Movatterモバイル変換


[0]ホーム

URL:


WO2013135674A1 - Insecticidal 2-aryl-acetamide compounds - Google Patents

Insecticidal 2-aryl-acetamide compounds
Download PDF

Info

Publication number
WO2013135674A1
WO2013135674A1PCT/EP2013/054969EP2013054969WWO2013135674A1WO 2013135674 A1WO2013135674 A1WO 2013135674A1EP 2013054969 WEP2013054969 WEP 2013054969WWO 2013135674 A1WO2013135674 A1WO 2013135674A1
Authority
WO
WIPO (PCT)
Prior art keywords
spp
substituted
fluoro
alkylene
hydrogen
Prior art date
Application number
PCT/EP2013/054969
Other languages
French (fr)
Inventor
Jérôme Yves CASSAYRE
Myriem El Qacemi
Original Assignee
Syngenta Participations Ag
Priority date (The priority date is an assumption and is not a legal conclusion. Google has not performed a legal analysis and makes no representation as to the accuracy of the date listed.)
Filing date
Publication date
Application filed by Syngenta Participations AgfiledCriticalSyngenta Participations Ag
Publication of WO2013135674A1publicationCriticalpatent/WO2013135674A1/en

Links

Classifications

Definitions

Landscapes

Abstract

The present invention provides compound of formula I (I) wherein A1 is C-R5b; A2, A3 and A4 are independently of one another C-H or C-R5a, or nitrogen; G1 is oxygen; Y1--Y2-Y3 is -C=N-0-; X1 is halogen; X2 is hydrogen, or halogen; R3 is C1-C8haloalkyl; R4is aryl or aryl substituted by one to five R9, or heteroaryl or heteroaryl substituted by one to five R9; and R1, R2, R5a, R5band R9 are as defined in the claims. The invention also relates to methods of controlling insects, acarines, nematodes or molluscs which comprises applying to a pest, to a locus of a pest, or to a plant susceptible to attack by a pest an insecticidally, acaricidally, nematicidally or molluscicidally effective amount of a compound of formula I.

Description

I SECTICIDAL 2-ARYL-ACETAMIDE COMPOUNDS
The present invention relates to certain amide derivatives, to insecticidal, acaricidal, nematicidal and molluscicidal compositions comprising these compounds and to methods of using these compounds to control insect, acarine, nematode and mollusc pests.
Certain isoxazoline derivatives with insecticidal properties are disclosed, for example, in EP
1,731,512. However there is a continuing need to find new biologically active compounds as well as new biologically active compounds displaying superior properties for use as agrochemical active ingredients, for example greater biological activity, different spectrum of activity, increased safety profile, or increased biodegradability. It has now surprisingly been found that certain orthosubstituted 2-aryl- acetamides have insecticidal properties.
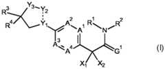
Accordingly in a first aspect the invention provides compounds of formula I
Figure imgf000002_0001
wherein A1 is C-R5b;
A2, A3 and A4 are independently of one another C-H or C-R5a, or nitrogen;
G1 is oxygen;
Figure imgf000002_0002
Xi is halogen;
X2 is hydrogen, or halogen;
R1 is hydrogen, Ci-Cgalkyl, d-Cgalkoxy, Ci-Cgalkylcarbonyl, or Ci-Cgalkoxycarbonyl;
R2 is Ci-Cgalkyl or Ci-Cgalkyl substituted by one to five R6, Ci-Cgalkenyl or Ci-Cgalkenyl substituted by one to five R6, Q-Cgalkynyl or Q-Cgalkynyl substituted by one to five R6, C3-Ci0cycloalkyl or C3- Ciocycloalkyl substituted by one to five R7, aryl-Ci-C4alkylene- or aryl-Ci-C4alkylene- wherein the aryl moiety is substituted by one to five R8, heterocyclyl-Ci-C4alkylene- or heterocyclyl-Ci-C4alkylene- wherein the heterocyclyl moiety is substituted by one to five R8, aryl or aryl substituted by one to five R8, heterocyclyl or heterocyclyl substituted by one to five R8, Ci-Cgalkylaminocarbonyl-Ci-C4alkylene, Cr Cghaloalkylaminocarbonyl-Ci-C alkylene, C3-Cgcycloalkyl-aminocarbonyl-Ci-C alkylene, Ci-C6alkyl-0- N=CH-, CrC6haloalkyl-0-N=CH-, or group Al
Figure imgf000002_0003
RJ is CrCghaloalkyl; R4 is aryl or aryl substituted by one to five R9, or heteroaryl or heteroaryl substituted by one to five R9; R5a is halogen, cyano, nitro, Ci-Cgalkyl, Ci-Cghaloalkyl, Ci-Cgalkenyl, Ci -Cghaloalkenyl, Ci-Cgalkynyl, Ci-Cghaloalkynyl, C3-Ciocycloalkyl, d-Cgalkoxy, Ci-Cghaloalkoxy, Ci-Cgalkylthio, Ci-Cghaloalkylthio, Ci-Cgalkylsulfinyl-, Ci-Cghaloalkylsulfinyl-, Ci-Cgalkylsulfonyl-, or Ci-Cghaloalkylsulfonyl-;
R5b is hydrogen, halogen, cyano, nitro, CpCgalkyl, Ci-Cghaloalkyl, Ci-Cgalkenyl, Ci -Cghaloalkenyl, Cp Cgalkynyl, Ci-Cghaloalkynyl, C3-Ciocycloalkyl, d-Cgalkoxy, Ci-Cghaloalkoxy, Ci-Cgalkylthio, Ci- Cghaloalkylthio, Ci-Cgalkylsulfinyl-, Ci-Cghaloalkylsulfinyl-, Ci-Cgalkylsulfonyl-, or Cr
Cghaloalkylsulfonyl-;
or R5a and R5b together form a -CH=CH-CH=CH- bridge or a -N=CH-CH=CH- bridge;
each R6 is independently halogen, cyano, nitro, hydroxy, CpCgalkoxy, Ci-Cghaloalkoxy, Cr
Cgalkylcarbonyl, CpCgalkoxycarbonyl, mercapto, Ci-Cgalkylthio, Ci-Cghaloalkylthio, Ci-Cgalkylsulfinyl, Ci-Cghaloalkylsulfinyl, Ci-Cgalkylsulfonyl or CpCghaloalkylsulfonyl;
each R7 is independently halogen or CpCgalkyl;
each R8 and R9 are independently halogen, cyano, nitro, CpCgalkyl, Ci-Cghaloalkyl, C2-C8alkenyl, C2- Cghaloalkenyl, C2-C8alkynyl, C2-C8haloalkynyl, hydroxy, Q-Cgalkoxy, Ci-Cghaloalkoxy, mercapto, Cr Cgalkylthio, Ci-Cghaloalkylthio, Ci-Cgalkylsulfinyl, Ci-Cghaloalkylsulfinyl, Ci-Cgalkylsulfonyl, d- Cghaloalkylsulfonyl, Ci-Cgalkylcarbonyl, Ci-Cgalkoxycarbonyl, aryl or aryl substituted by one to five R10, or heterocyclyl or heterocyclyl substituted by one to five R10;
each R10 is independently halogen, cyano, nitro, Ci-C4alkyl, Ci-C ihaloalkyl, Ci-C4alkoxy, or d- C4haloalkoxy;
R11 is hydrogen, CpCgalkyl or Ci-Cgalkyl substituted by one to five R6, Ci-Cgalkenyl or Ci-Cgalkenyl substituted by one to five R6, Ci-Cgalkynyl or Ci-Cgalkynyl substituted by one to five R6, C3- Ciocycloalkyl or C3-Ciocycloalkyl substituted by one to five R7, C3-Ciocycloalkyl-Ci-C4alkylene or C3- Ciocycloalkyl-Ci-C4alkylene substituted by one to five R7, aryl-Ci-C4alkylene- or aryl-Ci-C4alkylene- wherein the aryl moiety is substituted by one to five R8, heterocyclyl-Ci-C4alkylene- or heterocyclyl-Cr C4alkylene- wherein the heterocyclyl moiety is substituted by one to five R8, aryl or aryl substituted by one to five R8, heterocyclyl or heterocyclyl substituted by one to five R8 or a salt or N-oxide thereof.
The compounds of formula (I) may exist in different geometric or optical isomers or tautomeric forms. This invention covers all such isomers and tautomers and mixtures thereof in all proportions as well as isotopic forms such as deuterated compounds. The invention also covers salts and N-oxides of the compounds of the invention.
The compounds of the invention may contain one or more asymmetric carbon atoms, and may exist as enantiomers (or as pairs of diastereoisomers) or as mixtures of such.
Alkyl groups (either alone or as part of a larger group, such as alkoxy-, alkylthio-, alkylsulfinyl-, alkylsulfonyl-, alkylcarbonyl- or alkoxycarbonyl-) can be in the form of a straight or branched chain and are, for example, methyl, ethyl, propyl, prop-2-yl, butyl, but-2-yl, 2 -methyl-prop -1-yl or 2-methyl-prop-2- yl. The alkyl groups are preferably C1-C6, more preferably C1-C4, most preferably C1-C3 alkyl groups. Where an alkyl moiety is said to be substituted, the alkyl moiety is preferably substituted by one to four substituents, most preferably by one to three substituents.
Alkylene groups can be in the form of a straight or branched chain and are, for example, -CH2- , -CH2-CH2-, -CH(CH3)-, -CH2-CH2-CH2-, -CH(CH3)-CH2-, or -CH(CH2CH3)-. The alkylene groups are preferably C1-C3, more preferably C1-C2, most preferably Ci alkylene groups.
Alkenyl groups can be in the form of straight or branched chains, and can be, where appropriate, of either the (E)- or (Z) -configuration. Examples are vinyl and allyl. The alkenyl groups are preferably C2-C6, more preferably C2-C4, most preferably C2-C3 alkenyl groups.
Alkynyl groups can be in the form of straight or branched chains. Examples are ethynyl and propargyl. The alkynyl groups are preferably C2-C6, more preferably C2-C4, most preferably C2-C3 alkynyl groups.
Halogen is fluorine, chlorine, bromine or iodine.
Haloalkyl groups (either alone or as part of a larger group, such as haloalkoxy-, haloalkylthio-, haloalkylsulfinyl- or haloalkylsulfonyl-) are alkyl groups which are substituted by one or more of the same or different halogen atoms and are, for example, difluoromethyl, trifluoromethyl,
chlorodifluoromethyl or 2,2,2-trifluoro-ethyl.
Haloalkenyl groups are alkenyl groups which are substituted by one or more of the same or different halogen atoms and are, for example, 2,2-difluoro-vinyl or 1 ,2-dichloro-2-fluoro-vinyl.
Haloalkynyl groups are alkynyl groups which are substituted by one or more of the same or different halogen atoms and are, for example, l-chloro-prop-2-ynyl.
Cycloalkyl groups or carbocyclic rings can be in mono- or bi-cyclic form and are, for example, cyclopropyl, cyclobutyl, cyclohexyl and bicyclo[2.2.1]heptan-2-yl. The cycloalkyl groups are preferably C3-Cg, more preferably C3-C6 cycloalkyl groups. Where a cycloalkyl moiety is said to be substituted, the cycloalkyl moiety is preferably substituted by one to four substituents, most preferably by one to three substituents.
Carbocycles are cycloalkyl groups.
Aryl groups (either alone or as part of a larger group, such as aryl-alkylene-) are aromatic ring systems which can be in mono-, bi- or tricyclic form. Examples of such rings include phenyl, naphthyl, anthracenyl, indenyl or phenanthrenyl. Preferred aryl groups are phenyl and naphthyl, phenyl being most preferred. Where an aryl moiety is said to be substituted, the aryl moiety is preferably substituted by one to four substituents, most preferably by one to three substituents.
Heteroaryl groups (either alone or as part of a larger group, such as heteroaryl-alkylene-) are aromatic ring systems containing at least one heteroatom and consisting either of a single ring or of two or more fused rings. Preferably, single rings will contain up to three heteroatoms and bicyclic systems up to four heteroatoms which will preferably be chosen from nitrogen, oxygen and sulfur. Examples of monocyclic groups include pyridyl, pyridazinyl, pyrimidinyl, pyrazinyl, pyrrolyl, pyrazolyl, imidazolyl, triazolyl (e.g. 1.2.4 triazoyl), furanyl, thiophenyl, oxazolyl, isoxazolyl, oxadiazolyl, thiazolyl, isothiazolyl and thiadiazolyl. Examples of bicyclic groups include purinyl, quinolinyl, cinnolinyl, quinoxalinyl, indolyl, indazolyl, benzimidazolyl, benzothiophenyl and benzothiazolyl. Monocyclic heteroaryl groups are preferred, pyridyl being most preferred. Where a heteroaryl moiety is said to be substituted, the heteroaryl moiety is preferably substituted by one to four substituents, most preferably by one to three substituents.
Heterocyclyl groups or heterocyclic rings (either alone or as part of a larger group, such as heterocyclyl-alkylene-) are defined to include heteroaryl groups and in addition their unsaturated or partially unsaturated analogues. Examples of monocyclic groups include isoxazolyl, thietanyl, pyrrolidinyl, tetrahydrofuranyl, [l ,3]dioxolanyl, piperidinyl, piperazinyl, [l ,4]dioxanyl, and morpholinyl or their oxidised versions such as 1 -oxo-thietanyl and 1 ,1 -dioxo-thietanyl. Examples of bicyclic groups include 2,3-dihydro-benzofuranyl, benzo[l ,4]dioxolanyl, benzo[l ,3]dioxolanyl, chromenyl, and 2,3- dihydro-benzo[l ,4]dioxinyl. Where a heterocyclyl moiety is said to be substituted, the heterocyclyl moiety is preferably substituted by one to four substituents, most preferably by one to three substituents.
Heterocycles are heterocyclyl groups.
Preferred values of A1, A2, A3, A4, G1, R1, R2, R3, R4, X X2, Y1, Y2, Y3, R5a, R5b, R6, R7, R8, R9,
R10, Ru, R12 and R13 are, in any combination, as set out below.
Preferably no more than two of A2, A3 and A4 are nitrogen.
Preferably A2 is C-H or C-R5a, most preferably A2 is C-H.
Preferably A3 is C-H or N, most preferably A3 is C-H.
Preferably A4 is C-H or N, most preferably A4 is C-H.
Preferably A2 is C-H and A3 and A4 are C-H or one of A3 and A4 is N. More preferably A2, A3 and A4 are C-H.
Preferably Xi is fluorine.
Preferably X2 is hydrogen or fluorine, most preferably fluorine, more preferably Xi is fluorine, and X2 is hydrogen or fluorine. In one group of compounds X1 is fluorine and X2 is hydrogen. In another group of compounds X1 and X2 are both fluorine.
Preferably R1 is hydrogen, methyl, ethyl, methylcarbonyl, or methoxycarbonyl, more preferably hydrogen, methyl or ethyl, even more preferably hydrogen or methyl, most preferably hydrogen.
Preferably, R2 is Ci-C8alkyl or CpCgalkyl substituted by one to five R6, C3-Ci0cycloalkyl or C3- Ciocycloalkyl substituted by one to five R7, aryl-Ci-C4 alkylene- or aryl-Ci-C4alkylene- wherein the aryl moiety is substituted by one to five R8, heterocyclyl-Ci-C4alkylene- or heterocyclyl-Ci-C4 alkylene - wherein the heterocyclyl moiety is substituted by one to five R8, aryl or aryl substituted by one to five R8, heterocyclyl or heterocyclyl substituted by one to five R8, Ci-C8alkylaminocarbonyl-Ci-C4 alkylene, Q- Cghaloalkylaminocarbonyl-Ci-C i alkylene, C3-Cgcycloalkyl-aminocarbonyl-Ci-C4 alkylene, or group Al , wherein each aryl group is a phenyl group and each heterocyclyl group is independently selected from pyridyl, pyridazinyl, pyrimidinyl, pyrazinyl, pyrrolyl, pyrazolyl, imidazolyl, triazolyl,
tetrahydrothiophenyl, tetrazolyl, furanyl, thiophenyl, oxazolyl, isoxazolyl, oxadiazolyl, thiazolyl, isothiazolyl, thiadiazolyl, quinolinyl, cinnolinyl, quinoxalinyl, indolyl, indazolyl, benzimidazolyl, benzothiophenyl, benzothiazolyl, oxetanyl, thietanyl, oxo -thietanyl, dioxo-thietanyl, pyrrolidinyl, tetrahydrofuranyl, [l,3]dioxolanyl, piperidinyl, piperazinyl, [l,4]dioxanyl, and morpholinyl, 2,3-dihydro- benzofuranyl, benzo[l,3]dioxolanyl, and 2,3-dihydro-benzo[l,4]dioxinyl.
More preferably R2 is CpCgalkyl or Q-Cgalkyl substituted by one to five R6, C3-Ciocycloalkyl or
C3-Ciocycloalkyl substituted by one to five R7, phenyl-Ci-C4alkylene- or phenyl-Ci-C4alkylene- wherein the phenyl moiety is substituted by one to five R8, pyridyl-Ci-C4alkylene- or pyridyl-Ci-C4alkylene- wherein the pyridyl moiety is substituted by one to four R8, oxetanyl or oxetanyl substituted by one to five R8, thietanyl-Ci-C4 alkylene or thietanyl-Ci-C4 alkylene wherein the thietanyl moiety is substituted by one to five R8, oxo-thietanyl-Ci-C4 alkylene or oxo-thietanyl-Ci-C4 alkylene wherein the oxo- thietanyl moiety is substituted by one to five R8, dioxo-thietanyl-Ci-C4 alkylene or dioxo-thietanyl-Ci-C4 alkylene wherein the dioxo-thietanyl moiety is substituted by one to five R8, thietanyl or thietanyl substituted by one to five R8, oxo-thietanyl or oxo-thietanyl substituted by one to five R8, dioxo-thietanyl or dioxo-thietanyl substituted by one to five R8, Ci-C8alkylaminocarbonyl-Ci-C4 alkylene, Cr
C8haloalkylaminocarbonyl-Ci-C4 alkylene, or C3-Cgcycloalkyl-aminocarbonyl-Ci-C4 alkylene, or group Al .
Even more preferably R2 is Ci-C4alkyl or Ci-C4alkyl substituted by one to five R6, C4-C6cyclo- alkyl or C4-C6cycloalkyl substituted by one to five R7, phenyl-Ci-C2alkylene- or phenyl-Ci-C2alkylene- wherein the phenyl moiety is substituted by one to five R8, pyridyl-Ci-C2alkylene- or pyridyl-Cr C2alkylene- wherein the pyridyl moiety is substituted by one to four R8, thietanyl or thietanyl substituted by one to five R8, oxo-thietanyl or oxo-thietanyl substituted by one to five R8, dioxo-thietanyl or dioxo- thietanyl substituted by one to five R8, Ci-Cgalkylaminocarbonyl-Ci-C4 alkylene, Cp
Cghaloalkylaminocarbonyl-Ci-C4 alkylene, or C3-Cgcycloalkyl-aminocarbonyl-Ci-C4 alkylene, or group Al .
Most peferably R2 is Ci-C4alkyl or Ci-C4alkyl substituted by one to five R6, C4-C6cycloalkyl or
C4-C6cycloalkyl substituted by one to five R7, phenyl-Ci-C2alkylene- or phenyl-Ci-C2alkylene- wherein the phenyl moiety is substituted by one to five R8, pyridyl-Ci-C2alkylene- or pyridyl-Ci-C2alkylene- wherein the pyridyl moiety is substituted by one to four R8, thietanyl or thietanyl substituted by one to five R8, oxo-thietanyl or oxo-thietanyl substituted by one to five R8, dioxo-thietanyl or dioxo-thietanyl substituted by one to five R8.
In one group of compounds R2 is Ci-C4alkyl or Ci-C4alkyl substituted by one to five R6.
In one group of compounds R2 is C4-C6cycloalkyl or C4-C6cycloalkyl substituted by one to five
R7.
In one group of compounds R2 is phenyl-Ci-C2alkylene- or phenyl-Ci-C2alkylene- wherein the phenyl moiety is substituted by one to five R8, or pyridyl-Ci-C2alkylene- or pyridyl-Ci-C2alkylene- wherein the pyridyl moiety is substituted by one to four R8, In one group of compounds R2 is thietanyl or thietanyl substituted by one to five R8, oxo-thietanyl or oxo-thietanyl substituted by one to five R8, dioxo-thietanyl or dioxo-thietanyl substituted by one to five R8. Preferably the thietany moiety is linked at the 3 position.
In one group of compounds R2 is group Al .
Preferably R3 is chlorodifluoromethyl or trifluoromethyl, most preferably trifluoromethyl.
Preferably R4 is aryl or aryl substituted by one to three R9, more preferably R4 is phenyl or phenyl substituted by one to three R9, even more preferably R4 is phenyl substituted by one to three R9. In one group of compounds R4 is group B 1
Figure imgf000007_0001
wherein X3 is C-R12 or nitrogen (preferably C-R12) and each R12 is independently hydrogen, halogen or trihalomethyl, wherein at least two R12 are not hydrogen.
Example of R4 include 3,5-dichlorophenyl, 3-chloro-4-fluorophenyl, 3-fluoro-4-chlorophenyl, 3,4-dichlorophenyl, 3-chloro-4-bromophenyl, 3,5-dichloro-4-fluorophenyl, 3,4,5-trichlorophenyl, 3,5- dichloro-4-iodophenyl, 3,4,5-trifluorophenyl, 3-chloro-5-bromophenyl, 3-chloro-5-fluorophenyl, 3- chloro-5-(trifluoromethyl)phenyl, 3,4-dichloro-5-(trifluoromethyl)phenyl, 3,5-bis(trifluoromethyl)phenyl, 4-chloro-3,5-bis(trifluoromethyl)phenyl, 3-(trifluoromethyl)phenyl, 2,6-dichloro-4-pyridyl, 2,6- bis(trifluoromethyl)-4-pyridyl, 2-chloro-4-pyridyl-, 2-trifluoromethyl-4-pyridyl, more preferably 3,5- dichloro-phenyl, 3-chloro-5-bromophenyl, 3-chloro-5-(trifluoromethyl)phenyl, 3,5-dichloro-4- fluorophenyl, 3,4,5-trichlorophenyl, 3,5-bis(trifluoromethyl)phenyl, 3-(trifluoromethyl)phenyl, 2,6- dichloro-4-pyridyl, 2,6-bis(trifluoromethyl)-4-pyridyl, 3,5-dichloro-4-bromophenyl, 3-bromo-5- (trifluoromethyl)phenyl, 3,5-dibromophenyl, or 3,4-dichlorophenyl, 2-chloro-4-pyridyl-, 2- trifluoromethyl-4-pyridyl, even more preferably 3,5-dichloro-phenyl, 3,5-dichloro-4-fluorophenyl, 3,4,5- trichlorophenyl, 3-(trifluoromethyl)phenyl, 3,5-bis(trifluoromethyl)phenyl, most preferably 3,5-dichlorophenyl, 3,5-dichloro-4-fluorophenyl, or 3,4,5-trichlorophenyl-. In one group of compounds R4 is 3,5- dichloro-phenyl. In one group of compounds R4 is 3,5-dichloro-4-fluorophenyl-. In one group of compounds R4 is 3,4,5-trichlorophenyl-. In one group of compounds R4 is 3,5-bis(trifluoromethyl)phenyl.
Preferably each R5a is independently halogen, cyano, nitro, CpCgalkyl, C3-Cgcycloalkyl, d- Cghaloalkyl, C2-Cgalkenyl, more preferably halogen, cyano, nitro, CpCgalkyl, C2-Cg alkenyl, C3- Cgcycloalkyl, Ci-Cghaloalkyl, even more preferably bromo, chloro, fluoro, cyano, nitro, methyl, ethyl, trifluoromethyl, cyclopropyl, vinyl, yet even more preferably bromo, chloro, fluoro, cyclopropyl, trifluoromethyl, vinyl, or methyl.
Preferably R5b is hydrogen, halogen, cyano, nitro, CpCgalkyl, C3-Cgcycloalkyl, Ci-Cghaloalkyl, C2-C8alkenyl, more preferably hydrogen, halogen, cyano, Q-Cgalkyl, C2-C8 alkenyl, C3-C8cycloalkyl, Cr Cghaloalkyl, even more preferably hydrogen, bromo, chloro, fluoro, cyano, nitro, methyl, ethyl, trifluoromethyl, cyclopropyl, vinyl, even more preferably hydrogen, bromo, chloro, fluoro, methyl or trifluoromethyl, most preferably hydrogen, bromo, chloro, fluoro or methyl. In one group of compounds R5b is bromo, chloro, fluoro or methyl.
Preferably each R6 is independently halogen, nitro, cyano, Ci-C4alkyl, Ci-C ihaloalkyl, Q-
C4alkoxy, Ci-C ihaloalkoxy, more preferably bromo, chloro, fluoro, cyano, nitro, methyl, ethyl, trifluoromethyl, methoxy, difluoromethoxy, trifluoromethoxy, more preferably chloro, fluoro, cyano, nitro, methyl, ethyl, trifluoromethyl, methoxy, or trifluoromethoxy, most preferably bromo, chloro, or trifluoromethyl.
Preferably each R7 is independently chloro, fluoro or methyl, most preferably fluoro or methyl.
Preferably each R8 is independently halogen, cyano, nitro, CpCsalkyl, Ci-Cshaloalkyl, Q- C8alkoxy, Ci-Cghaloalkoxy, more preferably bromo, chloro, fluoro, cyano, nitro, methyl, ethyl, trifluoromethyl, methoxy, difluoromethoxy, or trifluoromethoxy, most preferably bromo, chloro, fluoro, cyano or methyl.
Preferably each R9 is independently halogen, Q-Cgalkyl, Ci-Cghaloalkyl, Q-Cgalkoxy, d-
Cghaloalkoxy, Ci-Cgalkylthio, or Ci-Cghaloalkylthio, more preferably bromo, chloro, fluoro,
trifluoromethyl, methoxy, or methylthio, most preferably bromo or chloro.
Preferably each R10 is independently bromo, chloro, fluoro, cyano, nitro, methyl, ethyl, trifluoromethyl, methoxy, difluoromethoxy, or trifluoromethoxy, more preferably bromo, chloro, fluoro, nitro, or methyl, most preferably chloro, fluoro, or methyl.
Preferably R11 is Ci-C4alkyl, Ci-C4haloalkyl, Ci-C4cyanoalkyl, C3-C6cycloalkyl, C3-C6cycloalkyl- Ci-C2alkylene, C2-C4alkenyl, C2-C4haloalkenyl, C2-C4alkynyl, C2-C4haloalkynyl, oxetanyl, thietanyl, oxo- thietanyl, dioxo-thietanyl, benzyl or benzyl substituted by one to three R13, or R11 is pyridyl -methyl- or pyridyl-methyl- substituted by one to three R13; more preferably Ci-C4alkyl, Ci-C4haloalkyl, most preferably methyl, ethyl or trifluoroethyl.
Further examples of R11 include methyl, ethyl, propyl, isopropyl, butyl, cyclopropyl, cyclopropyl- methyl, cyclobutyl, cyclobutyl-methyl, oxetanyl, thietanyl, oxo-thietanyl, dioxo-thietanyl, trifluoroethyl, difluoroethyl, allyl, propargyl, cyanomethyl, benzyl, benzyl substituted by one to three R13, or R11 is pyridyl-methyl- or pyridyl-methyl- substituted by one to three R13.
Each R13 is independently halogen, cyano, Ci-C4alkyl, Ci-C4haloalkyl, Ci-C4alkoxy or Cr
C4haloalkoxy, more preferably fluoro, chloro, bromo, trifluoromethyl, trifluoromethoxy, cyano or methoxy.
A particularly preferred embodiment is represented by compounds of formula IA
Figure imgf000009_0001
wherein R3, R4, R5b, X1, X2, R1 and R2, including preferred definitions thereof, are as defined for compounds of formula I. Preferably R5b is hydrogen, bromo, chloro, fluoro, or methyl. Preferably X1 is fluorine and X2 is hydrogen or fluorine.
In one group of compounds R5a and R5b together form a -CH=CH-CH=CH- bridge or a -N=CH-
CH=CH- bridge (wherein R5a and R5b are on adjacent carbon atoms).
In one group of compounds A2 is C-H and A3 and A4 are C-H or one of A3 and A4 is N; G1 is O, R3 is chlorodifluoromethyl or trifluoromethyl; R4 is group B l .
In one group of compounds A2 is C-H and A3 and A4 are C-H or one of A3 and A4 is N; G1 is O, R1 is H, R3 is chlorodifluoromethyl or trifluoromethyl; R4 is group B l .
In one group of compounds A2, A3 and A4 are C-H; G1 is O, R1 is H, R3 is chlorodifluoromethyl or trifluoromethyl; R4 is group B l .
In one group of compounds A2, A3 and A4 are C-H; G1 is O, R1 is H, R3 is chlorodifluoromethyl or trifluoromethyl; R4 is group Bl ; R5b is hydrogen, bromo, chloro, fluoro, or methyl.
In one group of compounds A2, A3 and A4 are C-H, G1 is O, R1 is H, R3 is chlorodifluoromethyl or trifluoromethyl, R4 is group B l , and R5b is bromo, chloro, fluoro, or methyl.
In one group of compounds Xi is halogen, and X2 is hydrogen or halogen and R2 is Ci-C4alkyl or Ci-C4alkyl substituted by one to five R6, C4-C6cycloalkyl or C4-C6cycloalkyl substituted by one to five R7, phenyl-Ci-C2alkylene- or phenyl-Ci-C2alkylene- wherein the phenyl moiety is substituted by one to five R8, pyridyl-Ci-C2alkylene- or pyridyl-Ci-C2alkylene- wherein the pyridyl moiety is substituted by one to four R8, thietanyl or thietanyl substituted by one to five R8, oxo-thietanyl or oxo-thietanyl substituted by one to five R8, dioxo-thietanyl or dioxo-thietanyl substituted by one to five R8, Ci-C8alkylaminocarbonyl- C1-C4 alkylene, Ci-C8haloalkylaminocarbonyl-Ci-C alkylene, or C3-C8cycloalkyl-aminocarbonyl-Ci-C alkylene, or group Al .
In one group of compounds X1 is fluorine and X2 is hydrogen or fluorine and R2 is Ci-C4alkyl or
Ci-C4alkyl substituted by one to five R6, C4-C6cycloalkyl or C4-C6cycloalkyl substituted by one to five R7, phenyl-Ci-C2alkylene- or phenyl-Ci-C2alkylene- wherein the phenyl moiety is substituted by one to five R8, pyridyl-Ci-C2alkylene- or pyridyl-Ci-C2alkylene- wherein the pyridyl moiety is substituted by one to four R8, thietanyl or thietanyl substituted by one to five R8, oxo-thietanyl or oxo-thietanyl substituted by one to five R8, dioxo-thietanyl or dioxo-thietanyl substituted by one to five R8, Ci-Cgalkylaminocarbonyl- C1-C4 alkylene, Ci-Cghaloalkylaminocarbonyl-Ci-C4 alkylene, or C3-Cgcycloalkyl-aminocarbonyl-Ci-C4 alkylene, or group Al . In one group of compounds of formula I
A1 is C-R5b;
A2, A3 and A4 are independently of one another C-H;
G1 is oxygen;
Figure imgf000010_0001
Xi is halogen;
X2 is hydrogen or halogen;
R1 is hydrogen;
R2 is Ci-C4alkyl or Ci-C4alkyl substituted by one to five R6, C4-C6cycloalkyl or C4-C6cycloalkyl substituted by one to five R7, phenyl-Ci-C2alkylene- or phenyl-Ci-C2alkylene- wherein the phenyl moiety is substituted by one to five R8, pyridyl-Ci-C2alkylene- or pyridyl-Ci-C2alkylene- wherein the pyridyl moiety is substituted by one to four R8, thietanyl or thietanyl substituted by one to five R8, oxo-thietanyl or oxo-thietanyl substituted by one to five R8, dioxo-thietanyl or dioxo-thietanyl substituted by one to five R8, Ci-C8alkylaminocarbonyl-Ci-C alkylene, Ci-C8haloalkylaminocarbonyl-Ci-C alkylene, or C3- Cgcycloalkyl-aminocarbonyl-Ci-C t alkylene, or group Al
Figure imgf000010_0002
R is chlorodifluoromethyl or trifluoromethyl;
R4 is group B 1
Figure imgf000010_0003
wherein X is C-R or nitrogen;
R5B is hydrogen, bromo, chloro, fluoro, methyl or trifluoromethyl;
each R6 is independently halogen, Ci-C4alkyl, Ci-C4haloalkyl, Ci-C4alkoxy, Ci-C4haloalkoxy;
each R7 is independently halogen or Q-Cgalkyl;
each R8 is independently halogen, cyano, nitro, Q-Cgalkyl, Ci-Cghaloalkyl, Q-Cgalkoxy, Q- Cghaloalkoxy;
R11 is d-Qalkyl or CrC4haloalkyl;
each R12 is independently hydrogen, halogen or trihalomethyl, wherein at least two R12 are not hydrogen; or a salt or N-oxide thereof.
In one group of compounds of formula I
A S C-R5'; A2, A3 and A4 are independently of one another C-H;
G1 is oxygen;
Figure imgf000011_0001
Xi is fluorine;
X2 is hydrogen or fluorine;
R1 is hydrogen;
R2 is Ci-C4alkyl or Ci-C4alkyl substituted by one to five R6, C4-C6cycloalkyl or C4-C6cycloalkyl substituted by one to five R7, phenyl-Ci-C2alkylene- or phenyl-Ci-C2alkylene- wherein the phenyl moiety is substituted by one to five R8, pyridyl-Ci-C2alkylene- or pyridyl-Ci-C2alkylene- wherein the pyridyl moiety is substituted by one to four R8, thietanyl or thietanyl substituted by one to five R8, oxo-thietanyl or oxo-thietanyl substituted by one to five R8, dioxo-thietanyl or dioxo-thietanyl substituted by one to five
R8;
R3 is chlorodifiuoromethyl or trifiuoromethyl;
R4 is group B 1
Figure imgf000011_0002
wherein X3 is C-R12;
R5b is hydrogen, bromo, chloro, fluoro, methyl or trifiuoromethyl;
each R6 is independently halogen, Ci-C4alkyl, Ci-C4haloalkyl, CrQalkoxy, Ci-C4haloalkoxy;
each R7 is independently chloro, fluoro or methyl;
each R8 is independently halogen, cyano, nitro, Q-Cgalkyl, Ci-Cghaloalkyl, Q-Cgalkoxy, Q- Cghaloalkoxy;
each R12 is independently hydrogen, halogen or trihalomethyl, wherein at least two R12 are not hydrogen; or a salt or N-oxide thereof.
The preferred substituent values of the compounds of formula I also apply to the above embodiments where possible.
Accordingly, in a further aspect the invention provides compounds of formula Int-I
(Int-I)
Figure imgf000011_0003
wherein Yb Y2, Y3, A1, A2, A3, A4, X1, X2, R3 and R4 are as defined for the compound of formula I, R is OH or CrC6alkoxy, or a salt of N-oxide thereof. Preferred definitions of A1, A2, A3, A4, X1, X2, R3 and R\ are as defined for compounds of formula I.
In a further aspect the invention provides compounds of formula Int-II
Figure imgf000012_0001
wherein A1, A2, A3, A4, X1 and X2 are as defined for the compound of formula I; R is OH or Ci-C6alkoxy, and XB is a leaving group, e.g. halogen, such as bromo, or XB is cyano, formyl or acetyl, or a salt of N- oxide thereof. Preferred definitions of A1, A2, A3, A4, X1 and X2 are as defined for compounds of formula I.
In a further aspect the invention provides compounds of formula Int-III
Figure imgf000012_0002
1 2 3 4 1 2 1 2 B wherein A , A , A A X1, X R , and R" are as defined for the compound of formula I; and X is a leaving group, e.g. halogen, such as bromo, or XB is cyano, formyl or acetyl, or a salt of N-oxide thereof.
1 2 3 4 1 2 1 2
Preferred definitions of A , PC, A PC, X1, X R and R" are as defined for compounds of formula I.
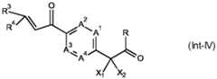
In a further aspect the invention provides compounds of formula Int-IV
Figure imgf000012_0003
wherein A1, A2, A3, A4, X1, X2, R3 and R4 are as defined for the compound of formula I, R is OH or Q- C6alkoxy, or a salt of N-oxide thereof. Preferred definitions of A1, A2, A3, A4, X1, X2, R3 and R4 are as defined for compounds of formula I.
In a further aspect the invention provides compounds of formula Int-V
Figure imgf000013_0001
wherein A 1 , A2,
Figure imgf000013_0002
R1 , R2 R3J and R 4* are as defined for the compound of formula I, or a salt of N-oxide thereof. Preferred definitions of A1, A2, A3, A4, X1, X2, R1, R2, R3 and R4 are as defined for compounds of formula I.
In a further aspect the invention provides compounds of formula Int-VI
Figure imgf000013_0003
wherein Yb Y2, Y3, A1, A2, A3, A4, R3 and R4 are as defined for the compound of formula I, R is OH or Ci-Cealkoxy, or a salt of N-oxide thereof, wherein compounds wherein R is OCH3 or OCH2CH3 are excluded. Preferred definitions of A1, A2, A3, A4, R3 and R4 are as defined for compounds of formula I.
In a further aspect the invention provides compounds of formula Int-VII
Figure imgf000013_0004
wherein Yb Y2, Y3, A1, A2, A3, A4, R1, R2, R3 and R4 are as defined for the compound of formula I, or a salt of N-oxide thereof, wherein compounds with the following combinations of R1 and R2 are excluded: R1 is H and R2 is CH3, R1 is H and R2 is CH2CH3, R1 is H and R2 is CH2CH2CH3, R1 is H and R2 is CH2CF3. Preferred definitions of A1, A2, A3, A4, R1, R2, R3 and R4 are as defined for compounds of formula I
Some compounds of formula Int-VI and VII are disclosed in WO2011/091187. Such compounds are excluded from the scope of the present invention.
In a further aspect the invention provides a compound of formula Γ
Figure imgf000014_0001
wherein A1 is C-R5b;
A2, A3 and A4 are independently of one another C-H or C-R5a, or nitrogen;
G1 is oxygen or sulfur;
Yp-Yz-Ys is -C=N-0-, -C=N-S-, -C=N-CH2-, -C=CH-0-, or -N-CH2-CH2-;
Xi is halogen, Q-Cgalkyl, Ci-Cghaloalkyl, hydroxyl, cyano, Q-Cgalkoxy, Q-Cgalkenyl, Cr
Cghaloalkenyl, Q-Cgalkynyl, Ci-Cghaloalkynyl, C3-Ci0cycloalkyl, Q-Cgalkoxy, CpCghaloalkoxy, Cr Cgalkylthio, CpCghaloalkylthio, Ci-Cgalkylsulfinyl-, Ci-Cghaloalkylsulfinyl-, Ci-C8alkylsulfonyl-, or Q- Cghaloalkylsulfonyl-;
X2 is hydrogen, halogen, cyano, Q-Cgalkyl, CpCghaloalkyl, Q-Cgalkoxy, Q-Cgalkenyl, Cr
Cghaloalkenyl, Q-Cgalkynyl, CpCghaloalkynyl, C3-Ci0cycloalkyl, Q-Cgalkoxy, CpCghaloalkoxy, Cr Cgalkylthio, CpCghaloalkylthio, Ci-Cgalkylsulfinyl-, Ci-Cghaloalkylsulfinyl-, Ci-Cgalkylsulfonyl-, or Q- Cghaloalkylsulfonyl-;
or Xi and X2 together with the carbon to which they are attached form a 3 to 6-membered carbocycle or heterocycle;
R1 is hydrogen, Ci-Cgalkyl, d-Cgalkoxy, Ci-Cgalkylcarbonyl, or Ci-Cgalkoxycarbonyl;
R2 is Ci-Cgalkyl or Ci-Cgalkyl substituted by one to five R6, Ci-Cgalkenyl or Ci-Cgalkenyl substituted by one to five R6, Q-Cgalkynyl or CpCgalkynyl substituted by one to five R6, C3-Ciocycloalkyl or C3- Ciocycloalkyl substituted by one to five R7, aryl-Ci-C4alkylene- or aryl-Ci-C4alkylene- wherein the aryl moiety is substituted by one to five R8, heterocyclyl-Ci-C4alkylene- or heterocyclyl-Ci-C4alkylene- wherein the heterocyclyl moiety is substituted by one to five R8, aryl or aryl substituted by one to five R8, heterocyclyl or heterocyclyl substituted by one to five R8, Ci-Cgalkylaminocarbonyl-Ci-C4alkylene, Cr Cghaloalkylaminocarbonyl-Ci-C4alkylene, C3-Cgcycloalkyl-aminocarbonyl-Ci-C4alkylene, Ci-C6alkyl-0- N=CH-, CrC6haloalkyl-0-N=CH-, or group Al ;
R3 is d-Cghaloalkyl;
R4 is aryl or aryl substituted by one to five R9, or heteroaryl or heteroaryl substituted by one to five R9; R5a is hydrogen, halogen, cyano, nitro, Q-Cgalkyl, CpCghaloalkyl, CpCgalkenyl, CpCghaloalkenyl, Cr Cgalkynyl, Ci-Cghaloalkynyl, C3-Ci0cycloalkyl, Q-Cgalkoxy, CpCghaloalkoxy, Ci-C8alkylthio, Cr Cghaloalkylthio, Ci-Cgalkylsulfinyl-, Ci-Cghaloalkylsulfinyl-, Ci-Cgalkylsulfonyl-, or Cr
Cghaloalkylsulfonyl-; R5b is halogen, cyano, nitro, Q-Qalkyl, Q-Qhaloalkyl, d-Cgalkenyl, Ci-Cghaloalkenyl, Q-Qalkynyl, Ci-Cghaloalkynyl, C3-Ciocycloalkyl, Q-Qalkoxy, Q-Qhaloalkoxy, Ci-Cgalkylthio, Ci-Cghaloalkylthio, Ci-Cgalkylsulfinyl-, Ci-Cghaloalkylsulfinyl-, Ci-Cgalkylsulfonyl-, or Ci-Cghaloalkylsulfonyl-;
each R6 is independently halogen, cyano, nitro, hydroxy, Q-Qalkoxy, Q-Qhaloalkoxy, Cp
Cgalkylcarbonyl, Q-Qalkoxycarbonyl, mercapto, Ci-Cgalkylthio, Ci-Cghaloalkylthio, Ci-Cgalkylsulfinyl, Ci-Cghaloalkylsulfinyl, Ci-Cgalkylsulfonyl or Ci-Cghaloalkylsulfonyl;
each R7 is independently halogen or Q-Qalkyl;
each R8 and R9 are independently halogen, cyano, nitro, Q-Qalkyl, Ci-Cghaloalkyl, C2-C8alkenyl, Q- Cghaloalkenyl, C2-C8alkynyl, C2-C8haloalkynyl, hydroxy, Q-Qalkoxy, Ci-Cghaloalkoxy, mercapto, Q- Cgalkylthio, Q-Qhaloalkylthio, Ci-Cgalkylsulfinyl, Ci-Cghaloalkylsulfinyl, Q-Qalkylsulfonyl, Q-
Cghaloalkylsulfonyl, Q-Qalkylcarbonyl, Q-Qalkoxycarbonyl, aryl or aryl substituted by one to five R10, or heterocyclyl or heterocyclyl substituted by one to five R10;
each R10 is independently halogen, cyano, nitro, Ci-C4alkyl, Ci-C4haloalkyl, Ci-C4alkoxy, or Q- C4haloalkoxy;
R11 is hydrogen, Q-Qalkyl or Q-Qalkyl substituted by one to five R6, Q-Qalkenyl or Q-Qalkenyl substituted by one to five R6, Ci-Cgalkynyl or Ci-Cgalkynyl substituted by one to five R6, Q- Ciocycloalkyl or C3-Ciocycloalkyl substituted by one to five R7, C3-Ciocycloalkyl-Ci-C4alkylene or Q- Ciocycloalkyl-Ci-C4alkylene substituted by one to five R7, aryl-Ci-C4alkylene- or aryl-Q -Qalkylene - wherein the aryl moiety is substituted by one to five R8, heterocyclyl-Ci-C4alkylene- or heterocyclyl-Q- Qalkylene- wherein the heterocyclyl moiety is substituted by one to five R8, aryl or aryl substituted by one to five R8, heterocyclyl or heterocyclyl substituted by one to five R8;
or a salt or N-oxide thereof.
In one embodiment Yp- Y2-Y3 is -C=N-S-. In another embodiment Yp- Y2-Y3 is -C=N-CH2-. In another embodiment Yp- Y2-Y3 is -C=CH-0-. In another embodiment Yp- Y2-Y3 is -N-CH2-CH2-. In another embodiment Yp- Y2-Y3 is -C=N-0-.
Preferably Xi is halogen, and X2 is hydrogen, or halogen.
Preferably R5b is hydrogen, bromo, chloro, fluoro, or methyl.
Preferably R2 is CpC8alkyl or CpC8alkyl substituted by one to five R6, C3-Ci0cycloalkyl or Q- Ciocycloalkyl substituted by one to five R7, phenyl-CpC4alkylene- or phenyl-Ci -Qalkylene- wherein the phenyl moiety is substituted by one to five R8, pyridyl-Ci -Qalkylene- or pyridyl-Q -Qalkylene- wherein the pyridyl moiety is substituted by one to four R8, oxetanyl or oxetanyl substituted by one to five R8, thietanyl-CpQ alkylene or thietanyl-Q-Q alkylene wherein the thietanyl moiety is substituted by one to five R8, oxo-thietanyl-CpQ alkylene or oxo-thietanyl-Q-Q alkylene wherein the oxo-thietanyl moiety is substituted by one to five R8, dioxo-thietanyl-Q-Q alkylene or dioxo-thietanyl-Q-Q alkylene wherein the dioxo-thietanyl moiety is substituted by one to five R8, thietanyl or thietanyl substituted by one to five R8, oxo-thietanyl or oxo-thietanyl substituted by one to five R8, dioxo-thietanyl or dioxo-thietanyl substituted by one to five R8,
Figure imgf000016_0001
alkylene, Ci-Cghaloalkylaminocarbonyl- C1-C4 alkylene, or C3-C8cycloalkyl-aminocarbonyl-Ci-C4 alkylene, or group Al .
Preferably R3 is chlorodifluoromethyl or trifluoromethyl.
Preferably R4 is group B 1 wherein X3 is C-R12 or nitrogen and each R12 is independently hydrogen, halogen or trihalomethyl, wherein at least two R12 are not hydrogen.
Preferably A2, A3 and A4 are C-H, G1 is O, R1 is H, R3 is chlorodifluoromethyl or trifluoromethyl, R4 is group B 1 , and R5b is hydrogen, bromo, chloro, fluoro, or methyl.
In addition, preferred values of A1, A2, A3, A4, G1, R1, R2, R3, R4, X X2, Y1, Y2, Y3, R5a, R5b, R6, R7, R8, R9, R10, R11, R12 and R13 for the compound of formula Γ are the same for the compounds of formula I.
The compounds in the Tables below illustrate the compounds of the invention.
Figure imgf000016_0002
Table P
R5b
X1 X2 R2
P. l fluoro hydrogen hydrogen methyl-
P.2 fluoro hydrogen hydrogen ethyl-
P.3 fluoro hydrogen hydrogen propyl-
P.4 fluoro hydrogen hydrogen cyclopropyl-
P.5 fluoro hydrogen hydrogen iso-propyl
P.6 fluoro hydrogen hydrogen 2,2-difluoroethyl
P.7 fluoro hydrogen hydrogen 2,2,2-trifluoro-ethyl-
P.8 fluoro hydrogen hydrogen N-(2,2,2-trifluoro-ethyl)-acetamide-2-yl
P.9 fluoro hydrogen hydrogen 3 ,3 ,3 -trifluoro-propyl-
P.10 fluoro hydrogen hydrogen (tetrahydrofuran-2-yl)-methyl-
P. l l fluoro hydrogen hydrogen phenyl-methyl-
P.12 fluoro hydrogen hydrogen allyl
P.13 fluoro hydrogen hydrogen propargyl
P.14 fluoro hydrogen hydrogen thietan-3-yl-
P.15 fluoro hydrogen hydrogen 1 -oxo-thietan-3 -yl-
P.16 fluoro hydrogen hydrogen 1 , 1 -dioxo-thietan-3 -yl-
P.17 fluoro hydrogen hydrogen oxetan-3yl
P.18 fluoro hydrogen hydrogen cyclobutyl
P.19 fluoro hydrogen hydrogen hydrogen
P.20 fluoro hydrogen hydrogen (pyrid-2-yl)-methyl-
P.21 fluoro hydrogen hydrogen cyclopropyl-methyl
P.22 fluoro hydrogen hydrogen 1 , 1 -dimethyl-2-methylsulfanyl-ethyl P.23 fluoro hydrogen hydrogen 2-oxo-[l,2]oxathiolan-4-yl-
P.24 fluoro hydrogen hydrogen 2-ethyl-3-oxo-isoxazolidin-4-yl
3-oxo-2-(2,2,2-trifluoro-ethyl)-isoxazolidin-4-
P.25 fluoro hydrogen hydrogen yi
P.26 fluoro hydrogen bromo methyl-
P.27 fluoro hydrogen bromo ethyl-
P.28 fluoro hydrogen bromo propyl-
P.29 fluoro hydrogen bromo cyclopropyl-
P.30 fluoro hydrogen bromo iso-propyl
P.31 fluoro hydrogen bromo 2,2-difluoroethyl
P.32 fluoro hydrogen bromo 2,2,2-trifluoro-ethyl-
P.33 fluoro hydrogen bromo N-(2,2,2-trifluoro-ethyl)-acetamide-2-yl
P.34 fluoro hydrogen bromo 3 ,3 ,3 -trifluoro-propyl-
P.35 fluoro hydrogen bromo (tetrahydrofuran-2-yl)-methyl-
P.36 fluoro hydrogen bromo phenyl-methyl-
P.37 fluoro hydrogen bromo allyl
P.38 fluoro hydrogen bromo propargyl
P.39 fluoro hydrogen bromo thietan-3-yl-
P.40 fluoro hydrogen bromo 1 -oxo-thietan-3 -yl-
P.41 fluoro hydrogen bromo 1 , 1 -dioxo-thietan-3 -yl-
P.42 fluoro hydrogen bromo oxetan-3yl
P.43 fluoro hydrogen bromo cyclobutyl
P.44 fluoro hydrogen bromo hydrogen
P.45 fluoro hydrogen bromo (pyrid-2-yl)-methyl-
P.46 fluoro hydrogen bromo cyclopropyl-methyl
P.47 fluoro hydrogen bromo 1 , 1 -dimethyl-2-methylsulfanyl-ethyl
P.48 fluoro hydrogen bromo 2-oxo-[l,2]oxathiolan-4-yl-
P.49 fluoro hydrogen bromo 2-ethyl-3-oxo-isoxazolidin-4-yl
3-oxo-2-(2,2,2-trifluoro-ethyl)-isoxazolidin-4-
P.50 fluoro hydrogen bromo yi
P.51 fluoro hydrogen chloro methyl-
P.52 fluoro hydrogen chloro ethyl-
P.53 fluoro hydrogen chloro propyl-
P.54 fluoro hydrogen chloro cyclopropyl-
P.55 fluoro hydrogen chloro iso-propyl
P.56 fluoro hydrogen chloro 2,2-difluoroethyl
P.57 fluoro hydrogen chloro 2,2,2-trifluoro-ethyl-
P.58 fluoro hydrogen chloro N-(2,2,2-trifluoro-ethyl)-acetamide-2-yl
P.59 fluoro hydrogen chloro 3 ,3 ,3 -trifluoro-propyl-
P.60 fluoro hydrogen chloro (tetrahydrofuran-2-yl)-methyl-
P.61 fluoro hydrogen chloro phenyl-methyl-
P.62 fluoro hydrogen chloro allyl
P.63 fluoro hydrogen chloro propargyl
P.64 fluoro hydrogen chloro thietan-3-yl-
P.65 fluoro hydrogen chloro 1 -oxo-thietan-3 -yl-
P.66 fluoro hydrogen chloro 1 , 1 -dioxo-thietan-3 -yl- P.67 fluoro hydrogen chloro oxetan-3yl
P.68 fluoro hydrogen chloro cyclobutyl
P.69 fluoro hydrogen chloro hydrogen
P.70 fluoro hydrogen chloro (pyrid-2-yl)-methyl-
P.71 fluoro hydrogen chloro cyclopropyl-methyl
P.72 fluoro hydrogen chloro 1 , 1 -dimethyl-2-methylsulfanyl-ethyl
P.73 fluoro hydrogen chloro methyl-
P.74 fluoro hydrogen chloro 2-oxo-[l,2]oxathiolan-4-yl-
P.75 fluoro hydrogen chloro 2-ethyl-3-oxo-isoxazolidin-4-yl
3-oxo-2-(2,2,2-trifluoro-ethyl)-isoxazolidin-4-
P.76 fluoro hydrogen chloro yi
P.77 fluoro hydrogen fluoro ethyl-
P.78 fluoro hydrogen fluoro propyl-
P.79 fluoro hydrogen fluoro cyclopropyl-
P.80 fluoro hydrogen fluoro iso-propyl
P.81 fluoro hydrogen fluoro 2,2-difluoroethyl
P.82 fluoro hydrogen fluoro 2,2,2-trifluoro-ethyl-
P.83 fluoro hydrogen fluoro N-(2,2,2-trifluoro-ethyl)-acetamide-2-yl
P.84 fluoro hydrogen fluoro 3 ,3 ,3 -trifluoro-propyl-
P.85 fluoro hydrogen fluoro (tetrahydrofuran-2-yl)-methyl-
P.86 fluoro hydrogen fluoro phenyl-methyl-
P.87 fluoro hydrogen fluoro allyl
P.88 fluoro hydrogen fluoro propargyl
P.89 fluoro hydrogen fluoro thietan-3-yl-
P.90 fluoro hydrogen fluoro 1 -oxo-thietan-3 -yl-
P.91 fluoro hydrogen fluoro 1 , 1 -dioxo-thietan-3 -yl-
P.92 fluoro hydrogen fluoro oxetan-3yl
P.93 fluoro hydrogen fluoro cyclobutyl
P.94 fluoro hydrogen fluoro hydrogen
P.95 fluoro hydrogen fluoro (pyrid-2-yl)-methyl-
P.96 fluoro hydrogen fluoro cyclopropyl-methyl
P.97 fluoro hydrogen fluoro 1 , 1 -dimethyl-2-methylsulfanyl-ethyl
P.98 fluoro hydrogen fluoro 2-oxo-[l,2]oxathiolan-4-yl-
P.99 fluoro hydrogen fluoro 2-ethyl-3-oxo-isoxazolidin-4-yl
3-oxo-2-(2,2,2-trifluoro-ethyl)-isoxazolidin-4-
P.100 fluoro hydrogen fluoro yi
P.101 fluoro hydrogen methyl methyl-
P.102 fluoro hydrogen methyl ethyl-
P.103 fluoro hydrogen methyl propyl-
P.104 fluoro hydrogen methyl cyclopropyl-
P.105 fluoro hydrogen methyl iso-propyl
P.106 fluoro hydrogen methyl 2,2-difluoroethyl
P.107 fluoro hydrogen methyl 2,2,2-trifluoro-ethyl-
P.108 fluoro hydrogen methyl N-(2,2,2-trifluoro-ethyl)-acetamide-2-yl
P.109 fluoro hydrogen methyl 3 ,3 ,3 -trifluoro-propyl-
P.110 fluoro hydrogen methyl (tetrahydrofuran-2-yl)-methyl- P.l l l fluoro hydrogen methyl phenyl-methyl-
P.112 fluoro hydrogen methyl allyl
P.113 fluoro hydrogen methyl propargyl
P.114 fluoro hydrogen methyl thietan-3-yl-
P.115 fluoro hydrogen methyl 1 -oxo-thietan-3 -yl-
P.116 fluoro hydrogen methyl 1 , 1 -dioxo-thietan-3 -yl-
P.117 fluoro hydrogen methyl oxetan-3yl
P.118 fluoro hydrogen methyl cyclobutyl
P.119 fluoro hydrogen methyl hydrogen
P.120 fluoro hydrogen methyl (pyrid-2-yl)-methyl-
P.121 fluoro hydrogen methyl cyclopropyl-methyl
P.122 fluoro hydrogen methyl 1 , 1 -dimethyl-2-methylsulfanyl-ethyl
P.123 fluoro hydrogen methyl 2-oxo-[l,2]oxathiolan-4-yl-
P.124 fluoro hydrogen methyl 2-ethyl-3-oxo-isoxazolidin-4-yl
3-oxo-2-(2,2,2-trifluoro-ethyl)-isoxazolidin-4-
P.125 fluoro hydrogen methyl yi
P.126 fluoro hydrogen cyano methyl-
P.127 fluoro hydrogen cyano ethyl-
P.128 fluoro hydrogen cyano propyl-
P.129 fluoro hydrogen cyano cyclopropyl-
P.130 fluoro hydrogen cyano iso-propyl
P.131 fluoro hydrogen cyano 2,2-difluoroethyl
P.132 fluoro hydrogen cyano 2,2,2-trifluoro-ethyl-
P.133 fluoro hydrogen cyano N-(2,2,2-trifluoro-ethyl)-acetamide-2-yl
P.134 fluoro hydrogen cyano 3 ,3 ,3 -trifluoro-propyl-
P.135 fluoro hydrogen cyano (tetrahydrofuran-2-yl)-methyl-
P.136 fluoro hydrogen cyano phenyl-methyl-
P.137 fluoro hydrogen cyano allyl
P.138 fluoro hydrogen cyano propargyl
P.139 fluoro hydrogen cyano thietan-3-yl-
P.140 fluoro hydrogen cyano 1 -oxo-thietan-3 -yl-
P.141 fluoro hydrogen cyano 1 , 1 -dioxo-thietan-3 -yl-
P.142 fluoro hydrogen cyano oxetan-3yl
P.143 fluoro hydrogen cyano cyclobutyl
P.144 fluoro hydrogen cyano hydrogen
P.145 fluoro hydrogen cyano (pyrid-2-yl)-methyl-
P.146 fluoro hydrogen cyano cyclopropyl-methyl
P.147 fluoro hydrogen cyano 1 , 1 -dimethyl-2-methylsulfanyl-ethyl
P.148 fluoro hydrogen cyano 2-oxo-[l,2]oxathiolan-4-yl-
P.149 fluoro hydrogen cyano 2-ethyl-3-oxo-isoxazolidin-4-yl
3-oxo-2-(2,2,2-trifluoro-ethyl)-isoxazolidin-4-
P.150 fluoro hydrogen cyano yi
P.151 fluoro fluoro hydrogen methyl-
P.152 fluoro fluoro hydrogen ethyl-
P.153 fluoro fluoro hydrogen propyl-
P.154 fluoro fluoro hydrogen cyclopropyl- P.155 fluoro fluoro hydrogen iso-propyl
P.156 fluoro fluoro hydrogen 2,2-difluoroethyl
P.157 fluoro fluoro hydrogen 2,2,2-trifluoro-ethyl-
P.158 fluoro fluoro hydrogen N-(2,2,2-trifluoro-ethyl)-acetamide-2-yl
P.159 fluoro fluoro hydrogen 3 ,3 ,3 -trifluoro-propyl-
P.160 fluoro fluoro hydrogen (tetrahydrofuran-2-yl)-methyl-
P.161 fluoro fluoro hydrogen phenyl-methyl-
P.162 fluoro fluoro hydrogen allyl
P.163 fluoro fluoro hydrogen propargyl
P.164 fluoro fluoro hydrogen thietan-3-yl-
P.165 fluoro fluoro hydrogen 1 -oxo-thietan-3 -yl-
P.166 fluoro fluoro hydrogen 1 , 1 -dioxo-thietan-3 -yl-
P.167 fluoro fluoro hydrogen oxetan-3yl
P.168 fluoro fluoro hydrogen cyclobutyl
P.169 fluoro fluoro hydrogen hydrogen
P.170 fluoro fluoro hydrogen (pyrid-2-yl)-methyl-
P.171 fluoro fluoro hydrogen cyclopropyl-methyl
P.172 fluoro fluoro hydrogen 1 , 1 -dimethyl-2-methylsulfanyl-ethyl
P.173 fluoro fluoro hydrogen 2-oxo-[l,2]oxathiolan-4-yl-
P.174 fluoro fluoro hydrogen 2-ethyl-3-oxo-isoxazolidin-4-yl
3-oxo-2-(2,2,2-trifluoro-ethyl)-isoxazolidin-4-
P.175 fluoro fluoro hydrogen yi
P.176 fluoro fluoro bromo methyl-
P.177 fluoro fluoro bromo ethyl-
P.178 fluoro fluoro bromo propyl-
P.179 fluoro fluoro bromo cyclopropyl-
P.180 fluoro fluoro bromo iso-propyl
P.181 fluoro fluoro bromo 2,2-difluoroethyl
P.182 fluoro fluoro bromo 2,2,2-trifluoro-ethyl-
P.183 fluoro fluoro bromo N-(2,2,2-trifluoro-ethyl)-acetamide-2-yl
P.184 fluoro fluoro bromo 3 ,3 ,3 -trifluoro-propyl-
P.185 fluoro fluoro bromo (tetrahydrofuran-2-yl)-methyl-
P.186 fluoro fluoro bromo phenyl-methyl-
P.187 fluoro fluoro bromo allyl
P.188 fluoro fluoro bromo propargyl
P.189 fluoro fluoro bromo thietan-3-yl-
P.190 fluoro fluoro bromo 1 -oxo-thietan-3 -yl-
P.191 fluoro fluoro bromo 1 , 1 -dioxo-thietan-3 -yl-
P.192 fluoro fluoro bromo oxetan-3yl
P.193 fluoro fluoro bromo cyclobutyl
P.194 fluoro fluoro bromo hydrogen
P.195 fluoro fluoro bromo (pyrid-2-yl)-methyl-
P.196 fluoro fluoro bromo cyclopropyl-methyl
P.197 fluoro fluoro bromo 1 , 1 -dimethyl-2-methylsulfanyl-ethyl
P.198 fluoro fluoro bromo 2-oxo-[l,2]oxathiolan-4-yl-
P.199 fluoro fluoro bromo 2-ethyl-3-oxo-isoxazolidin-4-yl 3-oxo-2-(2,2,2-trifluoro-ethyl)-isoxazolidin-4-
P.200 fluoro fluoro bromo yi
P.201 fluoro fluoro chloro methyl-
P.202 fluoro fluoro chloro ethyl-
P.203 fluoro fluoro chloro propyl-
P.204 fluoro fluoro chloro cyclopropyl-
P.205 fluoro fluoro chloro iso-propyl
P.206 fluoro fluoro chloro 2,2-difluoroethyl
P.207 fluoro fluoro chloro 2,2,2-trifluoro-ethyl-
P.208 fluoro fluoro chloro N-(2,2,2-trifluoro-ethyl)-acetamide-2-yl
P.209 fluoro fluoro chloro 3 ,3 ,3 -trifluoro-propyl-
P.210 fluoro fluoro chloro (tetrahydrofuran-2-yl)-methyl-
P.211 fluoro fluoro chloro phenyl-methyl-
P.212 fluoro fluoro chloro allyl
P.213 fluoro fluoro chloro propargyl
P.214 fluoro fluoro chloro thietan-3-yl-
P.215 fluoro fluoro chloro 1 -oxo-thietan-3 -yl-
P.216 fluoro fluoro chloro 1 , 1 -dioxo-thietan-3 -yl-
P.217 fluoro fluoro chloro oxetan-3yl
P.218 fluoro fluoro chloro cyclobutyl
P.219 fluoro fluoro chloro hydrogen
P.220 fluoro fluoro chloro (pyrid-2-yl)-methyl-
P.221 fluoro fluoro chloro cyclopropyl-methyl
P.222 fluoro fluoro chloro 1 , 1 -dimethyl-2-methylsulfanyl-ethyl
P.223 fluoro fluoro chloro 2-oxo-[l,2]oxathiolan-4-yl-
P.224 fluoro fluoro chloro 2-ethyl-3-oxo-isoxazolidin-4-yl
3-oxo-2-(2,2,2-trifluoro-ethyl)-isoxazolidin-4-
P.225 fluoro fluoro chloro yi
P.226 fluoro fluoro chloro methyl-
P.227 fluoro fluoro fluoro ethyl-
P.228 fluoro fluoro fluoro propyl-
P.229 fluoro fluoro fluoro cyclopropyl-
P.230 fluoro fluoro fluoro iso-propyl
P.231 fluoro fluoro fluoro 2,2-difluoroethyl
P.232 fluoro fluoro fluoro 2,2,2-trifluoro-ethyl-
P.233 fluoro fluoro fluoro N-(2,2,2-trifluoro-ethyl)-acetamide-2-yl
P.234 fluoro fluoro fluoro 3 ,3 ,3 -trifluoro-propyl-
P.235 fluoro fluoro fluoro (tetrahydrofuran-2-yl)-methyl-
P.236 fluoro fluoro fluoro phenyl-methyl-
P.237 fluoro fluoro fluoro allyl
P.238 fluoro fluoro fluoro propargyl
P.239 fluoro fluoro fluoro thietan-3-yl-
P.240 fluoro fluoro fluoro 1 -oxo-thietan-3 -yl-
P.241 fluoro fluoro fluoro 1 , 1 -dioxo-thietan-3 -yl-
P.242 fluoro fluoro fluoro oxetan-3yl
P.243 fluoro fluoro fluoro cyclobutyl P.244 fluoro fluoro fluoro hydrogen
P.245 fluoro fluoro fluoro (pyrid-2-yl)-methyl-
P.246 fluoro fluoro fluoro cyclopropyl-methyl
P.247 fluoro fluoro fluoro 1 , 1 -dimethyl-2-methylsulfanyl-ethyl
P.248 fluoro fluoro fluoro 2-oxo-[l,2]oxathiolan-4-yl-
P.249 fluoro fluoro fluoro 2-ethyl-3-oxo-isoxazolidin-4-yl
3-oxo-2-(2,2,2-trifluoro-ethyl)-isoxazolidin-4-
P.250 fluoro fluoro fluoro yi
P.251 fluoro fluoro methyl methyl-
P.252 fluoro fluoro methyl ethyl-
P.253 fluoro fluoro methyl propyl-
P.254 fluoro fluoro methyl cyclopropyl-
P.255 fluoro fluoro methyl iso-propyl
P.256 fluoro fluoro methyl 2,2-difluoroethyl
P.257 fluoro fluoro methyl 2,2,2-trifluoro-ethyl-
P.258 fluoro fluoro methyl N-(2,2,2-trifluoro-ethyl)-acetamide-2-yl
P.259 fluoro fluoro methyl 3 ,3 ,3 -trifluoro-propyl-
P.260 fluoro fluoro methyl (tetrahydrofuran-2-yl)-methyl-
P.261 fluoro fluoro methyl phenyl-methyl-
P.262 fluoro fluoro methyl allyl
P.263 fluoro fluoro methyl propargyl
P.264 fluoro fluoro methyl thietan-3-yl-
P.265 fluoro fluoro methyl 1 -oxo-thietan-3 -yl-
P.266 fluoro fluoro methyl 1 , 1 -dioxo-thietan-3 -yl-
P.267 fluoro fluoro methyl oxetan-3yl
P.268 fluoro fluoro methyl cyclobutyl
P.269 fluoro fluoro methyl hydrogen
P.270 fluoro fluoro methyl (pyrid-2-yl)-methyl-
P.271 fluoro fluoro methyl cyclopropyl-methyl
P.272 fluoro fluoro methyl 1 , 1 -dimethyl-2-methylsulfanyl-ethyl
P.273 fluoro fluoro methyl 2-oxo-[l,2]oxathiolan-4-yl-
P.274 fluoro fluoro methyl 2-ethyl-3-oxo-isoxazolidin-4-yl
3-oxo-2-(2,2,2-trifluoro-ethyl)-isoxazolidin-4-
P.275 fluoro fluoro methyl yi
P.276 fluoro fluoro cyano methyl-
P.277 fluoro fluoro cyano ethyl-
P.278 fluoro fluoro cyano propyl-
P.279 fluoro fluoro cyano cyclopropyl-
P.280 fluoro fluoro cyano iso-propyl
P.281 fluoro fluoro cyano 2,2-difluoroethyl
P.282 fluoro fluoro cyano 2,2,2-trifluoro-ethyl-
P.283 fluoro fluoro cyano N-(2,2,2-trifluoro-ethyl)-acetamide-2-yl
P.284 fluoro fluoro cyano 3 ,3 ,3 -trifluoro-propyl-
P.285 fluoro fluoro cyano (tetrahydrofuran-2-yl)-methyl-
P.286 fluoro fluoro cyano phenyl-methyl-
P.287 fluoro fluoro cyano allyl P.288 fluoro fluoro cyano propargyl
P.289 fluoro fluoro cyano thietan-3-yl-
P.290 fluoro fluoro cyano 1 -oxo-thietan-3 -yl-
P.291 fluoro fluoro cyano 1 , 1 -dioxo-thietan-3 -yl-
P.292 fluoro fluoro cyano oxetan-3yl
P.293 fluoro fluoro cyano cyclobutyl
P.294 fluoro fluoro cyano hydrogen
P.295 fluoro fluoro cyano (pyrid-2-yl)-methyl-
P.296 fluoro fluoro cyano cyclopropyl-methyl
P.297 fluoro fluoro cyano 1 , 1 -dimethyl-2-methylsulfanyl-ethyl
Table IP provides 297 compounds of formula (I-A) wherein Y^-Y3 is C=N-0, A3 is CH, A4 is CH, R3 is trifluoromethyl, R4 is 3,5-dichlorophenyl, X1, X2, R5b and R2 have the values listed in the table P Table 2P provides 297 compounds of formula (I-A) wherein Y^-Y3 is C=N-0, A3 is CH, A4 is CH, R3 is trifluoromethyl, R4 is 3,5-bis-(trifluoromethyl)-phenyl, X1, X2, R5b and R2 have the values listed in the table P.
Table 3P provides 297 compounds of formula (I-A) wherein Y^-Y3 is C=N-0, A3 is CH, A4 is CH, R3 is trifluoromethyl, R4 is 3-chloro-5-trifluoromethyl-phenyl, X1, X2, R5b and R2 have the values listed in the table P.
Table 4P provides 297 compounds of formula (I-A) wherein Y^-Y3 is C=N-0, A3 is CH, A4 is CH, R3 is trifluoromethyl, R4 is 3-bromo-5-trifluoromethyl-phenyl, X1, X2, R5b and R2 have the values listed in the table P.
Table 5P provides 297 compounds of formula (I-A) wherein Y^-Y3 is C=N-0, A3 is CH, A4 is CH, R3 is trifluoromethyl, R4 is 3,5-dibromo-phenyl, X1, X2, R5b and R2 have the values listed in the table P. Table 6P provides 297 compounds of formula (I-A) wherein Y^-Y3 is C=N-0, A3 is CH, A4 is CH, R3 is trifluoromethyl, R4 is 3,5-dichloro-phenyl, X1, X2, R5b and R2 have the values listed in the table P. Table 7P provides 297 compounds of formula (I-A) wherein Y^-Y3 is C=N-0, A3 is CH, A4 is CH, R3 is trifluoromethyl, R4 is 3,4-dichloro-phenyl, X1, X2, R5b and R2 have the values listed in the table P. Table 8P provides 297 compounds of formula (I-A) wherein Y^-Y3 is C=N-0, A3 is CH, A4 is CH, R3 is trifluoromethyl, R4 is 3-trifluoromethyl-phenyl, X1, X2, R5b and R2 have the values listed in the table P. Table 9P provides 297 compounds of formula (I-A) wherein Y^-Y3 is C=N-0, A3 is CH, A4 is CH, R3 is trifluoromethyl, R4 is 4-bromo-3,5-dichlorophenyl, X1, X2, R5b and R2 have the values listed in the table P.
Table 10P provides 297 compounds of formula (I-A) wherein Y^-Y3 is C=N-0, A3 is CH, A4 is CH, R3 is trifluoromethyl, R4 is 4-fluoro-3,5-dichlorophenyl, X1, X2, R5b and R2 have the values listed in the table P.
Table 1 IP provides 297 compounds of formula (I-A) wherein Y1-Y2-Y3 is C=N-0, A3 is CH, A4 is CH, R3 is trifluoromethyl, R4 is 3,4,5-trichloro-phenyl, X1, X2, R5b and R2 have the values listed in the table P. Table 12P provides 297 compounds of formula (I-A) wherein Y1-Y2-Y3 is C=N-0, A3 is N, A4 is CH, R3 is trifluoromethyl, R4 is 3,5-dichlorophenyl, X1, X2, R5b and R2 have the values listed in the table P. Table 13P provides 297 compounds of formula (I-A) wherein Y1-Y2-Y3 is C=N-0, A3 is N, A4 is CH, R3 is trifluoromethyl, R4 is 3,5-bis-(trifluoromethyl)-phenyl, X1, X2, R5b and R2 have the values listed in the table P.
Table 14P provides 297 compounds of formula (I-A) wherein Y1-Y2-Y3 is C=N-0, A3 is N, A4 is CH, R3 is trifluoromethyl, R4 is 3-chloro-5-trifluoromethyl-phenyl, X1, X2, R5b and R2 have the values listed in the table P.
Table 15P provides 297 compounds of formula (I-A) wherein Y1-Y2-Y3 is C=N-0, A3 is N, A4 is CH, R3 is trifluoromethyl, R4 is 3-bromo-5-trifluoromethyl-phenyl, X1, X2, R5b and R2 have the values listed in the table P.
Table 16P provides 297 compounds of formula (I-A) wherein Y1-Y2-Y3 is C=N-0, A3 is N, A4 is CH, R3 is trifluoromethyl, R4 is 3,5-dibromo-phenyl, X1, X2, R5b and R2 have the values listed in the table P. Table 17P provides 297 compounds of formula (I-A) wherein Y1-Y2-Y3 is C=N-0, A3 is N, A4 is CH, R3 is trifluoromethyl, R4 is 3,5-dichloro-phenyl, X1, X2, R5b and R2 have the values listed in the table P. Table 18P provides 297 compounds of formula (I-A) wherein Y1-Y2-Y3 is C=N-0, A3 is N, A4 is CH, R3 is trifluoromethyl, R4 is 3,4-dichloro-phenyl, X1, X2, R5b and R2 have the values listed in the table P. Table 19P provides 297 compounds of formula (I-A) wherein Y1-Y2-Y3 is C=N-0, A3 is N, A4 is CH, R3 is trifluoromethyl, R4 is 3-trifluoromethyl-phenyl, X1, X2, R5b and R2 have the values listed in the table P. Table 20P provides 297 compounds of formula (I-A) wherein Y1-Y2-Y3 is C=N-0, A3 is N, A4 is CH, R3 is trifluoromethyl, R4 is 4-bromo-3,5-dichlorophenyl, X1, X2, R5b and R2 have the values listed in the table P.
Table 21P provides 297 compounds of formula (I-A) wherein Y^-Y3 is C=N-0, A3 is N, A4 is CH, R3 is trifluoromethyl, R4 is 4-fluoro-3,5-dichlorophenyl, X1, X2, R5b and R2 have the values listed in the table P.
Table 22P provides 297 compounds of formula (I-A) wherein Y1-Y2-Y3 is C=N-0, A3 is N, A4 is CH, R3 is trifluoromethyl, R4 is 3,4,5-trichloro-phenyl, X1, X2, R5b and R2 have the values listed in the table P. Table 23P provides 297 compounds of formula (I-A) wherein Y1-Y2-Y3 is C=N-0, A3 is CH, A4 is N, R3 is trifluoromethyl, R4 is 3,5-dichlorophenyl, X1, X2, R5b and R2 have the values listed in the table P. Table 24P provides 297 compounds of formula (I-A) wherein Y1-Y2-Y3 is C=N-0, A3 is CH, A4 is N, R3 is trifluoromethyl, R4 is 3,5-bis-(trifluoromethyl)-phenyl, X1, X2, R5b and R2 have the values listed in the table P.
Table 25P provides 297 compounds of formula (I-A) wherein Y1-Y2-Y3 is C=N-0, A3 is CH, A4 is N, R3 is trifluoromethyl, R4 is 3-chloro-5-trifluoromethyl-phenyl, X1, X2, R5b and R2 have the values listed in the table P.
Table 26P provides 297 compounds of formula (I-A) wherein Y1-Y2-Y3 is C=N-0, A3 is CH, A4 is N, R3 is trifluoromethyl, R4 is 3-bromo-5-trifluoromethyl-phenyl, X1, X2, R5b and R2 have the values listed in the table P. Table 27P provides 297 compounds of formula (I-A) wherein Y^-Y3 is C=N-0, A3 is CH, A4 is N, R3 is trifluoromethyl, R4 is 3,5-dibromo-phenyl, X1, X2, R5b and R2 have the values listed in the table P. Table 28P provides 297 compounds of formula (I-A) wherein Y1-Y2-Y3 is C=N-0, A3 is CH, A4 is N, R3 is trifluoromethyl, R4 is 3,5-dichloro-phenyl, X1, X2, R5b and R2 have the values listed in the table P. Table 29P provides 297 compounds of formula (I-A) wherein Y1-Y2-Y3 is C=N-0, A3 is CH, A4 is N, R3 is trifluoromethyl, R4 is 3,4-dichloro-phenyl, X1, X2, R5b and R2 have the values listed in the table P. Table 30P provides 297 compounds of formula (I-A) wherein Y1-Y2-Y3 is C=N-0, A3 is CH, A4 is N, R3 is trifluoromethyl, R4 is 3-trifluoromethyl-phenyl, X1, X2, R5b and R2 have the values listed in the table P. Table 3 IP provides 297 compounds of formula (I-A) wherein Y^-Y3 is C=N-0, A3 is CH, A4 is N, R3 is trifluoromethyl, R4 is 4-bromo-3,5-dichlorophenyl, X1, X2, R5b and R2 have the values listed in the table P.
Table 32P provides 297 compounds of formula (I-A) wherein Y1-Y2-Y3 is C=N-0, A3 is CH, A4 is N, R3 is trifluoromethyl, R4 is 4-fluoro-3,5-dichlorophenyl, X1, X2, R5b and R2 have the values listed in the table P.
Table 33P provides 297 compounds of formula (I-A) wherein Y^-Y3 is C=N-0, A3 is CH, A4 is N, R3 is trifluoromethyl, R4 is 3,4,5-trichloro-phenyl, X1, X2, R5b and R2 have the values listed in the table P.
Figure imgf000025_0001
Q.013 methyl hydrogen propargyl
Q.014 methyl hydrogen thietan-3-yl-
Q.015 methyl hydrogen 1 -oxo-thietan-3-yl-
Q.016 methyl hydrogen 1 , 1 -dioxo-thietan-3-yl-
Q.017 methyl hydrogen oxetan-3yl
Q.018 methyl hydrogen cyclobutyl
Q.019 methyl hydrogen hydrogen
Q.020 methyl hydrogen (pyrid-2-yl)-methyl-
Q.021 methyl hydrogen cyclopropyl-methyl
hydrogen 1 , 1 -dimethyl -2 -methylsulfanyl-
Q.022 methyl ethyl
Q.023 methyl hydrogen 2-oxo-[l,2]oxathiolan-4-yl-
Q.024 methyl hydrogen 2-ethyl-3-oxo-isoxazolidin-4-yl
hydrogen 3-oxo-2-(2,2,2-trifluoro-ethyl)-
Q.025 methyl isoxazolidin-4-yl
Table 1Q provides 25 compounds of formula (I-B) wherein Y^-Y3 is C=N-0, A3 is CH, A4 is CH, R3 is trifluoromethyl, R4 is 3,5-dichlorophenyl, X1, X2, and R2 have the values listed in the table P
Table 2Q provides 25 compounds of formula (I-B) wherein Y^-Y3 is C=N-0, A3 is CH, A4 is CH, R3 is trifluoromethyl, R4 is 3,5-bis-(trifluoromethyl)-phenyl, X1, X2, and R2 have the values listed in the table Q.
Table 3Q provides 25 compounds of formula (I-B) wherein Y^-Y3 is C=N-0, A3 is CH, A4 is CH, R3 is trifluoromethyl, R4 is 3-chloro-5-trifluoromethyl-phenyl, X1, X2, and R2 have the values listed in the table Q.
Table 4Q provides 25 compounds of formula (I-B) wherein Y^-Y3 is C=N-0, A3 is CH, A4 is CH, R3 is trifluoromethyl, R4 is 3-bromo-5-trifluoromethyl-phenyl, X1, X2, and R2 have the values listed in the table Q.
Table 5Q provides 25 compounds of formula (I-B) wherein Y^-Y3 is C=N-0, A3 is CH, A4 is CH, R3 is trifluoromethyl, R4 is 3,5-dibromo-phenyl, X1, X2, and R2 have the values listed in the table Q.
Table 6Q provides 25 compounds of formula (I-B) wherein γ'-Υ^Υ3 is C=N-0, A3 is CH, A4 is CH, R3 is trifluoromethyl, R4 is 3,5-dichloro-phenyl, X1, X2, and R2 have the values listed in the table Q.
Table 7Q provides 25 compounds of formula (I-B) wherein Y^-Y3 is C=N-0, A3 is CH, A4 is CH, R3 is trifluoromethyl, R4 is 3,4-dichloro-phenyl, X1, X2, and R2 have the values listed in the table Q.
Table 8Q provides 25 compounds of formula (I-B) wherein Y^-Y3 is C=N-0, A3 is CH, A4 is CH, R3 is trifluoromethyl, R4 is 3-trifluoromethyl-phenyl, X1, X2, and R2 have the values listed in the table Q. Table 9Q provides 25 compounds of formula (I-B) wherein Y^-Y3 is C=N-0, A3 is CH, A4 is CH, R3 is trifluoromethyl, R4 is 4-bromo-3,5-dichlorophenyl, X1, X2, and R2 have the values listed in the table Q. Table 10Q provides 25 compounds of formula (I-B) wherein Y^-Y3 is C=N-0, A3 is CH, A4 is CH, R3 is trifluoromethyl, R4 is 4-fluoro-3,5-dichlorophenyl, X1, X2, and R2 have the values listed in the table Q. Table HQ provides 25 compounds of formula (I-B) wherein Y^-Y3 is C=N-0, A3 is CH, A4 is CH, R3 is trifluoromethyl, R4 is 3,4,5-trichloro-phenyl, X1, X2, and R2 have the values listed in the table Q. Table 12Q provides 25 compounds of formula (I-B) wherein γ'-Υ^Υ3 is C=N-0, A3 is N, A4 is CH, R3 is trifluoromethyl, R4 is 3,5-dichlorophenyl, X1, X2, and R2 have the values listed in the table Q.
Table 13Q provides 25 compounds of formula (I-B) wherein γ'-Υ^Υ3 is C=N-0, A3 is N, A4 is CH, R3 is trifluoromethyl, R4 is 3,5-bis-(trifluoromethyl)-phenyl, X1, X2, and R2 have the values listed in the table
Q.
Table 14Q provides 25 compounds of formula (I-B) wherein Y^-Y3 is C=N-0, A3 is N, A4 is CH, R3 is trifluoromethyl, R4 is 3-chloro-5-trifluoromethyl-phenyl, X1, X2, and R2 have the values listed in the table
Q.
Table 15Q provides 25 compounds of formula (I-B) wherein γ'-Υ^Υ3 is C=N-0, A3 is N, A4 is CH, R3 is trifluoromethyl, R4 is 3-bromo-5-trifluoromethyl-phenyl, X1, X2, and R2 have the values listed in the table Q.
Table 16Q provides 25 compounds of formula (I-B) wherein γ'-Υ^Υ3 is C=N-0, A3 is N, A4 is CH, R3 is trifluoromethyl, R4 is 3,5-dibromo-phenyl, X1, X2, and R2 have the values listed in the table Q.
Table 17Q provides 25 compounds of formula (I-B) wherein γ'-Υ^Υ3 is C=N-0, A3 is N, A4 is CH, R3 is trifluoromethyl, R4 is 3,5-dichloro-phenyl, X1, X2, and R2 have the values listed in the table Q.
Table 18Q provides 25 compounds of formula (I-B) wherein Y^-Y3 is C=N-0, A3 is N, A4 is CH, R3 is trifluoromethyl, R4 is 3,4-dichloro-phenyl, X1, X2, and R2 have the values listed in the table Q.
Table 19Q provides 25 compounds of formula (I-B) wherein γ'-Υ^Υ3 is C=N-0, A3 is N, A4 is CH, R3 is trifluoromethyl, R4 is 3 -trifluoromethyl -phenyl, X1, X2, and R2 have the values listed in the table Q. Table 20Q provides 25 compounds of formula (I-B) wherein γ'-Υ^Υ3 is C=N-0, A3 is N, A4 is CH, R3 is trifluoromethyl, R4 is 4-bromo-3,5-dichlorophenyl, X1, X2, and R2 have the values listed in the table Q. Table 21 Q provides 25 compounds of formula (I-B) wherein γ'-Υ^Υ3 is C=N-0, A3 is N, A4 is CH, R3 is trifluoromethyl, R4 is 4-fluoro-3,5-dichlorophenyl, X1, X2, and R2 have the values listed in the table Q. Table 22Q provides 25 compounds of formula (I-B) wherein γ'-Υ^Υ3 is C=N-0, A3 is N, A4 is CH, R3 is trifluoromethyl, R4 is 3,4,5-trichloro-phenyl, X1, X2, and R2 have the values listed in the table Q.
Table 23Q provides 25 compounds of formula (I-B) wherein Y^-Y3 is C=N-0, A3 is CH, A4 is N, R3 is trifluoromethyl, R4 is 3,5-dichlorophenyl, X1, X2, and R2 have the values listed in the table Q.
Table 24Q provides 25 compounds of formula (I-B) wherein γ'-Υ^Υ3 is C=N-0, A3 is CH, A4 is N, R3 is trifluoromethyl, R4 is 3,5-bis-(trifluoromethyl)-phenyl, X1, X2, and R2 have the values listed in the table
Q.
Table 25Q provides 25 compounds of formula (I-B) wherein Y^-Y3 is C=N-0, A3 is CH, A4 is N, R3 is trifluoromethyl, R4 is 3-chloro-5-trifluoromethyl-phenyl, X1, X2, and R2 have the values listed in the table
Q. Table 26Q provides 25 compounds of formula (I-B) wherein γ'-Υ^Υ3 is C=N-0, A3 is CH, A4 is N, R3 is trifluoromethyl, R4 is 3-bromo-5-trifluoromethyl-phenyl, X1, X2, and R2 have the values listed in the table
Q.
Table 27Q provides 25 compounds of formula (I-B) wherein γ'-Υ^Υ3 is C=N-0, A3 is CH, A4 is N, R3 is trifluoromethyl, R4 is 3,5-dibromo-phenyl, X1, X2, and R2 have the values listed in the table Q.
Table 28Q provides 25 compounds of formula (I-B) wherein Y^-Y3 is C=N-0, A3 is CH, A4 is N, R3 is trifluoromethyl, R4 is 3,5-dichloro-phenyl, X1, X2, and R2 have the values listed in the table Q.
Table 29Q provides 25 compounds of formula (I-B) wherein γ'-Υ^Υ3 is C=N-0, A3 is CH, A4 is N, R3 is trifluoromethyl, R4 is 3,4-dichloro-phenyl, X1, X2, and R2 have the values listed in the table Q.
Table 30Q provides 25 compounds of formula (I-B) wherein Y^-Y3 is C=N-0, A3 is CH, A4 is N, R3 is trifluoromethyl, R4 is 3 -trifluoromethyl -phenyl, X1, X2, and R2 have the values listed in the table Q.
Table 31Q provides 25 compounds of formula (I-B) wherein γ'-Υ^Υ3 is C=N-0, A3 is CH, A4 is N, R3 is trifluoromethyl, R4 is 4-bromo-3,5-dichlorophenyl, X1, X2, and R2 have the values listed in the table Q.
Table 32Q provides 25 compounds of formula (I-B) wherein γ'-Υ^Υ3 is C=N-0, A3 is CH, A4 is N, R3 is trifluoromethyl, R4 is 4-fluoro-3,5-dichlorophenyl, X1, X2, and R2 have the values listed in the table Q.
Table 33Q provides 25 compounds of formula (I-B) wherein γ'-Υ^Υ3 is C=N-0, A3 is CH, A4 is N, R3 is trifluoromethyl, R4 is 3,4,5-trichloro-phenyl, X1, X2, and R2 have the values listed in the table Q.
Figure imgf000028_0001
Table X
R5b R2
X.001 hydrogen methyl-
X.002 hydrogen ethyl-
X.003 hydrogen propyl-
X.004 hydrogen cyclopropyl-
X.005 hydrogen iso-propyl
X.006 hydrogen 2,2-difluoroethyl
X.007 hydrogen 2,2,2-trifluoro-ethyl-
N-(2,2,2-trifluoro-ethyl)-
X.008 hydrogen acetamide-2-yl
X.009 hydrogen 3 ,3 ,3 -trifluoro-propyl-
X.010 hydrogen (tetrahydrofuran-2-yl)-methyl-
X.011 hydrogen phenyl-methyl-
X.012 hydrogen allyl
X.013 hydrogen propargyl
X.014 hydrogen thietan-3-yl- X.015 hydrogen 1 -oxo-thietan-3 -yl-
X.016 hydrogen 1 , 1 -dioxo-thietan-3 -yl-
X.017 hydrogen oxetan-3yl
X.018 hydrogen cyclobutyl
X.019 hydrogen hydrogen
X.020 hydrogen (pyrid-2-yl)-methyl-
X.021 hydrogen cyclopropyl-methyl
1 , 1 -dimethyl-2-methylsulfanyl-
X.022 hydrogen ethyl
X.023 hydrogen 2-oxo-[l,2]oxathiolan-4-yl-
X.024 hydrogen 2-ethyl-3 -oxo-isoxazolidin-4-yl
3-oxo-2-(2,2,2-trifluoro-ethyl)-
X.025 hydrogen isoxazolidin-4-yl
X.026 bromo methyl-
X.027 bromo ethyl-
X.028 bromo propyl-
X.029 bromo cyclopropyl-
X.030 bromo iso-propyl
X.031 bromo 2,2-difluoroethyl
X.032 bromo 2,2,2-trifluoro-ethyl-
N-(2,2,2-trifluoro-ethyl)-
X.033 bromo acetamide-2-yl
X.034 bromo 3 ,3 ,3 -trifluoro-propyl-
X.035 bromo (tetrahydrofuran-2-yl)-methyl-
X.036 bromo phenyl-methyl-
X.037 bromo allyl
X.038 bromo propargyl
X.039 bromo thietan-3-yl-
X.040 bromo 1 -oxo-thietan-3 -yl-
X.041 bromo 1 , 1 -dioxo-thietan-3 -yl-
X.042 bromo oxetan-3yl
X.043 bromo cyclobutyl
X.044 bromo hydrogen
X.045 bromo (pyrid-2-yl)-methyl-
X.046 bromo cyclopropyl-methyl
1 , 1 -dimethyl-2-methylsulfanyl-
X.047 bromo ethyl
X.048 bromo 2-oxo-[l,2]oxathiolan-4-yl-
X.049 bromo 2-ethyl-3 -oxo-isoxazolidin-4-yl
3-oxo-2-(2,2,2-trifluoro-ethyl)-
X.050 bromo isoxazolidin-4-yl
X.051 chloro methyl-
X.052 chloro ethyl-
X.053 chloro propyl-
X.054 chloro cyclopropyl-
X.055 chloro iso-propyl
X.056 chloro 2,2-difluoroethyl X.057 chloro 2,2,2-trifluoro-ethyl-
N-(2,2,2-trifluoro-ethyl)-
X.058 chloro acetamide-2-yl
X.059 chloro 3 ,3 ,3 -trifluoro-propyl-
X.060 chloro (tetrahydrofuran-2-yl)-methyl-
X.061 chloro phenyl-methyl-
X.062 chloro allyl
X.063 chloro propargyl
X.064 chloro thietan-3-yl-
X.065 chloro 1 -oxo-thietan-3 -yl-
X.066 chloro 1 , 1 -dioxo-thietan-3 -yl-
X.067 chloro oxetan-3yl
X.068 chloro cyclobutyl
X.069 chloro hydrogen
X.070 chloro (pyrid-2-yl)-methyl-
X.071 chloro cyclopropyl-methyl
1 , 1 -dimethyl-2-methylsulfanyl-
X.072 chloro ethyl
X.073 chloro 2-oxo-[l,2]oxathiolan-4-yl-
X.074 chloro 2-ethyl-3 -oxo-isoxazolidin-4-yl chloro 3-oxo-2-(2,2,2-trifluoro-ethyl)-
X.075 isoxazolidin-4-yl
X.076 fluoro methyl-
X.077 fluoro ethyl-
X.078 fluoro propyl-
X.079 fluoro cyclopropyl-
X.080 fluoro iso-propyl
X.081 fluoro 2,2-difluoroethyl
X.082 fluoro 2,2,2-trifluoro-ethyl-
N-(2,2,2-trifluoro-ethyl)-
X.083 fluoro acetamide-2-yl
X.084 fluoro 3 ,3 ,3 -trifluoro-propyl-
X.085 fluoro (tetrahydrofuran-2-yl)-methyl-
X.086 fluoro phenyl-methyl-
X.087 fluoro allyl
X.088 fluoro propargyl
X.089 fluoro thietan-3-yl-
X.090 fluoro 1 -oxo-thietan-3 -yl-
X.091 fluoro 1 , 1 -dioxo-thietan-3 -yl-
X.092 fluoro oxetan-3yl
X.093 fluoro cyclobutyl
X.094 fluoro hydrogen
X.095 fluoro (pyrid-2-yl)-methyl-
X.096 fluoro cyclopropyl-methyl
1 , 1 -dimethyl-2-methylsulfanyl-
X.097 fluoro ethyl
X.098 fluoro 2-oxo-[l,2]oxathiolan-4-yl- X.099 fluoro 2-ethyl-3 -oxo-isoxazolidin-4-yl
3 -oxo -2 -(2,2,2 -trifluoro -thyl) -
X.100 fluoro isoxazolidin-4-yl
X.101 methyl methyl-
X.102 methyl ethyl-
X.103 methyl propyl-
X.104 methyl cyclopropyl-
X.105 methyl iso-propyl
X.106 methyl 2,2-difluoroethyl
X.107 methyl 2,2,2-trifluoro-ethyl-
N-(2,2,2-trifluoro-ethyl)-
X.108 methyl acetamide-2-yl
X.109 methyl 3 ,3 ,3 -trifluoro-propyl-
X.110 methyl (tetrahydrofuran-2-yl)-methyl-
X.111 methyl phenyl-methyl-
X.112 methyl allyl
X.113 methyl propargyl
X.114 methyl thietan-3-yl-
X.115 methyl 1 -oxo-thietan-3 -yl-
X.116 methyl 1 , 1 -dioxo-thietan-3 -yl-
X.117 methyl oxetan-3yl
X.118 methyl cyclobutyl
X.119 methyl hydrogen
X.120 methyl (pyrid-2-yl)-methyl-
X.121 methyl cyclopropyl-methyl
1 , 1 -dimethyl-2-methylsulfanyl-
X.122 methyl ethyl
X.123 methyl 2-oxo-[l,2]oxathiolan-4-yl-
X.124 methyl 2-ethyl-3 -oxo-isoxazolidin-4-yl
3-0X0-2 -(2,2,2 -trifluoro-ethyl)-
X.125 methyl isoxazolidin-4-yl
X.126 cyano methyl-
X.127 cyano ethyl-
X.128 cyano propyl-
X.129 cyano cyclopropyl-
X.130 cyano iso-propyl
X.131 cyano 2,2-difluoroethyl
X.132 cyano 2,2,2-trifluoro-ethyl-
N-(2,2,2-trifluoro-ethyl)-
X.133 cyano acetamide-2-yl
X.134 cyano 3 ,3 ,3 -trifluoro-propyl-
X.135 cyano (tetrahydrofuran-2-yl)-methyl-
X.136 cyano phenyl-methyl-
X.137 cyano allyl
X.138 cyano propargyl
X.139 cyano thietan-3-yl-
X.140 cyano 1 -oxo-thietan-3 -yl- X.141 cyano 1 , 1 -dioxo-thietan-3 -yl-
X.142 cyano oxetan-3yl
X.143 cyano cyclobutyl
X.144 cyano hydrogen
X.145 cyano (pyrid-2-yl)-methyl-
X.146 cyano cyclopropyl-methyl
cyano 1 , 1 -dimethyl-2-methylsulfanyl-
X.147 ethyl
X.148 cyano 2-oxo-[l,2]oxathiolan-4-yl-
X.149 cyano 2-ethyl-3 -oxo-isoxazolidin-4-yl
cyano 3-oxo-2-(2,2,2-trifluoro-ethyl)-
X.150 isoxazolidin-4-yl
Table IX provides 150 compounds of formula (XI-A) wherein Y^-Y3 is C=N-0, A3 is CH, A4 is CH, R3 is trifluoromethyl, R4 is 3,5-dichlorophenyl, R5b and R2 have the values listed in the table X.
Table 2X provides 150 compounds of formula (XI-A) wherein Y^-Y3 is C=N-0, A3 is CH, A4 is CH, R3 is trifluoromethyl, R4 is 3,5-bis-(trifluoromethyl)-phenyl, R5b and R2 have the values listed in the table X.
Table 3X provides 150 compounds of formula (XI-A) wherein Y^-Y3 is C=N-0, A3 is CH, A4 is CH, R3 is trifluoromethyl, R4 is 3-chloro-5-trifluoromethyl-phenyl, R5b and R2 have the values listed in the table X.
Table 4X provides 150 compounds of formula (XI-A) wherein Y^-Y3 is C=N-0, A3 is CH, A4 is CH, R3 is trifluoromethyl, R4 is 3-bromo-5-trifluoromethyl-phenyl, R5b and R2 have the values listed in the table X.
Table 5X provides 150 compounds of formula (XI-A) wherein Y^-Y3 is C=N-0, A3 is CH, A4 is CH, R3 is trifluoromethyl, R4 is 3,5-dibromo-phenyl, R5b and R2 have the values listed in the table X.
Table 6X provides 150 compounds of formula (XI-A) wherein Y^-Y3 is C=N-0, A3 is CH, A4 is CH, R3 is trifluoromethyl, R4 is 3,5-dichloro-phenyl, R5b and R2 have the values listed in the table X.
Table 7X provides 150 compounds of formula (XI-A) wherein Y^-Y3 is C=N-0, A3 is CH, A4 is CH, R3 is trifluoromethyl, R4 is 3,4-dichloro-phenyl, R5b and R2 have the values listed in the table X.
Table 8X provides 150 compounds of formula (XI-A) wherein Y^-Y3 is C=N-0, A3 is CH, A4 is CH, R3 is trifluoromethyl, R4 is 3-trifluoromethyl-phenyl, R5b and R2 have the values listed in the table X. Table 9X provides 150 compounds of formula (XI-A) wherein Y^-Y3 is C=N-0, A3 is CH, A4 is CH, R3 is trifluoromethyl, R4 is 4-bromo-3,5-dichlorophenyl, R5b and R2 have the values listed in the table X. Table 10X provides 150 compounds of formula (XI-A) wherein Y^-Y3 is C=N-0, A3 is CH, A4 is CH, R3 is trifluoromethyl, R4 is 4-fluoro-3,5-dichlorophenyl, R5b and R2 have the values listed in the table X. Table 1 IX provides 150 compounds of formula (XI-A) wherein Y^-Y3 is C=N-0, A3 is CH, A4 is CH, R3 is trifluoromethyl, R4 is 3,4,5-trichloro-phenyl, R5b and R2 have the values listed in the table X.
Table 12X provides 150 compounds of formula (XI-A) wherein Y^-Y3 is C=N-0, A3 is N, A4 is CH, R3 is trifluoromethyl, R4 is 3,5-dichlorophenyl, R5b and R2 have the values listed in the table X. Table 13X provides 150 compounds of formula (XI-A) wherein Y^-Y3 is C=N-0, A3 is N, A4 is CH, R3 is trifluoromethyl, R4 is 3,5-bis-(trifluoromethyl)-phenyl, R5b and R2 have the values listed in the table X.
Table 14X provides 150 compounds of formula (XI-A) wherein Y^-Y3 is C=N-0, A3 is N, A4 is CH, R3 is trifluoromethyl, R4 is 3-chloro-5-trifluoromethyl-phenyl, R5b and R2 have the values listed in the table X.
Table 15X provides 150 compounds of formula (XI-A) wherein Y^-Y3 is C=N-0, A3 is N, A4 is CH, R3 is trifluoromethyl, R4 is 3-bromo-5-trifluoromethyl-phenyl, R5b and R2 have the values listed in the table X.
Table 16X provides 150 compounds of formula (XI-A) wherein Y^-Y3 is C=N-0, A3 is N, A4 is CH, R3 is trifluoromethyl, R4 is 3,5-dibromo-phenyl, R5b and R2 have the values listed in the table X.
Table 17X provides 150 compounds of formula (XI-A) wherein Y^-Y3 is C=N-0, A3 is N, A4 is CH, R3 is trifluoromethyl, R4 is 3,5-dichloro-phenyl, R5b and R2 have the values listed in the table X.
Table 18X provides 150 compounds of formula (XI-A) wherein Y^-Y3 is C=N-0, A3 is N, A4 is CH, R3 is trifluoromethyl, R4 is 3,4-dichloro-phenyl, R5b and R2 have the values listed in the table X.
Table 19X provides 150 compounds of formula (XI-A) wherein Y^-Y3 is C=N-0, A3 is N, A4 is CH, R3 is trifluoromethyl, R4 is 3-trifluoromethyl-phenyl, R5b and R2 have the values listed in the table X. Table 20X provides 150 compounds of formula (XI-A) wherein Y^-Y3 is C=N-0, A3 is N, A4 is CH, R3 is trifluoromethyl, R4 is 4-bromo-3,5-dichlorophenyl, R5b and R2 have the values listed in the table X. Table 21X provides 150 compounds of formula (XI-A) wherein Y^-Y3 is C=N-0, A3 is N, A4 is CH, R3 is trifluoromethyl, R4 is 4-fluoro-3,5-dichlorophenyl, R5b and R2 have the values listed in the table X. Table 22X provides 150 compounds of formula (XI-A) wherein Y^-Y3 is C=N-0, A3 is N, A4 is CH, R3 is trifluoromethyl, R4 is 3,4,5-trichloro-phenyl, R5b and R2 have the values listed in the table X.
Table 23X provides 150 compounds of formula (XI-A) wherein Y^-Y3 is C=N-0, A3 is CH, A4 is N, R3 is trifluoromethyl, R4 is 3,5-dichlorophenyl, R5b and R2 have the values listed in the table X.
Table 24X provides 150 compounds of formula (XI-A) wherein Y^-Y3 is C=N-0, A3 is CH, A4 is N, R3 is trifluoromethyl, R4 is 3,5-bis-(trifluoromethyl)-phenyl, R5b and R2 have the values listed in the table X.
Table 25X provides 150 compounds of formula (XI-A) wherein Y^-Y3 is C=N-0, A3 is CH, A4 is N, R3 is trifluoromethyl, R4 is 3-chloro-5-trifluoromethyl-phenyl, R5b and R2 have the values listed in the table X.
Table 26X provides 150 compounds of formula (XI-A) wherein Y^-Y3 is C=N-0, A3 is CH, A4 is N, R3 is trifluoromethyl, R4 is 3-bromo-5-trifluoromethyl-phenyl, R5b and R2 have the values listed in the table X.
Table 27X provides 150 compounds of formula (XI-A) wherein Y^-Y3 is C=N-0, A3 is CH, A4 is N, R3 is trifluoromethyl, R4 is 3,5-dibromo-phenyl, R5b and R2 have the values listed in the table X.
Table 28X provides 150 compounds of formula (XI-A) wherein Y^-Y3 is C=N-0, A3 is CH, A4 is N, R3 is trifluoromethyl, R4 is 3,5-dichloro-phenyl, R5b and R2 have the values listed in the table X.
Table 29X provides 150 compounds of formula (XI-A) wherein Y^-Y3 is C=N-0, A3 is CH, A4 is N, R3 is trifluoromethyl, R4 is 3,4-dichloro-phenyl, R5b and R2 have the values listed in the table X.
Table 30X provides 150 compounds of formula (XI-A) wherein Y^-Y3 is C=N-0, A3 is CH, A4 is N, R3 is trifluoromethyl, R4 is 3-trifluoromethyl-phenyl, R5b and R2 have the values listed in the table X. Table 3 IX provides 150 compounds of formula (XI-A) wherein Y^-Y3 is C=N-0, A3 is CH, A4 is N, R3 is trifluoromethyl, R4 is 4-bromo-3,5-dichlorophenyl, R5b and R2 have the values listed in the table X. Table 32X provides 150 compounds of formula (XI-A) wherein Y^-Y3 is C=N-0, A3 is CH, A4 is N, R3 is trifluoromethyl, R4 is 4-fluoro-3,5-dichlorophenyl, R5b and R2 have the values listed in the table X. Table 33X provides 150 compounds of formula (XI-A) wherein Y^-Y3 is C=N-0, A3 is CH, A4 is N, R3 is trifluoromethyl, R4 is 3,4,5-trichloro-phenyl, R5b and R2 have the values listed in the table X.
Compounds of formula I include at least one chiral centre and may exist as compounds of formula I* or compounds of formula I**.
Figure imgf000034_0001
Generally compounds of formula I** are more biologically active than compounds of formula I*. The invention includes mixtures of compounds I* and I** in any ratio e.g. in a molar ratio of 1 :99 to 99:1, e.g. 10: 1 to 1 : 10, e.g. a substantially 50:50 molar ratio. In an enantiomerically (or epimerically) enriched mixture of formula I**, the molar proportion of compound I** compared to the total amount of both enantiomers is for example greater than 50%, e.g. at least 55, 60, 65, 70, 75, 80, 85, 90, 95, 96, 97, 98, or at least 99%>. Likewise, in enantiomerically (or epimerically) enriched mixture of formula I*, the molar proportion of the compound of formula I* compared to the total amount of both enantiomers (or epimerically) is for example greater than 50%, e.g. at least 55, 60, 65, 70, 75, 80, 85, 90, 95, 96, 97, 98, or at least 99%>. Enantiomerically (or epimerically) enriched mixtures of formula I** are preferred. Each of the compounds disclosed in Tables IP to 33P and 1Q to 33Q represets a disclosure of a compound of formula I* and a disclosure of a compound of formula I**.
The compounds of the invention may be made by a variety of methods as shown in the following Schemes. Scheme 1
Figure imgf000035_0001
(II) (IA)
1) Compounds of formula (IA) wherein G1 is oxygen, can be prepared by reacting a compound of formula (II) wherein G1 is oxygen and R is OH, Ci-C6alkoxy or CI, F or Br, with an amine of formula (III) as shown in Scheme 1. When R is OH such reactions are usually carried out in the presence of a coupling reagent, such as Ν,Ν'-dicyclohexylcarbodiimide ("DCC"), l-ethyl-3-(3-dimethylamino-propyl)- carbodiimide hydrochloride ("EDC") or bis(2-oxo-3-oxazolidinyl)phosphonic chloride ("BOP-Cl"), in the presence of a base, and optionally in the presence of a nucleophilic catalyst, such as hydroxybenzotriazole ("HOBT"). When R is CI, such reactions are usually carried out in the presence of a base, and optionally in the presence of a nucleophilic catalyst. Alternatively, it is possible to conduct the reaction in a biphasic system comprising an organic solvent, preferably ethyl acetate, and an aqueous solvent, preferably a solution of sodium hydrogen carbonate. When R is Ci-C6alkoxy it is sometimes possible to convert the ester directly to the amide by heating the ester and amine together in a thermal process. Suitable bases include pyridine, triethylamine, 4-(dimethylamino)-pyridine ("DMAP") or diisopropylethylamine (Hunig's base). Preferred solvents are NN-dimethylacetamide, tetrahydrofuran, dioxane, 1,2- dimethoxyethane, ethyl acetate and toluene. The reaction is carried out at a temperature of from 0°C to 100°C, preferably from 15°C to 30°C, in particular at ambient temperature. Amines of formula (III) are either known in the literature or can be prepared using methods known to a person skilled in the art. Some of these methods are described in the preparation Examples.
2) Acid halides of formula (II), wherein G1 is oxygen and R is CI, F or Br, may be made from carboxylic acids of formula (II), wherein G1 is oxygen and R is OH, under standard conditions, as described for example in WO09080250.
3) Carboxylic acids of formula (II), wherein γ'-Υ^Υ3 is C=N-0, G1 is oxygen and R is OH, may be formed from esters of formula (II), wherein G1 is oxygen and R is Ci-C6alkoxy as described for example in WO09080250 or WO05085216. Scheme 2
Figure imgf000036_0001
(VIII) (VII)
Figure imgf000036_0002
(IA)
4) Alternatively, compounds of formula (IA) wherein G1 is oxygen, can be prepared by various methods from an intermediate of formula (VII) as shown in Scheme 2 wherein G1 is oxygen and XB is a leaving group, for example a halogen, such as bromo, or XB is cyano, formyl or acetyl according to similar methods to those described in WO09080250. An intermediate of formula (VII) can be prepared for example from an intermediate of formula (VIII) as described in Scheme 1. Intermediates of formula (VIII) are either known or can be obtained by known methods to the person skilled in the art.
Scheme 3
Figure imgf000036_0003
5) Compounds of formula (IA) wherein G1 is oxygen, can be prepared by various methods from an intermediate of formula (II) as described in Scheme 1. 6) Alternatively, Compounds of formula (IA) wherein G1 is oxygen, can be prepared by various methods from an intermediate of formula (IX) as shown in Scheme 3.
7) Compounds of formula (IA) wherein G1 is oxygen, X1 and X2 are fluorine can be obtained from a compound of formula (IX) by reaction with a nucleophilic fluorinating reagent such as diethylaminosulfur trifluoride in a solvent such as dichloromethane at a temperature of between 0°C to 100°C preferably room temperature to 50°C.
8) Similarly to methods described under 7, compounds of formula (II) can be obtained from intermediates of formula (X).
9) Intermediates of formula (X) can be prepared by various methods, for example from a compound of formula (XI) wherein XB is a leaving group, for example a halogen, such as bromo, by treatment with an magnesium or an organometallic reagent such as butyl lithium or isopropyl magnesium bromide followed by addition of diethyl oxalate, as described in the preparation example 1.
Unless otherwise indicated in the above descriptions reference to leaving groups includes leaving groups such as halogen, Q-Cgalkoxy, Ci-C8alkylsulfonyloxy, Ci-Cghaloalkylsulfonyloxy, Cr
C8arylsulfonyloxy, optionally substituted Q-Cgarylsulfonyloxy (aryl is preferably phenyl), diazonium salts (e.g. the leaving group may be selected from -N2+ CI", -N2+ BF4", -N2+ Br", -N2+ PF6_) and phosphonate esters (e.g. -OP(0)(OR)¾ wherein R is methyl or ethyl).
The compounds of formula (I) can be used to combat and control infestations of insect pests such as Lepidoptera, Diptera, Hemiptera, Thysanoptera, Orthoptera, Dictyoptera, Coleoptera, Siphonaptera, Hymenoptera and Isoptera and also other invertebrate pests, for example, acarine, nematode and mollusc pests. Insects, acarines, nematodes and molluscs are hereinafter collectively referred to as pests. The pests which may be combated and controlled by the use of the compounsd of the invention include those pests associated with agriculture (which term includes the growing of crops for food and fiber products), horticulture and animal husbandry, companion animals, forestry and the storage of products of vegetable origin (such as fruit, grain and timber); those pests associated with the damage of man-made structures and the transmission of diseases of man and animals; and also nuisance pests (such as flies). The compounds of the invention may be used for example on turf, ornamentals, such as flowers, shrubs, broad-leaved trees or evergreens, for example conifers, as well as for tree injection, pest management and the like. Compositions comprising the compound of formula I may be used on ornamental garden plants (e.g. flowers, shrubs, broad-leaved trees or evergreens), e.g. to control aphids, whitefly, scales, meelybug, beetles and caterpillars. Compositions comprising the compound of formula I may be used on garden plants (e.g. flowers, shrubs, broad-leaved trees or evergreens), on indoor plants (e.g. flowers and shrubs) and on indoor pest e.g. to control aphids, whitefly, scales, meelybug, beetles and caterpillars.
Furthermore, the compounds of the invention may be effective against harmful insects, without substantially imposing any harmful side effects to cultivated plants. Application of the compounds of the invention may increase the harvest yields, and may improve the quality of the harvested material. The compounds of the invention may have favourable properties with respect to amount appled, residue formulation, selectivity, toxicity, production methodology, high activity, wide spectrum of control, safety, control of resistant organisms, e.g. pests that are resistant to organic phosphorus agents and/or carbamate agents.
Examples of pest species which may be controlled by the compounds of formula (I) include: coleopterans, for example, Callosobruchus chinensis, Sitophilus zeamais, Tribolium castaneum,
Epilachna vigintioctomaculata, Agriotes fuscicollis, Anomala rufocuprea, Leptinotarsa decemlineata, Diabrotica spp., Monochamus alternatus, Lissorhoptrus oryzophilus, Lyctus bruneus, Aulacophora femoralis; lepidopterans, for example, Lymantria dispar, Malacosoma neustria), Pieris rapae,
Spodoptera litura, Mamestra brassicae, Chilo suppressalis), Pyrausta nubilalis, Ephestia cautella, Adoxophyes orana, Carpocapsa pomonella, Agrotisfucosa, Galleria mellonella, Plutella maculipennis, Heliothis virescens, Phyllocnistis citrella; hemipterans, for example, Nephotettix cincticeps, Nilaparvata lugens, Pseudococcus comstocki, Unaspis yanonensis, Myzus persicas, Aphis pomi, Aphis gossypii, Rhopalosiphum pseudobrassicas, Stephanitis nashi, Nezara spp., Trialeurodes vaporariorm, Psylla spp.; thysanopterans, for example, Thrips palmi, Franklinella occidental; orthopterans, for example, Blatella germanica, Periplaneta americana, Gryllotalpa Africana, Locusta migratoria migratoriodes ; isopterans, for example, Reticulitermes speratus, Coptotermes formosanus; dipterans, for example, Musca domestica, Aedes aegypti, Hylemia platura, Culex pipiens, Anopheles sinensis, Culex tritaeniorhynchus, Liriomyza trifolii; acari, for example, Tetranychus cinnabarinus, Tetranychus urticae, Panonychus citri, Aculops pelekassi, Tarsonemus spp. ; nematodes, for example, Meloidogyne incognita, Bursaphelenchus lignicolus Mamiya et Kiyohara, Aphelenchoides besseyi, Heterodera glycines, Pratylenchus spp..
Examples of further pest species which may be controlled by the compounds of formula (I) include: from the order of the Anoplura (Phthiraptera), for example, Damalinia spp., Haematopinus spp., Linognathus spp., Pediculus spp., Trichodectes spp.; from the class of the Arachnida, for example, Acarus siro, Aceria sheldoni, Aculops spp., Aculus spp., Amblyomma spp., Argas spp., Boophilus spp., Brevipalpus spp., Bryobia praetiosa, Chorioptes spp., Dermanyssus gallinae, Eotetranychus spp.,
Epitrimerus pyri, Eutetranychus spp., Eriophyes spp., Hemitarsonemus spp., Hyalomma spp., Ixodes spp., Latrodectus mactans, Metatetranychus spp., Oligonychus spp., Ornithodoros spp., Panonychus spp., Phyllocoptruta oleivora, Polyphagotarsonemus latus, Psoroptes spp., Rhipicephalus spp., Rhizoglyphus spp., Sarcoptes spp., Scorpio maurus, Stenotarsonemus spp., Tarsonemus spp., Tetranychus spp., Vasates lycopersici; from the class of the Bivalva, for example, Dreissena spp.; from the order of the Chilopoda, for example, Geophilus spp., Scutigera spp.; from the order of the Coleoptera, for example,
Acanthoscehdes obtectus, Adoretus spp., Agelastica alni, Agriotes spp., Amphimallon solstitialis, Anobium punctatum, Anoplophora spp., Anthonomus spp., Anthrenus spp., Apogonia spp., Atomaria spp., Attagenus spp., Bruchidius obtectus, Bruchus spp., Ceuthorhynchus spp., Cleonus mendicus, Conoderus spp., Cosmopolites spp., Costelytra zealandica, Curculio spp., Cryptorhynchus lapathi, Dermestes spp., Diabrotica spp., Epilachna spp., Faustinus cubae, Gibbium psylloides, Heteronychus arator,
Hylamorpha elegans, Hylotrupes bajulus, Hypera postica, Hypothenemus spp., Lachnosterna consanguinea, Leptinotarsa decemlineata, Lissorhoptrus oryzophilus, Lixus spp., Lyctus spp., Meligethes aeneus, Melolontha melolontha, Migdolus spp., Monochamus spp., Naupactus xanthographus, Niptus hololeucus, Oryctes rhinoceros, Oryzaephilus surinamensis, Otiorrhynchus sulcatus, Oxycetonia jucunda, Phaedon cochleariae, Phyllophaga spp., Popillia japonica, Premnotrypes spp., Psylliodes chrysocephala, Ptinus spp., Rhizobius ventralis, Rhizopertha dominica, Sitophilus spp., Sphenophorus spp., Sternechus spp., Symphyletes spp., Tenebrio molitor, Tribolium spp., Trogoderma spp., Tychius spp., Xylotrechus spp., Zabrus spp.; from the order of the Collembola, for example, Onychiurus armatus; from the order of the Dermaptera, for example, Forficula auricularia; from the order of the Diplopoda, for example, Blaniulus guttulatus; from the order of the Diptera, for example, Aedes spp., Anopheles spp., Bibio hortulanus, Calliphora erythrocephala, Ceratitis capitata, Chrysomyia spp., Cochliomyia spp., Cordylobia anthropophaga, Culex spp., Cuterebra spp., Dacus oleae, Dermatobia hominis, Drosophila spp., Fannia spp., Gastrophilus spp., Hylemyia spp., Hyppobosca spp., Hypoderma spp., Liriomyza spp., Lucilia spp., Musca spp., Nezara spp., Oestrus spp., Oscinella frit, Pegomyia hyoscyami, Phorbia spp., Stomoxys spp., Tabanus spp., Tannia spp., Tipula paludosa, Wohlfahrtia spp.; from the class of the Gastropoda, for example, Arion spp., Biomphalaria spp., Bulinus spp., Deroceras spp., Galba spp., Lymnaea spp., Oncomelania spp., Succinea spp.; from the class of the helminths, for example,
Ancylostoma duodenale, Ancylostoma ceylanicum, Acylostoma braziliensis, Ancylostoma spp., Ascaris lubricoides, Ascaris spp., Brugia malayi, Brugia timori, Bunostomum spp., Chabertia spp., Clonorchis spp., Cooperia spp., Dicrocoelium spp, Dictyocaulus filaria, Diphyllobothrium latum, Dracunculus medinensis, Echinococcus granulosus, Echinococcus multilocularis, Enterobius vermicularis, Faciola spp., Haemonchus spp., Heterakis spp., Hymenolepis nana, Hyostrongulus spp., Loa Loa, Nematodirus spp., Oesophagostomum spp., Opisthorchis spp., Onchocerca volvulus, Ostertagia spp., Paragonimus spp., Schistosomen spp., Strongyloides fuelleborni, Strongyloides stercoralis, Stronyloides spp., Taenia saginata, Taenia solium, Trichinella spiralis, Trichinella nativa, Trichinella britovi, Trichinella nelsoni, Trichinella pseudopsiralis, Trichostrongulus spp., Trichuris trichuria, Wuchereria bancrofii; ft may be furthermore possible to control protozoa, such as Eimeria; from the order of the Heteroptera, for example, Anasa tristis, Antestiopsis spp., Blissus spp., Calocoris spp., Campylomma livida, Cavelerius spp., Cimex spp., Creontiades dilutus, Dasynus piperis, Dichelops furcatus, Diconocoris hewetti, Dysdercus spp., Euschistus spp., Eurygaster spp., Heliopeltis spp., Horcias nobilellus, Leptocorisa spp., Leptoglossus phyllopus, Lygus spp., Macropes excavatus, Miridae, Nezara spp., Oebalus spp.,
Pentomidae, Piesma quadrata, Piezodorus spp., Psallus seriatus, Pseudacysta persea, Rhodnius spp., Sahlbergella singularis, Scotinophora spp., Stephanitis nashi, Tibraca spp., Triatoma spp.; from the order of the Homoptera, for example, Acyrthosipon spp., Aeneolamia spp., Agonoscena spp., Aleurodes spp., Aleurolobus barodensis, Aleurothrixus spp., Amrasca spp., Anuraphis cardui, Aonidiella spp.,
Aphanostigma piri, Aphis spp., Arboridia apicalis, Aspidiella spp., Aspidiotus spp., Atanus spp.,
Aulacorthum solani, Bemisia spp., Brachycaudus helichrysii, Brachycolus spp., Brevicoryne brassicae, Calligypona marginata, Carneocephala fulgida, Ceratovacuna lanigera, Cercopidae, Ceroplastes spp., Chaetosiphon fragaefolii, Chionaspis tegalensis, Chlorita onukii, Chromaphis juglandicola, Chrysomphalus ficus, Cicadulina mbila, Coccomytilus halli, Coccus spp., Cryptomyzus ribis, Dalbulus spp., Dialeurodes spp., Diaphorina spp., Diaspis spp., Doralis spp., Drosicha spp., Dysaphis spp., Dysmicoccus spp., Empoasca spp., Eriosoma spp., Erythroneura spp., Euscelis bilobatus, Geococcus coffeae, Homalodisca coagulata, Hyalopterus arundinis, Icerya spp., Idiocerus spp., Idioscopus spp., Laodelphax striatellus, Lecanium spp., Lepidosaphes spp., Lipaphis erysimi, Macrosiphum spp., Mahanarva fimbriolata, Melanaphis sacchari, Metcalfiella spp., Metopolophium dirhodum, Monellia costalis, MonelUopsis pecanis, Myzus spp., Nasonovia ribisnigri, Nephotettix spp., Nilaparvata lugens, Oncometopia spp., Orthezia praelonga, Parabemisia myricae, Paratrioza spp., Parlatoria spp.,
Pemphigus spp., Peregrinus maidis, Phenacoccus spp., Phloeomyzus passerinii, Phorodon humuli,
Phylloxera spp., Pinnaspis aspidistrae, Planococcus spp., Protopulvinaria pyriformis, Pseudaulacaspis pentagona, Pseudococcus spp., Psylla spp., Pteromalus spp., Pyrilla spp., Quadraspidiotus spp., Quesada gigas, Rastrococcus spp., Rhopalosiphum spp., Saissetia spp., Scaphoides titanus, Schizaphis graminum, Selenaspidus articulatus, Sogata spp., Sogatella furcifera, Sogatodes spp., Stictocephala festina, Tenalaphara malayensis, Tinocallis caryaefoliae, Tomaspis spp., Toxoptera spp., Trialeurodes vaporariorum, Trioza spp., Typhlocyba spp., Unaspis spp., Viteus vitifolii; from the order of the
Hymenoptera, for example, Diprion spp., Hoplocampa spp., Lasius spp., Mono- morium pharaonis, Vespa spp.; from the order of the Isopoda, for example, Armadillidium vulgar e, Oniscus asellus, Porcellio scaber; from the order of the Isoptera, for example, Reticulitermes spp., Odontotermes spp.; from the order of the Lepidoptera, for example, Acronicta major, Aedia leucomelas, Agrotis spp., Alabama argillacea, Anticarsia spp., Barathra brassicae, Bucculatrix thurberiella, Bupalus piniarius, Cacoecia podana, Capua reticulana, Carpocapsa pomonella, Cheimatobia brumata, Chilo spp., Choristoneura fumiferana, Clysia ambiguella, Cnaphalocerus spp., Earias insulana, Ephestia kuehniella, Euproctis chrysorrhoea, Euxoa spp., Feltia spp., Galleria mellonella, Helicoverpa spp., Heliothis spp., Hofmannophila pseudospretella, Homona magnanima, Hyponomeuta padella, Laphygma spp.,
Lithocolletis blancardella, Lithophane antennata, Loxagrotis albicosta, Lymantria spp., Malacosoma neustria, Mamestra brassicae, Mods repanda, Mythimna separata, Oria spp., Oulema oryzae, Panolis flammea, Pectinophora gossypiella, Phyllocnistis citrella, Pieris spp., Plutella xylostella, Prodenia spp., Pseudaletia spp., Pseudoplusia includens, Pyrausta nubilalis, Spodoptera spp., Thermesia gemmatalis, Tinea pellionella, Tineola bisselliella, Tortrix viridana, Trichoplusia spp.; from the order of the
Orthoptera, for example, Acheta domesticus, Blatta orientalis, Blattella germanica, Gryllotalpa spp., Leucophaea maderae, Locusta spp., Melanoplus spp., Periplaneta americana, Schistocerca gregaria; from the order of the Siphonaptera, for example, Ceratophyllus spp., Xenopsylla cheopis. From the order of the Symphyla, for example, Scutigerella immaculata; from the order of the Thysanoptera, for example, Baliothrips biformis, Enneothrips flavens, Frankliniella spp., Heliothrips spp., Hercinothrips femoralis, Kakothrips spp., Rhipiphorothrips cruentatus, Scirtothrips spp., Taeniothrips cardamoni, Thrips spp.; from the order of the Thysanura, for example, Lepisma saccharina. The phytoparasitic nematodes include, for example, Anguina spp., Aphelenchoides spp., Belonoaimus spp., Bursaphelenchus spp., Ditylenchus dipsaci, Globodera spp., Heliocotylenchus spp., Heterodera spp., Longidorus spp.,
Meloidogyne spp., Pratylenchus spp., Radopholus similis, Rotylenchus spp., Trichodorus spp.,
Tylenchorhynchus spp., Tylenchulus spp., Tylenchulus semipenetrans, Xiphinema spp.
5 In particular, the compounds of the invention may be used to control the following pest spcies:
Myzus persicae (aphid), Aphis gossypii (aphid), Aphis fabae (aphid), Lygus spp. (capsids), Dysdercus spp. (capsids), Nilaparvata lugens (planthopper), Nephotettixc incticeps (leafhopper), Nezara spp. (stinkbugs), Euschistus spp. (stinkbugs), Leptocorisa spp. (stinkbugs), Frankliniella occidentalis (thrip), Thrips spp. (thrips), Leptinotarsa decemlineata (Colorado potato beetle), Anthonomus grandis
10 (boll weevil), Aonidiella spp. (scale insects), Trialeurodes spp. (white flies), Bemisia tabaci (white fly), Ostrinia nubilalis (European corn borer), Spodoptera littoralis (cotton leafworm), Heliothis virescens (tobacco budworm), Helicoverpa armigera (cotton bollworm), Helicoverpa zea (cotton bollworm), Sylepta derogata (cotton leaf roller), Pieris brassicae (white butterfly), Plutella xylostella (diamond back moth), Agrotis spp. (cutworms), Chilo suppressalis (rice stem borer), Locusta migratoria (locust),
15 Chortiocetes terminifera (locust), Diabrotica spp. (rootworms), Panonychus ulmi (European red mite), Panonychus citri (citrus red mite), Tetranychus urticae (two-spotted spider mite), Tetranychus cinnabarinus (carmine spider mite), Phyllocoptruta oleivora (citrus rust mite), Polyphagotarsonemus latus (broad mite), Brevipalpus spp. (flat mites), Boophilus microplus (cattle tick), Dermacentor variabilis (American dog tick), Ctenocephalides felis (cat flea), Liriomyza spp. (leafminer), Musca
20 domestica (housefly), Aedes aegypti (mosquito), Anopheles spp. (mosquitoes), Culex spp. (mosquitoes), Lucillia spp. (blowflies), Blattella germanica (cockroach), Periplaneta americana (cockroach), Blatta orientalis (cockroach), termites of the Mastotermitidae (for example Mastotermes spp.), the
Kalotermitidae (for example Neotermes spp.), the Rhinotermitidae (for example Coptotermes formosanus, Reticulitermes flavipes, R. speratu, R. virginicus, R. hesperus, and R. santonensis) and the Termitidae (for
25 example Globitermes sulfureus), Solenopsis geminata (fire ant), Monomorium pharaonis (pharaoh's ant), Damalinia spp. and Linognathus spp. (biting and sucking lice), Meloidogyne spp. (root knot nematodes), Globodera spp. and Heterodera spp. (cyst nematodes), Pratylenchus spp. (lesion nematodes),
Rhodopholus spp. (banana burrowing nematodes), Tylenchulus spp. (citrus nematodes), Haemonchus contortus (barber pole worm), Caenorhabditis
Figure imgf000041_0001
eelworm), Trichostrongylus spp. (gastro
30 intestinal nematodes) and Deroceras reticulatum (slug).
The compound of formula I may be used for pest control on various plants, including soybean (e.g. in some cases 10-70g/ha), corn (e.g. in some cases 10-70g/ha), sugarcane (e.g. in some cases 20- 200g/ha), alfalfa (e.g. in some cases 10-70g/ha), brassicas (e.g. in some cases 10-50g/ha), oilseed rape (e.g. canola) (e.g. in some cases 20-70g/ha), potatoes (including sweet potatoes) (e.g. in some cases 10-
35 70g/ha), cotton (e.g. in some cases 10-70g/ha), rice (e.g. in some cases 10-70g/ha), coffee (e.g. in some cases 30-150g/ha), citrus (e.g. in some cases 60-200g/ha), almonds (e.g. in some cases 40-180g/ha), fruiting vegetables, cucurbits and pulses (e.g. tomatoes, pepper, chili, eggplant, cucumber, squash etc.) (e.g. in some cases 10-80g/ha), tea (e.g. in some cases 20-150g/ha), bulb vegetables (e.g. onion, leek etc.) (e.g. in some cases 30-90g/ha), grapes (e.g. in some cases 30-180g/ha), pome fruit (e.g. apples, pears etc.) (e.g. in some cases 30-180g/ha), and stone fruit (e.g. pears, plums etc.) (e.g. in some cases 30-180g/ha).
The compounds of the invention may be used for pest control on various plants, including soybean, corn, sugarcane, alfalfa, brassicas, oilseed rape (e.g. canola), potatoes (including sweet potatoes), cotton, rice, coffee, citrus, almonds, fruiting vegetables, cucurbits and pulses (e.g. tomatoes, pepper, chili, eggplant, cucumber, squash etc.), tea, bulb vegetables (e.g. onion, leek etc.), grapes, pome fruit (e.g. apples, pears etc.), stone fruit (e.g. pears, plums etc.), and cereals.
The compounds of the invention may be used on soybean to control, for example, Elasmopalpus Ugnosellus, Diloboderus abderus, Diabrotica speciosa, Trialeurodes spp., Bemisia spp., aphids,
Sternechus subsignatus, Formicidae, Agrotis ypsilon, Julus spp., Murgantia spp., Halyomorpha spp., Thyanta spp., Megascelis ssp., Procornitermes ssp., Gryllotalpidae, Nezara viridula, Piezodorus spp., Acrosternum spp., Neomegalotomus spp., Cerotoma trifurcata, PopilUa japonica, Edessa spp., Liogenys fuscus, Euschistus heros, stalk borer, Scaptocoris castanea, phyllophaga spp., Migdolus spp.,
Pseudoplusia includens, Anticarsia gemmatalis, Epinotia spp., Rachiplusia spp., Spodoptera spp., Bemisia tabaci, Tetranychus spp., Agriotes spp., Euschistus spp.. The compounds of the invention are preferably used on soybean to control Diloboderus abderus, Diabrotica speciosa, Trialeurodes spp., Bemisia spp., Nezara viridula, Piezodorus spp., Acrosternum spp., Cerotoma trifurcata, PopilUa japonica, Euschistus heros, Scaptocoris castanea, phyllophaga spp., Migdolus spp., Agriotes spp., Euschistus spp..
The compounds of the invention may be used on corn to control, for example, Euschistus heros, Euschistus spp., Dichelops furcatus, Diloboderus abderus, Thyanta spp., Elasmopalpus Ugnosellus, Halyomorpha spp., Spodoptera frugiperda, Nezara viridula, Cerotoma trifurcata, PopilUa japonica, Agrotis ypsilon, Diabrotica speciosa, aphids, Heteroptera, Procornitermes spp., Scaptocoris castanea, Formicidae, Julus ssp., Dalbulus maidis, Diabrotica virgifera, Diabrotica spp., Mods latipes, Bemisia tabaci, heliothis spp., Tetranychus spp., thrips spp., phyllophaga spp., Migdolus spp., scaptocoris spp., Liogenys fuscus, Spodoptera spp., Ostrinia spp., Sesamia spp., wireworms, Agriotes spp., Halotydeus destructor. The compounds of the invention are preferably used on corn to control Euschistus heros, Euschistus spp., Dichelops furcatus, Diloboderus abderus, Nezara viridula, Cerotoma trifurcata, PopilUa japonica, Diabrotica speciosa, Diabrotica virgifera, Diabrotica spp., Tetranychus spp., Thrips spp., Phyllophaga spp., Migdolus spp., Scaptocoris spp., Agriotes spp..
The compounds of the invention may be used on sugar cane to control, for example,
Sphenophorus spp., termites, Migdolus spp., Diloboderus spp., Telchin licus, Diatrea saccharalis, Mahanarva spp., Mealybugs.
The compounds of the invention may be used on alfalfa to control, for example, Hyper a brunneipennis, Hypera postica, Colias eurytheme, Collops spp., Empoasca solana, Epitrix spp., Geocoris spp., Lygus hesperus, Lygus lineolaris, Spissistilus spp., Spodoptera spp., Aphids, Trichoplusia ni. The compounds of the invention are preferably used on alfalfa to control Hypera brunneipennis, Hypera postica, Empoasca solana, Epitrix spp., Lygus hesperus, Lygus Uneolaris, Trichoplusia ni.
The compounds of the invention may be used on brassicas to control, for example, Plutella xylostella, Pieris spp., Mamestra spp., Plusia spp., Trichoplusia ni, Phyllotreta spp., Spodoptera spp., Empoasca spp., thrips spp., Delia spp., Murgantia spp., Trialeurodes spp., Bemisia spp., Microtheca spp., Aphids.The compounds of the invention are preferably used on brassicas to control Plutella xylostella, Pieris spp., Plusia spp., Trichoplusia ni, Phyllotreta spp., Thrips spp..
The compounds of the invention may be used on oil seed rape, e.g. canola, to control, for example, Meligethes spp., Ceutorhynchus napi, Halotydeus destructor, Psylloides spp..
The compounds of the invention may be used on potatoes, including sweet potatoes, to control, for example, Empoasca spp., Leptinotarsa spp., Diabrotica speciosa, Phthorimaea spp., Paratrioza spp., Maladera matrida, Agriotes spp., Aphids, wireworms. The compounds of the invention are preferably used on potatoes, including sweet potatoes, to control Empoasca spp., Leptinotarsa spp., Diabrotica speciosa, Phthorimaea spp., Paratrioza spp., Agriotes spp..
The compounds of the invention may be used on cotton to control, for example, Anthonomus grandis, Pectinophora spp., heliothis spp., Spodoptera spp., Tetranychus spp., Empoasca spp., Thrips spp., Bemisia tabaci, Trialeurodes spp., Aphids, Lygus spp., phyllophaga spp., Scaptocoris spp., Austroasca viridigrisea, Creontiades spp., Nezara spp., Piezodorus spp., Halotydeus destructor, Oxycaraenus hyalinipennis, Dysdercus cingulatus. The compounds of the invention are preferably used on cotton to control Anthonomus grandis, Tetranychus spp., Empoasca spp., thrips spp., Lygus spp., phyllophaga spp., Scaptocoris spp..
The compounds of the invention may be used on rice to control, for example, Leptocorisa spp., Cnaphalocrosis spp., Chilo spp., Scirpophaga spp., Lissorhoptrus spp., Oebalus pugnax, Scotinophara spp., Nephotettix malayanus, Nephotettix nigropictus, Nephotettix parvus, Nephottetix virescens, Nephotettix spp., Mealybugs, Sogatella furcifera, Nilaparvata lugens, Orseolia spp., Cnaphalocrocis medinalis, Marasmia spp., Stenchaetothrips biformis, Thrips spp., Hydrellia philippina, Grasshoppers, Pomacea canaliculata, Scirpophaga innotata, Chilo suppressalis, Chilo auricilius, Chilo polychrysus, Sesamia inferens, Laodelphax striatellus, Nymphula depunctalis, Oulema oryzae, Stinkbugs. The compounds of the invention are preferably used on rice to control Leptocorisa spp., Lissorhoptrus spp., Oebalus pugnax, Nephotettix malayanus, Nephotettix nigropictus, Nephotettix parvus, Nephottetix virescens, Nephotettix spp., Sogatella furcifera, Stenchaetothrips biformis, Thrips spp., Hydrellia philippina, Grasshoppers, Pomacea canaliculata, Scirpophaga innotata, Chilo suppressalis, Chilo polychrysus, Oulema oryzae.
The compounds of the invention may be used on coffee to control, for example, Hypothenemus Hampei, Perileucoptera Coffeella, Tetranychus spp., Brevipalpus spp., Mealybugs. The compounds of the invention are preferably used on coffee to control Hypothenemus Hampei, Perileucoptera Coffeella. The compounds of the invention may be used on citrus to control, for example, Panonychus citri, Phyllocoptruta oleivora, Brevipalpus spp., Diaphorina citri, Scirtothrips spp., Thrips spp., Unaspis spp., Ceratitis capitata, Phyllocnistis spp., Aphids, Hardscales, Softscales, Mealybugs. The compounds of the invention are preferably used on citrus to control Panonychus citri, Phyllocoptruta oleivora, Brevipalpus spp., Diaphorina citri, Scirtothrips spp., thrips spp., Phyllocnistis spp..
The compounds of the invention may be used on almonds to control, for example, Amyelois transitella, Tetranychus spp..
The compounds of the invention may be used on fruiting vegetables, cucurbits and pulses, including tomatoes, pepper, chili, eggplant, cucumber, squash etc., to control, for example, Thrips spp., Tetranychus spp., Polyphagotarsonemus spp., Aculops spp., Empoasca spp., Spodoptera spp., heliothis spp., Tuta absoluta, Liriomyza spp., Bemisia tabaci, Trialeurodes spp., Aphids, Paratrioza spp., Frankliniella occidentalis, Frankliniella spp., Anthonomus spp., Phyllotreta spp., Amrasca spp., Epilachna spp., Halyomorpha spp., Scirtothrips spp., Leucinodes spp., Neoleucinodes spp. Maruca spp., Fruit flies, Stinkbugs, Lepidopteras, Coleopteras. The compounds of the invention are preferably used on fruiting vegetables, cucurbits and pulses, including tomatoes, pepper, chili, eggplant, cucumber, squash etc., to control Thrips spp., Tetranychus spp., Polyphagotarsonemus spp., Aculops spp., Empoasca spp., Spodoptera spp., heliothis spp., Tuta absoluta, Liriomyza spp., Paratrioza spp., Frankliniella occidentalis, Frankliniella spp., Amrasca spp., Scirtothrips spp., Leucinodes spp., Neoleucinodes spp..
The compounds of the invention may be used on tea to control, for example, Pseudaulacaspis spp., Empoasca spp., Scirtothrips spp., Caloptilia theivora, Tetranychus spp..T e compounds of the invention are preferably used on tea to control Empoasca spp., Scirtothrips spp..
The compounds of the invention may be used on bulb vegetables, including onion, leek etc. to control, for example, Thrips spp., Spodoptera spp., heliothis spp.. The compounds of the invention are preferably used on bulb vegetables, including onion, leek etc. to control Thrips spp..
The compounds of the invention may be used on grapes to control, for example, Empoasca spp.,
Lobesia spp., Eupoecilia ambiguella, Frankliniella spp., Thrips spp., Tetranychus spp., Rhipiphorothrips Cruentatus, Eotetranychus Willamettei, Erythroneura Elegantula, Scaphoides spp., Scelodonta strigicollis, Mealybugs. The compounds of the invention are preferably used on grapes to control Frankliniella spp., Thrips spp., Tetranychus spp., Rhipiphorothrips Cruentatus, Scaphoides spp..
The compounds of the invention may be used on pome fruit, including apples, pears etc., to control, for example, Cacopsylla spp., Psylla spp., Panonychus ulmi, Cydia pomonella, Lepidopteras, Aphids, Hardscales, Softscales. The compounds of the invention are preferably used on pome fruit, including apples, pears etc., to control Cacopsylla spp., Psylla spp., Panonychus ulmi.
The compounds of the invention may be used on stone fruit to control, for example, Grapholita molesta, Scirtothrips spp., Thrips spp., Frankliniella spp., Tetranychus spp., Aphids, Hardscales, Softscales, Mealybugs. The compounds of the invention are preferably used on stone fruit to control Scirtothrips spp., Thrips spp., Frankliniella spp., Tetranychus spp.. The compounds of the invention may be used on cereals to control, for example, Aphids, Stinkbugs, earthmites, Eurygaster integriceps, Zabrus tenebrioides, Anisoplia austriaca, Chaetocnema aridula, Phyllotreta spp., Oulema melanopus, Oscinella spp., Delia spp., Mayetiola spp., Contarinia spp., Cephus spp., Steneotarsonemus spp., Apamea spp..
In another embodiment compounds of formula I and mixtures of the invention may be used on rice to control Baliothrips biformis (Thrips), Chilo spp. (e.g. Chilo polychrysus (Dark headed striped borer), Chilo suppressalis (Rice stemborer), Chilo indicus (Paddy stem borer), Chilo polychrysus (Dark- headed rice borer), Chilo suppressalis (Stripe stem borer)), Cnaphalocrocis medinalis (Rice leaf folder), Dicladispa armigera (Hispa), Hydrellia philipina (Rice whorl-maggot), Laodelphax spp. (Smaller brown planthopper) (e.g. Laodelphax striatellus ), Lema oryzae (Rice leafbeetle), Leptocorsia acuta (Rice bug), Leptocorsia oratorius (rice bug), Lissorhoptrus oryzophilus (rice water weevil), Mythemina separata (armyworm), Nephottetix spp. (Green leafhopper ) (e.g. Nephotettix cincticeps, Nephotettix malayanus, Nephotettix nigropictus, Nephotettix parvus, Nephottetix virescens), Nilaparvata lugens (Brown
Planthopper), Nymphula depunctalis (Rice caseworm), Orseolia oryzae (Rice Gall midge), Oulema oryzae (Rice leafbeetle), Scirpophaga incertulas (Yellow Stemborer), Scirpophaga innotata (White Stemborer), Scotinophara coarctata (Rice black bug), Sogaella frucifera (White -backed planthopper), Steneotarsonemus spinki.
The compounds of the invention may be used to control animal housing pests including: Ants, Bedbugs (adult), Bees, Beetles, Boxelder Bugs, Carpenter Bees, Carpet Beetles, Centipedes, Cigarette, Beetles, Clover Mites, Cockroaches, Confused Flour Beetle, Crickets, Earwigs, Firebrats, Fleas, Flies, Lesser Grain Borers, Millipedes, Mosquitoes, Red Flour Beetles, Rice Weevils, Saw-toothed Grain Beetles, Silverfish, Sowbugs, Spiders, Termites, Ticks, Wasps, Cockroaches, Crickets, Flies, Litter Beetles (such as Darkling, Hide, and Carrion), Mosquitoes, Pillbugs, Scorpions, Spiders, Spider Mites (Twospotted, Spruce), Ticks.
The compounds of the invention may be used to control ornamental pests including: Ants
(Including Imported fire ants), Armyworms, Azalea caterpillars, Aphids, Bagworms, Black vine weevils (adult), Boxelder bugs, Budworms, California oakworms, Cankerworms, Cockroaches, Crickets, Cutworms, Eastern tent caterpillars, Elm leaf beetles, European sawflies, Fall web worms, Flea beetles, Forest tent caterpillars, Gypsy moth larvae, Japanese beetles (adults), June beetles (adults), Lace bugs, Leaf- feeding caterpillars, Leafhoppers, Leafminers (adults), Leaf rollers, Leaf skeletonizers, Midges, Mosquitoes, Oleander moth larvae, Pillbugs, Pine sawflies, Pine shoot beetles, Pinetip moths, Plant bugs, Root weevils, Sawflies, Scale insects (crawlers), Spiders, Spittlebugs, Striped beetles, Striped oakworms, Thrips, Tip moths, Tussock moth larvae, Wasps, Broadmites, Brown softscales, California redscales (crawlers), Clover mites, Mealybugs, Pineneedlescales (crawlers), Spider mites, Whiteflies
The compounds of the invention may be used to control turf pests including: Ants (Including
Imported fire ants, Armyworms, Centipedes, Crickets, Cutworms, Earwigs, Fleas (adult), Grasshoppers, Japanese beetles (adult), Millipedes, Mites, Mosquitoes (adult), Pillbugs, Sod webworms, Sow bugs, Ticks (including species which transmit Lyme disease), Bluegrass billbugs (adult), Black turfgrass ataenius (adult), Chiggers, Fleas (adult), Grubs (suppression), Hyperodes weevils (adult), Mole crickets (nymphs and young adults), Mole Crickets (mature adults), Chinch Bugs.
The compounds of formula (I) and mixture of the invention, in particular those in the tables above, may be used for soil applications, including as a seed application, to target at least the following: sucking pests such as aphids, thrips, brown plant hopper (e.g. on rice), sting bugs, white flies (e.g. on cotton and vegetables), mites; on soil pests such as corn root worm, wireworms, white grubs, zabrus, termites (e.g. on sugar cane, soy, pasture), maggots, cabbage root fly, red legged earth mite; on lepidoptera, such as spodoptera, cutworms, elasmoplpus , plutella (e.g. brassica), stem borers, leaf miners, flea beetle, Sternechus; on nematicides, such as Heterodera glycines (e.g. on soybean), Pratylenchus brachyurus (e.g. on corn), P. zeae (e.g. oncorn), P. penetrans (e.g. on corn), Meloidogyne incognita (e.g. on vegetables), Heterodera schachtii (e.g. on sugar beet), Rotylenchus reniformis (e.g. on cotton), Heterodera avenae (e.g. on cereals), Pratylenchus neglectus (e.g. on cereals), thornei (e.g. on cereals).
The compounds of formula (I) and mixture of the invention, in particular those in the tables above may be used for seed applications at least on the following: soil grubs for corn, soybeans, sugarcane: Migdolus spp; Phyllophaga spp.; Diloboderus spp; Cyclocephala spp; Lyogenys fuscus; sugarcane weevils: Sphenophorus levis & Metamasius hemipterus; termites for soybeans, sugarcane, pasture, others: Heterotermes tenuis; Heterotermes longiceps; Cornitermes cumulans; Procornitermes triacifer ;
Neocapritermes opacus; Neocapritermes parvus; corn root worms for corn and potatoes: Diabrotica spp., seed Maggot: Delia platura; soil stinkbugs: Scaptocoris castanea; wireworms: Agriotes spp; Athous spp Hipnodes bicolor; Ctenicera destructor; Limonius canu; Limonius californicus; rice water weevil:
Lissorhoptrus oryzophilus; Red Legged earth mites: Halotydeus destructor.
The invention therefore provides a method of combating and/or controlling an animal pest, e.g. an invertebrate animal pest, which comprises applying to the pest, to a locus of the pest, or to a plant susceptible to attack by the pest a pesticidally effective amount of a compound of formula (I). In particular, the invention provides a method of combating and/or controlling insects, acarines, nematodes or molluscs which comprises applying an insecticidally, acaricidally, nematicidally or molluscicidally effective amount of a compound of formula (I), or a composition containing a compound of formula (I), to a pest, a locus of pest, preferably a plant, or to a plant susceptible to attack by a pest, The compounds of formula (I) are preferably used against insects, acarines or nematodes.
The term "plant" as used herein includes seedlings, bushes and trees. Crops are to be understood as also including those crops which have been rendered tolerant to herbicides or classes of herbicides (e.g. ALS-, GS-, EPSPS-, PPO- and HPPD-inhibitors) by conventional methods of breeding or by genetic engineering. An example of a crop that has been rendered tolerant to imidazolinones, e.g. imazamox, by conventional methods of breeding is Clearfield® summer rape (canola). Examples of crops that have been rendered tolerant to herbicides by genetic engineering methods include e.g. glyphosate- and glufosinate- resistant maize varieties commercially available under the trade names RoundupReady® and LibertyLink®.
The compounds of the invention may be applied to plant parts. Plant parts are to be understood as meaning all parts and organs of plants above and below the ground, such as shoot, leaf, flower and root, examples which may be mentioned being leaves, needles, stalks, stems, flowers, fruit bodies, fruits, seeds, roots, tubers and rhizomes. The plant parts also include harvested material, and vegetative and generative propagation material, for example cuttings, tubers, rhizomes, offshoots and seeds. Treatment according to the invention of the plants and plant parts with the active compounds is carried out directly or by allowing the compounds to act on their surroundings, habitat or storage space by the customary treatment methods, for example by immersion, spraying, evaporation, fogging, scattering, painting on, injecting and, in the case of propagation material, in particular in the case of seed, also by applying one or more coats.
Compounds of formula I may be used on transgenic plants (including cultivars) obtained by genetic engineering methods and/or by conventional methods. These are understood as meaning plants having novel properties ("traits") which have been obtained by conventional breeding, by mutagenesis or by recombinant DNA techniques. Depending on the plant species or plant cultivars, their location and growth conditions (soils, climate, vegetation period, diet), the treatment according to the invention may also result in superadditive "synergistic") effects.
Thus, for example, reduced application rates and/or a widening of the activity spectrum and/or an increase in the activity of the substances and compositions which can be used according to the invention, better plant growth, increased tolerance to high or low temperatures, increased tolerance to drought or to water or soil salt content, increased flowering performance, easier harvesting, accelerated maturation, higher harvest yields, higher quality and/or a higher nutritional value of the harvested products, better storage stability and/or processability of the harvested products are possible, which exceed the effects which were actually to be expected.
The preferred transgenic plants or plant cultivars which are to be treated according to the invention include all plants which, by virtue of the genetic modification, received genetic material which imparts particularly advantageous, useful traits to these plants. Examples of such traits are better plant growth, increased tolerance to high or low temperatures, increased tolerance to drought or to water or soil salt content, increased flowering performance, easier harvesting, accelerated maturation, higher harvest yields, higher quality and/or a higher nutritional value of the harvested products, better storage stability and/or processability of the harvested products.
Further and particularly emphasized examples of such traits are a better defence of the plants against animal and microbial pests, such as against insects, mites, phytopathogenic fungi, bacteria and/or viruses, and also increased tolerance of the plants to certain herbicidally active compounds.
Examples of transgenic plants which may be mentioned are the important crop plants, such as cereals (wheat, rice), maize, soybean, potatoes, sugar beet, tomatoes, peas and other vegetable varieties, cotton, tobacco, oilseed rape and also fruit plants (with the fruits apples, pears, citrus fruits and grapes). Compounds of formula I may be used on transgenic plants that are capable of producing one or more pesticidal proteins which confer upon the transgenic plant tolerance or resistance to harmful pests, e.g. insect pests, nematode pests and the like. Such pesticidal proteins include, without limitation, Cry proteins from Bacillus thuringiensis CrylAb, CrylAc, CrylF, Cry2Ab, Cry2Ae, Cry3A, Cry3Bb, or Cry9C; engineered proteins such as modified Cry3A ( US Patent 7,030,295) or CrylA.105; or vegetative insecticidal proteins such as Vipl, Vip2 or Vip3. A full list of Bt Cry proteins and VIPs useful in the invention can be found on the worldwide web at Bacillus thuringiensis Toxin Nomenclature Database maintained by the University of Sussex {see also, Crickmore et al. (1998) Microbiol. Mol. Biol. Rev. 62:807-813). Other pesticidal proteins useful in the invention include proteins of bacteria colonizing nematodes, e.g. Photorhabdus spp. or Xenorhabdus spp.; toxins produced by animals, such as scorpion toxins, arachnid toxins, wasp toxins, or other insect-specific neurotoxins; toxins produced by fungi, such Streptomycetes toxins, plant lectins, such as pea or barley lectins; agglutinins; proteinase inhibitors, such as trypsin inhibitors, serine protease inhibitors, patatin, cystatin or papain inhibitors; ribosome- inactivating proteins (RIP), such as ricin, maize-RIP, abrin, luffin, saporin or bryodin; steroid metabolism enzymes, such as 3-hydroxysteroid oxidase, ecdysteroid-IDP-glycosyl-transferase, cholesterol oxidases, ecdysone inhibitors or HMG-CoA-reductase; ion channel blockers, such as blockers of sodium or calcium channels; juvenile hormone esterase; diuretic hormone receptors (helicokinin receptors); stilben synthase, bibenzyl synthase, chitinases or glucanases. Further examples of such pesticidal proteins or transgenic plants capable of synthesizing such proteins are disclosed, e.g., in EP-A 374753, WO 93/007278, WO 95/34656, EP-A 427529, EP-A 451878, WO 03/18810 and WO 03/52073. The methods for producing such transgenic plants are generally known to the person skilled in the art and some of which are commercially available such as Agrisure®CB (corn producing CrylAb), Agrisure®RW (corn producing mCry3A), Agrisure® Viptera (corn hybrids producing Vip3Aa); Agrisure300GT (corn hybrids producing CrylAb and mCry3A); YieldGard® (corn hybrids producing the CrylAb protein), YieldGard® Plus (corn hybrids producing CrylAb and Cry3Bbl), Genuity® SmartStax® (corn hybrids with CrylA.105, Cry2Ab2, CrylF, Cry34/35, Cry3Bb) ; Herculex® I (corn hybrids producing CrylFa) and Herculex®RW (corn hybrids producing Cry34Abl, Cry35Abl and the enzyme Phosphinothricin-N-Acetyltransferase [PAT]) ; NuCOTN®33B (cotton cultivars producing CrylAc), Bollgard®I (cotton cultivars producing CrylAc), Bollgard®II (cotton cultivars producing CrylAc and Cry2Ab2) and VIPCOT® (cotton cultivars producing a Vip3Aa). Soybean Cyst Nematode resistance soybean (SCN® - Syngenta) and soybean with Aphid resistant trait (AMT®) are also of interest.
Further examples of such transgenic crops are:
1. Btll Maize from Syngenta Seeds SAS, Chemin de l'Hobit 27, F-31 790 St. Sauveur, France, registration number C/FR/96/05/10. Genetically modified Zea mays which has been rendered resistant to attack by the European corn borer {Ostrinia nubilalis and Sesamia nonagrioides) by transgenic expression of a truncated CrylA(b) toxin. Btl 1 maize also transgenically expresses the enzyme PAT to achieve tolerance to the herbicide glufosinate ammonium. 2. Btl76 Maize from Syngenta Seeds SAS, Chemin de l'Hobit 27, F-31 790 St. Sauveur, France, registration number C/FR/96/05/10. Genetically modified Zea mays which has been rendered resistant to attack by the European corn borer (Ostrinia nubilalis and Sesamia nonagrioides) by transgenic expression of a CrylA(b) toxin. Btl76 maize also transgenically expresses the enzyme PAT to achieve tolerance to the herbicide glufosinate ammonium.
3. MIR604 Maize from Syngenta Seeds SAS, Chemin de l'Hobit 27, F-31 790 St. Sauveur, France, registration number C/FR/96/05/10. Maize which has been rendered insect-resistant by transgenic expression of a modified CrylllA toxin. This toxin is Cry3A055 modified by insertion of a cathepsin-D- protease recognition sequence. The preparation of such transgenic maize plants is described in WO 03/018810.
4. MON 863 Maize from Monsanto Europe S.A. 270-272 Avenue de Tervuren, B-l 150 Brussels, Belgium, registration number C/DE/02/9. MON 863 expresses a CrylllB(bl) toxin and has resistance to certain Coleoptera insects.
5. IPC 531 Cotton from Monsanto Europe S.A. 270-272 Avenue de Tervuren, B-l 150 Brussels, Belgium, registration number C/ES/96/02.
6. 1507 Maize from Pioneer Overseas Corporation, Avenue Tedesco, 7 B-l 160 Brussels, Belgium, registration number C/NL/00/10. Genetically modified maize for the expression of the protein Cry IF for achieving resistance to certain Lepidoptera insects and of the PAT protein for achieving tolerance to the herbicide glufosinate ammonium.
7. NK603 x MON 810 Maize from Monsanto Europe S.A. 270-272 Avenue de Tervuren,
B-l 150 Brussels, Belgium, registration number C/GB/02/M3/03. Consists of conventionally bred hybrid maize varieties by crossing the genetically modified varieties NK603 and MON 810. NK603χ MON 810 Maize transgenically expresses the protein CP4 EPSPS, obtained from Agrobacterium sp. strain CP4, which imparts tolerance to the herbicide Roundup® (contains glyphosate), and also a CrylA(b) toxin obtained from Bacillus thuringiensis subsp. kurstaki which brings about tolerance to certain Lepidoptera, include the European corn borer.
Further examples of transgenic plants, and of very high interest, are those carrying traits conferring resistance to 2.4D (e.g. Enlist®) (e.g. WO 2011066384), glyphosate (e.g. Roundup Ready®, Roundup Ready 2 Yield®), sulfonylurea (e.g. STS®), glufosinate (e.g. Liberty Link®, Ignite®), Dicamba (Monsanto), HPPD tolerance (e.g. isoxaflutole herbicide) (Bayer CropScience, Syngenta). Double or triple stacks of any of the traits described here are also of interest, including glyphosate and sulfonyl-urea tolerance ((e.g. Optimum GAT®), plants stacked with STS® and Roundup Ready® or plants stacked with STS® and Roundup Ready 2 Yield®), dicamba and glyphosate tolerance (Monsanto). Of particular interest are soybean plants carrying trains conferring resistance to 2.4D (e.g. Enlist®), glyphosate (e.g. Roundup Ready®, Roundup Ready 2 Yield®), sulfonylurea (e.g. STS®), glufosinate (e.g. Liberty Link®, Ignite®), Dicamba (Monsanto) HPPD tolerance (e.g. isoxaflutole herbicide) (Bayer CropScience, Syngenta). Double or triple stack in soybean plants of any of the traits described here are also of interest, including glyphosate and sulfonyl-urea tolerance (e.g. Optimum GAT®, plants stacked with STS® and Roundup Ready® or Roundup Ready 2 Yield®), dicamba and glyphosate tolerance (Monsanto).
Transgenic crops of insect-resistant plants are also described in BATS (Zentrum fur Biosicherheit und Nachhaltigkeit, Zentrum BATS, Clarastrasse 13, 4058 Basel, Switzerland) Report 2003,
(http://bats.ch).
Examples of cotton transgenic events include MON 531 / 757 / 1076 (Bollgard I ® - Monsanto), MON1445 (Roundup ready cotton ®- Monsanto), MON531 x MON1445 (Bollgard I + RR ®- Monsanto), MON15985 (Genuity Bollgard II cotton ®- Monsanto), MON88913 (Genuity RR FLEX cotton ®- Monsanto), MON15985 x MON1445 (Genuity Bollgard II + RR FELX cotton ®- Monsanto), MON15983 x MON88913 (Genuity Bollgard II + RR FLEX cotton ® - Monsanto), MON15985
(FibreMax Bollgard II Cotton ® - Monsanto), LL25 (FibreMax LL cotton ® - BCS Stoneville), GHB614 (FibreMax GlyTol cotton ®- BCS Stoneville), LL25 x MON15985 (FibreMax LL Bollgard II cotton ® - BCS Stoneville / Monsanto), GHB614 x LL25 (FibreMax LL GlyTol cotton ® - BCS Stoneville), GHB614 x LL25 x MON15985 (FibreMax RR GlyTol Bollgard II cotton ® - BCS Stoneville),
MON88913 x MON15985 (FibreMax LL GlyTol Bollgard II cotton ® - Monsanto), MON88913
(FibreMax RR Flex cotton ® - Monsanto), GHB119 + T304-40 (Twinlink ® - BCS Stoneville), GHB119 + T304-40 x LL25 x GHB614 (Twinlink LL GT ® - BCS Stoneville), 3006-210-23 x 281 -24-236 (PhytoGen Widestrike Insect Protection ® - Dow), 3006-210-23 x 281-24-236 x MON88913 (PhytoGen Widestrike Insect Protection + RR FLEX - ® Dow / Monsanto), 3006-210-23 x 281-24-236 x MON1445 ((PhytoGen Widestrike Insect Protection + RR ® - Dow / Monsanto), MON1445 (PhytoGen Roundup Ready ® - Monsanto), MON88913 (PhytoGen Roundup Ready FLEX ® - Monsanto), COT102 x COT67B (Vipcot ® - Syngenta), COT102 x COT67B x MON88913 (Vipcot RR FLEX ® - Syngenta / Monsanto), 281-24-236 (Dow), 3006-210-23 (Dow), COT102 (Syngenta), COT67B (Syngenta), T304-40 (BCS Stoneville).
Examples of Soy transgenic events include MON87701 x MON89788 (Genuity Roundup ready 2
Yield soybeans® - Monsanto), MON89788 (Roundup Ready2Yield®, RR2Y® - Monsanto), MON87708 (Monsanto), 40-3-2 (Roundup Ready®, RRl® - Monsanto), MON87701 (Monsanto), DAS-68416 (Enlist Weed Control System® - Dow), DP356043 (Optimum GAT® - Pioneer), A5547-127 (LibertyLink soybean® - Bayercropscience), A2704-12 (Bayercropscience), GU262 (Bayercropscience), W62 W98 (Bayercropscience), CRV127 (Cultivance® - BASF / EMBRAPA) SYHT0H2 (WO2012/082548).
Examples of Maize transgenic events include T25 (LibertyLink®, LL® - Bayerscropscience), DHT-1 (Dow), TC1507 (Herculex I® - Dow), DAS59122-7 (Herculex RW® - Dow), TC1507 + DAS59122-7 - Herculex Xtra® - Dow), TCI 507 x DAS-59122-7 x NK603 (Herculex Xtra + RR® - Dow), TC1507 x DAS-59122- x MON88017 x MON89034 (Genuity Smartstax corn®, Genuity
Smartstax RIB complete® - Monsanto / Dow), MON89034 x NK603 (Genuity VT double PRO® -
Monsanto), MON89034 + MON88017 (Genuity VT Triple PRO® - Monsanto), NK603 (Roundup Ready 2®, RR2® - Monsanto), MON810 (YieldGard BT®, Yieldgard cornborer® - Monsanto), MON810 x NK603 (YieldGard comborer RR Corn 2® - Monasnto), MON810 x MON863 (YieldGard Plus® - Monsanto), MON863 x MON810 x NK603 (YieldGard Plus + RR Corn2® / YieldGard RR Maize® - Monsanto), MON863 x NK603 (YieldGard Rotworm + RR Corn 2® - Monsanto), MON863 (YieldBard RW® - Monsanto), MON89034 (YieldGard RW® - Monsanto), MON88017 (YieldGard VT RW® - Monsanto), MON810 + MON88017 (YieldGard VT Triple® - Monsanto), MON88017 + MON89034 (YieldGard VT Triple Pro® - Monsanto), Btl 1 + MIR604 + GA21 (Agrisure 3000® - Syngenta), Btl 1 + TC1507 + MIR604 + 5307 + GA21 (Syngenta), Btl 1 + TC1507 + MIR604 + DAS59122 + GA21 (Agrisure 3122® - Syngenta), BT11 (Agrisure CB® - Syngenta), GA21 - (Agrisure GT® - Syngenta), MIR604 (Agrisure RW® - Syngenta), Btl 1 + MIR162 (Agrisure TL VIP® - Syngenta), BT11 + MIR162 + GA21 (Agrisure Viptra 3110® - Syngenta), BT 11 + MIR162 + MIR604 (Agrisure TM 3100® - Syngenta), Event3272 + BT11 + MIR604 + GA21 (Syngenta), BT11 + MIR1692 + MIR604 + GA21 (Agrisure Viptera 3111® - Syngenta), BT11 + MIR 162 + TC1507 + GA21 (Agrisure Viptera 3220® - Syngenta), BT11 + MIR162 + TC1507 + MIR604 + 5307 + GA21 (Agrisure Viptera 3222® - Syngenta), MIR162 (Syngenta), BT11 + GA21 + MIR162 + MIR604 + 5307 (Syngenta), 5307 (Syngenta).
In order to apply a compound of formula (I) as an insecticide, acaricide, nematicide or molluscicide to a pest, a locus of pest, or to a plant susceptible to attack by a pest, a compound of formula (I) is usually formulated into a composition which includes, in addition to the compound of formula (I), a suitable inert diluent or carrier and, optionally, a surface active agent (SFA). SFAs are chemicals which are able to modify the properties of an interface (for example, liquid/solid, liquid/air or liquid/liquid interfaces) by lowering the interfacial tension and thereby leading to changes in other properties (for example dispersion, emulsification and wetting). It is preferred that all compositions (both solid and liquid formulations) comprise, by weight, 0.0001 to 95%, more preferably 1 to 85%, for example 5 to 60%), of a compound of formula (I). The composition is generally used for the control of pests such that a compound of formula (I) is applied at a rate of from O.lg to 10kg per hectare, preferably from lg to 6kg per hectare, more preferably from lg to 1kg per hectare.
When used in a seed dressing, a compound of formula (I) is generally used at a rate of 0.000 lg to lOg (for example O.OOlg or 0.05g), preferably 0.005g to lOg, more preferably 0.005g to 4g, per kilogram of seed.
In another aspect the present invention provides a composition comprising a pesticidally effective amount of a compound of formula (I), in particular an insecticidal, acaricidal, nematicidal or
molluscicidal composition comprising an insecticidally, acaricidally, nematicidally or molluscicidally effective amount of a compound of formula (I) and a suitable carrier or diluent therefor. The composition is preferably an insecticidal, acaricidal, nematicidal or molluscicidal composition.
The compositions can be chosen from a number of formulation types, including dustable powders (DP), soluble powders (SP), water soluble granules (SG), water dispersible granules (WG), wettable powders (WP), granules (GR) (slow or fast release), soluble concentrates (SL), oil miscible liquids (OL), ultra low volume liquids (UL), emulsifiable concentrates (EC), dispersible concentrates (DC), emulsions (both oil in water (EW) and water in oil (EO)), micro-emulsions (ME), suspension concentrates (SC), aerosols, fogging/smoke formulations, capsule suspensions (CS) and seed treatment formulations. The formulation type chosen in any instance will depend upon the particular purpose envisaged and the physical, chemical and biological properties of the compound of formula (I).
Dustable powders (DP) may be prepared by mixing a compound of formula (I) with one or more solid diluents (for example natural clays, kaolin, pyrophyllite, bentonite, alumina, montmorillonite, kieselguhr, chalk, diatomaceous earths, calcium phosphates, calcium and magnesium carbonates, sulfur, lime, flours, talc and other organic and inorganic solid carriers) and mechanically grinding the mixture to a fine powder.
Soluble powders (SP) may be prepared by mixing a compound of formula (I) with one or more water-soluble inorganic salts (such as sodium bicarbonate, sodium carbonate or magnesium sulfate) or one or more water-soluble organic solids (such as a polysaccharide) and, optionally, one or more wetting agents, one or more dispersing agents or a mixture of said agents to improve water
dispersibility/solubility. The mixture is then ground to a fine powder. Similar compositions may also be granulated to form water soluble granules (SG).
Wettable powders (WP) may be prepared by mixing a compound of formula (I) with one or more solid diluents or carriers, one or more wetting agents and, preferably, one or more dispersing agents and, optionally, one or more suspending agents to facilitate the dispersion in liquids. The mixture is then ground to a fine powder. Similar compositions may also be granulated to form water dispersible granules (WG).
Granules (GR) may be formed either by granulating a mixture of a compound of formula (I) and one or more powdered solid diluents or carriers, or from pre-formed blank granules by absorbing a compound of formula (I) (or a solution thereof, in a suitable agent) in a porous granular material (such as pumice, attapulgite clays, fuller's earth, kieselguhr, diatomaceous earths or ground corn cobs) or by adsorbing a compound of formula (I) (or a solution thereof, in a suitable agent) on to a hard core material (such as sands, silicates, mineral carbonates, sulfates or phosphates) and drying if necessary. Agents which are commonly used to aid absorption or adsorption include solvents (such as aliphatic and aromatic petroleum solvents, alcohols, ethers, ketones and esters) and sticking agents (such as polyvinyl acetates, polyvinyl alcohols, dextrins, sugars and vegetable oils). One or more other additives may also be included in granules (for example an emulsifying agent, wetting agent or dispersing agent).
Dispersible Concentrates (DC) may be prepared by dissolving a compound of formula (I) in water or an organic solvent, such as a ketone, alcohol or glycol ether. These solutions may contain a surface active agent (for example to improve water dilution or prevent crystallization in a spray tank).
Emulsifiable concentrates (EC) or oil-in-water emulsions (EW) may be prepared by dissolving a compound of formula (I) in an organic solvent (optionally containing one or more wetting agents, one or more emulsifying agents or a mixture of said agents). Suitable organic solvents for use in ECs include aromatic hydrocarbons (such as alkylbenzenes or alkylnaphthalenes, exemplified by SOLVESSO 100, SOLVESSO 150 and SOLVESSO 200; SOLVESSO is a Registered Trade Mark), ketones (such as cyclohexanone or methylcyclohexanone) and alcohols (such as benzyl alcohol, furfuryl alcohol or butanol), N-alkylpyrrolidones (such as N-methylpyrrolidone or N-octylpyrrolidone), dimethyl amides of fatty acids (such as Cg-Cio fatty acid dimethylamide) and chlorinated hydrocarbons. An EC product may spontaneously emulsify on addition to water, to produce an emulsion with sufficient stability to allow spray application through appropriate equipment. Preparation of an EW involves obtaining a compound of formula (I) either as a liquid (if it is not a liquid at room temperature, it may be melted at a reasonable temperature, typically below 70°C) or in solution (by dissolving it in an appropriate solvent) and then emulsifiying the resultant liquid or solution into water containing one or more SFAs, under high shear, to produce an emulsion. Suitable solvents for use in EWs include vegetable oils, chlorinated hydrocarbons (such as chlorobenzenes), aromatic solvents (such as alkylbenzenes or alkylnaphthalenes) and other appropriate organic solvents which have a low solubility in water.
Microemulsions (ME) may be prepared by mixing water with a blend of one or more solvents with one or more SFAs, to produce spontaneously a thermodynamically stable isotropic liquid formulation. A compound of formula (I) is present initially in either the water or the solvent/SFA blend. Suitable solvents for use in MEs include those hereinbefore described for use in ECs or in EWs. An ME may be either an oil-in-water or a water-in-oil system (which system is present may be determined by conductivity measurements) and may be suitable for mixing water-soluble and oil-soluble pesticides in the same formulation. An ME is suitable for dilution into water, either remaining as a microemulsion or forming a conventional oil-in-water emulsion.
Suspension concentrates (SC) may comprise aqueous or non-aqueous suspensions of finely divided insoluble solid particles of a compound of formula (I). SCs may be prepared by ball or bead milling the solid compound of formula (I) in a suitable medium, optionally with one or more dispersing agents, to produce a fine particle suspension of the compound. One or more wetting agents may be included in the composition and a suspending agent may be included to reduce the rate at which the particles settle. Alternatively, a compound of formula (I) may be dry milled and added to water, containing agents hereinbefore described, to produce the desired end product.
Aerosol formulations comprise a compound of formula (I) and a suitable propellant (for example n-butane). A compound of formula (I) may also be dissolved or dispersed in a suitable medium (for example water or a water miscible liquid, such as n-propanol) to provide compositions for use in non- pressurized, hand-actuated spray pumps.
A compound of formula (I) may be mixed in the dry state with a pyrotechnic mixture to form a composition suitable for generating, in an enclosed space, a smoke containing the compound.
Capsule suspensions (CS) may be prepared in a manner similar to the preparation of EW formulations but with an additional polymerization stage such that an aqueous dispersion of oil droplets is obtained, in which each oil droplet is encapsulated by a polymeric shell and contains a compound of formula (I) and, optionally, a carrier or diluent therefor. The polymeric shell may be produced by either an interfacial polycondensation reaction or by a coacervation procedure. The compositions may provide for controlled release of the compound of formula (I) and they may be used for seed treatment. A compound of formula (I) may also be formulated in a biodegradable polymeric matrix to provide a slow, controlled release of the compound.
A composition may include one or more additives to improve the biological performance of the composition (for example by improving wetting, retention or distribution on surfaces; resistance to rain on treated surfaces; or uptake or mobility of a compound of formula (I)). Such additives include surface active agents, spray additives based on oils, for example certain mineral oils or natural plant oils (such as soy bean and rape seed oil), and blends of these with other bio-enhancing adjuvants (ingredients which may aid or modify the action of a compound of formula (I)).
A compound of formula (I) may also be formulated for use as a seed treatment, for example as a powder composition, including a powder for dry seed treatment (DS), a water soluble powder (SS) or a water dispersible powder for slurry treatment (WS), or as a liquid composition, including a flowable concentrate (FS), a solution (LS) or a capsule suspension (CS). The preparations of DS, SS, WS, FS and LS compositions are very similar to those of, respectively, DP, SP, WP, SC and DC compositions described above. Compositions for treating seed may include an agent for assisting the adhesion of the composition to the seed (for example a mineral oil or a film-forming barrier).
Wetting agents, dispersing agents and emulsifying agents may be surface SFAs of the cationic, anionic, amphoteric or non-ionic type.
Suitable SFAs of the cationic type include quaternary ammonium compounds (for example cetyltrimethyl ammonium bromide), imidazolines and amine salts.
Suitable anionic SFAs include alkali metals salts of fatty acids, salts of aliphatic monoesters of sulfuric acid (for example sodium lauryl sulfate), salts of sulfonated aromatic compounds (for example sodium dodecylbenzenesulfonate, calcium dodecylbenzenesulfonate, butylnaphthalene sulfonate and mixtures of sodium di-z' opropyl- and tri-wopropyl-naphthalene sulfonates), ether sulfates, alcohol ether sulfates (for example sodium laureth-3 -sulfate), ether carboxylates (for example sodium laureth-3- carboxylate), phosphate esters (products from the reaction between one or more fatty alcohols and phosphoric acid (predominately mono-esters) or phosphorus pentoxide (predominately di-esters), for example the reaction between lauryl alcohol and tetraphosphoric acid; additionally these products may be ethoxylated), sulfosuccinamates, paraffin or olefine sulfonates, taurates and lignosulfonates.
Suitable SFAs of the amphoteric type include betaines, propionates and glycinates.
Suitable SFAs of the non-ionic type include condensation products of alkylene oxides, such as ethylene oxide, propylene oxide, butylene oxide or mixtures thereof, with fatty alcohols (such as oleyl alcohol or cetyl alcohol) or with alkylphenols (such as octylphenol, nonylphenol or octylcresol); partial esters derived from long chain fatty acids or hexitol anhydrides; condensation products of said partial esters with ethylene oxide; block polymers (comprising ethylene oxide and propylene oxide); alkanolamides; simple esters (for example fatty acid polyethylene glycol esters); amine oxides (for example lauryl dimethyl amine oxide); and lecithins.
Suitable suspending agents include hydrophilic colloids (such as polysaccharides,
polyvinylpyrrolidone or sodium carboxymethylcellulose) and swelling clays (such as bentonite or attapulgite).
A compound of formula (I) may be applied by any of the known means of applying pesticidal compounds. For example, it may be applied, formulated or unformulated, to the pests or to a locus of the pests (such as a habitat of the pests, or a growing plant liable to infestation by the pests) or to any part of the plant, including the foliage, stems, branches or roots, to the seed before it is planted or to other media in which plants are growing or are to be planted (such as soil surrounding the roots, the soil generally, paddy water or hydroponic culture systems), directly or it may be sprayed on, dusted on, applied by dipping, applied as a cream or paste formulation, applied as a vapor or applied through distribution or incorporation of a composition (such as a granular composition or a composition packed in a water- soluble bag) in soil or an aqueous environment.
A compound of formula (I) may also be injected into plants or sprayed onto vegetation using electrodynamic spraying techniques or other low volume methods, or applied by land or aerial irrigation systems.
Compositions for use as aqueous preparations (aqueous solutions or dispersions) are generally supplied in the form of a concentrate containing a high proportion of the active ingredient, the concentrate being added to water before use. These concentrates, which may include DCs, SCs, ECs, EWs, MEs, SGs, SPs, WPs, WGs and CSs, are often required to withstand storage for prolonged periods and, after such storage, to be capable of addition to water to form aqueous preparations which remain homogeneous for a sufficient time to enable them to be applied by conventional spray equipment. Such aqueous preparations may contain varying amounts of a compound of formula (I) (for example 0.0001 to 10%, by weight) depending upon the purpose for which they are to be used.
A compound of formula (I) may be used in mixtures with fertilizers (for example nitrogen-, potassium- or phosphorus-containing fertilizers). Suitable formulation types include granules of fertilizer. The mixtures preferably contain up to 25% by weight of the compound of formula (I).
The invention therefore also provides a fertilizer composition comprising a fertilizer and a compound of formula (I).
The compositions of this invention may contain other compounds having biological activity, for example micronutrients or compounds having fungicidal activity or which possess plant growth regulating, herbicidal, insecticidal, nematicidal or acaricidal activity.
The compound of formula (I) may be the sole active ingredient of the composition or it may be admixed with one or more additional active ingredients such as a pesticide, e.g. a insecticide, fungicide or herbicide, or a synergist or plant growth regulator where appropriate. An additional active ingredient may provide a composition having a broader spectrum of activity or increased persistence at a locus; synergize the activity or complement the activity (for example by increasing the speed of effect or overcoming repellency) of the compound of formula (I); or help to overcome or prevent the development of resistance to individual components. The particular additional active ingredient will depend upon the intended utility of the composition.
Examples of suitable pesticides include the following
a) Pyrethroids, such as permethrin , cypermethrin, fenvalerate, esfenvalerate, deltamethrin, cyhalothrin (in particular lambda-cyhalothrin and gamma cyhalothrin), bifenthrin, fenpropathrin, cyfluthrin, tefluthrin, fish safe pyrethroids (for example ethofenprox), natural pyrethrin, tetramethrin, S-bioallethrin, fenfluthrin, prallethrin, acrinathirin, etofenprox or
5-benzyl-3-furylmethyl-(E)-(lR,3S)-2,2-dimethyl- 3-(2-oxothiolan-3-ylidenemethyl)cyclopropane carboxylate;
b) Organophosphates, such as profenofos, sulprofos, acephate, methyl parathion,
azinphos-methyl, demeton-s-methy 1, heptenophos, thiometon, fenamiphos, monocrotophos, profenofos, triazophos, methamidophos, dimethoate, phosphamidon, malathion, chlorpyrifos, phosalone, terbufos, fensulfothion, fonofos, phorate, phoxim, pirimiphos-methyl, pirimiphos-ethyl, fenitrothion, fosthiazate or diazinon;
c) Carbamates (including aryl carbamates), such as pirimicarb, triazamate, cloethocarb, carbofuran, furathiocarb, ethiofencarb, aldicarb, thiofurox, carbosulfan, bendiocarb, fenobucarb, propoxur, methomyl or oxamyl;
d) Benzoyl ureas, such as diflubenzuron, triflumuron, hexaflumuron, flufenoxuron, diafenthiuron, lufeneron, novaluron, noviflumuron or chlorfluazuron;
e) Organic tin compounds, such as cyhexatin, fenbutatin oxide or azocyclotin;
f) Pyrazoles, such as tebufenpyrad, tolfenpyrad, ethiprole, pyriprole, fipronil, and fenpyroximate; g) Macrolides, such as avermectins or milbemycins, for example abamectin, emamectin benzoate, ivermectin, milbemycin, spinosad, azadirachtin, milbemectin, lepimectin or spinetoram;
h) Hormones or pheromones;
i) Organochlorine compounds, such as endosulfan (in particular alpha-endosulfan), benzene hexachloride, DDT, chlordane or dieldrin;
j) Amidines, such as chlordimeform or amitraz;
k) Fumigant agents, such as chloropicrin, dichloropropane, methyl bromide or metam;
1) Neonicotinoid compounds, such as imidacloprid, thiacloprid, acetamiprid, nitenpyram, dinotefuran, thiamethoxam, clothianidin, or nithiazine;
m) Diacylhydrazines, such as tebufenozide, chromafenozide or methoxyfenozide;
n) Diphenyl ethers, such as diofenolan or pyriproxifen;
o) Pyrazo lines such as Indoxacarb or metaflumizone;
p) Ketoenols, such as Spirotetramat, spirodiclofen or spiromesifen;
q) Diamides, such as flubendiamide, chlorantraniliprole (Rynaxypyr®) or cyantraniliprole; r) Essential oils such as Bugoil® - (Plantlmpact); or
s) a comopund selected from buprofezine, flonicamid, acequinocy 1, bifenazate, cyenopyrafen, cyflumetofen, etoxazole, flometoquin, fluacrypyrim, fluensulfone, flufenerim, flupyradifuone, harpin, iodomethane, dodecadienol, pyridaben, pyridalyl, pyrimidifen, flupyradifurone, 4-[(6-Chloro-pyridin-3- ylmethyl)-(2,2-difluoro-ethyl)-amino]-5H-furan-2-one (DE 102006015467), CAS: 915972-17-7 (WO 2006129714; WO2011/147953; WO2011/147952), CAS: 26914-55-8 (WO 2007020986), chlorfenapyr, pymetrozine, sulfoxaflor and pyrifluqinazon.
In addition to the major chemical classes of pesticide listed above, other pesticides having particular targets may be employed in the composition, if appropriate for the intended utility of the composition. For instance, selective insecticides for particular crops, for example stemborer specific insecticide (combinations such as cartap ) or hopper specific insecticides (combinations such as buprofezin ) for use in rice may be employed. Alternatively insecticides or acaricides specific for particular insect species/stages may also be included in the compositions (for example acaricidal ovo-larvicides, to give combinations such as clofentezine , flubenzimine , hexythiazox or tetradifon ; acaricidal motilicides, to give combinations such as dicofol or propargite ; acaricides, to give combinations such as bromopropylate or chlorobenzilate ; or growth regulators, such as hydramethylnon , cyromazine , methoprene , chlorfluazuron or diflubenzuron ).
Examples of fungicidal compounds and combinations which may be included in the composition of the invention are (E)-N-methyl-2-[2-(2,5-dimethylphenoxymethyl)phenyl]-2-methoxy-iminoacetamide (SSF-129) , 4-bromo-2-cyano-N,N-dimethyl-6-trifluoromethylbenzimidazole-l-sulfonamide , a-[N-(3-chloro-2,6-xylyl)-2-methoxyacetamido]-y-butyrolactone , 4-chloro-2-cyano-N,N-dimethyl-5-f>- tolylimidazole-1 -sulfonamide (IKF-916, cyamidazosulfamid) , 3-5-dichloro-N-(3-chloro-l-ethyl-l- methyl-2-oxopropyl)-4-methylbenzamide (RH-7281, zoxamide) , N-allyl-4,5,-dimethyl-2- trimethylsilylthiophene-3-carboxamide (MON65500) , N-(l-cyano-l,2-dimethylpropyl)-2-(2,4- dichlorophenoxy)propionamide (AC382042) , N-(2-methoxy-5-pyridyl)-cyclopropane carboxamide , acibenzolar (CGA245704) (e.g. acibenzolar-S-methyl) , alanycarb , aldimorph , anilazine , azaconazole , azoxystrobin , benalaxyl , benomyl , benthiavalicarb , biloxazol , bitertanol , bixafen , blasticidin S , boscalid , bromuconazole , bupirimate , captafol , captan , carbendazim , carbendazim , chlorhydrate , carboxin , carpropamid , carvone , CGA41396 , CGA41397 , chinomethionate , chlorothalonil , chlorozolinate , clozylacon , copper containing compounds to give combintations such as copper oxychloride , copper oxyquinolate , copper sulfate , copper tallate and Bordeaux mixture , cyclufenamid , cymoxanil , cyproconazole , cyprodinil , debacarb , di-2-pyridyl disulfide 1,1 '-dioxide , dichlofluanid , diclomezine , dicloran , diethofencarb , difenoconazole , difenzoquat , diflumetorim ,
OjO-di-wo-propyl-S-benzyl thiophosphate , dimefluazole , dimetconazole , dimethomorph , dimethirimol , diniconazole , dinocap , dithianon , dodecyl dimethyl ammonium chloride , dodemorph , dodine , doguadine , edifenphos , epoxiconazole , ethirimo 1, ethyl-(Z)-N-benzyl-N-([methyl(methyl- thioethylideneaminooxycarbonyl)amino]thio)- -alaninate , etridiazole , famoxadone , fenamidone (RPA407213) , fenarimol , fenbuconazole , fenfuram , fenhexamid (KBR2738) , fenpiclonil , fenpropidin , fenpropimorph , fentin acetate , fentin hydroxide , ferbam , ferimzone , fluazinam , fludioxonil , flumetover , fluopyram , fluoxastrobin , fluoroimide , fluquinconazole , flusilazole , flutolanil , flutriafol , fluxapyroxad , folpet , fuberidazole , furalaxyl , furametpyr , guazatine, hexaconazole , hydroxyisoxazole , hymexazole , imazalil , imibenconazole , iminoctadine , iminoctadine triacetate , ipconazole , iprobenfos , iprodione , iprovalicarb (SZX0722) , isopropanyl butyl carbamate , isoprothiolane , isopyrazam , kasugamycin , kresoxim-methyl , LY186054 , LY211795 , LY248908 , mancozeb , mandipropamid , maneb , mefenoxam , metalaxyl , mepanipyrim , mepronil , metalaxyl , metconazole , metiram , metiram-zinc , metominostrobin , myclobutanil , neoasozin , nickel dimethyldithiocarbamate , nitrothal-wopropyl , nuarimol , ofurace , organomercury compounds, oxadixyl , oxasulfuron , oxolinic acid , oxpoconazole , oxycarboxin , pefurazoate , penconazole , pencycuron , penflufen , penthiopyrad , phenazin oxide , phosetyl-Al , phosphorus acids , phthalide , picoxystrobin (ZA1963) , polyoxinD , polyram , probenazole , prochloraz , procymidone , propamocarb , propiconazole , propineb , propionic acid , prothioconazole , pyrazophos , pyrifenox , pyrimethanil , pyraclostrobin , pyroquilon , pyroxyfur , pyrrolnitrin , quaternary ammonium compounds , quinomethionate , quinoxyfen , quintozene , sedaxane , sipconazole (F-155) , sodium pentachlorophenate , spiroxamine , streptomycin , sulfur , tebuconazole , tecloftalam , tecnazene , tetraconazole , thiabendazole , thifluzamid ,
2-(thiocyanomethylthio)benzothiazole , thiophanate -methyl , thiram , timibenconazole , tolclofos-methyl , tolylfluanid , triadimefon , triadimenol , triazbutil , triazoxide , tricyclazole , tridemorph , trifloxystrobin (CGA279202) , triforine , triflumizole , triticonazole , validamycin A , vapam , vinclozolin , zineb and ziram , N- [9 -(dichloromethylene) -1,2,3,4 -tetrahydro- 1 ,4 -methanonaphthalen-5 -yl] -3 -(difluoromethyl) - 1 - methyl- lH-pyrazole-4-carboxamide [1072957-71 -1] , l-methyl-3-difluoromethyl-lH-pyrazole-4- carboxylic acid (2-dichloromethylene-3 -ethyl- 1 -methyl-indan-4-yl) -amide , and l-methyl-3- difluoromethyl-4H-pyrazole-4-carboxylic acid [2-(2,4-dichloro-phenyl)-2-methoxy-l-methyl-ethyl]- amide .
The active ingredients combinations described above comprising a compound selected of the invention, in particulary from Tables IP to 33P and Tables 1Q to 33Q and an active ingredient as described above are preferably combined in a mixing ratio of from 100: 1 to 1 :6000, especially from 50: 1 to 1 :50, more especially in a ratio of from 20: 1 to 1 :20, even more especially from 10: 1 to 1 : 10, very especially from 5: 1 and 1 :5, special preference being given to a ratio of from 2: 1 to 1 :2, and a ratio of from 4:1 to 2:1 being likewise preferred, above all in a ratio of 1 : 1, or 5: 1, or 5:2, or 5:3, or 5:4, or 4: 1, or 4:2, or 4:3, or 3: 1, or 3:2, or 2: 1, or 1 :5, or 2:5, or 3:5, or 4:5, or 1 :4, or 2:4, or 3:4, or 1 :3, or 2:3, or 1 :2, or 1 :600, or 1 :300, or 1 :150, or 1 :35, or 2:35, or 4:35, or 1 :75, or 2:75, or 4:75, or 1 :6000, or 1 :3000, or 1 : 1500, or 1 :350, or 2:350, or 4:350, or 1 :750, or 2:750, or 4:750. Those mixing ratios are understood to include, on the one hand, ratios by weight and also, on other hand, molar ratios.
In addition, biological agents may be included in the composition of the invention e.g. Baciullus species such as Bacillus firmus, Bacillus cereus, Bacillus subtilis, and Pasteuria species such as Pasteuria penetrans and Pasteuria nishizawae. A suitable Bacillus firmus strain is strain CNCM 1-1582 which is commercially available as BioNem™. A suitable Bacillus cereus strain is strain CNCM 1-1562. Of both Bacillus strains more details can be found in US 6,406,690. Other biological organisms that may be included in the compositions of the invention are bacteria such as Streptomyces spp. such as S.
avermitilis, and fungi such as Pochonia spp. such as P. chlamydosporia. Also of interest are Metarhizium spp. such as M. anisopliae; Pochonia spp. such as P. chlamydosporia.
The compounds of formula (I) may be mixed with soil, peat or other rooting media for the protection of plants against seed-borne, soil-borne or foliar fungal diseases.
Examples of suitable synergists for use in the compositions include piperonyl butoxide, sesamex, safroxan and dodecyl imidazole.
Suitable herbicides and plant-growth regulators for inclusion in the compositions will depend upon the intended target and the effect required.
An example of a rice selective herbicide which may be included is propanil. An example of a plant growth regulator for use in cotton is PIX™.
Some mixtures may comprise active ingredients which have significantly different physical, chemical or biological properties such that they do not easily lend themselves to the same conventional formulation type. In these circumstances other formulation types may be prepared. For example, where one active ingredient is a water insoluble solid and the other a water insoluble liquid, it may nevertheless be possible to disperse each active ingredient in the same continuous aqueous phase by dispersing the solid active ingredient as a suspension (using a preparation analogous to that of an SC) but dispersing the liquid active ingredient as an emulsion (using a preparation analogous to that of an EW). The resultant composition is a suspoemulsion (SE) formulation.
The compounds of the invention are also useful in the field of animal health, e.g. they may be used against parasitic invertebrate pests, more preferably against parasitic invertebrate pests in or on an animal. Examples of pests include nematodes, trematodes, cestodes, flies, mites, tricks, lice, fleas, true bugs and maggots. The animal may be a non-human animal, e.g. an animal associated with agriculture, e.g. a cow, a pig, a sheep, a goat, a horse, or a donkey, or a companion animal, e.g. a dog or a cat.
In a further aspect the invention provides a compound of the invention for use in a method of therapeutic treatment.
In a further aspect the invention relates to a method of controlling parasitic invertebrate pests in or on an animal comprising administering a pesticidally effective amount of a compound of the invention. The administration may be for example oral administration, parenteral administration or external administration, e.g. to the surface of the animal body. In a further aspect the invention relates to a compound of the invention for controlling parasitic invertebrate pests in or on an animal. In a further aspect the invention relates to use of a compound of the invention in the manufacture of a medicament for controlling parasitic invertebrate pests in or on an animal In a further aspect, the invention relates to a method of controlling parasitic invertebrate pests comprising administering a pesticidally effective amount of a compound of the invention to the environment in which an animal resides.
In a further aspect the invention relates to a method of protecting an animal from a parasitic invertebrate pest comprising administering to the animal a pesticidally effective amount of a compound of the invention. In a further aspect the invention relates to a compound of the invention for use in protecting an animal from a parasitic invertebrate pest. In a further aspect the invention relates to use of a compound of the invention in the manufacture of a medicament for protecting an animal from a parasitic invertebrate pest.
In a further aspect the invention provides a method of treating an animal suffering from a parasitic invertebrate pest comprising administering to the animal a pesticidally effective amount of a compound of the invention. In a further aspect the invention relates to a compound of the invention for use in treating an animal suffering from a parasitic invertebrate pest. In a further aspect the invention relates to use of a compound of the invention in the manufacture of a medicament for treating an animal suffering from a parasitic invertebrate pest.
In a further aspect, the invention provides a pharmaceutical composition comprising a compound of the invention and a pharmaceutically suitable excipient.
The compounds of the invention may be used alone or in combination with one or more other biologically active ingredients.
In one aspect the invention provides a combination product comprising a pesticidally effective amount of a component A and a pesticidally effective amount of component B wherein component A is a compound of the invention and component B is a compound as described below.
The compounds of the invention may be used in combination with anthelmintic agents. Such anthelmintic agents include, compounds selected from the macrocyclic lactone class of compounds such as ivermectin, avermectin, abamectin, emamectin, eprinomectin, doramectin, selamectin, moxidectin, nemadectin and milbemycin derivatives as described in EP- 357460, EP-444964 and EP-594291.
Additional anthelmintic agents include semisynthetic and biosynthetic avermectin/milbemycin derivatives such as those described in US-5015630, WO-9415944 and WO-9522552. Additional anthelmintic agents include the benzimidazoles such as albendazole, cambendazole, fenbendazole, flubendazole,
mebendazole, oxfendazole, oxibendazole, parbendazole, and other members of the class. Additional anthelmintic agents include imidazothiazoles and tetrahydropyrimidines such as tetramisole, levamisole, pyrantel pamoate, oxantel or morantel. Additional anthelmintic agents include flukicides, such as triclabendazole and clorsulon and the cestocides, such as praziquantel and epsiprantel.
The compounds of the invention may be used in combination with derivatives and analogues of the paraherquamide/marcfortine class of anthelmintic agents, as well as the antiparasitic oxazo lines such as those disclosed in US-5478855, US- 4639771 and DE-19520936. The compounds of the invention may be used in combination with derivatives and analogues of the general class of dioxomorpholine antiparasitic agents as described in WO-9615121 and also with anthelmintic active cyclic depsipeptides such as those described in WO-9611945, WO-9319053, WO- 9325543, EP-626375, EP-382173, WO-9419334, EP-382173, and EP-503538.
The compounds of the invention may be used in combination with other ectoparasiticides; for example, fipronil; pyrethroids; organophosphates; insect growth regulators such as lufenuron; ecdysone agonists such as tebufenozide and the like; neonicotinoids such as imidacloprid and the like.
The compounds of the invention may be used in combination with terpene alkaloids, for example those described in International Patent Application Publication Numbers W095/19363 or WO04/72086, particularly the compounds disclosed therein.
Other examples of such biologically active compounds that the compounds of the invention may be used in combination with include but are not restricted to the following:
Organophosphates: acephate, azamethiphos, azinphos-ethyl, azinphos- methyl, bromophos, bromophos-ethyl, cadusafos, chlorethoxyphos, chlorpyrifos, chlorfenvinphos, chlormephos, demeton, demeton-S-methyl, demeton-S-methyl sulphone, dialifos, diazinon, dichlorvos, dicrotophos, dimethoate, disulfoton, ethion, ethoprophos, etrimfos, famphur, fenamiphos, fenitrothion, fensulfothion, fenthion, flupyrazofos, fonofos, formothion, fosthiazate, heptenophos, isazophos, isothioate, isoxathion, malathion, methacriphos, methamidophos, methidathion, methyl- parathion, mevinphos, monocrotophos, naled, omethoate, oxydemeton-methyl, paraoxon, parathion, parathion-methyl, phenthoate, phosalone, phosfolan, phosphocarb, phosmet, phosphamidon, phorate, phoxim, pirimiphos, pirimiphos- methyl, profenofos, propaphos, proetamphos, prothiofos, pyraclofos, pyridapenthion, quinalphos, sulprophos, temephos, terbufos, tebupirimfos, tetrachlorvinphos, thimeton, triazophos, trichlorfon, vamidothion.
Carbamates: alanycarb, aldicarb, 2-sec-butylphenyl methylcarbamate, benfuracarb, carbaryl, carbofuran, carbosulfan, cloethocarb, ethiofencarb, fenoxycarb, fenthiocarb, furathiocarb, HCN-801, isoprocarb, indoxacarb, methiocarb, methomyl, 5-methyl-m-cumenylbutyryl(methyl)carbamate, oxamyl, pirimicarb, propoxur, thiodicarb, thiofanox, triazamate, UC-51717.
Pyrethroids: acrinathin, allethrin, alphametrin, 5-benzyl-3-furylmethyl (E) -
(1 R)-cis-2,2-dimethyl-3-(2-oxothiolan-3-ylidenemethyl)cyclopropanecarboxylate, bifenthrin, beta -cyfluthrin, cyfluthrin, a-cypermethrin, beta -cypermethrin, bioallethrin, bioallethrin((S)- cyclopentylisomer), bioresmethrin, bifenthrin, NCI-85193, cycloprothrin, cyhalothrin, cythithrin, cyphenothrin, deltamethrin, empenthrin, esfenvalerate, ethofenprox, fenfluthrin, fenpropathrin, fenvalerate, flucythrinate, flumethrin, fluvalinate (D isomer), imiprothrin, cyhalothrin, lambda- cyhalothrin, permethrin, phenothrin, prallethrin, pyrethrins (natural products), resmethrin, tetramethrin, transfluthrin, theta-cypermethrin, silafluofen, t-fluvalinate, tefluthrin, tralomethrin, Zeta-cypermethrin.
Arthropod growth regulators: a) chitin synthesis inhibitors: benzoylureas: chlorfluazuron, diflubenzuron, fluazuron, flucycloxuron, flufenoxuron, hexaflumuron, lufenuron, novaluron, teflubenzuron, triflumuron, buprofezin, diofenolan, hexythiazox, etoxazole, chlorfentazine; b) ecdysone antagonists: halofenozide, methoxyfenozide, tebufenozide; c) juvenoids: pyriproxyfen, methoprene (including S-methoprene), fenoxycarb; d) lipid biosynthesis inhibitors: spirodiclofen.
Other antiparasitics: acequinocyl, amitraz, AKD-1022, ANS-118, azadirachtin, Bacillus thuringiensis, bensultap, bifenazate, binapacryl, bromopropylate, BTG-504, BTG-505, camphechlor, cartap, chlorobenzilate, chlordimeform, chlorfenapyr, chromafenozide, clothianidine, cyromazine, diacloden, diafenthiuron, DBI-3204, dinactin, dihydroxymethyldihydroxypyrrolidine, dinobuton, dinocap, endosulfan, ethiprole, ethofenprox, fenazaquin, flumite, MTI- 800, fenpyroximate, fluacrypyrim, flubenzimine, flubrocythrinate, flufenzine, flufenprox, fluproxyfen, halofenprox, hydramethylnon, IKI- 220, kanemite, NC-196, neem guard, nidinorterfuran, nitenpyram, SD-35651, WL-108477, pirydaryl, propargite, protrifenbute, pymethrozine, pyridaben, Buprofezine pyrimidifen, NC-1111, R-195,RH-0345, RH-2485, RYI-210, S-1283, S-1833, SI-8601, silafluofen, silomadine, spinosad, tebufenpyrad, tetradifon, tetranactin, thiacloprid, thiocyclam, thiamethoxam, tolfenpyrad, triazamate, triethoxyspinosyn, trinactin, verbutin, vertalec, YI-5301.
Fungicides: acibenzolar, aldimorph, ampropylfos, andoprim, azaconazole, azoxystrobin, benalaxyl, benomyl, bialaphos, blasticidin-S, Bordeaux mixture, bromuconazole, bupirimate, carpropamid, captafol, captan, carbendazim, chlorfenazole, chloroneb, chloropicrin, chlorothalonil, chlozolinate, copper oxychloride, copper salts, cyflufenamid, cymoxanil, cyproconazole, cyprodinil, cyprofuram, RH-7281, diclocymet, diclobutrazole, diclomezine, dicloran, difenoconazole, RP-407213, dimethomorph, domoxystrobin, diniconazole, diniconazole-M, dodine, edifenphos, epoxiconazole, famoxadone, fenamidone, fenarimol, fenbuconazole, fencaramid, fenpiclonil, fenpropidin,
fenpropimorph, fentin acetate, fluazinam, fludioxonil, flumetover, flumorf/flumorlin, fentin hydroxide, fluoxastrobin, fluquinconazole, flusilazole, flutolanil, flutriafol, folpet, fosetyl- aluminium, furalaxyl, furametapyr, hexaconazole, ipconazole, iprobenfos, iprodione, isoprothiolane, kasugamycin, krsoxim- methyl, mancozeb, maneb, mefenoxam, mepronil, metalaxyl, metconazole,
metominostrobin/fenominostrobin, metrafenone, myclobutanil, neo-asozin, nicobifen, orysastrobin, oxadixyl, penconazole, pencycuron, probenazole, prochloraz, propamocarb, propioconazole, proquinazid, prothioconazole, pyrifenox, pyraclostrobin, pyrimethanil, pyroquilon, quinoxyfen, spiroxamine, sulfur, tebuconazole, tetrconazole, thiabendazole, thifluzamide, thiophanate -methyl, thiram, tiadinil, triadimefon, triadimenol, tricyclazole, trifloxystrobin, triticonazole, validamycin, vinclozin.
Biological agents: Bacillus thuringiensis ssp aizawai, kurstaki, Bacillus thuringiensis delta endotoxin, baculovirus, entomopathogenic bacteria, virus and fungi.
Bactericides: chlortetracycline, oxytetracycline, streptomycin.
Other biological agents: enrofloxacin, febantel, penethamate, moloxicam, cefalexin, kanamycin, pimobendan, clenbuterol, omeprazole, tiamulin, benazepril, pyriprole, cefquinome, florfenicol, buserelin, cefovecin, tulathromycin, ceftiour, carprofen, metaflumizone, praziquarantel, triclabendazole.
When used in combination with other active ingredients, the compounds of the invention are preferably used in combination with the following: imidacloprid, enrofloxacin, praziquantel, pyrantel embonate, febantel, penethamate, moloxicam, cefalexin, kanamycin, pimobendan, clenbuterol, fipronil, ivermectin, omeprazole, tiamulin, benazepril, milbemycin, cyromazine, thiamethoxam, pyriprole, deltamethrin, cefquinome, florfenicol, buserelin, cefovecin, tulathromycin, ceftiour, selamectin, carprofen, metaflumizone, moxidectin, methoprene (including S-methoprene), clorsulon, pyrantel, amitraz, triclabendazole, avermectin, abamectin, emamectin, eprinomectin, doramectin, selamectin, nemadectin, albendazole, cambendazole, fenbendazole, flubendazole, mebendazole, oxfendazole, oxibendazole, parbendazole, tetramisole, levamisole, pyrantel pamoate, oxantel, morantel,
triclabendazole, epsiprantel, fipronil, lufenuron, ecdysone or tebufenozide; more preferably, enrofloxacin, praziquantel, pyrantel embonate, febantel, penethamate, moloxicam, cefalexin, kanamycin, pimobendan, clenbuterol, omeprazole, tiamulin, benazepril, pyriprole, cefquinome, florfenicol, buserelin, cefovecin, tulathromycin, ceftiour, selamectin, carprofen, moxidectin, clorsulon, pyrantel, eprinomectin, doramectin, selamectin, nemadectin, albendazole, cambendazole, fenbendazole, flubendazole, mebendazole, oxfendazole, oxibendazole, parbendazole, tetramisole, levamisole, pyrantel pamoate, oxantel, morantel, triclabendazole, epsiprantel, lufenuron or ecdysone; even more preferably
enrofloxacin, praziquantel, pyrantel embonate, febantel, penethamate, moloxicam, cefalexin, kanamycin, pimobendan, clenbuterol, omeprazole, tiamulin, benazepril, pyriprole, cefquinome, florfenicol, buserelin, cefovecin, tulathromycin, ceftiour, selamectin, carprofen, moxidectin, clorsulon or pyrantel.
Examples of ratios of the compound of formula I to any mixing partner described herein include 100: 1 to 1 :6000, 50: 1 to 1 :50, 20: 1 to 1 :20, even more especially from 10:1 to 1 : 10, 5: 1 to 1 :5, 2:1 to 1 :2, 4: 1 to 2: 1, 1 :1, or 5:1, or 5:2, or 5:3, or 5:4, or 4: 1, or 4:2, or 4:3, or 3: 1, or 3:2, or 2: 1, or 1 :5, or 2:5, or 3:5, or 4:5, or 1 :4, or 2:4, or 3:4, or 1 :3, or 2:3, or 1 :2, or 1 :600, or 1 :300, or 1 : 150, or 1 :35, or 2:35, or 4:35, or 1 :75, or 2:75, or 4:75, or 1 :6000, or 1 :3000, or 1 :1500, or 1 :350, or 2:350, or 4:350, or 1 :750, or 2:750, or 4:750. Those mixing ratios are understood to include, on the one hand, ratios by weight and also, on other hand, molar ratios.
Of particular note is a combination where the additional active ingredient has a different site of action from the compound of formula I. In certain instances, a combination with at least one other parasitic invertebrate pest control active ingredient having a similar spectrum of control but a different site of action will be particularly advantageous for resistance management. Thus, a combination product of the invention may comprise a pesticidally effective amount of a compound of formula I and pesticidally effective amount of at least one additional parasitic invertebrate pest control active ingredient having a similar spectrum of control but a different site of action.
One skilled in the art recognizes that because in the environment and under physiological conditions salts of chemical compounds are in equilibrium with their corresponding non salt forms, salts share the biological utility of the non salt forms.
Thus a wide variety of salts of compounds of the invention (and active ingredients used in combination with the active ingredients of the invention) may be useful for control of invertebrate pests and animal parasites. Salts include acid-addition salts with inorganic or organic acids such as hydrobromic, hydrochloric, nitric, phosphoric, sulfuric, acetic, butyric, fumaric, lactic, maleic, malonic, oxalic, propionic, salicylic, tartaric, 4-toluenesulfonic or valeric acids.
The compounds of the invention also include N-oxides. Accordingly, the invention comprises combinations of compounds of the invention including N-oxides and salts thereof and an additional active ingredient including N-oxides and salts thereof.
The compositions for use in animal health may also contain formulation auxiliaries and additives, known to those skilled in the art as formulation aids (some of which may be considered to also function as solid diluents, liquid diluents or surfactants). Such formulation auxiliaries and additives may control: pH (buffers), foaming during processing (antifoams such polyorganosiloxanes), sedimentation of active ingredients (suspending agents), viscosity (thixotropic thickeners), in-container microbial growth
(antimicrobials), product freezing (antifreezes), color (dyes/pigment dispersions), wash-off (film formers or stickers), evaporation (evaporation retardants), and other formulation attributes. Film formers include, for example, polyvinyl acetates, polyvinyl acetate copolymers, polyvinylpyrrolidone -vinyl acetate copolymer, polyvinyl alcohols, polyvinyl alcohol copolymers and waxes. Examples of formulation auxiliaries and additives include those listed in McCutcheon 's Volume 2: Functional Materials, annual International and North American editions published by McCutcheon's Division, The Manufacturing Confectioner Publishing Co.; and PCT Publication WO 03/024222.
The compounds of the invention can be applied without other adjuvants, but most often application will be of a formulation comprising one or more active ingredients with suitable carriers, diluents, and surfactants and possibly in combination with a food depending on the contemplated end use. One method of application involves spraying a water dispersion or refined oil solution of the combination products. Compositions with spray oils, spray oil concentrations, spreader stickers, adjuvants, other solvents, and synergists such as piperonyl butoxide often enhance compound efficacy. Such sprays can be applied from spray containers such as a can, a bottle or other container, either by means of a pump or by releasing it from a pressurized container, e.g., a pressurized aerosol spray can. Such spray compositions can take various forms, for example, sprays, mists, foams, fumes or fog. Such spray compositions thus can further comprise propellants, foaming agents, etc. as the case may be. Of note is a spray composition comprising a pesticidally effective amount of a compound of the invention and a carrier. One
embodiment of such a spray composition comprises a pesticidally effective amount of a compound of the invention and a propellant. Representative propellants include, but are not limited to, methane, ethane, propane, butane, isobutane, butene, pentane, isopentane, neopentane, pentene, hydrofluorocarbons, chlorofluorocarbons, dimethyl ether, and mixtures of the foregoing. Of note is a spray composition (and a method utilizing such a spray composition dispensed from a spray container) used to control at least one parasitic invertebrate pest selected from the group consisting of mosquitoes, black flies, stable flies, deer flies, horse flies, wasps, yellow jackets, hornets, ticks, spiders, ants, gnats, and the like, including individually or in combinations. The controlling of animal parasites includes controlling external parasites that are parasitic to the surface of the body of the host animal (e.g., shoulders, armpits, abdomen, inner part of the thighs) and internal parasites that are parasitic to the inside of the body of the host animal (e.g., stomach, intestine, lung, veins, under the skin, lymphatic tissue). External parasitic or disease transmitting pests include, for example, chiggers, ticks, lice, mosquitoes, flies, mites and fleas. Internal parasites include heartworms, hookworms and helminths. The compounds of the invention may be particularly suitable for combating external parasitic pests. The compounds of the invention may be suitable for systemic and/or non- systemic control of infestation or infection by parasites on animals.
The compounds of the invention may be suitable for combating parasitic invertebrate pests that infest animal subjects including those in the wild, livestock and agricultural working animals. Livestock is the term used to refer (singularly or plurally) to a domesticated animal intentionally reared in an agricultural setting to make produce such as food or fiber, or for its labor; examples of livestock include cattle, sheep, goats, horses, pigs, donkeys, camels, buffalo, rabbits, hens, turkeys, ducks and geese (e.g., raised for meat, milk, butter, eggs, fur, leather, feathers and/or wool), cultured fish, honeybees. By combating parasites, fatalities and performance reduction (in terms of meat, milk, wool, skins, eggs, etc.) are reduced, so that applying the compounds of the invention allows more economic and simple husbandry of animals.
By controlling these pests it is intended to reduce deaths and improve performance (in the case of meat, milk, wool, hides, eggs, honey and the like) and health of the host animal. Also, controlling parasites may help to prevent the transmittance of infectious agents, the term "controlling" referring to the veterinary field, meaning that the active compounds are effective in reducing the incidence of the respective parasite in an animal infected with such parasites to innocuous levels, e.g. the active compound is effective in killing the respective parasite, inhibiting its growth, or inhibiting its proliferation.
The compounds of the invention may be suitable for combating parasitic invertebrate pests that infest companion animals and pets (e.g., dogs, cats, pet birds and aquarium fish), research and experimental animals (e.g., hamsters, guinea pigs, rats and mice), as well as animals raised for/in zoos, wild habitats and/or circuses.
In an embodiment of this invention, the animal is preferably a vertebrate, and more preferably a mammal, avian or fish. In a particular embodiment, the animal subject is a mammal (including great apes, such as humans). Other mammalian subjects include primates (e.g., monkeys), bovine (e.g., cattle or dairy cows), porcine (e.g., hogs or pigs), ovine (e.g., goats or sheep), equine (e.g., horses), canine (e.g., dogs), feline (e.g., house cats), camels, deer, donkeys, buffalos, antelopes, rabbits, and rodents (e.g., guinea pigs, squirrels, rats, mice, gerbils, and hamsters). Avians include Anatidae (swans, ducks and geese),
Columbidae (e.g., doves and pigeons), Phasianidae (e.g., partridges, grouse and turkeys), Thesienidae (e.g., domestic chickens), Psittacines (e.g., parakeets, macaws, and parrots), game birds, and ratites (e.g., ostriches). Birds treated or protected by the compounds of the invention can be associated with either commercial or noncommercial aviculture. These include Anatidae, such as swans, geese, and ducks, Columbidae, such as doves and domestic pigeons, Phasianidae, such as partridge, grouse and turkeys, Thesienidae, such as domestic chickens, and Psittacines, such as parakeets, macaws and parrots raised for the pet or collector market, among others.
For purposes of the present invention, the term "fish" is understood to include without limitation, the Teleosti grouping of fish, i.e., teleosts. Both the Salmoniformes order (which includes the Salmonidae family) and the Perciformes order (which includes the Centrarchidae family) are contained within the Teleosti grouping. Examples of potential fish recipients include the Salmonidae, Serranidae, Sparidae, Cichlidae, and Centrarchidae, among others.
Other animals are also contemplated to benefit from the inventive methods, including marsupials (such as kangaroos), reptiles (such as farmed turtles), and other economically important domestic animals for which the inventive methods are safe and effective in treating or preventing parasite infection or infestation.
Examples of parasitic invertebrate pests controlled by administering a pesticidally effective amount of the compounds of the invention to an animal to be protected include ectoparasites (arthropods, acarines, etc.) and endoparasites (helminths, e.g., nematodes, trematodes, cestodes, acanthocephalans, etc. and protozoae, such as coccidia).
The disease or group of diseases described generally as helminthiasis is due to infection of an animal host with parasitic worms known as helminths. The term 'helminths' is meant to include nematodes, trematodes, cestodes and acanthocephalans. Helminthiasis is a prevalent and serious economic problem with domesticated animals such as swine, sheep, horses, cattle, goats, dogs, cats and poultry.
Among the helminths, the group of worms described as nematodes causes widespread and at times serious infection in various species of animals.
Nematodes that are contemplated to be treated by the compounds of the invention include, without limitation, the following genera: Acanthocheilonema, Aelurostrongylus , Ancylostoma,
Angiostrongylus , Ascaridia, Ascaris, Brugia, Bunostomum, Capillaria, Chabertia, Cooperia, Crenosoma, Dictyocaulus, Dioctophyme, Dipetalonema, Diphyllobothrium, Dirofilaria, Dracunculus, Enterobius, Filaroides, Haemonchus, Heterakis, Lagochilascaris, Loa, Mansonella, Muellerius, Necator,
Nematodirus , Oesophagostomum, Ostertagia, Oxyuris, Parafilaria, Parascaris, Physaloptera,
Protostrongylus, Setaria, Spirocerca, Stephanofilaria, Strongy ides, Strongylus, Thelazia, Toxascaris, Toxocara, Trichinella, Trichonema, Trichostrongylus, Trichuris, Uncinaria and Wuchereria.
Of the above, the most common genera of nematodes infecting the animals referred to above are Haemonchus, Trichostrongylus, Ostertagia, Nematodirus, Cooperia, Ascaris, Bunostomum,
Oesophagostomum, Chabertia, Trichuris, Strongylus, Trichonema, Dictyocaulus, Capillaria, Heterakis, Toxocara, Ascaridia, Oxyuris, Ancylostoma, Uncinaria, Toxascaris and Parascaris. Certain of these, such as Nematodirus, Cooperia and Oesophagostomum attack primarily the intestinal tract while others, such as Haemonchus and Ostertagia, are more prevalent in the stomach while others such as
Dictyocaulus are found in the lungs. Still other parasites may be located in other tissues such as the heart and blood vessels, subcutaneous and lymphatic tissue and the like.
Trematodes that are contemplated to be treated by the invention and by the inventive methods include, without limitation, the following genera: Alaria, Fasciola, Nanophyetus, Opisthorchis ,
Paragonimus and Schistosoma.
Cestodes that are contemplated to be treated by the invention and by the inventive methods include, without limitation, the following genera: Diphyllobothrium, Diplydium, Spirometra and Taenia.
The most common genera of parasites of the gastrointestinal tract of humans are
Ancylostoma, Necator, Ascaris, Strongy hides, Trichinella, Capillaria, Trichuris and Enterobius. Other medically important genera of parasites which are found in the blood or other tissues and organs outside the gastrointestinal tract are the filarial worms such as Wuchereria, Brugia, Onchocerca and Loa, as well as Dracunculus and extra intestinal stages of the intestinal worms Strongyloides and Trichinella.
Numerous other helminth genera and species are known to the art, and are also contemplated to be treated by the compounds of the invention. These are enumerated in great detail in Textbook of Veterinary Clinical Parasitology, Volume 1, Helminths, E. J. L. Soulsby, F. A. Davis Co., Philadelphia, Pa.; Helminths, Arthropods and Protozoa, (6thEdition of Monnig's Veterinary Helminthology and Entomology), E. J. L. Soulsby, Williams and Wilkins Co., Baltimore, Md.
The compounds of the invention may be effective against a number of animal ectoparasites (e.g., arthropod ectoparasites of mammals and birds in particular insects such as flies (stinging and licking), parasitic fly larvae, lice, hair lice, bird lice, fleas and the like; or acarids, such as ticks, for examples hard ticks or soft ticks, or mites, such as scab mites, harvest mites, bird mites and the like).
Insect and acarine pests include, e.g., biting insects such as flies and mosquitoes, mites, ticks, lice, fleas, true bugs, parasitic maggots, and the like.
Adult flies include, e.g., the horn fly or Haematobia irritans, the horse fly or Tabanus spp., the stable fly or Stomoxys calcitrans, the black fly or Simulium spp., the deer fly or Chrysops spp., the louse fly or Melophagus ovinus, and the tsetse fly or Glossina spp. Parasitic fly maggots include, e.g., the bot fly (Oestrus ovis and Cuterebra spp.), the blow fly or Phaenicia spp., the screwworm or Cochliomyia hominivorax, the cattle grub or Hypoderma spp., the fleeceworm and the Gastrophilus of horses.
Mosquitoes include, for example, Culex spp., Anopheles spp. and Aedes spp.
Mites include Mesostigmalphatalpha spp. e.g., mesostigmatids such as the chicken mite, Dermalphanyssus galphallinalphae; itch or scab mites such as Sarcoptidae spp. for example,
Salpharcoptes scalphabiei; mange mites such as Psoroptidae spp. including Chorioptes bovis and Psoroptes ovis; chiggers e.g., Trombiculidae spp. for example the North American chigger,
Trombiculalpha alphalfreddugesi. Ticks include, e.g., soft-bodied ticks including Argasidae spp. for example Argalphas spp. and Ornithodoros spp.; hard-bodied ticks including Ixodidae spp., for example Rhipicephalphalus sanguineus, Dermacentor variabilis, Dermacentor andersoni, Amblyomma americanum, Ixodes scapularis and other Rhipicephalus spp. (including the former Boophilus genera).
Lice include, e.g., sucking lice, e.g., Menopon spp.
and Bovicola spp.; biting lice, e.g., Haematopinus spp., Linognathus spp. and Solenopotes spp.
Fleas include, e.g., Ctenocephalides spp., such as dog flea {Ctenocephalides canis) and cat flea (Ctenocephalides felis); Xenopsylla spp. such as oriental rat flea (Xenopsylla cheopis); and Pulex spp. such as human flea (Pulex irritans).
True bugs include, e.g., Cimicidae or e.g., the common bed bug (Cimex lectularius); Triatominae spp. including triatomid bugs also known as kissing bugs; for example Rhodnius prolixus and Triatoma spp.
Generally, flies, fleas, lice, mosquitoes, gnats, mites, ticks and helminths cause tremendous losses to the livestock and companion animal sectors. Arthropod parasites also are a nuisance to humans and can vector disease-causing organisms in humans and animals.
Numerous other parasitic invertebrate pests are known to the art, and are also contemplated to be treated by the compounds of the invention. These are enumerated in great detail in Medical and
Veterinary Entomology, D. S. Kettle, John Wiley AND Sons, New York and Toronto; Control of Arthropod Pests of Livestock: A Review of Technology, R. O. Drummand, J. E. George, and S. E. Kunz, CRC Press, Boca Raton, Fla.
The compounds of the invention may also be effective against ectoparasites, e.g. insects such as flies (stinging and licking), parasitic fly larvae, lice, hair lice, bird lice, fleas and the like; or acarids, such as ticks, for examples hard ticks or soft ticks, or mites, such as scab mites, harvest mites, bird mites and the like. These include e.g. flies such as Haematobia (Lyperosia) irritans (horn fly), Simulium spp.
(blackfly), Glossina spp. (tsetse flies), Hydrotaea irritans (head fly), Musca autumnalis (face fly), Musca domestica (house fly), Morellia simplex (sweat fly), Tabanus spp. (horse fly), Hypoderma bovis, Hypoderma lineatum, Lucilia sericata, Lucilia cuprina (green blowfly), Calliphora spp. (blowfly), Protophormia spp., Oestrus ovis (nasal botfly), Culicoides spp. (midges), Hippobosca equine,
Gastrophilus intestinalis, Gastrophilus haemorrhoidalis and Gastrophilus nasalis; lice such as Bovicola (Damalinia) bovis, Bovicola equi, Haematopinus asini, Felicola subrostratus, Heterodoxus spiniger, Lignonathus setosus and Trichodectes canis; keds such as Melophagus ovinus; and mites such as Psoroptes spp., Sarcoptes scabei, Chorioptes bovis, Demodex equi, Cheyletiella spp., Notoedres cati, Trombicula spp. and Otodectes cyanotis (ear mites).
Examples of species of animal health pesets include those from the order of the Anoplurida, for example Haematopinus spp., Linognathus spp., Pediculus spp., Phtirus spp., Solenopotes spp.; particular examples are: Linognathus setosus, Linognathus vituli, Linognathus ovillus, Linognathus oviformis, Linognathus pedalis, Linognathus stenopsis, Haematopinus asini macrocephalus, Haematopinus eurysternus, Haematopinus suis, Pediculus humanus capitis, Pediculus humanus corporis, Phylloera vastatrix, Phthirus pubis, Solenopotes capillatus; from the order of the Mallophagida and the suborders Amblycerina and Ischnocerina, for example Trimenopon spp., Menopon spp., Trinoton spp., Bovicola spp., Werneckiella spp., Lepikentron spp., Damalina spp., Trichodectes spp., Felicola spp.; particular examples are: Bovicola bovis, Bovicola ovis, Bovicola limbata, Damalina bovis, Trichodectes canis, Felicola subrostratus, Bovicola caprae, Lepikentron ovis, Werneckiella equi; from the order of the Diptera and the suborders Nematocerina and Brachycerina, for example Aedes spp., Anopheles spp., Culex spp., Simulium spp., Eusimulium spp., Phlebotomus spp., Lutzomyia spp., Culicoides spp., Chrysops spp., Odagmia spp., Wilhelmia spp., Hybomitra spp., Atylotus spp., Tabanus spp., Haematopota spp., Philipomyia spp., Braula spp., Musca spp., Hydrotaea spp., Stomoxys spp., Haematobia spp., Morellia spp., Fannia spp., Glossina spp., Calliphora spp., Lucilia spp., Chrysomyia spp., Wohlfahrtia spp., Sarcophaga spp., Oestrus spp., Hypoderma spp., Gasterophilus spp., Hippobosca spp., Lipoptena spp., Melophagus spp., Rhinoestrus spp., Tipula spp.; particular examples are: Aedes aegypti, Aedes albopictus, Aedes taeniorhynchus, Anopheles gambiae, Anopheles maculipennis, Calliphora
erythrocephala, Chrysozona pluvialis, Culex quinquefasciatus, Culex pipiens, Culex tarsalis, Fannia canicularis, Sarcophaga carnaria, Stomoxys calcitrans, Tipula paludosa, Lucilia cuprina, Lucilia sericata, Simulium reptans, Phlebotomus papatasi, Phlebotomus longipalpis, Odagmia ornata, Wilhelmia equina, Boophthora erythrocephala, Tabanus bromius, Tabanus spodopterus, Tabanus atratus, Tabanus sudeticus, Hybomitra ciurea, Chrysops caecutiens, Chrysops relictus, Haematopota pluvialis,
Haematopota italica, Musca autumnalis, Musca domestica, Haematobia irritans irritans, Haematobia irritans exigua, Haematobia stimulans, Hydrotaea irritans, Hydrotaea albipuncta, Chrysomya chloropyga, Chrysomya bezziana, Oestrus ovis, Hypoderma bovis, Hypoderma lineatum, Przhevalskiana silenus, Dermatobia hominis, Melophagus ovinus, Lipoptena capreoli, Lipoptena cervi, Hippobosca variegata, Hippobosca equina, Gasterophilus intestinalis, Gasterophilus haemorroidalis, Gasterophilus inermis, Gasterophilus nasalis, Gasterophilus nigricornis, Gasterophilus pecorum, Braula coeca; from the order of the Siphonapterida, for example Pulex spp., Ctenocephalides spp., Tunga spp., Xenopsylla spp., Ceratophyllus spp.; particular examples are: Ctenocephalides canis, Ctenocephalides felis, Pulex irritans, Tunga penetrans, Xenopsylla cheopis; from the order of the Heteropterida, for example Cimex spp., Triatoma spp., Rhodnius spp., Panstrongylus spp; from the order of the Blattarida, for example Blatta orientalis, Periplaneta americana, Blattela germanica, Supella spp. (e.g. Suppella longipalpa); from the subclass of the Acari (Acarina) and the orders of the Meta- and Mesostigmata, for example Argas spp., Ornithodorus spp., Otobius spp., Ixodes spp., Amblyomma spp., Rhipicephalus (Boophilus) spp Dermacentor spp., Haemophysalis spp., Hyalomma spp., Dermanyssus spp., Rhipicephalus spp. (the original genus of multi host ticks) Ornithonyssus spp., Pneumonyssus spp., RailUetia spp., Pneumonyssus spp., Sternostoma spp., Varroa spp., Acarapis spp.; particular examples are: Argas persicus, Argas reflexus, Ornithodorus moubata, Otobius megnini, Rhipicephalus (Boophilus) microplus, Rhipicephalus (Boophilus) decoloratus, Rhipicephalus (Boophilus) annulatus, Rhipicephalus (Boophilus) calceratus, Hyalomma anatolicum, Hyalomma aegypticum, Hyalomma marginatum, Hyalomma transiens,
Rhipicephalus evertsi, Ixodes ricinus, Ixodes hexagonus, Ixodes canisuga, Ixodes pilosus, Ixodes rubicundus, Ixodes scapularis, Ixodes holocyclus, Haemaphysalis concinna, Haemaphysalis punctata, Haemaphysalis cinnabarina, Haemaphysalis otophila, Haemaphysalis leachi, Haemaphysalis longicorni, Dermacentor marginatus, Dermacentor reticulatus, Dermacentor pictus, Dermacentor albipictus, Dermacentor andersoni, Dermacentor variabilis, Hyalomma mauritanicum, Rhipicephalus sanguineus, Rhipicephalus bursa, Rhipicephalus appendiculatus, Rhipicephalus capensis, Rhipicephalus turanicus, Rhipicephalus zambeziensis, Amblyomma americanum, Amblyomma variegatum, Amblyomma maculatum, Amblyomma hebraeum, Amblyomma cajennense, Dermanyssus gallinae, Ornithonyssus bursa, Ornithonyssus sylviarum, Varroa jacobsoni; from the order of the Actinedida (Prostigmata) and Acaridida (Astigmata), for example Acarapis spp., Cheyletiella spp., Omithocheyletia spp., Myobia spp., Psorergates spp., Demodex spp., Trombicula spp., Listrophorus spp., Acarus spp., Tyrophagus spp., Caloglyphus spp., Hypodectes spp., Pterolichus spp., Psoroptes spp., Chorioptes spp., Otodectes spp., Sarcoptes spp., Notoedres spp., Knemidocoptes spp., Cytodites spp., Laminosioptes spp.; particular examples are: Cheyletiella yasguri, Cheyletiella blakei, Demodex canis, Demodex bovis, Demodex ovis, Demodex caprae, Demodex equi, Demodex caballi, Demodex suis, Neotrombicula autumnalis,
Neotrombicula desaleri, Neoschongastia xerothermobia, Trombicula akamushi, Otodectes cynotis, Notoedres cati, Sarcoptis canis, Sarcoptes bovis, Sarcoptes ovis, Sarcoptes rupicaprae (S. caprae), Sarcoptes equi, Sarcoptes suis, Psoroptes ovis, Psoroptes cuniculi, Psoroptes equi, Chorioptes bovis, Psoergates ovis, Pneumonyssoidic mange, Pneumonyssoides caninum, Acarapis woodi; Gasterophilus spp., Stomoxys spp., Trichodectes spp., Rhodnius spp., Ctenocephalides canis, Cimx lecturius,
Ctenocephalides felis, Lucilia cuprina; examples of acari include Ornithodoros spp., Ixodes spp., Boophilus spp..
Treatments of the invention are by conventional means such as by enteral administration in the form of, for example, tablets, capsules, drinks, drenching preparations, granulates, pastes, boli, feed- through procedures, or suppositories; or by parenteral administration, such as, for example, by injection (including intramuscular, subcutaneous, intravenous, intraperitoneal) or implants; or by nasal administration; or by dermal application in the form of, for example, bathing or dipping, spraying, pouring-on and spotting-on, washing, dusting, and with the aid of active -compound-comprising shaped articles such as collars, ear tags, tail tags, limb bands, halters, marking devices and the like.
When compounds of the invention are applied in combination with an additional biologically active ingredient, they may be administered separately e.g. as separate compositions. In this case, the biologically active ingredients may be administered simultaneously or sequentially. Alternatively, the biologically active ingredients may be components of one composition.
The compounds of the invention may be administered in a controlled release form, for example in subcutaneous or orally adminstered slow release formulations. Typically a parasiticidal composition according to the present invention comprises a compound of the invention, optionally in combination with an additional biologically active ingredient, or N-oxides or salts thereof, with one or more pharmaceutically or veterinarily acceptable carriers comprising excipients and auxiliaries selected with regard to the intended route of administration (e.g., oral or parenteral administration such as injection) and in accordance with standard practice. In addition, a suitable carrier is selected on the basis of compatibility with the one or more active ingredients in the composition, including such considerations as stability relative to pH and moisture content. Therefore of note are compounds of the invention for protecting an animal from an invertebrate parasitic pest comprising a parasitically effective amount of a compound of the invention, optionally in combination with an additional biologically active ingredient and at least one carrier.
For parenteral administration including intravenous, intramuscular and subcutaneous injection, the compounds of the invention can be formulated in suspension, solution or emulsion in oily or aqueous vehicles, and may contain adjuncts such as suspending, stabilizing and/or dispersing agents.
The compounds of the invention may also be formulated for bolus injection or continuous infusion. Pharmaceutical compositions for injection include aqueous solutions of water-soluble forms of active ingredients (e.g., a salt of an active compound), preferably in physiologically compatible buffers containing other excipients or auxiliaries as are known in the art of pharmaceutical formulation.
Additionally, suspensions of the active compounds may be prepared in a lipophilic vehicle. Suitable lipophilic vehicles include fatty oils such as sesame oil, synthetic fatty acid esters such as ethyl oleate and triglycerides, or materials such as liposomes.
Aqueous injection suspensions may contain substances that increase the viscosity of the suspension, such as sodium carboxymethyl cellulose, sorbitol, or dextran. Formulations for injection may be presented in unit dosage form, e.g., in ampoules or in multi-dose containers. Alternatively, the active ingredient may be in powder form for constitution with a suitable vehicle, e.g., sterile, pyrogen-free water, before use.
In addition to the formulations described supra, the compounds of the invention may also be formulated as a depot preparation. Such long acting formulations may be administered by implantation (for example, subcutaneously or intramuscularly) or by intramuscular or subcutaneous injection.
The compounds of the invention may be formulated for this route of administration with suitable polymeric or hydrophobic materials (for instance, in an emulsion with a pharmacologically acceptable oil), with ion exchange resins, or as a sparingly soluble derivative such as, without limitation, a sparingly soluble salt.
For administration by inhalation, the compounds of the invention can be delivered in the form of an aerosol spray using a pressurized pack or a nebulizer and a suitable propellant, e.g., without limitation, dichlorodifluoromethane, trichlorofluoromethane, dichlorotetrafluoroethane or carbon dioxide. In the case of a pressurized aerosol, the dosage unit may be controlled by providing a valve to deliver a metered amount. Capsules and cartridges of, for example, gelatin for use in an inhaler or insufflator may be formulated containing a powder mix of the compound and a suitable powder base such as lactose or starch.
The compounds of the invention may have favourable pharmacokinetic and pharmacodynamic properties providing systemic availability from oral administration and ingestion. Therefore after ingestion by the animal to be protected, parasiticidally effective concentrations of a compound of the invention in the bloodstream may protect the treated animal from blood-sucking pests such as fleas, ticks and lice. Therefore of note is a composition for protecting an animal from an invertebrate parasite pest in a form for oral administration (i.e. comprising, in addition to a parasiticidally effective amount of a compound of the invention, one or more carriers selected from binders and fillers suitable for oral administration and feed concentrate carriers).
For oral administration in the form of solutions (the most readily available form for absorption), emulsions, suspensions, pastes, gels, capsules, tablets, boluses, powders, granules, rumen-retention and feed/water/lick blocks, the compounds of the invention can be formulated with binders/fillers known in the art to be suitable for oral administration compositions, such as sugars and sugar derivatives (e.g., lactose, sucrose, mannitol, sorbitol), starch (e.g., maize starch, wheat starch, rice starch, potato starch), cellulose and derivatives (e.g., methylcellulose, carboxymethylcellulose, ethylhydroxycellulose), protein derivatives (e.g., zein, gelatin), and synthetic polymers (e.g., polyvinyl alcohol, polyvinylpyrrolidone). If desired, lubricants (e.g., magnesium stearate), disintegrating agents (e.g., cross-linked
polyvinylpyrrolidinone, agar, alginic acid) and dyes or pigments can be added. Pastes and gels often also contain adhesives (e.g., acacia, alginic acid, bentonite, cellulose, xanthan gum, colloidal magnesium aluminum silicate) to aid in keeping the composition in contact with the oral cavity and not being easily ejected.
In one embodiment a composition of the present invention is formulated into a chewable and/or edible product (e.g., a chewable treat or edible tablet). Such a product would ideally have a taste, texture and/or aroma favored by the animal to be protected so as to facilitate oral administration of the compounds of the invention.
If the parasiticidal compositions are in the form of feed concentrates, the carrier is typically selected from high-performance feed, feed cereals or protein concentrates.
Such feed concentrate -containing compositions can, in addition to the parasiticidal active ingredients, comprise additives promoting animal health or growth, improving quality of meat from animals for slaughter or otherwise useful to animal husbandry.
These additives can include, for example, vitamins, antibiotics, chemotherapeutics, bacteriostats, fungistats, coccidiostats and hormones.
The compound of the invention may also be formulated in rectal compositions such as suppositories or retention enemas, using, e.g., conventional suppository bases such as cocoa butter or other glycerides. The formulations for the method of this invention may include an antioxidant, such asBHT (butylated hydroxytoluene). The antioxidant is generally present in amounts of at 0.1 - 5 percent (wt/vol). Some of the formulations require a solubilizer, such as oleic acid, to dissolve the active agent, particularly if spinosad is included. Common spreading agents used in these pour-on formulations include isopropyl myristate, isopropyl palmitate, caprylic/capric acid esters of saturated C12-C18 fatty alcohols, oleic acid, oleyl ester, ethyl oleate, triglycerides, silicone oils and dipropylene glycol methyl ether. The pour-on formulations for the method of this invention are prepared according to known techniques. Where the pour-on is a solution, the parasiticide/insecticide is mixed with the carrier or vehicle, using heat and stirring if required. Auxiliary or additional ingredients can be added to the mixture of active agent and carrier, or they can be mixed with the active agent prior to the addition of the carrier. Pour-on formulations in the form of emulsions or suspensions are similarly prepared using known techniques.
Other delivery systems for relatively hydrophobic pharmaceutical compounds may be employed. Liposomes and emulsions are well-known examples of delivery vehicles or carriers for hydrophobic drugs. In addition, organic solvents such as dimethylsulfoxide may be used, if needed.
The rate of application required for effective parasitic invertebrate pest control (e.g. "pesticidally effective amount") will depend on such factors as the species of parasitic invertebrate pest to be controlled, the pest's life cycle, life stage, its size, location, time of year, host crop or animal, feeding behavior, mating behavior, ambient moisture, temperature, and the like. One skilled in the art can easily determine the pesticidally effective amount necessary for the desired level of parasitic invertebrate pest control.
In general for veterinary use, the compounds of the invention are administered in a pesticidally effective amount to an animal, particularly a homeothermic animal, to be protected from parasitic invertebrate pests.
A pesticidally effective amount is the amount of active ingredient needed to achieve an observable effect diminishing the occurrence or activity of the target parasitic invertebrate pest. One skilled in the art will appreciate that the pesticidally effective dose can vary for the various compounds and compositions useful for the method of the present invention, the desired pesticidal effect and duration, the target parasitic invertebrate pest species, the animal to be protected, the mode of application and the like, and the amount needed to achieve a particular result can be determined through simple experimentation.
For oral or parenteral administration to animals, a dose of the compositions of the present invention administered at suitable intervals typically ranges from about 0.01 mg/kg to aboutlOO mg/kg, and preferably from about 0.01 mg/kg to about 30 mg/kg of animal body weight.
Suitable intervals for the administration of the compositions of the present invention to animals range from about daily to about yearly. Of note are administration intervals ranging from about weekly to about once every 6 months. Of particular note are monthly adminstration intervals (i.e. administering the compounds to the animal once every month). The following Examples illustrate, but do not limit, the invention.
The following abbreviations were used in this section: DMF: dimethylformamide; THF:
tetrahydrofuran; EtOAc : ethyl acetate; s = singlet; bs = broad singlet; d = doublet; dd = double doublet; dt = double triplet; t = triplet, tt = triple triplet, q = quartet, sept = septet; m = multiplet; Me = methyl; Et = ethyl; Pr = propyl; Bu = butyl; M.p. = melting point; RT = retention time, [M+H]+ = molecular mass of the molecular cation, [M-H]" = molecular mass of the molecular anion.
Method A
MS ZQ Mass Spectrometer from Waters (single quadrupole mass spectrometer), ionization
method: electrospray, polarity: positive ionization, capillary (kV) 3.00, cone (V) 30.00,
Extractor: 2.00 V, source temperature (°C) 100, desolvation temperature (°C) 250, cone
gas flow (L/Hr) 50, desolvation gas flow (L/Hr) 400, mass range: 100 to 900 Da.
LC 11 OOer Series HPLC from Agilent: quaternary pump, heated column compartment and
diode-array detector.
Column: Phenomenex Gemini C18, 3 μιη, 30 x 3 mm, Temp: 60 °C; DAD Wavelength range (nm): 210 to 500
Solvent gradient:
A = H20 + 5% MeOH + 0.05 % HCOOH
B= Acetonitril + 0.05 % HCOOH
Time (min) Time (min) Time (min) Time (min)
0.00 0.00 0.00 0.00
2.00 2.00 2.00 2.00
2.80 2.80 2.80 2.80
2.90 2.90 2.90 2.90
Method B
MS ZMD Mass Spectrometer from Waters (single quadrupole mass spectrometer),
ionization method: electrospray, polarity: positive ionization, capillary (kV) 3.80, cone
(V) 30.00, extractor (V) 3.00, source temperature (°C) 150, desolvation temperature
(°C) 350, cone gas flow (L/Hr) off, desolvation gas flow (L/Hr) 600, mass range: 100
to 900 Da.
LC 11 OOer Series HPLC from Agilent: quaternary pump, heated column compartment and
diode-array detector.
Column: Phenomenex Gemini C18, 3 μιη, 30 x 3 mm, Temp: 60 °C; DAD Wavelength range (nm): 200 to 500
Solvent gradient:
A = H20 + 5% MeOH + 0.05 % HCOOH
B= Acetonitril + 0.05 % HCOOH
Time (min) A% B% Flow (ml/min)
0.00 100 0.0 1.700
2.00 0 100 1.700
2.80 0 100 1.700
2.90 100 0 1.700
3.00 100 0 1.700
Method C
MS ACQUITY SQD Mass Spectrometer from Waters (Single quadrupole mass
spectrometer)
Ionisation method: Electrospray Polarity: negative ions
Capillary (kV) 3.00, Cone (V) 20.00, Extractor (V) 3.00, Source Temperature (°C)
150, Desolvation Temperature (°C) 400, Cone Gas Flow (L/Hr) 60, Desolvation
Gas Flow (L/Hr) 700
Mass range: 100 to 800 Da
DAD Wavelength range (nm): 210 to 400
LC Method Waters ACQUITY UPLC with the following HPLC gradient conditions
(Solvent A: Water/Methanol 9:1,0.1% formic acid and Solvent B: Acetonitrile,0.1%
formic acid )
Time (min) A% B% Flow (ml/min)
0 100 0 0.75
2.5 0 100 0.75
2.8 0 100 0.75
3.0 100 0 0.75
Example 1 : N43utyl-2-r4-r5-(3,5-dichlorophenyl)-5-(trifluoromethyl)-4H-isoxazol-3-yl1-2-methyl- phenyll-2-hydroxy-acetamide (compound Al)
Figure imgf000075_0001
Step A: 5-(3,5-Dichloro-phenyl)-3-(4-bromo-3-methyl-phenyl)-5-trifluoromethyl-4,5-dihydro-isoxazole
Figure imgf000075_0002
4-Bromo-3-methylbenzaldehyde (25 g) was dissolved in ethanol (285 ml) and water (85 ml) then sodium acetate (11.8 g) and hydroxylamine hydrochloride (10 g) were added. The reaction mixture was stirred at room temperature for lOmin, then ethanol was evaporated in vacuo. The residue was extracted with ethyl acetate, washed with water, then 2N sodium hydroxide, then water and brine. The organic layers were combined, dried over sodium sulfate, filtered and evaporated. The residue (yellow oil) was crystallised from cyclohexane to afford 4-bromo-3-methylbenzaldehyde oxime as white crystals (19.2 g). LCMS (Method A) RT 1.63 min. [M+H]+ 215/216.lU NMR (400 MHz, CDC13) 2.45 (s, 3H), 7.30-7.60 (m, 4H), 8.10 (s, 1H). To a solution of 3-chloro-4-bromo-benzaldehyde oxime (15 g) in DMF (1400 ml) at room temperature was added N-chlorosuccinimide (9.4 g). The resulting mixture was stirred at room temperature for 2 hours, then l,3-dichloro-5-(l -trifluoromethyl-vinyl)-benzene (18.5 g, prepared as described in WO 2009/080250) in DMF (45 ml) was added followed by triethylamine (7.1 ml) in DMF (90 ml) dropwise over 4 hours. The reaction mixture was allowed to stir at room temperature for 24 hours, diluted with ethyl acetate, the organic layer was washed with water (3x75 ml) and brine solution then dried over sodium sulphate. The solvent was removed under reduced pressure to afford the crude product, which was purified with crystallisation from cyclohexane. White crystals (27 g). LCMS (Method A) RT 2.40 min. 'H-NMR (CDC13, 400 MHz): 2.46 (s, 3H), 3.70 (d, 1H), 4.10 (d, 1H), 7.35-7.62 (m, 6H).
Step B: ethyl 2-[4-[5-(3,5-dichlorophenyl)-5-(trifluoromethyl)-4H-isoxazol-3-yl]-2-methyl-phenyl]-2- oxo-acetate
Figure imgf000076_0001
To a solution of aryl bromide from step A (2.72 g) in THF (40 ml) at -110°C, was slowly added n-butyl lithium (1.6M in hexanes, 4.5 ml). The solution was stirred 15 min at -110°C then diethyl oxalate (4.06 ml) was added slowly to keep the temperature below -100°C. The reaction was stirred at -110°C for 1 hour before being quenched with saturated aqueous ammonium chloride solution and left to warm up to room temperature. Water and diethyl ether were added. The aqueous layer was extracted twice with ether. The organic layer was washed with brine, dried over sodium sulphate and concentrated. Purifiocation by column chromatography (cyclohexane / ethyl acetate) afforded the title product in mixture with excess diethyl oxalate (3.96 g). LCMS (Method A): RT 2.28 min MH+ 474/476. 'H-NMR (CDC13, 400 MHz): 1.40 (m, 3H), 2.62 (s, 3H), 3.75 (d, 1H), 4.12 (d, 1H), 4.40 (m, 2H), 7.40-7.80 (m, 6H).
Step C: 2-[4-[5-(3,5-dichlorophenyl)-5-(trifluoromethyl)-4H-isoxazol-3-yl]-2-methyl-phenyl]-2-oxo- acetic acid
Figure imgf000076_0002
To a solution of ethyl ester from Step B (3.96 g) in THF:water (4: 1, 100 ml) was added sodium hydroxide (1.5 g). The reaction mixture was stirred at room temperature for 1 hour then the solvent was removed in vacuo. The aqueous layer was extracted with ethyl acetate, before being acidified. It was then extracted with ethyl actetate. The combined organic layers were dried over sodium sulphate and concentrated in vacuo to afford the titled product as a solid (2.34 g). 'H-NMR (CDC13, 400 MHz): 2.62 (s, 3H), 3.65 (d, 1H), 4.05 (d, 1H), 6.5-7.5 (br m, 1H), 7.30-8.10 (m, 6H).
Step D: N-butyl-2-[4-[5-(3,5-dichlorophenyl)-5-(trifluoromethyl)-4H-isoxazol-3-yl]-2-methyl-phenyl]-2- oxo-acetamide
Figure imgf000077_0001
To a solution of carboxylic acid from Step C (1 g) in dichloromethane (90 ml) was added n-butylamine (0.27 ml), 0-Benzotriazole-l-yl-N,N,N',N'-tetramethyluronium tetrafluoroborate (TBTU, 0.72 g) and triethylamine (0.94 ml). The reaction mixture was stirred for 3 hours at room temperature then quenched by addition of diluted hydrochloric acid solution. The organic layer was then washed with water before being dried over sodium sulphate and concentrated. Purifiocation by column chromatography
(cyclohexane / ethyl acetate) afforded the title product (389 m g). LCMS (Method B): RT 2.20 min, MH+ 501/503. 'H-NMR (CDCI3, 400 MHz): 0.98 (t, 3H), 1.40 (m, 2H), 1.60 (m, 2H), 2.50 (s, 3H), 3.40 (m, 2H), 3.70 (d, 1H), 4.10 (d, 1H), 7.10 (br m, 1H), 7.40-7.80 (m, 6H).
Step E: N-butyl-2-[4-[5-(3,5-dichlorophenyl)-5-(trifluoromethyl)-4H-isoxazol-3-yl]-2-methyl-phenyl]-2- hydroxy-acetamide
Figure imgf000077_0002
To a solution of product obtained in Step D (100 mg) in methanol (2 ml) was added sodium borohydride (8 mg). The resulting mixture was stirred at room temperature for 1 hour. The reaction was then quenched with diluted hydrochloric acid, the aqueous was extracted with ethyl acetate. The combined organic were then washed with water before being dried over sodium sulphate and concentrated in vacuo to afford the title product (100 mg) as a solid (mp 69-72°C). LCMS (Method B): RT 2.20 min, MH+ 503/505.lH- NMR (CDCI3, 400 MHz): 0.90 (t, 3H), 1.30 (m, 2H), 1.45 (m, 2H), 2.45 (s, 3H), 3.30 (m, 2H), 3.50 (m, 1H), 3.70 (d, 1H), 4.10 (d, 1H), 5.20 (m, 1H), 6.00 (br t, 1H), 7.30-7.60 (m, 6H).
Example 2: N-butyl-2-r4-r5-(3,5-dichlorophenyl)-5-(trifluoromethyl)-4H-isoxazol-3-yl1-2-methyl- phenyl1-2-hvdroxy-2-methyl-acetamide (compound A2)
Figure imgf000077_0003
To a solution of N-butyl-2-[4-[5-(3,5-dichlorophenyl)-5-(trifluoromethyl)-4H-isoxazol-3-yl]-2-methyl- phenyl]-2-hydroxy-acetamide (100 mg) in diethyl ether (2 ml) was added methyl magnesium bromide (3M, 0.067 ml). The resulting mixture was stirred at room temperature for 1 hour then methyl magnesium bromide (3M, 0.067 ml) was added again, t for lh. The reaction was then quenched with diluted hydrochloric acid asolution. The aqueous layer was extracted with ethyl acetate, the combined organic layers were then washed with water before being dried over sodium sulphate and concentrated in vacuo. The residue was purified by column chromatography (cyclohexane / ethyl acetate) to afford the title product as a solid (47 mg, m.p. 72-75°C). LCMS (Method B): RT 2.14 min, MH+ 517/519. 'H-NMR (CDC13, 400 MHz): 0.90 (t, 3H), 1.25 (m, 2H), 1.40 (m, 2H), 1.80 (s, 3H), 2.35 (s, 3H), 3.23 (m, 2H), 3.70 (d, 1H), 3.90 (s, 1H), 4.05 (d, 1H), 5.52 (br t, 1H), 7.40-7.60 (m, 6H).
The following compounds were prepared following a similar method to that described in Example 2: 2- [4-[5-(3,5-dichlorophenyl)-5-(trifluoromethyl)-4H-isoxazol-3-yl] -2 -methyl-phenyl]-2-methyl-2 -hydroxy - N-(thietan-3-yl)acetamide (compound A3)
Example 3: 2-r4-r5-(3,5-dichlorophenyl)-5-(trifluoromethyl)-4H-isoxazol-3-yl1-2-methyl-phenyl1-2- fluoro-N-(thietan-3-yl)acetamide (com ound A4)
Step A: ethyl 2-[4-[5-(3,5-dichlorophenyl)-5-(trifluoromethyl)-4H-isoxazol-3-yl]-2-methyl-phenyl]-2- hydroxy-acetate
Figure imgf000078_0002
To a solution of ethyl 2-[4-[5-(3,5-dichlorophenyl)-5-(trifluoromethyl)-4H-isoxazol-3-yl]-2-methyl- phenyl] -2-hydroxy-acetate (637 mg) in tetrahydrofuran (20 ml) at 0°C was added sodium borohydride (51 mg). The reaction mixture was stirred at 0°C for 1 hour then at room temperature for 2 hours. Sodium borohydride (10 mg) was added again and the reaction mixture was stirred at room temperature for 1 hour. The reaction was quenched with 2N hydrochloric acid, extracted with ethyl acetate; the organic layers were washed with 2N hydrochloric acid, water and brine, then dried over sodium sulphate and concentrated in vacuo. Purification by column chromatography (cyclohexane / ethyl acetate) afforded the title product as foam (440 mg). 'H-NMR (CDCI3, 400 MHz): 1.20 (t, 3H), 2.40 (s, 3H), 3.45 (d, 1H), 3.60 (d, 1H), 4.00 (d, 1H), 4.10 (m, 2H), 5.30 (d, 1H), 7.30-7.45 (m, 6H).
Step B: ethyl 2-[4-[5-(3,5-dichlorophenyl)-5-(trifluoromethyl)-4H-isoxazol-3-yl]-2-methyl-phenyl]-2- fluoro-acetate
Figure imgf000079_0001
To a solution of the keto ester obtained in Step A (430 mg) in dichloromethane (20 ml) was added diethylaminosulfur trifluoride (728 mg) in one portion at room temperature. The resulting reaction mixture was stirred overnight at room temperature then poured into ice water. The mixture was extracted three times with dichloromethane, washed with water, dried over sodium suphate and the solvents were removed in vacuo. The residue was purified by column chromatography (cyclohexane / ethyl acetate) to afford the title product as a foam (435 mg). 'H-NMR (CDC13, 400 MHz): 1.20 (t, 3H), 2.40 (s, 3H), 3.62 (d, 1H), 4.00 (d, 1H), 4.20 (m, 2H), 5.90 (d, J = 48 Hz, 1H), 7.30-7.60 (m, 6H). Step C: 2-[4-[5-(3,5-dichlorophenyl)-5-(trifluoromethyl)-4H-isoxazol-3-yl]-2-methyl-phenyl]-2-fluoro- acetic acid
Figure imgf000079_0002
To a solution of the fluoro ester obtained in Step B (435 mg) in tetrahydrofuran ( 6ml) was added a solution of potassium hydroxide (2.45 g) dissolved in methanol (6 ml) and water (6 ml). The reaction mixture was stirred 1 hour at room temperature, then acidified to pH 1 by addition of 2N hydrochloric acid solution. The mixture was extracted with ethyl acetate, washed with water, dried over sodium suphate and the solvents were removed in vacuo to afford the title product as a yellowish solid (410 mg), which was used without futher purification for the next step. LCMS (Method C): RT 2.51 min, M-H 448. ¾-NMR (CDCI3, 400 MHz): 2.40 (s, 3H), 3.62 (d, 1H), 4.00 (d, 1H), 5.95 (d, J = 48 Hz, 1H), 6.50-7.80 (br m, 1H), 7.30-7.50 (m, 6H).
Step D: 2-[4-[5-(3,5-dichlorophenyl)-5-(trifluoromethyl)-4H-isoxazol-3-yl]-2-methyl-phenyl]-2-fluoro-N- (thietan-3 -yl)acetamide
Figure imgf000079_0003
A solution of the acid obtained in Step C (100 mg) in dichloromethane (6 ml) was treated with oxalyl chloride (40 mg) and one drop of dimethylformamide for 1.5 hour at room temperature. The solvent was removed in vacuo to afford the crude acid chloride which was dissolved in dichloromethane (3 ml) and added to a solution of thietan-3ylamine (trifluoroacetate salt, 98 mg, prepared as described in WO09080250) and triethylamine (112 mg) in dichloromethane (3 ml). The resulting solution was stirred at room temperature for 3.5 hours. The solvents were removed in vacuo and the residue purified by column chromatography (cyclohexane / ethyl acetate) to afford the title product as a white foam (79 mg). LCMS (Method C): RT 2.19 min, M-H 519/521. ¾-NMR (CDC13, 400 MHz): 2.40 (s, 3H), 3.30 (m, 4H), 3.62 (d, 1H), 4.00 (d, 1H), 5.20 (m, 1H), 5.90 (d, J = 48 Hz, 1H), 6.98 (br, 1H), 7.20-7.50 (m, 6H).
The following compounds were prepared following a similar method to that described in Example 3: 2- [4-[5-(3,5-dichlorophenyl)-5-(trifluoromethyl)-4H-isoxazol-3-yl] -2-methyl-phenyl]-2-fluoro-N-(2- pyridylmethyl)acetamide (compound A5)
Example 4: 2-r4-r5-(3,5-dichlorophenyl)-5-(trifluoromethyl)-4H-isoxazol-3-yl1-2-methyl-phenyl1-2,2- difluoro-N-(thietan-3-yl)acetamide compound A6)
Figure imgf000080_0001
Step A: ethyl 2-[4-[5-(3,5-dichlorophenyl)-5-(trifluoromethyl)-4H-isoxazol-3-yl]-2-methyl-phenyl]-2,2- difluoro-acetate
Figure imgf000080_0002
To a solution of ethyl 2-[4-[5-(3,5-dichlorophenyl)-5-(trifluoromethyl)-4H-isoxazol-3-yl]-2-methyl- phenyl] -2-oxo-acetate (200 mg) in dichloromethane (7 ml) was added diethylaminosulfur trifluoride (150 mg) in one portion at room temperature. The resulting reaction mixture was stirred 3 days at room temperature with another addition of diethylaminosulfur trifluoride (150 mg) after one day. The reaction mixture was then poured into ice water, extracted three times with dichloromethane, washed with water, brine, dried over sodium suphate and the solvents were removed in vacuo. The residue was purified by column chromatography (cyclohexane / ethyl acetate) to afford the title product as a yellowish solid (178 mg). 'H-NMR (CDCI3, 400 MHz): 1.30 (t, 3H), 2.41 (s, 3H), 3.70 (d, 1H), 4.10 (d, 1H), 4.30 (q, 2H), 7.40-7.60 (m, 6H).
Step B: 2-[4-[5-(3,5-dichlorophenyl)-5-(trifluoromethyl)-4H-isoxazol-3-yl]-2-methyl-phenyl]-2,2- difluoro-acetic acid
Figure imgf000081_0001
To a solution of the fluoro ester obtained in Step B (160 mg) in tetrahydrofuran (2 ml) was added a solution of potassium hydroxide (867 mg) dissolved in methanol (2ml) and water (2 ml). The reaction mixture was stirred 2 hours at room temperature, then acidified to pH 1 by addition of 2N hydrochloric acid solution. The mixture was extracted with ethyl acetate, washed with water, dried over sodium suphate and the solvents were removed in vacuo to afford the title product as a yellowish solid (163 mg), which was used without futher purification for the next step. 'H-NMR (CDC13, 400 MHz): 2.48 (s, 3H), 3.70 (d, 1H), 4.10 (d, 1H), 7.40-7.70 (m, 6H), 8.20 (br s, 1H). Step C: 2-[4-[5-(3,5-dichlorophenyl)-5-(trifluoromethyl)-4H-isoxazol-3-yl]-2-methyl-phenyl]-2,2- difluoro-N-(thietan-3-yl)acetamide
Figure imgf000081_0002
A solution of the acid obtained in Step B (76 mg) in dichloromethane (5 ml) was treated with oxalyl chloride (31 mg) and one drop of dimethylformamide for 1 hour at room temperature. The solvent was removed in vacuo to afford the crude acid chloride which was dissolved in dichloromethane (2.5 ml) and added to a solution of thietan-3ylamine (trifluoroacetate salt, 71 mg, prepared as described in
WO09080250) and triethylamine (82 mg) in dichloromethane (2.5 ml). The resulting solution was stirred at room temperature overnight. The solvents were removed in vacuo and the residue purified by column chromatography (cyclohexane / ethyl acetate) to afford the title product as white foam (35 mg). LCMS
(Method C): RT 2.21 min, M-H 537/539. 'H-NMR (CDC13, 400 MHz): 2.41 (s, 3H), 3.40 (d, 4H), 3.70 (d, 1H), 4.10 (d, 1H), 5.30 (m, 1H), 5.90 (d, J = 48 Hz, 1H), 6.94 (br, 1H), 7.40-7.60 (m, 6H).19F NMR (CDC13, 400 MHz): -100.8, -79.5.
The following compounds were prepared following a similar method to that described in Example 4: 2- [4-[5-(3,5-dichlorophenyl)-5-(trifluoromethyl)-4H-isoxazol-3-yl] -2-methyl-phenyl]-2,2-difluoro-N-(2- pyridylmethyl)acetamide (compound A7) Table A: Compounds of formula (I-a):
Figure imgf000082_0001
Figure imgf000082_0002
Biological examples
This Example illustrates the pesticidal/insecticidal properties of compounds of formula (I).
Tests were performed as follows:
Spodoptera littoralis (Egyptian cotton leafworm):
Cotton leaf discs were placed on agar in a 24-well microtiter plate and sprayed with test solutions at an application rate of 200 ppm. After drying, the leaf discs were infested with 5 LI larvae. The samples were checked for mortality, feeding behavior, and growth regulation 3 days after treatment (DAT).
The following compounds gave at least 80% control of Spodoptera littoralis:
Al, A4, A5, A6, A7
Heliothis virescens (Tobacco budworm) :
Eggs (0-24 h old) were placed in 24-well microtiter plate on artificial diet and treated with test solutions at an application rate of 200 ppm (concentration in well 18 ppm) by pipetting. After an incubation period of 4 days, samples were checked for egg mortality, larval mortality, and growth regulation.
The following compounds gave at least 80% control of Heliothis virescens:
Al, A2, A4, A5, A6, A7
Plutella xylostella (Diamond back 24-well microtiter plate (MTP) with artificial diet was treated with test solutions at an application rate of 200 ppm (concentration in well 18 ppm) by pipetting. After drying, the MTP's were infested with L2 larvae (7-12 per well). After an incubation period of 6 days, samples were checked for larval mortality and growth regulation.
The following compounds gave at least 80% control of Plutella xylostella:
A4, A5, A6, A7
Diabrotica balteata (Corn root worm):
A 24-well microtiter plate (MTP) with artificial diet was treated with test solutions at an application rate of 200 ppm (concentration in well 18 ppm) by pipetting. After drying, the MTP's were infested with L2 larvae (6-10 per well). After an incubation period of 5 days, samples were checked for larval mortality and growth regulation.
The following compounds gave at least 80% control of Diabrotica balteata:
A4, A5, A6, A7
Myzus persicae (Green peach aphid), systemic test: Roots of pea seedlings, infested with an aphid population of mixed ages, are placed directly in the test solutions at an application rate of 12.5 ppm. 6 days after introduction, samples are checked for mortality and special effects on the plant. The following compounds gave at least 80% control of Myzus persicae:
A7
Thrips tabaci (Onion thrips):
Sunflower leaf discs were placed on agar in a 24-well microtiter plate and sprayed with test solutions at an application rate of 200 ppm. After drying, the leaf discs were infested with a thrips population of mixed ages. After an incubation period of 7 days, samples were checked for mortality.
The following compounds gave at least 80% control of Thrips tabaci:
A4, A6, A7.
Tetranychus urticae (Two-spotted spider mite):
Bean leaf discs on agar in 24-well microtiter plates were sprayed with test solutions at an application rate of 200 ppm. After drying, the leaf discs are infested with mite populations of mixed ages. 8 days later, discs are checked for egg mortality, larval mortality, and adult mortality.
The following compounds gave at least 80% control of Tetranychus urticae:
Al, A4, A6, A7. Comprarative test Table 1A
Reference compound
Figure imgf000084_0001
Compound Test Application rate Control
Compound A7 Plutella xylostella 12.5 ppm 100%
3ppm 80%
Reference compound Plutella xylostella 12.5 ppm 80%
3ppm 0%
Compound A7 Diabrotica balteata 200 ppm 100%
50 ppm 80%
Reference compound Diabrotica balteata 200 ppm 50%
50 ppm 0%
Comprarative test Table IB
Reference compound
Figure imgf000084_0002
Compound Test Application rate Control
Compound A5 Plutella xylostella 12.5 ppm 100%
3 ppm 0%
Reference compound Plutella xylostella 12.5 ppm 80%
3 ppm 0%
Compound A5 Diabrotica balteata 200 ppm 100%
50 ppm 80%
Reference compound Diabrotica balteata 200 ppm 50%
50 ppm 0% From the results above it can be derived that the insecticidal activity of the compounds of the invention is clearly superior to the structurally close compounds at low application rates. In many cases the compounds of the invention provide complete or almost complete control of important pests, whilst at the same rate close analogues provide little or even zero control. This superior performance is important because it allows a more efficient disease control of the pests at significantly lower application rates.

Claims

What is claimed is:
1. A compound of formula I
Figure imgf000086_0001
wherein A1 is C-R5b;
A2, A3 and A4 are independently of one another C-H or C-R5a, or nitrogen;
G1 is oxygen;
Figure imgf000086_0002
Xi is halogen;
X2 is hydrogen, or halogen;
R1 is hydrogen, Ci-Cgalkyl, Ci-Cgalkoxy, Ci-Cgalkylcarbonyl, or Ci-Cgalkoxycarbonyl;
R2 is Ci-Cgalkyl or Ci-Cgalkyl substituted by one to five R6, Ci-Cgalkenyl or Ci-Cgalkenyl substituted by one to five R6, CpCgalkynyl or d-Cgalkynyl substituted by one to five R6, C3-Ciocycloalkyl or C3- Ciocycloalkyl substituted by one to five R7, aryl-Ci-C4alkylene- or aryl-Ci-C4alkylene- wherein the aryl moiety is substituted by one to five R8, heterocyclyl-Ci-C4alkylene- or heterocyclyl-Ci-C4alkylene- wherein the heterocyclyl moiety is substituted by one to five R8, aryl or aryl substituted by one to five R8, heterocyclyl or heterocyclyl substituted by one to five R8, Ci-Cgalkylaminocarbonyl-Ci-C4alkylene, d- Cghaloalkylaminocarbonyl-Ci-C4alkylene, C3-CgCycloalkyl-aminocarbonyl-Ci-C4alkylene, Ci-Cealkyl-O- N=CH-, C C6haloalkyl-0-N=CH-, or group Al
Figure imgf000086_0003
R3 is Ci-Cghaloalkyl;
R4 is aryl or aryl substituted by one to five R9, or heteroaryl or heteroaryl substituted by one to five R9; R5a is hydrogen, halogen, cyano, nitro, Ci-Cgalkyl, Ci-Cghaloalkyl, Ci-Cgalkenyl, Ci-Cghaloalkenyl, d- Cgalkynyl, Ci-Cghaloalkynyl, C3-Ciocycloalkyl, Ci-Cgalkoxy, Ci-Cghaloalkoxy, Ci-Cgalkylthio, d- Cghaloalkylthio, Ci-Cgalkylsulfinyl-, Ci-Cghaloalkylsulfinyl-, Ci-Cgalkylsulfonyl-, or d- Cghaloalkylsulfonyl-; R5b is halogen, cyano, nitro, Ci-Cgalkyl, Ci-Cghaloalkyl, d-Cgalkenyl, Ci-Cghaloalkenyl, d-Cgalkynyl, Ci-Cghaloalkynyl, C3-Ciocycloalkyl, d-Cgalkoxy, CpCghaloalkoxy, Ci-Cgalkylthio, Ci-Cghaloalkylthio, Ci-Cgalkylsulfinyl-, Ci-Cghaloalkylsulfinyl-, Ci-Cgalkylsulfonyl-, or Ci-Cghaloalkylsulfonyl-;
or R5a and R5b together form a -CH=CH-CH=CH- bridge or a -N=CH-CH=CH- bridge;
each R6 is independently halogen, cyano, nitro, hydroxy, CpCgalkoxy, CpCghaloalkoxy, Cp
Cgalkylcarbonyl, CpCgalkoxycarbonyl, mercapto, Ci-Cgalkylthio, Ci-Cghaloalkylthio, Ci-Cgalkylsulfinyl, Ci-Cghaloalkylsulfinyl, Ci-Cgalkylsulfonyl or CpCghaloalkylsulfonyl;
each R7 is independently halogen or CpCgalkyl;
each R8 and R9 are independently halogen, cyano, nitro, CpCgalkyl, Ci-Cghaloalkyl, C2-C8alkenyl, C2- Cghaloalkenyl, C2-C8alkynyl, C2-C8haloalkynyl, hydroxy, Q-Cgalkoxy, Ci-Cghaloalkoxy, mercapto, Ci- Cgalkylthio, Ci-Cghaloalkylthio, Ci-Cgalkylsulfinyl, Ci-Cghaloalkylsulfinyl, Ci-Cgalkylsulfonyl, Cr Cghaloalkylsulfonyl, CpCgalkylcarbonyl, CpCgalkoxycarbonyl, aryl or aryl substituted by one to five R10, or heterocyclyl or heterocyclyl substituted by one to five R10;
each R10 is independently halogen, cyano, nitro, Ci-C4alkyl, Ci-C4haloalkyl, Ci-C4alkoxy, or Cr
C4haloalkoxy;
R11 is hydrogen, CpCgalkyl or Ci-Cgalkyl substituted by one to five R6, CpCgalkenyl or Ci-Cgalkenyl substituted by one to five R6, Ci-Cgalkynyl or Ci-Cgalkynyl substituted by one to five R6, C3- Ciocycloalkyl or C3-Ciocycloalkyl substituted by one to five R7, C3-Ciocycloalkyl-Ci-C4alkylene or C3- Ciocycloalkyl-Ci-C4alkylene substituted by one to five R7, aryl-Ci-C4alkylene- or aryl-Ci-C4alkylene- wherein the aryl moiety is substituted by one to five R8, heterocyclyl-Ci-C4alkylene- or heterocyclyl-Cr Qalkylene- wherein the heterocyclyl moiety is substituted by one to five R8, aryl or aryl substituted by one to five R8, heterocyclyl or heterocyclyl substituted by one to five R8;
or a salt or N-oxide thereof.
2. A compound according to claim 1, wherein Xi is fluorine, and X2 is hydrogen, or fluorine.
3. A compound according to claim 1, wherein Xi is fluorine, and X2 is fluorine.
4. A compound according to any one of claims 1 to 3, wherein R5b is hydrogen, bromo, chloro, fluoro, or methyl.
5. A compound according to any one of claims 1 to 4, wherein R1 is hydrogen.
6. A compound according to any one of claims 1 to 5, wherein R2 is Ci-Cgalkyl or Ci-Cgalkyl substituted by one to five R6, C3-Ciocycloalkyl or C3-Ciocycloalkyl substituted by one to five R7, phenyl- Ci-C4alkylene- or phenyl-Ci-C4alkylene- wherein the phenyl moiety is substituted by one to five R8, pyridyl-Ci-C4alkylene- or pyridyl-Ci-C4alkylene- wherein the pyridyl moiety is substituted by one to four R8, oxetanyl or oxetanyl substituted by one to five R8, thietanyl-Ci-C4 alkylene or thietanyl-Ci-C4 alkylene wherein the thietanyl moiety is substituted by one to five R8, oxo-thietanyl-Ci-C4 alkylene or oxo-thietanyl-Ci-C4 alkylene wherein the oxo-thietanyl moiety is substituted by one to five R8, dioxo- thietanyl-Ci-C4 alkylene or dioxo-thietanyl-Ci-C4 alkylene wherein the dioxo-thietanyl moiety is substituted by one to five R8, thietanyl or thietanyl substituted by one to five R8, oxo-thietanyl or oxo- thietanyl substituted by one to five R8, dioxo-thietanyl or dioxo-thietanyl substituted by one to five R8, Ci-C8alkylaminocarbonyl-Ci-C4 alkylene, Ci-C8haloalkylaminocarbonyl-Ci-C4 alkylene, or C3- C8cycloalkyl-aminocarbonyl-Ci-C4 alkylene, or group Al .
7. A compound according to any one of claims 1 to 5, wherein R2 is Ci-C4alkyl or Ci-C4alkyl substituted by one to five R6, C4-C6cycloalkyl or C4-C6cycloalkyl substituted by one to five R7, phenyl- Ci-C2alkylene- or phenyl-Ci-C2alkylene- wherein the phenyl moiety is substituted by one to five R8, pyridyl-Ci-C2alkylene- or pyridyl-Ci-C2alkylene- wherein the pyridyl moiety is substituted by one to four R8, thietanyl or thietanyl substituted by one to five R8, oxo-thietanyl or oxo-thietanyl substituted by one to five R8, dioxo-thietanyl or dioxo-thietanyl substituted by one to five R8, Ci-C8alkylaminocarbonyl-Ci-C4 alkylene, Ci-C8haloalkylaminocarbonyl-Ci-C4 alkylene, or C3-C8cycloalkyl-aminocarbonyl-Ci-C4 alkylene, or group Al .
8. A compound according to any one of claims 1 to 7, wherein R3 is chlorodifluoromethyl or trifluoromethyl.
9. A compound according to any one of claims 1 to 8, wherein R4 is group B l
Figure imgf000088_0001
wherein X3 is C-R12 or nitrogen and each R12 is independently hydrogen, halogen or trihalomethyl, wherein at least two R12 are not hydrogen.
10. A compound according to claim 9, wherein A2, A3 and A4 are C-H, G1 is O, R1 is H, R3 is chlorodifluoromethyl or trifluoromethyl, R4 is group B l , and R5b is hydrogen, bromo, chloro, fluoro, or methyl.
1 1. A compound according to claim 1 , wherein
A1 is C-R5b;
A2, A3 and A4 are independently of one another C-H; G1 is oxygen;
Figure imgf000089_0001
Xi is halogen;
X2 is hydrogen or halogen;
R1 is hydrogen;
R2 is Ci-C4alkyl or Ci-C4alkyl substituted by one to five R6, C4-C6cycloalkyl or C4-C6cycloalkyl substituted by one to five R7, phenyl-Ci-C2alkylene- or phenyl-Ci-C2alkylene- wherein the phenyl moiety is substituted by one to five R8, pyridyl-Ci-C2alkylene- or pyridyl-Ci-C2alkylene- wherein the pyridyl moiety is substituted by one to four R8, thietanyl or thietanyl substituted by one to five R8, oxo-thietanyl or oxo-thietanyl substituted by one to five R8, dioxo-thietanyl or dioxo-thietanyl substituted by one to five R8, Ci-C8alkylaminocarbonyl-Ci-C4 alkylene, Ci-C8haloalkylaminocarbonyl-Ci-C4 alkylene, or C3- C8cycloalkyl-aminocarbonyl-Ci-C4 alkylene, or group Al ;
R3 is chlorodifiuoromethyl or trifluoromethyl;
R4 is group B 1
Figure imgf000089_0002
wherein X is C-R or nitrogen;
R5b is hydrogen, bromo, chloro, fluoro, methyl or trifluoromethyl;
each R6 is independently halogen, Ci-C4alkyl, Ci-C4haloalkyl, Ci-C4alkoxy, Ci-C4haloalkoxy;
each R7 is independently halogen or CpQalkyl;
each R8 is independently halogen, cyano, nitro, Ci-C8alkyl, Ci-C8haloalkyl, Ci-C8alkoxy, Q- C8haloalkoxy;
R11 is CrC4alkyl or CrC4haloalkyl;
each R12 is independently hydrogen, halogen or trihalomethyl, wherein at least two R12 are not hydrogen.
12. A compound according to claim 1, wherein
A1 is C-R5b;
A2, A3 and A4 are independently of one another C-H;
G1 is oxygen;
Yi-Y2-Y3 is -C=N-0-;
Xi is fluorine;
X2 is hydrogen or fluorine;
R1 is hydrogen; R2 is Ci-C4alkyl or Ci-C4alkyl substituted by one to five R6, C4-C6cycloalkyl or C4-C6cycloalkyl substituted by one to five R7, phenyl-Ci-C2alkylene- or phenyl-Ci-C2alkylene- wherein the phenyl moiety is substituted by one to five R8, pyridyl-Ci-C2alkylene- or pyridyl-Ci-C2alkylene- wherein the pyridyl moiety is substituted by one to four R8, thietanyl or thietanyl substituted by one to five R8, oxo-thietanyl or oxo-thietanyl substituted by one to five R8, dioxo-thietanyl or dioxo-thietanyl substituted by one to five
R8;
R is chlorodifiuoromethyl or trifiuoromethyl;
R is group B 1
Figure imgf000090_0001
wherein X3 is C-R12;
R5b is hydrogen, bromo, chloro, fluoro, methyl or trifiuoromethyl;
each R6 is independently halogen, Ci-C4alkyl, Ci-C4haloalkyl, Ci-C4alkoxy, Ci-C4haloalkoxy;
each R7 is independently chloro, fluoro or methyl;
each R8 is independently halogen, cyano, nitro, Q-Cgalkyl, Ci-Cghaloalkyl, d-Cgalkoxy, d- Cghaloalkoxy;
each R12 is independently hydrogen, halogen or trihalomethyl, wherein at least two R12 are not hydrogen.
13. A compound of formula Int-I
Figure imgf000090_0002
wherein Yb Y2, Y3, A1, A2, A3, A4, X1, X2, R3 and R4 are as defined for the compound of formula I in any one of claims 1 to 12, R is OH or d-Cealkoxy, or a salt of N-oxide thereof; or
a compound of formula Int-II
(Int-ll)
Figure imgf000090_0003
wherein A1, A2, A3, A4, X1, X2 are as defined for the compound of formula I in any one of claims 1 to 12, R is OH or Q-Cealkoxy, and XB is a leaving group, or a salt of N-oxide thereof; or
a compound of formula Int-III
Figure imgf000091_0001
1 2 3 4 1 2 1 2
wherein A , A , A A X1, X R and Rz are as defined for the compound of formula I in any one of claims 1 to 12, and XB is a leaving group, or a salt of N-oxide thereof; or
a compound of formula Int-IV
Figure imgf000091_0002
wherein A1, A2, A3, A4, X1, X2, R3 and R4 are as defined for the compound of formula I in any one of claims 1 to 12, R is OH or Ci-C6alkoxy, or a salt of N-oxide thereof; or
a compound of formula Int-V
Figure imgf000091_0003
1 2 3 4 1 2 1 2 3 4
wherein A , A , A A X1, X R , R RJ and R* are as defined for the compound of formula I in any one of claims 1 to 12, or a salt of N-oxide thereof; or
a compound of formula Int-VI
Figure imgf000091_0004
wherein Yb Y2, Y3, A1, A2, A3, A4, R3 and R4 are as defined for the compound of formula I in any one of claims 1 to 12, R is OH or d-Cealkoxy, or a salt of N-oxide thereof, wherein compounds wherein R is OCH3 or OCH2CH3 are excluded; or a compound of formula Int-VII
Figure imgf000092_0001
wherein Yb Y2, Y3, A1, A2, A3, A4, R1, R2, R3 and R4 are as defined for the compound of formula I in any one of claims 1 to 12, or a salt of N-oxide thereof, wherein compounds with the following combinations of R1 and R2 are excluded R1 is H and R2 is CH3, R1 is H and R2 is CH2CH3, R1 is H and R2 is
CH2CH2CH3, R1 is H and R2 is CH2CF3.
14. An insecticidal, acaricidal, nematicidal or molluscicidal composition comprising an
insecticidally, acaricidally, nematicidally or molluscicidally effective amount of a compound of formula (I) as defined in any one of claims 1 to 12 and optionally at least one additional compound having biological activity.
15. A combination product comprising a pesticidally effective amount of a component A and a pesticidally effective amount of component B, wherein component A is a compound of formula (I) as defined in any one of claims 1 to 12, and component B is at least one compound selected from the group consisting of imidacloprid, enrofloxacin, praziquantel, pyrantel embonate, febantel, penethamate, moloxicam, cefalexin, kanamycin, pimobendan, clenbuterol, fipronil, ivermectin, omeprazole, tiamulin, benazepril, milbemycin, cyromazine, thiamethoxam, pyriprole, deltamethrin, cefquinome, florfenicol, buserelin, cefovecin, tulathromycin, ceftiour, selamectin, carprofen, metaflumizone, moxidectin, methoprene (including S-methoprene), clorsulon, pyrantel, amitraz, triclabendazole, avermectin, abamectin, emamectin, eprinomectin, doramectin, selamectin, nemadectin, albendazole, cambendazole, fenbendazole, flubendazole, mebendazole, oxfendazole, oxibendazole, parbendazole, tetramisole, levamisole, pyrantel pamoate, oxantel, morantel, triclabendazole, epsiprantel, fipronil, lufenuron, ecdysone and tebufenozide.
PCT/EP2013/0549692012-03-122013-03-12Insecticidal 2-aryl-acetamide compoundsWO2013135674A1 (en)

Applications Claiming Priority (2)

Application NumberPriority DateFiling DateTitle
EP12159015.22012-03-12
EP121590152012-03-12

Publications (1)

Publication NumberPublication Date
WO2013135674A1true WO2013135674A1 (en)2013-09-19

Family

ID=47844376

Family Applications (1)

Application NumberTitlePriority DateFiling Date
PCT/EP2013/054969WO2013135674A1 (en)2012-03-122013-03-12Insecticidal 2-aryl-acetamide compounds

Country Status (1)

CountryLink
WO (1)WO2013135674A1 (en)

Cited By (2)

* Cited by examiner, † Cited by third party
Publication numberPriority datePublication dateAssigneeTitle
WO2015169723A1 (en)*2014-05-092015-11-12Syngenta Participations AgInsecticidal compounds based on thiophene derivatives
US12304903B2 (en)2020-07-242025-05-20Elanco Us Inc.Process for making an isoxazoline compound and intermediate thereof

Citations (60)

* Cited by examiner, † Cited by third party
Publication numberPriority datePublication dateAssigneeTitle
FR960510A (en)1950-04-20
DE2845293A1 (en)*1978-10-181980-05-08Basf Ag ALPHA -AZOLYL- ALPHA -PHENYLESSIGAIC DERIVATIVES
US4639771A (en)1984-10-311987-01-27Kabushiki Kaisha ToshibaImage processing system
EP0357460A2 (en)1988-09-021990-03-07Sankyo Company Limited13-Substituted milbemycin derivatives, their preparation and use
EP0374753A2 (en)1988-12-191990-06-27American Cyanamid CompanyInsecticidal toxines, genes coding therefor, antibodies binding them, transgenic plant cells and plants expressing these toxines
EP0382173A2 (en)1989-02-071990-08-16Meiji Seika Kaisha Ltd.PF 1022 substance, method of producing same and anthelmintic composition containing same
US4977270A (en)*1988-12-011990-12-11Ici Americas Inc.Substituted 2,4-dioxodiazolidines and -thiadiazolidines and their use as herbicides
US5015630A (en)1989-01-191991-05-14Merck & Co., Inc.5-oxime avermectin derivatives
EP0427529A1 (en)1989-11-071991-05-15Pioneer Hi-Bred International, Inc.Larvicidal lectins and plant insect resistance based thereon
WO1991012265A1 (en)*1990-02-191991-08-22Rhone-Poulenc Rorer S.A.N-phenyl n-alkoxycarbonylalkyl glycinamides, preparation method and drugs containing them
EP0444964A1 (en)1990-03-011991-09-04Sankyo Company LimitedMilbemycin ether derivatives, their preparation and their anthelmintic uses
EP0451878A1 (en)1985-01-181991-10-16Plant Genetic Systems, N.V.Modifying plants by genetic engineering to combat or control insects
EP0503538A1 (en)1991-03-081992-09-16Meiji Seika Kaisha Ltd.Medicinal composition containing an anthelmintic cyclic depsipeptide
WO1993007278A1 (en)1991-10-041993-04-15Ciba-Geigy AgSynthetic dna sequence having enhanced insecticidal activity in maize
WO1993019053A1 (en)1992-03-171993-09-30Fujisawa Pharmaceutical Co., Ltd.Depsipeptide derivative, production thereof and use thereof
WO1993025543A2 (en)1992-06-111993-12-23Bayer AktiengesellschaftEnniatines and enniatine derivates used to control endoparasites
EP0594291A1 (en)1992-09-011994-04-27Sankyo Company LimitedNovel processes for the production of 13-ether derivatives of milbemycins, and novel intermediates therefor
WO1994015944A1 (en)1993-01-181994-07-21Pfizer LimitedNew antiparasitic agents related to the milbemycins and avermectins
WO1994019334A1 (en)1993-02-191994-09-01Meiji Seika Kaisha, Ltd.Pf1022 derivative, cyclic depsipeptide
EP0626375A1 (en)1993-05-261994-11-30Bayer AgOctacyclodepsipeptides having endoparasiticidal activity
WO1995019363A1 (en)1994-01-141995-07-20Pfizer Inc.Antiparasitic pyrrolobenzoxazine compounds
WO1995022552A1 (en)1994-02-161995-08-24Pfizer LimitedAntiparasitic agents
WO1995034656A1 (en)1994-06-101995-12-21Ciba-Geigy AgNovel bacillus thuringiensis genes coding toxins active against lepidopteran pests
US5478855A (en)1992-04-281995-12-26Yashima Chemical Industry Co., Ltd.2-(2,6-difluorophenyl)-4-(2-ethoxy-4-tert-butylphenyl)-2-oxazoline
WO1996011945A2 (en)1994-10-181996-04-25Bayer AktiengesellschaftCyclic depsipeptide sulfonylation, sulfenylation and phosphorylation process
WO1996015121A1 (en)1994-11-101996-05-23Bayer AktiengesellschaftUse of dioxomorpholines to combat endoparasites, novel dioxomorpholines and process for their production
DE19520936A1 (en)1995-06-081996-12-12Bayer Ag Ectoparasiticides means
US6358971B1 (en)*1998-05-202002-03-19Eli Lilly And CompanyAnti-viral compounds
US6406690B1 (en)1995-04-172002-06-18Minrav Industries Ltd.Bacillus firmus CNCM I-1582 or Bacillus cereus CNCM I-1562 for controlling nematodes
WO2003018810A2 (en)2001-08-312003-03-06Syngenta Participations AgModified cry3a toxins and nucleic acid sequences coding therefor
WO2003024222A1 (en)2001-09-212003-03-27E. I. Du Pont De Nemours And CompanyAnthranilamide arthropodicide treatment
WO2003052073A2 (en)2001-12-172003-06-26Syngenta Participations AgNovel corn event
WO2004072086A2 (en)2003-02-142004-08-26Pfizer LimitedAntiparasitic terpene alkaloids
WO2005085216A1 (en)2004-03-052005-09-15Nissan Chemical Industries, Ltd.Isoxazoline-substituted benzamide compound and noxious organism control agent
WO2006088920A1 (en)*2005-02-162006-08-24Schering CorporationAmine-linked pyridyl and phenyl substituted piperazine-piperidines with cxcr3 antagonist activity
WO2006113471A2 (en)*2005-04-192006-10-26Merck & Co., Inc.N-alkyl-azacycloalkyl nmda/nr2b antagonists
WO2006129714A1 (en)2005-06-012006-12-07Meiji Seika Kaisha, Ltd.Pest control agent
WO2007020986A1 (en)2005-08-122007-02-22Nihon Nohyaku Co., Ltd.Substituted pyrazolecarboxylic acid anilide derivative or salt thereof, intermediate thereof, agent for agricultural and horticultural use, and use thereof
WO2007053436A1 (en)*2005-10-312007-05-10Janssen Pharmaceutica N.V.Substituted piperazines and piperidines as modulators of the neuropeptide y2 receptor
DE102006015467A1 (en)2006-03-312007-10-04Bayer Cropscience AgNew cyclic enamine ketone derivatives useful for controlling pests, especially insects
WO2008078350A2 (en)*2006-12-272008-07-03F.I.S. Fabbrica Italiana Sintetici S.P.A.Process for the preparation of fluorophenylacetic acids and derivatives thereof
EP1997813A1 (en)*2006-03-102008-12-03Nissan Chemical Industries, Ltd.Substituted isoxazoline compound and pest control agent
WO2009080250A2 (en)2007-12-242009-07-02Syngenta Participations AgInsecticidal compounds
US20100022598A1 (en)*2006-10-202010-01-28David ChenSubstituted inmidazoles as bombesin receptor subtype-3 modulators
WO2010019899A1 (en)*2008-08-142010-02-18Takeda Pharmaceutical Company LimitedcMET INHIBITORS
EP2199287A1 (en)*2007-09-102010-06-23Nissan Chemical Industries, Ltd.Substituted isoxazoline compound and pest control agent
EP2246343A1 (en)*2008-02-292010-11-03Nissan Chemical Industries, Ltd.Process for production of thiophene compound and intermediate thereof
WO2011066384A1 (en)2009-11-242011-06-03Dow Agrosciences LlcAad-12 event 416, related transgenic soybean lines, and event-specific identification thereof
WO2011091187A1 (en)2010-01-202011-07-28Subject Company, Inc.Contact management and communication
WO2011092287A1 (en)*2010-02-012011-08-04Basf SeSubstituted ketonic isoxazoline compounds and derivatives for combating animal pests
WO2011147952A1 (en)2010-05-282011-12-01Basf SePesticidal mixtures
WO2011147953A1 (en)2010-05-282011-12-01Basf SePesticidal mixtures
US20120053174A1 (en)*2010-09-012012-03-01Hadd Michael JQuinazoline compounds and methods of use thereof
US20120053176A1 (en)*2010-09-012012-03-01Ambit Biosciences Corp.Adenosine a3 receptor modulating compounds and methods of use thereof
WO2012030944A2 (en)*2010-09-012012-03-08Ambit Biosciences CorporationQuinoline and isoquinoline compounds and methods of use thereof
WO2012082548A2 (en)2010-12-152012-06-21Syngenta Participations AgSoybean event syht0h2 and compositions and methods for detection thereof
WO2012097744A1 (en)*2011-01-202012-07-26Merck Sharp & Dohme Corp.Mineralocorticoid receptor antagonists
EP2502898A1 (en)*2009-11-182012-09-26Central Glass Company, LimitedPreparation method for aromatic difluoroacetic acid ester
US20120329802A1 (en)*2011-06-232012-12-27Viamet Pharmaceuticals, Inc.Metalloenzyme inhibitor compounds
WO2012177603A2 (en)*2011-06-192012-12-27Viamet Pharmaceuticals, Inc.Metalloenzyme inhibitor compounds

Patent Citations (62)

* Cited by examiner, † Cited by third party
Publication numberPriority datePublication dateAssigneeTitle
FR960510A (en)1950-04-20
DE2845293A1 (en)*1978-10-181980-05-08Basf Ag ALPHA -AZOLYL- ALPHA -PHENYLESSIGAIC DERIVATIVES
US4639771A (en)1984-10-311987-01-27Kabushiki Kaisha ToshibaImage processing system
EP0451878A1 (en)1985-01-181991-10-16Plant Genetic Systems, N.V.Modifying plants by genetic engineering to combat or control insects
EP0357460A2 (en)1988-09-021990-03-07Sankyo Company Limited13-Substituted milbemycin derivatives, their preparation and use
US4977270A (en)*1988-12-011990-12-11Ici Americas Inc.Substituted 2,4-dioxodiazolidines and -thiadiazolidines and their use as herbicides
EP0374753A2 (en)1988-12-191990-06-27American Cyanamid CompanyInsecticidal toxines, genes coding therefor, antibodies binding them, transgenic plant cells and plants expressing these toxines
US5015630A (en)1989-01-191991-05-14Merck & Co., Inc.5-oxime avermectin derivatives
EP0382173A2 (en)1989-02-071990-08-16Meiji Seika Kaisha Ltd.PF 1022 substance, method of producing same and anthelmintic composition containing same
EP0427529A1 (en)1989-11-071991-05-15Pioneer Hi-Bred International, Inc.Larvicidal lectins and plant insect resistance based thereon
WO1991012265A1 (en)*1990-02-191991-08-22Rhone-Poulenc Rorer S.A.N-phenyl n-alkoxycarbonylalkyl glycinamides, preparation method and drugs containing them
EP0444964A1 (en)1990-03-011991-09-04Sankyo Company LimitedMilbemycin ether derivatives, their preparation and their anthelmintic uses
EP0503538A1 (en)1991-03-081992-09-16Meiji Seika Kaisha Ltd.Medicinal composition containing an anthelmintic cyclic depsipeptide
WO1993007278A1 (en)1991-10-041993-04-15Ciba-Geigy AgSynthetic dna sequence having enhanced insecticidal activity in maize
WO1993019053A1 (en)1992-03-171993-09-30Fujisawa Pharmaceutical Co., Ltd.Depsipeptide derivative, production thereof and use thereof
US5478855A (en)1992-04-281995-12-26Yashima Chemical Industry Co., Ltd.2-(2,6-difluorophenyl)-4-(2-ethoxy-4-tert-butylphenyl)-2-oxazoline
WO1993025543A2 (en)1992-06-111993-12-23Bayer AktiengesellschaftEnniatines and enniatine derivates used to control endoparasites
EP0594291A1 (en)1992-09-011994-04-27Sankyo Company LimitedNovel processes for the production of 13-ether derivatives of milbemycins, and novel intermediates therefor
WO1994015944A1 (en)1993-01-181994-07-21Pfizer LimitedNew antiparasitic agents related to the milbemycins and avermectins
WO1994019334A1 (en)1993-02-191994-09-01Meiji Seika Kaisha, Ltd.Pf1022 derivative, cyclic depsipeptide
EP0626375A1 (en)1993-05-261994-11-30Bayer AgOctacyclodepsipeptides having endoparasiticidal activity
WO1995019363A1 (en)1994-01-141995-07-20Pfizer Inc.Antiparasitic pyrrolobenzoxazine compounds
WO1995022552A1 (en)1994-02-161995-08-24Pfizer LimitedAntiparasitic agents
WO1995034656A1 (en)1994-06-101995-12-21Ciba-Geigy AgNovel bacillus thuringiensis genes coding toxins active against lepidopteran pests
WO1996011945A2 (en)1994-10-181996-04-25Bayer AktiengesellschaftCyclic depsipeptide sulfonylation, sulfenylation and phosphorylation process
WO1996015121A1 (en)1994-11-101996-05-23Bayer AktiengesellschaftUse of dioxomorpholines to combat endoparasites, novel dioxomorpholines and process for their production
US6406690B1 (en)1995-04-172002-06-18Minrav Industries Ltd.Bacillus firmus CNCM I-1582 or Bacillus cereus CNCM I-1562 for controlling nematodes
DE19520936A1 (en)1995-06-081996-12-12Bayer Ag Ectoparasiticides means
US6358971B1 (en)*1998-05-202002-03-19Eli Lilly And CompanyAnti-viral compounds
WO2003018810A2 (en)2001-08-312003-03-06Syngenta Participations AgModified cry3a toxins and nucleic acid sequences coding therefor
US7030295B2 (en)2001-08-312006-04-18Syngenta Participations AgModified Cry3A toxins and nucleic acid sequences coding therefor
WO2003024222A1 (en)2001-09-212003-03-27E. I. Du Pont De Nemours And CompanyAnthranilamide arthropodicide treatment
WO2003052073A2 (en)2001-12-172003-06-26Syngenta Participations AgNovel corn event
WO2004072086A2 (en)2003-02-142004-08-26Pfizer LimitedAntiparasitic terpene alkaloids
WO2005085216A1 (en)2004-03-052005-09-15Nissan Chemical Industries, Ltd.Isoxazoline-substituted benzamide compound and noxious organism control agent
EP1731512A1 (en)2004-03-052006-12-13Nissan Chemical Industries, Ltd.Isoxazoline-substituted benzamide compound and noxious organism control agent
WO2006088920A1 (en)*2005-02-162006-08-24Schering CorporationAmine-linked pyridyl and phenyl substituted piperazine-piperidines with cxcr3 antagonist activity
WO2006113471A2 (en)*2005-04-192006-10-26Merck & Co., Inc.N-alkyl-azacycloalkyl nmda/nr2b antagonists
WO2006129714A1 (en)2005-06-012006-12-07Meiji Seika Kaisha, Ltd.Pest control agent
WO2007020986A1 (en)2005-08-122007-02-22Nihon Nohyaku Co., Ltd.Substituted pyrazolecarboxylic acid anilide derivative or salt thereof, intermediate thereof, agent for agricultural and horticultural use, and use thereof
WO2007053436A1 (en)*2005-10-312007-05-10Janssen Pharmaceutica N.V.Substituted piperazines and piperidines as modulators of the neuropeptide y2 receptor
EP1997813A1 (en)*2006-03-102008-12-03Nissan Chemical Industries, Ltd.Substituted isoxazoline compound and pest control agent
DE102006015467A1 (en)2006-03-312007-10-04Bayer Cropscience AgNew cyclic enamine ketone derivatives useful for controlling pests, especially insects
US20100022598A1 (en)*2006-10-202010-01-28David ChenSubstituted inmidazoles as bombesin receptor subtype-3 modulators
WO2008078350A2 (en)*2006-12-272008-07-03F.I.S. Fabbrica Italiana Sintetici S.P.A.Process for the preparation of fluorophenylacetic acids and derivatives thereof
EP2199287A1 (en)*2007-09-102010-06-23Nissan Chemical Industries, Ltd.Substituted isoxazoline compound and pest control agent
WO2009080250A2 (en)2007-12-242009-07-02Syngenta Participations AgInsecticidal compounds
EP2246343A1 (en)*2008-02-292010-11-03Nissan Chemical Industries, Ltd.Process for production of thiophene compound and intermediate thereof
WO2010019899A1 (en)*2008-08-142010-02-18Takeda Pharmaceutical Company LimitedcMET INHIBITORS
EP2502898A1 (en)*2009-11-182012-09-26Central Glass Company, LimitedPreparation method for aromatic difluoroacetic acid ester
WO2011066384A1 (en)2009-11-242011-06-03Dow Agrosciences LlcAad-12 event 416, related transgenic soybean lines, and event-specific identification thereof
WO2011091187A1 (en)2010-01-202011-07-28Subject Company, Inc.Contact management and communication
WO2011092287A1 (en)*2010-02-012011-08-04Basf SeSubstituted ketonic isoxazoline compounds and derivatives for combating animal pests
WO2011147952A1 (en)2010-05-282011-12-01Basf SePesticidal mixtures
WO2011147953A1 (en)2010-05-282011-12-01Basf SePesticidal mixtures
US20120053176A1 (en)*2010-09-012012-03-01Ambit Biosciences Corp.Adenosine a3 receptor modulating compounds and methods of use thereof
WO2012030944A2 (en)*2010-09-012012-03-08Ambit Biosciences CorporationQuinoline and isoquinoline compounds and methods of use thereof
US20120053174A1 (en)*2010-09-012012-03-01Hadd Michael JQuinazoline compounds and methods of use thereof
WO2012082548A2 (en)2010-12-152012-06-21Syngenta Participations AgSoybean event syht0h2 and compositions and methods for detection thereof
WO2012097744A1 (en)*2011-01-202012-07-26Merck Sharp & Dohme Corp.Mineralocorticoid receptor antagonists
WO2012177603A2 (en)*2011-06-192012-12-27Viamet Pharmaceuticals, Inc.Metalloenzyme inhibitor compounds
US20120329802A1 (en)*2011-06-232012-12-27Viamet Pharmaceuticals, Inc.Metalloenzyme inhibitor compounds

Non-Patent Citations (29)

* Cited by examiner, † Cited by third party
Title
"McCutcheon's Volume 2: Functional Materials, annual International and North American editions", vol. 2, MCCUTCHEON'S DIVISION
A. J. SPEZIALE ET AL: "Reactions of Phosphorus Compounds. XIII. Kinetics and Mechanism of the Reaction of Triphenylphosphine with [alpha],[alpha]-Dihaloamides", THE JOURNAL OF ORGANIC CHEMISTRY, vol. 31, no. 8, 1 August 1966 (1966-08-01), pages 2450 - 2454, XP055064441, ISSN: 0022-3263, DOI: 10.1021/jo01346a005*
CATERINA FATTORUSSO ET AL: "Specific Targeting Highly Conserved Residues in the HIV-1 Reverse Transcriptase Primer Grip Region. Design, Synthesis, and Biological Evaluation of Novel, Potent, and Broad Spectrum NNRTIs with Antiviral Activity", JOURNAL OF MEDICINAL CHEMISTRY, vol. 48, no. 23, 1 November 2005 (2005-11-01), pages 7153 - 7165, XP055064516, ISSN: 0022-2623, DOI: 10.1021/jm050257d*
CHEN GUO ET AL: "Palladium-Catalyzed Cross-Coupling of Ethyl [alpha]-Bromo-[alpha]-fluoroacetate with Arylboronic Acids: Facile Synthesis of [alpha]-Aryl-[alpha]-fluoroacetates", SYNTHESIS, vol. 2010, no. 11, 1 June 2010 (2010-06-01), pages 1837 - 1844, XP055064482, ISSN: 0039-7881, DOI: 10.1055/s-0029-1218740*
CHRISTOPHE SABOUREAU ET AL: "Electroreductive coupling of trifluoromethylarenes with electrophiles: synthetic applications", JOURNAL OF THE CHEMICAL SOCIETY, CHEMICAL COMMUNICATIONS, no. 16, 1 January 1989 (1989-01-01), pages 1138, XP055064519, ISSN: 0022-4936, DOI: 10.1039/c39890001138*
CLARK A J ET AL: "1,4-Aryl migration under copper(I) atom transfer conditions", TETRAHEDRON LETTERS, ELSEVIER, AMSTERDAM, NL, vol. 50, no. 40, 7 October 2009 (2009-10-07), pages 5609 - 5612, XP026496745, ISSN: 0040-4039, [retrieved on 20090722], DOI: 10.1016/J.TETLET.2009.07.089*
CRICKMORE ET AL., MICROBIOL. MOL. BIOL. REV., vol. 62, 1998, pages 807 - 813
D. S. KETTLE: "Medical and Veterinary Entomology", JOHN WILEY AND SONS
DATABASE REGISTRY accession no. 15972-17-7
DATABASE REGISTRY accession no. 6914-55-8
FOTSCH CHRISTOPHER ET AL: "Further Studies with the 2-Amino-1,3-thiazol-4(5H)-one Class of 11 beta-Hydroxysteroid Dehydrogenase Type 1 Inhibitors: Reducing Pregnane X Receptor Activity and Exploring Activity in a Monkey Pharmacodynamic Model", JOURNAL OF MEDICINAL CHEMISTRY, AMERICAN CHEMICAL SOCIETY, US, vol. 51, no. 24, 1 December 2008 (2008-12-01), pages 7953 - 7967, XP002582999, ISSN: 0022-2623, [retrieved on 20081119], DOI: 10.1021/JM801073Z*
GIUSEPPE FRACCHIOLLA ET AL: "Synthesis, biological evaluation and molecular investigation of fluorinated peroxisome proliferator-activated receptors / dual agonists", BIOORGANIC & MEDICINAL CHEMISTRY, PERGAMON, GB, vol. 20, no. 6, 16 January 2012 (2012-01-16), pages 2141 - 2151, XP028465326, ISSN: 0968-0896, [retrieved on 20120128], DOI: 10.1016/J.BMC.2012.01.025*
GRECO G ET AL: "A comparitive Field analysis model for 6-arylpyrrolo[2,1-d][1,5]benzothiazaepines binding selectively to the mitochondrial benzodiazepine receptor", JOURNAL OF MEDICINAL CHEMISTRY, AMERICAN CHEMICAL SOCIETY, US, vol. 37, no. 24, 1 January 1994 (1994-01-01), pages 4100 - 4108, XP002167537, ISSN: 0022-2623, DOI: 10.1021/JM00050A007*
H. L. HALLER ET AL: "The Chemical Composition of Technical DDT", JOURNAL OF THE AMERICAN CHEMICAL SOCIETY, vol. 67, no. 9, 19 September 1945 (1945-09-19), pages 1591 - 1602, XP055064526, ISSN: 0002-7863, DOI: 10.1021/ja01225a058*
HELMINTHS, E.; J. L. SOULSBY; F. A. DAVIS CO.; PHILADELPHIA, PA.: "Textbook of Veterinary Clinical Parasitology", vol. 1
HELMINTHS; ARTHROPODS; PROTOZOA: "Monnig's Veterinary Helminthology and Entomology", WILLIAMS AND WILKINS CO.
JAGUELIN S ET AL: "Opening of gem dicyano epoxides with amino hydrohalides: application to the synthesis of structural analogs of tetramisole and biological evaluation", EUROPEAN JOURNAL OF MEDICINAL CHEMISTRY, EDITIONS SCIENTIFIQUE ELSEVIER, PARIS, FR, vol. 26, no. 3, 1 April 1991 (1991-04-01), pages 313 - 321, XP023870239, ISSN: 0223-5234, [retrieved on 19910401], DOI: 10.1016/0223-5234(91)90064-T*
KENICHI FUJIKAWA ET AL: "A New Method for Aromatic Difluoromethylation: Copper-Catalyzed Cross-Coupling and Decarboxylation Sequence from Aryl Iodides", ORGANIC LETTERS, vol. 13, no. 20, 21 October 2011 (2011-10-21), pages 5560 - 5563, XP055064465, ISSN: 1523-7060, DOI: 10.1021/ol202289z*
LEE S M ET AL: "Selective electrolytic fluorinations in 70% HF/30% pyridine", JOURNAL OF FLUORINE CHEMISTRY, ELSEVIER, NL, vol. 77, no. 1, 1 March 1996 (1996-03-01), pages 65 - 70, XP004020420, ISSN: 0022-1139, DOI: 10.1016/0022-1139(95)03379-3*
MARIE-GABRIELLE LE PIRONNEC ET AL: "A General and Simple Synthesis of alpha-Halo Amides vie alpha,alpha-Dicyano Epoxides", SYNTHESIS, no. 2, 1 February 1997 (1997-02-01), pages 229 - 232, XP055064437*
N. ILAYARAJA ET AL: "The effect of substituents and operating conditions on the electrochemical fluorination of alkyl phenylacetates in Et3N.4HF medium", JOURNAL OF FLUORINE CHEMISTRY, vol. 129, no. 3, 1 March 2008 (2008-03-01), pages 185 - 192, XP055064514, ISSN: 0022-1139, DOI: 10.1016/j.jfluchem.2007.10.007*
N.S. KOZLOV: "SYNTHESIS AND SOME PROPERTIES OF 1,3- DIARYL- 2.2- DIBROMOAZIRIDINES", CHEMISTRY OF HETEROCYCLIC COMPOUNDS, vol. 10, 1 January 1974 (1974-01-01), pages 73 - 74, XP055064440*
P. LEGREL ET AL: "Synthese en une etape d'[alpha]-alcoxyhydrazides, de derives d'[alpha]-aminoacides et d'[alpha]-hydroxyacides a partir des [alpha]-halogenohydrazides. Etude du mecanisme de la reaction.", TETRAHEDRON, vol. 44, no. 15, 1 January 1988 (1988-01-01), pages 4805 - 4814, XP055064522, ISSN: 0040-4020, DOI: 10.1016/S0040-4020(01)86184-6*
R. O. DRUMMAND; J. E. GEORGE; S. E. KUNZ: "Control of Arthropod Pests of Livestock: A Review of Technology", CRC PRESS
ROBERT V. HOFFMAN ET AL: "Base-promoted reaction of O-sulfonylated hydroxamic acids with nucleophiles. A new method for the synthesis of .alpha.-substituted amides", THE JOURNAL OF ORGANIC CHEMISTRY, vol. 57, no. 21, 1 October 1992 (1992-10-01), pages 5700 - 5707, XP055064439, ISSN: 0022-3263, DOI: 10.1021/jo00047a024*
SHINGO NAKAMURA ET AL: "Enantioselective Protonation of Silyl Enol Ethers and Ketene Disilyl Acetals with Lewis Acid-Assisted Chiral Brønsted Acids: Reaction Scope and Mechanistic Insights", JOURNAL OF THE AMERICAN CHEMICAL SOCIETY, vol. 122, no. 34, 1 August 2000 (2000-08-01), pages 8120 - 8130, XP055064476, ISSN: 0002-7863, DOI: 10.1021/ja001164i*
STEVEN BLOOM ET AL: "Tricomponent Catalytic [alpha],[alpha]-Difluorination of Acid Chlorides", ORGANIC LETTERS, vol. 13, no. 19, 7 October 2011 (2011-10-07), pages 5068 - 5071, XP055064426, ISSN: 1523-7060, DOI: 10.1021/ol2019295*
TAKAHIRO SAWAMURA ET AL: "Use of Task-Specific Ionic Liquid for Selective Electrocatalytic Fluorination", ORGANIC LETTERS, vol. 12, no. 3, 5 February 2010 (2010-02-05), pages 644 - 646, XP055064533, ISSN: 1523-7060, DOI: 10.1021/ol9028836*
YAO Z-J ET AL: "Synthesis of Fmoc-Protected 4-Carboxydifluoromethyl-L-phenylalanine: A Phosphotyrosyl Mimetic of Potential Use for Signal Transduction Studies", TETRAHEDRON, ELSEVIER SCIENCE PUBLISHERS, AMSTERDAM, NL, vol. 55, no. 10, 5 March 1999 (1999-03-05), pages 2865 - 2874, XP004157124, ISSN: 0040-4020, DOI: 10.1016/S0040-4020(99)00076-9*

Cited By (2)

* Cited by examiner, † Cited by third party
Publication numberPriority datePublication dateAssigneeTitle
WO2015169723A1 (en)*2014-05-092015-11-12Syngenta Participations AgInsecticidal compounds based on thiophene derivatives
US12304903B2 (en)2020-07-242025-05-20Elanco Us Inc.Process for making an isoxazoline compound and intermediate thereof

Similar Documents

PublicationPublication DateTitle
US10869477B2 (en)Insecticidal compounds
US9078444B2 (en)Isothiazoline derivatives as insecticidal compounds
EP2748155B1 (en)Isoxazoline derivatives as insecticidal compounds
WO2013050302A1 (en)Isoxazoline derivatives as insecticidal compounds
US10517294B2 (en)Dihydrothiophene derivatives as insecticidal compounds
US9675073B2 (en)Insecticidal compounds based on N-arylsulfanylmethylcarboxamidearylthiosulfonamides derivatives
US9307766B2 (en)Isoxazoline derivatives as insecticidal compounds
WO2013026695A1 (en)Isoxazoline derivatives as insecticidal compounds
WO2014079935A1 (en)Insecticidal compounds based on arylthioacetamide derivatives
WO2013026929A1 (en)Dihydropyrrole derivatives as insecticidal compounds
US9686988B2 (en)Pesticidal compounds based on arylthiosulfonamide derivatives
WO2014001120A1 (en)Isothiazole derivatives as insecticidal compounds
WO2014001121A1 (en)Isothiazole derivatives as insecticidal compounds
US10287281B2 (en)Pyrazoline derivatives as insecticidal compounds
WO2013135674A1 (en)Insecticidal 2-aryl-acetamide compounds
WO2014172871A1 (en)Dihydrobenzofuran derivatives as insecticidal compounds

Legal Events

DateCodeTitleDescription
121Ep: the epo has been informed by wipo that ep was designated in this application

Ref document number:13708483

Country of ref document:EP

Kind code of ref document:A1

NENPNon-entry into the national phase

Ref country code:DE

122Ep: pct application non-entry in european phase

Ref document number:13708483

Country of ref document:EP

Kind code of ref document:A1


[8]ページ先頭

©2009-2025 Movatter.jp