Movatterモバイル変換


[0]ホーム

URL:


WO2013167743A1 - Use of compounds for the treatment of pain - Google Patents

Use of compounds for the treatment of pain
Download PDF

Info

Publication number
WO2013167743A1
WO2013167743A1PCT/EP2013/059752EP2013059752WWO2013167743A1WO 2013167743 A1WO2013167743 A1WO 2013167743A1EP 2013059752 WEP2013059752 WEP 2013059752WWO 2013167743 A1WO2013167743 A1WO 2013167743A1
Authority
WO
WIPO (PCT)
Prior art keywords
pain
compound
group
amino
methyl
Prior art date
Application number
PCT/EP2013/059752
Other languages
French (fr)
Inventor
Henrik Nilsson
Shane Mcmanus
Arif MUHAMED
Original Assignee
Akron Molecules Gmbh
Priority date (The priority date is an assumption and is not a legal conclusion. Google has not performed a legal analysis and makes no representation as to the accuracy of the date listed.)
Filing date
Publication date
Application filed by Akron Molecules GmbhfiledCriticalAkron Molecules Gmbh
Priority to EP13721770.9ApriorityCriticalpatent/EP2846788A1/en
Priority to JP2015510836Aprioritypatent/JP2015520144A/en
Priority to AU2013257951Aprioritypatent/AU2013257951A1/en
Publication of WO2013167743A1publicationCriticalpatent/WO2013167743A1/en

Links

Classifications

Definitions

Landscapes

Abstract

The present invention relates to new therapies to treat pain and related diseases, as well as pharmaceutical compounds for use in said therapies.

Description

Use of compounds for the treatment of pain
The present invention relates to the field of method of treatment of pain and the provision of pharmaceutical compounds suitable for such treatments.
Acute and chronic pain affects millions of people after in¬ jury or surgery and those suffering from diseases like arthritis, cancer, and diabetes. Nociception (the detection of noxious or damaging stimuli) serves a crucial biological purpose: it alerts living organisms to environmental dangers, inducing the sensation of pain, reflex withdrawal and complex behavioural and emotional responses, which protect the organism from further damage. Noxious stimuli are detected by specialized high thresh¬ old primary sensory neurons (nociceptors) , which transfer sig¬ nals to the spinal cord and then transmit them to the brain for higher level processing that results in the conscious awareness of the sensation called pain. The functional importance of pain perception is exemplified by individuals with defects in noci¬ ception; patients with congenital insensitivity to pain do not survive past their twenties.
Two basic types of pain can be distinguished - acute and chronic. Acute or nociceptive pain is generally self-limiting and serves a protective biological function by warning of on¬ going tissue damage caused by noxious chemical, thermal and me¬ chanical stimuli. Examples of nociceptive pain include: post¬ operative pain, pain associated with trauma, and the pain asso¬ ciated with arthritis. Chronic pain, on the other hand, serves no protective biological function, and reflects either poor res¬ olution of the painful stimuli, or is itself a disease process. Chronic pain is unrelenting and not self-limiting and can persist for years and even decades after the initial injury. Chron¬ ic pain is predominantly neuropathic in nature and may involve damage either to the peripheral or central nervous systems.
Chronic pain may, however, also be nociceptive, such as inflam¬ matory in nature. Furthermore, chronic pain may also be mixed nociceptive and neuropathic. Finally, chronic pain may also be of a central origin, deriving from processes/conditions in the central or peripheral nervous system, such as e.g. post stroke pain or post-amputation pain/phantom limb pain, which may, however, also be considered neuropathic in nature. Currently available therapies for pain have a number of dis¬ advantages, which warrant the development of new therapies for the treatment, prevention and/or reduction of pain. The disadvantages are different for the different classes of available drugs. Use of non-steroidal anti-inflammatory drugs (NSAIDs) in¬ creases the risk of gastrointestinal (GI) bleeding and impaired renal function or renal failure as well as cardiovascular (CV) disease, μ-opioid receptor agonists (opioids and opiates) carry the risk of addiction, as well as respiratory depression and constipation. Anti-depressants (e.g. tricyclic anti-depressants (TCAs) , such as nortriptyline and desipramine, as well as the selective serotonin norepinephrine reuptake inhibitors (SSNRIs) , including e.g. venlafaxaine) may have a negative impact on car¬ diac function or, as in the case of the SSNRI duloxetine, may induce nausea. Anti-convulsants , such as pregabalin and gapa- bentin, can induce somnolence. The disadvantage for any of the existing available drugs may also be related to limited efficacy in treating and/or preventing pain.
It is a goal of the present invention to provide methods of preventing, treating, ameliorating or suppressing pain, in particular by the use of novel compounds for this purpose.
The present invention therefore provides the use of new classes of compounds for the treatment, prevention or reduction of pain. The present invention also provides a method of treat¬ ing pain in a subject comprising the administration of a therapeutic compound selected from the inventive compounds. In a re¬ lated aspect the present invention provides the use of a com¬ pound of the invention for the manufacture of an analgesic or a medicament for the treatment of pain in a subject. The invention is further defined by the subject matter of the claims. The com¬ pounds of the invention are e.g. given in the claims and in the tables herein.
The compounds according to the invention are contemplated to have advantages in that they have less side effects as deter¬ mined by one or several of the side effects listed above for one or more of the available therapies. Less side effects can be as¬ sessed e.g. either in terms of reduced severity and/or reduced frequency of side effects. Such reduced side effects can e.g. be less somnolence c.f. anti-convulsants, fewer or less frequent cardiovascular side effects c.f. anti-depressants, less addic- tion potential c.f. μ-opioid receptor agonists, less GI bleeding c.f. NSAIDs etc.
Alternatively, the compounds according to the invention are contemplated to have improved efficacy c.f. the available thera¬ pies. Improved efficacy can e.g. be determined as a greater num¬ ber of responders or greater magnitude of efficacy c.f. one or several of the existing therapies.
In a further embodiment, the compounds according to the in¬ vention are contemplated to have both reduced side effects and improved efficacy c.f. available therapies.
In particular, selected pain subtypes can be specifically treated by the inventive compounds.
Example inventive compounds are selected from the groups of a) nucleotide analogues, b) nucleoside analogues, c) compounds that interact with DNA polymerase, or d) compounds that interact with DNA. In the following tables 1, 2 and 3 the inventive com¬ pounds or salts thereof are identified by their unique CAS num¬ ber (Chemical Abstracts Service, www.cas.org). The invention in¬ cludes any salt form of the given compounds, but preferably re¬ lates to the exact salt form as given in the tables. Table 3 re¬ fers to both table 3a and 3b. Further inventive compounds are defined as derivatives of a given formula as described below the tables .
Table 1: Adefovir and Tenofovir derivatives (CAS number)
1000271-66-8 1026368-64-8 118552-93-5 3768-14-7
1000271-70-4 1034684-26-8 182798-75-0 142341-05-7
1000272-10-5 1034684-27-9 184350-33-2 142341-04-6
1000272-12-7 1034684-29-1 184350-32-1 124076-74-0
1001254-18-7 1034684-30-4 182799-00-4 186345-42-6
1001254-20-1 1072095-06-7 113852-35-0 7292-42-4
1001254-60-9 1082741-23-8 147127-15-9 180587-75-1
1002339-71-0 1135389-73-9 441785-21-3 206646-04-0
1004956-31-3 1135389-75-1 182799-03-7 116384-53-3
1004956-37-9 1135389-79-5 135295-28-2 441785-25-7
1004956-38-0 1135389-83-1 182798-87-4 206184-49-8
1004956-39-1 1174936-58-3 147127-16-0 113852-37-2
1010415-54-9 1174936-59-4 402575-05-7 114088-58-3 1016647-26-9 118553-04-1 147127-17-1 444805-28-1
1016647-27-0 118580-13-5 182798-94-3 149394-66-1
1016647-28-1 1204478-99-8 166403-66-3 1239618-19-9
1016968-33-4 1245542-30-6 182798-89-6 1239618-20-2
1029865-70-0 1245542-31-7 182415-40-3 1239618-22-4
1029865-73-3 1245542-32-8 182798-88-5 1239618-24-6
1030137-98-4 1245542-34-0 182798-76-1 1239618-25-7
1031705-73-3 1245542-37-3 182798-98-7 1239618-28-0
1031705-74-4 1252577-04-0 182799-08-2 1239618-29-1
1044748-23-3 1254203-56-9 160616-17-1 1239618-30-4
1044748-24-4 1258056-86-8 184349-94-8 210990-00-4
107021-20-5 1258056-91-5 141110-66-9 210990-01-5
1092383-86-2 1258056-93-7 184350-30-9 211037-62-6
1092383-87-3 1258056-95-9 182799-14-0 211038-08-3
1092383-88-4 1258056-97-1 160616-15-9 211038-09-4
1164197-08-3 1262544-94-4 182798-95-4 1082741-24-9
1164197-13-0 1262544-98-8 182798-83-0 201341-01-7
1164197-41-4 1296194-74-5 142341-08-0 201341-03-9
1164197-43-6 1296194-75-6 184350-34-3 441785-45-1
1164197-77-6 1296194-76-7 155629-69-9 1082741-33-0
1164197-85-6 1296194-77-8 343248-31-7 441785-47-3
1164197-87-8 1296194-78-9 160616-19-3 441785-43-9
1164197-92-5 1296850-87-7 182799-15-1 859210-03-0
1179503-61-7 1296851-05-2 911208-73-6 441785-84-8
1179503-63-9 1296851-08-5 184350-24-1 441786-20-5
118553-06-3 1296851-11-0 184350-26-3 956470-86-3
118553-07-4 1296851-12-1 849364-05-2 441786-21-6
1204479-00-4 1296851-13-2 160616-09-1 859209-85-1
1247809-34-2 1296851-15-4 182798-90-9 441786-01-2
1305351-60-3 1296851-16-5 441785-29-1 1004956-32-4
1305351-61-4 1296851-17-6 160616-20-6 1004956-33-5
1305351-62-5 1296851-18-7 849364-04-1 441785-94-0
1305351-63-6 1296851-19-8 160616-25-1 441786-03-4
1305351-64-7 1296851-20-1 402575-21-7 1004956-34-6
1305351-65-8 1309464-46-7 182798-97-6 441786-53-4
1305351-66-9 1309464-47-8 402575-22-8 1004956-35-7
1305351-67-0 1309464-48-9 156623-83-5 441786-22-7
1305351-68-1 1309464-50-3 402575-24-0 1004956-36-8 1305351-69-2 1309464-53-6 182411-02-5 441786-28-3
1305351-70-5 1309464-54-7 160616-21-7 441786-02-3
1305351-71-6 1309464-55-8 142341-24-0 441785-88-2
1305351-72-7 1309464-56-9 142341-28-4 441786-52-3
1305351-73-8 1313815-26-7 160616-22-8 441785-93-9
1305351-74-9 1313815-31-4 113892-17-4 441785-92-8
1305351-79-4 1313815-36-9 160616-23-9 928651-97-2
160616-18-2 1313815-40-5 210989-65-4 928651-98-3
182798-92-1 1313815-45-0 210989-68-7 441786-05-6
182798-93-2 1313815-50-7 182411-03-6 441785-99-5
182799-02-6 1313815-55-2 201341-05-1 139972-59-1
182799-07-1 1313815-59-6 202138-50-9 183197-29-7
182799-12-8 1313815-63-2 1001848-80-1 229024-18-4
184349-96-0 1313815-69-8 731772-45-5 402575-02-4
184350-08-1 1313815-73-4 731772-50-2 643028-52-8
186345-31-3 1313815-78-9 160616-24-0 402575-00-2
186345-32-4 1313815-83-6 220351-03-1 169514-95-8
186345-33-5 1322510-88-2 1239618-23-5 169515-08-6
186345-34-6 1338605-26-7 220350-77-6 182799-10-6
186345-35-7 1338605-30-3 857498-25-0 643029-02-1
186345-37-9 1338605-34-7 1239618-21-3 643029-04-3
186345-38-0 1338606-04-4 211038-16-3 643029-05-4
186345-39-1 1338606-05-5 168537-52-8 402574-96-3
349660-23-7 1338606-06-6 201341-13-1 402574-97-4
349660-24-8 1338606-07-7 1077883-92-1 183197-34-4
349660-25-9 1338606-08-8 193207-56-6 402575-15-9
349660-26-0 1338606-09-9 625095-61-6 643029-06-5
349660-27-1 1338606-12-4 959141-98-1 183197-31-1
349660-28-2 1346265-18-6 441785-22-4 402575-43-3
349660-29-3 1346265-20-0 193207-55-5 183197-35-5
349660-41-9 1346265-22-2 207125-89-1 402575-14-8
349660-42-0 1352652-56-2 107021-21-6 873195-95-0
349660-43-1 1352820-25-7 128347-14-8 183197-27-5
349660-44-2 1352820-27-9 118552-94-6 183197-30-0
349660-45-3 1352820-30-4 126354-33-4 183197-43-5
349660-46-4 1362688-83-2 1072095-08-9 184349-92-6
402574-94-1 1362688-84-3 207125-90-4 184350-31-0
402574-95-2 1362688-85-4 182799-09-3 402575-17-1 402574-98-5 1362688-86-5 352227-03-3 643029-01-0
402574-99-6 1362688-87-6 182799-11-7 183197-41-3
402575-01-3 1362688-88-7 184350-35-4 183197-39-9
402575-06-8 1362688-89-8 402575-03-5 184350-27-4
402575-07-9 1362688-90-1 402575-10-4 402575-23-9
402575-08-0 1362688-91-2 228874-55-3 643029-03-2
402575-09-1 1362688-92-3 184349-87-9 643028-59-5
402575-11-5 1362688-93-4 402575-12-6 182799-01-5
402575-13-7 1362688-94-5 184350-13-8 873195-83-6
402575-16-0 1362688-95-6 182799-05-9 169515-10-0
402575-18-2 165950-14-1 441785-35-9 183197-37-7
402575-19-3 165950-24-3 118553-03-0 402733-86-2
402575-29-5 165950-25-4 402575-20-6 182799-13-9
402575-31-9 165950-26-5 864068-62-2 228874-51-9
402575-32-0 165950-27-6 160616-16-0 402575-30-8
402575-33-1 165950-28-7 911208-75-8 183197-32-2
402575-34-2 165950-29-8 1301109-86-3 343248-32-8
402575-39-7 165950-30-1 911208-87-2 643028-68-6
402575-40-0 165950-31-2 182799-06-0 873195-84-7
402575-41-1 165950-34-5 441785-67-7 873195-86-9
402575-42-2 165950-39-0 882508-28-3 873195-93-8
402575-44-4 165950-40-3 182798-91-0 873195-94-9
402575-46-6 170874-69-8 182799-16-2 402575-62-6
402575-47-7 170874-70-1 441785-33-7 184350-01-4
402575-61-5 170874-71-2 441785-73-5 402575-25-1
402575-63-7 178918-37-1 184350-29-6 368430-79-9
402575-65-9 178918-38-2 956470-68-1 402575-27-3
527715-10-2 183197-44-6 859209-99-7 402575-28-4
528577-76-6 187472-38-4 441786-25-0 402575-45-5
627094-84-2 189999-49-3 184350-25-2 402575-26-2
653584-15-7 190453-99-7 441785-31-5 848944-69-4
653584-16-8 190454-00-3 402575-35-3 402575-36-4
653584-17-9 202138-51-0 138870-19-6 848944-47-8
653584-18-0 202138-52-1 201340-95-6 873195-90-5
653584-19-1 202138-53-2 441785-27-9 873195-91-6
653584-20-4 202138-54-3 211037-52-4 873195-92-7
653584-21-5 221005-90-9 211037-53-5 184350-03-6
653584-22-6 221005-91-0 184350-28-5 643028-61-9 653584-23-7 221005-92-1 731772-46-6 873195-89-2
653584-24-8 221005-93-2 201340-97-8 848944-48-9
653584-25-9 228874-52-0 201340-99-0 873195-87-0
653584-26-0 228874-53-1 441785-49-5 184350-05-8
653584-27-1 228874-56-4 201341-07-3 873195-85-8
653584-28-2 342631-41-8 859210-23-4 848944-23-0
653584-29-3 372519-68-1 1239618-17-7 848944-66-1
653584-30-6 372519-70-5 147127-19-3 183197-33-3
653584-31-7 372519-73-8 107021-12-5 848944-24-1
653584-32-8 372519-74-9 113852-41-8 183107-09-7
653584-33-9 372519-75-0 92999-29-6 244229-68-3
653584-34-0 372519-81-8 92924-62-4 183107-19-9
653584-35-1 675875-50-0 115226-05-6 183107-20-2
653584-36-2 675875-51-1 92924-55-5 183107-10-0
653584-37-3 675875-64-6 129556-87-2 183107-11-1
653584-38-4 675875-65-7 147057-09-8 873195-88-1
653584-39-5 675875-68-0 147057-10-1 220350-52-7
653584-40-8 675875-73-7 402575-37-5 220350-60-7
653584-41-9 675875-74-8 156644-97-2 220350-68-5
653584-42-0 675875-80-6 135295-27-1 220350-73-2
653584-43-1 675875-84-0 145986-72-7 220351-10-0
653584-44-2 675875-85-1 145986-73-8 220351-17-7
653584-45-3 675880-36-1 1000271-88-4 183107-12-2
653584-46-4 675880-37-2 1000271-90-8 387356-18-5
653584-47-5 693223-05-1 1000271-92-0 625095-66-1
653584-48-6 855306-26-2 1000692-46-5 693222-97-8
653584-49-7 855306-27-3 1000692-47-6 693222-98-9
653584-50-0 869070-70-2 1001254-04-1 693222-99-0
653584-51-1 869070-71-3 1001254-05-2 201341-11-9
848944-09-2 873425-05-9 1001254-08-5 174579-85-2
848944-10-5 873425-06-0 1001254-09-6 201341-09-5
848944-11-6 873425-07-1 1001254-14-3 174579-59-0
848944-12-7 873425-08-2 1001254-15-4 449206-07-9
848944-13-8 873425-09-3 1001254-16-5 374678-43-0
848944-14-9 873425-10-6 1001254-17-6 389121-36-2
848944-15-0 873425-11-7 1016647-48-5 917381-96-5
848944-16-1 873425-12-8 1016647-50-9 917381-97-6
848944-17-2 873425-14-0 928651-89-2 917789-34-5 848944-18-3 873425-16-2 928651-90-5 940933-82-4
848944-19-4 873425-17-3 928651-91-6 940933-83-5
848944-20-7 873425-19-5 928651-92-7 940933-84-6
848944-21-8 873425-20-8 928651-93-8 940933-85-7
848944-22-9 873425-22-0 928651-94-9 940933-86-8
848944-25-2 873425-23-1 928651-95-0 940933-87-9
848944-26-3 873425-24-2 928651-96-1 940933-88-0
848944-27-4 875282-62-5 928652-00-0 940933-89-1
848944-28-5 882508-27-2 928652-01-1 940933-90-4
848944-29-6 882508-29-4 928652-02-2 940933-91-5
848944-30-9 882508-30-7 940933-80-2 940933-92-6
848944-31-0 892145-75-4 940933-81-3 940933-93-7
848944-32-1 911208-67-8 943719-57-1 940933-94-8
848944-33-2 911208-77-0 944047-67-0 940933-95-9
848944-34-3 911208-81-6 944047-68-1 948592-15-2
848944-35-4 911208-84-9 944047-69-2 957768-99-9
848944-36-5 913356-64-6 944047-70-5 957769-02-7
848944-37-6 913356-66-8 944047-71-6 957769-05-0
848944-38-7 916313-27-4 944047-72-7 957769-09-4
848944-39-8 916313-29-6 944047-73-8 957769-36-7
848944-40-1 916313-30-9 944047-74-9 957769-37-8
848944-41-2 916313-31-0 944047-75-0 959433-59-1
848944-42-3 916313-32-1 944047-76-1 959780-16-6
848944-43-4 916313-33-2 944047-77-2 959780-17-7
848944-44-5 916313-34-3 944047-78-3 960316-04-5
848944-45-6 916313-35-4 944047-79-4 960316-05-6
848944-46-7 916313-40-1 944047-80-7 960316-06-7
848944-49-0 916313-55-8 944047-81-8 960316-07-8
848944-50-3 916313-56-9 944047-82-9 960316-08-9
848944-51-4 928651-79-0 944047-83-0 960316-09-0
848944-52-5 928651-80-3 944047-84-1 960316-10-3
848944-53-6 928651-81-4 946134-64-1 960316-11-4
848944-54-7 928651-82-5 946134-66-3 960316-12-5
848944-55-8 928651-83-6 946134-68-5 960316-13-6
848944-56-9 928651-84-7 946134-70-9 960316-14-7
848944-64-9 928651-85-8 946134-72-1 960316-15-8
848944-65-0 928651-86-9 946134-74-3 913356-68-0
848944-67-2 957769-35-6 948885-37-8 916313-41-2 848944-68-3 957777-50-3 948885-38-9 916313-42-3
873195-96-1 957777-51-4 948885-39-0 917381-94-3
873425-13-9 957777-52-5 948885-40-3 957769-33-4
889885-97-6 957777-53-6 948885-47-0 957777-61-6
889885-98-7 957777-54-7 948885-48-1 957777-62-7
889886-03-7 957777-55-8 956470-89-6 959861-27-9
906348-04-7 957777-56-9 956471-16-2 959861-29-1
906348-05-8 957777-57-0 956471-18-4 957768-98-8
906348-06-9 957777-58-1 956471-40-2 957769-30-1
906348-07-0 957777-59-2 956471-44-6 957769-31-2
913356-67-9 957777-60-5 957768-96-6 957769-32-3
917381-95-4 957769-34-5
Table 2: Cidofovir derivatives (CAS number)
117087-39-5 849176-94-9 956471-22-0 144028-83-1
160616-05-7 168537-83-5 174579-44-3 138776-64-4
113852-44-1 856686-25-4 174579-70-5 151223-48-2
128347-13-7 856686-24-3 193207-65-7 169515-03-1
133868-60-7 168537-70-0 193207-66-8 169515-07-5
138870-18-5 163078-01-1 174579-57-8 1323394-16-6
228874-13-3 875271-47-9 174579-71-6 155629-77-9
169515-09-7 132336-35-7 100802-98-0 151223-51-7
898225-59-7 193207-69-1 174579-86-3 151223-53-9
130029-17-3 193207-70-4 193207-67-9 187472-50-0
113852-40-7 148873-52-3 897931-59-8 138307-68-3
228874-11-1 168537-77-7 193207-68-0 180074-55-9
142276-30-0 193207-71-5 278611-19-1 190903-47-0
120362-35-8 193207-72-6 193207-63-5 163077-96-1
718638-95-0 193207-75-9 193207-64-6 169514-99-2
193207-59-9 875271-49-1 174579-40-9 198282-38-1
142276-31-1 193207-73-7 897931-60-1 198282-44-9
718639-00-0 193207-74-8 897931-74-7 151223-49-3
718639-06-6 904297-28-5 174579-50-1 138886-80-3
849176-97-2 904297-27-4 1164197-16-3 138776-65-5
898225-55-3 904297-25-2 1164197-21-0 168750-94-5
718639-11-3 904297-26-3 1164197-18-5 168750-95-6
718639-15-7 174579-48-7 1164197-22-1 193207-60-2
718639-20-4 178918-36-0 897931-65-6 198282-37-0 444805-26-9 130042-69-2 361552-84-3 198282-43-8
496765-78-7 138307-69-4 168537-75-5 194419-93-7
904297-22-9 643028-48-2 875271-48-0 126354-59-4
718638-78-9 151223-03-9 1192360-48-7 193207-43-1
496765-79-8 120362-31-4 202933-08-2 193207-41-9
718638-81-4 897931-61-2 897931-66-7 193207-44-2
142247-19-6 151222-99-0 1164197-24-3 141700-02-9
496765-80-1 151223-55-1 361552-80-9 141700-01-8
904297-21-8 897931-75-8 897931-62-3 1345665-10-2
693803-28-0 849176-95-0 202933-26-4 193207-45-3
904297-23-0 151223-01-7 202933-27-5 190903-45-8
693803-29-1 849176-96-1 864068-46-2 174579-76-1
898225-56-4 883867-85-4 897931-63-4 86404-89-9
898225-57-5 148873-53-4 202933-23-1 100778-62-9
120362-33-6 151223-52-8 202933-24-2 100940-71-4
210989-63-2 849176-98-3 897931-72-5 193207-42-0
127757-45-3 849176-99-4 911827-24-2 193207-39-5
210989-60-9 849177-00-0 174579-39-6 174579-77-2
210989-62-1 228874-12-2 897931-73-6 174579-68-1
132336-37-9 898225-60-0 904297-29-6 174579-69-2
904297-19-4 718638-71-2 174579-49-8 100778-83-4
904297-20-7 897931-70-3 174579-38-5 1322510-41-7
849177-04-4 911827-25-3 92924-59-9 1322510-43-9
718638-93-8 718638-90-5 138776-61-1 1322510-93-9
163077-95-0 956470-88-5 126354-60-7 1322510-96-2
210989-59-6 151223-23-3 187472-36-2 1192360-50-1
210989-61-0 916313-26-3 151223-05-1 193207-46-4
343248-30-6 757955-83-2 120362-37-0 168537-76-6
132336-36-8 177493-23-1 127749-27-3 193207-47-5
202933-07-1 897931-71-4 127852-83-9 1322510-47-3
718639-52-2 897931-67-8 132336-42-6 1322511-06-7
168537-72-2 916313-25-2 151597-69-2 193207-48-6
718639-54-4 151223-50-6 151284-15-0 202933-28-6
718639-56-6 757955-82-1 151284-16-1 115265-37-7
168537-74-4 177493-24-2 127757-44-2 1322510-51-9
168537-69-7 244229-74-1 151223-00-6 1322510-57-5
343248-29-3 177493-25-3 151223-56-2 1322510-74-6
343248-25-9 343248-24-8 141700-03-0 1322510-75-7 343248-27-1 912635-37-1 178918-46-2 1322510-40-6
278611-17-9 897931-68-9 127749-30-8 1322510-76-8
163077-99-4 244229-73-0 127852-84-0 1322510-84-8
163078-00-0 1164197-15-2 168537-54-0 1322510-78-0
904297-24-1 849176-90-5 151223-02-8 132336-32-4
163077-98-3 849176-91-6 151223-04-0 141782-25-4
718639-46-4 718639-27-1 194419-95-9 115265-63-9
718639-41-9 718639-31-7 187472-52-2 115265-59-3
168537-73-3 174579-87-4 160616-50-2 115265-17-3
168537-71-1 174579-81-8 138320-03-3 115265-09-3
856686-20-9 174579-82-9 155629-63-3 151223-54-0
168537-68-6 956470-85-2 143452-52-2 956471-20-8
875271-46-8
Table 3a: active compounds (CAS number)
50-41-9 82410-32-0 9001-63-2 99390-76-8
50-55-5 103024-93-7 9005-25-8 99751-63-0
50-63-5 104227-87-4 9031-94-1 100241-46-1
50-91-9 118353-05-2 9032-43-3 100286-90-6
51-21-8 119567-79-2 9036-19-5 100643-71-8
51-24-1 124832-26-4 9042-14-2 100827-28-9
51-45-6 127759-89-1 9050-67-3 100986-85-4
53-19-0 136470-78-5 9054-89-1D 101347-05-1
53-43-0 142217-69-4 10083-24-6 102052-95-9
53-60-1 145514-04-1 10212-25-6 102674-90-8
54-42-2 175865-60-8 10347-81-6 102805-86-7
55-03-8 176161-24-3 10418-03-8 102830-69-3
55-86-7 193681-12-8 10605-21-7 103737-56-0
56-47-3 202138-50-9 11006-77-2 103745-39-7
56-53-1 121104-96-9 11072-93-8 103913-16-2
56-92-8 124436-59-5 11089-65-9 104624-98-8
58-18-4 136816-75-6 13392-28-4 104880-60-6
58-22-0 136817-59-9 13422-51-0 105637-50-1
58-61-7D 137332-54-8 13422-55-4 106362-32-7
60-56-0 139110-80-8 13870-90-1 106566-58-9
61-12-1 143224-34-4 14092-89-8 107421-16-9
61-19-8D 147362-57-0 14378-21-3 107489-37-2
61-73-4 149488-17-5 14534-61-3 107753-78-6 -82-5 149845-06-7 14882-18-9 107868-30-4-25-2 150378-17-9 15176-29-1 109091-47-6-49-6 154612-39-2 15541-60-3 109093-57-4-81-9 155213-67-5 16090-09-8 110042-95-0-92-5 159910-86-8 17035-90-4 110078-40-5-19-9 159989-65-8 17397-89-6 110078-46-1-88-2 161814-49-9 19542-67-7 110143-10-7-00-8 174484-41-4 19545-26-7 110942-02-4-70-5 178040-94-3 19750-45-9 111393-93-2-89-6 178979-85-6 20153-98-4 112190-24-6-17-3 192725-17-0 20350-15-6 112885-42-4-58-4 198904-31-3 20554-84-1 113852-41-8-09-7 206361-99-1 20559-55-1 114246-76-3-84-4 223537-30-2 21245-02-3 114627-30-4-00-7 226700-79-4 21535-47-7 114719-57-2-77-8 233254-24-5 21679-14-1 115344-47-33-16-2 244767-67-7 21967-41-9 115743-28-73-52-0 269055-15-4 22029-76-1 116249-65-18-42-3 300832-84-2 22139-77-1 116649-85-59-04-OD 330600-85-6 22199-08-2 116680-01-43-31-9 61-73-4 22260-51-1 117704-65-13-77-3 174022-42-5 22862-76-6 118390-30-06-07-8 196618-13-0 23205-42-7D 118409-57-77-07-1 376348-65-1 23210-58-4 118409-58-88-13-2 394730-60-0 23288-49-5 118409-60-28-62-1 402957-28-2 24280-93-1 119413-54-69-46-4 500287-72-9 24815-24-5 119644-22-32-17-2 111393-84-1 24936-38-7 120011-70-32-69-4 113852-37-2 24937-79-9 120210-48-26-40-3 124265-89-0 25526-93-6 120586-49-47-26-8 129618-40-2 25535-16-4 121154-51-67-53-1 137487-62-8 25775-90-0 122111-03-96-56-5 138660-96-5 27314-97-2 122320-73-47-94-4 138660-97-6 27686-84-6 122520-85-88-82-3 144245-52-3 27762-78-3 122970-35-80-76-5 148998-94-1 28507-02-0 122970-40-51-21-3 149950-60-7 29321-75-3 123027-56-52-43-2 151356-08-0 30220-45-2 123027-69-0 152-62-5 153101-26-9 30303-65-2 123391-12-8
303-45-7 154598-52-4 30516-87-1D 123774-72-1
314-13-6 159519-65-0 30516-87-1D, 124351-85-5
321-64-2 163451-80-7 31430-15-6 124930-59-2
339-72-0 174391-92-5 32672-69-8 124937-52-6
362-07-2 175385-62-3 32828-81-2 125372-33-0
402-71-1 195157-34-7 32981-86-5 126103-94-4
404-86-4 251562-00-2 33069-62-4 126320-77-2
440-17-5 306296-47-9 33089-61-1 126347-69-1
458-37-7 313682-08-5 34031-32-8 126595-07-1
468-61-1 370893-06-4 34157-83-0 128075-79-6
481-49-2 461443-59-4 34620-78-5D 128794-94-5
517-89-5 857094-21-4 35404-50-3D 129297-22-9
518-28-5 136194-77-9 35943-35-2 129453-61-8
521-78-8 136279-32-8 36244-81-2 129467-45-4
524-12-9 136449-85-9 36703-88-5 129580-63-8
538-03-4D 136458-97-4 37019-68-4 130108-72-4
548-04-9 137893-48-2 37300-21-3 130112-42-4
562-09-4 138069-52-0 37339-90-5 130717-51-0
569-65-3 138483-63-3 38176-02-2 130729-68-9
616-91-1 139272-69-8 38640-92-5 131262-82-3
636-47-5 139694-65-8 38937-66-5 131707-23-8
637-58-1 139893-43-9 38966-21-1 133432-71-0
749-02-0 139981-26-3 39323-99-4 133550-30-8
749-13-3 140942-13-8 39475-64-4 133550-34-2
751-94-0 141497-12-3 41135-06-2 133550-35-3
768-94-5 141752-91-2 43210-67-9 133898-83-6
881-68-5 141790-23-0 47231-30-1 134379-77-4
909-13-7 141994-72-1 49620-13-5 134499-06-2
969-33-5 143070-01-3 51321-79-0 134523-00-5
1229-29-4 143205-42-9 51333-22-3 134633-29-7
1244-76-4 143338-12-9 51630-58-1 134678-17-4
1393-48-2 143390-74-3 53023-17-9 134678-17-4D
1405-86-3 143491-57-0 53066-26-5 134878-17-4
1405-97-6 144113-82-6 53123-88-9 135062-02-1
1424-00-6 144141-97-9 53716-50-0 135295-27-1
1621-55-2 144189-66-2 53783-83-8 135525-71-2
1910-68-5 144779-91-9 54965-21-8 135525-77-8 2068-78-2 144875-48-9 54965-24-1 135525-78-9
2140-72-9 145258-61-3 55134-13-9 135812-04-3
2169-75-7 145417-33-0 55303-98-5 135812-34-9
2210-63-1 145512-85-2 55954-61-5 136194-77-9
2391-56-2 146426-40-6 55981-09-4 136279-32-8
2413-38-9 146739-86-8 58569-55-4 136449-85-9
2438-72-4 146794-68-5 58581-89-8 136458-97-4
2753-45-9 147318-81-8 58970-76-6 137893-48-2
3039-71-2 147362-54-7 59729-32-7 138069-52-0
3056-17-5 147658-54-6 59789-29-6 138483-63-3
3093-35-4 148314-61-8 59865-13-3 139272-69-8
3254-89-5 148465-45-6 60050-95-5 139694-65-8
3416-05-5 148473-16-9 60525-15-7 139893-43-9
3424-98-4 148550-96-3 60628-96-8 139981-26-3
3572-43-8 148692-46-0 60857-08-1 140942-13-8
3572-60-9 148982-38-1 61413-54-5 141497-12-3
3599-32-4 149249-32-1 61718-82-9 141752-91-2
3731-59-7 50-41-10 62304-98-7 141790-23-0
4097-22-7 50-55-6 62304-98-7D 141994-72-1
4291-63-8 50-63-6 63585-09-1 143070-01-3
4991-65-5 50-91-10 63659-19-8 143205-42-9
5154-02-9 51-21-9 63968-64-9 143338-12-9
5398-51-6 51-24-2 64224-21-1 143390-74-3
5466-77-3 51-45-7 65589-59-5 143491-57-0
5535-20-6 53-19-1 65646-68-6 144113-82-6
5536-17-4 53-43-1 66611-37-8 144141-97-9
5987-82-6 53-60-2 67526-95-8 144189-66-2
6190-39-2 54-42-3 67700-30-5 144779-91-9
6485-39-8 55-03-9 67915-31-5 144875-48-9
6493-05-6 55-86-8 68238-36-8 145258-61-3
6873-13-8 56-47-4 68345-70-0 145417-33-0
7059-23-6 56-53-2 69123-90-6 145512-85-2
7081-38-1 56-92-9 69123-98-4 146426-40-6
7083-71-8 58-18-5 69304-47-8 146739-86-8
7235-40-7 58-22-1 69655-05-6 146794-68-5
7481-89-2 60-56-1 69655-05-6D 147318-81-8
7481-89-2D 61-12-2 69839-83-4 147362-54-7
7689-03-4 61-73-5 70280-03-4 147658-54-6 8067-24-1 61-82-6 70831-56-0 148314-61-8
8077-15-4 63-25-3 71160-24-2 148465-45-6
134379-77-4 65-49-7 71486-22-1 148473-16-9
134499-06-2 66-81-10 71939-50-9 148550-96-3
134523-00-5 67-92-6 71963-77-4 148692-46-0
134633-29-7 68-19-10 72324-18-6 148982-38-1
134678-17-4 68-88-3 72559-06-9 149249-32-1
134678-17-4D 70-00-9 72599-27-0 50-41-10
134878-17-4 83-70-6 73573-88-3 50-55-6
135062-02-1 83-89-7 74817-61-1 50-63-6
135295-27-1 84-17-4 75330-75-5 50-91-10
135525-71-2 88-58-5 75706-12-6 51-21-9
135525-77-8 94-09-8 77181-69-2 51-24-2
135525-78-9 96-84-5 77372-73-7 51-45-7
135812-04-3 97-00-8 77907-69-8 53-19-1
135812-34-9 97-77-9 78416-81-6 53-43-1
8067-24-2 103-16-3 78613-38-4 53-60-2
8077-15-5 113-52-1 78842-13-4 54-42-3
9001-63-3 118-42-4 79559-97-0 55-03-9
9005-25-9 123-31-10 79617-96-2 55-86-8
9031-94-2 123-77-4 79794-75-5 56-47-4
9032-43-4 126-07-9 79902-63-9 56-53-2
9036-19-6 127-07-2 80621-81-4 56-92-9
9042-14-3 128-13-3 81840-15-5 58-18-5
9050-67-4 128-62-2 82147-31-7 58-22-1
10083-24-7 129-46-5 82640-04-8 60-56-1
10212-25-7 132-17-3 82822-14-8 61-12-2
10347-81-7 132-69-5 83461-56-7 61-73-5
10418-03-9 136-40-4 83546-42-3 61-82-6
10605-21-8 137-26-9 83919-23-7 63-25-3
11006-77-3 137-53-2 83923-14-2 65-49-7
11072-93-9 146-56-6 84290-27-7 66-81-10
11089-65-10 147-94-5 84303-06-0 67-92-6
13392-28-5 148-82-4 84371-65-3 68-19-10
13422-51-1 150-76-6 84472-85-5 68-88-3
13422-55-5 151-21-4 85233-19-8 70-00-9
13870-90-2 152-43-3 85326-06-3 83-70-6
14092-89-9 152-62-6 85326-06-3D 83-89-7 14378-21-4 303-45-8 85465-82-3 84-17-4
14534-61-4 314-13-7 86903-77-7 88-58-5
8077-15-5 321-64-3 87190-79-2 94-09-8
9001-63-3 339-72-1 87857-41-8 96-84-5
9005-25-9 362-07-3 88495-63-0 97-00-8
9031-94-2 402-71-2 88899-55-2 97-77-9
9032-43-4 404-86-5 89778-26-7 103-16-3
9036-19-6 440-17-6 89813-21-8 113-52-1
9042-14-3 458-37-8 90832-70-5 118-42-4
9050-67-4 468-61-2 91421-42-0 123-31-10
10083-24-7 481-49-3 92047-17-1 123-77-4
10212-25-7 517-89-6 92562-88-4 126-07-9
10347-81-7 518-28-6 93253-86-2 127-07-2
10418-03-9 521-78-9 93265-81-7 128-13-3
10605-21-8 524-12-10 93957-54-1 128-62-2
11006-77-3 548-04-10 93957-55-2 129-46-5
11072-93-9 562-09-5 94540-23-5 132-17-3
11089-65-10 569-65-4 95933-74-7 132-69-5
13392-28-5 616-91-2 96187-53-0 136-40-4
13422-51-1 636-47-6 97123-80-3 137-26-9
13422-55-5 637-58-2 98059-61-1 137-53-2
13870-90-2 749-02-1 98530-12-2 146-56-6
14092-89-9 749-13-4 99011-02-6 147-94-5
14378-21-4 751-94-1 99390-76-8 148-82-4
14534-61-4 768-94-6 99751-63-0 150-76-6
120210-48-2 881-68-6 100241-46-1 151-21-4
120586-49-4 909-13-8 100286-90-6 152-43-3
121154-51-6 969-33-6 100643-71-8 152-62-6
122111-03-9 1229-29-5 100827-28-9 303-45-8
122320-73-4 1244-76-5 100986-85-4 314-13-7
122520-85-8 1393-48-3 101347-05-1 321-64-3
122970-35-8 1405-86-4 102052-95-9 339-72-1
122970-40-5 1405-97-7 102674-90-8 362-07-3
123027-56-5 1424-00-7 102805-86-7 402-71-2
123027-69-0 1621-55-3 102830-69-3 404-86-5
123391-12-8 1910-68-6 103737-56-0 440-17-6
123774-72-1 2068-78-3 103745-39-7 458-37-8
124351-85-5 2140-72-10 103913-16-2 468-61-2 124930-59-2 2169-75-8 104624-98-8 481-49-3
124937-52-6 2210-63-2 104880-60-6 517-89-6
125372-33-0 2391-56-3 105637-50-1 518-28-6
126103-94-4 2413-38-10 106362-32-7 521-78-9
126320-77-2 2438-72-5 106566-58-9 524-12-10
126347-69-1 2753-45-10 107421-16-9 548-04-10
126595-07-1 3039-71-3 107489-37-2 562-09-5
128075-79-6 3056-17-6 107753-78-6 569-65-4
128794-94-5 3093-35-5 107868-30-4 616-91-2
129297-22-9 3254-89-6 109091-47-6 636-47-6
129453-61-8 3416-05-6 109093-57-4 637-58-2
129467-45-4 3424-98-5 110042-95-0 749-02-1
129580-63-8 3572-43-9 110078-40-5 749-13-4
130108-72-4 3572-60-10 110078-46-1 751-94-1
130112-42-4 3599-32-5 110143-10-7 768-94-6
130717-51-0 3731-59-8 110942-02-4 881-68-6
130729-68-9 4097-22-8 111393-93-2 909-13-8
131262-82-3 4291-63-9 112190-24-6 969-33-6
131707-23-8 4991-65-6 112885-42-4 1229-29-5
133432-71-0 5154-02-10 113852-41-8 1244-76-5
133550-30-8 5398-51-7 114246-76-3 1393-48-3
133550-34-2 5466-77-4 114627-30-4 1405-86-4
133550-35-3 5535-20-7 114719-57-2 1405-97-7
133898-83-6 5536-17-5 115344-47-3 1424-00-7
3093-35-5 5987-82-7 115743-28-7 1621-55-3
3254-89-6 6190-39-3 116249-65-1 1910-68-6
3416-05-6 6485-39-9 116649-85-5 2068-78-3
3424-98-5 6493-05-7 116680-01-4 2140-72-10
3572-43-9 6873-13-9 117704-65-1 2169-75-8
3572-60-10 7059-23-7 118390-30-0 2210-63-2
3599-32-5 7081-38-2 118409-57-7 2391-56-3
3731-59-8 7083-71-9 118409-58-8 2413-38-10
4097-22-8 7235-40-8 118409-60-2 2438-72-5
4291-63-9 7481-89-3 119413-54-6 2753-45-10
4991-65-6 7689-03-5 119644-22-3 3039-71-3
5154-02-10 8067-24-2 120011-70-3 3056-17-6
5398-51-7 7081-38-2 6190-39-3 5987-82-7
5466-77-4 7083-71-9 6485-39-9 7689-03-5 5535-20-7 7235-40-8 6493-05-7 7059-23-7
5536-17-5 7481-89-3 6873-13-9
Table 3b: active compounds (INN) compound IUPAC Name and synonyms Formulation
CMX 157 hexadecyloxypropyl 9- (2- Tenofovir
(phosphonomethoxy) propyl ) adenine ; or ( Prodrug) 2- (Adenin-9-yl) -1 (R) - methylethoxymethylphosphonic acid 3- (hexadecyloxy) propyl ester; or
HDP- (R) -PMPA; or
HDP-PMPA
Entecavir 2-Amino-9- [ (IS, 3R, 4S) -4-hydroxy-3- Entecavir
(hydroxymethyl ) -2- methylidenecyclopentyl ] -6, 9-dihydro- 3H-purin- 6-one
Lamivudine 4-amino-l- [ (2R, 5S) -2- (hydroxymethyl ) - Lamivudine l,3-oxathiolan-5-yl]-l,2- dihydropyrimidin-2-one
Telbivudine 1- (2-deoxy^-L-erythro- Telbivudine pentofuranosyl ) -5-methylpyrimidine-
2, 4 (1H, 3H) -dione
Clevudine 1- [ (2S, 3R, 4S, 5S) -3-fluoro-4-hydroxy- Clevudine
5- (hydroxymethyl) oxolan-2-yl] -5- methylpyrimidine-2 , 4-dione
Cidofovir ( { [ (S) -1- (4-amino-2-oxo-l, 2- Cidofovir dihydropyrimidin-l-yl) -3- hydroxypropan-2- yl] oxyjmethyl) phosphonic acid
Ribavirin 1- [ (2R, 3R, 4S, 5R) -3, 4-dihydroxy-5- Ribavirin
(hydroxymethyl ) oxolan-2-yl] -lH-1, 2, 4- triazole-3-carboxamide
Taribavirin 1- [ (2R, 3R, 4S, 5S) - 3, 4-dihydroxy-5- Taribavirin
(hydroxymethyl ) oxolan-2-yl] - 1,2,4- hydrochlo¬ triazole-3-carboximidamide ride
Moroxydine N- (Diaminomethylidene) morpholine-4- Moroxydine carboximidamide Hydrochlo¬ ride NOV-205 9- [ (2R, 3R, 4S, 5R) -3, 4-dihydroxy-5- organic
(hydroxymethyl ) oxolan-2-yl] -6, 9- salt of dihydro-3H-purin- 6-one + bis- (2S) -2-amino-4-{ [ (1R) -1- glycine-L- [ (carboxymethyl) carbamoyl] -2- cysteinyl- sulfanylethyl ] carbamoyl jbutanoic ac¬ bis- (g -L- id; or Molixan (Brand name) ; or gluta- bis-glycine-L-cysteinyl-bis- (g -L- mate) · 9-b - glutamate) / 9-b -D- D- ribofuranozilhypoxanthine (organic ribo- salt) ; or furanozilhy BAM-205 poxanthine
NOV- 002 (2S, 2 ' S) -5, 5 ' - ( ( (2R, 2 'R) - (bis- disulfanediylbis (1- (gamma-L-
( (carboxymethyl) amino) -1-oxopropane- glutamyl ) - 3, 2-diyl) ) bis (azanediyl) ) bis (2-amino- L- 5-oxopentanoic acid) ; or Glutathione cisteinyl- disulphide; or Oxiglutatione sodium; bis-glycin or Bis (gamma-glutamyl-cysteinyl- disodium glycine) S , S ' -disulfide disodium salt) salt; or BAM-002
Aciclovir / 2-Amino-l, 9-dihydro-9- ( (2- Acyclovir acyclovir hydroxyethoxy) methyl ) -6H-Purin- 6-one
Valaciclo- (S) -2- [ (2-amino-6-oxo-6, 9-dihydro-3H- valacyclo- vir / purin-9-yl) methoxy] ethyl-2 -amino-3- vir hydro¬ valacyclo- methylbutanoate chloride vir
Ganciclovir 2-amino-9-{ [ ( 1 , 3-dihydroxypropan-2- Ganciclovir yl) oxy] methyl } -6, 9-dihydro-3H-purin- sodium 6-one
Val- 2- [ (2-amino-6-oxo-6, 9-dihydro-3H- val- ganciclovir purin- 9-yl ) methoxy] -3-hydroxypropyl ganciclovir
(2S) -2-amino-3-methylbutanoate hydrochlo¬ ride
Penciclovir 2-amino-9- [ 4-hydroxy-3- Penciclovir
(hydroxymethyl ) butyl ] -6, 9-dihydro-3H- purin- 6-one
Famciclovir 2- [ (acetyloxy) methyl ] -4- (2-amino-9H- Famciclovir purin- 9-yl ) butyl acetate
Vidarabine (2R, 3S, 4S, 5R) -2- ( 6-amino- 9H-purin- 9- Vidarabine / adenine yl) -5- (hydroxymethyl ) oxolane-3, 4-diol
arabinoside hydrate
Idoxuridine 1- [ (2R, 4S, 5R) -4-hydroxy-5- Idoxuridine
(hydroxymethyl ) oxolan-2-yl] -5-iodo- 1,2,3, 4-tetrahydropyrimidine-2 , 4- dione
Tri- 1- [ 4-hydroxy-5- (hydroxymethyl) oxolan- Tri- fluridine / 2-yl]-5- (trifluoromethyl) pyrimi- fluridine trifluoro- dine-2, 4-dione
thymidine
(TFT)
Edoxudine / 5-ethyl-l- [ 4-hydroxy-5- Edoxudine Edoxudin (hydroxymethyl ) oxolan-2- yl ] pyrimidine-2 , 4-dione
Brivudine 5- [ (E) -2-bromoethenyl] -1- [ (2R, 4S, 5R) - Brivudine
4-hydroxy-5- (hydroxymethyl) oxolan-2- yl] -1, 2, 3, 4-tetrahydropyrimidine-2 , 4- dione
Cytarabine 4-amino-l- [ (2R, 3S, 4R, 5R) -3, 4- Cytarabine / cytosine dihydroxy-5- (hydroxymethyl) oxolan-2- arabinoside yl] pyrimidin-2-one
(Ara - C)
Foscarnet phosphonoformic acid Foscarnet
Sodium
Docosanol Docosan-l-ol Docosanol
Fomivirsen fomivirsen sodium
Troman- N-l-adamantyl-N- [2- troman- tadine (dimethylamino) ethoxy] acetamide tadine hy¬ drochloride
Imiquimod/ 3- (2-methylpropyl) -3, 5, 8- Imiquimod R-837 triazatricyclo[7.4.0.02,6]trideca- 1(9), 2(6), 4, 7, 10, 12-hexaen-7-amine
Resiquimod 1- [ 4-amino-2- Resiquimod
(ethoxymethyl ) imidazo [4, 5-c] quinolin- 1-yl] -2-methylpropan-2-ol Podophyllo- (10R, 11R, 15R, 16R) - 16-hydroxy- 10 - toxin (PPT) (3, 4, 5-trimethoxyphenyl ) -4, 6, 13- / podofilox trioxatetracy- clo [7.7.0.03'7. O^'^Jhexadeca-l, 3 (7) , 8- trien-12-one
Rifampicin (7S, 9E, US, 12R, 13S , 14R, 15R, 16R, 17 S , 18 rifampicin
S,19E,21Z)-2,15,17,27,29- sodium pentahydroxy-1 l-methoxy- 3,7,12,14,16, 18, 22-heptamethyl-26- { (E) - [ (4-methylpiperazin-l- yl) imino] methyl }-6,23-dioxo-8,30- dioxa-24- azatetracy- clo[23.3.1.14'7.05'28] triaconta- 1(28), 2, 4, 9, 19, 21, 25(29) , 26-octaen- 13-yl acetate
Methisazone [ (l-Methyl-2-oxoindol-3- Methisazone / Metisa- ylidene) amino] thiourea
zone
Enfuvirtide Acetyl-YTSLIHSLIEESQNQ Enfuvirtide
QEKNEQELLELDKWASLWNWF-amide
Maraviroc 4, 4-difluoro-N-{ (lS)-3-[3-(3- Maraviroc isopropyl- 5-methyl-4H-l , 2, 4-triazol- 4-yl) -8-azabicyclo [3.2.1] oct-8-yl] -1- phenylpropyl } cyclohexanecarboxamide
Vicriviroc 6-dimethylpyrimidin-5-yl ) - [4- [ (3S) -4- Vicriviroc
[ (1R) -2-methoxy-l- [4- maleate
(trifluoromethyl) phenyl] ethyl] -3- methylpiperazin-l-yl ] -4- methylpiperidin-l-yl ] methanone
Cenicrivi- (5E) -8- [4- (2-butoxyethoxy) phenyl] -1- cenicrivi- roc (2-methylpropyl) -N- [4- [ (S) - (3- roc mesyl¬ propylimidazol-4- ate
yl) methylsuIfinyl ] phenyl] -3,4- dihydro-2H-l-benzazocine-5- carboxamide
PRO 140 Humanized monoclonal IgG4 kappa anti¬ body targeting human C-C chemokine
receptor type 5 (CCR5) ; or HuPRO-140; or PA- 14
Ibalizumab
Abacavir / { (IS, 4R) -4- [2-amino-6- Abacavir ABC (cyclopropylamino) -9H-purin-9- yl ] cyclopent-2-en-l-yl } methanol
Emtricita- 4-amino-5-fluoro-1- [ (2S, 5R) -2- Emtricita- bine / FTC (hydroxymethyl ) -1, 3-oxathiolan-5-yl ] - bine
1, 2-dihydropyrimidin-2-one
Didanosine 9- ( (2R, 5S) -5- Didanosine
(hydroxymethyl ) tetrahydrofuran-2-yl) - 3H-purin-6 (9H) -one
Zidovudine 1- [ (2R, S, 5S) -4-azido-5- Zidovudine (ZDV) / az- (hydroxymethyl ) oxolan-2-yl] -5- idothymi- methylpyrimidine-2 , 4-dione
dine (AZT)
Apricita- 4-amino-l- [ (2R, 4R) -2- (hydroxymethyl) - Apricita- bine 1,3- oxathiolan-4-yl] pyrimidin-2 ( 1H) - bine
one
Stampidine methyl N- ( (4-bromophenoxy) { [ (2S, 5R) - Apricita- 5- (5-methyl-2, 4-dioxo-3, 4- bine dihydropyrimidin-1 (2H) -yl) -2, 5- dihydrofuran-2- yl] methoxy jphosphoryl) -D-alaninate
Elvucita- 4-Amino-5-fluoro-1- [ (2S, 5R) -5- Elvucita- bine (hydroxymethyl ) -2, 5-dihydrofuran-2- bine
yl ] pyrimidin-2 -one
Racivir 4-Amino-5-fluoro-1- [ (2S, 5R) -2- Racivir
(hydroxymethyl ) -1, 3-oxathiolan-5- yl ] pyrimidin-2 (1H) -one
Amdoxovir [ (2R, 4R) -4- (2, 6-Diaminopurin-9-yl) - Amdoxovir
1, 3-dioxolan-2-yl] methanol
Stavudine 1- ( (2R, 5S) -5- (hydroxymethyl) -2,5- Apricita- dihydrofuran-2-yl) -5- bine methylpyrimidine-2 , 4 (1H, 3H) -dione
Zalcitabine 4-amino-l- ( (2R, 5S) -5- Zalcitabine
(hydroxymethyl ) tetrahydrofuran-2- yl ) pyrimidin-2 (1H) -one
Festinavir Festinavir GS 7340 (9- [ (R) -2- [ [ [ [ (S) -1- Tenofovir
( isopropoxycarbonyl ) ethyl] amino] ( Prodrug) phenoxy-phosphinyl ] -methoxy] propyl]
adenine) ; or Tenofovir alafenamide
fumarate; or N- [ [S (P) ] - [2- (Adenin-9- yl) -1 (R) -methylethoxymethyl ] (phe- noxy) phosphoryl ] -L-alanine isopropyl
ester hemifumarate ; or TAF; or GS- 7340-03
Efavirenz (4S) -6-chloro-4- (2- Efavirenz (EFV) cyclopropylethynyl ) -4- (EFV)
(trifluoromethyl) -2, 4-dihydro-lH-3, 1- benzoxazin-2-one
Nevirapine 1 l-cyclopropyl-4-methyl-5 , 11-dihydro- Nevirapine
6H- dipyrido [3, 2-b:2 ' , 3 '- e] [ 1 , 4 ] diazepin- 6-one
Loviride / 2- [ (2-Acetyl-5-methylphenyl) amino] -2- Loviride Loveride (2, 6-dichlorophenyl ) acetamide
Delavirdine N- [2 - ( { 4 - [3- (propan-2- Delavirdine (DLV) ylamino) pyridin-2-yl ] piperazin- 1- mesylate yljcarbonyl) -lH-indol-5- yl ] methanesulfonamide
Etravirine 4- [ 6-Amino-5-bromo-2- [ (4- cyanophenyl ) amino ] pyrimidin-4- yl]oxy- 3 , 5-dimethylbenzonitrile
Rilpivirine 4-{[4-({4-[(E) -2-cyanovinyl] -2, 6- Rilpivirine dimethylphenyl } amino) pyrimidin-2- yl] amino jbenzonitrile
Lersivirine 5-{ [3, 5-diethyl-l- (2-hydroxyethyl) - Lersivirine lH-pyrazol-4-yl ] oxy jbenzene- 1, 3- dicarbonitrile
Raltegravir N- (2- (4- (4-fluorobenzylcarbamoyl) -5- ralte¬ hydroxy-l-methyl-6-oxo-l, 6- gravir, dihydropyrimidin-2-yl ) propan-2-yl ) raltegravir potassium (pediatric) Elvitegravi 6- [ (3-Chloro-2-fluorophenyl) methyl] - Elvitegravi r 1- [ (2S) -l-hydroxy-3-methylbutan-2- r
yl] -7-methoxy-4-oxoquinoline-3- carboxylic acid
Dolute- (4R, 12aS) -N- (2, 4-difluorobenzyl) -7- Dolute- gravir hydroxy-4-methyl-6, 8-dioxo- gravir
3,4,6,8,12, 12a-hexahydro-2H- pyrido [ 1 ' , 2 ' :4,5]pyrazino[2,l- b] [ 1 , 3 ] oxazine- 9-carboxamide
Globoidnan (2R) - (3, 4-dihydroxyphenyl) -2- { [4- A (3, 4-dihydroxyphenyl) -6, 7-dihydroxy- 2-naphthoyl ] oxy jpropanoic acid
MK-2048 (6S) -2- (3-chloro-4-fluorobenzyl) -8- ethyl-10-hydroxy-N, 6-dimethyl-l , 9- dioxo-1, 2, 6, 7, 8, 9- hexahydropyra- zino [ 1 ' , 2 ' :l,5]pyrrolo[2,3- d] pyridazine-4-carboxamide
BI 224436 (2S) - [4- (3, 4-Dihydro-2H-chromen-6- yl) -3-quinolinyl ] [ (2-methyl-2- propanyl ) oxy] acetic acid
Bevirimat 3β- ( 3-carboxy-3-methyl -butanoyloxy) bevirimat lup-20(29)- en-28-oic acid dimeglumine
Vivecon
Fosampre- { [ (2R, 3S) -1- [N- (2-methylpropyl) (4- fosampre- navir aminobenzene) sulfonamido] -3- ( { [ (3S) - navir caloxolan-3-yloxy] carbonyl} amino) -4- cium phenylbutan-2-yl ] oxy jphosphonic acid
Lopinavir (2S) -N- [ (2S, S, 5S) -5- [2 - (2, 6- Lopinavir dimethylphenoxy) acetamido] -4-hydroxy- 1, 6-diphenylhexan-2-yl ] -3-methyl-2- (2-oxo-l, 3-diazinan-l-yl) butanamide
Nelfinavir (3S, 4aS, 8aS) -N-tert-butyl-2- [ (2R, 3R) - Nelfinavir
2-hydroxy-3- [ (3-hydroxy-2- mesylate methylphenyl ) formamido] -4-
(phenylsulfanyl ) butyl ] - decahydroisoquinoline-3-carboxamide Ritonavir 1, 3-thiazol-5-ylmethyl N- [ (2S, 3S, 5S) - Ritonavir 3-hydroxy-5- [ (2S) -3-methyl-2- { [methyl ( { [2- (propan-2-yl) -1, 3- thiazol-4- yl ] methyl } ) carbamoyl ] amino jbutanamido ] -1, 6-diphenylhexan-2-yl ] carbamate
Saquinavir (2S) -N- [(2S,3R)-4-[(3S)-3- (tert- Saquinavir, butylcarbamoyl ) -decahydroisoquinolin- Saquinavir 2-yl] -3-hydroxy-l-phenylbutan-2-yl ] - mesylate 2- (quinolin-2- ylformamido) butanediamide
Amprenavir (3S) -oxolan-3-yl N- [ (2S, 3R) -3- Amprenavir hydroxy-4- [N- (2-methylpropyl) (4- aminobenzene) sulfonamido] -1- phenylbutan-2-yl ] carbamate
Indinavir (2S) -1- [ (2S, 4R) -4-benzyl-2-hydroxy-4- Indinavir (IDV) { [ (IS, 2R) -2-hydroxy-2, 3-dihydro-lH- inden-l-yl ] carbamoyl } butyl ] -N-tert- butyl-4- (pyridin-3- ylmethyl ) piperazine-2-carboxamide
Atazanavir methyl N- [ (IS) -l-{ [ (2S, 3S) -3-hydroxy- Atazanavir
4- [ (2S) -2- [ (methoxycarbonyl ) amino] - 3, 3-dimethyl-N' -{ [4- (pyridin-2- yl) phenyl] methyl jbutanehydrazido] -1- phenylbutan-2-yl ] carbamoyl } -2 , 2- dimethylpropyl ] carbamate
Darunavir [ (1R, 5S, 6R) -2, 8- Darunavir dioxabicyclo [ 3.3.0 ] oct- 6-yl ] N-
[ (2S, 3R) -4- [ (4-aminophenyl) sulfonyl-
(2-methylpropyl) amino] -3-hydroxy-l- phenyl- butan-2-yl] carbamate
Tipranavir N-{3- [ (1R) -1- [ (2R) -6-hydroxy-4-oxo-2- tipranavir
(2-phenylethyl) -2-propyl-3, 4-dihydro- disodium
2H-pyran-5-yl ] propyl ] phenyl } -5- (trifluoromethyl) pyridine-2- sulfonamide
Trichosan- Trichosan- thin (TCS) thin Calanolide (+)-[10R,llS,12S]-10, 11-trans- A dihydro-12-hydroxy-6, 6, 10, li¬ tetramethyl-4 -propyl-2H, 6H-benzo [1,2- b : 3, 4-b ' : 5, 6-b ' ' ] tripyran-2-one
Ceragenin /
cationic
steroid an¬ tibiotics
(CSAs)
Cyanovirin- cyanovirin- N (CV-N) N (pegylat- ed)
Epigallo- (2R, 3R) -5, 7-dihydroxy-2- (3,4,5- catechin trihydroxyphenyl ) -3, 4-dihydro-2H-l- gallate benzopyran-3-yl 3,4,5- (EGCG) trihydroxybenzoate
Griffithsin
Hydroxycar- hydroxyurea hydroxyurea bamide /
hydroxyurea
Miltefosine 2- (hexadecoxy-oxido- Miltefosine phosphoryl ) oxyethyl-trimethyl-azanium
Seliciclib 2- (R) - ( l-Ethyl-2-hydroxyethylamino) - Seliciclib
6-benzylamino- 9-isopropylpurine
Resveratrol (E) -5- (4 -hydroxystyryl) benzene-1, 3- Resveratrol diol
Chloroquine (RS ) -N ' - (7-chloroquinolin-4-yl) -N, INT- chloro¬ diethyl-pentane-1 , 4-diamine quine,
chloroquine phosphate
Leflunomide 5-methyl-N- [4- (trifluoromethyl) pheLeflunomide nyl] -isoxazole-4-carboxamide
Mycophenol- (4E) -6- (4-Hydroxy-6-methoxy-7-methyl- mycopheno- ic acid 3-oxo-l, 3-dihydro-2-benzofuran-5-yl) - late mo-
4-methylhex-4-enoic acid fetil, my- cophenolate sodium Cobicistat Thiazol-5-ylmethyl N- [l-benzyl-4- [ [2- Cobicistat [ [ (2-isopropylthiazol-4-yl) methyl- methyl-carbamoyl ] amino] -4-morpholino- butanoyl] amino] -5-phenyl- pentyl] carbamate
Dexelvu- 4-Amino-5-fluoro-1- [ (2R, 5S) -5- Dexelvu- citabine (hydroxymethyl ) -2, 5-dihydrofuran-2- citabine yl ] pyrimidin-2-one
Capravirine [5- (3, 5-Dichlorophenyl ) sulfanyl-4- Capravirine propan-2-yl-l- (pyridin-4- ylmethyl) imidazol-2-yl ] methyl carbamate
Emivirine 1- (ethoxymethyl ) -6- (phenylmethyl ) -5- Emivirine propan-2-ylpyrimidine-2 , 4-dione
Lodenosine [ (2S, 4S, 5R) -5- (6-Aminopurin-9-yl) -4- Lodenosine fluorooxolan-2-yl] methanol
Atevirdine [4- [3- (ethylamino) pyridin-2- Atevirdine yl ] piperazin-l-yl ] - (5-methoxy-lH- mesylate indol-2-yl) methanone
Brecanavir [ (3R, 3aS, 6aR) -2, 3, 3a, 4, 5, 6a- Brecanavir
Hexahydrofuro [5, 4-b] furan-3-yl] N- [ (2S, 3R) -4- (1, 3-benzodioxol-5- ylsulfonyl- ( 2 -methylpropyl ) amino) -3- hydroxy-1- [4- [ ( 2 -methyl- 1, 3-thiazol- 4-yl) methoxy] phenyl] butan-2- yl ] carbamate
Aplaviroc 4- (4-{ [ (3R) -l-butyl-3- [ (R) - Aplaviroc cyclohexylhydroxymethyl ] -2, 5-dioxo- 1, 4, 9-triazaspiro [5.5] undecan- 9- yl ] methyl jphenoxy) benzoic acid
Boceprevir (1R, 2S, 5S) -N- [ (2Ξ) -4 -amino- 1- Boceprevir cyclobutyl-3 , 4-dioxobutan-2-yl) ] - 3- { (2S) -2- [ (tert-butylcarbamoyl) amino] - 3, 3-dimethylbutanoyl } - 6, 6-dimethyl- 3-azabicyclo[3.1.0] hexane-2- carboxamide Telaprevir (IS, 3aR, 6aS) -2- [ (2S) -2 - [ [ (2S) -2- Telaprevir
Cyclohexyl-2- (pyrazine-2- carbonylamino) acetyl] amino] -3, 3- dimethylbutanoyl ] -N- [ (3S) -1- (cyclopropylamino) -1, 2-dioxohexan-3- yl] -3, 3a, 4,5,6, 6a-hexahydro-lH- cyclopenta [c] pyrrole-l-carboxamide
Pleconaril 3-{3, 5-dimethyl-4- [3- (3- Pleconaril methylisoxazol-5-yl ) propoxy] phenyl } -
5- (trifluoromethyl) -1,2, 4-oxadiazole
Arbidol l-methyl-2- ( (phenylthio) methyl) -3- Arbidol carbethoxy-4- ( (dimethylamino) methyl) - 5-hydroxy- 6-bromindole
Amantadine adamantan-1 -amine Amantadine
Rimantadine (RS) -1- (1-adamantyl) ethanamine Rimantadine
Oseltamivir ethyl (3R, 4R, 5S) -5-amino-4-acetamido- Oseltamivir
3- (pentan-3-yloxy) -cyclohex-l-ene-1- carboxylate
Zanamivir (2R, 3R, 4S) -4-guanidino-3- (prop-l-en- Zanamivir
2-ylamino) -2- ( ( 1R, 2R) -1 , 2 , 3- trihydroxypropyl ) -3, 4-dihydro-2H- pyran- 6-carboxylic acid
Peramivir (lS,2S,3S,4R)-3-[(lS) - 1 -acetamido-2 - Peramivir ethyl-butyl] -4- (diaminomethylidene- amino) -2-hydroxy-cyclopentane- 1- carboxylic acid
Laninamivir (4S, 5R, 6R) -5-acetamido-4- Laninamivir carbamimidamido- 6- [ (1R, 2R) -3-hydroxy- 2-methoxypropyl ] -5, 6-dihydro-4H- pyran-2-carboxylic acid
PSI7977 Isopropyl (2S) -2- [ [ [ (2R, 3R, 4R, 5R) -5- PSI7977
(2, 4-dioxopyrimidin-l-yl) -4-fluoro-3- hydroxy-4-methyl-tetrahydrofuran-2- yl ] methoxy-phenoxy- phosphoryl ] amino ] propanoate ; or
Sofosbuvir; or P (S) ] -N- (2 ' -Deoxy-2 ' - fluoro-2 ' -methyluridin-5 ' -0- yl) (phenoxy) phosphoryl ] -L-alanine isopropyl ester; or GS-7977
INX189 6-0-Methyl-2 ' -C-methyl-5 ' -0- [0- (2,2- INX189
dimethylpropyl ) -L- alanino] (naphthalen-1- yloxy) phosphoryl ] guanosine
N- [ (2 ' -C, 6-0-Dimethylguanosin-5 ' -0- yl) (naphthalen-l-yloxy) phosphoryl ] -L- alanine 2 , 2-dimethylpropyl ester; or
INX-08189; or BMS-986094
Alamifovir
disoproxil
fumarate
Alamifovir
disoproxil
hemi- fumarate
Table 3c: active compounds (INN), List of Integrity Polymerase Inhibitors :
Rifapentine, Fidaxomicin, 2 ' -Deoxy-2 ' -methylidencytidine ; 4- Amino-1- (2 ' -deoxy-2 ' -methyliden-1 ' -beta-D-ribofuranosyl ) -2 (1H) - pyrimidinone, Aphidicolin glycinate, Clofarabine, Tezacitabine,
1- (2-Cyano-2-deoxy-beta-D-arabinofuranosyl) cytosine, Sapacita- bine, Alkasar-18, Ethynylcytidine, Troxacitabine, Actinomycin D / Dactinomycin, Bakuchiol; Drupanol, Torcitabine, Hexadecyloxy- propyl-cidofovir, 7-Deaza-2 ' -C-methyladenosine, Bis (2,2- dimethylpropionic acid) 1- (2-amino-9H-purin-9- ylmethyl) cyclopropoxymethylphosphorylbis (oxymethylene) diester,
2- [4- [4 ' -Chloro-4- (2-oxopyrrolidin-l-yl) biphenyl-2-ylmethoxy] -2- fluorophenyl ] -l-cyclohexyl-lH-benzimidazole-5-carboxylic acid hydrochloride, 4 ' -C-Azidocytidine, 4-Amino-l- [ (2R, 3R, 4R, 5R) -3, 4- dihydroxy-5- (hydroxymethyl ) -3-methyltetrahydrofuran-2- yl ] pyrimidin-2 ( 1H) -one ; 2 ' -C-Methylcytidine, 2- [ 5-Cyano-8- methyl-1 (R) -propyl-1, 3, 4, 9-tetrahydropyrano [3, 4-b] indol-1- yl] acetic acid, 2- (4-Fluorophenyl) -5-isopropoxy-N-methyl- 6-
(methylsulfonamido) -1-benzofuran-3-carboxamide, 2 ' -C- Methylguanosine, Balapiravir hydrochloride, 1- (2 ' -Deoxy-2 ' - fluoro-2 ' -C-methyl-beta-D-ribofuranosyl )cytosine, 8-[3(R)-[l-[N-
[1- [21 (S) -Acetoxy-5, 6, 9, 17 (S) , 19 (R) -pentahydroxy-23 (S) -methoxy- 2(S),4,12,16(S),18(R),20(R),22(R) -heptamethyl-1 , 11-dioxo-l, 2- dihydro-2 , 7- (epoxy [ 1 , 11, 13] pentadecatrienimino) naphtho [2,1- b] furan-8-ylmethylideneamino] piperidin-4-yl] -N- methylamino] cyclopropyl]pyrrolidin-l-yl]-l-cyclopropyl-7-fluoro- 9-methyl-4-oxo-4H-quinolizine-3-carboxylic acid; 8- [4- [N- [1- [1- (3-Carboxy-l-cyclopropyl-7-fluoro-9-methyl-4-oxo-4H-quinolizin- 8-yl) pyrrolidin-3 (R) -yl] cyclopropyl] -N-methylamino ] piperidin-1- yliminomethyl ] rifamycin SV, 1- (4-tert-Butyl-3-methoxybenzoyl) - 4 (S) - (methoxymethyl) -2 (R) - (lH-pyrazol-l-ylmethyl) -5 (R) - (2- thiazolyl) pyrrolidine-2-carboxylic acid, Filibuvir
Table 3d: active compounds (INN), List of Integrity RTIs:
N- (2-Nitrobenzoyl ) -N ' - [ 4- ( 5-bromo-2-pyrimidinyloxy) -3- chlorophenyl ] urea, Dioxolane T; Dioxolane thymine nucleoside, Berberine iodide, 3 ' -Azido-3 ' -deoxythymidylyl- ( 5 ' , 5 ' ) -2 ' , 3 ' - dideoxy-5 ' -inosinic acid, Lipoic acid, 3- (4, 7- Dichlorobenzoxazol-2-ylmethylamino) -5-ethyl- 6-methylpyridin- 2(lH)-one; (L-697661), 3- (4, 7-Dimethylbenzoxazol-2- ylmethylamino) -5-ethyl- 6-methylpyridin-2 (1H) -one; (L-697639) , 3-
[2- (Benzoxazol-2-yl) ethyl] -5-ethyl- 6-methylpyridine-2 (1H) -one
(L-696229) , 1- (2, 6-Difluorophenyl ) -1H, 3H-thiazolo [3, 4- a] benzimidazole (NSC-625487) , 5-Ethyl-3- (5-ethyl-2-methoxy-6- methylpyridin-3-ylmethylamino) - 6-methylpyridin-2 (1H) -one (L- 702007), Apricitabine ; (±) -cis-1- [2- (Hydroxymethyl ) -1, 3- oxathiolan-4-yl ] cytosine; (±) -2 ' -Deoxy-3 ' -oxa-4 ' -thiocytidine
(dOTC) , (-) - (S) -6-Chloro-2- [1- (furo [2, 3-c] pyridin-5- yl) ethylsulfanyl] pyrimidine-4-amine (PNU-142721) , (-) -6-Chloro- 4 (S) - (2-cyclopropylethynyl) -4- (trifluoromethyl) -3, 4-dihydro-lH- quinazolin-2-one, 4 (S) - (2-Cyclopropylethynyl) -5, 6-difluoro-4-
(trifluoromethyl) -3, 4-dihydro-lH-quinazolin-2-one, N- (5- Cyanopyridin-2-yl )-N'-[(lS,2S)-2-( 6-fluoro-2 -hydroxy-3- propionylphenyl ) cyclopropyl ] urea, Phosphonovir, (E) -6-Chloro- 4 (S) - (2-cyclopropylvinyl) -4- (trifluoromethyl) -3, 4-dihydro-lH- quinazolin-2-one, (E) -4 (S) - (2-Cyclopropylvinyl) -5, 6-difluoro-4-
(trifluoromethyl) -3, 4-dihydro-lH-quinazolin-2-one, (-) - (2R, 4R) - 4- [2-Amino-6- (cyclopropylamino) - 9H-purin- 9-yl ] -1, 3-dioxolane-2- methano, Lagociclovir valactate, (+) -2 (R) - (3, 4-Dihydroxyphenyl) - 3 (R) , 5, 7-trihydroxy-2 , 3-dihydro-4H-l-benzopyran-4-one; (Dihy- droquercetin) ; taxifolin, 32-Cascade :N- [ (S) - diphenylmethylacetamide ] [2-2,2] : [ (S)-2-oxo-3-azapropylidene:2- oxo-3-azaheptylidene ] 4 : [ (S) -3-oxo-4-aza-l-oxabutyl :3-oxo-4-aza- 1-oxaoctylede] naphthalene-2, 7-disulfonic acid disodium salt, 11- Ethyl-5-methyl-8- [2- ( l-oxidoquinolin-4-yloxy) ethyl] -6, 11- dihydro-5H-dipyrido [3,2-b:2',3'-e] [l,4]diazepin-6-one, Tenofovir alafenamide fumarate, N- [4- [2- [4-Chloro-2- (3-chloro-5- cyanobenzoyl ) phenoxy] acetamido] -3- methylphenylsulfonyl ] propionamide sodium salt, 2- [4-Chloro-2- (3- chloro-5-cyanobenzoyl ) phenoxy] -N- (2-methyl-4- sulfamoylphenyl ) acetamide; 4- [2- [4-Chloro-2- (3-chloro-5- cyanobenzoyl ) phenoxy] acetamido] -3-methylbenzenesulfonamide, Ler- sivirine, 5 (S) - (Cyclopropylmethoxy) -7-fluoro-5-
(trifluoromethyl) -5, 10-dihydrobenzo [b] -1, 8-naphthyridine 1- oxide, Festinavir, Niglizin, [S (P) ] - [5 (R) - ( 9H-Adenin- 9-yl ) -4- fluoro-2, 5-dihydrofuran-2 (R) -yloxymethyl ] -N- [1 (S) -
(ethoxycarbonyl ) ethyl ] phosphonamidic acid phenyl ester, 2- [4- Bromo-3- ( 3-chloro-5-cyanophenoxy) -2-fluorophenyl ] -N- [2-chloro-4-
(propionamidosulfonyl ) phenyl ] acetamide sodium salt, 4- [2- [5- Bromo-4- (4-cyclopropylnaphthalen-l-yl) -4H-1, 2, 4-triazol-3- ylsulfanyl ] acetamido ] -3-chlorobenzoic acid potassium salt, Fosdevirine, 2- [5-Bromo-4- (4-cyclopropylnaphthalen-l-yl) -4H- l,2,4-triazol-3-ylsulfanyl]-N-(2-chloro-4- sulfamoylphenyl ) acetamide, 3- [5- ( 6-Amino-lH-pyrazolo [3, 4- b] pyridin-3-ylmethoxy) -2-chlorophenoxy] -5-chlorobenzonitrile, 3- [4- [1- [ 3-Cyclopentyl-l-methyl-2- (2-pyridyl) -lH-indol-6- ylcarboxamido ] cyclobutylcarboxamido ] phenyl] -2-propenoic acid trifluoroacetate, Mericitabine, 5 ' -0- [ (Benzylamino) [2- (3- hydroxy-2, 2-dimethylpropionylsulfanyl) ethoxy] phosphoryl] -2 ' -C- methylguanosine, 6- [2- (5-Chloro-2, 4-dimethoxyphenyl) ethyl] -6- cyclopentyl-3- ( 5 , 7 -dimethyl [1, 2, 4] triazolo [1, 5-a] pyrimidin-2- ylsulfanyl) -4-hydroxy-5, 6-dihydropyran-2-one, Tegobuvir, 2- (4- Methyl-1, 4-diazepan-l-yl) -N- (5-methylpyrazin-2-ylmethyl) -5-oxo- 5H-benzothiazolo [3, 2-a] [ 1 , 8 ] naphthyridine- 6-carboxamide, N-[6- [ 3-tert-Butyl-5- (2, 4-dioxo-3, 4-dihydropyrimidin-l (2H) -yl) -2- methoxyphenyl ] naphthalen-2-yl ] methanesulfonamide, 2-Hydroxy- N, , -trimethylethanaminium (2S) -2-tert-butyl-l- (3, 3- dimethylbutyl ) -4- [l-ethoxy-7- [ (methylsulfonyl ) amino] -1-oxido- 1, 4-dihydro-2, 4, l-benzodiazaphosphorin-3-yl ] -5-oxo-2, 5-dihydro- lH-pyrrol-3-olate, N- (4- [ (E) -2- [ 3-tert-Butyl-5- (2, 4-dioxo-3, 4- dihydropyrimidin-1 (2H) -yl) -2- methoxyphenyl ] ethenyl] phenyl) methanesulfonamide, Lomibuvir, Lurbinectedin, Deleobuvir, cis-4 ' -Azido-5 ' -0- [ 4 (S) - (3- chlorophenyl ) -2-oxo-l, 3, 2-dioxaphosphorinan-2-yl ] -2 ' , 3 ' -0- bis (propionyl) uridine, 1- (2-Amino-6-ethoxy-9H-purin-9-yl) -2- fluoro-2-C-methyl-l, 2-dideoxy-beta-D-ribofuranose 3, 5-cyclic
[P (R) ] -isopropylphosphate, (laR, 12bS) -8-Cyclohexyl-N- (dimethylsulfamoyl ) -11-methoxy-la- [ (3-methyl-3, 8- diazabicyclo[3.2.1]oct-8-yl)carbonyl]-l,la,2,12b- tetrahydrocyclopropa [d] indolo [2,1-a] [2]benzazepine-5- carboxamide, 6-0-Methyl-2 ' -C-methyl-5 ' -0- [0- (2, 2- dimethylpropyl ) -L-alanino] (naphthalen-1- yloxy) phosphoryl ] guanosine, Setrobuvir, Sofosbuvir, 13- Cyclohexyl-3-methoxy-17 , 23-dimethyl-7H-10, 6-
(methanoiminothioiminoethanooxyethanoiminomethano) indolo [2, 1- a] [ 2 ] benzazepine-14 , 24-dione 16, 16-dioxide, (2R)-4-(5- Cyclopropyl [1, 3] thiazolo [4, 5-d] pyrimidin-2-yl ) -N- [3-fluoro-4-
( trifluoromethoxy) benzyl ] -1- [ [4-
(trifluoromethyl) phenyl] sulfonyl] piperazine-2-carboxamide, (2R, 3S, 4S, 5R) -5- ( 4 -Amino-2 -oxopyrimidin- 1 (2H) -yl) -2-azido-4- methyl-2- [ [ (2-methylpropanoyl) oxy] methyl] tetrahydrofuran-3-yl 2- methylpropanoate, 5- (3, 3-Dimethylbut-l-yn-l-yl) -3- [ [cis-4- hydroxy-4- [ [ (3S) -tetrahydrofuran-3- yloxy] methyl ] cyclohexyl ] [ [ ( 1R) -4-methylcyclohex-3-en-l- yl] carbonyl] amino] thiophene-2-carboxylic acid, N- [ (S) - [5 (R) - (4- Aminopyrrolo [2,1-f] [l,2,4]triazin-7-yl) -5-cyano-4 (R) -hydroxy- 3 (R) - ( isobutyryloxy) -4-methyltetrahydrofuran-2 (R) - ylmethoxy] (phenoxy) phosphoryl ] -L-alanine isopropyl ester, [4- [ [ [ 5-Cyclopropyl-2- (4-fluorophenyl) -3- (methylcarbamoyl ) -1- benzofuran- 6-yl ] (methylsulfonyl ) amino] methyl] -2- fluorophenyl ] boronic acid
Table 3 consists of table 3a, 3b, 3c and 3d.
Preferred inventive compounds are Tomeglovir derivatives, Alamifovir or Alamifovir derivatives, Emtricitabine or Emtricit- abine derivatives, Entecavir or Entecavir derivatives, Adefovir or Adefovir derivatives, Cidofovir or Cidofovir derivatives, Tenofovir or Tenofovir derivatives. In special inventive groups of active compounds Adefovir (PMEA) is included or excluded. In special inventive groups of active compounds Adefovir Dipivoxil (Bis-POM PMEA) is included or excluded. In special inventive groups of active compounds Tenofovir (PMPA) is included or ex- eluded. In special inventive groups of active compounds Pradefo- vir (Remofovir, CAS 625095-60-5) is included or excluded.
In a preferment, the inventive compound is Tomeglovir (Synonym: BAY-38-4766; Chemical name: N- [4- [5- (Dimethylamino) -1- naphthylsulfonamido ] phenyl ] -3-hydroxy-2 , 2-dimethylpropionamide ; CAS number: 233254-24-5), or any derivatives, salts, prodrugs or metabolites of Tomeglovir. Tomeglovir is an antiviral compound that was originally developed against Cytomegalovirus infection, and its antiviral properties are effected by the inhibition of viral terminase enzyme. In a preferment , the Tomeglovir deriva¬ tive is selected from the derivatives as described in EP 1049666 Bl (incorporated herein by reference) , especially selected from t the formula (I) :
Figure imgf000034_0001
in which
R and R are identical or different and represent hydrogen, formyl, phenyl or benzyl optionally substituted by one to three halogen atoms, or straight-chain or branched alkyl or acyl each having up to 6 carbon atoms, where alkyl or acyl can optionally be substituted by one to three substituents selected from halo¬ gen and hydroxyl,
A, D, E and G are identical or different and represent hydro¬ gen, halogen, nitro, cyano, hydroxyl, carboxyl, trifluoromethyl , trifluoromethoxy or straight-chain or branched alkyl, alkoxy or alkoxycarbonyl each having up to 5 carbon atoms,
R3 represents straight-chain or branched alkenyl having up to 6 carbon atoms, or represents straight-chain or branched alkyl having up to 8 carbon atoms, which optionally carries an amino group which can optionally be substituted by alkyl having up to 4 carbon atoms or by an amino protective group, or the alkyl is optionally identically or differently substituted one to 3 times by hydroxyl, cyano, halogen, azido, nitro, trifluoromethyl , car¬ boxyl or phenyl which, for its part, can be identically or dif¬ ferently substituted up to 2 times by nitro, halogen, hydroxyl or by straight-chain or branched alkyl or alkoxy having up to 4 carbon atoms, or R3 represents radicals of the formulae:
Figure imgf000035_0001
in which
L represents a straight-chain or branched alkanediyl group having up to 6 carbon atoms,
Q represents alkyl having up to 6 carbon atoms, which is op¬ tionally substituted by carboxyl, or represents radicals of the formulae :
Figure imgf000035_0002
in which
a denotes the number 1 or 2,
R5 denotes hydrogen,
R6 denotes cycloalkyl having 3 to 8 carbon atoms or aryl having 6 to 10 carbon atoms or hydrogen, or denotes straight-chain or branched alkyl having up to 8 carbon atoms, where the alkyl is optionally substituted by cyano, methylthio, hydroxyl, mercapto, guanidyl or by a group of the formula -NR9R10 or -R11-OC-,
in which
R9 and R10 independently of one another denote hydrogen, straight-chain or branched alkyl having up to 8 carbon atoms or phenyl, and
R11 denotes hydroxyl, benzyloxy, alkoxy having up to 6 carbon atoms or the abovementioned group -NR9R10,
or the alkyl is optionally substituted by cycloalkyl having 3 to 8 carbon atoms or by aryl having 6 to 10 carbon atoms, which, for its part, is substituted by hydroxyl, halogen, nitro, alkoxy having up to 8 carbon atoms or by the group -NR9R10, in which
R9 and R10 have the meaning indicated above,
or the alkyl is optionally substituted by a 5- to 6-membered ni¬ trogen-containing heterocycle or by indolyl, in which the corre¬ sponding -NH functions are optionally substituted by alkyl hav¬ ing up to 6 carbon atoms or protected by an amino protective group, R7 and R8 are identical or different and denote hydrogen or an amino protective group,
R4 denotes hydrogen or a radical of the formula
—CO^NR7R8' in which
R5', R6', R7' and R8' have the meaning of R5, R6, R7 and
R8 indicated above and are identical to or different from this,
X has the meaning of R4 indicated above and can be identical to or different from this meaning,
and their stereoisomers, stereoisomeric mixtures and salts.
N- [4- [ [ [5- (dimethylamino) -1-naphthalenyl ] sulphonyl] - amino ] phenyl ] acetamide may be included or excepted from these compounds .
Preferably said compounds or intermediates or derivatives thereof are of the general formula (I), in which
R1 and R2 are identical or different and represent hydrogen, phenyl or straight-chain or branched alkyl or acyl each having up to 6 carbon atoms,
A, D, E and G are identical or different and represent hydro¬ gen, halogen, nitro, cyano, hydroxyl, carboxyl, trifluoromethyl , trifluoromethoxy or straight-chain or branched alkyl, alkoxy or alkoxycarbonyl each having up to 5 carbon atoms,
R3 represents straight-chain or branched alkenyl having up to 6 carbon atoms, or represents straight-chain or branched alkyl having up to 8 carbon atoms, which optionally carries an amino group which can be substituted by alkyl having up to 4 carbon atoms or by an amino protective group, or the alkyl is optional¬ ly identically or differently substituted one to 3 times by hy¬ droxyl, cyano, halogen, azido, nitro, trifluoromethyl , carboxyl or phenyl which, for its part, can be identically or differently substituted up to 2 times by nitro, halogen, hydroxyl or by straight-chain or branched alkyl or alkoxy having up to 4 carbon atoms, or
R3 represents radicals of the formulae
Figure imgf000037_0001
in which
L represents a straight-chain or branched alkanediyl group having up to 6 carbon atoms,
Q represents alkyl having up to 6 carbon atoms, which is op¬ tionally substituted by carboxyl, or represents radicals of the formulae
Figure imgf000037_0002
in which
a denotes the number 1 or 2,
R5 denotes hydrogen,
R6 denotes cycloalkyl having 3 to 8 carbon atoms or aryl having 6 to 10 carbon atoms or hydrogen, or
denotes straight-chain or branched alkyl having up to 8 carbon atoms ,
where the alkyl is optionally substituted by cyano, methylthio, hydroxyl, mercapto, guanidyl or by a group of the formula - NR9R10 or -R^-OC-, in which
R9 and R10 independently of one another denote hydrogen, straight-chain or branched alkyl having up to 8 carbon atoms or phenyl, and
R11 denotes hydroxyl, benzyloxy, alkoxy having up to 6 carbon atoms or the abovementioned group -NR9R10,
or the alkyl is optionally substituted by cycloalkyl having 3 to 8 carbon atoms or by aryl having 6 to 10 carbon atoms which, for its part, is substituted by hydroxyl, halogen, nitro, alkoxy having up to 8 carbon atoms or by the group -NR9R10, in which
R9 and R10 have the meaning indicated above,
or the alkyl is optionally substituted by a 5- to 6-membered ni¬ trogen-containing heterocycle or by indolyl, in which the corre¬ sponding -NH functions are optionally substituted by alkyl hav¬ ing up to 6 carbon atoms or protected by an amino protective group, R7 and R8 are identical or different and denote hydrogen or an amino protective group,
R4 represents hydrogen or a radical of the formula
Figure imgf000038_0001
in which
R5', R6', R7' and R8' have the meaning of R5, R6, R7 and R8 indi¬ cated above and are identical to or different from these, and
X represents hydrogen,
and their stereoisomers, stereoisomer mixtures and salts.
Preferably said compounds or intermediates or derivatives thereof are of the general formula (I), in which
R3 represents straight-chain or branched alkenyl having up to 6 carbon atoms, or represents straight-chain or branched alkyl having up to 8 carbon atoms, in which the alkyl carries an amino group which can be substituted by alkyl having up to 4 carbon atoms or by an amino protective group, or the alkyl is identi¬ cally or differently substituted one to 3 times by hydroxyl, cy- ano, halogen, azido, nitro, trifluoromethyl , carboxyl or phenyl which, for its part, can be identically or differently substi¬ tuted up to 2 times by nitro, halogen or hydroxyl or by
straight-chain or branched alkyl or alkoxy having up to 4 carbon atoms, or
R3 represent radicals of the formulae
Figure imgf000038_0002
in which L and Q are as defined above.
Preferably said compounds or intermediates or derivatives thereof are of the general formula (I) above, in which
R1 and R2 are identical or different and represent hydrogen, phenyl or straight-chain or branched alkyl or acyl each having up to 5 carbon atoms, A, D, E and G are identical or different and represent hydro¬ gen, fluorine, chlorine, bromine, nitro, cyano, hydroxyl or straight-chain or branched alkyl, alkoxy or alkoxycarbonyl each having up to 3 carbon atoms,
R3 represents straight-chain or branched alkenyl having up to 5 carbon atoms, or
represents straight-chain or branched alkyl having up to 7 carbon atoms which optionally carries an amino group which can be substituted by alkyl having up to 3 carbon atoms, tert- bu- tyloxycarbonyl or benzyloxycarbonyl , or the alkyl is optionally identically or differently substituted one to 3 times by hydrox¬ yl, cyano, fluorine, chlorine, azido, nitro, trifluoromethyl or phenyl which, for its part, can be identically or differently substituted up to 2 times by nitro, fluorine, chlorine or hy¬ droxyl or by straight-chain or branched alkyl or alkoxy having up to 3 carbon atoms, or
R3 represent radicals of the formulae:
Figure imgf000039_0001
in which
L represents a straight-chain or branched alkanediyl group having up to 4 carbon atoms,
Q represents alkyl having up to 4 carbon atoms, which is op¬ tionally substituted by carboxyl, or represents radicals of the formulae :
Figure imgf000039_0002
in which
a denotes the number 1 or 2,
R5 denotes hydrogen,
R6 denotes cyclopentyl, cyclohexyl, phenyl or hydrogen, or de¬ notes straight-chain or branched alkyl having up to 6 carbon atoms , where the alkyl can optionally be substituted by cyano, methyl- thio, hydroxyl, mercapto, guanidyl, amino, carboxyl or ¾N-CO-, or the alkyl is substituted by cyclohexyl, naphthyl or phenyl which, for its part, can be substituted by fluorine, hydroxyl, nitro or alkoxy having up to 4 carbon atoms,
or the alkyl is substituted by indolyl, imidazolyl, pyridyl, triazolyl or pyrazolyl, where the corresponding -NH functions are optionally substituted by alkyl having up to 4 carbon atoms or protected by tert-butyloxycarbonyl or benzyloxycarbonyl ,
R7 and R8 are identical or different and denote hydrogen, tert- butyloxycarbonyl or benzyloxycarbonyl,
R4 represents hydrogen or a radical of the formula:
Figure imgf000040_0001
in which
R5', R6', R7' and R8'
have the meaning of R5, R6, R7 and R8 indicated above and are identical to or different from these,
and their stereoisomers, stereoisomer mixtures and salts.
Preferably said compounds or intermediates or derivatives thereof are of the general formula (I) above, in which
R3 represents straight-chain or branched alkenyl having up to 5 carbon atoms, or
represents straight-chain or branched alkyl having up to 7 carbon atoms, in which the alkyl carries an amino group which can be substituted by alkyl having up to 3 carbon atoms, tert- butyloxycarbonyl or benzyloxycarbonyl, or the alkyl is identically or differently substituted one to 3 times by hydroxyl, cy¬ ano, fluorine, chlorine, azido, nitro, trifluoromethyl or phenyl which, for its part, can be identically or differently substi¬ tuted up to 2 times by nitro, fluorine, chlorine or hydroxyl or by straight-chain or branched alkyl or alkoxy having up to 3 carbon atoms, or
R3 represents radicals of the formulae
Figure imgf000041_0001
in which L and Q are as defined above.
Preferably said compounds or intermediates or derivatives thereof are of the general formula (I), above in which
R1 and R2 are identical or different and represent hydrogen, phenyl or straight-chain or branched alkyl or acyl each having up to 4 carbon atoms,
A, D, E and G are identical or different and represent hydro¬ gen, fluorine, chlorine, bromine, hydroxyl, methyl or methoxy,
R3 represents straight-chain or branched alkenyl having up to 4 carbon atoms, or
represents straight-chain or branched alkyl having up to 5 carbon atoms, which optionally carries an amino group which can be substituted by tert-butyloxycarbonyl or benzyloxycarbonyl , or which is optionally identically or differently substituted one to 3 times by hydroxyl, cyano, fluorine, chlorine, nitro, azido, trifluoromethyl or phenyl which, for its part, can be identically or differently substituted up to 2 times by nitro, fluorine, chlorine, hydroxyl, methyl, ethyl, methoxy or ethoxy, or
R3 represents radicals of the formulae
Figure imgf000041_0002
in which
L represents a straight-chain or branched alkanediyl group having up to 4 carbon atoms,
Q represents alkyl having up to 3 carbon atoms, which is op¬ tionally substituted by carboxyl, or
re resents a radical of the formula
Figure imgf000041_0003
in which R5 denotes hydrogen,
R6 denotes cyclopentyl, cyclohexyl or hydrogen, or denotes straight-chain or branched alkyl having up to 4 carbon atoms, where the alkyl can optionally be substituted by cyano, methyl- thio, hydroxyl, mercapto, guanidyl, amino, carboxyl or ¾N-CO-, or the alkyl is substituted by cyclohexyl, naphthyl or phenyl which, for its part, can be substituted by fluorine, chlorine or alkoxy having up to 4 carbon atoms,
or the alkyl is substituted by indolyl, imidazolyl, triazolyl, pyridyl or pyrazolyl, where the corresponding -NH functions are optionally substituted by methyl or protected by benzyloxymeth- ylene or tert-butyloxy-carbonyl (BOC) ,
R7 and R8 are identical or different and denote hydrogen or tert-butyloxycarbonyl ,
R4 represents hydrogen or a radical of the formula
Figure imgf000042_0001
V
in which
R5', R6', R7' and R8' have the meaning of R5, R6, R7 and
R8 indicated above and are identical to or different from these, and their stereoisomers, stereoisomer mixtures and salts.
Preferably said compounds or intermediates or derivatives thereof are of the general formula (I) above, in which
R3 represents straight-chain or branched alkenyl having up to 4 carbon atoms, or
represents straight-chain or branched alkyl having up to 5 carbon atoms, in which the alkyl carries an amino group which can be substituted by tert-butyloxycarbonyl or benzyloxycarbonyl , or the alkyl is identically or differently substituted one to 3 times by hydroxyl, cyano, fluorine, chlorine, nitro, azido, tri- fluoromethyl or phenyl which, for its part, can be identically or differently substituted up to 2 times by nitro, fluorine, chlorine, hydroxyl, methyl; ethyl, methoxy or ethoxy, or
R3 represents radicals of the formulae
Figure imgf000043_0001
in which L or Q are as defined above,
and their stereoisomers, stereoisomeric mixtures and salts.
Preferably said compounds or intermediates or derivatives thereof are of the general formula (I) above, in which
R1 and R2 represent straight-chain or branched alkyl having up to 4 carbon atoms,
A, D, E and G represent hydrogen,
R3 represents straight-chain or branched alkyl having up to 5 carbon atoms, which is substituted by hydroxyl, or
R3 represents a radical of the formula -L-O-CO-Q in which
L represents a straight-chain or branched alkanediyl group having up to 4 carbon atoms,
Q represents a radical of the formula
Figure imgf000043_0002
in which
R5 and R6 denote hydrogen, and
R7 and R8 denote hydrogen, and
R4 represents hydrogen
and their stereoisomers, stereoisomeric mixtures and salts.
Preferably said compounds or intermediates or derivatives thereof are of the general formula (I) above, which are selected from the group of the following compounds :
Figure imgf000043_0003
and
Figure imgf000044_0001
The compound may be provided in a composition in association with a pharmaceutically acceptable substantially nontoxic carri¬ er or excipient.
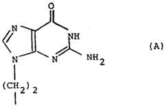
In a preferment, the inventive compound is Alamifovir (Syno¬ nym: LY-582563, MCC-478; Chemical name: Bis (2,2,2- trifluoroethyl ) ( (2- (2-amino-6- ( (4-methoxyphenyl) sulfanyl) -9H- purin-9-yl) ethoxy) methyl) phosphonate ; Bis (2,2, 2-trifluoroethyl) ( (2- { 2-amino-6- ( (4-methoxyphenyl) sulfanyl) -9H-purin-9- yl } ethoxy) methyl ) phosphonate ; CAS number: 193681-12-8), or any derivatives, salts, prodrugs, metabolites of Alamifovir, includ¬ ing but not restricted to the prodrugs Alamifovir disoproxil fumarate and Alamifovir disoproxil hemifumarate, orxrelated compounds' of Alamifovir. Alamifovir is a purine nucleotide ana¬ logue antiviral compound that was originally developed against Hepatitis B virus infection, and its antiviral properties are effected by the inhibition of viral DNA polymerase enzyme. Ala¬ mifovir disoproxil hemifumarate is a prodrug of Alamifovir, that has been in the preclinical phase of development in rodents, as an anti-Hepatitis B antiviral.
In a preferment, the derivative or salt or prodrug or metab¬ olite of Alamifovir is selected from the compounds as described in EP 0785208 Bl and EP 2511281 Al (all incorporated herein by reference) , especially selected from the compounds, or their salts or hydrates or solvates or intermediates thereof, of the formula I ) :
Figure imgf000044_0002
wherein R1 represents hydrogen atom, a C1-C6 alkoxy group, a Ci- C4alkoxy group substituted with one or more halogen atoms, a hal¬ ogen atom, amino group, or nitro group; R2 and R3 independently represent hydrogen atom, a C1-C22 alkyl group, an acyloxymethyl group, an acylthioethyl group, or an ethyl group substituted with one or more halogen atoms; R4represents hydrogen atom, a Ci- C4 alkyl group, a C1-C4 hydroxyalkyl group, or a C1-C4 alkyl group substituted with one or more halogen atoms; and X represents a carbon atom or a nitrogen atom.
Preferably, R1 represents hydrogen atom or a C1-C6 alkoxy group. Preferably, R1 represents hydrogen atom or a C1-C4 alkoxy group; and R2 and R3 independently represent hydrogen atom, a Ci- C22 alkyl group, or an ethyl group substituted with one or more halogen atoms.
Preferably, R1 represents hydrogen atom or a C1-C4 alkoxy group; R2 and R3 independently represent hydrogen atom, a C1-C22 alkyl group, or 2 , 2 , 2-trifluoroethyl group; and R4 represents hydrogen atom or methyl group.
Preferably, R1 represents hydrogen atom or a C1-C4 alkoxy group; R2 and R3 independently represent hydrogen atom or 2,2,2- trifluoroethyl group; and R4represents hydrogen atom or methyl group .
Preferably, the compound is selected from the group consisting of:
2 -amino- 9- [2- [bis (2, 2, 2-trifluoroethyl) phosphonylmethoxy] ethyl] - 6-phenylthiopurine ;
2 -amino- 9- [2- [bis (2, 2, 2-trifluoroethyl) phosphonylmethoxy] ethyl] - 6-p-methoxyphenylthiopurine ;
2 -amino- 9- [2- [bis (2, 2, 2-trifluoroethyl) phosphonylmethoxy] ethyl] - 6-m-methoxyphenylthiopurine ;
2 -amino- 9- [2- [bis (2, 2, 2-trifluoroethyl) phosphonylmethoxy] ethyl] - 6-o-methoxyphenylthiopurine ;
2 -amino- 9- [2- [bis (2, 2, 2-trifluoroethyl) phosphonylmethoxy] ethyl] - 6-p-ethoxyphenylthiopurine ;
2 -amino- 9- [2- [bis (2,2, 2- trifluoroethyl ) phosphonylmethoxy] propyl ] - 6-phenylthiopurine ;
2 -amino- 9- [2- [bis (2,2, 2- trifluoroethyl ) phosphonylmethoxy] propyl ] - 6-p- methoxyphenylthiopurine ; 2 -amino- 9- [2- [ (2,2, 2-trifluoroethyl) phosphonylmethoxy] ethyl] -6- phenylthiopurine ;
2 -amino- 9- [2- [ (2,2, 2-trifluoroethyl) phosphonylmethoxy] ethyl] -6- p-methoxyphenylthiopurine ;
2-amino-9- [2- [phosphonylmethoxy] ethyl] -6-phenylthiopurine;
2-amino-9- [2- [phosphonylmethoxy] ethyl] -6-p- methoxyphenylthiopurine ;
2 -amino- 9- [2- [bis (2, 2, 2-trifluoroethyl) phosphonylmethoxy] ethyl] - 6-p-butoxyphenylthiopurine ;
2 -amino- 9- [2- [bis (2, 2, 2-trifluoroethyl) phosphonylmethoxy] ethyl] - 6-p-propoxyphenylthiopurine ;
2 -amino- 9- [2- [bis (2, 2, 2-trifluoroethyl) phosphonylmethoxy] ethyl] - 6-p-isopropoxyphenylthiopurine ; and
2 -amino- 9- [2- [bis (2, 2, 2-trifluoroethyl) phosphonylmethoxy] ethyl] - 6-p-isobutoxyphenylthiopurine .
Preferably, R1 is hydrogen atom or a C1-C4 alkoxy group; R2 and R3 represent 2 , 2 , 2-trifluoroethyl group; and R4 represents hydro¬ gen atom or methyl group.
Preferably, the compound is selected from the group consisting of:
2 -amino- 9- [2- [bis (2, 2, 2-trifluoroethyl) phosphonylmethoxy] ethyl] - 6-phenylthiopurine ;
2 -amino- 9- [2- [bis (2, 2, 2-trifluoroethyl) phosphonylmethoxy] ethyl] - 6-p-methoxyphenylthiopurine ;
2 -amino- 9- [2- [bis (2, 2, 2-trifluoroethyl) phosphonylmethoxy] ethyl] - 6-m-methoxyphenylthiopurine ;
2 -amino- 9- [2- [bis (2, 2, 2-trifluoroethyl) phosphonylmethoxy] ethyl] - 6-o-methoxyphenylthiopurine ;
2 -amino- 9- [2- [bis (2, 2, 2-trifluoroethyl) phosphonylmethoxy] ethyl] - 6-p-ethoxyphenylthiopurine ;
2 -amino- 9- [2- [bis (2,2, 2- trifluoroethyl ) phosphonylmethoxy] propyl ] - 6-phenylthiopurine ;
2 -amino- 9- [2- [bis (2,2, 2- trifluoroethyl ) phosphonylmethoxy] propyl ] - 6-p- methoxyphenylthiopurine ;
2 -amino- 9- [2- [bis (2, 2, 2-trifluoroethyl) phosphonylmethoxy] ethyl] - 6-p-butoxyphenylthiopurine ;
2 -amino- 9- [2- [bis (2, 2, 2-trifluoroethyl) phosphonylmethoxy] ethyl] - 6-p-propoxyphenylthiopurine ; 2 -amino- 9- [2- [bis (2, 2, 2-trifluoroethyl) phosphonylmethoxy] ethyl] - 6-p-isopropoxyphenylthiopurine ; and
2 -amino- 9- [2- [bis (2, 2, 2-trifluoroethyl) phosphonylmethoxy] ethyl] - 6-p-isobutoxyphenylthiopurine .
Preferably, R1 is hydrogen atom or a C1-C4 alkoxy group; R2 and R3 represent 2 , 2 , 2-trifluoroethyl group; and R4 represents hydro¬ gen atom.
Preferably, the compound is selected from the group consisting of:
2 -amino- 9- [2- [bis (2, 2, 2-trifluoroethyl) phosphonylmethoxy] ethyl] - 6-phenylthiopurine ;
2 -amino- 9- [2- [bis (2, 2, 2-trifluoroethyl) phosphonylmethoxy] ethyl] - 6-p-methoxyphenylthiopurine ;
2 -amino- 9- [2- [bis (2, 2, 2-trifluoroethyl) phosphonylmethoxy] ethyl] - 6-m-methoxyphenylthiopurine ;
2 -amino- 9- [2- [bis (2, 2, 2-trifluoroethyl) phosphonylmethoxy] ethyl] - 6-o-methoxyphenylthiopurine ;
2 -amino- 9- [2- [bis (2, 2, 2-trifluoroethyl) phosphonylmethoxy] ethyl] - 6-p-ethoxyphenylthiopurine ;
2 -amino- 9- [2- [bis (2, 2, 2-trifluoroethyl) phosphonylmethoxy] ethyl] - 6-p-butoxyphenylthiopurine ;
2 -amino- 9- [2- [bis (2, 2, 2-trifluoroethyl) phosphonylmethoxy] ethyl] - 6-p-propoxyphenylthiopurine ; 2-amino-9- [2- [bis (2,2,2- trifluoroethyl ) phosphonylmethoxy] ethyl ] - 6-p- isopropoxyphenylthiopurine ; and
2 -amino- 9- [2- [bis (2, 2, 2-trifluoroethyl) phosphonylmethoxy] ethyl] - 6-p-isobutoxyphenylthiopurine .
Preferably, R1 represents hydrogen atom or a C1-C2 alkoxy group; R2 and R3 represent 2 , 2 , 2-trifluoroethyl group; and R4 represents hydrogen atom.
Preferably, the compound is 2-amino-9- [2- [bis (2, 2, 2- trifluoroethyl ) phosphonylmethoxy] ethyl] -6-phenylthiopurine, 2- amino-9- [2- [bis (2, 2, 2-trifluoroethyl) phosphonylmethoxy] ethyl] -6- p-methoxyphenylthiopurine, 2-amino-9- [2- [bis (2,2,2- trifluoroethyl ) phosphonylmethoxy] ethyl ] - 6-m- methoxyphenylthiopurine, 2-amino-9- [2- [bis (2,2,2- trifluoroethyl ) phosphonylmethoxy] ethyl ] - 6-o- methoxyphenylthiopurine, or 2-amino-9- [2- [bis (2, 2, 2- trifluoroethyl ) phosphonylmethoxy] ethyl ] - 6-p- ethoxyphenylthiopurine . Preferably the said the derivative or salt or prodrug or me¬ tabolite of Alamifovir is selected from the compounds, or their salts or hydrates or solvates or intermediates thereof (esp.
te derivatives), of the formula I:
Figure imgf000048_0001
wherein,
Ri is selected from H or methyl;
each R2 is independently selected from -R3 or -OR3;
each R3 is independently selected from Ci-Cs alkyl, or C3-
Cscycloalkyl ;
or a pharmaceutically acceptable salt, isomer, hydrate or solv¬ ate thereof.
Preferably the two R2 are same; or wherein the two R2 are differ¬ ent .
Preferably the acyclic nucleoside phosphonate derivative or a pharmaceutically acceptable salt, isomer, hydrate or solvate thereof having any one or more of the following:
i) R2 is -R3;
ii) R2 is -OR3;
iii) one R2 is -R3, and the other R2 is -OR3.
Preferably each R3 for each occurrence is independently selected from C1-C6 alkyl or C3-C6cycloalkyl ; preferably, each R3 for each occurrence is independently selected from C2-C6 alkyl or C4- C6 cycloalkyl.
Preferably each R3 for each occurrence is independently selected from methyl, ethyl, propyl, isopropyl, butyl, isobutyl, tert- butyl, t-butyl, n-pentyl, isopentyl, neopentyl, cyclopropyl, cy- clobutyl, cyclopentyl, cyclohexyl, or -CH (CH2CH3)2, etc.; prefer¬ ably, each R3 for each occurrence is independently selected from ethyl, propyl, isopropyl, butyl, isobutyl, isopentyl, neopentyl, cyclopentyl, cyclohexyl, or -CH (CH2CH3)2, etc. Preferably the acyclic nucleoside phosphonate derivative is se lected from the group consisting of:
2-amino-6- (4-methoxyphenylthio) -9-{2- [bis (acetoxy meth- oxy) phosphonomethoxy] -ethyl } -purine;
2-amino-6- (4-methoxyphenylthio) -9-{2- [bis (propionyloxy meth- oxy) phosphonomethoxy] -ethyl } -purine;
2-amino-6- (4-methoxyphenylthio) -9-{2- [bis (butanoyloxy meth- oxy) phosphonomethoxy] -ethyl } -purine;
2-amino-6- (4-methoxyphenylthio) -9-{2- [bis ( isobutanoyloxymethox phosphonomethoxy] -ethyl } -purine ;
2-amino-6- (4-methoxyphenylthio) -9-{2- [bis (pivaloyloxy meth- oxy) phosphonomethoxy] -ethyl } -purine;
2-amino-6- (4-methoxyphenylthio) -9-{2- [bis (cyclopentyl
formyloxymethoxy) phosphonomethoxy] -ethyl } -purine ;
2-amino-6- (4-methoxyphenylthio) -9-{2- [bis (cyclohexyl
formyloxymethoxy) phosphonomethoxy] -ethyl } -purine ;
2-amino-6- (4-methoxyphenylthio) -9-{2- [bis (ethyloxy carbon- yloxymethoxy) phosphonomethoxy] -ethyl } -purine ;
2-amino-6- (4-methoxyphenylthio) -9-{2- [bis (propyloxy carbon- yloxymethoxy) phosphonomethoxy] -ethyl } -purine ;
2-amino-6- (4-methoxyphenylthio) -9-{2-
[bis ( isopropyloxycarbonyloxymethoxy) phosphonomethoxy] -ethyl }- purine ;
2-amino-6- (4-methoxyphenylthio) -9-{2-
[bis (cyclopentyloxycarbonyloxymethoxy) phosphonomethoxy] -ethyl } purine ;
2-amino-6- (4-methoxyphenylthio) -9-{2-
[bis (cyclohexyloxycarbonyloxymethoxy) phosphonomethoxy] -ethyl } - purine ;
2-amino-6- (4-methoxyphenylthio) -9-{2-
[bis (acetoxymethoxy) phosphonomethoxy] -propyl } -purine ;
2-amino-6- (4-methoxyphenylthio) -9-{2-
[bis (propionyloxymethoxy) phosphonomethoxy] -propyl } -purine ;
2-amino-6- (4-methoxyphenylthio) -9-{2-
[bis (butanoyloxymethoxy) phosphonomethoxy] -propyl } -purine ;
2-amino-6- (4-methoxyphenylthio) -9-{2-
[bis ( isobutanoyloxymethoxy) phosphonomethoxy] -propyl } -purine ; 2-amino-6- (4-methoxyphenylthio) -9-{2-
[bis (pivaloyloxymethoxy) phosphonomethoxy] -propyl } -purine ; 2-amino-6- (4-methoxyphenylthio) -9-{2-
[bis (cyclopentylformyloxymethoxy) phosphonomethoxy] -propyl } - purine ;
2-amino-6- (4-methoxyphenylthio) -9-{2-
[bis (cyclohexylformyloxymethoxy) phosphonomethoxy] -propyl } - purine ;
2-amino-6- (4-methoxyphenylthio) -9-{2-
[bis (propyloxycarbonyloxymethoxy) phosphonomethoxy] -propyl } - purine ;
2-amino-6- (4-methoxyphenylthio) -9-{2-
[bis (propyloxycarbonyloxymethoxy) phosphonomethoxy] -propyl } - purine ;
2-amino-6- (4-methoxyphenylthio) -9-{2-
[bis ( isopropyloxycarbonyloxymethoxy) phosphonomethoxy] -propyl } - purine ;
2-amino-6- (4-methoxyphenylthio) -9-{2-
[bis ( isobutyloxycarbonyloxymethoxy) phosphonomethoxy] -ethyl }- purine ;
2-amino-6- (4-methoxyphenylthio) -9-{2-
[bis (neopentyloxycarbonyloxymethoxy) phosphonomethoxy] -ethyl }- purine ;
2-amino-6- (4-methoxyphenylthio) -9-{2- [bis (pentyl-3- oxycarbonyloxymethoxy) phosphonomethoxy] -ethyl } -purine;
2-amino-6- (4-methoxyphenylthio) -9-{2-
[bis (cyclopentyloxycarbonyloxymethoxy) phosphonomethoxy] -propyl } - purine; and
2-amino-6- (4-methoxyphenylthio) -9-{2-
[bis (cyclohexyloxycarbonyloxymethoxy) phosphonomethoxy] -propyl } - purine ;
or a pharmaceutically acceptable salt, isomer, hydrate or solv¬ ate thereof.
Preferably the acyclic nucleoside phosphonate derivative is se¬ lected from the group consisting of:
2-amino-6- (4-methoxyphenylthio) -9-{2-
[bis (propionyloxymethoxy) phosphonomethoxy] -ethyl } -purine ( I i ) ; 2-amino-6- (4-methoxyphenylthio) -9-{2-
[bis ( isobutanoyloxymethoxy) phosphonomethoxy] -ethyl } -purine (I2) ; 2-amino-6- (4-methoxyphenylthio) -9-{2-
[bis (pivaloyloxymethoxy) phosphonomethoxy] -ethyl } -purine (I3) ; 2-amino-6- (4-methoxyphenylthio) -9-{2-
[bis (cyclohexylformyloxymethoxy) phosphonomethoxy] -ethyl } -purine (i4) ;
(R) -2-amino-6- (4-methoxyphenylthio) -9-{2-
[bis (pivaloyloxymethoxy) phosphonomethoxy] -propyl } -purine (I5) ; 2-amino-6- (4-methoxyphenylthio) -9-{2-
[bis (ethyloxycarbonyloxymethoxy) phosphonomethoxy] -ethyl } -purine
(i6) ;
2-amino-6- (4-methoxyphenylthio) -9-{2-
[bis (propyloxycarbonyloxymethoxy) phosphonomethoxy] -ethyl } -purine (iv) ;
2-amino-6- (4-methoxyphenylthio) -9-{2-
[bis ( isopropyloxycarbonyloxymethoxy) phosphonomethoxy] -ethyl }- purine (I8) ;
2-amino-6- (4-methoxyphenylthio) -9-{2-
[bis ( isobutyloxycarbonyloxymethoxy) phosphonomethoxy] -ethyl }- purine ( I9) ;
2-amino-6- (4-methoxyphenylthio) -9-{2-
[bis (neopentyloxycarbonyloxymethoxy) phosphonomethoxy] -ethyl }- purine ( I i0 ) ;
2-amino-6- (4-methoxyphenylthio) -9-{2- [bis (pentyl-3- oxycarbonyloxymethoxy) phosphonomethoxy] -ethyl } -purine (In) ;
2-amino-6- (4-methoxyphenylthio) -9-{2-
[bis (cyclohexyloxycarbonyloxymethoxy) phosphonomethoxy] -ethyl } - purine (Ii2) ;
(R) -2-amino-6- (4-methoxyphenylthio) -9-{2-
[bis (isopropyloxycarbonyloxymethoxy) phosphonomethoxy] -propyl } - purine ( I13) ; and
2-amino-6- (4-methoxyphenylthio) -9-{2-
[bis (cyclohexyloxycarbonyloxymethoxy) phosphonomethoxy] -propyl } - purine ( I14) ;
or a pharmaceutically acceptable salt, isomer, hydrate or solv¬ ate thereof.
In a preferment, thexrelated compound' of Alamifovir is se¬ lected from compounds which bear one or more structural features in common with Alamifovir, which may point to potential analgesic activity similar to Alamifovir in these compounds. These common structural features which would define axrelated com¬ pound' of Alamifovir would include the compound being a: a) Purine analogue or derivative, b) Nucleotide analogue, c) Acyclic nucleotide.
The compound may be provided in a composition in association with a pharmaceutically acceptable substantially nontoxic carri¬ er or excipient.
In a preferment, the inventive compound is Emtricitabine (Synonym: (-)-FTC, BW-524W91; Chemical name: (-) - (2R-cis) -4- Amino-5-fluoro-1- [2- (hydroxymethyl ) -1, 3-oxathiolan-5-yl ] -2 (1H) - pyrimidinone / (-)- (2R, 5S) -5-Fluoro-l- [2- (hydroxymethyl) -1, 3- oxathiolan-5-yl ] cytosine / (-) -2 ' , 3 ' -Dideoxy-5-fluoro-3 ' - thiacytidine ; CAS number: 143491-57-0), or any derivatives, salts, prodrugs or metabolites of Emtricitabine, including but not restricted to the salts (-) -Emtricitabine Triphosphate
Tetrasodium (CAS number: 1188407-46-6), Emtricitabine 5'- monophosphate, Emtricitabine 5 ' -monophosphate diammonium, (-)-β- L-2 ' , 3 ' -Dideoxy-5-fluoro-3 ' -thiacytidine-5 ' -diphosphate, (-) -β- L-2 ' , 3 ' -Dideoxy-5-fluoro-3 ' -thiacytidine-5 ' -diphosphate triammo- nium, (-) -B-L-2 ' , 3 ' -Dideoxy-5-fluoro-3 ' -thiacytidine-5 ' - triphosphate, (-) -B-L-2 ' , 3 ' -Dideoxy-5-fluoro-3 ' -thiacytidine-5 ' - triphosphate tetraammonium, orxrelated compounds' of Emtricita¬ bine. Emtricitabine is a pyrimidine nucleoside analogue antivi¬ ral compound that was originally developed against Human Immuno¬ deficiency Virus (HIV) and Hepatitis B virus infections, and its antiviral properties are effected by the inhibition of the viral reverse transcriptase enzyme (in HIV) and viral DNA polymerase enzyme (in Hepatitis B) .
In a preferment, the derivative or salt or prodrug or metab¬ olite of Emtricitabine is selected from the compounds as de¬ scribed in EP 0513200 B2 or EP 1439177 Bl (all incorporated herein by reference) , especially selected from the compounds, or intermediates thereof , of the formula:
Figure imgf000052_0001
or
Figure imgf000053_0001
wherein R is selected from the group consisting of hydrogen, alkyl, silyl, and acyl; and
wherein Y is selected from the group consisting of hydrogen, methyl, chloro, fluoro, iodo, bromo, alkyl, alkenyl, alkynyl, hydroxyalkyl , carboxyalkyl , thioalkyl, selenoalkyl, phenyl, cy- cloalkyl, cycloalkenyl , thioaryl, and selenoaryl.
Preferably the compound is 2-hydroxymethyl-5-oxol-l , 3- oxathiolane, 2-acyloxymethyl-5-acyloxy-l , 3-oxathiolane, 2- acetoxymethyl-5-acetoxy-l , 3-oxathiolane .
Preferred is a nucleoside having the formula:
Figure imgf000053_0002
wherein R is selected from the group consisting of hydro¬ gen, alkyl, silyl, and acyl; and
wherein Y is selected from the group consisting of chloro, bromo, fluoro, and iodo;
or wherein R is selected from the group consisting of hydro¬ gen, alkyl, silyl, and acyl, and wherein Y is fluorine;
or wherein R is selected from the group consisting of alkyl, silyl, and acyl, and wherein Y is selected from the group con¬ sisting of chloro, bromo, fluoro, and iodo;
or wherein R is H and wherein Y is fluoro or H.
Preferably the said derivative or salt or prodrug or metabo¬ lite of Emtricitabine is selected from the compounds, or their salts or hydrates or solvates or intermediates thereof, corre¬ sponding to the ( - ) -enantiomer of cis-4-ammo-5-fluoro-1- (2- hydroxymethyl-1 , 3-oxathiolane-5-yl ) - (1H) -pyrimidin-2-one, or its pharmaceutically acceptable salt or the 5'-0-alkyl derivative, a 5 ' -O-alkylC (0) derivative, a monophosphate, a diphosphate, or a triphosphate of the ( - ) -enantiomer of cis-4-ammo-5-fluoro-1- (2-hydroxymethyl-l , 3-oxathiolane-5-yl ) - (1H) -pyrimidin-2-one .
In a preferment, thexrelated compound' of Emtricitabine is selected from compounds which bear one or more structural fea¬ tures in common with Emtricitabine, which may point to potential analgesic activity similar to Emtricitabine in these compounds. These common structural features which would define axrelated compound' of Emtricitabine would include the compound being a: a) Pyrimidine analogue or derivative or b) Nucleoside analogue.
The compound may be provided in a composition in association with a pharmaceutically acceptable substantially nontoxic carri¬ er or excipient.
In a preferment, the inventive compound is Entecavir (Syno¬ nym: BMS-200475, ETV, SQ-34676; Chemical name: 2-Amino-9- [ (IS, 3R, 4S) -4-hydroxy-3- (hydroxymethyl ) -2- methylidenecyclopentyl ] -6, 9-dihydro-3H-purin- 6-one /
(IS, 3R, 4S) -9- [4-Hydroxy-3- (hydroxymethyl) -2- methylenecyclopentyl ] guanine ; CAS number: 142217-69-4), or any derivatives, salts, prodrugs or metabolites of Entecavir, in¬ cluding but not restricted to the salts Entecavir monohydrate
(CAS: 209216-23-9), Entecavir hydrochloride, Entecavir bromate, Entecavir sulphate, Entecavir phosphate, Entecavir sulfonate, Entecavir benzenesulfonate, Entecavir 4-methylbenzene sulfonate
(Entecavir tosylate) Entecavir toluene sulfonic acid, Entecavir toluene sulfonic acid hydrate, Entecavir (IS) -champhor-10- sulfonate, Entecavir (IS) -champhor-10-sulfonate hydrate,
Entecavir p-toluenesulfonate, Entecavir p-toluenesulfonate hy¬ drate and the Entecavir intermediates (ls-trans) -2-
[ (phenylmethoxy) methyl ] -3-cyclopenten-l-ol (CAS number: 11056-
21-0) , (IS, 2R, 3S, 5R) -2- (Benzyloxymethyl ) -6- oxabicyclo [ 3.1.0 ] hexan-3-ol (CAS number.: 117641-39-1),
(lS,2R,3S,5R)-3- ( Phenymethyloxy) -2- (phenylmethoxy) methyl-6- oxabicyclo [ 3.1.0 ] hexane (CAS number: 110567-22-1),
(lS,2S,3S,5S)-5- (2 -Amino- 6- (benzyloxy) - 9H-purin- 9-yl ) -3-
(benzyloxy) -2- (benzyloxymethyl) cyclopentanol (CAS number:
142217-77-4), (2R, 3S, 5S) -3- (Benzyloxy) -5- [2- [ [ (4- methoxyphenyl ) diphenylmethyl ] amino] -6- (phenylmethoxy) -9H-purin- 9-yl] -2- (benzyloxymethyl) cyclopentanol (CAS number: 142217-78- 5) , 6- (Benzyloxy) -9- ( (IS, 3R, 3S) -4- (benzyloxy) -3- (benzyloxymethyl ) -2-methylenecyclopentyl) -N- ( (4- methoxyphenyl) diphenylmethyl) -9H-purin-2-amine (CAS number:
142217-80-9) , 2-Amino-l, 9-dihydro-9- [ (IS, 3R, 4S) -4- (benzyloxy) -3-
(benzyloxymethyl ) -2-methylenecyclopentyl] - 6H-purin- 6-one (CAS number: 142217-81-0), orxrelated compounds' of Entecavir.
Entecavir is a purine nucleoside analogue antiviral compound with a pentose ring moiety, that was originally developed
against Herpes Simplex Virus (HSV) and Hepatitis B virus infec¬ tions, and its antiviral properties are effected by the inhibi¬ tion of the respective viral DNA polymerase enzymes.
In a preferment, the derivative or salt or prodrug or metab¬ olite of Entecavir is selected from the compounds as described in EP 0481754 Bl or US 20100210669 Al (all incorporated herein by reference) , especially selected from the compounds, or inter¬ mediates thereof, of the formula:
Figure imgf000055_0001
or such a compound in pharmaceutically acceptable salt form wherein
Ri
Figure imgf000055_0002
R2 is fluoro, chloro, bromo, iodo, hydrogen, methyl, trifluorome- thyl, ethyl, n-propyl, 2-fluoroethyl, 2-chloroethyl, ethynyl or
-C
^ (trans)NH
R3 is chloro, bromo, iodo, hydrogen, methyl or trifluoromethyl ; R4 is alkyl;
R5 is hydrogen, alkyl, substituted alkyl, or aryl; and
R6 and R7 are independently hydrogen, -PO3H2, or
5
Preferably, the said derivative or salt or prodrug or metab¬ olite of Entecavir refers to the crystalline form of entecavir having the following general formula (I) :
(I)
Figure imgf000056_0001
In a preferment, thexrelated compound' of Entecavir is se¬ lected from compounds which bear one or more structural features in common with Entecavir, which may point to potential analgesic activity similar to Entecavir in these compounds. These common structural features which would define axrelated compound' of Entecavir would include the compound being a: a) Purine analogue or derivative, b) Pentose ring containing molecule, c) Nucleo¬ side analogue.
The compound may be provided in a composition in association with a pharmaceutically acceptable substantially nontoxic carri¬ er or excipient.
In a preferment, the inventive compound is Famciclovir (Syn¬ onym: AK-120, BRL-42810, M-5210; Chemical name: 9- [ 4-Acetoxy-3- (acetoxymethyl) butyl] -2-aminopurine; CAS number: 104227-87-4), or any analogues, derivatives, salts, prodrugs, bioprecursors or metabolites of Famciclovir including but not restricted to the salts Famciclovir monohydrate or any phosphate ester and/or acyl derivatives of Famciclovir, or its metabolic active princi- pie compound Penciclovir (Synonym: BRL-39123; Chemical name: 9- [4-Hydroxy-3- (hydroxymethyl) butyl] guanine; CAS number: 39809-25- l),or any analogues, derivatives, salts, prodrugs, bioprecursors or metabolites of Penciclovir, including but not restricted to the salts Penciclovir sodium (CAS number: 97845-62-0), Penciclo¬ vir monohydrate, Penciclovir sodium hydrate, (R) -Penciclovir Triphosphate, orxrelated compounds' of Famciclovir or Penciclo¬ vir. Famciclovir and Penciclovir are purine nucleoside analogue antiviral compounds, that were originally developed against Her¬ pes Simplex Virus (HSV) and Varicella Zoster Virus (VZV) infec¬ tions, and their antiviral properties are effected by the inhi¬ bition of the respective viral DNA polymerase enzymes.
In a preferment, the analogue or derivative or salt or prodrug or bioprecursor or metabolite of Famciclovir is selected from the compounds as described in US 5246937 A and EP 0302644 Bl (incorporated herein by reference) , especially selected from the compounds, or intermediates thereof , of the formula:
,
Figure imgf000057_0001
or a pharmaceutically acceptable salt thereof, where Ri and R2 are each independently hydrogen, or a carboxylic acyl provided that Ri and R2 are not both hydrogen; or Riand R2 are joined to¬ gether to form a cyclic acetal group or a cyclic carbonate group .
Preferably Ri and/or R2 is a carboxylic acyl group such that the group RiO- and/or R2O- is a pharmaceutically acceptable ester group .
Preferably the carboxylic acyl group Ri and/or R2 is a group o
II
RuC—
wherein R3 is Ci-6 alkyl, Ci-6 alkoxy or aryl optionally substitut¬ ed with one or two groups selected from Ci-6 alkyl, Ci-6 alkoxy and halo. Preferably Ri and R2 are joined together to form a group \
c«o.
or
Figure imgf000058_0001
Preferably Ri and R2 are joined together as a 0((¾)2 group.
Preferably the compound is selected from
2 -amino- 9- ( 4-acetoxy-3-acetoxymethylbut-l-yl ) purine ;
2 -amino- 9- ( 4-acetoxy-3-hydroxymethylbut-l-yl ) purine ;
2 -amino- 9- ( 3-hydroxymethyl-4-methoxycarbonyloxybut-l-yl ) purine ;
2 -amino- 9- [2- (2, 2 -dimethyl- 1 , 3-dioxan-5-yl ) ethyl] purine;
2 -amino- 9- ( 4-propionyloxy-3-propionyloxymethylbut-l-yl ) purine ;
2 -amino- 9- ( 4-butyryloxyl-3-hydroxymethylbut-l-yl ) purine ;
2 -amino- 9- ( 4-benzoyloxyl-3-hydroxymethylbut-l-yl ) purine ;
and pharmaceutically acceptable salts thereof.
Further preferred Famciclovir derivatives and related com¬ pounds are buciclovir, desciclovir, detiviciclovir, lagociclo- vir, lagociclovir valactate, rociclovir as well as their pharmaceutically acceptable salts, esters and prodrugs.
In a preferment, the analogue or derivative or salt or pro¬ drug or bioprecursor or metabolite of Penciclovir is selected from the compounds as described in EP 0141927 Bl, EP 0152316 Bl or EP 0388049 Bl (all incorporated herein by reference), espe¬ cially selected from the compounds, or intermediates thereof , of the formula (I) :
Figure imgf000058_0002
or a salt, phosphate ester or acyl derivative thereof (as here¬ inafter defined) , in which X represents chlorine, straight or branched chain Ci-6 alkoxy, phenoxy, phenyl Ci-6 alkoxy, -N¾ , -OH or - SH , an acyl derivative is wherein one or both of the hydro¬ gens in the acyclic -OH groups, and/or one of the hydrogen atoms in the -N¾ group, are replaced by
R-e- o
groups, wherein R is hydrogen, Ci-is alkyl, phenyl, phenyl Ci- 6 alkyl or imidazolyl; with the provisos that, i) when X is -OH , the compound of formula (I) is in a purity state of greater than 50% by weight of pure compound with respect to the mono- and di- benzyl ethers thereof; and ii) the compound of formula (I) is other than a compound selected from the group consisting of: 9- [ 4 ' -hydroxy-3 ' - (hydroxymethyl ) butyl ] guanine cyclic phosphate ; 9- [ 4 ' -hydroxy-3 '- (hydroxymethyl ) butyl ] guanine cyclic pyrophos¬ phate ;
9- [ 4 ' -hydroxy-3 ' - (hydroxymethyl ) butyl ] -2 , 6-diaminopurine ;
9- [ 4 ' -hydroxy 3 '- (hydroxymethyl ) butyl ] -2 , 6-diaminopurine cyclic phosphosphate ;
9- [ 4 ' -hydroxy-3 ' - (hydroxymethyl ) butyl ] -2 , 6-diaminopurine cyclic pyrophosphate ;
9- [4 ' -hydroxy-3 ' - (hydroxymethyl) butyl] -2-amino-6-chloropurine; 9- [4 ' -hydroxy-3 ' - (hydroxymethyl) butyl] -2-amino-6-chloropurine cyclic phosphate;
9- [4 ' -hydroxy-3 ' - (hydroxymethyl) butyl] -2-amino-6-chloropurine cyclic pyrophosphate;
9- [ 4 ' -hydroxy-3 ' - (hydroxymethyl ) butyl ] guanine monophosphate mon- osodium salt;
9- [ 4 ' -hydroxy-3 ' - (hydroxymethyl ) butyl ] -2 , 6-diaminopurine mono¬ phosphate monosodium salt; and
9- [4 ' -hydroxy-3 ' - (hydroxymethyl) butyl] -2-amino-6-chloropurine monophosphate monosodium salt.
Preferably R is Ci~6 alkyl, phenyl or benzyl.
Preferably the compound is of formula (II)
Figure imgf000060_0001
Figure imgf000060_0002
or a pharmaceutically acceptable salt thereof, in which X is as defined in formula (I), and each of R1, R2 and R3 represents hy¬ drogen or n acyl group of formula
Figure imgf000060_0003
O in which R4 is Ci-is alkyl or imidazolyl, or R1 or R2 represents a phosphate ester group of formula
Figure imgf000060_0004
or R1 and R2 together represent a bridging
Figure imgf000060_0005
Preferably X is -OH, or a tautomer thereof
Preferably the compound is of formula (A)
Figure imgf000060_0006
HO—CH—CH—CH~— OH in a purity state of greater than 60% by weight of pure com¬ pound, or a pharmaceutically acceptable salt thereof. A further compound is of formula (VII) :
Figure imgf000061_0001
in which X is as defined in claim 1 and R° is hydrogen or acyl A further compound is of formula: a
R O -CH,
CH- ( CH- ) - -Z
R 0-CH2 wherein Z' is hydroxy, chloro, bromo or iodo; Ra and R are
R-C-
II
O
groups, as defined in claim 1; or Ra and R ' together are
^C(CH3)2.
5- (2-Hydroxyethyl) -2, 2-dimethyl-l , 3-dioxan,
5- (2-bromoethyl) -2, 2-dimethyl-l, 3-dioxan,
2-acetoxymethyl-4-hydroxybut-l-yl acetate, or
2-acetoxymethyl-4-bromobut-l-yl acetate .
Preferably the said analogue or derivative or salt or pro¬ drug or bioprecursor or metabolite of Penciclovir is selected from the compounds, or intermediates thereof, of the formula:
Figure imgf000062_0001
wherein R is hydroxy, amino or halogen; and R and R are inde¬ pendently selected from hydrogen and a phosphate group having the formula:
O
—P—OR4
ORs
or R2 and R3 taken together form a phosphate group having the formula :
—P—OR4
II
o
or a pyrophosphate group having the formula
OR4
I I
_ OR5
Figure imgf000062_0002
wherein R4 and R5 are independently selected from hydrogen, a pharmaceutically acceptable cation, alkyl having 1 to 6 carbon atoms, phenyl, phenylalkyl wherein the alkyl moiety has 1 to 6 carbon atoms, with the proviso that R2 and R3 are not both hydro¬ gen .
Preferably R2 and R3 taken together form a phosphate group having the formula:
1
— OR4
wherein R4 is defined as above.
Preferably R4 and R5 are the same.
Preferred compounds are 9- [ 4 ' -Hydroxy-3 ' -
(hydroxymethyl ) butyl ] guanine cyclic phosphate and 9- [ 4 ' -Hydroxy¬ s' - (hydroxymethyl ) butyl ] -2 , 6-diaminopurine cyclic phosphate. Preferably the said analogue or derivative or salt or pro¬ drug or bioprecursor or metabolite of Penciclovir is selected from the compounds, or intermediates thereof, of the formula (A) :
Figure imgf000063_0001
( A ) or a pro-drug, or a pharmaceutically acceptable salt, phosphate ester and/or acyl derivative of either of the foregoing.
Preferably the compound is the sodium salt hydrate of the com¬ pound of formula (A) .
Preferably the compound is a pro-drug of the compound of formula (A) , is of formula (B) :
Figure imgf000063_0002
HO-CH -CH-CH -OH
( B ) or a salt or derivative thereof, as defined in respect of formu¬ la (A) above; wherein X is Ci_6 alkoxy, NH2 or hydrogen.
Preferably the pro-drug compound of formula (B) is famciclovir, wherein X is hydrogen and wherein the two OH groups are in the form of the acetyl derivative.
In a preferment, thexrelated compound' of Famciclovir or its active principle Penciclovir is selected from compounds which bear one or more structural features in common with Famciclovir or Penciclovir, which may point to potential analgesic activity similar to Famciclovir in these compounds. These common struc¬ tural features which would define axrelated compound' of
Entecavir would include the compound being a: a) Purine analogue or derivative, b) Nucleoside analogue or a c) Acyclic nucleoside analogue .
The compound may be provided in a composition in association with a pharmaceutically acceptable substantially nontoxic carri¬ er or excipient.
In a further preferment the compound comprises Alamifovir or a derivative thereof, ester, hydrates or pharmaceutically ac¬ ceptable salt form thereof, such as in Alamifovir disoproxil fumarate or Alamifovir disoproxil hemifumarate .
In a further preferment the compound comprises Entecavir or a derivative thereof, ester, hydrates or pharmaceutically ac¬ ceptable salt form thereof, such as in Entecavir monohydrate (CAS: 209216-23-9), Entecavir hydrochloride, Entecavir bromate, Entecavir sulphate, Entecavir phosphate, Entecavir sulfonate, Entecavir benzenesulfonate, Entecavir toluene sulfonic acid Entecavir toluene sulfonic acid hydrate, Entecavir (1S)- champhor-10-sulfonate, Entecavir (IS) -champhor-10-sulfonate hy¬ drate, Entecavir p-toluenesulfonate, Entecavir p- toluenesulfonate hydrate, (ls-trans) -2- [ (phenylmethoxy) methyl] - 3-cyclopenten-l-ol (CAS No.: 11056-21-0), (IS, 2R, 3S, 5R) -2- (Benzyloxymethyl ) - 6-oxabicyclo [ 3.1.0 ] hexan-3-ol (CAS No.:
117641-39-1), (IS, 2R, 3S, 5R) -3- ( Phenymethyloxy) -2- (phenylmethoxy) methyl- 6-oxabicyclo [ 3.1.0 ] hexane (CAS No.:
110567-22-1), (lS,2S,3S,5S)-5- (2 -Amino- 6- (benzyloxy) -9H-purin-9- yl) -3- (benzyloxy) -2- (benzyloxymethyl) cyclopentanol (CAS No.:
142217-77-4), (2R, 3S, 5S) -3- (Benzyloxy) -5- [2- [ [ (4- methoxyphenyl ) diphenylmethyl ] amino] -6- (phenylmethoxy) -9H-purin- 9-yl] -2- (benzyloxymethyl) cyclopentanol (CAS No.: 142217-78-5) 6- (Benzyloxy) -9- ( (IS, 3R, 3S) -4- (benzyloxy) -3- (benzyloxymethyl) -2- methylenecyclopentyl ) -N- ( (4-methoxyphenyl) diphenylmethyl) -9H- purin-2-amine (CAS No.: 142217-80-9), 2-Amino-l, 9-dihydro-9- [ (IS, 3R, 4S) -4- (benzyloxy) -3- (benzyloxymethyl) -2- methylenecyclopentyl ] - 6H-purin- 6-one (CAS No.: 142217-81-0).
In a further preferment the compound comprises Emtricitabine or a derivative thereof, ester, hydrates or pharmaceutically ac¬ ceptable salt form thereof, such as in (-) -Emtricitabine Tri¬ phosphate Tetrasodium (CAS#: 1188407-46-6), Emtricitabine 5'- monophosphate, Emtricitabine 5 ' -monophosphate diammonium,
(-) -B-L-2 ' , 3 ' -Dideoxy-5-fluoro-3 ' -thiacytidine-5 ' -diphosphate, (-) -B-L-2 ' , 3 ' -Dideoxy-5-fluoro-3 ' -thiacytidine-5 ' -diphosphate triammonium, (-) -B-L-2 ' , 3 ' -Dideoxy-5-fluoro-3 ' -thiacytidine-5 ' - triphosphate, (-) -B-L-2 ' , 3 ' -Dideoxy-5-fluoro-3 ' -thiacytidine-5 ' - triphosphate tetraammonium.
In a preferment the Adefovir derivative is selected from the derivatives as described in US 5,663,159 (incorporated herein by reference) , especially selected from the compounds, or interme¬ diates thereof, of the formula I or V
O Formula I
II
R2—P—CH2— O—R3—B
Rl
B Formula V
Figure imgf000065_0001
"Stereochemistry R, S or RS
wherein
B represents adenyl (A), guanyl (G) , or 2 , 6-diaminopurinyl
(DAP) ;
R1 and R2 are independently each OR4
R3 represents
R3 represents
X represents hydrogen, methyl or hydroxymethyl ; R4 represents a physiologically hydrolyzable group selected from the group con¬ sisting of CH2OC(0)R5 and CH (R5) OC (0) R5 (R, S, or RS stereochemis¬ try) ; and R5 represents C1 - C20 alkyl, aryl or aryl-alkyl which may be substituted or unsubstituted by hydroxy or halogen.
Preferably said compounds or intermediates thereof are of Formula III Formula HI
Figure imgf000066_0001
wherein B represents adenyl (A) , guanyl (G) , or diaminopurinyl (DAP) ;
R7 is OH;
X represents hydrogen, methyl or hydroxymethyl;
R1 is OR4;
R4 represents a physiologically hydrolyzable group selected from the group consisting of CH2OC(0)R5 and CH (R5) OC (0) R5 (R, S, or RS stereochemistry) ; and
R5 represents C1 -C20 alkyl, aryl or aryl-alkyl which may be sub¬ stituted or unsubstituted by hydroxy or halogen.
Preferably X is H and R5 is C1 -C20 alkyl. Preferably X is H or hydroxymethyl. Preferably X is H.
Preferably X is hydroxymethyl or methyl.
Preferably B is adenyl.
Preferably X is H and R4 is CH2OC(0)R5.
Preferably the compound is 9- (2-phosphonylmethoxy) ethylade- nine di (pivaloyloxymethyl ) ester, 9- (2-phosphonylmethoxy) ethyl- adenine di (propionyloxymethyl ) ester, 9- (2-phosphonylmethoxy) ethyladenine di ( isobutyryloxymethyl ) ester, 9- (2- phosphonylmethoxy) ethyladenine di (benzoyloxymethyl ) ester, or 9- (2-phosphonylmethoxy) ethyladenine mono (pivaloyloxymethyl) ester .
Adefovir comprising substance may refer to ester or salt forms and variants thereof such as in Adefovir Dipivoxil, Adefo¬ vir monophosphate, Adefovir diphosphate, Adefovir-d4 Diphosphate Triethylamine (CAS No.: 129532-77-0).
The compound may be provided in a composition in association with a pharmaceutically acceptable substantially nontoxic carri¬ er or excipient.
In a preferment the Tenofovir derivative is selected from the derivatives as described in US 5,922,695, US 5,935,946 or US 5,977,089 (all incorporated herein by reference), especially se¬ lected from a compound having formula (la) O (la)
A OCH2P(Z)2 wherein
Z is independently -OC (R2) 2OC (0) X (R)a, an ester, an amidate or - H, but at least one Z is -OC (R2)2OC (0) X (R)a;
A is the residue of an antiviral phosphonomethoxy nucleotide an¬ alog;
X is N or 0;
R2 independently is -H, C1-C12 alkyl, C5-C12 aryl, C2-C12 alkenyl, C2-C12 alkynyl, C7-C12 alkenylaryl, C7-C12 alkynylaryl, or C6-C12 alkaryl, any one of which is unsubstituted or is substituted with 1 or 2 halo, cyano, azido, nitro or -OR3 in which R3 is Ci- C12 alkyl, C2-C12 alkenyl, C2-C12 alkynyl or C5-C12 aryl;
R is independently -H, C1-C12 alkyl, C5-C12 aryl, C2-C12 alkenyl, C2-C12 alkynyl, C7-C12 alkyenylaryl , C7-C12 alkynylaryl, or C6-C12 alkaryl, any one of which is unsubstituted or is substituted with 1 or 2 halo, cyano, azido, nitro, -N(R4)2 or -OR3, where R4 independently is -H or Ci-Cs alkyl, provided that at least one R is not H; and
a is 1 when X is 0, or 1 or 2 when X is N;
with the proviso that when a is 2 and X is N, (a) two N-linked R groups can be taken together to form a carbocycle or oxygen- containing heterocycle, (b) one N-linked R additionally can be - OR3 or (c) both N-linked R groups can be -H;
and the salts, hydrates, tautomers and solvates thereof.
Preferably said compound has formula (1)
Figure imgf000067_0001
wherein B is guanin-9-yl, adenin-9-yl, 2 , 6-diaminopurin- 9-yl , 2- aminopurin- 9-yl or their 1-deaza, 3-deaza, or 8-aza analogs, or B is cytosin-l-yl;
R is independently -H, C1-C12 alkyl, C5-C12 aryl, C2-C12 alkenyl, C2-C12 alkynyl, C7-C12 alkenylaryl, C7-C12 alkynylaryl, or C6 -C12 alkaryl, any one of which is unsubstituted or is substituted with 1 or 2 halo, cyano, azido, nitro or -OR3 in which R3 is Ci - C12 alkyl, C2-C12 alkenyl, C2-C12 alkynyl or C5-C12 aryl;
R1 is hydrogen, -CH3, -CH2OH, -CH2F, -CH=CH2, or -CH2N3, or R1 and R8 are joined to form -C¾-;
R2 independently is hydrogen or C1-C6 alkyl; and
R8 is hydrogen or -CHR2 -O-C (0) -OR, or R8 is joined with R1 to form -C¾-;
and the salts, hydrates, tautomers and solvates thereof.
Preferably R2 is -H. Preferably R1 is -CH3. Preferably one R2 is -CH3 and the other R2 is H. Preferably R3 is C1-C6 alkyl or phenyl. Preferably R3 is -CH3 or -C2H5. Preferably X is 0. Prefer¬ ably X is N and one R3 is H.
Preferably the compound is enriched or resolved at the car¬ bon atom chiral center linked to R1.
Preferably at least about 90% of the compound is in the (R) configuration at the R1 site.
Preferably B is adenin-9-yl.
Preferably each R is ethyl. Preferably each R is isopropyl. Preferably each R is 3-pentyl or neopentyl . Preferably each R is t-butyl or isobutyl.
Preferably B is 2 , 6-diaminopurin- 9-yl .
Preferably R1 is H.
Preferably B is adenin-9-yl.
Preferably R is C1-C12 alkyl.
Preferably R1 is -CH2 OH.
Preferably B is cytosin-l-yl.
Preferably at least about 90% of the compound is in the (S) configuration at the R1 site.
Preferably the compound is for oral administration.
The Tenofovir derivative may also be a compound of formula (1)
Figure imgf000069_0001
o
wherein B is adenin-9-yl and R independently is -H or -CH2 -0- C (0) -O-CH (CH3) 2, but at least one R is -CH2 -0-C (0) -0-CH (CH3)2.
Preferably both R are -CH2 -0-C (0) -0-CH (CH3)2 ·
Preferably the compound is a crystalline solid.
Preferably the compound is enriched or resolved at the car¬ bon atom chiral center (*) .
Preferably the compound has an X-ray powder diffraction spectrum peak using Cu-Κ radiation, expressed in degrees 2Θ at about 25.0.
Preferably the compound is in a composition with an accepta¬ ble excipient.
Preferably the compound is in a composition comprising a lithium alkoxide and a 9- (2-hydroxypropyl) adenine solution.
Preferably the compound is in a composition comprising an (R,S)-PMPA solution at a pH of about 2.7-3.5 wherein the solution has less than about 0.1 g/mL (R,S)-PMPA and wherein about 90-94% of the PMPA is in the (R) configuration.
Preferably the compound is for oral administration to a pa¬ tient. Preferably the compound is in a tablet containing 9- [2- (R) - [ [bis [ [ (isopropoxycarbonyl) oxy] methoxy] phosphinoyl ] methoxy] propyl ] -adenine . fumaric acid (1:1), pregelatinized starch, croscarmellose sodium, lactose monohydrate and magnesium stea- rate . Preferably the 9- [2- (R) -[ [bis [[ (isopropoxycarbonyl) oxy] methoxy] phosphinoyl ] methoxy] propyl ] -adenine . fumaric acid (1:1) is crystalline. Preferably the tablet contains 75 mg 9-[2-(R)- [ [bis [ [ (isopropoxycarbonyl) oxy] methoxy] phosphinoyl ] methoxy] propy 1 ] -adenine . fumaric acid (1:1), 11 mg pregelatinized starch, 8.8 mg croscarmellose sodium, 123.6 mg lactose monohydrate and 2.2 mg magnesium stearate.
Tenofovir comprising substance may refer to ester or salt forms and variants thereof such as in Tenofovir Disoproxil, Tenofovir Disoproxil Fumarate, Tenofovir alafenamide, Tenofovir alafenamide fumarate, Tenofovir hydrate (CASNO.: 206184-49-8), Tenofovir Diphosphate Triethylamine (CAS Number: 166403-66-3)
The Tenofovir derivative may also be (R) -bis ( POC) PMPA, espe¬ cially preferred in a composition together with a pharmaceuti¬ cally acceptable carrier. Preferably the compound is for oral administration to a patient.
In a preferment the Cidofovir derivative is selected from the derivatives as described in US 5,142,051 (incorporated here¬ in by reference) , especially selected from a compound of the formula
B~CH2—CH—O—CH2—P(0)(OH)2
CH2*-"OH wherein B is selected from the group consisting of uracil-l-yl, cytosin-l-yl, 5-methylcytosin-l-yl, thymin-l-yl, 5-fluoruracil-
1-yl, guanin-9-yl, guanin-7-yl, adenin-3-yl, hypoxanthin- 9-yl ,
2-methyladenin-9-yl, 2-methylthioadenin-9-yl, 2-aminoadenin-9- yl, 2-aminopurin-9-yl, N6-dimethyladenin- 9-yl , 8-bromoadenin-9- yl, 8-hydroxyadenin-9-yl, 6-hydroxylaminopurin- 9-yl , 6- hydrazinopurin- 9-yl , 6-thiopurin- 9-yl , purin-9-yl, and xanthin- 9-yl.
Preferably B in the above selected compound is selected from the group consisting of uracil-l-yl, cytosin-l-yl, 5- methylcytosin-l-yl, thymin-l-yl, and 5-fluorouracil-l-yl, especially preferred wherein B is cytosin-l-yl.
The present invention also relates to any pharmaceutically active salt of any one of the inventive compounds as given in the tables or further described above. The salt may be selected from the group consisting of a hydrochloride, embonate, teo- clate, mesilate, acistrate, estolate, ethylsuccinate, gluco- heptonate, lactobionate, propionate, stearate, stinoprate, lac¬ tate, mesylate, acetate, diacetate hydrate, dihydrochloride, chlorhexidine, digluconate, gluconate, benzoate, phosphate, hy- clate, hydrate, sulfate, bishydrogensulfate, tartrate, L- tartrate, fumarate, malonate, maleate, acefyllinate, citrate, disulfide, -O-dinicotinate, hydrobromide, nitrate, gluconate; hydrogen-sulfate 4-water, succinate, nitrite, polygalacturonate, sulfate 2-water, dihydrogencitrate, calcium, hemi-calcium, hemi- fumarate, sodium, or potassium salt and mixtures thereof. Pre¬ ferred salts are Adefovir Dipivoxil, Tenofovir Disoproxil
Fumarate (TDF) , Pradefovir mesylate.
The present invention also relates to any pharmaceutically active ester of any one of the inventive compounds as given in the tables or further described above. The ester may preferably be the hexadecyloxypropyl ester of the compounds according to the invention.
The subject to be treated according to the present invention can be any non-human animal or a human. Preferably the subject is a mammal, in particular preferred embodiments a human. A non human-animal is preferably a non-human mammal or bird, especial¬ ly preferred the the animal is a dog, cat, horse, cow, pig.
According to the present invention pain and conditions asso¬ ciated with pain, e.g. itching or depression, can be treated or prevented, in particular in the meaning of a prophylactic admin¬ istration. "Preventing" or "prevention" herein does not require absolute success in the sense of an absolute prevention of pain but indicates a reduced risk of developing a disease or painful condition, or developing pain with reduced severity. Likewise, "treatment" shall not be construed as an absolute cure, but may also relate to amelioration or suppression of pain or pain associated conditions.
Pain and pain associated conditions and diseases to be treated according to the present invention can include acute pain, chronic pain, somatogenic pain, neuropathic pain, psycho¬ genic pain, heat induced pain, physical pain and nociception in general, hyperalgesia, or any other forms of pain or pain asso¬ ciated conditions which may not be listed in the aforementioned groups. In particular embodiments the pain is selected from neu¬ ropathic pain, inflammatory pain, nociceptive pain, rheumatic pain, headache, low back pain, pelvic pain, myofascial pain, vascular pain, migraine, wound associated pain, inflammatory pain, arthritic pain, diabetic pain, post-herpetic pain, pain from cancer, mixed neuropathic and nociceptive pain, mixed pain or somatic visceral pain, all in both acute and chronic forms. The pain can also be related to phantom pain, pain from a part of the body that has been lost or from which the brain no longer receives physical signals. Pain can also be related to untoward events or injury in the central nervous system e.g. post-stroke pain .
Pain can be generally classified in two broad categories, acute and chronic. The treatment of any acute or chronic pain is subject matter of the present invention. Acute pain is usually associated with a specific cause such as a specific injury and is often sharp and severe. Acute pain begins suddenly and is not persistent. Chronic pain is long-term pain, with a typical dura¬ tion of more than three months leading to significant psycholog¬ ical and emotional problems. Chronic pain is generally associat¬ ed with clinical conditions characterised by chronic and/or de¬ generative lesions. Common examples of chronic pain are neuro¬ pathic pain (e.g. painful diabetic neuropathy, post-herpetic neuralgia) , rheumatoid arthritis, osteoarthritis, fibromyalgia, back pain, lower back pain with or without radiculopathy, headache, carpal tunnel syndrome, cancer pain, and chronic post¬ surgical pain. Pain can also be divided into a number of differ¬ ent subtypes according to differing pathophysiology, including nociceptive, inflammatory and neuropathic pain. Also some types of pain can be classified in multiple categories, for example pain associated with cancer can have a nociceptive and neuro¬ pathic component. Nociceptive pain consists of somatic pain
(musculo-skeletal pain) and visceral pain (pain associated with the viscera, which encompass the organs of the abdominal cavi¬ ty) . Common causes of somatic pain include cancer metastasis such as to the bone and postsurgical pain from a surgical inci¬ sion in addition to musculo-skeletal disorders such as dystro- phinopathy, myalgia and polymyositis. Nociceptive pain also in¬ cludes tissue injury-induced pain and inflammatory pain such as that associated with arthritis. Another type of inflammatory pain is visceral pain which includes pain associated with gas¬ trointestinal disorders (GI) such as functional bowel disorder
(FBD) and inflammatory bowel disease (IBD) . Further examples of visceral pain include the pain associated with dysmenorrhea, cystitis and pancreatis and pelvic pain. Additional pain types include dysfunctional pain such as fibromyalgia, Temporomandibu¬ lar Joint Disorder (TMJ) , Irritable bowel syndrome (IBS) and musculo-skeletal pain. Neuropathic pain is caused by damage to the peripheral or central nervous system. Examples of central neuropathic pain include pain from spinal cord injury, multiple sclerosis, strokes and fibromyalgia. Diabetes and related meta- bolic disorders are a common cause of peripheral neuropathic pain (diabetic neuropathy) . Some of the human conditions and pa¬ thologies characterised by the presence of neuropathic pain in¬ clude, but are not limited to, cancer (cancer neuropathy) , HIV neuropathy, Parkinson's disease, epilepsy, immunodeficiency, post-herpetic syndromes, trauma, ischaemia, sciatica, multiple sclerosis, peripheral neuropathy, trigeminal neuralgia, back pain, phantom limb pain, carpal tunnel syndrome, central post- stroke pain and pain associated with chronic alcoholism, hypo¬ thyroidism, uraemia, spinal cord injury, and vitamin deficiency. Preferably the pain is neuropathic pain, such as trigeminal neu¬ ralgia, such as post-herpetic neuralgia, such as painful diabet¬ ic neuropathy, such as painful diabetic peripheral neuropathy, such as diabetic polyneuropathy, such as sciatic pain, such as radiculopathy, such as radicular pain or such as noninflammatory neuropathic pain. In another preferred embodiment, the pain is lower back pain. In yet another preferred embodiment, the pain is lower back pain with radiculopathy. In yet another preferred embodiment, the pain is lower back pain without radiculopathy. In yet another preferred embodiment, the pain is associated with osteoarthritis. In yet another preferred embodi¬ ment, the pain is associated with rheumatoid arthritis. Pain may be selected from fibromyalgia, postoperative pain, trigeminal neuralgia, post-herpetic neuralgia, painful diabetic neuropathy, painful diabetic peripheral neuropathy, diabetic polyneuropathy, sciatic pain, radiculopathy, radicular pain, lumbar pain. Preferably the pain is caused by the conditions as mentioned above related to the given pain type. In particular the pain type can be the only pain type in a subject. E.g. preferably a neuro¬ pathic pain is caused by affected nerves but not caused by in¬ flammation, i.e. neuropathic pain is the only pain in the sub¬ ject and is non-inflammatory. In another preferred embodiment, the neuropathic pain is associated with transitory or persistent inflammation, such as with transitory inflammation, such as with persistent inflammation. Chronic pain may in certain embodiments of the invention be nociceptive, such as inflammatory in nature. Furthermore, chronic pain may also be mixed nociceptive and neu¬ ropathic. Finally, chronic pain may also be of a central origin, deriving from processes/conditions in the central or peripheral nervous system, such as e.g. post stroke pain or post-amputation pain/phantom limb pain, which may, in certain circumstances, also be considered neuropathic in nature.
In certain embodiments pain may exclude excludes post¬ herpetic neuralgia associated pain. Preferably this exclusion is for compounds Famciclovir, Cidofovir, Ribavirin, Aciclovir / acyclovir, Valaciclovir / valacyclovir, Ganciclovir, Penciclovir, Famciclovir, Vidarabine / adenine arabinoside, Idoxuridine, Tri- fluridine / trifluorothymidine (TFT) , Edoxudine / Edoxudin, Brivudine, Cytarabine / cytosine arabinoside (Ara - C) , Foscar- net, Docosanol, Tromantadine, Resiquimod. But of course it is also possible in further embodiments to treat post-herpetic neu¬ ralgia associated pain with these compounds.
"About" is used to refer to certain dosages that can vary from a given value, nevertheless with the same effects as the indicated dose. In some embodiments "about" may refer to +/- 20% or 10% of a given value.
Preferably the compound is administered in a dosage suffi¬ cient to treat or prevent pain or associated conditions and dis¬ eases. Administration can e.g. be a single dose administration or a successive or repeated administration, e.g. three times a day, twice a day, daily or in an interval of at least 1 day, at least 2 days, at least 3 days, at least 1 week, preferably at least 2 weeks, at least 4 weeks, at least 8 weeks or even more preferred at least 12 weeks. In a preferred embodiment, admin¬ istration is done once daily. Preventive administrations are usually a short time before expected pain, if controllable or foreseeable - such as in scheduled surgery - e.g. up to lhour (h) , 2h, 3h, 4h, 5h, 6h, 8h, lOh, 12h or up to 24h or even up to 48h beforehand, as well as any interval in between.
According to a further preferred embodiment of the present invention, the compound is provided in a pharmaceutical composi¬ tion or a medicament, in particular as an analgesic. The compo¬ sition or medicament may comprise a pharmaceutical carrier.
Pharmaceutical carrier substances serve for a better tolerance of the medicament and allow for a better solubility as well as a better bioavailability of the active substances contained in the medicament. Examples of this are emulsifiers, thickening agents, redox components, starch, alcohol solutions, polyethylene glycol or lipids. The choice of a suitable pharmaceutical carrier is highly dependent on the manner of administration. For oral ad- ministrations, liquid or solid carriers may be used, for injec¬ tions, liquid final compositions are required. For cellular tar¬ geting, such as for inhibitory nucleic acids, suitable vehicles can be included such as liposomes or microsomes.
Preferably, the medicament or the compound to be used ac¬ cording to the invention comprises buffer substances or tonic substances. By means of a buffer, the pH of the medicament can be adjusted to physiological conditions, and moreover, pH fluc¬ tuations can be attenuated, or buffered, respectively. An exam¬ ple thereof is a phosphate buffer. Tonic substances serve for adjusting the osmolarity and may comprise ionic substances, such as, e.g., inorganic salts, such as NaCl, or also non-ionic sub¬ stances, such as, e.g. glycerol or carbohydrates.
The inventive compound or medicament can be administered topical, enteral or parenteral, in particular preferred oral or rectal, intravenous, intraarterial, intramuscular, subcutaneous, intradermal or intraperitoneal, transdermal, transmucosal or in- halational. Preferred routes of administration of the inventive agent according to the present invention are parenteral routes, preferably intraperitoneal or intravenous administration, intra¬ venous administration being specifically preferred. Intravenous administration can be performed e.g. via bolus injection or by continuous intravenous delivery over a longer time period (e.g. 30 min to 6 h, especially 1 to 3 h) , in or not in combination with other agents which may be administered parenterally e.g. normal saline. Further routes include oral or transdermal or subcutaneous routes. Particularly preferred is oral administra¬ tion. For digestible agents, such as active proteins, peptides or siRNA, parenteral routes are preferred.
The medicament or the compound to be used according to the invention can be prepared to be suitable for oral or intranasal administration. These administration forms of the medicament of the present invention allow for a rapid and uncomplicated uptake of the active substances via the mucous membranes. For a nasal intake, nose drops or nose sprays are suitable. For an oral ad¬ ministration, solid or liquid medicaments may, e.g., be taken directly or in a dissolved or diluted state, respectively.
The medicament or compound to be used according to the in¬ vention can be prepared for an intravenous, intra-arterial , in¬ tramuscular, intravascular, systemic, intraperitoneal or subcu- taneous administration. For this purpose, e.g., injections or transfusions are suitable. Administrations directly into the bloodstream have the advantage that the active substances of the medicament will be distributed in the entire body and will quickly reach the target tissue or cells, in particular the pe¬ ripheral nerves, spinal cord cells or brain cells.
The compound may be administered in an effective therapeutic dose. Effective doses are in the range of dosages known for the compounds for other, non-pain related administrations. In par¬ ticular, for a specific use a dosage can be determined by a sim¬ ple test using drosophila or rodent, such as preferably mouse, such as preferably rat test systems. Further possible therapeu¬ tic doses of the compounds for the inventive treatment can be the same dosage disclosed or approved for other therapeutic uses for each of these compounds. Even further possible therapeutic doses can be a fraction or multiple of the dosage disclosed or approved for other therapeutic uses for each of the compounds according to the invention, such as at the most 0.1 times the dosage, such as at the most 0.2 times the dosage, such as at the most 0. 3 times the dosage, such as at the most 0. 4 times the dosage, such as at the most 0.5 times the dosage, such as at the most 0. 6 times the dosage, such as at the most 0. 7 times the dosage, such as at the most 0.8 times the dosage, such as at the most 0. 9 times the dosage, such as at the most 1. 1 times the dosage, such as at the most 1.2 times the dosage, such as at the most 1. 3 times the dosage, such as at the most 1. 4 times the dosage, such as at the most 1.5 times the dosage, such as at the most 1. 6 times the dosage, such as at the most 1. 7 times the dosage, such as at the most 1.8 times the dosage, such as at the most 1. 9 times the dosage, such as at the most 2. 0 times the dosage, such as at the most 2.2 times the dosage, such as at the most 2. 4 times the dosage, such as at the most 2. 6 times the dosage, such as at the most 2.8 times the dosage, such as at the most 3. 0 times the dosage, such as at the most 3. 5 times the dosage, such as at the most 4.0 times the dosage, such as at the most 5. 0 times the dosage . Example dosages are at least 0.01 mg/kg, at least 0.1 mg/kg, at least 1 mg/kg, at least 10 mg/kg and/or up to 1 mg/kg, up to 10 mg/kg, up to 100 mg/kg, up to 1 g/kg, and any dosages in between. Preferred dosage ranges are between 0.01 mg/kg and 1 g/kg, preferably between 0.1 mg/kg and 100 mg/kg.
The doses for tomeglovir are e.g. at least 0.01 mg/kg, pref¬ erably at least 0.1 mg/kg, at least 1 mg/kg, and/or up to 100 mg/kg, up to 1 g/kg, and any dosages in between. Preferred dos¬ age ranges are between 0.01 mg/kg and 1 g/kg, preferably between 0.1 mg/kg and 100 mg/kg, even more preferably between 1 and 10 mg/kg .
The doses for emtricitabine e.g. at least 0.01 mg/kg, pref¬ erably at least 0.1 mg/kg, at least 1 mg/kg, and/or up to 100 mg/kg, up to 1 g/kg, and any dosages in between. Preferred dos¬ age ranges are between 0.01 mg/kg and 1 g/kg, preferably between 0.1 mg/kg and lOOmg/kg, even more preferably between 1 and 10 mg/kg .
The doses for entecavir are e.g. at least 0.01 yg/kg, pref¬ erably at least 0.1 yg/kg, at least 1 yg/kg, and/or up to 100 yg/kg, up to 1 mg/kg, up to 10 mg/kg and any dosages in between. Preferred dosage ranges are between 0.01 yg/kg and 10 mg/kg, preferably 0.1 yg/kg and 1 mg/kg, even more preferably between 1 yg/kg and 0.1 mg/kg.
The doses for famciclovir are e.g. at least 0.1 mg/kg, at least 1 mg/kg, and/or up to 100 mg/kg, up to 1 g/kg, and any dosages in between. Preferred dosage ranges are between 0.01 mg/kg and 1 g/kg, preferably between 0.1 mg/kg and lOOmg/kg, even more preferably between 1 and 10 mg/kg.
The doses for alamifovir are e.g. at least 1 yg/kg, at least 0.01 mg/kg, at least 0.1 mg/kg, and/or up to 10 mg/kg, up to 0.1 g/kg, up to 1 g/kg and any dosages in between. Preferred dosage ranges are between 1 yg/kg and 1 g/kg, preferably between 0.01 mg/kg and 0.1 g/kg, even more preferably between 0.1 and 1 mg/kg .
The doses for racivir are at least 0.01 mg/kg, at least 0.1 mg/kg, and/or up to 10 mg/kg, up to 0.1 g/kg, and any dosages in between. Preferred dosage ranges are between 0.01 mg/kg and 1 g/kg, preferably between 0.1 mg/kg and lOOmg/kg, even more preferably between 1 and 10 mg/kg.
The doses for opaviraline are at least 0.01 mg/kg, at least 0.1 mg/kg, and/or up to 10 mg/kg, up to 0.1 g/kg, and any dosages in between. Preferred dosage ranges are between 0.01 mg/kg and 1 g/kg, preferably between 0.1 mg/kg and lOOmg/kg, even more preferably between 1 and 10 mg/kg. The examples show that the inventive pain tests revealed pharmaceutical compounds that are well known to be therapeuti¬ cally applicable for the treatment of human conditions and dis¬ eases. The compounds may now also be used for the treatment of pain and pain associated secondary diseases. Of course the full list of compounds according to the invention provides new thera¬ peutic concepts.
The inventive compound can be used in combination with other active analgesic/anti-pain compounds, preferably only with those described herein or above or in the claims or in the tables 1 , 2 or 3 or the derivatives with the defined formulas herein, or used as single active analgesic/anti-pain compound. In further embodiments the inventive compounds may be combined with any one or more compound selected from Tenofovir (PMPA) , dasatinib, AMG- 706 (motesanib) , BIRB 796 (Doramapimod) , EKB-569 (Pelitinib) , sorafenib , Vandetanib, CI-1033 (Canertinib) , NSC161613, N6- Benzyladenosine-5 ' -phosphate, p-Aminobenzoly PAB-J acid,
NSC47091, cilomilast , Nicotinamide (Nicotinamide), IBMX,
Roflumilast, Filaminast, Piclamilast, V11294, CC-10004 (Apre- milast) , LAS31025 (Arofylline) , CP80633 (Atizoram) , Catrami- last/Atopik (Catramilast) , BRL-61063 (Cimpyfylline) , Dax- alipram/mesopram (Daxalipram) , Doxofylline, Drotaverine, Eflox- ate, Etamiphylline, Etazolate, Etofylline, Glaucine Hydrobromide
(Broncholytine) , GRC3886 (oglemilast) , oxtriphyllin (Choline theophyllinate) , Pumafentrine, Revamilast, Tofimilast, Tolafen- trine, Seoanin (Trapidil) , GW 842470 (AWD 12-281), CDP-840, YM- 976, CI-1018, D-4418, Lirimilast, SCH-351591, RPL-554, IPL- 455903 (HT-0712), GSK256066, Zardaverine, Vardenafil, OPC-6535
(Tetomilast) , IC485, L-826,141, ONO-6126, CI-1044, MK-0873, T- 2585, R1533 (MEM-1414), Ronomilast (ELB-353) , UK-500,001,
AN2728, DE-103, Tofisopam, (R) -Tofisopam (Dextofisopam) , (S)- Tofisopam (Levotofisopam (USAN) ) , EKB-568, SU-14813, LY-333531
(Ruboxistaurin) , CGP-52421, SKI-606 (Bosutinib) , Roscovitine, Tenofovir (PMPA), Methimazole, Adefovir dipivoxil (Bis-POM PMEA)
(Adefovir) , Acetazolamide, midostaurin (PKC-412), tozasertib
(MK-0457, VX 680) or lestaurtinib (CEP-701). Further compounds that can be used in combination with the inventive compounds can be selected from one or more of the group of (IS, 2S) -2- (2- (N-
( (3-benzimidazol-2-yl) propyl) -N-methylamino) ethyl) -6-fluoro- 1,2,3, 4-tetrahydro-l-isopropyl-2-naphtyl cyclopropanecarboxylate dihydrochloride, (5- (2-methoxy-5-chloro-5-phenyl) furan-2- ylcarbonyl) guanidine, ( 6S ) -5 , 6, 7 , 8-tetrahydrofolic acid, (T,G)- A-L, 1 alpha-hydroxyergocalciferol , 1- ( 1-cyclohexylethylamino) -
4-phenylphthalazine, 1- (2-methyl-4-methoxyphenyl) -4- ( (2- hydroxyethyl ) amino) - 6-trifluoromethoxy-2 , 3-dihydropyrrolo (3, 2- c) quinoline, 1- (2, 3-dichlorobenzoyl ) -5-methoxy-2-methyl- (2- (mopholin-4-yl) ethyl) -lH-indole, 1- (2, 3-dihydro-l, 4-benzodioxin-
5-yl) -4- ( (5- (4-fluorophenyl) -3-pyridinyl) methyl) piperazine, 1- ( 6- ( ( 3-methoxyestra-l , 3, 5 (10) -trien-17-yl) amino) hexyl ) -1H- pyrrole-2 , 5-dione, 1-adamantyl propargyl ether, 1- aminobenzotriazole, l-aminooxy-3-aminopropane, l-hydrazino-4- (3, 5-dimethyl) -l-pyrazolyl-5H-pyridazino (4, 5-b) indole, 1- hydroxymethylmidazolam, 1-hydroxypyrene, l-Methyl-4- phenylpyridinium, l-Nitropyren-8-ol, 1-phosphatidyl-lD-myo- inositol 3-phosphates , l-stearoyl-2-oleoyl-sn-glycero-3- phosphocholine, 1, 1-bis (3 ' -indolyl) -1- (4-t-butylphenyl) methane, 1, 1-dimethylbutyl-l-deoxy-Delta (9) -THC, 1, 1, l-trichloro-2- (4- hydroxyphenyl ) -2- (4-methoxyphenyl) ethane, 1, 2- bis (diphenylphosphino) ethane, 1, 2-di- (4-sulfamidophenyl) -4- butylpyrazolidine-3 , 5-dione, 1, 2-diacyl-sn-glycero-3- phosphocholines , 1, 2-ethanedithiol, 1,2- oleoylphosphatidylcholine, 1, 2, 4-triazines, 1, 25-dihydroxy-21- ( 3-hydroxy-3-methylbutyl ) -23-yne-26, 27- hexafluorocholecalciferol , 1, 25-dihydroxyergocalciferol, 1, 25D3, 1, 3-Dcg, 1, 3-dihydroxy-4 , 4, 5, 5-tetramethyl-2- (4- carboxyphenyl ) tetrahydroimidazole, 1, 3-dipropyl-8- (3- noradamantyl) xanthine, 1, 3, 5-trimethylbenzene, 1 , 7-dioxa-2 , 6- diaza-4, 4-dioxide-4, 7a-dithia-3H, 5H-benzo (cd) pentalene, 10- deoxymethynolide, 10-propargyl-lO-deazaaminopterin, 10- undecynoic acid, 10, 10-bis (4-pyridinylmethyl) -9 (10H) - anthracenone, 11-cis-retinal, 11-hydroxycannabinol, 12-Hht, 13- Lox, 13-oxo-9, 11-octadecadienoic acid, 15 hete, 15-Hydroxy-ll alpha, 9 alpha- (epoxymethano) prosta-5, 13-dienoic Acid, 17- (allylamino) -17-demethoxygeldanamycin, 17alpha-ethynylestradiol, 1843U89, lD-myo-inositol 1, 3, 4, 5-tetrakisphosphate, lH-indole, lH-pyrazole, lH-pyrazolo (3, 4-b) pyridine, 2 APB, 2-(l-(3- dimethylaminopropyl ) -5-methoxyindol-3-yl ) -3- (lH-indol-3- yl) maleimide, 2- (l-methyl-4-piperidinyl) -6- (2- phenylpyrazolo (1, 5-a)pyridin-3-yl) -3 (2H) -pyridazinone, 2- (2- hydroxyethylsulfanyl ) -3-methyl-l, 4-naphthoquinone, 2- (3, 4- dimethoxyphenyl ) -5-amino-2-isopropylvaleronitrile, 2- (4-amino-3- methylphenyl ) -5-fluorobenzothiazole, 2- (4-morpholinoanilino) -6- cyclohexylaminopurine, 2- (4-morpholinyl) -8-phenyl-4H-l- benzopyran-4-one, 2- (4-toluidino) - 6-naphthalenesulfonic acid, 2-
(cyclohexylmethylidenehydrazino) adenosine, 2-AAF, 2- acetylthiomethyl-3- (4-methylbenzoyl) propionic acid, 2 -AG, 2- amino-1 -methyl- 6-phenylimidazo (4, 5-b) pyridine, 2 -amino-3, 4- dimethylimidazo (4, 5-f) quinoline, 2-aminoethoxydiphenyl borate, 2-AP, 2-CADO, 2-chloro-5-nitrobenzanilide, 2-cyano-3-hydroxy-N-
(4- (trifluoromethyl) phenyl) -2-hepten-6-ynamide, 2- cyanomethylthiopyridine-4-carbonitrile, 2-cyclopentyl-5- (5- isoquinolylsulfonyl) -6-nitro-lH-benzo (D) imidazole, 2-DG, 2- hydroxy-4- (2, 2, 3, 3, 3-pentafluoropropoxy) benzoic acid, 2- hydroxyamino-l-methyl-6-phenylimidazo (4, 5-b) pyridine, 2- hydroxyamino-3-methylimidazolo (4, 5-f) quinoline, 2 -ME, 2- methoxyacetic acid [2- [2- [3- (lH-benzoimidazol-2-yl) propyl- methyl-amino ] ethyl] -6-fluoro-l-isopropyl-tetralin-2-yl ] ester, 2-methyl-l- ( (4-methyl-5-isoquinolinyl) sulfonyl) homopiperazine,
2-N- (4- (1-azitrifluoroethyl) benzoyl) -1, 3-bis- (mannos-4-yloxy) -2- propylamine, 2-Naftol, 2-oxothiazolidine-4-carboxylic acid, 2- phenyl-4-oxohydroquinoline, 2,2, 2-trichloroethane-l , 1-diol, 2,2'- (hydroxynitrosohydrazono) bis-ethanamine, 2,2'-azobis(2,4- dimethylvaleronitrile) , 2 , 2 ' -bipyridine, 2,2 ',4,4 '- tetrachlorobiphenyl , 2, 3-bis (3 ' -hydroxybenzyl ) butane- 1, 4-diol,
2, 3-dihydroxyterephthalamide, 2, 3, 4-tri-O-acetylarabinopyranosyl isothiocyanate, 2 , 4-diaminoquinazoline, 2 , 4-thiazolidinedione, 21-hydroxy-9beta, 1 Oalpha-pregna-5 , 7-diene-3-ol-20-one, 25- desacetylrifabutin, 25-Hydroxycholesterol, 25(OH)D3, 3- ( (4- (4- chlorophenyl ) piperazin-l-yl) methyl) -lH-pyrrolo (2, 3-b) pyridine,
3- (2-hydroxy-4- (1, 1-dimethylheptyl) phenyl) -4- (3- hydroxypropyl ) cyclohexanol , 3- (2h) -pyridazinone, 3-
(cyclopentyloxy) -N- (3, 5-dichloro-4-pyridyl) -4-methoxybenzamide, 3-aminopyrazole, 3-beta- (2- (diethylamino) ethoxy) androst-5-en-17- one, 3-BHA, 3-hydroxybutanal , 3-hydroxyflunitrazepam, 3- Hydroxyquinine, 3-isobutyl-l-methyl-Xanthine, 3-keto- desogestrel, 3-methoxy-4-aminoazobenzene, 3-Methoxymorphinan, 3- Methoxyoestradiol , 3-methylcholanthrene, 3-MI, 3, 3', 4,5'- tetrahydroxystilbene, 3,4-DCI, 3, 4, 5-trihydroxybenzamidoxime, 4-
(3-3, 4-p-menthadien- (1,8) -yl) olivetol, 4- (3-Butoxy-4- methoxybenzyl ) -2-imidazolidinone, 4- (4- (4-chlorophenyl) -4- hydroxy-l-piperidinyl) -1- (4-fluorophenyl) -1-butanol, 4- (4- (N- benzoylamino) anilino) -6-methoxy-7- (3- (1- morpholino) propoxy)quinazoline, 4- (4-fluorophenyl) -2- (4- hydroxyphenyl ) -5- (4-pyridyl) imidazole, 4- (5-benzo (1,3) dioxol-5- yl-4-pyridin-2-yl-lH-imidazol-2-yl) benzamide, 4- (benzodioxan-5- yl) -1- (indan-2-yl) piperazine, 4- (N-methyl-N-nitrosamino) -1- (3- pyridyl) -1-butanone, 4-AP, 4-azidosalicylic acid, 4- dimethylamino-3 ' , 4 ' -dimethoxychalcone, 4-hydroxy-N- desmethyltamoxifen, 4-hydroxyacetophenone, 4-hydroxycoumarin, 4- hydroxyestradiol-17 beta, 4-hydroxynon-2-enal, 4- hydroxytriazolam, 4-methyl-N- (3- (4-methylimidazol-l-yl) -5- (trifluoromethyl) phenyl) -3- ( (4-pyridin-3-ylpyrimidin-2- yl) amino) benzamide, 4-phenylbutyric acid, 4-S-cysteaminylphenol,
4-sulfophenylmethallyl ether, 4, 4 '-DDE, 4 , 4 ' -dipyridyl disul¬ fide, 4 , 8-dimethoxy-7-hydroxyfuro (2 , 3-b) quinoline, 4'- epidoxorubicin, 4 ' -N-benzoylstaurosporine, 4(2'- aminoethyl) amino-1, 8-dimethylimidazo (1, 2-a) quinoxaline, 4alpha- phorbol 12 , 13-didecanone, 4alphaPDD, 5- ( ( 1 , 2-dihydro-2-oxo-3H- indol-3-ylidene) methyl) -2, 4 -dimethyl-lH-pyrrole-3-propanoic ac¬ id, 5- (4 ' - (N-piperidinyl ) phenylazo) indazole, 5-7-oxo-zeaenol, 5- AC, 5-acetylneuraminyl- (2-3) -galactosyl- (1-4) - ( fucopyranosyl- (1- 3) ) -N-acetylglucosamine, 5-azido-lH-indole-3-acetic acid, 5-HT,
5-methoxy-N, -diisopropyltryptamine, 5-Mop, 5,10- methylenetetrahydrofolate, 5, 6-dimethylxanthenoneacetic acid, 5 ' -0- ( ( (2-decanoylamino-3- phenylpropyloxycarbonyl ) amino) sulfonyl) uridine, 6 beta- hydroxycortisol , 6-Aminochrysene-l, 2-dihydrodiol, 6-chloro-2- pyridylmethyl nitrate, 6-deoxy- 6-bromoascorbic acid, 6- hydroxydexamethasone, 6-Mercaptopurine, 6, 6 ' -oxybis (2 , 2- dimethylhexanoic acid), 64Gd, 7- (1, 1-dimethylethyl) -6- (2-ethyl- 2H-1, 2, 4-triazol-3-ylmethoxy) -3- (2 -fluorophenyl) -1,2,4- triazolo (4, 3-b)pyridazine, 7-benzylamino-6-chloro-2-piperazino- 4-pyrrolidinopteridine, 7-benzyloxyquinoline, 7-CDL, 7- hydroxystaurosporine, 7-ketocholesterol, 7,8-BF, 7,8- dihydroneopterin, 7 ' -Isothiocyanato-ll-hydroxy-1 ' , 1 ' - dimethylheptylhexahydrocannabinol , 7C3MT, 7H-Pyrrolo (2 , 3- d) pyrimidine, 8- ( (4-bromo-2, 3-dioxobutyl ) thio) -adenosine 3',5'- cyclic monophosphate, 8- (2, 6-dichlorophenyl ) -10-methyl-3- ( (4- morpholin-4-ylphenyl) amino) -2, 4, 10-triazabicyclo (4.4.0)deca- 1, 3, 5, 7-tetraen-9-one, 8- ( 3-chlorostyryl ) caffeine, 8- anilinonaphthalene-l-sulfonic acid, 8-Hydroxy-2- (di-n- propylamino) tetralin, 8-Isoprostane, 8, 10 -bis ( (2, 2 -dimethyl- 1- oxopropyl) oxy) -ll-methyl-1234-tetrahydro-6H- benzo (beta) quinolizin-6-one, 9- (4 ' -aminophenyl ) -9H-pyrido (3,4- b) indole, 9-anthroic acid, 9-CRA, 9-hydroxy-risperidone, 9,10- anthraquinone, 9H-xanthene, A 71915, A-300-I, a-ADP, A73025, Ab¬ bott, abciximab, Absele, ABT-737, acetamide 45, Aceton, acetoni- trile, acetyl-ll-ketoboswellic acid, acetylcholine, acetyl- valerenolic acid, Aclarubicin, Acolen, ACON, ACT D, actinium, Actosin, adalimumab, Adalin, Adanon, Adfeed, adinazolam,
Adofeed, Adrenor, Adrin, AEBSF, Aeromax, afloqualone, AGMATINE, AIDSVAX, ajoene, ajulemic acid, alachlor, Aladerm, alaninate, Alat, Alcolo, Alcuronium, Aldara, ALDO, Aldrich, alemtuzumab, Alfarol, Alfentanil, ALIMTA, aliskiren, Alii, ALLN, alloxazine, allyl isothiocyanate, almokalant, aloesin, Alprenolol, Alvesco, AM 1387, AM 251, Am 80, AMD 070, Amiloride, Aminacrine, Amine BB, amino-polyethyleneoxide-sulfonate, aminoflavone, Amiodarone, Amlodipine, Amphotericin B, amprenavir, Amrinone, amsonic acid, Amygdalin, AN 207, Anaboleen, anacardic acid, Anandamide, Anco, Andrographis , Androtine, Aneol, Ang II, Anisomycin, Anon, Antho- cyanins, anthra (1, 9-cd) pyrazol-6 (2H) -one, anthracene, anthralin, Anthricin, anthrone, antibiotic G 418, antibiotic H107, Antimy- cin A, Anyvim, APAP, APDC, Aphidicolin, Aphloiol, apicidin, Apigenin, apocynin, Apotransferrin, aprepitant, APRL, AQ4N, arabinogalactan, Arac, Aralen, Arasine, Areca, Arecoline,
Areether, argatroban, aripiprazole, Aron, Artein, Artra, arvan- il, asiatic acid, asiaticoside, Asmax, Asmol, ASTA, astatine, Astemizole, Astragaloside A, atazanavir, ATL 146e, Atorel, atorvastatin, Atovaquone, ATRA, Atropine, Auranofin, AuTM, auxin, avasimibe, AVE 0118, avicularin, Avid, Axert, Axsain, Aza- dC, Aza-deoxycytidine, azacyclonol, Azadc, azamulin, azaspirane, azelaic acid, azelastine, azelnidipine, azido ruthenium, Azine, Azithromycin, Azobisisobutyramidinium dichloride, Azole, Azoles, Azolidine, Azophen, Azor, BA (VAN) , Ba 0108E, bacitracin, Baclofen, bacterial lysate, bafilomycin Al, Bagren, baicalein, Barbiturate, Barnidipine, BAY 11-7085, BB-K8, BCNU, Beflavin, Belt, benazepril, bendamustine, Benidipine, benzamidine, benzimidaz- olide, Benzodiazepines, Benzodioxoles , Benzphetamine, benzyda- mine N-oxide, benzylamine, benzyloxycarbonylleucyl-leucyl- leucine aldehyde, benzyloxycarbonylvalyl-alanyl-aspartyl fluoro- methyl ketone, beractant, berberine, bergamottin, bergaptol, be- ta-glycerophosphoric acid, beta-lapachone, beta-Naphthoflavone, beta-propiolactone, Bethanechol, betulinic acid, bexarotene, Bezafibrate, BG 9928, BGC945, biapigenin, BIBX 1382BS, biphenyl- 4-ol, BIRB 796, bisindolylmaleimide I, bisindolylmaleimide III, Bisoprolol, bisperoxovanadium, Bisphenol A-Glycidyl Methacry- late, bizelesin, BL1521, Bla-S, Blow, BM 41.440, BML 241, BMS 310705, BMS204352, BMS453, Bo-Xan, Boltin, Bonopen, boron, Bor- relia-burgdorferi , bortezomib, bosentan, bosutinib, botrocetin, BPDE, BR-II, Brake, bredinin, Brefeldin A, Bromazepam, bromo- cis-stilbene, brucine, bryostatin 1, Budesonide, bufalin, bufuralol, Bumetanide, BuOH, Bupivacaine, Buprenorphine, BU¬ PROPION, Buspirone, Busulfan, Buthionine Sulfoximine, Butyrate, butyrolactone I, C 1027, C 76, CACP, Calcijex, Calcimycin, cal- phostin C, Calyculin, Camptothecin, Canef, cangrelor, Canna- binoids, Cannabis, Cantharidin, CAPE, Capsaicin, capsaicinoids , capsazepine, Carbachol, Carbamazepine, carbapenem, Carbapenems, carbobenzoxy-leucyl-leucyl-norvalinal , Carbolines , Carboxyethyl- phenethy1amino-ethyIcarboxamidoadenosine, Cardiolipins , carebas- tine, CARNOSOL, carrageenans , carvacrol, carvedilol, Casodex, caspofungin, casticin, catechins, CB 3717, Cbdca, CCPA, CD 437, CDP 840, Cefoxitin, celecoxib, cephalomannine, cephalosporins, cepharanthine, cerebrolysin, cerivastatin, Cetomacrogol , ce- trorelix, cetuximab, CGP 12177, CGS 15943A, CGS 21680, CH-THF, CH2CHO, Chalcone, CHAPS, Chinine, Chitosan, Chloramphenicol, chlorophenyl-ethane, chlorophyllin, chlorophyllypt , chlorproma- zine, Chlorpropham, Chlorzoxazone, Cholestanol, CHOLINE, Chon- surid, chromophore, Chrysin, chymostatin, CI1033, cicaprost, cifostodine, ciglitazone, Cilazapril, Cilomilast, cilostazol, Cimetidine, cinacalcet, cinitapride, cinnamic aldehyde, cionin, Cipol N, Ciprofloxacin, Ciprol, cis-9, trans-ll-conjugated lino- leic acid, Cisapride, Citalopram, Citox, CITRULLINE, clebopride, clevidipine, clobazam, Clodronic Acid, clofarabine, Clofibric Acid, Clomipramine, Clonazepam, Clonidine, clopidogrel, clotiaz- epam, Clozapine, clozapine N-oxide, CNI 1493, Co 2-1970, Coagu- lin, Colchicine, compactin, CONT, Cotinine, Cotrim, coumarin, CRA 024781, CRA 026440, Crestor, Crodacid, Crypt-2,2,2, cryptdin 3, cryptotanshinone, cryptoxanthin, CUBE, CVT 3146, cyanidin 3- rutinoside, cyanidin-3-glucoside, cyanoginosin-LA, Cyclandelate, cyclohexyl carbamic acid 3 ' -carbamoylbiphenyl-3-yl ester, cyclo- hexyl-methyl , cyclopamine, Cyclopentenone, cyclopiazonic acid, Cyproheptadine, Cyproterone Acetate, cystathionine, cysteamine, cysteinyl-leukotriene, Cytarabine, cytochalasin B, Cytochalasin D, cytochalasin E, D 22888, D 23129, DA 8159, Dacarbazine, DAD- SO, daidzein, danaproid, Dapsone, Daral, Darifenacin, darunavir, dasatinib, Daunorubicin, Dayfen, DBPC, DDB, DDE, Debrisoquin, decursin, Deethylamiodarone, deferiprone, Deferoxamine, deguel- in, dehydroaripiprazole, Dehydroepiandrosterone Sulfate, dehy- droxymethylepoxyquinomicin, Delavirdine, delta8-THC, Denagard, denbinobin, denileukin diftitox, denopamine, Depas, de- ramciclane, desethylchloroquine, desflurane, desisobutyrylci- clesonide, desmethylazelastine, Desmethyldeprenyl , Devazepide, Dexfenfluramine, dexloxiglumide, Dextropropoxyphene, dFdC, DFMO, DHEA, DHLA, di- ( 1 -isoquinolinyl ) -di- (pyridyl-2 ') butane , Diaben, Diacomit, diadenosine tetraphosphate, Dial, Diamide, DIAN, di- arsenic trioxide, Dibenzanthracene, Dicid, Diclofenac, Dicyclo- hexylcarbodiimide, diethyl maleate, Diethyl-benzoquinone-imine, Digicor, Digitin, Digoxin, Dihydroqinghaosu, Dihydroxycholecal- ciferols, diisopropyl fluorophosphate, dillapiol, Diltiazem, Di- methadione, dimethyl fumarate, Dimethyl Sulfoxide, dimethyl- hydrazide, dimethylamino-purine, dimuonium, dinitrophenol , Dino- prostone, dioxirane, Dipalmitoyl, diphenylalanine, Diphenyla- mine, diphenyleneiodonium, Dipyridamole, Dipyrone, discoder- molide, Diterpenes, Dithionite, diuretic, Diuron, divinyl ben¬ zene, dl-Ipr, DMGG, DMPX, DMSO, Dobutamine, Doca, Doconexent, dodecyl-phosphocholine, dodecyloctaethyleneglycol monoether, Domperidone, DOTA, Doxazosin, Doxorubicin, Doxycycline, DPC 681, DPCPX, Droxia, DTMC, dulcin, Durapatite, DX 9065a, Dxms, Dyna- tra, E 10, E 3330, E-MIX 80, E.O., EACA, ebastine, ebrotidine, Echinomycin, Econ, econazole, ecteinascidin 743, Edetic Acid, Edex, efavirenz, EGCg, EGTA, eletriptan, Elicide, Empecid, Enal- april, Endocannabinoids , endomorphin 1, Enediynes, enflurane, enone, Enoximone, entacapone, Entex, enzastaurin, EOS, EPC-K(l), EPEG, EPIB, epibatidine, Epicar, Epoprostenol , epoxybergamottin, epsilon-viniferin, erastin, ergosterol-5, 8-peroxide, Eril, erlo- tinib, erucin, Eryc, erythritol anhydride, esterbut-3, Estriol, ET18-Ome, Etfc cpd, Ethacrynic Acid, Ethan, Ethinyl-oestradiol , Ethylmorphine, Ethynodiol Diacetate, Eticol, Etidronic Acid, Etodolac, Etoposide, etoricoxib, etravirine, Eufor, Eugenol, eu- patilin, everolimus, Evex, Evodin, exenatide, Exosurf, Expecto- rants, Extina, Ezerin, ezetimib, Facet, Facid, facile, Factor Ila, FAMP, Fanchinine, Farnesyl-PP, farnesylthiosalicylic acid, febuxostat, felbamate, Felodipine, Fenfluramine, fenitrothion, fenofibric acid, Fenretinide, Fentanyl, ferulic acid, Filipin, fingolimod, fipronil, fisetin, Flanin F, Flavon, flavonols, fla- vopiridol, Flavyl, FLCZ, Flecainide, Floxacillin, flufenamic ac¬ id, Flunitrazepam, fluorexon, Fluorouracil , fluvoxamine, FOLATE- ANALOG, fondaparinux, Fonofos, Format, Formyl-Tetrahydrofolate, Forskolin, fosamprenavir, Foscarnet, FR 120480, FR 235222, frax- in, FTY 720P, fucoidan, fulvestrant, fumagillin, Fura-2,
furafylline, Furamon, Furylfuramide, Gabexate, gadolinium, Gado¬ linium DTPA, galactocerebroside, galactomannan, galangin, gala- turonate, gallic acid, Gallogen, gambierol, Gambogic acid, gam¬ ma-butyric-acid, Ganciclovir, gastrin 17, gatifloxacin, ge- fitinib, Geldanamycin, Gemfibrozil, gemtuzumab, Gentamicins, gepirone, geraniol, geranylcoumarin, Gestodene, GF 120918, GGTI 298, GI 129471, gingerol, ginsenoside Rd, ginsenoside Rf, gin- senoside Rgl, ginsenoside Rh2, Ginsenosides , GLCa, Gliclazide, Glumin, Glyoxal, Gnidimacrin, GnRH, Go 6976, gossypol, GR
79236X, gramicidin S, Granisetron, Gravistat, Grofo, Guggul- sterone, GW 4064, GW 501516, H 89, Halan, halofuginone, harmine, Harzol, hassium, HDMTX, Hecogenin, Hectorol, Heet, helenalin, Hemicholinium 3, herbimycin, hesperadin, HESPERETIN, Hexadime- thrine, hexarelin, Hgln, himbacine, Hk, Hocus, HOE 33342, honokiol, Horner, HS 1200, HU 211, HyateC, Hydoxin, hydride, Hy- dromorphone, Hydroxychloroquine, hydroxycotinine, hydroxylamine, Hydroxytryptophol , Hyhorin, Hypaque, hyperforin, hypericin, Hypericum-perforatum, hypochlorous acid, iberin, IBMX, ibopamine, ibudilast, IC 831423, icariin, icaritin, icilin, ICRF 193, IDS 23, Ifosfamide, Ikarugamycin, ilimaquinone, Iloprost, Imadyl, imatinib, imidafenacin, imidazo-pyridine, imidazolidin-2-one, imidazolidin-one, imidazolidine, Imidazoline, imidazolyl- disulfide, Imipenem, Imizin, Immulina, Immunoferon, Impulsin, Imrecoxib, Imutex, Indinavir, indiplon, indirubin, indole-3- acetic acid, indole-3-methanol , indolin-2-one, indolin-one, in¬ fliximab, inhibin B, INOmax, inositol-1, 3, 4, 5-tetrakisphosphate, inulin, Iodoacetamide, iodomethane, iodoresiniferatoxin, Ionomy- cin, ionophore, Iopanoic Acid, Iophendylate, IPADE, IPOMEANOL, Iressa, irinotecan, irisolidone, Isatin, isaxonine, isoamylol, isobutyl-methyl-Xanthine, Isodonol, isoflavone, isoflurane, Isol, Isoliquiritigenin, isometronidazole, isoprenoids, Isopro- pyl Thiogalactoside, Isoprostanes, Isorhamnetin, isosilybin A, Isosorbide Dinitrate, isothiocyanates , Isotretinoin, Isradipine, istradefylline, Itraconazole, ivabradine, Ivermectin, ixabepilo- ne, jadomycin B, Jexin, JHW 015, JTE 013, K 252, K-PAM, K-SR, kaempferol, kaempferol-3-O- (2, 3, 4-tri-O-acetyl-alpha-l- rhamnopyranoside) , KAFA, Kaken, Kamalin, Kaolin, Kathon 886, KB 141, Kemi, kenpaullone, Ketamine, Keto-desogestrel , Keto- pgflalpha, ketoglutarate, Kipca, KMD 3213, KMTB, Kojic acid, KR- 31543, KRM 1648, L 365260, L 740,093, L-454,560, L-696,474, L- T3, LAAM, lacidipine, lactacystin, lactisole, lamotrigine,
Lanol, lansoprazole, lapatinib, laquinimod, latrunculin A, latrunculin B, lavendustin A, LBH589, leflunomide, lenalidomide, Lendorm, Lentinan, leptomycin B, Leucovorin, Leukotriene C4, Leukotriene D4, leukotrienes , Leupeptin, Levamisole, Levitra, levobupivacaine, Levonorgestrel , levugen, liarozole, Lidocaine, lilopristone, Lipoate, Lipofectamine, lipoteichoic acid, Lipox- ins, lissamine rhodamine B, lithocholic acid, LMWH, LNAC, lo- nafarnib, Loperamide, lopinavir, Loratadine, Lorazepam, Lorex, lorglumide, Losartan, Lovan, loxiglumide, LUF 5831, lupeol, lu- teolin, LY 117018, LY 293111, LY231514, LYCOPENE, lysophospha- tidic acid, Lysophosphatidylcholines , Lysophosphatidylglycerol , lysyl-arginyl-alanyl-lysyl-alanyl-lysyl-threonyl-threonyl-lysyl- lysyl-arginine, M&B22948, Malix, manidipine, manumycin, mara- viroc, Matrine, MCYST-LR, Me-nle-asp-phe-NH2 , mead ethanolamide, MeAsO(OH)2, Mebumal, Mechlorethamine, Medroxyprogesterone 17- Acetate, Mefenamic Acid, Megalomicin, Melarsoprol, Melatol, me- letin, melitten, meloxicam, Melphalan, Memantine, menadiol, Menhaden oil, menthofuran, Meperidine, Mephenytoin, mesalamine, Me- saton, Meth, methanandamide, methanethiosulfonate ethylammonium, Methimazole, methionyl-leucyl-phenylalanine, Methorphan, Methox- salen, Methoxy-psoralen, methoxyamine, methoxychlor, methoxy- morphinan, methyl chloroformate, Methyl glycine, Methyl paraben, methyl salicylate, methyl tryptophan, methyl-dopa, methyl- phosphorothioate, methyl-Pyridinium, methylamine, Methyla- mylnitrosamine, Methylene-tetrahydrofolate, methylenetetrahydro- folates, methylglyoxal , methylnaltrexone, methyloxidanyl , methylparaben, methylphosphate, Methylprednisolone, methylxan- thines, Metoclopramide, Metopiron, Metribolone, mevalonic acid, micafungin, miconazole, Mictonorm, Midazolam, Mifepristone, Mill, Milrinone, Mimosine, mirtazapine, Mit-C, mithramycin, Mi- toTracker-Red, Mitoxantrone, mizolastine, MLN8054, mofarotene, Monensin, mono-N-demethyladinazolam, mono (2-ethylhexyl)
phthalate, monoethylglycinexylidide, monomethylarsonic acid, monoterpenes , monuron, MORIN, morpholine, morusin, motexafin gadolinium, Motuporin, moxifloxacin, MPEG, Muraglitazar, mutali- pocin II, mycophenolic acid, Mycose, Myocol, myricetin, myxothi- azol, N- (2-cyclohexyloxy-4-nitrophenyl) methanesulfonamide, N- (2- hydroxypropyl) methacrylamide, N- (3- (4-chlorophenyl) -2- (3- cyanophenyl) -1-methylpropyl) -2-methyl-2- ( (5-
( trifluoromethyl) pyridin-2-yl) oxy) propanamide, N- (3- methoxyphenyl ) -4-chlorocinnamanilide, N- (3- oxododecanoyl ) homoserine lactone, N- ( 4- ( 6- ( 4- ( 1- ( 4- fluorophenyl ) ethyl) piperazin-l-yl) pyrimidin-4- yloxy)benzo (d) thiazol-2-yl) acetamide, N- (4- (6- (4- trifluoromethylphenyl ) pyrimidin-4-yloxy) benzothiazol-2- yl) acetamide, N- (4-cyano-benzo (b) thiophene-2-carbonyl) guanidine, N-(5-(((5-(l, 1-dimethylethyl) -2 -oxazolyl) methyl) thio) -2- thiazolyl) -4-piperidinecarboxamide, N-acetylcysteine lysinate, n-acetylmuramyl-l-alanyl-d-isoglutamine, N-acetylneuraminic ac¬ id, N-desmethylclobazam, N-ethylmaleimide, N-methyl-N-
(trimethylsilyl) trifluoroacetamide, N-methylsulfonyl- 6- (2- propargyloxyphenyl) hexanamide, N-oleoyldopamine, N-phenyl-1- naphthylamine, N, , ' , ' -tetramethylethylenediamine, N(6)- cyclohexyl-2-O-methyladenosine, ( 6) -cyclopentyladenosine, N3- IQ, Nadroparin, naftifine, nal-NH2, NALS, nanchangmycin, Naproxen, naratriptan, narbonolide, NARIGENIN, Narkotil, Nasol, na- talizumab, nateglinide, Naxy, nebivolol, Nefazodone, nefirace- tam, Nelfinavir, Neomycin, Neopterin, Neostigmine, Neut, Nevi- rapine, NFBA, Nialk, Nicardipine, Niflumic Acid, nimesulide, ni¬ obium, nitecapone, nitroanilide, nitroaspirin, Nitrofurans, NI- TROPYRENE, nitrosamines , Nitrosoanabasine, Nitrosocysteine, ni- trosulindac, Nizatidine, NK 104, NK314, NMDA, NN 703, Noan, No- biletin, NOC 18, Nocodazole, nodularin, Nodularin v, nolatrexed, Nonoxynol, noralfentanil , norbuprenorphine, Norclozapine, Nordi- hydroguaiaretic Acid, Norethindrone, noreximide, norfluoxetine, Norgestrel, norharman, norketobemidone, norlaudanosoline, normeperidine, Nortilidine, norverapamil , novobiocin, NS-187, NSC 23766, NSC 366140, NSC 663284, NSC-134754, NU2058, number- one, nutlin 3, NVP-AEW541 , Nylon, 0- (chloroacetylcarbamoyl) fumagillol, O-desethylreboxetine, O-Due, o-quinone, obovatol, OCDD, octanediol, Octoxynol, Octreotide, Okadaic Acid, olanzapine, olefins, oleoylethanolamide, olmelin, olmesartan, olomoucine, olomoucine II, Oltipraz, omalizumab, omega-agatoxin, omega-Conotoxin GVIA, omega-N-Methylarginine, Omeprazole, omeprazole sulfone, onapristone, ONCB, Ondansetron, ON04819, Optef, OR 1246, oroxylin A, Orphenadrine, Osten, oste- um, OSU 03012, Ouabain, OVEX, Ovex, oxaliplatin, Oxarol, oxaspi- rodion, oxatomide, Oxazepam, oxcarbazepine, Oxotremorine, oxo- tremorine M, Oxymorphone, Oxyntomodulin, Oxytrol, p-ABA, p-XSC, p-Xylol, Paclitaxel, paeonol, palladium, palmitoleate, PALMITO- YL, Palmitoylcarnitine, pamidronate, panaxadiol, panepoxydone, pantoprazole, Papaverine, Papite, PAPP, parecoxib, Paroxetine, Parsal, Parthenolide, PC 314, PCA 4230, PCSO, PD 134308, PD 144795, PD 180988, PD 98059, pectin, Pemetrexed, Penicillins, Penite, Pentagastrin, Pentoxifylline, Peplomycin, peppermint oil, Pepstatin A, Perazine, Pergolide, Perillol, Perilymph, pe- riodate, perospirone, perovskite, PFPA, Phebestin, phen, pheno- late, Phenols, phenoxodiol, Phenprocoumon, Phentermine, phenyl- propionamide, phenyl-Pyridinium, Phenytoin, pheophorbide a, phloretin, PHOB, phorate, phorbol, phorbol 12-phenylacetate 13- acetate 20-homovanillate, phosphatidylethanolamines , Phosphati- dylinositol 4 , 5-Diphosphate, phosphatidylinositol phosphate, Ptdlns ( 4 , 5 ) P2 , phytanic acid, Picibanil, picric acid, pifithrin, Pilot, pimecrolimus , pioglitazone, pipecoloxylidide, piperidine, piperine, Pira, pirinixic acid, Piroxicam, PKC412, plumbagin, Pluronic p 85, PMDT, PMPA, PMSF, PNPP, Podophyllotoxin, polido- canol, poly-gamma-glutamate, ponicidin, poractant alfa, posacon- azole, potassium tellurate ( IV) , PQQ Cofactor, pranlukast,
Pravastatin, Prazosin, PRDL, Precursor mrna, Prednisone, pregnane, Pregnanes, Pregnanolone, pregnenolone 16alpha- carbonitrile, Pregnyl, preussin, Primidone, Proadifen, Proantho- cyanidins, Probenecid, Probucol, Procasil, Procetofen, procya- nidin B2, Prodix, prolactin, polymeric, Propafenone, Propanesul- fonate, Propofol, propyl pyrazole triol, propyne, prostratin, protopanaxadiol , protopanaxatriol , PS 15, Pseudohypericin, Pseu- domonas-exotoxin, Psoralens, psychosine-3 ' -sulfate ester, PTBP, pteridine, Pterostilbene, PURAC, Puromycin, putrescine, Pyocya- nine, Pyra, pyranones, pyrazole, Pyrethrins, pyridazine, Py¬ rimethamine, pyrimidin-2-one beta-ribofuranoside, Pyro, pyrogal- lol sulfonphthalein, pyrrole-2-carboxylic acid, pyrrolidine di- thiocarbamic acid, pyrroloazepinone, Qingkailing, quercitrin, quetiapine, Quicifal, quinazoline, Quinolinium, Quinpirole, qui- nuclidin-3 ' -yl-l-phenyl-1 , 2, 3, 4-tetrahydroisoquinoline-2- carboxylate monosuccinate, quinupristin-dalfopristin, R-138727, R-99224, Raloxifene, raltitrexed, Ramipril, ramiprilat, RAMP, Ranitidine, RAPA, rasagiline, rebamipide, reboxetine, remifen- tanil, renzapride, repaglinide, Resiniferotoxin, resiquimod, Re- tardex, Riacon, Ribavirin, Riboflavin, Rifabutin, rifamycins, Rifocin, rimonabant, risedronic acid, risperidone, Ristocetin, Ritonavir, rituximab, Ro 13-8996, Ro 23-7553, Ro 23-7637, Ro 24- 7429, Ro 31-6233, Ro 31-7549, Ro 31-8220, R04383596, Robitet, rofecoxib, roflumilast, rokitamycin, Rolipram, romidepsin, roop- erol, ropivacaine, roscovitine, rosiglitazone, rosmarinic acid, rosuvastatin, Roxithromycin, Rozevin, RPR 121056, RU 58668, rub- oxistaurin, rugosin E, rutecarpine, Rutin, S- (beta-p- methoxypropiophenone) thiamine, S-Nitroso-N-Acetylpenicillamine, S-Nitrosothiols , S-phenyl-N-acetylcysteine, sabarubicin, sab- comeline, Safingol, Safrole, SAGA, SAHA, saikosaponin, Salicin, salvin, samarium, SAMe, sanguinarine, sapogenins, Saquinavir, Sarasar, Sarna, sauchinone, saxatilin, SB 218078, SB 225002, SB 415286, SB-705498, scandium, SCH 66712, schizandrer A, scopa- rone, Scopoletin, Score, SDX 308, Selegiline, seocalcitol, Sep- Pak, Serad, sertindole, sevoflurane, SEW2871, shikonin, sidero- phore, Sildenafil, silvestrol, silybin, Sincalide, Sizofiran, SK-7041, SK&F 106528, SM 7368, Sodium pentosan poly sulfate, Sodium Salicylate, sorafenib, sorbinil, Sorbo, Sorbose, spiroglu- mide, Spironolactone, squamocin, SR 144528, SR 27897, SR 48692, SR 80327A, SR 90107A-ORG 31540, ST 638, stallimycin, Stanozolol, staurosporine, Stearin, Stereoisomerism, Steviol, Stevioside, STIL, stilbene-disulphonate, Stilbenes, Stim, Streptomycin, Sty- rene, styrene-methylmethacrylate copolymer, SU 5416, SU 6668, SU 9516, suberate, suberosin, succinic semialdehyde, Sufentanil, Suldox, sulfadoxine-pyrimethamine, Sulfamethazine, sulfamethoxa¬ zole hydroxylamine, Sulfaphenazole, Sulfasalazine, sulfate cel- lufine, sulfate-sulfate, sulfidonitrogen ( . ) , Sulfinpyrazone, sulfo-N-succinimidyl oleate, sulfo-succinimidyl-oleate, sulfoga- lactosylglycerolipid, sulfones, sulfonic acid, sulfonyl-phenyl- ethyl, Sulforafan, Sulindac, sulindac sulfone, sultopride, sunitinib, Synthos, T 0070907, T 0901317, Tacrine, Tacrolimus, tadalafil, Tamogel, Tamoxifen, tandospirone, Tangeretin,
tanshinone, taurocholic acid, Taurodeoxycholic Acid, taurour- sodeoxycholic acid, tautomycetin, TAXOTERE, TBDZ , TBHQ, TCAT, technetium, Tegafur, Teleocidin, telithromycin, Temazepam, te- mozolomide, temsirolimus , terbinafine, terephthalic acid, Ter- fenadine, teriflunomide, terrein, territrem A, territrem B, ter- ritrem C, tertiapin, tetra-mu3-sulfido-tetrairon, tetrachloroe- thene, tetradecanoyl-phorbol-acetate, Tetrahydrocannabinol, tet- ramethylrhodamine, tetramethylsilane, tetraphene, Tetraprenol, tetrasulfanide, Thalidomide, Thapsigargin, thiamine disulfide, thiazole, Thiazolidinediones , thioacetamide, Thioacetazone, thi- obenzamide, thiocoraline, Thiole, Thiopental, thioredoxin dithi- ol, thioridazine, Thiostrepton, thrombin receptor peptide
SFLLRNP, thrombin Tokushima, Thromboxane A2, thromboxane B2, Thyminose, thymol, thymoquinone, Thyrotropin, Ticlopidine, Ti- lidine, tipranavir, tirilazad, titanium alloy (TiA16V4), TMC- 95A, Tmndga, TMSI, Tobrex, tocotrienols , tofisopam, tolrestat, Tolterodine, toluene, TOLUENE-DITHIOL, topiramate, Topotecan, Toremifene, Tosylarginine Methyl Ester, Tosyllysine Chloromethyl Ketone, Tosylphenylalanyl Chloromethyl Ketone, TPN+, Tracer, Tramadol, trans-resveratrol , trastuzumab, Trazodone, Tremode, Tremorine, Tretinoin, Triad, Triamcinolone, triazolam, tria- zoles, tributylstannane, trichostatins , Triclosan, triethyla- mine, Trifluoperazine, trimethylaminocarboxyldihydroboran, trioctyl phosphine oxide, Triolein, tripterine, triptolide, triterpenoids , troglitazone, Troleandomycin, TTNPB, tubocap- sanolide A, Tunicamycin, tyrphostin AG 1478, tyrphostin AG-490, tyrphostin AG17, U 0126, Ubizol, Ufur, UK 157147, Uprima, uranyl acetate, urethane, Urex, urinastatin, Urso, USAN, valerenic ac¬ id, valspodar, venlafaxine, Verapamil, verlukast, vesnarinone, Viagra, Vigil, vincristine, vinflunine, vinorelbine, vinpoce¬ tine, violacein, Vira-A, voriconazole, vorozole, VX680, Warfa¬ rin, WAY-169916, Win 55212-2, withaferin A, WLN: QR BG, WLN: RVR, WLN: ZSWR, xanthohumol, Xaxa, Xylit, Y 27632, yristate, Z 338, zafirlukast, Zalcitabine, zardaverine, ZD 9331, Zeara- lenone, Zeldox, zerumbone, Zidovudine, zileuton, Zocor, zopi- clone, Zymosan, Trospium chloride, Valproic Acid. These com¬ pounds are described in patent application no. PCT/EP2011/069986 (incorporated herein by reference) .
The invention also relates to the administration of one or more of the inventive compounds to a cell, especially in order to reduce pain signalling e.g. by modulation of biochemical sig¬ nalling pathways involved in pain sensation or transmission. The cell can be a nerve cell, including pain or thermosensitive nerve cells, and/or preferably selected from spinal cord cells, brain cells or peripheral nerve cells. The cell can be of the "pain matrix" such as the thalamus, the SI and S2 somatosensory cortex, the cingulum, amygdala, hypothalamus, or the motor cor¬ tex. The inventive administration may be for treatment, allevia¬ tion or prevention of pain or hyperalgesia, or any other forms of pain or pain associated states or conditions in a subject.
In a further aspect the present invention relates to a meth¬ od of screening active compounds suitable for the treatment of pain comprising testing for modulation, including suppression or activation, preferably suppression, of pain. The test may comprise administration of a compound according to the invention to a cell or model animal of pain as described in the examples and detecting a deviation in pain sensation or responses e.g. by assessment of behavioural read-outs when compared to normal levels observed when no compound or only vehicle or a compound known to have effect against pain has been administered. Especially pre¬ ferred tests include the use of animal models models such as drospohila, or preferably rodents, such as preferably mice, such as preferably rats and testing the compounds for behavioural changes when exposed to pain, such rodent tests are disclosed in the examples. Additional information on optimal dosages can be obtained with these tests.
In an aspect of the invention, the following is claimed: a therapeutic compound selected from the compounds of any one of tables 1 to 3 for use in treating or preventing pain in a sub- j ect .
In yet another aspect, the following is claimed: any salt of a therapeutic compound selected from the compounds of any one of tables 1 to 3 or derivatives thereof for use in treating or pre¬ venting pain in a subject.
In yet another aspect, the following is claimed: any ester of a therapeutic compound selected from the compounds of any one of tables 1 to 3 or derivatives thereof for use in treating or preventing pain in a subject.
In yet another aspect, the following is claimed: any salt of any ester of a therapeutic compound selected from the compounds of any one of tables 1 to 3 or derivatives thereof for use in treating or preventing pain in a subject.
The present invention is further illustrated by the follow¬ ing figures and examples.
Figures :
Figure 1. Efficacy testing of anti-pain compounds in the chronic constriction injury model of neuropathic pain
A: Von Frey' s assay for pregabalin (positive control) and adefo- vir in the CCI model as described in Example 1.3. Data are pre¬ sented as mean values + SEM, n=8-10. Significantly different by Mann-Whitney U test compared to post surgery withdrawal thresh¬ olds * p<0.05, ** p<0.01, *** p<0.001.
B: Von Frey' s assay for pregabalin and tenofovir in the CCI model as described in Example 1.3. Data are presented as mean val¬ ues + SEM, n=8-10. Significantly different by Mann-Whitney U test compared to post surgery withdrawal thresholds * p<0.05, ** p<0.01, *** p<0.001.
Figure 2: Efficacy testing of anti-pain compounds in the complete freund' s adjuvant model of inflammatory pain
A: Von Frey' s assay for Indomethacin (positive control) and Tenofovir in the CFA model as described in Example 3.3. Data are presented as mean values + SEM, n=6-10. Significantly different by Mann-Whitney U test compared to T=0 paw withdrawal thresholds (* p<0.05, ** p<0.01, *** p<0.001).
B: Von Frey' s assay for Indomethacin and Adefovir in the CFA model as described in Example 3.3. Data are presented as mean values + SEM, n=8-10. Significantly different by Mann-Whitney U test compared to T=0 paw withdrawal thresholds (* p<0.05, ** p<0.01, *** p<0.001) .
Figure 3: Testing of anti-pain compounds, acute inflammatory pain model. Weight bearing difference (%) between the ipsilat- eral and contralateral limb for vehicle control and tomeglovir as described in Example 3.3.1. Data are presented as mean val¬ ues, n=7-8 animals per test group. Figure 4: Testing of anti-pain compounds, acute inflammatory pain model. Weight bearing difference (%) between the ipsilat- eral and contralateral limb for vehicle control and emtricita- bine as described in Example 3.3.2. Data are presented as mean values, n=7-8 animals per test group.
Figure 5: Testing of anti-pain compounds, acute inflammatory pain model. Weight bearing difference (%) between the ipsilat- eral and contralateral limb for vehicle control and entecavir as described in Example 3.3.3. Data are presented as mean values, n=7-8 animals per test group.
Figure 6: Testing of anti-pain compounds, acute inflammatory pain model. Weight bearing difference (%) between the ipsilat- eral and contralateral limb for vehicle control and famciclovir as described in Example 3.3.4. Data are presented as mean val¬ ues, n=7-8 animals per test group.
Examples :
The basic principle of animal models of human pain involve the induction of a pain-like state in the organism resulting in characteristic behavioral and physical responses, such as hyper¬ sensitivity to touch (mechanical allodynia) and temperature (cold allodynia) . The assessment of the efficacy of potential analgesics is determined based on said compound' s ability to at¬ tenuate/ameliorate these symptoms.
Example 1: Assessing chronic pain in animal models - Chronic
Constriction Injury
The Bennett and Xie chronic constriction injury (CCI) model is a model of mononeuropathic pain (Bennett and Xie, 1988) . Rodents are subjected to a surgical procedure where gut ligatures are tied loosely around the sciatic nerve at the mid-thigh level. Symptoms of neuropathy develop in the operated paw over the fol¬ lowing days including tactile allodynia and cold allodynia, which are measured using Von Frey' s hairs and paw withdrawal from a cold plate, respectively. Operated animals also exhibit other symptoms of spontaneous pain including thermal hyperalge¬ sia, ectopic and spontaneous firing of sensory afferents, autot- omy, licking and guarding of paw and sleep architecture abnormalities (Blackburn-Munro and Erichsen, 2005) . Furthermore, electrophysiological studies have demonstrated the presence of both sensory nerve hyperexcitability and central sensitisation (wind up) in the dorsal horn and elsewhere (Blackburn-Munro and Erichsen, 2005) . The Bennett and Xie model is thought to have predictive validity cL S cLn 88 "6 concordance has been observed be¬ tween activity in the model (any endpoint) and clinical efficacy in neuropathic pain (Kontinen and Meert 2003) . Multiple drug classes including NSAIDs are ineffective in the clinical treat¬ ment of neuropathic pain and fail to ameliorate symptoms in the Bennett model despite the presence of an inflammation in the in¬ itial phase after surgery (eg Schafers et al . , 2004; Takahashi et al . , 2004, LaBuda and Little, 2005) . Pregabalin, a drug ap¬ proved for the treatment of various types of (chronic) pain, in¬ cluding neuropathic pain associated with diabetic peripheral neuropathy in humans, is effective at ameliorating symptoms of pain in the CCI model.
Example 1.1 Test System
The CCI surgical procedure is performed as follows: Male Spra- gue-Dawley rats are habituated to the mechanical test apparatus during 5-10 min periods spread over two days and once to the cold plate set at 10°C for 3 minutes, both according to Example 1.2. Following habituation animals undergo the CCI surgical pro¬ cedure requiring anaesthetization under isoflurane, shaving of the left ( ipsilateral ) hind limb and swabbing with antiseptic followed by administration of sodium pentobarbitone. An incision is made to reveal the left sciatic nerve which is tied off with four loose ligatures of chromic cat gut. The exposed muscle is sutured with non-absorbable silk and the wound closed with sur¬ gical clips.
The animals are monitored in the hours post surgery and on a daily basis thereafter. Animals showing signs of ill health or autotomy are removed from the study. Approximately 12 and 18 days after surgery the animals are reassessed for sensitivity to Von Frey' s hairs and to the cold plate. Animal subjects meeting pre-defined criteria for hypersensitivity to mechanical (ipsi¬ lateral hind-paw moved at a pressure of ≤4 g) and thermal stimu- li (≤78s withdrawal latency) in the operated ( ipsilateral ) hind- paw are allocated according to baseline mechanical and cold sen¬ sitivity scores to produce balanced treatment groups of 8 to 12 animals in each group.
Example 1.2: Test apparatus
Mechanical allodynia is assessed by Von Frey' s hairs. These con¬ sist of a series of wires of progressive thickness each of which bend when a critical pressure (1.4, 2, 4, 6, 8, 10, 15 g) is ap¬ plied. Animals are placed in floorless Perspex testing boxes resting on a wire mesh tray. Von Frey' s hairs are then applied through the mesh floor to the sole of the left and right hind paws until either the animal senses discomfort and moves the paw or the pressure applied to the Von Frey' s hair exceeds the crit¬ ical level and it is observed to bend. Von Frey' s hairs are ap¬ plied in ascending order until either a pain response (the paw is moved) is registered or the cut-off of 15 g is reached, using the Von Frey hair with the highest rating. Hairs are applied to each heel 8-10 times at a frequency of approximately 1 Hz . If a limb is moved in response to a probe, further testing is halted and the sensitivity to a mechanical stimulus is deemed to have been reached.
Sensitivity to cold (cold allodynia) is assessed by placing ani¬ mal subjects on a cold plate held at 10°C. The latency (time) to lift the respective hind paw clear off the cold plate is meas¬ ured. A cut-off of 180 s is applied.
Weight bearing is an objective measure of pain. Rats are placed in a plexiglass chamber so that each hind paw rests on a sepa¬ rate force plate (pressure sensor) . The rats are allowed to ac¬ climate to the chamber for at least 5 minutes. A total of three one second readings are taken to reflect the amount of pressure exerted on both the left and right hind paw while the rat is po¬ sitioned in the chamber. The force exerted by each hind paw is measured in grams and calculated as the left hind paw weight distribution-right hind paw weight distribution. Thus, the final paw weight distribution for each animal is an average of the three one second readings . Example 1.3: Single dose/acute dosing
This example demonstrates the effectiveness of acute/single dos¬ ing of compound (s) according to the invention in ameliorating mechanical and cold allodynia and weight bearing sensitivities, as described in Example 1.2, in rats with peripheral mononeurop- athy induced by loose ligation of the sciatic nerve as described in Bennett and Xie, 1988 and in Example 1.1.
Each group of animals according to Example 1.1 is administered a single dose of either a positive control drug (pregabalin formu¬ lated in a vehicle of 0.5% methyl cellulose to a con- centration of 12 mg/mL and administered per oral in a 5 mL/kg dosing volume to give a dose of 60 mg/kg) or a compound according to the in¬ vention. Animal subjects are reassessed for mechanical, cold al¬ lodynia and weight bearing 30 min, 90 min, 180 min, 4 hours, 6 hours, 8 hours, 12 hours and 24 hours after administration of the respective compound, using Von Frey' s hairs and a cold plate set at 10°C as described in Example 1.2.
Example 1.4: Chronic studies
This example demonstrates the effectiveness of sub-chronic dos¬ ing of compound (s) according to the invention in ameliorating mechanical and cold allodynia and weight bearing sensitivities, as described in Example 1.2, in rats with peripheral mononeurop- athy induced by loose ligation of the sciatic nerve as described in Bennett and Xie, 1988 and in Example 1.1.
Each group of animals according to Example 1.1 is administered either a positive control drug (pregabalin formulated in a vehi¬ cle of 0.5% methyl cellulose to a concentration of 12 mg/mL and administered per oral in a 5 mL/kg dosing volume to give an ef¬ fective dose (e.g. 60 mg/kg)) or a compound according to the in¬ vention. Dosing is carried out one or several times daily for two days to eight weeks. Animal subjects are reassessed for me¬ chanical and cold allodynia either daily, weekly, biweekly, monthly or at the end of the study at one or several time points: 30 min, 90 min, 180 min, 4 hours, 6 hours, 8 hours, 12 hours, 24 hours, 48 hours, 72 hours and 1 week after administra¬ tion of the respective compound, using Von Frey' s hairs and a cold plate set at 10°C as described in Example 1.2. Example 2: Assessing chronic pain in animal models - Spinal nerve ligation
Spinal nerve ligation (SNL) model is model of peripheral mo- noneuropathy . The spinal nerves L5 and L6, together with L4 form the sciatic nerve. In the previously described CCI model only the L4 spinal nerve is ligated. In the SNL model rodents are subjected to a surgical procedure where the spinal nerves L5 and L6, or L5 alone, are tightly ligated distal to the dorsal root ganglion (Kim and Chung, 1992) and proximal to the lumbar plexus. This model has the benefit of allowing a more standardized procedure for partial nerve lesion. Induction of nerve injury is associated with the development of spontaneous pain-like behav¬ iour as well as long lasting allodynia and hyperalgaesia (Bridg¬ es et al . , 2001) . Following induction of nerve injury, there is an initial inflammatory component albeit lower than that ob¬ served in the CCI model. A similar onset of sensory threshold changes in mechanical and cold allodynia can be observed in both models but with a greater magnitude of change in sensory thresh¬ olds can be observed in the SNL model (Kim et al . , 1997) . Me¬ chanical allodynia is greatest in the SNL model with an -80% re¬ sponse frequency. There is also a more significant involvement of the sympathetic nervous system component in the sensory re¬ sponse to SNL (Kim et al . , 1997). Treatment with NSAIDs is not effective in the initial inflammatory phase of the SNL model. Current approved treatments for neuropathic pain such as pregab- alin and gabapentin are efficacious in this model at doses equivalent to the efficacious human dose.
Example 2.1 Test system
Rats undergo a surgical procedure to induce peripheral mononeu- ropathy induced by ligation of the spinal nerves L5 and L6, or L5 alone, as described in Bennett et al . , 2003 as follows: While under anesthesia using pentobarbital sodium and after the area of surgery is shaved, the rat is placed in a prone position and the left paraspinal muscles are separated from the spinous pro¬ cess at the L4-S2 levels. The L6 vertebral transverse process is carefully removed with a small rongeur to visually identify the L4-L6 spinal nerves. The left L5 and spinal nerves are isolated and tightly ligated with 6-0 silk thread. The muscle is then closed with 4-0 silk sutures and the skin is closed by a clamp. Following surgery, the rats are returned to the cage and will remain under a heating lamp until they awake.
The animals are monitored in the hours post surgery and on a daily basis thereafter. Animals showing signs of ill health or autotomy are removed from the study. Approximately 12 and 18 days after surgery the animals are assessed for sensitivity to Von Frey' s hairs and to the cold plate. Only animals expressing mechanical allodynia and cold allodynia, as described in Example 2.2, are included in the study.
Example 2.2: Test apparatus
Mechanical allodynia is assessed by the Von Frey test. Graded Von Frey filaments are applied to the hind paw to assess the 50% withdrawal threshold using the Dixon Up-Down Method (Chaplan et al . , 1994) in L5 spinal nerve ligated animals. Behavioral test¬ ing is performed during the day portion of the circadian cycle only. Animals are placed in a plastic cage (W 200><L 200><H 145 mm) with a wire mesh bottom, which allows full access to the paws. The area tested is the mid-plantar left hind paw, in the sciatic nerve distribution, avoiding the less sensitive tori (footpads) . The paw is touched with 1 of a series of 8 Von Frey filaments - 0.4, 0.6, 1, 2, 4, 6, 8 and 15 g (Stoelting) . The Von Frey filaments are presented perpendicularly to the plantar surface with sufficient force to cause slight buckling against the paw and are held for approximately 6-8 seconds. Stimuli are presented at intervals of several seconds, allowing for apparent resolution of any behavioral responses to previous stimuli. A positive response is noted if the paw is sharply withdrawn.
Cold allodynia is assessed by the acetone test. Rats are placed in a transparent plastic cage and habituated to the test chamber for 5 minutes before measurement. Acetone is gently applied on the plantar surface of the hind paw using an Eppendorf (New York, NY) multistepper pipette. The brisk foot withdrawal re¬ sponse after the acetone application is considered as a positive response this response is monitored for 30 seconds. The response is graded according to a four-point scale: 0 - no response; 1 - brisk withdrawal or flick of the paw; 2 - repeated flicking of the paw; 3 - repeated flicking of the hind paw and licking of the paws .
Example 2.3: Single dose/acute dosing
This example demonstrates the effectiveness of acute/single dos¬ ing of compound (s) according to the invention in ameliorating mechanical and cold allodynia, as described in Example 2.2, in rats with peripheral mononeuropathy induced by ligation of the spinal nerves L5 and L6, or L5 alone, as described in Bennett et al . , 2003 and in Example 2.1.
Each group of animals according to Example 2.1 is administered a single dose of either a positive control drug (pregabalin formu¬ lated in a vehicle of 0.5% methyl cellulose to a concentration of 12 mg/mL and administered per oral in a 5 mL/kg dosing volume to give a dose of 60 mg/kg) or a compound according to the in¬ vention. Animal subjects are reassessed for mechanical and cold allodynia 30 min, 90 min, 180 min, 4 hours, 6 hours, 8 hours, 12 hours and 24 hours after administration of the respective com¬ pound, using Von Frey' s hairs and the acetone test according to Example 2.2.
Example 2.4: Chronic studies
This example demonstrates the effectiveness of chronic dosing of compound (s) according to the invention in ameliorating mechanical and cold allodynia in rats, as described in Example 2.2, with peripheral mononeuropathy induced by ligation of the spinal nerves L5 and L6, or L5 alone, as described in Bennett et al . , 2003 and in Example 2.1.
Each group of animals according to Example 2.1 is administered either a positive control drug (pregabalin formulated in a vehi¬ cle of 0.5% methyl cellulose to a concentration of 12 mg/mL and administered per oral in a 5 mL/kg dosing volume to give an ef¬ fective dose (e.g. 60 mg/kg)) or a compound according to the in¬ vention. Dosing is carried out one or several times daily for two days up to eight weeks. Animal subjects are reassessed for mechanical and cold allodynia either daily, weekly, biweekly, monthly or at the end of the study at one or several time points: 30 min, 90 min, 180 min, 4 hours, 6 hours, 8 hours, 12 hours, 24 hours, 48 hours, 72 hours and 1 week after administra¬ tion of the respective compound, using Von Frey' s hairs and the acetone test according to Example 2.2.
Example 3: Assessing inflammatory pain in animal models - Com¬ plete Freunds Adjuvant (CFA)
Complete Freunds Adjuvant (CFA) consists of heat-killed mycobac- terium suspended in mineral oil. When injected systemically into rodents, an immune response is triggered resulting in chronic inflammation of many organs such as skin, liver, spleen, eyes, bone marrow and particularly peripheral joints. The inflammatory response results in bone resorption and periosteal bone prolif¬ eration. Importantly, this inflammatory state results in sponta¬ neous pain and ectopic nerve cell firing. Thus, the resultant adjuvant disease exhibits polyarthritic symptoms.
When CFA is injected unilaterally into the limbs it elicits a monoarthritic-like condition and is thus used to model chronic inflammatory conditions. Unilateral injection allows the analy¬ sis of ipsilateral and contralateral effects of localised joint pain (Millan et al . , 1988) . Injection of CFA results in oedema of the affected joint, mechanical allodynia and mechanical and thermal hyperalgesia (Butler et al . , 1992; Hsieh et al . , 2010; Meotti et al . , 2006; Staton et al . , 2007). As these features re¬ semble the clinical pathology of rheumatoid arthritis, CFA- in¬ duced chronic inflammation has been widely used as a model of this condition.
A wide variety of treatments acting via different mechanisms that have generated positive data in rat adjuvant-induced ar¬ thritic models have proven effective in subsequent clinical tri¬ als for rheumatoid arthritis (Hegen et al . , 2008) . Indeed, an analysis by Whiteside (Whiteside et al . , 2008), concluded that activity in the rat CFA test could be used to predict the expo¬ sure needed for clinical efficacy. Both morphine-like opioids, steroids and NSAID analgesics can attenuate inflammation- associated allodynia/hyperalgesia and normalise nociceptive sen¬ sitivity (Jett et al., 1999, da Silva Filho et al . , 2004).
Example 3.1: Test system
This example demonstrates the effectiveness of a compound ac¬ cording to the invention in ameliorating weight bearing distri- bution between injured ( ipsilateral ) and healthy (contralateral) limb, mechanical and thermal hypersensitivity in rats with in¬ flammatory pain induced by injection of an adjuvant (CFA) into the limbs.
The test apparatus according to Example 2 is used for assessing mechanical and thermal sensitivities.
Male Sprague-Dawley rats are habituated to the test apparatus and tested for weight bearing and basal sensitivity to mechani¬ cal and thermal stimuli in both the right (ipsilateral) and left (contralateral) paws using incapacitance tester, Von Freys hairs and a radiant heat source, respectively, on the day prior to Complete Freunds Adjuvant (CFA) administration (Day 0) . The fol¬ lowing morning (Day 1), animals are subjected to intraarticular injection into the ipsilateral ankle or a subplantar injection of 50% complete CFA in a 100 yL injection volume into the ipsi¬ lateral hind-paw. Two days later (Day 3), baseline weight bear¬ ing, mechanical and thermal sensitivities are reassessed in the CFA-injected (ipsilateral) and non-injected (contralateral) hind-paws. 42 rats meeting pre-defined criteria for hypersensi¬ tivity to mechanical (ipsilateral hind-paw moves at a pressure of <4g) and thermal stimuli (>30% difference in latency time be¬ tween ipsi- and contra-lateral hind- paws) are assigned to treatment groups of at least 7 animals in each group. One hour later, at T=0, drug administration commences.
Example 3.2: Test apparatus
Mechanical allodynia is assessed by the Von Frey test. Graded Von Frey filaments are applied to the hind paw to assess the 50% withdrawal threshold using the Dixon Up-Down Method (Chaplan et al . , 1994) in L5 spinal nerve ligated animals. Behavioral test¬ ing is performed during the day portion of the circadian cycle only. Animals are placed in a plastic cage (W 200><L 200><H 145 mm) with a wire mesh bottom, which allows full access to the paws. The area tested is the mid-plantar left hind paw, in the sciatic nerve distribution, avoiding the less sensitive tori (footpads) . The paw is touched with 1 of a series of 8 Von Frey filaments - 0.4, 0.6, 1, 2, 4, 6, 8 and 15 g (Stoelting) . The Von Frey filaments are presented perpendicularly to the plantar surface with sufficient force to cause slight buckling against the paw and are held for approximately 6-8 seconds. Stimuli are presented at intervals of several seconds, allowing for apparent resolution of any behavioral responses to previous stimuli. A positive response is noted if the paw is sharply withdrawn.
Thermal hypersensitivity is a measure of the pain threshold that accompanies pain associated with arthritis and inflammation. It is evoked by the radiant heat source and is assessed by the Har- greave's plantar test. Animals are placed in floorless perspex Hargreaves plantar boxes (18cm (length) x 11cm (width) x 8.5cm (height) on a glass Hargreaves tray (Ugo Basile model
7373/7375) . A mobile radiant (infra-red) heat source (Ugo Basile emitter-detector vessel model 7372) and controller (Ugo Basile model 7371) are utilized to assess thermal sensitivity. This is placed under the glass tray and moved to a position where the heat beam is incident on the relevant rat paw. The latency to move the paw from the heat source is recorded. A 30 s cut off time is applied throughout the study. The intensity of the heat source is preset to give a baseline withdrawal latency of ap- prox. 12-15 seconds in untreated rats.
Weight bearing is an objective measure of pain which addresses persistent pain by measuring weight distribution between the injured and non-injured hind limbs, reflecting pain sensation in any of the limb joints. It is often used in the clinical setting to assess pain in patients with arthritis. Thus weight bearing serves as a preferred endpoint in the inflammatory pain models according to Example 3. Rats are placed in a plexiglass chamber of the incapacitance meter (IITC Life Science, Series 8) so that each hind paw rests on a separate force plate (pressure sensor) . The rats are allowed to acclimate to the chamber for several minutes. A total of three one second readings are taken in a 5 sec period to reflect the amount of pressure exerted on both the left and right hind paw while the rat is positioned in the cham¬ ber. The force exerted by each hind paw is measured in grams and calculated as the (left hind paw weight distribution) - (right hind paw weight distribution) . Thus, the final paw weight dis¬ tribution for each animal is an average of the three one second readings .
Paw swelling is a measurement of the level of inflammation of the affected limb. Digital calipers are placed aligned along the centre of the affected paw pad and the dorso-ventral thickness is measured and recorded.
Example 3.3: Acute/single dosing
This example demonstrates the effectiveness of acute/single dos¬ ing of compound (s) according to the invention in ameliorating mechanical, thermal sensitivities and hypersensitivity, weight bearing incapacitance and paw swelling in rats with acute inflammation and arthritic-like symptoms induced according to Ex¬ ample 3.1.
One group of animals according to Example 3.1 is administered a single dose of the drug indomethacin (positive control) , an NSAID with demonstrated efficacy in the CFA model and in human inflammatory/arthritic diseases. Indomethacin is formulated in 50% 0.1 M Na2C03; 47.5% phosphate buffered saline (PBS): taken to pH 7 with 2.5% 1M HC1 at a concentration of 2 mg/mL to give a dose of 10 mg/kg when administered intraperitoneally in a 5 mL/kg injection volume. The remaining groups of animals are ad¬ ministered a single dose of compound (s) according to the inven¬ tion. 30, 90, 180 min 4 hours, 6 hours, 8 hours, 12 hours and 24h post-dose, all groups of rats are re-assessed for mechanical allodynia, thermal hyperalgesia in both the treated and untreat¬ ed hind-paws, using Von Frey' s hairs and a Hargreave's plantar test in accordance with Example 3.2. All readings are compared to the basal sensitivity reading (T=0) of the ( ipsilateral ) paw in each animal. The described procedure is performed with the compounds according to the invention being adefovir (administered as adefovir dipivoxil) (Fig 1A and Fig 2B) and tenofovir (administered as tenofovir disoproxil fumarate) (Fig IB and Fig 2A) .
Alternatively, compounds are tested as follows: one group of 8 animals according to Example 3.1 is administered a single dose of morphine hydrochloride as a positive control of model devel¬ opment. Morphine hydrochloride is formulated at a concentration of 1.2 mg/ml in phosphate buffered saline (PBS) to give a dose of 3 mg/kg when administered subcutaneously in a 2.5 mL/kg in¬ jection volume. The remaining groups of 7-8 animals are adminis- tered a single dose of compound (s) or a vehicle only (0.5% methylcellulose) according to the invention. 30, 90, 180 min and 4, 6, 8, 12 and 24 h post-dose, all groups of rats are reas¬ sessed for weight bearing and thermal hypersensitivity in both the treated and untreated hind-paws, using incapacitance meter and Hargreaves plantar test apparatus according to the example 3.2. All readings are compared to the readings of the vehicle control group of animals.
Example 3.3.1 Test with tomeglovir
The procedure as described in Example 3.3 was performed with the compound according to the invention being tomeglovir. In total, three groups of animals were included: one group of 8 animals received the positive control drug, morphine, subcutaneously at a dose of 3 mg/kg. Three groups of 7-8 animals each received ei¬ ther 100 mg/kg tomeglovir, 30 mg/kg tomeglovir, or vehicle only, respectively (Fig. 3) . Tomeglovir was formulated in a vehicle (0.5% methylcellulose) to concentrations of 20 and 6 mg/mL and was administered orally in a 5 mL/kg dosing volume to give doses of 100 and 30 mg/kg.
Example 3.3.2 Test with emtricitabine
The procedure as described in Example 3.3 was performed with the compound according to the invention being emtricitabine. In to¬ tal, three groups of animals were included: one group of 8 ani¬ mals received the positive control drug, morphine, subcutaneous¬ ly at a dose of 3 mg/kg. Three groups of 7-8 animals each re¬ ceived either 100 mg/kg emtricitabine, 20 mg/kg emtricitabine, or vehicle only, respectively (Fig. 4) . Emtricitabine was formu¬ lated in a vehicle (0.5% methylcellulose) to concentrations of 20 and 4 mg/mL and is administered orally in a 5 mL/kg dosing volume to give doses of 100 and 20 mg/kg.
Example 3.3.3 Test with entecavir
The procedure as described in Example 3.3 was performed with the compound according to the invention being entecavir. In total, three groups of animals were included: one group of 8 animals received the positive control drug, morphine, subcutaneously at a dose of 3 mg/kg. Three groups of 7-8 animals each received ei¬ ther 0.2 mg/kg entecavir, 0.02 mg/kg entecavir, or vehicle only, respectively (Fig. 5) . Entecavir was formulated in a vehicle (0.5% methylcellulose) to concentrations of 0.04 and 0.004 mg/mL and is administered orally in a 5 mL/kg dosing volume to give doses of 0.2 and 0.02 mg/kg.
Example 3.3.4 Test with famciclovir
The procedure as described in Example 3.3 was performed with the compound according to the invention being famciclovir. In total, three groups of animals were included: one group of 8 animals received the positive control drug, morphine, subcutaneously at a dose of 3 mg/kg. Three groups of 7-8 animals each received ei¬ ther 1000 mg/kg famciclovir, 250 mg/kg famciclovir, or vehicle only, respectively (Fig. 6) . Famciclovir was formulated in a ve¬ hicle (0.5% methylcellulose) to concentrations of 200 and 50 mg/mL and was administered orally in a 5 mL/kg dosing volume to give doses of 0.2 and 0.02 mg/kg.
Example 3.3.5 Test with alamifovir
The procedure as described in Example 3.3 is performed with the compound according to the invention being alamifovir (administered as alamifovir disoproxil fumarate) . In total, three groups of animals are included: one group of at least 4 animals re¬ ceives the positive control drug, morphine, subcutaneously at a dose of 3 mg/kg. Three groups of at least 7 animals each receive either 20 mg/kg alamifovir, 2 mg/kg alamifovir, or vehicle only, respectively. Alamifovir disoproxil fumarate is formulated in a vehicle (0.5% methylcellulose) to concentrations of 4 and 0.4 mg/mL and is administered orally in a 5 mL/kg dosing volume to give doses of 20 and 2 mg/kg.
Example 3.3.6 Test with racivir
The procedure as described in Example 3.3 is performed with the compound according to the invention being racivir. In total, three groups of animals are included: one group of at least 4 animals receives the positive control drug, morphine, subcutane¬ ously at a dose of 3 mg/kg. Three groups of at least 7 animals each receive either 100 mg/kg racivir, 20 mg/kg racivir, or vehicle only, respectively. Racivir is formulated in a vehicle (0.5% methylcellulose) to concentrations of 20 and 4 mg/mL and is administered orally in a 5 mL/kg dosing volume to give doses f 20 and 2 mg/
Example 3.3.7 Test with opaviraline
The procedure as described in Example 3.3 is performed with the compound according to the invention being opaviraline. In total, three groups of animals are included: one group of at least 4 animals receives the positive control drug, morphine, subcutane- ously at a dose of 3 mg/kg. Three groups of at least 7 animals each receive either 30 mg/kg opaviraline, 1 mg/kg opaviraline, or vehicle only, respectively. Opaviraline is formulated in a vehicle (0.5% methylcellulose) to concentrations of 6 and 0.2 mg/mL and is administered orally in a 5 mL/kg dosing volume to give doses of 30 and 1 mg/kg.
Example 3.4: Chronic studies
This example demonstrates the effectiveness of chronic dosing of compound (s) according to the invention in ameliorating mechanical and thermal hypersensitivity, weight bearing incapcaitance and paw swelling, according to Example 3.2, in rats with arthritic-like symptoms induced according to Example 3.1.
Each group of animals according to Example 3.1 is administered either a positive control drug, such as diclofenac or morphine, or a compound according to the invention. Dosing is carried out one or several times daily for two days to eight weeks. Animal subjects are reassessed for weight bearing incapacitance, paw swelling, mechanical and thermal hypersensitivity, either daily, weekly, biweekly, monthly or at the end of the study at one or several time points: 30 min, 90 min, 180 min, 4 hours, 6 hours, 8 hours, 12 hours, 24 hours, 48 hours, 72 hours and 1 week after administration of the respective compound, using Von Frey' s hairs and the Hargreave's plantar test according to Example 3.2. Weight bearing and paw swelling is also measured according to Example 3.2.
Example 4: Clinical study
Patients with a long term or chronic pain condition are eligible for the study. After initial screening, a total of 20 to 200 pa¬ tients are randomized to one of two treatment groups. Patients in one treatment group receive a compound according to the in- vention at a pharmaceutically active dose and patients in the other (control) treatment group receive either placebo or an ac¬ tive control drug at a pharmaceutically active dose. A preferred active control drug is pregabalin or an NSAID such as Celecoxib. Preferably, the study is carried out in a double-blinded fash¬ ion. Treatment duration is between 1 and 15 weeks, and efficacy evaluation is carried out as the average of the pain scores rec¬ orded for the past 1 to 7 days (preferably 7 days) relative to the day chosen for efficacy evaluation, comparing the group receiving the compound according to the invention with the control group .
The pain scores are preferably assessed based on patients' daily pain diaries, in which they record their daily pain score on an 11-point (0 = "no pain" to 10 = "worst possible pain") numeric rating scale (NRS) [Arezzo et al . , 2008].
The primary endpoint of the study is preferably a comparison of the average pain score for the last 7 available pain diary en¬ tries at the end of the treatment phase.
Example 5: Painful diabetic peripheral neuropathy (PDPN)
A clinical study according to Example 4 is carried out with the following key inclusion criteria: patients are men or women ≥18 years of age with type 1 or type 2 diabetes with HbAlC ≤11% and painful diabetic peripheral neuropathy of at least 3 months' du¬ ration. Patients score at least 40 mm on the Short-Form McGill Pain Questionnaire (SF-MPQ) Visual Analog Scale (VAS) [Arezzo et al . , 2008], or any other standard VAS. At randomization, pa¬ tients have completed at least four daily pain diary entries (using an 11-point NRS) and should have an average daily pain score ≥4 over the past 7 days.
Example 6: Post-herpetic neuralgia
A clinical study according to Example 4 is carried out with the following key inclusion criteria: patients are men or women ≥18 years of age with persistent pain for at least 6 months after the onset of herpes zoster rash. Patients score at least 40 mm on the Short-Form McGill Pain Questionnaire (SF-MPQ) Visual Ana¬ log Scale (VAS) [Arezzo et al . , 2008], or any other VAS.
Example 7 : Mixed neuropathy A clinical study according to Example 4 is carried out with pa¬ tients selected according to inclusion criteria in Example 5 as well as Example 6.
Example 8: Painful osteoarthritis
A clinical study according to Example 4 is carried out with the following key inclusion criteria: patients are men or women ≥18 years of age with recurring or persistent or recurring persis¬ tent pain for at least 1 month, such as at least 3 months, such as at least 6 months, such as at least 12 months related to di¬ agnosed osteoarthritis.
References :
Arezzo, J.C., Rosenstock, J., LaMoreaux, L., Pauer, L., (2008), Efficacy and safetyof pregabalin 600 mg/d for treating painful diabetic peripheral neuropathy: a double-blind placebo- controlled trial. BMC Neurology, 16; 8: 33.
Bennett GJ, Chung JM, Honore M, Seltzer Z. (2003) Curr Protoc Pharmacol. Jul; Chapter 5:Unit5.32.
Bennett G.J., Xie Y.K., (1988). Pain, 33, 87-107.
Blackburn-Munro G, Erichsen H.K., (2005). Current Pharm Des, 11, 2961-2975.
Bridges, D., Thompson, S.W., Rice, A.S., (2001). Mechanisms of neuropathic pain. Br J Anaesth, 87(1): 12-26.
Butler, S.H., Godefroy, F., Besson, J.-M., Weil-Fugazza, J., (1992) . Pain, 48; 73-81.
Chaplan, S.R., Bach, F.W., Pogrel, J.W., Chung, J.M., Yaksh, T.L., (1994). Quantitative assessment of tactile allodynia in the rat paw. J Neurosci Methods, 53(l):55-63.
da Silva Filho A. A., Andrade e Silva M.L., Carvalho J.C., Bastos J.K., (2004). Evaluation of analgesic and anti-inflammatory activities of Nectandra megapotamica (Lauraceae) in mice and rats. J Pharm Pharmacol., 56 ( 9) : 1179-84.
Hegen, M., Keith, J.C., Collins, M., Nickerson-Nutter, C.L., (2008). Ann Rheum Dis, 67: 1505-1515.
Hsieh, G.C., Chandran, P., Salyers, A.K., Pai, M., Zhu, C.Z., Wensink, E.J., Witte, D.G., Miller, T.R., Mikusa, J. P., Baker, S.J., Wetter, J.M., Marsh, K.C., Hancock, A. A., Cowart, M.D., Esbenshade, T.A., Brioni, J.D., Honore, P., (2010). Pharmacol Biochem Behav, 95; 41-50.
Jett, M.F., Ramesha, C.S., Brown, CD., Chiu, S., Emmett, C, Voronin, T . , Sun, T . , O'Yang, C, Hunter, J.C., Eglen, R.M., Johnson, R.M., (1999). Characterization of the analgesic and anti-inflammatory activities of ketorolac and its enantiomers in the rat. J Pharmacol Exp Ther, 288 (3) : 1288-97.
Kim KJ, Yoon YW, Chung JM., (1997) Exp Brain Res.
Feb; 113 (2) :200-6.
Kim SH, Chung JM., (1992) Pain. Sep; 50 (3) : 355-63.
Kontinen V.K., and Meert T.F., (2003). In: eds Dostrovsky J.O., Carr D.B., and Koltzenburg, M., Prog in Pain Res Management 24, pp489-498, IASP press, Seattle.
LaBuda, C.J., and Little, P., (2005) J Neurosci Meths, 144, 175- 181.
Meotti, F.C., Missau, F.C., Ferreira, J., Pizzolatti, M.G., Mi- zuzaki, C, Nogueira, C.W., Santos, A.R.S., (2006). Biochem Pharmacol, 72; 1707-17134.
Millan, M.J., Czlonkowski, A., Morris, B., Stein, C, Arendt, R., Huber, A., et al . , (1988). Pain, 35, 299-312.
Schafers, M., Marziniak, M., Sorkin, L.S., Yaksh, T.L., Sommer C, (2004) Exp Neurol ., 185, 160-168.
Staton, P.C., Wilson, A.W., Bountra, C, Chessell, I. P., Day, N.C., (2007). Eur J Pain' 11; 283-289.
Takahashi M., Kawaguchi, M., Shimada, K.,, Konishi, N., Furuya H., Nakashima, T . , (2004). Neurosci Letts, 356, 37-40.
Whiteside, G.T., Adedoyin, A., Leventhal, L., (2008). Neuro¬ pharmacology, 54, 767-775.

Claims

Claims :
1. A therapeutic compound of the group of aromatic sulphonic ac¬ ids and sulphonamides with molecular weight less than 1200 Da, a) wherein the compound is an aromatic sulfonic acid, the com¬ pound being selected from Tomeglovir, Evans Blue, Tipranavir, Resobene, 5- [ (2, 3-dichlorobenzoyl ) amino] -3- [2- [4- [2- [8- [ (2, 4- dichlorobenzoyl ) amino] -l-hydroxy-3, 6-disulfo-2- naphthalenyl ] diazenyl] -2, 5-dimethoxyphenyl ] diazenyl] -4-hydroxy- 2, 7-Naphthalenedisulfonicacid, 4, 4- (carbonylbis (imino (1-methyl- lH-pyrrole-4 , 2-diyl) carbonylimino ( l-methyl-lH-pyrrole-4 , 2- diyl) carbonylimino) ) bis-1, 7-Naphthalenedisulfonic acid;
b) with the nitrogen adjacent to the aromatic sulfonamide group being substituted, the compound being selected from Tomeglovir, Fosamprenavir, Darunavir, Amprenavir, Brecanavir, A-837093, L- 870810, N- [ ( 3-fluorophenyl) methyl ] glycyl-N- [ (IS, 2R) -3- [ [ (3- aminophenyl ) sulfonyl ] ( 2-methylpropyl) amino] -2-hydroxy-l- (phenylmethyl ) propyl ] -3-methyl-L-Valinamide (DPC-681),, 4H- Thieno (3, 4-e) -1, 2, 4-thiadiazine-4-acetonitrile, 2- ( (3- fluorophenyl ) methyl ) -2 , 3-dihydro-3-oxo- , 1,1-dioxide, Fasudil; c) with the nitrogen adjacent to the sulfonic acid group being bound to a hydrogen, the compound being selected from
Tomeglovir, Flamazine, Silvadene, Silver sulphadiazine, Sulfadi¬ azine silver salt, Thermazene, Dermazin, silver sulfadiazinate, Zafirlukast, Ramatroban, 4-cyano-N- [3- [cyclopropyl (5, 6,7,8,9, 10- hexahydro-4-hydroxy-2-oxo-2H-cycloocta [b] pyran-3- yl ) methyl ] phenyl ] -Benzenesulfonamide ;
d) wherein the compound is a non-aromatic sulphonic compound se¬ lected from Danoprevir, 5-cyclopropyl-2- (4-fluorophenyl) -6- [ (2- hydroxyethyl ) (methylsulfonyl ) amino] -N-methyl-3-
Benzofurancarboxamide, 2-amino-6- [ (3, 5-dimethylphenyl ) sulfonyl] - Benzonitrile, N- [ (IS, 2R) -3- [ (2S) -4 - [ (2-chloro-6-methyl-4- pyridinyl) methyl] -2- [ [ (1, 1 -dimethylethy1) amino] carbonyl] -1- piperazinyl] -2-hydroxy-l- (phenylmethyl ) propyl] - (2R, 3R) - tetrahydro-2- (1-methylethyl) -1, l-dioxido-3-thienyl carbamic acid ester (L 738872), 2- (3, 4-dichlorophenyl) - 6-methylsulfonyl-3, 4- dihydro-2H-pyrano [2, 3-b] pyridine (MDL 20610);
e) wherein the compound binds the ATP binding site of an ATP re¬ ceptor or is a ATP mimick, being selected from Bay 11-7821, Leflunomide, Incadronic, , - (2 ' , 3 ' -didehydro-3 ' -deoxy-P-phenyl- 5 ' -thymidylyl ) -L-Alanine methyl ester, [ [ (S) -2- (4-amino-2-oxo- 1 (2H) -pyrimidinyl ) -1- (hydroxymethyl ) ethoxy] methyl] -phosphonic acid, mono [ 3- (hexadecyloxy) propyl ] ester, Fosalvudine,
f) or a pharmaceutically acceptable salt, analogue or derivative of any compound of a) to e) ,
for use in treating or preventing pain in a subject.
2. A therapeutic compound of the group of pyrimidine containing nucleotide or nucleoside analogs selected from Tezacitabine, 1- (2-Cyano-2-deoxy-beta-D-arabinofuranosyl) cytosine, Sapacitabine, Alkasar-18, Ethynylcytidine, Troxacitabine, Torcitabine, Hexa- decyloxypropyl-cidofovir, 4 ' -C-Azidocytidine, Balapiravir hydrochloride, 1- (2 ' -Deoxy-2 ' -fluoro-2 ' -C-methyl-beta-D- ribofuranosyl ) cytosine, Mericitabine, cis-4 ' -Azido-5 ' -0- [ 4 (S) - ( 3-chlorophenyl ) -2-oxo-l, 3, 2-dioxaphosphorinan-2-yl ] -2 ' , 3 ' -0- bis (propionyl) uridine, Sofosbuvir, Dioxolane T; Dioxolane thy¬ mine nucleoside, 3 ' -Azido-3 ' -deoxythymidylyl- ( 5 ' , 5 ' ) -2 ' , 3 ' - dideoxy-5 ' -inosinic acid, Apricitabine ; (±) -cis-1- [2- (Hydroxymethyl ) -1, 3-oxathiolan-4-yl ] cytosine; (±) -2 ' -Deoxy-3 ' - oxa-4 ' -thiocytidine (dOTC) , (-) - (S) -6-Chloro-2- [ 1- (furo [2, 3- c] pyridin-5-yl) ethylsulfanyl] pyrimidine-4-amine (PNU-142721) , Phosphonovir, Festinavir, Emtricitabine, Lamivudine, Clevudine, Edoxudine, Zidovudine, Apricitabine, AVX754, Stampidine, Elvu- citabine, Dexelvucitabine, Racivir, Festinavir, Emivirine,
Floxuridine, Fluorouracil , Idoxuridine, Trifluridine, Cytara- bine, 2 ' -O-Methylcytidine, Stavudine, 2 ' , 3 ' -Dideoxythymidine, Telbivudine, Zalcitabine, Fiacitabine, Fialuridine, Brivudine, Sorivudine, 2 ' -Fluoro-5-ethylarabinosyluracil , Raltegravir, Mericitabine, PSI-6130, Valopicitabine, Valtorcitabine, 6- Fluoro-3-hydroxypyrazine-2-carboxamide, 5-Iodo-2-pyrimidinone- 2 ' -deoxyribose, Cidofovir, Alovudine, Navuridine, PSI7977, 3- Deazauridine, 3 ' -azido-2 ' , 3 ' -dideoxy-5-methylcytidine, Cyclocyt- idine for use in treating or preventing pain in a subject.
3. A therapeutic compound of the group of purine containing nu¬ cleotide or nucleoside analogs selected from Clofarabine, 7- Deaza-2 ' -C-methyladenosine, Bis (2 , 2-dimethylpropionic acid) 1- (2-amino-9H-purin-9- ylmethyl) cyclopropoxymethylphosphorylbis (oxymethylene) diester, 2 ' -C-Methylguanosine, Filibuvir, 5 ' -0- [ (Benzylamino) [2- (3- hydroxy-2, 2-dimethylpropionylsulfanyl) ethoxy] phosphoryl] -2 ' -C- methylguanosine, 6- [2- (5-Chloro-2, 4-dimethoxyphenyl) ethyl] -6- cyclopentyl-3- ( 5 , 7 -dimethyl [1, 2, 4] triazolo [1, 5-a] pyrimidin-2- ylsulfanyl) -4-hydroxy-5, 6-dihydropyran-2-one, 1- (2-Amino-6- ethoxy- 9H-purin- 9-yl ) -2-fluoro-2-C-methyl-l, 2-dideoxy-beta-D- ribofuranose 3,5-cyclic [ P (R) ] -isopropylphosphate, 6-O-Methyl- 2 ' -C-methyl-5 ' -0- [0- (2, 2-dimethylpropyl) -L-alanino] (naphthalen- 1-yloxy) phosphoryl ] guanosine, 3 ' -Azido-3 ' -deoxythymidylyl-
( 5 ' , 5 ' ) -2 ' , 3 ' -dideoxy-5 ' -inosinic acid, Lagociclovir valactate, Tenofovir alafenamide fumarate, [ S ( P) ] - [ 5 (R) - ( 9H-Adenin- 9-yl ) -4- fluoro-2, 5-dihydrofuran-2 (R) -yloxymethyl ] -N- [1 (S) -
(ethoxycarbonyl ) ethyl ] phosphonamidic acid phenyl ester,
Entecavir, organic salt of bis-glycine-L-cysteinyl-bis- (g -L- glutamate) · 9-b -D-ribofuranozilhypoxanthine, CMX 157, HDP- tenofovir, hexadecyloxypropyl tenofovir, Acyclovir, valacyclovir hydrochloride, Vidarabine, Alamifovir, GS 7340, Penciclovir, Ganciclovir, Phosphonic acid, P- [2- [2- [ (2-amino-l, 6-dihydro-6- oxo- 9H-purin- 9-yl ) methyl ] phenyl ] ethenyl ]-, Tiviciclovir,
Famciclovir, Carbovir, Molixan; NOV-205, Lobucavir, Abacavir, Amdoxovir, Valganciclovir, INX189, Dideoxyadenosine, Cladribine, Fludarabine, Pentoxifylline, Didanosine, 2 ' -Deoxy-2 ' - fluoroguanosine, Dideoxyguanosine, 2 ' , 3 ' -DIDEOXY-3 ' -FLU0R0- GUANOSINE, 3-Deazaneplanocin, Maribavir, Valomaciclovir,
Omaciclovir, Seliciclib; roscovitine, Lodenosine for use in treating or preventing pain in a subject.
4. A therapeutic compound of the group of pentose ring- containing nucleotide/nucleoside analogs selected from Clofar- abine, Tezacitabine, 1- (2-Cyano-2-deoxy-beta-D- arabinofuranosyl ) cytosine, Sapacitabine, Alkasar-18, Ethynylcyt- idine, Troxacitabine, Torcitabine, 7-Deaza-2 ' -C-methyladenosine, 4 ' -C-Azidocytidine, 2 ' -C-Methylguanosine, Balapiravir hydrochlo¬ ride, 1- (2 ' -Deoxy-2 ' -fluoro-2 ' -C-methyl-beta-D- ribofuranosyl ) cytosine, Mericitabine, 5 ' -0- [ (Benzylamino) [2- (3- hydroxy-2, 2-dimethylpropionylsulfanyl) ethoxy] phosphoryl] -2 ' -C- methylguanosine, cis-4 ' -Azido-5 ' -0- [4 (S) - ( 3-chlorophenyl ) -2-oxo- 1,3, 2-dioxaphosphorinan-2-yl ] -2 ' , 3 ' -0-bis (propionyl) uridine, 1- (2-Amino-6-ethoxy-9H-purin-9-yl) -2-fluoro-2-C-methyl-l, 2- dideoxy-beta-D-ribofuranose 3,5-cyclic [P(R)]- isopropylphosphate, 6-0-Methyl-2 ' -C-methyl-5 ' -0- [0- (2, 2- dimethylpropyl ) -L-alanino] (naphthalen-1- yloxy) phosphoryl ] guanosine, Sofosbuvir, Dioxolane T; Dioxolane thymine nucleoside, 3 ' -Azido-3 ' -deoxythymidylyl- ( 5 ' , 5 ' ) -2 ' , 3 ' - dideoxy-5 ' -inosinic acid, Apricitabine ; (±) -cis-1- [2- (Hydroxymethyl ) -1, 3-oxathiolan-4-yl ] cytosine; (±) -2 ' -Deoxy-3 ' - oxa-4 ' -thiocytidine (dOTC) , Phosphonovir, Lagociclovir valac- tate, Festinavir, [ S ( P) ] - [ 5 (R) - ( 9H-Adenin- 9-yl ) -4-fluoro-2 , 5- dihydrofuran-2 (R) -yloxymethyl ] -N- [1 (S) -
(ethoxycarbonyl ) ethyl ] phosphonamidic acid phenyl ester,
Clevudine, Edoxudine, Zidovudine, Stampidine, Elvucitabine, Dex- elvucitabine, Festinavir, Floxuridine, Idoxuridine, Tri- fluridine, Cytarabine, 2 ' -O-Methylcytidine, Stavudine, 2 ',3'- Dideoxythymidine, Telbivudine, Zalcitabine, Fiacitabine, Fi- aluridine, Brivudine, Sorivudine, 2'-Fluoro-5- ethylarabinosyluracil , Mericitabine, PSI-6130, Valopicitabine, Valtorcitabine, 5-Iodo-2-pyrimidinone-2 ' -deoxyribose, Alovudine, Navuridine, PSI7977, 3-Deazauridine, 3 ' -azido-2 ' , 3 ' -dideoxy-5- methylcytidine, Cyclocytidine, Entecavir, Vidarabine, Carbovir, Molixan; NOV-205, Abacavir, Amdoxovir, Valganciclovir, INX189, Dideoxyadenosine, Cladribine, Fludarabine, Didanosine, 2 ' -Deoxy- 2 ' -fluoroguanosine, Dideoxyguanosine, 2 ' , 3 ' -DIDEOXY-3 ' -FLUORO- GUANOSINE, 3-Deazaneplanocin, Maribavir, Lodenosine, Ribavirin for use in treating or preventing pain in a subject.
5. A therapeutic compound of the group of nucleotide analogs se¬ lected from 2 ' -C-Methylguanosine, 5 ' -0- [ (Benzylamino) [2- (3- hydroxy-2, 2-dimethylpropionylsulfanyl) ethoxy] phosphoryl] -2 ' -C- methylguanosine, cis-4 ' -Azido-5 ' -0- [4 (S) - ( 3-chlorophenyl ) -2-oxo- 1,3, 2-dioxaphosphorinan-2-yl ] -2 ' , 3 ' -0-bis (propionyl) uridine, 1- (2-Amino-6-ethoxy-9H-purin-9-yl) -2-fluoro-2-C-methyl-l, 2- dideoxy-beta-D-ribofuranose 3,5-cyclic [P(R)]- isopropylphosphate, 6-0-Methyl-2 ' -C-methyl-5 ' -0- [0- (2, 2- dimethylpropyl ) -L-alanino] (naphthalen-1- yloxy) phosphoryl ] guanosine, Sofosbuvir, 3' -Azido-3 '- deoxythymidylyl- ( 5 ', 5 ') -2 ', 3 ' -dideoxy-5 ' -inosinic acid, Phos¬ phonovir, [S (P) ] - [5 (R) - (9H-Adenin-9-yl) -4-fluoro-2, 5- dihydrofuran-2 (R) -yloxymethyl] -N- [1 (S) -
(ethoxycarbonyl ) ethyl ] phosphonamidic acid phenyl ester, CMX 157, HDP-tenofovir, hexadecyloxypropyl tenofovir, Alamifovir, P-[2- [2- [ (2-amino-l, 6-dihydro- 6-oxo- 9H-purin- 9- yl ) methyl ] phenyl ] ethenyl ] -Phosphonic acid, INX189, Alamifovir disoproxil fumarate, Alamifovir disoproxil hemifumarate for use in treating or preventing pain in a subject.
6. A therapeutic compound of the group of nucleoside analogs se¬ lected from Clofarabine, Tezacitabine, 1- (2-Cyano-2-deoxy-beta- D-arabinofuranosyl ) cytosine, Sapacitabine, Alkasar-18, Ethynyl- cytidine, Troxacitabine, Torcitabine, 7-Deaza-2 ' -C- methyladenosine, 4 ' -C-Azidocytidine, Balapiravir hydrochloride, 1- (2 ' -Deoxy-2 ' -fluoro-2 ' -C-methyl-beta-D-ribofuranosyl ) cytosine, Mericitabine, Dioxolane T; Dioxolane thymine nucleoside , Apri- citabine; (±) -cis-1- [2- (Hydroxymethyl ) -1, 3-oxathiolan-4- yl ] cytosine ; (±) -2 ' -Deoxy-3 ' -oxa-4 ' -thiocytidine (dOTC) , Festi- navir, Emtricitabine, Lamivudine, Clevudine, Edoxudine, Zidovu¬ dine, Apricitabine, AVX754, Stampidine, Elvucitabine, Dexelvu- citabine, Racivir, Festinavir, Floxuridine, Idoxuridine, Tri- fluridine, Cytarabine, 2 ' -O-Methylcytidine, Stavudine, 2 ',3'- Dideoxythymidine, Telbivudine, Zalcitabine, Fiacitabine, Fi- aluridine, Brivudine, Sorivudine, 2'-Fluoro-5- ethylarabinosyluracil , Mericitabine, PSI-6130, Valopicitabine, Valtorcitabine, 5-Iodo-2-pyrimidinone-2 ' -deoxyribose, Alovudine, Navuridine, PSI7977, 3-Deazauridine, 3 ' -azido-2 ' , 3 ' -dideoxy-5- methylcytidine, Cyclocytidine, Entecavir, organic salt of bis- glycine-L-cysteinyl-bis- (g -L-glutamate) · 9-b -D- ribofuranozilhypoxanthine, Vidarabine, Carbovir, Molixan; NOV- 205, Lobucavir, Abacavir, Amdoxovir, Valganciclovir, Dideoxy- adenosine, Cladribine, Fludarabine, Didanosine, 2 ' -Deoxy-2 ' - fluoroguanosine, Dideoxyguanosine, 2 ' , 3 ' -DIDEOXY-3 ' -FLUORO- GUANOSINE, 3-Deazaneplanocin, Maribavir, Lodenosine for use in treating or preventing pain in a subject.
7. A therapeutic compound selected from the group of acyclic nu¬ cleoside analog selected from Filibuvir, 6- [2- (5-Chloro-2, 4- dimethoxyphenyl ) ethyl] - 6-cyclopentyl-3- (5, 7- dimethyl [1, 2, 4] triazolo [1, 5-a] pyrimidin-2-ylsulfanyl ) -4-hydroxy- 5, 6-dihydropyran-2-one, (-) - (S) -6-Chloro-2- [1- (furo [2, 3- c] pyridin-5-yl) ethylsulfanyl] pyrimidine-4-amine (PNU-142721) , Lagociclovir valactate, Emivirine, Raltegravir, 6-Fluoro-3- hydroxypyrazine-2-carboxamide, Acyclovir, valacyclovir hydro¬ chloride, GS 7340, Penciclovir, Ganciclovir, Tiviciclovir, Famciclovir, Pentoxifylline, Valomaciclovir, Omaciclovir,
Seliciclib; roscovitine for use in treating or preventing pain in a subject.
8. A therapeutic compound selected from the group of acyclic nu¬ cleotide analogs selected from Hexadecyloxypropyl-cidofovir,
Bis (2 , 2-dimethylpropionic acid) 1- (2-amino-9H-purin-9- ylmethyl) cyclopropoxymethylphosphorylbis (oxymethylene) diester, Tenofovir alafenamide fumarate, Cidofovir, CMX 157, HDP- tenofovir, hexadecyloxypropyl tenofovir, Alamifovir, P-[2-[2- [ (2-amino-l, 6-dihydro- 6-oxo- 9H-purin- 9- yl ) methyl ] phenyl ] ethenyl ] -phosphonic acid, Alamifovir disoproxil fumarate, Alamifovir disoproxil hemifumarate for use in treating or preventing pain in a subject.
9. A therapeutic compound selected from the group of 5-ring het- erocycles compounds selected from Amitivir, 2-Oxothiazolidine-4- carboxylic acid, Levcycloserine for use in treating or prevent¬ ing pain in a subject.
10. A therapeutic compound selected from the group of nucleotide analogues being phosphonic acid derivatives selected from ala¬ mifovir, besifovir, cidofovir, Alamifovir disoproxil fumarate, alamifovir disoproxil hemifumarate for use in treating or pre¬ venting pain in a subject.
11. A therapeutic compound selected from the group of bicyclic heterocyclic compounds selected from aciclovir, buciclovir, desciclovir, detiviciclovir, famciclovir, ganciclovir, lago- ciclovir, lagociclovir valactate, omaciclovir, penciclovir, ro- ciclovir, tiviciclovir, valaciclovir, valganciclovir,
valomaciclovir for use in treating or preventing pain in a sub- j ect .
12. A therapeutic compound selected from the group of carbocy- clic nucleosides selected from abacavir, entecavir, lobucavir, Carbovir, 3-Deazaneplanocin for use in treating or preventing pain in a subject.
13. A therapeutic compound selected from the group of phosphate containing nucleotide analogues, further being defined as a. purino (a) cyclophosphate selected from Alamifovir, Alamifovir disoproxil fumarate, alamifovir disoproxil hemifumarate, Stam- pidine, Fozivudine, Fosalvudine, Fosalvudine tidoxil,
b. purinophosphonic acids selected from P- [2- [2- [ (2-amino-l, 6- dihydro- 6-oxo- 9H-purin- 9-yl ) methyl ] phenyl ] ethenyl ] -Phosphonic acid, P- [ (3R) -3- [ (2-amino-l, 6-dihydro- 6-oxo- 9H-purin- 9- yl) methoxy] -4-hydroxybutyl ] -Phosphonic acid, MDL,
c. Oligonucleotides selected from Fomivirsen, fomivirsen sodium, DNA, d (dmt-T-G-G-G-A-G-G-T-G-G-G-T-C-T-G) (9CI), Trecovirsen,
Afovirsen,
for use in treating or preventing pain in a subject.
14. A therapeutic compound selected from the group of phosphate free purino-nucleosides , being further defined as
a. a purino pseudonucleoside, being Amdoxovir,
b. purino Seconucleosides of the Cl-Type selected from Acyclo¬ vir, Valaciclovir, Ganciclovir, Valganciclovir, Valomaciclovir, c. Purinoalkanols selected from Penciclovir, Tiviciclovir, Famciclovir, Pentoxifylline, 9- (3-fluoro-2- phosphonylmethoxypropyl ) adenine,
d. Purine Nucleosides selected from bis-glycine-L-cysteinyl- bis- (g -L-glutamate) · 9-b -D-ribofuranozilhypoxanthine, Vidara- bine, Dideoxyadenosine, Cladribine, Fludarabine, Didanosine, Ma- ribavir, 2 ' -Deoxy-2 ' -fluoroguanosine, 2 ' , 3 ' -DIDEOXY-3 ' -FLUORO- GUANOSINE, Lodenosine, Dideoxyguanosine,
e. Purine Carbonucleosides selected from Entecavir, Carbovir, Abacavir, Lobucavir, Oxetanocin, 3-Deazaneplanocin,
f . a purine base selected from Adenosine, Guanosine,
for use in treating or preventing pain in a subject.
15. A therapeutic compound selected from the group of phosphate free pyrimidino-nucleoside compounds further defined as
a. pyrimidino pseudonucleosides selected from Emtricitabine, Apricitabine, AVX754, Racivir, Lamivudine, 2 ( 1H) -Pyrimidinone, 4- amino-1- [ (2R, 4R) -2- (hydroxymethyl ) -1, 3-oxathiolan-4-yl ] -, rel-, 4-amino-5-fluoro-1- [ (2R, 4R) -2- (hydroxymethyl) -1, 3-dioxolan-4- yl ] pyrimidin-2 (1H) -one,
b. pyrimidino Nucleosides selected from Cytarabine, Tri- fluridine, Floxuridine, Idoxuridine, Telbivudine, Clevudine, Edoxudine, Brivudine, Zidovudine, Elvucitabine, Stavudine, Cy- clocytidine, Edoxudine, Zalcitabine, Alovudine, Fiacitabine, Fi- aluridine, Brivudine, Navuridine, FEAU, Sorivudine, IPdR,
Raluridine, Dexelvucitabine, Gemcitabine, Valtorcitabine,
Valopicitabine, PSI-6130, Tunicamycin,
c. Pyrimidines selected from Fluorouracil , Etravirine, Rilpi- virine, 2 , 4 ( 1H, 3H) -Pyrimidinedione, 6- [(3, 5- dimethylphenyl ) methyl ] -1- (ethoxymethyl ) -5- (1-methylethyl) , for use in treating or preventing pain in a subject.
16. A therapeutic compound selected from the group of nucleobase mimics further defined as
a. Artificial Base Nucleosides selected from Ribavirin, Tari- bavirin hydrochloride, Taribavirin, Triciribine, Isatoribine, ICN,
b. Purine mimics selected from Peldesine, Imiquimod,
Resiquimod, Bay 11-7821,
c. Purine mimics selected from Carbendazim, Oxibendazole,
Flubendazole, Carbendazim, Fenbendazole, Albendazole, BMS, N- (lH-benzimidazol-2-ylmethyl) -2,4, 5-trideoxy-4- [ [ [ (2R, 4S) -5, 5- dimethyl-2- [ (1R) -2-oxo-l- [ (2-phenylacetyl) amino] -2-
[ (phenylmethyl ) amino] ethyl] -4-thiazolidinyl ] carbonyl] amino] -5- phenyl-D-threo-Pentonamide, Oxfendazole,
d. Indol type purine mimics selected from Methisazone, Arbidol, 5-Chloro-3-phenylthioindole-2-carboxamide, Mopyridone,
e. Pyrimidine mimics selected from Oltipraz, Flutimide, Carbam- ic acid, , -diethyl- , [ 1 , 4-bis ( 3 , 4 , 5-trimethoxybenzoyl ) -2- piperazinyl ] methyl ester,
f. Sulphonamide or sulphonic acid type ATP mimics selected from Tomeglovir, Evans Blue, Quinobene, Resobene, A-837093,
g. Phosphate mimics selected from Foscarnet Sodium, 1- ribofuranosylpyrazole-3 , 4-dicarboxamide, Fenbendazole,
for use in treating or preventing pain in a subject.
17. A therapeutic compound selected from the group of nucleotide and nucleoside reverse transcriptase inhibitors, selected from Emtricitabine, Lamivudine, Clevudine, Zidovudine, Apricitabine, AVX754, Stampidine, Elvucitabine, Dexelvucitabine, Racivir, Fes- tinavir, Emivirine, Stavudine, Telbivudine, Zalcitabine,
Entecavir, CMX 157, HDP-tenofovir, hexadecyloxypropyl tenofovir, GS 7340, Carbovir, Lobucavir, Abacavir, Amdoxovir, Didanosine, Lodenosine, Capravirine, Clevudine for use in treating or pre¬ venting pain in a subject.
18. A therapeutic compound selected from the group of nucleoside and nucleotide DNA or RNA polymerase inhibitors selected from Emtricitabine, Lamivudine, Clevudine, Edoxudine, Zidovudine, Apricitabine, AVX754, Stampidine, Elvucitabine, Dexelvucitabine, Racivir, Festinavir, Emivirine, Idoxuridine, Trifluridine, Cy- tarabine, 2 ' -O-Methylcytidine, Stavudine, 2 ',3'- Dideoxythymidine, Telbivudine, Zalcitabine, Fiacitabine, Fi- aluridine, Brivudine, Sorivudine, 2'-Fluoro-5- ethylarabinosyluracil , Cidofovir, PSI7977, Entecavir, CMX 157, HDP-tenofovir, hexadecyloxypropyl tenofovir, Acyclovir, valacy- clovir hydrochloride, Vidarabine, Alamifovir, GS 7340 ,
Penciclovir, Ganciclovir, Tiviciclovir, Famciclovir, Carbovir, Lobucavir, Abacavir, Amdoxovir, Valganciclovir, INX189, Didanosine, Valomaciclovir, Omaciclovir, Lodenosine, Capravirine, Clevudine for use in treating or preventing pain in a subject.
19. A therapeutic compound selected from the group of non- nucleotide and nucleoside reverse transcriptase inhibitors se¬ lected from Opaviraline, Atevirdine, Nevirapine, Tivirapine, Efavirenz (EFV) , Loviride, Trovirdine, Fosamprenavir, Dapi- virine, Etravirine, Rilpivirine, Talviraline, Lersivirine ; UK- 453061, Calanolide A, Oltipraz, Delavirdine, Capravirine, Tro¬ virdine for use in treating or preventing pain in a subject.
20. A therapeutic compound selected from the group of non- nucleoside and nucleotide DNA or RNA polymerase inhibitors se¬ lected from Opaviraline, Methisazone, Atevirdine, Nevirapine, Tivirapine, rifampicin sodium, Efavirenz (EFV) , Loviride, Trovirdine, Fosamprenavir, Dapivirine, Etravirine, Rilpivirine, Talviraline, Foscarnet, Lersivirine; UK-453061, Calanolide A, Oltipraz, Delavirdine, Capravirine, Trovirdine for use in treat¬ ing or preventing pain in a subject.
21. A therapeutic compound selected from the group of viral in- tegrase inhibitors selected from Raltegravir, Elvitegravir, Do- lutegravir, Globoidnan A, MK-2048, BI 224436, or from the group of viral terminase inhibitors selected from Tomeglovir, 2-bromo- 5, 6-dichloro-l-D-ribofuranosyl benzimidazole (BDCRB) , GW-275175X for use in treating or preventing pain in a subject.
22. A therapeutic compound selected from the group of Inosine Monophosphate Dehydrogenase (IMPDH) Inhibitors selected from Ribavirin, Taribavirin, Mycophenolate, Amitivir for use in treating or preventing pain in a subject.
23. A therapeutic compound selected from the group of Viral Fu¬ sion inhibitors selected from Docosanol, Enfuvirtide, Tifuvir- tide, Sifuvirtide for use in treating or preventing pain in a subj ect .
24. A therapeutic compound selected from the group of CMV Imme¬ diate-Early Protein 2 (IE2) mRNA Inhibitors selected from Fom- ivirsen, Afovirsen for use in treating or preventing pain in a subj ect .
25. A therapeutic compound selected from the group of Virus rep¬ lication inhibitors selected from Floxuridine, Fluorouracil , Ac¬ etylcysteine, tromantadine hydrochloride, Podophyllotoxin, Tro- mantadine for use in treating or preventing pain in a subject.
26. A therapeutic compound selected from the group of TLR-7 ac¬ tivators selected from Imiquimod, Resiquimod for use in treating or preventing pain in a subject.
27. A therapeutic compound selected from the group of Virus pro¬ tein synthesis inhibitors selected from Methisazone, rifampicin sodium for use in treating or preventing pain in a subject.
28. A therapeutic compound selected from the group of CCR5 an¬ tagonists selected from Maraviroc, cenicriviroc mesylate, Mara- viroc, Vicriviroc, Ancriviroc, Aplaviroc for use in treating or preventing pain in a subject.
29. A therapeutic compound selected from the group of Viral pro¬ tease inhibitors selected from Saquinavir, Telinavir, Palinavir, Ciluprevir, Indinavir, Ritonavir, Droxinavir, Nelfinavir, Ampre- navir, Tipranavir, Lopinavir, Atazanavir, Darunavir, Rupin- trivir, Fosamprenavir, Boceprevir, Telaprevir, Mozenavir,
Lasinavir, Brecanavir for use in treating or preventing pain in a subject.
30. A therapeutic compound selected from the group of Protein Ion Channel Blockers selected from Amantadine, Rimantadine f or use in treating or preventing pain in a subject.
31. A therapeutic compound selected from the group of Neuramini¬ dase inhibitors selected from Zanamivir, Peramivir, Oseltamivir, Laninamivir ; Inavir for use in treating or preventing pain in a subj ect .
32. A therapeutic compound selected from the group of Kinase in¬ hibitors selected from Gefitinib, Tyrphostin, Erbstatin,
Fasudil, Tyrphostin, Fascaplysin, Alvocidib for use in treating or preventing pain in a subject.
33. A therapeutic compound selected from the group of NMDA- Channel blockers selected from tromantadine hydrochloride, Ada- mantylamide, Tromantadine, Rimantadine, Amantadine for use in treating or preventing pain in a subject.
34. A therapeutic compound selected from the group of Topoiso- merase inhibitors selected from Topotecan, Irinotecan, Rubi- tecan, Camptothecin, Rescinnamine for use in treating or preventing pain in a subject.
35. A therapeutic compound selected from the group of Antibacte¬ rial antibiotics selected from rifampicin sodium, Rifabutin, Lexithromycin, Griseofulvin, Gramicidin, Neomycin, Cyclo- heximide, Thiostrepton, Narasin for use in treating or preventing pain in a subject.
36. A therapeutic compound selected from the group of HIV-entry inhibitors selected from Enfuvirtide, Sifuvirtide, Tifuvirtide, cenicriviroc mesylate, Maraviroc, Vicriviroc, Ancriviroc,
Aplaviroc for use in treating or preventing pain in a subject.
37. A therapeutic compound selected from the group of Viral si- alidase blockers selected from Zanamivir, Oseltamivir, 4- hydroxy-6- [1- (phenylmethyl ) propyl ] -3- (1-phenylpropyl) -2H-Pyran- 2-one for use in treating or preventing pain in a subject.
38. A therapeutic compound selected from the group of Steroid hormones selected from Dehydroepiandrosterone, Clomiphene, Des- oxycorticosterone, Diethylstilbestrol , Cosalane, Fulvestrant, Exemestane, Methyltestosterone, Testosterone, Dienestrol, Torem- ifene, VGX, Raloxifene, Mometasone, ADS, Tamoxifen, Budesonide, Masoprocol, Pinosylvin, Stanozolol, Piceatannol, U18666A, Hal- cinonide, Quinestrol, Dydrogesterone, 2-Methoxyestradiol, Mes- terolone for use in treating or preventing pain in a subject.
39. A therapeutic compound selected from the group of Antihista- minic drugs selected from Cyproheptadine, Doxepin, Chlorphenox- amine, Meclizine, Oxeladin, Desloratadine, Maprotiline, Lorata- dine, Azelastine for use in treating or preventing pain in a subj ect .
40. An adefovir derivative, excluding adefovir, selected from the compounds of table 1 for use in treating or preventing pain in a subject.
41. A therapeutic compound selected from the group of the com¬ pounds of any one of tables 1 to 3 or derivatives thereof for use in treating or preventing pain in a subject.
42. Method of treating or reducing pain in a subject comprising administering a compound of any one of claims 1 to 41 or any pharmaceutically acceptable salt, prodrug, derivative, ester or analogue thereof to a subject suffering from pain.
43. Method of preventing pain in a subject comprising adminis¬ tering a compound of any one of claims 1 to 41 or any pharmaceu¬ tically acceptable salt, prodrug, derivative, ester or analogue thereof to a subject as prophylaxis from pain.
44. Use of a compound of claims 1 to 41 or any pharmaceutically acceptable salt, prodrug, derivative, ester or analogue thereof for the manufacture of an analgesic or a medicament for the treatment of pain.
45. The method or use of a compound of any one of claim 1 to 44, characterized in that the compound is administered topically, enterally or parenterally, in particular preferred orally or rectally, intravenously, intraarterially, intramuscularly, sub- cutaneously, intradermally, intraperitoneally, transdermally, transmucosally or by inhalation.
46. The method or use of a compound of any one of claims 1 to 45, characterized in that the subject to be treated is a mammal, preferably a human, or a non human-animal, preferably a non- human mammal or bird.
47. The method or use of a compound according to claim 46 where¬ in the animal is a dog, cat, horse, cow, pig.
48. The method or use of a compound of any one of claims 1 to
47, characterized in that the compound is provided in a medica¬ ment .
49. The method or use of a compound of any one of claims 1 to
48, characterized in that the compound is provided together with a pharmaceutically acceptable carrier or buffer.
50. The method or use of a compound of any one of claims 1 to
49, characterized in that the compound is administered in a therapeutically effective dosage, preferably a dosage of between 0.01 mg/kg and 1 g/kg.
51. The method or use of a compound of any one of claims 1 to
50, wherein pain is selected from or associated with a chronic pain .
52. The method or use of a compound of any one of claims 1 to
51, wherein pain is selected from or associated with an acute pain .
53. The method or use of a compound of any one of claims 1 to
52, wherein pain is selected from or associated with a hyperal¬ gesia pain.
54. The method or use of a compound of any one of claims 1 to
53, wherein pain is selected from or associated with a somato¬ genic pain.
55. The method or use of a compound of any one of claims 1 to
54, wherein pain is selected from or associated with a neuro¬ pathic pain.
56. The method or use of a compound of any one of claims 1 to
55, wherein pain is selected from or associated with a psycho¬ genic pain.
57. The method or use of a compound of any one of claims 1 to
56, wherein pain is selected from or associated with a heat in¬ duced pain.
58. The method or use of a compound of any one of claims 1 to
57, wherein pain is selected from or associated with a physical pain .
59. The method or use of a compound of any one of claims 1 to 57, wherein pain is selected from or associated with nociceptive pain .
60. The method or use of a compound of any one of claims 1 to
59, wherein pain is selected from or associated with a hyperal¬ gesia.
61. The method or use of a compound of any one of claims 1 to
60, wherein pain is selected from or associated with a rheumatic pain .
62. The method or use of a compound of any one of claims 1 to
61, wherein pain is selected from or associated with a headache low back pain.
63. The method or use of a compound of any one of claims 1 to
62, wherein pain is selected from or associated with low back pain .
64. The method or use of a compound of any one of claims 1 to
63, wherein pain is selected from or associated with a pelvic pain .
65. The method or use of a compound of any one of claims 1 to
64, wherein pain is selected from or associated with a myofas¬ cial pain.
66. The method or use of a compound of any one of claims 1 to
65, wherein pain is selected from or associated with a vascular pain .
67. The method or use of a compound of any one of claims 1 to 66, wherein pain is selected from or associated with a migraine wound associated pain.
68. The method or use of a compound of any one of claims 1 to
67, wherein pain is selected from or associated with wound asso- ciated pain.
69. The method or use of a compound of any one of claims 1 to
68, wherein pain is selected from or associated with inflammato- ry pain.
70. The method or use of a compound of any one of claims 1 to
69, wherein pain is selected from or associated with an arthrit- ic pain.
71. The method or use of a compound of any one of claims 1 to
70, wherein pain is selected from or associated with a diabetic pain .
72. The method or use of a compound of any one of claims 1 to
71, wherein pain is selected from or associated with a pain from or associated with cancer.
73. The method or use of a compound of any one of claims 1 to
72, wherein pain is selected from or associated with a somatic visceral pain.
74. The method or use of a compound of any one of claims 1 to
73, wherein pain is selected from or associated with a fibrom- yalgia .
75. The method or use of a compound of any one of claims 1 to
74, wherein pain is selected from or associated with a postoper- ative pain.
76. The method or use of a compound of any one of claims 1 to
75, wherein pain is selected from or associated with a phantom pain .
77. The method or use of a compound of any one of claims 1 to
76, wherein pain is selected from or associated with a trigemi- nal neuralgia.
78. The method or use of a compound of any one of claims 1 to
77, wherein pain is selected from or associated with a post- herpetic neuralgia.
79. The method or use of a compound of any one of claims 1 to
78, wherein pain is selected from or associated with a painful diabetic neuropathy.
80. The method or use of a compound of any one of claims 1 to
79, wherein pain is selected from or associated with a painful diabetic peripheral neuropathy.
81. The method or use of a compound of any one of claims 1 to
80, wherein pain is selected from or associated with a diabetic polyneuropathy .
82. The method or use of a compound of any one of claims 1 to
81, wherein pain is selected from or associated with a sciatic pain .
83. The method or use of a compound of any one of claims 1 to
82, wherein pain is selected from or associated with a radicu¬ lopathy .
84. The method or use of a compound of any one of claims 1 to
83, wherein pain is selected from or associated with a radicular pain .
85. The method or use of a compound of any one of claims 1 to
84, wherein pain is selected from or associated with a lumbar pain .
86. The method or use of a compound of any one of claims 1 to
85, wherein pain is selected from or associated with a pain as¬ sociated with osteoarthritis.
87. The method or use of a compound of any one of claims 1 to
86, wherein pain is selected from or associated with a pain as¬ sociated with rheumatoid arthritis.
88. The method or use of a compound of any one of claims 1 to 68 and 70 to 87, wherein pain is selected from or associated with non-inflammatory pain.
89. The method or use of a compound of any one of claims 1 to 77 and 79 to 88, wherein pain excludes post-herpetic neuralgia as¬ sociated pain.
90. Compound, use or method according to any one of claims 1 to 89 wherein said compound is used in combination with one or more further analgesic or anti-pain compounds, preferably a further compound according to any one of claims 42 or of tables 1 to 3 or a derivative thereof or a compound selected from the group of Tenofovir (PMPA) , dasatinib, AMG-706 (motesanib) , BIRB 796
(Doramapimod) , EKB-569 (Pelitinib) , sorafenib , Vandetanib, CI- 1033 (Canertinib) , NSC161613, N6-Benzyladenosine-5 ' -phosphate, p-Aminobenzoly PAB-J acid, NSC47091, cilomilast , Nicotinamide
(Nicotinamide) , IBMX, Roflumilast, Filaminast, Piclamilast, V11294, CC-10004 (Apremilast) , LAS31025 (Arofylline) , CP80633
(Atizoram) , Catramilast/Atopik (Catramilast) , BRL-61063 (Cimpyfylline) , Daxalipram/mesopram (Daxalipram) , Doxofylline, Drotaverine, Efloxate, Etamiphylline, Etazolate, Etofylline, Glaucine Hydrobromide (Broncholytine) , GRC3886 (oglemilast) , ox- triphyllin (Choline theophyllinate) , Pumafentrine, Revamilast, Tofimilast, Tolafentrine, Seoanin (Trapidil) , GW 842470 (AWD 12- 281), CDP-840, YM-976, CI-1018, D-4418, Lirimilast, SCH-351591, RPL-554, IPL-455903 (HT-0712), GSK256066, Zardaverine, Varden- afil, OPC-6535 (Tetomilast) , IC485, L-826,141, ONO-6126, CI- 1044, MK-0873, T-2585, R1533 (MEM-1414), Ronomilast (ELB-353) , UK-500,001, AN2728 , DE-103, Tofisopam, (R) -Tofisopam (Dex- tofisopam) , ( S ) -Tofisopam (Levotofisopam (USAN) ) , EKB-568, SU- 14813, LY-333531 (Ruboxistaurin) , CGP-52421, SKI-606 (Bosu- tinib) , Roscovitine, Tenofovir (PMPA) , Methimazole, Adefovir dipivoxil (Bis-POM PMEA) (Adefovir) , Acetazolamide, midostaurin (PKC-412), tozasertib (MK-0457, VX 680) or lestaurtinib (CEP- 701) .
PCT/EP2013/0597522012-05-112013-05-10Use of compounds for the treatment of painWO2013167743A1 (en)

Priority Applications (3)

Application NumberPriority DateFiling DateTitle
EP13721770.9AEP2846788A1 (en)2012-05-112013-05-10Use of compounds for the treatment of pain
JP2015510836AJP2015520144A (en)2012-05-112013-05-10 Use of compounds for the treatment of pain
AU2013257951AAU2013257951A1 (en)2012-05-112013-05-10Use of compounds for the treatment of pain

Applications Claiming Priority (2)

Application NumberPriority DateFiling DateTitle
EP12167771.02012-05-11
EP121677712012-05-11

Publications (1)

Publication NumberPublication Date
WO2013167743A1true WO2013167743A1 (en)2013-11-14

Family

ID=48407575

Family Applications (1)

Application NumberTitlePriority DateFiling Date
PCT/EP2013/059752WO2013167743A1 (en)2012-05-112013-05-10Use of compounds for the treatment of pain

Country Status (4)

CountryLink
EP (1)EP2846788A1 (en)
JP (1)JP2015520144A (en)
AU (1)AU2013257951A1 (en)
WO (1)WO2013167743A1 (en)

Cited By (45)

* Cited by examiner, † Cited by third party
Publication numberPriority datePublication dateAssigneeTitle
CN104849388A (en)*2015-05-272015-08-19湖北生物医药产业技术研究院有限公司Method for determining residual organic solvent content in arbidol hydrochloride crude drug
WO2015161781A1 (en)*2014-04-212015-10-29四川海思科制药有限公司Method for preparing nucleoside analogue and intermediate thereof
EP2970280A4 (en)*2013-03-152016-03-02Univ Brigham Young METHODS OF TREATING INFLAMMATION, AUTOIMMUNE DISORDERS AND PAIN
CN105367602A (en)*2015-11-262016-03-02中山大学Adefovir Dipivoxil-salicylic acid co-crystal, preparation method therefor and composition of Adefovir Dipivoxil-salicylic acid co-crystal
CN106117295A (en)*2016-06-162016-11-16贵州医科大学Adefovirdipivoxil list sulfur is for L amino-acid ester list cholate derivant and preparation method thereof
CN107011382A (en)*2016-01-282017-08-04单爱莲A kind of tenofovir prodrug and preparation method thereof
CN107266499A (en)*2017-06-052017-10-20珠海优润医药科技有限公司A kind of antiviral compound and preparation method thereof
US9908908B2 (en)2012-08-302018-03-06Jiangsu Hansoh Pharmaceutical Co., Ltd.Tenofovir prodrug and pharmaceutical uses thereof
WO2018045043A1 (en)*2016-08-312018-03-08Tobira Therapeutics, Inc.Solid forms of cenicriviroc mesylate and processes of making solid forms of cenicriviroc mesylate
CN107849074A (en)*2016-01-192018-03-27四川海思科制药有限公司A kind of alkoxyalkyl ester prodrugs of nucleoside analog and its application
WO2018190713A1 (en)*2017-04-122018-10-18Umc Utrecht Holding B.V.Inhibitors of lysine methyltransferase for treatment of pain
US10155788B2 (en)2014-10-072018-12-18Brigham Young UniversityCationic steroidal antimicrobial prodrug compositions and uses thereof
US10195215B2 (en)2013-01-072019-02-05Brigham Young UniversityMethods for reducing cellular proliferation and treating certain diseases
CN109420172A (en)*2017-08-302019-03-05新疆医科大学第附属医院A kind of purposes of inhibitor in terms of cystic echinococcosis drug is treated in preparation
US10227376B2 (en)2014-08-222019-03-12Brigham Young UniversityRadiolabeled cationic steroid antimicrobials and diagnostic methods
US10238665B2 (en)2014-06-262019-03-26Brigham Young UniversityMethods for treating fungal infections
CN109776354A (en)*2019-01-042019-05-21上海应用技术大学 A kind of dihydroxybenzoylhydrazone neuraminidase inhibitor and its preparation and application
US10370403B2 (en)2015-04-222019-08-06Brigham Young UniversityMethods for the synthesis of ceragenins
US10441595B2 (en)2014-06-262019-10-15Brigham Young UniversityMethods for treating fungal infections
US10449208B2 (en)*2016-08-252019-10-22Merck Sharp & Dohme Corp.Antiviral prodrugs of tenofovir
WO2019224754A1 (en)*2018-05-232019-11-28Mor Research Applications Ltd.Toll-like receptor 4 (tlr4) inhibitors and use thereof
US10568893B2 (en)2013-03-152020-02-25Brigham Young UniversityMethods for treating inflammation, autoimmune disorders and pain
US10626139B2 (en)2014-02-272020-04-21Brigham Young UniversityCationic steroidal antimicrobial compounds
US10624866B2 (en)2018-03-052020-04-21The Industry & Academic Cooperation In Chungnam National University (Iac)Composition for prevention or treatment of chronic pain comprising Evans blue
US10676501B2 (en)2011-07-202020-06-09Brigham Young UniversityHydrogel materials incorporating eluting ceragenin compound
US10959433B2 (en)2017-03-212021-03-30Brigham Young UniversityUse of cationic steroidal antimicrobials for sporicidal activity
EP3871672A1 (en)*2020-02-272021-09-01The Procter & Gamble CompanyComfreyns, arylnaphthalene lignans that inhibit pro-inflammatory gene expression, andpharmaceutic composition comprising them
US11149284B2 (en)2017-09-262021-10-19Mgenplus Co., Ltd.Transgenic cloned piglet expressing human proinsulin and method of producing the same
WO2021223398A1 (en)*2020-05-072021-11-11西安新通药物研究股份有限公司Crystal form for treating liver disease and use thereof
CN113648306A (en)*2021-08-162021-11-16西北工业大学 Application of bergamot in preventing or treating osteoporosis and/or bone loss
CN113884611A (en)*2020-07-022022-01-04西安新通药物研究股份有限公司 Paratafovir mesylate related substances and their applications
US11253634B2 (en)2016-03-112022-02-22Brigham Young UniversityCationic steroidal antibiotic compositions for the treatment of dermal tissue
CN114159450A (en)*2020-09-102022-03-11上海交通大学 Use of protopanaxadiols in the treatment of pain and addictive substance physical dependence, mental dependence and addiction
US11286276B2 (en)2014-01-232022-03-29Brigham Young UniversityCationic steroidal antimicrobials
KR20220057401A (en)*2020-10-292022-05-09가톨릭관동대학교산학협력단A pharmaceutical composition for preventing or treating of bone related disease and vascular calcification comprising 13-o-acetylphorbol
CN114984002A (en)*2022-07-252022-09-02山西医科大学Application of compound of formula (I) in preparation of analgesic
US11524015B2 (en)2013-03-152022-12-13Brigham Young UniversityMethods for treating inflammation, autoimmune disorders and pain
CN116217576A (en)*2023-03-082023-06-06四川大学Near infrared emission fluorescent molecule based on purine skeleton, and preparation method and application thereof
CN116251091A (en)*2023-01-032023-06-13中国中医科学院中药研究所Pharmaceutical composition for preventing and/or treating neuropathic pain or complications
US11690855B2 (en)2013-10-172023-07-04Brigham Young UniversityMethods for treating lung infections and inflammation
WO2023192361A1 (en)*2022-03-312023-10-05Incelldx, Inc.Methods of treating a subject for fibromyalgia and compositions for use in the same
US12121530B2 (en)2018-05-112024-10-22Rhode Island HospitalComposition and methods for treating articulating joint disorders with nucleoside reverse transcriptase inhibitors
US12186328B2 (en)2019-05-232025-01-07Brigham Young UniversityUse of CSA compounds to stimulate stem cells and hair growth
US12396981B2 (en)2023-03-092025-08-26William ShulmanMethods of using DMT
US12441707B2 (en)2020-12-302025-10-14Tyra Biosciences, Inc.Indazole compounds

Families Citing this family (6)

* Cited by examiner, † Cited by third party
Publication numberPriority datePublication dateAssigneeTitle
LT3399984T (en)*2016-01-082023-11-10Arcus Biosciences, Inc.Modulators of 5'-nucleotidase, ecto and the use thereof
KR101841951B1 (en)*2016-12-292018-03-26충남대학교 산학협력단Composition for prevention or treatment of chronic pain comprising Evans blue
US11103465B2 (en)2017-11-222021-08-31Ted's Brain Science, Inc.Trans-resveratrol topical medication for the treatment of pain and method of manufacture thereof
CN109651189B (en)*2019-01-312021-11-19上海应用技术大学Benzoyl hydrazone neuraminidase inhibitor and preparation method and application thereof
CN109925248B (en)*2019-04-282021-10-19青岛科技大学 A skin care composition containing phloretin and Panax notoginseng saponins against skin photoaging
CN110115244A (en)*2019-04-302019-08-13新疆农业大学A kind of feeding method of procyanidine to horses

Citations (23)

* Cited by examiner, † Cited by third party
Publication numberPriority datePublication dateAssigneeTitle
EP0152316B1 (en)1984-01-261989-07-26Merck & Co. Inc.Substituted butyl guanines and their utilization in antiviral compositions
EP0141927B1 (en)1983-08-181991-10-30Beecham Group PlcAntiviral guanine derivatives
US5142051A (en)1986-07-181992-08-25Ceskoslovenska Akademie VedN-phosphonylmethoxyalkyl derivatives of pyrimidine and purine bases and a therapeutical composition therefrom with antiviral activity
US5246937A (en)1985-09-181993-09-21Beecham Group P.L.C.Purine derivatives
EP0388049B1 (en)1989-03-031995-05-17Beecham Group PlcDerivatives of penciclovir for the treatment of hepatitis-B infections
EP0302644B1 (en)1987-08-011997-01-29Beecham Group PlcPurine compounds and their preparation
EP0481754B1 (en)1990-10-181997-08-20E.R. Squibb & Sons, Inc.Hydroxymethyl(methylenecyclopentyl)Purines and Pyrimidines
US5663159A (en)1990-09-141997-09-02Institute Of Organic Chemistry And Biochemistry Of The Academy Of Sciences Of The Czech RepublicProdrugs of phosphonates
EP0513200B1 (en)1990-02-011998-09-09Emory UniversityMethod and compositions for the synthesis of bch-189 and related compounds
US5866581A (en)*1993-10-051999-02-02Smithkline Beecham P.L.C.Penciclovir for the treatment of post therapeutic neuralgia
US5922695A (en)1996-07-261999-07-13Gilead Sciences, Inc.Antiviral phosphonomethyoxy nucleotide analogs having increased oral bioavarilability
US5935946A (en)1997-07-251999-08-10Gilead Sciences, Inc.Nucleotide analog composition and synthesis method
EP0785208B1 (en)1996-01-182001-03-21Mitsubishi Chemical CorporationPhosphonate nucleotide compounds
EP1049666B1 (en)1998-01-232003-06-04Bayer AktiengesellschaftNovel naphthyl-substituted and anilide-substituted sulfonamides
US20050201998A1 (en)*2003-11-062005-09-15Welch Martha G.Novel multipeptide regimen for the treatment of autistic spectrum, behavioral, emotional and visceral inflammation/autoimmune disorders
US20070196458A1 (en)*2004-06-072007-08-23Jie ZhangCompositions and methods for dermally treating neuropathic pain
WO2008112715A2 (en)*2007-03-122008-09-18Vm Discovery Inc.Novel agents of calcium ion channel modulators
EP1439177B1 (en)1991-02-222010-05-26Emory UniversityAntiviral activity and resolution of 2-hydroxymethyl-5-(5-fluorocytosin-1-yl)-1,3-oxathiolane
US20100210669A1 (en)2007-02-142010-08-19Weidong YeCrystalline form of entecavir, its preparation and the pharmaceutical composition and uses thereof
CN101856322A (en)*2010-06-112010-10-13中国人民解放军军事医学科学院卫生装备研究所Sulfadiazine silver controlled-release gel and preparation method thereof
CN102048677A (en)*2009-11-092011-05-11杭州赛利药物研究所有限公司Valganciclovir Hydrochloride solid preparation and preparation method thereof
WO2012062925A2 (en)*2010-11-112012-05-18Akron Molecules GmbhCompounds and methods for treating pain
EP2511281A1 (en)2009-12-102012-10-17Institute Of Pharmacology And Toxicology Academy Of Military Medical Sciences P.L.A. ChinaAcyclic nucleoside phosphonate derivatives and medicine uses thereof

Patent Citations (24)

* Cited by examiner, † Cited by third party
Publication numberPriority datePublication dateAssigneeTitle
EP0141927B1 (en)1983-08-181991-10-30Beecham Group PlcAntiviral guanine derivatives
EP0152316B1 (en)1984-01-261989-07-26Merck & Co. Inc.Substituted butyl guanines and their utilization in antiviral compositions
US5246937A (en)1985-09-181993-09-21Beecham Group P.L.C.Purine derivatives
US5142051A (en)1986-07-181992-08-25Ceskoslovenska Akademie VedN-phosphonylmethoxyalkyl derivatives of pyrimidine and purine bases and a therapeutical composition therefrom with antiviral activity
EP0302644B1 (en)1987-08-011997-01-29Beecham Group PlcPurine compounds and their preparation
EP0388049B1 (en)1989-03-031995-05-17Beecham Group PlcDerivatives of penciclovir for the treatment of hepatitis-B infections
EP0513200B1 (en)1990-02-011998-09-09Emory UniversityMethod and compositions for the synthesis of bch-189 and related compounds
US5663159A (en)1990-09-141997-09-02Institute Of Organic Chemistry And Biochemistry Of The Academy Of Sciences Of The Czech RepublicProdrugs of phosphonates
EP0481754B1 (en)1990-10-181997-08-20E.R. Squibb & Sons, Inc.Hydroxymethyl(methylenecyclopentyl)Purines and Pyrimidines
EP1439177B1 (en)1991-02-222010-05-26Emory UniversityAntiviral activity and resolution of 2-hydroxymethyl-5-(5-fluorocytosin-1-yl)-1,3-oxathiolane
US5866581A (en)*1993-10-051999-02-02Smithkline Beecham P.L.C.Penciclovir for the treatment of post therapeutic neuralgia
EP0785208B1 (en)1996-01-182001-03-21Mitsubishi Chemical CorporationPhosphonate nucleotide compounds
US5977089A (en)1996-07-261999-11-02Gilead Sciences, Inc.Antiviral phosphonomethoxy nucleotide analogs having increased oral bioavailability
US5922695A (en)1996-07-261999-07-13Gilead Sciences, Inc.Antiviral phosphonomethyoxy nucleotide analogs having increased oral bioavarilability
US5935946A (en)1997-07-251999-08-10Gilead Sciences, Inc.Nucleotide analog composition and synthesis method
EP1049666B1 (en)1998-01-232003-06-04Bayer AktiengesellschaftNovel naphthyl-substituted and anilide-substituted sulfonamides
US20050201998A1 (en)*2003-11-062005-09-15Welch Martha G.Novel multipeptide regimen for the treatment of autistic spectrum, behavioral, emotional and visceral inflammation/autoimmune disorders
US20070196458A1 (en)*2004-06-072007-08-23Jie ZhangCompositions and methods for dermally treating neuropathic pain
US20100210669A1 (en)2007-02-142010-08-19Weidong YeCrystalline form of entecavir, its preparation and the pharmaceutical composition and uses thereof
WO2008112715A2 (en)*2007-03-122008-09-18Vm Discovery Inc.Novel agents of calcium ion channel modulators
CN102048677A (en)*2009-11-092011-05-11杭州赛利药物研究所有限公司Valganciclovir Hydrochloride solid preparation and preparation method thereof
EP2511281A1 (en)2009-12-102012-10-17Institute Of Pharmacology And Toxicology Academy Of Military Medical Sciences P.L.A. ChinaAcyclic nucleoside phosphonate derivatives and medicine uses thereof
CN101856322A (en)*2010-06-112010-10-13中国人民解放军军事医学科学院卫生装备研究所Sulfadiazine silver controlled-release gel and preparation method thereof
WO2012062925A2 (en)*2010-11-112012-05-18Akron Molecules GmbhCompounds and methods for treating pain

Non-Patent Citations (25)

* Cited by examiner, † Cited by third party
Title
1992, PAIN, vol. 48, pages 73 - 81
ANN RHEUM DIS, vol. 67, 2008, pages 1505 - 1515
AREZZO, J.C.; ROSENSTOCK, J.; LAMOREAUX, L.; PAUER, L.: "Efficacy and safetyof pregabalin 600 mg/d for treating painful diabetic peripheral neuropathy: a double-blind placebo- controlled trial", BMC NEUROLOGY, vol. 16, no. 8, 2008, pages 33
BENNETT G.J.; XIE Y.K., PAIN, vol. 33, 1988, pages 87 - 107
BENNETT GJ; CHUNG JM; HONORE M; SELTZER Z.: "Curr Protoc Pharmacol.", July 2003
BLACKBURN-MUNRO G; ERICHSEN H.K., CURRENT PHARM DES, vol. 11, 2005, pages 2961 - 2975
BOYCE-RUSTAY J M ET AL: "Characterization of Fasudil in Preclinical Models of Pain", JOURNAL OF PAIN, SAUNDERS, PHILADELPHIA, PA, US, vol. 11, no. 10, October 2010 (2010-10-01), pages 941 - 949, XP027313509, ISSN: 1526-5900, [retrieved on 20100924]*
BRIDGES, D.; THOMPSON, S.W.; RICE, A.S.: "Mechanisms of neuropathic pain", BR J ANAESTH, vol. 87, no. 1, 2001, pages 12 - 26, XP001068882, DOI: doi:10.1093/bja/87.1.12
CHAPLAN, S.R.; BACH, F.W.; POGREL, J.W.; CHUNG, J.M.; YAKSH, T.L.: "Quantitative assessment of tactile allodynia in the rat paw", J NEUROSCI METHODS, vol. 53, no. 1, 1994, pages 55 - 63, XP024352718, DOI: doi:10.1016/0165-0270(94)90144-9
DA SILVA FILHO A.A.; ANDRADE E SILVA M.L.; CARVALHO J.C.; BASTOS J.K.: "Evaluation of analgesic and anti-inflammatory activities of Nectandra megapotamica (Lauraceae) in mice and rats", J PHARM PHARMACOL., vol. 56, no. 9, 2004, pages 1179 - 84
DRIESSEN B ET AL: "Antinociceptive effect of intrathecally administered P2-purinoceptor antagonists in rats", BRAIN RESEARCH, ELSEVIER, AMSTERDAM, NL, vol. 666, no. 2, 15 December 1994 (1994-12-15), pages 182 - 188, XP024282065, ISSN: 0006-8993, [retrieved on 19941215], DOI: 10.1016/0006-8993(94)90770-6*
HSIEH, G.C; CHANDRAN, P; SALYERS, A.K; PAI, M; ZHU, C.Z; WENSINK, E.J; WITTE, D.G; MILLER, T.R; MIKUSA, J.P; BAKER, S.J., PHARMACOL BIOCHEM BEHAV, vol. 95, 2010, pages 41 - 50
JETT, M.F.; RAMESHA, C.S.; BROWN, C.D.; CHIU, S.; EMMETT, C.; VORONIN, T.; SUN, T.; O'YANG, C.; HUNTER, J.C.; EGLEN, R.M.: "Characterization of the analgesic and anti-inflammatory activities of ketorolac and its enantiomers in the rat", J PHARMACOL EXP THER, vol. 288, no. 3, 1999, pages 1288 - 97
KIM KJ; YOON YW; CHUNG JM., EXP BRAIN RES., vol. 113, no. 2, February 1997 (1997-02-01), pages 200 - 6
KIM SH; CHUNG JM., PAIN, vol. 50, no. 3, 1992, pages 355 - 63
KONTINEN V.K.; MEERT T.F.: "Prog in Pain Res Management", vol. 24, 2003, IASP PRESS, pages: 489 - 498
LABUDA, C.J.; LITTLE, P., J NEUROSCI METHS, vol. 144, 2005, pages 175 - 181
LALEZARI JACOB ET AL: "A randomized, double-blind, placebo-controlled trial of cidofovir gel for the treatment of acyclovir-unresponsive mucocutaneous herpes simplex virus infection in patients with AIDS", JOURNAL OF INFECTIOUS DISEASES, vol. 176, no. 4, 1997, pages 892 - 898, XP002711213, ISSN: 0022-1899*
MEOTTI, F.C.; MISSAU, F.C.; FERREIRA, J.; PIZZOLATTI, M.G.; MI- ZUZAKI, C.; NOGUEIRA, C.W.; SANTOS, A.R.S., BIOCHEM PHARMACOL, vol. 72, 2006, pages 1707 - 17134
MILLAN, M.J.; CZLONKOWSKI, A.; MORRIS, B.; STEIN, C.; ARENDT, R.; HUBER, A. ET AL., PAIN, vol. 35, 1988, pages 299 - 312
PETER HYCKEL ET AL: "The therapy of virus-associated epithelial tumors of the face and the lips in organ transplant recipients", MEDICAL MICROBIOLOGY AND IMMUNOLOGY, vol. 192, no. 3, August 2003 (2003-08-01), pages 171 - 176, XP055074902, ISSN: 0300-8584, DOI: 10.1007/s00430-003-0177-y*
SCHAFERS, M.; MARZINIAK, M.; SORKIN, L.S.; YAKSH, T.L.; SOMMER C., EXP NEUROL ., vol. 185, 2004, pages 160 - 168
STATON, P.C.; WILSON, A.W.; BOUNTRA, C.; CHESSELL, I.P.; DAY, N.C., EUR J PAIN, vol. 11, 2007, pages 283 - 289
TAKAHASHI M.; KAWAGUCHI, M.; SHIMADA, K.; KONISHI, N.; FURUYA H.; NAKASHIMA, T., NEUROSCI LETTS, vol. 356, 2004, pages 37 - 40
WHITESIDE, G.T.; ADEDOYIN, A.; LEVENTHAL, L., NEURO- PHARMACOLOGY, vol. 54, 2008, pages 767 - 775

Cited By (57)

* Cited by examiner, † Cited by third party
Publication numberPriority datePublication dateAssigneeTitle
US10676501B2 (en)2011-07-202020-06-09Brigham Young UniversityHydrogel materials incorporating eluting ceragenin compound
US9908908B2 (en)2012-08-302018-03-06Jiangsu Hansoh Pharmaceutical Co., Ltd.Tenofovir prodrug and pharmaceutical uses thereof
US10195215B2 (en)2013-01-072019-02-05Brigham Young UniversityMethods for reducing cellular proliferation and treating certain diseases
EP2970280A4 (en)*2013-03-152016-03-02Univ Brigham Young METHODS OF TREATING INFLAMMATION, AUTOIMMUNE DISORDERS AND PAIN
US11739116B2 (en)2013-03-152023-08-29Brigham Young UniversityMethods for treating inflammation, autoimmune disorders and pain
US10568893B2 (en)2013-03-152020-02-25Brigham Young UniversityMethods for treating inflammation, autoimmune disorders and pain
US11524015B2 (en)2013-03-152022-12-13Brigham Young UniversityMethods for treating inflammation, autoimmune disorders and pain
US11690855B2 (en)2013-10-172023-07-04Brigham Young UniversityMethods for treating lung infections and inflammation
US11286276B2 (en)2014-01-232022-03-29Brigham Young UniversityCationic steroidal antimicrobials
US10626139B2 (en)2014-02-272020-04-21Brigham Young UniversityCationic steroidal antimicrobial compounds
CN105518011A (en)*2014-04-212016-04-20四川海思科制药有限公司Method for preparing phosphoramidate derivative and intermediates thereof, and method for preparing intermediates
CN105531281A (en)*2014-04-212016-04-27四川海思科制药有限公司Method for preparing nucleoside analogue and intermediate thereof
CN105518011B (en)*2014-04-212018-07-27四川海思科制药有限公司 Preparation method of phosphoramidate derivatives and its intermediate and preparation method of intermediate
WO2015161781A1 (en)*2014-04-212015-10-29四川海思科制药有限公司Method for preparing nucleoside analogue and intermediate thereof
US10441595B2 (en)2014-06-262019-10-15Brigham Young UniversityMethods for treating fungal infections
US10238665B2 (en)2014-06-262019-03-26Brigham Young UniversityMethods for treating fungal infections
US10227376B2 (en)2014-08-222019-03-12Brigham Young UniversityRadiolabeled cationic steroid antimicrobials and diagnostic methods
US10155788B2 (en)2014-10-072018-12-18Brigham Young UniversityCationic steroidal antimicrobial prodrug compositions and uses thereof
US10370403B2 (en)2015-04-222019-08-06Brigham Young UniversityMethods for the synthesis of ceragenins
CN104849388A (en)*2015-05-272015-08-19湖北生物医药产业技术研究院有限公司Method for determining residual organic solvent content in arbidol hydrochloride crude drug
CN105367602A (en)*2015-11-262016-03-02中山大学Adefovir Dipivoxil-salicylic acid co-crystal, preparation method therefor and composition of Adefovir Dipivoxil-salicylic acid co-crystal
CN107849074A (en)*2016-01-192018-03-27四川海思科制药有限公司A kind of alkoxyalkyl ester prodrugs of nucleoside analog and its application
CN107011382A (en)*2016-01-282017-08-04单爱莲A kind of tenofovir prodrug and preparation method thereof
US11253634B2 (en)2016-03-112022-02-22Brigham Young UniversityCationic steroidal antibiotic compositions for the treatment of dermal tissue
CN106117295A (en)*2016-06-162016-11-16贵州医科大学Adefovirdipivoxil list sulfur is for L amino-acid ester list cholate derivant and preparation method thereof
US10449208B2 (en)*2016-08-252019-10-22Merck Sharp & Dohme Corp.Antiviral prodrugs of tenofovir
US10301287B2 (en)2016-08-312019-05-28Tobira Therapeutics, Inc.Solid forms of cenicriviroc mesylate and processes of making solid forms of cenicriviroc mesylate
WO2018045043A1 (en)*2016-08-312018-03-08Tobira Therapeutics, Inc.Solid forms of cenicriviroc mesylate and processes of making solid forms of cenicriviroc mesylate
US10959433B2 (en)2017-03-212021-03-30Brigham Young UniversityUse of cationic steroidal antimicrobials for sporicidal activity
WO2018190713A1 (en)*2017-04-122018-10-18Umc Utrecht Holding B.V.Inhibitors of lysine methyltransferase for treatment of pain
CN107266499A (en)*2017-06-052017-10-20珠海优润医药科技有限公司A kind of antiviral compound and preparation method thereof
CN107266499B (en)*2017-06-052019-07-02珠海优润医药科技有限公司A kind of antiviral compound and preparation method thereof
CN109420172B (en)*2017-08-302021-04-23新疆医科大学第一附属医院 Application of a kind of inhibitor in preparing medicine for treating cystic hydatid disease
CN109420172A (en)*2017-08-302019-03-05新疆医科大学第附属医院A kind of purposes of inhibitor in terms of cystic echinococcosis drug is treated in preparation
US11149284B2 (en)2017-09-262021-10-19Mgenplus Co., Ltd.Transgenic cloned piglet expressing human proinsulin and method of producing the same
US10624866B2 (en)2018-03-052020-04-21The Industry & Academic Cooperation In Chungnam National University (Iac)Composition for prevention or treatment of chronic pain comprising Evans blue
US12121530B2 (en)2018-05-112024-10-22Rhode Island HospitalComposition and methods for treating articulating joint disorders with nucleoside reverse transcriptase inhibitors
WO2019224754A1 (en)*2018-05-232019-11-28Mor Research Applications Ltd.Toll-like receptor 4 (tlr4) inhibitors and use thereof
US11925643B2 (en)2018-05-232024-03-12Mor Research Applications Ltd.Toll-like receptor 4 (TLR4) inhibitors and use thereof
CN109776354A (en)*2019-01-042019-05-21上海应用技术大学 A kind of dihydroxybenzoylhydrazone neuraminidase inhibitor and its preparation and application
US12186328B2 (en)2019-05-232025-01-07Brigham Young UniversityUse of CSA compounds to stimulate stem cells and hair growth
EP3871672A1 (en)*2020-02-272021-09-01The Procter & Gamble CompanyComfreyns, arylnaphthalene lignans that inhibit pro-inflammatory gene expression, andpharmaceutic composition comprising them
WO2021173741A1 (en)*2020-02-272021-09-02The Procter & Gamble CompanyComfreyns, arylnaphthalene lignans that inhibit pro-inflammatory gene expression, and pharmaceutic composition comprising them
WO2021223398A1 (en)*2020-05-072021-11-11西安新通药物研究股份有限公司Crystal form for treating liver disease and use thereof
CN113884611A (en)*2020-07-022022-01-04西安新通药物研究股份有限公司 Paratafovir mesylate related substances and their applications
CN114159450A (en)*2020-09-102022-03-11上海交通大学 Use of protopanaxadiols in the treatment of pain and addictive substance physical dependence, mental dependence and addiction
CN114159450B (en)*2020-09-102023-10-27上海交通大学Use of protopanaxadiol compounds for treating physical dependence, mental dependence and addiction of pain and addiction substances
KR102541582B1 (en)2020-10-292023-06-12가톨릭관동대학교산학협력단A pharmaceutical composition for preventing or treating of bone related disease and vascular calcification comprising 13-o-acetylphorbol
KR20220057401A (en)*2020-10-292022-05-09가톨릭관동대학교산학협력단A pharmaceutical composition for preventing or treating of bone related disease and vascular calcification comprising 13-o-acetylphorbol
US12441707B2 (en)2020-12-302025-10-14Tyra Biosciences, Inc.Indazole compounds
CN113648306A (en)*2021-08-162021-11-16西北工业大学 Application of bergamot in preventing or treating osteoporosis and/or bone loss
WO2023192361A1 (en)*2022-03-312023-10-05Incelldx, Inc.Methods of treating a subject for fibromyalgia and compositions for use in the same
CN114984002B (en)*2022-07-252023-11-17山西医科大学 Use of a compound of formula (I) in preparing analgesic drugs
CN114984002A (en)*2022-07-252022-09-02山西医科大学Application of compound of formula (I) in preparation of analgesic
CN116251091A (en)*2023-01-032023-06-13中国中医科学院中药研究所Pharmaceutical composition for preventing and/or treating neuropathic pain or complications
CN116217576A (en)*2023-03-082023-06-06四川大学Near infrared emission fluorescent molecule based on purine skeleton, and preparation method and application thereof
US12396981B2 (en)2023-03-092025-08-26William ShulmanMethods of using DMT

Also Published As

Publication numberPublication date
EP2846788A1 (en)2015-03-18
AU2013257951A1 (en)2015-01-22
JP2015520144A (en)2015-07-16

Similar Documents

PublicationPublication DateTitle
WO2013167743A1 (en)Use of compounds for the treatment of pain
AU2016244212B2 (en)Antiviral jak inhibitors useful in treating or preventing retroviral and other viral infections
US20240238323A1 (en)Modified nucleosides and nucleotides analogs as antiviral agents for corona and other viruses
US20150290235A1 (en)Use of small molecule inhibitors/activators in combination with (deoxy)nucleoside or (deoxy)nucleotide analogs for treatment of cancer and hematological malignancies or viral infections
US20090053168A1 (en)Treatments of b-cell proliferative disorders
US20100009934A1 (en)Beta adrenergic receptor agonists for the treatment of b-cell proliferative disorders
US20090047243A1 (en)Combinations for the treatment of b-cell proliferative disorders
AU2011328009A1 (en)Compounds and methods for treating pain
WO2017007712A1 (en)Use of trem-1 inhibitors for treatment, elimination and eradication of hiv-1 infection
KR100632520B1 (en) Combination Therapies to Treat Hepatitis B Virus
US10821111B2 (en)Antiviral JAK inhibitors useful in treating or preventing retroviral and other viral infections
OA12588A (en)DAPD combination therapy with inosine monophosphate dehydrogenase inhibitor.

Legal Events

DateCodeTitleDescription
121Ep: the epo has been informed by wipo that ep was designated in this application

Ref document number:13721770

Country of ref document:EP

Kind code of ref document:A1

ENPEntry into the national phase

Ref document number:2015510836

Country of ref document:JP

Kind code of ref document:A

NENPNon-entry into the national phase

Ref country code:DE

WWEWipo information: entry into national phase

Ref document number:2013721770

Country of ref document:EP

ENPEntry into the national phase

Ref document number:2013257951

Country of ref document:AU

Date of ref document:20130510

Kind code of ref document:A


[8]ページ先頭

©2009-2025 Movatter.jp