Movatterモバイル変換


[0]ホーム

URL:


WO2015047174A1 - Method and system for managing obstacles for vehicle platoons - Google Patents

Method and system for managing obstacles for vehicle platoons
Download PDF

Info

Publication number
WO2015047174A1
WO2015047174A1PCT/SE2014/051111SE2014051111WWO2015047174A1WO 2015047174 A1WO2015047174 A1WO 2015047174A1SE 2014051111 WSE2014051111 WSE 2014051111WWO 2015047174 A1WO2015047174 A1WO 2015047174A1
Authority
WO
WIPO (PCT)
Prior art keywords
vehicle
driving
platoon
vehicle platoon
vehicles
Prior art date
Application number
PCT/SE2014/051111
Other languages
French (fr)
Inventor
Jonas Mårtensson
Karl Henrik JOHANSSON
Assad ALAM
Kou-Yun LIANG
Henrik Pettersson
Original Assignee
Scania Cv Ab
Priority date (The priority date is an assumption and is not a legal conclusion. Google has not performed a legal analysis and makes no representation as to the accuracy of the date listed.)
Filing date
Publication date
Application filed by Scania Cv AbfiledCriticalScania Cv Ab
Priority to DE112014004023.1TpriorityCriticalpatent/DE112014004023T5/en
Publication of WO2015047174A1publicationCriticalpatent/WO2015047174A1/en

Links

Classifications

Definitions

Landscapes

Abstract

A system (4) to control a vehicle platoon that comprises at least one lead vehicle and one additional vehicle, each of which has a positioning unit (1 ), a unit (2) for wireless communication, and a detector unit (3). The system (4) comprises an analysis unit (7) that is configured to receive a driving profile for at least one vehicle fk in the vehicle platoon along a road horizon for the road ahead of the vehicle, whereby the driving profile contains target values bi, and associated positions pi, for the vehicle fk along the road horizon, and to determine a position- based driving strategy for the vehicles in the vehicle platoon, based on at least the driving profile for the vehicle fk, after which the vehicles in the vehicle platoon are controlled according to the position-based driving strategy. The analysis unit is further adapted to receive a detector signal from the detector unit (3) and to identify an obstacle in or in association with the vehicle platoon based on the detector signal, which obstacle prevents the vehicle platoon being driven according to the said driving strategy, and to adapt the said driving strategy taking the obstacle into consideration by carrying out at least one change to the driving strategy.

Description

METHOD AND SYSTEM FOR MANAGING OBSTACLES FOR VEHICLE PLATOONS
Technical area
The present invention relates to a system and a method to control a vehicle platoon. The vehicle platoon comprises at least one lead vehicle and one
additional vehicle, each of which has a positioning unit, a unit for wireless
communication, and a detector unit.
Background to the invention
The intensity of traffic is high on major roads in Europe, and it is expected to increase. The increased transport of people and goods not only gives rise to traffic problems in the form of traffic queues, it also requires ever-increasing amounts of energy, which eventually gives rise to the emission of, for example, greenhouse gases. One possible contribution to solving these problems is to allow vehicles to be driven closer together in what are known as "vehicle platoons". The term
"vehicle platoon" is here used to denote a number of vehicles with short distances between them, being driven as a single unit. The short distances lead to it being possible for more traffic to use the road, and the energy consumption for an individual vehicle will be reduced since the drag is reduced. The vehicles in the vehicle platoon are driven with at least one of an automated control of the speed of the vehicle and an automated control of its direction. This leads to vehicle drivers such as truck drivers being subject to a reduced load, accidents based on erroneous human decisions being reduced, and the possibility of reducing fuel consumption. Studies show that the fuel consumption of the leading vehicle in the vehicle platoon can be reduced by 2 to 10%, and that of the following vehicle by 15 to 20%, from the fuel consumption of a vehicle driving alone. This is the case in conditions in which the distance between the vehicles is 8-16 metres and the speed at which they travel is 80 km/h. The reduced fuel consumption gives a corresponding reduction in the emission of CO2.
Drivers are already using this well-known fact, which has a reduced traffic safety as a consequence. One fundamental question related to vehicle platoons is how the time gap between vehicles can be reduced from the recommended 3 seconds to a value between 0.5 and 1 second, without affecting traffic safety. With distance sensors and cameras, the reaction time of the driver can be eliminated. This is a type of technology that is already being used today by systems such as ACC (adaptive cruise control) and LKA (lane-keeping assistance). One limitation, however, is that distance sensors and cameras require a clear view of the target, and this makes it difficult to detect events that lie more than a pair of vehicles ahead in the queue. A further limitation is that the cruise-control system cannot act proactively, i.e., the cruise-control system cannot react to events that occur further in advance in the traffic that are going to affect the traffic rhythm.
One possibility to enable vehicles to act proactively is to arrange that the vehicles communicate in order to be able to exchange information between them. One development of the IEEE-standard 802.1 1 for WLAN (wireless local area networks) known as "802.1 1 p" makes possible the wireless transfer of information between vehicles, and between vehicles and infrastructure. Different types of information, such as vehicle parameters and strategies, can be transmitted to and from the vehicles. The development of communication technology, thus, has made it possible to design vehicles and infrastructure that can interact and act proactively. Vehicles can act as a unit and thus a shorter distance between them, and better global traffic flow, are made possible.
Many vehicles today are equipped also with a cruise-control system in order to make it easier for the driver to drive the vehicle. The desired speed can in this case be set by the driver by, for example, a regulator in the dashboard, and a cruise-control system in the vehicle subsequently influences a control system such that it accelerates and brakes the vehicle as appropriate, in order to maintain the desired speed. If the vehicle is equipped with an automatic gear-change system, the gear in which the vehicle is being driven is changed, such that the vehicle can maintain the desired speed.
When the cruise-control system is used in hilly terrain, the cruise-control system will attempt to maintain the preset speed along uphill sections. This sometimes has the consequence that the vehicle accelerates over the top of the hill and possibly into a subsequent downhill section such that it subsequently must be braked in order not to exceed the preset speed, and this constitutes a manner of driving a vehicle that is wasteful of fuel. Furthermore, the engine power of the vehicle and its mass, naturally, both influence the possibility of driving the vehicle in a fuel-efficient manner. A low-power engine and a vehicle of large mass, for example, affect the possibility of maintaining the preset speed along an uphill stretch. By varying the speed of the vehicle in hilly terrain, fuel can be saved, compared with the fuel consumption of a vehicle with a conventional cruise- control system. If the topology that lies ahead is made known through the vehicle having map data and positioning equipment, such systems can be made more robust, and they can change the speed of the vehicle before events have occurred. This is achieved with what is known as "look-ahead cruise control", abbreviated as "LAC".
The situation, however, becomes more complex when a fuel-optimal driving strategy is to be drawn up for a complete vehicle platoon. Additional aspects must be considered, such as retention of the optimal distance, physically possible speed profiles for all vehicles with different masses and engine capacities. One additional aspect for a vehicle platoon during travel through varying topography is that the leading vehicle, when it has lost speed in an uphill section, resumes its preset speed after the hill. The following vehicles, which then are still present in the uphill section, will be forced to accelerate while travelling uphill, which is not fuel-efficient. Nor is it always possible, which means that gaps will be created in the vehicle platoon, which gaps must, in turn, be closed. This creates oscillations in the vehicle platoon. A similar behaviour is observed also in downhill sections, when the leading vehicle starts to accelerate in the downhill section due to its large mass. The following vehicles are in this case compelled to accelerate before they reach the downhill section, since they attempt to maintain constant the distance to vehicles in front. After the downhill section, the leading vehicle starts to decelerate in order to return to the preset speed. The following vehicles, which then are still present in the downhill section, will be compelled to brake in order to avoid causing a collision, which braking is not fuel-efficient.
A similar problem arises when driving around bends. In the case of an individual vehicle, it is possible to calculate the maximum speed that the vehicle should have in the bend, based on such factors as driver comfort, centre of gravity, risk of tipping, degree of curvature, etc., through the use of a predictive cruise-control system. It is, however, not obvious how a vehicle platoon should take the bend. In the case in which the leading vehicle needs to decelerate from its preset speed in order to be able to take the bend, it will return to its preset speed after the bend. The following vehicles, which then are still present in the bend, will be compelled to accelerate in the bend, which may not be possible without exposing the vehicles to risks, such as the risk of leaving the carriageway.
It is known, for example through the predictive cruise-control system LAC described above, to increase the speed just before an uphill section or to reduce the speed just before a downhill section in order to better exploit the force of gravity, which gives a lower fuel consumption for a vehicle. It is, in contrast, not known how the speed of a vehicle platoon is to be increased or decreased before hills, i.e. to create fuel-optimal driving strategies known as "cooperative driving strategies". In order for driving strategies, such as to increase the speed before an uphill section, to work, it is required that there is not to be any traffic in front that prevents this. If a vehicle that is travelling more slowly is located just in front of a vehicle or a vehicle platoon, the vehicle platoon will not be able to increase the speed before the hill. This will be a problem also if an unknown or unauthorised vehicle enters the vehicle platoon. An unknown vehicle may be, for example, a car that prevents the lead vehicle from increasing its speed before a hill.
The following patent documents show various methods and systems in correlation with vehicle platoons.
US-6356820 reveals a control arrangement for the division of a vehicle platoon into several vehicle platoons when vehicles are to travel to different destinations. US-2013/079953 describes how a new vehicle platoon is formed when the number of vehicles in a first vehicle platoon exceeds a certain number.
US-6437688 reveals a method for the management of a situation in which an obstacle is detected between two vehicles in a vehicle platoon.
US-2012/0123658 reveals a system to improve the traffic flow and to manage vehicles that do not belong to the vehicle platoon.
The object of the present invention is to provide an improved system and a method that concerns the management of situations that arise when obstacles, such as an unknown vehicle, enter into the vehicle platoon or position themselves in front of the vehicle platoon, and in this way prevent the vehicle platoon progressing as specified by a common driving strategy and in this way risking experiencing a reduced fuel saving, as a consequence of it not being possible to follow a certain driving strategy due to obstacles.
Summary of the invention
The objects stated above are achieved with the invention defined by the independent patent claims. Preferred embodiments are defined by the dependent claims.
The system and the method according to the invention have the object of managing a situation in which an obstacle, such as an unknown vehicle, enters a vehicle platoon and prevents a common driving strategy from being carried out, preferably a common predictive driving strategy. It is primarily intended that the current driving strategy be adapted and the vehicle platoon be maintained intact, i.e. that division of the vehicle platoon is avoided.
This is achieved in the case in which an unknown vehicle enters the vehicle platoon at a freely chosen position, by waiting for a predetermined time before measures are taken. If the unknown vehicle remains in the vehicle platoon, it is preferable that the time gap to the vehicle in the vehicle platoon that is positioned in front is increased. Also the time gap to the vehicle in the vehicle platoon that is positioned behind the unknown vehicle can be increased.
It may be relevant, in particular when approaching a hill, to divide the vehicle platoon and to determine a driving strategy for each part of the vehicle platoon. It can then be checked whether the unknown vehicle has disappeared. If the vehicle has disappeared, the vehicle platoons are joined to become one again. This can take place at a location that is optimal for fuel economy, which may be, for example, before, after or in a hill, depending on how large the distance to the unknown vehicle has become.
According to one example, an unknown vehicle positions itself in front of a heavy vehicle or a vehicle that is being driven according to a position-based driving strategy. The term "position-based driving strategy" is here used to denote the situation in which a vehicle follows a driving profile with target values at different positions along the route. According to the invention, the driving strategy is adapted and acts in a proactive manner by maintaining a distance to the unknown vehicle that has been determined in advance. The vehicle platoon can in this way be subsequently controlled based on a desired predictive driving strategy, with an expected saving in either fuel or time, or savings in both fuel and time.
According to another example, an unknown vehicle enters the vehicle platoon. According to the invention, the driving strategy is first adapted. If the unknown vehicle is still present after a predetermined time, the vehicle platoon is divided into two smaller vehicle platoons and a new driving strategy, to deal with, for example, driving up hills, is subsequently calculated for the individual vehicle platoons. This new driving strategy can reduce the fuel consumption. When the unknown vehicle has moved, the vehicle platoons can, according to the invention, be again reunited to one vehicle platoon and a position-based driving strategy for the united vehicle platoon determined.
The system and method according to the invention make it possible for fuel- efficient driving strategies for one or several vehicles to be used also in mixed traffic, i.e. when disturbances in the form of, for example, cars entering a gap between vehicles in a vehicle platoon occur.
Brief description of the attached drawings
The invention will be described below with reference to the attached drawings, of which:
Figure 1 shows an example of a vehicle platoon that is travelling up a hill.
Figure 2 shows an example of a vehicle platoon that is travelling around a bend.
Figure 3 shows an example of a vehicle in a vehicle platoon.
Figures 4A-4D show different examples of the design of the system.
Figure 5 shows a flow diagram for the method according to one embodiment of the invention.
Detailed description of preferred embodiments of the invention
Definitions
LAC (look-ahead cruise control): a cruise-control system that uses information about the topography of the road ahead, and calculates an optimal driving profile in the form of a speed trajectory for a vehicle. Also known as a "predictive cruise- control system".
LAP (look-ahead cruise control for platoons): a cooperative cruise-control system that uses information about the topography of the road ahead, and calculates an optimal driving trajectory for all vehicles in a vehicle platoon. Also known as a
"predictive cruise-control system for vehicle platoons". The regulatory strategy is determined by, for example, dynamic programming.
vk: the speed of vehicle fk in the vehicle platoon with N vehicles.
dk,k+i - the distance between vehicle fk and the vehicle behind it fk+i in the vehicle platoon. <¾: the gradient at vehicle fk.
V2V-comnnunikation (vehicle-to-vehicle): wireless communication between vehicles, also known as vehicle-to-vehicle communication.
V2l-communication (vehicle-to-infrastructure): wireless communication between vehicles and infrastructure, such as road junctions and computer systems.
The present invention will be described in detail below with reference to the attached drawings. The system and method according to the invention are applied by a predictive cruise-control system for vehicle platoons (LAP) and a number of embodiments of such a cruise-control system will be described with reference to Figures 4A-4D. After this, a description of how such a cruise-control system adapts the driving strategy to manage disturbances in the form of obstacles, such as unknown vehicles, that lead to it not being possible to carry out, for example, increases in speed that the driving strategy has specified.
Figure 1 shows a vehicle platoon with N heavy vehicles fk that is proceeding up a hill with small spaces dk, k+i between the vehicles. The vehicles in the vehicle platoon are driven with at least one of an automated control of the speed and an automated control of its direction. The gradient at vehicle fk when it drives up the hill is shown as <¾. Each vehicle fk is equipped with a receiver and a transmitter for wireless signals, partially shown with an aerial. The vehicles fk in the vehicle platoon can thus communicate with each other through V2V-communication or through other means such as, for example, mobile communication units, through an application in a communication unit, or through a server. They can
communicate also with infrastructure in the form of V2l-communication. The communication can pass, for example, from one vehicle and through a road junction to a second vehicle. The different vehicles fk have different masses mk.
Figure 2 shows a vehicle platoon with N=6 heavy vehicles fk that, similarly to the example shown in Figure 1 , is proceeding with small spaces dk k+i between the vehicles, but which is, instead, proceeding around a bend. Also in this case is each vehicle fk equipped with a receiver and a transmitter 2 (Figure 3) for wireless signals, and can communicate through V2V-communication and V2I- communication. The bend is shown here with a radius of curvature r.
Each of the vehicle platoons has a lead vehicle, i.e. the first vehicle fi . Each vehicle fk in the vehicle platoon has, for example, a unique vehicle identity and a vehicle platoon identity that is common for the complete vehicle platoon, in order to be able to maintain knowledge of which vehicles are members of the vehicle platoon. Data that are transmitted wirelessly between the vehicles in the vehicle platoon can be tagged with these identities such that the vehicle of origin of the data that are received can be determined.
Figure 3 shows an example of a vehicle fk in the vehicle platoon and illustrates how it may be equipped. The vehicle fk is equipped with a positioning unit 1 that can determine the position of the vehicle fk. The positioning unit 1 may be, for example, configured to receive signals from a global positioning system such as GNSS (Global Navigation Satellite System), for example GPS (Global Positioning System), GLONASS, Galileo or Compass. Alternatively, the positioning unit 1 may be configured to receive signals from, for example, one or several detectors in the vehicle that measure relative distances to, for example, a road junction, vehicles in the surroundings, or similar entities, with known positions. Based on the relative distances, the positioning unit 1 can subsequently determine the position of the vehicle fk. A detector may be configured also to detect a signature in, for example, a road junction, whereby the signature represents a certain position. The positioning unit 1 may in this case be configured to determine its position through detection of the signature. The positioning unit 1 may instead be configured to determine the signal strength of one or several signals from a base station or road junction with known position, and in this way to determine the position of the vehicle fk by triangulation. The position of the vehicle fk can in this way be determined. Of course, the technologies described above may be combined in order to determine the position of vehicle fk. The positioning unit 1 is configured to generate a positioning signal that contains the position of vehicle fk, and to transmit this signal to one or several units in the vehicle fk. The vehicle fk is, as has been mentioned above, equipped also with a unit 2 for wireless
communication. The unit 2 is configured to function as receiver and transmitter of wireless signals. The unit 2 can receive at least one of wireless signals from other vehicles and wireless signals from infrastructure around the vehicle fk, and it can transmit at least one of wireless signals to other vehicles and wireless signals to infrastructure around the vehicle fk. The wireless signals can comprise vehicle parameters from other vehicles, for example their mass, torque developed, speed, and also more complex information such as, for example, the currently used driving profile, driving strategy, etc. The wireless signals may contain also information about the surroundings, such as the gradient a of the road, the radius of curvature r, etc. The vehicle fk may be equipped also with one or several detectors 3 in order to detect the surroundings, for example a radar unit, a laser unit, a gradient gauge, etc. These detectors are generally labelled in Figure 3 as a detector unit 3, but they may be constituted by several different detectors located at different locations in the vehicle. The detector unit 3 is configured to determine a parameter, such as a relative distance, speed, gradient, lateral acceleration, rotation, etc., and to generate a detector signal that contains the parameter. The detector unit 3 is further configured to transmit through the unit 2 the detector signal to one or several units in the vehicle fk. The vehicle may be equipped also with a map unit that can provide map information about the road ahead. The map unit may, for example, be a part of the positioning unit 1 . The driver may, for example, specify a final position and the map unit can then, given that it has knowledge of the current position of the vehicle, provide relevant map data about the road ahead between the current position and the final destination.
The vehicle fk communicates internally between its various units through, for example, a bus, such as a CAN bus (controller area network), which uses a message-based protocol. Examples of other communication protocols that can be used are TTP (time-triggered protocol), Flexray, etc. Signals and data as described above can in this way be exchanged between various units in the vehicle fk. Signals and data can instead be transferred in a wireless manner, for example, between the various units.
There is also a system 4, fully or partially in the vehicle fk, that will be described below with reference to Figures 4A-4D, which show various examples of the system 4. The dashed lines in the drawings indicate that this is a case of the wireless transfer of data. The system 4 is generally for the purpose of controlling the vehicle platoon, and to establish a common driving strategy for the complete vehicle platoon, based on information about the road ahead. The system 4 thus implements a type of cooperative cruise-control system, an LAP, for the vehicle platoon. The system 4 is useful for the vehicle platoon in particular when it is driving in a hill or around a bend, or in a hill and around a bend. By establishing a common driving profile that applies to the complete vehicle platoon, a well organised vehicle platoon is achieved in which consideration is taken of what is best for the complete vehicle platoon when driving in a hill and in a bend, or when driving in a hill or in a bend.
The system 4 comprises an analysis unit 7 that is configured to receive a driving profile for at least one vehicle fk in the vehicle platoon along a road horizon for the road ahead of the vehicle, whereby the driving profile contains target values b, for the vehicle fk at positions p, along the road horizon. This driving profile may have been determined by, for example, an existing cruise-control system, such as an LAC or other form of predictive cruise-control system, and passed to the analysis unit 7. The target values b, may be, for example, target speeds v,, target accelerations a,, or target separation distances d,. The analysis unit 7 is further configured to determine a position-based driving strategy for the vehicles in the vehicle platoon, based on at least the driving profile for the vehicle fk. The vehicles in the vehicle platoon are subsequently controlled according to the driving strategy. According to one embodiment, the analysis unit 7 is configured to generate a driving strategy signal that indicates the position-based driving strategy, and to transmit the driving strategy signal through the unit 2 to all vehicles in the vehicle platoon, after which the vehicles in the vehicle platoon are controlled according to the driving strategy. According to another embodiment, the vehicles in the vehicle platoon are controlled according to the driving strategy as this is determined, which will be explained in more detail below.
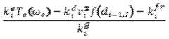
Thus, a driving profile for an individual vehicle fk can be achieved through the use of a previously determined driving profile designed by a predictive cruise-control system located in the vehicle or other external unit. Predictive cruise control is a predictive control plan that has knowledge about some of the disturbances, in this case the topography of the road, that lie ahead. Optimisation, through, for example, dynamic programming, is carried out with respect to a criterion that involves a predicted behaviour of the system in the future. An optimal solution is here sought for the problem along a limited road horizon, which is obtained by truncating the horizon of the complete driving session. The road horizon is typically of length 2 km. The objective of the optimisation is to minimise the energy and the time required for the driving session, while the speed of the vehicle is held within a predetermined interval. The optimisation can be carried out using, for example, MPC (model predictive control) or an LQR (linear quadratic regulator) with respect to minimising fuel consumption and time in a cost function/ , based on a non-linear dynamics model and fuel consumption model for the vehicle fk, limitations on the input control signals, and limitations on the maximum absolute deviation, for example 5 km/h, from the speed limit for the road. One example of how such an optimisation can be carried out is described in "Look-ahead control of heavy vehicles", E. Hellstrom, Linkoping University, 2010. A vehicle model that describes the principal forces that influence a vehicle in motion are described in that publication, according to:
v2 - crmgcma - mgsina
Figure imgf000013_0001
wherea describes the gradient of the road, ¾ andc are characteristic coefficients, § describes the force of gravity, ps. is the air density, ? is the wheel radius, andlf , ,nr are constants specific for the transmission and gearing.
The accelerating mass of the vehicleBi (m>^ ^ *·J Ί r " ) depends on the gross mass ^ , wheel inertia engine inertia L , the gear ratio and efficiency of the gearbox ^ ¾ and the final gear ratio and efficiencylf' .
The predictive cruise-control system LAC increases the speed of the vehicle in advance when approaching a steep uphill section, and thus the vehicle at least partially obtains a higher mean speed when the vehicle travels along the steep uphill section. In the same manner, the speed is reduced before the vehicle enters a steep downhill section. The speed of the vehicle can be allowed to fall to a minimum in an uphill section and to regain the lost speed until after the vehicle has passed the top, i.e. now on a flat road. If the uphill section is followed by a downhill section, the speed can be maintained at a lower level in the uphill section in order to avoid having to brake in the downhill section as the speed of the vehicle becomes too high, and instead to exploit the potential energy that the vehicle obtains from its weight in the downhill section. Both time and fuel can be saved.
A low gradient of the roadβ can be described according to:
£¾ < . < 8a (2) where .: = .- 0
(3)
Figure imgf000014_0001
(4)
is the steepest gradient at which the speed can be maintained in an uphill section with maximum engine torque, and ¾ is the steepest gradient in which a heavy vehicle can maintain a constant speed through coasting, without requiring to brake. Steep hills are defined as segments of road with a gradient outside of the interval in (2). According to one embodiment, the system 4 comprises at least one horizon unit 5 and one driving profile unit 6. The horizon unit 5 is configured to determine a road horizon for at least one vehicle fk in the vehicle platoon with the aid of positional data and map data for a road ahead, which road horizon contains one or several properties of the road ahead. The road horizon can be divided into several road segments. One property may be, for example, that a road segment in the horizon is classified as a steep uphill or downhill section with a gradient outside of the interval in (2). The driving profile unit 6 is configured to determine a driving profile for at least one vehicle fk in the vehicle platoon based on properties of the road horizon, whereby the driving profile contains one or several target values b, and the associated positions p, for the vehicle fk along the road horizon. The target values b, may be, for example, target speeds v,, target accelerations a,, or target separation distances d,. Thus the system 4 may be configured to determine independently one or several driving profiles for the vehicles in the vehicle platoon, by, for example, the driving profile unit 6 determining an optimal driving speed profile in the same manner as the LAC described above.
The function of the system 4 may be configured to come into operation when the road demonstrates special properties, such as, for example, a steep gradient or a small radius of curvature (a tight bend). These properties are reflected in the driving profile that is drawn up through the target values b, that have been generated, and also as properties in the road horizon. The vehicles in the vehicle platoon normally obey a road speed limit, also known as a "preset speed" vset, which is the highest speed that the speed limit for the road allows. It may be appropriate on hills, in bends, etc. to change the speed in order to achieve improved fuel economy or to improve or maintain safety. It may be appropriate in a bend to reduce the speed, if the radius of curvature is small . An equation that expresses the maximum vehicle speed that can be used, based on the mass of the vehicle and the radius of curvature of the bend, can be used to calculate the maximum speed of the vehicle in the bend. The LAC calculates optimal target values b, at positions p,, for example target speeds v,, and these target speeds v, can differ from the preset speed vset in order to achieve economic or safe driving, or economic and safe driving. The analysis unit 7 is configured according to one embodiment to compare the target speeds v, with a preset speed vset and to determine a difference Δν between v, and vset. The analysis unit 7 is further configured to compare Δν with a threshold value, and to initiate determination of the position-based driving strategy should Δν exceed the threshold value. The vehicle platoon can in this way be controlled according to the common driving strategy in selected situations or along special road segments, while in other cases the vehicles in the vehicle platoon can be controlled based on their customary driving profiles. Similar comparisons can be made with respect to, for example, the target values for acceleration a,. When the vehicle platoon in its entirety has left the bend or has reached the top or bottom of the hill, all the vehicles in the vehicle platoon can return to their customary driving profiles.
Figure 4A shows an example of the system 4, where the system 4 is located in the vehicle fk, for example, the lead vehicle fi . The system 4 can in this case be a part of a control unit in the vehicle fi . The system 4 is shown here to comprise a horizon unit 5 and a driving profile unit 6 that provide a driving profile for the vehicle fi to the analysis unit 7. Map data and positional are then transmitted through, for example, the internal network in the vehicle fi to the horizon unit 5. Alternatively, an existing LAC in the vehicle fi can provide a driving profile for the vehicle fi to the analysis unit 7. The system 4 can be located instead in an external unit such as, for example, a road junction or a computer system. In this case, positional data, etc. can be transmitted by V2I to the external unit.
According to the example that is schematically illustrated in Figure 4A, the analysis unit 7 determines the driving strategy that it is the driving profile for the vehicle fi that is the selected driving profile for the complete vehicle platoon. The driving strategy is passed to the vehicles in the vehicle platoon through a wireless signal . The driving strategy comprises, for example, a message that means that all the vehicles in the vehicle platoon except the lead vehicle are to measure how the vehicle in front of them in the vehicle platoon behaves, and to adapt their own speed accordingly, in order to maintain the distance d,, j between the vehicles. The vehicles can use, for example, radar to determine the speed of the vehicle in front. The vehicles in the vehicle platoon will in this way follow the speed profile of the lead vehicle fi without it being necessary that they are aware of the speed profile themselves.
According to one embodiment, the vehicles in the vehicle platoon are arranged in a certain order, such that the most limited vehicle is located at the front of the vehicle platoon as the lead vehicle fi, and the remaining vehicles are arranged in a descending order such that the least limited vehicle is located at the rear of the vehicle platoon. It is possible in this manner to ensure that all vehicles in the vehicle platoon can follow the driving profile of the lead vehicle. The most limited vehicle is, for example, the vehicle that has the greatest mass or at lowest available engine torque, or a combination of both.
According to one embodiment, the analysis unit 7 is configured to receive a driving profile for each one of several vehicles in the vehicle platoon. The analysis unit 7 is, according to this embodiment, configured to analyse the driving profiles in order to determine one selected driving profile as position-based driving strategy for the vehicles in the vehicle platoon. The selected driving profile can subsequently be passed, for example, to all vehicles in the vehicle platoon, after which each individual vehicle in the vehicle platoon will follow the same selected driving profile at the same positions.
Before the driving profile is passed to the vehicles, the positions p, in the driving profile can be mapped to actual positions along the road ahead, such that the vehicles in vehicle platoons can be controlled, with respect to, for example, their speed, according to target values b, at the same actual positions along the road. This is the case for all embodiments described in this application. Different ways of determining a selected driving profile are available. The selected driving profile can, for example, be determined to be the driving profile that has been determined for the most limited vehicle in the vehicle platoon. Examples of the most limited vehicle have been described above. The most limited vehicle can also be determined to be the vehicle that has the largest required or calculated speed fluctuations in its driving profile in and close to, or in or close to, an approaching hill or curve, or hill and curve. In order to determine which driving profile is thus to become the selected driving profile, the analysis unit 7 is configured to determine a difference Δν for each driving profile that indicates the largest difference between a maximum speed vmax and a minimum speed vmin, to compare the difference Δν for the different driving profiles with each other and to determine a selected driving profile that has the largest difference Δν, based on the comparison. The maximum speed vmax is one of the speed targets v, in the driving profile, and the minimum speed vmin is one of the target speeds v, in the driving profile in and close to, or in or close to, an approaching hill or curve, or hill and curve.
Figure 4B shows an example of the system 4, in which a driving profile is determined for each vehicle, in each vehicle fk. The driving profiles are
subsequently transmitted to the analysis unit 7 in order to determine a position- based driving strategy based on one selected driving profile. The analysis unit 7 is in this case located in an external unit, and the various driving profiles are transmitted to the analysis unit through V2l-communication. After the analysis unit 7 has determined one selected driving profile, the driving strategy is passed to the vehicles in the vehicle platoon through V2l-communication, thus through one or several wireless signals. The driving strategy comprises, for example, a message that means that all the vehicles in the vehicle platoon except the lead vehicle are to measure how the vehicle in front of them in the vehicle platoon behaves, and to adapt their own speed accordingly, in order to maintain the distance d,, j between the vehicles. The vehicles can use, for example, radar to determine the speed of the vehicle in front. The driving strategy comprises also a message to the lead vehicle fi that it is to follow the selected driving profile, and the actual driving profile, in cases in which it is not already the driving profile of the lead vehicle. The vehicles in the vehicle platoon will in this way come to follow the selected speed profile without themselves needing to be aware which of the vehicles' speed profiles they are following. Alternatively, the selected driving profile can be passed to all vehicles in the vehicle platoon, after which each individual vehicle in the vehicle platoon will follow the same selected driving profile.
Figure 4C shows a further example, in which the analysis unit 7 in the system 4 is located in a vehicle, here the lead vehicle fi . As is the case also in the example in Figure 4B, a driving profile is determined for each of the vehicles, in each of the vehicles fk. The driving profiles are transmitted by V2V communication to the analysis unit 7 in order to determine a position-based driving strategy based on one selected driving profile. After the analysis unit 7 has determined one selected driving profile, the driving strategy is passed to the vehicles in the vehicle platoon through V2V-communication, thus through one or several wireless signals, and it is passed as a message or a signal to the vehicle fk in which the analysis unit 7 is located, in this case fi . The driving strategy can in this case be the same as those in the example that is illustrated in Figure 4B. The vehicles in the vehicle platoon subsequently control their speed according to the selected driving profile.
Figure 4D shows an example of how a position-based strategy can be
sequentially determined. Each vehicle fk is here equipped with an analysis unit 7k, or a part of the analysis unit 7. The final vehicle†N determines its driving profile, and transmits it to the analysis unit 7N-i in the vehicle fN-i that lies immediately in front of it. The vehicle fN-i determines its driving profile and the two driving profiles are compared in the analysis unit 7N-i in order to determine which of the driving profiles is the most limited. Thus the analysis unit 7 is here configured to sequentially compare differences Δν. The way in which this may be carried out has previously been described. The most limited driving profile of the two is subsequently transmitted onwards to the next vehicle ΪΝ-2 that lies immediately in front, for continued comparison. After a final comparison in the lead vehicle, a selected driving profile that requires the greatest changes in speed has been determined. The lead vehicle follows this selected driving profile, and the other vehicles in the vehicle platoon follow the speed of the vehicle immediately in front of them in the vehicle platoon without further communication, through, for example, radar detection, as has been previously explained. As an alternative, the other vehicles in the vehicle platoon can be informed of the same selected driving profile, which they subsequently follow.
The analysis unit 7, the driving profile unit 6 and the horizon unit 5 may be constituted by one or several processor units and one or several memory units. A processor unit may be constituted by a CPU (central processing unit). The memory unit may comprise a transient or a non-transient memory or it may comprise a transient and a non-transient memory, such as flash memory or RAM (random access memory). The processor unit may be a part of a computer or a computer system, for example an ECU (electronic control unit), in a vehicle 2.
The invention will be described below with reference principally to Figures 3 and 4A-4D.
The present invention concerns a system 4 to control a vehicle platoon that comprises at least one lead vehicle and one additional vehicle, each of which has a positioning unit 1 , a unit 2 for wireless communication, and a detector unit 3. These units have been discussed in depth above.
The system 4 further comprises an analysis unit 7 that is configured to:
- receive a driving profile for at least one vehicle fk in the vehicle platoon along a road horizon for the road ahead of the vehicle, whereby the driving profile contains target values b, and associated positions p, for the vehicle fk along the road horizon;
- determine a position-based driving strategy for the vehicles in the vehicle platoon based at least on the driving profile for the vehicle fk, after which the vehicles in the vehicle platoon are controlled according to the position-based driving strategy. Various executions of the reception of a driving profile and the determination of a position-based driving strategy for the vehicles in the vehicle platoon have thus been previously described in detail, and the description given above is referred to. The analysis unit is further configured to receive a detector signal from the said detector unit 3. The detector signal contains information that makes it possible to identify an obstacle in or in association with the vehicle platoon. The information concerns, for example, the distance to the obstacle, or the speed or acceleration of the obstacle, relative to at least one vehicle in the vehicle platoon. The analysis unit is configured to determine at least one parameter P, depending on the information about the obstacle.
If the obstacle is constituted by an unknown vehicle in front of the lead vehicle of the vehicle platoon, or in front of another vehicle in the vehicle platoon, P can comprise, for example, the distance to the obstacle and the speed of the obstacle relative to the lead vehicle. Based on the determined driving strategy, the analysis unit determines whether the determined driving strategy can be carried out, for example, whether an increase in speed in preparation for a hill can be carried out, having considered the distance to the obstacle and the speed of the obstacle. If the analysis unit determines that the driving strategy cannot be carried out, i.e. the increase in speed cannot take place due to the obstacle, the driving strategy is adapted by carrying out at least one change of driving strategy.
The change comprises the adaptation of the target values in the driving profile such that one or several vehicles in the vehicle platoon reduce their speed in such a manner that the obstacle that has been identified does not prevent increases in speed in the driving strategy along the road horizon. As has been described above, the target values may comprise at least one of speed targets, acceleration targets and separation targets. Thus, the speed of the vehicle platoon is reduced, for example, well in advance of a hill such that a minimum separation from the obstacle is maintained, which allows the increase in speed that the driving strategy subsequently contains to be carried out. If the change that has been carried out does not have an effect within a
predetermined time related to, for example, the speed, i.e. if the analysis unit determines that the obstacle still prevents the driving strategy from being carried out, a wait of a predetermined time a division of the vehicle platoon is carried out. The predetermined time is of the magnitude up to a second or a few seconds.
Thus, the analysis unit 7 is further configured to determine whether the obstacle prevents the adapted driving strategy from being followed despite the change that has been made. If this is the case, the steps of dividing the vehicle platoon into separate vehicle platoons are carried out. This is principally relevant if an obstacle, such as an unknown vehicle, has been identified between two vehicles in the vehicle platoon. The vehicle immediately behind the unknown vehicle will in this case become lead vehicle for the second vehicle platoon. This information is passed to other vehicles in the original vehicle platoon through, for example, V2V or V2I, as described above.
The analysis unit is further configured to determine position-based driving strategies for each of the vehicle platoons based on the driving profile for at least one vehicle in the relevant vehicle platoon, after which the vehicles in the vehicle platoons are controlled according to the position-based driving strategies. For details of the determination of these driving strategies, see the description above.
It is preferable that the vehicle platoon is divided into two separate vehicle platoons. Situations may, however, arise in which it is more beneficial to divide it into more than two separate vehicle platoons, or to dissolve the vehicle platoon. This may, for example, occur if several vehicles in the vehicle platoon identify obstacles at approximately the same time. In such a situation, the measures that have been specified above for each one of the obstacles that have been identified are carried out for each obstacle, and the final result will in this case be that the vehicle platoon is divided into more than two vehicle platoons. The separate vehicle platoons are now driven independently of each other.
After the division of the vehicle platoon, the analysis unit 7 in, for example, the lead vehicle of the second vehicle platoon, is configured to determine whether an obstacle has still been identified in or in association with the vehicle platoon. This takes place in the same manner as described above, through the analysis unit analysing the information in the detector signal.
If no obstacle is identified, the analysis unit is configured to generate instructions, for example, through V2V or V2I, in order to form a unified vehicle platoon and to determine a position-based driving strategy for the unified vehicle platoon.
Figure 5 shows a flow diagram for a method to control the vehicle platoon that has been described above. The method may be implemented as program code in a computer program Prog. The computer program is shown in Figures 4A-4D as a part in the analysis unit 7, and thus the computer program Prog is stored at a memory unit that may be a part of the analysis unit 7. The program code can cause the system 4 to carry out any one of the steps according to the method when it is run on a processor unit in the system 4. The method will now be explained with reference to the flow diagram in Figure 5.
The method comprises to receive a driving profile for at least one vehicle fk in the vehicle platoon along a road horizon for the road ahead of the vehicle, whereby the driving profile contains target values b, and associated positions p, for the vehicle fk along the road horizon (A1 ). The target values b, may be, for example, target speeds v,, target accelerations a,, or target separation distances d,.
According to one embodiment the method comprises to provide a driving profile for each one of several vehicles in the vehicle platoon. A driving profile can be obtained by, for example, determining a road horizon for at least one vehicle fk in the vehicle platoon with the aid of positional data and map data for a road ahead, which road horizon contains one or several properties of the road ahead, and by determining a driving profile for at least one vehicle fk in the vehicle platoon based on properties of the horizon, whereby the driving profile contains target values b. and the associated positions p, for the vehicle fk along the road horizon. The method comprises also the determination of a position-based driving strategy for the vehicles in the vehicle platoon, based on at least the driving profile for the vehicle fk (A2). The vehicles in the vehicle platoon are subsequently controlled according to the position-based driving strategy (A3). According to one
embodiment, the step (A3) comprises the passing of the position-based driving strategy to all vehicles in the vehicle platoon, after which the vehicles in the vehicle platoon are controlled according to the position-based driving strategy. The method comprises further the reception of a detector signal from the said detector unit and identifying an obstacle in or in association with the vehicle platoon based on the detector signal, which obstacle prevents the vehicle platoon being driven according to the said driving strategy. If an obstacle is identified, the driving strategy is adapted taking the obstacle into consideration through carrying out at least one change to the driving strategy (A4).
If the obstacle persists, the vehicle platoon is divided into separate vehicle platoons (A5) and position-based driving strategies are determined for each vehicle platoon based on the driving profile of at least one vehicle in the relevant vehicle platoon, after which the vehicles in the vehicle platoons are controlled according to the position-based driving strategies. It is preferable that the vehicle platoon is divided into two separate vehicle platoons. Situations may, however, arise in which it is more beneficial to divide it into more than two separate vehicle platoons, or to dissolve the vehicle platoon. This may, for example, occur if several vehicles in the vehicle platoon identify obstacles at approximately the same time. In such a situation, the measures that have been specified above for each one of the obstacles that have been identified are carried out for each obstacle, and the final result will in this case be that the vehicle platoon is divided into more than two vehicle platoons.
After the division, the steps are carried out to determine when an obstacle can still be identified in or in association with the vehicle platoon. If no obstacle is identified, one unified vehicle platoon is formed and a position- based driving strategy is determined for the unified vehicle platoon (A6).
Other embodiments that also can be applied as method have been described in association with the description of the system. The invention includes also a computer program product comprising the program code Prog stored on a medium that can be read by a computer in order to carry out the method steps described above. The computer program product may be, for example, a CD disk. The present invention is not limited to the embodiments described above. Various alternatives, modifications and equivalents can be used. For this reason, the embodiments named above do not limit the scope of the invention, which is defined by the attached patent claims.

Claims

Claims
1 . A system (4) to control a vehicle platoon that comprises at least one lead vehicle and one additional vehicle, each of which has a positioning unit (1 ), a unit (2) for wireless communication, and a detector unit (3), whereby the system (4) comprises an analysis unit (7) that is configured to:
- receive a driving profile for at least one vehicle fk in the vehicle platoon along a road horizon for the road ahead of the vehicle, whereby the driving profile contains target values b, and associated positions p, for the vehicle fk along the road horizon;
- determine a position-based driving strategy for the vehicles in the vehicle platoon based at least on the driving profile for the vehicle fk, after which the vehicles in the vehicle platoon are controlled according to the position-based driving strategy;
- receive a detector signal from the said detector unit (3);
- identify an obstacle in or in association with the vehicle platoon based on the detector signal, which obstacle prevents the vehicle platoon being driven according to the said driving strategy;
- adapt the said driving strategy with consideration of the obstacle through adapting the said target values such that one or several vehicles in the vehicle platoon reduce their speed in such a manner that the said obstacle does not prevent speed increases in the driving strategy along the road horizon, and to wait for a predetermined time.
2. The system according to claim 1 , wherein the analysis unit (7) is configured to determine at least one parameter P relative to an obstacle that has been identified, wherein the said parameter is related to the distance to the obstacle, or to the speed or acceleration of the obstacle, relative to at least one of the vehicles in the vehicle platoon.
3. The system according to any one of claims 1 -2, wherein the analysis unit (7) is further configured to: - determine whether the obstacle prevents the adapted driving strategy from being followed despite the change that has been made, and, if this is the case, the following steps are carried out:
- divide the vehicle platoon into separate vehicle platoons,
- determine position-based driving strategies for each vehicle platoon based on the driving profile of at least one vehicle in each vehicle platoon, after which the vehicles in the vehicle platoons are controlled according to the position-based driving strategies.
4. The system according to claim 3, wherein after division of the vehicle platoon the analysis unit (7) is configured to:
- determine whether an obstacle has been identified in or in association with the vehicle platoons, and if no obstacle has been identified:
- form a unified vehicle platoon and determine a position-based driving strategy for the unified vehicle platoon.
5. The system according to any one of the preceding claims, wherein the analysis unit (7) is configured to:
- generate a driving strategy signal that indicates the position-based driving strategy, and
- transmit the driving strategy signal to all vehicles in the vehicle platoon, after which the vehicles in the vehicle platoon are controlled according to the position-based driving strategy.
6. The system (4) according to any one of the preceding claims, wherein the analysis unit (7) is configured to receive a driving profile for each one of several vehicles in the vehicle platoon.
7. The system (4) according to claim 6, wherein the analysis unit (7) is configured to analyse the said driving profiles in order to determine one selected driving profile as position-based driving strategy for the vehicles in the vehicle platoon.
8. The system (4) according to claim 7, wherein the target values b, are target speeds v,, and the analysis unit (7) is configured to:
- determine a difference Δν for each driving profile that indicates the largest difference between a maximum speed vmax and a minimum speed vmin;
- compare the differences Δν for the various driving profiles with each other;
- determine a selected driving profile that has the largest difference Δν based on the comparison.
9. The system (4) according to claim 8, wherein the analysis unit (7) is configured to compare the differences Δν sequentially.
10. The system (4) according to claim 8 or 9, wherein the analysis unit (7) is configured to:
- compare the target speeds v, with a preset speed vset and to determine a difference Δν between v, and vset;
- compare Δν with a threshold value, and to initiate determination of the position-based driving strategy should Δν exceed the threshold value.
1 1 . The system (4) according to any one of the preceding claims, comprising:
- a horizon unit (5), configured to determine a road horizon for at least one vehicle fk in the vehicle platoon with the aid of positional data and map data for a road ahead, which road horizon contains one or several properties of the road ahead;
- a driving profile unit (6), configured to determine a driving profile for at least one vehicle fk in the vehicle platoon, based on properties of the road horizon, whereby the driving profile contains target values b, and associated positions p, for the vehicle fk along the road horizon.
12. A method to control a vehicle platoon that comprises at least one lead vehicle and one additional vehicle, each of which has a positioning unit (1 ), a unit (2) for wireless communication, and a detector unit (3), wherein the method comprises to:
- provide a driving profile for at least one vehicle fk in the vehicle platoon along a road horizon for the road ahead of the vehicle, whereby the driving profile contains target values b, and associated positions p, for the vehicle fk along the road horizon;
- determine a position-based driving strategy for the vehicles in the vehicle platoon based at least on the driving profile for the vehicle fk, after which the vehicles in the vehicle platoon are controlled according to the position-based driving strategy;
- receive a detector signal from the said detector unit (3);
- identify an obstacle in or in association with the vehicle platoon based on the detector signal, which obstacle prevents the vehicle platoon being driven according to the said driving strategy;
- adapt the said driving strategy with consideration of the obstacle through adapting the said target values such that one or several vehicles in the vehicle platoon reduce their speed in such a manner that the said obstacle does not prevent speed increases in the driving strategy along the road horizon, and to wait for a predetermined time.
13. The method according to claim 12, wherein the method comprises to determine a parameter P relative to an obstacle that has been identified, whereby the said parameter is related to the distance to the obstacle, or to the speed or acceleration of the obstacle, relative to at least one vehicle in the vehicle platoon.
14. The method according to any one of claims 12-13, wherein the method further comprises to:
- determine whether the obstacle prevents the adapted driving strategy from being followed despite the change that has been made, and, if this is the case, the following steps are carried out: - divide the vehicle platoon into separate vehicle platoons,
- deternnine position-based driving strategies for each vehicle platoon based on the driving profile of at least one vehicle in each vehicle platoon, after which the vehicles in the vehicle platoons are controlled according to the position-based driving strategies.
15. The method according to claim 14, wherein after division the following steps are carried out:
- determine whether an obstacle has been identified in or in association with the vehicle platoons, and if no obstacle has been identified:
- form a unified vehicle platoon and determine a position-based driving strategy for the unified vehicle platoon.
16. A computer program (Prog) of a system (4), where the said computer program (Prog) comprises program code in order to cause the system (4) to carry out any one of the steps according to claims 12 to 15.
17. A computer program product comprising a program code stored on a medium that can be read by a computer in order to carry out the method steps according to any one of claims 12 to 15.
PCT/SE2014/0511112013-09-302014-09-26Method and system for managing obstacles for vehicle platoonsWO2015047174A1 (en)

Priority Applications (1)

Application NumberPriority DateFiling DateTitle
DE112014004023.1TDE112014004023T5 (en)2013-09-302014-09-26 Method and system for making obstacles to vehicle trains

Applications Claiming Priority (2)

Application NumberPriority DateFiling DateTitle
SE1351125-82013-09-30
SE1351125ASE537603C2 (en)2013-09-302013-09-30 Method and system for handling obstacles for vehicle trains

Publications (1)

Publication NumberPublication Date
WO2015047174A1true WO2015047174A1 (en)2015-04-02

Family

ID=52744107

Family Applications (1)

Application NumberTitlePriority DateFiling Date
PCT/SE2014/051111WO2015047174A1 (en)2013-09-302014-09-26Method and system for managing obstacles for vehicle platoons

Country Status (3)

CountryLink
DE (1)DE112014004023T5 (en)
SE (1)SE537603C2 (en)
WO (1)WO2015047174A1 (en)

Cited By (37)

* Cited by examiner, † Cited by third party
Publication numberPriority datePublication dateAssigneeTitle
EP3091520A1 (en)*2015-05-072016-11-09Continental Automotive GmbHDevice and method for controlling automatic driving in convoy
WO2017035516A1 (en)*2015-08-262017-03-02Peloton Technology, Inc.Devices systems and methods for vehicle monitoring and platooning
WO2017108154A1 (en)*2015-12-232017-06-29Daimler AgMethod for moving, in particular controlling or regulating, a line of vehicles
EP3340207A1 (en)*2016-12-202018-06-27Honeywell International Inc.System and method for virtual flight interval management
US10042365B2 (en)2011-07-062018-08-07Peloton Technology, Inc.Methods and systems for semi-autonomous vehicular convoys
US10073464B2 (en)2016-12-302018-09-11Bendix Commercial Vehicle Systems LlcVarying the distance between vehicles in a platoon
US10078338B2 (en)2015-08-262018-09-18Peloton Technology, Inc.Devices, systems, and methods for remote authorization of autonomous vehicle operation
DE112017000910T5 (en)2016-03-222018-10-31Scania Cv Ab Method and system for controlling a platooning operation when a vehicle is to leave the column
US10152064B2 (en)2016-08-222018-12-11Peloton Technology, Inc.Applications for using mass estimations for vehicles
WO2018208372A3 (en)*2017-05-082019-02-07Peloton Technology, Inc.System and method for implementing pre-cognition braking and/or avoiding or mitigation risks among platooning vehicles
GB2566523A (en)*2017-09-182019-03-20Jaguar Land Rover LtdSystem and method for vehicle convoys
US10254764B2 (en)2016-05-312019-04-09Peloton Technology, Inc.Platoon controller state machine
WO2019089749A1 (en)*2017-10-312019-05-09Cummins Inc.Control of vehicle platoon systems in response to traffic and route conditions
US10369998B2 (en)2016-08-222019-08-06Peloton Technology, Inc.Dynamic gap control for automated driving
GB2570898A (en)*2018-02-082019-08-14Jaguar Land Rover LtdA controller and a method for managing vehicles
US10481614B2 (en)2011-07-062019-11-19Peloton Technology, Inc.Vehicle platooning systems and methods
US10482767B2 (en)2016-12-302019-11-19Bendix Commercial Vehicle Systems LlcDetection of extra-platoon vehicle intermediate or adjacent to platoon member vehicles
US10514706B2 (en)2011-07-062019-12-24Peloton Technology, Inc.Gap measurement for vehicle convoying
US10520581B2 (en)2011-07-062019-12-31Peloton Technology, Inc.Sensor fusion for autonomous or partially autonomous vehicle control
US10520952B1 (en)2011-07-062019-12-31Peloton Technology, Inc.Devices, systems, and methods for transmitting vehicle data
SE541873C2 (en)*2016-12-192020-01-02Scania Cv AbMethod and system for controlling a ploughing operation of a platoon of plough vehicles for clearing a snow covered area
EP3614357A1 (en)*2018-08-232020-02-26Volkswagen AGVehicles, network component, apparatuses, methods and computer programs for a vehicle, for a platooning vehicle, and for a network component
EP3614353A1 (en)2018-08-232020-02-26Volkswagen AktiengesellschaftApparatuses, methods and computer programs for a leading vehicle of a group of vehicles and for a vehicle
US10593211B2 (en)2017-11-132020-03-17Hyundai Motor CompanyApparatus and method for controlling platooning of vehicles
US10757485B2 (en)2017-08-252020-08-25Honda Motor Co., Ltd.System and method for synchronized vehicle sensor data acquisition processing using vehicular communication
US10762791B2 (en)2018-10-292020-09-01Peloton Technology, Inc.Systems and methods for managing communications between vehicles
EP3618023A4 (en)*2017-05-152020-09-30Huawei Technologies Co., Ltd.Fleet control method, device, and internet of vehicles system
US10899323B2 (en)2018-07-082021-01-26Peloton Technology, Inc.Devices, systems, and methods for vehicle braking
US10921823B2 (en)2017-12-282021-02-16Bendix Commercial Vehicle Systems LlcSensor-based anti-hacking prevention in platooning vehicles
WO2021138793A1 (en)2020-01-072021-07-15Qualcomm IncorporatedIntersection trajectory determination and messaging
US11163317B2 (en)2018-07-312021-11-02Honda Motor Co., Ltd.System and method for shared autonomy through cooperative sensing
US11181929B2 (en)2018-07-312021-11-23Honda Motor Co., Ltd.System and method for shared autonomy through cooperative sensing
US11294396B2 (en)2013-03-152022-04-05Peloton Technology, Inc.System and method for implementing pre-cognition braking and/or avoiding or mitigation risks among platooning vehicles
US11334092B2 (en)2011-07-062022-05-17Peloton Technology, Inc.Devices, systems, and methods for transmitting vehicle data
US11427196B2 (en)2019-04-152022-08-30Peloton Technology, Inc.Systems and methods for managing tractor-trailers
CN115083152A (en)*2022-06-092022-09-20北京主线科技有限公司Vehicle formation sensing system, method, device, equipment and medium
CN116061931A (en)*2021-11-032023-05-05财团法人车辆研究测试中心Queue following decision system and decision method based on cloud computing

Families Citing this family (5)

* Cited by examiner, † Cited by third party
Publication numberPriority datePublication dateAssigneeTitle
EP3791239B1 (en)*2018-05-112022-09-21Volvo Truck CorporationA method for establishing a path for a vehicle
DE102018211236A1 (en)*2018-07-072020-01-09Robert Bosch Gmbh Method for operating an automated vehicle column
DE102018122824A1 (en)2018-09-182020-03-19Wabco Gmbh Method for coordinating a group of vehicles, evaluation unit, vehicle and group of vehicles
DE102018122825A1 (en)2018-09-182020-03-19Wabco Gmbh Method for coordinating a group of vehicles, evaluation unit, vehicle and group of vehicles
CN115662106B (en)*2022-10-252024-09-13吉林大学Vehicle classification method for train running

Citations (8)

* Cited by examiner, † Cited by third party
Publication numberPriority datePublication dateAssigneeTitle
GB2309555A (en)*1996-01-271997-07-30Rover GroupCruise control system
US6356820B1 (en)*1999-05-212002-03-12Honda Giken Kogyo Kabushiki KaishaProcessional travel control apparatus
US6437688B1 (en)*1999-03-162002-08-20Honda Giken Kogyo Kabushiki KaishaObstruction detection method for vehicle
US20080059007A1 (en)*2006-06-092008-03-06Whittaker William LSystem and method for autonomously convoying vehicles
US20090079839A1 (en)*2006-06-192009-03-26Oshkosh CorporationVehicle diagnostics based on information communicated between vehicles
US20100256835A1 (en)*2009-04-062010-10-07Gm Global Technology Operations, Inc.Fail-safe speed profiles for cooperative autonomous vehicles
US20120123658A1 (en)*2009-07-282012-05-17Toyota Jidosha Kabushiki KaishaVehicle control device, vehicle control method, and vehicle control system
US20130079953A1 (en)*2011-09-272013-03-28Denso CorporationConvoy travel apparatus

Patent Citations (8)

* Cited by examiner, † Cited by third party
Publication numberPriority datePublication dateAssigneeTitle
GB2309555A (en)*1996-01-271997-07-30Rover GroupCruise control system
US6437688B1 (en)*1999-03-162002-08-20Honda Giken Kogyo Kabushiki KaishaObstruction detection method for vehicle
US6356820B1 (en)*1999-05-212002-03-12Honda Giken Kogyo Kabushiki KaishaProcessional travel control apparatus
US20080059007A1 (en)*2006-06-092008-03-06Whittaker William LSystem and method for autonomously convoying vehicles
US20090079839A1 (en)*2006-06-192009-03-26Oshkosh CorporationVehicle diagnostics based on information communicated between vehicles
US20100256835A1 (en)*2009-04-062010-10-07Gm Global Technology Operations, Inc.Fail-safe speed profiles for cooperative autonomous vehicles
US20120123658A1 (en)*2009-07-282012-05-17Toyota Jidosha Kabushiki KaishaVehicle control device, vehicle control method, and vehicle control system
US20130079953A1 (en)*2011-09-272013-03-28Denso CorporationConvoy travel apparatus

Cited By (61)

* Cited by examiner, † Cited by third party
Publication numberPriority datePublication dateAssigneeTitle
US10732645B2 (en)2011-07-062020-08-04Peloton Technology, Inc.Methods and systems for semi-autonomous vehicular convoys
US10281927B2 (en)2011-07-062019-05-07Peloton Technology, Inc.Systems and methods for semi-autonomous vehicular convoys
US11334092B2 (en)2011-07-062022-05-17Peloton Technology, Inc.Devices, systems, and methods for transmitting vehicle data
US11360485B2 (en)2011-07-062022-06-14Peloton Technology, Inc.Gap measurement for vehicle convoying
US10042365B2 (en)2011-07-062018-08-07Peloton Technology, Inc.Methods and systems for semi-autonomous vehicular convoys
US10520581B2 (en)2011-07-062019-12-31Peloton Technology, Inc.Sensor fusion for autonomous or partially autonomous vehicle control
US10520952B1 (en)2011-07-062019-12-31Peloton Technology, Inc.Devices, systems, and methods for transmitting vehicle data
US10481614B2 (en)2011-07-062019-11-19Peloton Technology, Inc.Vehicle platooning systems and methods
US10474166B2 (en)2011-07-062019-11-12Peloton Technology, Inc.System and method for implementing pre-cognition braking and/or avoiding or mitigation risks among platooning vehicles
US10162366B2 (en)2011-07-062018-12-25Peloton Technology, Inc.Methods and systems for semi-autonomous vehicular convoys
US10514706B2 (en)2011-07-062019-12-24Peloton Technology, Inc.Gap measurement for vehicle convoying
US10216195B2 (en)2011-07-062019-02-26Peloton Technology, Inc.Applications for using mass estimations for vehicles
US10234871B2 (en)2011-07-062019-03-19Peloton Technology, Inc.Distributed safety monitors for automated vehicles
US11294396B2 (en)2013-03-152022-04-05Peloton Technology, Inc.System and method for implementing pre-cognition braking and/or avoiding or mitigation risks among platooning vehicles
EP3091520A1 (en)*2015-05-072016-11-09Continental Automotive GmbHDevice and method for controlling automatic driving in convoy
US10078338B2 (en)2015-08-262018-09-18Peloton Technology, Inc.Devices, systems, and methods for remote authorization of autonomous vehicle operation
US11100211B2 (en)2015-08-262021-08-24Peloton Technology, Inc.Devices, systems, and methods for remote authorization of vehicle platooning
WO2017035516A1 (en)*2015-08-262017-03-02Peloton Technology, Inc.Devices systems and methods for vehicle monitoring and platooning
US10712748B2 (en)2015-08-262020-07-14Peloton Technology, Inc.Devices, systems, and methods for generating travel forecasts for vehicle pairing
WO2017108154A1 (en)*2015-12-232017-06-29Daimler AgMethod for moving, in particular controlling or regulating, a line of vehicles
DE112017000910B4 (en)2016-03-222024-08-01Scania Cv Ab Method and system for controlling a platooning operation when a vehicle is to leave the convoy
DE112017000910T5 (en)2016-03-222018-10-31Scania Cv Ab Method and system for controlling a platooning operation when a vehicle is to leave the column
US10254764B2 (en)2016-05-312019-04-09Peloton Technology, Inc.Platoon controller state machine
US10369998B2 (en)2016-08-222019-08-06Peloton Technology, Inc.Dynamic gap control for automated driving
US10906544B2 (en)2016-08-222021-02-02Peloton Technology, Inc.Dynamic gap control for automated driving
US10921822B2 (en)2016-08-222021-02-16Peloton Technology, Inc.Automated vehicle control system architecture
US10152064B2 (en)2016-08-222018-12-11Peloton Technology, Inc.Applications for using mass estimations for vehicles
SE541873C2 (en)*2016-12-192020-01-02Scania Cv AbMethod and system for controlling a ploughing operation of a platoon of plough vehicles for clearing a snow covered area
US10497268B2 (en)2016-12-202019-12-03Honeywell International Inc.System and method for virtual flight interval management
EP3340207A1 (en)*2016-12-202018-06-27Honeywell International Inc.System and method for virtual flight interval management
EP3563363B1 (en)*2016-12-302024-07-31Bendix Commercial Vehicle Systems LLCDetection of extra-platoon vehicle intermediate or adjacent to platoon member vehicles
US10482767B2 (en)2016-12-302019-11-19Bendix Commercial Vehicle Systems LlcDetection of extra-platoon vehicle intermediate or adjacent to platoon member vehicles
US10073464B2 (en)2016-12-302018-09-11Bendix Commercial Vehicle Systems LlcVarying the distance between vehicles in a platoon
WO2018208372A3 (en)*2017-05-082019-02-07Peloton Technology, Inc.System and method for implementing pre-cognition braking and/or avoiding or mitigation risks among platooning vehicles
EP3618023A4 (en)*2017-05-152020-09-30Huawei Technologies Co., Ltd.Fleet control method, device, and internet of vehicles system
US11657718B2 (en)2017-05-152023-05-23Huawei Cloud Computing Technologies Co., Ltd.Method for controlling vehicle platoon, device, and internet of vehicles system
US10757485B2 (en)2017-08-252020-08-25Honda Motor Co., Ltd.System and method for synchronized vehicle sensor data acquisition processing using vehicular communication
GB2566523B (en)*2017-09-182020-02-26Jaguar Land Rover LtdSystem and method for vehicle convoys
US11100808B2 (en)2017-09-182021-08-24Jaguar Land Rover LimitedSystem and method for vehicle convoys
GB2566523A (en)*2017-09-182019-03-20Jaguar Land Rover LtdSystem and method for vehicle convoys
WO2019089749A1 (en)*2017-10-312019-05-09Cummins Inc.Control of vehicle platoon systems in response to traffic and route conditions
US10593211B2 (en)2017-11-132020-03-17Hyundai Motor CompanyApparatus and method for controlling platooning of vehicles
US10921823B2 (en)2017-12-282021-02-16Bendix Commercial Vehicle Systems LlcSensor-based anti-hacking prevention in platooning vehicles
GB2570898B (en)*2018-02-082023-04-19Jaguar Land Rover LtdA controller and a method for managing vehicles
GB2570898A (en)*2018-02-082019-08-14Jaguar Land Rover LtdA controller and a method for managing vehicles
US10899323B2 (en)2018-07-082021-01-26Peloton Technology, Inc.Devices, systems, and methods for vehicle braking
US11163317B2 (en)2018-07-312021-11-02Honda Motor Co., Ltd.System and method for shared autonomy through cooperative sensing
US11181929B2 (en)2018-07-312021-11-23Honda Motor Co., Ltd.System and method for shared autonomy through cooperative sensing
US11749118B2 (en)2018-08-232023-09-05Man Truck & Bus SeVehicles, network component, apparatuses, methods and computer programs for a vehicle, for a platooning vehicle, and for a network component
CN112567438A (en)*2018-08-232021-03-26曼卡车和巴士欧洲股份公司Vehicle, network component, and apparatus, method and computer program for a vehicle, a formation vehicle and a network component
WO2020039058A1 (en)*2018-08-232020-02-27Man Truck & Bus SeVehicles, network component, apparatuses, methods and computer programs for a vehicle, for a platooning vehicle, and for a network component
EP3614353A1 (en)2018-08-232020-02-26Volkswagen AktiengesellschaftApparatuses, methods and computer programs for a leading vehicle of a group of vehicles and for a vehicle
EP3614357A1 (en)*2018-08-232020-02-26Volkswagen AGVehicles, network component, apparatuses, methods and computer programs for a vehicle, for a platooning vehicle, and for a network component
US11341856B2 (en)2018-10-292022-05-24Peloton Technology, Inc.Systems and methods for managing communications between vehicles
US10762791B2 (en)2018-10-292020-09-01Peloton Technology, Inc.Systems and methods for managing communications between vehicles
US11427196B2 (en)2019-04-152022-08-30Peloton Technology, Inc.Systems and methods for managing tractor-trailers
WO2021138793A1 (en)2020-01-072021-07-15Qualcomm IncorporatedIntersection trajectory determination and messaging
EP4088493A4 (en)*2020-01-072024-01-17Qualcomm Incorporated DETERMINATION AND ANNOUNCEMENT OF AN INTERSECTION PATH
US11995985B2 (en)2020-01-072024-05-28Qualcomm IncorporatedIntersection trajectory determination and messaging
CN116061931A (en)*2021-11-032023-05-05财团法人车辆研究测试中心Queue following decision system and decision method based on cloud computing
CN115083152A (en)*2022-06-092022-09-20北京主线科技有限公司Vehicle formation sensing system, method, device, equipment and medium

Also Published As

Publication numberPublication date
SE537603C2 (en)2015-07-21
SE1351125A1 (en)2015-03-31
DE112014004023T5 (en)2016-07-21

Similar Documents

PublicationPublication DateTitle
WO2015047174A1 (en)Method and system for managing obstacles for vehicle platoons
WO2015047177A1 (en)Method and system for a common driving strategy for vehicle platoons
EP3053154B1 (en)System and method to control a vehicle platoon with two different driving strategies
WO2015047175A1 (en)Method and system for a common driving strategy for vehicle platoons
EP3053156A1 (en)Method and system for the organisation of vehicle platoons
EP3052355B1 (en)A system and a method for vehicle platoons comprising at least two vehicles.
EP3052356B1 (en)System and method for controlling a vehicle platoon with a common position-based driving strategy
WO2015047179A1 (en)Control unit and method to control a vehicle in a vehicle platoon based on the predicted behaviour of the preceeding vehicle
JP6690056B2 (en) Control system architecture for motor vehicle
US20200201356A1 (en)Systems and methods for managing platooning behavior
US10308248B2 (en)Control apparatus and method for improving fuel efficiency in CACC system
EP3294599B1 (en)Device, system and method for a platooning operation
CN102076542B (en) follow-through control
CN103038802B (en)Vehicle control system
CN108275150B (en) Control device and method for improving fuel efficiency in a CACC system
EP2794379B1 (en)Method and module for controlling a vehicle&#39;s speed based on rules and/or costs
JP5287736B2 (en) Vehicle control device
US20130138320A1 (en)Vehicle control device, vehicle control system and traffic control system
JP5310385B2 (en) Driving support device
KR20140107590A (en)Method and module for determining of at least one reference value
US11396292B2 (en)Devices, systems, and methods for transmitting vehicle data
US10946859B2 (en)Control apparatus and method for improving fuel efficiency in CACC system
US10908607B2 (en)Enhanced traffic jam assist
SE538767C2 (en) Method and control unit for determining a velocity profile for each vehicle comprised in a platoon of grouped vehicles
US12444307B2 (en)Vehicle and controlling method thereof

Legal Events

DateCodeTitleDescription
121Ep: the epo has been informed by wipo that ep was designated in this application

Ref document number:14849344

Country of ref document:EP

Kind code of ref document:A1

REGReference to national code

Ref country code:BR

Ref legal event code:B01A

Ref document number:112016003728

Country of ref document:BR

WWEWipo information: entry into national phase

Ref document number:112014004023

Country of ref document:DE

Ref document number:1120140040231

Country of ref document:DE

122Ep: pct application non-entry in european phase

Ref document number:14849344

Country of ref document:EP

Kind code of ref document:A1

ENPEntry into the national phase

Ref document number:112016003728

Country of ref document:BR

Kind code of ref document:A2

Effective date:20160222


[8]ページ先頭

©2009-2025 Movatter.jp