL DEKKER, pages: 379 - 380
KAKIUCHI N. ET AL., J. EBS LETTERS, vol. 421, pages 217 - 220
KNIPE, D. M., AND HOWLEY, P. M.: "Fields Virology, 5th ed.", 2006, LIPPINCOTT WILLIAMS & WILKINS PUBLISHERS, article "Chapters 33-35"
KNIPE, D. M., AND HOWLEY, P. M.: "Fields Virology, 6th ed.", 2013, LIPPINCOTT WILLIAMS & WILKINS PUBLISHERS, article "Chapters 25-27"
KUSHNER ET AL., CAN. J. PHYSIOL. PHARMACOL., vol. 77, 1999, pages 79 - 88
LANGER, SCIENCE, vol. 249, 1990, pages 1527 - 1533
LEA & FEBIGER: "Introduction to Pharmaceutical Dosage Forms, 4th ed.", 1985, LEA & FEBIGER
LESENS ET AL., J1U/ECT DIS, vol. 179, 1999, pages 1254 - 1258
LOHMANN V. ET AL., VIROLOGY, vol. 249, 1998, pages 108 - 118
MACCJAK, D. J. ET AL., HEPATOLOGY, vol. 30, 1999
MAIER; WU, WORLD J CASTRØEMERØ/, vol. 8, 2002, pages 577 - 57
QASIM M.A. ET AL., BIOCHEMISTRY, vol. 36, 1997, pages 1598 - 1607
SAUDEK ET AL., N. ENGL. J. MED., vol. 321, 1989, pages 574
SEFTON, CRC CRIT. REF. BIOMED. ENG., vol. 14, 1987, pages 201
SUDO K. ET AL., ANTIVIRAL CHEMISTRY AND CHEMOTHERAPY, vol. 9, 1998, pages 186
SUDO K. ET AL., ANTIVIRAL RESEARCH, vol. 32, 1996, pages 9 - 18
SUDO K. ET AL., BIOCHEMICAL AND BIOPHYSICAL RESEARCH COMMUNICATIONS, vol. 238, 1997, pages 643 - 647
TAKESHITA N. ET AL., ANALYTICAL BIOCHEMISTRY, vol. 247, 1997, pages 242 - 246

Cited By (19)

* Cited by examiner, † Cited by third party
Publication numberPriority datePublication dateAssigneeTitle
US10717758B2 (en)2012-05-222020-07-21Idenix Pharmaceuticals LlcD-amino acid compounds for liver disease
US10301347B2 (en)2012-05-252019-05-28Janssen Sciences Ireland Unlimited CompanyUracyl spirooxetane nucleosides
US10774106B2 (en)2012-05-252020-09-15Janssen Sciences Ireland Unlimited CompanyUracyl spirooxetane nucleosides
US9845336B2 (en)2012-05-252017-12-19Janssen Sciences Ireland UcUracyl spirooxetane nucleosides
US10544184B2 (en)2012-05-252020-01-28Janssen Sciences Ireland Unlimited CompanyUracyl spirooxetane nucleosides
US10040814B2 (en)2012-05-252018-08-07Janssen Sciences Ireland UcUracyl spirooxetane nucleosides
US9422323B2 (en)2012-05-252016-08-23Janssen Sciences Ireland UcUracyl spirooxetane nucleosides
US10513534B2 (en)2012-10-082019-12-24Idenix Pharmaceuticals Llc2′-chloro nucleoside analogs for HCV infection
US10231986B2 (en)2013-03-132019-03-19Idenix Pharmaceuticals LlcAmino acid phosphoramidate pronucleotides of 2′-cyano, azido and amino nucleosides for the treatment of HCV
US10238680B2 (en)2013-08-012019-03-26Idenix Pharmaceuticals LlcD-amino acid phosphoramidate pronucleotides of halogeno pyrimidine compounds for liver disease
US10202411B2 (en)2014-04-162019-02-12Idenix Pharmaceuticals Llc3′-substituted methyl or alkynyl nucleosides nucleotides for the treatment of HCV
WO2016144918A1 (en)2015-03-062016-09-15Atea Pharmaceuticals, Inc.β-D-2'-DEOXY-2'α-FLUORO-2'-β-C-SUBSTITUTED-2-MODIFIED-N6-SUBSTITUTED PURINE NUCLEOTIDES FOR HCV TREATMENT
WO2018013937A1 (en)2016-07-142018-01-18Atea Pharmaceuticals, Inc.Beta-d-2'-deoxy-2'-alpha-fluoro-2'-beta-c-substituted-4'-fluoro-n6-substituted-6-amino-2-substituted purine nucleotides for the treatment of hepatitis c virus infection
WO2018048937A1 (en)2016-09-072018-03-15Atea Pharmaceuticals, Inc.2'-substituted-n6-substituted purine nucleotides for rna virus treatment
US10946033B2 (en)2016-09-072021-03-16Atea Pharmaceuticals, Inc.2′-substituted-N6-substituted purine nucleotides for RNA virus treatment
EP3865136A1 (en)2016-09-072021-08-18ATEA Pharmaceuticals, Inc.2'-substituted-n6-substituted purine nucleotides for corona virus treatment
EP4088725A1 (en)2016-09-072022-11-16ATEA Pharmaceuticals, Inc.2'-substituted-n6-substituted purine nucleotides for the treatment of a virus from the picornaviridae family
US11975016B2 (en)2016-09-072024-05-07Atea Pharmaceuticals, Inc.2′-substituted-N6-substituted purine nucleotides for RNA virus treatment
EP4450129A2 (en)2017-02-012024-10-23ATEA Pharmaceuticals, Inc.Nucleotide hemi-sulfate salt for the treatment of hepatitis c virus

Similar Documents

PublicationPublication DateTitle
US9339541B2 (en)Thiophosphate nucleosides for the treatment of HCV
US9192621B2 (en)Esters and malonates of SATE prodrugs
US9211300B2 (en)4′-fluoro nucleosides for the treatment of HCV
EP2981542B1 (en)2&#39;,4&#39;-fluoro nucleosides for the treatment of hcv
EP2970358B1 (en)3&#39;-deoxy nucleosides for the treatment of hcv
EP2970357B1 (en)Amino acid phosphoramidate pronucleotides of 2&#39;-cyano, azido and amino nucleosides for the treatment of hcv
EP3027636B1 (en)D-amino acid phosphoramidate pronucleotides of halogeno pyrimidine compounds for liver disease
EP3004130B1 (en)1&#39;,4&#39;-thio nucleosides for the treatment of hcv
EP2909223B1 (en)Dinucleotide compounds for hcv infection
EP3074399A1 (en)2&#39;-dichloro and 2&#39;-fluoro-2&#39;-chloro nucleoside analogues for hcv infection
EP2920195A1 (en)D-alanine ester of rp-nucleoside analog
EP2938624A1 (en)D-alanine ester of sp-nucleoside analog
EP2852604A1 (en)3&#39;,5&#39;-cyclic phosphoramidate prodrugs for hcv infection
WO2014066239A1 (en)2&#39;,4&#39;-bridged nucleosides for hcv infection
WO2015077360A2 (en)Cyclopentane and cyclopentene nucleoside analogs for the treatment of hcv
WO2015061683A1 (en)D-amino acid phosphoramidate and d-alanine thiophosphoramidate pronucleotides of nucleoside compounds useful for the treatment of hcv
WO2015095419A1 (en)4&#39;-or nucleosides for the treatment of hcv

Legal Events

DateCodeTitleDescription
121Ep: the epo has been informed by wipo that ep was designated in this application

Ref document number:14799922

Country of ref document:EP

Kind code of ref document:A1

NENPNon-entry into the national phase

Ref country code:DE

122Ep: pct application non-entry in european phase

Ref document number:14799922

Country of ref document:EP

Kind code of ref document:A1


[8]ページ先頭

©2009-2025 Movatter.jp