Movatterモバイル変換


[0]ホーム

URL:


WO2015006201A1 - Light-weight hybrid glass laminates - Google Patents

Light-weight hybrid glass laminates
Download PDF

Info

Publication number
WO2015006201A1
WO2015006201A1PCT/US2014/045554US2014045554WWO2015006201A1WO 2015006201 A1WO2015006201 A1WO 2015006201A1US 2014045554 WUS2014045554 WUS 2014045554WWO 2015006201 A1WO2015006201 A1WO 2015006201A1
Authority
WO
WIPO (PCT)
Prior art keywords
glass
sheet
laminate structure
glass sheet
external
Prior art date
Application number
PCT/US2014/045554
Other languages
French (fr)
Inventor
Thomas Michael Cleary
Timothy Scott Huten
Michael John Moore
Original Assignee
Corning Incorporated
Priority date (The priority date is an assumption and is not a legal conclusion. Google has not performed a legal analysis and makes no representation as to the accuracy of the date listed.)
Filing date
Publication date
Priority claimed from US13/937,707external-prioritypatent/US9616641B2/en
Application filed by Corning IncorporatedfiledCriticalCorning Incorporated
Priority to KR1020167003191ApriorityCriticalpatent/KR20160030253A/en
Priority to JP2016525400Aprioritypatent/JP2016530190A/en
Priority to CN201480039262.7Aprioritypatent/CN105377551B/en
Priority to EP14742702.5Aprioritypatent/EP3046761A1/en
Publication of WO2015006201A1publicationCriticalpatent/WO2015006201A1/en

Links

Classifications

Definitions

Landscapes

Abstract

A glass laminate comprises an external glass sheet, an internal glass sheet, and a polymer interlayer formed between the external glass sheet and the internal glass sheet. The external glass sheet can be a thin chemically-strengthened glass sheet or can be a non-chemically strengthened glass sheet, the polymer interlayer can have a thickness of less than 1.6 mm, and the internal glass sheet can be a non-chemically-strengthened glass sheet or a thin chemically strengthened glass sheet.

Description

LIGHT-WEIGHT HYBRID GLASS LAMINATES
CROSS-REFERENCE TO RELATED APPLICATION
[0001] The present application claims the benefit of priority to U.S. Application No. 13/937707, filed on July 9, 2013 which is a continuation-in-part application of, copending with, and claims the priority benefit of the non-provisional application entitled, "Light- Weight Hybrid Glass Laminates," Application Serial No. 13/247, 182, filed on September 28, 201 1, which claims the benefit of priority under 35 U.S.C. § 119 of U.S. Provisional Application Serial No. 61/500,766 filed on June 24, 201 1, the content of each being relied upon and incorporated herein by reference in their entirety.
BACKGROUND
[0002] The present disclosure relates generally to glass laminates, and more particularly to hybrid glass laminates comprising a chemically-strengthened outer glass pane and a non-chemically-strengthened inner glass pane. Such hybrid laminates may be characterized by low weight, good sound-damping performance, and high impact resistance. In particular, the disclosed hybrid laminates satisfy commercially- applicable impact test criteria for non-windscreen applications.
[0003] Glass laminates can be used as windows and glazings in architectural and transportation applications, including automobiles, rolling stock and airplanes. As used herein, a glazing is a transparent or semi-transparent part of a wall or other structure. Common types of glazings that are used in architectural and automotive applications include clear and tinted glass, including laminated glass. Laminated glazings comprising opposing glass sheets separated by a plasticized poly(vinyl butyral) (PVB) sheet, for example, can be used as windows, windshields, or sunroofs. In certain applications, glass laminates having high mechanical strength and sound- attenuating properties are desirable in order to provide a safe barrier while reducing sound transmission from external sources. [0004] In many vehicular applications, fuel economy is a function of vehicle weight. It is desirable, therefore, to reduce the weight of glazings for such applications without compromising strength and sound- attenuating properties. In this regard, it can be advantageous for a glass laminate to be mechanically robust with respect to external impact events such as attempted forced entry or contact with stones or hail, yet suitably dissipate energy (and fracture) as a result of internal impact events such as contact with an occupant, for example, during a collision. Further, governmental regulations are demanding higher fuel mileage and lower carbon dioxide emissions for road vehicles. Thus, there has been an increased effort to reduce the weight of these vehicles while maintaining current governmental and industry safety standards. Non- glass window materials, such as polycarbonate, have been developed, which reduce vehicle weight but do not offer appropriate resistance to environmental, debris, and other concerns. Embodiments of the present disclosure, however, provide substantial weight reduction, safety compliance, effective durability and reduced laceration potential in the event of a vehicular crash. In view of the foregoing, thin, light weight glazings that possess the durability and sound-damping properties associated with thicker, heavier glazings are desirable.
SUMMARY
[0005] According to one aspect of the disclosure, a glass laminate comprises an external glass sheet, an internal glass sheet, and a polymer interlayer formed between the external and internal glass sheets. In order to optimize the impact behavior of the glass laminate, the external glass sheet comprises chemically-strengthened glass and can have a thickness of less than or equal to 1 mm, while the internal glass sheet comprises non-chemically-strengthened glass and can have a thickness of less than or equal to 2.5 mm. In embodiments, the polymer interlayer (e.g., poly( vinyl butyral) or PVB) can have a thickness of less than or equal to 1.6 mm. The disclosed hybrid glass laminate architecture can advantageously distribute stresses in response to impact. For example, the disclosed glass laminates can provide superior impact resistance and resist breakage in response to external impact events, yet appropriately dissipate energy and appropriately fracture in response to internal impact events.
[0006] One non-limiting embodiment of the present disclosure provides a glass laminate structure having a non-chemically strengthened external glass sheet, a chemically strengthened internal glass sheet, and at least one polymer interlayer intermediate the external and internal glass sheets, where the internal glass sheet has a thickness ranging from about 0.5 mm to about 1.5 mm and where the external glass sheet has a thickness ranging from about 1.5 mm to about 3.0 mm.
[0007] Another non-limiting embodiment of the present disclosure provides a glass laminate structure having a non-chemically strengthened external glass sheet, a chemically strengthened internal glass sheet, and at least one polymer interlayer intermediate the external and internal glass sheets, where the inner glass layer has a surface compressive stress between about 250 MPa and about 900 MPa.
[0008] Additional features and advantages of the claimed subject matter will be set forth in the detailed description which follows, and in part will be readily apparent to those skilled in the art from that description or recognized by practicing the claimed subject matter as described herein, including the detailed description which follows, the claims, as well as the appended drawings.
[0009] It is to be understood that both the foregoing general description and the following detailed description present embodiments of the present disclosure, and are intended to provide an overview or framework for understanding the nature and character of the claimed subject matter. The accompanying drawings are included to provide a further understanding of the present disclosure, and are incorporated into and constitute a part of this specification. The drawings illustrate various
embodiments and together with the description serve to explain the principles and operations of the claimed subject matter.
BRIEF DESCRIPTION OF THE DRAWINGS
[0010] For the purposes of illustration, there are forms shown in the drawings that are presently preferred, it being understood, however, that the embodiments disclosed and discussed herein are not limited to the precise arrangements and instrumentalities shown.
[0011] Fig. 1 is a schematic of an exemplary planar hybrid glass laminate according to some embodiments of the present disclosure.
[0012] Fig. 2 is a schematic of an exemplary bent hybrid glass laminate according to other embodiments of the present disclosure.
[0013] Fig. 3 is a schematic of an exemplary bent hybrid glass laminate according to further embodiments of the present disclosure.
[0014] Fig. 4 is a schematic of an exemplary bent hybrid glass laminate according to additional embodiments of the present disclosure.
DETAILED DESCRIPTION
[0015] In the following description, like reference characters designate like or corresponding parts throughout the several views shown in the figures. It is also understood that, unless otherwise specified, terms such as "top," "bottom," "outward," "inward," and the like are words of convenience and are not to be construed as limiting terms. In addition, whenever a group is described as comprising at least one of a group of elements and combinations thereof, it is understood that the group may comprise, consist essentially of, or consist of any number of those elements recited, either individually or in combination with each other.
[0016] Similarly, whenever a group is described as consisting of at least one of a group of elements or combinations thereof, it is understood that the group may consist of any number of those elements recited, either individually or in combination with each other. Unless otherwise specified, a range of values, when recited, includes both the upper and lower limits of the range. As used herein, the indefinite articles "a," and "an," and the corresponding definite article "the" mean "at least one" or "one or more," unless otherwise specified.
[0017] The following description of the present disclosure is provided as an enabling teaching thereof and its best, currently-known embodiment. Those skilled in the art will recognize that many changes can be made to the embodiment described herein while still obtaining the beneficial results of the present disclosure. It will also be apparent that some of the desired benefits of the present disclosure can be obtained by selecting some of the features of the present disclosure without utilizing other features. Accordingly, those who work in the art will recognize that many modifications and adaptations of the present disclosure are possible and may even be desirable in certain circumstances and are part of the present disclosure. Thus, the following description is provided as illustrative of the principles of the present disclosure and not in limitation thereof.
[0018] Those skilled in the art will appreciate that many modifications to the exemplary embodiments described herein are possible without departing from the spirit and scope of the present disclosure. Thus, the description is not intended and should not be construed to be limited to the examples given but should be granted the full breadth of protection afforded by the appended claims and equivalents thereto. In addition, it is possible to use some of the features of the present disclosure without the corresponding use of other features. Accordingly, the following description of exemplary or illustrative embodiments is provided for the purpose of illustrating the principles of the present disclosure and not in limitation thereof and may include modification thereto and permutations thereof.
[0019] The glass laminates disclosed herein are configured to include an external chemically-strengthened glass sheet and an internal non-chemically-strengthened glass sheet. As defined herein, when the glass laminates are put into use, an external glass sheet will be proximate to or in contact the environment, while an internal glass sheet will be proximate to or in contact with the interior (e.g., cabin) of the structure or vehicle (e.g., automobile) incorporating the glass laminate.
[0020] An exemplary glass laminate is illustrated in Fig. 1. The glass laminate 100 comprises an external glass sheet 1 10, an internal glass sheet 120, and a polymer interlay er 130. The polymer interlay er can be in direct physical contact (e.g., laminated to) each of the respective external and internal glass sheets. The external glass sheet 1 10 has an exterior surface 1 12 and an interior surface 114. In a similar vein, the internal glass sheet 120 has an exterior surface 122 and an interior surface 124. As shown in the illustrated embodiment, the interior surface 114 of external glass sheet 1 10 and the interior surface 124 of internal glass sheet 120 are each in contact with polymer interlayer 130.
[0021] During use, it is desirable that the glass laminates resist fracture in response to external impact events. In response to internal impact events, however, such as the glass laminates being struck by a vehicle's occupant, it is desirable that the glass laminate retain the occupant in the vehicle yet dissipate energy upon impact in order to minimize injury. The ECE R43 headform test, which simulates impact events occurring from inside a vehicle, is a regulatory test that requires that laminated glazings fracture in response to specified internal impact.
[0022] Without wishing to be bound by theory, when one pane of a glass
sheet/polymer interlayer/glass sheet laminate is impacted, the opposite surface of the impacted sheet, as well as the exterior surface of the opposing sheet are placed into tension. Calculated stress distributions for a glass sheet/polymer interlayer/glass sheet laminate under biaxial loading reveal that the magnitude of tensile stress in the opposite surface of the impacted sheet may be comparable to (or even slightly greater than) the magnitude of the tensile stress experienced at the exterior surface of the opposing sheet for low loading rates. However, for high loading rates, which are characteristic of impacts typically experienced in automobiles, the magnitude of the tensile stress at the exterior surface of the opposing sheet may be much greater than the tensile stress at the opposite surface of the impacted sheet. As disclosed herein, by configuring the hybrid glass laminates to have a chemically-strengthened external glass sheet and a non-chemically-strengthened internal glass sheet, the impact resistance for both external and internal impact events can be optimized.
[0023] Suitable internal glass sheets are non-chemically-strengthened glass sheets such as soda-lime glass. Optionally, the internal glass sheets may be heat
strengthened. In embodiments where soda-lime glass is used as the non-chemically- strengthened glass sheet, conventional decorating materials and methods (e.g., glass frit enamels and screen printing) can be used, which can simplify the glass laminate manufacturing process. Tinted soda-lime glass sheets can be incorporated into a hybrid glass laminate in order to achieve desired transmission and/or attenuation across the electromagnetic spectrum.
[0024] Suitable external glass sheets may be chemically strengthened by an ion exchange process. In this process, typically by immersion of the glass sheet into a molten salt bath for a predetermined period of time, ions at or near the surface of the glass sheet are exchanged for larger metal ions from the salt bath. In one embodiment, the temperature of the molten salt bath is about 430°C and the predetermined time period is about eight hours. The incorporation of the larger ions into the glass strengthens the sheet by creating a compressive stress in a near surface region. A corresponding tensile stress is induced within a central region of the glass to balance the compressive stress.
Exemplary ion-exchangeable glasses that are suitable for forming hybrid glass laminates are alkali aluminosilicate glasses or alkali aluminoborosilicate glasses, though other glass compositions are contemplated. As used herein, "ion
exchangeable" means that a glass is capable of exchanging cations located at or near the surface of the glass with cations of the same valence that are either larger or smaller in size. One exemplary glass composition comprises Si02, B203 and Na20, where (Si02 + B203) > 66 mol.%, and Na20 > 9 mol.%. In an embodiment, the glass sheets include at least 6 wt.% aluminum oxide. In a further embodiment, a glass sheet includes one or more alkaline earth oxides, such that a content of alkaline earth oxides is at least 5 wt.%. Suitable glass compositions, in some embodiments, further comprise at least one of K20, MgO, and CaO. In a particular embodiment, the glass can comprise 61-75 mol.% Si02; 7-15 mol.% A1203; 0-12 mol.% B203; 9-21 mol.% Na20; 0-4 mol.% K20; 0-7 mol.% MgO; and 0-3 mol.% CaO.
[0025] A further exemplary glass composition suitable for forming hybrid glass laminates comprises: 60-70 mol.% Si02; 6-14 mol.% A1203; 0-15 mol.% B203; 0-15 mol.% Li20; 0-20 mol.% Na20; 0-10 mol.% K20; 0-8 mol.% MgO; 0-10 mol.% CaO; 0-5 mol.% Zr02; 0-1 mol.% Sn02; 0-1 mol.% Ce02; less than 50 ppm As203; and less than 50 ppm Sb203; where 12 mol.% < (Li20 + Na20 + K20) < 20 mol.% and 0 mol.% < (MgO + CaO) < 10 mol.%. [0026] A still further exemplary glass composition comprises: 63.5-66.5 mol.% Si02; 8-12 mol.% A1203; 0-3 mol.% B203; 0-5 mol.% Li20; 8-18 mol.% Na20; 0-5 mol.% K20; 1-7 mol.% MgO; 0-2.5 mol.% CaO; 0-3 mol.% Zr02; 0.05-0.25 mol.% Sn02; 0.05-0.5 mol.% Ce02; less than 50 ppm As203; and less than 50 ppm Sb203; where 14 mol.% < (Li20 + Na20 + K20) < 18 mol.% and 2 mol.% < (MgO + CaO) < 7 mol.%.
[0027] In a particular embodiment, an alkali aluminosilicate glass comprises alumina, at least one alkali metal and, in some embodiments, greater than 50 mol.% Si02, in other embodiments at least 58 mol.% Si02, and in still other embodiments at least 60 mol.% Si02, wherein the ratio ^2 <¾+ ^2 ^> j^ wnere {n the ratio the
^modifiers
components are expressed in mol.% and the modifiers are alkali metal oxides. This glass, in particular embodiments, comprises, consists essentially of, or consists of: 58- 72 mol.% Si02; 9-17 mol.% A1203; 2-12 mol.% B203; 8-16 mol.% Na20; and 0-4 mol.% K20, wherein the ratio ^2 <¾+ ^2 ^> j^
^modifiers
[0028] In another embodiment, an alkali aluminosilicate glass comprises, consists essentially of, or consists of: 61-75 mol.% Si02; 7-15 mol.% A1203; 0-12 mol.% B203; 9-21 mol.% Na20; 0-4 mol.% K20; 0-7 mol.% MgO; and 0-3 mol.% CaO.
[0029] In yet another embodiment, an alkali aluminosilicate glass substrate comprises, consists essentially of, or consists of: 60-70 mol.% Si02; 6-14 mol.% A1203; 0-15 mol.% B203; 0-15 mol.% Li20; 0-20 mol.% Na20; 0-10 mol.% K20; 0-8 mol.% MgO; 0-10 mol.% CaO; 0-5 mol.% Zr02; 0-1 mol.% Sn02; 0-1 mol.% Ce02; less than 50 ppm As203; and less than 50 ppm Sb203; wherein 12 mol.%≤ Li20 + Na20 + K20≤ 20 mol.% and 0 mol.%≤ MgO + CaO≤ 10 mol.%.
[0030] In still another embodiment, an alkali aluminosilicate glass comprises, consists essentially of, or consists of: 64-68 mol.% Si02; 12-16 mol.% Na20; 8-12 mol.% A1203; 0-3 mol.% B203; 2-5 mol.% K20; 4-6 mol.% MgO; and 0-5 mol.% CaO, wherein: 66 mol.%≤ Si02 + B203 + CaO ≤ 69 mol.%; Na20 + K20 + B203 + MgO + CaO + SrO > 10 mol.%; 5 mol.%≤ MgO + CaO + SrO≤ 8 mol.%; (Na20 + B203) - A1203≤ 2 mol.%; 2 mol.%≤ Na20 - A1203≤ 6 mol.%; and 4 mol.%≤ (Na20 + K20) - A1203≤ 10 mol.%.
[0031] The chemically-strengthened as well as the non-chemically-strengthened glass, in some embodiments, is batched with 0-2 mol.% of at least one fining agent selected from a group that includes Na2S04, NaCl, NaF, NaBr, K2S04, KC1, KF, KBr, and Sn02.
[0032] In one exemplary embodiment, sodium ions in the chemically-strengthened glass can be replaced by potassium ions from the molten bath, though other alkali metal ions having a larger atomic radii, such as rubidium or cesium, can replace smaller alkali metal ions in the glass. According to particular embodiments, smaller alkali metal ions in the glass can be replaced by Ag+ ions. Similarly, other alkali metal salts such as, but not limited to, sulfates, halides, and the like may be used in the ion exchange process.
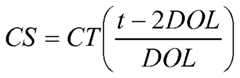
[0033] The replacement of smaller ions by larger ions at a temperature below that at which the glass network can relax produces a distribution of ions across the surface of the glass that results in a stress profile. The larger volume of the incoming ion produces a compressive stress (CS) on the surface and tension (central tension, or CT) in the center of the glass. The compressive stress is related to the central tension by the following relationship:
Figure imgf000010_0001
where t is the total thickness of the glass sheet and DOL is the depth of exchange, also referred to as depth of layer.
[0034] According to various embodiments, hybrid glass laminates comprising ion- exchanged glass possess an array of desired properties, including low weight, high impact resistance, and improved sound attenuation.
[0035] In one embodiment, a chemically-strengthened glass sheet can have a surface compressive stress of at least 300 MPa, e.g., at least 400, 450, 500, 550, 600, 650, 700, 750 or 800 MPa, a depth of layer at least about 20 μηι (e.g., at least about 20, 25, 30, 35, 40, 45, or 50 μηι) and/or a central tension greater than 40 MPa (e.g., greater than 40, 45, or 50 MPa) but less than 100 MPa (e.g., less than 100, 95, 90, 85, 80, 75, 70, 65, 60, or 55 MPa).
[0036] A modulus of elasticity of a chemically-strengthened glass sheet can range from about 60 GPa to 85 GPa (e.g., 60, 65, 70, 75, 80 or 85 GPa). The modulus of elasticity of the glass sheet(s) and the polymer interlayer can affect both the mechanical properties (e.g., deflection and strength) and the acoustic performance (e.g., transmission loss) of the resulting glass laminate.
[0037] Exemplary glass sheet forming methods include fusion draw and slot draw processes, which are each examples of a down-draw process, as well as float processes. These methods can be used to form both chemically-strengthened and non- chemically-strengthened glass sheets. The fusion draw process uses a drawing tank that has a channel for accepting molten glass raw material. The channel has weirs that are open at the top along the length of the channel on both sides of the channel. When the channel fills with molten material, the molten glass overflows the weirs. Due to gravity, the molten glass flows down the outside surfaces of the drawing tank. These outside surfaces extend down and inwardly so that they join at an edge below the drawing tank. The two flowing glass surfaces join at this edge to fuse and form a single flowing sheet. The fusion draw method offers the advantage that, because the two glass films flowing over the channel fuse together, neither outside surface of the resulting glass sheet comes in contact with any part of the apparatus. Thus, the surface properties of the fusion drawn glass sheet are not affected by such contact.
[0038] The slot draw method is distinct from the fusion draw method. Here the molten raw material glass is provided to a drawing tank. The bottom of the drawing tank has an open slot with a nozzle that extends the length of the slot. The molten glass flows through the slot/nozzle and is drawn downward as a continuous sheet and into an annealing region. The slot draw process can provide a thinner sheet than the fusion draw process because only a single sheet is drawn through the slot, rather than two sheets being fused together.
[0039] Down-draw processes produce glass sheets having a uniform thickness that possess surfaces that are relatively pristine. Because the strength of the glass surface is controlled by the amount and size of surface flaws, a pristine surface that has had minimal contact has a higher initial strength. When this high strength glass is then chemically strengthened, the resultant strength can be higher than that of a surface that has been a lapped and polished. Down-drawn glass may be drawn to a thickness of less than about 2 mm. In addition, down drawn glass has a very flat, smooth surface that can be used in its final application without costly grinding and polishing.
[0040] In the float glass method, a sheet of glass that may be characterized by smooth surfaces and uniform thickness is made by floating molten glass on a bed of molten metal, typically tin. In an exemplary process, molten glass that is fed onto the surface of the molten tin bed forms a floating ribbon. As the glass ribbon flows along the tin bath, the temperature is gradually decreased until a solid glass sheet can be lifted from the tin onto rollers. Once off the bath, the glass sheet can be cooled further and annealed to reduce internal stress.
[0041] Glass sheets can be used to form glass laminates. As defined herein, a hybrid glass laminate comprises an externally-facing chemically-strengthened glass sheet, an internally-facing non-chemically-strengthened glass sheet, and a polymer interlayer formed between the glass sheets. The polymer interlayer can comprise a monolithic polymer sheet, a multilayer polymer sheet, or a composite polymer sheet. The polymer interlayer can be, for example, a plasticized poly(vinyl butyral) sheet.
[0042] Glass laminates can be adapted to provide an optically transparent barrier in architectural and automotive openings, e.g., automotive glazings. Glass laminates can be formed using a variety of processes. The assembly, in an exemplary embodiment, involves laying down a first sheet of glass, overlaying a polymer interlayer such as a PVB sheet, laying down a second sheet of glass, and then trimming the excess PVB to the edges of the glass sheets. A tacking step can include expelling most of the air from the interfaces and partially bonding the PVB to the glass sheets. The finishing step, typically carried out at elevated temperature and pressure, completes the mating of each of the glass sheets to the polymer interlayer. In the foregoing embodiment, the first sheet can be a chemically-strengthened glass sheet and the second sheet can be a non-chemically-strengthened glass sheet or vice versa. [0043] A thermoplastic material such as PVB may be applied as a preformed polymer interlayer. The thermoplastic layer can, in certain embodiments, have a thickness of at least 0.125 mm (e.g., 0.125, 0.25, 0.38, 0.5, 0.7, 0.76, 0.81, 1, 1.14, 1.19 or 1.2 mm). The thermoplastic layer can have a thickness of less than or equal to 1.6 mm (e.g., from 0.4 to 1.2 mm, such as about 0.4, 0.5, 0.6, 0.7, 0.8, 0.9, 1.0, 1.1 or 1.2 mm). The thermoplastic layer can cover most or, preferably, substantially all of the two opposed major faces of the glass. It may also cover the edge faces of the glass. The glass sheets in contact with the thermoplastic layer may be heated above the softening point of the thermoplastic, such as, for example, at least 5°C or 10°C above the softening point, to promote bonding of the thermoplastic material to the respective glass sheets. The heating can be performed with the glass in contact with the thermoplastic layers under pressure.
[0044] Select commercially available polymer interlayer materials are summarized in Table 1, which provides also the glass transition temperature and modulus for each product sample. Glass transition temperature and modulus data were determined from technical data sheets available from the vendor or using a DSC 200 Differential Scanning Calorimeter (Seiko Instruments Corp., Japan) or by ASTM D638 method for the glass transition and modulus data, respectively. A further description of the acrylic/silicone resin materials used in the ISD resin is disclosed in US Patent No. 5,624,763, and a description of the acoustic modified PVB resin is disclosed in Japanese Patent No. 05138840, the entire contents of which are hereby incorporated by reference in their entirety.
Table 1. Exemplary Polymer Interlayer Materials
Figure imgf000013_0001
Figure imgf000014_0001
[0045] One or more polymer interlayers may be incorporated into a hybrid glass laminate. A plurality of interlayers may provide complimentary or distinct
functionality, including adhesion promotion, acoustic control, UV transmission control, tinting, coloration and/ or IR transmission control.
[0046] A modulus of elasticity of the polymer interlayer can range from about 1 MPa to 75 MPa (e.g., about 1 , 2, 5, 10, 15, 20, 25, 50 or 75 MPa). At a loading rate of 1 Hz, a modulus of elasticity of a standard PVB interlayer can be about 15 MPa, and a modulus of elasticity of an acoustic grade PVB interlayer can be about 2 MPa.
[0047] During the lamination process, the interlayer is typically heated to a temperature effective to soften the interlayer, which promotes a conformal mating of the interlayer to respective surfaces of the glass sheets. For PVB, a lamination temperature can be about 140°C. Mobile polymer chains within the interlayer material develop bonds with the glass surfaces, which promote adhesion. Elevated temperatures also accelerate the diffusion of residual air and/or moisture from the glass-polymer interface.
[0048] The application of pressure both promotes flow of the interlayer material, and suppresses bubble formation that otherwise could be induced by the combined vapor pressure of water and air trapped at the interfaces. To suppress bubble formation, heat and pressure are simultaneously applied to the assembly in an autoclave.
[0049] Hybrid glass laminates can provide beneficial effects, including the attenuation of acoustic noise, reduction of UV and/or IR light transmission, and/or enhancement of the aesthetic appeal of a window opening. The individual glass sheets comprising the disclosed glass laminates, as well as the formed laminates, can be characterized by one or more attributes, including composition, density, thickness, surface metrology, as well as various properties including optical, sound-attenuation, and mechanical properties such as impact resistance. Various aspects of the disclosed hybrid glass laminates are described herein.
[0050] The hybrid glass laminates can be adapted for use, for example, as windows or glazings, and configured to any suitable size and dimension. In embodiments, the glass laminates have a length and width that independently vary from 10 cm to 1 m or more (e.g., 0.1, 0.2, 0.5, 1, 2, or 5 m). Independently, the glass laminates can have an
2 2 area of greater than 0.1 m , e.g., greater than 0.1, 0.2, 0.5, 1, 2, 5, 10, or 25 m .
[0051] The glass laminates can be substantially flat or shaped for certain
applications. For instance, the glass laminates can be formed as bent or shaped parts for use as windshields or cover plates. The structure of a shaped glass laminate may be simple or complex. In certain embodiments, a shaped glass laminate may have a complex curvature where the glass sheets have a distinct radius of curvature in two independent directions. Such shaped glass sheets may thus be characterized as having "cross curvature," where the glass is curved along an axis that is parallel to a given dimension and also curved along an axis that is perpendicular to the same dimension. An automobile sunroof, for example, typically measures about 0.5 m by 1.0 m and has a radius of curvature of 2 to 2.5 m along the minor axis, and a radius of curvature of 4 to 5 m along the major axis.
[0052] Shaped glass laminates according to certain embodiments can be defined by a bend factor, where the bend factor for a given part is equal to the radius of curvature along a given axis divided by the length of that axis. Thus, for the exemplary automotive sunroof having radii of curvature of 2 m and 4 m along respective axes of 0.5 m and 1.0 m, the bend factor along each axis is 4. Shaped glass laminates can have a bend factor ranging from 2 to 8 (e.g., 2, 3, 4, 5, 6, 7, or 8).
[0053] An exemplary shaped glass laminate 200 is illustrated in Fig. 2. The shaped laminate 200 comprises an external (chemically-strengthened) glass sheet 110 formed at a convex surface of the laminate while an internal (non-chemically-strengthened) glass sheet 120 is formed on a concave surface of the laminate. It will be appreciated, however, that the convex surface of a non-illustrated embodiment can comprise a non- chemically-strengthened glass sheet while an opposing concave surface can comprise a chemically-strengthened glass sheet.
[0054] Fig. 3 is a cross sectional illustration of further embodiments of the present disclosure. Fig. 4 is a perspective view of additional embodiments of the present disclosure. With reference to Figs. 3 and 4 and as discussed in previous paragraphs, an exemplary laminate structure 10 can include an inner layer 16 of chemically strengthened glass, e.g., Gorilla® Glass. This inner layer 16 may have been heat treated, ion exchanged and/or annealed. The outer layer 12 may be a non-chemically strengthened glass sheet such as conventional soda lime glass, annealed glass, or the like. The laminate 10 can also include a polymeric interlayer 14 intermediate the outer and inner glass layers. The inner layer of glass 16 can have a thickness of less than or equal to 1.0 mm and having a residual surface CS level of between about 250 MPa to about 350 MPa with a DOL of greater than 60 microns. In another embodiment the CS level of the inner layer 16 is preferably about 300 MPa. In one embodiment, an interlayer 14 can have a thickness of approximately 0.8 mm.
Exemplary interlay ers 14 can include, but are not limited to, poly- vinyl -butyral or other suitable polymeric materials as described herein. In additional embodiments, any of the surfaces of the outer and/or inner layers 12, 16 can be acid etched to improve durability to external impact events. For example, in one embodiment, a first surface 13 of the outer layer 12 can be acid etched and/or another surface 17 of the inner layer can be acid etched. In another embodiment, a first surface 15 of the outer layer can be acid etched and/or another surface 19 of the inner layer can be acid etched. Such embodiments can thus provide a laminate construction substantially lighter than conventional laminate structures and which conforms to regulatory impact requirements. Exemplary thicknesses of the outer and/or inner layers 12, 16 can range in thicknesses from 0.5 mm to 1.5 mm to 2.0 mm or more.
[0055] In a preferred embodiment, the thin chemically strengthened inner layer 16 may have a surface stress between about 250 MPa and 900 MPa and can range in thickness from 0.5 to 1.0 mm. In this embodiment, the external layer 12 can be annealed (non-chemically strengthened) glass with a thickness from about 1.5 mm to about 3.0 mm or more. Of course, the thicknesses of the outer and inner layers 12, 16 can be different in a respective laminate structure 10. Another preferred embodiment of an exemplary laminate structure may include an inner layer of 0.7 mm chemically strengthened glass, a poly -vinyl butyral layer of about 0.76 mm in thickness and a 2.1 mm exterior layer of annealed glass.
[0056] Exemplary glass layers can be made by fusion drawing, as generally described above and described in U.S. Patent Nos. 7,666,511 , 4,483,700 and
5,674,790, the entirety of each being incorporated herein by reference, and then chemically strengthening such drawn glass. Exemplary chemically strengthened glass layers can thus possess a deep DOL of CS and can present a high flexural strength, scratch resistance and impact resistance. Exemplary embodiments can also include acid etched or flared surfaces to increase the impact resistance and increasing the strength of such surfaces by reducing the size and severity of flaws on these surfaces. If etched immediately prior to lamination, the strengthening benefit of etching or flaring can be maintained on surfaces bonded to the inter-layer.
[0057] One embodiment of the present disclosure provides an exemplary glass laminate structure having a non-chemically strengthened external glass sheet, a chemically strengthened internal glass sheet, and at least one polymer interlayer intermediate the external and internal glass sheets. The polymer interlayer can be a single polymer sheet, a multilayer polymer sheet, or a composite polymer sheet. Further, the polymer interlayer can comprise a material such as, but not limited to, PVB, polycarbonate, acoustic PVB, ethylene vinyl acetate (EVA), thermoplastic polyurethane (TPU), ionomer, a thermoplastic material, and combinations thereof. The internal glass sheet can have a thickness ranging from about 0.5 mm to about 1.5 mm, and the external glass sheet can have a thickness ranging from about 1.5 mm to about 3.0 mm. In other embodiments, the internal glass sheet can have a thickness of between about 0.5 mm to about 0.7 mm, the polymer interlayer can have a thickness of between about 0.4 to about 1.2 mm, and/or the external glass sheet can have a thickness of about 2.1 mm. In another embodiment, the internal glass sheet can include one or more alkaline earth oxides, such that a content of alkaline earth oxides is at least about 5 wt.%. The internal glass sheet can also include at least about 6 wt.% aluminum oxide. In an additional embodiment, the external glass sheet comprises a material such as, but not limited to, soda-lime glass and annealed glass. Exemplary laminates can have an area greater than 1 m and can be employed as an automotive windshield, sunroof or cover plate. In further embodiments, the inner glass layer can have a surface compressive stress between about 250 MPa and about 900 MPa or in another embodiment, a surface compressive stress of between about 250 MPa and about 350 MPa and a DOL of compressive stress greater than about 20 μηι. Some embodiments, can acid etch any number or portion of the surfaces of the glass sheets.
[0058] Another embodiment of the present disclosure provides a glass laminate structure having a non-chemically strengthened external glass sheet, a chemically strengthened internal glass sheet, and at least one polymer interlayer intermediate the external and internal glass sheets where the inner glass layer has a surface
compressive stress between about 250 MPa and about 900 MPa. In an additional embodiment, the inner glass layer can have a surface compressive stress of between about 250 MPa and about 350 MPa and a DOL of compressive stress greater than about 20 μηι. Exemplary thicknesses of the internal glass sheet can range from about 0.5 mm to about 1.5 mm, and the external glass sheet can have thicknesses ranging from about 1.5 mm to about 3.0 mm. An exemplary polymer interlayer can be comprised of a material such as, but not limited to, PVB, polycarbonate, acoustic PVB, EVA, TPU, ionomer, a thermoplastic material, and combinations thereof and/or can have a thickness of between about 0.4 to about 1.2 mm.
[0059] Embodiments of the present disclosure may thus offer a means to reduce the weight of automotive glazing by using thinner glass materials while maintaining optical and safety requirements. Conventional laminated windshields may account for 62% of a vehicle's total glazing weight; however, by employing a 0.7-mm thick chemically strengthened inner layer with a 2.1-mm thick non-chemically strengthened outer layer, for example, windshield weight can be reduced by 33%. Furthermore, it has been discovered that use of a 1.6-mm thick non-chemically strengthened outer layer with the 0.7-mm thick chemically strengthened inner layer results in an overall 45% weight savings. Thus, use of exemplary laminate structures according to embodiments of the present disclosure may allow a laminated windshield to pass all regulatory safety requirements including resistance to penetration from internal and external objects and appropriate flexure resulting in acceptable Head Impact Criteria (HIC) values. In addition, an exemplary external layer comprised of annealed glass may offer acceptable break patterns caused by external object impacts and allow for continued operational visibility through the windshield when a chip or crack occurs as a result of the impact. Research has also demonstrated that employing chemically strengthened glass as an interior surface of an asymmetrical windshield provides an added benefit of reduced laceration potential compared to that caused by occupant impact with conventional annealed windshields.
[0060] Methods for bending and/or shaping glass laminates can include gravity bending, press bending and methods that are hybrids thereof. In a traditional method of gravity bending thin, flat sheets of glass into curved shapes such as automobile windshields, cold, pre-cut single or multiple glass sheets are placed onto the rigid, pre- shaped, peripheral support surface of a bending fixture. The bending fixture may be made using a metal or a refractory material. In an exemplary method, an articulating bending fixture may be used. Prior to bending, the glass typically is supported only at a few contact points. The glass is heated, usually by exposure to elevated
temperatures in a lehr, which softens the glass allowing gravity to sag or slump the glass into conformance with the peripheral support surface. Substantially the entire support surface generally will then be in contact with the periphery of the glass.
[0061] A related technique is press bending where a single flat glass sheet is heated to a temperature corresponding substantially to the softening point of the glass. The heated sheet is then pressed or shaped to a desired curvature between male and female mold members having complementary shaping surfaces. The mold member shaping surfaces may include vacuum or air jets for engaging with the glass sheets. In embodiments, the shaping surfaces may be configured to contact substantially the entire corresponding glass surface. Alternatively, one or both of the opposing shaping surfaces may contact the respective glass surface over a discrete area or at discrete contact points. For example, a female mold surface may be ring-shaped surface. In embodiments, a combination of gravity bending and press bending techniques can be used.
[0062] A total thickness of the glass laminate can range from about 2 mm to 5 mm, with the external and/or internal chemically-strengthened glass sheets having a thickness of 1 mm or less (e.g., from 0.5 to 1 mm such as, for example, 0.5, 0.6, 0.7, 0.8, 0.9 or 1 mm). Further, the internal and/or external non-chemically-strengthened glass sheets can have a thickness of 2.5 mm or less (e.g., from 1 to 2 mm such as, for example, 1 , 1.5, 2 or 2.5 mm) or may have a thickness of 2.5 mm or more. In embodiments, the total thickness of the glass sheets in the glass laminate is less than 3.5 mm (e.g., less than 3.5, 3, 2.5 or 2.3 mm).
[0063] Exemplary glass laminate structures are illustrated in Table 2, where the abbreviation GG refers to a chemically-strengthened aluminosilicate glass sheet, the term "glass" refers to a non-chemically-strengthened soda lime (SL) glass sheet, and PVB refers to poly(vinyl butyral), which may optionally be an acoustic grade PVB (A- PVB).
Table 2. Exemplary glass laminate structures
Sample Configuration
Internal sheet Interlayer External sheet
1 1.5 mm SL glass 0.76-0.81 mm PVB 0.7 mm GG
2 1.5 mm SL glass 0.76-0.81 mm PVB 1.0 mm GG
3 1.5 mm SL glass 0.38-0.4 mm PVB 0.7 mm GG
4 1.5 mm SL glass 0.38-0.4 mm PVB 1.0 mm GG
5 1.6 mm SL glass 0.76 mm PVB 0.7 mm GG
6 1.6 mm SL glass 0.81 mm PVB 0.7 mm GG
7 1.6 mm SL glass 1.14 mm PVB 0.7 mm GG
8 1.6 mm SL glass 1.19 mm PVB 0.7 mm GG
9 1.6 mm SL glass 0.38 mm PVB 0.5 mm GG
10 1.6 mm SL glass 0.7 mm PVB 0.5 mm GG
1 1 2.1 mm SL glass 0.76 mm PVB 0.7 mm GG 12 2.1 mm SL glass 0.81 mm PVB 1.0 mm GG
A 1.0 mm GG 0.76-0.81 mm PVB 1.0 mm GG
B 1.5 mm SL glass 0.76-0.81 mm PVB 1.5 mm SL glass
[0064] Applicants have shown that the glass laminate structures disclosed herein have excellent durability, impact resistance, toughness, and scratch resistance. As is well known among skilled artisans, the strength and mechanical impact performance of a glass sheet or laminate is limited by defects in the glass, including both surface and internal defects. When a glass laminate is impacted, the impact point is put into compression, while a ring or "hoop" around the impact point, as well as the opposite face of the impacted sheet, are put into tension. Typically, the origin of failure will be at a flaw, usually on the glass surface, at or near the point of highest tension. This may occur on the opposite face, but can occur within the ring. If a flaw in the glass is put into tension during an impact event, the flaw will likely propagate, and the glass will typically break. Thus, a high magnitude and depth of compressive stress (depth of layer) is preferable.
[0065] Due to chemical strengthening, one or both of the surfaces of the chemically- strengthened glass sheets used in the disclosed hybrid glass laminates are under compression. The incorporation of a compressive stress in a near surface region of the glass can inhibit crack propagation and failure of the glass sheet. In order for flaws to propagate and failure to occur, the tensile stress from an impact must exceed the surface compressive stress at the tip of the flaw. In embodiments, the high
compressive stress and high depth of layer of chemically-strengthened glass sheets enable the use of thinner glass than in the case of non-chemically-strengthened glass.
[0066] In the case of hybrid glass laminates, the laminate structure can deflect without breaking in response to the mechanical impact much further than thicker monolithic, non-chemically-strengthened glass or thicker, non-chemically- strengthened glass laminates. This added deflection enables more energy transfer to the laminate interlayer, which can reduce the energy that reaches the opposite side of the glass. Consequently, the hybrid glass laminates disclosed herein can withstand higher impact energies than monolithic, non-chemically-strengthened glass or non- chemically-strengthened glass laminates of similar thickness.
[0067] In addition to their mechanical properties, as will be appreciated by a skilled artisan, laminated structures can be used to dampen acoustic waves. The hybrid glass laminates disclosed herein can dramatically reduce acoustic transmission while using thinner (and lighter) structures that also possess the requisite mechanical properties for many glazing applications.
[0068] The acoustic performance of laminates and glazings is commonly impacted by the flexural vibrations of the glazing structure. Without wishing to be bound by theory, human acoustic response peaks typically between 500 Hz and 5000 Hz, corresponding to wavelengths of about 0.1-1 m in air and 1-10 m in glass. For a glazing structure less than 0.01 m (<10 mm) thick, transmission occurs mainly through coupling of vibrations and acoustic waves to the flexural vibration of the glazing. Laminated glazing structures can be designed to convert energy from the glazing flexural modes into shear strains within the polymer interlayer. In glass laminates employing thinner glass sheets, the greater compliance of the thinner glass permits a greater vibrational amplitude, which in turn can impart greater shear strain on the interlayer. The low shear resistance of most viscoelastic polymer interlayer materials means that the interlayer will promote damping via the high shear strain that will be converted into heat under the influence of molecular chain sliding and relaxation.
[0069] In addition to the glass laminate thickness, the nature of the glass sheets that comprise the laminates may also influence the sound attenuating properties. For instance, as between chemically-strengthened and non-chemically-strengthened glass sheets, there may be small but significant difference at the glass-polymer interlayer interface that contributes to higher shear strain in the polymer layer. Also, in addition to their obvious compositional differences, aluminosilicate glasses and soda lime glasses have different physical and mechanical properties, including modulus, Poisson's ratio, density, etc., which may result in a different acoustic response. Examples
[0070] Conventional uniaxial strength tests, such as three- or four-point bending tests have been used to measure the strength of glass and ceramic materials. However, because the measured strength depends on edge effects as well as on the bulk material, the interpretation of uniaxial strength test results can be challenging.
[0071] Biaxial flexure tests, on the other hand, can be used to provide a strength assessment independent of edge-induced phenomena. In a biaxial flexure test, a glass laminate is supported at three or more points near its periphery and equidistant from its center and the laminate is then loaded at a central position. The location of maximum tensile stress thus occurs at the center of the laminate surface and, advantageously, is independent of the edge conditions.
[0072] Exemplary planar hybrid glass laminates were subjected to a standardized biaxial flexure test (ECE R43 headform as detailed in Annex 7/3). As explained further below, when an inventive glass laminate (sample 1) was impacted on the non- chemically-strengthened (soda-lime) side, both glass sheets fractured. However, when the sample 1 glass laminate was impacted on the chemically-strengthened side, the non-chemically-strengthened glass sheet fractured but the chemically-strengthened glass sheet remained intact in 50% of the samples tested.
[0073] In one test, a high loading rate impact is directed against the internal (non- chemically-strengthened) glass sheet 120. In response, both the interior surface 124 of the internal glass sheet 120 and the exterior surface 112 of the external glass sheet 110 are placed in tension. With the magnitude of the tensile stress on the exterior surface 112 being greater than the tensile stress at the interior surface 124, in this
configuration the more moderate tensile stress on the interior surface 124 is sufficient to fracture the non-chemically-strengthened glass sheet 120, while the elevated tensile stress on the exterior surface 112 is sufficient to fracture the chemically-strengthened glass sheet 1 10 as well. As the glass sheets fracture, the PVB interlayer deforms but keeps the headform impact device from penetrating through the glass laminate. This is a satisfactory response under the ECE R43 headform requirement. [0074] In a related test, the impact is directed instead against the external
(chemically-strengthened) glass sheet 110. In response, the interior surface 114 of the external glass sheet 110 experiences a moderate tensile stress and exterior surface 122 of internal glass sheet 120 experiences a higher magnitude stress. In this
configuration, the elevated stress on the exterior surface 122 of the internal, non- chemically-strengthened glass sheet 120 causes the non-chemically-strengthened glass sheet to fracture. However, the moderate tensile stress on the interior surface 114 of the external glass sheet 1 10 may not be sufficient to overcome the ion-exchanged induced compressive stress in near-surface region of the chemically-strengthened glass. In laboratory experiments, high loading rate impact resulted in breakage of the chemically-strengthened glass sheet 110 in only two of six samples tested. In the remaining four samples, the non-chemically-strengthened glass sheet 120 fractured but the chemically-strengthened glass sheet 110 remained intact. All of the inventive samples exceeded the impact requirements for non-windscreen glass as set forth by the ECE R43 headform requirement.
[0075] Comparative samples A and B were also subjected to the biaxial flexure test. Comparative sample A, which comprises a 1mm chemically-strengthened glass sheet/0.76 mm standard PVB/1 mm chemically-strengthened glass sheet symmetric architecture, exhibited no breakage and thus failed the ECE R43 requirement that the glass laminate must break.
[0076] Comparison sample B comprises a 1.5 mm soda-lime glass sheet/0.76 mm standard PVB/1.5 mm soda-lime glass sheet symmetric architecture. Both glass sheets fractured as a result of the biaxial flexure test and thus comparison sample B passed the ECE R43 standard (Annex 7/3). However, both glass sheets in the comparison sample B glass laminate fractured regardless of which sheet was impacted, and thus failed to provide the robust mechanical resistance against external impact realized in the hybrid laminates. It was also noted during the testing that the recoil (i.e., bounce) of the headform was larger for comparison sample B than for sample 1, suggesting that the comparative architecture did not dissipate energy as effectively as the inventive example. [0077] The head injury criterion (HIC) is a conventional metric that can be used to evaluate the safety of glass laminates. The HIC value is a dimensionless quantity, which can be correlated to a probability of sustaining an injury as a result of an impact. For internal impact events, a lower HIC value is desirable.
[0078] For exemplary planar hybrid glass laminates, the mean HIC value for impact on the non-chemically-strengthened side of a 1.6 mm SL / 0.8mm A-PVB / 0.7 mm GG stack was 175, while the mean HIC value for impact on the chemically- strengthened side of a 0.7 mm GG / 0.8 mm A-PVB / 1.6 mm SL stack was 381. For automotive glazing applications, the mean HIC value for impact on the chemically- strengthened (exterior) side is advantageously greater than the mean HIC value for impact on the non-chemically-strengthened side. For example, the chemically- strengthened side HIC value can be greater than or equal to 400 (e.g., greater than or equal to 400, 450 or 500) and the non-chemically-strengthened side HIC value can be less than or equal to 400 (e.g., less than or equal to 400, 350, 300, 250, 200, 150 or 100) such that the chemically-strengthened side HIC value is at least 50 (e.g., at least 50, 100, 150 or 200) greater than the non-chemically-strengthened side value.
[0079] While this description may include many specifics, these should not be construed as limitations on the scope thereof, but rather as descriptions of features that may be specific to particular embodiments. Certain features that have been heretofore described in the context of separate embodiments may also be implemented in combination in a single embodiment. Conversely, various features that are described in the context of a single embodiment may also be implemented in multiple embodiments separately or in any suitable subcombination. Moreover, although features may be described above as acting in certain combinations and may even be initially claimed as such, one or more features from a claimed combination may in some cases be excised from the combination, and the claimed combination may be directed to a subcombination or variation of a subcombination.
[0080] Similarly, while operations are depicted in the drawings or figures in a particular order, this should not be understood as requiring that such operations be performed in the particular order shown or in sequential order, or that all illustrated operations be performed, to achieve desirable results. In certain circumstances, multitasking and parallel processing may be advantageous
[0081] Ranges can be expressed herein as from "about" one particular value, and/or to "about" another particular value. When such a range is expressed, examples include from the one particular value and/or to the other particular value. Similarly, when values are expressed as approximations, by use of the antecedent "about," it will be understood that the particular value forms another aspect. It will be further understood that the endpoints of each of the ranges are significant both in relation to the other endpoint, and independently of the other endpoint.
[0082] It is also noted that recitations herein refer to a component of the present disclosure being "configured" or "adapted to" function in a particular way. In this respect, such a component is "configured" or "adapted to" embody a particular property, or function in a particular manner, where such recitations are structural recitations as opposed to recitations of intended use. More specifically, the references herein to the manner in which a component is "configured" or "adapted to" denotes an existing physical condition of the component and, as such, is to be taken as a definite recitation of the structural characteristics of the component.
[0083] As shown by the various configurations and embodiments illustrated in the figures, various light-weight hybrid glass laminates have been described.
[0084] While preferred embodiments of the present disclosure have been described, it is to be understood that the embodiments described are illustrative only and that the scope of the invention is to be defined solely by the appended claims when accorded a full range of equivalence, many variations and modifications naturally occurring to those of skill in the art from a perusal hereof

Claims

What is claimed is:
1. A glass laminate structure comprising:
a non-chemically strengthened external glass sheet;
a chemically strengthened internal glass sheet; and
at least one polymer interlayer intermediate the external and internal glass sheets,
wherein the internal glass sheet has a thickness ranging from about 0.5 mm to about 1.5 mm, and
wherein the external glass sheet has a thickness ranging from about 1.5 mm to about 3.0 mm.
2. The glass laminate structure of Claim 1, wherein the internal glass sheet includes one or more alkaline earth oxides, such that a content of alkaline earth oxides is at least about 5 wt.%.
3. The glass laminate structure of Claim 1, wherein the internal glass sheet includes at least about 6 wt.% aluminum oxide.
4. The glass laminate structure of Claim 1, wherein the internal glass sheet has a thickness of between about 0.5 mm to about 0.7 mm.
5. The glass laminate structure of Claim 1, wherein the polymer interlayer comprises a single polymer sheet, a multilayer polymer sheet, or a composite polymer sheet.
6. The glass laminate structure of Claim 1, wherein the polymer interlayer comprises a material selected from the group consisting of poly vinyl butyral (PVB), polycarbonate, acoustic PVB, ethylene vinyl acetate (EVA), thermoplastic polyurethane (TPU), ionomer, a thermoplastic material, and combinations thereof.
7. The glass laminate structure of Claim 1, wherein the polymer interlayer has a thickness of between about 0.4 to about 1.2 mm.
8. The glass laminate structure of Claim 1 , wherein the external glass sheet comprises a material selected from the group consisting of soda-lime glass and annealed glass.
9. The glass laminate structure of Claim 1 , wherein the external glass sheet has a thickness of about 2.1 mm.
10. The glass laminate structure of Claim 1, wherein the glass laminate has an area greater than 1 m2.
11. The glass laminate structure of Claim 1 , wherein the glass laminate is an automotive windshield, sunroof or cover plate.
12. The glass laminate structure of Claim 1, wherein the inner glass layer has a surface compressive stress between about 250 MPa and about 900 MPa.
13. The glass laminate structure of Claim 1, wherein the inner glass layer has a surface compressive stress of between about 250 MPa and about 350 MPa and a DOL of compressive stress greater than about 20 μηι.
14. The glass laminate structure of Claim 1 wherein a surface of the external glass layer adjacent the interlayer is acid etched.
15. The glass laminate structure of Claim 1 wherein a surface of the internal glass layer opposite the interlayer is acid etched.
16. A glass laminate structure comprising:
a non-chemically strengthened external glass sheet;
a chemically strengthened internal glass sheet; and
at least one polymer interlayer intermediate the external and internal glass sheets,
wherein the inner glass layer has a surface compressive stress between about 250 MPa and about 900 MPa.
17. The glass laminate structure of Claim 16, wherein the inner glass layer has a surface compressive stress of between about 250 MPa and about 350 MPa and a DOL of compressive stress greater than about 20 μηι.
18. The glass laminate structure of Claim 16, wherein the internal glass sheet has a thickness ranging from about 0.5 mm to about 1.5 mm, and
wherein the external glass sheet has a thickness ranging from about 1.5 mm to about 3.0 mm.
19. The glass laminate structure of Claim 16, wherein the polymer interlayer comprises a material selected from the group consisting of poly vinyl butyral (PVB), polycarbonate, acoustic PVB, ethylene vinyl acetate (EVA), thermoplastic polyurethane (TPU), ionomer, a thermoplastic material, and combinations thereof.
20. The glass laminate structure of Claim 16, wherein the polymer interlayer has a thickness of between about 0.4 to about 1.2 mm.
PCT/US2014/0455542013-07-092014-07-07Light-weight hybrid glass laminatesWO2015006201A1 (en)

Priority Applications (4)

Application NumberPriority DateFiling DateTitle
KR1020167003191AKR20160030253A (en)2013-07-092014-07-07Light-weight hybrid glass laminates
JP2016525400AJP2016530190A (en)2013-07-092014-07-07 Lightweight composite laminated glass
CN201480039262.7ACN105377551B (en)2013-07-092014-07-07 Lightweight Hybrid Glass Laminate
EP14742702.5AEP3046761A1 (en)2013-07-092014-07-07Light-weight hybrid glass laminates

Applications Claiming Priority (2)

Application NumberPriority DateFiling DateTitle
US13/937,707US9616641B2 (en)2011-06-242013-07-09Light-weight hybrid glass laminates
US13/937,7072013-07-09

Publications (1)

Publication NumberPublication Date
WO2015006201A1true WO2015006201A1 (en)2015-01-15

Family

ID=51225091

Family Applications (1)

Application NumberTitlePriority DateFiling Date
PCT/US2014/045554WO2015006201A1 (en)2013-07-092014-07-07Light-weight hybrid glass laminates

Country Status (6)

CountryLink
EP (1)EP3046761A1 (en)
JP (4)JP2016530190A (en)
KR (1)KR20160030253A (en)
CN (3)CN105377551B (en)
TW (1)TWI649286B (en)
WO (1)WO2015006201A1 (en)

Cited By (16)

* Cited by examiner, † Cited by third party
Publication numberPriority datePublication dateAssigneeTitle
WO2016196531A1 (en)*2015-06-022016-12-08Corning IncorporatedLight-responsive thin glass laminates
JP2017508693A (en)*2013-12-162017-03-30ピルキントン グループ リミテッド Laminated glass
WO2017183381A1 (en)*2016-04-182017-10-26日本電気硝子株式会社Laminated glass for vehicles
WO2017183382A1 (en)*2016-04-182017-10-26日本電気硝子株式会社Laminated glass for vehicles
EP3261836A1 (en)*2015-02-262018-01-03Corning IncorporatedThin laminate structures with enhanced acoustic performance
CN107690388A (en)*2015-06-022018-02-13康宁股份有限公司 Automotive glazing and laminated structures including light guides
KR20180030097A (en)*2015-07-102018-03-21코닝 인코포레이티드 Cold formed laminate
WO2018114307A1 (en)2016-12-222018-06-28Schott AgComposite glass pane
CN108430767A (en)*2015-12-162018-08-21康宁股份有限公司Asymmetric glass laminate
WO2018200803A1 (en)*2017-04-262018-11-01Corning IncorporatedHigh heat transfer, strengthened glass laminate and related heating system and method
WO2019021014A1 (en)*2017-07-282019-01-31Pilkington Group LimitedWindow assembly
JP2019505468A (en)*2015-12-292019-02-28コーニング インコーポレイテッド Asymmetric manufacturing method for reducing curvature in laminate structure
EP3569580A4 (en)*2017-01-122020-11-04Central Glass Company, LimitedAutomotive laminated glass, and production method therefor
EP3569579A4 (en)*2017-01-122020-11-04Central Glass Company, LimitedAutomotive laminated glass, and production method therefor
CN115925269A (en)*2022-10-172023-04-07杭州乾智坤达新材料科技有限公司High-safety motor vehicle glass and production method thereof
US11691390B2 (en)2011-06-242023-07-04Corning IncorporatedLight-weight hybrid glass laminates

Families Citing this family (15)

* Cited by examiner, † Cited by third party
Publication numberPriority datePublication dateAssigneeTitle
US20150251377A1 (en)*2014-03-072015-09-10Corning IncorporatedGlass laminate structures for head-up display system
KR102696595B1 (en)*2016-07-272024-08-22삼성디스플레이 주식회사Window for display device and flexible display device including the same
US9812111B1 (en)*2016-10-192017-11-07Solutia Inc.Sound insulation panels having high interlayer thickness factors
DE112017006554T5 (en)*2016-12-262019-09-26AGC Inc. GLASS PLATE WITH A SEALING ELEMENT
EP3571046A4 (en)*2017-01-202020-10-14Pittsburgh Glass Works, LLC ASYMMETRIC LAMINATED GLAZING WITH HIGH IMPACT RESISTANCE
KR101911621B1 (en)*2017-02-272018-10-24주식회사 엘지화학Lamination glass and manufacturing method for lamination glass
JPWO2019054032A1 (en)*2017-09-152020-08-27セントラル硝子株式会社 Infrared absorbing glass plate
JP2019073423A (en)*2017-10-192019-05-16セントラル硝子株式会社Bent laminated glass for vehicle window
CN108417653A (en)*2018-03-052018-08-17福耀玻璃工业集团股份有限公司A kind of solar telephone skylight product and production method
CN112004785A (en)*2018-04-252020-11-27中央硝子株式会社Method for manufacturing light laminated glass plate for vehicle
WO2020012783A1 (en)2018-07-132020-01-16セントラル硝子株式会社Laminated glass for automotive windshields, and method for producing same
JP7620438B2 (en)*2021-01-292025-01-23セントラル硝子プロダクツ株式会社 Vehicle window glass
CN114516259B (en)*2022-01-292024-03-12福耀玻璃工业集团股份有限公司Window glass and vehicle
CN116409929A (en)*2023-02-152023-07-11清远南玻节能新材料有限公司Composite glass, preparation method and application thereof and automobile window
CN117341446A (en)*2023-10-242024-01-05福耀玻璃工业集团股份有限公司Windshield, preparation method thereof and vehicle

Citations (11)

* Cited by examiner, † Cited by third party
Publication numberPriority datePublication dateAssigneeTitle
US3427770A (en)*1964-10-101969-02-18Saint GobainSafety glass
GB2011316A (en)*1977-12-291979-07-11Bfg GlassgroupA Windscreen Comprising A Chemically Toughened Silicate Glass Inner Pane
US4483700A (en)1983-08-151984-11-20Corning Glass WorksChemical strengthening method
US4595624A (en)*1983-08-101986-06-17Post Office, Postal HeadquartersSecurity glazing
US4985099A (en)*1988-06-151991-01-15GlaverbelProcess for increasing resistance to penetration through a glazed opening
JPH05138840A (en)1991-11-261993-06-08Sekisui Chem Co LtdSound insulation intermediate film
US5624763A (en)1991-05-231997-04-29Minnesota Mining And Manufacturing CompanySilicone/acrylate vibration dampers
US5674790A (en)1995-12-151997-10-07Corning IncorporatedStrengthening glass by ion exchange
US7666511B2 (en)2007-05-182010-02-23Corning IncorporatedDown-drawable, chemically strengthened glass for cover plate
US20120052275A1 (en)*2010-08-302012-03-01Avanstrate Inc.Glass substrate, chemically strengthened glass substrate and cover glass, and method for manufactruing the same
US20130295357A1 (en)*2011-06-242013-11-07Corning IncorporatedLight-weight hybrid glass laminates

Family Cites Families (6)

* Cited by examiner, † Cited by third party
Publication numberPriority datePublication dateAssigneeTitle
US3592726A (en)*1965-04-281971-07-13Corning Glass WorksComposite vehicle closure comprising an inner sheet of chemically strengthened glass
GB1359166A (en)*1971-05-211974-07-10GlaverbelPanels incorporating a glass or vitrocrystalline sheet and the manufacture thereof
GB9306444D0 (en)*1993-03-271993-05-19Pilkington Aerospace LtdGlass component
US20120094084A1 (en)*2010-10-152012-04-19William Keith FisherChemically-strengthened glass laminates
US10035331B2 (en)*2011-06-242018-07-31Corning IncorporatedLight-weight hybrid glass laminates
WO2013094567A1 (en)*2011-12-222013-06-27旭硝子株式会社Method for producing laminated glass, laminated glass and windowpane

Patent Citations (11)

* Cited by examiner, † Cited by third party
Publication numberPriority datePublication dateAssigneeTitle
US3427770A (en)*1964-10-101969-02-18Saint GobainSafety glass
GB2011316A (en)*1977-12-291979-07-11Bfg GlassgroupA Windscreen Comprising A Chemically Toughened Silicate Glass Inner Pane
US4595624A (en)*1983-08-101986-06-17Post Office, Postal HeadquartersSecurity glazing
US4483700A (en)1983-08-151984-11-20Corning Glass WorksChemical strengthening method
US4985099A (en)*1988-06-151991-01-15GlaverbelProcess for increasing resistance to penetration through a glazed opening
US5624763A (en)1991-05-231997-04-29Minnesota Mining And Manufacturing CompanySilicone/acrylate vibration dampers
JPH05138840A (en)1991-11-261993-06-08Sekisui Chem Co LtdSound insulation intermediate film
US5674790A (en)1995-12-151997-10-07Corning IncorporatedStrengthening glass by ion exchange
US7666511B2 (en)2007-05-182010-02-23Corning IncorporatedDown-drawable, chemically strengthened glass for cover plate
US20120052275A1 (en)*2010-08-302012-03-01Avanstrate Inc.Glass substrate, chemically strengthened glass substrate and cover glass, and method for manufactruing the same
US20130295357A1 (en)*2011-06-242013-11-07Corning IncorporatedLight-weight hybrid glass laminates

Cited By (37)

* Cited by examiner, † Cited by third party
Publication numberPriority datePublication dateAssigneeTitle
US11691390B2 (en)2011-06-242023-07-04Corning IncorporatedLight-weight hybrid glass laminates
US12059870B2 (en)2011-06-242024-08-13Corning IncorporatedLight-weight hybrid glass laminates
JP2021020850A (en)*2013-12-162021-02-18ピルキントン グループ リミテッドLaminated glazing
JP2017508693A (en)*2013-12-162017-03-30ピルキントン グループ リミテッド Laminated glass
JP7090134B2 (en)2013-12-162022-06-23ピルキントン グループ リミテッド Laminated glass
EP3261836A1 (en)*2015-02-262018-01-03Corning IncorporatedThin laminate structures with enhanced acoustic performance
US10723104B2 (en)2015-06-022020-07-28Corning IncorporatedLight-responsive thin glass laminates
WO2016196531A1 (en)*2015-06-022016-12-08Corning IncorporatedLight-responsive thin glass laminates
CN107690388A (en)*2015-06-022018-02-13康宁股份有限公司 Automotive glazing and laminated structures including light guides
US12269320B2 (en)2015-07-102025-04-08Corning IncorporatedCold-formed laminates
KR20180030097A (en)*2015-07-102018-03-21코닝 인코포레이티드 Cold formed laminate
US11642943B2 (en)2015-07-102023-05-09Corning IncorporatedCold formed laminates
KR102511591B1 (en)2015-07-102023-03-17코닝 인코포레이티드 cold formed laminate
US11964545B2 (en)2015-07-102024-04-23Corning IncorporatedCold-formed laminates
CN108430767A (en)*2015-12-162018-08-21康宁股份有限公司Asymmetric glass laminate
EP3390047A1 (en)*2015-12-162018-10-24Corning IncorporatedAsymmetric glass laminates
JP2022095794A (en)*2015-12-292022-06-28コーニング インコーポレイテッド Asymmetric manufacturing method to reduce curvature in laminated board structure
JP7495442B2 (en)2015-12-292024-06-04コーニング インコーポレイテッド Asymmetric manufacturing method to reduce curvature in laminate structures
JP2019505468A (en)*2015-12-292019-02-28コーニング インコーポレイテッド Asymmetric manufacturing method for reducing curvature in laminate structure
WO2017183382A1 (en)*2016-04-182017-10-26日本電気硝子株式会社Laminated glass for vehicles
JPWO2017183382A1 (en)*2016-04-182019-02-28日本電気硝子株式会社 Laminated glass for vehicles
JPWO2017183381A1 (en)*2016-04-182019-02-28日本電気硝子株式会社 Laminated glass for vehicles
WO2017183381A1 (en)*2016-04-182017-10-26日本電気硝子株式会社Laminated glass for vehicles
US12005687B2 (en)2016-12-222024-06-11Schott AgThin glass substrate, method and apparatus for its production
US11993062B2 (en)2016-12-222024-05-28Schott AgComposite glass pane
US11745459B2 (en)2016-12-222023-09-05Schott AgThin glass substrate, in particular a borosilicate glass thin glass substrate, method and apparatus for its production
WO2018114307A1 (en)2016-12-222018-06-28Schott AgComposite glass pane
US11890844B2 (en)2016-12-222024-02-06Schott AgThin glass substrate, method and apparatus for its production
US10960648B2 (en)2017-01-122021-03-30Central Glass Company, LimitedAutomotive laminated glass, and production method therefor
US11384013B2 (en)2017-01-122022-07-12Central Glass Company, LimitedAutomotive laminated glass, and production method therefor
EP3569579A4 (en)*2017-01-122020-11-04Central Glass Company, LimitedAutomotive laminated glass, and production method therefor
EP3569580A4 (en)*2017-01-122020-11-04Central Glass Company, LimitedAutomotive laminated glass, and production method therefor
WO2018200803A1 (en)*2017-04-262018-11-01Corning IncorporatedHigh heat transfer, strengthened glass laminate and related heating system and method
US11772463B2 (en)2017-07-282023-10-03Pilkington Group LimitedWindow assembly
US11299018B2 (en)2017-07-282022-04-12Pilkington Group LimitedWindow assembly
WO2019021014A1 (en)*2017-07-282019-01-31Pilkington Group LimitedWindow assembly
CN115925269A (en)*2022-10-172023-04-07杭州乾智坤达新材料科技有限公司High-safety motor vehicle glass and production method thereof

Also Published As

Publication numberPublication date
TWI649286B (en)2019-02-01
JP2016530190A (en)2016-09-29
CN109016739B (en)2022-01-04
CN105377551A (en)2016-03-02
CN105377551B (en)2019-03-08
JP2022120162A (en)2022-08-17
CN109016739A (en)2018-12-18
JP2022046543A (en)2022-03-23
KR20160030253A (en)2016-03-16
JP2020128331A (en)2020-08-27
EP3046761A1 (en)2016-07-27
TW201509852A (en)2015-03-16
CN108127998A (en)2018-06-08

Similar Documents

PublicationPublication DateTitle
US12059870B2 (en)Light-weight hybrid glass laminates
EP2723562B1 (en)Light-weight hybrid glass laminates
JP2022120162A (en)Light-weight hybrid glass laminates
EP2627506B1 (en)Chemically-strengthened glass laminates
EP3137428B1 (en)Strengthened glass and compositions therefor
JP6466917B2 (en) Laminated glass structure with strong glass / polymer interlayer adhesion
KR102043438B1 (en)Glass laminate construction for optimized breakage performance
CN105980148A (en)Non-yellowing glass laminate structure
WO2013184897A1 (en)Laminated glass structures having high glass to polymer interlayer adhesion

Legal Events

DateCodeTitleDescription
121Ep: the epo has been informed by wipo that ep was designated in this application

Ref document number:14742702

Country of ref document:EP

Kind code of ref document:A1

ENPEntry into the national phase

Ref document number:2016525400

Country of ref document:JP

Kind code of ref document:A

NENPNon-entry into the national phase

Ref country code:DE

REEPRequest for entry into the european phase

Ref document number:2014742702

Country of ref document:EP

WWEWipo information: entry into national phase

Ref document number:2014742702

Country of ref document:EP

ENPEntry into the national phase

Ref document number:20167003191

Country of ref document:KR

Kind code of ref document:A


[8]ページ先頭

©2009-2025 Movatter.jp