Movatterモバイル変換


[0]ホーム

URL:


WO2015058868A1 - Compositions and methods for the treatment of cancer - Google Patents

Compositions and methods for the treatment of cancer
Download PDF

Info

Publication number
WO2015058868A1
WO2015058868A1PCT/EP2014/062159EP2014062159WWO2015058868A1WO 2015058868 A1WO2015058868 A1WO 2015058868A1EP 2014062159 WEP2014062159 WEP 2014062159WWO 2015058868 A1WO2015058868 A1WO 2015058868A1
Authority
WO
WIPO (PCT)
Prior art keywords
compound
group
cancer
formula
general formula
Prior art date
Application number
PCT/EP2014/062159
Other languages
French (fr)
Inventor
José Mª JIMENO DOÑAQUE
Original Assignee
Pangaea Biotech, S.L.
Priority date (The priority date is an assumption and is not a legal conclusion. Google has not performed a legal analysis and makes no representation as to the accuracy of the date listed.)
Filing date
Publication date
Application filed by Pangaea Biotech, S.L.filedCriticalPangaea Biotech, S.L.
Publication of WO2015058868A1publicationCriticalpatent/WO2015058868A1/en

Links

Classifications

Definitions

Landscapes

Abstract

The invention relates to anti-tumor compounds which have been designed to functionally disrupt the cross-talk between AEG-1 and the p65 subunit of NF-κB. Therefore, the invention relates to methods and compositions for the treatment of cancer using the compounds identified in the present invention, as well as compositions adequate for sustained release of the compounds of the invention to be administered to the surgical site after resection of the tumor. The invention also provides methods for the synthesis of the compounds of the invention.

Description

COMPOSITIONS AND METHODS FOR THE TREATMENT OF CANCER
FIELD OF THE INVENTION
The invention relates to the field of cancer therapeutics and, more in particular, to compounds which are capable of inhibiting proliferation of cancer cells by inhibiting AEG-1. The invention also relates to methods of using these compounds in therapy as well as to sustained release compositions containing the compounds of the invention for application to the surgical site after tumor resection. BACKGROUND OF THE INVENTION
Since its identification in 2002, Astrocyte Elevated Gene-1 (AEG-1), also known as Metadherin (MTDH) and Lysine Rich CEACAM1 co-isolated (LYRIC), has emerged as an important target for oncology. To date, most analysed cancer types have revealed a high AEG-1 expression in different stages and grades of the disease, and the patient prognosis has an inverse relationship with the expression of the protein (Yoo et al Pharmacol. Ther., 2011, 130: 1-8). AEG-1 is implicated in many aspects of an aggressive cancer such as chemoresistance, evasion of apoptosis, invasion, metastasis and transformation. Its overexpression has been observed in melanoma, glioma, neuroblastoma, lung, gastric, gall bladder cancer, colorectal cancer, bone cancer, sarcoma, esophageal cancer, head and neck carcinomas, ovarian cancer, renal cancer and carcinomas of breast, prostate and liver, and accordingly its inhibition could serve as a chemo therapeutic treatment. Moreover AEG-1 plays a crucial role in the pathogenesis of glioblastomas and has also been proposed as a rational and viable target for malignant glioma (Emdad et al, 2010, Mol. Cancer Ther.; 9: 79-88).
Liu et al. (J. Exp. Clin. Cancer Res., 2009; 28: 19) have shown that the knockdown of AEG-1 using specific siRNA inhibits proliferation and enhances chemo- sensitivity to cisplatin or doxorubicin of neuroblastoma cells. Zhang et al. (Zhonghua Zhong Liu Za Zhi., 2013, 35:22-7) have disclosed that silencing of AEG-1 using specific siRNAs inhibits proliferation of gastric carcinoma cells. However, siRNAs are not considered as suitable AEG-1 inhibitors for clinical use since they are not capable of crossing biological membranes and are easily degraded by RNases present in serum. Thus, the design, discovery and development of small molecules that disrupts the AEG-pathway are proposed as a potential broad spectrum efficient anticancer therapy. SUMMARY OF THE INVENTION
The authors of the present invention have used an in silico model to identify chemical entities which are proposed to bind to the NFkB binding domain of AEG-1. This approach together with a follow-up intensive screening program has led to the identification of a new chemical entity (PB0412-3) which is active at low micromolar and nanomolar concentrations in a well characterized panel of human solid tumors cell lines. Moreover antiproliferative effects in human cancer cells are observed at nontoxic concentrations of the compound in human non-tumoral cells thus sustaining a positive therapeutic index.
DESCRIPTION OF THE FIGURES
Figure 1: Identification of AEG-1 and p65 protein alignment and inhibition model AEG-1 and p65 cross talk. The insert in the upper panel shows the sequence alignment between residues of A140-D156 of AEG-1 and residues D243-D259 of p65.
Figure 2: A: HPLC analysis of PB0412-3. B: HPLC-MS of PB0412-3 showing that the molecular weight obtained corresponds to the expected molecular weight of PB0412- 3.C: 1H NMR of PB0412-3 showing that the signals obtained allow the correct assignment of all proton of the molecule.
Figure 3: IC50s of PB0412-3 on the solid tumor cell lines NCI-H460, SKOV3, DLD-1, PC-3, SK-MES-1, A549, PC9, AU565, BxPC-3, on the glial and neural crest derived cell lines A172, T98G, T98GII, SH-SY5Y, U178, SK-N-SH, LN229, U373, WM115, WM793 and UACC903 and on the non-tumoral chondrocytes, human fibroblasts, myofibroblasts and gingival epithelial cells. The horizontal bar indicates the cut-off value used to define sensitive/resistant cancer cells to PB0412-3.
Figure 4: A: Dose-response toPB0412-3 exposure on the proliferation of the cell linesPC9 (lung adenocarcinoma), DLD-1 (colon adenocarcinoma), AU565 (breast adenocarcinoma), PC-3 (prostate adenocarcinoma), SK-MES-1 (squamous cell adenocarcinoma), BxPC3 (pancreas adenocarcinoma),H460 (Lung large cell carcinoma),A549 (lung adenocarcinoma), SKOV3 (ovary adenocarcinoma),LN229 (glioblastoma), U373 (glioblastoma), T98G (glioblastoma),A172 (glioblastoma), U178 (glioblastoma), SH-SY5Y (neuroblastoma) , SK-N-SH (neuroblastoma), UACC903 (melanoma), WM115 (melanoma), WM793 (melanoma), HACAT (human keratinocytes), HF (human fibroblasts), MF (myofibroblasts) and gingival epithelial cells, B: Dose-response toPB0412-3 exposure on the proliferation of the cell line subpanel comprising the neuroblastoma and glioblastoma cell lines LN229 (glioblastoma), U373 (glioblastoma), T98G (glioblastoma), A172 (glioblastoma), U178 (glioblastoma), SH-SY5Y (neuroblastoma) and SK-N-SH.C:Dose-response toPB0412-3 exposure on the proliferation of the subpanel comprising the solid tumor cell lines PC9 (lung adenocarcinoma), DLD-1 (colon adenocarcinoma), AU565 (breast adenocarcinoma),PC-3 (pancreas adenocarcinoma), SK-MES-1 (squamous cell adenocarcinoma),BxPC-3 (pancreas adenocarcinoma),H460 (Lung large cell carcinoma), A549 (lung adenocarcinoma),SKOV3 (ovary adenocarcinoma), LN229 (glioblastoma), U373 (glioblastoma), T98G (glioblastoma), A172 (glioblastoma), U178 (glioblastoma), SH-SY5Y (neuroblastoma) , SK-N-SH (neuroblastoma), UACC903 (melanoma), WM115 (melanoma), and WM793 (melanoma). D: Dose-response toPB0412-3 exposure on the proliferation of the subpanel comprising the non-tumor cell lines HACAT(human keratinocytes), human fibroblasts, myofibroblasts and gingival epithelial.E:Dose-response toPB0412-3 exposure on the proliferation of the subpanel comprising the neural crest derived cell lines LN229 (glioblastoma), U373 (glioblastoma), T98G (glioblastoma), A172 (glioblastoma), U178 (glioblastoma), U178 (glioblastoma), SH-SY5Y (neuroblastoma), SK-N-SH (neuroblastoma), UACC903 (melanoma), WM115 (melanoma), and WM793 (melanoma).
DETAILED DESCRIPTION Compounds of the invention
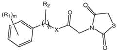
In a first aspect, the invention relates to a compound having the general formula:
Figure imgf000005_0001
wherein
each Ri is independently selected from the group consisting of hydrogen, a d- C6 alkyl group, a C2-C6 alkenyl group, a halogen atom, a hydroxyl group, an alkoxy group, an aryloxy group, a substituted or unsubstituted amido group, a substituted or unsubstituted carboxyl group, a phosphate group, a sulfonate group and a nitro group,
m is an integer ranging from 1 to 5,
each R2 is independently selected from the group consisting of hydrogen, a substituted or unsubstituted carboxyl group, a hydroxyl group, an alkoxy group and an aryloxy group,
n is an integer ranging from 0 to 10,
X is an oxygen atom or a nitrogen atom substituted with hydrogen or with a Ci- C6 alkyl group,
each Y is independently a halogen atom,
o is an integer ranging from 1 to 3,
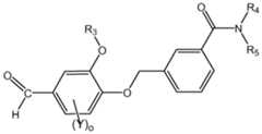
R3 is selected from the group consisting of hydrogen and a substituted or unsubstituted Ci-C6 alkyl group,
either R4 is hydrogen and R5 is a group having the structure:
Figure imgf000006_0001
wherein
each Re is independently selected from the group consisting of hydrogen, a d- C6 alkyl group, a cycloalkyl group, a C2-C6 alkenyl group, a halogen atom, a hydroxyl group, an alkoxy group, an aryloxy group, a substituted or unsubstituted amido group, a substituted or unsubstituted carboxyl group, a phosphate group, a sulfonate group and a nitro group
R7 and Rs are independently selected from hydrogen or a Ci-C6 alkyl group, each R9 or Ri1 is independently selected from the group consisting of hydrogen, a Ci-C6 alkyl group, a cycloalkyl group, a C2-C6 alkenyl group, a halogen atom, a hydroxyl group, an alkoxy group, an aryloxy group, a substituted or unsubstituted amido group, a substituted or unsubstituted carboxyl group, a phosphate group, a sulfonate group, a trifluoromethansulfonate group and a nitro group,
Rio is selected from hydrogen or a Ci-C6 alkyl group,
p is an integer ranging from 1 to 5,
q is an integer ranging from 1 to 4,
r is an integer ranging from 1 to 3, s is an integer ranging from 1 to 10,
or R4 and R5 form together with the nitrogen atom to which they are bond a five membered ring having the structure
Figure imgf000007_0001
wherein each R 4 is independently selected from the group consisting of hydrogen, a Ci-C6 alkyl group, a cycloalkyl group, a C2-C6 alkenyl group, a halogen atom, a hydroxyl group, an alkoxy group, an aryloxy group, an aryl group, a substituted or unsubstituted amido group, a substituted or unsubstituted carboxyl group, a phosphate group, a sulfonate group and a nitro group,
- t is an integer ranging from 1 to 4,
R12 and Ri3 are independently selected from the group consisting of hydrogen and a substituted or unsubstituted Ci-C6 alkyl group, a cycloalkyl group, an aryl group, a heteroaryl group or a C2-C6 alkenyl group,
or a pharmaceutically acceptable salt, cis-trans isomer or solvate thereof.
As used herein, the term "Ci-C6 alkyl group" refers to a saturated straight chain or branched non-cyclic hydrocarbon having from 1 to 6 carbon atoms. Representative saturated straight chain alkyls include methyl, ethyl, n-propyl, n-butyl, n-pentyl, n- hexyl; while saturated branched alkyls include isopropyl, sec-butyl, isobutyl, tert-butyl, isopentyl, 2-methylbutyl, 3-methylbutyl, 2-methylpentyl, 3-methylpentyl, 4- methylpentyl, 2,3-dimethylbutyl and the like. Alkyl groups included in compounds of this invention may be optionally substituted with one or more substituents.
As used herein, the term "C2-C6 alkenyl group", means a saturated straight chain or branched non-cyclic hydrocarbon having from 2 to 6 carbon atoms and having at least one carbon-carbon double bond. Representative straight chain and branched (C2- C6) alkenyls include vinyl, allyl, 1-butenyl, 2-butenyl, isobutylenyl, 1 -pentenyl, 2- pentenyl, 3-methyl-l-butenyl, 2-methyl-2-butenyl, 2,3-dimethyl-2-butenyl, 1-hexenyl, 2-hexenyl, 3-hexenyl, and the like. Alkenyl groups may be optionally substituted with one or more substituents.
As used herein, the term "alkoxy group" refers to an alkyl group which is attached to another moiety via an oxygen linker. Non-limiting examples of alkoxy groups include: -OCH3 (methoxy), -OCH2CH3 (ethoxy), -OCH2CH2CH3, -OCH(CH3)2 (isopropoxy), -OCH(CH2)2, -O-cyclopentyl, and -O-cyclohexyl.
As used herein, "aryl" or "Ar" means any stable monocyclic, bicyclic or tricyclic carbon ring of up to seven members in each ring, wherein at least one ring is aromatic and unsubstituted or substituted with from one to three substituents independently selected from the group consisting of methylenedioxy, hydroxy, ClC6-alkoxy, halogen, Q-C beta alkyl, C2-C6alkenyl, C2-C6alkynyl, trifluoromethyl, trifluoromethoxy, N02, NH2, NHXClC6alkyl), - N(ClC6-alkyl)2, NH-acyl, N(Cl-C6alkyl)acyl, hydroxy(Cl- C6alkyl), dihydroxy(Cl-C6alkyl), CN, C(=0)0(Cl-C6alkyl), phenyl, phenyl(Cl- C6alkyl), phenyl(Cl-C6alkenyl), phenoxy and phenyl(Cl-C6alkoxy). Included within the meaning of "aryl" or "Ar" are phenyl, 2- chlorophenyl, 3-chlorophenyl, 4-chlorophenyl, 2-fluorophenyl, 3-fluorophenyl, A- fluorophenyl, 2-bromophenyl,
3- bromophenyl, 4-bromophenyl, 2-trifluoromethylphenyl, 3- trifluoromethylphenyl,
4- trifluoromethylphenyl, 2-methoxyphenyl, 3-methoxyphenyl, A- methoxyphenyl, 2-aminophenyl, 3-aminophenyl, 4-aminophenyl, 2-methylaminophenyl,
3 -methylaminophenyl, 4-methylaminophenyl, 2-dimethylaminophenyl,
3- dimethylaminophenyl, 4-dimethylaminophenyl, 2-methylphenyl, 3-methylphenyl,
4- methylphenyl, 2-nitrophenyl, 3- nitrophenyl, 4-nitrophenyl, 2,4-dichlorophenyl, 2,3-dichlorophenyl, 3,5-dimethylphenyl, 2- trifluoromethoxyphenyl, 3 -trifluoromethoxyphenyl, 4-trifluoromethoxyphenyl, naphthyl, tetrahydronaphthyl,
2- biphenyl, 3-biphenyl, 4-biphenyl, 2-phenoxyphenyl, 3-phenoxyphenyl, 4-phenoxyphenyl, 2-benzyloxyphenyl, 3-benzyloxyphenyl, 4-benzyloxyphenyl, 4-methoxycarbonylphenyl, 2-cyano-4,5-dimethoxyphenyl, 2-fluoro-3-trifluorophenyl,
3- fluoro- 5-trifluorophenyl, 2-fluoro-6-trifluoromethylphenyl, 2,4-dimethoxyphenyl, 4-hydroxy-3- methoxyphenyl, 3,5-dichloro-2-hydroxyphenyl, 3-bromo-
4,5-dimethoxyphenyl, 4-benzyloxy- 3-methylphenyl, 3-benzyloxy-4-methylphenyl,
4- styrylphenyl, 9-anthryl, 10-chloro-9-anthryl and the like groups.
As used herein, the term "aryloxy group", refers to an aryl group which is attached to another moiety via an oxygen linker.
The term "heteroaryl," as used herein, means a monocyclic heteroaryl or a bicyclic heteroaryl. The monocyclic heteroaryl is a 5 or 6 membered ring. The 5 membered ring consists of two double bonds and one, two, three or four nitrogen atoms and/or optionally one oxygen or sulphur atom. The 6 membered ring consists of three double bonds and one, two, three or four nitrogen atoms. The 5 or 6 membered heteroaryl is connected to the parent molecular moiety through any carbon atom or any nitrogen atom contained within the heteroaryl. Representative examples of monocyclic heteroaryl include, but are not limited to, furyl, imidazolyl, isoxazolyl, isothiazolyl, oxadiazolyl, oxazolyl, pyridinyl, pyridazinyl, pyrimidinyl, pyrazinyl, pyrazolyl, pyrrolyl, tetrazolyl, thiadiazolyl, thiazolyl, thienyl, triazolyl, and triazinyl. The bicyclic heteroaryl consists of a monocyclic heteroaryl fused to a phenyl, or a monocyclic heteroaryl fused to a cycloalkyl, or a monocyclic heteroaryl fused to a cycloalkenyl, or a monocyclic heteroaryl fused to a monocyclic heteroaryl. The bicyclic heteroaryl is connected to the parent molecular moiety through any carbon atom or any nitrogen atom contained within the bicyclic heteroaryl. Representative examples of bicyclic heteroaryl include, but are not limited to, benzimidazolyl, benzofuranyl, benzothienyl, benzoxadiazolyl, cinnolinyl, dihydroquinolinyl, dihydroisoquinolinyl, furopyridinyl, indazolyl, indolyl, isoquinolinyl, naphthyridinyl, quinolinyl, tetrahydroquinolinyl, and thienopyridinyl.
As used herein, the term "amido" (acylamino), refers to the group - C(0)NH2.When used with the "substituted" modifier, refers to the group -C(0)NHR, in which R is acyl, as that term is defined above. A non-limiting example of an amido group is -NHC(0)CH3.
As used herein, the term "sulphonate" refers to the group -SO3.
As used herein, the term "carboxyl group" means the group -COOH.
Suitable substituents for an alkyl, alkenyl, aryloxy, alkoxy, amido or carboxyl groups include those substituents which form a stable compound of the invention without significantly adversely affecting the reactivity or biological activity of the compound of the invention. Examples of substituents for an alkyl or alkenyl include an optionally substituted alkyl, an optionally substituted alkenyl, an optionally substituted alkynyl, an optionally substituted cycloalkyl, an optionally substituted cycloalkenyl, an optionally substituted heterocyclyl, an optionally substituted aryl, an optionally substituted heteroaryl, an optionally substituted aralkyl, an optionally substituted heteraralkyl, an optionally substituted haloalkyl, an optionally substituted heteroalkyl, optionally substituted alkoxy. Preferably the alkyl or alkenyl are unsubstituted. As used herein, the term "halogen" or "halo" means -F, -CI, -Br or -I.
As used herein, the term "nitro group" refers to the -N02 group.
In any of the embodiments above, whenever a range of the number of atoms in a structure is indicated (e.g., a C1-C6), it is specifically contemplated that any sub-range or individual number of carbon atoms falling within the indicated range also can be used. Thus, for instance, the recitation of a range of 1-6 carbon atoms (e.g., C1-C6) as used with respect to any chemical group (e.g., alkyl, aryl, alkenyl, etc.) referenced herein encompasses and specifically describes 1, 2, 3, 4, 5, and/or 6 carbon atoms, as appropriate, as well as any sub-range thereof (e.g., 1 -2 carbon atoms, 1-3 carbon atoms, 1-4 carbon atoms, 1-5 carbon atoms, 1-6 carbon atoms, 2-3 carbon atoms, 2-4 carbon atoms, 2-5 carbon atoms, 2-6 carbon atoms, 3-4 carbon atoms, 3-5 carbon atoms, 3- 6 carbon atoms, 4-5 carbon atoms and 4-6 carbon atoms, as appropriate.
In any of the embodiments above, the presence of a double bond is indicative that the molecule can be as cis or trans isomer.
The term "cis-trans isomers", which are sometimes referred to as geometrical isomers, occur when double bonds prevent rotation of atoms around a bond. In a cis- isomer (Z isomer according to the E-Z notation), both of the larger groups lie on the same side of the molecule. In the trans-isomer (E isomer, according to the E-Z notation), the larger groups are on opposite sides of the molecule.
In another embodiment the isomer resulting from the double bond connecting the thiazolidindione and the ring carrying the R3 group is the Z isomer. In another embodiment, the isomer resulting from the double bond connecting the thiazolidinedione ring and the ring carrying the R3 group is the E isomer. In another embodiment, the compounds of the invention are provided as mixture of the E and Z isomer.
In another embodiment, the compound according to the invention has the general formula (la): 10
Figure imgf000011_0001
Figure imgf000012_0001
or a pharmaceutically acceptable salt, isomer or solvate thereof.
In another embodiment, the compound according to the invention has the general formula
Figure imgf000012_0002
Figure imgf000012_0003
Figure imgf000013_0001
Figure imgf000014_0001
or a pharmaceutically acceptable salt, isomer or solvate thereof.
In another embodiment, the compound of the invention has the structure
Figure imgf000015_0001
wherein R3, Y and o are as defined in claim 1, wherein A has the structure
Figure imgf000015_0002
and wherein B has the structure
Figure imgf000015_0003
In another embodiment, the compound according to the invention has the formula
Figure imgf000016_0001
PB0412-3
In a preferred embodiment, if m is 1 , then Ri is not a carboxamide group. In another embodiment, if m is 1 , then Ri is not located in the ortho position. In another embodiment, if m is 1 , then Ri is not a carboxamide group located in the ortho position. In another embodiment, if o is 1 , then Y is an halogen, more preferably a chloride group.
When a disclosed compound is named or depicted by structure, it is to be understood that solvates (e.g., hydrates) of the compound or its pharmaceutically acceptable salts are also included. "Solvates" refer to crystalline forms wherein solvent molecules are incorporated into the crystal lattice during crystallization. Solvate may include water or non-aqueous solvents such as ethanol, isopropanol, DMSO, acetic acid, ethanolamine, and EtOAc. Solvates, wherein water is the solvent molecule incorporated into the crystal lattice, are typically referred to as "hydrates". Hydrates include stoichiometric hydrates as well as compositions containing variable amounts of water.
When a disclosed compound is named or depicted by structure, it is to be understood that the compound, including solvates thereof, may exist in crystalline forms, non-crystalline forms or a mixture thereof. The compounds or solvates may also exhibit polymorphism (i.e. the capacity to occur in different crystalline forms). These different crystalline forms are typically known as "polymorphs." It is to be understood that when named or depicted by structure, the disclosed compounds and solvates (e.g., hydrates) also include all polymorphs thereof. Polymorphs have the same chemical composition but differ in packing, geometrical arrangement, and other descriptive properties of the crystalline solid state. Polymorphs, therefore, may have different physical properties such as shape, density, hardness, deformability, stability, and dissolution properties. Polymorphs typically exhibit different melting points, IR spectra, and X-ray powder diffraction patterns, which may be used for identification. One of ordinary skill in the art will appreciate that different polymorphs may be produced, for example, by changing or adjusting the conditions used in solidifying the compound. For example, changes in temperature, pressure, or solvent may result in different polymorphs. In addition, one polymorph may spontaneously convert to another polymorph under certain conditions.
The invention also provides "salts" of the compounds described in the present description. By way of illustration, said salts can be acid addition salts, base addition salts or metal salts, and can be synthesized from the parent compounds containing a basic or acid moiety by means of conventional chemical processes known by the persons skilled in the art. Such salts are generally prepared, for example, by reacting the free acid or base forms of said compounds with a stoichiometric amount of the suitable base or acid in water or in an organic solvent or in a mixture of the two. Non-aqueous media such as ether, ethyl acetate, ethanol, acetone, isopropanol or acetonitrile are generally preferred. Illustrative examples of said acid addition salts include inorganic acid addition salts such as, for example, hydrochloride, hydrobromide, hydroiodide, sulfate, nitrate, phosphate, etc., organic acid addition salts such as, for example, acetate, maleate, fumarate, citrate, oxalate, succinate, tartrate, malate, mandelate, methanesulfonate, p-toluenesulfonate, camphorsulfonate, etc. Illustrative examples of base addition salts include inorganic base salts such as, for example, ammonium salts and organic base salts such as, for example, ethylenediamine, ethanolamine, triethanolamine, glutamine, amino acid basic salts, etc. Illustrative examples of metal salts include, for example, sodium, potassium, calcium, magnesium, aluminum and lithium salts.
Pharmaceutical compositions of the invention The compounds according to the invention are formulated with a pharmaceutically acceptable carrier. Thus, in another aspect, the invention relates to a pharmaceutical composition comprising a compound according to the invention and a pharmaceutically active carrier.
A pharmaceutically acceptable carrier may contain inert ingredients which do not unduly inhibit the biological activity of the compounds. The pharmaceutically acceptable carriers should be biocompatible, i.e., non-toxic, non- inflammatory, non- immunogenic and devoid of other undesired reactions upon the administration to a subject. Standard pharmaceutical formulation techniques can be employed, such as those described in Remington's Pharmaceutical Sciences, ibid. Suitable pharmaceutical carriers for parenteral administration include, for example, sterile water, physiological saline, bacteriostatic saline (saline containing about 0.9 mg/ml benzyl alcohol), phosphate-buffered saline, Hank's solution, Ringer's-lactate and the like. Methods for encapsulating compositions (such as in a coating of hard gelatin or cyclodextran) are known in the art (Baker, et al, "Controlled Release of Biological Active Agents", John Wiley and Sons, 1986).
In another embodiment, the pharmaceutical composition is a sustained-release composition. The term "sustained release" is used in a conventional sense relating to a delivery system of a compound which provides the gradual release of this compound during a period of time and preferably, although not necessarily, with relatively constant compound release levels over a long period of time. In another embodiment, polymeric materials can be used to achieve controlled or sustained release of the therapies of the invention (see e.g., Medical Applications of Controlled Release, Langer and Wise (eds.), CRC Pres., Boca Raton, Fla. (1974); Controlled Drug Bioavailability, Drug Product Design and Performance, Smolen and Ball (eds.), Wiley, New York (1984); Ranger and Peppas, 1983, J., Macromol. Sci. Rev. Macromol. Chem. 23:61; see also Levy et al, 1985, Science 228: 190; During et al, 1989, Ann. Neurol. 25:351; Howard et al, 1989, J. Neurosurg. 7 1 : 105); U.S. Pat.No. 5,679,377; U.S. Pat.No. 5,916,597; U.S. Pat.No. 5,912,015; U.S. Pat.No. 5,989,463; U.S. Pat. No. 5,128,326; PCT Publication No. WO 99/15154; and PCT Publication No. WO 99/20253. Examples of polymers used in sustained release formulations include, but are not limited to, poly(2- hydroxy ethyl methacrylate), poly(methyl methacrylate), poly(acrylic acid), poly(ethylene-co-vinyl acetate), poly(methacrylic acid), polyglycolides (PLG), polyanhydrides, poly(N- vinyl pyrrolidone), poly(vinyl alcohol), polyacrylamide, poly(ethylene glycol), polylactides (PLA), poly(lactide-co-glycolides) (PLGA), and polyorthoesters. In some embodiments, the polymer used in a sustained release formulation is inert, free of leachable impurities, stable on storage, sterile, and biodegradable. In yet another embodiment, a controlled or sustained release system can be placed in proximity of the prophylactic or therapeutic target, thus requiring only a fraction of the systemic dose (see, e.g., Goodson, in Medical Applications of Controlled Release, supra, vol. 2, pp. 115-138 (1984)).
Controlled release systems are discussed in the review by Langer (1990, Science 249: 1527-1533). Any technique known to one of skill in the art can be used to produce sustained release formulations comprising one or more therapeutic agents of the invention. See, e.g., U.S. Pat. No. 4,526,938, PCT publication WO 91/05548, PCT publication WO 96/20698, Ning et al., 1996, "Intratumoral Radioimmunotheraphy of a Human Colon Cancer Xenograft Using a Sustained-Release Gel," Radiotherapy and Oncology 39: 179-189, Song et al, 1995, "Antibody Mediated Lung Targeting of Long- Circulating Emulsions," PDA Journal of Pharmaceutical Science and Technology 50:372-397, Cleek et al, 1997, "Biodegradable Polymeric Carriers for a bFGF Antibody for Cardiovascular Application," Pro. Int'l.Symp. Control. Rel. Bioact. Mater. 24:853-854, and Lam et al, 1997, "Microencapsulation of Recombinant Humanized Monoclonal Antibody for Local Delivery," Proc. Int'l. Symp. Control Rel. Bioact. Mater. 24:759-760, each of which is incorporated herein by reference in their entirety.
In another embodiment, the pharmaceutical composition comprises a compound according to the present invention and a bio-erodible polymer wherein the compound is adsorbed onto the surface of the bioerodible polymer.
The term "bioerodible polymer", as used herein, refers to a polymer which decomposes when placed inside an organism, as measured by a decline in the molecular weight of the polymer over time. Polymer molecular weights can be determined by a variety of methods including size exclusion chromatography (SEC), and are generally expressed as weight averages or number averages. A polymer is bioerodible if, when in phosphate buffered saline (PBS) of pH 7.4 and a temperature of 37 degrees C, its weight-average molecular weight is reduced by at least 25 percent over a period of 6 months as measured by SEC. Suitable bioerodible polymers for use in the present invention are described in United States Patents No. 4,757,128 and 7,318,931, incorporated herein by this reference. Useful bioerodible polymers include polyesters, such as poly(caprolactone), poly(glycolic acid), poly(lactic acid), and poly(hydroxybutryate); polyanhydrides, such as poly(adipic anhydride) and poly(maleic anhydride); polydioxanone; polyamines; polyamides; polyurethanes; polyesteramides; polyorthoesters; polyacetals; polyketals; polycarbonates; polyorthocarbonates; polyphosphazenes; poly(malic acid); poly(amino acids); polyvinylpyrrolidone; poly(methyl vinyl ether); poly(alkylene oxalate); poly(alkylene succinate); polyhydroxycellulose; chitin; chitosan; and copolymers and mixtures thereof.
In another embodiment, the bioerodible polymer is a polyanhydride formed by the polymerization of monomers selected from:
Aliphatic dicarboxylic acids having the general formula
HOOC-H2C-R-CH2-COOH
Aromatic dicarboxylic acids having the general formula
Figure imgf000020_0001
Figure imgf000020_0002
Aromatic-ali hatic dicarbox lic acid havin the general formula
Figure imgf000020_0003
as well as any combination of aliphatic dicarboxylic acids, aromatic dicarboxylic acids and aromatic-aliphatic dicarboxylic acids, wherein R n is a divalent organic group. Polyanhydrides composed of the monomers: sebacic acid (SA), bis(p- carboxyphenoxy)propane (CPP), isophthalic acid (IPh), and dodecanedioic acid (DD) are preferred. Further examples for other polyanhydrides include, but are not limited to poly(malic anhydride), poly (adipic anhydride) or poly (sebacic anhydride). In another embodiment, the polymer is poly(l,6-bis(p-carboxyphenoxy)hexane-co-sebacic acid) (poly(CPH-SA) or poly(l,3-bis(p-carboxyphenoxy)propane-co-sebacic acid) (poly(CPP-SA), wherein the ration of CPP to SA can vary. For example, combinations, such as pCPP:SA or 20:80, 50:50 can be used. In a more preferred embodiment, the polymer is Polifeprosan 20, which comprises pCPP and SA at a 20:80 ratio.
In one embodiment, the polymer is poly [bis(p-carboxyphenoxy) propane anhydride] or a co-polymer thereof with sebacic acid.
In another embodiment, the olymer has the following structure:
Figure imgf000021_0001
wherein the m:n ratio is from 100: 1 to 1 : 100. In a more preferred embodiment, the m to n ratio of the polymer is 2:8.
The pharmaceutical composition of the invention is formulated to be compatible with its intended route of administration. Examples of routes of administration include, but are not limited to, parenteral, e.g., intravenous, intradermal, subcutaneous, oral, intranasal (e.g., inhalation), transdermal (e.g., topical), transmucosal, and rectal administration. In some embodiments, the composition is formulated in accordance with routine procedures as a pharmaceutical composition adapted for intravenous, subcutaneous, intramuscular, oral, intranasal, or topical administration to human beings. Typically, compositions for intravenous administration are solutions in sterile isotonic aqueous buffer. Where necessary, the composition can also include a solubilizing agent and a local anesthetic such as lignocaine to ease pain at the site of the injection.
In another embodiment, the pharmaceutical composition of the invention is formulated in order to enable the compounds of the invention to passively accumulate in tumors by the enhanced permeation and retention (EPR) effect as well as to facilitate access of the compounds to peripheral compartments and to cross the blood brain barrier.
In another embodiment, the compounds according to the invention are formulated in encapsulated form. In a more preferred embodiment, the pharmaceutical composition according to the invention is a polymer micelle, a liposome or a nanoemulsion.
Polymer micelles are particularly attractive due to their ability to deliver hydrophobic therapeutic agents. In addition, the nanoscopic size of polymeric micelles allows for passive accumulation in diseased tissues, such as solid tumors, by the enhanced permeation and retention (EPR) effect. Using appropriate surface functionality, polymer micelles may be further decorated with cell-targeting groups and permeation enhancers that can actively target diseased cells and aid in cellular entry, resulting in improved cell-specific delivery.
A wide variety of lipids are useful for the liposomes described herein. Examples of suitable lipids include phosphatidylcholine (PC), phosphatidylserine (PS), as well as mixtures of dioleoyltrimethylammonium propane (DOTAP) and dioleoylphosphatidylethanolamine (DOPE) and/or cholesterol (chol); a mixture of dimethyldioctadecylammonium bromide (DDAB) and DOPE with or without cholesterol. The ratio of the lipids can be varied to optimize the efficiency of loading of the compounds according to the invention. The liposome can comprise a mixture of one or more cationic lipids and one or more neutral or helper lipids. A desirable ratio of cationic lipid(s) to neutral or helper lipid(s) is about l :(0.5-3), preferably l :(l-2) (molar ratio).
In an embodiment, liposomes as described herein are sterically stabilized liposomes. Sterically stabilized liposomes are liposomes into which a hydrophilic polymer, such as PEG, poly(2-ethylacrylic acid), or poly(n-isopropylacrylamide (PNIPAM) has been integrated. Such modified liposomes can be particularly useful, as they typically are not cleared from the bloodstream by the reticuloendothelial system as quickly as are comparable liposomes that have not been so modified. To make a sterically stabilized liposome of the present invention, a cationic liposome comprising the compound according to the invention is prepared as above. To this liposome is added a solution of a PEG polymer in a physiologically acceptable buffer at a ratio of about 0.1 : 100 (nmol of PEG:nmol of liposome), suitably, about 0.5:50, for example, about 1 :40 (nmol of PEG:nmol of liposome). The resultant solution is incubated at room temperature for a time sufficient to allow the polymer to integrate into the liposome complex. Suitable ratios of lipidxompound according to the invention is about 0.1 : 1 to about 1 : 100, about 0.05: 1 to about 1 :50, about 1 :1 to about 1 :20, about 2: 1 to about 10:0.1, about 0.5: 1 to about 2: 1, or about 1 : 1.
The liposomes of the present invention suitably comprise an anti-trans ferrin receptor single chain antibody molecule (TfRscFv) on their surface. It has been determined that this targeting molecule enhances delivery across the blood-brain barrier and targeted delivery to brain cancer cells.
In another embodiment, the compounds of the invention are formulated as a complex with a polypeptide. In another embodiment, the polypeptide is albumin.
In another embodiment, the compounds of the invention are formulated as nanoparticles. As used herein, a "nanoparticle" is a colloidal, polymeric, or elemental particle ranging in size from about 1 nm to about 1000 nm. Nanoparticles can be made up of silica, carbohydrate, lipid, or polymer molecules. Molecules can be either embedded in the nanoparticle matrix or may be adsorbed onto its surface. In one example, the nanoparticle may be made up of a biodegradable polymer such as poly(butylcyanoacrylate) (PBCA). Examples of elemental nanoparticles include carbon nanoparticles and iron oxide nanoparticles, which can then be coated with oleic acid (OA)-Pluronic(R). In this approach, a drug (e.g., a hydrophobic or water insoluble drug) is loaded into the nanoparticle. Other nanoparticles are made of silica.
Nanoparticles can be formed from any useful polymer. Examples of polymers include biodegradable polymers, such as poly(butyl cyanoacrylate), poly(lactide), poly(glycolide), poly-s-capro lactone, poly(butylene succinate), poly(ethylene succinate), and poly(p-dioxanone); poly(ethyleneglycol); poly-2- hydroxyethylmethacrylate (poly(HEMA)); copolymers, such as poly(lactide-co- glycolide), poly(lactide)- poly(ethyleneglycol), poly(poly(ethyleneglycol)cyanoacrylate- co- hexadecylcyanoacrylate, and poly [HEMA-co-methacry lie acid]; proteins, such as fibrinogen, collagen, gelatin, and elastin; and polysaccharides, such as amylopectin, a- amylose, and chitosan.
Other nanoparticles include solid lipid nanoparticles (SLN). Examples of lipid molecules for solid lipid nanoparticles include stearic acid and modified stearic acid, such as stearic acid-PEG 2000; soybean lechitin; and emulsifying wax. Solid lipid nanoparticles can optionally include other components, including surfactants, such as Epicuron(R) 200, poloxamer 188 (Pluronic(R) F68), Brij 72, Brij 78, polysorbate 80 (Tween 80); and salts, such as taurocholate sodium. Agents can be introduced into solid lipid nanoparticles by a number of methods discussed for liposomes, where such methods can further include high-pressure homogenization, and dispersion of microemulsions.
Nanoparticles can also include nanometer- sized micelles. Micelles can be formed from any polymers described herein. Exemplary polymers for forming micelles include block copolymers, such as poly(ethylene glycol) and poly(8-caprolactone). (e.g., a PEO- b-PCL block copolymer including a polymer of ε-caprolactone and a-methoxy- co-hydroxy-poly(ethylene glycol)).
In certain embodiments, the properties of the nanoparticle are altered by coating with a surfactant. Any biocompatible surfactant may be used, for example, polysorbate surfactants, such as polysorbate 20, 40, 60, and 80 (Tween 80); Epicuron(R) 200; poloxamer surfactants, such as 188 (Pluronic(R) F68) poloxamer 908 and 1508; and Brij surfactants, such as Brij 72 and Brij 78.
Nanoparticles can optionally be modified to include hydrophilic polymer groups (e.g., poly(ethyleneglycol) or poly(propyleneglycol)), for example, by covalently attaching hydrophilic polymer groups to the surface or by using polymers that contain such hydrophilic polymer groups (e.g., poly[methoxy poly (ethyleneglycol) cyanoacrylate-co-hexadecyl cyanoacrylate]). Nanoparticles can be optionally cross- linked, which can be particularly useful for protein-based nanoparticles.
Therapeutic agents can be introduced to nanoparticles by any useful method. Agents can be incorporated into the nanoparticle at, during, or after the formation of the nanoparticle.
In another embodiment, the pharmaceutical composition is formulated using a carbohydrate-based polymer. Carbohydrate-based polymers such as chitosan can be used as a transport vector e.g., in the formation of micelles or nanoparticles. As chitosan polymers can be amphiphilic, these polymers are especially useful in the delivery of hydrophobic agents (e.g., those described herein). Exemplary chitosan polymers include quaternary ammonium palmitoyl glycol chitosan.
In another embodiment, the pharmaceutical composition of the invention is a nanoemulsion. "Nano emulsion" as used herein means a colloidal dispersion of droplets (or particles) which at least some of the droplets have diameters in the nanometer size range. The nanoemulsions are comprised of omega-3, -6 or -9 fatty acid rich oils in an aqueous phase and thermo-dynamically stabilized by amphiphilic surfactants, which make up the interfacial surface membrane, produced using a high shear microfluidization process usually with droplet diameter within the range of about 80- 220 nm.
Therapeutic methods of the invention In another aspect, the invention relates to a compound or composition according to the invention for use in medicine. In another aspect, the invention relates to a a compound or composition according to the invention for use in the prevention or treatment of a proliferative disorder. In yet another aspect, the invention relates to a method for the treatment or prevention of a proliferative disorder in a subject in need thereof which comprises the administration to said subject of a therapeutically effective amount of the compound or composition according to the invention.
As used herein, the term "effective amount" refers to an amount of a compound of this invention which is sufficient to reduce or ameliorate the severity, duration, progression, or onset of a disease or disorder, e.g., a proliferative disorder, prevent the advancement of a disease or disorder, e.g., a proliferative disorder, cause the regression of a disease or disorder, e.g., a proliferative, prevent the recurrence, development, onset or progression of a symptom associated with a disease or disorder, e.g., a proliferative disorder, or enhance or improve the prophylactic or therapeutic effect(s) of another therapy. The precise amount of compound administered to a subject will depend on the mode of administration, the type and severity of the disease or condition and on the characteristics of the subject, such as general health, age, sex, body weight and tolerance to drugs. It will also depend on the degree, severity and type of cell proliferation, and the mode of administration. The skilled artisan will be able to determine appropriate dosages depending on these and other factors. When co- administered with other agents, e.g., when co-administered with an anti-cancer agent, an "effective amount" of the second agent will depend on the type of drug used. Suitable dosages are known for approved agents and can be adjusted by the skilled artisan according to the condition of the subject, the type of condition(s) being treated and the amount of a compound of the invention being used. In cases where no amount is expressly noted, an effective amount should be assumed.
Non-limiting examples of an effective amount of a compound of the invention are provided herein below. In a specific embodiment, the invention provides a method of preventing, treating, managing, or ameliorating a proliferative disorder or one or more symptoms thereof, said methods comprising administering to a subject in need thereof a dose of at least about 150 μg/kg, preferably at least about 250 μg/kg, at least about 500 μg/kg, at least about 1 mg/kg, at least about5 mg/kg, at least about 10 mg/kg, at least about 25 mg/kg, at least about 50 mg/kg, at least about 75 mg/kg, at least about 100 mg/kg, at least about 125 mg/kg, at least about 150 mg/kg, or at least about 200 mg/kg or more of one or more compounds of the invention once every day, preferably, once every 2 days, once every 3 days, once every 4 days, once every 5 days, once every 6 days, once every 7 days, once every 8 days, once every 10 days, once every two weeks, once every three weeks, or once a month.
As used herein, the terms "treat", "treatment" and "treating" refer to the reduction or amelioration of the progression, severity and/or duration of a proliferative disorder, or the amelioration of one or more symptoms (preferably, one or more discernible symptoms) of a disease or disorder, e.g., a proliferative disorder resulting from the administration of one or more therapies (e.g., one or more therapeutic agents such as a compound of the invention). In specific embodiments, the terms "treat", "treatment" and "treating" refer to the amelioration of at least one measurable physical parameter of a disease or disorder, e.g., a proliferative disorder, such as growth of a tumor, not necessarily discernible by the patient. In other embodiments the terms "treat", "treatment" and "treating" refer to the inhibition of the progression of a disease or disorder, e.g., a proliferative disorder, either physically by, e.g., stabilization of a discernible symptom, physiologically by, e.g., stabilization of a physical parameter, or both. In other embodiments the terms "treat", "treatment" and "treating" refer to the reduction or stabilization of tumor size or cancerous cell count.
As used herein, the terms "prevent", "prevention" and "preventing" refer to the reduction in the risk of acquiring or developing a given disease or disorder, e.g., a proliferative disorder, or the reduction or inhibition of the recurrence or a disease or disorder, e.g., a proliferative disorder. In one embodiment, a compound of the invention is administered as a preventative measure to a patient, preferably a human, having a genetic predisposition to any of the disorders described herein.
As used herein, the terms "subject", "patient" and "mammal" are used interchangeably. The terms "subject" and "patient" refer to an animal (e.g., a bird such as a chicken, quail or turkey, or a mammal), preferably a mammal including a non- primate (e.g., a cow, pig, horse, sheep, rabbit, guinea pig, rat, cat, dog, and mouse) and a primate (e.g., a monkey, chimpanzee and a human), and more preferably a human. In one embodiment, the subject is a non-human animal such as a farm animal (e.g., a horse, cow, pig or sheep), or a pet (e.g., a dog, cat, guinea pig or rabbit). In another embodiment, the subject is a human.
As used herein, a "proliferative disorder" or a "hyperproliferative disorder," and other equivalent terms, means a disease or medical condition involving pathological growth of cells. Proliferative disorders include cancer, smooth muscle cell proliferation, systemic sclerosis, cirrhosis of the liver, adult respiratory distress syndrome, idiopathic cardiomyopathy, lupus erythematosus, retinopathy, e.g., diabetic retinopathy or other retinopathies, cardiac hyperplasia, reproductive system associated disorders such as benign prostatic hyperplasia and ovarian cysts, pulmonary fibrosis, endometriosis, fibromatosis, harmatomas, lymphangiomatosis, sarcoidosis, desmoid tumors.
In another embodiment, the proliferative disorder is cancer. Cancers that can be treated or prevented by the methods of the present invention include, but are not limited to human sarcomas and carcinomas, e.g., fibrosarcoma, myxosarcoma, liposarcoma, chondrosarcoma, osteogenic sarcoma, chordoma, angiosarcoma, endotheliosarcoma, lymphangiosarcoma, lymphangioendothelio sarcoma, synovioma, mesothelioma, Ewing's tumor, leiomyosarcoma, rhabdomyosarcoma, colon carcinoma, pancreatic cancer, breast cancer, ovarian cancer, prostate cancer, squamous cell carcinoma, basal cell carcinoma, adenocarcinoma, sweat gland carcinoma, sebaceous gland carcinoma, papillary carcinoma, papillary adenocarcinomas, cystadenocarcinoma, medullary carcinoma, bronchogenic carcinoma, renal cell carcinoma, hepatoma, bile duct carcinoma, choriocarcinoma, seminoma, embryonal carcinoma, Wilms' tumor, cervical cancer, testicular tumor, lung carcinoma, small cell lung carcinoma, bladder carcinoma, epithelial carcinoma, glioma, astrocytoma, medulloblastoma, craniopharyngioma, ependymoma, pinealoma, hemangioblastoma, acoustic neuroma, oligodendroglioma, meningioma, melanoma, neuroblastoma, retinoblastoma; leukemias, e.g., acute lymphocytic leukemia and acute myelocytic leukemia (myeloblastic, promyelocytic, myelomonocytic, monocytic and erythro leukemia); chronic leukemia (chronic myelocytic (granulocytic) leukemia and chronic lymphocytic leukemia); and polycythemia vera, lymphoma (Hodgkin's disease and non-Hodgkin's disease), multiple myeloma, Waldenstrobm's macro globulinemia, and heavy chain disease.
In another embodiment, the cancer is selected from the group consisting of a lung cancer, breast cancer, ovarian cancer, pancreatic cancer, liver cancer, head and neck cancer, prostate cancer, tongue cancer, colorectal cancer, esophageal cancer, renal cancer, endometrial cancer, melanoma, gall bladder cancer, sarcoma, bone cancer, gastric cancer, ovarian cancer, cervical cancer and brain cancer.
In a still more preferred embodiment, the lung cancer is adenocarcinoma, large cell carcinoma or squamous cell carcinoma, the breast cancer is adenocarcinoma, the pancreas cancer is adenocarcinoma, the colorectal cancer is adenocarcinoma, the prostate cancer is an adenocarcinoma, the gall bladder cancer is an adenocarcinoma, the sarcoma is a soft tissue sarcoma, the gastric cancer is a esophageal epidermoid or adenocarcinoma, the brain cancer is neuroblastoma, ependimoma, medulloblastoma, astrocytoma, glioblastoma or a brain metastasis.
In another embodiment, the tumor is a glial-derived tumor. In a more preferred embodiment, the glial-derived tumor is glioblastoma multiforme.
In another embodiment, the tumor is a neural crest-derived tumor. In a more preferred embodiment, the neural crest-derived tumor is neuroblastoma, melanoma, feochromocytoma, paraganglioma, Ewing's sarcoma, small cell prostate cancer, a tumor of the Ewing's sarcoma family of tumors (EFST) or a carcinoid.
The term "metastasis" or "metastatic disease," as used herein in the specification and in the claims, refers to the spread of a cancer from one organ or tissue to another non- adjacent organ or tissue. Cancer cells can break away, leak, or spill from a primary tumor and enter lymphatic and blood vessels, circulate throughout the bloodstream, and be deposited elsewhere in the body. This occurrence is referred to as "metastasis." Metastasis is one of the hallmarks of malignancy of cancers. The methods of the invention can additionally comprise of administration of compositions formulated as depot preparations. Such long acting formulations can be administered by implantation (e.g., subcutaneously or intramuscularly) or by intramuscular injection. Thus, for example, the compositions can be formulated with suitable polymeric or hydrophobic materials (e.g., as an emulsion in an acceptable oil) or ion exchange resins, or as sparingly soluble derivatives (e.g., as a sparingly soluble salt).
In another embodiment, the therapeutic methods according to the invention involve the use of a sustained release composition and the administration of the sustained release composition to the surgical site after resection of the tumor. In a more preferred embodiment, the tumor is glioblastoma and the composition is administered locally by implantation of a composition comprising a compound according to the invention and a bio-erodible polymer. Methods for the synthesis of the compound of the invention
In another aspect, the invention relates to a method for producing a compound having the general formula:
Figure imgf000029_0001
wherein Rl s R2, R3, R4, R5, X, Y, ni, n and o are as defined above
said method comprising contacting a compound having the general formula
Figure imgf000030_0001
Figure imgf000030_0002
wherein Rl s R2, R3, R4, R5, X, Y, ni, n and o are as defined above, under conditions adequate for Knoevenagel condensation between the thiazolidindione group in the compound having the formula (II) and the aldehyde group in the compound of formula (III).
The term "Knoevenagel condensation", as used herein, refers to a nucleophilic addition of an active hydrogen compound to a carbonyl group followed by a dehydration reaction in which a molecule of water is eliminated (hence condensation). The product is often an alpha, beta conjugated enone. The reaction is carried out in the presence of an amine compound as catalyst. In another embodiment, the amine compound is piperidine. The Knoevenagel condensation takes place between the active hydrogen in the thiazolidindione group in the compound of formula (II) and the aldehyde group in the compound of formula (III).
In another embodiment, the compound of formula (II) has the following structure
Figure imgf000030_0003
In another embodiment, the compound of formula (III) has the following structure
Figure imgf000031_0001
In another aspect, the invention relates to a method for the production of a compound having the general formula
Figure imgf000031_0002
with a compound having the structure
Figure imgf000031_0003
wherein Rl s R2, m and n are as defined above and Q is a reactive group that is capable of reacting with the carboxyl group in the compound of formula (V) resulting in a linking group X as defined above,
wherein the reacting is carried out under conditions adequate for reacting the carboxyl group in compound (V) with the Q group in the compound of formula (IV). In another embodiment, the Q group is amine group and the reaction is an amidation reaction. In another embodiment, the compound of formula (IV) has the following structure
Figure imgf000032_0001
In another aspect, the invention relates to a method for producing a compound having the general formula
Figure imgf000032_0002
comprising reacting a compound having the general formula
Figure imgf000032_0003
with a compound having the general structure
Figure imgf000032_0004
wherein R3, Y, o, R4 and R5 are as defined above and wherein P is an reactive functional group, wherein said reacting is carried out under conditions adequate for reacting the reactive functional group P in the compound of formula (VII) with the hydroxyl group in the compound of formula (VI).
The reactive group P is specific for hydroxyl groups. Suitable P groups for use in the present method include, without limitation, a carboxyl, an ester, a halide, an acyl halide, a isocyanato, epoxy, anhydride, azlactonyl or oxazolinyl group. In another embodiment, the reactive group P is a halogen, preferably bromide, and the reaction between the reactive group in the compound of formula (VII) and the hydroxyl group in the compound of formula (VI) is a Williamson reaction.
The term "Williamson reaction", as used herein, refers to a reaction between an organohalide and an alcohol to form an ether. In the present case, the Williamson reaction takes place between the P group in the compound of formula (VI) and the hydroxyl group in the compound of formula (VI).
In one embodiment, the compound of formula (VI) has the following structure
Figure imgf000033_0001
In another embodiment, the compound of formula (VII) has the following structure
Figure imgf000033_0002
In another aspect, the invention relates to a method for producing a compound according of formula (I) comprising
(i) reacting a compound having the general formula (IV) with? a compound having the general formula (V) under conditions adequate for obtaining a compound of general formula (II),
(ii) reacting a compound having the general formula (VI) with? a compound having the general formula (VII) under conditions adequate for obtaining a compound of general formula (III) and
(iii) reacting the compound having the general structure (II) obtained in step (i) with the compound having the general structure (III) obtained in step (ii) to obtain a compound of formula (I). In another aspect, the invention relates to a method for the production of a compound having the general formula (I)
Figure imgf000034_0001
com rising contacting a compound having the general formula
Figure imgf000034_0002
with a compound having the general structure
HN (ιχ)
\
R5
wherein Rl s R2, R3, R4, R5, ni, n, o, X and Y are as defined above,
under conditions adequate for the reaction between the carboxyl group in the compound of formula (VIII) and the amine group in the compound of formula (IX).
In another embodiment, the compound of general formula (VIII) has the structure
Figure imgf000035_0001
In another embodiment, the compound of general formula (IX) has the structure
Figure imgf000035_0002
In another aspect, the invention relates to a method for the production of a compound having the general structure
Figure imgf000035_0003
comprising contacting a compound having the general formula
Figure imgf000036_0001
with a compound having the general formula
Figure imgf000036_0002
wherein Rl s R2, R3, R4, R5, X, Y, ni, n and o are as defined above
wherein P is a reactive group
under conditions adequate for the reaction between the reactive group in the compound of formula (XI) and the hydroxyl group in the in the compound of formula (X).
In another embodiment, the reactive group P is a halogen and wherein the reaction between said reactive group in the compound of formula (XI) and the hydroxyl group in the compound of formula (X) is a Williamson reaction.
In another embodiment, the compound of formula (X) has the structure
Figure imgf000036_0003
In another embodiment, the compound of formula (XI) has the following structure
Figure imgf000037_0001
In another embodiment, the invention relates to a method for the production of a compound having the general formula (X) comprising reacting a compound having the general structure
Figure imgf000037_0002
with a compound having the structure
Figure imgf000037_0003
wherein Rl s R2, R3, X, Y, m and n are as defined above
under conditions adequate for Knoevenagel condensation between the thiazolidindione in the compound having the formula (XII) and the aldehyde group in the compound of formula (XIII).
In another embodiment, the com ound of formula XII) has the following structure
Figure imgf000037_0004
In yet another embodiment, the compound for formula (XIII) has the following structure
Figure imgf000038_0001
In another embodiment, the invention relates to a method for producing a compound having the general formula (XI) comprising reacting a compound having the general formula
Figure imgf000038_0002
with a compound having the general structure
.R4
HN (IX)
\
R5
wherein R4, R5and P are as defined above and wherein the reaction is carried out under conditions adequate for the reaction of the compound of formula (IX) with the carboxyl group in the compound of formula (XIV). In a preferred embodiment, the compound of formula (XIV) has the following structure
Figure imgf000038_0003
In yet another embodiment, the compound of formula (IX) has the following structure
Figure imgf000039_0001
In another embodiment, the invention relates to a method for producing a compound having the general formula:
Figure imgf000039_0002
whereinRi, R2, R3, R4, R5, X, Y, ni, n and o are as defined above, said method comprising
(i) reacting a compound having the general formula (XII) a compound having the general formula (XIII) under conditions adequate for obtaining a compound of general formula (X),
(ii) reacting a compound having the general formula (XIV) with a compound having the general formula (IX) under conditions adequate for obtaining a compound of general formula (XI) and
(iii) reacting the compound having the general structure (XII) obtained in step (i) with the compound having the general structure (XI) obtained in step (ii) to obtain a compound according to claim 1.
The invention is described herein by way of the following examples, which are to be construed as merely illustrative and not limitative of the scope of the invention.
EXAMPLES Materials and Methods
(7-Azabenzotriazol- 1 -yloxy)-tripyrrolidinophosphonium hexaflourophosphate (PyAOP) was purchased from Iris Biotech. Cyclohexylamine; diisopropylethylamine (DIEA); 2,4-dioxo-l,3-thiazolidin-3-yl)-acetic acid p-toluidine; and 3-(bromomethyl) benzoic acid were purchased from Sigma- Aldrich. Ethyl acetate, acetonitrile and dimethylformamide (DMF) were purchased from SDS. Sodium hydrogen carbonate (NaHC03); anhydrous magnesium sulphate (MgS04); potassium iodide (KI), potassium carbonate (K2C03) and ammonium acetate (NH4AC) were purchased from Panreac. 3- chloro-4-hydroxy-5-methoxy-Benzaldehyde was purchased from Flurochem. Benzoic acid-3[[2-chloro-6-methoxy-4-[[3-[2-[(4-methylphenyl)amino]-2-oxoethyl]-2,4-dioxo- 5-thiazolidinylidene]methyl]-phenoxy]methyl] was purchased from Prinston.
HPLC was carried out using the HPLC separation module Alliance Water 2695 (Waters) and the Detector Water 2998 photodiode array Column X-Bridge BEH130 5 μΜ 4,6x100 mm (Waters). The flow was of lmL/min using as eluent 0,45% TFA in water and 0,36% TFA in acetonitrile.
Mass spectrometry was carried out an ESI mass spectrometer model Micromass ZQ (Waters) was used with Sunfire CI 8 column (100 x 2.1 mm x 3.5 mm, 100 AD , Waters) and Masslynx 4.1 software (Waters). The flow rate was 0.3 mL/min using MeCN (0.07 % formic acid) and H20 (0.1 % formic acid). The microwave discover CEM model Discover system ChemDriver 908010 was purchased from Waters.
HPLC analysis
RP-HPLC analysis were carried in XBridge™ BEH130 CI 8 reversed -phase HPLC analytical column (4,6 x 100 mm, 3,5 μιη) was obtained from Waters (Ireland). Analytical RP-HPLC was performed on a Waters instrument comprising a separation module (Waters 2695), an automatic injector (Waters 717 autosampler), a photodiode array detector (Waters 2998), and a software system controller (Empower). UV detection was at 220 nm, and linear gradients of 50% ACN to 100% ACN in 8 min. Eluents ACN (0.036% TFA), H20 (0.045% TFA) were run at a flow rate 1.0 mL.min"1 over 8 min. HPLC purification was carried out with a Semi-Preparative RP-HPLC SunFire™ Prep C18 OBD™ reversed-phase HPLC analytical column (19x100 mm, 5 μιη) was acquired from Waters (Ireland). Semi-preparative RP-HPLC was performed on a Water Delta 600 system comprising a sample manager (Water 2700), a controller (Water 600), a dual λ absorbance detector (Water 2487), a fraction collector II, and a software system controller (MassLynx). UV detection was at 220 nm, and linear gradients of 40% of ACN to 60% of ACN in 20 minute, eluent ACN (0, 1% TFA) and H20 (0, 1% TFA) were run at a flow rate of 16 mL-min"1 over 20 min. HPLC mass spectrometry analysis
HPLC-electrospray mass spectrometry analysis was performed with a SunFire™ CI 8 reversed-phase HPLC analytical column (2.1 mm x 100 mmm, 5 μιη) procured from Waters (Ireland). Analytical RP-HPLC. ESMS was performed on a Water Micromass ZQ spectrometer comprising a separation module (Water 2695), an automatic injector (Water 717 autosampler), a photodiode array detector (Water 2998) and a software system controller MassLynx v. 4.1. UV detection was at 220 nm, mass scans were acquired in positive ion mode, and linear gradients of 50%> of ACN to 100% of ACN in 8 min. Eluent ACN (0.07% formic acid) and H20 (0.1% formic acid) were run at flow rate of 0.3mL.min_1 over 8 min. NMR analysis
1H-NMR and13C-NMR were recorded on a Varian Mercury 400MHz. Chemical shifts are reported in ppm referenced to the appropriate residual solvent peaks DMSO.
Cell lines
All tissue culture materials were obtained from Biological Industries (Kibbutz Beit Haemek, Israel) or Invitrogen (Paisley, Scotland, United Kingdom). All cell lines were maintained in RPMI medium supplemented with 10% fetal bovine serum (FBS), 50 μg/mL penicillin-streptomycin and 2 mM L-Glutamine. All cells were grown in a humidified atmosphere with 5%> C02 at 37°C. All the cell lines used in this study were validated by genotyping them for EGFR, K-Ras, PIK3CA, BRAF-1 , HER2 and TP53. In all cases, the genotypes of the cells exactly matched those described in the COSMIC database. Mycoplasm tests were also routinely performed to check that the cell lines used in this study were mycoplasm- free. Cell viability assays
Cell viability was assessed by the Thiazolyl Blue Tetrazolium Bromide (MTT) (Sigma, St Louis, MO) assay. Cells from each cell line were seeded at 2000 to 5000 per well in 96-well plates and allowed to attach for 24 h. The concentration of drug required for 50% growth inhibition (IC50) after a 72 h treatment was then assessed in 6- replicates by incubating the cells with increasing concentrations of drug. After treatment, cells were incubated with medium containing MTT (0.75 mg/mL in medium) for 1 h at 37°C. Culture medium with MTT was removed and formazan crystals reabsorbed in 100 DMSO (Sigma, St. Louis, MO). Cell viability was determined by measuring the absorbance at 590 nm, using a microplate reader (BioWhittaker, WalkersviUe, MD). All proliferation assays were repeated at least twice and the mean IC50 calculated.
EXAMPLE 1 General methodology
It has been documented that AEG-1 is a positive regulator of NFKB, particularly it has been shown that both AEG-1 and NFKB are transported to the nucleus forming a AEG-l/p65 complex. Moreover, this complex formation is accompanied by a decrease of thep50/p50 dimers and by an increase of the p65/p50 dimers, which is the activated form of NFKB that binds to DNA. Many of these complexes have been crystallized, such as the p65/p65homodimer (PDB code: 2RAM), the ρ65/ΙκΒ complex (PDB code: 1K3Z), and the p50/p65 heterodimer (PDB code: 2I9T) allowing their structural study at molecular level.
The inventors have carried out a molecular modelling study of the complex formed between AEG-1 and NFKB in order to discover small molecule disruptors of its formation, and can therefore be used as novel chemotherapeutic agents. For such purposes, ligand-based virtual screening (VS) (Comb. Chem. High Throughput Screen. 2011, 14, 450) of a large database of commercial compounds was used to search for molecules with the potential ability to bind the ΝίκΒ binding domain of AEG-1 using a technology that allows the flexible alignment of the database molecules with a reference compound or protein fragment, comparing its similarity by means of their Molecular Interaction Fields (MIFs) (Drug Discov. Today, 2010, 15, 23).
In order to search for inhibitors of the AEG-l/NftcB complex, a fragment of AEG-1 had to be modelled since no resolved crystal structure of this human protein or any other similar exist. AEG-1 interacts with the transcriptional activator by using the residues 101-205 of its protein sequence (Cancer Res 2008, 68, 1478). Furthermore, several crystals of Nf B (p65 and p50) are available and can be used to model this protein in the complex with AEG-1.
Sequence alignment
To get a 3D model of AEG-1, its sequence has to be compared with protein sequences whose structure is already known. If a sequence identity of more than 20- 25% is obtained, it can be concluded that the two aligned proteins share a common structure.
To model such structure, a protein with a sufficient sequence identity to AEG-1 had to be identified. BLAST searches were performed in order to identify those proteins which were similar to AEG-1. Also, more focused sequence alignments were performed between AEG-1 and p65 following the hypothesis that AEG-1 could form the complex by using the dimer interface of p65, displacing a p65 subunit from the p65/p65 homodimer by mimicking one of the subunits.
A series of sequence alignments between AEG-1 and different proteins were carried out. Both full length AEG-1 as well as a more focused search concentrating on the residues 101 to 205 were done. Concretely, this human AEG-1 sequence has been aligned with:
An engineered protein (PDB code: 2HKD) that BLAST predicted as similar. The inhibitory protein with which p65 interacts (PDB code: 1K3Z).
- The complete sequence of p65 (PDB code: 2RAM).
The dimerization region of p65 in its homodimer complex (PDB code: 2RAM). The first three alignments did not yield a satisfactory result. Remarkably, the last sequence alignment found a region of similarity, pointing out that AEG-1 could interact with p65 in a similar way as p65 with itself. The residues of AEG-1 A140-D156 (enclosed in the 101-205 sequence) can be aligned with the residues D243-D259 of p65, exhibiting a 24% identity and a rather high similarity of 41%, as shown in Figure 1. The p65 dimerization fragment was used as the template for modeling the interacting fragment of AEG-1 (see Methods section).
Homology modelling
A homology modelling routine was performed using in-house technologies, building a fragment of AEG-1 from a p65 template structure (PDB code: 2RAM) with sufficient sequence identity. The fragment of AEG-1 exhibits a turn structure. Strikingly, R246 of p65 is positioned in the same manner as R142 in AEG-1, and the hydrophobic cluster between V244 and 1250, in p65, that maintains the turn rigid, is also similar to the hydrophobic cluster formed by V141 and VI 47 in AEG-1. Moreover, the side chain of p65 V248 can be assimilated with the side chain methyl of T143 in AEG-1. These similar features between the two proteins gave confidence to the proposed structure of AEG-1.
Additionally, a prediction of this fragment of AEG-1 was also carried out by using the Pep-Fold server. This server uses a structural alphabet and a coarse grained force field for building the three dimensional structure of the submitted peptide sequence and, remarkably, the best scored solution of the server resulted in a very similar turn structure as already predicted by the homology modelling protocol.
Additionally, taking as reference the p65 homodimer, a AEG-l/p65 complex structure was generated that was subjected to an energy minimization using an appropriate protein force field.
To model the complex formed between AEG-1 and p65, we used the homodimer of p65 (PDB code: 2RAM) as the framework (Figure 2) on basis of our earlier established working hypothesis; the structure of the dimerization interface between AEG-1 and p65 should be similar to the one of the p65/p65 homodimer. Superimposing the residues 140-147 of AEG-1 over the residues 243-259 of one monomer of p65 gave a first approximation of the AEG-l/p65 complex. The resulting protein complex was optimized through an energy minimization and a short molecular dynamics simulation (see Methods), favouring the mutual interaction. The main interactions involve the residues R142, T143 and Q145 of AEG- 1 and D217, V248 and H245 of p65. R142 forms a salt bridge with D217, T142 maintains van der Waals contacts with V248 and Q145 forms two hydrogen bonds with H245.
For comparison purposes, the same model for p65/p65 interactions shows that R246 of p65 interacts in a similar way as R142 of AEG-1, forming a salt bridge with D217. Additionally, V248 of p65 interacts in a similar way as T143 of AEG-1, binding the equivalent residue V248 of the other p65 monomer. Again, the recognition of AEG- 1 is highly similar to the one of p65 which reinforces our working hypothesis.
Pharmacophore elucidation and virtual screening
From the above mentioned analysis of the AEG-1 and p65 complex, a pharmacophore model of p65 can be extracted, which represents the most important residues for the interaction with AEG-1. The pharmacophore can be used to perform the VS experiment in order to identify a small molecule with the same functional groups of this protein fragment that could bind to AEG-1. If the molecule is able to block the AEG-l/p65 complex, the activation of ΝίκΒ could be stopped. This p65 pharmacophore is formed by 3 interaction points: a hydrogen acceptor point (or carboxylate group) in D217, a hydrophobic point in V248 and a hydrogen donor group in H245. The hydrogen acceptor is at a distance of around 7 A from the hydrophobic point, whereas this residue is at a distance of around 9 A from the hydrogen donor point. The length of the whole interaction area is of 15 A, approximately, which can be covered by a medium size (~ 500 g/mol) molecule.
VS was carried out with a large database of commercial molecules from several vendors (Asinex, Chembridge, Chem Div, Life Chemicals, National Cancer Institute, Princeton Biomolecular Research, Enamine and SPECS) were joined in a unique database of 6,981,556 molecules.). Beforehand, the database was filtered for molecules having a carboxylate moiety, which can mimic the D217 pharmacophoric point. This subset of molecules was further divided into two group accounting for those molecules with a molecular weight between 750 and 350 g/mol (Group- 1, 154,019 entities) and those molecules with a molecular weight between 349 and 200 g/mol (Group-2, 121,099 entities). The latter group consisted of smaller and more rigid molecules, which may have interesting pharmacokinetic properties. Results of the Virtual screening and proposition of candidates
The total database was filtered for compounds with a carboxyl group, leaving 217,667 molecules. The 3D structures of the molecules was prepared by accounting for the protonation state at physiological pH and the diverse internal ring conformations, resulting in 275 , 118 entities that were submitted to the virtual screening (VS) program.
Calculations were carried out using our supercomputer facility Hydra. The VS program compares MIFs amongst two molecules. It performs a flexible superimposition of the MIFs of two molecules in 3D space, and estimates their best similarity (Hercules score). Those molecules that have functional groups that create similar MIFs to the reference structure are ranked higher than those that do not fulfil this requirement. Accordingly, Hercules is able to rank the database of commercial compounds proposing the molecules with a higher probability to be disruptors of the AEG-l/p65 complex. From the pool of 217,667 molecules, 60 molecules were selected which showed the best characteristics. 16 entities selected on the basis of chemical eye and initial estimates of availability. Such 16 entities were subjected to an in-depth analysis of availability, cost and previous evidence of antitumor activity. 4 chemical entities finally were selected as the panel for in vitro studies.
PB0412 having the structure
Figure imgf000046_0001
(Benzoic acid-3 [[2-chloro-6-methoxy-4-[[3-[2-[(4-methylphenyl)amino]-2-oxoethyl]- 2,4-dioxo-5-thiazolidinylidene]methyl]-phenoxy]methyl])) was selected from the 5 chemical entities for further development. All compounds retested for purity (HPLC) and solubility in water and organic solvents. EXAMPLE 2
Identification of PB0412-3 as candidate compound
The IC50 values of PB0412 on the proliferation of the A549, H460 and PC9 cell lines were of, respectively, 14,2 μΜ, 42.4 μΜ and 33.9 μΜ. In order to improve the IC50s, different modifications in the acidic group of the molecule were carried out.
The modification of the acidic group by an amide group or the introduction of polar groups in the acidic part did not result in any improvement in the activity of the compound.
It was next tested whether the alkyl groups used in the amine groups used in the preparation of the amides could have an effect on the activity of the compound. The compound obtained by amidation of PB0412 with phenylethylamine led to IC50 values of 9.5 μΜ, 10.5 μΜ y 10.7 μΜ, for the cell lines mentioned above. Amidation of PB0412 with cyclohexyl amine resulted in candidate PB0412-3
Figure imgf000047_0001
HPLC analysis of the molecule revealed a retention time of at 6.63 min (Fig.
2A). The molecule has two absorption maxima in the UV at 243.7 and 341.1 (Fig.
2A).The observed mass (648) by HPLC-MS (Fig. 2B) corresponds to the molecular weight of the compound also to observe the isotopic pattern of chlorine present in the molecule. The signals obtained by NMR allow the correct assignment of all protons and
Carbons of the molecule (Fig. 2C).
This candidate showed in IC50 values of 1.4 μΜ, 1.7 μΜ, 0.7 μΜ for the A549,
H460 and PC9 cell lines and of 1.7 μΜ and 2.3 μΜ for the DLD and BxPC-3 cell lines (Table 2 and Fig. 3). Thus, it seems that the addition of non-polar bulky groups to the molecule results in an increase in the blocking capacity of the molecule of the interaction of P65 and AEG- 1. It was next tested whether the structure of PB0412-3 matched the AEG-1 binder pharmacophore modelled based on the search of AEG-1 ligands of the NF-κΒ binding domain. It was shown that PB0412-3 matched the AEG-1 binder pharmacophore with two possible superpositions.
EXAMPLE 3
Total synthesis of PB0412-3
De novo synthesis of the candidate compound of PB0412-3 from staple reagents in a 4-step reaction
1. -Synthesis of N-cyclohexyl- ( -bromomethyl)-Benzamide.
Figure imgf000048_0001
3-(bromomethyl)-benzoic acid (50 mg, 2.34xl0"4 mol) was dissolved in 6 mL of
DMF and mixed in a flask with cyclohexylamine (27 μί, 2.34xl0"4 mol). The mixture was cooled to zero degrees. PyAOP (122 mg, 2.34xl0"4 mol) and DIEA (60 μί, 3.51xl0"4 mol) were added successively to the reaction mixture. The reaction was allowed to progress at room temperature and monitored by HPLC.
Once the reaction has ended, the reaction mixture was poured onto cold water.
The precipitated solid is decanted and washed with 3v of water of 20 mL each. The solid is then dissolved in ethyl acetate and washed successively with 2v x 20 mL of 5% NaHC03 solution and saturated sodium chloride. The ethyl acetate solution was dried with anhydrous magnesium sulphate, filtered and dried by evaporation of the solvent. The resulting solid is dissolved in 50% acetonitrile/water and lyophilized.
2.- Synthesis of 4- (fenoxymethyl- 3 -N-cyclohexyl benzamide)-4-chloro-3-methoxy benzaldehide
Figure imgf000049_0001
3-chloro-4-hydroxy-5-methoxy-benzaldehyde (100 mg, 5,36xl0~4 mol) dissolved in 16 mL of acetonitrile was mixed in a flask with N-cyclohexyl-(3-bromomethyl)- benzamide (159 mg, 5.36xl0~4 mol), potassium carbonate (74 mg, 5.36xl0~4 mol) and potassium iodide (89 mg, 5.36xl0~4 mol). The solution is heated to 70°C and its progression is monitored by HPLC.
Once the reaction has ended, the acetonitrile is evaporated and the residue dissolved in ethyl acetate and washed with 3v x 20 mL water and saturated sodium chloride, the resulting solution is dried with anhydrous magnesium sulphate, the solvent is evaporated, dissolved in 50% acetonitrile water and lyophilized.
3. -Synthesis of 4-methylphenyl-(2,4-Dioxo-l ,3-thiazolidin-3-yl)-acetamide.
Figure imgf000049_0002
(2,4-dioxo-l,3-thiazolidin-3-yl) acetic acid (100 mg, 5.70xl0"4 mol) dissolved in 25 mL of DMF was mixed in a flask, successively with p-toluidine (61 mg, 5.70xl0"4 mol), PyAOP (300 mg, 5.70xl0"4 mol) and DIEA (23 μ∑, 1.33xl0"4 mol). The reaction was heated to 70°C with microwave irradiation and its progression monitored by HPLC.
Once the reaction has ended, the mixture is poured over cold water and the precipitated solid decanted and washed with water. The solid is dissolved in ethyl acetate and washed successively with 2x20mL of a 5% NaHC03 solution and saturated sodium chloride. The ethyl acetate solution is dried with anhydrous magnesium sulphate, filtered, the solvent evaporated and dissolved in 50% acetonitrile in water and lyophilized. 4.-Synthesis of PB0412-3 (3-((2-chloro-4-((2,4-dioxo-3-(2- tolylamino)ethyl)thiazolidin-5-ylidene)methyl)-6-methoxyphenoxy)methyl)-N- cyclohexylbenzamide)
Figure imgf000050_0001
3-Thiazolidineacetamide-N-(4-methylphenyl)-2,4-dioxo (100 mg, 3.78x10" mol) dissolved in 10 mL acetic acid is mixed in a flask successively with 4- fenoxymethyl-(3-N-cyclohexyl-benzamide)-3-methoxy-4-chloro-benzaldehide (152 mg, 3.78xl0"4 mol) and ammonium acetate (30 mg, 3.78xl0"4 mol). The mixture is heated to reflux and the progression of the reaction is reaction is monitored by HPLC.
Once the reaction was finished reaction, the acetic acid was evaporated and dissolved in ethyl acetate. The solution was washed with 3v x 100 mL of water, dried with anhydrous magnesium sulphate, the solvent is evaporated. The solid is then dissolved in 50% acetonitrile and lyophilized. B- De novo synthesis of the candidate compound of PB0412-3 from staple reagents in a 4-step reaction.
1.-Synthesis of 4-methylphenyl-(2,4-Dioxo-l,3-thiazolidin-3-yl)-acetamide.
Figure imgf000050_0002
(2,4-dioxo-l,3-thiazolidin-3-yl) acetic acid (100 mg, 5.70xl0~4 mol) dissolved in 25 mL of DMF was added to a flask and mixed, successively with p-toluidine (61mg, 5.70xl0~4 mol), PyAOP (300 mg, 5,70xl0"4 mol) and DIEA (23 μΐ,, 1.33xl0~4 mol). The reaction was heated to 70°C with microwave irradiation and its progression monitored by HPLC.
Once the reaction was ended, the mixture was poured over cold water and the precipitated solid decanted and washed with water. The solid was dissolved in ethyl acetate and washed successively with 2x20 mL of a 5% NaHC03 solution and saturated sodium chloride. The ethyl acetate solution was dried with anhydrous magnesium sulphate, filtered, the solvent evaporated and dissolved in 50% acetonitrile water and lyophilized.
2. -Synthesis of 2-[5-(3-chloro-4-hydroxy-5-metoxybenzylidene)-2,4-dioxo-l,3- thiazolidin-3-ylJ-N- ( 4-methylphenyl) acetamide.
Figure imgf000051_0001
4-methylphenyl-(2,4-Dioxo-l,3-thiazolidin-3-yl)-acetamide (72 mg,2,71xl0" mol) dissolved in 4 mL de EtOH was added to a flask and mixed successively with 5- Chloro-4-hydroxy-3-methoxy benzaldehyde (50 mg, 2,68xl0"4 mol), piperidine (19 \xL, 2,68xl0"5 mol), acetic acid (1,53 \xL, 2,68xl0"4 mol). The reaction was heated to 78°C and its progression monitored by HPLC.
Once the reaction had ended the precipitated solid was decanted and washed with EtOH. The solid was dissolved in 50% acetonitrile/water and lyophilized.
3. -Synthesis ofN-cyclohexyl-(3-bromomethyl)-benzamide.
Figure imgf000052_0001
3-(bromomethyl)-benzoic acid (50 mg, 2.34xl0~4 mol) was dissolved in 6 mL of DMF and mixed a flask with cyclohexylamine (27μΙ^, 2.34xl0~4 mol). The mixture was cooled to zero degrees. PyAOP (122 mg, 2.34xl0"4 mol) and DIEA (60 μί, 3.51xl0"4 mol) were added successively to the reaction mixture. The reaction was allowed to progress at room temperature and monitored by HPLC.
Once the reaction had ended, the reaction mixture was poured onto cold water. The precipitated solid was decanted and washed with 3v of water of 20 mL each. The solid was then dissolved in ethyl acetate and washed successively with 2v x 20 mL of 5% NaHCC"3 solution and saturated sodium chloride. The ethyl acetate solution was dried with anhydrous magnesium sulphate, filtered and dried by evaporation of the solvent. The resulting solid was dissolved in 50% acetonitrile/water and lyophilized.
4. Synthesis of PB0412-3(3-((2-chloro-4-((2,4-dioxo-3-(2-oxo-2-(p- tolylamino)ethyl)thiazolidin-5-ylidene)methyl)-6-methoxyphenoxy)m
cyclohexylbenzamide)
Figure imgf000052_0002
2-[5-(3-chloro-4-hydroxy-5-metoxybenzylidene)-2,4-dioxo-l,3-thiazolidin-3- yl]-N-(4-methylphenyl) acetamide (50 mg, l,16xl0"4 mol) was dissolved in 5 ml of Dioxane and mixed a flask with N-ciclohexyl-(3-bromomethyl)-benzamide (34 mg, 1.16xl0~4 mol), K2C03 (32 mg, 2,32xl0"4 mol) and KI (23 mg, l,4xl0"4 mol). The reaction was heated to 100°C and its progression monitored by HPLC.
Once the reaction had ended, the reaction mixture was poured onto cold water. The precipitated solid is decanted and washed successively with water. The solid is dried with P205 and purified by HPLC.
EXAMPLE 5
Synthesis of PB0412-3 starting from PB0412 (Benzoic acid-3[[2-chloro-6-methoxy-4- [ [3 - [2- [(4-methylphenyl)amino] -2-oxoethyl] -2,4-dioxo-5 -thiazo lidinylidene]methyl] - phenoxy]methyl])
Figure imgf000053_0001
Benzoic acid-3[[2-chloro-6-methoxy-4-[[3-[2-[(4-methylphenyl)amino]-2- oxoethyl]-2,4-dioxo-5-thiazolidinylidene]methyl]-phenoxy]methyl] (50 mg, 8.82xl0"5 mol) dissolved in 25 mL of DMF is mixed with cyclohexylamine (11 μί, 8.82xl0"5 mol) in a flask and the mixture was cooled to zero degrees. PyAOP (46 mg, 8.82x10"5mol) and DIEA (23 μί, 1.33xl0"4 mol) are added successively. The reaction was allowed to progress to room temperature and monitored by HPLC.
Once the reaction has ended, the mixture is poured onto cold water and the precipitated solid decanted and washed with 3v x 20 mL of water. The solid is dissolved in ethyl acetate and washed successively with 2v x 20mL of a 5% NaHC03 solution and saturated sodium chloride. The ethyl acetate solution is dried with anhydrous magnesium sulphate, filtered and the solvent is evaporated and dissolved in 50% acetonitrile water and lyophilized. 46 mg of PB0412-3 were obtained, which results in a 80% yield.
HPLC of the resulting product (Figure 3) confirmed the presence of a single molecular entity. EXAMPLE 6
In vitro effect of PB0412-3 on tumor cell lines
The in vitro characterization of PB0412-3 was conducted in a cell panel which has been genotypically and pheno typically broadly characterized at the molecular level and demonstrative of human cancer sub-types. This panel includes 21 cell lines representative of solid tumors, cell lines representative of glial-derived cell tumors (e.g. glioblastoma) and cell lines representative of neural crest-derived tumors (Neuroblastoma and Melanoma). The panel also incorporates 4 human non tumoral cell lines to assess the in vitro therapeutic index. The panel is clinically relevant as it has been characterized for cross resistance parameters too. The composition of the panel as well as the mutational/expression/functionality gene status of the cells forming the panel is shown in Table 1.
Mutational status IHC mRNA expressio
K- BRAF- MGMT , . AEG- BRCA R
Cell line Tissue Histology EGFR p53jjj j Others PTEN AEG1
RAS 1 1 1
PIK3CA
NCI-H460 Lung Large cell carcinoma wt Q61H wt Wt UnMet NA 2 (40) 0,7 18,9 1
E545K
p.S90fs*
SKOV3 Ovary Adenocarcinoma wt wt wt UnMet - NA NA 3,18 43,13 1
33
PIK3CA 1
DLD-1 Colon Adenocarcinoma wt G13D wt P.S241F Met NA 1,2 29,9
E545K (100)
P.K139fs
PC-3 Prostate Adenocarcinoma wt wt wt UnMet - NA NA 3,9 13,9
*31
Squamous cell
SK-MES-1 Lung wt wt wt P.S241F UnMet - NA NA 0,8 16,2 carcinoma
3
A549 Lung Adenocarcinoma wt G12S wt Wt Met - NA 0,3 10,6 3
(100)
del E746- 1
PC9 Lung Adenocarcinoma wt wt p.R248Q UnMet - NA 0,2 15,5
A750 (100)
HER2 1
AU565 Breast Adenocarcinoma wt wt wt p.R175H UnMet NA 1,4 11,6 3 amplification (100)
2
BxPC-3 Pancreas Adenocarcinoma wt wt wt p.Y220C UnMet - NA
(100) 1,1 84,8
1
A172 Brain Glioblastoma wt wt wt Wt Met - Loss 0,5 15,3
(100)
2
T98G Brain Glioblastoma wt wt wt p.M237I Met - WT 1,8 53,5
(100)
Mutational status IHC mRNA expressio
K- BRAF- MGMT , . AEG- BRCA R
Cell line Tissue Histology EGFR p53 „Λ/Ι Others PTEN AEG1
RAS 1 1 1
T98GII Brain Glioblastoma wt wt wt P.M237I Met - WT 2 (60) 6,4 17,2 1
No NMYC 1
SH-SY5Y Brain Neuroblastoma wt wt wt wt UnMet NA 0,6 19,9 3 amp (100)
1-2
U178 Brain Glioblastoma wt wt wt wt Met - Loss 0,4 6,2 1
(100)
No NMYC 1
SK-N-SH Brain Neuroblastoma wt wt wt wt Met NA 0,2
amp (100) 7,1 1
3 (80)
LN229 Brain Glioblastoma wt wt wt p.P98L Met - WT 2,0 13,8
N
U373 Brain Glioblastoma wt wt wt p.R273H Met - Loss 2 (85) 1,1 17,7 3
3
WM115 Melanoma Melanoma - - V600E - - - NA 1,06 13,31 1
(100)
3
WM793 Melanoma Melanoma - - V600E - - - NA 1,55 20,54 1
(100)
UACC903 Melanoma Melanoma wt wt V600E wt - - NA NA - -
1
Chondrocytes Normal Chondrocytes wt wt wt P.H179Y Met - NA 0,6 34,6
(100)
Human fibroblasts Normal Human fibroblasts wt wt wt Wt UnMet - NA NA 0,4 2,4 1
Human
Normal Myofibroblasts wt wt wt Wt Met - NA NA 0,12 3,03 0 Myofibroblasts
Mutational status IHC mRNA expressio
K- BRAF- MGMT AEG- BRCA R
Cell line Tissue Histology EGFR p53 Others PTEN AEG1
RAS 1 HM 1 1
Gingival Normal Fibroblastos wt wt wt Wt UnMet - NA NA 0,79 1,77 0
Table 1 : Properties of the panel of cell lines tested for sensitivity to PB0412-3. The cell panel includes cell lines representative of different tumor lines (lung prostate, breast and pancreas cancer), cell lines representative of glial-derived tumors, cell lines representative of neuroblastoma, which is a neural crest derived tumor and cell lines representative of the cells present in the reactive tumor stroma. HM: Hypermethylation. IHC: Immunocytochemistry.
Cells were treated with increasing concentrations of PB0412-3 as a 72 hours exposure model. This is highly relevant as this is the exposure time normally used to assess the antitumor activity of new agents. Experiments were conducted in triplicates.
The selection of the human solid tumor cell line panel has been done, in strict adherence to our drug discovery and development procedures to warrant the incorporation of a constellation of solid tumor sub-types that are scientifically and clinically representative. Thus, the elements of the panel are based on a rational foundation. This panel represents the elements to allow, in adherence with the established eligibility criteria, the identification of a candidate as a lead for further development
The incorporation of a Glial and Neural Crest derived human cell tumor panel was done prospectively, in line with the established methodology. The rational based on the data that sustain AEG-1 functionality as a multioncogenic driver in Glioblastoma Multiforme and in other CNS malignancies (Sarkar et al, Cancer Res., 2008, 68; 1478- 1484). AEG-1 is instrumental in the pathogenesis of neural crest derived tumors such as Neuroblastoma. On such basis an additional set of human tumors Neural Crest derived has been also incorporated into the panel. This allows the assessment of the antiproliferative profile of PB0412-3 in Neuroblastoma and in melanoma, both Neural Crest Derived tumors.
AEG-1 is highly expressed in malignant tumors as compared with intrapatient normal tissue pairs. The evidence that notes AEG-1 expression in smooth muscle and glands. On such basis a representative panel of four human non tumoral cell lines has been also studied to generate objective evidence of compound's therapeutic index. The results of the in vitro experiments are summarized in Table 2.
IC50
IC50 (μΜ) other drugs
(μΜ)
Cell line Tissue Histology PB0412-3 Cisplatin Erlotinib Crizotinib Gefitinib Paclitaxel TMZ MTIC
NCI-H460 Lung Large cell carcinoma 1,4 27 417 1,6 14,9 0,004 NA NA
SKOV3 Ovary Adenocarcinoma 1,36 NA NA NA NA NA NA NA
DLD-1 Colon Adenocarcinoma 1,3 12 8,6 0,9 7,7 0,019 NA NA
PC-3 Prostate Adenocarcinoma 1,3 NA NA NA NA NA NA NA
SK-MES-1 Lung Squamous cell carcinoma 1,3 7 9,3 NA 2,4 0,013 NA NA
A549 Lung Adenocarcinoma 1,3 9,8 347 1 18,1 0,003 NA NA
PC9 Lung Adenocarcinoma 0,9 3 0,068 1,2 0,044 0,003 NA NA
AU565 Breast Adenocarcinoma 0,7 NA NA NA NA NA NA NA
BxPC-3 Pancreas Adenocarcinoma 1,5 6,1 85 0,7 9,1 0,005 NA NA
A172 Brain Glioblastoma 0,40 NA NA NA NA NA >100 >100
T98G Brain Glioblastoma 0,40 NA NA NA NA NA >100 -
T98GII Brain Glioblastoma 0,29 NA NA NA NA NA >100 >100
IC50
IC50 (μΜ) other drugs
(μΜ)
Cell line Tissue Histology PB0412-3 Cisplatin Erlotinib Crizotinib Gefitinib Paclitaxel TMZ MTIC
SH-SY5Y Brain Neuroblastoma 0,13 0,67 NA NA NA NA 54,5 >100
U178 Brain Glioblastoma 0,22 NA NA NA NA NA - -
SK-N-SH Brain Neuroblastoma 0,08 0,33 NA NA NA NA - >100
LN229 Brain Glioblastoma 0,06 NA NA NA NA NA >100 >100
U373 Brain Glioblastoma 0,06 NA NA NA NA NA >100 >100
WM115 Melanoma Melanoma 0,49 NA NA NA NA NA - NA
WM793 Melanoma Melanoma 1,7 NA NA NA NA NA - NA
UACC903 Melanoma Melanoma 0,592 NA NA NA NA NA - NA
Chondrocytes Normal Chondrocytes 2,60 NA NA NA NA NA NA NA
Human
Normal Human fibroblasts 1,50 NA NA NA NA NA NA NA fibroblasts
Human
Normal Myofibroblasts 1,58 NA NA NA NA NA NA NA Myofibroblasts
Gingival Normal Fibroblasts 2,67 NA NA NA NA NA NA NA
Table 2: Results of the in vitro characterization of PB0412-3 in a cell panel. The experiment was conducted in a small panel of human tumor cell lines of lung, prostate, breast, pancreas and glioblastomas, as well as 2 human non-tumoral cell lines. The results include the IC50 (μΜ) of PB0412-3 and the IC50s in response to cisplatin, TMZ and MTIC.
6.1 Antiproliferative Profile in human cancer. Overall results
The in vitro results are summarized in Table 2 and in Fig. 4A. The compound shows consistent in vitro activity at low micromolar concentrations in different tumor types. The data indicates (see Table2) that the in vitro antitumor activity of PB0412-3 is independent of EGFR and KRAS mutations, p53 mutation status, PIK3A mutations, HER2 amplification, MGMT methylation status as well as BRAF-1 mutation genotype. The antiproliferative effects of PB0412-3 in human cancer cells appear to be independent of such molecular indicators of tumor cell's aggressivity. The median IC50 in the solid tumor panel is 1.22 μΜ (0.7-1.5) (Fig. 4C).
6.2. Antiproliferative profile on Glial and Neural Crest Derived Tumors
The incorporation of a glioma (Glioblastoma Multiforme/GBM) subpanel demonstrates high sensitivity of this tumor type to PB0412-3 with an IC50 mean of 11 1 nM (60-220). These significant (p<0.0001) differences in sensitivity cope with the model of inhibition since AEG-1 is a main multionco genie driver in brain tumors.
Figures 3, 4Band 4E integrate the evidence generated; a distinct sensitivity profile within the different human tumor cell lines exposed to PB0412-3 does emerge from this. This evidence, distinct sensitivity to PB0412-3 of GBM, Neuroblastomas and melanoma, reinforces the notion of a specific mode of action based on AEG-1 disruption. The mean IC50 for the GMN lines is of 400 nM. The IC50s of the melanoma human cells is 490 nM, 592 nM and 1.7 μΝ. Of note the low nanomolar active concentrations of PB0412-3 in the two neuroblastoma cell lines included in the panel. IC50s of 130 nanomolar and 80 nanomolar respectively.
6.3. Antiproliferative Profile human non transformed(normal) cells. Therapeutic Index.
Table 2 shows the antiproliferative pattern of PB0412-3 in a panel of human normal cell lines. The selection of tissue types has been prospective and based on literature 's(peer review journals) AEG-1 expression data in normal tissues. The panel includes chondrocytes, fibroblasts , prostate myofibroblasts and epithelial gingival cells. As can be seen, the correlative IC50' values for these cell types is 2.60 μΜ, 1.5 μΜ, 1.56 μΜ and 2.67 μΜ respectively (Fig. 4D). The mean IC50 of PB0412-3 in non- cancer cell lines is of 2.08 μΜ, therefore demonstrating a positive in vitro therapeutic index and putting into perspective a positive pharmacological window.
In summary, the mean IC50s for the different cell types forming the cell panel is shown in Table 3
Figure imgf000063_0001
6.4. Definition of sensitivity/ resistance to PB0412-3
The definition of a cut-off value to define cancer cells sensitive/resistant to PB0412-3 is instrumental to set-up a prospective evaluation criteria for further studies.
The lowest IC50to PB0412-3 exposure in human non cancer cell lines is 1.5 μΜ. Assuming linear cellular pharmacodynamics for PB0412-3 and seeking to define a positive cut-off delta human cancer versus human non cancer cells , a value of 1.3 μΜ was established as the cut-off for sensitivity/resistance to PB0412-3; i.e. human tumor cell lines with IC50'shigher than 1.3 μϊ ^Γε considered resistant to PB0412-3; this strict and rational criteria defines as resistant to PB0412-3 (4/21 or 23% of human cell lines integrated in the panel).
3 out of 9 human solid tumor panel are resistant to PB0412-3
1 out 1 1 Glial (GBM) and Neural Crest (Neuroblastoma and melanoma), is resistant to PB0412-3.
Under the experimental conditions 33% of human solid tumors are resistant to PB0412-3; the incidence of resistance to PB0412-3 in Glial +Neural Crest derived tumors is 9%>.
6.5. Medical Relevance of the antiproliferative profile ofPB0412-3 in human cancer. BRCAl
Although the four resistant cell lines to PB0412-3 harbour the highest levels of BRCAl mRNA expression (84.8,43.13,20.54 and 18.9), activity at low concentrations in human cell lines harbouring high levels of BRC A 1 expression has been also noted, for instance IC50 GBM 400 nanoM along with the highest BRCA1 expression levels 84.8, and therefore suggesting that the sensitivity to PB0412-3 is not mediated by DNA repair functionality. This is reinforced by the lack of correlation between RAP80 mRNA expression and sensitivity to PB0412-3.
AEG-1
AEG-1 functionality leads to pleiotropic drug resistance to conventional and new generation anticancer agents (see AEG-l/MTDH/Lyric implicated in Multiple Human Cancers, in Advances in Cancer Research, Sarker, ed., August 2013, Academic Press, ISBN: 978-0-12-401676-7). In contrast our findings support the notion of a lack of impact of AEG-1 levels in the sensitivity to PB0412-3. The median AEG-1 expression level is 1.1(0.2-3.9). In fact the highest pre-study AEG-1 expression levels of the panel,3.9, correlates with an IC50 =1.3μΜ still in the limit of the definition of sensitivity to PB0412-3. Moreover, glioblastoma cell lines bear high expression levels, the highest within the panel2 and6.4, and are highly sensitive to PB0412-3 (IC50s60 nM, 60 nM and 290 M in the glioblastoma LN229 and T98G cell lines).
BRAF-1
A solid body of evidence correlates mutations of BRAF-1 gene, most common as V600e mutation, with increased tumor's resistance to anticancer agents. Mutated BRAF-1 gene is a frequent finding in human malignant melanoma: all the 3 human melanoma cancer cell lines included in the panel harbour V600E BRAF-1 mutation. Cell lines WM115 and UACC903 are sensitive to PB0412-3 with IC50's of 490 nM and 592 nM respectively. In contrast, the WM793 human melanoma bears a pb0412_3 IC50 of 1.7 micromolar. This evidence sustains the notion of a BRAF-1 independent sensitivity of human malignant melanoma to PB0412-3.
6.6. Medical Relevance comparative inhibitory profile PB0412-3 PB0412-3 IC50's in GBM are significantly lower than the IC50s of Carmustine (BCNU) for the same cell lines, which are in the range of 15 to 50 μΜ. Accordingly, these results show that PB0412-3 is significantly more potent than the most active nitrosoureas, which are the compounds currently available to treat glioblastoma patients.
In order to put the data into perspective the panel includes the comparative data with Cisplatin, TMZ and MTIC in the human cell line panel.
Cisplatin is a DNA interacting agent that represents the paradigm of broad spectrum antitumor activity. These data indicate that PB0412-3 is much more potent, in a molar basis, than Cisplatin.
In addition, in order to characterize the antiproliferative features of PB0412-3 in glioblastoma, a prospectively designed in vitro study has been carried out comparing the effect of PB0412-3 to the effect of Temolozolamide (TMZ/Temodar®), which is the gold therapeutic standard for the treatment of glioblastoma and 3-methyl-(triazen-l- yl)imidazole-4-carboxamide (MTIC), which is the active metabolite of MTZ. The study has been carried out in a panel of Human Glioblastoma (GBM) cell lines which includes the A172, T98G, T98G2, LN29 and U373 cell lines. The results are shown in Table 2 and in Figure 3.
The PB0412-3 mean IC50 is of 238 nM (60-400 nM), whereas the median IC50 for TMZ >100 micromolar (>100->100) and the median IC50 for MTIC is > 100 μΜ (>100->100). Thus, under the experimental and controlled conditions used in this study, PB0412-3 is 1000-fold more potent than TMZ and MTIC.
In addition, PB0412-3 was tested for its ability to inhibit proliferation of neuroblastoma cells. Neuroblastoma is the most common pediatric tumor. In spite of being a sensitive malignancy, the rate of resistant patients is significant, 30%and the prognosis in advanced relapsed patients is poor with median survival rates between 12 and 18 months. Since TMZ is a therapeutic option in children bearing advanced relapsed neuroblastoma, the effect of PB0412-3 and TMZ was tested in the SH-SYSY and SK-NSH neuroblastoma cell lines. The results are shown in Table 2. The mean IC50's for PB0412-3 are 130 nM and 80 nM respectively, whereas the mean IC50's for TMZ are 54.5 μΜ and >100 μΜ respectively and the mean IC50's for MTIC are >100 and >100 respectively. Thus, it can be shown that PB0412-3 is between 500-1000 fold more potent than TMZ and its active metabolite MTIC.
The differences in in vitro potency, in favour to PB3, in GBM and Neuroblastoma are clinically relevant. Of note both tumor types are neuroectodermic (neural crest origin). Such selective potency of PB3 in such tumor types is consistent with the oncogenic role of AEG-1 in such malignancies. PB3 is between 500 to 1000- fold more potent than TMZ and its active metabolite(not commonly tested in in vitro models thus the data generated have significant consistency). Such potency sustains the notion of a large therapeutic index for PB3 in patients bearing Glioblastoma Multiforme or neuroblastoma.
6.7. Medical Relevance of Gene Functionality in the resistance to PB0412-3
The methylation status of the MGMT relates to sensitivity of GBM and neuroblastoma to TMZ and to its active metabolite MTIC. In particular, unmethylated (and hence functional) MGMT results in resistance to TMZ, to its active metabolite and to radiation therapy in GBM and neuroblastoma. However, no differences in the IC50's of PB0412-3 were found between human cancer cell lines SH-SYSY (which bears a functional, unmethylated MGMT gene) and the SK-N-SH cell lines (which bears a nonfunctional, methylated MGMT gene).
6.8. Biological profile ofPB0412-3
Finally, on the basis of the extreme sensitivity of Glial (GBM) and Neural Crest Derived tumors (Melanoma and Neuroblastoma, a statistical analysis has been conducted. In order to compare the mean IC50's in solid tumors vs. Glial and Neural Crest derived tumors , the 2- independent sample T test was used due to the normality of distribution of IC50s in both solid tumors and glial and neural crest checked by the Kolmogrov-Smirnoff test with p-values above 0.05 (0.21 and 0.77 respectively). Also, by Levene test, it can also be assumed that both samples come from populations with the same variance (p-value Levene=0.58). These two steps allow conducting a 2- independent sample T test for our main hypothesis (Ho: μΚ50β of solid tumors vs. μ^50 glial+neural crest) resulting in a p-value <0.0001 with a 95% CI from 0.65 to 1.43. This indicates that there are strong significant differences between means IC50 Glial +Neural Crest and solid tumor populations. It was also observed that Non Glial, non-Neural Crest mean IC50s are all but one above IC50s applicable to Glial and Neural Crest derived tumors. The practical meaning is that statistically speaking only 1/10.000 experiments will lead to identical IC50's in brain vs. non brain human tumor samples.
In summary, the mean IC50s of PB0412-3 for the different groups of cells lines tested is of 2,08 μΜ for the non tumoral cell lines, 1,22 μΜ for the human solid tumor cell lines, 400 nM for the human glial (GBM) and neural crest derived tumor cells. Such deltas are statistically significant. Moreover 33% of human solid tumor cell lines tested appear to be resistant to PB0412-3 exposure; in contrast 9% of Glial and Neural Crest derive malignancies shown to be resistant to PB0412-3.
6.9. Conclusions based on the evidence from the Biological Profile ofPB0412-3.
The results have shown the identification of a new chemical entity (PB0412-3) using a targeted oriented design and that this chemical entity is active at nanomolar concentrations in a well characterized panel of human cancer cell lines, said cytotoxicity being independent from the EGFR, KRAS and p53 mutational status, as well as from HER amplification status, PIK3A mutations or MGMT methylation status. Most interestingly, PB0412-3 is highly potent in human glioblastoma multiforme, neuroblastoma and malignant melanoma (p<0.0001vs. other solid tumors). GBM is an AEG- 1 functionality dependent on AEG-1 tumor, AEG-1 is a major oncogenic driver in a neuroblastoma, which is representative of neural crest-derived tumors.
In all GBM human tumors tested PB0412-3, IC50s are below 500 nM including two human GBM tumors bearing PB0412-3 IC50's of 60 nM. The 2 human neuroblastoma tumors tested harbour PB0412-3 IC50's of 80 nM and 130 nM respectively.
PB0412-3 bears a positive therapeutic index with a mean IC50's in 4 non-tumoral human samples 2.08 μΜ.
The high sensitivity of human GBM to PB0412-3 provides with a rational foundation to develop PB0412-3 as a promising therapy for these patients in an FDA EMA validated biopolymer of local delivery. EXAMPLE 7
Effect of PB0412-3 in the levels of AEG-1
The levels of AEG-1 mRNA in PC9 cells after continued exposure to PB0412-3 are shown in Table 3.
Figure imgf000068_0001
for two independent experiments. Post CT: Post-treatment.
It can be seen that the treatment of PC9 cells with PB0412-3 results in a decrease in the levels of AEG-1, thereby reinforcing the idea that PB0412-3 as an AEG-1- disrupting agent.
All documents mentioned herein are hereby incorporated in their entirety by reference.

Claims

1. A compound having the general formula:
Figure imgf000069_0001
wherein
each Ri is independently selected from the group consisting of hydrogen, a d- C6 alkyl group, a C2-C6 alkenyl group, a halogen atom, a hydroxyl group, an alkoxy group, an aryloxy group, a substituted or unsubstituted amido group, a substituted or unsubstituted carboxyl group, a phosphate group, a sulfonate group and a nitro group,
m is an integer ranging from 1 to 5,
each R2 is independently selected from the group consisting of hydrogen, a substituted or unsubstituted carboxyl group, a hydroxyl group, an alkoxy group and an aryloxy group,
n is an integer ranging from 0 to 10,
X is an oxygen atom or a nitrogen atom substituted with hydrogen or with a Ci- C6 alkyl group,
each Y is independently a halogen atom,
o is an integer ranging from 1 to 3,
R3 is selected from the group consisting of hydrogen and a substituted or unsubstituted Ci-C6 alkyl group,
either R4 is hydrogen and R5 is a group having the structure:
Figure imgf000070_0001
wherein
each Re is independently selected from the group consisting of hydrogen, a d- C6 alkyl group, a cycloalkyl group, a C2-C6 alkenyl group, a halogen atom, a hydroxyl group, an alkoxy group, an aryloxy group, a substituted or unsubstituted amido group, a substituted or unsubstituted carboxyl group, a phosphate group, a sulfonate group and a nitro group
R7 and Rs are independently selected from hydrogen or a Ci-C6 alkyl group, each R9 or Ri1 is independently selected from the group consisting of hydrogen, a Ci-C6 alkyl group, a cycloalkyl group, a C2-C6 alkenyl group, a halogen atom, a hydroxyl group, an alkoxy group, an aryloxy group, a substituted or unsubstituted amido group, a substituted or unsubstituted carboxyl group, a phosphate group, a sulfonate group and a nitro group,
Rio is selected from hydrogen or a Ci-C6 alkyl group,
p is an integer ranging from 1 to 5,
q is an integer ranging from 1 to 4,
r is an integer ranging from 1 to 3,
s is an integer ranging from 1 to 10, or R4 and R5 form together with the nitrogen atom to which they are bond a five membered ring having the structure
Figure imgf000071_0001
wherein each R14 is independently selected from the group consisting of hydrogen, a Ci-C6 alkyl group, a cycloalkyl group, a C2-C6 alkenyl group, a halogen atom, a hydroxyl group, an alkoxy group, an aryloxy group, an aryl group, a substituted or unsubstituted amido group, a substituted or unsubstituted carboxyl group, a phosphate group, a sulfonate group and a nitro group, s is an integer ranging from 1 to 4,
R12 and Ri3 are independently selected from the group consisting of hydrogen and a substituted or unsubstituted Ci-C6 alkyl group, a cycloalkyl group, an aryl group, a heteroaryl group or a C2-C6 alkenyl group
or a pharmaceutically acceptable salt, cis-trans isomer or solvate thereof.
2. The compound according to claim 1 having the general formula
Figure imgf000071_0002
wherein Y, o, R3, R4 and R5 have the meanings as defined in claim 1 and A is selected from the group consisting of:
Figure imgf000072_0001
or a pharmaceutically acceptable salt, isomer or solvate thereof.
3. The compound according to claims 1 or 2 having the general formula
Figure imgf000073_0001
Figure imgf000073_0002
Figure imgf000074_0001
Figure imgf000075_0001
and
Figure imgf000075_0002
or a pharmaceutically acceptable salt, isomer or solvate thereof.
4. The compound according to claim 1 having the structure
Figure imgf000075_0003
wherein R3, Y and o are as defined in claim 1, wherein A has the structure
Figure imgf000075_0004
and wherein B has the structure
Figure imgf000076_0001
5. The compound according to any of claims 1 to 4 having the formula
Figure imgf000076_0002
armaceutically acceptable salt, isomer or solvate thereof.
6. A pharmaceutical composition comprising a compound according to any of claims 1 to 4 and a pharmaceutically acceptable carrier.
7. The pharmaceutical composition according to claim 6 wherein the composition is a sustained release composition.
8. The pharmaceutical composition according to claim 7 wherein the pharmaceutically acceptable carrier is a bio-erodible polymer and wherein the compound is adsorbed onto the surface of the said bio-erodible polymer.
9. The composition according to claim 8 wherein the bio-erodible polymer comprises anhydride bonds between its monomers.
10. The composition according to claim 9 wherein the polymer is poly [bis(p- carboxyphenoxy) propane anhydride] or a co-polymer thereof with sebacic acid.
11. The composition according to claim 10 wherein polymer has the following structure:
Figure imgf000077_0001
wherein the m:n ratio is from 100: 1 to 1 : 100.
12. The composition according to claim 11 wherein the m to n ratio is 2:8.
13. A compound according any of claims 1 to 5 or a composition according to any of claims 6 to 12 for use in medicine.
14. A compound according any of claims 1 to 5 or a composition according to any of claims 6 to 13 for use in the prevention or treatment of a proliferative disorder.
15. The compound or composition for use according to claim 14 wherein the proliferative disorder is cancer.
16. The compound or composition for use according to claim 15 wherein the tumor is a solid tumor.
17. The compound or composition for use according to claim 15 wherein the solid tumor is selected from the group consisting of a lung cancer, breast cancer, ovarian cancer, pancreatic cancer, liver cancer, head and neck cancer, prostate cancer, tongue cancer, colorectal cancer, esophageal cancer, renal cancer, endometrial cancer, melanoma, gall bladder cancer, sarcoma, bone cancer, bladder cancer, gastric cancer, ovarian cancer, cervical cancer, brain cancer, a glial-derived tumor or a neural crest-derived tumor.
18. The compound for use according to claim 17 wherein the lung cancer is adenocarcinoma, large cell carcinoma or squamous cell carcinoma, the breast cancer is adenocarcinoma, the pancreas cancer is adenocarcinoma, the colorectal cancer is adenocarcinoma, the prostate cancer is an adenocarcinoma, the gall bladder cancer is an adenocarcinoma, the sarcoma is a soft tissue sarcoma or bone sarcoma, the bladder cancer is an adenocarcinoma, the gastric cancer adenocarcinoma, the esophageal cancer is a esophagealtumor and/or the brain cancer is an astrocytoma, a medulloblastoma or a ependymoma.
19. The compound for use according to claim 17wherein the glial-derived tumor is glioblastoma.
20. The compound for use according to claim 17 wherein the neural crest-derived tumor is neuroblastoma, melanoma, feochromocytoma, paraganglioma, Ewing's sarcoma, small cell prostate cancer, a tumor of the Ewing's sarcoma family of tumors (EFST) or a carcinoid.
21. The composition for use according to any of claims 16 to 20 wherein if the composition is a sustained-release composition, then the composition is administered to the surgical site of the tumor after resection of the tumor.
22. A method for the production of a compound according to claim 1 comprising contacting a compound having the general formula
Figure imgf000078_0001
Figure imgf000078_0002
wherein Rl s R2, R3, R4, R5, X, Y, ni, n and o are as defined in claim 1
under conditions adequate for the Knoevenagel condensation between the thiazolidindione in the compound having the formula (II) and the aldehyde group in the compound of formula (III).
23. The method according to claim 22 wherein the compound of formula (II) has the following structure
Figure imgf000079_0001
and/or the compound of formula (III) has the following structure
Figure imgf000079_0002
24. A method for the production of a compound having the general formula (II) comprising reacting a compound having the general structure
Figure imgf000079_0003
with a compound having the structure
Figure imgf000079_0004
wherein Rl s R2, m and n are as defined in claim 1 and Q is a reactive group which leads to a linking group X as defined in claim 1 after reacting with the carboxyl group in the compound of formula (V),
under conditions adequate for reacting the carboxyl group in compound (V) with the X group in the compound of formula (IV).
25. The method according to claim 24 wherein X is a nitrogen atom and the reaction is an amidation reaction.
26. The method according to claim 24 wherein the compound of formula (IV) has the following structure
Figure imgf000080_0001
27. A method for producing a compound having the general formula (III) comprising reacting a compound having the general formula
Figure imgf000080_0002
wherein R3, Y, o, R4 and R5 are as defined in claim 1 and wherein P is a reactive group under conditions adequate for reacting the reactive group in the compound of formula (VII) with the hydroxyl group in the compound of formula (VI).
28. The method according to claim 27 wherein the reactive group P is an halogen and wherein the reaction between the reactive group in the compound of formula (VII) and the hydroxyl group in the compound of formula (VI) is a Williamson reaction.
29. The method according to claim 28 wherein the compound of formula (VI) has the following structure
Figure imgf000081_0001
and/or the compound of formula (VII) has the following structure
Figure imgf000081_0002
30. A method for producing a compound according to claim 1 comprising
(i) reacting a compound having the general formula (IV) a compound having the general formula (V) under conditions adequate for obtaining a compound of general formula (II),
(ii) reacting a compound having the general formula (VI) a compound having the general formula (VII) under conditions adequate for obtaining a compound of general formula (III) and
(iii) reacting the compound having the general structure (II) obtained in step (i) with the compound having the general structure (III) obtained in step (ii) to obtain a compound according to claim 1.
31. A method for the production of a compound according to claim 1 comprising contacting a compound having the general formula
Figure imgf000082_0001
with a compound having the general structure
HN (ιχ)
\
R5
wherein Rl s R2, R3, R4, R5, ni, n, o, X and Y are as defined in claim 1,
under conditions adequate for the reaction between the carboxyl group in the compound of formula (VIII) and the amine group in the compound of formula (IX).
32. The method according to claim 28 wherein the compound of general formula (VIII) has the structure
Figure imgf000082_0002
and/or the compound of general formula (IX) has the structure
Figure imgf000083_0001
33. A method for the production of a compound according to claim 1 comprising contacting a com ound having the general formula
Figure imgf000083_0002
with a compound having the general formula
Figure imgf000083_0003
wherein Rl s R2, R3, R4, R5, X, Y, ni, n and o are as defined in claim 1
wherein P is a reactive group
under conditions adequate for the reaction between the reactive group in the compound of formula (XI) and the hydroxyl group in the in the compound of formula (X).
34. The method according to claim 33 wherein the reactive group P is an halogen and wherein the reaction between the reactive group in the compound of formula (XI) and the hydroxyl group in the compound of formula (X) is a Williamson reaction.
35. The method according to claim 34 wherein the compound of formula (X) has the structure
Figure imgf000084_0001
and/or wherein the compound of formula (XI) has the following structure
Figure imgf000084_0002
36. A method for the production of a compound having the general formula (X) comprising reactin a compound having the general structure
with a compo
Figure imgf000084_0003
wherein Rl s R2, R3, X, Y, m and n are as defined in claim 1
under conditions adequate for Knoevenagel condensation between the thiazolidindione in the compound having the formula (XII) and the aldehyde group in the compound of formula (XIII).
37. The method according to claim 36 wherein the compound of formula (XII) has the following structure
Figure imgf000085_0001
and/or wherein the compound for formula (XIII) has the following structure
Figure imgf000085_0002
38. A method according for producing a compound having the general formula (XI) comprising reacting a com ound having the general formula
Figure imgf000085_0003
with a compound having the general structure
.R4
HN (IX)
\
R5
wherein R4 and R5 are as defined in claim 1 and wherein P is as defined in claim 25 and wherein the reaction is carried out under conditions adequate for the reaction of the compound of formula (IX) with the carboxyl group in the compound of formula (XIV).
39. The method according to claim 38 wherein the compound of formula (XIV) has the following structure
Figure imgf000086_0001
and/or wherein the compound of formula (IX) has the following structure
Figure imgf000086_0002
40. A method for producing a compound according to claim 1 comprising
(i) reacting a compound having the general formula (XII) a compound having the general formula (XIII) under conditions adequate for obtaining a compound of general formula (X),
(ii) reacting a compound having the general formula (XIV) with a compound having the general formula (IX) under conditions adequate for obtaining a compound of general formula (XI) and
(iii) reacting the compound having the general structure (XII) obtained in step (i) with the compound having the general structure (XI) obtained in step (ii) to obtain a compound according to claim 1.
41. A compound selected from the group consisting of the compounds having the general formula (II), (III), (IV), (VI), (VII), (VIII), (IX), (X), (XI), (XII) and (XIII) wherein Rl s R2, R3, R4, R5, X, Y, ni, n and o are as defined in claim 1.
42. A method for the treatment or prevention of a proliferative disorder in a subject in need thereof, said method comprising administering to said subject a therapeuticallyeffective amount of the a compound according any of claims 1 to 5 or a composition according to any of claims 6 to 13.
43. The method according to 42 wherein the proliferative disorder is cancer.
44. The method according to claim 43 the cancer is a solid tumor.
45. The method according to claim 44 wherein the solid tumor is selected from the group consisting of a lung cancer, breast cancer, ovarian cancer, pancreatic cancer, liver cancer, head and neck cancer, prostate cancer, tongue cancer, colorectal cancer, esophageal cancer, renal cancer, endometrial cancer, melanoma, gall bladder cancer, sarcoma, bone cancer, bladder cancer, gastric cancer, ovarian cancer, cervical cancer, brain cancer, a glial-derived tumor or a neural crest-derived tumor.
46. The method according to claim 45 wherein the lung cancer is adenocarcinoma, large cell carcinoma or squamous cell carcinoma, the breast cancer is adenocarcinoma, the pancreas cancer is adenocarcinoma, the colorectal cancer is adenocarcinoma, the prostate cancer is an adenocarcinoma, the gall bladder cancer is an adenocarcinoma, the sarcoma is a soft tissue sarcoma or bone sarcoma, the bladder cancer is an adenocarcinoma, the gastric cancer adenocarcinoma, the esophageal cancer is a esophageal tumor and/or the brain cancer is an astrocytoma, a medulloblastoma or a ependymoma.
47. The method according to claim 46 wherein the glial-derived tumor is glioblastoma.
48. The method according to claim 47 wherein the neural crest-derived tumor is neuroblastoma, melanoma, feochromocytoma, paraganglioma, Ewing's sarcoma, small cell prostate cancer, a tumor of the Ewing's sarcoma family of tumors (EFST) or a carcinoid.
49. The method according to any of claims 42 to 48 wherein if the composition is a sustained-release composition, then the composition is administered to the surgical site of the tumor after resection of the tumor.
50. A method for inhibiting the interaction between AEG-1 and ΝίκΒ in a subject, said method comprising administering to said subject a therapeutically effective amount of the a compound according any of claims 1 to 5 or a composition according to any of claims 6 to 13.
PCT/EP2014/0621592013-10-252014-06-11Compositions and methods for the treatment of cancerWO2015058868A1 (en)

Applications Claiming Priority (2)

Application NumberPriority DateFiling DateTitle
EP13382427.62013-10-25
EP133824272013-10-25

Publications (1)

Publication NumberPublication Date
WO2015058868A1true WO2015058868A1 (en)2015-04-30

Family

ID=49517467

Family Applications (1)

Application NumberTitlePriority DateFiling Date
PCT/EP2014/062159WO2015058868A1 (en)2013-10-252014-06-11Compositions and methods for the treatment of cancer

Country Status (1)

CountryLink
WO (1)WO2015058868A1 (en)

Cited By (3)

* Cited by examiner, † Cited by third party
Publication numberPriority datePublication dateAssigneeTitle
EP4029859A1 (en)*2014-11-212022-07-20Bsim Therapeutics, S.A.2-oxothiazolidin-4-one derivatives active as transthyretin ligands and uses thereof
CN115536653A (en)*2022-09-302022-12-30五邑大学 A kind of chromone thiazole diketone compound and its preparation method, pharmaceutical composition and application
US11999708B1 (en)2024-02-282024-06-04King Faisal UniversityThiazole tethered organoselenides as 5-lipoxygenase inhibitors

Citations (12)

* Cited by examiner, † Cited by third party
Publication numberPriority datePublication dateAssigneeTitle
US4526938A (en)1982-04-221985-07-02Imperial Chemical Industries PlcContinuous release formulations
US4757128A (en)1986-08-011988-07-12Massachusetts Institute Of TechnologyHigh molecular weight polyanhydride and preparation thereof
WO1991005548A1 (en)1989-10-101991-05-02Pitman-Moore, Inc.Sustained release composition for macromolecular proteins
US5128326A (en)1984-12-061992-07-07Biomatrix, Inc.Drug delivery systems based on hyaluronans derivatives thereof and their salts and methods of producing same
WO1996020698A2 (en)1995-01-051996-07-11The Board Of Regents Acting For And On Behalf Of The University Of MichiganSurface-modified nanoparticles and method of making and using same
US5679377A (en)1989-11-061997-10-21Alkermes Controlled Therapeutics, Inc.Protein microspheres and methods of using them
WO1999015154A1 (en)1997-09-241999-04-01Alkermes Controlled Therapeutics, Inc.Methods for fabricating polymer-based controlled release preparations
WO1999020253A1 (en)1997-10-231999-04-29Bioglan Therapeutics AbEncapsulation method
US5912015A (en)1992-03-121999-06-15Alkermes Controlled Therapeutics, Inc.Modulated release from biocompatible polymers
US5916597A (en)1995-08-311999-06-29Alkermes Controlled Therapeutics, Inc.Composition and method using solid-phase particles for sustained in vivo release of a biologically active agent
US7318931B2 (en)2001-06-212008-01-15Genentech, Inc.Sustained release formulation
US20090163545A1 (en)*2007-12-212009-06-25University Of RochesterMethod For Altering The Lifespan Of Eukaryotic Organisms

Patent Citations (13)

* Cited by examiner, † Cited by third party
Publication numberPriority datePublication dateAssigneeTitle
US4526938A (en)1982-04-221985-07-02Imperial Chemical Industries PlcContinuous release formulations
US5128326A (en)1984-12-061992-07-07Biomatrix, Inc.Drug delivery systems based on hyaluronans derivatives thereof and their salts and methods of producing same
US4757128A (en)1986-08-011988-07-12Massachusetts Institute Of TechnologyHigh molecular weight polyanhydride and preparation thereof
WO1991005548A1 (en)1989-10-101991-05-02Pitman-Moore, Inc.Sustained release composition for macromolecular proteins
US5679377A (en)1989-11-061997-10-21Alkermes Controlled Therapeutics, Inc.Protein microspheres and methods of using them
US5912015A (en)1992-03-121999-06-15Alkermes Controlled Therapeutics, Inc.Modulated release from biocompatible polymers
WO1996020698A2 (en)1995-01-051996-07-11The Board Of Regents Acting For And On Behalf Of The University Of MichiganSurface-modified nanoparticles and method of making and using same
US5916597A (en)1995-08-311999-06-29Alkermes Controlled Therapeutics, Inc.Composition and method using solid-phase particles for sustained in vivo release of a biologically active agent
WO1999015154A1 (en)1997-09-241999-04-01Alkermes Controlled Therapeutics, Inc.Methods for fabricating polymer-based controlled release preparations
US5989463A (en)1997-09-241999-11-23Alkermes Controlled Therapeutics, Inc.Methods for fabricating polymer-based controlled release devices
WO1999020253A1 (en)1997-10-231999-04-29Bioglan Therapeutics AbEncapsulation method
US7318931B2 (en)2001-06-212008-01-15Genentech, Inc.Sustained release formulation
US20090163545A1 (en)*2007-12-212009-06-25University Of RochesterMethod For Altering The Lifespan Of Eukaryotic Organisms

Non-Patent Citations (29)

* Cited by examiner, † Cited by third party
Title
"Advances in Cancer Research", August 2013, ACADEMIC PRESS, article "AEG-1/MTDH/Lyric implicated in Multiple Human Cancers"
"Controlled Drug Bioavailability, Drug Product Design and Performance", 1984, WILEY
"Medical Applications of Controlled Release", 1974, CRC PRES.
BAKER ET AL.: "Controlled Release of Biological Active Agents", 1986, JOHN WILEY AND SONS
CANCER RES, vol. 68, 2008, pages 1478
CLEEK ET AL.: "Biodegradable Polymeric Carriers for a bFGF Antibody for Cardiovascular Application", PRO. INT'L.SYMP.CONTROL. REL. BIOACT. MATER., vol. 24, 1997, pages 853 - 854
DATABASE REGISTRY [online] CHEMICAL ABSTRACTS SERVICE, COLUMBUS, OHIO, US; 3 March 2003 (2003-03-03), XP002724414, Database accession no. 496768-41-3*
DATABASE REGISTRY [online] CHEMICAL ABSTRACTS SERVICE, COLUMBUS, OHIO, US; 3 March 2003 (2003-03-03), XP002724415, Database accession no. 496768-27-5*
DATABASE REGISTRY [online] CHEMICAL ABSTRACTS SERVICE, COLUMBUS, OHIO, US; 6 October 2004 (2004-10-06), XP002724413, Database accession no. 757224-15-0*
DRUG DISCOV. TODAY, vol. 15, 2010, pages 23
DURING ET AL., ANN. NEUROL., vol. 25, 1989, pages 351
EMDAD ET AL., MOL. CANCER THER., vol. 9, 2010, pages 79 - 88
GOODSON, MEDICAL APPLICATIONS OF CONTROLLED RELEASE, vol. 2, 1984, pages 115 - 138
HOWARD ET AL., J. NEUROSURG., vol. 7 1, 1989, pages 105
KUMAR, UDAY CHANDRA ET AL: "Discovery of novel InhA reductase inhibitors: application of pharmacophore- and shape-based screening approach", FUTURE MEDICINAL CHEMISTRY , 5(3), 249-259 CODEN: FMCUA7; ISSN: 1756-8919, 1 March 2013 (2013-03-01), XP009177727, DOI: 10.4155/FMC.12.211*
L. CHAS. RAIFORD ET AL: "THE CHLORINE DERIVATIVES OF VANILLIN AND SOME OF THEIR REACTIONS", JOURNAL OF THE AMERICAN CHEMICAL SOCIETY, vol. 52, no. 11, 1 November 1930 (1930-11-01), pages 4576 - 4586, XP055115224, ISSN: 0002-7863, DOI: 10.1021/ja01374a061*
LAM ET AL.: "Microencapsulation of Recombinant Humanized Monoclonal Antibody for Local Delivery", PROC. INT'L. SYMP. CONTROL REL. BIOACT. MATER., vol. 24, 1997, pages 759 - 760
LANGER, SCIENCE, vol. 249, 1990, pages 1527 - 1533
LEVY ET AL., SCIENCE, vol. 228, 1985, pages 190
LIU ET AL., J. EXP. CLIN. CANCER RES., vol. 28, 2009, pages 19
NING ET AL.: "Intratumoral Radioimmunotheraphy of a Human Colon Cancer Xenograft Using a Sustained-Release Gel", RADIOTHERAPY AND ONCOLOGY, vol. 39, 1996, pages 179 - 189
PRASHANTHA KUMAR B R ET AL: "Novel glitazones: glucose uptake and cytotoxic activities, and structureâ activity relationships", MEDICINAL CHEMISTRY RESEARCH, BIRKHÄUSER-VERLAG, BO, vol. 21, no. 9, 21 September 2011 (2011-09-21), pages 2689 - 2701, XP035092206, ISSN: 1554-8120, DOI: 10.1007/S00044-011-9792-0*
PRASHANTHA KUMAR B R ET AL: "Synthesis, glucose uptake activity and structureactivity relationships of some novel glitazones incorporated with glycine, aromatic and alicyclic amine moieties via two carbon acyl linker", EUROPEAN JOURNAL OF MEDICINAL CHEMISTRY, EDITIONS SCIENTIFIQUE ELSEVIER, PARIS, FR, vol. 46, no. 3, 15 December 2010 (2010-12-15), pages 835 - 844, XP028142248, ISSN: 0223-5234, [retrieved on 20101223], DOI: 10.1016/J.EJMECH.2010.12.019*
RANGER; PEPPAS, J., MACROMOL. SCI. REV. MACROMOL. CHEM., vol. 23, 1983, pages 61
S. H. DANDEGAONKER ET AL: "Chlor-hydroxychalkone", MONATSHEFTE FÜR CHEMIE - CHEMICAL MONTHLY, vol. 96, no. 4, 1 January 1965 (1965-01-01), pages 1214 - 1223, XP055115213, ISSN: 0026-9247, DOI: 10.1007/BF00904270*
SARKAR ET AL., CANCER RES., vol. 68, 2008, pages 1478 - 1484
SONG ET AL.: "Antibody Mediated Lung Targeting of Long-Circulating Emulsions", PDA JOURNAL OF PHARMACEUTICAL SCIENCE AND TECHNOLOGY, vol. 50, 1995, pages 372 - 397
YOO ET AL., PHARMACOL. THER., vol. 130, 2011, pages 1 - 8
ZHANG ET AL., ZHONGHUA ZHONG LIU ZA ZHI., vol. 35, 2013, pages 22 - 7

Cited By (4)

* Cited by examiner, † Cited by third party
Publication numberPriority datePublication dateAssigneeTitle
EP4029859A1 (en)*2014-11-212022-07-20Bsim Therapeutics, S.A.2-oxothiazolidin-4-one derivatives active as transthyretin ligands and uses thereof
CN115536653A (en)*2022-09-302022-12-30五邑大学 A kind of chromone thiazole diketone compound and its preparation method, pharmaceutical composition and application
CN115536653B (en)*2022-09-302024-08-13五邑大学Chromone thiazole diketone compound and preparation method, pharmaceutical composition and application thereof
US11999708B1 (en)2024-02-282024-06-04King Faisal UniversityThiazole tethered organoselenides as 5-lipoxygenase inhibitors

Similar Documents

PublicationPublication DateTitle
Gajbhiye et al.The treatment of Glioblastoma Xenografts by surfactant conjugated dendritic nanoconjugates
TWI598341B (en)Bendamustine derivatives and methods of using same
CN103917227A (en)Compositions and methods for the treatment of cancer
Zolotarskaya et al.Click synthesis of a polyamidoamine dendrimer-based camptothecin prodrug
CN101679021A (en)Particulate drug delivery
AU2006230159A1 (en)Pharmacokinetically improved compounds
AU2010222848A1 (en)Rho kinase inhibitors
CN110049783A (en)HSP90- targets conjugate and its preparation
Yang et al.Novel benzo five-membered heterocycle derivatives as P-glycoprotein inhibitors: design, synthesis, molecular docking, and anti-multidrug resistance activity
WO2015058868A1 (en)Compositions and methods for the treatment of cancer
Xu et al.Synthesis, cytotoxicity, and mechanistic investigation of platinum (IV) anticancer complexes conjugated with poly (ADP-ribose) polymerase inhibitors
Banerjee et al.X-ray crystallography-guided design, antitumor efficacy, and QSAR analysis of metabolically stable cyclopenta-pyrimidinyl dihydroquinoxalinone as a potent tubulin polymerization inhibitor
US12258303B2 (en)Metal salts and uses thereof
CN112770755A (en)Compositions, syntheses, preparations and uses of analogs derived from position 7 and 9 of platform drug FL118 for treating human diseases
Pochampally et al.Design, synthesis, and biological evaluation of pyrimidine dihydroquinoxalinone derivatives as tubulin colchicine site-binding agents that displayed potent anticancer activity both in vitro and in vivo
Haider et al.Biological activity in vitro, absorption, BBB penetration, and tolerability of nanoformulation of BT44: RET agonist with disease-modifying potential for the treatment of neurodegeneration
Mukherjee et al.Design and synthesis of a dual imageable theranostic platinum prodrug for efficient cancer therapy
TW201305130A (en)Mutant androgen receptor antagonists
CA3073228A1 (en)Azole analogues and methods of use thereof
WO2022042583A1 (en)Drug-loaded macromolecule and preparation method therefor
Tala et al.Design and synthesis of potent antitumor water-soluble phenyl N-mustard-benzenealkylamide conjugates via a bioisostere approach
EP4495121A1 (en)Camptothecin derivatives that bind to ddx5 protein and prodrugs thereof
JP6580030B2 (en) Polymer compound in which camptothecin derivative and HSP90 inhibitor are combined and use thereof
JP2023552368A (en) Y-box binding protein 1 inhibitor
CN111511364A (en)Targeted therapeutic agents

Legal Events

DateCodeTitleDescription
121Ep: the epo has been informed by wipo that ep was designated in this application

Ref document number:14729352

Country of ref document:EP

Kind code of ref document:A1

NENPNon-entry into the national phase

Ref country code:DE

122Ep: pct application non-entry in european phase

Ref document number:14729352

Country of ref document:EP

Kind code of ref document:A1


[8]ページ先頭

©2009-2025 Movatter.jp