Movatterモバイル変換


[0]ホーム

URL:


WO2013177425A1 - Temperature sensor for a leadless cardiac pacemaker - Google Patents

Temperature sensor for a leadless cardiac pacemaker
Download PDF

Info

Publication number
WO2013177425A1
WO2013177425A1PCT/US2013/042466US2013042466WWO2013177425A1WO 2013177425 A1WO2013177425 A1WO 2013177425A1US 2013042466 WUS2013042466 WUS 2013042466WWO 2013177425 A1WO2013177425 A1WO 2013177425A1
Authority
WO
WIPO (PCT)
Prior art keywords
temperature
temperature sensor
signal
housing
ptat
Prior art date
Application number
PCT/US2013/042466
Other languages
French (fr)
Inventor
Michiel Pertijs
Kenneth J. Carroll
Original Assignee
Nanostim, Inc.
Priority date (The priority date is an assumption and is not a legal conclusion. Google has not performed a legal analysis and makes no representation as to the accuracy of the date listed.)
Filing date
Publication date
Application filed by Nanostim, Inc.filedCriticalNanostim, Inc.
Publication of WO2013177425A1publicationCriticalpatent/WO2013177425A1/en

Links

Classifications

Definitions

Landscapes

Abstract

A leadless cardiac pacemaker comprises a hermetic housing, a power source disposed in the housing, at least two electrodes supported by the housing, a semiconductor temperature sensor disposed in the housing, and a controller disposed in the housing and configured to deliver energy from the power source to the electrodes to stimulate the heart based upon temperature information from the temperature sensor. In some embodiments, the sensor can be configured to sense temperature information within a predetermined range of less than 20 degrees C. The temperature sensor can be disposed in the housing but not bonded to the housing.

Description

TEMPERATURE SENSOR FOR A LEADLESS CARDIAC PACEMAKER
CROSS REFERENCE TO RELATED APPLICATIONS
[0001] This application is a continuation-in-part of pending U.S. Patent Application No. 13/272,092, filed October 12, 2011, entitled "Temperature Sensor for a Leadless Cardiac Pacemaker", and also claims the benefit of U.S. Provisional Patent Application No. 61/650,819, filed May 23, 2012, titled "Temperature Sensor for a Leadless Cardiac Pacemaker", the contents of which are incorporated by reference herein.
INCORPORATION BY REFERENCE
[0002] All publications and patent applications mentioned in this specification are herein incorporated by reference to the same extent as if each individual publication or patent application was specifically and individually indicated to be incorporated by reference.
BACKGROUND
[0003] Cardiac pacing by an artificial pacemaker provides an electrical stimulation of the heart when the heart's own natural pacemaker and/or conduction system fails to provide synchronized atrial and ventricular contractions at rates and intervals sufficient for a patient's health. Such antibradycardial pacing provides relief from symptoms and even life support for hundreds of thousands of patients.
[0004] The rate of stimulation provided by a pacemaker may need to be adjusted to match the level of the patient's physical activity. Prior rate responsive pacemakers have relied on, among other parameters, central venous temperature to indicate the need to adjust stimulation rates up or down. Prior devices often used temperature sensors connected to the pacemaker body by a lead extending from the pacemaker body's location outside of the heart to a temperature sensor located within the patient's heart. These devices typically include temperature sensors that are disposed directly in the blood stream of the patient. SUMMARY OF THE DISCLOSURE
[0005] A semiconductor temperature sensor is provided, comprising at least one bipolar transistor configured to generate a complimentary-to-absolute-temperature (CTAT) signal derived from a base-emitter voltage of the at least one bipolar transistor, first and second proportional-to-absolute-temperature (PTAT) signals derived from the at least one bipolar transistor, the first PTAT signal being equal to the CTAT signal at a first temperature, the second PTAT signal being equal to the CTAT signal at a second temperature, and an analog-to-digital converter (ADC) configured to covert the CTAT signal and the first and second PTAT signals into a digital temperature output signal, and a controller configured to scale the digital temperature output signal to represent a preferred temperature scale.
[0006] In some embodiments, the preferred temperature scale comprises a Celsius scale. In other embodiments, the preferred temperature scale comprises a Fahrenheit scale. In another embodiment, the preferred temperature scale comprises a Kelvin scale.
[0007] In some embodiments, the first and second PTAT signals are derived from a single bipolar transistor to which first and second bias currents are successively applied.
[0008] In one embodiment, the at least one bipolar transistor comprises a first bipolar transistor and a second bipolar transistor, wherein the first and second PTAT signals are derived from a difference in base-emitter voltages between the first and second bipolar transistors.
[0009] In another embodiment, the ADC comprises a charge-balancing ADC. In some embodiments, the charge-balancing ADC is configured to balance a charge accumulated proportional to the CTAT signal by negative feedback with a charge proportional to the first or second PTAT signals. In another embodiment, an intermediate signal in the charge-balancing ADC is configured to determine which of the first or second PTAT signals is used in the negative feedback path, such that a charge provided by the negative feedback path equals a charge provided by the CTAT signal. In another embodiment, an average value of the intermediate signal is equal to a relative value of the CTAT signal with respect to the first and second PTAT signals.
[00010] A method of measuring temperature with a semiconductor temperature sensor is also provided, comprising deriving a complimentary-to-absolute-temperature (CTAT) signal from a base-emitter voltage of at least one bipolar transistor,deriving first and second proportional-to- absolute-temperature (PTAT) signals from the at least one bipolar transistor, wherein the first PTAT signal is approximately equal to the CTAT signal at a first temperature, wherein the second PTAT signal is approximately equal to the CTAT signal at a second temperature, converting the CTAT signal and the first and second PTAT signals into a digital temperature output signal with an analog-to-digital converter (ADC), and scaling the digital temperature output signal to represent a preferred temperature scale.
[00011] In some embodiments, the method further comprises calibrating the semiconductor temperature sensor at a first temperature to establish an initial temperature error.
[00012] In another embodiment, the method further comprises correcting a bias current used to generate the CTAT signal to bring an initial temperature error within range of the ADC.
[00013] A leadless cardiac pacemaker is provided, comprising a hermetic housing configured to be implanted in a chamber of a human heart, a power source disposed in the housing, at least two electrodes supported by the housing, a semiconductor temperature sensor disposed in the housing, comprising, at least one bipolar transistor configured to generate a complimentary-to- absolute-temperature (CTAT) signal derived from a base-emitter voltage of at least one bipolar transistor, and first and second proportional-to-absolute-temperature (PTAT) signals derived from the at least one bipolar transistor, the first PTAT signal being equal to the CTAT signal at a first temperature, the second PTAT signal being equal to the CTAT signal at a second temperature, an analog-to-digital converter (ADC) configured to covert the CTAT signal and the first and second PTAT signals into a digital temperature output signal, a controller disposed in the housing and configured to deliver energy from the power source to the electrodes to stimulate the heart based on the digital temperature output signal from the semiconductor temperature sensor.
[00014] In some embodiments, the pacemaker further comprises a fixation helix adapted to attach the hermetic housing to the heart.
[00015] In another embodiment, the semiconductor temperature sensor is not bonded to the housing.
[00016] A leadless cardiac pacemaker is provided, comprising a hermetic housing configured to be implanted in a chamber of a human heart, a switched-bias power source disposed in the housing, at least two electrodes supported by the housing, a semiconductor temperature sensor comprising at least one bipolar transistor configured to generate a complimentary-to-absolute- temperature (CTAT) signal derived from a base-emitter voltage of at least one bipolar transistor, and first and second proportional-to-absolute-temperature (PTAT) signals derived from the at least one bipolar transistor, the first PTAT signal being generated by operating the at least one bipolar transistor at a first pair of current densities, the second PTAT signal being generated by operating the at least one bipolar transistor at a second pair of current densities, wherein a first ratio of the first pair of current densities differs from a second ratio of the second pair of current densities, an analog-to-digital converter (ADC) configured to covert the CTAT signal and the first and second PTAT signals into a digital temperature output signal, and a controller disposed in the housing and configured to deliver energy from the power source to the electrodes to stimulate the heart based upon the digital temperature output signal from the semiconductor temperature sensor.
[00017] In some embodiments, the pacemaker further comprises a fixation helix adapted to attach the hermetic housing to the heart.
[00018] In another embodiment, the semiconductor temperature sensor is not bonded to the housing.
[00019] A leadless cardiac pacemaker is provided, comprising a hermetic housing configured to be disposed in a chamber of a human heart, a power source disposed in the housing, at least two electrodes supported by the housing, a semiconductor temperature sensor disposed in the housing, the semiconductor temperature sensor being configured to sense temperature information within a predetermined range of less than 20 degrees C, and a controller disposed in the housing and configured to deliver energy from the power source to the electrodes to stimulate the heart based upon temperature information from the temperature sensor.
[00020] In one embodiment, the semiconductor temperature sensor is configured to sense temperature information within a predetermined range of less than 10 degrees C.
[00021] In another embodiment, the semiconductor temperature sensor is configured to sense temperature information within a predetermined range of 36 to 42 degrees C.
[00022] In an additional embodiment, the controller comprises an ASIC and the
semiconductor temperature sensor is incorporated into the ASIC.
[00023] In some embodiments, the semiconductor temperature sensor is configured to sense the temperature of blood surrounding the leadless cardiac pacemaker.
[00024] In one embodiment, the semiconductor temperature sensor is not bonded to the housing.
[00025] In some embodiments, the semiconductor temperature sensor includes a low- resolution analog-to-digital converter adapted to consume less than lOOnA of current at greater than 0.1 temperature samples per second.
BRIEF DESCRIPTION OF THE DRAWINGS
[00026] The novel features of the invention are set forth with particularity in the claims that follow. A better understanding of the features and advantages of the present invention will be obtained by reference to the following detailed description that sets forth illustrative
embodiments, in which the principles of the invention are utilized, and the accompanying drawings of which: [00027] Fig. 1 shows a leadless cardiac pacemaker including a temperature sensor.
[00028] Fig. 2 illustrates a temperature sensor disposed within a hermetic housing of a leadless cardiac pacemaker.
[00029] Fig. 3 illustrates a semiconductor temperature sensor integrated into an ASIC in a leadless cardiac pacemaker.
[00030] Fig. 4 illustrates another embodiment of a semiconductor temperature sensor integrated into an ASIC in a leadless cardiac pacemaker.
[00031] Figs. 5A and 5B illustrate one embodiment of a leadless cardiac pacemaker with a thermistors temperature sensor.
[00032] Fig. 6 is one embodiment of a thermal circuit for use in a leadless cardiac pacemaker.
[00033] Fig. 7 illustrates a thermal model based on the thermal circuit of Fig. 6.
[00034] Fig. 8 illustrates a thermal model based on one embodiment of the temperature sensor of Figs. 5A-5B.
[00035] Fig. 9 illustrates a thermal model based on another embodiment of the temperature sensor of Figs. 5A-5B.
[00036] Fig. 10 illustrates a thermal model based on yet another embodiment the temperature sensor of Figs. 5A-5B.
[00037] Fig. 11 illustrates a thermal model based on one embodiment of the temperature sensor of Figs. 5A-5B.
[00038] Fig. 12 illustrates a thermal model based on another embodiment of the temperature sensor of Figs. 5A-5B.
[00039] Fig. 13 is another embodiment of a thermal circuit for use in a leadless cardiac pacemaker.
[00040] Fig. 14 illustrates a thermal model based on the thermal circuit of Fig. 13.
[00041] Fig. 15 illustrates one embodiment of a semiconductor temperature sensor.
[00042] Fig. 16 shows a temperature range of coverage for the sensor of Fig. 15.
[00043] Fig. 17 shows a narrow-range semiconductor temperature sensor.
[00044] Fig. 18 shows a temperature range of coverage for the sensor of Fig. 17.
[00045] Fig. 19 shows another embodiment of a semiconductor temperature sensor.
[00046] Fig. 20 shows a semiconductor temperature sensor with a charge-balancing scheme.
[00047] Fig. 21 shows a non-linearity for a simulated implementation of one embodiment of a semiconductor temperature sensor.
[00048] Fig. 22 illustrates errors found in one embodiment of a semiconductor temperature sensor. [0004*#J Fig. 23 shows an example of the simulated residual error after such a course trim of the bias current is performed in combination with a digital offset correction.
DETAILED DESCRIPTION
[00050] This disclosure relates to a rate responsive leadless cardiac pacemaker or other leadless biostimulator. The leadless biostimulator can be implanted within a chamber of the patient's heart. The rate responsive leadless biostimulator can employ a temperature sensor, such as a digital output sensor having bipolar transistors, that is supported by the biostimulator housing. The leadless biostimulator of this disclosure can use the measured temperature to adjust the rate of its electrical stimulation signals.
[00051] In some embodiments, the leadless biostimulator may include a hermetic housing disposed in a chamber of a human heart, a battery disposed in the housing, at least two electrodes supported by the housing, a temperature sensor supported by the housing and a controller disposed in the housing. The controller can be adapted to sense intracardiac information using the two electrodes and to deliver stimulation energy from the battery to the electrode using temperature information from the temperature sensor. The temperature sensor may be supported by the leadless biostimulator housing in any manner consistent with the thermal time constant requirements of the system. The temperature sensor may be a thermistor or a semiconductor temperature sensor incorporated into the controller.
[00052] In order to use central venous temperature as the metabolic parameter for a rate response algorithm, the leadless biostimulator must be able to sense and respond to changes in central venous temperatures within a clinically significant period of time, such as less than 30 seconds. Since the leadless biostimulator will be disposed in contact with the patient's blood within the patient's heart, the biostimulator design must provide a heat conduction path from the blood to the temperature sensing element whose time constant is sufficiently small to allow the sensor to reach its final value within the chosen clinically significant time. Thus, for example, if the desired clinically significant time is 30 seconds, the thermal time constant of the temperature sensing components might be chosen to be 10 seconds.
[00053] Fig. 1 shows a leadless cardiac pacemaker or leadless biostimulator 1. Biostimulator 1 can include a housing 6 having a header section 2 made from an electrically insulating material and extending from hermetic can sections 3 and 4 made from, e.g., titanium. Can section 3 can be electrically insulated, and can section 4 may not insulated so that it can serve as an electrode. An electronics compartment within the can sections 3 and 4 can contain the electronic components necessary for operation of the biostimulator, including a battery and a controller. A helical fixation device 5 can extend through a passage in can 3 into and through header 2 as shown. In some embodiments, the fixation device 5 can comprise an electrode, and in other embodiments a distal electrode can be separate from the helical fixation device.
[00054] In the embodiment of Fig. 1, a thermistor 7 can be disposed in header 2. The thermistors can include at least two thermistors leads for electrically connecting the thermistors 7 to the controller of the leadless biostimulator. In this embodiment, at least one of the thermistor leads can extend through a feedthrough in can section 3 to a controller within the can. The other thermistor lead may be electrically connected to the can, or can alternatively pass through a feedthrough into the interior of the can. In this embodiment, thermistor 7 can be in contact with an interior surface of header 2 and thus can be in thermal contact with blood surrounding the biostimulator through header 2.
[00055] The controller inside housing 6 can be adapted to sense intracardiac information using electrodes 4 and 5 and to deliver stimulation energy from the battery to electrodes on the leadless biostimulator using temperature information from the thermistor 7. In some embodiments, the rate of stimulation provided by a pacemaker may need to be adjusted to match the level of the patient's physical activity or temperature. For example, the temperature information can determine the temperature of the patient and adjust the rate of stimulation to account for temperature variations due to fever or exercise.
[00056] In the embodiment of Fig. 2, the temperature sensor can be a thermistor 126 disposed within a hermetic can 100 of the housing. The hermetic can 100 can correspond, for example, to can sections 3 and 4 from Fig. 1. As shown in this cross-sectional view, thermistor 126 can be bonded so as to be thermally connected to an inside surface of hermetic can 100, and the thermistors can connect to ASIC controller 120 via leads 128 and ASIC substrate 124. Thus, thermistor 126 can be configured to sense the temperature of blood surrounding the biostimulator through housing 100. Other elements within hermetic can 100 include the ASIC substrate 124, other electronic components 122, and a battery (not shown). At least two electrodes can be supported by the housing as in the embodiment of Fig. 1. In some embodiments, the ASIC controller 120 can be adapted to sense intracardiac information using the electrodes and to deliver stimulation energy from the battery to one of the electrodes using temperature information from the thermistor 126.
[00057] In the embodiment of Fig. 3, the temperature sensor can be a semiconductor temperature sensor integrated into ASIC substrate 124. A thermally conductive pad 125 can extend from the temperature sensor in ASIC substrate 124 to an interior surface of hermetic can 100. Thus, the temperature sensor can sense the temperature of blood surrounding the biostimulator through hermetic can 100 with conductive pad 125. As in the embodiment of Fig. l, at least two electrodes can be supported by the housing. The ASIC controller 120 can be adapted to sense intracardiac information using the electrodes and to deliver stimulation energy from the battery to one of the electrodes using temperature information from the integrated temperature sensor.
[00058] The embodiment of Fig. 4 is similar to that of Fig. 3, but omits the thermally conductive pad. The ASIC controller 120 and substrate 124 can therefore be floating in, and not bonded to the hermetic can 100. Thus, the temperature sensor integrated into ASIC controller 120 can be configured to sense the temperature of blood surrounding the biostimulator via the thermal resistance between the ASIC controller 120 and the hermetic can 100. Similarly, in this embodiment, the ASIC controller 120 can be adapted to sense intracardiac information using the electrodes and to deliver stimulation energy from the battery to one of the electrodes using temperature information from the integrated temperature sensor.
[00059] In some embodiments, the semiconductor temperature sensor of Figs. 3-4 is a digital output sensor having bipolar transistors. The digital output sensor makes use of the temperature- dependent forward voltage of a bipolar transistor.
EXAMPLE 1
[00060] Tests were conducted to see how thermal response times compared among some of these embodiments. Figures 5A and 5B show a first prototype assembly having a housing 200 made from a tube capped off at ends 202 and 204 with silicone. The tube can be an 8mm stainless steel tube, for example. A thermistor 206 was encapsulated with cyanoacrylate to bond it to the inside of housing 200 within the silicone at end 204. Silicone grease was applied between the thermistor and the housing wall contact point. Wires 208 extending from thermistor 206 were insulated. The cavity 210 within housing 200 was filled with water. Housing 200 had a 7 mm diameter and 25.5 mm length. The silicone at end 204 extended 6.5 mm into housing 200.
[00061] Two beakers were filled with 500 ml of distilled water and immersed a thermistor in each beaker to monitor temperature. The second beaker was then placed on a hot plate/stirrer and the temperature was adjusted approximately 10°C higher than the first beaker. The stirrer ran to agitate the solution. The prototype assembly was immersed in the first beaker for at least 5 minutes and transferred the prototype assembly to the second beaker in less than 1 second. The temperature was recorded from all three sensors (one on each beaker and one on the prototype assembly) for a sample rate greater or equal to 1 second/sample for at least 1 minute after transferring the prototype assembly to the second beaker. It was verified that the temperature in the second beaker does not change by more than 5% during the course of the procedure. [00U6ZJ 1 he measured temperatures were compared with a thermal model based on the thermal circuit shown in Fig. 6. The results are shown in Fig. 7. The model time constants are derived by minimizing the RMS error in Tm(t) - Tt(t) over all time. For each experiment the derived time constants are given. In this case the thermal time constant between the bath and thermistor was determined to be 4.3 seconds.
[00063] Let: t = time since immersion in bath; Th = bath temperature; Tc = start temperature; Tm(t) = thermistor temperature, measured; Tt(t) = thermistor temperature, simulated; Te(t) = adhesive + silicone temperature, simulated; xbt = bath-to-thermistor time constant; tbe = bath-to- adhesive + silicone time constant; tte = thermistor-to-adhesive + silicone time constant.
[00064] Then:
Th - Tejt) -±
Th -Tc
Te(t) = Th - {Th -Tc) - e°
Th - Tt{t\) Tt{t\) - Te{t\)
Tt(t2) - Tt(t\) (t2 - t\)
rbt Tte
EXAMPLE 2
[00065] Another test was conducted using a prototype similar to that of Figs. 5A-5B but using much less cyanoacrylate adhesive to bond the thermistor to the can. The same test protocol was used as in Example 1. The results are shown in Fig. 8. The thermal time constant between the bath and thermistor was determined to be 3.0 seconds.
EXAMPLE 3
[00066] A test was conducted using the test protocol of Example 1 with a prototype similar to that of Figs. 5A-5B but filled with air instead of water. The results are shown in Fig. 9. The thermal time constant between the bath and thermistor was determined to be 4.0 seconds and therefore the thermal mass of the battery is not expected to greatly change these results.
EXAMPLE 4
[00067] A test was conducted using the test protocol of Example 1 with a prototype similar to that of Figs. 5A-5B but with an air gap between the silicone plug and the adhesive/thermistor, and using only a very small amount of cyanoacrylate adhesive to bond the thermistor to the can. The results are shown in Fig. 10. The thermal time constant between the bath and thermistor was determined to be 3.4 seconds. EXAMPLE 5
[00068] A test was conducted using the test protocol of Example 1 with a prototype similar to that of Figs. 5A-5B but with the thermistor floating in, not bonded to, the can and with the can filled with air instead of water. The results are shown in Fig. 11. The thermal time constant between the bath and thermistor was also determined to be 5.5 seconds.
EXAMPLE 6
[00069] A test was conducted using the test protocol of Example 1 with a prototype similar to that of Figs. 5A-5B but with the thermistor floating in the can, with the insulated wires leading from the thermistor contained within a straw to further insulate the wires from the bath temperature, and with the can filled with air instead of water. The results are shown in Fig. 12. The thermal time constant between the bath and thermistor was determined to be 11.8 seconds.
EXAMPLE 7
[00070] A test was conducted using the test protocol of Example 1 with a prototype similar to that of Figs. 5A-5B but with the thermistor bonded to a semiconductor chip within the can. The chip dimensions were 4 mm x 5 mm x 20 mils. The semiconductor/thermistor assembly was wrapped in one layer of polyimide tape, and the thermistor wires were thermally insulated from the bath using a straw. The can was filled with air, not with water. In this simulation, the model was altered to allow the semiconductor chip (simulating an ASIC) to gain heat from the bath at a first time constant, the thermistor to gain heat from the ASIC at a second time constant, and the thermistor to lose heat to the wires at a third time constant. The thermal model is shown in Fig. 13. The results of this test are shown in Fig. 14. The bath to ASIC time constant was determined to be 12.9 seconds. This test suggests that the thermal time constant between an integrated AISC thermal sensor with no specific thermal connection between the can and ASIC provides acceptable thermal results within the housing of a leadless cardiac pacemaker.
[00071] In some embodiments, the temperature sensor may be a thermistor, a semiconductor temperature sensor, or part of an ASIC containing the controller. The sensed temperature can be used by the leadless stimulator control circuitry to adjust a rate of electrical stimulation provided by the biostimulator to the patient's heart.
[00072] The temperature sensor may sense temperate in a range between 36°C to 42°C. The low end of the temperature range allows for normal body temperature (37°C), less circadian variations and less a dip in temperature due to exercise. The high end of the temperature range allows for normal body temperature, plus fever, plus the increase in temperature due to exercise. The resolution may be about 0.023°C. This represents better thanl/5111 of the smallest anticipated dip amplitude during exercise (0.15°C).
Semiconductor Temperature Sensor
[00073] One example of a semiconductor "smart" temperature sensors is shown in Fig. 15 as bipolar transistor temperature sensor 1500. Temperature sensor 1500 includes three bipolar transistors 1502a, 1502b, 1502c each connected to a current source. The bipolar transistors can be, for example, fabricated using CMOS integrated circuit (IC) technology. The temperature sensor can further include amplifier 1504 and analog-to-digital converter (ADC) 1506.
[00074] Most smart temperature sensors make use of the temperature-dependent forward voltage of a bipolar transistor, which contains two essential ingredients: the thermal voltage kT/q (where k is Boltzmann's constant, T, is the absolute temperature, and q is the charge of an electron) and the silicon bandgap voltage Vgo. The thermal voltage can be used to generate a voltage VPTAT that is proportional to absolute temperature (PTAT), while the bandgap voltage is the basis for generating a temperature-independent reference voltage VREF- In a semiconductor smart temperature sensor, a number of bipolar transistors can be combined with precision interface circuitry in an analog front-end to extract these voltages. A digital representation of the ratio of these voltages μ can then be determined by an ADC.
Figure imgf000013_0001
[00075] (Equation 1)
[00076] This ratio is a measure of the chip's temperature. It can be scaled to a digital output Dout that represents temperature on any preferred scale, such as the Celsius scale.
[00077] Referring to Fig. 15, the PTAT voltage is generated from the difference in base- emitter voltage Δ VBE between two bipolar transistors 1502a and 1502b biased at different current densities. If the ratio p of the bias currents and the ratio r of the emitter areas of the transistors are well-defined, this difference is accurately PTAT. It is, however, quite small (0.1-0.25 mV/K) and therefore is usually amplified by a factor a with amplifier 1504 to get a useful voltage
VPTAT- The factor a is chosen such that the decrease of VBE with increasing temperature is cancelled by the increase of VPTAT- The reference voltage is based on the absolute base-emitter voltage VBE of bipolar transistor 1502c, rather than on a difference. This voltage is
complimentary to absolute temperature (CTAT). Extrapolated to OK, it equals the silicon bandgap voltage of about 1.2V. From there, it decreases by about 2mV/K. To compensate for this decrease, a voltage α· AVBE is added to it, resulting in a voltage VREF that is essentially temperature-independent. Since VREF is nominally equal to the silicon bandgap voltage, such a reference is referred to as a bandgap reference.
[00078] A digital representation of the ratio of VPTAT and VREF, μ, can then be determined by an analog-to-digital converter 1506, varying from 0 to 1 over an extrapolated temperature range of approximately 600°C. For traditional digital output temperature sensors, the ratio μ is used as a measure of the chip's temperature. It can then be scaled to a digital output word Dout that represents temperature on a preferred scale, such as a Celsius scale.
[00079] A drawback to using the traditional digital output temperature sensor to sense changes in body temperature, however, is that the full scale of its output μ covers a temperature range of about 600°C, as shown in Fig. 16, while the biomedical temperature range of interest is much smaller. This large temperature range, in turn, means that a much higher resolution ADC is required to obtain a given temperature-sensing resolution than if the full scale would correspond to the biomedical range. This, in turn, translates into large power consumption by the sensor. For example, if the desired resolution were one tenth of a degree Celsius, then the ADC would be required to resolve 6000 steps, requiring approximately a 13-bit ADC. With a full scale that corresponds, for instance, to the range of 36°C to 42°C, in contrast, only 60 steps would have to be resolved, requiring approximately a 6-bit ADC, which would be less complex and would consume significantly less power than the 13 -bit ADC required by a conventional sensor.
[00080] Rather than digitizing a PTAT voltage with respect to a temperature-independent reference voltage (as in Figs. 15-16), a narrow-range temperature sensor 1700 as shown in Fig. 17 can be configured to digitize a CTAT voltage with respect to two suitably chosen PTAT reference levels, AVBEI and AVBE2- The ADC then produces a ratiometric output that equals:
Figure imgf000014_0001
[00081] (Equation 2)
[00082] Referring to Figs. 17-18, the sensitivity of first reference voltage, AVBEI, can be chosen such that its curve intersects with an attenuated VBE curve at the lower bound of the temperature range (for example, at 36°C). This can be done choosing an appropriate current- density ratio for the transistors that generate AVBEI · Likewise, the sensitivity of the second reference voltage, AVBE2, can be chosen such that it intersects with the attenuated VBE curve at the upper bound of the temperature range (for example, at 42°C). The appropriate current- density ratio to be chosen can depend on the factor with which VBE is attenuated. In one embodiment, current density ratios between 1:5 and 1:6 and an attenuation factor of 12 can lead to a temperature range of approximately 14°C. These parameters can be chosen to help accommodate fabrication tolerances. It should be understood that other combinations of ratios and attenuation factors can also be used. The VBE and two reference voltages can then be used to determine a new ratio, μηβνν.
[00083] The rationew can be used as a measure of the chip's temperature. As shown in Fig. 18, the ratio μηβνν is zero at the temperature where VBE CI is equal to AVBEI, which corresponds to the lower bound of the temperature range of interest. Further, the ratio equals one at the temperature where VBE a equals AVBE2> which corresponds to the upper bound of the temperature range. In between, μηε ν is an approximately linear function of temperature. As shown in Fig. 17, the μηβ\ν can then be scaled to a digital output Dout that represents temperature on a preferred scale, such as a Celsius scale.
[00084] With this arrangement at the input of the ADC 1706 in Fig. 17, the temperature sensor can be designed to sense temperature over a narrow temperature range instead of a range of approximately 600°C, as in the conventional arrangement shown in Figs. 15-16. For example, in Fig. 17, a narrow temperature range of approximately 6°C (from 36°C to 42°C) maps onto the range of the ADC. Thus, the ADC's resolution requirement can be relaxed by about two orders of magnitude, which in many ADC implementations translates into significant reduction of power consumption.
[00085] Thus, the semiconductor temperature sensor 1700 in Fig. 17 can be used with the pacemakers described herein to digitize a signal complementary to absolute temperature (CTAT) with respect to two reference signals that are proportional to absolute temperature (PTAT) to sense temperature over a narrow, predetermined temperature range. This is in contrast to a traditional sensor that digitizes a PTAT voltage with respect to a temperature-independent reference voltage.
[00086] In contrast to traditional digital output sensors, the semiconductor temperature sensor used with the Ieadless cardiac pacemakers described herein can be designed to read temperatures along small, predetermined temperature ranges corresponding to temperatures found in the human body. Thus, for example, the temperature sensor can be configured to read temperatures between 36°C to 42°C, which corresponds approximately to human body temperatures. The low end of the temperature range allows for normal body temperature (37°C), less circadian variations and less a dip in temperature that can be caused by exercise. The high end of the temperature range allows for normal body temperature, plus fever, plus the increase in temperature due to exercise. Utilizing temperature sensors with a small, predetermined temperature sensing range lowers the resolution requirement of the ADC, and therefore lowers power consumption by the sensor. [00087] Advantageously, by having a lower temperature range relative to a traditional temperature sensor, the temperature-sensing resolution of the system can be increased for an
ADC with a given resolution, and/or the power consumption can be decreased by employing a lower-resolution ADC. For example, the resolution of the temperature sensor can be between 0.005°C and 0.01°C, such as approximately 0.025"C or 0.023°C. This resolution represents better thanl/S* of the smallest anticipated dip amplitude during exercise (0.15°C). Further, the temperature sensor can consume less than lOOnA of current at greater than 0.1 temperature samples per second, such as approximately 50nA at 0.2 samples per second.
[00088] A specific implementation of a temperature sensor 1900 is shown in Fig. 19. The temperature sensor of Fig. 19 includes a charge-balancing ADC 1902, such as a first-order delta- sigma modulator. Under control of a clock signal elk, the modulator produces a bitstream output bs, which is a sequence of zeros and ones of which the average value equals the μηεν/ given by Equation 2. The difference between VBE CI and either AVBEI or AVBE2 is integrated, depending on whether the bitstream output bs of the modulator equals 0 or 1, respectively. The polarity of the output of the integrator is detected every clock cycle by a comparator, the output of which is the bitstream. The feedback in this modulator is organized in such a way that the integrator's output is driven towards zero. As a result, the integrator's output is bounded, which means that, on average, the input of the integrator must be zero, as shown in equation 3:
V« "-
Figure imgf000016_0001
0(Eqmtion 3) where μηενν is the fraction of time in which the bitstream is one. Solving for μηβν/ results in the desired function given by Equation 2. A simple counter that counts the number of ones in the bitstream can be used to produce a multi-bit binary output proportional to μηενν· With appropriate scaling, this output can be translated into a temperature reading in any desired format, such as degrees Celsius.
[00089] Advantageously, by using the charge-balancing ADC shown in Fig. 19, only one summation node is required, which can be implemented by successive integration of VBE and AVBE- If the integrator is implemented using switched-capacitor techniques, the factor a can be implemented by scaled sampling capacitors. This leads to a simpler and potentially more accurate implementation than an implementation based on multiple summation nodes. Further, the charge-balancing scheme shown in Fig. 19 requires fewer cycles to get the desired temperature reading than a conventional charge-balancing scheme implementing a conventional temperature sensor. Fewer cycles in turn reduces the power required to run the temperature sensor. [00090] Although Fig. 19 is described with reference to a first-order delta-sigma modulator, other ADCs that operate based on charge-balancing can be used, including higher-order delta- sigma converters, duty-cycle modulators, period modulators, and frequency modulators.
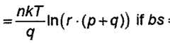
[00091] Another specific embodiment of a temperature sensor having a charge-balancing scheme with feedback in the bias-current ratio is shown in Fig. 20 as temperature sensor 2000. The two AVBE voltages, only one of which is needed at a time, are generated by a single pair of substrate bipolar transistors 2002a and 2002b with an emitter-area ratio r : 1 (r > 1). Depending on the bitstream bs, these transistors are biased at a 1 : p bias-current ratio (bs = 1) or a 1 : (p + q) bias-current ratio (bs = 0 . This leads to a difference in base-emitter voltages AVBE given by:
Figure imgf000017_0001
nkJ In(r - p) f bs =
L q (Equation 4)
Rather than scaling VBE by a factor of 1/a, as described with reference to Fig. 17, AVBE can be amplified by a factor of a for simplicity. In one embodiment based on switched-capacitor techniques, the scale factor a can be implemented by means of ratioed sampling capacitors. By an appropriate choice of the current ratios p and q and the scale factor a, the lower and upper bounds of the temperature range can be adjusted.
[00092] Although Fig. 20 shows three bipolar transistors to generate VBE and AVBE, the same can be achieved with two or even only one bipolar transistor, as different bias currents can be successively applied to the same transistor.
[00093] An alternative approach to the feedback arrangement of Fig. 20 would be to use a fixed bias-current ration 1 : p and to switch the scale factor a between two values <xi and a2 depending on the bitstream. However, by using the bias-current-ratio feedback arrangement shown in Fig. 20, smaller ratios p and q than the equivalent ratios <xi and a2 are advantageously produced. Such smaller ratios are easier to implement accurately on a chip, in the sense that the associated components (current sources and capacitors, respectively) are easier to lay-out in a way that ensures good matching.
[00094] Equation 2 is a non-linear function of temperature. Fig. 21 shows the systematic non- linearity for a simulated implementation of a temperature sensor as described herein. When the temperature range of interest is sufficiently narrow, the non-linearity is typically negligible and need not be compensated for. If necessary, a simple quadratic correction in the digital domain can be applied.
[00095] Similar to any temperature sensor based on bipolar transistors, the temperature sensor described herein will be sensitive to production tolerances on the characteristics of these devices, in particular on their saturation current, and to tolerances on the bias currents in the circuit. These currents can typically vary by several tens of percent, resulting in errors of several degrees, as shown in Fig. 22.
[00096] The resulting variation of the output of the sensor can be corrected for by a simple digital offset correction. Based on a calibration at a suitably chosen temperature, e.g. 37°C, the initial error can be determined and store in non-volatile memory. After this calibration step, this stored correction value will be subtracted from subsequent measurements.
[00097] In some embodiments, the errors due to process tolerances can be so large that they saturate the ADC output within the temperature range of interest, which makes compensation with a digital offset difficult. To prevent such errors, a course adjustment of the bias current used for generating VBE can be included (i.e., current source h in Fig. 20). Typically, only a few trim steps are sufficient to guarantee that the remaining errors within the temperature range of interest can be corrected digitally. Fig. 23 shows an example of the simulated residual error after such a course trim of the bias current is performed in combination with a digital offset correction.
[00098] For all of the temperature sensors described herein, the sensed temperature can be used by the leadless stimulator control circuitry to adjust a rate of electrical stimulation provided by the biostimulator to the patient's heart.
[00099] Specific methods, devices, and materials may be described in this application, but any methods and materials similar or equivalent to those described herein can be used in the practice of the present invention. While embodiments of the invention have been described in some detail and by way of exemplary illustrations, such illustration is for purposes of clarity of understanding only, and is not intended to be limiting. Various terms have been used in the description to convey an understanding of the invention; it will be understood that the meaning of these various terms extends to common linguistic or grammatical variations or forms thereof.
It will also be understood that when terminology referring to devices, equipment, or drugs that have been referred to by trade names, brand names, or common names, that these terms or names are provided as contemporary examples, and the invention is not limited by such literal scope.
Terminology that is introduced at a later date that may be reasonably understood as a derivative of a contemporary term or designating of a hierarchal subset embraced by a contemporary term will be understood as having been described by the now contemporary terminology. Further, while some theoretical considerations have been advanced in furtherance of providing an understanding of the invention, the claims to the invention are not bound by such theory.
Moreover, any one or more features of any embodiment of the invention can be combined with any one or more other features of any other embodiment of the invention, without departing from the scope of the invention. Still further, it should be understood that the invention is not limited to the embodiments that have been set forth for purposes of exemplification, but is to be defined only by a fair reading of claims that are appended to the patent application, including the full range of equivalency to which each element thereof is entitled.

Claims

WHAT IS CLAIMED IS: 1. A semiconductor temperature sensor, comprising:
at least one bipolar transistor configured to generate:
a complimentary-to-absolute-temperature (CTAT) signal derived from a base-emitter voltage of the at least one bipolar transistor;
first and second proportional-to-absolute-temperature (PTAT) signals derived from the at least one bipolar transistor, the first PTAT signal being equal to the CTAT signal at a first temperature, the second PTAT signal being equal to the CTAT signal at a second temperature;
an analog-to-digital converter (ADC) configured to covert the CTAT signal and the first and second PTAT signals into a digital temperature output signal; and
a controller configured to scale the digital temperature output signal to represent a preferred temperature scale.
2. The semiconductor temperature sensor of claim 1 wherein the preferred temperature scale comprises a Celsius scale.
3. The semiconductor temperature sensor of claim 1 wherein the preferred temperature scale comprises a Fahrenheit scale.
4. The semiconductor temperature sensor of claim 1 wherein the preferred temperature scale comprises a Kelvin scale.
5. The semiconductor temperature sensor of claim 1 wherein the first and second PTAT signals are derived from a single bipolar transistor to which first and second bias currents are successively applied.
6. The semiconductor temperature sensor of claim 1 wherein the at least one bipolar transistor comprises a first bipolar transistor and a second bipolar transistor, wherein the first and second PTAT signals are derived from a difference in base-emitter voltages between the first and second bipolar transistors.
7. The semiconductor temperature sensor of claim 1 wherein the ADC comprises a charge- balancing ADC.
8. The semiconductor temperature sensor of claim 7 wherein the charge-balancing ADC is configured to balance a charge accumulated proportional to the CTAT signal by negative feedback with a charge proportional to the first or second PTAT signals.
9. The semiconductor temperature sensor of claim 8 wherein an intermediate signal in the charge-balancing ADC is configured to determine which of the first or second PTAT signals is used in the negative feedback path, such that a charge provided by the negative feedback path equals a charge provided by the CTAT signal.
10. The semiconductor temperature sensor of claim 9 wherein an average value of the intermediate signal is equal to a relative value of the CTAT signal with respect to the first and second PTAT signals.
11. A method of measuring temperature with a semiconductor temperature sensor, comprising:
deriving a complimentary-to-absolute-temperature (CTAT) signal from a base-emitter voltage of at least one bipolar transistor;
deriving first and second proportional-to-absolute-temperature (PTAT) signals from the at least one bipolar transistor, wherein the first PTAT signal is approximately equal to the CTAT signal at a first temperature, wherein the second PTAT signal is approximately equal to the CTAT signal at a second temperature;
converting the CTAT signal and the first and second PTAT signals into a digital temperature output signal with an analog-to-digital converter (ADC); and
scaling the digital temperature output signal to represent a preferred temperature scale.
12. The method of claim 11 further comprising calibrating the semiconductor temperature sensor at a first temperature to establish an initial temperature error.
13. The method of claim 11 further comprising correcting a bias current used to generate the CTAT signal to bring an initial temperature error within range of the ADC.
14. A leadless cardiac pacemaker comprising:
a hermetic housing configured to be implanted in a chamber of a human heart;
a power source disposed in the housing;
at least two electrodes supported by the housing;
a semiconductor temperature sensor disposed in the housing, comprising:
at least one bipolar transistor configured to generate a complimentary-to-absolute- temperature (CTAT) signal derived from a base-emitter voltage of at least one bipolar transistor, and first and second proportional-to-absolute-temperature (PTAT) signals derived from the at least one bipolar transistor, the first PTAT signal being equal to the CTAT signal at a first temperature, the second PTAT signal being equal to the CTAT signal at a second temperature;
an analog-to-digital converter (ADC) configured to covert the CTAT signal and the first and second PTAT signals into a digital temperature output signal;
a controller disposed in the housing and configured to deliver energy from the power source to the electrodes to stimulate the heart based on the digital temperature output signal from the semiconductor temperature sensor.
15. The leadless cardiac pacemaker of claim 14 further comprising a fixation helix adapted to attach the hermetic housing to the heart.
16. The leadless cardiac pacemaker of claim 14 wherein the semiconductor temperature sensor is not bonded to the housing.
17. A leadless cardiac pacemaker comprising:
a hermetic housing configured to be implanted in a chamber of a human heart;
a switched-bias power source disposed in the housing;
at least two electrodes supported by the housing;
a semiconductor temperature sensor comprising:
at least one bipolar transistor configured to generate a complimentary-to-absolute- temperature (CTAT) signal derived from a base-emitter voltage of at least one bipolar transistor, and first and second proportional-to-absolute-temperature (PTAT) signals derived from the at least one bipolar transistor, the first PTAT signal being generated by operating the at least one bipolar transistor at a first pair of current densities, the second PTAT signal being generated by operating the at least one bipolar transistor at a second pair of current densities, wherein a first ratio of the first pair of current densities differs from a second ratio of the second pair of current densities;
an analog-to-digital converter (ADC) configured to covert the CTAT signal and the first and second PTAT signals into a digital temperature output signal; and a controller disposed in the housing and configured to deliver energy from the power source to the electrodes to stimulate the heart based upon the digital temperature output signal from the semiconductor temperature sensor.
18. The leadless cardiac pacemaker of claim 17 further comprising a fixation helix adapted to attach the hermetic housing to the heart.
19. The leadless cardiac pacemaker of claim 17 wherein the semiconductor temperature sensor is not bonded to the housing.
20. . A leadless cardiac pacemaker comprising:
a hermetic housing configured to be disposed in a chamber of a human heart;
a power source disposed in the housing;
at least two electrodes supported by the housing;
a semiconductor temperature sensor disposed in the housing, the semiconductor temperature sensor being configured to sense temperature information within a predetermined range of less than 20 degrees C; and
a controller disposed in the housing and configured to deliver energy from the power source to the electrodes to stimulate the heart based upon temperature information from the temperature sensor.
21. The leadless cardiac pacemaker of claim 20 wherein the semiconductor temperature sensor is configured to sense temperature information within a predetermined range of less than 10 degrees C.
22. The leadless cardiac pacemaker of claim 20 wherein the semiconductor temperature sensor is configured to sense temperature information within a predetermined range of 36 to 42 degrees C.
23. The leadless cardiac pacemaker of claim 20 wherein the controller comprises an ASIC and the semiconductor temperature sensor is incorporated into the ASIC.
24. The leadless cardiac pacemaker of claim 20 wherein the semiconductor temperature sensor is configured to sense the temperature of blood surrounding the leadless cardiac pacemaker.
25. The leadless cardiac pacemaker of claim 20 wherein the semiconductor temperature sensor is not bonded to the housing.
26. The leadless cardiac pacemaker of claim 20 wherein the semiconductor temperature sensor includes a low-resolution analog-to-digital converter adapted to consume less than lOOnA of current at greater than 0.1 temperature samples per second.
PCT/US2013/0424662012-05-232013-05-23Temperature sensor for a leadless cardiac pacemakerWO2013177425A1 (en)

Applications Claiming Priority (2)

Application NumberPriority DateFiling DateTitle
US201261650819P2012-05-232012-05-23
US61/650,8192012-05-23

Publications (1)

Publication NumberPublication Date
WO2013177425A1true WO2013177425A1 (en)2013-11-28

Family

ID=49624348

Family Applications (1)

Application NumberTitlePriority DateFiling Date
PCT/US2013/042466WO2013177425A1 (en)2012-05-232013-05-23Temperature sensor for a leadless cardiac pacemaker

Country Status (1)

CountryLink
WO (1)WO2013177425A1 (en)

Cited By (4)

* Cited by examiner, † Cited by third party
Publication numberPriority datePublication dateAssigneeTitle
WO2016154132A1 (en)*2015-03-202016-09-29Texas Instruments IncorporatedBandgap voltage generation
CN108106747A (en)*2017-12-182018-06-01深圳大学A kind of temperature sensor based on capacitive digital converter
IT201800004496A1 (en)*2018-04-132019-10-13 SENSOR CIRCUIT, CORRESPONDING SYSTEM AND PROCEDURE
EP3859974A1 (en)*2020-01-312021-08-04STMicroelectronics International N.V.Controlled curvature correction in high accuracy thermal sensor

Citations (6)

* Cited by examiner, † Cited by third party
Publication numberPriority datePublication dateAssigneeTitle
US5655305A (en)*1995-04-031997-08-12Fletcher; Taylor C.High precision electronic digital thermometer
US20060190210A1 (en)*2005-02-222006-08-24Micron Technology, Inc.DRAM temperature measurement system
US20060267127A1 (en)*2005-05-252006-11-30Samsung Electronics Co., Ltd.Semiconductor temperature sensor capable of adjusting sensed temperature
US20070088400A1 (en)*2005-10-142007-04-19Jacobson Peter MRate responsive leadless cardiac pacemaker
EP2295944A2 (en)*2009-09-092011-03-16Nxp B.V.Temperature sensor
US20120089198A1 (en)*2010-10-122012-04-12Alan OstroffTemperature Sensor for a Leadless Cardiac Pacemaker

Patent Citations (6)

* Cited by examiner, † Cited by third party
Publication numberPriority datePublication dateAssigneeTitle
US5655305A (en)*1995-04-031997-08-12Fletcher; Taylor C.High precision electronic digital thermometer
US20060190210A1 (en)*2005-02-222006-08-24Micron Technology, Inc.DRAM temperature measurement system
US20060267127A1 (en)*2005-05-252006-11-30Samsung Electronics Co., Ltd.Semiconductor temperature sensor capable of adjusting sensed temperature
US20070088400A1 (en)*2005-10-142007-04-19Jacobson Peter MRate responsive leadless cardiac pacemaker
EP2295944A2 (en)*2009-09-092011-03-16Nxp B.V.Temperature sensor
US20120089198A1 (en)*2010-10-122012-04-12Alan OstroffTemperature Sensor for a Leadless Cardiac Pacemaker

Cited By (10)

* Cited by examiner, † Cited by third party
Publication numberPriority datePublication dateAssigneeTitle
WO2016154132A1 (en)*2015-03-202016-09-29Texas Instruments IncorporatedBandgap voltage generation
US9651980B2 (en)2015-03-202017-05-16Texas Instruments IncorporatedBandgap voltage generation
CN107209528A (en)*2015-03-202017-09-26德州仪器公司Band gap voltage is produced
CN107209528B (en)*2015-03-202019-05-07德州仪器公司Band gap voltage generates
CN108106747A (en)*2017-12-182018-06-01深圳大学A kind of temperature sensor based on capacitive digital converter
CN108106747B (en)*2017-12-182024-02-02深圳大学Temperature sensor based on capacitance-to-digital converter
IT201800004496A1 (en)*2018-04-132019-10-13 SENSOR CIRCUIT, CORRESPONDING SYSTEM AND PROCEDURE
US10866146B2 (en)2018-04-132020-12-15Stmicroelectronics S.R.L.Sensor circuit, corresponding system and method
EP3859974A1 (en)*2020-01-312021-08-04STMicroelectronics International N.V.Controlled curvature correction in high accuracy thermal sensor
US11892360B2 (en)2020-01-312024-02-06STMicroelectron nternational N.V.Controlled curvature correction in high accuracy thermal sensor

Similar Documents

PublicationPublication DateTitle
US9687655B2 (en)Temperature sensor for a leadless cardiac pacemaker
US8543205B2 (en)Temperature sensor for a leadless cardiac pacemaker
CA2463907C (en)Implantable sensor electrodes and electronic circuitry
CN101078656B (en)Thermometer calibration
WO2013177425A1 (en)Temperature sensor for a leadless cardiac pacemaker
US5564434A (en)Implantable capacitive absolute pressure and temperature sensor
JP2786943B2 (en) Implantable capacitive absolute pressure and temperature monitoring system
CN109310360B (en)Measurement of skin conductance
Daschner et al.Laboratory and clinical reliability of conformally coated subretinal implants
Dahan et al.Moisture ingress into packages with walls of varying thickness and/or properties: A simple calculation method
Chou et al.Wireless, multi-sensor system-on-chip for pH and amperometry powered by body heat
Newman et al.An in-dwelling electrode for in-vivo measurement of the pH of dental plaque in man
Kochan et al.Ad-hoc temperature measurements using a thermistor
Liu et al.An implantable stimulator with safety sensors in standard cmos process for active books
Ruedi et al.Interface circuit for metal-oxide gas sensor
US3872727A (en)Disposable electrical thermometer system and components
Ghoreishizadeh et al.Sub-mW reconfigurable interface IC for electrochemical sensing
Zheng et al.A CMOS temperature sensor with single-point calibration for retinal prosthesis
Hafliger et al.Analog to interval encoder with active use of gate leakage for an implanted blood-sugar sensor
Pertijs et al.Precision interface electronics for a CMOS smart temperature sensor
Das et al.Design Validation and Performance Investigation of Signal Conditioning Circuit for Capacitive Sensor
Islam et al.A potentiostat circuit for multiple implantable electrochemical sensors
Mounaim et al.Long-term monitoring of electrochemical parameters from stimulated neural tissues
Puers et al.Towards the limits in detecting low-level strain with multiple piezo-resistive sensors
Baccei et al.An Analog Front-End for a Noninvasive Core Body Temperature Sensor

Legal Events

DateCodeTitleDescription
121Ep: the epo has been informed by wipo that ep was designated in this application

Ref document number:13794746

Country of ref document:EP

Kind code of ref document:A1

NENPNon-entry into the national phase

Ref country code:DE

122Ep: pct application non-entry in european phase

Ref document number:13794746

Country of ref document:EP

Kind code of ref document:A1


[8]ページ先頭

©2009-2025 Movatter.jp