Movatterモバイル変換


[0]ホーム

URL:


WO2014021894A2 - Few mode optical fibers for mode division multiplexing - Google Patents

Few mode optical fibers for mode division multiplexing
Download PDF

Info

Publication number
WO2014021894A2
WO2014021894A2PCT/US2012/049289US2012049289WWO2014021894A2WO 2014021894 A2WO2014021894 A2WO 2014021894A2US 2012049289 WUS2012049289 WUS 2012049289WWO 2014021894 A2WO2014021894 A2WO 2014021894A2
Authority
WO
WIPO (PCT)
Prior art keywords
mode
less
optical fiber
refractive index
wavelength
Prior art date
Application number
PCT/US2012/049289
Other languages
French (fr)
Other versions
WO2014021894A3 (en
Inventor
Scott Robertson BICKHAM
Ming-Jun Li
Daniel Aloysius Nolan
Ji Wang
Original Assignee
Corning Incorporated
Priority date (The priority date is an assumption and is not a legal conclusion. Google has not performed a legal analysis and makes no representation as to the accuracy of the date listed.)
Filing date
Publication date
Application filed by Corning IncorporatedfiledCriticalCorning Incorporated
Priority to JP2015525408ApriorityCriticalpatent/JP6158329B2/en
Priority to EP12882327.5Aprioritypatent/EP2745151B1/en
Priority to PCT/US2012/049289prioritypatent/WO2014021894A2/en
Priority to CN201280043850.9Aprioritypatent/CN104067152B/en
Publication of WO2014021894A2publicationCriticalpatent/WO2014021894A2/en
Publication of WO2014021894A3publicationCriticalpatent/WO2014021894A3/en

Links

Classifications

Definitions

Landscapes

Abstract

A few mode optical fiber suitable for use in a mode division multiplexing (MDM) optical transmission system is disclosed. The optical fiber has a graded-index core with a radius R1 in the range from 8 μm to 14 μm, an alpha value greater than or equal to about 2.3 and less than about 2.7 at a wavelength of 1550 nm, and a maximum relative refractive index Δ1MAX from about 0.3% to about 0.6% relative to the cladding. The optical fiber also has an effective area greater than about 90 μm2 and less than about 160 μm2. The core and cladding support only the LP01 and LP11 modes at wavelengths greater than 1500 nm. The cladding has a maximum relative refractive index Δ4MAX such that Δ1MAX > Δ4MAX, and the differential group delay between the LP01 and LP11 modes is less than about 0.5 ns/km at a wavelength of 1550 nm.

Description

FEW MODE OPTICAL FIBERS FOR
MODE DIVISION MULTIPLEXING
CROSS-REFERENCE TO RELATED APPLICATION
[0001] This application claims the benefit of priority of U.S. Provisional Application Serial No. 61/ 523552 filed on August 15, 201 1 the content of which is relied upon and incorporated herein by reference in its entirety.
FIELD
[0002] The present specification generally relates to optical fibers and more specifically to few mode optical fibers used for mode division multiplexing (MDM).
BACKGROUND
[0003] The explosive growth in the volume and variety of multi-media telecommunication applications continues to drive speed demands for internet traffic and motivate research in backbone fiber-optic communication links. Coherent communications and electronic digital signal processing (DSP)-based receivers have been accepted in recent years as the next- generation standards for long-haul systems due to their flexibility, scalability and ability to compensate for various transmission impairments, including fiber nonlinearity. As fiber nonlinearity places a limit on achievable spectral efficiency, large effective-area {Aejj) single- mode fibers (SMFs) have been designed for reducing nonlinearity penalties.
[0004] However, the spectral efficiency of an optical fiber increases slowly with increasing effective area, so another solution is needed to increase system capacity. Recent experiments have demonstrated that it is possible to transmit signals in more than one spatial propagation mode of a few mode fiber (FMF) using multiple-input multiple-output (MIMO) techniques. Few mode fibers are particularly attractive for this application because the computational complexity directly scales with number of modes, and utilizing only a few modes reduces the risk of modal mixing that can lead to bit error rate penalties from multipath interference (MPI).
[0005] Few mode optical fibers previously proposed for optical fiber communications systems have either step index or parabolic cores in which the core diameter is increased relative to single mode fiber to support at least the LP11 mode in addition to the fundamental LP01 mode. With both of these core designs, there are large delay differences between the fundamental LP01 mode and the LP1 1 mode at one or more wavelengths in the 1550 nm window. These large delay differences make it difficult to demultiplex the optical signals in the time domain using MIMO.
[0006] Accordingly, a need exists for alternative designs for few mode optical fibers with low loss and small differential group delays (DGD).
SUMMARY
[0007] An aspect of the disclosure is a few mode optical fiber that includes a glass core and a glass cladding that immediately surrounds the core. The glass core has a radius Ri in the range from about 8 μιη to about 14 μιη, a graded refractive index profile with an alpha value greater than or equal to about 2.3 and less than about 2.7 at a wavelength of 1550 nm, a maximum relative refractive index AlMAX in the range from about 0.3% to about 0.6% relative to a glass cladding, and an effective area at 1550 nm greater than about 90 μιη2 and less than about 160 um2. The glass cladding has a maximum relative refractive index Δ4ΜΑΧ such that ΔΙΜΑΧ > Δ4ΜΑΧ· The optical fiber supports the propagation and transmission of only the LP01 and LP1 1 modes at wavelengths greater than 1500 nm, with a group delay between the two modes that is less than about 0.5 ns/km at a wavelength of 1550 nm.
[0008] Another aspect of the disclosure is a few mode optical fiber that includes a glass core and glass cladding surrounding the glass core. The glass core has a radius Ri from about 8 μιη to about 14 μιη, a graded refractive index profile with an alpha value greater than or equal to about 1.9 and less than about 2.7 at a wavelength of 1550 nm, a maximum relative refractive index AlMAX from about 0.3% to about 0.6% relative to a glass cladding, and an effective area at 1550 nm greater than about 90 μιη2 and less than about 160 μιη2. The glass cladding has a low-index ring surrounding the core. The low-index ring has a minimum relative refractive index Δ2ΜΙΝ < 0. The glass cladding also has an outer cladding layer surrounding the low- index ring and having a maximum relative refractive index Δ4ΜΑΧ such that ΔΙΜΑΧ > Δ4ΜΑΧ > Δ2ΜΙΝ. The glass core and glass cladding support the propagation and transmission of only the LP01 and LP1 1 modes at wavelengths greater than 1500 nm. [0009] Another aspect of the disclosure is a few mode optical fiber that includes a glass core surrounded by a glass cladding. The class core has a radius Ri in the range from about 8 μηι to about 14 μηι, a graded refractive index profile with an alpha value greater than or equal to about 1.9 and less than about 2.7 at a wavelength of 1550 nm, a maximum relative refractive index ΔΙΜΑΧ from about 0.3% to about 0.6% relative to a glass cladding, and an effective area at 1550 nm greater than about 90 μηι2 and less than about 160 μηι2. The glass cladding has a low-index ring that surrounds the glass core but is spaced apart therefrom by an inner cladding with relative refractive index Δ3. The low-index ring has a minimum relative refractive index Δ2ΜΙΝ < 0. The glass cladding also has an outer cladding layer that surrounds the low-index ring and has a maximum relative refractive index Δ4ΜΑΧ such that ΔΙΜΑΧ > Δ4ΜΑΧ > Δ2ΜΙΝ and Δ3 > Δ2ΜΙΝ· The glass core and glass cladding support the propagation and transmission of only the LP01 and LP 11 modes at wavelengths greater than 1500 nm.
[0010] Additional features and advantages of the disclosure are set forth in the detailed description that follows, and in part will be readily apparent to those skilled in the art from that description or recognized by practicing the embodiments described herein, including the detailed description that follows, the claims, as well as the appended drawings. The claims are incorporated into and constitute part of the Detailed Description as set forth below.
[0011] It is to be understood that both the foregoing general description and the following detailed description describe various embodiments and are intended to provide an overview or framework for understanding the nature and character of the claimed subject matter. The accompanying drawings are included to provide a further understanding of the various embodiments, and are incorporated into and constitute a part of this specification. The drawings illustrate the various embodiments described herein, and together with the description serve to explain the principles and operations of the claimed subject matter.
BRIEF DESCRIPTION OF THE DRAWINGS
[0012] FIG. 1 a side view of a section of a few mode optical fiber according embodiments described herein;
[0013] FIG. 2A is a cross-sectional view of the few mode fiber of FIG. 1 taken along the line A-A and illustrates a configuration for a first main example embodiment of the few mode optical fiber disclosed herein; [0014] FIG. 2B plots the relative refractive index profile of the few mode optical fiber of FIG. 2A;
[0015] FIG. 3A cross-sectional view taken of the few mode fiber of FIG. 1 along the line A-A and illustrates a configuration for a second main example embodiment of the few mode optical fiber disclosed herein;
[0016] FIG. 3B plots the relative refractive index profile of the optical fiber of FIG. 3A;
[0017] FIG. 4A cross-sectional view of the few mode fiber of FIG. 1 taken along the line A-A and illustrates a configuration for a second main example embodiment of the few mode optical fiber disclosed herein;
[0018] FIG. 4B plots the relative refractive index profile of the few mode optical fiber of FIG. 4A;
[0019] FIG. 4C is similar to FIG. 4B, except that the relative refractive index profile includes the outer cladding having a higher relative refractive index than the inner cladding;
[0020] FIG. 4D plots the pulse broadening (ns/km) versus wavelength (μηι) for different values of the maximum core relative refractive index AlMAX (denoted "delta" in the legend) having optimum values of a;
[0021] FIG. 5 is a schematic diagram of an example MDM optical transmission system that uses the few mode optical fiber disclosed herein;
[0022] FIG. 6 is a schematic diagram of an example fiber link that optically connects the transmitter and receiver in the MDM optical transmission system of FIG. 5, wherein the fiber link has multiple spans of few mode fiber connected by optical amplifiers; and
[0023] FIG. 7 illustrates a refractive index profile of an alternative few moded fiber embodiment.
DETAILED DESCRIPTION
[0024] Reference will now be made in detail to embodiments of optical fibers for use as long haul transmission fibers, examples of which are illustrated in the accompanying drawings. Whenever possible, the same reference numerals are used throughout the drawings to refer to the same or like parts. Terminology
[0025] The following terminology will be used herein to described the optical fibers, with some of the parameters being introduced and defined below in connection with the various example embodiments:
[0026] The term "refractive index profile," as used herein, is the relationship between the refractive index or the relative refractive index and the radius of the fiber.
[0027] The term "relative refractive index," as used herein, is defined as:
Δ(Γ)% = 100 X [n(r)2 -nREF2)]/2n(r)2, where n(r) is the refractive index at radius r, unless otherwise specified. The relative refractive index is defined at 1550 nm unless otherwise specified. In one aspect, the reference index nREF is silica glass. In another aspect,
Figure imgf000006_0001
is the maximum refractive index of the cladding. As used herein, the relative refractive index is represented by Δ and its values are given in units of "%", unless otherwise specified. In cases where the refractive index of a region is less than the reference index
Figure imgf000006_0002
the relative refractive index is negative and is referred to as having a depressed region or depressed-index, and the minimum relative refractive index is calculated at the point at which the relative index is most negative unless otherwise specified. In cases where the refractive index of a region is greater than the reference index nREF, the relative refractive index is positive and the region can be said to be raised or to have a positive index.
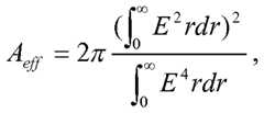
[0028] The term "updopant," as used herein, refers to a dopant which raises the refractive index of glass relative to pure, undoped S1O2. The term "downdopant," as used herein, is a dopant which has a propensity to lower the refractive index of glass relative to pure, undoped Si02. An updopant may be present in a region of an optical fiber having a negative relative refractive index when accompanied by one or more other dopants which are not updopants. Likewise, one or more other dopants which are not updopants may be present in a region of an optical fiber having a positive relative refractive index. A downdopant may be present in a region of an optical fiber having a positive relative refractive index when accompanied by one or more other dopants which are not downdopants. Likewise, one or more other dopants that are not downdopants may be present in a region of an optical fiber having a negative relative refractive index. [0029] As used herein, the "effective area" Aef of an optical fiber is the area of the optical fiber in which light is propagated and is defined as:
Figure imgf000007_0001
where E is the electric field associated with light propagated in the fiber and r is the radius of the fiber. The effective area Ae/f is determined at a wavelength of 1550 nm, unless otherwise specified.
[0030] Mode field diameter (MFD) is a measure of the spot size or beam width of light propagating in a single mode fiber. The MFD is a function of the source wavelength, fiber core radius and fiber refractive index profile. The MFD is measured using the Peterman II method, where:
MFD = 2w, and
Figure imgf000007_0002
wherein E is the electric field distribution in the fiber and r is the radius of the fiber.
[0031] The normalized wave number, or V-number of a fiber, is defined as V = k* Ri*NA, where k is the free space wave number, 2π/λ, λ is the wavelength, Ri is the radius of the core, and NA is the numerical aperture of the fiber. The NA is given by (r ce2 - nd^2)172 = riciad [2ΔΙΜΑΧ /(1-2 ΔΙΜΑΧ)]1 2, where r is the maximum refractive indices of the core, n^ is the refractive index of the cladding and ΔΙΜΑΧ is the maximum relative refractive index of the core with respect to the cladding.
[0032] Chromatic dispersion or dispersion of a fiber is the sum of the material dispersion, the waveguide dispersion, and the inter-modal dispersion.
[0033] The cutoff wavelength of a mode is the minimum wavelength beyond which a mode ceases to propagate in the optical fiber. The cutoff wavelength of a single mode fiber is the minimum wavelength at which an optical fiber will support only one propagating mode. The cutoff wavelength of a single mode fiber corresponds to the highest cutoff wavelength among the higher order modes. Typically the highest cutoff wavelength corresponds to the cutoff wavelength of the LP11 mode. A mathematical definition can be found in Single Mode Fiber Optics, Jeunhomme, pp. 39 44, Marcel Dekker, New York, 1990, wherein the theoretical fiber cutoff is described as the wavelength at which the mode propagation constant becomes equal to the plane wave propagation constant in the outer cladding. This theoretical wavelength is appropriate for an infinitely long, perfectly straight fiber that has no diameter variations.
[0034] The cabled cutoff wavelength, or "cabled cutoff can be approximated by the 22 m cabled cutoff test described in EIA-455- 170 Cable Cutoff Wavelength of Single-mode Fiber by Transmitted Power, or "FOTP- 170". Cable cutoff, as used herein, means the value obtained using the approximated test. The cabled cutoff wavelength is typically 100 to 300 nm lower than the theoretical cutoff wavelength.
[0035] As used herein, the term "few moded fiber" refers to a fiber supporting the propagation of more modes than a single mode fiber but fewer modes than a normal multimode fiber. The number of propagating modes and their characteristics in a cylindrically symmetric optical fiber with an arbitrary refractive index profile is obtained by solving the scalar wave equation (see for example T.A. Lenahan, "Calculation of modes in an optical fiber using a finite element method and EISPACK," Bell Syst. Tech. J., vol. 62,no. 1, p. 2663, Feb. 1983). Light travelling in an optical fiber or other dielectric waveguide forms hybrid-type modes, which are usually referred to as LP (linear polarization) modes. The LPOp modes have two polarization degrees of freedom and are two-fold degenerate, the LPlp modes are four-fold degenerate and the LPmp modes with m > 1 are four- fold degenerate. We do not count these degeneracies when we designate the number of LP modes propagating in the fiber. For example, an optical fiber in which only the LPOl mode propagates is a single-mode fiber, even though the LPOl mode has two possible polarizations. A few-moded optical fiber in which the L01 and LP1 1 modes propagate supports three spatial modes since the LP1 1 mode is two-fold degenerate, and each mode also has two possible polarizations, giving a total of 6 modes. Thus, when a fiber is said to have two LP modes, it is meant that it supports the propagation of all of the LPO l modes and LP1 1 modes. [0036] The bend resistance or bend performance of an optical fiber may be measured by the induced attenuation of light propagating through the fiber under prescribed test conditions. The bend performance of the optical fibers described herein was modeled based on a pin array bend test to compare the relative resistance of the optical fibers to bending. To perform this test, attenuation is measured for an optical fiber with essentially no induced bending loss. The optical fiber is then woven about the pin array and the attenuation is once again measured. The loss induced by bending, typically expressed in units of dB, is the difference between the two attenuation measurements. The pin array is a set of ten cylindrical pins arranged in a single row and held in a fixed vertical position on a flat surface. The pin spacing is 5 mm, center to center. The pin diameter is 0.67 mm. The optical fiber is caused to pass on opposite sides of adjacent pins. During testing, the optical fiber is placed under a tension sufficient to make the optical fiber conform to the portion of the periphery of the pins contacted by the fiber. The test pertains to macro-bend resistance of the optical fiber.
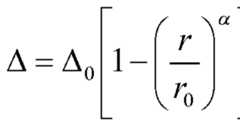
[0037] The term "a-profile" or "alpha profile," as used herein, refers to a relative refractive index profile, expressed in terms of Δ which is in units of "%", where r is the radius and which follows the equation:
Figure imgf000009_0001
where Δο is the maximum relative refractive index, ro is the radius of the core, r is in the range r; < r < rf , Δ is as defined above, r; is the initial point of the a-profile, rf is the final point of the a-profile, and a is a real number exponent. For a step index profile, the alpha value is greater than or equal to 10. For a graded index profile, the alpha value is less than 10. The term "parabolic," as used herein, includes substantially parabolically shaped refractive index profiles with a =2 as well as profiles in which the curvature of the core varies slightly from =2 at one or more points in the core, e.g. profiles having a centerline dip. It is noted here that different forms for the core radius and maximum relative refractive index are used in the examples below without affecting the fundamental definition of delta (Δ).
[0038] Unless otherwise specified herein, the above-referenced properties of the optical fiber disclosed herein and discussed below are modeled or measured at 1550 nm. [0039] In the discussion below, any portion of the optical fiber that is not the core is considered part of the cladding. Also, the relative refractive index of a given region 7 of fiber 10 is described generally as a function of radius AY (r), and in certain cases can have a maximum AMAX and/or a minimum AMM In examples where AY (r) is constant, then AY (r) = AYMAX = ΔΥΜΓΝ and is referred to as AY.
[0040] FIG. 1 is a side view of a section of a few mode optical fiber ("fiber") 10 according to the disclosure. The various example embodiments of fiber 10 are now described below with respect to example cross-sectional views of fiber 10 and plots of the corresponding example relative refractive index profiles.
First Main Example Embodiment
[0041] FIG. 2A is a cross-sectional view of fiber 10 taken along the line A-A in FIG. 1 and illustrates a first main example embodiment of fiber 10. FIG. 2B is the relative refractive index profile corresponding to the cross-section of FIG. 2A. Fiber 10 of this first example embodiment includes a glass graded-index core 20 of radius Ri and a glass cladding 50 surrounding the core and begins at radius Ri and extends out to an outer radius Ro. Cladding 50 has a substantially uniform refractive index and a relative refractive index Δ4 = 0.
[0042] In the embodiments shown and described herein, core 20 comprises pure silica glass (Si02) or silica glass with one or more dopants that increase the index of refraction of the glass core relative to pure, undoped silica glass. Suitable dopants for increasing the index of refraction of the core include, without limitation, Ge02, A1203, P2O5, Ti02, Zr02, Nb205, Ta205, and/or combinations thereof.
[0043] Table 1 below sets forth seven examples (EX1 through EX7) within this first main example embodiment, where the seven examples have a value for a between 2.3 and 2.7. The optical properties are all modeled at a wavelength of 1550 nm, unless otherwise indicated. In an example, the magnitude of the relative delay of the LP1 1 mode is less than 0.25 ns/km, in another example the magnitude of the relative delay of the LP1 1 mode is less than 0.1 ns/km, and in another example the magnitude of the relative delay of the LP1 1 mode is less than 0.05 ns/km. In an example, the magnitude of the relative delay of the LP 11 mode is less than 0.5 ns/km at all wavelengths between 1500 and 1600 nm. In another example, the magnitude of the relative delay of the LP 1 1 mode is less than 0.3 ns/km at all wavelengths between 1500 and 1600 nm. In another example, the magnitude of the relative delay of the LP 11 mode is less than 0.2 ns/km at all wavelengths between 1500 and 1600 nm. In an example, the effective area Aejf is between 100 and 150 μηι2, and in another example is between 110 and 140 μηι2.
[0044] In an example, the pin array bend loss of the LP1 1 mode is less than 30 dB, in another example is less than 20 dB. In an example, the cutoff wavelength of the LP02 mode is less than 1800 nm, in another example is less than 1750 nm and in another example is less than 1750 nm and greater than 1600 nm. In these examples, the cabled cutoff wavelength of the LP02 mode is approximately 300 nm lower than the theoretical cutoff wavelength of the LP02 mode. In an example, the cutoff wavelength of the LP 1 1 mode is greater than 2400 nm, in another example is greater than 2500 nm and in another example is greater than 2600 nm.
[0045] In an example, the attenuation of the LP01 mode is less than 0.21 dB/km, in another example is less than 0.20 dB/km and in another example is less than 0.19 dB/km. In an example, the attenuation of the LP 11 mode is less than 0.25 dB/km, in another example is less than 0.23 dB/km and in another example is less than 0.21 dB/km. The comparative example ("CE") has a parabolic-index core with a = 2.0, yielding a relative delay of 0.76 ns/km at 1550 nm, which is too large for practical use in MDM optical transmission systems. These optical properties are all modeled at a wavelength of 1550 nm, unless otherwise indicated.
Figure imgf000011_0001
Figure imgf000012_0001
[0046] Table 2 below sets forth seven more examples (EX8 through EX 14) of this first main example embodiment where the value for a is between 2.3 and 2.7. In an example, the magnitude of the relative delay is less than 0.25 ns/km, in another example is less than 0.1 ns/km, and in another example is less than 0.05 ns/km. In an example, the magnitude of the relative delay of the LPl 1 mode is less than 0.3 ns/km at all wavelengths between 1500 and 1600 nm. In another example, the magnitude of the relative delay of the LP l 1 mode is less than 0.2 ns/km at all wavelengths between 1500 and 1600 nm. In another example, the magnitude of the relative delay of the LP l 1 mode is less than 0.15 ns/km at all wavelengths between 1500 and 1600 nm. In an example, the effective area Aejf is between 90 and 160 μηι2, and in another example is between 100 and 150 μηι2. In an example, the pin array bend loss of the LP 1 1 mode is less than 60 dB, in another example is less than 30 dB, and in another example is less than 20 dB. [0047] In an example, the cutoff wavelength of the LP02 mode is less than 1800 nm, in another example is less than 1750 nm and in another example is less than 1750 nm and greater than 1600 nm. In these examples, the cabled cutoff wavelength of the LP02 mode is approximately 300 nm lower than the theoretical cutoff wavelength of the LP02 mode. In an example, the cutoff wavelength of the LP l 1 mode is greater than 2400 nm, in another example is greater than 2500 nm and in another example is greater than 2600 nm. In an example, the attenuation of the LPO l mode is less than 0.21 dB/km, in another example is less than 0.20 dB/km and in another example is less than 0.19 dB/km. In an example, the attenuation of the LPl 1 mode is less than 0.25 dB/km, in another example is less than 0.23 dB/km and in another example is less than 0.21 dB/km. These optical properties are all modeled at a wavelength of 1550 nm, unless otherwise indicated.
Figure imgf000013_0001
Figure imgf000014_0001
[0048] Table 3 below sets forth four more examples (EX15 through EX18) of this first main example embodiment where the value for a is between 2.3 and 10.0. In an example, the value for a is between 2.3 and 5.0. In another example, the value for a is between 2.3 and 3. In an example, the magnitude of the relative delay is less than 0.25 ns/km, in another example is less than 0.1 ns/km, and in another example is less than 0.05 ns/km. In an example, the magnitude of the relative delay of the LP1 1 mode is less than 0.5 ns/km at all wavelengths between 1500 and 1600 nm. In another example, the magnitude of the relative delay of the LP 1 1 mode is less than 0.3 ns/km at all wavelengths between 1500 and 1600 nm. In another example, the magnitude of the relative delay of the LP 1 1 mode is less than 0.2 ns/km at all wavelengths between 1500 and 1600 nm.
[0049] In an example, the effective area Aejf is between 90 and 160 μηι2, and in another example is between 100 and 150 μηι2. In an example, the pin array bend loss of the LP 1 1 mode is less than 100 dB, in another example is less than 30 dB, and in another example is less than 20 dB. In an example, the cutoff wavelength of the LP02 mode is less than 1800 nm, in another example is less than 1750 nm and in another example is less than 1750 nm and greater than 1600 nm. In these examples, the cabled cutoff wavelength of the LP02 mode is approximately 300 nm lower than the theoretical cutoff wavelength of the LP02 mode. In an example, the cutoff wavelength of the LP 1 1 mode is greater than 2000 nm, in another example is greater than 2200 nm and in another example is greater than 2400 nm. In an example, the attenuation of the LP01 mode is less than 0.21 dB/km, in another example is less than 0.20 dB/km and in another example is less than 0.19 dB/km. In an example, the attenuation of the LP1 1 mode is less than 0.25 dB/km, in another example is less than 0.23 dB/km and in another example is less than 0.21 dB/km. These optical properties are all modeled at a wavelength of 1550 nm, unless otherwise indicated.
TABLE 3 - Examples EX15 through EX18
Figure imgf000015_0001
Second Main Example Embodiment
[0050] FIG. 3 A is a cross-sectional view of fiber 10 taken along the line A-A in FIG. 1 and illustrates a second main example embodiment of fiber 10. FIG. 3B is the relative refractive index profile corresponding to the cross-section of FIG. 3 A. Fiber 10 of this second example embodiment includes a low-index ring 40 disposed immediately adjacent and surrounding the graded-index glass core 20. Cladding 50 immediately surrounds ring 40. Ring 40 has an inner radius Ri, an outer radius R2, a relative refractive index Δ2, and a minimum relative refractive index Δ2ΜΙΝ· In an example, Δ2 = Δ2ΜΙΝ as shown.
[0051] Table 4 below sets forth three examples EX 19-EX21 of this second main example embodiment. The examples have a value for a between 1.9 and 2.1. The minimum relative refractive index ΔΙΝ of low-index ring 40 is less than 0, and in these examples, Δ2ΜΙΝ < -0.05%. In an example, the outer radius R2 of low-index ring 40 is greater than 12 μηι, in another example is greater than 14 μηι and in another example is greater than 16 μηι. In an example, the magnitude of the relative delay is less than 0.25 ns/km, in another example is less than 0.1 ns/km, and in another example is less than 0.05 ns/km. In an example, the magnitude of the relative delay of the LP 1 1 mode is less than 0.3 ns/km at all wavelengths between 1500 and 1600 nm. In another example, the magnitude of the relative delay of the LP 1 1 mode is less than 0.2 ns/km at all wavelengths between 1500 and 1600 nm. In another example, the magnitude of the relative delay of the LP 1 1 mode is less than 0.1 ns/km at all wavelengths between 1500 and 1600 nm.
[0052] In an example, the effective area Aejj is between 90 μηι2 and 160 μηι2, in another example is between 100 m2and 150 μηι2. In an example, the pin array bend loss of the LP 1 1 mode is less than 60 dB, in another example is less than 30 dB, and in another example is than 20 dB. In an example, the cutoff wavelength of the LP02 mode is preferable less than 1600 nm, in another example is less than 1550 nm and in another example is less than 1550 nm and greater than 1400 nm. In these examples, the cabled cutoff wavelength of the LP02 mode is approximately 100 nm lower than the theoretical cutoff wavelength of the LP02 mode. In an example, the cutoff wavelength of the LP 1 1 mode is greater than 2000 nm and in another example is greater than 2200 nm. These optical properties are all modeled at a wavelength of 1550 nm, unless otherwise indicated.
Figure imgf000017_0001
Third Main Example Embodiment
[0053] FIG. 4A is a cross-sectional view of fiber 10 taken along the line A-A in FIG. 1 and illustrates a third main example embodiment of fiber 10. FIG. 4B plots an example refractive index profile corresponding to the cross-section of FIG. 4A, while FIG. 4C plots another example relative refractive index profile. Fiber 10 of this third example embodiment is similar to that of the second example embodiment except that it further includes an inner cladding 30 between core 20 and ring 40. Inner cladding 30 thus surrounds core 20 so that ring 40 is no longer in contact with (i.e., is no longer immediately adjacent) core 20. Inner cladding 30 has an inner radius Ri and an outer radius R2, and low-index ring 40 now has an inner radius R2, an outer radius R3 and a radial width R3 - R2. Inner cladding 30 has a radial width R2 -Ri. In an example, inner cladding has a relative refractive Δ3 = Δ4 = 0.
[0054] In an example, inner cladding 30 may be formed like cladding 50 in that it may comprise pure silica glass (Si02), silica glass with one or more dopants that increase the index of refraction (e.g., Ge02, A1203, P2O5, Ti02, Zr02, Nb205 and/or Ta205), such as when the cladding is "up-doped," or silica glass with a dopant which decreases the index of refraction, such as fluorine, such as when the inner cladding is "down-doped"
[0055] Table 5 below sets forth six examples EX22 through EX27 of this third main example embodiment of fiber 10. Examples EX22 through EX26 comprise a graded index core 20 with a value for a between 2.3 and 2.7. Example 27 comprises a graded-index core 20 with a value for a between 1.9 and 2.1. In an example, the minimum relative refractive index Δ2ΜΙΝ of low-index ring 40 is less than -0.1%, in another example Δ2ΜΙΝ < -0.2%, in another example, Δ2ΜΙΝ≤ -0.3%, and in another example -0.7% < Δ2ΜΙΝ≤ -0.3%. In an example, the outer radius R3 of low- index ring 40 is greater than 14 μιη, in another example the outer radius R3 is greater than 16 μηι and in another example the outer radius R3 is greater than 18 μηι. In an example, the inner radius R2 of low- index ring 40 is greater than 12 μηι, in another example R2 is greater than 14 μηι and in another example R2 is greater or equal to 16 μηι. In an example, the radial width of low- index ring 40 as defined by R3 - R2, is greater than 2 μηι, in another example is greater than 3 μηι and in another example is greater than 4 μηι.
[0056] In an example embodiment, the magnitude of the relative delay is less than 0.25 ns/km, in another example is less than 0.1 ns/km, and in another example is less than 0.05 ns/km. In an example, the magnitude of the relative delay of the LP1 1 mode is less than 0.5 ns/km at all wavelengths between 1500 and 1600 nm. In another example, the magnitude of the relative delay of the LP11 mode is less than 0.3 ns/km at all wavelengths between 1500 and 1600 nm. In another example, the magnitude of the relative delay of the LP1 1 mode is less than 0.2 ns/km at all wavelengths between 1500 and 1600 nm. [0057] In an example, the eflfective area Aef is between 90 μηι and 160 μηι , and in another example is between 100 m2 and 150 μηι2. In an example, the pin array bend loss of the LP 1 1 mode is less than 60 dB, in another example is less than 30 dB, and in another example is than 20 dB. In an example, the cutoff wavelength of the LP02 mode is less than 1600 nm, in another example is less than 1550 nm and in another example is less than 1550 nm and greater than 1400 nm. In these examples, the cabled cutoff wavelength of the LP02 mode is approximately 100 nm lower than the theoretical cutoff wavelength of the LP02 mode. In an example, the cutoff wavelength of the LP 1 1 mode is greater than 2000 nm, in another embodiment is greater than 2200 nm and in another example is greater than 2400 nm. These optical properties are all modeled at a wavelength of 1550 nm, unless otherwise indicated.
Figure imgf000019_0001
Figure imgf000020_0001
[0058] FIG. 4C illustrates a relative refractive index profile similar to that of FIG. 4B, except that is represents a more generalized version of the third main example embodiment wherein the effective refractive index Δ3 of inner cladding 30 is smaller than that of (outer) cladding 50, i.e., Δ3 < Δ4. In an example, inner cladding 30 has a relative refractive index Δ3 between -0.1 % and 0.05 %. Low-index ring 40 is disposed immediately adjacent inner cladding 30 and has a starting (inner) radius of R2 and an ending (outer) radius of R3. Ring 40 thus has a radial width of R3 - R2 and has a minimum relative refractive index Δ2ΜΙΝ relative to cladding 50. In an example, the minimum relative refractive index Δ2ΜΙΝ is between -0.1% and -0.7%, and in another example is between -0.3% and -0.5%.
[0059] In an example, the radial width R3 - R2 of low- index ring 40 is between 0 μηι and 15 μηι, in another example is between 2 μηι to 8 μηι and in another example is between 4 μηι to 6 μηι. In an example, low-index ring 40 has an index profile other than a step profile, such as a triangular or parabolic profile that can provide additional mode-field control.
[0060] FIG. 4D shows the RMS pulse broadening (ns/km) as a function of wavelength (μηι) for four maximum core relative refractive index values ΔΙΜΑΧ (denoted by "delta" in the legend) having optimum alpha values. It can be seen that the within the wavelength window of 1.5 to 1.6 μηι, the RMS broadening (which is equal to the LP 11 mode delay in a two mode fiber) varies by less than 0.1 ns/km, which is suitable for MDM transmission systems.
Fourth Main Example Embodiment
[0061] Table 6 illustrates the attributes of five index profiles for which variations of the radius and alpha parameter of the core change the sign of the differential mode group delay and differential mode group delay slopes. In example 28, the trench is adjacent to the graded index core, but is spaced from the core in examples 29-32 by an offset R2 - Ri. The refractive index profile for Example 31 is plotted in FIG. 7. Each of embodiments 28 - 32 yields very low differential mode delays when made according to the prescribed dimensions. The LP01 effective area Aeff Of fibers 6- 10 is greater than 120 μηι , more preferably between 120 and 200 μηι2. In an example, the theoretical cutoff wavelength of the LP02 mode is less than 2400 nm, in another example is less than 2000 nm and in another example is less than 1800 nm. In these examples, the cabled cutoff wavelength of the LP02 mode is approximately 300 nm lower than the theoretical cutoff wavelength of the LP02 mode. In an example, the theoretical cutoff wavelength of the LP 1 1 mode is greater than 2000 nm, in another example is greater than 2200 nm and in another example is greater than 2400 nm. In an example, the attenuation of the LP01 mode is less than 0.21 dB/km, in another example is less than 0.20 dB/km and in another example is less than 0.19 dB/km. In an example, the attenuation of the LP1 1 mode is less than 0.25 dB/km, in another example is less than 0.23 dB/km and in another example is less than 0.21 dB/km. These optical properties are all modeled at a wavelength of 1550 nm, unless otherwise indicated.
Table 6
Figure imgf000021_0001
Figure imgf000022_0001
slope at (ps/nm/km)
[0062] Table 7 illustrates the index profiles for four variations of Example 31 in which variations of the radius and alpha parameter of the core change the sign of the differential mode group delay and differential mode group delay slopes. FIG. 7 illustrates the refractive index profile of Example 31c. Each of embodiments 31 a-31 d yields very low differential mode delays when made according to the prescribed dimensions. Examples 31a and 3 I d have similar alpha values, with |o¾ - o¾| < 0.2, and slightly different core radii with | RH - Ry | > 0.2 μηι. Example 31 a yields negative differential mode delays at 1530, 1550 and 1565 nm, with a negative differential mode delay slope, while Example 3 l a yields positive differential mode delays at 1530, 1550 and 1565 nm, with a positive differential mode delay slope. Combining these two modeled fiber examples in approximately a 1 : 1 length ratio yields a span with nearly zero differential mode delay and differential mode delay slope. Example 3 lb yields positive differential mode delays at 1530, 1550 and 1565 nm, with a negative differential mode delay slope, while Example 31 c yields negative differential mode delays at 1530, 1550 and 1565 nm, with a positive differential mode delay slope. Combining these two modeled fiber examples in approximately a 1 : 1 length ratio yields a span with nearly zero differential mode delay and differential mode delay slope.
Table 7
Figure imgf000022_0002
Figure imgf000023_0001
slope at (ps/nm/km)
[0063] Table 8 illustrates the attributes of an additional six index profiles for which variations of the radius and alpha parameter of the core change the sign of the differential mode group delay and differential mode group delay slopes. In embodiments 33-38, the trench is spaced from the core by an offset R2 - Rl. Each of embodiments 33-38 yields very low differential mode delays when made according to the prescribed dimensions. The LP01 effective area Aeff of fibers 28-32 is greater than 120 μηι2, more preferably between 120 and 200 μηι2. In an example, the theoretical cutoff wavelength of the LP02 mode is less than 2400 nm, in another example is less than 2000 nm and in another example is less than 1800 nm. In these examples, the cabled cutoff wavelength of the LP02 mode is approximately 300 nm lower than the theoretical cutoff wavelength of the LP02 mode. In an example, the theoretical cutoff wavelength of the LP 1 1 mode is greater than 2000 nm, in another example is greater than 2200 nm and in another example is greater than 2400 nm. In an example, the attenuation of the LP01 mode is less than 0.21 dB/km, in another example is less than 0.20 dB/km and in another example is less than 0.19 dB/km. In an example, the attenuation of the LP1 1 mode is less than 0.25 dB/km, in another example is less than 0.23 dB/km and in another example is less than 0.21 dB/km. These optical properties are all modeled at a wavelength of 1550 nm, unless otherwise indicated. Table 8
Figure imgf000024_0001
MDM optical transmission system
[0064] The few mode optical fibers 10 according to the disclosure have a low loss and a small differential group delay, and are suitable for use in optical transmission systems, particularly those that utilize MDM and that are configured for long-haul transmission. [0065] FIG. 5 is a schematic diagram of an example MDM optical transmission system ("MDM system") 100. MDM system 100 includes a transmitter 110 and a receiver 210 optically connected by an optical fiber link 300 that includes at least one span of fiber 10.
[0066] Transmitter 1 10 includes two or more light sources 112 that emit light at the same or different wavelengths. Two light sources 1 12- 1 and 1 12-2 are shown by way of illustration. Each light source 1 12 includes at least one laser 120 that emits light 122 having a wavelength between 1500 nm and 1600 nm. In an example, transmitter 1 10 includes at least 16 lasers transmitting at one or more wavelengths between 1500 and 1600 nm. In another example, transmitter 1 10 comprises at least 32 lasers transmitting at one or more wavelengths between 1500 and 1600 nm. In another example, transmitter 1 10 comprises at least 64 lasers transmitting at one or more wavelengths between 1500 and 1600 nm.
[0067] Transmitter 1 10 also includes a LPOl-to-LPl l mode converter 1 16 optically connected to light source 1 12-1 by a fiber section Fl (e.g., a single-mode fiber section). LPOl-to-LPl 1 mode converter 1 16 is configured to convert guided light traveling in the LP01 to travel in the LP1 1 mode. Generally, at least one of light sources 1 12 in transmitter 1 10 is optically coupled to an LP01 -LP 11 mode converter 1 16, which in an example converts at least 50% of the intensity in the LP01 mode into the LP11 mode.
[0068] Laser 120 in each light source unit 1 12 is optically connected to a corresponding modulator 130, which is driven by a corresponding pulse pattern generator 134 via a corresponding pulse signal SP. In an example, each modulator 130 operates at a speed of 40 Gb/s or higher. In another example, each modulator 130 operates at a speed of 100 Gb/s or higher.
[0069] In an example, each modulator 130 may be optically connected to a corresponding optical amplifier 140 such as an erbium-doped fiber amplifier (EDFA). Optical amplifier 140- 1 is optically connected to LPOl-to-LPl l mode converter 116, which in turn is optically connected to a multiplexer 15 via section of fiber 10. Optical amplifier 140-2 is also optically connected to wavelength multiplexer 150 via fiber section F2.
[0070] Wavelength multiplexer 150 is optically connected to transmitter 210 via fiber 10 of optical fiber link 300. Transmitter 210 includes a wavelength demultiplexer 220 optically connected to the transmitter end of fiber 10. Wavelength demultiplexer 220 is in turn optically connected to a splitter 230 that is connected to detectors 240-1 and 240-2 via respective optical fiber sections F3 and F4. A mode filter 250 is disposed in fiber section F3 to filter out either the LPOl or the LP1 1 mode.
[0071] In the operation of MDM system 10, each light source 120 emits light 122, which is then modulated by the corresponding modulator 130 according to the corresponding pulse signal SP from the corresponding pulse pattern generator 134. The output of modulators 130- 1 and 130-2 are respective guide-wave optical signals OS 1 and OS2 having respective wavelengths λι and λ2 and that propagate in the LPOl mode in respective fiber sections Fl and F2. Optical signal OS1 passes through LPOl -to-LPl l mode converter 1 16, which converts light traveling in the LPOl mode to the LP 11 mode so that optical signal OS1 propagates in the LP 1 1 mode.
[0072] The LP 1 1 and LPOl modes respectively associated with optical signals OS1 and OS2 are multiplexed by wavelength multiplexer 150 and then travel in fiber 10 of fiber link 300 in their respective modes. The example MDM system 10 of FIG. 5 illustrates an example where the LPOl and LP1 1 modes are multiplexed by after mode converter 1 16. However, in other examples there can be an additional wavelength multiplexer that combines optical signals at different wavelengths before sending them through the LPOl -LP 1 1 mode converter.
[0073] FIG. 6 is a schematic diagram of an example fiber link 300 that includes multiple spans of fiber 10 that are optically coupled to each other via one or more optical amplifiers 140. Fiber link 300 has a length of L km. In an example, L is greater than 100 km, in another example, L is greater that 500 km, in another example L is greater than 1000 km and in another example, L is greater than 2000 km. In an example, there are at least two spans of fiber 10, in another example, there are at least five spans of fiber 10, in another example, there are at least ten spans of fiber and in another example, there are at least ten spans of fiber 10. In examples where fiber link 300 includes a single span of fiber 10, the length L in one example is greater than 20 km, in another example, is greater than 40 km, and in another example is greater than 60 km.
[0074] Optical signals OS1 and OS2 enter receiver 210 and are demultiplexed by wavelength demultiplexer 220. The demultiplexed signals OS 1 and OS2 are then sent through splitter 230, which diverts approximately half of the signal intensity to first detector 240- 1. The remaining intensity in the signal is sent through mode filter 250 in fiber section F3, and the mode filter in this example filters out the LPOl mode. In another example, mode filter 250 filters out the LP1 1 mode. Detectors 240- 1 and 240-2 thus detect optical signals OS 1 and OS2 and convert these signals into corresponding electrical signals ES I and ES2 that can be processed downstream by processing electronics (not shown).
[0075] It will be apparent to those skilled in the art that various modifications and variations can be made to the embodiments described herein without departing from the spirit and scope of the claimed subject matter. Thus it is intended that the specification cover the modifications and variations of the various embodiments described herein provided such modification and variations come within the scope of the appended claims and their equivalents.

Claims

What is claimed is:
1. A few mode optical fiber, comprising:
a glass core having a radius Ri in the range from about 8 μηι to about 14 μηι, a graded refractive index profile with an alpha value greater than or equal to about 2.3 and less than about 2.7 at a wavelength of 1550 nm, a maximum relative refractive index ΔΙΜΑΧ in the range from about 0.3% to about 0.6% relative to a glass cladding, and an effective area at 1550 nm greater than about 90 μιη2 and less than about 160 μηι2;
the glass cladding immediately surrounding the glass core and having a maximum relative refractive index ΔΑΧ such that ΔΙΜΑΧ > ΔΑΧ; and
wherein the glass core and glass cladding support the propagation and transmission of only LPO l modes and LPl 1 modes at one or more wavelengths greater than 1500 nm, with a group delay magnitude between the LPOl and LPl 1 modes that is less than about 0.5 ns/km at a wavelength of 1550 nm.
2. The few mode optical fiber of claim 1, wherein the glass cladding comprises a low- index ring that immediately surrounds the glass core and that has a minimum relative refractive index ΔΙΝ < Δ1ΜΑχ.
3. The few mode optical fiber of claim 1, wherein the glass cladding comprises a low- index ring surround the core and having a relative refractive index Δ2ΜΙΝ ^ ΔΙ ΑΧ, with an annular inner cladding disposed in between the core and the low-index ring.
4. The few mode optical fiber of claim 1, further comprising a group delay magnitude between the LPOl modes and the LP1 1 modes that is less than about 0.3 ns/km at a wavelength of 1550 nm
5. The few mode optical fiber of claim 1, further comprising a pin array bending loss of the LP 1 1 modes that is less than or equal to 20 dB at 1550 nm.
6. The few mode optical fiber of claim 1, further comprising:
a cutoff wavelength for an LP02 mode that is less than 1800 nm; and a cutoff wavelength for the LP1 1 modes that is greater than 2400 nm.
7. The few mode optical fiber of claim 2, wherein the low-index ring has a radial thickness in the range from about 2 μηι to about 15 μηι.
8. The few mode optical fiber of claim 3, wherein the inner cladding has a radial thickness less than or equal to about 5 μηι.
9. A mode division multiplexing (MDM) optical transmission system, comprising:
a transmitter configured to transmit first and second guided-wave optical signals respectively having a first and a second wavelength, respectively, in an LP 1 1 mode and an LP01 mode, respectively;
a receiver configured to receive and wavelength demultiplex the first and second optical signals; and
the few mode optical fiber of claim 1 configured to optically connect the transmitter and the receiver and support the transmission of the first and second guided-wave optical signals from the transmitter to the receiver.
10. A few mode optical fiber, comprising:
a glass core comprising a radius Ri from about 8 μηι to about 14 μηι, a graded refractive index profile with an alpha value greater than or equal to about 1.9 and less than about 2.7 at a wavelength of 1550 nm, a maximum relative refractive index ΔΙΜΑΧ from about 0.3% to about 0.6% relative to a glass cladding, and an effective area at 1550 nm greater than about 90 μηι2 and less than about 160 μηι2;
the glass cladding comprising a low-index ring that surrounds the class core and having with a minimum relative refractive index Δ2ΜΙΝ < 0, and an outer cladding layer surrounding the low-index ring and having a maximum relative refractive index Δ4ΜΑΧ such that ΔΙΜΑΧ >
Figure imgf000029_0001
wherein the glass core and glass cladding support the propagation and transmission of only LP01 modes and LP11 modes at one or more wavelengths greater than 1500 nm.
1 1. The few mode optical fiber of claim 10, further comprising an inner cladding disposed immediately adjacent and surrounding the core, the inner cladding having a relative refractive index Δ3 wherein Δ2ΜΙΝ < Δ3 < Δ4ΜΑΧ.
12. The few mode optical fiber of claim 10, further comprising a group delay magnitude between the LPOl modes and the LP1 1 modes that is less than about 0.5 ns/km at a wavelength of 1550 nm.
13. The few mode optical fiber of claim 10, further comprising:
a cutoff wavelength for an LP02 mode that is less than 1600 nm; and
a cutoff wavelength for the LP1 1 modes that is greater than 2000 nm.
14 A mode division multiplexing (MDM) optical transmission system, comprising:
a transmitter configured to transmit first and second guided-wave optical signals having a first and a second wavelength, respectively, in an LP 1 1 mode and an LPOl mode, respectively;
a receiver configured to receive and wavelength demultiplex the first and second optical signals; and
at least one few mode optical fiber of claim 10 configured to optically connect the transmitter and the receiver and support the transmission of the first and second guided-wave optical signals from the transmitter to the receiver.
15. A few mode optical fiber, comprising:
a glass core comprising a radius R in the range from about 8 μηι to about 14 μηι, a graded refractive index profile with an alpha value greater than or equal to about 1.9 and less than about 2.7 at a wavelength of 1550 nm, a maximum relative refractive index ΔΙΜΑΧ from about 0.3% to about 0.6% relative to a glass cladding, and an effective area at 1550 nm greater than about 90 μηι2 and less than about 160 μηι2;
the glass cladding comprising a low-index ring that surrounds the core but is spaced apart therefrom by an inner cladding and having a minimum relative refractive index Δ2ΜΙΝ < 0, and an outer cladding layer with a maximum relative refractive index Δ4ΜΑΧ such that ΔΙΜΑΧ > Δ4% > ΔΙΝ%; and wherein the glass core and glass cladding support the propagation and transmission of only LPO l modes and LPl 1 modes at one or more wavelengths greater than 1500 nm.
16. The few mode optical fiber of claim 15, further comprising a group delay magnitude between the LPOl and LPl 1 modes that is less than about 0.5 ns/km at a wavelength of 1550 nm.
17. The few mode optical fiber of claim 15, further comprising:
a cutoff wavelength for an LP02 mode that is less than 1600 nm; and
a cutoff wavelength for the LPl 1 modes that is greater than 2000 nm.
18. The few mode optical fiber of claim 15, wherein the inner cladding has a radial thickness less than or equal to about 5 μιη.
19. The few mode optical fiber of claim 15, wherein the inner cladding has a relative refractive index Δ3 < Δ4ΜΑΧ·
20. A mode division multiplexing (MDM) optical transmission system, comprising:
a transmitter configured to transmit first and second guided-wave optical signals respectively having a first and a second wavelength, respectively, in an LP 1 1 mode and an LPOl mode, respectively;
a receiver configured to receive and wavelength demultiplex the first and second optical signals; and
the few mode optical fiber of claim 15 configured to optically connect the transmitter and the receiver and support the transmission of the first and second guided-wave optical signals from the transmitter to the receiver.
PCT/US2012/0492892011-08-152012-08-02Few mode optical fibers for mode division multiplexingWO2014021894A2 (en)

Priority Applications (4)

Application NumberPriority DateFiling DateTitle
JP2015525408AJP6158329B2 (en)2012-08-022012-08-02 Minority mode optical fiber for mode division multiplexing.
EP12882327.5AEP2745151B1 (en)2011-08-152012-08-02Few mode optical fibers for mode division multiplexing
PCT/US2012/049289WO2014021894A2 (en)2012-08-022012-08-02Few mode optical fibers for mode division multiplexing
CN201280043850.9ACN104067152B (en)2012-08-022012-08-02Few mode optical fibers for mode division multiplexing

Applications Claiming Priority (1)

Application NumberPriority DateFiling DateTitle
PCT/US2012/049289WO2014021894A2 (en)2012-08-022012-08-02Few mode optical fibers for mode division multiplexing

Publications (2)

Publication NumberPublication Date
WO2014021894A2true WO2014021894A2 (en)2014-02-06
WO2014021894A3 WO2014021894A3 (en)2014-05-08

Family

ID=50028635

Family Applications (1)

Application NumberTitlePriority DateFiling Date
PCT/US2012/049289WO2014021894A2 (en)2011-08-152012-08-02Few mode optical fibers for mode division multiplexing

Country Status (3)

CountryLink
JP (1)JP6158329B2 (en)
CN (1)CN104067152B (en)
WO (1)WO2014021894A2 (en)

Cited By (5)

* Cited by examiner, † Cited by third party
Publication numberPriority datePublication dateAssigneeTitle
JP2017041515A (en)*2015-08-182017-02-23株式会社フジクラOptical fiber for amplification, and optical fiber amplifier employing the same
WO2017200986A1 (en)*2016-05-172017-11-23Corning IncorporatedOptical fiber for both multimode and single-mode operation and transmission system therefor
US9841555B2 (en)2014-09-292017-12-12Corning IncorporatedOptical transmission systems and methods using a QSM large-effective-area optical fiber
US9846275B2 (en)2014-09-292017-12-19Corning IncorporatedQuasi-single-mode optical fiber with a large effective area
EP4116749A4 (en)*2020-03-062023-08-16Sumitomo Electric Industries, Ltd. OPTICAL WAVEGUIDE DEVICE AND OPTICAL COMMUNICATION SYSTEM COMPRISING THE SAME

Families Citing this family (9)

* Cited by examiner, † Cited by third party
Publication numberPriority datePublication dateAssigneeTitle
CN104714273B (en)*2015-03-312019-04-16长飞光纤光缆股份有限公司Low decaying less fundamental mode optical fibre
PL3414604T3 (en)*2016-02-082021-03-08Draka Comteq BvFew mode optical fibers for mode division multiplexing
WO2018162940A1 (en)*2017-03-102018-09-13Draka Comteq FranceWeakly coupled few-mode fibers for space-division multiplexing
CN106772789B (en)*2017-03-252019-06-07聊城大学 A low nonlinear coefficient few-mode fiber
CN106992835B (en)*2017-04-282019-04-02中山大学The construction method of mode division multiplexing optical fiber telecommunications system and the optical fiber telecommunications system of building
CN107608023B (en)*2017-09-182020-04-21长飞光纤光缆股份有限公司Step type ultralow-attenuation few-mode optical fiber
CN109085676B (en)*2018-08-132020-03-10南京航空航天大学Graded-index optical fiber with similar-strength multi-peak Brillouin gain spectrum
CN113132007B (en)2019-12-312024-06-18华为技术有限公司 A communication system
JP7672315B2 (en)*2021-09-132025-05-07古河電気工業株式会社 Optical Fiber

Citations (2)

* Cited by examiner, † Cited by third party
Publication numberPriority datePublication dateAssigneeTitle
US20020164140A1 (en)2000-01-122002-11-07Michael LysianskyFew-mode fiber profile
WO2005111683A1 (en)2004-04-292005-11-24Corning IncorporatedLow attenuation large effective area optical fiber

Family Cites Families (8)

* Cited by examiner, † Cited by third party
Publication numberPriority datePublication dateAssigneeTitle
JPS586923B2 (en)*1980-08-151983-02-07日本電信電話株式会社 optical fiber
KR100358418B1 (en)*2000-02-282002-10-25한국과학기술원Method of fabricating fused-type mode selective coupler
US6810185B2 (en)*2002-01-312004-10-26Corning IncorporatedHigher order mode stripping optical fiber and modules and systems utilizing the same
US6798962B2 (en)*2002-02-262004-09-28Corning IncorporatedBroadband access optimized fiber and method of making
US7853110B2 (en)*2007-11-282010-12-14Corning IncorporatedLarge effective area optical fiber
US8320769B2 (en)*2009-06-262012-11-27Alcatel LucentTransverse-mode multiplexing for optical communication systems
US7865050B1 (en)*2010-02-162011-01-04Ofs Fitel, LlcEqualizing modal delay of high order modes in bend insensitive multimode fiber
JP6134588B2 (en)*2012-07-242017-05-24株式会社フジクラ Optical fiber and optical transmission line

Patent Citations (2)

* Cited by examiner, † Cited by third party
Publication numberPriority datePublication dateAssigneeTitle
US20020164140A1 (en)2000-01-122002-11-07Michael LysianskyFew-mode fiber profile
WO2005111683A1 (en)2004-04-292005-11-24Corning IncorporatedLow attenuation large effective area optical fiber

Non-Patent Citations (1)

* Cited by examiner, † Cited by third party
Title
See also references ofEP2745151A4

Cited By (8)

* Cited by examiner, † Cited by third party
Publication numberPriority datePublication dateAssigneeTitle
US9841555B2 (en)2014-09-292017-12-12Corning IncorporatedOptical transmission systems and methods using a QSM large-effective-area optical fiber
US9846275B2 (en)2014-09-292017-12-19Corning IncorporatedQuasi-single-mode optical fiber with a large effective area
JP2017041515A (en)*2015-08-182017-02-23株式会社フジクラOptical fiber for amplification, and optical fiber amplifier employing the same
US9673589B2 (en)2015-08-182017-06-06Fujikura Ltd.Amplification optical fiber and optical fiber amplifier
WO2017200986A1 (en)*2016-05-172017-11-23Corning IncorporatedOptical fiber for both multimode and single-mode operation and transmission system therefor
US10295734B2 (en)2016-05-172019-05-21Corning IncorporatedOptical fiber for both multimode and single-mode operation and transmission system therefor
EP4116749A4 (en)*2020-03-062023-08-16Sumitomo Electric Industries, Ltd. OPTICAL WAVEGUIDE DEVICE AND OPTICAL COMMUNICATION SYSTEM COMPRISING THE SAME
US12339496B2 (en)2020-03-062025-06-24Sumitomo Electric Industries, Ltd.Optical waveguide device and optical communication system including same

Also Published As

Publication numberPublication date
CN104067152B (en)2017-05-10
JP6158329B2 (en)2017-07-05
JP2015529848A (en)2015-10-08
CN104067152A (en)2014-09-24
WO2014021894A3 (en)2014-05-08

Similar Documents

PublicationPublication DateTitle
US8693834B2 (en)Few mode optical fibers for mode division multiplexing
WO2014021894A2 (en)Few mode optical fibers for mode division multiplexing
US8971682B2 (en)Few mode optical fibers
US7689085B1 (en)Large effective area fiber with GE-free core
US8705922B2 (en)Few-moded optical fibers
US8315495B2 (en)Large effective area fiber with Ge-free core
US7426327B2 (en)Low attenuation non-zero dispersion shifted optical fiber
US8995803B2 (en)Mode delay managed few moded optical fiber link
EP2817665B1 (en)Mode delay managed few moded optical fiber link
US8670643B2 (en)Large effective area optical fibers
US20080056658A1 (en)Low bend loss optical fiber with deep depressed ring
WO2013082062A1 (en)Low bend loss optical fiber
WO2012003120A1 (en)Large effective area fiber with graded index ge-free core
WO2011106293A1 (en)Low bend loss optical fiber
US20170219769A1 (en)Optical fiber span with low differential mode delay
US9519102B2 (en)Few moded optical fiber and system incorporating such
WO2007005332A2 (en)Non-zero dispersion shifted optical fiber
EP2745151B1 (en)Few mode optical fibers for mode division multiplexing

Legal Events

DateCodeTitleDescription
ENPEntry into the national phase in:

Ref document number:2015525408

Country of ref document:JP

Kind code of ref document:A

121Ep: the epo has been informed by wipo that ep was designated in this application

Ref document number:12882327

Country of ref document:EP

Kind code of ref document:A2


[8]ページ先頭

©2009-2025 Movatter.jp