















本開示は、生活習慣病を改善するための支援を行う生活習慣病改善支援システム、生活習慣病改善支援方法、生活習慣病改善支援用コンピュータプログラム、及び、生活習慣病改善支援用コンピュータプログラムを格納したコンピュータ読み取り可能な記録媒体に関する。生活習慣病の発症には、遺伝要因と環境要因が関与しており、環境要因としては、生活習慣や服薬の影響がある。ここでは、対象とする患者が他の患者の健康状態や生活習慣を参照し、患者が生活習慣改善の動機付けを行う技術について記載する。This disclosure stores a lifestyle-related disease improvement support system, a lifestyle-related disease improvement support method, a lifestyle-related disease improvement support computer program, and a lifestyle-related disease improvement support computer program that provide support for improving lifestyle-related diseases The present invention relates to a computer-readable recording medium. Genetic factors and environmental factors are involved in the development of lifestyle-related diseases, and environmental factors include the influence of lifestyle and medication. Here, a technique is described in which the target patient refers to the health status and lifestyle of other patients, and the patient motivates lifestyle improvement.
生活習慣病を改善する為には、生活習慣や服薬の影響を考慮する必要があることは公知である。また、生活習慣病の一例として、高血圧に対する生活習慣の改善項目としては、非特許文献1に記載がされている通り、減塩、栄養、減量、運動、節酒、禁煙などがあることも、医療関係者からの情報、および公開情報にて公知である。しかしながら、患者にとって生活習慣改善項目を継続的に実施することは、日常生活に制限がかかり、精神的や肉体的に苦痛を伴う場合があることから、必ずしも容易なことではない。この生活習慣改善を継続する為に、対象となる患者(以下、対象患者と表現)の健康状態だけでなく、対象患者とは異なる他の患者(以下、参照患者と表現)の健康状態や生活習慣を参照する技術として2つを紹介する。It is well known that in order to improve lifestyle-related diseases, it is necessary to consider the effects of lifestyle and medication. Moreover, as an example of lifestyle-related diseases, as described in Non-Patent
例えば、特許文献1は、生活習慣病を改善する為、対象患者と類似した属性(年齢、遺伝子、生活習慣等)の参照患者を抽出し、対象患者と参照患者との優劣度を相対評価する技術を開示している。For example,
また、特許文献2は、体重を減量する為、対象患者と同様な生体情報(体重)変化の参照患者を抽出し、その参照患者の減量実績情報を提供する技術を開示している。Further,
従来技術では、対象患者が対象患者本人と類似した参照患者の健康状態の比較を行う際に、参照患者のどの様な生活習慣がきっかけとなり健康状態を改善させたのか、もしくは健康状態を悪化させたのか、参照患者の経時変化における変化点の原因が何かを把握することが困難である。In the prior art, when the target patient compares the health status of a reference patient similar to the target patient himself, what lifestyle habits of the reference patient triggered the improvement of the health status, or worsened the health status It is difficult to understand what causes the change point in the reference patient over time.
本開示の目的は、対象患者本人と類似した参照患者の健康状態を比較して、対象患者へ適切な生活習慣改善提案を行う技術を提供することである。The purpose of the present disclosure is to provide a technique for comparing the health condition of a reference patient similar to the subject patient himself and making an appropriate lifestyle improvement proposal to the subject patient.
本開示に係る生活習慣病改善支援システムは、対象患者の生活習慣病の改善を支援する生活習慣病改善支援システムであって、
対象患者の生活習慣の状態を表す生活習慣状態の入力を受け付ける生活習慣状態入力部と、
前記対象患者の生体情報測定値の入力を受け付ける生体情報測定値入力部と、
前記生体情報測定値の経時変化に対する変化を特徴量として抽出する特徴量抽出部と、
前記対象患者の前記生体情報測定値と、前記対象患者とは異なる参照患者の前記特徴量との比較結果を算出する特徴量比較部と、
前記比較結果に基づいて、前記対象患者に類似した参照患者を抽出する参照患者抽出部と、
前記対象患者に対して、前記参照患者の前記生体情報測定値および前記生活習慣状態を表示する生活習慣提案表示部と、
を備える。The lifestyle-related disease improvement support system according to the present disclosure is a lifestyle-related disease improvement support system that supports the improvement of lifestyle-related diseases of target patients,
A lifestyle state input unit for accepting an input of a lifestyle state representing a lifestyle state of the target patient;
A biological information measurement value input unit that receives input of the biological information measurement value of the target patient;
A feature amount extraction unit that extracts a change with respect to a temporal change in the biological information measurement value as a feature amount;
A feature amount comparison unit that calculates a comparison result between the biological information measurement value of the target patient and the feature amount of a reference patient different from the target patient;
A reference patient extraction unit that extracts a reference patient similar to the target patient based on the comparison result;
For the target patient, a lifestyle proposal display unit that displays the living body information measurement value and the lifestyle state of the reference patient;
Is provided.
本開示の生活習慣病改善支援システムによれば、対象患者が、対象患者本人と類似した参照患者の健康状態を比較する際に、参照患者の健康状態が変化する時点の生活習慣を参照することにより、生活習慣病改善の行動変容を行う情報を提供する。これによって、対象患者に対して生活習慣改善を行う動機付けを提供できるという効果がある。According to the lifestyle-related disease improvement support system of the present disclosure, the target patient refers to the lifestyle at the time when the health condition of the reference patient changes when comparing the health condition of the reference patient similar to the target patient. Provides information on behavioral change to improve lifestyle-related diseases. As a result, there is an effect that it is possible to provide motivation to improve lifestyle habits for the target patient.
本開示の第1態様に係る生活習慣病改善支援システムは、対象患者の生活習慣病の改善を支援する生活習慣病改善支援システムであって、
対象患者の生活習慣の状態を表す生活習慣状態の入力を受け付ける生活習慣状態入力部と、
前記対象患者の生体情報測定値の入力を受け付ける生体情報測定値入力部と、
前記生体情報測定値の経時変化に対する変化を特徴量として抽出する特徴量抽出部と、
前記対象患者の前記生体情報測定値と、前記対象患者とは異なる参照患者の前記特徴量との比較結果を算出する特徴量比較部と、
前記比較結果に基づいて、前記対象患者に類似した参照患者を抽出する参照患者抽出部と、
前記対象患者に対して、前記参照患者の前記生体情報測定値および前記生活習慣状態を表示する生活習慣提案表示部と、
を備える。The lifestyle-related disease improvement support system according to the first aspect of the present disclosure is a lifestyle-related disease improvement support system that supports the improvement of lifestyle-related diseases of the target patient,
A lifestyle state input unit for accepting an input of a lifestyle state representing a lifestyle state of the target patient;
A biological information measurement value input unit that receives input of the biological information measurement value of the target patient;
A feature amount extraction unit that extracts a change with respect to a temporal change in the biological information measurement value as a feature amount;
A feature amount comparison unit that calculates a comparison result between the biological information measurement value of the target patient and the feature amount of a reference patient different from the target patient;
A reference patient extraction unit that extracts a reference patient similar to the target patient based on the comparison result;
For the target patient, a lifestyle proposal display unit that displays the living body information measurement value and the lifestyle state of the reference patient;
Is provided.
第2態様に係る生活習慣病改善支援システムは、上記第1態様において、前記特徴量抽出部は、
前記生体情報測定値の時系列に対し近似直線を算出し、
最新の前記生体情報測定値と前記近似直線による予測値との差分を算出し、
前記差分が閾値を超過した場合、最新より一つ前の前記生体情報測定値の時刻を変化日時とし、
前記特徴量として前記変化日時を含んでもよい。In the lifestyle-related disease improvement support system according to the second aspect, in the first aspect, the feature amount extraction unit includes:
An approximate straight line is calculated for the time series of the biological information measurement values,
Calculate the difference between the latest biological information measurement value and the predicted value by the approximate line,
When the difference exceeds a threshold, the time of the biometric information measurement value immediately before the latest is the change date,
The change date may be included as the feature amount.
第3態様に係る生活習慣病改善支援システムは、上記第1態様において、前記特徴量抽出部は、
前記生体情報測定値の時系列を結ぶ直線の傾きを算出し、
前記直線の傾きの符号が変化する日時を変化日時とし、
前記特徴量として前記変化日時を含んでもよい。In the lifestyle-related disease improvement support system according to a third aspect, in the first aspect, the feature amount extraction unit includes:
Calculating a slope of a straight line connecting the time series of the biological information measurement values;
The date and time when the sign of the slope of the line changes is the change date and time,
The change date may be included as the feature amount.
第4態様に係る生活習慣病改善支援システムは、上記第2態様又は第3態様において、前記特徴量抽出部は、前記変化日時における生体情報測定値を極値とし、
前記特徴量として前記極値を含んでもよい。In the lifestyle-related disease improvement support system according to the fourth aspect, in the second aspect or the third aspect, the feature amount extraction unit sets the biological information measurement value at the change date and time as an extreme value,
The extreme value may be included as the feature amount.
第5態様に係る生活習慣病改善支援システムは、上記第4態様において、前記特徴量抽出部は、前記極値の時系列を直線で結んだ近似直線の傾きを算出し、
前記特徴量として前記傾きを含んでもよい。In the lifestyle-related disease improvement support system according to a fifth aspect, in the fourth aspect, the feature amount extraction unit calculates an inclination of an approximate straight line that connects the time series of the extreme values with a straight line,
The inclination may be included as the feature amount.
第6態様に係る生活習慣病改善支援システムは、上記第5態様において、前記特徴量比較部は、前記対象患者の最新の前記生体情報測定値と、別の前記患者の前記変化日時における前記極値および前記傾きから前記対象患者と前記参照患者との類似度を算出してもよい。In the lifestyle-related disease improvement support system according to a sixth aspect, in the fifth aspect, the feature amount comparison unit includes the latest biometric information measurement value of the target patient and the pole of the change date and time of another patient. The similarity between the target patient and the reference patient may be calculated from the value and the slope.
第7態様に係る生活習慣病改善支援システムは、上記第6態様において、前記特徴量比較部は、前記対象患者と前記参照患者の類似度として、前記対象患者の前記極値を結んだ近似直線を表す対象直線と、前記参照患者の前記極値を結んだ近似直線を表す参照直線との差から導出される面積に基づいて前記類似度を定義してもよい。In the lifestyle-related disease improvement support system according to a seventh aspect, in the sixth aspect, the feature amount comparison unit approximates a straight line connecting the extreme values of the target patient as the similarity between the target patient and the reference patient. The degree of similarity may be defined based on the area derived from the difference between the target straight line representing the reference line and the reference straight line representing the approximate straight line connecting the extreme values of the reference patient.
第8態様に係る生活習慣病改善支援システムは、上記第6態様又は第7態様において、前記参照患者抽出部は、前記対象患者に対して前記類似度がより類似している前記参照患者の類似度の順位を上げてもよい。In the lifestyle-related disease improvement support system according to an eighth aspect, in the sixth aspect or the seventh aspect, the reference patient extraction unit is similar to the reference patient whose similarity is more similar to the target patient. You may raise the rank.
第9態様に係る生活習慣病改善支援システムは、上記第6態様から第8態様のいずれかにおいて、前記参照患者抽出部は、前記変化日時以降の前記傾きの絶対値が大きい前記参照患者の類似度の順位を上げてもよい。In the lifestyle-related disease improvement support system according to a ninth aspect, in any one of the sixth aspect to the eighth aspect, the reference patient extraction unit is similar to the reference patient having a large absolute value of the slope after the change date and time. You may raise the rank.
第10態様に係る生活習慣病改善支援システムは、上記第8態様又は第9態様において、前記生活習慣提案表示部は、前記順位に基づいて前記参照患者の情報を表示してもよい。In the lifestyle-related disease improvement support system according to the tenth aspect, in the eighth aspect or the ninth aspect, the lifestyle suggestion display unit may display the information of the reference patient based on the order.
第11態様に係る生活習慣病改善支援システムは、上記第4態様から第10態様のいずれかにおいて、前記参照患者抽出部は、前記対象患者と前記参照患者との生体情報測定値の傾向と比較を前記極値に基づいて表示してもよい。In the lifestyle-related disease improvement support system according to an eleventh aspect, in any one of the fourth to tenth aspects, the reference patient extraction unit compares the tendency of the biological information measurement values between the target patient and the reference patient. May be displayed based on the extreme value.
第12態様に係る生活習慣病改善支援システムは、上記第2態様から第11態様のいずれかにおいて、前記生活習慣提案表示部は、前記対象患者の最新の前記生体情報測定値と前記参照患者の前記生体情報測定値の前記変化日時を時間軸上で一致させた時系列のグラフを表示してもよい。In the lifestyle-related disease improvement support system according to a twelfth aspect, in any one of the second to eleventh aspects, the lifestyle suggestion display unit may include the latest biometric information measurement value of the target patient and the reference patient. You may display the time-sequential graph which made the said change date of the said biometric information measured value match on a time axis.
第13態様に係る生活習慣病改善支援システムは、上記第2態様から第12態様のいずれかにおいて、前記生活習慣提案表示部は、前記参照患者の前記変化日時以降の前記生体情報測定値に
関するグラフも表示してもよい。In the lifestyle-related disease improvement support system according to a thirteenth aspect, in any one of the second to twelfth aspects, the lifestyle suggestion display unit is a graph relating to the biological information measurement values after the change date and time of the reference patient. May also be displayed.
第14態様に係る生活習慣病改善支援システムは、上記第2態様から第13態様のいずれかにおいて、前記生活習慣提案表示部は、
前記生活習慣状態の前記変化日時より前の所定区間である前区間と前記変化日時より後の所定区間である後区間に対して所定区間の前後とを比較し、
前記前区間と前記後区間とで前記生活習慣状態の差が大きい順に前記生活習慣状態を表示してもよい。In the lifestyle-related disease improvement support system according to the fourteenth aspect, in any one of the second to thirteenth aspects, the lifestyle suggestion display unit includes:
Before and after the predetermined section with respect to the previous section that is a predetermined section before the change date and time and the subsequent section that is a predetermined section after the change date and time,
The lifestyle state may be displayed in descending order of the lifestyle state difference between the front section and the rear section.
第15態様に係る生活習慣病改善支援システムは、上記第1態様から第14態様のいずれかにおいて、前記参照患者抽出部は、前記対象患者と前記参照患者の遺伝子情報、もしくは年齢の少なくとも1つに基づいて比較を行い、前記比較の結果として前記参照患者を限定してもよい。The lifestyle-related disease improvement support system according to a fifteenth aspect is the system according to any one of the first to fourteenth aspects, wherein the reference patient extraction unit is at least one of genetic information of the target patient and the reference patient, or age. And the reference patient may be limited as a result of the comparison.
本開示の第16態様に係る生活習慣病改善支援方法は、対象患者の生活習慣病の改善を支援する生活習慣病改善支援方法であって、
対象患者の生活習慣の状態を表す生活習慣状態の入力を受け付けるステップと、
前記対象患者の生体情報測定値の入力を受け付けるステップと、
前記生体情報測定値の経時変化に対する変化を特徴量として抽出するステップと、
前記対象患者の前記生体情報測定値と前記対象患者とは異なる参照患者の前記特徴量との比較結果を算出するステップと、
前記比較結果に基づいて、前記対象患者に類似した参照患者を抽出するステップと、
前記対象患者に対し前記参照患者の前記生体情報測定値および前記生活習慣状態を表示するステップと、
を含む。The lifestyle-related disease improvement support method according to the sixteenth aspect of the present disclosure is a lifestyle-related disease improvement support method for supporting improvement of lifestyle-related diseases of a target patient,
Receiving an input of a lifestyle state representing a lifestyle state of the target patient;
Receiving input of biological information measurement values of the target patient;
Extracting a change with respect to a temporal change of the biological information measurement value as a feature amount;
Calculating a comparison result between the biological information measurement value of the target patient and the feature amount of a reference patient different from the target patient;
Extracting a reference patient similar to the target patient based on the comparison result;
Displaying the biometric information measurement value and the lifestyle state of the reference patient for the target patient;
including.
第17態様に係る生活習慣病改善支援方法は、上記第16態様において、前記特徴量を抽出するステップは、
前記生体情報測定値の時系列に対し近似直線を算出し、
最新の前記生体情報測定値と前記近似直線による予測値との差分を算出し、
前記差分が閾値を超過した場合、最新より一つ前の前記生体情報測定値の時刻を変化日時とし、
前記特徴量として前記変化日時を含んでもよい。In the lifestyle-related disease improvement supporting method according to the seventeenth aspect, in the sixteenth aspect, the step of extracting the feature amount includes:
An approximate straight line is calculated for the time series of the biological information measurement values,
Calculate the difference between the latest biological information measurement value and the predicted value by the approximate line,
When the difference exceeds a threshold, the time of the biometric information measurement value immediately before the latest is the change date,
The change date may be included as the feature amount.
第18態様に係る生活習慣病改善支援方法は、上記第16態様において、前記特徴量を抽出するステップは、
前記生体情報測定値の時系列を結ぶ直線の傾きを算出し、
前記直線の傾きの符号が変化する日時を変化日時とし、
前記特徴量として前記変化日時を含んでもよい。In the lifestyle-related disease improvement supporting method according to the eighteenth aspect, in the sixteenth aspect, the step of extracting the feature amount includes:
Calculating a slope of a straight line connecting the time series of the biological information measurement values;
The date and time when the sign of the slope of the line changes is the change date and time,
The change date may be included as the feature amount.
第19態様に係る生活習慣病改善支援方法は、上記第17態様又は第18態様において、前記特徴量を抽出するステップは、前記変化日時における生体情報測定値を極値とし、
前記特徴量として前記極値を含んでもよい。In the lifestyle-related disease improvement support method according to the nineteenth aspect, in the seventeenth aspect or the eighteenth aspect, the step of extracting the feature value sets the biological information measurement value at the change date and time as an extreme value,
The extreme value may be included as the feature amount.
第20態様に係る生活習慣病改善支援方法は、上記第19態様において、前記特徴量を抽出するステップは、前記極値の時系列を直線で結んだ近似直線の傾きを算出し、前記特徴量として前記傾きを含んでもよい。In the lifestyle-related disease improvement supporting method according to a twentieth aspect, in the nineteenth aspect, the step of extracting the feature amount calculates an inclination of an approximate straight line connecting the time series of the extreme values with a straight line, and the feature amount The inclination may be included.
第21態様に係る生活習慣病改善支援方法は、上記第20態様において、前記特徴量を比較するステップは、前記対象患者の最新の前記生体情報測定値と、別の前記患者の前記変化日時における前記極値および前記傾きから前記対象患者と前記参照患者との類似度を算出してもよい。In a lifestyle-related disease improvement support method according to a twenty-first aspect, in the twentieth aspect, the step of comparing the feature amount includes the latest biometric information measurement value of the target patient and the change date and time of another patient. The similarity between the target patient and the reference patient may be calculated from the extreme value and the slope.
第22態様に係る生活習慣病改善支援用コンピュータプログラムは、上記第17態様から第21態様のいずれか一の上記生活習慣病改善支援方法の各ステップをコンピュータに実行させて、対象患者の生活習慣病の改善を支援する。The computer program for lifestyle-related disease improvement support which concerns on a 22nd aspect makes a computer perform each step of the said lifestyle-related disease improvement support method of any one of the said 17th aspect to the 21st aspect. Help improve disease.
第23態様に係るコンピュータ読み取り可能な記録媒体は、第22態様の上記生活習慣病改善支援用コンピュータプログラムを格納している。A computer-readable recording medium according to the twenty-third aspect stores the lifestyle-related disease improvement support computer program according to the twenty-second aspect.
以下に、本開示の生活習慣病改善支援システムの実施の形態を添付図面とともに詳細に説明する。ここで生活習慣とは、食習慣、運動習慣、休養、喫煙、飲酒等に代表される生活する上での習慣を表す。また、生活習慣病とは、生活習慣が発症・進行に深く関与している疾患の総称であり、例えば糖尿病(1型糖尿病を除く)、脂質異常症(家族性脂質異常症を除く)、高血圧、肥満がある。また生活習慣改善項目とは、生活習慣病を改善する為の生活習慣を表す。Hereinafter, embodiments of the lifestyle-related disease improvement support system of the present disclosure will be described in detail with reference to the accompanying drawings. Here, lifestyle refers to lifestyle habits such as eating habits, exercise habits, rest, smoking, and drinking. Lifestyle-related diseases are a general term for diseases whose lifestyles are deeply involved in the onset and progression, such as diabetes (excluding
また、ここでの生体情報(Vital Signs)とは、患者の健康状態を示す情報であり、例えば、血圧、血糖、体重、血中酸素飽和度(SPO2)、体温、尿糖、ヘモグロビンA1C、内膜中膜複合体厚(IMT:Intima-media thickness)、心拍、脈拍、などがある。本開示の実施の形態では、生活習慣病として高血圧を、生体情報としては血圧を一例として説明するが、これに限定するものではない。In addition, the biological information (Vital こ こ Signs) here is information indicating a patient's health condition, for example, blood pressure, blood sugar, body weight, blood oxygen saturation (SPO2), body temperature, urine sugar, hemoglobin A1C, internal Intima-media thickness (IMT), heart rate, pulse, etc. In the embodiment of the present disclosure, high blood pressure is described as an example of lifestyle-related disease and blood pressure is described as an example of biological information, but the present invention is not limited to this.
(実施の形態1)
図1は、本開示の実施の形態1に係る生活習慣病改善支援システムの構成を示す構成図である。
図1において、この生活習慣病改善支援システムでは、複数の患者4,5において使用するクライアント装置1と、医療従事者が使用するサーバ装置2と、が存在し、複数のクライアント装置1とサーバ装置2とは、ネットワーク3を介して互いに接続している。なお、医療従事者とは、患者4、5の健康状態を改善する為の医療に従事する医師や看護師を表す。また、クライアント装置1を使用する患者4,5のうち、本システムで使用対象とする患者を対象患者4と定義し、対象患者4が本人以外で参照する患者を参照患者5と定義する。対象患者4は、対象患者4本人が使用するクライアント装置1を通じて、参照患者5の健康状態や生活習慣を参照することが出来る。(Embodiment 1)
FIG. 1 is a configuration diagram illustrating a configuration of a lifestyle-related disease improvement support system according to
In FIG. 1, in this lifestyle-related disease improvement support system, there are a
まず、クライアント装置1について説明する。クライアント装置1は、生活習慣目標入力部11、生体情報測定値入力部12、生活習慣状態入力部13、第一制御部15、第一記憶部16、第一通信部17、生活習慣提案表示部18を備える。
生活習慣目標入力部11は、使用開始時に患者4,5が入力する生活習慣に関する目標を受け付ける。また、生体情報測定値入力部12は、患者4、5が定期的に入力する生体情報の測定値を受け付ける。
生活習慣状態入力部13は、患者4、5が定期的に入力する生活習慣改善項目に対する状態を受け付ける。生活習慣状態入力部13は、生活習慣目標に基づいて生活習慣改善項目に対する少なくとも2つの状態、例えば“実施”、“未実施”の各状態の入力を受け付ける。First, the
The lifestyle
The lifestyle
第一制御部15は、生活習慣目標入力部11と生体情報測定値入力部12と生活習慣状態入力部13と接続され、前記3つの入力部11、12、13で受け付けた生活習慣目標、生活習慣状態、生体情報測定値を第一記憶部16へ保存する。さらに、第一通信部17は、第一記憶部16に保存した情報を、ネットワーク3を介してサーバ装置2へ送受信処理を行う。また、生活習慣提案表示部18は、第一制御部15の制御に基づいて、対象患者4に対する生活習慣の提案を表示する。The
次に、サーバ装置2について説明する。サーバ装置2は、特徴量抽出部21、特徴量比較部22、参照患者抽出部23、第二制御部25、第二記憶部26、第二通信部27、第二表示部28を備える。
特徴量抽出部21は、生体情報測定値入力部12の生体情報測定値から特徴量を抽出する。なお、この”特徴量”とは、後述の定義に基づくものである。特徴量比較部22は、対象患者4と参照患者5との特徴量を比較する。参照患者抽出部23は、特徴量の比較結果に基づいて参照患者5の順位付けを行い、対象患者4に適した参照患者5を抽出する。なお、ここで参照患者5は少なくとも1人存在すればよく、上記課題を解決することができる。また、複数の参照患者5が存在する場合には、その複数の参照患者5から、より類似した参照患者5を見つけることができる。Next, the
The feature
第二制御部25は、特徴量抽出部21と特徴量比較部22と参照患者抽出部23とを接続し、前記2つの処理結果を第二記憶部26へ保存する。更に第二通信部27は、第二記憶部26に保存した情報を、ネットワーク3を介してクライアント装置1へ送受信処理を行う。また、第二表示部28は、第二制御部25の制御に基づいて医療従事者への表示を行う。なお、ここで表示とは画面への表示を行う例を説明するが、画面表示以外の通信回線や記憶媒体への出力、および紙への印刷を含むものとする。なお、第二表示部28による医療従事者への表示は必須の構成ではない。このように第二表示部28によって医療従事者への表示を行うことができる場合には、表示を受けた医療従事者からのアドバイスを受けやすくなる場合がある。The
本開示の実施の形態1に係る生活習慣病改善支援システムによって、生活習慣病を持つ対象患者4に対して、対象患者4本人と類似した参照患者5を抽出することが可能となる。特に対象患者4が参照患者5の生体情報測定値の変化点における、生活習慣状態を提示することにより、どの生活習慣の影響により生体情報測定値が改善した/もしくは悪化したかの情報を提供することができる。この結果、対象患者4は、生活習慣病を改善する為の行動変容を起こす動機付けを得ることができ、対象患者4の生活の質(QOL:Quality Of Life)を向上させることが可能となる。The lifestyle-related disease improvement support system according to
図2は、本開示の実施の形態1に係る生活習慣病改善支援方法のフローチャートである。
(1)クライアント装置1を起動して、まず対象患者4が、“目標入力”、“健康状態入力”、“生活習慣提案”の各処理の選択を行う(S201)。
(2)次に、対象患者4が“目標入力”を選択した場合、生活習慣目標入力部11での処理を行う(S203)。この処理は、システムの利用を開始した初期に少なくとも1回を実施する。ここで入力とは、キーボードやマウスからの装置への入力、および通信回線からの入力などがあり、ここでは一例として画面に取り付けたタッチパネルでの入力を例として説明を行う。
(3)また、対象患者4が処理(S201)において“健康状態入力”を選択した場合、健康状態入力処理を行う(S205)。ここで、健康状態入力処理とは、生体情報測定値入力部12の処理や生活習慣状態入力部13の処理、および第一通信部17の送受信処理を含む、患者の健康に関わる状態を入力する処理を表す。
(4)更に、対象患者4が処理S201において、“生活習慣提案”を選択した場合、生活習慣提案処理を行う(S206)。対象患者4は、この健康状態入力処理を定期的、例えば毎日実施する。また、対象患者4は、生活習慣提案処理(S206)を、必要に応じて選択および実施してもよい。FIG. 2 is a flowchart of the lifestyle-related disease improvement support method according to
(1) The
(2) Next, when the target patient 4 selects “target input”, the lifestyle
(3) When the target patient 4 selects “health condition input” in the process (S201), a health condition input process is performed (S205). Here, the health state input process inputs the state related to the patient's health including the process of the biological information measurement
(4) Furthermore, when the target patient 4 selects “lifestyle suggestion” in process S201, a lifestyle proposal process is performed (S206). The target patient 4 performs this health condition input process regularly, for example, every day. Moreover, the target patient 4 may select and implement the lifestyle habit proposal process (S206) as necessary.
図3は、本開示の実施の形態1における生活習慣目標入力部11の画面の一例である。図3において、左上部には対象患者4の名前を表示し、中央上部には画面のタイトルを表示し、右上部には、現在の日時を表示する。この画面の表示例は、以降のクライアント装置1の画面も同様である。図3の画面中央には表があり、表の左側が生活習慣改善項目、表の右側が生活習慣目標を表す。なお、高血圧に対する生活習慣改善項目、および生活習慣目標として、日本高血圧学会が発行する非特許文献1を参照した。また、対象患者4によっては生活習慣改善項目として、服薬を追加しても良いが、目標は医療従事者の指示に基づいて設定すべきである。FIG. 3 is an example of a screen of the lifestyle
医療従事者は、生活習慣病の対象患者4の健康状態および対象患者4本人と相談を行った上で、適切な生活習慣改善項目301や、対応する生活習慣目標302を設定する。これらの設定項目は、対象患者4に応じて異なる場合があり、対象患者4の健康状態により生活習慣目標302を変更することも可能である(図示せず)。生活習慣病の対象患者4は、この設定で問題なければ、ボタン“OK”で設定確定し、前の設定に戻る場合は、ボタン“Cancel”を押す。生活習慣項目301や生活習慣目標302を設定できることにより、一般的な目標だけでなく、対象患者4一人一人の健康状態に適合した生活習慣目標を設定することが可能となる。なお、設定確定及び前の設定への戻りに関するボタンの表示として、上記”OK”及び”Cancel”は、一例であって、「設定確定」及び「前の設定への戻り」のボタンはこれらに限定するものではない。The medical staff sets the appropriate
図4は、本開示の実施の形態1における健康状態入力処理(S205)のフローチャートである。
(1)まず、クライアント装置1側の処理として、生体情報測定値入力部12で生体情報測定値の入力を行う(S401)。この画面については、図5を用いて後述する。次に、生活習慣状態入力部12で生活習慣の改善項目に対する実施の状態を入力する。この画面については、図6を用いて後述する。
(2)次に、第一通信部17が生体情報測定値や生活習慣状態等の健康状態を表す情報を、サーバ装置2へネットワーク3を介して送信する(S403)。
(3)サーバ装置2の第二通信部27は、クライアント装置1の第一通信部17からの情報を受信する(S405)。
(4)第二制御部25は、受信した対象患者4の健康状態を表す情報を第二記憶部26に保存する(S406)。
(5)特徴量抽出部21は、受信した生体情報測定値に対して、特徴量を抽出する処理を行う(S407)。FIG. 4 is a flowchart of the health condition input process (S205) according to the first embodiment of the present disclosure.
(1) First, as the processing on the
(2) Next, the
(3) The
(4) The
(5) The feature
図5は、本開示の実施の形態1における生体情報測定値入力部12における画面の一例である。なお、ここでは生体情報測定機器(図示せず)は、クライアント装置と通信回線を通じて接続しており、図5は、生体情報測定機器から測定結果を受信した時点での画面を表す。図5は、生体情報測定値501の一例として、収縮期血圧(SBP : Systolic Blood Pressure)、拡張期血圧(DBP : Diastolic Blood Pressure)、脈拍(Pulse)を示す。なお、生体情報測定値として、測定日時毎の生体情報測定値を用いる例を説明するが、所定期間(例えば1週間)における生体情報測定値の平均値を用いてもよい。生体情報測定値の平均値を用いることにより、生体情報の日内変動や測定誤差などの影響を軽減した生活習慣提案を行うことが可能となる。
対象患者4は、図5の血圧測定画面において、生体情報測定値501で良い場合は、ボタン“OK”を押して、測定結果を第一記憶部16に保存する。一方、対象患者4が生体情報測定結果501を測定ミス等で破棄する場合は、ボタン“Cancel”を押す。FIG. 5 is an example of a screen in the biological information measurement
In the blood pressure measurement screen of FIG. 5, the target patient 4 stores the measurement result in the first storage unit 16 by pressing the button “OK” when the biological
図6は、本開示の実施の形態1における生活習慣状態入力部13の画面の一例である。対象患者4は、生活習慣改善項目301に対して、生活習慣目標302を、実施した(状態1)か、未実施(状態2)かという状態を、生活習慣状態として入力する。なお、図6の生活習慣状態は、図2と比して“服薬”を追加しており、“服薬”に対する生活習慣状態は、薬を服用したか否かで入力する。FIG. 6 is an example of a screen of the lifestyle
図6において、対象患者4は、生活習慣改善項目301に対して、実施した状態(状態1)の場合は、画面での項目名を白字に設定し、一方、未実施の状態(状態2)の場合は、画面での項目名を黒字に変更する。対象患者4は、生活習慣状態の入力が終了すれば、ボタン“OK”を押して、生活習慣状態の入力を確定する。
生活習慣状態の入力頻度は、生体情報測定値の入力頻度と同じが望ましい。生活習慣状態の入力頻度が高いほど、対象患者4の生活習慣状態をきめ細かく記録することが出来、結果として生活習慣改善項目による生体情報測定結果への影響を、より正確に判断することが可能となる。In FIG. 6, the target patient 4 sets the item name on the screen to white in the state where the
The input frequency of the lifestyle state is preferably the same as the input frequency of the biological information measurement value. The higher the input frequency of the lifestyle state, the more precisely the lifestyle state of the target patient 4 can be recorded, and as a result, the influence of the lifestyle improvement items on the biological information measurement results can be more accurately determined. Become.
なお、図6は、生活習慣状態として実施、未実施という2つの状態のみを扱っているが、より多くの状態を扱うことも可能である。例えば、生活習慣改善項目“減量”は、体格指数(BMI: Body Mass Index)を表しており、身長が既知であれば、体重を測定するとBMIを数値で出力することが可能である。仮に、生活習慣改善項目が複数の状態をとる場合、または連続的な数値が状態である場合、この状態のままでも良いし、複数の状態もしくは連続値に対して閾値を設けることで2つの状態に分離しても良い。In addition, although FIG. 6 deals with only two states of implementation and non-execution as a lifestyle state, more states can be handled. For example, the lifestyle improvement item “weight loss” represents a physique index (BMI: Body Mass Index), and if the height is known, the BMI can be output as a numerical value when the weight is measured. If a lifestyle improvement item takes a plurality of states, or if a continuous numerical value is a state, this state may be left as it is, or two states can be set by providing a threshold for a plurality of states or continuous values. May be separated.
図7は、本開示の実施の形態1における特徴量抽出部21の処理のフローチャート(S407)である。また、図8は、特徴量抽出部21における特徴量を示す一例である。特徴量抽出処理21の処理は、図7と図8を用いて説明する。
なお、図8は、横軸が日時、縦軸が生体情報測定値で、ここでは一例として収縮期血圧を表す時系列のグラフである。図8のグラフは、●印が生体情報測定値を表す。更に、この生体情報測定値を結んだ線は実線で表現する。FIG. 7 is a flowchart (S407) of processing of the feature
FIG. 8 is a time-series graph showing the systolic blood pressure as an example, where the horizontal axis is the date and time, and the vertical axis is the biological information measurement value. In the graph of FIG. 8, the mark ● represents the biological information measurement value. Further, the line connecting the biological information measurement values is represented by a solid line.
<定義>
ここで、いくつかの用語を定義する。
“極値”とは、生体情報測定値の時系列データにおける変化点と定義する。図8においては生体情報測定値v1およびv2と表した箇所が極値を表し、グラフにおいて■印の箇所を表す。また“変化日時”とは、この極値が発生する測定日時と定義する。更に、“近似直線”とは、図8において極値を結んだ点線部分と定義する。“傾き”とは、近似直線の傾きを表し、変化日時t2における傾きとは、変化日時t1と変化日時t2の間の近似直線における傾きであり、測定日時が単位量(例えば、1週間等)変化した際の生体情報測定値の変化量と定義する。また“特徴量”とは、変化日時、極値、傾きを含む、生体情報測定値の経時変化における変化を表す情報と定義する。<Definition>
Here, some terms are defined.
“Extreme value” is defined as a change point in time-series data of biological information measurement values. In FIG. 8, the portions represented by the biological information measurement values v1 and v2 represent extreme values, and the portions marked with ■ in the graph. The “change date and time” is defined as the measurement date and time when this extreme value occurs. Further, the “approximate straight line” is defined as a dotted line portion connecting extreme values in FIG. “Slope” represents the slope of the approximate line, and the slope at the change date / time t2 is the slope of the approximate line between the change date / time t1 and the change date / time t2, and the measurement date / time is a unit amount (for example, one week). It is defined as the amount of change in the biological information measurement value when changed. The “feature amount” is defined as information representing a change in a biological information measurement value with time, including a change date, extreme value, and inclination.
特徴量として、“変化日時”と“極値”および“傾き”を使用することにより、生活習慣病に関連のある生体情報測定値の変化点を簡易に記録することが出来る。また、本開示の生活習慣病改善支援システムは、この変化点を記録することにより、変化点が発生した原因である生活習慣項目および生活習慣状態を何かを特定することが可能となり、対象患者4が他の参照患者5の変化点の原因となる生活習慣を参考にして行動変容を起こすきっかけとなる情報を提供できる効果がある。By using “change date and time”, “extreme value”, and “slope” as feature quantities, it is possible to easily record the change points of the biological information measurement values related to lifestyle-related diseases. In addition, the lifestyle-related disease improvement support system of the present disclosure makes it possible to identify the lifestyle item and lifestyle state that are the cause of the change point by recording this change point. 4 has the effect of providing information that triggers behavioral changes with reference to lifestyle habits that cause changes in other reference patients 5.
図7の処理フローチャートについて説明する。
(1)まず特徴量抽出部21は、対象患者4の生体情報測定値および特徴量を、第二記憶部26から時系列データとして読み出す(S701)。ここでは、図8において最新の測定時刻t0における生体情報測定値v0を受信した時点での処理を説明する。
(2)次に、特徴量抽出部21は、現時点での最新の極値v2と傾きa2を特定する(S702)。
(3)ここで、特徴量抽出部21は、極値v2と傾きa2を元に、測定時刻t0の時点における生体情報測定値の予測値p0を算出する(S703)。この予測値p0は、図8のグラフにおいて▲印で表している。
(4)特徴量抽出部21は、最新の測定値v0と予測値p0との差分dを算出し、この差分dが所定の閾値より大きいかどうか判断する(S704)。なお、閾値は、生体情報測定値と近似直線との差を許容する範囲を定義する値であり、閾値が大きい場合は、生体情報測定値のばらつきを許容し、閾値が小さい場合は、ばらつきを許容しない為に、極値の数が増加する傾向にある。適正な閾値は、生体情報測定値の種類に応じて決定する値とする。The processing flowchart of FIG. 7 will be described.
(1) First, the feature
(2) Next, the feature
(3) Here, the feature
(4) The feature
(5)特徴量抽出部21は、処理S704において、差分dが閾値より大きい場合、前回の測定値v1を新たな極値として設定する(S705)。図8は、この差分dが閾値より大きい場合のグラフを表す。
(6)特徴量抽出部21は、新たな極値v1と測定値v0より新たな近似直線を結ぶことが出来る為、この近似直線に基づく新たな傾きa1を算出する(S706)。
(7)第二制御部25は、傾きa1を第二記憶部26に保存する(S707)。なお、測定値v1が極値であることは、傾きa1を参照することにより、特定することが可能である。特徴量抽出部21は、処理S704において、差分dが閾値以下である場合、処理S708へ進む。
(8)ここで、特徴量抽出部21は、最新の極値v2から最新の測定値v0までの測定値に基づいて、傾きa2を更新する(S708)。傾きa2を更新する方法は、極値v2を始点として、それ以降の測定値の二乗平均誤差が最小となる近似直線を算出し、この近似曲線の傾きを更新した新たな傾きa2とする。
(9)第二制御部25は、第二記憶部26における傾きa2を更新して、保存する(S709)。
以上によって、生体情報測定値から特徴量を抽出することができる。(5) When the difference d is larger than the threshold value in the process S704, the feature
(6) Since the feature
(7) The
(8) Here, the feature
(9) The
As described above, the feature amount can be extracted from the biological information measurement value.
なお、上記フローチャートは、生体情報測定値の極値及び傾きを決定する際に、日内変動等の小さなブレを含まないようにする手順を示したものである。したがって、生体情報測定値から特徴量を抽出するにあたって、上記フローチャートに代えて、閾値を設定するのではなく、傾きの符号が変化する点、つまり生体情報測定値の各点を結ぶ直線の傾きが上向きと下向きとの間で入れ替わる境界となる点の生体情報測定値を極値とするようにしてもよい。The above flow chart shows the procedure for avoiding small fluctuations such as diurnal fluctuations when determining the extreme value and inclination of the biological information measurement value. Therefore, instead of setting the threshold value in extracting the feature value from the biological information measurement value, the threshold value is not set, but the slope of the straight line connecting the points of the biological information measurement value is changed. You may make it make the biometric information measured value of the point used as the boundary which switches between upward and downward become an extreme value.
図9は、本開示の実施の形態1における第二記憶部26に記憶している各患者の特徴量の一例である。対象患者4又は参照患者5が誰かを識別する患者IDと、測定日時と、生体情報測定値と、傾きを保存している。この記憶している情報のうち、患者ID,測定日時、生体情報測定値は、全ての測定に対応した値を保存しているが、“傾き”に対しては生体情報測定値が極値である箇所についてのみ、記録する。この記憶方法を取ることで、例えば、極値v2や変化日時t2を、別途記憶する必要がなくなる為、データベースの記憶容量も削減することが可能となる効果がある。また、測定日時と変化日時を別々に管理すること無くデータベースで一意に管理することにより、人為的な参照ミスなどを事前に低減できる効果がある。FIG. 9 is an example of the feature amount of each patient stored in the
図10は、本開示の実施の形態1における生活習慣提案処理(S206)のフローチャートである。この図10の処理には、特徴量比較部22、参照患者抽出部23、生活習慣提案表示部18などが含まれる。なお、生活習慣提案処理のサーバ装置2における処理を、参照患者抽出部23の処理(S1020)と定義する。
(1)まず、対象患者4は、クライアント装置1を使用して比較する生体情報を選択する(S1001)。ここでは、生体情報として最高血圧の例を説明する。
(2)次に、対象患者4は、クライアント装置1に対して、生活習慣提案の依頼を行う(S1002)。
(3)この時、生活習慣提案依頼は、クライアント装置1の第一通信部17から送信され、ネットワーク3を介して、サーバ装置2の第二通信部27が受信される(S1003)。
(4)参照患者抽出部23は、対象患者4の情報に基づいて、対象とする参照患者5を限定する(S1004)。限定する方法は、例えば、年齢が近いこと、性別が同じであること、遺伝子情報が近いこと、対象疾患が類似していることなどがある。参照患者抽出部23が対象とする参照患者5を限定することにより、対象患者4の状態に近い参照患者5の生体情報測定値や生活習慣状態を抽出することが可能となり、対象患者4の健康改善に対して、より有益な情報を提供できる効果がある。なお、上記ステップ(S1004)は必須のものではない。上記ステップ(S1004)によって、参照患者5を限定した場合には、対象患者4に対してより正確な情報提供を行うことができる。FIG. 10 is a flowchart of lifestyle suggestion processing (S206) according to
(1) First, the target patient 4 selects biometric information to be compared using the client device 1 (S1001). Here, an example of systolic blood pressure will be described as biological information.
(2) Next, the target patient 4 requests the
(3) At this time, the lifestyle proposal request is transmitted from the
(4) The reference
(5)次に、特徴量比較部22は、対象患者4と、ある参照患者5との特徴量の比較を行う(S1005)。特徴量比較部22の処理詳細は後述する。まず、最新の変化点の生体情報測定値の一つ以前の変化点を検索し、この2つの変化点の生体情報測定値から近似直線を算出し、対象患者4による近似直線を対象直線とし、参照患者5による近似直線を参照直線とする。次いで、対象患者4の対象直線と参照患者5の参照直線とを比較した結果として、各々の参照患者5に対して参照直線と対象直線との“差分”を算出する。そして参照患者5の特徴量を全て検索したかどうかを判断し(S1006)、まだ比較していない参照患者5がいる場合は、特徴量比較部22の処理(S1005)に戻る。一方、全ての参照患者5を比較した場合、次の処理に進む。
(6)参照患者抽出部23は、ある参照患者5に対する全ての変化点に対応する変化日時に対する参照直線と対象直線との“差分”を参照し、その中で対象患者4と最も類似している、すなわち差分が小さい箇所の参照直線と対象直線との差分を、その参照患者5と対象患者4との“類似度”と定義する。類似度が高い箇所を抽出することにより、対象患者4の現在の健康状態に最も近い参照患者5の過去の状態を抽出することが出来、参照患者5が過去に健康改善に成功した状況を再現できる情報を提供することが出来る効果がある。(5) Next, the feature
(6) The reference
更に、参照患者抽出部23は、この“類似度”に基づいて順位を決定する。なお参照患者抽出部23は、類似度での順位が同等である場合、変化日時以降の傾きの絶対値を算出し、この傾きの絶対値が大きい参照患者5の順位を上げる。
この効果は、対象患者4の健康状態が悪化して改善したい場合に、閲覧対象とする参照患者5の中でより健康状態が改善した度合いの大きい測定結果を抽出することが可能となり、対象患者4に対して改善効果が高い生活習慣改善項目もしくは生活習慣状態の情報を提供することが出来る効果がある。一方、対象患者4の健康状態が順調に改善している場合、閲覧対象とする参照患者5の中でより健康状態が悪化した度合いの大きい測定結果を抽出することが可能となり、対象患者4に対して生活習慣状態変化により現状より悪化する場合もありえるという情報を提供し、対象患者4に危機感を与えて、生活習慣改善を継続する動機付けを行なうことができる効果がある。Further, the reference
This effect makes it possible to extract a measurement result having a higher degree of improvement in the health condition from the reference patient 5 to be browsed when the health condition of the target patient 4 deteriorates and is desired to be improved. 4 has the effect of providing information on lifestyle improvement items or lifestyle status that have a high improvement effect. On the other hand, when the health condition of the target patient 4 is improving smoothly, it becomes possible to extract a measurement result having a greater degree of deterioration of the health condition among the reference patients 5 to be browsed. On the other hand, there is an effect that it is possible to provide information that there is a case where it may be worse than the current situation due to a change in lifestyle state, give the patient 4 a sense of crisis and motivate to continue improving lifestyle habits.
(7)参照患者抽出部23は、参照患者5の類似度に基づいて算出した順位により、参照患者5の一覧を作成する(S1008)。
(8)クライアント装置1の第一通信部17は、参照患者5の一覧情報を受信し、生活習慣提案表示部18で情報を表示する(S1009)。この処理における画面詳細は図11で説明する。(7) The reference
(8) The
この参照患者5の一覧を表示する際、参照患者抽出部23で決定した“順位”に基づき、順位の高い順に表示する。この時、表示する参照患者5の情報は、個人を特定できるような個人情報を表示しない。この処理を行うことで、個人情報保護を実現しつつ、対象患者4が他の参照患者5の情報を参照することが可能となる。なお、上記順位付けは必須の構成ではなく、自動抽出した一人の参照患者5を表示してもよい。上記のように、順位付けを行って、この順位に基づいて複数の参照患者5を参照する場合には、より類似した参照患者5の情報を参照できるため、好ましい。When displaying this list of reference patients 5, the reference patients are displayed in descending order based on the “order” determined by the reference
(9)対象患者4は、クライアント装置1で表示された参照患者5一覧の中で、生活習慣提案として閲覧したい参照患者5を選択する(S1010)。
(10)サーバ装置2の第二通信部27は、対象患者4が選択した参照患者5の情報を受信する(S1011)。
(11)第二制御部25は、第二記憶部26から参照患者5に対する特徴量と、それに関連した生体情報測定値、生活習慣状態の情報を読出し、第二通信部27は前記した情報をクライアント装置1へ送信する(S1012)。
(12)クライアント装置1の生活習慣提案表示部18は、受信した参照患者5の生体情報測定装置と、生活習慣状態を表示する(S1013)。なお、生活習慣提案表示部18の画面詳細は図12で後述する。次に、対象患者4は、クライアント装置1に対して、表示している参照患者5とは別の参照患者5の情報を選択するかどうかを判断し(S1014)、検索しない場合は処理を終了する。一方、対象患者4が別の参照患者5の情報を閲覧する場合、処理(S1009)に戻る。(9) The target patient 4 selects the reference patient 5 that he / she wishes to browse as a lifestyle proposal from the list of reference patients 5 displayed on the client device 1 (S1010).
(10) The
(11) The
(12) The lifestyle
図11は、参照患者抽出部23が生成した参照患者5一覧を、クライアント装置1で表示した画面の一例である。図11の画面中央部にある表で、参照患者5の一覧を表示する。表で表示する項目としては、例えば、順位、生体情報測定値の傾向、年齢、性別、既往症を表示する。ここで順位とは、参照患者抽出部23で抽出した参照患者5の類似度の順位を表す。FIG. 11 is an example of a screen in which the reference patient 5 list generated by the reference
図11の生体情報測定値の傾向では、横軸が日時、縦軸が生体情報測定値を表現している。更に、対象患者4のグラフを点線で、参照患者5のグラフを実線で表示している。また、対象患者4の最新測定値と、参照患者5の変化点を表す変日時を時間軸上で整合させて表示する。この表示を行う効果として、対象患者4は、自分と近い健康状態の参照患者5を容易に識別することが出来、かつ対象患者4の現在健康状態が悪化している場合、変化点以降の参照患者5が健康状態を改善した度合いも視覚的に確認することが可能となる。
更に、図11では年齢、性別、既往症を表示することにより、対象患者4が本人と近い状態の参照患者5を早期に絞り込むことが可能となり、対象患者4が本システムを利用する時間的な拘束を低減することが可能となる。なお、対象患者4の処理(S1010)は、図11の表における参照患者5一覧の一行を選択する作業となる。In the tendency of the biological information measurement values in FIG. 11, the horizontal axis represents the date and time, and the vertical axis represents the biological information measurement value. Furthermore, the graph of the target patient 4 is displayed with a dotted line, and the graph of the reference patient 5 is displayed with a solid line. Further, the latest measured value of the target patient 4 and the date and time of change representing the change point of the reference patient 5 are displayed in alignment on the time axis. As an effect of performing this display, the target patient 4 can easily identify the reference patient 5 having a health condition close to that of the patient, and if the current health condition of the target patient 4 has deteriorated, the reference after the change point is obtained. The degree to which the patient 5 has improved the health condition can also be visually confirmed.
Further, in FIG. 11, by displaying the age, sex, and past illness, it becomes possible to narrow down the reference patient 5 in a state where the target patient 4 is close to the person at an early stage, and the time restriction for the target patient 4 to use the system. Can be reduced. In addition, the process (S1010) of the target patient 4 is an operation of selecting one row of the reference patient 5 list in the table of FIG.
図12は、生活習慣改善提案表示部18における画面の一例である。この図12の画面は、図11の参照患者5一覧画面で、類似度の順位が“1”の参照患者5を選択した場合である。画面の上部に生体情報測定値の傾向を表示し、画面下部には生活習慣改善項目の生活習慣状態を表示し、横軸はどちらも日時を表す。生活習慣改善提案表示部18は、生態情報測定値の傾向として、参照患者5を実線で表示し、対象患者4すなわち本人を点線で表示する。また日時として、参照患者5の変化日時を一点鎖線で表現し、生体情報測定値のグラフと、生活習慣状態の日時を整合させて表示する。FIG. 12 is an example of a screen in the lifestyle improvement
この生体情報測定値と生活習慣状態の変化日時を整合させることにより、参照患者5が生体情報測定値に影響した原因としてどの生活習慣状態が起因しているのかを視覚化している。この効果として、対象患者4が生体情報測定値を改善させる為、参照患者5の変化点を閲覧することにより、自身の生活習慣改善の動機付けとなる情報を提供することが出来る。また、生活習慣改善提案表示部18が、変化日時の前後における生体情報測定値と生活習慣状態を表示することにより、変化日時の前後における比較を容易に行うことが可能となる。By matching the biometric information measurement value and the change date of the lifestyle state, it is visualized which lifestyle state is caused by the reference patient 5 as the cause of the influence on the biometric measurement value. As an effect, since the target patient 4 improves the biological information measurement value, by browsing the change point of the reference patient 5, it is possible to provide information that motivates improvement of one's lifestyle. Moreover, the lifestyle improvement
さらに、図12の画面下部には生活習慣改善項目の生活習慣状態を表示する。ここで、変化日時以前の所定時間区間を“前区間”と定義し、変化日時以降の所定時間区間を“後区間”と定義する。なお、所定時間区間とは参照患者5と対象患者4の生体情報測定値を複数回含む時間区間を表し、対象期間と同じであっても良い。
生活習慣改善提案表示部18が、図12で生活習慣状態を表示する際、各生活習慣改善項目、例えば投薬・減塩・運動、減量などを、“前区間”と“後区間”で比較を行い、生活習慣状態の差が大きい順に上部に表示を行う。この効果として、参照患者5の生体情報測定値の変化点が発生した原因として、どの生活習慣改善項目による影響が大きいのかを視覚的に表すことが可能となり、対象患者4が注目すべき生活習慣改善項目と、その生活習慣状態の変化量を分かり易く提示することが可能となる。Furthermore, the lifestyle state of the lifestyle improvement item is displayed at the bottom of the screen in FIG. Here, a predetermined time interval before the change date and time is defined as “previous interval”, and a predetermined time interval after the change date and time is defined as “following interval”. The predetermined time interval represents a time interval including the biological information measurement values of the reference patient 5 and the target patient 4 a plurality of times, and may be the same as the target period.
When the lifestyle improvement
また、図12は、対象患者4へ表示する画面の一例であるが、同様の画面を医療従事者へ表示するようにしてもよい。このように、医療従事者に対象患者4へ表示する画面と同様の画面を表示することにより、医療従事者が対象患者4に対する生活習慣病指導や、疾病原因の診断支援を行う参考となる情報を医療従事者に提供できる効果もある。FIG. 12 shows an example of a screen displayed on the target patient 4, but a similar screen may be displayed on the medical staff. In this way, by displaying a screen similar to the screen displayed on the target patient 4 to the medical staff, information that the medical staff can provide guidance on lifestyle-related diseases for the target patient 4 and support for diagnosis of the cause of the disease. Can also be provided to medical professionals.
図13は、特徴量比較部22における処理のフローチャートである。図13の特徴量比較部22の処理(S1301)から処理(S1306)を説明する為、図14を先に説明する。FIG. 13 is a flowchart of processing in the feature
図14は、特徴量比較部22の類似度算出方法を示す。図14(a)は、対象患者4の生体情報測定値を表し、図14(b)は、参照患者5の生体情報測定値を表し、図14(c)は、対象患者4の生体情報測定値と参照患者5との生体情報測定値との差分算出方法を表す。なお、図14の全てのグラフの横軸は測定日時である。
まず、特徴量抽出部22は、図14(a)において対象患者4の最新の生体情報測定値1401を検索し、最新の測定日時1402を特定する。次に、最新の生体情報測定値の一つ以前の変化点を検索し、この変化点と最新の生体情報測定値から近似直線を算出する。この対象患者4の近似直線を対象直線1403と定義する。FIG. 14 shows a similarity calculation method of the feature
First, the feature
また、特徴量抽出部22は、図14(b)において、参照患者5の変化点における生体情報測定値1404を検索する。この変化点に対する変化日時1405を特定する。次に、変化点の生体情報測定値の一つ以前の変化点を検索し、この2つの変化点の生体情報測定値から近似直線を算出する。この参照患者5の近似直線を参照直線1406と定義する。
この時、特徴量抽出部22は、参照直線1406として、対象直線1403の傾きの符号と傾きの符号が等しいものだけ、例えば、対象直線1403の傾きの符号がプラスの場合なら傾きの符号がプラスの近似直線のみを参照直線1406として抽出する。この傾きの符号が等しい参照直線1406だけにすることにより、対象患者4と参照患者5の生体情報測定値の増減傾向が等しい近似直線のみを抽出することが可能となり、類似度が高い参照患者5を検索する計算量を削減することが可能となる。In addition, the feature
At this time, the feature
次に、特徴量抽出部22は、図14(c)において対象直線1403と、参照直線1406との差分を算出し、この差分を類似度1407と定義する。ここで、特徴量抽出部22は、類似度が小さいほど、対象患者4と参照患者5の類似度が類似していると判断する。
特徴量抽出部22は、この処理を対象期間に対して実施する。ここで対象期間とは、対象患者4と参照患者5の生体情報測定値を比較する期間と定義し、この対象期間の設定は対象患者4もしくは医療従事者が設定を行う。図14(c)は、対象期間の間に変化点がない例であるが、対象患者4もしくは参照患者5の変化点が複数存在する場合は、変化点毎に区間を区切りその区間ごとに類似度を積算することにより、類似度を算出することが可能である。Next, the feature
The feature
図13における、特徴量比較部22における処理のフローチャートの説明に戻る。
(1)特徴量比較部22は、対象患者4の最新から対象期間までの生体情報測定値を読み出す(S1301)。
(2)次に、対象患者4の近似直線である対象直線1403を算出する(S1302)。
(3)特徴量算出部22は、対象患者4の変化点を読み出す(S1303)。
(4)次に、特徴量比較部22は、参照患者5の変化日時以前から対象期間までの生体情報測定値を読み出す(S1304)。
(5)次いで、参照患者5の近似直線である参照直線1406を算出する(S1305)。
(6)そして、特徴量比較部22は、対象直線1403と参照直線1406との差分である類似度1407を算出する(S1306)。なお、処理(S1306)の詳細については、図15を用いて後ほど説明する。Returning to the description of the flowchart of processing in the feature
(1) The feature
(2) Next, a target
(3) The feature
(4) Next, the feature
(5) Next, a
(6) Then, the feature
(7)特徴量算出部22は、参照患者5の既存の類似度がある場合、既存の類似度と処理(S1306)で新たに算出した類似度とを比較し(S1307)、新たに算出した類似度が対象患者4により類似している場合は、参照患者5の類似度を新たに算出した値で更新する(S1308)。なお、参照患者5の既存の類似度がない場合も、処理(S1308)へ進む。一方、処理(S1307)で、既存の類似度の方が対象患者4により類似している場合は、処理(S1309)へ進む。
(8)特徴量算出部22は、参照患者5の次の変化点があるかどうかを検索し、次の変化点がある場合は、次の変化点に対して処理(S1303)を実施する。一方、参照患者5の次の変化点がない場合は、参照患者5の全ての変化点に対して処理を終了したので、対象患者4に対する参照患者5の類似度を確定する(S1310)。(7) When there is an existing similarity of the reference patient 5, the feature
(8) The feature
この特徴量比較処理を行うことにより、対象患者4が自身と近い状態の参照患者5を抽出することにより、対象患者4が健康状態を改善する為に、参考とする参照患者5の生体情報測定値の変化点と、それに関連した生活習慣状態を特定することが可能となる。更に、参照患者5の複数の変化点を処理対象とすることにより、対象患者4の生体情報測定値の増減傾向に最も近い参照患者5の変化点を算出することが可能となり、対象患者4が同一の参照患者5の生体情報測定値ばかりを参照することを抑制できる効果もある。By performing the feature amount comparison process, the patient patient 4 extracts the reference patient 5 in a state close to himself / herself, so that the patient patient 4 can improve the health state, and the biological information measurement of the reference patient 5 as a reference is performed. It becomes possible to specify the change point of the value and the lifestyle state related thereto. Furthermore, by using a plurality of change points of the reference patient 5 as processing targets, it becomes possible to calculate the change point of the reference patient 5 that is closest to the increase / decrease tendency of the biological information measurement value of the target patient 4. There is also an effect that it is possible to suppress referencing only the biological information measurement values of the same reference patient 5.
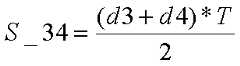
図15は、特徴量算出部22の差分算出方法である。図15(a)は、対象直線と参照直線が交差する場合の差分を算出する方法を示す図である。ここで、比較を行う測定日時の間として、比較期間Tと定義する。更に、比較期間Tの両端の測定日時に対する対象直線と参照直線との生体情報測定値の差分をd1とd2とする。そして、対象直線1501と参照直線1502との差分は、2つの直線が囲む斜線部の面積S_12として算出することが可能である。この面積S_12は、下記式により算出する。
図15(b)は、対象直線と参照直線が交差しない場合の差分を算出する方法を示す図である。ここで、比較期間Tの両端の測定日時に対する対象直線と参照直線との生体情報測定値の差分をd3とd4とする。そして、対象直線1503と参照直線1504との差分は、2つの直線が囲む斜線部の面積S_34として算出することが可能である。この面積S_34は、下記式により算出する。
なお、上記生活習慣病改善支援方法の各ステップをコンピュータに実行させて、対象患者の生活習慣病の改善を支援するための、生活習慣病改善支援用コンピュータプログラムとして構成してもよい。さらに、上記生活習慣病改善支援用コンピュータプログラムを、コンピュータ読み取り可能な記録媒体に格納してもよい。上記記録媒体としては、磁気ディスク、光ディスク、光磁気ディスク、半導体メモリ等のいずれであってもよい。In addition, you may comprise as a computer program for lifestyle-related disease improvement support for making a computer perform each step of the said lifestyle-related disease improvement support method, and supporting improvement of the lifestyle-related disease of an object patient. Further, the lifestyle-related disease improvement support computer program may be stored in a computer-readable recording medium. The recording medium may be a magnetic disk, an optical disk, a magneto-optical disk, a semiconductor memory, or the like.
図16は、本開示の実施の形態1における生活習慣病改善支援システムのクライアント装置における構成の一例を示す構成図である。まず、装置は本体ケース1601があり、この本体ケースに生活習慣目標入力部、生体情報測定値入力部、生活習慣状態入力部、第一記憶部、第一制御部、第一通信部、生活習慣提案表示部を含む。
図16の出力部は、画面出力1602である。生活習慣目標入力部、生体情報測定値入力部、生活習慣状態入力部は、画面出力に重ねて存在するタッチパネル入力1602である。第一制御部は、本体ケースに含むマイクロプロセッサー等で構成し、第一記憶部は、ハードディスクや半導体メモリで構成している。また、視力が低下している使用者でも使用が容易とする為に、音声出力部1603をつけ、操作方法を音声で説明する。更に使用者が装置を持ち運んで使用可能とする為、本体ケースには電池が内蔵されており、充電台1605の上に置いて使用することが出来る。FIG. 16 is a configuration diagram illustrating an example of a configuration of the client device of the lifestyle-related disease improvement support system according to the first embodiment of the present disclosure. First, the apparatus has a
The output unit in FIG. 16 is a
図16の出力画面1602は、生活習慣病改善支援システムのメインメニューの一例であり、ボタンとして“測定”、“問診”、“目標入力”、”生活習慣提案“、“アドバイス“がある。ここで、図2との対比を行うと、図2における”目標入力“とは、図16におけるボタン”目標入力“を選択することを表す。図2における”健康状態入力“とは、図16におけるボタン”測定“もしくはボタン”問診“を選択することを表す。図2における”生活習慣提案“とは、図16におけるボタン”生活習慣提案“を選択することを表す。The
対象患者4が、ボタン“目標入力”を押すと、生活習慣目標を入力する画面に遷移する。対象患者4が、ボタン”測定“を押すと生体情報測定値を入力する画面に遷移する。生体情報測定値入力部は、生体情報を測定する機器が内蔵されていても良いが、生活習慣病改善支援システムが、更に生体情報通信部を有し、生体情報測定を行う生体情報測定装置との生体情報通信部を介して生体情報測定値を受信しても良い。また、対象患者4が、ボタン“問診”を押すと、生活習慣状態を入力する画面や対象患者4本人の健康状態に関する問診を入力する画面に遷移する。When the target patient 4 presses the “target input” button, the screen changes to a screen for inputting a lifestyle target. When the target patient 4 presses the button “measurement”, the screen shifts to a screen for inputting a biological information measurement value. The biological information measurement value input unit may include a device that measures biological information, but the lifestyle-related disease improvement support system further includes a biological information communication unit, and a biological information measurement device that performs biological information measurement The biological information measurement value may be received via the biological information communication unit. When the target patient 4 presses the “question” button, the screen changes to a screen for inputting a lifestyle state or a screen for inputting an inquiry regarding the health status of the four target patients.
更に、対象患者4がボタン“生活習慣提案”を選択すると、図11で示した画面「参照患者一覧」を表示し、その後に図12で示した画面「生活習慣改善提案」を表示する。対象患者4がボタン“アドバイス”を選択すると、医療従事者が記載した対象患者4へのアドバイスを表示する(図示せず)。Furthermore, when the target patient 4 selects the button “lifestyle proposal”, the screen “reference patient list” shown in FIG. 11 is displayed, and then the screen “lifestyle improvement proposal” shown in FIG. 12 is displayed. When the target patient 4 selects the button “advice”, advice to the target patient 4 described by the medical staff is displayed (not shown).
本開示に係る生活習慣病改善支援システムは、対象患者が対象患者本人と類似した参照患者の健康状態を比較する際に、参照患者の健康状態が変化する時点の生活習慣を参照することにより、生活習慣病改善の行動変容を行う情報を提供できる。これによって、対象患者に対して生活習慣改善を行う動機付けとなる情報を与えることができ、患者が在宅で生活習慣病を改善支援する医療機器等に有用である。The lifestyle-related disease improvement support system according to the present disclosure refers to the lifestyle at the time when the health status of the reference patient changes when the target patient compares the health status of the reference patient similar to the target patient himself, Can provide information on behavioral change to improve lifestyle-related diseases. Thus, information that is a motivation to improve lifestyle habits can be given to the target patient, which is useful for medical devices that help patients improve their lifestyle-related diseases at home.
更に、本開示に係る生活習慣病改善支援システムは、各生活習慣改善項目が生体情報測定結果に与える影響の大きさを順位付けして表示することができる。これによって、医療従事者が生活習慣病指導や疾病原因の診断支援する医療機器等にも適用できる。Furthermore, the lifestyle-related disease improvement support system according to the present disclosure can rank and display the magnitude of the influence of each lifestyle improvement item on the biological information measurement result. Accordingly, the present invention can be applied to medical devices and the like in which medical workers support lifestyle-related disease guidance and diagnosis of disease causes.
1 クライアント装置
2 サーバ装置
3 ネットワーク
4 対象患者
5 参照患者
11 生活習慣目標入力部
12 生体情報測定値入力部
13 生活習慣状態入力部
15 第一制御部
16 第一記憶部
17 第一通信部
21 特徴量抽出部
22 特徴量比較部
23 参照患者抽出部
25 第二制御部
26 第二記憶部
27 第二通信部
28 第二表示部
301 生活習慣目標入力部における生活習慣改善項目
302 生活習慣目標入力部における生活習慣目標
501 生体情報測定値入力部における生体情報測定値
601 生活習慣状態入力部における生活習慣状態
1401 対象患者の最新の生体情報測定値
1402 対象患者の最新の測定日時
1403 対象直線
1404 参照患者の変化点の生体情報測定値
1405 参照患者の変化日時
1406 参照直線
1407 対象患者と参照患者に対する生体情報測定値の類似度
1501 対象直線
1502 参照直線
1503 対象直線
1504 参照直線
1601 本体ケース
1602 画面出力、およびタッチパネル入力
1603 音声出力
1605 充電台DESCRIPTION OF
| Application Number | Priority Date | Filing Date | Title |
|---|---|---|---|
| JP2014523587AJP6173316B2 (en) | 2012-07-05 | 2013-06-28 | Lifestyle-related disease improvement support system, lifestyle-related disease improvement support method, lifestyle-related disease improvement support computer program, and computer-readable recording medium storing a lifestyle-related disease improvement support computer program |
| Application Number | Priority Date | Filing Date | Title |
|---|---|---|---|
| JP2012-151148 | 2012-07-05 | ||
| JP2012151148 | 2012-07-05 |
| Publication Number | Publication Date |
|---|---|
| WO2014006862A1true WO2014006862A1 (en) | 2014-01-09 |
| Application Number | Title | Priority Date | Filing Date |
|---|---|---|---|
| PCT/JP2013/004047WO2014006862A1 (en) | 2012-07-05 | 2013-06-28 | Lifestyle disease improvement assistance system, lifestyle disease improvement assistance method, lifestyle disease improvement assistance computer program, and computer readable recording medium having stored lifestyle disease improvement assistance computer program |
| Country | Link |
|---|---|
| JP (1) | JP6173316B2 (en) |
| WO (1) | WO2014006862A1 (en) |
| Publication number | Priority date | Publication date | Assignee | Title |
|---|---|---|---|---|
| WO2015129533A1 (en)* | 2014-02-25 | 2015-09-03 | オムロン株式会社 | Measurement support device, health support system, measurement support method, and measurement support program |
| WO2019131255A1 (en)* | 2017-12-27 | 2019-07-04 | オムロンヘルスケア株式会社 | Data processing device, data processing method, and data processing program |
| JP2019122476A (en)* | 2018-01-12 | 2019-07-25 | コニカミノルタ株式会社 | Vital sensor and monitoring system |
| JP2019534506A (en)* | 2016-09-28 | 2019-11-28 | メディアル リサーチ リミテッド | System and method for medical data mining |
| CN110974216A (en)* | 2019-12-20 | 2020-04-10 | 首都医科大学宣武医院 | Remote control system of wireless electrocardiogram monitoring sensor |
| CN110974215A (en)* | 2019-12-20 | 2020-04-10 | 首都医科大学宣武医院 | Early warning system and method based on wireless ECG monitoring sensor group |
| JP2020091818A (en)* | 2018-12-08 | 2020-06-11 | 株式会社FiNC Technologies | Health information system |
| JP2020102213A (en)* | 2018-12-19 | 2020-07-02 | キヤノンメディカルシステムズ株式会社 | Medical information display device and medical information display system |
| CN112614581A (en)* | 2019-10-03 | 2021-04-06 | 佳能医疗系统株式会社 | Diagnosis support system, diagnosis support device, and diagnosis support method |
| JP2021518791A (en)* | 2018-01-22 | 2021-08-05 | アップル インコーポレイテッドApple Inc. | Systems and methods for displaying aggregated health records |
| JPWO2020137061A1 (en)* | 2018-12-27 | 2021-11-11 | コニカミノルタ株式会社 | Information display method, program and information display device |
| US11266330B2 (en) | 2019-09-09 | 2022-03-08 | Apple Inc. | Research study user interfaces |
| US11404154B2 (en) | 2019-05-06 | 2022-08-02 | Apple Inc. | Activity trends and workouts |
| US11482328B2 (en) | 2020-06-02 | 2022-10-25 | Apple Inc. | User interfaces for health applications |
| US11527316B2 (en) | 2019-06-01 | 2022-12-13 | Apple Inc. | Health application user interfaces |
| US11698710B2 (en) | 2020-08-31 | 2023-07-11 | Apple Inc. | User interfaces for logging user activities |
| US11996190B2 (en) | 2013-12-04 | 2024-05-28 | Apple Inc. | Wellness aggregator |
| US12002588B2 (en) | 2019-07-17 | 2024-06-04 | Apple Inc. | Health event logging and coaching user interfaces |
| US12080421B2 (en) | 2013-12-04 | 2024-09-03 | Apple Inc. | Wellness aggregator |
| WO2025169372A1 (en)* | 2024-02-07 | 2025-08-14 | オリンパスメディカルシステムズ株式会社 | Medical examination support method, health support method, medical examination support device, and health support device |
| Publication number | Priority date | Publication date | Assignee | Title |
|---|---|---|---|---|
| JP2005352627A (en)* | 2004-06-09 | 2005-12-22 | Hitachi Medical Corp | Exercise guidance support system |
| JP2006127289A (en)* | 2004-10-29 | 2006-05-18 | Toshiba Corp | Health care support device and health care support program |
| JP2007156529A (en)* | 2005-11-30 | 2007-06-21 | Matsushita Electric Ind Co Ltd | Lifestyle improvement support device |
| JP2009205456A (en)* | 2008-02-28 | 2009-09-10 | Fujifilm Corp | Unit and method for health and disease management support, and medical network system |
| JP2010113668A (en)* | 2008-11-10 | 2010-05-20 | Toshiba Corp | Health guidance support system and health guidance support program |
| Publication number | Priority date | Publication date | Assignee | Title |
|---|---|---|---|---|
| JP2005352627A (en)* | 2004-06-09 | 2005-12-22 | Hitachi Medical Corp | Exercise guidance support system |
| JP2006127289A (en)* | 2004-10-29 | 2006-05-18 | Toshiba Corp | Health care support device and health care support program |
| JP2007156529A (en)* | 2005-11-30 | 2007-06-21 | Matsushita Electric Ind Co Ltd | Lifestyle improvement support device |
| JP2009205456A (en)* | 2008-02-28 | 2009-09-10 | Fujifilm Corp | Unit and method for health and disease management support, and medical network system |
| JP2010113668A (en)* | 2008-11-10 | 2010-05-20 | Toshiba Corp | Health guidance support system and health guidance support program |
| Publication number | Priority date | Publication date | Assignee | Title |
|---|---|---|---|---|
| US11996190B2 (en) | 2013-12-04 | 2024-05-28 | Apple Inc. | Wellness aggregator |
| US12094604B2 (en) | 2013-12-04 | 2024-09-17 | Apple Inc. | Wellness aggregator |
| US12394523B2 (en) | 2013-12-04 | 2025-08-19 | Apple Inc. | Wellness aggregator |
| US12080421B2 (en) | 2013-12-04 | 2024-09-03 | Apple Inc. | Wellness aggregator |
| WO2015129533A1 (en)* | 2014-02-25 | 2015-09-03 | オムロン株式会社 | Measurement support device, health support system, measurement support method, and measurement support program |
| JP2019534506A (en)* | 2016-09-28 | 2019-11-28 | メディアル リサーチ リミテッド | System and method for medical data mining |
| US11404166B2 (en) | 2016-09-28 | 2022-08-02 | Medial Research Ltd. | Systems and methods for mining of medical data |
| WO2019131255A1 (en)* | 2017-12-27 | 2019-07-04 | オムロンヘルスケア株式会社 | Data processing device, data processing method, and data processing program |
| JP2019115601A (en)* | 2017-12-27 | 2019-07-18 | オムロンヘルスケア株式会社 | Data processing device, data processing method, and data processing program |
| JP2019122476A (en)* | 2018-01-12 | 2019-07-25 | コニカミノルタ株式会社 | Vital sensor and monitoring system |
| JP7106867B2 (en) | 2018-01-12 | 2022-07-27 | コニカミノルタ株式会社 | vital sensor and monitoring system |
| JP2021518791A (en)* | 2018-01-22 | 2021-08-05 | アップル インコーポレイテッドApple Inc. | Systems and methods for displaying aggregated health records |
| WO2020115958A1 (en)* | 2018-12-08 | 2020-06-11 | 株式会社FiNC Technologies | Health information provision system |
| JP2020091818A (en)* | 2018-12-08 | 2020-06-11 | 株式会社FiNC Technologies | Health information system |
| JP2020102213A (en)* | 2018-12-19 | 2020-07-02 | キヤノンメディカルシステムズ株式会社 | Medical information display device and medical information display system |
| JP7562252B2 (en) | 2018-12-19 | 2024-10-07 | キヤノンメディカルシステムズ株式会社 | Medical information display device and medical information display system |
| JPWO2020137061A1 (en)* | 2018-12-27 | 2021-11-11 | コニカミノルタ株式会社 | Information display method, program and information display device |
| JP7468363B2 (en) | 2018-12-27 | 2024-04-16 | コニカミノルタ株式会社 | Information display method, program, and information display device |
| US11404154B2 (en) | 2019-05-06 | 2022-08-02 | Apple Inc. | Activity trends and workouts |
| US12224051B2 (en) | 2019-05-06 | 2025-02-11 | Apple Inc. | Activity trends and workouts |
| US11791031B2 (en) | 2019-05-06 | 2023-10-17 | Apple Inc. | Activity trends and workouts |
| US11972853B2 (en) | 2019-05-06 | 2024-04-30 | Apple Inc. | Activity trends and workouts |
| US11842806B2 (en) | 2019-06-01 | 2023-12-12 | Apple Inc. | Health application user interfaces |
| US11527316B2 (en) | 2019-06-01 | 2022-12-13 | Apple Inc. | Health application user interfaces |
| US12362056B2 (en) | 2019-06-01 | 2025-07-15 | Apple Inc. | Health application user interfaces |
| US12002588B2 (en) | 2019-07-17 | 2024-06-04 | Apple Inc. | Health event logging and coaching user interfaces |
| US12400765B2 (en) | 2019-07-17 | 2025-08-26 | Apple Inc. | Health event logging and coaching user interfaces |
| US11266330B2 (en) | 2019-09-09 | 2022-03-08 | Apple Inc. | Research study user interfaces |
| US12127829B2 (en) | 2019-09-09 | 2024-10-29 | Apple Inc. | Research study user interfaces |
| US11923089B2 (en) | 2019-10-03 | 2024-03-05 | Canon Medical Systems Corporation | Diagnosis supporting system, diagnosis supporting apparatus, and diagnosis supporting method |
| JP7383440B2 (en) | 2019-10-03 | 2023-11-20 | キヤノンメディカルシステムズ株式会社 | Diagnostic support system, diagnostic support device and program |
| JP2021060648A (en)* | 2019-10-03 | 2021-04-15 | キヤノンメディカルシステムズ株式会社 | Diagnosis support system, diagnosis support device, and program |
| CN112614581A (en)* | 2019-10-03 | 2021-04-06 | 佳能医疗系统株式会社 | Diagnosis support system, diagnosis support device, and diagnosis support method |
| CN110974215A (en)* | 2019-12-20 | 2020-04-10 | 首都医科大学宣武医院 | Early warning system and method based on wireless ECG monitoring sensor group |
| CN110974216A (en)* | 2019-12-20 | 2020-04-10 | 首都医科大学宣武医院 | Remote control system of wireless electrocardiogram monitoring sensor |
| US11594330B2 (en) | 2020-06-02 | 2023-02-28 | Apple Inc. | User interfaces for health applications |
| US12198804B2 (en) | 2020-06-02 | 2025-01-14 | Apple Inc. | User interfaces for health applications |
| US11710563B2 (en) | 2020-06-02 | 2023-07-25 | Apple Inc. | User interfaces for health applications |
| US11482328B2 (en) | 2020-06-02 | 2022-10-25 | Apple Inc. | User interfaces for health applications |
| US12164748B2 (en) | 2020-08-31 | 2024-12-10 | Apple Inc. | User interfaces for logging user activities |
| US12001648B2 (en) | 2020-08-31 | 2024-06-04 | Apple Inc. | User interfaces for logging user activities |
| US11698710B2 (en) | 2020-08-31 | 2023-07-11 | Apple Inc. | User interfaces for logging user activities |
| WO2025169372A1 (en)* | 2024-02-07 | 2025-08-14 | オリンパスメディカルシステムズ株式会社 | Medical examination support method, health support method, medical examination support device, and health support device |
| Publication number | Publication date |
|---|---|
| JPWO2014006862A1 (en) | 2016-06-02 |
| JP6173316B2 (en) | 2017-08-02 |
| Publication | Publication Date | Title |
|---|---|---|
| JP6173316B2 (en) | Lifestyle-related disease improvement support system, lifestyle-related disease improvement support method, lifestyle-related disease improvement support computer program, and computer-readable recording medium storing a lifestyle-related disease improvement support computer program | |
| JP6440808B2 (en) | Personal management and monitoring of medical conditions | |
| US11610685B2 (en) | Methods and systems for cognitive behavioral therapy | |
| KR102457776B1 (en) | Presentation of physiological data | |
| JP6466422B2 (en) | Medical support system and method | |
| US20120302843A1 (en) | Health management support device, health management support system, and health management support program | |
| US20140235293A1 (en) | Personal Health Monitoring System | |
| US20140058742A1 (en) | Methods and systems for interactive implementation of medical guidelines | |
| CN104834827A (en) | Health data processing method and system based on terminal equipment and cloud computation storage | |
| JP6441556B2 (en) | Lifestyle-related disease improvement support device and control method thereof | |
| TWI433047B (en) | Online integrating system for anamnesis | |
| JP7076967B2 (en) | Data processing equipment, data processing method and data processing program | |
| WO2020017291A1 (en) | Medical questionnaire generation assist device, method and program | |
| WO2021260171A2 (en) | System and method for peri-anaesthetic risk evaluation | |
| JPWO2013157277A1 (en) | Lifestyle-related disease improvement support device and control method thereof | |
| JP7270207B2 (en) | Information processing method, program and information processing device | |
| JP6205761B2 (en) | Health support system, health support method and program | |
| KR101075596B1 (en) | Method and apparatus for providing diabetes management application | |
| US20140379365A1 (en) | Meaningful presentation of health results to determine necessary lifestyle changes | |
| TW201941215A (en) | Healthcare support system and management server | |
| CN111432712A (en) | Data processing device, data processing method, and data processing program | |
| CN116030939A (en) | Nutrition guidance device, system and method based on physical examination results | |
| TWM558438U (en) | Health management and counseling system combined with genetic testing | |
| JP6871639B2 (en) | Interview information input device, method, and program | |
| TW201928992A (en) | Health management and counseling system combined with genetic testing including an interactive device, a database, and a computing center |
| Date | Code | Title | Description |
|---|---|---|---|
| 121 | Ep: the epo has been informed by wipo that ep was designated in this application | Ref document number:13813084 Country of ref document:EP Kind code of ref document:A1 | |
| ENP | Entry into the national phase | Ref document number:2014523587 Country of ref document:JP Kind code of ref document:A | |
| NENP | Non-entry into the national phase | Ref country code:DE | |
| 122 | Ep: pct application non-entry in european phase | Ref document number:13813084 Country of ref document:EP Kind code of ref document:A1 |