Movatterモバイル変換


[0]ホーム

URL:


WO2014086373A1 - Crystallisation of human milk oligosaccharides (hmo) - Google Patents

Crystallisation of human milk oligosaccharides (hmo)
Download PDF

Info

Publication number
WO2014086373A1
WO2014086373A1PCT/DK2013/050416DK2013050416WWO2014086373A1WO 2014086373 A1WO2014086373 A1WO 2014086373A1DK 2013050416 WDK2013050416 WDK 2013050416WWO 2014086373 A1WO2014086373 A1WO 2014086373A1
Authority
WO
WIPO (PCT)
Prior art keywords
hmo
acidic
alcohol solution
alcohol
drying
Prior art date
Application number
PCT/DK2013/050416
Other languages
French (fr)
Inventor
Gyula Dekany
Markus Hederos
Original Assignee
Glycom A/S
Priority date (The priority date is an assumption and is not a legal conclusion. Google has not performed a legal analysis and makes no representation as to the accuracy of the date listed.)
Filing date
Publication date
Application filed by Glycom A/SfiledCriticalGlycom A/S
Publication of WO2014086373A1publicationCriticalpatent/WO2014086373A1/en

Links

Classifications

Definitions

Landscapes

Abstract

The present invention relates to a method of obtaining a non-acidic human milk oligosaccharide (HMO) or a precursor in crystalline form from an aqueous medium, such as a fermentation broth, by drying the aqueous medium and then treating it with a hot C1-C6 alcohol solvent.

Description

CRYSTALLISATION OF HUMAN MILK OLIGOSACCHARIDES (HMO) FIELD OF THE INVENTION
The present invention relates to a method of crystallizing non-acidic human milk oligosaccharides (HMOs) or precursors thereof from aqueous media, particularly as produced by fermentation.
BACKGROUND OF THE INVENTION
Human milk oligosaccharides (HMOs) have become of great interest in the past few years due to their important functions in human development. To date, the structures of at least 1 15 HMOs have been determined (see Urashima et al.: Milk
Oligosaccharides, Nova Biomedical Books, New York, 201 1 , ISBN: 978-1 -61 122- 831 -1 ), and considerably more are probably present in human milk. The following thirteen core structures have been identified, to date, for the 1 15 HMOs:
Figure imgf000002_0001
Low cost ways have been sought for making industrial quantities of as many as possible of the HMOs, so that their uses in nutritional and therapeutic formulations for infants, as well as as possibly children and adults, could be discovered, developed and exploited by researchers worldwide. A few HMOs have recently been
synthesized in high purity and in high yields by lengthy sequences of chemical process steps, but even lower cost ways of producing them have continued to be sought. As a result, ways have been sought for synthesizing HMOs enzymatically or by fermentation of transformed one-cell organisms, particularly E. coli. See Drouillard et al. Angew. Chem. Int. Ed. 45,1778 (2006) and Han et al. Biotechnol. Adv. 30, 1268 (2012). However, the costs of producing HMOs in such ways have remained stubbornly high because it has been difficult and expensive to purify the HMOs in high yields from the aqueous enzymatic or fermentation media, in which they were produced.
If HMOs could be isolated in crystalline form from the aqueous enzymatic or fermentation media, in which the HMOs were produced, that would provide a simple and cheap method to separate the HMOs from contaminants in such aqueous media and obtain the HMOs as pure products. Indeed, purification and isolation by crystallization generally makes any process more attractive and cost-effective industrially. See EP-A-1405856. However, there has, to date, been no commercially suitable method for purifying and isolating, by crystallization, HMOs produced enzymatically or by fermentation.
Accordingly, it is an object of the present invention to provide a method for obtaining, in crystalline form, HMOs, as well as their precursors such as fucose, N-acetyl glucosamine, galactose, N-acetyl lactosamine, lacto-N-biose and lacto-N-triose II from aqueous mixtures thereof as produced by fermentation, particularly as produced extracellularly, as well as from aqueous solutions thereof as produced enzymatically.
SUMMARY OF THE INVENTION
A first aspect of this invention relates to a method of obtaining, in crystalline form, a non-acidic human milk oligosaccharide (or HMO) or a non-acidic precursor of an HMO produced in an aqueous media, enzymatically or by fermentation, particularly produced intracellularly in an aqueous fermentation broth, quite particularly produced by E. coli, said method comprising the steps of: a) drying, preferably freeze-drying, the aqueous media, preferably after removing proteins therefrom, to produce a dry powder that contains the non- acidic HMO or HMO precursor, preferably at a concentration of at least about
15 wt%, preferably at least about 25 wt%, especially at least about 30-40%, particularly at least about 40-60%, more particularly at least 95 wt%, even more particularly at least 97 wt%, and that preferably also contains no more than about 5% water, especially no more than about 3-4% water; b) then treating the dry powder with a hot, preferably boiling, C C6 alcohol solvent, preferably a CrC4 alcohol solvent, optionally containing up to 50 v/v%, preferably up to about 35 v/v% water, especially up to about 15 v/v%, particularly up to about 5 v/v%, to produce an alcohol solution of the non-acidic HMO or HMO precursor; and c) then crystallizing the non-acidic HMO or HMO precursor from the alcohol solution.
Advantageously, the method also comprises, between steps b) and c), one or more, preferably all, of the following intermediate steps: i) the alcohol solution is filtered to separate insolubles; ii) then the alcohol solution is concentrated down to at least about 60-70% of its original volume, and iii) then, the alcohol solution is seeded with crystals of the non- acidic HMO or HMO precursor.
A second aspect of this invention relates to a method of obtaining a non-acidic HMO or HMO precursor from a powder, preferably a protein-free powder, produced by drying, preferably freeze drying, an aqueous media, in which the non-acidic HMO or HMO precursor was produced enzymatically or by fermentation, particularly produced intracellularly in an aqueous fermentation broth, quite particularly produced by E. coli, comprising steps b) and c) above, and advantageously also comprising intermediate steps i) to iii).
DETAILED DESCRIPTION OF THE INVENTION
In accordance with this invention, the term "d-C6 alcohol" preferably means a hydroxy- or dihydroxy-alkanol having 1 to 6 carbon atoms, such as methanol, ethanol, n-propanol, /-propanol, ethylene glycol, 1 ,2-propanediol, 1 ,3-propanediol, butanol and an i-hexanol, especially a "CrC4 alcohol", such as methanol, ethanol, 1 ,2-propanediol, and butanol, particularly methanol.
Also in this invention, the term "non-acidic" preferably refers to a compound containing no carboxyl group, e.g., no sialic acid group.
Also in this invention, the term "non-acidic human milk oligosaccharide" or "non- acidic HMO" preferably means a compound with one of the following core structures or desialylated analogs thereof:
Abbreviation Chemical Structure
2'-FL Fuc(ecl-2)Gal tfl-4)Glc
3-FL Gal #l-4)Glc
Figure imgf000005_0001
Fuc(al-3)
DFL Fuc(al-2)Gal tfl-4)Glc
Figure imgf000005_0002
Fuc(al-3)
3'-SL Neu5Ac(a2-3)Gal #l-4)Glc
FSL Neu5Ac(a2-3)Gal #l-4)Glc
1 1
Fuc(al-3)
LNT Gal #l-3)GlcNAc tfl-3)Gal tfl-4)Glc
LNFP I Fuc( l-2)Gal 51-3)GlcNAc 51-3)Gal 51-4)Glc
LNFP II Gal #l-3)GlcNAc tfl-3)Gal tfl-4)Glc
Figure imgf000005_0003
Fuc(ecl-4)
LNFP III Gal #l-4)GlcNAc tfl-3)Gal tfl-4)Glc
Figure imgf000005_0004
Fuc(al-3) LNFP V Gal 51-3)GlcNAc 51-3)Gal 51-4)Glc
1
Fuc(al-3)
LNDFH I Fuc( l-2)Gal 51-3)GlcNAc 51-3)Gal 51-4)Glc
1
Fuc(al-4)
LNDFH II Gal 51-3)GlcNAc 51-3)Gal 51-4)Glc
1 1
Fuc(ecl-4) Fuc(al-3)
LNDFH III Gal 51-4)GlcNAc 51-3)Gal 51-4)Glc
1 1
Fuc(al-3) Fuc(al-3)
LSTa Neu5Ac( 2-3)Gal 51-3)GlcNAc 51-3)Gal 51-4)Glc
LSTb Neu5Ac(ec2-6)
1
Gal 51-3)GlcNAc 51-3)Gal 51-4)Glc
LSTc Neu5Ac( 2-6)Gal 51-4)GlcNAc 51-3)Gal 51-4)Glc
F-LSTa Neu5Ac( 2-3)Gal 51-3)GlcNAc 51-3)Gal 51-4)Glc
1
Fuc(ecl-4)
F-LSTb Neu5Ac(ec2-6)
1
Fuc( l-2)Gal 51-3)GlcNAc 51-3)Gal 51-4)Glc
F-LSTc Neu5Ac( 2-6)Gal 51-4)GlcNAc 51-3)Gal 51-4)Glc
1
Fuc(al-3)
DS-LNT Neu5Ac(a2-6)
1
Neu5Ac( 2-3)Gal 51-3)GlcNAc 51-3)Gal 51-4)Glc
FDS-LNT I Neu5Ac(ec2-6)
1
Neu5Ac( 2-3)Gal 51-3)GlcNAc 51-3)Gal 51-4)Glc
1
Fuc(ecl-4)
FDS-LNT II Neu5Ac(ec2-6)
1
Neu5Ac( 2-3)Gal 51-3)GlcNAc 51-3)Gal 51-4)Glc
1
Fuc(al-3)
LNnT Gal 51-4)GlcNAc 51-3)Gal 51-4)Glc especially: LNnT and LNT,
the monofucosyl LNTs, LNFP I, LNFP II and LNFP V, the difucosyl LNTs, LNDFH I and LNDFH II,
the fucosyl lactose derivatives 2'-FL, 2',3-DFL, 3-FL, and - the mono- and difucosyl LNnTs, LNFP III and LNDFH III.
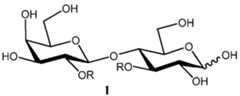
Particularly preferred non-acidic HMOs include:
- a compound of formula 1 :
Figure imgf000007_0001
wherein R independently of each other is fucosyl or H, provided that one R is fucosyl, a compound of formula 2 :
Figure imgf000007_0002
2
a compound of formula 3:
Figure imgf000007_0003
Further in this invention, the term "fucosyl" preferably means an L-fucopyranosyl group of formula 4 attached to the core compound with a-interglycosidic linkage:
Figure imgf000008_0001
Still further in this invention, the term "non-acidic precursor of a human milk oligosaccharide" or "non-acidic HMO precursor" preferably means fucose, N-acetyl glucosamine, galactose, N-acetyl lactosamine, lacto-N-biose or lacto-N-triose II.
Still further in this invention, the term "dry" or "dried" preferably means a water content of no more than about 10%, preferably 1 -5%, particularly no more than 3-4%.
Still further in this invention, the term "hot" with regard to the alcohol solvent used in the method preferably means a temperature range from about 40-50 °C to the boiling point of that alcohol.
HMOs and their precursors can be produced in high yields, in aqueous media enzymatically of by fermentation of genetically transformed E. coli. See, for example, EP-A-1405856 and EP-A-1 194584, Drouillard et al. Agnew. Chem. Int. Ed. 45,1778 (2006) and Han et al. Biotechnol. Adv. 30, 1268 (2012).
To separate a non-acidic HMO or HMO precursor in high yield as a pure crystalline material from an aqueous solution, in which it was made enzymatically, the aqueous media is preferably contacted with cationic and/or anionic ion exchange resins to remove proteins. To separate a non-acidic HMO or HMO precursor, preferably a non-acidic HMO, in high yield as a pure crystalline material from an aqueous fermentation broth, in which it was made, the aqueous fermentation broth is preferably separated, preferably by centrifugation, from the fermented, preferably E. coli, cells and then proteins and salts are removed from the fermentation broth, preferably by contacting it with cationic and anionic ion exchange resins. The resulting aqueous medium, produced enzymatically or by fermentation, is then dried to remove at least most of its water content by evaporation, azeotropic distillation, spray drying, freeze drying or a combination thereof, preferably by freeze drying. The dry powder, so-produced, contains no more than about 8-10 wt% water, preferably no more than about 5 wt% water, especially no more than 3-4 wt% water. For best results in carrying out the method of this invention, the aqueous medium, produced enzymatically or by fermentation, preferably contains at least about 10 g/l, especially at least 15-20 g/l, particularly at least about 30-40 g/l, quite particularly at least at least about 50 g/l, of the non-acidic HMO or HMO precursor, and the dry powder therefrom preferably contains the non-acidic HMO or HMO precursor at a concentration of at least about 15 wt%, preferably at least about 25 wt%, especially at least 30-40 wt%, particularly at least at least 50-60 wt%, more particularly at least 95 wt%, even more particularly at least 97 wt%.
In accordance with this invention, the dry, preferably protein-free powder is then treated with a hot, preferably boiling, d-C6 alcohol solvent, preferably a CrC4 alcohol solvent, especially methanol, to produce an alcohol solution of the non-acidic HMO or HMO precursor. In this regard, the alcohol solvent can, if desired, be heated, preferably to boiling, only after it is used to dissolve the non-acidic HMO or HMO precursor to produce the alcohol solution. The alcohol solvent preferably contains no water, but where water enhances the solubility differential between the desired product and fermentation by-products, the alcohol solvent can suitably contain up to about 50 v/v% water, preferably up to 30 v/v% water, especially no more than 15 v/v%, particularly no more than 5 v/v%. In this regard, the dry powder can be dissolved in water or aqueous alcohol before treating it with the alcohol solvent.
Optionally, the alcohol solvent contains a filtration aid, such as activated carbon or diatomaceous earth, to be removed in a subsequent filtration step. The amount of alcohol solvent used is not critical, but preferably at least about 4-10 ml, especially about 5-7 ml, of alcohol are used per gram of the dry powder. Depending on the choice of solvent and its water content, if any, at least about 33 wt%, preferably at least 40-60 wt%, of the solids content of the dry powder become dissolved in the alcohol solution. Preferably for certain non-acidic HMO or HMO precursors, the alcohol solution is then filtered, preferably while still hot, especially boiling hot, to remove insoluble fermentation by-products. Depending on the choice of solvent and its water content, if any, at least about 30 wt%, preferably about 40-60 wt%, especially about about 45- 55 wt%, of the solids content of the dry powder are filtered from the alcohol solution. The hot alcohol solution, preferably after filtration, is then concentrated by partial evaporation down to at least about 60-70 % of its original volume, preferably down to about 40-60 %, especially down to about 45-55 %, of its original volume. The concentrated alcohol solution is then allowed to cool somewhat, preferably down to about 30-50 °C, especially about 35-45 °C. Seed crptals of the desired non-acidic HMO or HMO precursor can be added to the concentrated alcohol solution while it is still warm, preferably at about 30-50 °C, especialy at about 35-45 °C. The
concentrated alcohol solution is then allowed to cool, for example to room
temperature, and precipitated crystals of the desired non-acidic HMO or HMO precursor can then be filtered from the solution. If desired, the precipitated crystals can then be recrystallized using a hot CrC6 alcohol solvent, preferably the same alcohol solvent as was used for the original crystallization, optionally containing up to about 50 v/v% water.
In a preferred embodiment, the non-acidic HMO to be obtained by crystallization is a fucosylated HMO and is preferably a compound of formula 1 , above (2'-FL, 3-FL or 2',3-DFL). Its aqueous medium, produced enzymatically or by fermentation (see e.g. Drouillard et al. Angew. Chem. Int. Ed. 45, 1778 (2006), WO 2010/070104, WO 2010/142305, WO 2012/1 12777) is dried, by removing at least most of its water content by evaporation, azeotropic distillation, spray drying, freeze drying or a combination thereof, preferably by freeze drying, to form a dry powder that contains no more than about 8-10 wt% water, preferably no more than about 5 wt% water, especially no more than 3-4 wt% water. For best results, the aqueous medium, preferably contains at least about 15-20 g/l, particularly at least about 30-40 g/l, quite particularly at least at least about 50 g/l, of a compound of formula 1 , and the dry powder therefrom preferably contains the compound of formula 1 at a concentration of at least about 30-40 wt%, preferably at least at least 50-60 wt%, more particularly at least 95 wt%, even more particularly at least 97 wt%. The dry, preferably protein- free powder is then treated with a hot, C C4 alcohol solvent, preferably boiling methanol, to produce an alcohol solution of a compound of formula 1. In this regard, the alcohol solvent can, if desired, be heated, preferably to boiling, only after it is used to dissolve a compound of formula 1 to produce the alcohol solution. The alcohol solvent preferably contains no water. Preferably, the alcohol solution is then filtered, preferably while still hot, especially boiling hot, to remove insoluble
fermentation by-products. The hot alcohol solution, preferably after filtration, is then concentrated by partial evaporation down to at least about 60-70 % of its original volume, preferably down to about 40-60 %, especially down to about 45-55 %, of its original volume. The concentrated alcohol solution is then allowed to cool somewhat, preferably down to about 30-50 °C, especially about35-45 °C, seed crystals are then preferably added to the concentrated alcohol solution while it is still warm, preferably at about 30-50 °C, especially at about 35-45 °C. Tte concentrated alcohol solution is then allowed to cool, for example to room temperature, and precipitated crystals of a compound of formula 1 can then be filtered from the solution. If desired, the precipitated crystals can then be recrystallized using a hot C C4 alcohol solvent, preferably the same alcohol solvent as was used for the original crystallization, which can contain water.
In another preferred embodiment, the non-acidic HMO to be crystallized has no fucosyl residue and is preferably LNT or LNnT. Its aqueous medium, produced enzymatically or by fermentation (see e.g. WO 01 /04341 , Priem et al. Glycobiology 12, 235 (2002)) is dried, by removing at least most of its water content, by means of evaporation, azeotropic distillation, spray drying, freeze drying or combination thereof, preferably by freeze drying, to form a dry powder that contains no more than about 8-10 wt% water, preferably no more than about 5 wt% water, especially no more than 3-4 wt% water and preferably contains LNT or LNnT at a concentration of at least about 30-40 wt%, preferably at least at least 50-60 wt%, more particularly at least 95 wt%, even more particularly at least 97 wt%. The dry, preferably protein-free powder is then treated with a hot Ci-C4 alcohol solvent, preferably boiling methanol, which can contain up to 30-40 % of water, to produce an alcohol solution of LNT or LNnT. In this regard, the alcohol solvent, water or a mixture thereof can, if desired, be heated, preferably to around 60 °C, only after t is used to dissolve LNT or LNnT to produce the alcohol solution. Optionally, the alcohol solution can be filtered, preferably while still hot, to remove insoluble fermentation by-products. The hot alcohol solution is then allowed to cool somewhat, preferably down to room
temperature or 0-4 °C, and precipitated crystals of LNT or LNnT can then be filtered from the solution. It is possible to assist crystallization by adding seed crystals. If desired, the precipitated crystals can then be recrystallized using a hot C C4 alcohol solvent, preferably the same alcohol solvent as was used for the original
crystallization.
EXAMPLES Example 1
2'-0-fucosyllactose (a-L-fucopyranosyl-(1→2)-p-D-galactopyranosyl-(1→4)-D- glucose ["2'-FL"]) was expressed by an E. coli strain K12 that had been transformed with a glycosyl transferase gene and that had been cultivated in an aqueous medium containing glycerol (as a carbon and energy source) and lactose (as an acceptor for glycosylation with fucose, produced internally in the E. coli). The fermentation was carried out as described in Drouillard et al. Angew. Chem. Int. Ed. 45, 1778 (2006).
When fermentation ended, the aqueous fermentation broth, containing about 30 g/l of 2'-FL, was centrifuged to remove the E. coli cells from the broth. The remaining liquid was treated with an anionic ion exchange resin and with a cationic ion exchange resin to remove the cell proteins from the liquid. The cell- and protein-free broth was then freeze dried, so that it contained about 50-55 wt% of 2'-FL and no more than about 4 wt% water.
The dried powder (1 g) was then treated with boiling anhydrous methanol (6 ml). About 50 wt% of the solids content of the dry powder dissolved in the methanol. The methanol solution was then filtered while still boiling hot to remove insoluble fermentation by-products (amounting to about 50 wt% of the solids content of the dried powder). The filtered methanol solution was then kept hot to partially evaporate it to about 50 % of its original volume and then allowed to cool somewhat. Seed crystals of 2'-FL were then added to the still warm (40 °C), concentrated methanol solution. The concentrated methanol solution was then allowed to cool to room temperature (22 °C), and precipitated crystals (0.45 g) of 2'-FL were filtered from the solution with high purity.
Example 2 9.17 g of LNT (approximately 80%, obtained after fermentation with genetically modified E. coll according to the teaching of WO 01 /04341 , treatment with resins and freeze-drying) was dissolved in water (30 ml) and MeOH (60 ml) by heating to 60 °C, and the solution was stirred at room temperature for 2 h followed by 4 °C over night. Filtration, washing with MeOH-H2O 3:1 and drying (50 °C and vacuum overnight) gave lacto-N-tetraose (5.89 g). Purity 95% (HPLC).
The following non-acidic HMOs and precursors are crystallized in essentially the same manner after fermentation thereof: lacto-N-triose II (US 7521212, Priem et al. Glycobiology 12, 235 [2002]), LNnT( US 7521212, or Priem et al. Glycobiology Λ2, 235 [2002]),
LNDFH III (Dumon et al. Biotechnol. Prog. 20, 412 [2004]),
LNFP V Gal(jS1 -4)GlcNAc(jS1 -3)Gal(jS1 -4)[Fuc(a1 -3)]Glc (Dumon et al.
Glycoconj. J. 18, 465 [2001 ]).

Claims

1 . A method of obtaining, in crystalline form, a non-acidic HMO or a non-acidic precursor of an HMO produced in an aqueous media, enzymatically or by
fermentation, particularly produced intracellularly in an aqueous fermentation broth, quite particularly produced by E. coli, said method comprising the steps of: a) drying, preferably freeze-drying, the aqueous media, preferably after removing proteins therefrom, to produce a dry powder that contains the non- acidic HMO or HMO precursor; b) then treating the dry powder with a hot CrC6 alcohol solvent, preferably a C C4 alcohol solvent, especially methanol, optionally containing up to 50 v/v%, preferably up to 35 v/v%, especially no more than 15 v/v%, particularly no more than 5 v/v%, water, to produce an alcohol solution of the non-acidic HMO or HMO precursor; and c) then crystallizing the non-acidic HMO or HMO precursor from the alcohol solution.
2. The method of claim 1 , wherein the dry powder is at least about 15 wt%, preferably at least about 25 wt%, especially at least 30-40 wt%, particularly at least 50-60 wt%, more particularly at least 95 wt%, even more particularly at least 97 wt% non-acidic HMO or HMO precursor.
3. The method of any one of the claims 1 -2, wherein the dry powder contains no more than 8-10 wt% water, preferably no more than about 5 wt% water, especially no more than 3-4 wt% water.
4. The method of any one of the claims 1 -3, which also comprises, between steps b) and c), one or more, preferably all, of the following intermediate steps: i) the alcohol solution is filtered to separate insolubles; ii) then the alcohol solution is concentrated down to at least
about 60-70 %, preferably down to about 40-60 %, especially
down to about 45-55 %, of its original volume, and iii) then, the alcohol solution is seeded with crystals of the non- acidic HMO or HMO precursor.
5. The method of any one of the claims 1 -4, wherein the non-acidic HMO is a fucosylated HMO, preferably a compound of formula 1
Figure imgf000015_0001
wherein R independently of each other is fucosyl or H, provided that at least one R is fucosyl.
6. The method of claim 5, comprising the steps of: a) drying, preferably freeze-drying, the aqueous media, preferably after removing proteins therefrom, to produce a dry powder that contains a
compound of formula 1 ; b) then treating the dry powder with a hot C C4 alcohol solvent, preferably methanol, that preferably contains no water, to produce an alcohol solution of compound of formula 1 ; and c) then crystallizing the compound of formula 1 from the alcohol solution.
7. The method of claim 6, which also comprises, between steps b) and c), an intermediate step wherein the alcohol solution is concentrated down to 40-60 %, preferably down to 45-55 %, of its original volume, preferably by keeping it hot to partially evaporate it.
8. The method of claim 7, wherein the hot alcohol solution is cooled to 30-50 °C, preferably 35-45 °C, after being concentrated in the intermediate step above.
9. The method of any one of the claims 5-8, wherein the compound of formula 1 is 2'-FL, and the alcohol is methanol.
10. The method of any one of the claims 1 -4, wherein the non-acidic HMO is a HMO having no fucosyl residue, preferably LNT or LNnT.
1 1 . The method of claim 10, comprising the steps of: a) drying, preferably freeze-drying, the aqueous media, preferably after removing proteins therefrom, to produce a dry powder that contains LNT or LNnT; b) then treating the dry powder with a hot CrC4 alcohol solvent, preferably methanol, that preferably contains up to 30-40 % of water, to produce an alcohol solution LNT or LNnT; and c) then crystallizing LNT or LNnT from the alcohol solution.
12. The method of any one of the claims 10-1 1 , wherein the non-acidic HMO is LNT, and the alcohol is methanol.
13. A method of obtaining a non-acidic HMO or HMO precursor from a powder, preferably a protein-free powder, produced by drying, preferably freeze drying, an aqueous media, in which the non-acidic HMO or HMO precursor was produced enzymatically or by fermentation, particularly produced intracellularly in an aqueous fermentation broth, quite particularly produced by E. coli, comprising carrying out the method of any one of the claims 1 -12.
PCT/DK2013/0504162012-12-072013-12-05Crystallisation of human milk oligosaccharides (hmo)WO2014086373A1 (en)

Applications Claiming Priority (2)

Application NumberPriority DateFiling DateTitle
DKPA2012707702012-12-07
DKPA2012707702012-12-07

Publications (1)

Publication NumberPublication Date
WO2014086373A1true WO2014086373A1 (en)2014-06-12

Family

ID=49841470

Family Applications (1)

Application NumberTitlePriority DateFiling Date
PCT/DK2013/050416WO2014086373A1 (en)2012-12-072013-12-05Crystallisation of human milk oligosaccharides (hmo)

Country Status (1)

CountryLink
WO (1)WO2014086373A1 (en)

Cited By (25)

* Cited by examiner, † Cited by third party
Publication numberPriority datePublication dateAssigneeTitle
WO2015188834A1 (en)*2014-06-112015-12-17Glycom A/SSeparation of 2'-o-fucosyllactose from fermentation broth
WO2016086947A1 (en)*2014-12-052016-06-09Glycom A/SCrystalline difucosyllactose
WO2016095924A1 (en)2014-12-162016-06-23Glycom A/SSeparation of 2'-fl from a fermentation broth
WO2017101953A1 (en)*2015-12-172017-06-22Glycom A/SCrystalline forms of lnt
WO2017182965A1 (en)*2016-04-192017-10-26Glycom A/SSeparation of oligosaccharides from fermentation broth
WO2017221208A1 (en)2016-06-242017-12-28Glycom A/SCompositions comprising hmos, their production and use for the prevention and/or treatment of viral and/or bacterial infections
WO2018077368A1 (en)2016-10-312018-05-03Glycom A/SMethod for removing residual organic solvent from a crystalline oligosaccharide
EP3494805A1 (en)*2017-12-082019-06-12Jennewein Biotechnologie GmbHSpray-dried tetrasaccharides
EP3494807A1 (en)*2017-12-112019-06-12Jennewein Biotechnologie GmbHSpray-dried sialyllactose
EP3494804A1 (en)*2017-12-082019-06-12Jennewein Biotechnologie GmbHSpray-dried 3-fucosyllactose
EP3494806A1 (en)*2017-12-082019-06-12Jennewein Biotechnologie GmbHSpray-dried lacto-n-fucopentaose
WO2019110804A1 (en)*2017-12-082019-06-13Jennewein Biotechnologie GmbhSpray-dried tetrasaccharides
US10407516B2 (en)*2016-10-312019-09-10Glycom A/SCrystalline HMO
EP3546060A1 (en)*2018-03-272019-10-02DuPont Nutrition Biosciences ApSProcess for spray drying fucosyllactose solutions and related product compositions
WO2019189200A1 (en)2018-03-292019-10-03森永乳業株式会社Nutritional composition, food/drink composition using nutritional composition, and modified milk powder using nutritional composition
EP3131912B1 (en)2014-01-202020-01-22Jennewein Biotechnologie GmbHProcess for efficient purification of neutral human milk oligosaccharides (hmo) from microbial fermentation
WO2020079146A1 (en)2018-10-182020-04-23Basf SeCrystalline form ii of 2'-o-fucosyllactose, process for its preparation, nutritional, cosmetic or pharmaceutical formulation containing the same
EP3750902A1 (en)*2019-06-142020-12-16Jennewein Biotechnologie GmbHProcess for the purification of lacto-n-neotetraose
WO2021181349A1 (en)2020-03-122021-09-16Glycom A/SCrystallization of 2'-fl
US11505567B2 (en)2017-07-122022-11-22Glycom A/SAmorphous mixture comprising a neutral mono- or oligosaccharide and an acidic non-carbohydrate component
CN115873051A (en)*2022-05-172023-03-31山东恒鲁生物科技有限公司 New crystal form of trisaccharide
RU2793915C1 (en)*2019-06-142023-04-10Хр. Ханзен ХМО ГмбХMethod for purification of lacto-n-neotetraose
CN116425810A (en)*2023-06-142023-07-14山东合成远景生物科技有限公司Purification method of 3-fucosyllactose in mixed solution
CN116462720A (en)*2023-04-222023-07-21山东恒鲁生物科技有限公司Crystal of disaccharide
CN117003803A (en)*2022-05-072023-11-07山东恒鲁生物科技有限公司 A new crystal form of trisaccharide

Citations (7)

* Cited by examiner, † Cited by third party
Publication numberPriority datePublication dateAssigneeTitle
WO2001004341A1 (en)1999-07-072001-01-18Centre National De La Recherche Scientifique (Cnrs)Method for producing oligopolysaccharides
EP1405856A1 (en)2001-06-112004-04-07Kyowa Hakko Kogyo Co., LtdCrystals of oligosaccharides and processes for preparation thereof
WO2010070104A1 (en)2008-12-192010-06-24Jennewein Biotechnologie GmbhSynthesis of fucosylated compounds
WO2010142305A1 (en)2009-06-082010-12-16Jennewein Biotechnologie GmbhHmo synthesis
WO2011100980A1 (en)*2010-02-192011-08-25Glycom A/SA method for preparation of the tetrasaccharide lacto-n-neotetraose (lnnt) containing n-acetyllactosamine
WO2011150939A1 (en)*2010-06-012011-12-08Glycom A/SPolymorphs of 2'-o-fucosyllactose and producing thereof
WO2012112777A2 (en)2011-02-162012-08-23Glycosyn LLCBiosynthesis of human milk oligosaccharides in engineered bacteria

Patent Citations (9)

* Cited by examiner, † Cited by third party
Publication numberPriority datePublication dateAssigneeTitle
WO2001004341A1 (en)1999-07-072001-01-18Centre National De La Recherche Scientifique (Cnrs)Method for producing oligopolysaccharides
EP1194584A1 (en)1999-07-072002-04-10Centre National De La Recherche Scientifique (Cnrs)Method for producing oligopolysaccharides
US7521212B1 (en)1999-07-072009-04-21Centre National De La Recherche Scientifique (Cnrs)Method for producing oligopolysaccharides
EP1405856A1 (en)2001-06-112004-04-07Kyowa Hakko Kogyo Co., LtdCrystals of oligosaccharides and processes for preparation thereof
WO2010070104A1 (en)2008-12-192010-06-24Jennewein Biotechnologie GmbhSynthesis of fucosylated compounds
WO2010142305A1 (en)2009-06-082010-12-16Jennewein Biotechnologie GmbhHmo synthesis
WO2011100980A1 (en)*2010-02-192011-08-25Glycom A/SA method for preparation of the tetrasaccharide lacto-n-neotetraose (lnnt) containing n-acetyllactosamine
WO2011150939A1 (en)*2010-06-012011-12-08Glycom A/SPolymorphs of 2'-o-fucosyllactose and producing thereof
WO2012112777A2 (en)2011-02-162012-08-23Glycosyn LLCBiosynthesis of human milk oligosaccharides in engineered bacteria

Non-Patent Citations (10)

* Cited by examiner, † Cited by third party
Title
DROUILLARD ET AL., AGNEW. CHEM. INT. ED., vol. 45, 2006, pages 1778
DROUILLARD ET AL., ANGEW. CHEM. INT. ED., vol. 45, 2006, pages 1778
DUMON ET AL., BIOTECHNOL. PROG., vol. 20, 2004, pages 412
DUMON ET AL., GLYCOCONJ. J., vol. 18, 2001, pages 465
HAN ET AL., BIOTECHNOL. ADV., vol. 30, 2012, pages 1268
NAM SOO HAN ET AL: "Biotechnological production of human milk oligosaccharides", BIOTECHNOLOGY ADVANCES, vol. 30, no. 6, 1 November 2012 (2012-11-01), pages 1268 - 1278, XP055074947, ISSN: 0734-9750, DOI: 10.1016/j.biotechadv.2011.11.003*
PRIEM ET AL., GLYCOBIOLOGY, vol. 12, 2002, pages 235
RICHARD KUHN ET AL: "Die Konstitution der Lacto-N-fucopentaose II. Ein Beitrag zur Spezifität der Blutgruppensubstanz Lea", CHEMISCHE BERICHTE, 1 February 1958 (1958-02-01), pages 364 - 374, XP055113657, Retrieved from the Internet <URL:http://onlinelibrary.wiley.com/store/10.1002/cber.19580910221/asset/19580910221_ftp.pdf?v=1&t=htv66hdf&s=a346c0e574efb3f1dc49129665d53ba15d3be5db> DOI: 10.1002/cber.19580910221*
RICHARD KUHN ET AL: "KRISTALLISIERTE FUCOSIDO-LACTOSE", CHEMISCHE BERICHTE, VCH, DE, vol. 89, no. 11, 1 November 1956 (1956-11-01), pages 2513, XP009074773, ISSN: 0009-2940*
URASHIMA ET AL.: "Milk Oligosaccharides", 2011, NOVA BIOMEDICAL BOOKS

Cited By (72)

* Cited by examiner, † Cited by third party
Publication numberPriority datePublication dateAssigneeTitle
US11597740B2 (en)2014-01-202023-03-07Chr. Hansen HMO GmbHProcess for efficient purification of neutral human milk oligosaccharides (HMOs) from microbial fermentation
EP3680249B1 (en)2014-01-202023-03-01Chr. Hansen HMO GmbHProcess for efficient purification of neutral human milk oligosaccharides (hmos) from microbial fermentation
EP3686211B1 (en)2014-01-202023-03-01Chr. Hansen HMO GmbHProcess for efficient purification of neutral human milk oligosaccharides (hmos) from microbial fermentation
EP3131912B1 (en)2014-01-202020-01-22Jennewein Biotechnologie GmbHProcess for efficient purification of neutral human milk oligosaccharides (hmo) from microbial fermentation
US11661435B2 (en)2014-01-202023-05-30Chr. Hansen HMO GmbHSpray-dried, high-purity, neutral human milk oligosaccharides (HMOs) from microbial fermentation
WO2015188834A1 (en)*2014-06-112015-12-17Glycom A/SSeparation of 2'-o-fucosyllactose from fermentation broth
WO2016086947A1 (en)*2014-12-052016-06-09Glycom A/SCrystalline difucosyllactose
US10500221B2 (en)2014-12-052019-12-10Glycom A/SCrystalline difucosyllactose
EP3227309A4 (en)*2014-12-052019-01-16Glycom A/S DIFUCOSYLLACTOSE CRYSTALLINE
US10676770B2 (en)2014-12-162020-06-09Glycom A/SSeparation of 2′-FL from a fermentation broth
EP4151645A2 (en)2014-12-162023-03-22Glycom A/SSeparation of 2'-fl from a fermentation broth
US12060594B2 (en)2014-12-162024-08-13Glycom A/SSeparation of 2′-FL from a fermentation broth
WO2016095924A1 (en)2014-12-162016-06-23Glycom A/SSeparation of 2'-fl from a fermentation broth
US11267839B2 (en)2015-12-172022-03-08Glycom A/SCrystalline forms of LNT
US11767340B2 (en)2015-12-172023-09-26Glycom A/SCrystalline forms of LNT
US10696705B2 (en)2015-12-172020-06-30Glycom A/SCrystalline forms of LNT
WO2017101953A1 (en)*2015-12-172017-06-22Glycom A/SCrystalline forms of lnt
WO2017182965A1 (en)*2016-04-192017-10-26Glycom A/SSeparation of oligosaccharides from fermentation broth
US11312741B2 (en)2016-04-192022-04-26Glycom A/SSeparation of oligosaccharides from fermentation broth
WO2017221208A1 (en)2016-06-242017-12-28Glycom A/SCompositions comprising hmos, their production and use for the prevention and/or treatment of viral and/or bacterial infections
EP3474861A4 (en)*2016-06-242020-04-15Glycom A/S COMPOSITIONS WITH HMOS, THEIR PRODUCTION AND USE FOR THE PREVENTION AND / OR TREATMENT OF VIRAL AND / OR BACTERIAL INFECTIONS
WO2018077368A1 (en)2016-10-312018-05-03Glycom A/SMethod for removing residual organic solvent from a crystalline oligosaccharide
US10407516B2 (en)*2016-10-312019-09-10Glycom A/SCrystalline HMO
US11384110B2 (en)2016-10-312022-07-12Glycom A/SMethod for removing residual organic solvent from a crystalline oligosaccharide
US11939351B2 (en)2017-07-122024-03-26Glycom A/SAmorphous mixture comprising a neutral mono- or oligosaccharide and an acidic non-carbohydrate component
US11505567B2 (en)2017-07-122022-11-22Glycom A/SAmorphous mixture comprising a neutral mono- or oligosaccharide and an acidic non-carbohydrate component
US12054513B2 (en)2017-07-122024-08-06Glycom A/SAmorphous mixture comprising a neutral mono- or oligosaccharide and an acidic non-carbohydrate component
WO2019110803A1 (en)*2017-12-082019-06-13Jennewein Biotechnologie GmbhSpray-dried sialyllactose
EP3494806A1 (en)*2017-12-082019-06-12Jennewein Biotechnologie GmbHSpray-dried lacto-n-fucopentaose
EP3720298A1 (en)*2017-12-082020-10-14Jennewein Biotechnologie GmbHSpray-dried 3-fucosyllactose
RU2810298C2 (en)*2017-12-082023-12-26Хр. Ханзен ХМО ГмбХSpray dried 3-fucosyllactose
CN111447844A (en)*2017-12-082020-07-24詹尼温生物技术有限责任公司Spray-dried tetrasaccharides
CN111432663A (en)*2017-12-082020-07-17詹尼温生物技术有限责任公司Spray-dried lacto-N-fucopentan
JP2021505174A (en)*2017-12-082021-02-18イェンネワイン バイオテクノロジー ゲーエムベーハーJennewein Biotechnologie GmbH Spray-dried lacto-N-fucopentaose
JP2021505177A (en)*2017-12-082021-02-18イェンネワイン バイオテクノロジー ゲーエムベーハーJennewein Biotechnologie GmbH Spray-dried tetrasaccharide
AU2018380959B2 (en)*2017-12-082024-12-12Chr. Hansen HMO GmbHSpray-dried sialyllactose
EP3494805A1 (en)*2017-12-082019-06-12Jennewein Biotechnologie GmbHSpray-dried tetrasaccharides
JP2023182675A (en)*2017-12-082023-12-26クリスチャン・ハンセン・ハーエムオー・ゲーエムベーハー spray dried tetrasaccharide
AU2018380960B2 (en)*2017-12-082025-01-02Chr. Hansen HMO GmbHSpray-dried tetrasaccharides
RU2812853C2 (en)*2017-12-082024-02-02Хр. Ханзен ХМО ГмбХSpray dried tetrasaccharides
EP3494804A1 (en)*2017-12-082019-06-12Jennewein Biotechnologie GmbHSpray-dried 3-fucosyllactose
WO2019110806A1 (en)*2017-12-082019-06-13Jennewein Biotechnologie GmbhSpray-dried lacto-n-fucopentaose
RU2812864C2 (en)*2017-12-082024-02-05Хр. Ханзен ХМО ГмбХSpray dried lacto-n-fucopentaose
WO2019110801A1 (en)*2017-12-082019-06-13Jennewein Biotechnologie GmbhSpray-dried 3-fucosyllactose
US11582994B2 (en)2017-12-082023-02-21Chr. Hansen HMO GmbHSpray-dried 3-fucosyllactose
WO2019110804A1 (en)*2017-12-082019-06-13Jennewein Biotechnologie GmbhSpray-dried tetrasaccharides
CN111465331A (en)*2017-12-082020-07-28詹尼温生物技术有限责任公司Spray-dried 3-fucosyllactose
EP3494807A1 (en)*2017-12-112019-06-12Jennewein Biotechnologie GmbHSpray-dried sialyllactose
EP3755819A4 (en)*2018-02-192021-12-29DuPont Nutrition Biosciences ApSProcess for spray drying fucosyllactose solutions and related product compositions
CN112020568A (en)*2018-02-192020-12-01杜邦营养生物科学有限公司Methods for spray drying fucosyllactose solutions and related product compositions
EP3546060A1 (en)*2018-03-272019-10-02DuPont Nutrition Biosciences ApSProcess for spray drying fucosyllactose solutions and related product compositions
WO2019189200A1 (en)2018-03-292019-10-03森永乳業株式会社Nutritional composition, food/drink composition using nutritional composition, and modified milk powder using nutritional composition
US12022844B2 (en)2018-03-292024-07-02Morinaga Milk Industry Co., Ltd.Nutritional composition, food/drink composition using nutritional composition, and modified milk powder using nutritional composition
CN113227112A (en)*2018-10-182021-08-06巴斯夫欧洲公司Method for obtaining crystalline 2' -fucosyllactose
US11685759B2 (en)2018-10-182023-06-27Basf SeMethod for obtaining crystalline 2′-fucosyllactose
WO2020079146A1 (en)2018-10-182020-04-23Basf SeCrystalline form ii of 2'-o-fucosyllactose, process for its preparation, nutritional, cosmetic or pharmaceutical formulation containing the same
WO2020079114A1 (en)2018-10-182020-04-23Basf SeMethod for obtaining crystalline 2'-fucosyllactose
WO2020249584A1 (en)*2019-06-142020-12-17Jennewein Biotechnologie GmbhProcess for the purification of lacto-n-neotetraose
EP3750902A1 (en)*2019-06-142020-12-16Jennewein Biotechnologie GmbHProcess for the purification of lacto-n-neotetraose
RU2793915C1 (en)*2019-06-142023-04-10Хр. Ханзен ХМО ГмбХMethod for purification of lacto-n-neotetraose
AU2020291784B2 (en)*2019-06-142025-07-24Chr. Hansen HMO GmbHProcess for the purification of lacto-n-neotetraose
JP2022537956A (en)*2019-06-142022-08-31クリスチャン・ハンセン・ハーエムオー・ゲーエムベーハー Method for purifying lacto-N-neotetraose
CN113966338A (en)*2019-06-142022-01-21科汉森母乳低聚糖股份有限公司Method for purifying lacto-N-neotetraose
WO2021181349A1 (en)2020-03-122021-09-16Glycom A/SCrystallization of 2'-fl
CN117003803A (en)*2022-05-072023-11-07山东恒鲁生物科技有限公司 A new crystal form of trisaccharide
EP4431518A4 (en)*2022-05-072025-05-21Shandong Henglu Biotech. Co., Ltd. NEW CRYSTALLINE FORM OF TRISACCHARIDE
CN115873051A (en)*2022-05-172023-03-31山东恒鲁生物科技有限公司 New crystal form of trisaccharide
CN115873051B (en)*2022-05-172024-06-25山东恒鲁生物科技有限公司Novel crystal forms of trisaccharides
WO2023221758A1 (en)*2022-05-172023-11-23山东恒鲁生物科技有限公司New crystal form of trisaccharide
CN116462720A (en)*2023-04-222023-07-21山东恒鲁生物科技有限公司Crystal of disaccharide
CN116425810A (en)*2023-06-142023-07-14山东合成远景生物科技有限公司Purification method of 3-fucosyllactose in mixed solution
CN116425810B (en)*2023-06-142023-08-11山东合成远景生物科技有限公司Purification method of 3-fucosyllactose in mixed solution

Similar Documents

PublicationPublication DateTitle
WO2014086373A1 (en)Crystallisation of human milk oligosaccharides (hmo)
EP3714060B1 (en)Process for the purification of a sialic acid from a fermentation broth
EP3154995B1 (en)Separation of 2&#39;-o-fucosyllactose from fermentation broth
RU2041234C1 (en)CRYSTALLINE 2-O-α-D-GLUCOPYRANOZYL-L-ASCORBIC ACID AND METHOD FOR ITS PRODUCTION
DK3041945T3 (en) PREPARATION OF GALACTO OLIGOSACCHARIDES
EP4151645A2 (en)Separation of 2&#39;-fl from a fermentation broth
WO2016086947A1 (en)Crystalline difucosyllactose
AU2019362595B2 (en)Crystalline form II of 2&#39;-O-fucosyllactose, process for its preparation, nutritional, cosmetic or pharmaceutical formulation containing the same
US20220251131A1 (en)Process for the purification of lacto-n-neotetraose
CN110914284A (en)Amorphous mixture comprising neutral mono-or oligosaccharides and acidic non-carbohydrate component
CN111171097B (en)Separation and purification method for producing adenosine by fermentation
WO2021181349A1 (en)Crystallization of 2&#39;-fl
US8580955B2 (en)Purification method and production method for cellobiose
RU2793915C1 (en)Method for purification of lacto-n-neotetraose
JPH08119986A (en)Method for purifying sialic acid or its analog
CN119241606B (en) A method for separating and purifying 3-fucosyllactose
RU2780437C1 (en)Method for purification of sialic acid from fermentation broth
CN108265094B (en)Preparation method of alpha-2, 3 deaminated sialyllactulose
JPH0699461B2 (en) Method for producing L-rhamnose
NZ717489B2 (en)Production of galacto-oligosaccharides.

Legal Events

DateCodeTitleDescription
121Ep: the epo has been informed by wipo that ep was designated in this application

Ref document number:13811117

Country of ref document:EP

Kind code of ref document:A1

122Ep: pct application non-entry in european phase

Ref document number:13811117

Country of ref document:EP

Kind code of ref document:A1


[8]ページ先頭

©2009-2025 Movatter.jp