Movatterモバイル変換


[0]ホーム

URL:


WO2014197781A2 - Biodegradable wire for medical devices - Google Patents

Biodegradable wire for medical devices
Download PDF

Info

Publication number
WO2014197781A2
WO2014197781A2PCT/US2014/041267US2014041267WWO2014197781A2WO 2014197781 A2WO2014197781 A2WO 2014197781A2US 2014041267 WUS2014041267 WUS 2014041267WWO 2014197781 A2WO2014197781 A2WO 2014197781A2
Authority
WO
WIPO (PCT)
Prior art keywords
wire
alloy
magnesium
based alloy
biodegradable
Prior art date
Application number
PCT/US2014/041267
Other languages
French (fr)
Other versions
WO2014197781A3 (en
Inventor
Jeremy E. Schaffer
Adam J. GRIEBEL
Original Assignee
Fort Wayne Metals Research Products Corp.
Priority date (The priority date is an assumption and is not a legal conclusion. Google has not performed a legal analysis and makes no representation as to the accuracy of the date listed.)
Filing date
Publication date
Application filed by Fort Wayne Metals Research Products Corp.filedCriticalFort Wayne Metals Research Products Corp.
Priority to US14/895,712priorityCriticalpatent/US20160138148A1/en
Publication of WO2014197781A2publicationCriticalpatent/WO2014197781A2/en
Publication of WO2014197781A3publicationCriticalpatent/WO2014197781A3/en

Links

Classifications

Definitions

Landscapes

Abstract

A bioabsorbable material composition includes magnesium (Mg), lithium (Li) and calcium (Ca). Lithium is provided in a sufficient amount to enhance material ductility, while also being provided in a sufficiently low amount to maintain corrosion resistance at suitable levels. Calcium is provided in a sufficient amount to enhance mechanical strength and/or further influence the rate of corrosion, while also being provided in a sufficiently low amount to preserve material ductility. The resultant ductile base material may be cold-worked to enhance strength, such as for medical applications. In one application, the material may be drawn into a fine wire, which may be used to create resorbable structures for use in vivo such as stents.

Description

BIODEGRADABLE WIRE FOR MEDICAL DEVICES
BACKGROUND
1. Technical Field.
[0001] The present invention relates to wire used in biomedical applications and, in particular, relates to a biodegradable composite wire for use in medical devices such as stents.
2. Description of the Related Art.
[0002] Stents are artificial tube-like structures that are deployed within a conduit or passage in the body to alleviate a flow restriction or constriction. Stents are commonly used in coronary arteries to alleviate blood flow restrictions resulting, e.g., from cardiovascular disease. However, stents may also be used in non-coronary vessels, the urinary tract and other areas of the body. Non-coronary applications range broadly from compliant pulmonary vessels of children with congenital heart disease (CHD), to atherosclerotic popliteal arteries of older patients with critical limb ischemia (CLI). Stented lesions may be long and tortuous as in the case of severe infrainguinal lesions, or short and relatively uniform as in mild pulmonary artery stenoses.
[0003] Examples of non-coronary stent applications include arteriovenous fistulas
(AVFs) or false aneurysms, which may occur as a result of trauma due to gunshot wounds, falling accidents, or other blunt force incident. Such phenomena often occur in the upper limbs of the body where lack of perfusion can manifest as gangrene, severe pain, or local cyanosis. Critical limb ischemia associated with atherosclerosis can also result in the need for radial or axillary artery stenting, for example, to avoid amputation or other more serious morbidities. In contrast to most thoracoabdominal implantation sites (such as in coronary arteries), upper and lower limb anatomy is typically subjected to greater range of motion, thereby potentially increasing mechanical fatigue. [0004] Typically, stents are made of either biocompatible metal wire(s) or polymeric fiber(s) which are formed into a generally cylindrical, woven or braided structure of the type shown in Figs. 1A and IB. These types of stents are typically designed to be either "self- expanding", in which the stent may be made of a shape memory material, for example, and deploys automatically by expanding upon removal of a constricting force when released from a containment device, or "balloon-expanding", in which the stent is forcibly expanded from within by an inflatable balloon.
[0005] When a stent is implanted, it applies a radial force against the wall of the vessel in which it is implanted, which improves vessel patency and reduces acute closure or increases vessel diameter. In either case, the vessel usually achieves a new equilibrium by biological remodeling of the vessel wall over a period of weeks or months. After such remodeling is complete, the stent may no longer be needed for mechanical support and could potentially inhibit further natural positive remodeling of the vessel or limit re-intervention, for example. However, removal of an implanted stent may be difficult.
[0006] Many known stents are formed of corrosion-resistant and substantially nonbiodegradable or non-bioresorbable metal materials which maintain their integrity in the body for many years after implantation. Design efforts for creating bioabsorbable stents have focused primarily on balloon-expandable technology for coronary pathologies, and may include polymer biodegradable stents using poly-L lactic acid (PLLA) and poly-L glycolic acid (PLGA), nutrient metals of magnesium (Mg), including alloys or powder metallurgy forms of magnesium, and iron (Fe), and iron-manganese (Fe-Mn) alloys. Some research methods have also focused on hybrids including layered biodegradable polymers and bioabsorbable polymer coated nutrient metals. While such materials are resorbable, their mechanical strength and resilience may be too low for some applications. In addition, existing bioabsorbable stent materials may confer inadequate control over the rate of bioabsorption for some applications (i.e., by biodegrading too slowly or too quickly after implantation).
[0007] Other applications for bioabsorbable materials, including nutrient metal bioabsorbable materials, include temporary fracture fixation devices such as bone plates. In some instances, it may be desirable for a bone plate to provide a designated level of mechanical strength during bone regrowth following a fracture, but to subsequently reduce or remove the mechanical support provided by the plate once the fracture has healed. Bioabsorbable bone plates may provide one mechanism for such variable mechanical strength.
[0008] What is needed is a biodegradable metallic material and wire having mechanical properties and degradation rate appropriate for use in biomedical applications, which represents an improvement over the foregoing.
SUMMARY
[0009] The present invention provides a bioabsorbable material composition including magnesium (Mg), lithium (Li) and calcium (Ca). Lithium is provided in a sufficient amount to enhance material ductility, while also being provided in a sufficiently low amount to maintain corrosion resistance at suitable levels. Calcium is provided in a sufficient amount to enhance mechanical strength and/or further influence the rate of corrosion, while also being provided in a sufficiently low amount to preserve material ductility. The resultant ductile base material may be cold-worked to enhance strength, such as for medical applications. In one application, the material may be drawn into a fine wire, which may be used to create resorbable structures for use in vivo such as stents.
[0010] In one exemplary application, the Mg-Li-Ca material may be used as one or more constituents of a composite wire including, in cross-section, an outer shell or tube formed of a first biodegradable material and an inner core formed of a second biodegradable material. Both the shell and core may be adapted to resorb or disappear after post-operative vessel healing has occurred and vessel patency has been restored, or the shell may be the only resorbable component.
[0011] Other materials suitable for use in the composite wire include nutrient-metal- composites and alloys of pure iron, manganese, magnesium, and zinc. Particular metals or metal alloys may be selected to provide a desired biodegradation rate and desired mechanical properties. The total rate of biodegradation of the wire, and therefore the duration of the overall mechanical integrity of the wire, may be controlled by the relative cross-sectional areas (i.e., the relative thicknesses) of the outer sheath and core material relative to the overall cross-sectional area of the wire. [0012] When formed into a stent, for example, the first and second biodegradable materials of the composite wire may be different, and may have differing biodegradation rates. The first biodegradable material may degrade relatively slowly for retention of the mechanical integrity of the stent during vessel remodeling, and the second biodegradable material may degrade relatively quickly. The biodegradation rates may be inherently controlled, such as by selection of materials, and also may be mechanically controlled, such as by material thicknesses and the geometric configuration of the shell, core, or overall device.
[0013] The mechanical strength of the wire may be controlled to impart either a self- expanding character to a braided or knit stent device made from the wire, or may be controlled to provide a high strength wire for use in balloon-expandable wire-based stents. The mechanical strength and elastic resilience of the wire can be significantly impacted through
thermomechanical processing.
[0014] In one form thereof, the present invention provides a magnesium-based alloy wire, comprising: between 3 wt. % lithium and 7 wt. % lithium; between 0.1 wt. % calcium and 1 wt.% calcium; and balance magnesium and trace impurities.
[0015] In one aspect, the magnesium-based alloy wire may have about 0.25% calcium, which may exhibit sufficient ductility to undergo 98% cold work without fracture. For an alloy formed as a wire product having 98% retained cold work, the wire may have a yield strength reaching 276 MPa and/or an ultimate tensile strength reaching 334 MPa.
[0016] In another aspect, the magnesium-based alloy wire ma have about 1 wt. % calcium, which may exhibit sufficient ductility to undergo 88% cold work without fracture. For an alloy formed as a wire product having 98% retained cold work, the wire may have a yield strength reaching 240 MPa and/or an ultimate tensile strength reaching 271 MPa.
[0017] In other aspects, the magnesium-based alloy wire may further include between 0.9 wt. % and 5 wt. % aluminum, between 0.25 wt. % and 7 wt. % rare earth metal, between 0.10 wt. % and 6 wt. % zinc, between 0.10 wt. % and 1 wt. % manganese, between 0.10 wt. % and 1 wt. % zirconium, or any combination of the foregoing, except that zirconium is not alloyed with the with alloys which also contain aluminum or manganese.
[0018] In yet another aspect, the magnesium-based alloy wire may have a diameter up to
2.5 mm, or may be a fine wire having a diameter between 20 μιη and 1 mm. [0019] In still another aspect, the magnesium-based alloy wire may be formed into or included as part of a stent structure.
[0020] In another form thereof, the present disclosure provides a bimetal composite wire, comprising: an outer shell formed of a first biodegradable metallic material; and an inner core formed of a second biodegradable metallic material, said first and second biodegradable metallic materials being different from one another whereby said first and second biodegradable metallic materials have differing biodegradation rates, and one of said first and second biodegradable materials comprising a magnesium-based alloy selected from the group consisting of: a Mg-Li- Ca alloy having between 3.0 wt. % and 7.0 wt. % Li and between 0.10 wt. % and 1.0 wt. % Ca; a Mg-Li-Ca-RE alloy having between 3.0 wt. % and 7.0 wt. % Li, between 0.10 wt. % and 1.0 wt. % Ca, and between 0.25 wt. % and 7.0 wt. % RE, wherein "RE" is at least one rare earth element; a Mg-Li-Ca-Al alloy having between 3.0 wt. % and 7.0 wt. % Li and between 1.0 wt. % and 6.0 wt. % combined Al and Ca including 0.10 to 1.0 wt. % Ca and 0.9 wt. % to 5.0 wt. % Al; and a Mg-Li-Al-Ca-RE alloy having between 3.0 wt. % and 7.0 wt. % Li, between 1.0 wt. % and 6.0 wt. % combined Al and Ca including 0.10 to 1.0 wt. % Ca and 0.9 wt. % to 5.0 wt. % A, and between 0.25 wt. % and 7.0 wt. % RE, wherein "RE" is at least one rare earth element.
[0021] In one aspect, the magnesium-based alloy the bimetal composite wire has an ultimate tensile strength reaching 334 MPa.
[0022] In another aspect, the other of said first and second biodegradable materials is selected from the group consisting of pure metallic iron (Fe) and an iron-based alloy (Fe alloy).
[0023] In yet another aspect, the outer diameter of the outer shell is less than 1 mm.
[0024] In still another aspect, the bimetal composite wire may be formed into or included as part of a stent structure.
[0025] In yet another embodiment thereof, the present disclosure provides a method of manufacturing a wire, including providing an outer shell made of a first biodegradable material; inserting a core into the outer shell to form a wire construct, the core formed of a second biodegradable material, the first and second biodegradable materials being different from one another, one of the first and second biodegradable materials comprising a magnesium-based alloy selected from the group consisting of: a Mg-Li-Ca alloy having between 3.0 wt. % and 7.0 wt. % Li and between 0.10 wt. % and 1.0 wt. % Ca; a Mg-Li-Ca-RE alloy having between 3.0 wt. % and 7.0 wt. % Li, between 0.10 wt. % and 1.0 wt. % Ca, and between 0.25 wt. % and 7.0 wt. % RE, wherein "RE" is at least one rare earth element; a Mg-Li-Ca-Al alloy having between 3.0 wt. % and 7.0 wt. % Li and between 1.0 wt. % and 6.0 wt. % combined Al and Ca including 0.10 to 1.0 wt. % Ca and 0.9 wt. % to 5.0 wt. % Al; and a Mg-Li-Al-Ca-RE alloy having between 3.0 wt. % and 7.0 wt. % Li, between 1.0 wt. % and 6.0 wt. % combined Al and Ca including 0.10 to 1.0 wt. % Ca and 0.9 wt. % to 5.0 wt. % A, and between 0.25 wt. % and 7.0 wt. % RE, wherein "RE" is at least one rare earth element.
[0026] In one aspect, cold work may be imparted to the wire construct at room
temperature by drawing the wire construct from a first outer diameter to a second outer diameter less than the first outer diameter. The wire construct may then be annealed.
[0027] In another aspect, the method may include forming the bimetal composite wire into a stent.
[0028] In yet another aspect, the other of said first and second biodegradable materials may be selected from the group consisting of pure metallic iron (Fe) and an iron-based alloy (Fe alloy).
BRIEF DESCRIPTION OF THE DRAWINGS
[0029] The above mentioned and other features and objects of this invention, and the manner of attaining them, will become more apparent and the invention itself will be better understood by reference to the following description of embodiments of the invention taken in conjunction with the accompanying drawings, wherein:
[0030] Figs. 1 A is a perspective view of a braided stent;
[0031] Figs. IB is a perspective view of a knitted stent;
[0032] Fig. 2 is a partial cross-sectional view of a composite wire made in accordance with the present disclosure;
[0033] Fig. 3 is a schematic view illustrating an exemplary forming process of the composite wire of Fig. 2, using a lubricated drawing die;
[0034] Fig. 4a is an elevation, cross-sectional view of a wire made from a solid, monolithic material a having diameter Dw and radius R ; [0035] Fig. 4b is an elevation, cross-sectional view of a composite wire made in accordance with the present disclosure, in which the wire defines diameter Dw and includes a core fiber made from a first material β and a shell surrounding the core fiber and made from a second material a, in which the thickness Ti of the shell creates a surface area occupying 75% of the total cross-sectional area of the wire (β-25 v/v% a);
[0036] Fig. 4c is an elevation, cross-sectional view of a composite wire made in accordance with the present disclosure, in which the wire defines diameter Dw and includes a core fiber made from a first material β and a shell surrounding the core fiber and made from a second material a, in which the thickness Ti of the shell creates a surface area occupying 43% of the total cross-sectional area of the wire (β-57 v/v% a);
[0037] Fig. 4d is an elevation view illustrating the geometry of a braided stent having diameter Ds, the stent comprising 24 wire elements formed into a mesh tubular scaffold, in accordance with the present disclosure;
[0038] Fig. 5a is a graph illustrating tensile test results for sample materials, including engineering stress-strain plots for four Mg-Li alloy wire materials made in accordance with the present disclosure; and
[0039] Fig. 5b is a graph illustrating computed tensile stress, including ultimate tensile strength and yield strength, for each of four Mg-Li alloy wire materials made in accordance with the present disclosure.
[0040] Corresponding reference characters indicate corresponding parts throughout the several views. Although the exemplifications set out herein illustrate embodiments of the invention, the embodiments disclosed below are not intended to be exhaustive or to be construed as limiting the scope of the invention to the precise form disclosed.
DETAILED DESCRIPTION
[0041] The present disclosure provides bioabsorbable wires including a magnesium- lithium-calcium (Mg-Li-Ca) alloy material which, when used to create a wire-based stent, produce dilatational force sufficient to promote arterial remodeling and patency, while also being capable of fully biodegrading over a specified period of time. This controlled biodegradation promotes endothelial vasoreactivity, improved long term hemodynamics and wall shear stress conditions, enablement of reintervention and accommodation of somatic growth, and mitigates fracture risk over the long term. In one particular exemplary material, lithium content of the magnesium-based alloy may be as little as 3.0 wt. %, 3.5 wt. %, 4.0 wt. %, 4.5 wt. %, 5.0 wt. %, 5.2 wt. % or 5.4 wt. %, and as much as 5.6 wt. %, 5.8 wt. %, 5.9 wt. %, 6.0 wt. %, 6.2 wt. %, 6.4 wt. %, 6.6 wt. %, 6.8 wt. % or 7.0 wt. %, or may be any percentage within any range defined by any of the foregoing values. The magnesium-based alloy also includes calcium in an amount up to 1 wt. %, and may further include up to 4 wt. % Al, and/or up to 7 wt. % RE, where "RE" is rare earth metals as described herein.
Terminology
[0042] As used herein, "biodegradable," "bioabsorbable" and "bioresorbable" all refer to a material that is able to be chemically broken down in a physiological environment, i.e., within the body or inside body tissue, such as by biological processes including resorption and absorption. This process of chemical breakdown will generally result in the complete degradation of the material and/or appliance within a period of weeks to months, such as 18 months or less, 24 months or less, or 36 months or less, for example. Biodegradable metals used herein include nutrient metals, i.e., metals such as iron, magnesium, manganese and alloys thereof, such as alloys including lithium as described in detail below. Nutrient metals and metal alloys are those which have biological utility in mammalian bodies and are used by, or taken up in, biological pathways.
[0043] By contrast, "non-biodegradable" materials are materials which cannot be broken down and eliminated from the body by normal biological processes. While non-biodegradable materials may experience some corrosion in vivo, their rate of corrosion stands in contrast to biodegradable materials discussed above. Specifically, non-biodegradable materials are degradation resistant and may be considered "permanent" when used for medical devices.
Example non-biodegradable materials include nickel-titanium alloys ("Ni-Ti") and stainless steel, which remain in the body, structurally intact, for a period exceeding at least 36 months and potentially throughout the lifespan of the recipient. [0044] The present Mg-Li-Ca alloys primarily include biodegradable elements, with the potential addition of aluminum (Al) and rare-earth metals (RE) which are biocompatible but would be non-biodegradable on their own. Al and RE are rendered into a biodegradable form by virtue of the overall chemical structure of the present Mg-Li-Ca-(A1)-(RE) materials discussed in detail below. For purposes of the present disclosure, "biocompatible" refers to materials which, in the amounts specified below, will not cause toxicity or other adverse biological effects when implanted within a mammalian body as part of a medical device. By contrast, non- biocompatible materials are those materials which are known to cause harm when introduced in mammalian bodies in larger than trace amounts. For purposes of the present disclosure, example non-biocompatible metals include lead (Pb) and cadmium (Cd). The present Mg-Li-Ca alloys include only biocompatible materials, and do not include non-biocompatible materials beyond trace impurities as further described below.
[0045] As used herein, "wire" or "wire product" encompasses continuous wire and wire products which may be continuously produced and wound onto a spool for later dispensation and use, such as wire having a round cross section and wire having a non-round cross section, including flat wire or ribbon. "Wire" or "wire product" also encompasses other wire-based products such as strands, cables, coil, and tubing, which may be produced at a particular length depending on a particular application. In some exemplary embodiments, a wire or wire product in accordance with the present disclosure may have a diameter up to 2.5 mm. In addition to wire and wire products, the principles of the present disclosure can be used to manufacture other material forms such as rod materials having a diameter greater than 2.5 mm up to 20 mm. Thin material sheets may also be made. Exemplary tubing structures may be in wire form or rod form, with inside diameters ranging from 0.5 mm to 4.0 mm, and wall thicknesses ranging from 0.100 mm to 1.00 mm.
[0001] As used herein, "fine wire" is a wire having a diameter between 20 μιη and 1 mm.
Where the wire does not have a circular cross-section (e.g., a flat ribbon wire construct or a wire construct with a polygonal cross-section), the diameter of the wire is considered to be the diameter of the smallest circle that may be circumscribed around the wire construct.
[0046] As used herein, "fatigue strength" refers to the load level at which the material meets or exceeds a given number of load cycles to failure. Herein, the load level is given as alternating strain, as is standard for displacement or strain-controlled fatigue testing, whereby terms are in agreement with those given in ASTM E606, the entirety of which is incorporated herein by reference.
[0047] As used herein, a "load cycle" is one complete cycle wherein an unloaded
(neutral) material is 1) loaded in tension to a given level of alternating stress or strain, 2) unloaded, 3) loaded again in compression to the same level of alternating stress or strain, and 4) returned to the neutral, externally unloaded position.
[0048] As used herein, "alternating strain" refers to the difference between the mean strain and the minimum strain level or the difference between the maximum strain and the mean strain in a strain-controlled fatigue cycle, where units are non-dimensional and given as percent engineering strain.
[0049] As used herein, "engineering strain" is given non-dimensionally as the quotient where the differential length associated with the load is the dividend and original length the divisor.
[0050] As used herein, "resilience" refers to an approximate quantification of the uniaxial elastic strain capability of a given wire test sample, and is calculated as the quotient of yield strength and modulus of elasticity, wherein yield strength is the dividend and modulus the divisor. Units are non-dimensional.
[0051] As used herein, "elastic modulus" is defined as Young's modulus of elasticity and is calculated from the linear portion of the tensile, monotonic, stress-strain load curve using linear extrapolation via least squares regression, in accordance with ASTM El 11, the entirety of which is incorporated herein by reference. Units are stress, in gigapascals (GPa).
[0052] As used herein, "yield strength" or "YS" refers to the 0.2% offset yield strength calculated from the stress-strain curve in accordance with ASTM E8, the entirety of which is incorporated herein by reference. Yield strength gives a quantitative indication of the point at which a material begins to plastically deform. Units are stress, in mega-Pascals (MP a).
[0053] As used herein, "ultimate strength" or "UTS" refers to the maximum engineering stress required to overcome in order to rupture the material during uniaxial, monotonic load application in accordance with ASTM E8, the entirety of which is incorporated herein by reference. Units are stress, in mega-Pascals (MPa). [0054] As used herein, "elongation" is the total amount of strain imparted to a wire during a uniaxial, monotonic tensile test, en route to specimen rupture, and is defined herein in accordance with ASTM E8, the entirety of which is incorporated herein by reference. Units are non-dimensional, and are given as a percentage strain relative to the original specimen length.
[0055] As used herein, "magnesium ZM21" refers to magnesium ZM21 alloy, otherwise known as ZM-21 or simply ZM21 alloy, which is a medium-strength forged Magnesium alloy comprising 2 wt. % Zn, 1 wt. % Mn and a balance of Mg.
[0056] As used herein, "RE" refers to the rare earth elements given in the periodic table of elements and including elements such as Scandium, Yttrium, and the fifteen lanthanides, i.e. La, Ce, Pr, Nd, Pm, Sm, Eu, Gd, Tb, Dy, ..., to Lu.
[0057] "Nitinol" is a trade name for a shape memory alloy comprising approximately 50 atomic % Nickel and balance Titanium, also known as NiTi, commonly used in the medical device industry for highly elastic implants.
[0058] "DFT®" is a registered trademark of Fort Wayne Metals Research Products Corp. of Fort Wayne, IN, and refers to a bimetal or poly-metal composite wire product including two or more concentric layers of metals or alloys, typically at least one outer layer disposed over a core filament formed by drawing a tube or multiple tube layers over a solid metallic wire core element.
Product Construction
[0059] Material made in accordance with the present disclosure may be formed into wire products, such as fine-grade wire having an overall diameter D (Figs. 4a-4d) of less than 1 mm. In one embodiment, a monolithic wire 31 (Fig. 4a) made of a biodegradable Mg-Li-Ca material in accordance with the present disclosure may have a uniform size and cross-sectional geometry along its axial length, such as the round cross-sectional shape having outer diameter Dw as depicted. In another embodiment, a bimetallic composite wire 30 may be formed with separate core component 34 and shell component 32, with at least one of the components made of a Mg- Li-Ca alloy as further described below.
[0060] Although round cross-sectional wire forms are shown in Figs. 4a-4d and described further below, it is contemplated that non-round wire forms may also be produced using the materials disclosed herein. For example, ribbon materials having rectangular cross- sectional shapes may be produced. Other exemplary forms include other polygonal cross- sectional shapes include square cross-sectional shapes.
[0061] Still other products formed from the present materials may not be in wire form.
Some such products include sheets or plates (e.g., of a size used for mending various long bones or other bony structures, including skulls), prosthetic structures such as intramedullary rods or stems, structural materials such as rods, springs and the like, and other products in which a ductile and/or high-strength magnesium alloy may be desirable.
1. Magnesium Alloyed With Lithium and Calcium (Mg-Li-Ca)
[0062] Regardless of the product shape or size, at least a portion of a product made in accordance with the present disclosure includes or is made of a biodegradable Mg-Li-Ca alloy suitable for in vivo use. The inclusion of lithium in the present alloy promotes the formation of the body-centered-cubic beta phase to enhance the ductility of magnesium alloy. The addition of lithium in amounts between 3 wt. % and 7 wt. % balances the need for particular mechanical properties in implantable devices, while maintaining an acceptable biodegradation rate and lithium exposure rate within the patient. Lithium content of the present Mg-Li-Ca alloy may be may be as little as 3.0 wt. %, 3.5 wt. %, 4.0 wt. %, 4.5 wt. %, 5.0 wt. %, 5.2 wt. % or 5.4 wt. %, and as much as 5.6 wt. %, 5.8 wt. %, 5.9 wt. %, 6.0 wt. %, 6.2 wt. %, 6.4 wt. %, 6.6 wt. %, 6.8 wt. % or 7.0 wt. %, or may be any percentage within any range defined by any of the foregoing values.
[0063] Generally speaking, it is understood that the crystal structure of the present Mg-
Li-Ca alloy, if induced to change from hexagonal close packed (HCP) phase to a body-centered cubic (BCC) phase, will experience an increase in ductility. Further, it is understood that in alloy materials containing between 6 and 10.5 wt. % Li, the material will contain both HCP and BCC phases, and in alloy materials containing more than 10.5 wt. % Li, the material will be entirely in the BCC phase.
[0064] On the other hand, lithium levels sufficient to cause BCC phase to appear in Mg-
Li-Ca alloys also contribute to increased cost, reduced material strength, increased corrosion rate in vivo and increased reactivity with surrounding elements. [0065] In the present Mg-Li-Ca alloy, it has been found that an increase in ductility as compared to magnesium alone can be achieved with as little as 3 wt. % Li. Moreover, as set forth in greater detail below, this increase is sufficient to provide enhanced workability of the alloy, thereby increasing the potential level of cold-work-induced strengthening (which may be accomplished by, e.g., swaging, rolling, or wire drawing). In exemplary embodiments of Mg-Li- Ca alloys described herein, lithium is provided in a sufficient amount to enhance material ductility by reducing the c/a lattice parameter ratio of the hexagonal-close-packed crystal lattice. The c/a ratio relates to the relative distance between atoms within the stacking plane (basal, "a") and distance between atoms across stacking planes (prismatic, "c"). A lower c/a ratio indicates reduced crystal anisotropy, facilitates additional modes of slip, and contributes to the observed increase in ductility. In some exemplary embodiments of Mg-Li-Ca alloys described herein, the provision of lithium between 3% and 7% may also induce a secondary body-centered-cubic crystal structure, further enhancing ductility.
[0066] At the same time, Mg composited with less than 7 wt. % Li maintains a very low overall reactivity with surrounding elements, thereby rendering the resulting material suitable for use in long-term, in vivo, and/or harsh-environment applications.
[0067] Calcium is the third base constituent of the present Mg-Li-Ca, and benefits the material with increased strength and/or a slowed rate of corrosion. For example, slower in vivo degradation rates offered by the addition of Ca to the present Mg-Li-Ca alloys may be beneficial in stents used to treat medical conditions with a relatively long recovery time. More generally, the slowed corrosion rate of the present Mg-Li-Ca alloys may also confer benefits to medical devices made from, or including, thin wire (e.g., wire having a diameter less than 100 μιη). Thin materials may require a relatively slow degradation rate to maintain a desired in vivo service life, which can be influenced by the Ca content. In still other applications, an increase in mechanical strength may be gained by including Ca in the present Mg-Li-Ca alloys to impart additional mechanical force within the body (e.g., by allowing an expanded stent to impart a greater radial force on an adjacent vessel wall). Moreover, application- specific tuning of the corrosion rate may be possible by varying Li and Ca contents of the present Mg-Li-Ca alloys.
[0068] In addition, calcium, which is a nutrient metal, can be included in the present Mg-
Li-Ca alloys to improve the overall biocompatibility profile of the alloy. [0069] Increasing levels of calcium in the present Mg-Li-Ca alloy, from zero to 1.0 wt.
%, contributes to corresponding increases in strength and corrosion resistance and may be varied within this range as needed for a particular application. In the present Mg-Li-Ca alloys, the addition of calcium may be as little as 0.1 wt. %, 0.2 wt. % or 0.25 wt. %, or as much as to 0.5 wt. %, 0.75 wt. % or 1 wt. %, or may be any percentage within any range defined by any of the foregoing values.
[0070] Maintaining calcium levels at or below 1 wt. % Ca avoids material brittleness and preserves the ability of the resulting alloy material to be cold worked (as further described below). Moreover, it is noted that the solubility level of Ca in Mg is 1.34 wt. %, and Mg alloys made with calcium amounts exceeding this level may become even more brittle due to the creation of Mg2Ca secondary phases.
[0071] In one particular exemplary embodiment, the present Mg-Li-Ca-(A1)-(RE) alloy includes 0.25 wt. % Ca, which has been found to provide an increase in ultimate tensile strength over the present binary Mg-Li-Ca alloy, enhance the amount of cold work (which may alternatively be expressed as true strain, as noted below) that the material may undergo without fracture, and increase the material's ductility at the high levels of cold deformation (quantified by the material's ability to elongate, as a percentage of original length, prior to fracture). For example, Table 1 shows a comparison of binary Mg-Li-Ca material having 6 wt. % Li and balance Mg (Mg-6Li), tertiary Mg-Li-Ca material having 6 wt. % Li, 0.25 wt. % Ca and balance Mg (Mg-6Li-0.25Ca), and tertiary Mg-Li-Ca material having 6 wt. % Li, 1 wt. % Ca and balance Mg (Mg-6Li-lCa). As illustrated, all three alloys showed relatively high levels of cold workability, strength and ductility, with Mg-6Li-0.25Ca superior to the other two materials on all counts. Mg-6Li-lCa demonstrated lower cold workability, strength and ductility as compared to both the Mg-6Li-0.25Ca tertiary and Mg-6Li binary alloys.
Table 1. Calcium addition to Mg-Li alloys influences ductility and strength.
Figure imgf000015_0001
2. Addition of Aluminum (Al) to the Present Mg-Li-Ca Alloys
[0072] Aluminum may be a constituent of the present Mg-Li-Ca alloy (i.e., Mg-Li-Ca-
Al) for certain applications where a substantial strength increase and/or slowed rate of corrosion are required or desired. In particular, it is contemplated that for some in vivo applications, a potential reduction in corrosion resistance caused by the lithium of the present Mg-Li-Ca alloys can be mitigated by an addition of aluminum up to about 5.0 wt. %.
[0073] Increasing levels of aluminum in the present Mg-Li-Ca- Al alloy, from zero to 5.0 wt. %, contributes to corresponding increases in strength and corrosion resistance and may be varied within this range as needed for a particular application. In the present Mg-Li-Ca alloys, the addition of aluminum may be as little as 0.9 wt. %, 2 wt. % or 3.5 wt. %, or as much as 4 wt. %, 4.5 wt. % or 5 wt. %, or may be any percentage within any range defined by any of the foregoing values. Slowed corrosion rates and increased strength are desirable in some in vivo applications as noted above with respect to calcium. Aluminum up to about 1.0 wt. % can be used in lieu of, or in addition to, calcium in the present Mg-Li-Ca alloys in order to achieve a desired mechanical strength and/or rate of corrosion for a particular in vivo application.
[0074] Maintaining aluminum levels at or below 5 wt. % in the present Mg-Li-Ca- Al alloys alleviates biocompatibility concerns. In particular, it is noted that excessive levels of aluminum in implanted medical devices may be undesirable. In the present Mg-Li-Ca alloys, aluminum is provided at a relatively low level to avoid undesirable levels while realizing the benefits set forth above.
3. Addition of Rare Earth Elements (RE) to the Present Mg-Li-Ca Alloys
[0075] Rare Earth (RE) elements, consisting of the lanthanides groups, may be employed in the present Mg-Li-Ca alloys to impart grain refinement and dispersion strengthening, and thereby benefit material strength and corrosion resistance.
[0076] Increasing levels of RE in the present Mg-Li-Ca alloy, from zero to 7.0 wt. %, contributes to corresponding increases in strength and corrosion resistance and may be varied within this range as needed for a particular application. In an exemplary embodiment, additions of RE elements may be used in amounts as little as 0.25 wt. %, 0.5 wt. % or 1.0 wt. %, and as much as 3.0 wt. %, 5.0 wt. % or 7.0 wt. %, or may be any percentage within any range defined by any of the foregoing values.
[0077] Maintaining RE levels at or below 7.0 wt. % in the present Mg-Li-Ca alloys alleviates biocompatibility concerns. In particular, it is noted that excessive levels of certain RE elements (e.g., cerium, praseodymium, and yttrium) in implanted medical devices may be undesirable. In the present Mg-Li-Ca alloys, RE elements are provided at a relatively low level while realizing the benefits set forth above.
5. Addition of Zinc (Zn) to the Present Mg-Li-Ca Alloys
[0078] Zn may be alloyed with the present Mg-Li-Ca materials to improve the strength of the alloy by either solid-solution strengthening or precipitation hardening. Adding Zn also improves the corrosion resistance of the present Mg-Li-Ca by overcoming otherwise detrimental effects of certain impurities, including Fe and Ni. Zn is also a nutrient metal, mitigating or eliminating any biocompatibility concerns.
[0079] In the present Mg-Li-Ca materials, Zn content is provided in amounts of at least
0.10 wt. % but less than 6 wt. %, which is the maximum amount used within the limits of metallurgical value of Zn additions, as noted above.
6. Addition of Manganese (Mn) to the Present Mg-Li-Ca Alloys
[0080] Mn may be alloyed with the present Mg-Li-Ca materials to improve corrosion resistance by overcoming otherwise detrimental effects of certain impurities, including Fe and Ni. Mn is also a nutrient metal, mitigating or eliminating any biocompatibility concerns.
[0081] In the present Mg-Li-Ca materials, Mn is provided in amounts of at least 0.10 wt.
% but less than 1 wt. %, which is its solubility limit.
7. Addition of Zirconium (Zr) to the Present Mg-Li-Ca Alloys
[0082] Zr may be alloyed with the present Mg-Li-Ca materials to refine the grain size of the material. The resulting refined grain size can be used to improve strength and ductility, reduce corrosion rate, and improve fatigue performance as required or desired for a particular application. In exemplary embodiments, Zr is not alloyed with the present Mg-Li-Ca materials if they also contain Al or Mn, in order to avoid the formation of secondary phases. However, Zr may be used in the present Mg-Li-Ca tertiary materials, as well as those also containing Zn or RE. In the present Mg-Li-Ca materials, Zr is provided in amounts of at least 0.10 wt. % but less than 1 wt. %.
[0083] For purposes of the present disclosure, reference to "the present Mg-Li-Ca alloys" refers to alloys including magnesium, lithium and calcium in the amounts discussed above, as well as alloys including one or more of aluminum and RE in any combination, in the respective amounts discussed above, with balance magnesium. Thus, the present Mg-Li-Ca alloys can be expressed as Mg-Li-Ca-(A1)-(RE), where parens indicate the optional status of Al and RE.
[0084] Exemplary Mg-Li-Ca alloys in accordance with the present disclosure include the following and exclude all other elements not listed, except for trace impurities (e.g., any amount less than 500 parts per million or 0.05 wt. %).
- A Mg-Li-Ca alloy having between 3.0 wt. % and 7.0 wt. % Li as described above, and between 0.10 wt. % and 1.0 wt. % Ca as described above. In one exemplary
embodiment, the Mg-Li-Ca alloy is 93.75 wt. % Mg - 6 wt. % Li - 0.25 wt. % Ca or 93 wt. % Mg - 6 wt. % Li - 1 wt. % Ca.
- A Mg-Li-Ca-RE alloy having between 3.0 wt. % and 7.0 wt. % Li as described above, between 0.10 wt. % and 1.0 wt. % Ca as described above, and between 0.25 wt. % and 7.0 wt. % RE as described above.
- A Mg-Li-Ca- Al alloy having between 3.0 wt. % and 7.0 wt. % Li as described above, and between 1.0 wt. % and 6.0 wt. % combined Al and Ca, including 0.10 wt. % to 1.0 wt. % Ca and 0.9 wt. % to 5 wt. % Al as described above.
A Mg-Li-Ca- Al- RE alloy having between 3.0 wt. % and 7.0 wt. % Li as described above, between 1.0 wt. % and 6.0 wt. % combined Al and Ca including 0.10 wt. % to 1.0 wt. % Ca and 0.9 wt. % to 5 wt. % Al as described above, and between 0.25 wt. % and 1.0 wt. % RE as described above.
Wire Constructs Including Mg-Li-Ca-(A1)-(RE)
[0085] An alloy in accordance with the present disclosure may first be formed in bulk, such by casting an ingot, continuous casting, or thixomolding of the desired material. [0086] This bulk material is then formed into a suitable pre-form material (e.g., a rod, plate or hollow tube) by hot- working the bulk material into the desired pre-form size and shape. For example, the ingot may be melted using an arc-melting, cold crucible technique in order to cast rod stock. The rod stock may then be subjected to one or more iterations of warm or hot working, such as forging or hot extrusion, in order to effect a large area reduction (e.g., 8: 1) resulting in an intermediate rod stock. For purposes of the present disclosure, warm or hot working is accomplished by heating the material to an elevated temperature above room temperature and performing desired shaping and forming operations while the material is maintained at the elevated temperature. Full annealing may optionally be performed after hot working to achieve equiaxed microstructure.
[0002] This intermediate rod stock may then be subjected to conventional iterative cold working and annealing, as further described below, to create an initial coarse wire structure ready for final processing. Each iterative cold work process imparts cold work which is stored in the material microstructure, as further described herein, and this stored cold work is relieved by fully annealing the material between draws, thereby enabling the next iterative cold working process. In full annealing, the cold- worked material is heated to a temperature sufficient to substantially fully relieve the internal stresses stored in the material, thereby relieving the stored cold work and "resetting" cold work to zero.
[0003] In addition to a coarse wire material, other forms and shapes may be produced by similar repetitive cold-forming and annealing cycles. Constructs of potential use in a medical device include rods, wires, tubes, sheets or plate products.
[0004] For the present Mg-Li-Ca materials, full annealing is accomplished at a temperature about 350 °C for at least 60 minutes. Alternatively, a full anneal can be
accomplished with a higher temperature, such as between 375 °C and 400 °C, for a shorter time, such as between 60 seconds and 30 minutes. Of course, a relatively higher temperature annealing process can utilize a relatively shorter time to achieve a full anneal, while a relatively lower temperature will typically utilize a relatively longer time to achieve a full anneal. In addition, annealing parameters can be expected to vary for varying wire diameters, with smaller diameters shortening the time of anneal for a given temperature. Whether a full anneal has been accomplished can be verified in a number of ways as well known in the art, such as microstructural examinations using scanning electron microscopy (SEM), mechanical testing for ductility, strength, elasticity, etc., and other methods.
[0087] The resulting coarse wire material may then be finally processed into a final form, such as a fine wire suitable for integration into a stent or other medical device. Exemplary wire constructs are described in further detail below.
1. Monolithic Wires
[0088] Fig. 4a illustrates a cross-section of monolithic wire 31 , made entirely of a first material a having outer cross-sectional diameter D - Monolithic wire material 31 is made of the present Mg-Li-Ca alloy, and may have finished diameter D and an axial length as required or desired for a particular application. The production, characteristics and use of wire 31 is described in detail below.
[0089] Starting with a coarse, initial wire construct as described above, the present Mg-
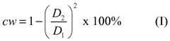
Li-Ca material may be formed into a final wire construct by final drawing and/or annealing to produce a monolithic wire ready to be used in vivo. For purposes of the present disclosure, cold- working methods effect material deformation at or near room temperature, e.g. 20-30 °C. The total cold work imparted to monolithic wire 31 during a drawing step can be characterized by the following formula (I):
Figure imgf000020_0001
wherein "cw" is cold work defined by reduction of the original material area, "D2" is the outer cross-sectional diameter of the wire after the draw or draws, and "Di" is the outer cross-sectional diameter of the wire prior to the same draw or
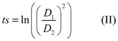
[0090] True strain is an alternative expression of total imparted cold work. True strain is calculated according to the following formula (II):
Figure imgf000020_0002
wherein "ts" is cold work expressed as true strain, "In" is the natural logarithm operator, and Di and D2 are the diameter prior to cold work conditioning and after cold work conditioning respectively. Further discussion of exemplary cold work conditioning processes are presented in U.S. Patent Application Publication No. 2010/0075168, entitled FATIGUE DAMAGE
RESISTANT WIRE AND METHOD OF PRODUCTION THEREOF, filed September 18, 2009, and assigned to the present assignee, the disclosure of which is hereby expressly incorporated by reference herein in its entirety.
[0091] Referring to Fig. 3A, the cold work step may be performed by the illustrated drawing process. Wire 31 is drawn through a lubricated die 36 having an output diameter D2, which is less than initial diameter Di of wire 31 prior to the drawing step. The outer diameter of wire 31 is accordingly reduced from pre-drawing diameter Di to drawn diameter D2, imparting cold work cw and true strain ts as set forth in equations (I) and (II) above, draws. If the drawing step is the final step of imparting cold work to create a finished wire, diameter D2 at the output of die 36 equals diameter Dw of monolithic wire 31 (Fig. 4a).
[0092] Although wire drawing is the illustrated method of introducing cold work cw into the material of wire 31 , it is contemplated that cold work may be imparted by a number of other processes within the scope of the present disclosure. For example, net cold work may be accumulated in wire 31 by cold-swaging, rolling the wire (e.g., into a flat ribbon or into other shapes), extrusion, bending, flowforming, or pilgering. Cold work may also be imparted by any combination of techniques including the techniques described here, for example, cold-swaging followed by drawing through a lubricated die finished by cold rolling into a ribbon or sheet form or other shaped wire forms. In one exemplary embodiment, the cold work step by which the diameter of wire 31 is reduced from Di to D2 is performed in a single draw and, in another embodiment, the cold work step by which the diameter of wire 31 is reduced from Di to D2 is performed in multiple draws (e.g., through lubricated dies having successively smaller output diameters) which are performed sequentially without any annealing step therebetween.
[0093] Thermal stress relieving, otherwise known in the art as annealing, at a nominal temperature not exceeding the melting point of either the first or second materials, may be used to improve the ductility of wire 31 after cold work application. The softening point of the present Mg-Li-Ca materials, and therefore their behavior during an annealing process of a particular time and temperature, can be controlled by introducing a particular amount of cold work into the wire material. As noted above, deformation energy is stored in the cold-worked structure as accumulated cold work, and this energy serves to reduce the amount of thermal energy required for stress relief of the wire material.
[0094] For certain exemplary Mg-Li-Ca materials, the above-described cold work processing facilitates annealing of the composite structure at temperatures in the range of 60 to 80% of the melting point of the material, e.g., between about 200 °C and 400 °C. The time of annealing may be between 1 second and 60 minutes, with lower temperatures resulting in longer annealing times and higher temperatures resulting in shorter annealing time, as described in detail above. Moreover, the particular annealing time and temperature will also depend on the specific wire material and wire size, as also noted above. The annealing parameters may be chosen on a case-by-case basis to provide the desired ductility and strength.
[0095] Post-cold- work annealing may be used for applications in which a wire with annealed mechanical properties (i.e. low relative tensile strength and high ductility) may be desired. In applications where higher tensile strength is desired and a lower relative ductility is acceptable, annealing after the cold work processing step(s) may be omitted.
[0096] After production, the finished wire 31 may then be braided into the shape of a stent such as that of Fig. 1A, knitted into the shape of a stent such as that of Fig. IB, or otherwise formed into a medical device such as a vascular or gastric stent, aneurysm clotting device, or blood filter, for example. For the foregoing applications, wire 31 will typically be drawn to a final finish diameter between 20 μιη and 250 μιη.
2. Composite Wires
[0097] Fig. 2 illustrates composite wire 30, including shell 32 surrounding core 34.
Bimetallic composite wire 30 has a circular cross section and extends along a longitudinal axis and includes outer shell, sheath, or tube 32 made of a first biodegradable material and a core 34 made of a second biodegradable material. Outer shell 32 may be formed as a uniform and continuous surface or jacket, such that wire 30 may be coiled, braided, or stranded as desired. Core 34 completely fills the bore formed through outer shell 32 such that composite wire 30 forms a solid wire construct, but with two different materials.
[0098] In an exemplary embodiment, at least one of the two biodegradable materials used for composite wire 30 is formed from the present Mg-Li-Ca alloy material. It is contemplated that outer shell 32 and core 34 may be formed from the same material or different materials, and that either shell 32 or core 34 may be formed from any of the present Mg-Li-Ca materials as required or desired for a particular application.
[0099] The other of the two biodegradable materials may be any of a number of biodegradable materials in accordance with the present disclosure. In one embodiment, one of the shell 32 or core 34 may be iron-based, such as pure metallic iron (Fe), an anti-ferromagnetic iron-manganese alloy (Fe-Mn) such as Fe-30Mn or Fe-35Mn, or another iron-based alloy (Fe alloy). In another embodiment, one of the shell 32 or core 34 may be magnesium-based, such as pure magnesium (Mg) or a magnesium-based alloy (Mg alloy) such as ZM21 (Mg-2Zn-lMn), AE21 (Mg-2A1-1RE), AE42 (Mg-4A1-2RE), WE43 (Mg-4Y-0.6Zr-3.4RE, as in yttrium, zirconium, RE). In another embodiment, one of the shell 32 or core 34 may be a zinc-based.
[00100] For purposes of the present disclosure, bimetal composite wire 30 can be expressed as a first material for shell 32 and a second material for core 34, where the second material is specified as comprising a specified balance percentage of the total wire cross- sectional area. "DFT" is interposed between the two materials to indicate that the material is "drawn filled tubing," i.e., composite wire 30 as shown in Fig. 2. For example, one composite wire 30 made in accordance with the present disclosure may be defined as Fe-DFT-25%MgLi, which is 75% iron and 25% of the present Mg-Li-Ca materials.
[00101] Figs. 4b and 4c illustrate variable relative proportions of core 34 and shell 32 of composite wire 30. Fig. 4a shows a monolithic wire material 31 made entirely of a first material a having outer cross-sectional diameter Dw. In an exemplary embodiment, monolithic wire material 31 may be a magnesium-lithium alloy such as the alloys described in Example 2 below. Fig. 4b shows a wire 30, such as a wire for a stent, in which shell 32 is made of a first material a occupying 75% of the total cross-sectional area of wire 30, while core 34 is formed from a second material β occupying the balance (25%) of the cross-sectional area of wire 30. Fig. 4c shows a wire 30, such as a wire for a stent, in which shell 32 is made of a first material a occupying 43% of the total cross-sectional area of wire 30, while core 34 is formed from a second material β occupying the balance (57%>) of the cross-sectional area of wire 30.
For Example 1 , test materials in accordance with the present disclosure and benchmark alloys including 316L stainless steel, MP35N® and NiTi were procured as with outer diameters Dw of 125 μηι. Stent 40, made from wire 30 and/or 31, has outside diameter Ds, which may be about 7 mm. Stent 40 may be a tubular mesh stent scaffold manufactured from wires 30, 31 , or a combination of wires 30 and 31. Exemplary such stents are available from biomedical materials supplier, Fort Wayne Metals (Fort Wayne, IN, USA). An exemplary strut thickness (i.e., wire diameter Dw) of 127 μιη and expanded tubular diameter Ds of 7 mm, as per Figure 3(d), are selected as dimensions similar to current self-expanding stent designs which are used in peripheral vessel scaffolding.
[00102] In one embodiment, the present Mg-Li-Ca materials may be particularly useful as core 34 of composite wire 30 in order to facilitate cold-work processing and its associated control over the overall mechanical properties of wire 30. As noted above, magnesium and its alloys typically comprise a hexagonal-close-packed (HCP) crystal structure which possesses low ductility at room temperature due to intrinsically limited slip systems, primarily confined to the basal plane. Addition of Li to the base Mg material, however, has been found to increase ductility and, therefore, cold workability. At the same time, where iron or iron-alloy materials are employed in composite wire 30, it is desirable to conduct wire processing by cold-working methods in order to maximize the mechanical properties of the iron or iron-alloy. Where such iron or iron-alloy is used for shell 32 and the present Mg-Li-Ca material is used for core 34, the iron or iron-alloy serves as a sheath to confine the present Mg-Li-Ca material, thereby inducing a compressive stress during cold work processing (e.g., wire drawing as described below). The ductility of the present Mg-Li-Ca alloy enables such processing techniques and therefore promotes maximization of mechanical properties by obviating any need for unwanted intermediate stress-relief (e.g., by annealing or high-temperature processing as described herein) that might otherwise be necessary to form composite wire 30 with a magnesium alloy.
[00103] Further discussion of bimetal composite wires made from biodegradable constituent materials are further described in U.S. Patent Application Publication No.
2011/0319978, filed June 24, 2011 and entitled BIODEGRADABLE COMPOSITE WIRE FOR MEDICAL DEVICES, the entire disclosure of which is hereby expressly incorporated herein by reference.
[00104] The selection of materials for shell 32 and core 34 will inherently determine the absolute and relative biodegradation rates of these materials, and may be chosen by one of ordinary skill in the art in accordance with such considerations. For example, shell 32 may be formed of a relatively slower-biodegrading material and core 34 may be formed of a relatively faster-biodegrading material. In this arrangement, overall degradation will occur at a slow pace until the relatively fast-degrading core 34 begins to be exposed. At this stage, e.g. in the case of a wire construct 30 having an iron or iron alloy outer shell 32 and a magnesium or magnesium alloy core, an electrochemical potential will drive the more rapid degradation of the core 34. In some designs, this intermediate degradation point may leave behind a thin iron or iron alloy outer shell which will possess reduced flexibility more similar to the vascular wall, thereby permitting more natural vessel movement and reactivity. Further, the remaining hollow outer shell 32 of iron or iron-alloy will present additional surface area to fluid contact in vivo, thereby causing the material to degrade more quickly than a comparable monolithic iron or iron alloy wire.
[00105] In other embodiments, this arrangement may be reversed, wherein shell 32 may be formed of a relatively faster-biodegrading material and core 34 may be formed of a relatively slower-biodegrading material. In this arrangement, the degradation process is expected to consume outer shell 34 and leave an intermediate and mostly continuous core 34. Similar to the embodiment described above, this relatively thin core element will provide improved flexibility, an increased rate of bioabsorption, and a concomitantly improved vessel healing response with a reduced risk of thrombosis, particle embolization, and restenosis compared to a monolithic bioabsorbable wire.
[00106] For composite wires 30 incorporated into stents (e.g., as shown in Figs. 1 A and
IB) or other in vivo structures, the first biodegradable material (i.e., outer shell 32) may be chosen to degrade in vivo at a slower rate than the second biodegradable material (i.e., core 34), such that overall structural integrity and strength are substantially maintained for a period of time after initial implantation while the slower-degrading outer shell 32 bioabsorbs or bioresorbs. After the outer shell 32 erodes enough to expose the core 34 to biodegradation by interaction with substances in the in vivo environment, a relatively rapid biodegradation occurs as noted above. This construction modality is particularly useful where approximately equal amounts of the first and second biodegradable materials are used, but any relative proportions of the present Mg-Li-Ca materials and a second material may be used as noted above. [00107] Moreover, stents made from wire produced in accordance with the present disclosure provide well-designed control over the mechanics and pace of the overall degradation rate of the constituent wires (and therefore, also of the stent structure itself), thereby facilitating therapeutic optimization.
[00108] It is also contemplated that antiferromagnetic alloys of iron and manganese may be used in either shell 32 or core 34 of wire 30 for magnetic resonance imaging compatibility.
[00109] Optionally, shell 32 of the wire may be partially or fully coated with a
biodegradable polymer 35 (Fig. 2) that may be drug-eluting to further inhibit neointimal proliferation and/or restenosis. Suitable biodegradable polymers include poly-L lactic acid (PLLA) and poly-L glycolic acid (PLGA), for example. The wire may be coated either before, or after being formed into a stent.
[00110] To form wire 30 (Fig. 2), core 34 is inserted within shell 32 to form a wire construct, and an end of the wire construct is then tapered to facilitate placement of the end into a drawing die. The end protruding through the drawing die is then gripped and pulled through the die to reduce the diameter of the construct and bring the materials of core 34 and shell 32 into physical contact. After an initial draw, the inner diameter of the shell will close on the outer diameter of the core such that the inner diameter of the shell will equal the outer diameter of the core whereby, when viewed in section, the inner core completely fills the outer shell.
[00111] For example, as shown in Fig. 3B, wire 30 is drawn through a lubricated die 36 having an output diameter D2s, which is less than diameter Dis of wire 30 prior to the drawing step. The outer diameter of wire 30 is accordingly reduced from pre-drawing diameter DiS to drawn diameter D2s, imparting cold work cw as described in detail above with respect to monolithic wire 31. Drawing imparts cold work to the material of both shell 32 and core 34, with concomitant reduction in the cross-sectional area of both materials. That is, each drawing step reduces the cross section of wire 30 proportionately, such that the ratio of the sectional area of core 34 to the overall sectional area of wire 30 is nominally preserved as the overall sectional area of wire 30 is reduced. Referring to Fig. 3, the ratio of pre-drawing core outer diameter Die to pre-drawings shell outer diameter Dis is the same as the corresponding ratio post-drawing. Stated another way, DiC/DiS = D2C/D2S. Further details regarding wire drawing of composite wires are discussed in U.S. Patent Application Serial No. 2009/0260852, filed February 27, 2009, entitled "ALTERNATING CORE COMPOSITE WIRE," the entire disclosure of which is incorporated by reference herein. In an exemplary embodiment, the finished wire 30 may be a fine wire, having a finished diameter D2s of between 20 μιη and 1 mm. In another embodiment, wire 30 may have a finished diameter D¾ up to 2.5 mm.
[00112] The fully dense (i.e., solid cross-section) composite wire 30 may be annealed after drawing, similar to wire 31 discussed above.
Wire Properties
1. Strength and Ductility
[00113] The yield strength of wires 30 and/or 31 , and thus its resilience, is influenced by the amount of strain-hardening deformation applied to wires 30 and/or 31 to achieve the final diameter Dw, and by the thermal treatment applied after drawing the wire (if any). The ability to vary the strength and resilience of wires 30, 31 allows use of the wire in resilient designs, such as for self-expanding stents, or for plastic-behaving designs, such as for balloon-expanding stents. As described herein, the present Mg-Li-Ca alloys are highly ductile, and therefore tolerate large amounts of cold work before fracture. This ductility and cold workability enable flexible design parameters for finished Mg-Li-Ca alloy products, by facilitating selection from a wide range of strength and resilience properties depending on the amount of applied cold work.
[00114] Generally speaking, cold work processing of the present Mg-Li-Ca materials may be used to increase stress to fracture, with a corresponding decrease in overall strain to fracture for many of the present Mg-Li-Ca alloy materials. Varying levels of cold work may be applied in order to achieve varying levels of material strength and ductility.
[00115] Strength is positively correlated with cold work/true strain, as demonstrated below for various exemplary alloys. For purposes of the present disclosure, the positive correlation of strength and true strain can be assumed to be approximately linear between the low and high levels given below.
[00116] As further described below, the present Mg-Li-Ca materials have the ability to undergo large amounts of cold work without fracture. This large capacity for cold work enables a wide range of cold work strengthening options. After performing cold work, yield strengths (YS) are improved, and are in excess of 200 MPa. Ultimate tensile strengths (UTS) are at least about 270 MPa.
[00117] Mg-Li-Ca alloy material made in accordance with the present disclosure, including a relatively small amount of Ca (e.g., 0.25%) has sufficient ductility to allow cold work up to 98% without fracture. This low-Ca Mg-Li-Ca material with 98% cold work exhibits yield strength YS of 276 MPa and ultimate tensile strength UTS of 334 MPa. Thus, the addition of a relatively small amount of Ca to the binary Mg-Li material significantly increases ductility while strength as compared to the binary Mg-Li alloy.
[00118] Mg-Li-Ca alloy material including a larger amount of Ca (e.g., 1.0%) has sufficient ductility to allow cold work up to 88% without fracture. This higher-Ca Mg-Li-Ca material with 88% cold work exhibits yield strength YS of 240 MPa and ultimate tensile strength UTS of 271 MPa. Thus, the addition of a relatively larger amount of Ca to the binary Mg-Li material increases strength while somewhat decreasing ductility, as compared to the binary Mg- Li alloy.
[00119] Thus, the present Mg-Li-Ca alloys have the ability, in view of their cold workability, to be produced and modified without utilizing elevated temperatures for such production. Room-temperature or lower-temperature production of the finished wire product represents a significant efficiency, particularly for large-scale production, and therefore minimizes production cost.
2. Fatigue Endurance
[00120] Fatigue endurance of the present Mg-Li-Ca alloys can be enhanced by imparting cold work to the material, as described in detail above, and then performing a controlled anneal of the material such that a refined, substantially equiaxed grain structure is achieved.
[00121] This enhanced fatigue endurance, bioabsorbable wires and stents made in accordance with the present disclosure can initially withstand flexion of mobile vessels of the extremities, give sufficient time for vessel remodeling, and then biodegrade. Thus, the present wire is ideally suited for use in stents implanted in high-flexion areas (i.e., extremities) and other demanding applications. 3. Medical Device Applications
[00122] In view of the foregoing material properties for wires made of the present Mg-Li-
Ca alloys, it can be seen that stents and wires made in accordance with the present disclosure offer the ability to optimize design to account for, e.g., anatomy, blood and cell compatibility, long term endothelial functionality, fracture resistance, and patient-specific rates of
bioabsorption. Such design optimization can be provided by, for example, cold work conditioning, thermomechanical processing, and material selection, and wire size and/or geometry and discussed above
[00123] For example, wires and stents made in accordance with the present disclosure allow a surgeon to implant a naturally reactive stent over a predetermined term and to plan for the stent to completely biodegrade after the predetermined term. In this way, use of the present wires and wire constructs can reduce or eliminate late complications such as late-stent- thrombosis, relative vessel occlusion and lifelong anti-platelet therapy. When used in self- expanding, biocompatible, and biodegrading stent designs the present wire can further extend this treatment option to the challenging vasculature of the extremities.
[00124] Still another advantage of the present wire is the opportunity to offer controllable degradation rates of stents to allow patient-dependent time for vessel remodeling. As noted above, patient-specific stent degradation rates also offer long-term benefit by allowing unimpeded reintervention and natural long term vasoreactivity.
EXAMPLE
[00125] The following non-limiting Example illustrates various features and
characteristics of the present invention, which is not to be construed as limited thereto.
[00126] In this Example, exemplary monolithic Mg-Li-Ca alloy wires in accordance with the present disclosure were produced, tested and characterized, particularly with regard to material workability and mechanical strength.
1. Production of Mg-Li-Ca alloy materials
[00127] Four alloys were selected, each having 6 wt. % Li, selected additional alloying elements of Al, Ca and/or RE, and the balance Mg. The composition of each of these alloys is set forth below in Table 5. Ingots of each alloy were induction melted and extruded at 300°C to a diameter of approximately 4.5 mm. The extruded ingots were then iteratively cold-drawn using standard methods, as described in detail above, with intervening annealing at 350 °C.
[00128] The iterative draw-anneal cycles were repeated as necessary until a wire was produced at a diameter of 0.9 mm, at which point a final anneal was performed to create a stress- relieved base wire ready for processing in accordance with the present disclosure.
[00129] Starting with respective samples of the 0.9 mm diameter wire, cold work was imparted to the material by drawing in accordance with the procedure described above. The amount of cold work tolerated by each material is shown in Table 5.
[00130] Mechanical performance was then evaluated for each cold worked sample via a uniaxial tensile test on an Instron Model 5565 test machine available from Instron or Norwood, Massachusetts, USA). More specifically, destructive uniaxial tension testing of the wire materials was used to quantify the ultimate strength, yield strength, axial stiffness and ductility of candidate materials, using methods described in Structure-Property Relationships in
Conventional and Nanocrystalline NiTi Intermetallic Alloy Wire, Journal of Materials
Engineering and Performance 18, 582-587 (2009) by Jeremy E. Schaffer, the entire disclosure of which is hereby expressly incorporated herein by reference. These tests are run using servo- controlled Instron load frames in accordance with industry standards for the tension testing of metallic materials.
[00131] A 127 mm gage length and crosshead speed of 12.7 mm/min was used for the tensile testing.
Table 5
Exemplary monolithic Mg-Li wires
Alloy Composition by wt. % Cold Work (%)
T 94Mg-6Li 94
2 89.5Mg-6Li-4Al-0.5RE 75
3 93.75Mg-6Li-0.25Ca 98
4 93Mg-6Li-lCa 88 2. Characterization of mechanical properties in tension
a. Strength
[00132] Alloy #1 (an Mg-Li base binary alloy, Table 5) exhibited good ductility, achieving 94% cold work without fracture. Yield strength YS, shown in Fig. 5B, was measured at 243 MPa while ultimate tensile strength UTS was measured at 305 MPa.
[00133] Alloy #2 (Table 5), which was an Mg-Li alloy with Al and RE additions, reduced the attainable cold work to 75%. Referring to Fig. 5B, however, it can be seen that alloy #2 demonstrated a dramatically improved strength as compared to alloy #1, as shown in Fig. 5B. More particularly, alloy #2 had a yield strength YS of 455 MPa and an ultimate tensile strength UTS of 495 MPa.
[00134] For alloy #3 (Table 5), the Mg-Li base binary alloy was used with the addition of
0.25% Ca. Formability was improved with respect to alloy #1, with cold work increasing to 98%. In addition, alloy #3 achieved a moderate gain in strength with a yield strength YS of 276 MPa and an ultimate tensile strength UTS of 334 MPa.
[00135] In alloy #4 (Table 5), a higher level of Ca was composited with the base Mg-Li binary alloy. The resulting wire material was able to withstand less cold work, at 88%. Yield strength YS and ultimate tensile strength UTS also both fell, to 240 MPa and 271 MPa respectively.
[00136] In all material samples tested in the present Example, addition of cold work was enabled by the 6 wt. % Li constituent and resulted in strengthening of the material. This effect was most pronounced in Alloy 2, reaching a UTS of 495 MPa as illustrated in Fig. 5B.
[00137] Fig. 5A is a plot of stress-strain data for individual wire samples of alloy #2 prepared in accordance with the present Example, and cold worked to various levels as specified in the legend of Fig. 5 A.
[00138] As illustrated, increasing cold work levels were associated with increasing stress to fracture but generally decreasing overall strain to fracture. With no cold work, testing an as- annealed wire, engineering strain to rupture was measured at 10.6%, with an ultimate tensile strength UTS of 289 MPa. With 20%> cold work, engineering strain to rupture dropped to 2.9%> but ultimate tensile strength UTS increased to 367 MPa. At 50% cold work, engineering strain to rupture measured 4.1% while ultimate tensile strength UTS further increased to 415 MPa. At 60% cold work, engineering strain to rupture measured 3.0% while ultimate tensile strength UTS increased to 474 MPa. At 64% cold work, engineering strain to rupture fell again to 2.5% while ultimate tensile strength UTS rose again to 487 MPa. At 75% cold work, the highest tested in this Example, engineering strain to rupture reached a low point of 1.5% while ultimate tensile strength UTS reached a high of 495 MPa.
[00139] The present Mg-Li-Ca alloys tested in this example demonstrate the ability, in view of their cold workability, to be produced without utilizing elevated temperatures for such production. Room-temperature or lower-temperature production represents a significant efficiency, particularly for large-scale production, and therefore minimizes production cost. Thus, the high levels of cold work tolerated by the Mg-Li-Ca alloy wires of the present Example are amenable to an efficient, cost-effective production method.
[00140] Excellent strength is an added benefit of cold working for the present Mg-Li-Ca materials using including Li and Ca as described herein. The UTS of the present Mg-Li-Ca alloys was high in all cases, and in particular alloy 2 demonstrated a significantly higher YS and UTS as compared to other Mg-Li materials of comparable ductility.
[00141] The addition of as little 6 wt. % Li has been shown to induce a cubic structure in the Mg-Li-Ca alloys tested in this Example, rather than the predominantly HCP crystal structure exhibited by other magnesium alloys. This cubic structure dramatically improves the ductility of the material, enabling high levels of cold work and obviating any need for hot-forming processes. Accordingly, Mg-Li-Ca alloys in accordance with the present example facilitate a decrease in processing costs and an increase in cold-work-induced strengthening.
[00142] While this invention has been described as having an exemplary design, the present invention can be further modified within the spirit and scope of this disclosure. This application is therefore intended to cover any variations, uses, or adaptations of the invention using its general principles. Further, this application is intended to cover such departures from the present disclosure as come within known or customary practice in the art to which this invention pertains and which fall within the limits of the appended claims. WHAT IS CLAIMED IS:
1. A magnesium-based alloy wire, comprising:
between 3 wt. % lithium and 7 wt. % lithium;
between 0.1 wt. % calcium and 1 wt. % calcium; and
balance magnesium and trace impurities.
2. The magnesium-based alloy wire of claim 1, wherein said wire comprises between 0.20 and 0.30 wt. % calcium.
3. The magnesium-based alloy wire of claim 2, wherein the alloy exhibits sufficient ductility to be subjected to 98% cold work without fracture.
4. The magnesium-based alloy wire of claim 2, wherein:
the alloy is formed as a wire product having 98% retained cold work, the wire having a yield strength reaching 276 MPa.
5. The magnesium-based alloy wire of claim 2, wherein:
the alloy is formed as a wire product having 98% retained cold work, the wire having an ultimate tensile strength reaching 334 MPa.
6. The magnesium-based alloy wire of claim 1, wherein said wire comprises between 0.9 wt. %> and 1 wt. %> calcium.
7. The magnesium-based alloy wire of claim 6, wherein the alloy exhibits sufficient ductility to be subjected to 88 > cold work without fracture.
8. The magnesium-based alloy wire of claim 6, wherein:
the alloy is formed as a wire product having 98% retained cold work, the wire having a yield strength reaching 240 MPa.

Claims

9. The magnesium-based alloy wire of claim 6, wherein:
the alloy is formed as a wire product having 98% retained cold work, the wire having an ultimate tensile strength reaching 271 MPa.
10. The magnesium-based alloy wire of claim 1, further comprising between 0.9 wt. % and 5 wt. % aluminum.
11. The magnesium-based alloy wire of claim 1 , further comprising between 0.25 wt. % and 7 wt. % rare earth metal.
12. The magnesium-based alloy wire of claim 1, further comprising between 0.10 wt. % and 6 wt. % zinc.
13. The magnesium-based alloy wire of claim 1, further comprising between 0.10 wt. % and 1 wt. % manganese.
14. The magnesium-based alloy wire of claim 1, further comprising between 0.10 wt. % and 1 wt. % zirconium.
15. The magnesium-based alloy wire of claim 1, wherein the wire lacks any other element in addition to magnesium, lithium and calcium in an amount above 0.05 wt. %.
16. The magnesium-based alloy wire of claim 1, wherein said wire has a diameter up to 2.5 mm.
17. The magnesium-based alloy wire of claim 1, wherein said wire comprises a fine wire having a diameter between 20 μιη and 1 mm.
18. The magnesium-based alloy wire of claim 1, wherein said wire comprises one of a wire having a round cross section, a flat wire, a strand, a cable, a coil and tubing.
19. A stent including the magnesium-based alloy wire of claim 1.
20. A bimetal composite wire, comprising:
an outer shell formed of a first biodegradable metallic material; and
an inner core formed of a second biodegradable metallic material,
said first and second biodegradable metallic materials being different from one another whereby said first and second biodegradable metallic materials have differing biodegradation rates, and
one of said first and second biodegradable materials comprising a magnesium-based alloy selected from the group consisting of:
a Mg-Li-Ca alloy having between 3.0 wt. % and 7.0 wt. % Li and between 0.10 wt. % and 1.0 wt. % Ca;
a Mg-Li-Ca-RE alloy having between 3.0 wt. % and 7.0 wt. % Li, between 0.10 wt. % and 1.0 wt. % Ca, and between 0.25 wt. % and 7.0 wt. % RE, wherein "RE" is at least one rare earth element;
a Mg-Li-Ca- Al alloy having between 3.0 wt. % and 7.0 wt. % Li and between 1.0 wt. % and 6.0 wt. % combined Al and Ca including 0.10 to 1.0 wt. % Ca and 0.9 wt. % to 5.0 wt. % Al; and
a Mg-Li-Al-Ca-RE alloy having between 3.0 wt. % and 7.0 wt. % Li, between 1.0 wt. % and 6.0 wt. % combined Al and Ca including 0.10 to 1.0 wt. % Ca and 0.9 wt. % to 5.0 wt. % A, and between 0.25 wt. % and 7.0 wt. % RE, wherein "RE" is at least one rare earth element.
21. The bimetal composite wire of Claim 20, wherein said magnesium-based alloy has an ultimate tensile strength reaching 334 MPa.
22. The bimetal composite wire of Claim 20, wherein the other of said first and second biodegradable materials is selected from the group consisting of pure metallic iron (Fe) and an iron-based alloy (Fe alloy).
23. The bimetal composite wire of Claim 20, wherein an outer diameter of said outer shell is less than 1 mm.
24. The bimetal composite wire of Claim 20, wherein the wire lacks any other element in addition to magnesium, lithium, calcium, aluminum and RE in an amount above 0.05 wt. %.
25. A stent including of the bimetal composite wire of claim 20.
26. A method of manufacturing a wire, comprising the steps of:
providing an outer shell made of a first biodegradable material;
inserting a core into the outer shell to form a wire construct, the core formed of a second biodegradable material, the first and second biodegradable materials being different from one another, one of the first and second biodegradable materials comprising a magnesium-based alloy selected from the group consisting of:
a Mg-Li-Ca alloy having between 3.0 wt. % and 7.0 wt. % Li and between 0.10 wt. % and 1.0 wt. % Ca;
a Mg-Li-Ca-RE alloy having between 3.0 wt. % and 7.0 wt. % Li, between 0.10 wt. % and 1.0 wt. % Ca, and between 0.25 wt. % and 7.0 wt. % RE, wherein "RE" is at least one rare earth element;
a Mg-Li-Ca- Al alloy having between 3.0 wt. % and 7.0 wt. % Li and between 1.0 wt. % and 6.0 wt. % combined Al and Ca including 0.10 to 1.0 wt. % Ca and 0.9 wt. % to 5.0 wt. % Al; and
a Mg-Li-Al-Ca-RE alloy having between 3.0 wt. % and 7.0 wt. % Li, between 1.0 wt. % and 6.0 wt. % combined Al and Ca including 0.10 to 1.0 wt. % Ca and 0.9 wt. % to 5.0 wt. % A, and between 0.25 wt. % and 7.0 wt. % RE, wherein "RE" is at least one rare earth element; and
27. The method of Claim 26, further comprising imparting cold work at room temperature to the wire construct by drawing the wire construct from a first outer diameter to a second outer diameter less than the first outer diameter.
28. The method of Claim 27, further comprising, after said imparting step, the additional step of annealing the wire construct.
29. The method of claim 26, further comprising forming the wire into a stent.
30. The method of claim 26, wherein the other of said first and second biodegradable materials is selected from the group consisting of pure metallic iron (Fe) and an iron-based alloy (Fe alloy).
31. The method of claim 26, wherein the wire lacks any other element in addition to magnesium, lithium, calcium, aluminum and RE in an amount above 0.05 wt. %.
PCT/US2014/0412672013-06-062014-06-06Biodegradable wire for medical devicesWO2014197781A2 (en)

Priority Applications (1)

Application NumberPriority DateFiling DateTitle
US14/895,712US20160138148A1 (en)2013-06-062014-06-06Biodegradable wire for medical devices

Applications Claiming Priority (2)

Application NumberPriority DateFiling DateTitle
US201361831800P2013-06-062013-06-06
US61/831,8002013-06-06

Publications (2)

Publication NumberPublication Date
WO2014197781A2true WO2014197781A2 (en)2014-12-11
WO2014197781A3 WO2014197781A3 (en)2015-04-02

Family

ID=52008755

Family Applications (1)

Application NumberTitlePriority DateFiling Date
PCT/US2014/041267WO2014197781A2 (en)2013-06-062014-06-06Biodegradable wire for medical devices

Country Status (2)

CountryLink
US (1)US20160138148A1 (en)
WO (1)WO2014197781A2 (en)

Cited By (7)

* Cited by examiner, † Cited by third party
Publication numberPriority datePublication dateAssigneeTitle
EP3229852A4 (en)*2014-12-122018-07-25University of Pittsburgh - Of the Commonwealth System of Higher EducationULTRAHIGH DUCTILITY, NOVEL Mg-Li BASED ALLOYS FOR BIOMEDICAL APPLICATIONS
CN109022985A (en)*2018-09-262018-12-18浙江海洋大学A kind of high-intensitive, two-phase (alpha+beta phase) magnesium lithium alloy material of high-ductility and preparation method thereof
WO2019043394A1 (en)*2017-08-302019-03-07S-Bahn Medical LtdMetal alloy and medical device containing same
EP3585915A1 (en)*2017-02-242020-01-01Innomaq 21, S.L.Method for the economic manufacture of light components
CN111647832A (en)*2020-06-152020-09-11宿迁市河海大学研究院Method for circularly rolling and annealing pure magnesium plate
US20220251688A1 (en)*2019-06-032022-08-11Fort Wayne Metals Research Products CorpMagnesium-based absorbable alloys
CN116445784A (en)*2023-04-202023-07-18上海交通大学Multi-principal element alloy/magnesium alloy bimetallic material and preparation method thereof

Families Citing this family (10)

* Cited by examiner, † Cited by third party
Publication numberPriority datePublication dateAssigneeTitle
JP2017501756A (en)2013-10-292017-01-19ボストン サイエンティフィック サイムド,インコーポレイテッドBoston Scientific Scimed,Inc. Bioerodible magnesium alloy microstructure for internal prostheses
CN104188741A (en)*2014-08-292014-12-10东莞颠覆产品设计有限公司Degradable connector implanted in body
US10589005B2 (en)*2015-03-112020-03-17Boston Scientific Scimed, Inc.Bioerodible magnesium alloy microstructures for endoprostheses
CN106377795A (en)*2016-08-252017-02-08上海交通大学Degradable medical Zn-Li-Fe ternary alloy material, preparation and application
CN107385297A (en)*2017-09-182017-11-24广州宇智科技有限公司One kind has the single-phase α magnesium lithium alloys of excellent high temperature mechanical property and its processing technology
US10939990B2 (en)*2017-11-282021-03-09Medtronic Vascular, Inc.Graft material having selectively advanced permeability structure and method
EP3911246A1 (en)2019-01-182021-11-24W.L. Gore & Associates, Inc.Bioabsorbable medical devices
CN112481533A (en)*2020-11-102021-03-12江苏理工学院Biomedical magnesium alloy and preparation method thereof
JP2023104064A (en)*2022-01-172023-07-28日東精工株式会社magnesium wire
CN114653776B (en)*2022-03-112023-05-02暨南大学Preparation method of biomedical high-purity magnesium tube rod wire raw material

Family Cites Families (5)

* Cited by examiner, † Cited by third party
Publication numberPriority datePublication dateAssigneeTitle
US4149882A (en)*1974-12-301979-04-17Magnesium Elektron LimitedMagnesium alloys
CN101484599A (en)*2006-04-282009-07-15生物镁系统有限公司Biodegradable magnesium alloys and uses thereof
EP2585125B1 (en)*2010-06-252014-11-19Fort Wayne Metals Research Products CorporationBiodegradable composite wire for medical devices
US8986369B2 (en)*2010-12-012015-03-24Zorion Medical, Inc.Magnesium-based absorbable implants
US20130090741A1 (en)*2011-10-072013-04-11Medtronic Vascular, Inc.Magnesium Alloys for Bioabsorbable Stent

Cited By (14)

* Cited by examiner, † Cited by third party
Publication numberPriority datePublication dateAssigneeTitle
US11077227B2 (en)2014-12-122021-08-03University of Pittsburgh—of the Commonwealth System of Higher EducationUltrahigh ductility, novel Mg—Li based alloys for biomedical applications
US11896735B2 (en)2014-12-122024-02-13University of Pittsburgh—of the Commonwealth System of Higher EducationUltrahigh ductility, novel Mg—Li based alloys for biomedical applications
EP3229852A4 (en)*2014-12-122018-07-25University of Pittsburgh - Of the Commonwealth System of Higher EducationULTRAHIGH DUCTILITY, NOVEL Mg-Li BASED ALLOYS FOR BIOMEDICAL APPLICATIONS
EP3585915A1 (en)*2017-02-242020-01-01Innomaq 21, S.L.Method for the economic manufacture of light components
CN111279004B (en)*2017-08-302023-03-14M.A.医疗联盟股份有限公司Metal alloy and medical device containing same
CN111279004A (en)*2017-08-302020-06-12M.A.医疗联盟股份有限公司 Metal alloys and medical devices containing the same
WO2019043394A1 (en)*2017-08-302019-03-07S-Bahn Medical LtdMetal alloy and medical device containing same
US12070533B2 (en)2017-08-302024-08-27Tam Christine Thompson-SteckelMetal alloy and medical device containing same
CN109022985B (en)*2018-09-262020-05-12浙江海洋大学High-strength and high-plasticity two-phase (α + β phase) magnesium-lithium alloy material and preparation method thereof
CN109022985A (en)*2018-09-262018-12-18浙江海洋大学A kind of high-intensitive, two-phase (alpha+beta phase) magnesium lithium alloy material of high-ductility and preparation method thereof
US20220251688A1 (en)*2019-06-032022-08-11Fort Wayne Metals Research Products CorpMagnesium-based absorbable alloys
US12188108B2 (en)*2019-06-032025-01-07Fort Wayne Metals Research Products LlcMagnesium-based absorbable alloys
CN111647832A (en)*2020-06-152020-09-11宿迁市河海大学研究院Method for circularly rolling and annealing pure magnesium plate
CN116445784A (en)*2023-04-202023-07-18上海交通大学Multi-principal element alloy/magnesium alloy bimetallic material and preparation method thereof

Also Published As

Publication numberPublication date
US20160138148A1 (en)2016-05-19
WO2014197781A3 (en)2015-04-02

Similar Documents

PublicationPublication DateTitle
US20160138148A1 (en)Biodegradable wire for medical devices
DK2585125T3 (en)Biodegradable composite wire for medical devices
EP2872663B1 (en)Biodegradable alloy wire for medical devices
KR102626287B1 (en) Magnesium based absorbent alloy
JP7053404B2 (en) Magnesium alloy, its manufacturing method and its use
RU2647951C2 (en)Magnesium alloy, method for production thereof and use thereof
JP2018197396A (en) Magnesium alloy, method for producing the same and use thereof
Biscarini et al.Enhanced nitinol properties for biomedical applications
JP7486228B2 (en) Manufacturing method of cobalt-chromium alloy member
JP2020504233A (en) Ni-free beta Ti alloy with shape memory and superelastic properties
Griebel et al.Absorbable Filament Technologies: Wire‐Drawing to Enable Next‐Generation Medical Devices
Griebel et al.Expanding magnesium’s reach through cold drawing
HK40007406A (en)Magnesium alloy, method for the production thereof and use thereof

Legal Events

DateCodeTitleDescription
121Ep: the epo has been informed by wipo that ep was designated in this application

Ref document number:14808050

Country of ref document:EP

Kind code of ref document:A2

WWEWipo information: entry into national phase

Ref document number:14895712

Country of ref document:US

122Ep: pct application non-entry in european phase

Ref document number:14808050

Country of ref document:EP

Kind code of ref document:A2


[8]ページ先頭

©2009-2025 Movatter.jp