Movatterモバイル変換


[0]ホーム

URL:


WO2013154169A1 - Traffic management system for mobile body - Google Patents

Traffic management system for mobile body
Download PDF

Info

Publication number
WO2013154169A1
WO2013154169A1PCT/JP2013/060987JP2013060987WWO2013154169A1WO 2013154169 A1WO2013154169 A1WO 2013154169A1JP 2013060987 WJP2013060987 WJP 2013060987WWO 2013154169 A1WO2013154169 A1WO 2013154169A1
Authority
WO
WIPO (PCT)
Prior art keywords
probability
vehicle
link
management system
mobile
Prior art date
Application number
PCT/JP2013/060987
Other languages
French (fr)
Japanese (ja)
Inventor
幹雄 板東
川股 幸博
佑介 日永田
小倉 弘
田中 克明
Original Assignee
日立建機株式会社
Priority date (The priority date is an assumption and is not a legal conclusion. Google has not performed a legal analysis and makes no representation as to the accuracy of the date listed.)
Filing date
Publication date
Application filed by 日立建機株式会社filedCritical日立建機株式会社
Priority to JP2014510202ApriorityCriticalpatent/JP5890008B2/en
Publication of WO2013154169A1publicationCriticalpatent/WO2013154169A1/en

Links

Images

Classifications

Definitions

Landscapes

Abstract

This traffic management system for a plurality of vehicles travelling upon predetermined paths is provided with: a position transition probability calculation unit (107) which, on the basis of present and past position information and travelling condition information for the plurality of vehicles, performs processing for calculating, at predetermined periods, a probability that each vehicle will be present upon sublinks acquired by partitioning travel paths for the plurality of vehicles; and a collision position estimation unit (110) which, on the basis of the calculated probabilities, performs processing for calculating the probability that two vehicles will be present upon the same sublink at the same time. As a result, it is possible to suppress lowering of traffic efficiency for each mobile body.

Description

移動体の運行管理システムMobile operation control system
 本発明は、鉱山や建設現場で移動する建設機械等の移動体の運行管理システムに関する。The present invention relates to an operation management system of a mobile unit such as a construction machine moving at a mine or a construction site.
 鉱山や建設現場等を無人又は有人で移動する複数の移動体(例えば、ダンプトラック等の建設車両)の運行管理システムとしては、第1の通信方式によって、監視局と複数の車両間で少なくとも指示データを送受信する第1の送受信手段を監視局および複数の車両それぞれに設け、当該第1の通信方式よりも高速にデータを送受信可能の第2の通信方式によって、これら複数の車両相互間で、車両位置計測手段で計測された位置データを送受信する第2の送受信手段を複数の車両それぞれに設け、当該第2の送受信手段により、複数の車両相互間で位置データを送信させることにより、複数の車両それぞれにおいて、相互の位置関係を監視するものがある(特開平10-222227号公報)。The operation management system of a plurality of mobile bodies (for example, construction vehicles such as dump trucks) which move unmanned or manned in a mine or a construction site etc. at least instructed between the monitoring station and the plurality of vehicles by the first communication method Between the plurality of vehicles, a first communication means for transmitting and receiving data is provided in each of the monitoring station and the plurality of vehicles, and the second communication method capable of transmitting and receiving data faster than the first communication method A plurality of second transmitting and receiving means for transmitting and receiving the position data measured by the vehicle position measuring means are provided for each of the plurality of vehicles, and the second transmitting and receiving means transmit position data among the plurality of vehicles. There is one in which each vehicle monitors its positional relationship (Japanese Patent Application Laid-Open No. 10-222227).
 また、自己の車両位置を計測する計測手段と、当該計測手段により計測された自己の車両位置を示す位置情報を他の車両との間で無線通信方式により送受信する通信手段と、当該通信手段を介して受信した他の車両についての位置情報、当該位置情報を受信した時刻情報、および自己の車両についての位置情報に基づいて自己の車両と他の車両との干渉の可能性を予測する予測手段と、当該予測手段により干渉すると予測された場合に、当該他の車両との干渉を回避すべく予め設定された制御を実行する制御手段とを複数の車両それぞれに備えた車両の干渉防止装置がある(特開2000-339029号公報)。In addition, a measuring unit that measures the position of the vehicle, a communication unit that transmits and receives position information indicating the position of the vehicle measured by the measuring unit to and from another vehicle by wireless communication, and the communication unit Prediction means for predicting the possibility of interference between the own vehicle and another vehicle based on the location information of the other vehicle received via the time information of the time when the location information was received and the location information of the own vehicle And an interference prevention device for a vehicle provided with each of a plurality of vehicles, the control means performing control set in advance to avoid interference with the other vehicle when it is predicted that the prediction means interferes with the vehicle. (Japanese Unexamined Patent Publication No. 2000-339029).
 さらに、無人車両と有人車両が同一走行コースを同時に走行する場合の無人車両と有人車両との干渉回避及び効率的な運行を行なうフリート制御を実行する無人車両と有人車両混走時のフリート制御方法として、無人車両の走行位置と有人車両の走行位置とを比較し、無人車両が有人車両の前方を走行していて、かつ両車両間の距離が所定値以内のときは、有人車両のオペレータに無人車両の回避操作をさせる警告を発するか、あるいは、有人車両が無人車両の前方を走行していて、かつ両車両間の距離が所定値以内のときは、無人車両をエンジンの燃料噴射量制御、変速機制御及びブレーキ制御の少なくともいずれかによって速度制御するか、又は有人車両のオペレータに無人車両の回避操作をさせる警告を発するかの少なくともいずれかを行なうものがある(特開平9-231500号公報)。Furthermore, when the unmanned vehicle and the manned vehicle are mixed, the fleet control method is performed to execute the fleet control that performs interference avoidance and efficient operation between the unmanned vehicle and the manned vehicle when the unmanned vehicle and the manned vehicle travel simultaneously on the same traveling course. The operator compares the traveling position of the unmanned vehicle with the traveling position of the manned vehicle, and when the unmanned vehicle travels in front of the manned vehicle and the distance between both vehicles is within the predetermined value, the operator of the manned vehicle unmanned If a warning is issued to make the vehicle avoid operation or the manned vehicle is traveling in front of the unmanned vehicle and the distance between both vehicles is within a predetermined value, the unmanned vehicle is controlled by the fuel injection amount of the engine. At least speed control by transmission control and / or brake control, or emitting a warning for causing an operator of a manned vehicle to perform an avoidance operation of an unmanned vehicle There is to perform (JP-A-9-231500).
特開平10-222227号公報Japanese Patent Application Laid-Open No. 10-222227特開2000-339029号公報JP 2000-339029 A特開平9-231500号公報Unexamined-Japanese-Patent No. 9-231500 gazette
 ところで、実際の鉱山や建設現場では、各移動体は管制局等から行き先の指示は受けるが、移動速度の計画までは指示されないことがほとんどである。上記特開2000-339029号公報の技術では、車両同士の衝突を防止するために各車両の最大存在範囲を計算する際、実際の走行速度を検出する際の時間差や将来の加減速の予測が困難であることから、各車両の最大速度から最大存在範囲を計算する方法を採用している。By the way, in an actual mine or construction site, although each mobile body receives an instruction of a destination from a control station or the like, in most cases, it is not instructed until the traveling speed is planned. In the technology of the above-mentioned JP-A-2000-339029, when calculating the maximum existing range of each vehicle in order to prevent collisions between vehicles, the prediction of the time difference when detecting the actual traveling speed and the future acceleration / deceleration Since it is difficult, the method of calculating the maximum existing range from the maximum speed of each vehicle is adopted.
 しかし、この方法では、実際には衝突する可能性の非常に少ない車両についても車両存在範囲が重なれば衝突対象として検出されるため、設定が冗長となり運行効率が低下することがある。更に、当該方法では車両の存在範囲が重なった範囲で衝突が起こり得ることになるが、これではいつどこで衝突が起こるかを車両のドライバーが予測することが難しい。特に、車両の密度が高いエリアでは、必要以上に低速で運転することになり、運行効率がさらに落ちることになる。However, in this method, even a vehicle having a very low possibility of collision may be detected as a collision target if the vehicle existence range overlaps, so the setting may be redundant and the operation efficiency may be reduced. Furthermore, although the method may cause a collision in the overlapping range of vehicles, it is difficult for the driver of the vehicle to predict when and where the collision will occur. In particular, in an area where the density of vehicles is high, the vehicle will be driven at a lower speed than necessary, which will further reduce the operation efficiency.
 本発明の目的は、各移動体の運行効率の低下が抑制できる移動体の運行管理システムを提供することにある。An object of the present invention is to provide a mobile operation management system capable of suppressing a decrease in operation efficiency of each mobile.
 本発明は、上記目的を達成するために、所定の経路を走行する複数の移動体の運行管理システムにおいて、前記複数の移動体の現在及び過去の位置情報及び走行状態情報に基づいて、前記複数の移動体の走行経路における所定の位置に前記各移動体が存在する確率を所定の周期で算出する処理を実行する第1確率計算手段と、当該算出された確率に基づいて、前記複数の移動体における2つが前記走行経路における所定の位置に同時に存在する確率を算出する処理を実行する第2確率計算手段とを備えるものとする。According to the present invention, in order to achieve the above object, in the operation management system of a plurality of mobile units traveling on a predetermined route, the plurality of mobile units based on current and past position information and travel state information of the plurality of mobile units. A plurality of movements based on the calculated probability, a first probability calculating means for executing a process of calculating the probability that each moving body exists at a predetermined position on the traveling route of the moving body according to a predetermined cycle; A second probability calculation means is provided which executes a process of calculating the probability that two in the body simultaneously exist at a predetermined position on the traveling route.
 本発明によれば、衝突が発生する可能性のある場所が遷移確率に基づいて特定されるので、移動体の運行効率を向上できる。According to the present invention, the location where a collision may occur is identified based on the transition probability, so that the operating efficiency of the mobile can be improved.
本発明の第1の実施の形態に係る一の車両に搭載された運行管理装置の概略構成図。BRIEF DESCRIPTION OF THE DRAWINGS The schematic block diagram of the operation management apparatus mounted in the 1 vehicle which concerns on the 1st Embodiment of this invention.位置推定部105が実行する処理フローを示す図。The figure which shows the processing flow which theposition estimation part 105 performs.地図データベース104のデータ構造を示す図。FIG. 2 is a diagram showing a data structure of amap database 104.走行距離が短い場合の地図上自車位置の計算フローチャートを示す図。The figure which shows the calculation flowchart of the own vehicle position on the map in case driving distance is short.自車位置から地図上自車位置を算出する処理フローを示す図。The figure which shows the processing flow which calculates an own vehicle position on a map from an own vehicle position.自車位置と地図データの関係を示す概略図。Schematic which shows the relationship between an own vehicle position and map data.遷移確率記憶部108のデータ構造を示す図。FIG. 5 is a diagram showing a data structure of a transitionprobability storage unit 108.サブリンク候補テーブルの構造を示す図。The figure which shows the structure of a sub link candidate table.位置遷移確率計算部107が実行する処理フローを示す図。The figure which shows the processing flow which position transitionprobability calculation part 107 performs.走行状態記憶部106に記憶されている走行状態テーブルを示す図。FIG. 6 is a view showing a traveling state table stored in a travelingstate storage unit 106.衝突位置推定部110が実行する処理フローを示す図。The figure which shows the processing flow which the collisionposition estimation part 110 performs.衝突確率テーブルのデータ構造を示す図。The figure which shows the data structure of a collision probability table.他車両の遷移確率記憶部108から受信したサブリンク毎の遷移確率のデータ構造を示す図。FIG. 7 is a diagram showing a data structure of transition probabilities for each sublink received from the transitionprobability storage unit 108 of another vehicle.他車両と衝突可能性が高い位置を表示装置112に表示した第1の例を示す図。The figure which shows the 1st example which displayed the position where collision possibility with another vehicle is high on thedisplay apparatus 112. FIG.図14に示した画面を表示するために表示装置112が実行する処理フローを示す図。The figure which shows the processing flow which thedisplay apparatus 112 performs in order to display the screen shown in FIG.表示装置112に記憶された表示設定テーブルのデータ構造を示す図。FIG. 6 is a view showing a data structure of a display setting table stored in adisplay device 112.他車両と衝突可能性が高い位置を表示装置112に表示した第2の例を示す図。The figure which shows the 2nd example which displayed the position where collision possibility with other vehicles was high on thedisplay apparatus 112. FIG.図17に示した画面を表示するために表示装置112が実行する処理フローを示す図。FIG. 18 is a diagram showing a process flow executed by thedisplay device 112 to display the screen shown in FIG. 17;他車両と衝突可能性が高い位置を表示装置112に表示した第3の例を示す図。The figure which shows the 3rd example which displayed the position where collision possibility with another vehicle is high on thedisplay apparatus 112. FIG.図19に示した画面を表示するために表示装置112が実行する処理フローを示す図。FIG. 20 is a diagram showing a process flow executed by thedisplay device 112 to display the screen shown in FIG. 19;表示装置112に記憶された他の表示設定テーブルのデータ構造を示す図。FIG. 7 is a view showing the data structure of another display setting table stored in thedisplay device 112.本発明の第2の実施の形態に係る運行管理システムの概略構成図。The schematic block diagram of the operation management system which concerns on the 2nd Embodiment of this invention.第2の実施の形態に係る位置推定部105が実行する処理フローを示す図The figure which shows the processing flow whichposition estimating part 105 concerning a 2nd embodiment performs車両用地図データベース2204のデータ構造を示す図。The figure which shows the data structure of map database 2204 for vehicles.位置遷移確率計算部107で実行される処理フローを示す図。FIG. 7 is a diagram showing a process flow executed by a position transitionprobability calculation unit 107.
 以下、本発明の実施の形態について図面を用いて説明する。ここでは移動体の一例として複数のダンプトラック(以下、車両)の運行管理を行うシステムについて説明する。ダンプトラックは、予め定められた走行経路を複数回走行することが多く、有人及び無人のいずれの方法で運行されても良い。Hereinafter, embodiments of the present invention will be described using the drawings. Here, a system for managing the operation of a plurality of dump trucks (hereinafter, vehicles) will be described as an example of a moving object. The dump truck often travels a predetermined traveling path a plurality of times, and may be operated by either a manned or unmanned method.
 図1は本発明の第1の実施の形態に係る一の車両に搭載された運行管理装置の概略構成図である。ここでは、簡略のため、本実施の形態に係る運行管理システムに含まれる複数の車両うち一の車両に搭載される運行管理装置の構成について説明するが、他の車両についても同様の構成を備えているものとする。FIG. 1 is a schematic configuration diagram of an operation management apparatus mounted on one vehicle according to a first embodiment of the present invention. Here, for the sake of simplicity, the configuration of the operation management apparatus mounted on one of the plurality of vehicles included in the operation management system according to the present embodiment will be described, but the same configuration is applied to other vehicles. It shall be.
 図1に示す車両は、当該車両の位置を検出するための手段(位置検出手段)として、GPS衛星(Global Positioning System 衛星)からの信号を受信して当該車両の位置情報を計測するためのGPS受信機101と、当該車両の加速度や角速度などを計測するための慣性センサ102と、当該車両の速度を計測するための速度センサ103を備えている。また、運行管理対象である各車両の走行経路に係る地図データ(地図情報)が記憶された地図データベース(地図記憶手段)104と、位置検出手段101,102,103からの位置情報と地図データベース104の地図データに基づいて地図上での当該車両の位置(地図上位置)を推定する処理を実行する位置推定部(位置推定手段)105と、当該車両の現在及び過去(例えば、数ステップ分)における地図上位置、進行方位、速度、角速度及び加速度等を含む走行状態データ(走行状態情報)が時系列で記憶される(すなわち、走行状態データの履歴が記憶される)走行状態記憶部(走行状態記憶手段)106と、走行経路上の或る位置から或る位置まで当該車両が移動する確率(位置遷移確率(遷移確率))を計算する処理を実行する位置遷移確率計算部(第1確率計算手段)107と、位置遷移確率計算部107で計算された位置遷移確率を記憶する遷移確率記憶部108と、管制局及び他車両等と通信し、各種データ(例えば、他車両の位置データや走行状態データ等)の授受を行うための通信部(通信手段)109と、走行経路上の所定の位置で当該車両と他車両が同時に存在する確率(衝突確率)を遷移確率記憶部108の位置遷移確率に基づいて算出し、当該確率が設定値を超える領域を「他車両と衝突する位置」として推定する処理を実行する衝突位置推定部110と、当該衝突する位置および当該位置における確率が記憶される衝突確率記憶部(衝突確率記憶手段)111と、衝突位置推定部110で他車両と衝突する位置として計算された位置等を地図上に表示するための表示装置(表示手段)112と、衝突位置推定部110の計算結果に基づいて当該車両のステアリング,ブレーキ,アクセルなどに指令を出す車両制御部113を備えている。The vehicle shown in FIG. 1 receives a signal from a GPS satellite (Global Positioning System satellite) as a means (position detection means) for detecting the position of the vehicle, and measures the position information of the vehicle. Areceiver 101, aninertial sensor 102 for measuring the acceleration and angular velocity of the vehicle, and aspeed sensor 103 for measuring the velocity of the vehicle are provided. In addition, a map database (map storage means) 104 storing map data (map information) relating to a travel route of each vehicle which is an operation management target, position information from position detection means 101, 102, 103 andmap database 104 Position estimation unit (position estimation means) 105 that executes processing to estimate the position of the vehicle on the map (the position on the map) based on the map data of the present, the current and past of the vehicle (for example, several steps) Travel state storage unit (travel state data history is stored) in chronological order (that is, a history of travel state data is stored) travel state data (travel state information) including map position, travel direction, speed, angular velocity, acceleration, etc. State storage means) 106 and processing for calculating the probability (position transition probability (transition probability)) that the vehicle moves from a certain position on the traveling route to a certain position Communication with the control station and other vehicles, etc., and the position transition probability calculation unit (first probability calculation means) 107, the transitionprobability storage unit 108 for storing the position transition probability calculated by the position transitionprobability calculation unit 107, Communication unit (communication means) 109 for transmitting and receiving data (for example, position data of another vehicle, traveling state data, etc.) and probability that the vehicle and the other vehicle exist simultaneously at a predetermined position on the traveling route (collision Collisionposition estimation unit 110 which executes a process of calculating the probability (probability) based on the position transition probability of the transitionprobability storage unit 108 and estimating a region where the probability exceeds the set value as “a position where the vehicle collides with another vehicle”; A collision probability storage unit (collision probability storage unit) 111 in which the colliding position and the probability at the position are stored, and the position calculated as the colliding position by the collidingposition estimation unit 110 as a map, etc. Includes a display device (display means) 112 for displaying, the vehicle steering based on the calculation result of the collisionposition estimating unit 110, a brake, avehicle control unit 113 instructs the like to the accelerator to.
 なお、図1に示した構成をハードウェア的に説明すると、位置推定部105、位置遷移確率計算部107、衝突位置推定部108及び車両制御部113は、各種プログラムを実行するための演算処理装置(例えば、CPU)に該当する。また、地図データベース104、走行状態記憶部106及び遷移確率記憶部110は、プログラムをはじめ各種データを記憶するための記憶装置(例えば、ROM、RAMおよびフラッシュメモリ等の半導体メモリや、ハードディスクドライブ等の磁気記憶装置)に該当する。また、図1に示した位置推定部105、位置遷移確率計算部107、衝突位置推定部108及び車両制御部113は、それらの一部又は全部をハードウェアロジック(例えば集積回路)で構成しても良い。また、これらの各構成は、当該各構成の機能を実現するプログラムを演算処理装置が実行することにより実現されるソフトウェアで構成してもよい。Theposition estimation unit 105, the position transitionprobability calculation unit 107, the collisionposition estimation unit 108, and thevehicle control unit 113 are arithmetic processing units for executing various programs. (For example, CPU). In addition, themap database 104, the travelingstate storage unit 106, and the transitionprobability storage unit 110 are storage devices for storing programs and various data (for example, semiconductor memory such as ROM, RAM and flash memory, hard disk drive, etc. Magnetic storage device). Further, theposition estimation unit 105, the position transitionprobability calculation unit 107, the collisionposition estimation unit 108, and thevehicle control unit 113 shown in FIG. 1 are configured partially or entirely of hardware logic (for example, integrated circuits). Also good. Further, each of these configurations may be configured by software that is realized by execution of a program that implements the function of each of the configurations.
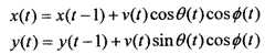
 位置推定部105は定期的に自車の現在位置を推定している。ここで位置推定部105による自車位置の推定方法を以下に示す。GPS受信機101、慣性センサ102および速度センサ103からは、それぞれのセンサの出力周期毎に情報が出力され、GPS受信機101からは位置、慣性センサ102からは角速度と加速度、速度センサ103からは速度の情報が出力され、位置推定部105に入力される。位置推定部105では、入力された各センサの情報と地図データベース104から地図上における車両の位置、進行方位、速度、角速度、加速度を算出する。Theposition estimation unit 105 periodically estimates the current position of the vehicle. Here, a method of estimating the vehicle position by theposition estimation unit 105 will be described below. Information is output from theGPS receiver 101, theinertial sensor 102, and thevelocity sensor 103 for each output cycle of each sensor, the position from theGPS receiver 101, the angular velocity and acceleration from theinertial sensor 102, and thevelocity sensor 103 Information on the velocity is output and input to theposition estimation unit 105. Theposition estimation unit 105 calculates the position, the traveling direction, the speed, the angular velocity, and the acceleration of the vehicle on the map from the input information of each sensor and themap database 104.
 図2は位置推定部105が実行する処理フローを示す図である。図2に示すように、位置推定部105は周期的に起動する(ステップ201)。ステップ202では、慣性センサ102および速度センサ103から得られる情報から、車両の進行方位θ、走行路勾配φ、速度v、加速度α、角速度ωを計算する。角速度ωは慣性センサ102のジャイロセンサから、速度vは速度センサ103からそれぞれ時々刻々得られ、進行方位θおよび加速度αは次式で求めることができる。各式におけるtはステップ数(位置推定部105の起動周期ごとに1ずつ増加する数(時系列番号))である。
Figure JPOXMLDOC01-appb-I000001
FIG. 2 is a diagram showing a process flow performed by theposition estimation unit 105. As shown in FIG. 2, theposition estimation unit 105 is periodically activated (step 201). Instep 202, from the information obtained from theinertial sensor 102 and thevelocity sensor 103, the heading direction θ of the vehicle, the traveling road gradient φ, the velocity v, the acceleration α, and the angular velocity ω are calculated. The angular velocity ω is obtained from the gyro sensor of theinertial sensor 102, and the velocity v is obtained from thevelocity sensor 103 every moment, and the traveling direction θ and the acceleration α can be obtained by the following equations. In each equation, t is the number of steps (a number (time-series number) increasing by one at each activation period of the position estimation unit 105).
Figure JPOXMLDOC01-appb-I000001
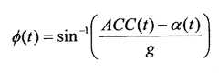
 また、走行路勾配φは上記で計算した加速度αと、慣性センサ102における車両前後方向の加速度センサの出力ACCとから、下記式により求めることができる。ただし、gは重力加速度である。
Figure JPOXMLDOC01-appb-I000002
The traveling road gradient φ can be obtained from the acceleration α calculated above and the output ACC of the acceleration sensor in the vehicle longitudinal direction of theinertial sensor 102 according to the following equation. However, g is gravity acceleration.
Figure JPOXMLDOC01-appb-I000002
 なお、車両に搭載する装置では、慣性センサ102や速度センサ103が存在しない場合が有る。この場合には下記の方法で角速度、加速度、速度を算出することで慣性センサ102や速度センサ103に代えても良い。In addition, in the apparatus mounted in a vehicle, theinertial sensor 102 and thespeed sensor 103 may not exist. In this case, theinertial sensor 102 or thevelocity sensor 103 may be replaced by calculating the angular velocity, acceleration, and velocity by the following method.
 慣性センサ102が存在しない場合には、角速度および加速度を以下の方法で算出し、慣性センサ102に代えることができる。まず、角速度の算出方法としては、GPS方位の差分をGPS取得周期で除した値を角速度とするものがある。また、加速度の算出方法としては、(1)GPS速度の差分をGPS取得周期で除した値を加速度とするもの、(2)速度センサの差分を速度センサの取得周期で除した値を加速度とするもの、(3)今回のGPS位置と1GPS取得周期分の前のGPS位置間の距離をGPS取得周期で除した値を速度とし、更に1周期前の速度との差分をGPS周期で除した値を加速度とするものがある。If theinertial sensor 102 does not exist, the angular velocity and the acceleration can be calculated by the following method, and theinertial sensor 102 can be substituted. First, as a method of calculating the angular velocity, there is a method in which a value obtained by dividing the difference between the GPS directions by the GPS acquisition cycle is used as the angular velocity. Further, as a method of calculating the acceleration, (1) a value obtained by dividing the difference of the GPS velocity by the GPS acquisition cycle is used as the acceleration, and (2) a value obtained by dividing the difference of the speed sensor by the acquisition cycle of the speed sensor is the acceleration (3) The speed obtained by dividing the distance between the current GPS position and the GPS position before one GPS acquisition cycle by the GPS acquisition cycle is the speed, and the difference between the speed and the speed one cycle earlier is divided by the GPS cycle There is a thing which makes a value an acceleration.
 また、速度センサが存在しない場合、速度を以下の方法で算出し、速度センサに代えることができる。速度の算出方法としては、(1)GPS速度を速度センサの代わりに入力するもの、(2)今回のGPS位置と1GPS取得周期分の前のGPS位置間の距離をGPS取得周期で除した値を速度とするもの、(3)加速度センサから得られた値を加速度と仮定し、積分することで速度を算出するものがある。なお、上記の方法以外でも、加速度、角速度、速度が算出可能であれば良い。In addition, when there is no velocity sensor, the velocity can be calculated by the following method and replaced with the velocity sensor. As a method of calculating the speed, (1) GPS speed is input instead of the speed sensor, (2) a value obtained by dividing the distance between the current GPS position and the GPS position one GPS acquisition cycle earlier by the GPS acquisition cycle (3) Assuming that the value obtained from the acceleration sensor is acceleration, the speed is calculated by integration. In addition to the above method, it is only necessary to calculate the acceleration, the angular velocity, and the velocity.
 ステップ202で計算された進行方位、速度、加速度、角速度は、当該起動周期(当該時系列番号)における車両の走行状態データとして走行状態記憶部106(図10参照)に保存され、ステップ203へ移行する。ステップ203では、GPS位置情報がGPS受信機101から出力されているかを判断する。GPS受信機101の出力周期の場合は、ステップ204へ移行する。GPS受信機101の出力周期で無い場合は、ステップ205へ移行する。The heading, speed, acceleration, and angular velocity calculated instep 202 are stored in the traveling state storage unit 106 (see FIG. 10) as traveling state data of the vehicle in the activation cycle (the time series number), and the process proceeds to step 203 Do. Instep 203, it is determined whether GPS position information is output from theGPS receiver 101. In the case of the output cycle of theGPS receiver 101, the process proceeds to step 204. If it is not the output cycle of theGPS receiver 101, the process proceeds to step 205.
 ステップ204では、ある位置を原点としたローカル座標系にGPS位置情報を変換し、自車位置として設定し、ステップ206へ移行する。Instep 204, GPS position information is converted to a local coordinate system having a certain position as the origin, and is set as the vehicle position, and the process proceeds to step 206.
 ステップ205では、GPS位置情報がセンサから出力されていないため、ローカル座標系におけるデッドレコニングによる位置推定結果を自車位置として設定し、ステップ206へ移行する。デッドレコニングによる位置推定はステップ202で算出された値を用いて次式に従って求めることができる。
Figure JPOXMLDOC01-appb-I000003
Instep 205, since the GPS position information is not output from the sensor, the position estimation result by dead reckoning in the local coordinate system is set as the vehicle position, and the process proceeds to step 206. The position estimation by dead reckoning can be obtained according to the following equation using the value calculated instep 202.
Figure JPOXMLDOC01-appb-I000003
 ステップ206では、自車位置周辺の地図データを地図データベース104から取得する。本実施の形態に係る地図データベース104には、地図データとして、各車両の走行経路(道路)を線状に規定し、当該線状の走行経路の形状を点(以下、「ノード」と称することがある)と線(以下、「リンク」と称することがある)で表わしたもの(トポロジカル地図データ)が記憶されている。各リンクは線状の走行経路を分割して得られる複数の線分であり、各ノードは各線分の端点となる。Instep 206, map data around the vehicle position is acquired from themap database 104. In themap database 104 according to the present embodiment, the travel route (road) of each vehicle is defined linearly as map data, and the shape of the linear travel route is referred to as a point (hereinafter referred to as “node” There are stored data (topological map data) represented by lines (hereinafter sometimes referred to as "links"). Each link is a plurality of line segments obtained by dividing a linear traveling route, and each node is an end point of each line segment.
 図3は地図データベース104のデータ構造を示す図である。この図に示すように、地図データベース104には、走行経路内に含まれるリンクを一意に表わすリンクID301と、リンクID301で表わされるリンクの始点座標を表わすリンク始点302と、リンクID301で表わされるリンクの終点座標を表わすリンク終点303と、リンク始点302が接続する他のリンクのIDを示す接続ID304と、リンク終点303が接続する他のリンクのIDを示す接続ID305と、リンクID301で表わされるリンクをさらに複数の範囲(サブリンク)に分割したサブリンクの数を表わすリンク分割数306と、リンクID301で表わされるリンクを分割したサブリンクのそれぞれを一意に表わすサブリンクID307と、リンク始点302からサブリンク始点までの距離308と、サブリンクID307で表されるサブリンクの始点座標を表わすサブリンク始点309と、その存在範囲であるサブリンク始点半径310と、サブリンクID307で表されるサブリンクの終点座標を表わすサブリンク終点311、その存在範囲であるサブリンク終点半径312が保存されている。なお、サブリンクID307はリンク始点302からリンク終点303の方向に順番に番号が振られているものとする。FIG. 3 is a view showing the data structure of themap database 104. As shown in FIG. As shown in this figure, in themap database 104, a link ID 301 uniquely representing a link included in the traveling route, a link start point 302 representing a start point coordinate of the link represented by the link ID 301, and a link represented by the link ID 301 The link end point 303 indicating the end point coordinates of the link ID, the connection ID 304 indicating the ID of another link connected by the link start point 302, the connection ID 305 indicating the ID of another link connected by the link end point 303, and the link represented by the link ID 301 From the link start point 302, the link division number 306 representing the number of sublinks obtained by further dividing the link into a plurality of ranges (sublinks), the sublink ID 307 uniquely representing each of the sublinks obtained by dividing the link represented by the link ID 301; The distance to the sub link start point 308 and the sub link represented by the sub link ID 307 Sub link start point 309 representing the start point coordinates of the link, the sub link start radius 310 that is the existence range thereof, the sub link end point 311 representing the end coordinates of the sub link represented by the sub link ID 307 The endpoint radius 312 is stored. The sub link ID 307 is assumed to be numbered in order from the link start point 302 to the link end point 303.
 ステップ206において、位置推定部105は、自車位置周辺の地図データとして、始点もしくは終点が自車位置からある範囲内に存在するリンクID301に紐付くデータを全て取得する。自車位置周辺の地図データを取得できればステップ207に移行する。Instep 206, theposition estimation unit 105 acquires all data linked to the link ID 301 whose start point or end point is within a certain range from the vehicle position, as map data around the vehicle position. If map data around the vehicle position can be acquired, the process proceeds to step 207.
 ステップ207では、自車両が走行する予定のルート(走行経路)を管制局に設置されたコンピュータと通信することで取得する。なお、走行経路は、管制局から出力されるものに代えて、自車で決定したものを利用しても良い。Instep 207, the route (traveling route) on which the vehicle is to travel is acquired by communicating with a computer installed in the control station. In addition, it may replace with what is output from a control station, and may use the driving | running route determined by the own vehicle.
 ここでは、自車両の走行する予定のルート(走行経路)を、地図データベース104内の各サブリンクに対して設定されるルートフラグ716(図7参照)の項目で規定しており、本実施の形態では各サブリンクに係るルートフラグは遷移確率記憶部108に記憶されている。ルートフラグ716としては、“ルート上”、“ルート外”及び“未設定”の3値があり、これらのいずれか1つが全てのサブリンクに対して設定される。例えば、フラグ値“未設定”は、ルートが設定されていない状態を示し、この場合は全てのサブリンクに対するルートフラグが“未設定”に設定される。一方で、ルートが設定されている場合は、全てのサブリンクに対するルートフラグルートが“ルート上”又は“ルート外”のいずれかに設定される。Here, the route (traveling route) on which the vehicle is to travel is defined by the item of the route flag 716 (see FIG. 7) set for each sublink in themap database 104, and the present embodiment In the embodiment, the route flag associated with each sublink is stored in the transitionprobability storage unit 108. Theroute flag 716 has three values of “on route”, “out of route” and “not set”, and any one of these is set for all sublinks. For example, the flag value "unset" indicates a state in which no route is set, and in this case, the route flags for all sublinks are set to "unset". On the other hand, when the route is set, the route flag route for all sublinks is set to either "on route" or "out of route".
 もし、ルートが設定されていない場合は、管制局へルートを問合わせ、ルートに係るリンクID列の送付を受ける。そして、遷移確率記憶部108において、管制局から送付された各リンクIDに含まれる全サブリンクに対してルートフラグを“ルート上”と設定し、それ以外のサブリンクを“ルート外”と設定する。If the route is not set, the route is asked to the control station, and the link ID string related to the route is sent. Then, in the transitionprobability storage unit 108, the route flag is set as "on route" for all sublinks included in each link ID sent from the control station, and the other sublinks are set as "outside routes". Do.
 一方、ルートが既に設定されている場合は、通信部109から管制局に対して自車両が走行する予定のルートの変更の有無を確認する。そして、ルートの変更が有る場合は、変更後の全リンクID列を取得し、送付された各リンクIDに含まれる全サブリンクに対してルートフラグを“ルート上”に、それ以外を“ルート外”として遷移確率記憶部108へ設定する。On the other hand, when the route is already set, thecommunication unit 109 confirms with the control station whether or not there is a change in the route on which the vehicle is to travel. Then, if there is a change in the route, acquire the all link ID string after the change, and set the route flag to “on the route” for all the sublinks included in each link ID sent, and “the other route” It is set in the transitionprobability storage unit 108 as “outside”.
 ステップ208では、位置推定部105は、走行状態記憶部106に1ステップ前の地図上自車位置が存在し、前回の地図上位置の計算した位置から走行距離が規定の値以下であるか否かを判断する。走行距離が規定の値以下である場合はステップ209へ移行する。走行距離が規定の値より大きい場合はステップ210へ移行する。Instep 208, theposition estimation unit 105 determines whether the own vehicle position on the map one step before is present in the travelingstate storage unit 106, and the traveling distance from the previously calculated position on the map is less than a prescribed value. To judge. If the travel distance is less than or equal to the specified value, the process proceeds to step 209. If the travel distance is larger than the specified value, the process proceeds to step 210.
 ステップ209では、1ステップ前の地図上自車位置からリンク上を速度分だけ進行した位置を地図上位置として設定し、ステップ211へ移行する。ステップ210では、自車位置から地図上自車位置を算出・設定し、ステップ211へ移行する。次にステップ209およびステップ210の地図上自車位置の算出方法を示す。Instep 209, the position which advanced on the link from the vehicle position on the map one step earlier by the speed is set as the map position, and the process proceeds to step 211. Instep 210, the vehicle position on the map is calculated and set from the vehicle position, and the process proceeds to step 211. Next, a method of calculating the vehicle position on the map insteps 209 and 210 will be described.
 地図上位置は、トポロジカル地図上のどこに自車位置が存在するかを表わすものであり、ステップ206で取得した自車位置周辺のトポロジカル地図に含まれるリンクID301、サブリンクID305、リンク始点302からの距離の3つの変数(linkID,slinkID,leng)によって一意に表わされる。入力はステップ204もしくはステップ205で設定されたローカル座標系の自車位置である。The position on the map represents where on the topological map the vehicle position exists, and from the link ID 301, sub link ID 305, and link start point 302 included in the topological map around the vehicle position acquired instep 206. It is uniquely represented by three variables of distance (linkID, slinkID, leng). The input is the vehicle position of the local coordinate system set instep 204 orstep 205.
 ステップ209の場合、走行状態記憶部106に1ステップ前の地図上自車位置(linkID(t-1),slinkID(t-1),leng(t-1))が存在するので、ステップ202で計算した速度v(t)から地図上位置を図4の処理フローに従って計算する。図4におけるステップ401では、1ステップ前の地図上自車位置(linkID(t-1),slinkID(t-1),leng(t-1))を走行状態記憶部106より取得し、今回の地図上自車位置(linkID(t),slinkID(t),leng(t))に設定し、ステップ402へ移行する。ステップ402では、ステップ202で取得した速度v(t)に位置推定部105の起動する周期を乗じて車両の進行距離を計算・設定し、ステップ403へ移行する。ステップ403ではlinkID(t)に対応するリンク終点の座標303を地図データから検索し、今回の地図上自車位置(linkID(t),slinkID(t),leng(t))からリンク終点303までの距離を計算する。計算したリンク終点303までの距離と、進行距離を比較し、進行距離が小さい場合はステップ404へ移行し、進行距離が大きい場合はステップ405へ移行する。ステップ404では、linkID(t)の終点から接続するリンクID305を検索し、linkID(t)を変更する。また、進行距離からステップ403で計算したリンク終点までの距離を減じた値を新しい進行距離として更新し、ステップ403へ戻る。ステップ405では、slinkID(t)に対応するサブリンクID307をステップ206で取得した地図データから検索し、そのサブリンク終点311までの長さを計算する。計算したサブリンク終点311までの長さと進行距離を比較し、進行距離よりも大きい場合はステップ406へ移行し、小さい場合はステップ407へ移行する。ステップ406では、slinkID(t)の次のサブリンクID307にslinkID(t)を変更する。また、進行距離からステップ405で計算したサブリンク終点までの距離を減じた値を新しい進行距離として更新し、ステップ405へ戻る。ステップ407では、進行距離をサブリンク始点からの距離legn(t)に設定し、ステップ211へ移行する。In the case ofstep 209, since the traveling vehicle position (link ID (t-1), slink ID (t-1), leng (t-1)) on the map one step before exists in the travelingstate storage unit 106, From the calculated velocity v (t), the position on the map is calculated according to the processing flow of FIG. Instep 401 in FIG. 4, the vehicle position on the map (link ID (t-1), slink ID (t-1), leng (t-1)) one step before is acquired from the travelingstate storage unit 106, and The position of the vehicle on the map (link ID (t), slink ID (t), leng (t)) is set, and the process proceeds to step 402. Instep 402, the traveling distance of the vehicle is calculated and set by multiplying the speed v (t) acquired instep 202 by the cycle activated by theposition estimation unit 105, and the process proceeds to step 403. Instep 403, the coordinates 303 of the link end point corresponding to the link ID (t) are searched from the map data, and from the current vehicle position on the map (link ID (t), slink ID (t), leng (t)) to the link end point 303 Calculate the distance of The calculated distance to the link end point 303 is compared with the traveling distance, and if the traveling distance is small, the process proceeds to step 404, and if the traveling distance is large, the process proceeds to step 405. Instep 404, the link ID 305 connected from the end point of the link ID (t) is searched, and the link ID (t) is changed. Also, a value obtained by subtracting the distance to the link end point calculated instep 403 from the traveling distance is updated as a new traveling distance, and the process returns to step 403. Instep 405, the sub link ID 307 corresponding to slink ID (t) is searched from the map data acquired instep 206, and the length up to the sub link end point 311 is calculated. The calculated length to the sub link end point 311 and the traveling distance are compared, and if it is larger than the traveling distance, the process proceeds to step 406, and if it is smaller, the process proceeds to step 407. Atstep 406, the slink ID (t) is changed to the sublink ID 307 next to slink ID (t). Also, a value obtained by subtracting the distance to the sublink end point calculated instep 405 from the traveling distance is updated as a new traveling distance, and the process returns to step 405. Instep 407, the travel distance is set to the distance legn (t) from the start point of the sublink, and the process proceeds to step 211.
 一方、ステップ210の場合、地図上自車位置をステップ204もしくはステップ205で設定された自車位置から計算することになる。図5は自車位置から地図上自車位置を算出する処理フローを示す図であり、図6は自車位置と地図データの関係を示す概略図である。On the other hand, in the case ofstep 210, the vehicle position on the map is calculated from the vehicle position set instep 204 orstep 205. FIG. 5 is a diagram showing a processing flow for calculating the vehicle position on the map from the vehicle position, and FIG. 6 is a schematic view showing the relationship between the vehicle position and the map data.
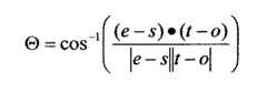
 図5におけるステップ501では、ステップ206で取得した自車位置周辺の地図データからリンクID301およびサブリンクID307を先頭から順番に選択し、ステップ502に移行する。ステップ502では、「選択したサブリンクID307から自車位置よりも後方かつ進行方位の延長線上にサブリンクの始点が存在するという事象u」が起こる確率P(u)を計算し、ステップ503へ移行する。ここで図6を用いて確率P(u)の計算方法について説明する。In step 501 in FIG. 5, link ID 301 and sublink ID 307 are selected in order from the top from the map data around the vehicle position acquired instep 206, and the process proceeds to step 502. In step 502, the probability P (u) of occurrence of “event u that the start point of the sublink exists behind the vehicle position from the selected sublink ID 307 and on the extension of the heading” is calculated, and the process proceeds to step 503 Do. Here, a method of calculating the probability P (u) will be described with reference to FIG.
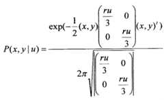
 まず、図6に示すように、自車位置601と、ステップ501で選択されたサブリンクID307に対応するサブリンク602と、サブリンク602の始点603と、サブリンク602の始点603の存在範囲604とを地図データから取得する。サブリンクの始点603は正規分布でその存在確率が規定され、存在範囲604は3σの位置とすると、サブリンクの始点603からある点(x,y)にサブリンクの始点603が存在する確率P(x、y|u)は下記のように計算できる。ただし、下記式におけるruは存在範囲604の値である。
Figure JPOXMLDOC01-appb-I000004
First, as shown in FIG. 6, theexistence range 604 of thevehicle position 601, thesublink 602 corresponding to the sublink ID 307 selected in step 501, thestart point 603 of thesublink 602, and thestart point 603 of thesublink 602. And from map data. Assuming that the sublink startpoint 603 has a normal distribution and its existence probability is defined, and the existingrange 604 is a position of 3σ, the probability P that the sublink startpoint 603 exists at a point (x, y) from the sublink start point 603 (x, y | u) can be calculated as follows. However, ru in the following formula is a value of the existingrange 604.
Figure JPOXMLDOC01-appb-I000004
 よって、サブリンクの始点603がステップ202で計算した進行方向の延長線605上に存在し、かつ自車位置よりも後方に存在する確率P(u)は下記の式で計算できる。ただし、下記式におけるxの積分範囲は、進行方向のx軸成分が正の場合には(-∞,自車位置のx座標)、負の場合には(自車位置のx座標,∞)となる。また、yの積分範囲は、進行方向のy軸成分が正の場合には(-∞,自車位置のy座標)、負の場合には(自車位置のy座標,∞)となる。
Figure JPOXMLDOC01-appb-I000005
Therefore, the probability P (u) that thestart point 603 of the sublink exists on theextension line 605 of the traveling direction calculated instep 202 and exists behind the vehicle position can be calculated by the following equation. However, the integral range of x in the following equation is (-∞, x coordinate of the vehicle position) if the x-axis component in the traveling direction is positive (x coordinate of the vehicle position, ∞) if negative It becomes. The integration range of y is (-と な る, y-coordinate of the vehicle position) when the y-axis component in the traveling direction is positive (y-coordinate of the vehicle position, ∞) when it is negative.
Figure JPOXMLDOC01-appb-I000005
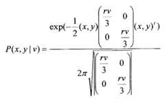
 次にステップ503では、「選択したサブリンクID307から自車位置よりも前方かつ進行方位の延長線上にサブリンクの始点が存在するという事象v」が起こる確率P(v)を計算し、ステップ504へ移行する。再び図6を用いて確率P(v)の計算方法について説明する。Next, in step 503, the probability P (v) that “an event v that the start point of the sublink exists from the selected sublink ID 307 ahead of the vehicle position and on the extension line of the traveling direction” is calculated. Transition to The method of calculating the probability P (v) will be described with reference to FIG. 6 again.
 図6に示すように、自車位置601と、ステップ501で選択されたサブリンクID307に対応するサブリンク602と、サブリンク602の終点607と、終点607の存在範囲606とを地図データから取得する。サブリンク602の終点607は正規分布でその存在確率が規定され、存在範囲606は3σの位置とすると、サブリンク602の終点607からある点(x、y)にサブリンク602の終点607が存在する確率P(x、y|v)は下記式により計算できる。ただし、下記式におけるrvは存在範囲606の値である。
Figure JPOXMLDOC01-appb-I000006
As shown in FIG. 6, thevehicle position 601, thesublink 602 corresponding to the sublink ID 307 selected in step 501, theend point 607 of thesublink 602, and the existingrange 606 of theend point 607 are acquired from map data. Do. Assuming that theend point 607 of thesublink 602 has a normal distribution and its existence probability is defined, and the existingrange 606 is a position of 3σ, theend point 607 of thesublink 602 exists at a point (x, y) from theend point 607 of thesublink 602 The probability P (x, y | v) to be calculated can be calculated by the following equation. However, rv in a following formula is a value ofexistence range 606.
Figure JPOXMLDOC01-appb-I000006
 よって、サブリンク602の終点607がステップ202で計算した進行方向の延長線605上に存在し、かつ自車位置よりも前方に存在する確率P(v)は下記の式で計算できる。ただし、下記式において、yは進行方位を傾きとしたxの一次関数として表わされ、xの積分範囲は、進行方向のx軸成分が正の場合には(自車位置のx座標,∞)、負の場合には(-∞,自車位置のx座標)となる。また、yの積分範囲は、進行方向のy軸成分が正の場合には(自車位置のy座標,∞)、負の場合には(-∞,自車位置のy座標)となる。
Figure JPOXMLDOC01-appb-I000007
Therefore, the probability P (v) that theend point 607 of thesublink 602 exists on theextension line 605 of the traveling direction calculated instep 202 and exists in front of the vehicle position can be calculated by the following equation. However, in the following equation, y is expressed as a linear function of x with the heading of the traveling direction being an inclination, and when the x-axis component of the heading is positive, the integral range of x is In the negative case, (-(, x coordinate of the vehicle position). Further, the integration range of y is (-, y-coordinate of the vehicle position) when the y-axis component of the traveling direction is positive (y-coordinate of the vehicle position, 負) and negative.
Figure JPOXMLDOC01-appb-I000007
 ステップ504では、自車位置が選択したサブリンク上に存在する確率P(u,v)を計算し、ステップ509へ移行する。P(u,v)は下記の式で計算できる。
Figure JPOXMLDOC01-appb-I000008
In step 504, the probability P (u, v) that the vehicle position exists on the selected sublink is calculated, and the process proceeds to step 509. P (u, v) can be calculated by the following equation.
Figure JPOXMLDOC01-appb-I000008
 ステップ505では、1ステップ前の地図上自車位置が存在するかどうかを判断し、存在しない場合はステップ506へ移行し、存在する場合はステップ507へ移行する。Instep 505, it is determined whether or not the vehicle position on the map one step before is present, and if it does not exist, the process proceeds to step 506, and if it exists, the process proceeds to step 507.
 ステップ506では、ステップ501で選択したサブリンクに地図上自車位置が存在する確率であるサブリンク候補確率P(L)としてP(u,v)を設定し、ステップ509へ移行する。Instep 506, P (u, v) is set as the sublink candidate probability P (L) which is the probability that the vehicle position on the map exists in the sublink selected in step 501, and the process proceeds to step 509.
 ステップ507では、遷移確率記憶部108から1ステップ前の地図上自車位置を取得後、対応する遷移確率を取得する。ここで、遷移確率とは、走行経路上における或る地点から或る地点へ自車が遷移する確率を示すものとし、本実施の形態では遷移元の或るサブリンクから遷移先の或るサブリンクへ地図上自車位置が遷移する確率としている。In step 507, after acquiring the vehicle position on the map one step before from the transitionprobability storage unit 108, the corresponding transition probability is acquired. Here, the transition probability indicates the probability that the vehicle will transition from a certain point to a certain point on the traveling route, and in the present embodiment, a certain sublink of a transition source from a certain sublink to a certain transition destination It is assumed that the vehicle position on the map changes to the link.
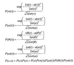
 図7は本実施の形態における遷移確率記憶部108のデータ構造を示す図である。図7において、遷移元リンクID701は1ステップ前の地図上自車位置のリンクIDであるlinked(t-1)に当たり、遷移元サブリンクID702は1ステップ前の地図上自車位置のサブリンクIDであるslinked(t-1)に当たる。遷移先サブリンク数703は、遷移元のサブリンクから地図上自車位置が遷移する可能性のあるサブリンク数が入力されている。なお、本実施の形態に係るサブリンク数は車両の最大速度に基づいて決定されている。遷移先リンクID704および遷移先サブリンクID705は、遷移元から地図上自車位置が遷移する可能性のあるリンクおよびサブリンクのIDが入力されている。遷移確率706には、「遷移元リンクID701および遷移元サブリンクID702により一意に決定されるサブリンクから、遷移先リンクID704および遷移先サブリンクID705で一意に決定されるサブリンクに、地図上自車位置が遷移するという事象s」が起こる確率(遷移確率)が入力されている。また、平均速度707、速度分散708、平均加速度709、加速度分散710、平均進行方位711、進行方位分散712、平均角速度713、角速度分散714は、事象sが起こった際に観測される各走行状態の平均値と分散値が入力されている。また、観測回数715は観測される走行状態の分散値および平均値(707~714)の母集団の数で0より大きな値が入力されている。FIG. 7 is a diagram showing a data structure of the transitionprobability storage unit 108 in the present embodiment. In FIG. 7, the transitionsource link ID 701 corresponds to linked (t-1) which is the link ID of the vehicle position on the map one step before, and the transition sourcesub link ID 702 is the sublink ID of the vehicle position on the map one step before It corresponds to slinked (t-1). As the number oftransition destination sublinks 703, the number of sublinks to which the vehicle position on the map may transition is input from the transition source sublink. The number of sublinks according to the present embodiment is determined based on the maximum speed of the vehicle. As the transitiondestination link ID 704 and the transition destinationsub link ID 705, IDs of links and sub links to which the vehicle position on the map may transition from the transition source are input. In thetransition probability 706, “from the sublink uniquely determined by the transitionsource link ID 701 and the transitionsource sublink ID 702, to the sublink uniquely determined by the transitiondestination link ID 704 and the transitiondestination sublink ID 705, The probability (transition probability) that the event "s" that the vehicle position changes occurs is input. Theaverage velocity 707, thevelocity dispersion 708, theaverage acceleration 709, theacceleration dispersion 710, theaverage traveling direction 711, the travelingdirection dispersion 712, the averageangular velocity 713, and theangular velocity dispersion 714 are each traveling conditions observed when the event s occurs. The mean and variance of are entered. In the number ofobservations 715, a value larger than 0 is input as the number of variances of the observed traveling state and the number of averages (707 to 714).
 ステップ507では、1ステップ前の地図上自車位置(linkID(t-1),slinkID(t-1),leng(t-1))を取得し、linkID(t-1)、slinkID(t-1)の組み合わせに対応する遷移元リンクID701、遷移元サブリンクID702を検索し、遷移元サブリンクID702に連なる遷移先リンクID704および遷移先サブリンクID705からステップ501で選択したリンクID301、サブリンクID307の組み合わせに対応する箇所を検索し、その遷移確率706および観測される走行状態の分散値および平均値(707~714)を取得し、ステップ202で計算された走行状態である事象oと事象sが同時に起こる観測時遷移確率P(s、o)を計算する。観測時遷移確率P(s、o)は下記式に基づいて計算される。ただし、下記式におけるa(*)、σ(*)は各走行状態の平均と分散である。
Figure JPOXMLDOC01-appb-I000009
In step 507, the vehicle position (linkID (t-1), slinkID (t-1), leng (t-1)) on the map one step before is acquired, linkID (t-1), slinkID (t-) Search the transitionsource link ID 701 and transition sourcesub link ID 702 corresponding to the combination of 1), link ID 301 selected in step 501 from transitiondestination link ID 704 and transition destinationsub link ID 705 connected to transition sourcesub link ID 702, sub link ID 307 Search for locations corresponding to the combinations of d and obtain thetransition probability 706 and the variance and average value (707 to 714) of the observed traveling state, and the events o and s that are the traveling states calculated instep 202 Calculate the observation transition probability P (s, o) at the same time. The observation transition probability P (s, o) is calculated based on the following equation. However, a (*) and σ (*) in the following formulas are the average and the variance of each traveling state.
Figure JPOXMLDOC01-appb-I000009
 ステップ508にて、ステップ501で選択したサブリンクに地図上自車位置が存在する確率(サブリンク候補確率)P(L)を計算する。P(L)は以下のように、確率P(s、o)と確率P(u、v)から求めることができる。
Figure JPOXMLDOC01-appb-I000010
Instep 508, the probability (sublink candidate probability) P (L) that the vehicle position on the map exists in the sublink selected in step 501 is calculated. P (L) can be obtained from the probability P (s, o) and the probability P (u, v) as follows.
Figure JPOXMLDOC01-appb-I000010
 ここで、W(L)はルートフラグ716による重みである。対象とするサブリンク候補が“ルート上”か“ルート外”かにより重みを設定する。“ルート外”のサブリンクに地図上自車位置が存在しないとする場合は、“ルート外”の重みに0を設定する。Here, W (L) is a weight by theroute flag 716. The weight is set depending on whether the target sublink candidate is "on route" or "out of route". If it is assumed that the vehicle position on the map does not exist in the “out of route” sublink, the weight of “out of route” is set to 0.
 ステップ509では、サブリンク候補テーブルの尤度にP(L)を設定する。図8はサブリンク候補テーブルの構造を示す図である。この図に示すように、サブリンク候補テーブルには、ステップ501で選択されたサブリンクの存在するリンクID801と、サブリンクID802と、各サブリンクIDに対応する尤度803が記憶される。In step 509, P (L) is set to the likelihood of the sub link candidate table. FIG. 8 shows the structure of the sub link candidate table. As shown in this figure, in the sub link candidate table, thelink ID 801 in which the sub link selected in step 501 exists, thesub link ID 802, and thelikelihood 803 corresponding to each sub link ID are stored.
 ステップ510では、ステップ206で取得した自車位置周辺のトポロジカル地図に含まれるサブリンクID305の全てが選択されたかを判断し、まだ選択していないサブリンクが存在している場合、ステップ501へ戻り、ステップ501からステップ510の処理を繰り返す。全てのサブリンクを選択し終えている場合は、ステップ511へ移行する。Instep 510, it is determined whether all the sublink IDs 305 included in the topological map around the vehicle position acquired instep 206 have been selected, and if there is a sublink that has not been selected yet, the process returns to step 501 , And the process ofstep 510 is repeated. If all sublinks have been selected, the process proceeds to step 511.
 ステップ511では、サブリンク候補テーブルから最も尤度の高いサブリンクIDを選び出し、当該サブリンクIDに基づいて決定した地図上自車位置を走行状態記憶部106に設定する。ここにおける地図上自車位置(linkID(t),slinkID(t),leng(t))におけるlinkID(t)およびslinkID(t)には、サブリンク候補テーブルの最大尤度となる行のリンクID801、サブリンクID802をそれぞれ設定すれば良い。また、サブリンク始点からの距離leng(t)としては、自車位置から決定したサブリンクへ下ろした垂線の足とサブリンク始点との距離を設定する。垂線が下ろせない場合は、サブリンク始点もしくはサブリンク終点で自車位置に近い方を設定する。In step 511, the sublink ID with the highest likelihood is selected from the sublink candidate table, and the position on the map vehicle determined based on the sublink ID is set in the travelingstate storage unit 106. The link ID (t) and slink ID (t) at the vehicle position (linkID (t), slinkID (t), leng (t)) on the map here are thelink ID 801 of the row that is the maximum likelihood of the sublink candidate table. Thesub link ID 802 may be set respectively. Also, as the distance leng (t) from the sublink start point, the distance between the foot of the perpendicular drawn to the sublink determined from the vehicle position and the sublink start point is set. If the perpendicular can not be lowered, the one closer to the vehicle position is set at the sublink start point or the sublink end point.
 上記のようにステップ209又はステップ210が終了したら、位置推定部105は、ステップ211において、地図上自車位置の設定が完了したメッセージを位置遷移確率計算部107へ送信して位置推定部105の処理を終了する。As described above, whenstep 209 or step 210 is completed, theposition estimation unit 105 transmits a message for which the setting of the vehicle position on the map is completed to the position transitionprobability calculation unit 107 instep 211 and theposition estimation unit 105 End the process.
 ここで図1に戻る。位置遷移確率計算部107は、位置推定部105の起動周期とは別の起動周期を持つ。位置遷移確率計算部107は、自車両の現在及び過去の位置情報及び走行状態情報に基づいて、自車両の走行経路における所定の位置(ここでは「サブリンク」)に自車両が将来存在する確率(遷移確率)を算出する処理を実行する部分である。Here, it returns to FIG. The position transitionprobability calculation unit 107 has a startup cycle different from the startup cycle of theposition estimation unit 105. The position transitionprobability calculation unit 107 is a probability that the own vehicle will exist in the future at a predetermined position (here, “sub link”) in the traveling route of the own vehicle based on the current and past positional information and the traveling state information of the own vehicle. It is a part that executes a process of calculating (transition probability).
 図9は位置遷移確率計算部107が実行する処理フローを示す図である。本実施の形態における位置遷移確率計算部107は、地図データベース104、走行状態記憶部106および遷移確率記憶部108に記憶されたデータに基づいて、地図上自車位置が或るサブリンクから別の或るサブリンクへ遷移する確率(遷移確率)を計算している。図9におけるステップ901では、位置遷移確率計算部107は、位置推定部105からの地図上自車位置設定完了のメッセージ(ステップ211)の受信を待ち、ステップ902に移行する。ステップ902では、位置推定部105から地図上自車位置設定完了のメッセージが送信されているか否かを判断し、メッセージが送信されていない場合、ステップ901に戻り、メッセージが送信されてくるまで待機する。メッセージが送信されている場合、ステップ903へ移行する。なお、位置遷移確率計算部107は起動周期以外では、位置推定部105からの位置計算完了のメッセージを無視するものとする。FIG. 9 is a diagram showing a process flow performed by the position transitionprobability calculation unit 107. As shown in FIG. The position transitionprobability calculation unit 107 in the present embodiment is based on the data stored in themap database 104, the travelingstate storage unit 106 and the transitionprobability storage unit 108, and the vehicle position on the map is different from one sublink to another. The probability of transition to a certain sublink (transition probability) is calculated. AtStep 901 in FIG. 9, the position transitionprobability calculation unit 107 waits for the reception of the message on the map of completion of setting of the vehicle position (Step 211) from theposition estimation unit 105, and proceeds to Step 902. Instep 902, it is determined whether the message of completion of setting the position of the vehicle on the map is transmitted from theposition estimation unit 105, and if the message is not transmitted, the process returns to step 901 and waits until the message is transmitted. Do. If a message has been sent, the process proceeds to step 903. The position transitionprobability calculation unit 107 ignores the message of the position calculation completion from theposition estimation unit 105 except for the activation cycle.
 ステップ903では、1ステップ前の地図上自車位置が存在するか否かを判断し、存在しない場合はステップ910へ移行する。存在する場合は、ステップ904へ移行する。Instep 903, it is determined whether the vehicle position on the map one step before is present, and if it does not exist, the process proceeds to step 910. If it exists, the process moves to step 904.
 ステップ904では、時系列順に記憶されている速度、加速度、進行方位、角速度および地図上自車位置(走行状態情報)を走行状態記憶部106から全て取得する。In step 904, the speed, acceleration, heading, angular velocity, and vehicle position on the map (traveling state information) stored in chronological order are all acquired from the travelingstate storage unit 106.
 図10は走行状態記憶部106に記憶されている走行状態テーブルを示す図である。遷移元と遷移先は時系列番号が隣り合っており、遷移元は時系列番号が小さい。図10では、遷移元が時系列番号iの地図上自車位置1001であり、遷移先が地図上自車位置1002となる。この時のサブリンクの組み合わせは、遷移元リンクID701:linkID(i)、遷移元サブリンクID702:slinkID(i)、遷移先リンクID704:linkID(i+1)、遷移先サブリンクID705:slinkID(i+1))となる。FIG. 10 is a diagram showing a traveling state table stored in the travelingstate storage unit 106. As shown in FIG. The transition source and the transition destination have adjacent time series numbers, and the transition source has a small time series number. In FIG. 10, the transition source is thevehicle position 1001 on the map with the time-series number i, and the transition destination is thevehicle position 1002 on the map. The combinations of sublinks at this time are: transition source link ID 701: linkID (i), transition source sublink ID 702: slinkID (i), transition destination link ID 704: linkID (i + 1), transition destination sublink ID 705: slinkID ( i + 1)).
 ステップ905では、ステップ904で得られた地図上自車位置から時系列順に遷移元のリンクおよびサブリンクと遷移先のリンクおよびサブリンクの組み合わせを選択する。ここでは、当該時系列順のデータにおける或るステップでの地図上自車位置を「遷移元」として設定し、当該遷移元よりも1ステップ後の地図上自車位置を「遷移先」として設定し、遷移するサブリンクの組み合わせを決定する。遷移先と遷移元は1方向の遷移であり、逆は等しくはならない。Instep 905, a combination of the link and sublink of the transition source and the link and sublink of the transition destination is selected in chronological order from the vehicle position on the map obtained in step 904. Here, the vehicle position on the map at a certain step in the data in chronological order is set as the “transition source”, and the vehicle position on the map one step after the transition source is set as the “transition destination” And determine the combination of sublinks to be transited. The transition destination and the transition source are transitions in one direction, and vice versa.
 ステップ906では、位置遷移確率計算部107は、1対のサブリンクの遷移する組み合わせから、速度、加速度、進行方位、角速度の平均値、分散値を更新する。ここにおける速度、加速度、進行方位、角速度の平均値、分散値の更新は、走行状態記憶部106から時系列で取得した第i番目の速度v(i)、加速度α(i)、進行方位θ(i)、角速度ω(i)と、遷移確率記憶部108から取得した平均速度707、速度分散708、平均加速度709、加速度分散710、平均進行方位711、進行方位分散712、平均角速度713、角速度分散714、観測回数715と、以下の式を利用する。ただし、下記式におけるa(*)、σ(*)は各走行状態の平均と分散であり、nは観測回数715である。
Figure JPOXMLDOC01-appb-I000011
Instep 906, the position transitionprobability calculation unit 107 updates the velocity, the acceleration, the heading, the average value of the angular velocity, and the dispersion value from the transition combination of the pair of sublinks. Here, the update of the velocity, acceleration, heading, average value of angular velocity, and variance is the i-th velocity v (i), acceleration α (i), heading α obtained from the travelingstate storage unit 106 in time series. (i) The angular velocity ω (i) and theaverage velocity 707 acquired from the transitionprobability storage unit 108, thevelocity dispersion 708, theaverage acceleration 709, theacceleration dispersion 710, theaverage traveling direction 711, the travelingdirection dispersion 712, the averageangular velocity 713, the angular velocity Thevariance 714, the number ofobservations 715, and the following equation are used. However, a (*) and σ (*) in the following formula are the average and variance of each traveling state, n is the number ofobservations 715.
Figure JPOXMLDOC01-appb-I000011
 更新した各値は、位置遷移確率計算部107に選択されたサブリンクの組み合わせに対応する各走行状態の平均、分散(707-714)および観測回数715を書きかえる。Each updated value rewrites the average, the variance (707-714), and the number ofobservations 715 of each traveling state corresponding to the combination of sublinks selected in the position transitionprobability calculation unit 107.
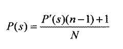
 ステップ907では、ステップ905で選択された遷移元と遷移先のリンクおよびサブリンクの組み合わせについて位置遷移確率P(s)を計算する。位置遷移確率P(s)は、下記式から計算される。ただし、下記式におけるP’(s)は遷移確率記憶部108に記録されている遷移確率706であり、nは観測回数715、Nは遷移先サブリンク数703である。
Figure JPOXMLDOC01-appb-I000012
Instep 907, the position transition probability P (s) is calculated for the combination of the transition source and transition destination link and sublink selected instep 905. The position transition probability P (s) is calculated from the following equation. However, P ′ (s) in the following equation is thetransition probability 706 recorded in the transitionprobability storage unit 108, n is the number of times ofobservation 715, and N is the number oftransition destination sublinks 703.
Figure JPOXMLDOC01-appb-I000012
 上記式によって計算された位置遷移確率P(s)は、ステップ905で遷移確率計算部107に選択されたサブリンクの組み合わせに対応する遷移確率706として設定・更新される。The position transition probability P (s) calculated by the above equation is set and updated as atransition probability 706 corresponding to the combination of sublinks selected by thetransition probability calculator 107 instep 905.
 ステップ908では、走行状態記憶部106に保存されている全ての時系列に係るサブリンクの組合せが選択済みであるか否かを判断する。全てのサブリンクの組合せ(時系列)が選択済みである場合、ステップ909に移行する。一方、まだ選択していない組合せ(時系列)が残っている場合にはステップ905に戻り、ステップ905からステップ908の処理を繰り返す。Instep 908, it is determined whether the combination of sublinks related to all time series stored in the travelingstate storage unit 106 has been selected. If all the sublink combinations (time series) have been selected, the process moves to step 909. On the other hand, if there remains a combination (time series) which has not been selected yet, the process returns to step 905, and the processing ofstep 905 to step 908 is repeated.
 ステップ909では、走行状態記憶部106に記憶されている情報を全て消去する。ステップ910では、遷移確率設定完了のメッセージを衝突位置計算部110に送信し、位置遷移確率計算部107の処理を終了する。Instep 909, all the information stored in the travelingstate storage unit 106 is erased. In step 910, a message of transition probability setting completion is transmitted to the collisionposition calculation unit 110, and the processing of the position transitionprobability calculation unit 107 is ended.
 図1に示した衝突位置推定部110は、位置遷移確率計算部107で算出された自車両の遷移確率に基づいて、自車両の走行経路における所定の位置(サブリンク)に自車両と他車両が同時に存在する確率(衝突確率)を算出する処理を実行する部分である。The collisionposition estimation unit 110 shown in FIG. 1 is based on the transition probability of the host vehicle calculated by the position transitionprobability calculation unit 107, to the host vehicle and the other vehicle at a predetermined position (sublink) in the travel route of the host vehicle. Is a part that executes processing to calculate the probability (collision probability) of simultaneously existing.
 図11は衝突位置推定部110が実行する処理フローを示す図である。この図に示すように、本実施の形態における衝突位置推定部110は、位置遷移確率計算部107からの遷移確率計算完了メッセージをトリガに起動し、他車両と衝突する確率をサブリンク毎で計算する処理を実行する。FIG. 11 is a diagram showing a processing flow performed by the collisionposition estimation unit 110. As shown in FIG. As shown in this figure, collisionposition estimation section 110 in the present embodiment is triggered by the transition probability calculation completion message from position transitionprobability calculation section 107 as a trigger, and calculates the probability of collision with another vehicle for each sublink. Execute the process to
 衝突位置推定部110は、まず、ステップ1101において、位置遷移確率計算部107からの遷移確率計算完了のメッセージの受信を待ち、ステップ1102に移行する。ステップ1102では、位置遷移確率計算部107から遷移確率計算完了のメッセージが送信されているかを判断し、メッセージが送信されていない場合、ステップ1101に戻り、メッセージが送信されてくるまで待機する。メッセージが送信されている場合、ステップ1103へ移行する。The collisionposition estimation unit 110 first waits for the reception of the transition probability calculation completion message from the position transitionprobability calculation unit 107 instep 1101, and proceeds to step 1102. Instep 1102, it is determined from the position transitionprobability calculation unit 107 whether or not the message of transition probability calculation completion is transmitted. If the message is not transmitted, the process returns to step 1101 and waits until the message is transmitted. If a message has been sent, the process proceeds to step 1103.
 ステップ1103では、衝突確率記憶部111に記憶された衝突確率テーブルを初期化する。図12は衝突確率テーブルのデータ構造を示す図である。この図に示すように、衝突確率テーブルには、自車両の遷移先サブリンクID705に対応する他車両毎の衝突確率1201が並び、自車両の遷移先サブリンクID705において衝突確率が最も高い車両IDとその衝突確率1202が抽出されている。なお、初期化時には衝突確率テーブルの全ての値が0に設定される。At step 1103, the collision probability table stored in the collisionprobability storage unit 111 is initialized. FIG. 12 shows the data structure of the collision probability table. As shown in this figure, in the collision probability table, thecollision probabilities 1201 for other vehicles corresponding to the transition destinationsub link ID 705 of the own vehicle are arranged, and the vehicle ID having the highest collision probability in the transition destinationsub link ID 705 of the own vehicle And itscollision probability 1202 are extracted. At the time of initialization, all the values in the collision probability table are set to zero.
 ステップ1104では、通信部109を介して、図1と同じ構成の他車両及び/又は管制局より他車両の地図上の位置(現在位置)を受信しつつ、さらに、他車両の遷移確率記憶部108から、他車両の現在位置に関連する遷移先リンクID、遷移先サブリンクID、および当該遷移先サブリンクIDに係る遷移確率を受信する。そして受信した他車両の位置及び遷移確率を衝突確率記憶部111に記憶する。ステップ1105では、ステップ1104で複数台の他車両から位置および遷移確率を受信している場合、後続する衝突確率算出処理(ステップ1107)の対象としてそのうちの1台を車両ID順に選ぶ。ステップ1104で位置および遷移確率を受信した他車両が一台の場合には当該車両を選択する。ステップ1106では、後続する衝突確率算出処理(ステップ1107)の対象として、自車両の遷移確率記憶部108に記憶された遷移先リンクID704と遷移先サブリンクID705の組み合わせの中から1つをデータの記録順に選択する。Instep 1104, while receiving the position (current position) of the other vehicle on the map from the other vehicle and / or the control station having the same configuration as FIG. 1 via thecommunication unit 109, the transition probability storage unit of the other vehicle From 108, the transition destination link ID related to the current position of the other vehicle, the transition destination sub link ID, and the transition probability related to the transition destination sub link ID are received. Then, the received other vehicle position and transition probability are stored in the collisionprobability storage unit 111. Instep 1105, when the position and transition probability are received from a plurality of other vehicles instep 1104, one of them is selected in order of vehicle ID as a target of the subsequent collision probability calculation process (step 1107). If there is one other vehicle that has received the position and transition probability instep 1104, the vehicle is selected. At Step 1106, one of the combinations of the transitiondestination link ID 704 and the transition destinationsub link ID 705 stored in the transitionprobability storage unit 108 of the own vehicle is selected as a target of the subsequent collision probability calculation process (Step 1107). Select in order of recording.
 ステップ1107では、自車両及びステップ1105で選択された他車両の遷移確率のうち、ステップ1106で選択された遷移先リンクID704及び遷移先サブリンクID705に係るものに基づいて、衝突確率を計算する。図13は他車両の遷移確率記憶部108から受信したサブリンク毎の遷移確率のデータ構造を示す図である。Instep 1107, the collision probability is calculated based on the transitiondestination link ID 704 and the transition destinationsub link ID 705 selected in step 1106 among the transition probabilities of the own vehicle and the other vehicle selected instep 1105. FIG. 13 is a view showing a data structure of transition probability for each sub link received from the transitionprobability storage unit 108 of another vehicle.
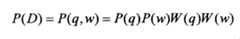
 ここで、ステップ1107における衝突確率の計算の一例について説明する。まず、ステップ1106で選択した遷移先サブリンクID705に係る自車両の遷移確率706を「自車両がそのサブリンク上に存在するという事象q」の確率P(q)として設定する。すなわち、地図上自車位置(自車両の現在位置)に係るlinkIDおよびslinkIDとIDが等しい遷移元リンクID701および遷移元サブリンクID702を抽出し、当該遷移元リンクID701および遷移元サブリンクID702から遷移する遷移先リンクID704および遷移先サブリンクID705の組合せの1つを自車両の遷移確率記憶部108から選び、その組合せに係る遷移確率706を確率P(q)として設定する。Here, an example of calculation of the collision probability instep 1107 will be described. First, thetransition probability 706 of the host vehicle related to the transitiondestination sublink ID 705 selected in step 1106 is set as the probability P (q) of the event q that the host vehicle is present on the sublink. That is, it extracts transitionsource link ID 701 and transition sourcesub link ID 702 in which the link ID and slink ID equal to the link ID and slink ID corresponding to the vehicle position on the map (current position of own vehicle) extract transitionsource link ID 701 and transition sourcesub link ID 702 One of the combinations of the transitiondestination link ID 704 and the transition destinationsub link ID 705 to be selected is selected from the transitionprobability storage unit 108 of the own vehicle, and thetransition probability 706 relating to the combination is set as the probability P (q).
 次に、ステップ1105で選択した他車両から受信したサブリンク毎の遷移確率のデータから、ステップ1106で選択した自車両の遷移先リンクID704および遷移先サブリンクID705と等しい遷移先リンクID1305および遷移先サブリンクID1306を検索する。そして、その検索した組み合わせに係る遷移確率1307を「ステップ1106で選択したサブリンク上に他車両が存在するという事象w」の確率P(w)として設定する。なお、検索したサブリンクIDが他車両の遷移確率のデータに存在しない場合には、P(w)には0を設定する。Next, from the transition probability data for each sublink received from the other vehicle selected instep 1105, transitiondestination link ID 1305 and transition destination equal to transitiondestination link ID 704 and transition destinationsub link ID 705 of the vehicle selected in step 1106 Searchsub link ID 1306. Then, thetransition probability 1307 relating to the retrieved combination is set as the probability P (w) of “an event w that another vehicle is present on the sublink selected in step 1106”. In addition, 0 is set to P (w), when the sublink ID which is searched for does not exist in the data of the transition probability of the other vehicle.
 ここでは、「他車両Dと衝突するという事象D」の起こる確率P(D)(衝突確率)は、自車両と他車両が同じサブリンク上に同時に存在する場合に起こるものとし、確率P(q)及びP(w)に基づいて下記式により計算できる。ただし、下記式におけるW(q),W(w)は、事象q,wそれぞれに対応するサブリンクが“ルート上”か否かによる重みを示す。ルート上のみを対象として確率を計算する場合は、“ルート外”の値を0と設定すれば良い。
Figure JPOXMLDOC01-appb-I000013
Here, the probability P (D) (collision probability) that “event D collides with another vehicle D” (collision probability) is assumed to occur when the host vehicle and the other vehicle exist simultaneously on the same sublink, and probability P (D Based on q) and P (w), it can be calculated by the following equation. However, W (q) and W (w) in the following equation indicate weights depending on whether or not the sublink corresponding to each of the events q and w is “on the route”. When calculating the probability for only on the route, the value of “out of route” may be set to 0.
Figure JPOXMLDOC01-appb-I000013
 ステップ1108では、ステップ1107で計算した衝突確率を衝突確率記憶部111の衝突確率テーブルに記憶する。衝突確率テーブルでは、ステップ1108で記憶した値が最大衝突確率1202(ステップ1106で選択した遷移先のリンク及びサブリンクの組合せに係る衝突確率を算出したもののうち最大のもの)よりも大きいかを常に監視し、最大衝突確率1202よりも大きい場合には、ステップ1108の値を新たな最大衝突確率として保存し、その衝突確率に係る車両IDも保存する。Instep 1108, the collision probability calculated instep 1107 is stored in the collision probability table of the collisionprobability storage unit 111. In the collision probability table, it is always determined whether the value stored instep 1108 is larger than the maximum collision probability 1202 (the largest among the calculated collision probabilities for the combination of the link and sub link of the transition destination selected in step 1106). Monitoring is performed, and if larger than themaximum collision probability 1202, the value ofstep 1108 is stored as a new maximum collision probability, and the vehicle ID related to the collision probability is also stored.
 ステップ1109では、自車両の遷移確率記憶部108における全ての遷移先リンクと遷移先サブリンクの組み合わせが選択されたか否かを判断し、残りが有ればステップ1106へ戻り、ステップ1106からステップ1109の処理を繰り返す。全ての組み合わせが選択された場合、ステップ1110へ移行する。Instep 1109, it is determined whether or not all combinations of transition destination links and transition destination sublinks in the transitionprobability storage unit 108 of the host vehicle have been selected. If there is a remainder, the process returns to step 1106 and steps 1106 to 1109 Repeat the process of If all combinations have been selected, the process proceeds to step 1110.
 ステップ1110では、ステップ1104で受信した全ての他車両について衝突確率を計算したかを判断する。ここで残りの車両が有れば、ステップ1105へ戻り、ステップ1105からステップ1110までの処理を繰り返す。一方、全ての他車両が選択済みの場合には、ステップ1111へ移行する。Instep 1110, it is determined whether the collision probability has been calculated for all the other vehicles received instep 1104. Here, if there are remaining vehicles, the process returns to step 1105, and the processing fromstep 1105 to step 1110 is repeated. On the other hand, if all the other vehicles have been selected, the process proceeds to step 1111.
 ステップ1111では、衝突確率テーブル設定完了のメッセージを表示装置112へ送信し、衝突位置推定部110の処理を終了する。Instep 1111, a message of collision probability table setting completion is transmitted to thedisplay device 112, and the processing of the collisionposition estimation unit 110 ends.
 表示装置112では、衝突確率テーブル設定完了メッセージを受信すると、衝突の可能性が有る位置を画面に表示し、車両のドライバーへ通知する。次に、自車両の走行経路上において他車両と衝突可能性が高い位置の表示装置112における表示方法を示す。When thedisplay device 112 receives the collision probability table setting completion message, thedisplay device 112 displays the position where there is a possibility of collision on the screen, and notifies the driver of the vehicle. Next, a display method on thedisplay device 112 at a position where the possibility of collision with another vehicle on the traveling route of the own vehicle is high will be described.
 図14は他車両と衝突可能性が高い位置を表示装置112に表示した第1の例を示す図である。ここでは、表示装置112に表示される全てのトポロジカル地図をサブリンク毎に分け、各サブリンクを衝突確率によって色分け表示する例を示す。図14の画面内には、自車両及び他車両の走行経路の一部がリンク1403、リンク端点1402、サブリンク1404によって表示されており、当該走行経路上には自車位置1401が表示されている。画面上に含まれるサブリンク1404は、衝突確率の大きさに応じて色分けされている。FIG. 14 is a diagram showing a first example in which the position where collision possibility with another vehicle is high is displayed on thedisplay device 112. As shown in FIG. Here, an example is shown in which all topological maps displayed on thedisplay device 112 are divided for each sublink, and each sublink is color-coded and displayed according to the collision probability. In the screen of FIG. 14, a part of the traveling route of the own vehicle and the other vehicle is displayed by thelink 1403, thelink end point 1402 and thesub link 1404, and theown vehicle position 1401 is displayed on the traveling route. There is. Thesublinks 1404 included on the screen are color-coded according to the magnitude of the collision probability.
 図15は図14に示した画面を表示するために表示装置112が実行する処理フローを示す図である。この図に示すように、表示装置112は、まず、衝突位置推定部110からの衝突確率テーブル設定完了のメッセージの受信を待ち(ステップ1501)、衝突位置推定部110から衝突確率テーブル設定完了のメッセージが送信されているかを判断する(ステップ1502)。メッセージが送信されていない場合には、ステップ1501に戻り、メッセージが送信されてくるまで待機する。メッセージが送信されている場合、ステップ1503へ移行する。FIG. 15 is a diagram showing a process flow executed by thedisplay device 112 to display the screen shown in FIG. As shown in this figure, thedisplay device 112 first waits for the reception of the message of the collision probability table setting completion from the collision position estimation unit 110 (step 1501), and the message of the collision probability table setting completion from the collisionposition estimation unit 110. Is determined (step 1502). If a message has not been sent, the process returns to step 1501 and waits for a message to be sent. If a message has been sent, the process proceeds to step 1503.
 ステップ1503では、画面の表示範囲に含まれるリンクIDおよびサブリンクIDの組合せを地図データベース104から全て取得する。ステップ1504では、ステップ1503で取得したリンクIDおよびサブリンクIDの組合せを取得順に選択する。ステップ1505では、ステップ1504で選択したリンクIDおよびサブリンクIDの組合せを衝突確率記憶部(衝突確率テーブル)111で検索する。そして、対象とするリンクIDおよびサブリンクIDの組合せが衝突確率記憶部(衝突確率テーブル)111に存在する場合は、その組合せに係る最大衝突確率1202を取得する。Atstep 1503, all combinations of link ID and sub link ID included in the display range of the screen are acquired from themap database 104. In step 1504, the combination of the link ID and sub link ID acquired instep 1503 is selected in order of acquisition. In step 1505, the combination of link ID and sub link ID selected in step 1504 is searched in the collision probability storage unit (collision probability table) 111. Then, when the combination of the target link ID and the sub link ID exists in the collision probability storage unit (collision probability table) 111, themaximum collision probability 1202 related to the combination is acquired.
 図16は表示装置112に記憶された表示設定テーブルのデータ構造を示す図である。この図に示すように表示設定テーブルには、衝突確率Pと表示色との関係が1対1の関係で予め設定されている。この図の例では、衝突確率Pが0.3(設定値)を超える領域について、当該設定値0.3との偏差の大きさに応じて表示色が設定されており、表示色に基づいて衝突確率Pの大きさが判別可能になっている。なお、図16中の「表示設定」(表示色)に係るセルには有彩色の名称(赤、黄、緑)が入力されているが、ここではグレースケールで表示するものとし、赤、黄、緑の順で黒が薄くなっている。表示設定テーブルの衝突確率1601は1段階より多く分けることが好ましく、表示設定は色以外にもマークや特定の色の濃淡等で分けても良い。また、ここでは衝突確率Pが0.3を超える領域について色等を付して表示するものとしたが、これに代えて衝突確率Pが0.3以上の領域について色等を付して表示しても良い。さらに、ここでは設定値を0.3としたが、その他の値を設定値としても良いことは言うまでも無い。FIG. 16 is a view showing a data structure of a display setting table stored in thedisplay device 112. As shown in FIG. As shown in this figure, in the display setting table, the relationship between the collision probability P and the display color is preset in a one-to-one relationship. In the example of this figure, in the area where the collision probability P exceeds 0.3 (the set value), the display color is set according to the magnitude of the deviation from the set value 0.3, and based on the display color The magnitude of the collision probability P can be determined. In addition, although the name (red, yellow, green) of a chromatic color is input into the cell concerning "display setting" (display color) in FIG. 16, it shall be displayed by gray scale here, and red, yellow shall be displayed. Black is thinner in the order of green. Thecollision probability 1601 of the display setting table is preferably divided into more than one step, and the display setting may be divided by a mark or a shade of a specific color other than the color. Furthermore, here, the area where the collision probability P exceeds 0.3 is displayed with a color etc., but instead, the area with a collision probability P 0.3 or more is displayed with a color etc. You may. Furthermore, although the setting value is 0.3 here, it goes without saying that other values may be used as the setting value.
 ステップ1506では、ステップ1505で取得した衝突確率(最大衝突確率1202)の大きさに対応する色を図16の表示設定テーブルを参照して決定する。これにより衝突確率Pが設定値(0.3)を超えるリンクID及びサブリンクIDの組合せ(サブリンク)が特定される。ステップ1507では、ステップ1504で選択したリンクID及びサブリンクIDの組合せに対応する場所(サブリンク)を、ステップ1506で決定した表示設定に従って画面に表示する。Instep 1506, the color corresponding to the magnitude of the collision probability (maximum collision probability 1202) acquired in step 1505 is determined with reference to the display setting table of FIG. As a result, the combination (sublink) of the link ID and sublink ID whose collision probability P exceeds the set value (0.3) is specified. Instep 1507, the location (sublink) corresponding to the combination of the link ID and sublink ID selected in step 1504 is displayed on the screen according to the display setting determined instep 1506.
 ステップ1508では、ステップ1503で取得した全ての表示対象のリンクIDおよびサブリンクIDの組合せが選択されたか否か(すなわち、表示されたか否か)を判断する。ここで残りが有る場合はステップ1504へ戻り、ステップ1504からステップ1508の処理を繰り返す。一方、全ての表示対象のリンクIDおよびサブリンクIDの組合せが選択されている場合には、ステップ1509へ移行する。ステップ1509では、表示画面において、地図上自車位置に対応する場所に自車位置を表示し、表示装置112の処理を終了する。Atstep 1508, it is determined whether or not the combination of all the display target link IDs and sub link IDs acquired atstep 1503 has been selected (ie, whether it has been displayed). Here, if there is a remainder, the process returns to step 1504 and repeats the processing from step 1504 to step 1508. On the other hand, if the combination of all the display target link IDs and sub link IDs is selected, the process moves to step 1509. Instep 1509, the position of the vehicle is displayed at a location corresponding to the position of the vehicle on the map on the display screen, and the process of thedisplay device 112 is ended.
 図17は他車両と衝突可能性が高い位置を表示装置112に表示した第2の例を示す図である。この図に示した例では、特定の他車両との衝突確率を表示している。図17の画面内には、自車の現在位置1701と、他車の現在位置1702と、リンク1703と、衝突可能性の高さごとに色分けされたサブリンク1704が表示されている。FIG. 17 is a view showing a second example in which the position where collision possibility with another vehicle is high is displayed on thedisplay device 112. As shown in FIG. In the example shown in this figure, the collision probability with a specific other vehicle is displayed. In the screen of FIG. 17, acurrent position 1701 of the vehicle, acurrent position 1702 of another vehicle, alink 1703, and asub link 1704 color-coded according to the height of the collision possibility are displayed.
 図18は図17に示した画面を表示するために表示装置112が実行する処理フローを示す図である。この図に示すように、表示装置112は、まず、衝突位置推定部110からの衝突確率テーブル設定完了のメッセージの受信を待ち(ステップ1801)、衝突位置推定部110から衝突確率テーブル設定完了のメッセージが送信されているかを判断する(ステップ1802)。メッセージが送信されていない場合には、ステップ1801に戻り、メッセージが送信されてくるまで待機する。メッセージが送信されている場合には、ステップ1803へ移行する。FIG. 18 is a diagram showing a process flow executed by thedisplay device 112 to display the screen shown in FIG. As shown in this figure, thedisplay device 112 first waits for the reception of the message of the collision probability table setting completion from the collision position estimation unit 110 (step 1801), and the message of the collision probability table setting completion from the collisionposition estimation unit 110. Is determined (step 1802). If a message has not been sent, the process returns to step 1801 and waits for a message to be sent. If a message has been sent, the process moves to step 1803.
 ステップ1803では、画面の表示範囲に含まれるリンクIDおよびサブリンクIDの組合せを地図データベース104から全て取得する。ステップ1804では、画面上に衝突確率を表示する他車両をそのIDに基づいて選択する。ここでの他車両の選択は、自車両内に設置された入力装置を介したドライバーの入力操作に基づいて行っても良いし、管制局からの入力に基づいて行っても良いし、予め設定(例えば、自車両に最も近い他車両を選択する)しておいても良い。ステップ1805では、ステップ1803で取得したリンクIDおよびサブリンクIDの組合せを取得順に選択する。ステップ1806では、ステップ1805で選択したリンクIDおよびサブリンクIDの組合せを衝突確率記憶部(衝突確率テーブル)111で検索する。そして、対象とするリンクIDおよびサブリンクIDの組合せが衝突確率記憶部(衝突確率テーブル)111に存在する場合は、その組合せに係る最大衝突確率1202を取得する。In step 1803, all combinations of link IDs and sub link IDs included in the display range of the screen are acquired from themap database 104. Instep 1804, another vehicle whose collision probability is displayed on the screen is selected based on the ID. The selection of the other vehicle here may be performed based on the input operation of the driver via the input device installed in the host vehicle, may be performed based on the input from the control station, or may be set in advance. (For example, another vehicle closest to the host vehicle may be selected). In step 1805, the combination of the link ID and sub link ID acquired in step 1803 is selected in order of acquisition. In step 1806, the combination of link ID and sub link ID selected in step 1805 is searched in the collision probability storage unit (collision probability table) 111. Then, when the combination of the target link ID and the sub link ID exists in the collision probability storage unit (collision probability table) 111, themaximum collision probability 1202 related to the combination is acquired.
 ステップ1807では、ステップ1806で取得した衝突確率(最大衝突確率1202)の大きさに対応する色を図16の表示設定テーブルを参照して決定する。ステップ1808では、ステップ1805で選択したリンクID及びサブリンクIDの組合せに対応する場所(サブリンク)を、ステップ1807で決定した表示設定に従って画面に表示する。At step 1807, a color corresponding to the magnitude of the collision probability (maximum collision probability 1202) acquired at step 1806 is determined with reference to the display setting table of FIG. Instep 1808, the location (sublink) corresponding to the combination of the link ID and sublink ID selected in step 1805 is displayed on the screen according to the display setting determined in step 1807.
 ステップ1809では、ステップ1803で取得した全ての表示対象のリンクIDおよびサブリンクIDの組合せが選択されたか否か(すなわち、表示されたか否か)を判断する。ここで残りが有る場合には、ステップ1805へ戻り、ステップ1805からステップ1809の処理を繰り返す。一方、全ての表示対象のリンクIDおよびサブリンクIDの組合せが選択されている場合には、ステップ1810へ移行する。ステップ1810では、表示画面において、地図上自車位置に対応する場所に自車位置および他車両位置を表示し、表示装置112の処理を終了する。なお、他車両の位置は、ステップ1804で選択した他車両のIDに対応する位置を衝突確率記憶部(衝突確率テーブル)111における他車両の位置より取得すればよい。Instep 1809, it is determined whether or not the combination of all the display target link IDs and sub link IDs acquired in step 1803 has been selected (that is, whether or not it has been displayed). Here, if there is a remainder, the process returns to step 1805 and repeats the processing from step 1805 to step 1809. On the other hand, if the combination of all the display target link IDs and sub link IDs is selected, the process proceeds to step 1810. In step 1810, the position of the vehicle and the position of the other vehicle are displayed on the display screen at a location corresponding to the position of the vehicle on the map, and the processing of thedisplay device 112 is ended. The position of the other vehicle may be acquired from the position of the other vehicle in the collision probability storage unit (collision probability table) 111, which corresponds to the ID of the other vehicle selected instep 1804.
 図19は他車両と衝突可能性が高い位置を表示装置112に表示した第3の例を示す図である。この図に示した例では、特定の他車両との衝突確率が最も高い場所をピンポイントで表示し、さらに、その場所に特定の他車両がどの方向から近づくか(進入方向)を表示している。図19の画面内には、自車位置1901と、他車位置1902と、当該他車両との衝突確率が最大となる位置に付される衝突マーク1903と、衝突マーク1903が付される位置への他車両の進入方向を示すマーク1904が表示されている。FIG. 19 is a diagram showing a third example in which the position where collision possibility with another vehicle is high is displayed on thedisplay device 112. In the example shown in this figure, the place where the collision probability with a specific other vehicle is the highest is displayed with a pinpoint, and it is further displayed from which direction the specific other vehicle approaches that place (the approach direction) There is. In the screen of FIG. 19, to the position where thecollision mark 1903 and thecollision mark 1903 are attached to theown vehicle position 1901, theother vehicle position 1902, the position where the collision probability with the other vehicle concerned is maximum. Amark 1904 indicating the approach direction of the other vehicle is displayed.
 図20は図19に示した画面を表示するために表示装置112が実行する処理フローを示す図である。この図に示すように、表示装置112は、まず、衝突位置推定部110からの衝突確率テーブル設定完了のメッセージの受信を待ち(ステップ2001)、衝突位置推定部110から衝突確率テーブル設定完了のメッセージが送信されているかを判断する(ステップ2002)。メッセージが送信されていない場合には、ステップ2001に戻り、メッセージが送信されてくるまで待機する。一方、メッセージが送信されている場合には、ステップ2003へ移行する。FIG. 20 is a diagram showing a process flow executed by thedisplay device 112 to display the screen shown in FIG. As shown in this figure, thedisplay device 112 first waits for reception of a message of completion of setting the collision probability table from the collision position estimation unit 110 (step 2001), and a message of completion of setting the collision probability table from the collisionposition estimation unit 110. Is determined (step 2002). If the message has not been sent, the process returns to step 2001 and waits for the message to be sent. On the other hand, when the message is transmitted, the process proceeds to step 2003.
 ステップ2003では、画面の表示範囲に含まれるリンクIDおよびサブリンクIDの組合せを地図データベース104から全て取得する。ステップ2004では、ステップ1804と同様に、画面上に衝突確率を表示する他車両をそのIDに基づいて選択する。ステップ2005では、ステップ2003で取得したリンクIDおよびサブリンクIDの組合せの中からステップ2004で選択した他車両と最も衝突する確率の高いものを衝突確率記憶部(衝突確率テーブル)111から取得する。ステップ2006では、ステップ2005で選択したリンクIDおよびサブリンクIDの組合せに係るサブリンクに衝突マーク1903を表示する。これにより衝突マーク1903を表示したサブリンクが他のサブリンクと判別可能になる。他車両と最も衝突する確率の高い位置の表示は、衝突マーク1903以外にも、色を付けたり、色の濃淡等で表わしても良い。In step 2003, all combinations of link IDs and sub link IDs included in the display range of the screen are acquired from themap database 104. Instep 2004, as instep 1804, another vehicle whose collision probability is displayed on the screen is selected based on its ID. Instep 2005, among the combinations of the link ID and the sub link ID acquired in step 2003, the combination having the highest probability of colliding with another vehicle selected instep 2004 is acquired from the collision probability storage unit (collision probability table) 111. Instep 2006, acollision mark 1903 is displayed on the sublink related to the combination of the link ID and sublink ID selected instep 2005. As a result, the sublink on which thecollision mark 1903 is displayed can be determined to be another sublink. In addition to thecollision mark 1903, the display of the position where the probability of collision with the other vehicle is the highest may be colored, or may be represented by shading of colors.
 ステップ2007では、ステップ2004で選択した他車両の位置からステップ2005で取得した位置までの経路を探索する。ここにおける経路の探索は、例えばダイクストラ法等の公知の方法により計算できる。ステップ2008では、ステップ2007で計算した経路から、衝突確率が最大となる位置における他車両の進入方向を計算する。ここにおける他車両の進入方向は、例えば次のように計算できる。In step 2007, a route from the position of the other vehicle selected instep 2004 to the position acquired instep 2005 is searched. The route search here can be calculated by a known method such as Dijkstra's method, for example. Instep 2008, from the route calculated in step 2007, the approach direction of the other vehicle at the position where the collision probability becomes maximum is calculated. The approach direction of another vehicle here can be calculated, for example, as follows.
 まず、衝突確率が最大となる位置の座標oから所定距離離れたサブリンクの始点又は終点の座標tを地図データベース104から取得する。また、衝突確率が最大となる位置が含まれるリンクの始点座標sと終点座標eを地図データベース104から取得する。これらの座標から、他車両の進入方向Θを下記式により求めることができる。
Figure JPOXMLDOC01-appb-I000014
First, the coordinate t of the start point or the end point of the sub link which is separated by a predetermined distance from the coordinate o of the position where the collision probability is maximum is acquired from themap database 104. Further, the start point coordinates s and the end point coordinates e of the link including the position at which the collision probability is maximum are acquired from themap database 104. From these coordinates, the approach direction of another vehicle can be determined by the following equation.
Figure JPOXMLDOC01-appb-I000014
 図21は表示装置112に記憶された他の表示設定テーブルのデータ構造を示す図である。この図に示したテーブルには、自車両の走行経路に対する他車両の進入方向Θと、各進入方向Θに係る表示マーク(表示画像)との関係が、1対1の関係で予め設定されている。この図において、表示設定1は自車両の前方から他車両が直進してくる場合を示し、表示設定2は自車両の前方の交差点を他車両が右折してくる場合を示し、表示設定3は自車両の前方の交差点を他車両が左折してくる場合を示し、表示設定4は自車両の後方から他車両が直進してくる場合を示す。FIG. 21 is a view showing a data structure of another display setting table stored in thedisplay device 112. As shown in FIG. In the table shown in this figure, the relationship between the approach direction of another vehicle with respect to the traveling route of the own vehicle and the display mark (display image) pertaining to each approach direction is set in advance in a one-to-one relationship. There is. In this figure, display setting 1 shows the case where the other vehicle goes straight from the front of the own vehicle, display setting 2 shows the case where the other vehicle turns right at the intersection in front of the own vehicle, and display setting 3 The case where the other vehicle turns left at the intersection ahead of the own vehicle is shown, and the display setting 4 indicates the case where the other vehicle goes straight from the rear of the own vehicle.
 ステップ2009では、ステップ2008で求めた他車両の進入方向Θに対応する表示マークを図21の表示設定テーブルに基づいて決定し、当該表示マークを表示装置112の画面上に表示する。その際の画面上での表示マーク1904の表示位置は特に限定しない。ステップ2010では、表示画面において、地図上自車位置に対応する場所に自車位置を表示するとともに、他車両位置を表示し、表示装置112の処理を終了する。Instep 2009, the display mark corresponding to the approach direction of the other vehicle obtained instep 2008 is determined based on the display setting table of FIG. 21, and the display mark is displayed on the screen of thedisplay device 112. The display position of thedisplay mark 1904 on the screen at that time is not particularly limited. Instep 2010, on the display screen, the position of the vehicle is displayed at a location corresponding to the position of the vehicle on the map, and the position of the other vehicle is displayed, and the processing of thedisplay device 112 is ended.
 上記のように構成した本実施の形態に係る運行管理システムによれば、走行経路上における各車両の遷移確率に基づいて、その時刻における他車両との衝突可能性の高低が判断されるので、衝突の可能性が相対的に低い場所(相対的に衝突確率の低い場所)で車両運行が阻害されることが抑制され、車両の運行効率を向上できる。また、車両の走行経路を分割して得られる各領域(上記の例ではサブリンク)について衝突確率を算出しているので、ドライバーが走行経路上のどの辺りで衝突確率が高いのかを容易に予測することができる。さらに、各領域についての衝突確率の大小も表示されるので、その中で特に注意すべき領域を容易に特定できる。According to the operation management system according to the present embodiment configured as described above, the level of the possibility of collision with another vehicle at that time is determined based on the transition probability of each vehicle on the travel route, It is possible to suppress the operation of the vehicle at a place where the possibility of the collision is relatively low (a place where the collision probability is relatively low), and the operation efficiency of the vehicle can be improved. In addition, since the collision probability is calculated for each area (the sublink in the above example) obtained by dividing the traveling route of the vehicle, the driver can easily predict where on the traveling route the collision probability is high. can do. Furthermore, since the magnitude of the collision probability for each area is also displayed, it is possible to easily identify the area to be particularly noted.
 次に本発明の第2の実施の形態について説明する。本実施の形態は、位置遷移確率の計算および衝突位置の推定を車両では無く、管制局に設置したコンピュータ(以下、単に「管制局」と称することがある)において行うものである。Next, a second embodiment of the present invention will be described. In the present embodiment, the calculation of the position transition probability and the estimation of the collision position are performed not by the vehicle but by a computer installed in the control station (hereinafter, may be simply referred to as a “control station”).
 図22は本発明の第2の実施の形態に係る運行管理システムの概略構成図である。なお、先の実施の形態と同じ部分には同じ符号を付して説明を適宜省略することがある。この図に示す車両に設置された運行管理装置には、GPS受信機101と、慣性センサ102と、速度センサ103と、位置推定部105と、表示装置112と、車両制御部113と、通信部109Aと、車両用地図データベース104Aと、位置記憶部2207が備えられている。また、管制局に設置したコンピュータには、位置遷移確率計算部107と、衝突位置推定部108と、通信部109Bと、管理局用地図データベース104Bと、走行状態記憶部106と、遷移確率記憶部110と、ルートデータベース2211が備えられている。なお、図中に1台の車両のみを示したが、同様の構成を備えた複数の車両が当該システムに含まれているものとする。FIG. 22 is a schematic configuration diagram of an operation management system according to a second embodiment of the present invention. The same parts as those in the previous embodiment may be assigned the same reference numerals and descriptions thereof may be omitted as appropriate. The operation management apparatus installed in the vehicle shown in this figure includes aGPS receiver 101, aninertia sensor 102, aspeed sensor 103, aposition estimation unit 105, adisplay device 112, avehicle control unit 113, and a communication unit. 109A, a map database forvehicle 104A, and aposition storage unit 2207 are provided. Further, in the computer installed in the control station, the position transitionprobability calculation unit 107, the collisionposition estimation unit 108, thecommunication unit 109B, the managementstation map database 104B, the travelingstate storage unit 106, and the transitionprobability storage unit 110 and aroute database 2211 are provided. Although only one vehicle is shown in the drawing, it is assumed that a plurality of vehicles having the same configuration are included in the system.
 位置記憶部2207は、位置推定部105が算出する情報を記憶する部分であり、例えばRAM(Random Access Memory)等の揮発性の記憶装置を利用することが好ましい。また、ルートデータベース(ルート記憶手段)2211は、管理対象である各車両の走行経路を記憶する部分である。Theposition storage unit 2207 is a portion that stores information calculated by theposition estimation unit 105, and preferably uses a volatile storage device such as a RAM (Random Access Memory). Further, a route database (route storage means) 2211 is a portion for storing the travel route of each vehicle to be managed.
 車両用地図データベース104Aと管制局用地図データベース104Bは、第1の実施の形態における地図データベース104に相当する。なお、管制局用地図データベース104Bに管理対象となる全車両の走行経路に係る地図データを記憶し、各車両の地図データベース104Aには自車両の走行経路に係る地図データのみを記憶する構成としても良い。通信部109Aは各車両が管制局と各種データの授受を行うためのものであり、通信部109Bは管制局が各車両と各種データの授受を行うためのものである。Thevehicle map database 104A and the controlstation map database 104B correspond to themap database 104 in the first embodiment. Note that map data relating to the travel route of all vehicles to be managed is stored in controlstation map database 104B, and only map data relating to the travel route of the vehicle is stored inmap database 104A of each vehicle. good. Thecommunication unit 109A is for each vehicle to exchange various data with the control station, and thecommunication unit 109B is for the control station to exchange various data with each vehicle.
 図23は第2の実施の形態に係る位置推定部105が実行する処理フローを示す図である。この図に示すように、位置推定部105は、周期的に起動し(ステップ2301)、慣性センサ102および速度センサ103から得られた情報から、車両の進行方位θ、走行路勾配φ、速度v、加速度α、角速度ωを計算し、各車両の走行状態を位置記憶部2207に保存する(ステップ2302)。各車両の走行状態の計算の方法は第1の実施の形態と同様である。FIG. 23 is a diagram showing a process flow performed by theposition estimation unit 105 according to the second embodiment. As shown in this figure, theposition estimation unit 105 is activated periodically (step 2301), and from the information obtained from theinertial sensor 102 and thevelocity sensor 103, the traveling direction θ of the vehicle, the traveling path gradient φ, the velocity v The acceleration α and the angular velocity ω are calculated, and the traveling state of each vehicle is stored in the position storage unit 2207 (step 2302). The method of calculating the traveling state of each vehicle is the same as that of the first embodiment.
 ステップ2303では、GPS位置情報がGPS受信機101から出力されているかを判断する。ここで、GPS受信機101の出力周期の場合には、ステップ2304へ移行する。一方、GPS受信機101の出力周期でない場合には、ステップ2305へ移行する。ステップ2304では、GPS位置情報が取得できるので、GPS位置情報をある位置を原点としたローカル座標系に変換し、自車位置として設定し、ステップ2306へ移行する。一方、ステップ2305では、GPS位置情報が出力されていないため、ローカル座標系におけるデッドレコニングによる位置推定結果を自車位置として設定し、ステップ2306へ移行する。デッドレコニングによる位置推定は第1の実施の形態と同様なので説明は省略する。Instep 2303, it is determined whether GPS position information is output from theGPS receiver 101. Here, in the case of the output cycle of theGPS receiver 101, the process proceeds to step 2304. On the other hand, if it is not the output cycle of theGPS receiver 101, the process proceeds to step 2305. Instep 2304, since GPS position information can be acquired, the GPS position information is converted into a local coordinate system with a certain position as the origin, and is set as the vehicle position, and the process moves to step 2306. On the other hand, atstep 2305, since the GPS position information is not output, the position estimation result by dead reckoning in the local coordinate system is set as the vehicle position, and the process moves to step 2306. Since position estimation by dead reckoning is the same as that of the first embodiment, the description will be omitted.
 ステップ2306では、自車位置周辺の地図データを車両用地図データベース104Aから取得する。図24は車両用地図データベース2204のデータ構造を示す図である。この図において、リンクID2401からサブリンク終点半径2412までは、第1の実施の形態における地図データベース104の構造301から312と同じである。ルートフラグ2413は、第1の実施の形態における図7のルートフラグ716と同じである。自車位置周辺の地図データは、自車位置から始点もしくは終点がある範囲内に存在するリンクID2401に紐付くデータを全て取得する。自車位置周辺の地図データを取得できればステップ2307に移行する。At step 2306, map data around the vehicle position is acquired from the map database forvehicle 104A. FIG. 24 shows the data structure of the vehicular map database 2204. As shown in FIG. In this figure, the link ID 2401 to the sub link end radius 2412 are the same as the structures 301 to 312 of themap database 104 in the first embodiment. The route flag 2413 is the same as theroute flag 716 of FIG. 7 in the first embodiment. The map data around the vehicle position acquires all data linked to the link ID 2401 present in the range from the vehicle position to the start point or the end point. If the map data around the vehicle position can be acquired, the process proceeds to step 2307.
 ステップ2307では、自車両が走行する予定のルートを管制局と通信することで取得する。自車両の走行する予定のルートは車両用地図データベース104Aに含まれるルートフラグの項目で規定される。ルートフラグの設定は第1の実施の形態と同じである。もし、ルートが設定されていない場合は、管制局へルートを問合わせ、ルートであるリンクID列の送付を受け、送付された各リンクIDに含まれる全サブリンクに対してルートフラグを“ルート上”、それ以外を“ルート外”として車両用地図データベース104Aへ設定する。ルートが既に設定されている場合は、通信部109Aから管制局に対して自車両が走行する予定のルートの変更の有無を確認する。ルートの変更が有る場合には、変更後の全リンクID列を取得し、送付された各リンクIDに含まれる全サブリンクに対してルートフラグを“ルート上”に、それ以外を“ルート外”として車両用地図データベース104Aへ設定する。Instep 2307, the route that the vehicle is to travel is acquired by communicating with the control station. The route planned for the vehicle to travel is defined by the item of the route flag included in thevehicle map database 104A. The setting of the route flag is the same as in the first embodiment. If a route is not set, the route is inquired of the control station, and the link ID column which is the route is sent, and the route flag “route” is transmitted to all the sublinks included in each link ID sent. “Upper” and the other are set as “out of route” in the map database forvehicle 104A. If a route has already been set, thecommunication unit 109A confirms with the control station whether or not there is a change in the route on which the vehicle is to travel. If there is a change in the route, acquire the all link ID column after the change, and set the route flag to “on route” for all sublinks included in each link ID sent, and “out of the route” It sets to themap database 104A for vehicles as "."
 ステップ2308では、位置記憶部2207に1ステップ前の地図上自車位置が存在し、前回の地図上位置の計算した位置から走行距離が規定の値以下であるかを判断する。走行距離が規定の値以下である場合にはステップ2309へ移行する。走行距離が規定の値より大きい場合にはステップ2310へ移行する。Instep 2308, it is determined whether the vehicle position on the map one step before is present in theposition storage unit 2207, and the travel distance is less than a prescribed value from the position calculated on the previous map position. If the travel distance is less than or equal to the specified value, the process proceeds to step 2309. If the traveling distance is larger than the specified value, the process proceeds to step 2310.
 ステップ2309では、1ステップ前の地図上自車位置から速度分だけリンク上を進行した位置を地図上位置として設定し、ステップ2311へ移行する。ステップ2310では、自車位置から地図上自車位置を算出、設定し、ステップ2311へ移行する。ステップ2309およびステップ2310の地図上自車位置の算出方法を以下に示す。Instep 2309, the position where the vehicle has advanced on the link by the speed from the vehicle position on the map one step before is set as the position on the map, and the process proceeds to step 2311. Instep 2310, the vehicle position on the map is calculated and set from the vehicle position, and the process moves to step 2311. The method of calculating the vehicle position on the map insteps 2309 and 2310 is described below.
 地図上自車位置は、ステップ2306で取得した自車位置周辺のトポロジカル地図に含まれるリンクID2401、サブリンクID2405、リンク始点2402からの距離の3つの変数(linkID,slinkID,leng)で一意に表わされる。入力はステップ2304もしくはステップ2305で設定されたローカル座標系の自車位置である。The vehicle position on the map is uniquely represented by three variables (linkID, slinkID, leng) of link ID 2401, sublink ID 2405 and distance from link start point 2402 included in the topological map around the vehicle position acquired in step 2306 Be The input is the vehicle position of the local coordinate system set instep 2304 orstep 2305.
 ステップ2309の場合、位置記憶部2207に1ステップ前の地図上自車位置(linkID(t-1),slinkID(t-1),leng(t-1))が存在するので、ステップ2302で計算した速度v(t)から図4の処理フローに従って地図上位置を計算する。In the case ofstep 2309, since the vehicle position on the map (link ID (t-1), slink ID (t-1), leng (t-1)) one step before exists in theposition storage unit 2207, calculation is performed instep 2302 The position on the map is calculated according to the processing flow of FIG. 4 from the velocity v (t).
 ステップ401では、1ステップ前の地図上自車位置(linkID(t-1),slinkID(t-1),leng(t-1))を位置記憶部2207より取得し、今回の地図上自車位置(linkID(t),slinkID(t),leng(t))として設定する。ステップ402では、ステップ2302で取得した速度v(t)に位置推定部105の起動する周期を乗じて車両の進行距離を計算、設定する。ステップ403ではlinkID(t)に対応するリンク終点の座標2403を地図データから検索し、今回の地図上自車位置(linkID(t),slinkID(t),leng(t))からリンク終点2403までの距離を計算する。計算したリンク終点2403までの距離と、進行距離とを比較し、進行距離が小さい場合はステップ404へ移行し、進行距離が大きい場合はステップ405へ移行する。ステップ404では、linkID(t)の終点から接続するリンクID2405を検索し、linkID(t)を変更する。また、進行距離からステップ403で計算したリンク終点までの距離引いた値を新しい進行距離として更新し、ステップ403へ戻る。ステップ405では、slinkID(t)に対応するサブリンクID2407をステップ2306で取得した地図データから検索し、そのサブリンク終点2411までの長さを計算する。計算したサブリンク終点2411までの長さと進行距離を比較し、進行距離よりも大きい場合はステップ406へ移行し、小さい場合はステップ407へ移行する。ステップ406では、slinkID(t)の次のサブリンクID2407にslinkID(t)を変更する。また、進行距離からステップ405で計算したサブリンク終点までの距離引いた値を新しい進行距離として更新し、ステップ405へ戻る。ステップ407では、進行距離をサブリンク始点からの距離legn(t)に設定し、ステップ2311へ移行する。Instep 401, the vehicle position on the map (link ID (t-1), slink ID (t-1), leng (t-1)) one step before is acquired from theposition storage unit 2207, and the vehicle on the map this time It is set as a position (link ID (t), slink ID (t), leng (t)). Instep 402, the traveling distance of the vehicle is calculated and set by multiplying the speed v (t) acquired instep 2302 by the cycle activated by theposition estimation unit 105. Instep 403, the coordinates 2403 of the link end point corresponding to the link ID (t) are searched from the map data, and from the current vehicle position (link ID (t), slink ID (t), leng (t)) to the link end point 2403 Calculate the distance of The calculated distance to the link end point 2403 is compared with the traveling distance. If the traveling distance is small, the process proceeds to step 404. If the traveling distance is large, the process proceeds to step 405. Instep 404, the link ID 2405 connected from the end point of link ID (t) is searched, and link ID (t) is changed. Also, a value obtained by subtracting the distance from the traveling distance to the link end point calculated instep 403 is updated as a new traveling distance, and the process returns to step 403. Instep 405, the sub link ID 2407 corresponding to slink ID (t) is searched from the map data acquired in step 2306, and the length up to the sub link end point 2411 is calculated. The calculated length to the sub link end point 2411 and the traveling distance are compared, and if it is larger than the traveling distance, the process proceeds to step 406, and if it is smaller, the process proceeds to step 407. Instep 406, slink ID (t) is changed to sublink ID 2407 next to slink ID (t). Also, a value obtained by subtracting the distance from the traveling distance to the end point of the sublink calculated instep 405 is updated as a new traveling distance, and the process returns to step 405. Instep 407, the travel distance is set to the distance legn (t) from the start point of the sublink, and the process proceeds to step 2311.
 一方、ステップ2310の場合、ステップ2304もしくはステップ2305で設定された自車位置から図5の処理フローに従って地図上自車位置を計算する。On the other hand, in the case ofstep 2310, the vehicle position on the map is calculated according to the processing flow of FIG. 5 from the vehicle position set instep 2304 orstep 2305.
 ステップ501では、ステップ2306で取得した自車位置周辺の地図データからリンクID2401およびサブリンクID2407を先頭から順番に選択する。ステップ502では、「選択したサブリンクID2407から自車位置よりも後方かつ進行方位の延長線上にサブリンクの始点が存在するという事象u」が起こる確率P(u)を計算する。確率P(u)の計算方法は第1の実施形態と同様である。ステップ503では、「選択したサブリンクID2407から自車位置よりも前方かつ進行方位の延長線上にサブリンクの始点が存在するという事象v」が起こる確率P(v)を計算する。確率P(v)の計算方法は第1の実施形態と同様である。ステップ504では、自車位置が選択したサブリンク上に存在する確率P(u,v)を計算する。P(u,v)の計算は第1の実施形態と同様である。ステップ505では、1ステップ前の地図上自車位置が存在するかどうかを判断し、存在しない場合にはステップ506へ移行し、存在する場合にはステップ507へ移行する。ステップ506では、ステップ501で選択したサブリンクに地図上自車位置が存在する確率である、サブリンク候補確率P(L)にP(u,v)を設定し、ステップ509へ移行する。ステップ507では、位置記憶部2207から1ステップ前の地図上自車位置を取得後、対応する遷移確率を管制局より取得する。管制局より得られた遷移確率は位置記憶部2207に一次保存される。保存されるデータ構造は図7と同じデータ構造を持つ。1ステップ前の地図上自車位置(linkID(t-1),slinkID(t-1),leng(t-1))を取得し、linkID(t-1)、slinkID(t-1)の組み合わせに対応する遷移元リンクID701、遷移元サブリンクID702を検索し、遷移元サブリンクID702に連なる遷移先リンクID704および遷移先サブリンクID705からステップ501で選択したリンクID2401、サブリンクID2407の組み合わせに対応する箇所を検索し、その遷移確率706および観測される走行状態の分散値および平均値(707~714)を取得し、ステップ2302で計算された走行状態である事象oと事象sが同時に起こる観測時遷移確率P(s、o)を計算する。観測時遷移確率P(s、o)の計算は第1の実施形態と同様である。ステップ508では、ステップ501で選択したサブリンクに地図上自車位置が存在する確率(サブリンク候補確率)P(L)を計算する。P(L)は、第1の実施形態と同様にして求めることができる。ステップ509では、サブリンク候補テーブルの尤度にP(L)を設定する。サブリンク候補テーブルは図8に示すような構造であり、ステップ501で選択されたサブリンクの存在するリンクID801と、サブリンクID802と、各サブリンクIDに対応する尤度803が記憶される。ステップ510では、ステップ206で取得した自車位置周辺のトポロジカル地図に含まれるサブリンクID305の全てが選択されたかを判断し、選択していないサブリンクが存在している場合には、ステップ501へ戻り、ステップ501からステップ510の処理を繰り返す。全てのサブリンクを選択し終えている場合には、ステップ511へ移行する。ステップ511では、サブリンク候補テーブルから最も尤度の高いサブリンクIDを選び出し、地図上自車位置を位置記憶部2207に設定する。In step 501, link ID 2401 and sublink ID 2407 are selected in order from the top from the map data around the vehicle position acquired in step 2306. In step 502, a probability P (u) is calculated, in which "an event u that the start point of the sublink is present behind the vehicle position from the selected sublink ID 2407 and on the extension of the traveling direction" occurs. The calculation method of the probability P (u) is the same as that of the first embodiment. In step 503, a probability P (v) is calculated, in which "an event v that the start point of the sublink exists from the selected sublink ID 2407 ahead of the vehicle position and on the extension of the traveling direction" is generated. The calculation method of the probability P (v) is the same as that of the first embodiment. In step 504, the probability P (u, v) that the vehicle position is present on the selected sublink is calculated. The calculation of P (u, v) is the same as in the first embodiment. Instep 505, it is determined whether or not the vehicle position on the map one step before is present, and if it does not exist, the process proceeds to step 506, and if it exists, the process proceeds to step 507. Instep 506, P (u, v) is set to the sublink candidate probability P (L), which is the probability that the vehicle position on the map exists in the sublink selected in step 501, and the process proceeds to step 509. In step 507, after acquiring the vehicle position on the map one step earlier from theposition storage unit 2207, the corresponding transition probability is acquired from the control station. The transition probability obtained from the control station is temporarily stored in theposition storage unit 2207. The data structure stored is the same as that shown in FIG. Get your vehicle position (linkID (t-1), slinkID (t-1), leng (t-1)) on the map one step before, and combine the linkID (t-1) and slinkID (t-1) Search for the transitionsource link ID 701 and transition sourcesub link ID 702 corresponding to the linkdestination link ID 704 connected to the transition sourcesub link ID 702 and the transition destinationsub link ID 705 corresponding to the combination of the link ID 2401 and sub link ID 2407 selected in step 501 To obtain thetransition probability 706 and the variance value and average value (707 to 714) of the observed traveling state, and observation that event o and event s simultaneously occur in the traveling state calculated instep 2302 Calculate the time transition probability P (s, o). The calculation of the observation transition probability P (s, o) is the same as that of the first embodiment. Instep 508, the probability (sublink candidate probability) P (L) that the vehicle position on the map exists in the sublink selected in step 501 is calculated. P (L) can be obtained in the same manner as in the first embodiment. In step 509, P (L) is set to the likelihood of the sub link candidate table. The sub link candidate table has a structure as shown in FIG. 8 and stores thelink ID 801 in which the sub link selected in step 501 exists, thesub link ID 802, and thelikelihood 803 corresponding to each sub link ID. Instep 510, it is determined whether all of the sublink IDs 305 included in the topological map around the vehicle position acquired instep 206 have been selected, and if there is an unselected sublink, the process proceeds to step 501. Returning, the processing of step 501 to step 510 is repeated. If all sublinks have been selected, the process proceeds to step 511. In step 511, the sublink ID with the highest likelihood is selected from the sublink candidate table, and the position of the vehicle on the map is set in theposition storage unit 2207.
 ステップ2311では、位置記憶部2207に保存されている地図上自車位置および自車状態を通信部109Aから管制局へ送信する。ステップ2312では、地図上自車位置の設定が完了したメッセージを表示装置112へ送信して位置推定部105の処理を終了する。表示装置112は地図上自車位置の設定が完了したメッセージを受け取り、車両制御や表示画面への情報表示を実行する。Instep 2311, the position on the map and the vehicle state stored in theposition storage unit 2207 are transmitted from thecommunication unit 109 A to the control station. Instep 2312, a message for which the setting of the vehicle position on the map has been completed is transmitted to thedisplay device 112, and the processing of theposition estimation unit 105 is ended. Thedisplay device 112 receives the message for which the setting of the vehicle position on the map is completed, and executes vehicle control and information display on the display screen.
 次に管制局のおける衝突位置推定の方法について述べる。管制局では、管理する複数台の車両の位置が通信部109Bを介して不定期に得られる。ステップ2302で各車両の位置推定部105で計算された進行方位、速度、加速度、角速度などの車両状態は、通信部109Bで受信された後、走行状態記憶部106に保存される。走行状態記憶部106における走行状態テーブルは、基本的に図10のデータ構造を持つが、本実施の形態ではさらに、どの車両に係る走行状態情報であるかを判別可能にするために各データには車両IDが付されている点に特徴がある。Next, the method of collision position estimation in the control station is described. At the control station, the positions of a plurality of vehicles to be managed can be obtained irregularly via thecommunication unit 109B. The vehicle states such as the heading, speed, acceleration, angular velocity, etc. calculated by theposition estimation unit 105 of each vehicle instep 2302 are stored in the travelingstate storage unit 106 after being received by thecommunication unit 109B. The traveling state table in the travelingstate storage unit 106 basically has the data structure of FIG. 10, but in the present embodiment, it is further possible to use data to make it possible to determine which vehicle the traveling state information relates to. Is characterized in that a vehicle ID is attached.
 位置遷移確率計算部107は、所定の周期で起動し、ルートDB2211、管制局用地図データベース104B、走行状態記憶部106および遷移確率記憶部110のデータに基づいて遷移確率を計算し、当該遷移確率を遷移確率記憶部110へ記憶すると共に衝突位置推定部108へ遷移確率計算完了のメッセージを送る。The position transitionprobability calculation unit 107 is activated at a predetermined cycle, calculates transition probability based on data of theroute DB 2211, the controlstation map database 104B, the travelingstate storage unit 106, and the transitionprobability storage unit 110, and the transition probability Are stored in the transitionprobability storage unit 110, and a message of completion of transition probability calculation is sent to the collisionposition estimation unit 108.
 図25は位置遷移確率計算部107で実行される処理フローを示す図である。この図に示すように位置遷移確率計算部107は、一定周期で起動し(ステップ2501)、管制局で管理する車両のIDを小さい順に一つ選ぶ(ステップ2502)。FIG. 25 is a diagram showing a process flow executed by the position transitionprobability calculation unit 107. As shown in FIG. As shown in this figure, the position transitionprobability calculation unit 107 is activated at a constant cycle (step 2501), and selects one of the vehicle IDs managed by the control station in ascending order (step 2502).
 ステップ2503では、ステップ2502で選択した車両IDの1ステップ前の地図上自車位置が走行状態記憶部106に存在するかを判断する。地図上自車位置が存在しない場合には、ステップ2502へ戻り、他の車両IDの選択をする。地図上自車位置が存在する場合には、ステップ2504へ移行する。Instep 2503, it is determined whether the vehicle position on the map one step before the vehicle ID selected instep 2502 is present in the travelingstate storage unit 106. If the vehicle position on the map does not exist, the process returns to step 2502 to select another vehicle ID. If the vehicle position on the map exists, the process moves to step 2504.
 ステップ2504では、ステップ2502で選択した車両IDに対応する速度、加速度、進行方位、角速度および地図上自車位置であって時系列順に記憶されているものを走行状態記憶部106から全て取得する。ステップ2505では、ステップ2504で得られた地図上自車位置を時系列順に第1の実施の形態と同じ組み合わせで選択する。In step 2504, all the speed, acceleration, heading, angular velocity and vehicle position on the map corresponding to the vehicle ID selected instep 2502 and stored in chronological order are acquired from the travelingstate storage unit 106. Instep 2505, the vehicle position on the map obtained in step 2504 is selected in chronological order in the same combination as in the first embodiment.
 次に、ステップ2506では、1対のサブリンクの遷移する組み合わせから、速度、加速度、進行方位、角速度の平均値、分散値を更新し、ステップ2507へ移行する。更新方法は第1の実施の形態と同様である。ステップ2507では、位置遷移確率を計算し、遷移確率記憶部110へ設定する。位置遷移確率は第1の実施の形態と同様の方法で計算される。Next, instep 2506, the velocity, acceleration, heading, average value of angular velocity, and variance value are updated from the transition combination of the pair of sublinks, and the process moves to step 2507. The updating method is the same as that of the first embodiment. Instep 2507, the position transition probability is calculated and set in the transitionprobability storage unit 110. The position transition probability is calculated in the same manner as in the first embodiment.
 次に、ステップ2508では、走行状態記憶部106に保存されている全ての時系列を選択済みであるかを判断する。全ての時系列を選択済みである場合には、ステップ2509に移行する。まだ選択していない時系列が残っている場合には、ステップ2505に戻り、ステップ2505からステップ2508の処理を繰り返す。Next, instep 2508, it is determined whether all time series stored in the travelingstate storage unit 106 have been selected. If all time series have been selected, the process moves to step 2509. If there is a time series not selected yet, the process returns to step 2505 and repeats the processing fromstep 2505 to step 2508.
 ステップ2509では、走行状態記憶部106の走行状態テーブルに記憶されている情報を全て消去する。ステップ2510では、全ての車両IDが選択済みかどうかを判断する。全て選択済みの場合には、ステップ2511へ移行する。選択されていない車両IDが残っている場合には、ステップ2502へ戻り、上記の処理を繰り返す。ステップ2511では、遷移確率設定完了のメッセージを衝突位置推定部108に送信し、位置遷移確率計算部107の処理を終了する。Instep 2509, all the information stored in the traveling state table of the travelingstate storage unit 106 is erased. Instep 2510, it is determined whether all vehicle IDs have been selected. If all items have been selected, the process proceeds to step 2511. If there is a vehicle ID that has not been selected, the process returns to step 2502 and the above process is repeated. Instep 2511, a message of transition probability setting completion is transmitted to the collisionposition estimation unit 108, and the processing of the position transitionprobability calculation unit 107 is ended.
 衝突位置推定部108は、位置遷移確率計算部107からの遷移確率計算完了メッセージをトリガに起動し、管理対象となっている複数の車両のうち2つが衝突する確率をサブリンク毎に計算する。ここでは、説明を簡略化するため、図22に構成を示した車両が他車両と衝突する確率を計算するものとする。衝突位置推定部108の処理方法は第1の実施の形態と同様である。衝突確率の算出が完了したら、衝突位置推定部108は、車両の表示装置112に対して通信部109Bを介して衝突確率テーブル設定完了のメッセージを送信して処理を終了する。表示装置112における表示処理については第1の実施の形態と同じなので説明は省略する。The collisionposition estimation unit 108 is triggered by the transition probability calculation completion message from the position transitionprobability calculation unit 107 as a trigger, and calculates, for each sublink, the probability that two of the plurality of vehicles to be managed collide. Here, in order to simplify the description, it is assumed that the probability that the vehicle whose configuration is shown in FIG. 22 collides with another vehicle is calculated. The processing method of the collisionposition estimation unit 108 is the same as that of the first embodiment. When the calculation of the collision probability is completed, the collisionposition estimation unit 108 transmits a message of completion of setting the collision probability table to thedisplay device 112 of the vehicle via thecommunication unit 109B, and ends the processing. The display processing in thedisplay device 112 is the same as that of the first embodiment, and thus the description thereof is omitted.
 以上のように構成した運行管理システムによっても、第1の実施の形態と同様に各車両の遷移確率に基づいて衝突確率が算出されるので、各車両の運行効率を向上することができる。特に、本実施の形態では、システムに係る構成を車両と管制局に分散できるので、第1の実施の形態と比較して各車両の構成を簡略化することができる。Even with the operation management system configured as described above, since the collision probability is calculated based on the transition probability of each vehicle as in the first embodiment, the operation efficiency of each vehicle can be improved. In particular, in the present embodiment, since the configuration according to the system can be distributed to vehicles and control stations, the configuration of each vehicle can be simplified as compared with the first embodiment.
 なお、本実施の形態では、第1の実施の形態と同様に各車両の表示装置112に衝突確率を表示することとしたが、当該車両が無人走行している場合等には管制局側に表示装置112を設置し、当該表示装置112に衝突確率を表示するように構成しても良い。また、衝突確率が所定の値を超える無人車両の車両制御装置113に対して、管制局から制御信号を出力し、当該信号に基づいて当該無人車両の速度を変化することで衝突確率を低減する処理を実行しても良い。In the present embodiment, the collision probability is displayed on thedisplay device 112 of each vehicle as in the first embodiment, but in the case where the vehicle is traveling unmanned or the like, the control station side is Thedisplay device 112 may be installed to display the collision probability on thedisplay device 112. In addition, the control station outputs a control signal to thevehicle control device 113 of the unmanned vehicle whose collision probability exceeds a predetermined value, and the collision probability is reduced by changing the speed of the unmanned vehicle based on the signal. Processing may be performed.
 ところで、上記の各実施の形態では、線状に表した走行経路を線分に分割し、各線分に係る遷移確率を算出したが、走行経路を他の方法で複数に分割したものに係る遷移確率を算出して衝突確率を算出しても良い。この種の方法としては、走行経路を面状に定義し、その面状の走行経路を複数の領域に分割して得られる各領域について遷移確率を算出するものがある。また、上記の各実施の形態では、遷移先リンクID704および遷移先サブリンクID705の組合せに係る遷移確率に基づいて衝突確率を算出したが、各サブリンクに固有のIDを付することができれば遷移先サブリンクIDに係る遷移確率から衝突確率を算出しても良い。By the way, in the above-mentioned each embodiment, although the run route expressed to linear was divided into a line segment and the transition probability concerning each line segment was computed, the transition concerning what divided the run route into two or more by other methods The probability may be calculated to calculate the collision probability. As a method of this type, there is a method of defining a traveling route in a plane, and calculating transition probability for each area obtained by dividing the plane traveling route into a plurality of areas. Further, in each of the above embodiments, the collision probability is calculated based on the transition probability related to the combination of the transitiondestination link ID 704 and the transition destinationsub link ID 705. However, if an ID unique to each sub link can be attached, the transition The collision probability may be calculated from the transition probability of the preceding sublink ID.
 また、上記の各実施の形態では、移動体としてダンプトラックを例に挙げて説明した。ダンプトラックは、一般的な乗用車と比較して同じ走行経路を同じような走行状態で複数回往復することが多く、遷移確率に基づく衝突予測をする観点からは非常に好ましいことが指摘できる。しかし、上記発明は、ダンプトラックに限られず、その他の建設機械を含む種々の移動体にも適用可能である。Further, in each of the above-described embodiments, the dump truck has been described as an example of the moving body. It can be pointed out that the dump truck often reciprocates the same traveling path a plurality of times in the same traveling state as compared with a general passenger car, and it is very preferable from the viewpoint of collision prediction based on the transition probability. However, the above-mentioned invention is applicable not only to dump trucks but also to various moving bodies including other construction machines.
 また、本発明は、上記の各実施の形態に限定されるものではなく、その要旨を逸脱しない範囲内の様々な変形例が含まれる。例えば、本発明は、上記の各実施の形態で説明した全ての構成を備えるものに限定されず、その構成の一部を削除したものも含まれる。また、ある実施の形態に係る構成の一部を、他の実施の形態に係る構成に追加又は置換することが可能である。Furthermore, the present invention is not limited to the above-described embodiments, and includes various modifications within the scope of the present invention. For example, the present invention is not limited to the one provided with all the configurations described in the above embodiments, but also includes one in which a part of the configuration is deleted. In addition, a part of the configuration according to an embodiment can be added to or replaced with the configuration according to another embodiment.
 101 GPS受信機
 102 慣性センサ
 103 速度センサ
 104 地図データベース
 105 位置推定部
 106 走行状態記憶部
 107 位置遷移確率計算部
 108 遷移確率記憶部
 109 通信部
 110 衝突位置推定部
 111 衝突確率記憶部
 112 表示装置
 113 走行制御部
2207 位置記憶部
2211 ルートデータベース
101GPS receiver 102Inertial sensor 103Speed sensor 104Map database 105Position estimation unit 106 Runningstate storage unit 107 Position transitionprobability calculation unit 108 Transitionprobability storage unit 109Communication unit 110 Collisionposition estimation unit 111 Collisionprobability storage unit 112Display 113Traveling control unit 2207Position storage unit 2211 Route database

Claims (11)

  1.  所定の経路を走行する複数の移動体の運行管理システムにおいて、
     前記複数の移動体の現在及び過去の位置情報及び走行状態情報に基づいて、前記複数の移動体の走行経路における所定の位置に前記各移動体が存在する確率を所定の周期で算出する処理を実行する第1確率計算手段と、
     当該算出された確率に基づいて、前記複数の移動体における2つが前記走行経路における所定の位置に同時に存在する確率を算出する処理を実行する第2確率計算手段とを備えることを特徴とする移動体の運行管理システム。
    In the operation management system of a plurality of mobile units traveling on a predetermined route,
    A process of calculating the probability that each moving body exists at a predetermined position on the traveling route of the plurality of moving bodies based on current and past position information and traveling state information of the plurality of moving bodies in a predetermined cycle First probability calculating means to be executed;
    A second probability calculating unit configured to execute a process of calculating a probability that two of the plurality of moving objects are simultaneously present at a predetermined position on the traveling route based on the calculated probability Operation control system of the body.
  2.  請求項1に記載の移動体の運行管理システムにおいて、
     前記複数の移動体の走行経路を複数の領域に分割して表した地図情報が記憶された記憶手段をさらに備え、
     前記第1確率計算手段は、前記複数の移動体の現在及び過去の位置情報及び走行状態情報に基づいて、前記複数の領域について前記各移動体が存在する確率を所定の周期で算出する処理を実行し、
     前記第2確率計算手段は、当該算出された確率に基づいて、前記複数の移動体における2つが前記複数の領域のいずれかに同時に存在する確率を算出する処理を実行することを特徴とする移動体の運行管理システム。
    In the mobile object operation management system according to claim 1,
    It further comprises storage means for storing map information in which traveling routes of the plurality of mobile bodies are divided and represented in a plurality of areas,
    The first probability calculation means calculates the probability that each moving body exists for the plurality of areas at a predetermined cycle, based on current and past position information and traveling state information of the plurality of moving bodies. Run
    The second probability calculating means is configured to execute a process of calculating a probability that two of the plurality of moving objects are simultaneously present in any of the plurality of areas based on the calculated probability. Operation control system of the body.
  3.  請求項2に記載の移動体の運行管理システムにおいて、
     第2確率計算手段は、前記複数の領域において、前記2つの移動体が同時に存在する確率が設定値を超える領域を特定することを特徴とする移動体の運行管理システム。
    In the operation management system of a mobile according to claim 2,
    The second probability calculation means specifies an area in which the probability that the two mobile bodies exist simultaneously exceeds a set value in the plurality of areas.
  4.  請求項3に記載の移動体の運行管理システムにおいて、
     前記複数の移動体の走行経路が表示される表示手段をさらに備え、
     前記表示手段には、前記第2確率計算手段の演算結果が前記設定値を超える領域が他の領域と判別可能に表示されることを特徴とする移動体の運行管理システム。
    In the mobile object operation management system according to claim 3,
    The display device further comprises display means for displaying traveling routes of the plurality of mobile bodies,
    The operation management system of a mobile unit, wherein an area where the calculation result of the second probability calculation means exceeds the set value is displayed on the display means so as to be distinguishable from other areas.
  5.  請求項4に記載の移動体の運行管理システムにおいて、
     前記表示手段には、前記第2確率計算手段の演算結果が前記設定値を超える領域が当該設定値との偏差の大きさに応じて判別可能に表示されることを特徴とする移動体の運行管理システム。
    In the mobile object operation management system according to claim 4,
    In the display unit, the region where the calculation result of the second probability calculation unit exceeds the set value is displayed so as to be distinguishable according to the magnitude of the deviation from the set value. Management system.
  6.  請求項4又は5に記載の移動体の運行管理システムにおいて、
     前記表示手段には、前記第2確率計算手段の演算結果が最大になる領域が他の領域と判別可能に表示されることを特徴とする移動体の運行管理システム。
    In the operation management system of a mobile unit according to claim 4 or 5,
    The operation management system of a mobile unit, wherein an area where the calculation result of the second probability calculation means is maximum is displayed on the display means so as to be distinguishable from other areas.
  7.  請求項4から6のいずれかに記載の移動体の運行管理システムにおいて、
     前記表示手段には、前記2つの移動体の現在位置が表示されることを特徴とする移動体の運行管理システム。
    In the operation management system of a mobile according to any one of claims 4 to 6,
    The operation management system of a mobile unit, wherein the current position of the two mobile units is displayed on the display means.
  8.  請求項4から7のいずれかに記載の移動体の運行管理システムにおいて、
     前記表示手段には、前記2つの移動体のうちの一方の移動体に係る走行経路に対する前記2つの移動体のうち他方の移動体の進入方向が表示されることを特徴とする移動体の運行管理システム。
    The operation management system of a mobile according to any one of claims 4 to 7.
    An operation direction of the moving body, wherein the approach direction of the other moving body of the two moving bodies with respect to the traveling route according to the moving body of the two moving bodies is displayed on the display means. Management system.
  9.  請求項1から8のいずれかに記載の移動体の運行管理システムにおいて、
     前記記憶手段における前記複数の移動体の走行経路は線状に規定されており、
     前記複数の領域は、当該線状の走行経路を分割して得られる複数の線分であることを特徴とする移動体の運行管理システム。
    The operation management system of a mobile according to any one of claims 1 to 8.
    The travel paths of the plurality of moving bodies in the storage means are defined linearly.
    The operation management system of a mobile unit, wherein the plurality of regions are a plurality of line segments obtained by dividing the linear traveling route.
  10.  請求項1から9のいずれかに記載の移動体の運行管理システムにおいて、
     前記走行状態情報には、前記複数の移動体の速度、加速度、角速度が含まれることを特徴とする移動体の運行管理システム。
    The operation management system of a mobile according to any one of claims 1 to 9.
    The operation management system of a moving body, wherein the traveling state information includes the velocity, acceleration, and angular velocity of the plurality of moving bodies.
  11.  所定の経路を走行する移動体の運行管理装置において、
     前記移動体の走行経路を複数の領域に分割して表した地図情報が記憶された記憶手段と、
     前記移動体の現在及び過去の位置情報及び走行状態情報に基づいて、前記複数の領域について前記移動体が将来存在する確率を算出する処理を実行する第1確率計算手段と、
     前記複数の領域について他の移動体が将来存在する確率が入力される通信手段と、
     前記第1確率計算手段で算出された確率及び前記通信手段に入力された確率に基づいて、前記移動体及び前記他の移動体が前記複数の領域のいずれかに同時に存在する確率を算出する処理を実行する第2確率計算手段と、
     前記第2確率計算手段の演算結果が設定値を超える領域が他の領域と判別可能に表示される表示手段とを備えることを特徴とする移動体の運行管理装置。
    In the operation management apparatus of a mobile traveling on a predetermined route,
    Storage means for storing map information obtained by dividing the traveling route of the moving body into a plurality of areas;
    First probability calculating means for executing a process of calculating the probability that the mobile will exist in the future for the plurality of areas based on current and past position information and traveling state information of the mobile;
    Communication means to which the probability that another mobile unit will exist in the future is input in the plurality of areas;
    A process of calculating the probability that the moving object and the other moving object are simultaneously present in any of the plurality of areas based on the probability calculated by the first probability calculating means and the probability inputted to the communication means Second probability calculating means for performing
    An operation management apparatus for a mobile object, comprising: display means for displaying an area where the calculation result of the second probability calculation means exceeds a set value so as to be distinguishable from other areas.
PCT/JP2013/0609872012-04-122013-04-11Traffic management system for mobile bodyWO2013154169A1 (en)

Priority Applications (1)

Application NumberPriority DateFiling DateTitle
JP2014510202AJP5890008B2 (en)2012-04-122013-04-11 Mobile operation management system

Applications Claiming Priority (2)

Application NumberPriority DateFiling DateTitle
JP2012-0914262012-04-12
JP20120914262012-04-12

Publications (1)

Publication NumberPublication Date
WO2013154169A1true WO2013154169A1 (en)2013-10-17

Family

ID=49327727

Family Applications (1)

Application NumberTitlePriority DateFiling Date
PCT/JP2013/060987WO2013154169A1 (en)2012-04-122013-04-11Traffic management system for mobile body

Country Status (2)

CountryLink
JP (1)JP5890008B2 (en)
WO (1)WO2013154169A1 (en)

Cited By (6)

* Cited by examiner, † Cited by third party
Publication numberPriority datePublication dateAssigneeTitle
WO2016121387A1 (en)*2015-01-292016-08-04株式会社デンソーImage generation device and image generation method
JP2017500477A (en)*2013-12-052017-01-05クノル−ブレムゼ ジステーメ フューア シーネンファールツォイゲ ゲゼルシャフト ミット ベシュレンクテル ハフツングKnorr−Bremse Systeme fuer Schienenfahrzeuge GmbH Compressor system and method for operating the compressor system in response to the current state of the track vehicle
JP2018048545A (en)*2016-09-192018-03-29ザ・グッドイヤー・タイヤ・アンド・ラバー・カンパニーMining vehicle monitoring and control system
KR20210043039A (en)*2019-10-102021-04-21엘지전자 주식회사Method and apparatus of vehicle motion prediction using high definition map in autonomous driving system
JP2021064395A (en)*2015-08-282021-04-22ソニー株式会社Information processing device, information processing method, and program
JP2021188271A (en)*2020-05-262021-12-13清水建設株式会社 Safety management system and safety management method

Citations (4)

* Cited by examiner, † Cited by third party
Publication numberPriority datePublication dateAssigneeTitle
JP2000276696A (en)*1999-03-262000-10-06Toyota Motor Corp Vehicle collision avoidance control device
JP2008065480A (en)*2006-09-052008-03-21Mazda Motor CorpDriving support system for vehicle
JP2008310805A (en)*2007-06-122008-12-25Palo Alto Research Center Inc Use of segmented cones for quick and conservative assessment of collision hazards
JP2010025800A (en)*2008-07-222010-02-04Nissan Motor Co LtdInformation providing apparatus and method

Patent Citations (4)

* Cited by examiner, † Cited by third party
Publication numberPriority datePublication dateAssigneeTitle
JP2000276696A (en)*1999-03-262000-10-06Toyota Motor Corp Vehicle collision avoidance control device
JP2008065480A (en)*2006-09-052008-03-21Mazda Motor CorpDriving support system for vehicle
JP2008310805A (en)*2007-06-122008-12-25Palo Alto Research Center Inc Use of segmented cones for quick and conservative assessment of collision hazards
JP2010025800A (en)*2008-07-222010-02-04Nissan Motor Co LtdInformation providing apparatus and method

Cited By (11)

* Cited by examiner, † Cited by third party
Publication numberPriority datePublication dateAssigneeTitle
JP2017500477A (en)*2013-12-052017-01-05クノル−ブレムゼ ジステーメ フューア シーネンファールツォイゲ ゲゼルシャフト ミット ベシュレンクテル ハフツングKnorr−Bremse Systeme fuer Schienenfahrzeuge GmbH Compressor system and method for operating the compressor system in response to the current state of the track vehicle
US10393104B2 (en)2013-12-052019-08-27Knorr-Bremse Systeme für Schienenfahrzeuge GmbHCompressor system and method for operating the compressor system in dependence on the current situation of the rail vehicle
WO2016121387A1 (en)*2015-01-292016-08-04株式会社デンソーImage generation device and image generation method
JP2021064395A (en)*2015-08-282021-04-22ソニー株式会社Information processing device, information processing method, and program
JP7399075B2 (en)2015-08-282023-12-15ソニーグループ株式会社 Information processing device, information processing method and program
US11904852B2 (en)2015-08-282024-02-20Sony Group CorporationInformation processing apparatus, information processing method, and program
JP2018048545A (en)*2016-09-192018-03-29ザ・グッドイヤー・タイヤ・アンド・ラバー・カンパニーMining vehicle monitoring and control system
KR20210043039A (en)*2019-10-102021-04-21엘지전자 주식회사Method and apparatus of vehicle motion prediction using high definition map in autonomous driving system
KR102714128B1 (en)*2019-10-102024-10-10엘지전자 주식회사Method and apparatus of vehicle motion prediction using high definition map in autonomous driving system
JP2021188271A (en)*2020-05-262021-12-13清水建設株式会社 Safety management system and safety management method
JP7390977B2 (en)2020-05-262023-12-04清水建設株式会社 Safety management system and safety management method

Also Published As

Publication numberPublication date
JPWO2013154169A1 (en)2015-12-17
JP5890008B2 (en)2016-03-22

Similar Documents

PublicationPublication DateTitle
US12434766B2 (en)Methods and systems for lane changes using a multi-corridor representation of local route regions
CN111580524B (en)Vehicle lane changing method, device and equipment based on path planning and storage medium
JP5510007B2 (en) Route search device and route guidance system
US11940291B2 (en)Method for updating a map of the surrounding area, device for executing method steps of said method on the vehicle, vehicle, device for executing method steps of the method on a central computer, and computer-readable storage medium
EP3703030B1 (en)Server and vehicle assistance system
CN110268457B (en)Method for determining a collective maneuver of at least two vehicles, computer program product, computer-readable medium, controller and vehicle comprising the controller
WO2013154169A1 (en)Traffic management system for mobile body
CN111044066B (en) support control system
JP6380274B2 (en) Navigation device for autonomous vehicles
KR102790714B1 (en)Sampling-based maneuver realizer
US20180087907A1 (en)Autonomous vehicle: vehicle localization
US20200126408A1 (en)Method for automatically producing and updating a data set for an autonomous vehicle
CN111016872A (en)Vehicle path planning
EP3987249B1 (en)A navigation route planning method for autonomous vehicles
US20210261156A1 (en)Systems and methods for generating simulation scenario definitions for an autonomous vehicle system
EP3516422A1 (en)Autonomous vehicle: vehicle localization
JP5126589B2 (en) Parking assistance system
CN107710302A (en)Parking lot mapping system
JPWO2020116264A1 (en) Vehicle driving support method, vehicle driving support device and automatic driving system
JP2016161456A (en) Vehicle map data processing device
EP3702867A1 (en)Server and vehicle control system
US20180315305A1 (en)Determination of a road work area characteristic set
JP2023038241A (en)Information processing device
WO2022226477A1 (en)Systems and methods for simulation supported map quality assurance in an autonomous vehicle context
KR20220107881A (en)Surface guided vehicle behavior

Legal Events

DateCodeTitleDescription
121Ep: the epo has been informed by wipo that ep was designated in this application

Ref document number:13775938

Country of ref document:EP

Kind code of ref document:A1

ENPEntry into the national phase

Ref document number:2014510202

Country of ref document:JP

Kind code of ref document:A

NENPNon-entry into the national phase

Ref country code:DE

122Ep: pct application non-entry in european phase

Ref document number:13775938

Country of ref document:EP

Kind code of ref document:A1


[8]ページ先頭

©2009-2025 Movatter.jp