Movatterモバイル変換


[0]ホーム

URL:


WO2013130849A1 - Substituted dioxopiperidinyl phthalimide derivatives - Google Patents

Substituted dioxopiperidinyl phthalimide derivatives
Download PDF

Info

Publication number
WO2013130849A1
WO2013130849A1PCT/US2013/028379US2013028379WWO2013130849A1WO 2013130849 A1WO2013130849 A1WO 2013130849A1US 2013028379 WUS2013028379 WUS 2013028379WWO 2013130849 A1WO2013130849 A1WO 2013130849A1
Authority
WO
WIPO (PCT)
Prior art keywords
compound
deuterium
formula
hydrogen
cio aryl
Prior art date
Application number
PCT/US2013/028379
Other languages
French (fr)
Inventor
Julie F. Liu
Roger D. Tung
Lyndon MARBLE
Yong Dong
Andrew Jones
Original Assignee
Concert Pharmaceuticals, Inc.
Priority date (The priority date is an assumption and is not a legal conclusion. Google has not performed a legal analysis and makes no representation as to the accuracy of the date listed.)
Filing date
Publication date
Application filed by Concert Pharmaceuticals, Inc.filedCriticalConcert Pharmaceuticals, Inc.
Publication of WO2013130849A1publicationCriticalpatent/WO2013130849A1/en

Links

Classifications

Definitions

Landscapes

Abstract

This invention relates to novel substituted dioxopiperidinyl phthalimide derivatives and pharmaceutically acceptable acid addition salts thereof. The invention also provides compositions comprising a compound of this invention and the use of such compositions in methods of treating diseases and conditions beneficially treated by an immunomodulatory agent.

Description

SUBSTITUTED DIOXOPIPERIDINYL PHTHALIMIDE DERIVATIVES
RELATED APPLICATIONS
This application claims the benefit of U.S. Provisional Application No.
61/604,736 , filed February 29, 2012, the entire teachings of which are incorporated herein by reference.
Background
[1] Many current medicines suffer from poor absorption, distribution, metabolism and/or excretion (ADME) properties that prevent their wider use. Poor AD ME properties are also a major reason for the failure of drug candidates in clinical trials. While formulation technologies and prodrug strategies can be employed in some cases to improve certain ADME properties, these approaches often fail to address the underlying ADME problems that exist for many drugs and drug candidates. One such problem is rapid metabolism that causes a number of drugs, which otherwise would be highly effective in treating a disease, to be cleared too rapidly from the body. A possible solution to rapid drug clearance is frequent or high dosing to attain a sufficiently high plasma level of drug. This, however, introduces a number of potential treatment problems such as poor patient compliance with the dosing regimen, side effects that become more acute with higher doses, and increased cost of treatment.
[2] In some select cases, a metabolic inhibitor will be co-administered with a drug that is cleared too rapidly. Such is the case with the protease inhibitor class of drugs that are used to treat HIV infection. The FDA recommends that these drugs be co-dosed with ritonavir, an inhibitor of cytochrome P450 enzyme 3A4 (CYP3A4), the enzyme typically responsible for their metabolism (see Kempf, D.J. et al., Antimicrobial agents and chemotherapy, 1997, 41(3): 654-60). Ritonavir, however, causes adverse effects and adds to the pill burden for HIV patients who must already take a combination of different drugs. Similarly, the CYP2D6 inhibitor quinidine has been added to dextromethorphan for the purpose of reducing rapid CYP2D6 metabolism of dextromethorphan in a treatment of pseudobulbar affect. Quinidine, however, has unwanted side effects that greatly limit its use in potential combination therapy (see Wang, L et al., Clinical Pharmacology and Therapeutics, 1994, 56(6 Pt 1): 659-67; and FDA label for quinidine at www.accessdata.fda.gov). [3] In general, combining drugs with cytochrome P450 inhibitors is not a satisfactory strategy for decreasing drug clearance. The inhibition of a CYP enzyme's activity can affect the metabolism and clearance of other drugs metabolized by that same enzyme. CYP inhibition can cause other drugs to accumulate in the body to toxic levels.
[4] A potentially attractive strategy for improving a drug's metabolic properties is deuterium modification. In this approach, one attempts to slow the CYP-mediated metabolism of a drug by replacing one or more hydrogen atoms with deuterium atoms. Deuterium is a safe, stable, non-radioactive isotope of hydrogen. Compared to hydrogen, deuterium forms stronger bonds with carbon. In select cases, the increased bond strength imparted by deuterium can positively impact the ADME properties of a drug, creating the potential for improved drug efficacy, safety, and/or tolerability. At the same time, because the size and shape of deuterium are essentially identical to those of hydrogen, replacement of hydrogen by deuterium would not be expected to affect the biochemical potency and selectivity of the drug as compared to the original chemical entity that contains only hydrogen.
[5] Over the past 35 years, the effects of deuterium substitution on the rate of metabolism have been reported for a very small percentage of approved drugs (see, e.g., Blake, MI et al, J Pharm Sci, 1975, 64:367-91 ; Foster, AB, Adv Drug Res 1985, 14: 1-40 ("Foster"); Kushner, DJ et al, Can J Physiol Pharmacol 1999, 79-88; Fisher, MB et al, Curr Opin Drug Discov Devel, 2006, 9: 101-09 ("Fisher")). The results have been variable and unpredictable. For some compounds deuteration caused decreased metabolic clearance in vivo. For others, there was no change in metabolism. Still others demonstrated decreased metabolic clearance. The variability in deuterium effects has also led experts to question or dismiss deuterium modification as a viable drug design strategy for inhibiting adverse metabolism (see Foster at p. 35 and Fisher at p. 101).
[6] The effects of deuterium modification on a drug's metabolic properties are not predictable even when deuterium atoms are incorporated at known sites of metabolism. Only by actually preparing and testing a deuterated drug can one determine if and how the rate of metabolism will differ from that of its non-deuterated counterpart. See, for example, Fukuto et al. (J. Med. Chem. 1991, 34, 2871-76). Many drugs have multiple sites where metabolism is possible. The site(s) where deuterium substitution is required and the extent of deuteration necessary to see an effect on metabolism, if any, will be different for each drug. [7] This invention relates to novel substituted dioxopiperidinyl phthalimide derivatives and pharmaceutically acceptable salts thereof. The invention also provides compositions comprising a compound of this invention and the use of such compositions in methods of treating diseases and conditions beneficially treated by an
immunomodulatory agent.
[8] Pomalidomide, chemically known as 4-amino-2-(2,6-dioxopiperidin-3-yl)-l,2- dihydroisoindole-l,3-dione and its pharmaceutically acceptable salts thereof are disclosed as immunomodulatory agents. Pomalidomide has been shown to suppress the production of tumor necrosis factor alpha (TNF-a). Pomalidomide has demonstrated usefulness in the treatment of primary myelofibrosis (J Clin Oncol 2009, 27(27): 4563, Thomson Reuters Drug News (formerly DailyDrugNews.com) August 10, 2010) as well as in the treatment of relapsed or refractory multiple myeloma when used alone or in combination with dexamethasone (J Clin Oncol 2009, 27(30): 5008, 50th Annu Meet Am Soc Hematol (December 6-9, San Francisco) 2008).
[9] Pomalidomide is also in clinical trials, alone or in combination with other therapeutic agents, for the treatment of multiple myeloma, Waldenstrom's
macroglobulinemia, small cell lung cancer, graft-versus host disease, chronic cough in patients with idiopathic pulmonary fibrosis, pancreatic cancer and soft tissue sarcoma.
[10] Pomalidomide is associated with significant potential toxicities, which include human birth defects; neutropenia; moderate to severe bone marrow suppression in patients with myelofibrosis; and dyspnea.
[11] Despite the beneficial activities of pomalidomide, there is a continuing need for new compounds to treat the aforementioned diseases and conditions.
Definitions
[12] The term "treat" means decrease, suppress, attenuate, diminish, arrest, or stabilize the development or progression of a disease (e.g., a disease or disorder delineated herein), lessen the severity of the disease or improve the symptoms associated with the disease.
[13] "Disease" is meant any condition or disorder that damage or interferes with the normal function of a cell, tissue, or organ.
[14] It will be recognized that some variation of natural isotopic abundance occurs in a synthesized compound depending upon the origin of chemical materials used in the synthesis. Thus, a preparation of pomalidomide will inherently contain small amounts of deuterated isotopologues. The concentration of naturally abundant stable hydrogen isotopes, notwithstanding this variation, is small and immaterial with respect to the degree of stable isotopic substitution of compounds of this invention. See for instance Wada, E and Hanba, Y, Seikagaku, 1994, 66: 15; Cannes, LZ et al, Comp Biochem Physiol A Mol Integr Physiol, 1998, 119: 725.
[15] In the compounds of this invention any atom not specifically designated as a particular isotope is meant to represent any stable isotope of that atom. Unless otherwise stated, when a position is designated specifically as "H" or "hydrogen", the position is understood to have hydrogen at its natural abundance isotopic composition. Also unless otherwise stated, when a position is designated specifically as "D" or "deuterium", the position is understood to have deuterium at an abundance that is at least 3000 times greater than the natural abundance of deuterium, which is 0.015% (i.e., at least 45% incorporation of deuterium).
[16] The term "isotopic enrichment factor" as used herein means the ratio between the isotopic abundance and the natural abundance of a specified isotope.
[17] In other embodiments, a compound of this invention has an isotopic enrichment factor for each designated deuterium atom of at least 3500 (52.5% deuterium
incorporation at each designated deuterium atom), at least 4000 (60% deuterium incorporation), at least 4500 (67.5% deuterium incorporation), at least 5000 (75% deuterium), at least 5500 (82.5% deuterium incorporation), at least 6000 (90% deuterium incorporation), at least 6333.3 (95% deuterium incorporation), at least 6466.7 (97% deuterium incorporation), at least 6600 (99% deuterium incorporation), or at least 6633.3 (99.5% deuterium incorporation).
[18] The term "isotopologue" refers to a species in which the chemical structure differs from a specific compound of this invention only in the isotopic composition thereof.
[19] The term "compound," when referring to a compound of this invention, refers to a collection of molecules having an identical chemical structure, except that there may be isotopic variation among the constituent atoms of the molecules. Thus, it will be clear to those of skill in the art that a compound represented by a particular chemical structure containing indicated deuterium atoms, will also contain lesser amounts of isotopologues having hydrogen atoms at one or more of the designated deuterium positions in that structure. The relative amount of such isotopologues in a compound of this invention will depend upon a number of factors including the isotopic purity of deuterated reagents used to make the compound and the efficiency of incorporation of deuterium in the various synthesis steps used to prepare the compound. However, as set forth above the relative amount of such isotopologues in toto will be less than 49.9% of the compound. In other embodiments, the relative amount of such isotopologues in toto will be less than 47.5%, less than 40%, less than 32.5%, less than 25%, less than 17.5%, less than 10%, less than 5%, less than 3%, less than 1%, or less than 0.5% of the compound.
[20] The invention also provides salts of the compounds of the invention.
[21] A salt of a compound of this invention is formed between an acid and a basic group of the compound, such as an amino functional group, or a base and an acidic group of the compound, such as a carboxyl functional group. According to another preferred embodiment, the compound is a pharmaceutically acceptable acid addition salt.
[22] The term "pharmaceutically acceptable," as used herein, refers to a component that is, within the scope of sound medical judgment, suitable for use in contact with the tissues of humans and other mammals without undue toxicity, irritation, allergic response and the like, and are commensurate with a reasonable benefit/risk ratio. A "pharmaceutically acceptable salt" means any non-toxic salt that, upon administration to a recipient, is capable of providing, either directly or indirectly, a compound of this invention. A "pharmaceutically acceptable counterion" is an ionic portion of a salt that is not toxic when released from the salt upon administration to a recipient.
[23] Acids commonly employed to form pharmaceutically acceptable salts include inorganic acids such as hydrogen bisulfide, hydrochloric, hydrobromic, hydroiodic, sulfuric and phosphoric acid, as well as organic acids such as para-toluenesulfonic, salicylic, tartaric, bitartaric, ascorbic, maleic, besylic, fumaric, gluconic, glucuronic, formic, glutamic, methanesulfonic, ethanesulfonic, benzenesulfonic, lactic, oxalic, para- bromophenylsulfonic, carbonic, succinic, citric, benzoic and acetic acid, and related inorganic and organic acids. Such pharmaceutically acceptable salts thus include sulfate, pyrosulfate, bisulfate, sulfite, bisulfite, phosphate, monohydrogenphosphate, dihydrogenphosphate, metaphosphate, pyrophosphate, chloride, bromide, iodide, acetate, propionate, decanoate, caprylate, acrylate, formate, isobutyrate, caprate, heptanoate, propiolate, oxalate, malonate, succinate, suberate, sebacate, fumarate, maleate, butyne- 1,4-dioate, hexyne-l,6-dioate, benzoate, chlorobenzoate, methylbenzoate,
dinitrobenzoate, hydroxybenzoate, methoxybenzoate, phthalate, terephthalate, sulfonate, xylenesulfonate, phenylacetate, phenylpropionate, phenylbutyrate, citrate, lactate, β- hydroxybutyrate, glycolate, maleate, tartrate, methanesulfonate, propanesulfonate, naphthalene- 1 -sulfonate, naphthalene-2-sulfonate, mandelate and the like salts.
Preferred pharmaceutically acceptable acid addition salts include those formed with mineral acids such as hydrochloric acid and hydrobromic acid, and especially those formed with organic acids such as maleic acid.
[24] The compounds of the present invention contain one or more asymmetric carbon atoms. As such, a compound of this invention can exist as the individual enantiomers as well a mixture of enantiomers. Accordingly, a compound of the present invention will include not only a racemic mixture, but also individual respective enantiomers substantially free of other enantiomers. The term "substantially free of other
enantiomers" as used herein means less than 25% of other enantiomers, preferably less than 10% of other enantiomers, more preferably less than 5% of other enantiomers and most preferably less than 2% of other enantiomers are present. Methods of obtaining or synthesizing enantiomers are well known in the art and may be applied as practicable to final compounds or to starting material or intermediates.
[25] Unless otherwise indicated when a disclosed compound is named or depicted by a structure without specifying the stereochemistry and has one or more chiral centers, it is understood to represent all possible stereoisomers of the compound.
[26] The term "stable compounds", as used herein, refers to compounds which possess stability sufficient to allow manufacture and which maintain the integrity of the compound for a sufficient period of time to be useful for the purposes detailed herein (e.g., formulation into therapeutic products, intermediates for use in production of therapeutic compounds, isolatable or storable intermediate compounds, treating a disease or condition responsive to therapeutic agents).
[27] "D" refers to deuterium. "Stereoisomer" refers to both enantiomers and diastereomers. "Tert and "t-" each refer to tertiary. "US" refers to the United States of America.
[28] Throughout this specification, the terms "each Z," and "each W" mean, all "Z" groups (e.g., Z1, Z2, Z3, Z4 and Z5), and all "W" groups (e.g., W1, W2 and W3), respectively.
Therapeutic Compounds
[29] According to one embodiment, the present invention provides a compound of Formula I:
Figure imgf000008_0001
or a pharmaceutically acceptable salt thereof, wherein:
each W is independently selected from hydrogen and deuterium;
each Z is independently selected from hydrogen and deuterium; and
at least one W or one Z is deuterium.
[30] In one embodiment, Z5 is deuterium. In one aspect of this embodiment, Z3 and Z4 are each hydrogen. In another aspect of this embodiment, Z3 and Z4 are each deuterium. In one aspect of this embodiment, Z1 and Z2 are each hydrogen. In one aspect of this embodiment, Z1 and Z2 are each deuterium.
[31] In one aspect of the embodiment wherein Z5 is deuterium, Z3 and Z4 are each deuterium; Z1 and Z2 are each hydrogen; and W1, W2 and W3 are each hydrogen or each deuterium.
[32] In one aspect of the embodiment wherein Z5 is deuterium, Z3 and Z4 are each deuterium; Z1 and Z2 are each deuterium; and W1, W2 and W3 are each hydrogen or each deuterium.
[33] In one aspect of the embodiment wherein Z5 is deuterium, Z1, Z2, Z3 and Z4 are each hydrogen; and W1, W2 and W3 are each hydrogen or each deuterium.
[34] In one embodiment, W1, W2 and W3 are the same. In one aspect of this embodiment W1, W2 and W3 are simultaneously deuterium. In another aspect of this embodiment W1, W2 and W3 are simultaneously hydrogen.
[35] In another embodiment, each Z attached to a common carbon atom (that is, either Z1 and Z2 or Z3 and Z4) is the same. In one aspect of this embodiment, each member of at least one pair of Z attached to a common carbon atom is deuterium. In another aspect of this embodiment, Z1, Z2, Z3 and Z4 are simultaneously deuterium. In another aspect of this embodiment, Z1, Z2, Z3, Z4 and Z5 are simultaneously deuterium. In still another aspect, Z1, Z2, Z3, Z4 and Z5 are simultaneously deuterium and W1, W2 and W3 are simultaneously hydrogen.
[36] In another set of embodiments, any atom not designated as deuterium in any of the embodiments set forth above is present at its natural isotopic abundance.
[37] In another embodiment, the compound is selected from any one of the com ounds set forth below:
Compound 100,
Compound 101,
Compound 102,
Compound 103,
Figure imgf000009_0001
Compound 104, Compound 105,
Compound 106,
Compound 107,
Compound 108,
Compound 109,
Figure imgf000010_0001
Compound 110,
and a pharmaceutically acceptable salt thereof, wherein any atom not designated as deuterium is present at its natural isotopic abundance.
[38] In one embodiment, the invention provides a compound of Formula I which is a compound of Formula la or lb:
Figure imgf000011_0001
wherein W and Z are as defined above.
[39] In one aspect of this embodiment, Z3 and Z4 are each hydrogen. In another aspect of this embodiment, Z3 and Z4 are each deuterium. In one aspect of this embodiment, Z1 and Z2 are each hydrogen. In one aspect of this embodiment, Z1 and Z2 are each deuterium.
[40] In one aspect of this embodiment, Z3 and Z4 are each deuterium; Z1 and Z2 are each hydrogen; and W1, W2 and W3 are each hydrogen or each deuterium.
[41] In one aspect of this embodiment, Z3 and Z4 are each deuterium; Z1 and Z2 are each deuterium; and W1, W2 and W3 are each hydrogen or each deuterium.
[42] In one aspect of this embodiment, Z1, Z2, Z3 and Z4 are each hydrogen; and W1,
W2 and W3 are each hydrogen or each deuterium.
[43] In one aspect of this embodiment, W1, W2 and W3 are the same. In one aspect of this embodiment W1, W2 and W3 are simultaneously deuterium. In another aspect of this embodiment W1, W2 and W3 are simultaneously hydrogen.
[44] In another aspect of this embodiment, each Z attached to a common carbon atom (that is, either Z1 and Z2 or Z3 and Z4) is the same. In one aspect of this embodiment, each member of at least one pair of Z attached to a common carbon atom is deuterium. In one more particular aspect of this embodiment, Z1, Z2, Z3, and Z4 are simultaneously deuterium and W1, W2 and W3 are simultaneously hydrogen.
[45] Compounds of Formula la and lb may be obtained from compounds of formula I, for example, by chiral HPLC separation.
[46] The rate of epimerization for a compound of Formula la or lb, as compared to the corresponding enantiomer of pomalidomide, can be readily measured using techniques well known to the skilled artisan. For example, pure samples of compounds of Formula la and lb as well as pure samples of each enantiomer of pomalidomide can be isolated and analyzed using chiral HPLC. These pure samples can be dissolved to an appropriate concentration in an appropriate physiological buffer or bodily fluid or simulant thereof and monitored over time (for example, approximately every 5 minutes) using chiral HPLC, to assess the rate of epimerization.
[47] In a further embodiment, the compound is selected from any one of the compounds set forth below:
Compound 100a,
Compound 100b,
Compound 101a,
Figure imgf000012_0001
Compound 101b,
Figure imgf000012_0002
Compound 102a, Compound 102b,
Compound 103a,
Compound 103b,
Compound 104a,
Figure imgf000013_0001
Compound 104b,
Figure imgf000013_0002
Compound 105a, HoN0 D Compound 105b,
Compound 106a,
Compound 106b,
Compound 107a,
Figure imgf000014_0001
Compound 107b,
Figure imgf000014_0002
Compound 108a, H2N O D
Compound 108b,
Compound 109a,
Compound 109b,
Compound 110a,
Figure imgf000015_0001
Compound 110b, and a pharmaceutically acceptable salt thereof, wherein any atom not designated as deuterium is present at its natural isotopic abundance.
[48] In one embodiment of Compound 101a or 101b, or a pharmaceutically acceptable salt thereof, the isotopic enrichment factor for the deuterium atom bonded to the carbon indicated with "Ca" in the figure below (shown for 101a) is at least 5500 (82.5% deuterium incorporation), at least 6000 (90% deuterium incorporation), or at least 6333.3 (95% deuterium incorporation); the isotopic enrichment factor for the deuterium atoms bonded to the carbon indicated with "Cb" in the figure below is at least 5500 (82.5% deuterium incorporation), at least 6000 (90% deuterium incorporation), or at least 6333.3 (95% deuterium incorporation);
and the isotopic enrichment factor for the deuterium atom bonded to the carbon indicated with "Cc" in the figure below is at least 5500 (82.5% deuterium incorporation), at least 6000 (90% deuterium incorporation), or at least 6333.3 (95% deuterium incorporation):
Figure imgf000016_0001
Compound 101a,
wherein any atom not designated as deuterium is present at its natural isotopic abundance.
[49] In one embodiment of Compound 106a or 106b, or a pharmaceutically acceptable salt thereof, the isotopic enrichment factor for the deuterium atom bonded to the carbon indicated with "Ca" in the figure below (shown for 106a) is at least 5500 (82.5% deuterium incorporation), at least 6000 (90% deuterium incorporation), or at least 6333.3 (95% deuterium incorporation);
and the isotopic enrichment factor for the deuterium atoms bonded to the carbon indicated with "Cb" in the figure below is at least 5500 (82.5% deuterium incorporation), at least 6000 (90% deuterium incorporation), or at least 6333.3 (95% deuterium incorporation):
Figure imgf000016_0002
Compound 106a,
wherein any atom not designated as deuterium is present at its natural isotopic abundance. [50] In one embodiment of Compound 105a or 105b, or a pharmaceutically acceptable salt thereof, the isotopic enrichment factor for the deuterium atom bonded to the carbon indicated with "Ca" in the figure below (shown for 105a) is at least 5500 (82.5% deuterium incorporation), at least 6000 (90% deuterium incorporation), or at least 6333.3 (95% deuterium incorporation);
the isotopic enrichment factor for the deuterium atoms bonded to the carbon indicated with "Ct," in the figure below is at least 5500 (82.5% deuterium incorporation), at least 6000 (90% deuterium incorporation), or at least 6333.3 (95% deuterium incorporation);
and the isotopic enrichment factor for the deuterium atom bonded to each carbon indicated with "Ce" in the figure below is at least 5500 (82.5% deuterium incorporation), at least 6000 (90% deuterium incorporation), or at least 6333.3 (95% deuterium incor oration);
Figure imgf000017_0001
Compound 105a,
wherein any atom not designated as deuterium is present at its natural isotopic abundance.
[51] In one embodiment of Compound 110a or 110b or a pharmaceutically acceptable salt thereof, the isotopic enrichment factor for the deuterium atom bonded to the carbon indicated with "Ca" in the figure below (shown for 110a) is at least 5500 (82.5% deuterium incorporation), at least 6000 (90% deuterium incorporation), or at least 6333.3 (95% deuterium incorporation):
Figure imgf000017_0002
Compound 110a wherein any atom not designated as deuterium is present at its natural isotopic abundance.
[52] In one embodiment the invention is directed at a compound of the formula II
Figure imgf000018_0001
wherein Y3 is hydrogen or deuterium, Y5 is hydrogen or deuterium, and P1 is a protecting group. In one embodiment, Y3 is hydrogen. In one embodiment, Y3 is deuterium. In one embodiment, Y5 is hydrogen. In one embodiment, Y5 is deuterium. In one embodiment, P1 is a group of the formula -C(0)-Q-R2, wherein Q is O or NH, and R2 is (a) Ci-C6 alkyl optionally substituted with C6-Cio aryl; (b) C3-C8 cycloalkyl; or (c) C6-Cio aryl. In one more particular embodiment, P1 is benzyloxycarbonyl.
[53] In one embodiment the invention is directed at a compound of the formula lie
Figure imgf000018_0002
or a salt thereof, wherein Y3 is hydrogen, Y5 is hydrogen, and P1 is a protecting group. In one embodiment, P1 is a group of the formula -C(0)-Q-R2, wherein Q is O or NH, and R2 is (a) Ci-C6 alkyl optionally substituted with C6-Cio aryl; (b) C3-C8 cycloalkyl; or (c) C6-Cio aryl. In one more particular embodiment, P1 is benzyloxycarbonyl.
Alternatively, the variables in formula (lie) are as described in formula (II).
[54] In one embodiment the invention is directed at a compound of the Formula III
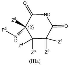
Figure imgf000018_0003
wherein Z]-Z5 are as defined as for Formula I, Y4 is hydrogen or deuterium and P2 is a protecting group. In one embodiment, Y4 is hydrogen. In one embodiment, Y4 is deuterium. In one embodiment, Z5 is deuterium. In one aspect of this embodiment, Z3 and Z4 are each hydrogen. In another aspect of this embodiment, Z3 and Z4 are each deuterium. In one aspect of this embodiment, Z1 and Z2 are each hydrogen. In one aspect of this embodiment, Z1 and Z2 are each deuterium. In one more particular aspect, each Z is deuterium.
[55] In one aspect of the embodiment wherein Z5 is deuterium, Z3 and Z4 are each deuterium; and Z1 and Z2 are each hydrogen.
[56] In one aspect of the embodiment wherein Z5 is deuterium, Z3 and Z4 are each deuterium; and Z1 and Z2 are each deuterium.
[57] In one aspect of any of the foregoing embodiments or aspects, P2 is a group of the formula -C(0)-Q-R2, wherein Q is O or NH, and R2 is (a) d-C6 alkyl optionally substituted with d-Cio aryl; (b) C3-C8 cycloalkyl; or (c) d-Cio aryl. In one more particular aspect, P2 is benzyloxycarbonyl.
[58] In one embodiment the invention is directed at a compound of the Formula IIIc
Figure imgf000019_0001
wherein Z]-Z5 are defined as for Formula I, Y4 is hydrogen and P2 is a protecting group. In one embodiment, Z5 is deuterium. In one aspect of this embodiment, Z3 and Z4 are each hydrogen. In another aspect of this embodiment, Z3 and Z4 are each deuterium. In one aspect of this embodiment, Z1 and Z2 are each hydrogen. In one aspect of this embodiment, Z1 and Z2 are each deuterium. In one more particular aspect, each Z is deuterium.
[59] In one aspect of the embodiment wherein Z5 is deuterium, Z3 and Z4 are each deuterium; and Z1 and Z2 are each hydrogen.
[60] In one aspect of the embodiment wherein Z5 is deuterium, Z3 and Z4 are each deuterium; and Z1 and Z2 are each deuterium.
[61] In one aspect of any of the foregoing embodiments or aspects, P2 is a group of the formula -C(0)-Q-R2, wherein Q is O or NH, and R2 is (a) C C6 alkyl optionally substituted with d-Cio aryl; (b) C3-C8 cycloalkyl; or (c) d-Cio aryl. In one more particular aspect, P2 is benzyloxycarbonyl. [62] In one embodiment, the invention is directed to a compound of formula IV
Figure imgf000020_0001
IV
wherein R12 is Ci-C6 alkyl and P2 is a group of the formula -C(0)-Q-R2, wherein Q is O or NH, and R2 is (a) Ci-C6 alkyl optionally substituted with C6-Cio aryl; (b) C3-C8 cycloalkyl; or (c) C6-Cio aryl. In one aspect, P2 is benzyloxycarbonyl. In one aspect R12 is CH3.
[63] In one embodiment, the invention is directed to a compound of formula IVc
Figure imgf000020_0002
or a salt thereof, wherein R12 is Ci-C6 alkyl and P2 is a group of the formula -C(0)-Q- R2, wherein Q is O or NH, and R2 is (a) Ci-C6 alkyl optionally substituted with C6-Cio aryl; (b) C3-C8 cycloalkyl; or (c) C6-Cio aryl. In one aspect, P2 is benzyloxycarbonyl. In one aspect R12 is CH3.
[64] In one embodiment, the invention is directed to a process to prepare a compound of formula 12b
Figure imgf000021_0001
Figure imgf000021_0002
Figure imgf000021_0003
In the above scheme, the cyclization agent may be, for example, carbonyldiimidazole (GDI), l-ethyl-3-(3-dimethylaminopropyl)carbodiimide (EDC) or
N,N'-dicyclohexylcarbodiimide (DCC).
[65] In one embodiment, the invention is directed to a process to prepare a compound of formula 12c
Figure imgf000022_0001
Figure imgf000022_0002
In the above scheme, the cyclization agent may be, for example, CDI, EDC, or DCC.
[66] In one embodiment, the invention is directed to a process comprising treating a compound of formula 20
Figure imgf000022_0003
silyl halide and a compound of formula R OD to provide a compound of formula
Figure imgf000023_0001
or with a silyl halide and a compound of formula R OH to provide a compound of
Figure imgf000023_0002
21"c or salt thereof, wherein R is Ci-C6 alkyl, preferably methyl. The silyl halide may be a compound of formula (R^Si-Hal, wherein R11 is Ci-C6 alkyl and Hal is fluoro, chloro, bromo or iodo. In one aspect of this embodiment, the silyl halide is trimethylsilyl chloride.
[67] In one embodiment, the invention is directed to a process comprising treating a compound of formula IV
Figure imgf000023_0003
with ND3 to provide a compound of formula 22:
Figure imgf000023_0004
22
or with NH3 to provide a compound of formula 22E:
Figure imgf000024_0001
. The variables in formulas IV, 22 and 22E are as described in formula IVc.
[68] Another embodiment of the invention is a process for preparing a compound (Ilia) represented by the following structural formula:
Figure imgf000024_0002
(Ilia).
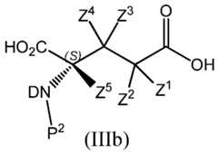
The method comprises the step of cyclizing compound (Illb) represented by the following structural formula:
Figure imgf000024_0003
wherein preferred values for each Z are as described above for Formula III; and P is an amine protecting group, preferably -C(0)-Q-R2; Q is O or NH; and R2 is (a) Ci-C6 alkyl optionally substituted with C6-Cio aryl; (b) C3-C8 cycloalkyl; or (c) C6-Cio aryl; and even more preferably benzyloxycarbonyl.
[69] The cyclization is preferably carried with a carboxylic acid activating agent, which is a reagent that converts the OH group of a carboxylic acid into a good leaving group. Examples include carbodimide reagents (e.g., l-ethyl-3-(3- dimethylaminopropyl)carbodiimide and NN'-dicyclohexylcarbodiimide), reagents that convert a carboxylic acid into an acid halide (e.g., thionyl chloride) and carbonyl diimidazole. Preferred carboxylic acid activating agents include carbonyl diimidazole, 1- ethyl-3-(3-dimethylaminopropyl)carbodiimide and N.N'-dicyclohexylcarbodiimide. [70] Another embodiment of the invention is a process for preparing a compound (Hie) represented by the following structural formula:
Figure imgf000025_0001
(me).
The method comprises the step of cyclizing compound (Illf) represented by the following structural formula:
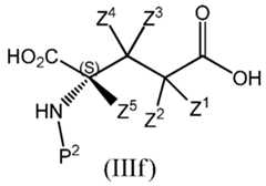
Figure imgf000025_0002
wherein preferred values for each Z is as described above for Formula III; and P is an amine protecting group, preferably -C(0)-Q-R2; Q is O or NH; and R2 is (a) Ci-C6 alkyl optionally substituted with C6-Cio aryl; (b) C3-C8 cycloalkyl; or (c) C6-Cio aryl; and even more preferably benzyloxycarbonyl.
[71] The cyclization is preferably carried with a carboxylic acid activating agent, which is a reagent that converts the OH group of a carboxylic acid into a good leaving group. Examples include carbodimide reagents (e.g., l-ethyl-3-(3- dimethylaminopropyl)carbodiimide and NN'-dicyclohexylcarbodiimide), reagents that convert a carboxylic acid into an acid halide (e.g., thionyl chloride) and carbonyl diimidazole. Preferred carboxylic acid activating agents include carbonyl diimidazole, 1- ethyl-3-(3-dimethylaminopropyl)carbodiimide and N.N'-dicyclohexylcarbodiimide.
[72] In another set of embodiments, any atom not designated as deuterium in any of the foregoing embodiments or aspects or examples is present at its natural isotopic abundance.
[73] The synthesis of compounds disclosed herein can be readily achieved by synthetic chemists of ordinary skill by reference to the Exemplary Synthesis and Examples disclosed herein. Relevant procedures and intermediates are disclosed, for instance, in US Patent No. 5,635,517 and US Patent Application 2004147558, in addition to Muller, GW et al., Bioorg Med Chem Lett, 1999, June 7, 9(11): 1625-1630.
[74] Such methods can be carried out utilizing corresponding deuterated and optionally, other isotope-containing reagents and/or intermediates to synthesize the compounds delineated herein, or invoking standard synthetic protocols known in the art for introducing isotopic atoms to a chemical structure.
Exemplary Synthesis
[75] A convenient method for synthesizing compounds of Formula I is depicted in Schemes 1 and 2.
[76] Scheme 1. Synthesis of an Appropriately Deuterated 3-Aminopiperidine-2,6- dione (13 .
Figure imgf000026_0001
Figure imgf000026_0002
[77] As shown in Scheme 1, reaction of an appropriately deuterated D,L-glutamine 10 (see below) with Cbz-chloride or with compound 30 yields the carbamate 11, which is then cyclized with Ι,Γ-carbonyldiimidazole (CDI) to yield 12. The carbamate protecting group is then removed from 12 by hydrogenolysis to provide the
appropriately deuterated 3-aminopiperidine-2,6-dione 13. This amine is then used as shown in Scheme 2 to produce a compound of Formula I.
[78] Appropriately deuterated D,L-glutamine 10 for use in Scheme 1 above may be prepared, for example, from the corresponding commercially available deuterated glutamic acids (D,L)-2,3,3,4,4-ds-glutamic acid, (D,L)-2,4,4-d3-glutamic acid, or (D,L)- 3,3-d2-glutamic acid by methods analogous to those employed by Ogrel, A. et al., Russian Journal of Organic Chemistry, 2001, 37(4): 475-479 79] Scheme 2. Synthesis of a Compound of Formula I.
Figure imgf000027_0001
14 13
Figure imgf000027_0002
15 Formula I
[80] Scheme 2 depicts the preparation of appropriately deuterated compounds of Formula I. Condensation of appropriately deuterated 3-nitrophthalic anhydride 14
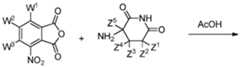
(commercially available for W1, W2 and W3 = H (14a), see Scheme 4 below for W1, W2 and W3 = D (14b)) with appropriately deuterated aminoglutarimide 13 in acetic acid affords the intermediate, 15. Reduction of 15 via catalytic hydrogenation or in the presence of tin and HC1 yields the desired compounds of Formula I.
[81] If desired, the R and S enantiomers of a compound of Formula I can then be separated by chiral HPLC in a manner similar to that known for related compounds in the IMiD class of drugs. Examples of this type of chiral HPLC enantiomer separation are found in Sembongi, K. et al., Biological & Pharmaceutical Bulletin, 2008, 31(3): 497-500; Murphy-Poulton, S.F. et al., Journal of Chromatography, B: Analytical Technologies in the Biomedical and Life Sciences, 2006, 831(1-2): 48-56; Eriksson, T. et al., Journal of Pharmacy and Pharmacology, 2000, 52(7): 807-817; Eriksson, T. et al., Chirality, 1998, 10(3): 223-228; Reepmeyer, J.C. et al., Chirality, 1996, 8(1): 11- 17; Aboul-Enein, H.Y. et al., Journal of Liquid Chromatography, 1991, 14(4): 667-73; and Teo, S.K. et al., Chirality, 2003, 15(4): 348-351. 82] Scheme 3. Synthesis of a Compound of Formula I wherein each Z is deuterium.
Figure imgf000028_0001
Formula la
Figure imgf000028_0002
Formula lb
Formula I
[83] Scheme 3 depicts the preparation of compounds of Formula I wherein each Z is deuterium. Deuterated aminoglutarimide 13a is prepared via catalytic hydrogenation with palladium over carbon of the protected deuterated 3-Aminopiperidine-2,6-dione 12b, an exemplary preparation of which is disclosed in Scheme 5 below. Condensation of appropriately deuterated 3-nitrophthalic anhydride 14 with 13a in AcOD/sodium acetate affords the intermediate, 15a. Reduction of 15a via catalytic hydrogenation with palladium over carbon yields the desired compounds of Formula I. Optionally, the compounds of formula I may be separated into compounds of formula la and of formula lb by chiral HPLC. Intermediates 12b and 18 may also be prepared as discussed in published application WO 2010/056344, incorporated herein in its entirety.
[84] Scheme 4. Synthesis of Intermediate 14b.
Figure imgf000028_0003
16 14b
[85] Scheme 4 depicts the preparation of 3-nitrophthalic anhydride^ (14b) for use in Scheme 2 above. Treatment of commercially available isobenzofurandione-4,5,6,7-d4 (16) under microwave irradiation with sodium nitrite adsorbed onto silica gel in a manner analogous to that described by Badgujar, DM et al., J. of Scientific and Industrial Research, 2007, 66(3): 250-251 affords 14b. Alternatively, treatment of 16 with sulfuric acid and nitric acid in a manner analogous to that described by Chen, Zhi- min; et al., Hecheng Huaxue (2004), 12(2), 167-169, 173; or by Murthy, Y. L. N.; et al., Oriental Journal of Chemistry (2009), 25(2), 299-306, affords 14b.
[86] Scheme 5 a. Preparation of Intermediate 12b.
Figure imgf000029_0001
Scheme 5a depicts a preparation of the protected deuterated 3-Aminopiperidine-2,6- dione 12b. Deuterated glutamic acid 20, an exemplary preparation of which is shown in Scheme 6 below, is treated with SOCl2 and CH3OD followed by N- (benzyloxycarbonyloxy)succinimide to provide 21. Reaction of 21 with ammonia-d5 in D20 gave amide 22 which upon treatment with carbonyldiimidazole (CDI) cyclized to 12b.
[87] Scheme 5b. Alternative Preparation of Intermediate 12b.
Figure imgf000030_0001
22 12b
Scheme 5b depicts an alternative preparation of 12b. Deuterated glutamic acid 20 is treated with TMSCl (2.2 equivalents) in CH3OD to give 21' which is treated with N-(benzyloxycarbonyloxy)succinimide and sodium carbonate (2 equivalents) to provide 21. Reaction of 21 with deuterated ammonia in D20 gave amide 22 which upon treatment with carbonyldiimidazole (CDI) cyclized to 12b.
[88] Scheme 6. Preparation of Deuterated Glutamic acid 20.
Figure imgf000031_0001
Scheme 6 depicts a preparation of deuterated glutamic acid 20. Succinic acid 23 was treated with DCl in D20 to provide, after quenching with a mineral acid such as HC1, 24, which was treated with D-glucose-Di NAD (Nicotinamide adenine dinucleotide). D-glucose-Di is the following compound (shown below in its open chain and pyranose forms):
Figure imgf000031_0002
More generally, 24 may be treated with a deuteride source (to provide 20) or a hydride source (to provide 20-H), where the deuteride or hydride source is a compound or mixture capable of providing a deuteride or hydride anion, respectively, or the synthetic equivalent thereof. Such mixture may comprise a co-factor, an example of which is NAD as illustrated in Scheme 6. Another example of a co-factor is NADP. The mixture may also comprise a co-factor regeneration system, which may comprise, as an example, a dehydrogenase and a substrate for the dehydrogenase. In the example shown in Scheme 6, the mixture comprises GDH as the dehydrogenase; D-Glucose-Di (to produce 20) or D-glucose (to produce 20- H) as the substrate; and NAD as the co- factor. In one embodiment, the D-glucose-Di is generated in situ from inexpensive D- glucono-5-lactone and NaBD4. This embodiment is advantageous in that an otherwise expensive deuterated glucose substrate is generated from relatively inexpensive reagents. Other embodiments of the deuteride or hydride source are disclosed in paragraphs [43 [- [53] of application PCT/US2011/050138, and in the corresponding paragraphs of U.S. provisional application 61/379,182, incorporated by reference herein in their entirety. The isotopic enrichment factor in 20 and 20-H is over 98% at each of the positions designated with deuterium in the two structures.
Intermediate 24, disclosed in Scheme 6, may also be prepared as shown in Scheme 6' below:
Scheme 6'. Preparation of Intermediate 24.
Figure imgf000032_0001
with H+
As shown in Scheme 6', compound 25 may be treated with D2 over Pd/C to provide 26. Reaction of 26 with diethyl oxalate affords 27, which is then treated with DCI to give, after quenching with a mineral acid such as HC1, 24.
[89] The specific approaches and compounds shown above are not intended to be limiting. The chemical structures in the schemes herein depict variables that are hereby defined commensurately with chemical group definitions (moieties, atoms, etc.) of the corresponding position in the compound formulae herein, whether identified by the same variable name (i.e., R1, R2, R3, etc.) or not. The suitability of a chemical group in a compound structure for use in the synthesis of another compound is within
the knowledge of one of ordinary skill in the art.
[90] Additional methods of synthesizing compounds of the formulae herein and their synthetic precursors, including those within routes not explicitly shown in Schemes herein, are within the means of chemists of ordinary skill in the art. Synthetic chemistry transformations and protecting group methodologies (protection and deprotection) useful in synthesizing the applicable compounds are known in the art and include, for example, those described in R. Larock, Comprehensive Organic Transformations, VCH
Publishers (1989); T.W. Greene and P.G.M. Wuts, Protective Groups in Organic Synthesis, 3rd Ed., John Wiley and Sons (1999); L. Fieser and M. Fieser, Fieser and Fieser's Reagents for Organic Synthesis, John Wiley and Sons (1994); and L. Paquette, ed., Encyclopedia of Reagents for Organic Synthesis, John Wiley and Sons (1995) and subsequent editions thereof.
[91] Combinations of substituents and variables envisioned by this invention are only those that result in the formation of stable compounds.
Compositions
[92] The invention also provides pyrogen-free pharmaceutical compositions comprising an effective amount of a compound of Formula I (e.g., including any of the formulae herein), or a pharmaceutically acceptable salt thereof; and an acceptable carrier. The carrier(s) must be "acceptable" in the sense of being compatible with the other ingredients of the formulation and, in the case of a pharmaceutically acceptable carrier, not deleterious to the recipient thereof in amounts typically used in
medicaments.
[93] Pharmaceutically acceptable carriers, adjuvants and vehicles that may be used in the pharmaceutical compositions of this invention include, but are not limited to, ion exchangers, alumina, aluminum stearate, lecithin, serum proteins, such as human serum albumin, buffer substances such as phosphates, glycine, sorbic acid, potassium sorbate, partial glyceride mixtures of saturated vegetable fatty acids, water, salts or electrolytes, such as protamine sulfate, disodium hydrogen phosphate, potassium hydrogen phosphate, sodium chloride, zinc salts, colloidal silica, magnesium trisilicate, polyvinyl pyrrolidone, cellulose-based substances, polyethylene glycol, sodium
carboxymethylcellulose, polyacrylates, waxes, polyethylene-polyoxypropylene-block polymers, polyethylene glycol and wool fat.
[94] If required, the solubility and bioavailability of the compounds of the present invention in pharmaceutical compositions may be enhanced by methods well-known in the art. One method includes the use of lipid excipients in the formulation. See "Oral Lipid-Based Formulations: Enhancing the Bioavailability of Poorly Water-Soluble Drugs (Drugs and the Pharmaceutical Sciences)," David J. Hauss, ed. Informa
Healthcare, 2007; and "Role of Lipid Excipients in Modifying Oral and Parenteral Drug Delivery: Basic Principles and Biological Examples," Kishor M. Wasan, ed. Wiley- Interscience, 2006.
[95] Another known method of enhancing bioavailability is the use of an amorphous form of a compound of this invention optionally formulated with a poloxamer, such as LUTROL™ and PLURONIC™ (BASF Corporation), or block copolymers of ethylene oxide and propylene oxide. See United States patent 7,014,866; and United States patent publications 20060094744 and 20060079502.
[96] The pharmaceutical compositions of the invention include those suitable for oral, rectal, nasal, topical (including buccal and sublingual), vaginal or parenteral (including subcutaneous, intramuscular, intravenous and intradermal) administration. In certain embodiments, the compound of the formulae herein is administered transdermally (e.g., using a transdermal patch or iontophoretic techniques). Other formulations may conveniently be presented in unit dosage form, e.g., tablets and sustained release capsules, and in liposomes, and may be prepared by any methods well known in the art of pharmacy. See, for example, Remington: The Science and Practice of Pharmacy, Lippincott Williams & Wilkins, Baltimore, MD (20th ed. 2000).
[97] Such preparative methods include the step of bringing into association with the molecule to be administered ingredients such as the carrier that constitutes one or more accessory ingredients. In general, the compositions are prepared by uniformly and intimately bringing into association the active ingredients with liquid carriers, liposomes or finely divided solid carriers or both, and then if necessary shaping the product.
[98] In certain preferred embodiments, the compound is administered orally.
Compositions of the present invention suitable for oral administration may be presented as discrete units such as capsules, sachets or tablets each containing a predetermined amount of the active ingredient; as a powder or granules; as a solution or a suspension in an aqueous liquid or a non-aqueous liquid; or as an oil-in-water liquid emulsion or a water-in-oil liquid emulsion, or packed in liposomes and as a bolus, etc. Soft gelatin capsules can be useful for containing such suspensions, which may beneficially increase the rate of compound absorption. [99] In the case of tablets for oral use, carriers that are commonly used include lactose and corn starch. Lubricating agents, such as magnesium stearate, are also typically added. For oral administration in a capsule form, useful diluents include lactose and dried cornstarch. When aqueous suspensions are administered orally, the active ingredient is combined with emulsifying and suspending agents. If desired, certain sweetening and/or flavoring and/or coloring agents may be added.
[100] Compositions suitable for oral administration include lozenges comprising the ingredients in a flavored basis, usually sucrose and acacia or tragacanth; and pastilles comprising the active ingredient in an inert basis such as gelatin and glycerin, or sucrose and acacia.
[101] Compositions suitable for parenteral administration include aqueous and nonaqueous sterile injection solutions which may contain anti-oxidants, buffers, bacteriostats and solutes which render the formulation isotonic with the blood of the intended recipient; and aqueous and non-aqueous sterile suspensions which may include suspending agents and thickening agents. The formulations may be presented in unit- dose or multi-dose containers, for example, sealed ampules and vials, and may be stored in a freeze dried (lyophilized) condition requiring only the addition of the sterile liquid carrier, for example water for injections, immediately prior to use. Extemporaneous injection solutions and suspensions may be prepared from sterile powders, granules and tablets.
[102] Such injection solutions may be in the form, for example, of a sterile injectable aqueous or oleaginous suspension. This suspension may be formulated according to techniques known in the art using suitable dispersing or wetting agents (such as, for example, Tween 80) and suspending agents. The sterile injectable preparation may also be a sterile injectable solution or suspension in a non-toxic parenterally-acceptable diluent or solvent, for example, as a solution in 1,3-butanediol. Among the acceptable vehicles and solvents that may be employed are mannitol, water, Ringer's solution and isotonic sodium chloride solution. In addition, sterile, fixed oils are conventionally employed as a solvent or suspending medium. For this purpose, any bland fixed oil may be employed including synthetic mono- or diglycerides. Fatty acids, such as oleic acid and its glyceride derivatives are useful in the preparation of injectables, as are natural pharmaceutically- acceptable oils, such as olive oil or castor oil, especially in their polyoxyethylated versions. These oil solutions or suspensions may also contain a long- chain alcohol diluent or dispersant.
[103] The pharmaceutical compositions of this invention may be administered in the form of suppositories for rectal administration. These compositions can be prepared by mixing a compound of this invention with a suitable non-irritating excipient which is solid at room temperature but liquid at the rectal temperature and therefore will melt in the rectum to release the active components. Such materials include, but are not limited to, cocoa butter, beeswax and polyethylene glycols.
[104] The pharmaceutical compositions of this invention may be administered by nasal aerosol or inhalation. Such compositions are prepared according to techniques well- known in the art of pharmaceutical formulation and may be prepared as solutions in saline, employing benzyl alcohol or other suitable preservatives, absorption promoters to enhance bioavailability, fluorocarbons, and/or other solubilizing or dispersing agents known in the art. Such administration is known to be effective with erectile dysfunction drugs: Rabinowitz JD and Zaffaroni AC, US Patent 6,803,031, assigned to Alexza Molecular Delivery Corporation.
[105] Topical administration of the pharmaceutical compositions of this invention is especially useful when the desired treatment involves areas or organs readily accessible by topical application. For application topically to the skin, the pharmaceutical composition should be formulated with a suitable ointment containing the active components suspended or dissolved in a carrier. Carriers for topical administration of the compounds of this invention include, but are not limited to, mineral oil, liquid petroleum, white petroleum, propylene glycol, polyoxyethylene polyoxypropylene compound, emulsifying wax and water. Alternatively, the pharmaceutical composition can be formulated with a suitable lotion or cream containing the active compound suspended or dissolved in a carrier. Suitable carriers include, but are not limited to, mineral oil, sorbitan monostearate, polysorbate 60, cetyl esters wax, cetearyl alcohol, 2- octyldodecanol, benzyl alcohol and water. The pharmaceutical compositions of this invention may also be topically applied to the lower intestinal tract by rectal suppository formulation or in a suitable enema formulation. Topic ally-transdermal patches and iontophoretic administration are also included in this invention.
[106] Application of the subject therapeutics may be local, so as to be administered at the site of interest. Various techniques can be used for providing the subject compositions at the site of interest, such as injection, use of catheters, trocars, projectiles, pluronic gel, stents, sustained drug release polymers or other device which provides for internal access.
[107] Thus, according to yet another embodiment, the compounds of this invention may be incorporated into compositions for coating an implantable medical device, such as prostheses, artificial valves, vascular grafts, stents, or catheters. Suitable coatings and the general preparation of coated implantable devices are known in the art and are exemplified in US Patents 6,099,562; 5,886,026; and 5,304,121. The coatings are typically biocompatible polymeric materials such as a hydrogel polymer,
polymethyldisiloxane, polycaprolactone, polyethylene glycol, polylactic acid, ethylene vinyl acetate, and mixtures thereof. The coatings may optionally be further covered by a suitable topcoat of fluorosilicone, polysaccharides, polyethylene glycol, phospholipids or combinations thereof to impart controlled release characteristics in the composition. Coatings for invasive devices are to be included within the definition of
pharmaceutically acceptable carrier, adjuvant or vehicle, as those terms are used herein. In one preferred embodiment, a compound of Formula I is formulated into a hydrogel for delivery to the eye as described in United States Patent PublicationUS2005074497.
[108] According to another embodiment, the invention provides a method of coating an implantable medical device comprising the step of contacting said device with the coating composition described above. It will be obvious to those skilled in the art that the coating of the device will occur prior to implantation into a mammal.
[109] According to another embodiment, the invention provides a method of impregnating an implantable drug release device comprising the step of contacting said drug release device with a compound or composition of this invention. Implantable drug release devices include, but are not limited to, biodegradable polymer capsules or bullets, non-degradable, diffusible polymer capsules and biodegradable polymer wafers.
[110] According to another embodiment, the invention provides an implantable medical device coated with a compound or a composition comprising a compound of this invention, such that said compound is therapeutically active.
[Ill] According to another embodiment, the invention provides an implantable drug release device impregnated with or containing a compound or a composition comprising a compound of this invention, such that said compound is released from said device and is therapeutically active. [112] Where an organ or tissue is accessible because of removal from the patient, such organ or tissue may be bathed in a medium containing a composition of this invention, a composition of this invention may be painted onto the organ, or a composition of this invention may be applied in any other convenient way.
[113] In another embodiment, a composition of the present invention further comprises a second therapeutic agent. The second therapeutic agent includes any compound or therapeutic agent known to have or that demonstrates advantageous properties when administered with an immunomodulator, an anti- angiogenic or an anti-neoplastic agent. Such agents are described in detail in United States Patent 5,635,517, as well as in PCT patent publications WO2005097125, WO2005055929, WO2004041190,
WO2006060507, WO2006058008, WO2006053160, WO2005044178, WO2004100953, WO2006089150, WO2006036892, WO2006018182, WO2005082415, WO2005048942, WO2005042558, WO2005035714 and WO2005027842; and in United States Patent publications US2005100529, US2006030594, US2005143344 and US2006079461, each of the foregoing of which describes second therapeutic agents that may be combined with pomalidomide.
[114] In one embodiment, the second therapeutic agent is an agent useful in the treatment or prevention of a disease or condition selected from myelodysplastic syndromes, multiple myeloma, Non-Hodgkins lymphoma; papillary and follicular thyroid carcinoma; chronic lymphocytic leukemia, amyloidosis, complex regional pain syndrome Type I, malignant melanoma, radiculopathy, glioblastoma, gliosarcoma, malignant gliomas, myelogenous leukemia, refractory plasma cell neoplasm, chronic myelomonocytic leukemia, follicular lymphoma, ciliary body and chronic melanoma, iris melanoma, recurrent interocular melanoma, extraocular extension melanoma, solid tumors, T-cell lymphoma, erythroid lymphoma, monoblastic and monocytic leukemia; myeloid leukemia, brain tumor, meningioma, spinal cord tumors, thyroid cancers, mantle cell lymphoma, non-small cell lung cancer, ovarian cancer, prostate cancer, renal cell cancer, myelofibrosis, Burkitt's lymphoma, Hodgkin's lymphoma, large cell lymphoma, pancreatic cancer, idiopathic pulmonary fibrosis, graft vs. host disease, soft tissue sarcoma, small cell lung cancer or Waldenstrom's macroglobulinemia.
[115] In another embodiment, the second therapeutic agent is an agent useful in the treatment or prevention of a disease or condition selected from dysfunctional sleep, hemoglobinopathy, anemia, macular degeneration, atherosclerosis, restenosis, pain, immunodeficiencies, CNS injury and related symptoms, CNS disorders, parasitic disease, or asbestos-related disease.
[116] Even more preferably the second therapeutic agent co-formulated with a compound of this invention is an agent useful in the treatment of myelodysplastic syndromes or multiple myeloma.
[117] In another preferred embodiment, the second therapeutic agent is selected from aldesleukin; a p38 MAP kinase inhibitor such as disclosed in US2006079461; a 24- hydroxylase inhibitor such as disclosed in WO2006036892; an aminopteridinone such as disclosed in WO2006018182; an IGF-R inhibitor such as disclosed in WO2005082415; a COX-2 inhibitor such as disclosed in WO2005048942; a nucleobase oligomer such as disclosed in WO2005042558; a chlorpromazine compound such as disclosed in
WO2005027842.
[118] In yet another preferred embodiment, the second therapeutic agent is selected from pemetrexed, topotecan, doxorubicin, bortezomib, gemcitabine, dacarbazine, dexamethasone, clarithromycin, doxil, vincristine, decadron, azacitidine, rituximab, prednisone, docetaxel, melphalan, cyclophosphamide, cisplatin, etoposide and combinations thereof.
[119] In yet another preferred embodiment, the second therapeutic agent is selected from bortezomib, gemcitabine, dexamethasone, clarithromycin, rituximab, prednisone, cyclophosphamide, cisplatin, etoposide and combinations thereof.
[120] In another embodiment, the invention provides separate dosage forms of a compound of this invention and a second therapeutic agent that are associated with one another. The term "associated with one another" as used herein means that the separate dosage forms are packaged together or otherwise attached to one another such that it is readily apparent that the separate dosage forms are intended to be sold and administered together (within less than 24 hours of one another, consecutively or simultaneously).
[121] In the pharmaceutical compositions of the invention, the compound of the present invention is present in an effective amount. As used herein, the term "effective amount" refers to an amount which, when administered in a proper dosing regimen, is sufficient to reduce or ameliorate the severity, duration or progression of the disorder being treated, prevent the advancement of the disorder being treated, cause the regression of the disorder being treated, or enhance or improve the prophylactic or therapeutic effect(s) of another therapy. [122] The interrelationship of dosages for animals and humans (based on milligrams per meter squared of body surface) is described in Freireich et al., 1966, Cancer
Chemother Rep, 50: 219. Body surface area may be approximately determined from height and weight of the patient. See, e.g., Scientific Tables, Geigy Pharmaceuticals, Ardsley, N.Y., 1970, 537. An effective amount of a compound of this invention can range from about 0.005 mg/kg to about 200 mg/kg, more preferably 0.01 mg/kg to about 100 mg/kg, more preferably 0.05 mg/kg to about 60 mg/kg.
[123] Effective doses will also vary, as recognized by those skilled in the art, depending on the diseases treated, the severity of the disease, the route of administration, the sex, age and general health condition of the patient, excipient usage, the possibility of co-usage with other therapeutic treatments such as use of other agents and the judgment of the treating physician. For example, guidance for selecting an effective dose can be determined by reference to the prescribing information for pomalidomide.
[124] For pharmaceutical compositions that comprise a second therapeutic agent, an effective amount of the second therapeutic agent is between about 20% and 100% of the dosage normally utilized in a monotherapy regime using just that agent. Preferably, an effective amount is between about 70% and 100% of the normal monotherapeutic dose. The normal monotherapeutic dosages of these second therapeutic agents are well known in the art. See, e.g., Wells et al, eds., Pharmacotherapy Handbook, 2nd Edition, Appleton and Lange, Stamford, Conn. (2000); PDR Pharmacopoeia, Tarascon Pocket Pharmacopoeia 2000, Deluxe Edition, Tarascon Publishing, Loma Linda, Calif. (2000), each of which references are entirely incorporated herein by reference.
[125] It is expected that some of the second therapeutic agents referenced above will act synergistically with the compounds of this invention. When this occurs, its will allow the effective dosage of the second therapeutic agent and/or the compound of this invention to be reduced from that required in a monotherapy. This has the advantage of minimizing toxic side effects of either the second therapeutic agent of a compound of this invention, synergistic improvements in efficacy, improved ease of administration or use and/or reduced overall expense of compound preparation or formulation.
Methods of Treatment
[126] According to another embodiment, the invention provides a method of treating a disease that is beneficially treated by pomalidomide in a patient in need thereof, comprising the step of administering to the patient an effective amount of a compound or a composition of this invention. Such diseases are well known in the art and are disclosed in United States Patent 5,635,517, as well as in PCT patent publications WO2005097125, WO2005055929, WO2004041190, WO2006060507, WO2006058008, WO2006053160, WO2005044178, WO2004100953, WO2006089150, WO2006036892, WO2006018182, WO2005082415, WO2005048942, WO2005042558, WO2005035714 and WO2005027842; and in United States Patent publications US2005100529,
US2006030594, US2005143344 and US2006079461.
[127] In one preferred embodiment, the disease or condition is selected from myelodysplastic syndromes, multiple myeloma, Non-Hodgkins lymphoma; papillary and follicular thyroid carcinoma; chronic lymphocytic leukemia, amyloidosis, complex regional pain syndrome Type I, malignant melanoma, radiculopathy, glioblastoma, gliosarcoma, malignant gliomas, myelogenous leukemia, refractory plasma cell neoplasm, chronic myelomonocytic leukemia, follicular lymphoma, ciliary body and chronic melanoma, iris melanoma, recurrent interocular melanoma, extraocular extension melanoma, solid tumors, T-cell lymphoma, erythroid lymphoma, monoblastic and monocytic leukemia; myeloid leukemia, brain tumor, meningioma, spinal cord tumors, thyroid cancers, mantle cell lymphoma, non-small cell lung cancer, ovarian cancer, prostate cancer, renal cell cancer, myelofibrosis, Burkitt's lymphoma, Hodgkin's lymphoma, large cell lymphoma, pancreatic cancer, idiopathic pulmonary fibrosis, graft vs. host disease, soft tissue sarcoma, solid tumors, small cell lung cancer or
Waldenstrom's macroglobulinemia.
[128] In another embodiment, the disease is selected from myelodysplastic syndromes or multiple myeloma.
[129] Identifying a patient in need of such treatment can be in the judgment of a patient or a health care professional and can be subjective (e.g. opinion) or objective (e.g.
measurable by a test or diagnostic method).
[130] In another embodiment, the above method of treatment comprises the further step of co-administering to the patient one or more second therapeutic agents. The choice of second therapeutic agent may be made from any second therapeutic agent known to be useful for co-administration with pomalidomide. The choice of second therapeutic agent is also dependent upon the particular disease or condition to be treated. Examples of second therapeutic agents that may be employed in the methods of this invention are those set forth above for use in combination compositions comprising a compound of this invention and a second therapeutic agent.
[131] In one embodiment, the second therapeutic agent and the corresponding disease for which the second therapeutic agent is co- administered with a compound of this invention is set forth in Table 1 below.
[132] Table 1. Second Therapeutic Agents for Various Diseases or Conditions
Figure imgf000042_0001
[133] The term "co- administered" as used herein means that the second therapeutic agent may be administered together with a compound of this invention as part of a single dosage form (such as a composition of this invention comprising a compound of the invention and an second therapeutic agent as described above) or as separate, multiple dosage forms. Alternatively, the additional agent may be administered prior to, consecutively with, or following the administration of a compound of this invention. In such combination therapy treatment, both the compounds of this invention and the second therapeutic agent(s) are administered by conventional methods. The
administration of a composition of this invention comprising both a compound of the invention and a second therapeutic agent to a patient does not preclude the separate administration of that same therapeutic agent, any other second therapeutic agent or any compound of this invention to the patient at another time during a course of treatment.
[134] Effective amounts of these second therapeutic agents are well known to those skilled in the art and guidance for dosing may be found in patents and published patent applications referenced herein, as well as in Wells et al, eds., Pharmacotherapy
Handbook, 2nd Edition, Appleton and Lange, Stamford, Conn. (2000); PDR
Pharmacopoeia, Tarascon Pocket Pharmacopoeia 2000, Deluxe Edition, Tarascon Publishing, Loma Linda, Calif. (2000), and other medical texts. However, it is well within the skilled artisan's purview to determine the second therapeutic agent's optimal effective-amount range.
[135] In one embodiment of the invention where a second therapeutic agent is administered to a patient, the effective amount of the compound of this invention is less than its effective amount would be where the second therapeutic agent is not administered. In another embodiment, the effective amount of the second therapeutic agent is less than its effective amount would be where the compound of this invention is not administered. In this way, undesired side effects associated with high doses of either agent may be minimized. Other potential advantages (including without limitation improved dosing regimens and/or reduced drug cost) will be apparent to those of skill in the art.
[136] In yet another aspect, the invention provides the use of a compound of Formula I alone or together with one or more of the above-described second therapeutic agents in the manufacture of a medicament, either as a single composition or as separate dosage forms, for treatment or prevention in a patient of a disease, disorder or symptom set forth above. [137] Another aspect of the invention is a compound of Formula I for use in the treatment or prevention in a patient of a disease, disorder or symptom thereof delineated herein.
Examples
[138] Example 1. Synthesis of (5 3-(Amino-d2)(piperidine ,3,4,4,5,5-dfi)-2,6-dione deuterium chloride salt (13a).
[139] Intermediate 13a was prepared as outlined in Scheme 7 below, following the experimental procedure disclosed in patent publication WO 2010/056344 paragraphs [98]-[100]. Alternatively, intermediate 13a was prepared as outlined in Scheme 8 below, or according to Scheme 3 above.
Scheme 7. Preparation of Intermediate 13a.
Figure imgf000044_0001
12a 13a
[140] Intermediate 13a is then converted to a compound of Formula I in accordance with Scheme 2 or Scheme 3. For example, compound 101a (containing an amount of compound 101b smaller than the amount of compound 101a) of formula I was prepared as disclosed in Scheme 8:
[141] Example 2. Synthesis of (S)-4-Amino-2-(3A4,5,5-ds-2,6-dioxopiperidin-3- yl)isoindoline-l,3-dione (101a).
[142] Compound 101a was prepared as outlined in Scheme 8 below:
Scheme 8. Preparation of Compound 101a.
Figure imgf000045_0001
Compound 101 b
Step 1. (5")-Benzyl deutero(l, 3,4,4,5, 5-dfi-2,6-dioxopiperidin-3-yl)carbamate (13a).
[143] A solution of 12b (300 mg, 1.1 mmol, prepared as outlined in Example 1 above) in tetrahydrofuran (10 mL) and methanol-D (10 mL) was added to 10% Pd/C (50% wet with D20, CIL, 99.9 atom % D) and hydrogenated using a Parr shaker at 40 psi H2 for 5 hours. The mixture was filtered through a pad of Celite (washing with THF). To the filtrate was added 0.3 mL of a 35% solution of deuterium chloride in D20 (Aldrich, 99 atom % D) resulting in a white suspension. The solvent was evaporated yielding 13a as an off white solid (210 mg, quantitative).
Step 2. (5)-4-Nitro-2-(3,4,4,5,5-ds-2,6-dioxopiperidin-3-yl)isoindoline-L3-dione (15b).
[144] A 10 mL microwave vial was charged with 13a (150 mg, 0.87 mmol, 1 equiv), 3- nitrophthalic anhydride (165 mg, 0.87 mmol, 1 equiv) and anhydrous sodium acetate (91 mg, 1.3 mmol, 1.5 equiv). Acetic acid-D (2 mL, Aldrich, 99 atom% D) was added and the reaction was heated by microwave irradiation for 3 hours at 115 °C. The resulting dark purple/black suspension was filtered, washed with acetic acid-D (6 mL), D20 (25 mL, Cambridge Isotopes, 99 atom% D), and MTBE (25 mL). The resulting purple/grey solid was dried in a vacuum oven at 40 °C for 16 hours yielding 15b as a purple/grey solid (76 mg, 30% yield), m/z = 309 (M+H)+, 331 (M+Na)+.
Step 3. (5')-4-Amino-2-(3,4,4,5,5-d5-2,6-dioxopiperidin-3-yl)isoindoline-l,3-dione
(101a).
[145] A solution of 15b (70 mg, 0.23 mmol) in DMF (10 mL) was hydrogenated over 10% Pd/C (9 mg, 50% wet with D20) for 3 hours at 35 psi H2, at which time LC/MS indicated complete consumption of 15b and the formation of 101a (90%, m/z = 279 for d5 M+H) along with the hydroxylamine intermediate (-10%). The hydrogenation was continued an additional hour resulting in complete conversion to 101a. The reaction mixture was then filtered through a pad of celite, washing with THF. The filtrate was then evaporated giving a yellow-brown residue. The residue was suspended in ethyl acetate/THF (20 mlVlO mL) and heated to reflux. The suspension was filtered hot and the filtrate was concentrated to ~5 mL. Heptane (10 mL) was added and the solids were collected via vacuum filtration yielding 101a as a yellow/green solid (36 mg, 56% yield), m/z = 279 (M+H)+, 301 (M+Na)+.
[146] A smaller amount of Compound 101b may be formed in addition to Compound 101a under the reaction conditions. Compounds 101a and 101b may be separated and isolated using chiral HPLC.
[147] Without further description, it is believed that one of ordinary skill in the art can, using the preceding description and the illustrative examples, make and utilize the compounds of the present invention and practice the claimed methods. It should be understood that the foregoing discussion and examples merely present a detailed description of certain preferred embodiments. It will be apparent to those of ordinary skill in the art that various modifications and equivalents can be made without departing from the spirit and scope of the invention. All the patents, journal articles and other documents discussed or cited above are herein incorporated by reference.

Claims

A compound of formula II:
Figure imgf000047_0001
wherein Y3 is hydrogen or deuterium, Y5 is hydrogen or deuterium, and P1 is a protecting group.
2. The compound of Claim 1, wherein Y3 is hydrogen.
3. The compound of Claim 1, wherein Y3 is deuterium.
4. The compound of Claim 1, wherein Y5 is hydrogen.
5. The compound of Claim 1, wherein Y5 is deuterium.
6. The compound of any one of Claims 1-5, wherein P1 is a group of the formula - C(0)-Q-R2, wherein Q is O or NH, and R2 is (a) C C6 alkyl optionally substituted with C6-Cio aryl; (b) C3-C8 cycloalkyl; or (c) C6-Cio aryl.
7. The compound of any one of Claims 1-5, wherein P1 is benzyloxycarbonyl.
8. A compound of
Figure imgf000047_0002
wherein each Z is independently selected from hydrogen and deuterium, Y4 is hydrogen or deuterium and P2 is a protecting group.
9. The compound of Claim 8, wherein Y4 is hydrogen.
10. The compound of Claim 8, wherein Y4 is deuterium.
11. The compound of Claim 8, wherein Z5 is deuterium.
12. The compound of Claim 8, wherein Z3 and Z4 are each hydrogen.
13. The compound of Claim 8, wherein Z3 and Z4 are each deuterium.
14. The compound of Claim 8, wherein Z1 and Z2 are each hydrogen.
15. The compound of Claim 8, wherein Z1 and Z2 are each deuterium.
16. The compound of Claim 8, wherein each Z is deuterium.
17. The compound of Claim 8, wherein Z5 is deuterium, Z3 and Z4 are each
deuterium; and Z1 and Z2 are each hydrogen.
18. The compound of Claim 8, wherein Z5 is deuterium, Z3 and Z4 are each
deuterium; and Z1 and Z2 are each deuterium.
19. The compound of any one of Claims 7-18, wherein P2 is a group of the formula - C(0)-Q-R2, wherein Q is O or NH, and R2 is (a) C C6 alkyl optionally substituted with C6-Cio aryl; (b) C3-C8 cycloalkyl; or (c) C6-Cio aryl.
20. The compound of Claim 19, wherein P2 is benzyloxycarbonyl.
21. A compound of formula IV:
Figure imgf000049_0001
wherein R12 is Ci-C6 alkyl; P2 is a group of the formula -C(0)-Q-R2; Q is O or NH; and R2 is (a) Ci-C6 alkyl optionally substituted with C6-Cio aryl; (b) C3-C8 cycloalkyl; or (c) C6-Cio aryl.
22. The compound of Claim 21, wherein P2 is benzyloxycarbonyl.
23. The compound of Claim 21, wherein R12 is C¾.
24.
Figure imgf000049_0002
with a silyl halide and a compound of formula R OD to provide the compound of formula 21":
25. The process of Claim 24, wherein the silyl halide is (Rn)3Si-Hal, R11 is C C6 alkyl and Hal is fluoro, chloro, bromo or iodo. The process of Claim 25, wherein the silyl halide is trimethylsilyl chloride.
A process for prep
Figure imgf000050_0001
comprising reacti
Figure imgf000050_0002
IV
with ND3 to provide compound 22, wherein R12 is Ci-C6 alkyl; P2 is a group of the formula -C(0)-Q-R2, wherein Q is O or NH, and R2 is (a) C C6 alkyl optionally substituted with C6-Cio aryl; (b) C3-C8 cycloalkyl; or (c) C6-Cio aryl.
28. The process of Claim 27, wherein P2 is benzyloxycarbonyl.
29. The process of Claim 26, wherein R is C¾.
A process for preparing a compound (Ilia) represented by the following structural formula:
Figure imgf000050_0003
comprising the step of cyclizing compound (Illb) represented by the following structural formula:
Figure imgf000051_0001
(Illb)
wherein each Z is independently selected from hydrogen and deuterium; and P is an amine protecting group.
31. The process of Claim 30, wherein Z5 is deuterium.
32. The process of Claim 30, wherein Z3 and Z4 are each hydrogen.
33. The process of Claim 30, wherein Z3 and Z4 are each deuterium.
34. The process of Claim 30, wherein Z1 and Z2 are each hydrogen.
35. The process of Claim 30, wherein Z1 and Z2 are each deuterium.
36. The process of Claim 30, wherein each Z is deuterium.
37. The process of Claim 30 wherein Z5 is deuterium, Z3 and Z4 are each deuterium; and Z1 and Z2 are each hydrogen.
38. The process of Claim 30, wherein Z5 is deuterium, Z3 and Z4 are each deuterium; and Z1 and Z2 are each deuterium.
39. The process of any one of Claims 30-38, wherein P2 is -C(0)-Q-R2; Q is O or NH; and R2 is (a) d-C6 alkyl optionally substituted with C6-C10 aryl; (b) C3-C8 cycloalkyl; or (c) C6-Cio aryl. The process of Claim 39, wherein P2 is benzyloxycarbonyl.
The process of any one of Claims 30-40, wherein the compound of (Illb) cyclized with a carboxylic acid activating agent.
The process of Claim 41, wherein the carboxylic acid activating agent is carbonyldiimidazole, dicyclohexylcarbodiimide or l-ethyl-3-(3- dimethylaminopropyl)carbodiimide.
The compound of any one of Claims 1-23 or the process of any one of Claims 24-42, wherein any atom not designated as deuterium is present at its natural isotopic abundance.
A compound of the formula lie
Figure imgf000052_0001
or a salt thereof, wherein Y3 is hydrogen, Y5 is hydrogen, and P1 is a protecting group.
45. A compound of the Formula IIIc
Figure imgf000052_0002
wherein each Z is deuterium, Y4 is hydrogen and P2 is a protecting group.
46. A compound of formula IVc
Figure imgf000053_0001
or a salt thereof, wherein R12 is Ci-C6 alkyl and P2 is a group of the formula -C(0)-Q- R2, wherein Q is O or NH, and R2 is (a) Ci-C6 alkyl optionally substituted with C6-Cio aryl; (b) C3-C8 cycloalkyl; or (c) C6-Cio aryl.
A process for preparing a compound of formula 22E
Figure imgf000054_0001
comprising reacting a compound of formula 21"
Figure imgf000054_0002
with NH3 to provide a compound of formula 22E:
Figure imgf000054_0003
wherein R12 is Ci-C6 alkyl; P2 is a group of the formula -C(0)-Q-R2, wherein Q is O or NH, and R2 is (a) Ci-C6 alkyl optionally substituted with C6-Cio aryl; (b) C3-C8 cycloalkyl; or (c) C6-Cio aryl.
PCT/US2013/0283792012-02-292013-02-28Substituted dioxopiperidinyl phthalimide derivativesWO2013130849A1 (en)

Applications Claiming Priority (2)

Application NumberPriority DateFiling DateTitle
US201261604736P2012-02-292012-02-29
US61/604,7362012-02-29

Publications (1)

Publication NumberPublication Date
WO2013130849A1true WO2013130849A1 (en)2013-09-06

Family

ID=47913562

Family Applications (1)

Application NumberTitlePriority DateFiling Date
PCT/US2013/028379WO2013130849A1 (en)2012-02-292013-02-28Substituted dioxopiperidinyl phthalimide derivatives

Country Status (1)

CountryLink
WO (1)WO2013130849A1 (en)

Cited By (2)

* Cited by examiner, † Cited by third party
Publication numberPriority datePublication dateAssigneeTitle
US9045453B2 (en)2008-11-142015-06-02Concert Pharmaceuticals, Inc.Substituted dioxopiperidinyl phthalimide derivatives
US9643950B2 (en)2012-10-222017-05-09Concert Pharmaceuticals, Inc.Solid forms of {s-3-(4-amino-1-oxo-isoindolin-2-yl)(piperidine-3,4,4,5,5-d5)-2,6-dione}

Citations (33)

* Cited by examiner, † Cited by third party
Publication numberPriority datePublication dateAssigneeTitle
US5304121A (en)1990-12-281994-04-19Boston Scientific CorporationDrug delivery system making use of a hydrogel polymer coating
US5635517A (en)1996-07-241997-06-03Celgene CorporationMethod of reducing TNFα levels with amino substituted 2-(2,6-dioxopiperidin-3-yl)-1-oxo-and 1,3-dioxoisoindolines
US5886026A (en)1993-07-191999-03-23Angiotech Pharmaceuticals Inc.Anti-angiogenic compositions and methods of use
US6099562A (en)1996-06-132000-08-08Schneider (Usa) Inc.Drug coating with topcoat
WO2004041190A2 (en)2002-10-312004-05-21Celgene CorporationComposition for the treatment of macular degenration
US20040147558A1 (en)2000-11-302004-07-29Anthony TrestonSynthesis of 3-amino-thalidomide and its enantiomers
US6803031B2 (en)2001-05-242004-10-12Alexza Molecular Delivery CorporationDelivery of erectile dysfunction drugs through an inhalation route
WO2004100953A1 (en)2003-05-192004-11-25Pharmacia & Upjohn Company LlcCombination of irinotecan and revimid for the treating multiple myeloma
WO2005027842A2 (en)2003-09-182005-03-31Combinatorx, IncorporatedCombinations of drugs for the treatment of neoplasms
US20050074497A1 (en)2003-04-092005-04-07Schultz Clyde L.Hydrogels used to deliver medicaments to the eye for the treatment of posterior segment diseases
WO2005035714A2 (en)2003-08-262005-04-21Board Of Regents, The University Of Texas SystemVaccines for cancer, autoimmune disease and infections
WO2005042558A1 (en)2003-10-302005-05-12Aegera Therapeutics, Inc.Iap nucleobase oligomers and oligomeric complexes and uses thereof
US20050100529A1 (en)2003-11-062005-05-12Zeldis Jerome B.Methods of using and compositions comprising immunomodulatory compounds for the treatment and management of asbestos-related diseases and disorders
WO2005044178A2 (en)2003-10-232005-05-19Celgene CorporationMethods of using and compositions comprising immunomodulatory compounds for treatment, modification and management of pain
WO2005048942A2 (en)2003-11-132005-06-02Pharmacia CorporationCombination therapy comprising a cox-2 inhibitor and an antineoplastic agent
WO2005055929A2 (en)2003-12-022005-06-23Celgene CorporationMethods and compositions for the treatment and management of hemoglobinopathy and anemia
US20050143344A1 (en)2003-12-302005-06-30Zeldis Jerome B.Methods and compositions using immunomodulatory compounds for the treatment and management of central nervous system disorders or diseases
WO2005082415A2 (en)2004-02-252005-09-09Dana Farber Cancer Institute, Inc.Inhibitors of insulin-like growth factor receptor-1 for inhibiting tumor cell growth
WO2005097125A2 (en)2004-04-012005-10-20Celgene CorporationMethods and compositions for the treatment, prevention or management of diysfunctional sleep and dysfunctional sleep associated with disease
US20060030594A1 (en)2002-05-172006-02-09Celgene CorporationMethod using 3-(4-amino-1-oxo-1,3-dihydro-isoindol-2-yl)-piperidine-2,6-dione for treatment of certain leukemias
WO2006018182A1 (en)2004-08-142006-02-23Boehringer Ingelheim International GmbhCombinations for the treatment of diseases involving cell proliferation
US7014866B2 (en)2001-05-032006-03-21Hoffmann-La Roche Inc.High dose solid unit oral pharmaceutical dosage form of amorphous nelfinavir mesylate and process for making same
WO2006036892A2 (en)2004-09-242006-04-06Sapphire Therapeutics, Inc.Use of inhibitors of 24-hydroxylase in the treatment of cancer
US20060079461A1 (en)2003-12-242006-04-13Scios, Inc.Treatment of multiple myeloma by inhibition of p38 MAP kinase
US20060079502A1 (en)1999-11-022006-04-13Steffen LangPharmaceutical compositions
US20060094744A1 (en)2004-09-292006-05-04Maryanoff Cynthia APharmaceutical dosage forms of stable amorphous rapamycin like compounds
WO2006053160A2 (en)2004-11-122006-05-18Celgene CorporationMethods and compositions using immunomodulatory compounds for treatment and management of parasitic diseases
WO2006058008A1 (en)2004-11-232006-06-01Celgene CorporationMethods and compositions using immunomodulatory compounds for treatment and management of central nervous system injury
WO2006060507A2 (en)2004-12-012006-06-08Celgene CorporationCompositions comprising immunomodulatory compounds and the use thereof for the treatment of immunodeficiency disorders
WO2006089150A2 (en)2005-02-182006-08-24Novartis Vaccines And Diagnostics Inc.Antiangiogenic agents with aldesleukin
WO2010056344A1 (en)2008-11-142010-05-20Concert Pharmaceuticals Inc.Substituted dioxopiperidinyl phthalimide derivaties
WO2012015986A2 (en)*2010-07-272012-02-02Concert Pharmaceuticals Inc.Substituted dioxopiperidinyl phtalimide derivatives
WO2012079022A1 (en)*2010-12-102012-06-14Concert Pharmaceuticals, Inc.Substituted dioxopiperidinyl phthalimide derivatives

Patent Citations (34)

* Cited by examiner, † Cited by third party
Publication numberPriority datePublication dateAssigneeTitle
US5304121A (en)1990-12-281994-04-19Boston Scientific CorporationDrug delivery system making use of a hydrogel polymer coating
US5886026A (en)1993-07-191999-03-23Angiotech Pharmaceuticals Inc.Anti-angiogenic compositions and methods of use
US6099562A (en)1996-06-132000-08-08Schneider (Usa) Inc.Drug coating with topcoat
US5635517A (en)1996-07-241997-06-03Celgene CorporationMethod of reducing TNFα levels with amino substituted 2-(2,6-dioxopiperidin-3-yl)-1-oxo-and 1,3-dioxoisoindolines
US5635517B1 (en)1996-07-241999-06-29Celgene CorpMethod of reducing TNFalpha levels with amino substituted 2-(2,6-dioxopiperidin-3-YL)-1-oxo-and 1,3-dioxoisoindolines
US20060079502A1 (en)1999-11-022006-04-13Steffen LangPharmaceutical compositions
US20040147558A1 (en)2000-11-302004-07-29Anthony TrestonSynthesis of 3-amino-thalidomide and its enantiomers
US7014866B2 (en)2001-05-032006-03-21Hoffmann-La Roche Inc.High dose solid unit oral pharmaceutical dosage form of amorphous nelfinavir mesylate and process for making same
US6803031B2 (en)2001-05-242004-10-12Alexza Molecular Delivery CorporationDelivery of erectile dysfunction drugs through an inhalation route
US20060030594A1 (en)2002-05-172006-02-09Celgene CorporationMethod using 3-(4-amino-1-oxo-1,3-dihydro-isoindol-2-yl)-piperidine-2,6-dione for treatment of certain leukemias
WO2004041190A2 (en)2002-10-312004-05-21Celgene CorporationComposition for the treatment of macular degenration
US20050074497A1 (en)2003-04-092005-04-07Schultz Clyde L.Hydrogels used to deliver medicaments to the eye for the treatment of posterior segment diseases
WO2004100953A1 (en)2003-05-192004-11-25Pharmacia & Upjohn Company LlcCombination of irinotecan and revimid for the treating multiple myeloma
WO2005035714A2 (en)2003-08-262005-04-21Board Of Regents, The University Of Texas SystemVaccines for cancer, autoimmune disease and infections
WO2005027842A2 (en)2003-09-182005-03-31Combinatorx, IncorporatedCombinations of drugs for the treatment of neoplasms
WO2005044178A2 (en)2003-10-232005-05-19Celgene CorporationMethods of using and compositions comprising immunomodulatory compounds for treatment, modification and management of pain
WO2005042558A1 (en)2003-10-302005-05-12Aegera Therapeutics, Inc.Iap nucleobase oligomers and oligomeric complexes and uses thereof
US20050100529A1 (en)2003-11-062005-05-12Zeldis Jerome B.Methods of using and compositions comprising immunomodulatory compounds for the treatment and management of asbestos-related diseases and disorders
WO2005048942A2 (en)2003-11-132005-06-02Pharmacia CorporationCombination therapy comprising a cox-2 inhibitor and an antineoplastic agent
WO2005055929A2 (en)2003-12-022005-06-23Celgene CorporationMethods and compositions for the treatment and management of hemoglobinopathy and anemia
US20060079461A1 (en)2003-12-242006-04-13Scios, Inc.Treatment of multiple myeloma by inhibition of p38 MAP kinase
US20050143344A1 (en)2003-12-302005-06-30Zeldis Jerome B.Methods and compositions using immunomodulatory compounds for the treatment and management of central nervous system disorders or diseases
WO2005082415A2 (en)2004-02-252005-09-09Dana Farber Cancer Institute, Inc.Inhibitors of insulin-like growth factor receptor-1 for inhibiting tumor cell growth
WO2005097125A2 (en)2004-04-012005-10-20Celgene CorporationMethods and compositions for the treatment, prevention or management of diysfunctional sleep and dysfunctional sleep associated with disease
WO2006018182A1 (en)2004-08-142006-02-23Boehringer Ingelheim International GmbhCombinations for the treatment of diseases involving cell proliferation
WO2006036892A2 (en)2004-09-242006-04-06Sapphire Therapeutics, Inc.Use of inhibitors of 24-hydroxylase in the treatment of cancer
US20060094744A1 (en)2004-09-292006-05-04Maryanoff Cynthia APharmaceutical dosage forms of stable amorphous rapamycin like compounds
WO2006053160A2 (en)2004-11-122006-05-18Celgene CorporationMethods and compositions using immunomodulatory compounds for treatment and management of parasitic diseases
WO2006058008A1 (en)2004-11-232006-06-01Celgene CorporationMethods and compositions using immunomodulatory compounds for treatment and management of central nervous system injury
WO2006060507A2 (en)2004-12-012006-06-08Celgene CorporationCompositions comprising immunomodulatory compounds and the use thereof for the treatment of immunodeficiency disorders
WO2006089150A2 (en)2005-02-182006-08-24Novartis Vaccines And Diagnostics Inc.Antiangiogenic agents with aldesleukin
WO2010056344A1 (en)2008-11-142010-05-20Concert Pharmaceuticals Inc.Substituted dioxopiperidinyl phthalimide derivaties
WO2012015986A2 (en)*2010-07-272012-02-02Concert Pharmaceuticals Inc.Substituted dioxopiperidinyl phtalimide derivatives
WO2012079022A1 (en)*2010-12-102012-06-14Concert Pharmaceuticals, Inc.Substituted dioxopiperidinyl phthalimide derivatives

Non-Patent Citations (38)

* Cited by examiner, † Cited by third party
Title
"Encyclopedia of Reagents for Organic Synthesis", 1995, JOHN WILEY AND SONS
"Oral Lipid-Based Formulations: Enhancing the Bioavailability of Poorly Water-Soluble Drugs (Drugs and the Pharmaceutical Sciences", 2007, INFORMA HEALTHCARE
"Remington: The Science and Practice of Pharmacy", 2000, LIPPINCOTT WILLIAMS & WILKINS
"Role of Lipid Excipients in Modifying Oral and Parenteral Drug Delivery: Basic Principles and Biological Examples", 2006, WILEY-INTERSCIENCE
"Scientific Tables, Geigy Pharmaceuticals", 1970, ARDSLEY, pages: 537
"Tarascon Pocket Pharmacopoeia 2000", 2000, TARASCON PUBLISHING, article "PDR Pharmacopoeia"
50TH ANNU MEET AM SOC HEMATOL, 6 December 2008 (2008-12-06)
ABOUL-ENEIN, H.Y. ET AL., JOURNAL OF LIQUID CHROMATOGRAPHY, vol. 14, no. 4, 1991, pages 667 - 73
ALFRED BLOMQUIST ET AL: "Deuterated amino acids. III. Synthesis of DL-aspartic-2,3,3-d3 acid, L-glutamic-2,3,3,4,4-d5 acid, L-asparagine-2,3,3-d3, and L-glutamine-2,3,3,4,4-d5", JOURNAL OF ORGANIC CHEMISTRY., vol. 31, no. 12, 1966, USAMERICAN CHEMICAL SOCIETY, WASHINGTON, DC., pages 4121 - 4127, XP002703643, ISSN: 0022-3263*
BADGUJAR, DM ET AL., J. OF SCIENTIFIC AND INDUSTRIAL RESEARCH, vol. 66, no. 3, 2007, pages 250 - 251
BLAKE, MI ET AL., J PHARM SCI, vol. 64, 1975, pages 367 - 91
CHEN, ZHI- MIN ET AL., HECHENG HUAXUE, vol. 12, no. 2, 2004, pages 167 - 169,173
DANUTA MICHALSKA: "The Raman and IR spectra and normal coordinate analysis of 3-(N-phenylacetylamino)-2,6-piperidinedione, Antineoplaston A10, the new antitumor drug", SPECTROCHIMICA ACTA. PART A: MOLECULAR AND BIOMOLECULAR SPECTROSCOPY, vol. 49a, no. 3, 1993, ELSEVIER, AMSTERDAM, pages 303 - 314, XP002703642, ISSN: 1386-1425*
DUCHO C ET AL: "Synthesis of regio- and stereoselectively deuterium-labelled derivatives of L-glutamate semialdehyde for studies on carbapenem biosynthesis", ORGANIC & BIOMOLECULAR CHEMISTRY, ROYAL SOCIETY OF CHEMISTRY, GB, vol. 7, 11 May 2009 (2009-05-11), pages 2770, XP002586944, ISSN: 1477-0520*
ERIKSSON, T. ET AL., CHIRALITY, vol. 10, no. 3, 1998, pages 223 - 228
ERIKSSON, T. ET AL., JOURNAL OF PHARMACY AND PHARMACOLOGY, vol. 52, no. 7, 2000, pages 807 - 817
FISHER, MB ET AL., CURR OPIN DRUG DISCOV DEVEL, vol. 9, 2006, pages 101 - 09
FOSTER, AB, ADV DRUG RES, vol. 14, 1985, pages 1 - 40
FREIREICH ET AL., CANCER CHEMOTHER REP, vol. 50, 1966, pages 219
FUKUTO ET AL., J. MED. CHEM., vol. 34, 1991, pages 2871 - 76
GANNES, LZ ET AL., COMP BIOCHEM PHYSIOL A MOL INTEGR PHYSIOL, vol. 119, 1998, pages 725
J CLIN ONCOL, vol. 27, no. 27, 2009, pages 4563
J CLIN ONCOL, vol. 27, no. 30, 2009, pages 5008
KEMPF, D.J. ET AL., ANTIMICROBIAL AGENTS AND CHEMOTHERAPY, vol. 41, no. 3, 1997, pages 654 - 60
KUSHNER, DJ ET AL., CAN J PHYSIOL PHARMACOL, 1999, pages 79 - 88
L. FIESER; M. FIESER: "Fieser and Fieser's Reagents for Organic Synthesis", 1994, JOHN WILEY AND SONS
MULLER, GW ET AL., BIOORG MED CHEM LETT, vol. 9, no. 11, 7 June 1999 (1999-06-07), pages 1625 - 1630
MURPHY-POULTON, S.F. ET AL., JOURNAL OF CHROMATOGRAPHY, B: ANALYTICAL TECHNOLOGIES IN THE BIOMEDICAL AND LIFE SCIENCES, vol. 831, no. 1-2, 2006, pages 48 - 56
MURTHY, Y. L. N. ET AL., ORIENTAL JOURNAL OF CHEMISTRY, vol. 25, no. 2, 2009, pages 299 - 306
OGREL, A. ET AL., RUSSIAN JOURNAL OF ORGANIC CHEMISTRY, vol. 37, no. 4, 2001, pages 475 - 479
R. LAROCK: "Comprehensive Organic Transformations", 1989, VCH PUBLISHERS
REEPMEYER, J.C. ET AL., CHIRALITY, vol. 8, no. 1, 1996, pages 11 - 17
SEMBONGI, K. ET AL., BIOLOGICAL & PHARMACEUTICAL BULLETIN, vol. 31, no. 3, 2008, pages 497 - 500
T.W. GREENE; P.G.M. WUTS: "Protective Groups in Organic Synthesis, 3rd Ed.,", 1999, JOHN WILEY AND SONS
TEO, S.K. ET AL., CHIRALITY, vol. 15, no. 4, 2003, pages 348 - 351
WADA, E; HANBA, Y, SEIKAGAKU, vol. 66, 1994, pages 15
WANG, L ET AL., CLINICAL PHARMACOLOGY AND THERAPEUTICS, vol. 56, 1994, pages 659 - 67, Retrieved from the Internet <URL:www.accessdata.fda.gov>
WELLS ET AL,: "Pharmacotherapy Handbook, 2nd Edition,", 2000, APPLETON AND LANGE

Cited By (2)

* Cited by examiner, † Cited by third party
Publication numberPriority datePublication dateAssigneeTitle
US9045453B2 (en)2008-11-142015-06-02Concert Pharmaceuticals, Inc.Substituted dioxopiperidinyl phthalimide derivatives
US9643950B2 (en)2012-10-222017-05-09Concert Pharmaceuticals, Inc.Solid forms of {s-3-(4-amino-1-oxo-isoindolin-2-yl)(piperidine-3,4,4,5,5-d5)-2,6-dione}

Similar Documents

PublicationPublication DateTitle
US20130150408A1 (en)Substituted dioxopiperidinyl phthalimide derivatives
EP2373165B1 (en)Substituted dioxopiperidinyl phthalimide derivaties
US9045453B2 (en)Substituted dioxopiperidinyl phthalimide derivatives
US8575221B2 (en)Derivatives of dimethylcurcumin
EP2970209B1 (en)Deuterated palbociclib with improved metabolic stability
WO2009035598A1 (en)Deuterated pirfenidone
WO2011063001A1 (en)Niacin prodrugs and deuterated versions thereof
WO2012151361A1 (en)Carbamoylpyridone derivatives
AU2013361320A1 (en)Deuterated ALK inhibitors
AU2014205472B2 (en)Deuterated momelotinib
EP2872159A2 (en)Deuterated carfilzomib
WO2014110322A2 (en)Substituted dioxopiperidinyl phthalimide derivatives
WO2009128947A1 (en)Piperazine derivatives
WO2013130849A1 (en)Substituted dioxopiperidinyl phthalimide derivatives
WO2012079075A1 (en)Deuterated phthalimide derivatives
AU2014237569B2 (en)Inhibitors of the enzyme UDP-glucose: N-acyl-sphingosine glucosyltransferase
WO2013036434A1 (en)Tetrahydronaphthalene derivatives as t-type calcium channel blocker
WO2015031741A1 (en)Deuterated derivatives of a thienotriazolodiazapine bromodomain-containing protein inhibitor
WO2011109464A1 (en)Deuterated tetrahydronaphthalene derivatives
WO2016061488A1 (en)Amine reuptake inhibitors
WO2010068480A1 (en)Deuterated derivatives of dimeboline
WO2018013686A1 (en)Deuterated idalopirdine
WO2014008417A1 (en)Deuterated vercirnon
WO2014150044A1 (en)Amine reuptake inhibitors

Legal Events

DateCodeTitleDescription
121Ep: the epo has been informed by wipo that ep was designated in this application

Ref document number:13711187

Country of ref document:EP

Kind code of ref document:A1

NENPNon-entry into the national phase

Ref country code:DE

122Ep: pct application non-entry in european phase

Ref document number:13711187

Country of ref document:EP

Kind code of ref document:A1


[8]ページ先頭

©2009-2025 Movatter.jp