Movatterモバイル変換


[0]ホーム

URL:


WO2013113781A1 - Fungicidal pyrimidine compounds i - Google Patents

Fungicidal pyrimidine compounds i
Download PDF

Info

Publication number
WO2013113781A1
WO2013113781A1PCT/EP2013/051846EP2013051846WWO2013113781A1WO 2013113781 A1WO2013113781 A1WO 2013113781A1EP 2013051846 WEP2013051846 WEP 2013051846WWO 2013113781 A1WO2013113781 A1WO 2013113781A1
Authority
WO
WIPO (PCT)
Prior art keywords
alkyl
individualized compound
alkoxy
compound
compounds
Prior art date
Application number
PCT/EP2013/051846
Other languages
French (fr)
Inventor
Wassilios Grammenos
Ian Robert CRAIG
Nadege Boudet
Bernd Müller
Jochen Dietz
Erica May Wilson LAUTERWASSER
Jan Klaas Lohmann
Jurith Montag
Marianna Vrettou-Schultes
Original Assignee
Basf Se
Basf Schweiz Ag
Priority date (The priority date is an assumption and is not a legal conclusion. Google has not performed a legal analysis and makes no representation as to the accuracy of the date listed.)
Filing date
Publication date
Application filed by Basf Se, Basf Schweiz AgfiledCriticalBasf Se
Publication of WO2013113781A1publicationCriticalpatent/WO2013113781A1/en

Links

Classifications

Definitions

Landscapes

Abstract

The present invention relates to fungicidal pyrimidine compounds of formula (I) as defined herein, to their use and to methods for combating phytopathogenic fungi. The present invention also relates to seeds treated with at least one such compound. Furthermore the invention relates to processes for preparing compounds of formula (I).

Description

Fungicidal pyrimidine compounds I
Description The present invention relates to fungicidal pyrimidine compounds, to their use and to methods for combating phytopathogenic fungi. The present invention also relates to seeds treated with at least one such compound. Furthermore the invention relates to processes for preparing compounds of formula I and intermediates as well as processes for the preparation of such intermediates.
WO 1998/003272 describes a process for the preparation of 4-amino-5-chloro-6-(1 -fluoro- ethyl)pyrimidine compounds, which are pest controlling agents for agricultural and horticultural use. WO 1997/028133 discloses acylated 4-amino and 4-hydrazinopyrimidines and their use as pesticides. EP 665225 A1 relates to 4-phenethylamino pyrimidine derivatives useful for chemical control of noxious organisms. EP 264217 A2 relates to N-(4-pyrimidinyl)arylalkylamine pesticides, inter alia disclosing N-(4-pyrimidinyl)phenylethylamines.
The compounds according to the present invention differ from those described in the abovementioned publications by the specific pyrimidyl substituent Ra2 in 2-position and the specific substituent X as defined herein.
WO 1995/018795 relates to N-(4-pyrimidinyl)amide pesticides but does not mention the specific pyrimidyl substituent Ra2 in 2-position in combination with the specific heteroaryloxy- substituted phenyl side chain.
In many cases, in particular at low application rates, the fungicidal activity of known fungicidal compounds is unsatisfactory. Based on this, it was an object of the present invention to provide compounds having improved activity and/or a broader activity spectrum against phytopathogenic fungi. This objective is achieved by the use of substituted pyrimidine compounds of formula I having good fungicidal activity against phytopathogenic harmful fungi.
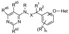
Accordingly, the present inv the formula I
Figure imgf000002_0001
wherein:
Ra2 is A-B-D, wherein
A is a direct bond or a divalent group -0-,
B is a divalent group -CH2-, wherein the divalent group -CH2- is unsubstituted or
substituted by 1 or 2 halogen, and
D is hydrogen or halogen; Ra5, Ra6 are hydrogen;
R is hydrogen, Ci-C4-alkyl, Ci-C4-haloalkyl, Ci-C4-alkoxy, Ci-C4-haloalkoxy,
Ci-C4-alkoxy-Ci-C4-alkyl, Ci-C4-haloalkoxy-Ci-C4-alkyl, C2-C4-alkenyl,
C2-C4-haloalkenyl, C2-C4-alkynyl, C2-C4-haloalkynyl, CN, CH2CN, NRARB or
CH2-0-C(=0)R';
RA, RB independently of one another are hydrogen, Ci-C4-alkyl,
C2-C4-alkenyl, C2-C4-alkynyl, phenyl, benzyl, Cs-Cs-cycloalkyl,
Cs-Cs-cycloalkenyl or C(=0)-R';
R' is hydrogen, OH, NH2, Ci-C4-alkyl, Ci-C4-haloalkyl, C2-C4-alkenyl, C2-C4-alkynyl, Ci-C4-alkoxy, Ci-C4-haloalkoxy, Ci-C4-alkylamino or di(Ci-C4-alkyl)amino;
R1 , R2 independently of each other are hydrogen, halogen, OH , CN,
Ci-C4-alkyl, Ci-C4-haloalkyl, Ci-C4-alkoxy, Ci-C4-haloalkoxy, Ci-C4-alkoxy-Ci-C4-alkyl, Ci-C4-haloalkoxy-Ci-C4-alkyl, C2-C4-alkenyl, C2-C4-haloalkenyl, C2-C4-alkynyl, C2-C4- haloalkynyl, Cs-Cs-cycloalkyl, C3-Cs-cycloalkyloxy, C3-C8-cycloalkyl-Ci-C4-alkyl, NRARB, C(=0)R', C(=NOR")R"', C(=NH)-0-R"' or benzyl,
wherein the phenyl moiety of benzyl is unsubstituted or carries 1 , 2 , 3, 4 or 5 substituents selected from the group consisting of CN, halogen,
Ci-C4-alkyl, Ci-C4-haloalkyl, Ci-C4-alkoxy, Ci-C4-haloalkoxy, (Ci-C4-alkoxy)carbonyl and di(Ci-C4-alkyl)aminocarbonyl, or two radicals R1 and R2 that are bound to the same carbon atom form together with said carbon atom a saturated or partially unsaturated
3-, 4-, 5-, 6- or 7-membered carbocycle or a saturated or partially unsaturated 3-, 4-, 5-, 6- or 7-membered heterocycle, wherein the ring member atoms of the abovementioned heterocycle include beside carbon atoms 1 , 2, 3 or 4 heteroatoms selected from the group of N, O and S, and wherein the abovementioned cycle is unsubstituted or carries 1 , 2, 3 or 4 substituents selected from halogen, CN, OH, SH , Ci-C4-alkyl, Ci-C4-alkoxy or C1-C4- alkylthio; and
one or two CH2 groups of the abovementioned cycles may be replaced by one or two C(=0) or C(=S) groups respectively;
R" is hydrogen, Ci-C4-alkyl, Ci-C4-haloalkyl, C2-C4-alkenyl, C2-C4-alkynyl or
C 1 -C4-a I koxy-C 1 -C4-a I ky I ,
R'" is hydrogen or Ci-C4-alkyl;
X is a divalent group selected from -C(=0)- and -C(=S)-; n indicates the number of substituents Rb on the phenyl ring and n is 0, 1 , 2, 3 or 4; is halogen, CN, NO2, Ci-C4-alkyl, Ci-C4-haloalkyl, Ci-C4-alkoxy, Ci-C4-haloalkoxy, C2-C4-alkenyl, C2-C4-haloalkenyl, C2-C4-alkynyl, C2-C4-haloalkynyl, NRARB, C(=NOR")R"' or C(=NH)-0-R"',
it being possible for n = 2, 3 or 4 that Rb are identical or different; t is a 5- or 6-membered heteroaryl, wherein the ring member atoms of the heteroaryl
include besides carbon atoms 1 , 2, 3 or 4 heteroatoms selected from the group of N, O and S and wherein the heteroaryl is unsubstituted or carries 1 , 2, 3 or 4 identical or different groups Rc:
Rc is halogen, CN, N02, d-Ce-alkyl, d-Ce-haloalkyl, d-Ce-alkoxy, d-Ce-haloalkoxy, d-C6-alkylthio, d-C6-haloalkylthio, d-C6-alkylsulfinyl, d-C6-haloalkylsulfinyl,
Ci-C6-alkylsulfonyl, Ci-C6-haloalkylsulfonyl, d-dralkoxy-d-d-alkyl,
Ci-Ce-haloalkoxy-Ci-d-alkyl, C2-C6-alkenyl, C2-C6-alkynyl, NRARB, C(=0)R', C(=NOR")R'", C(=NH)-0-R'", C3-C8-cycloalkyl, d-C8-cycloalkyl-Ci-d-alkyl, phenyl, phenyl-d-d-alkyl, phenoxy, phenoxy-Ci-d-alkyl or a 5- or 6-membered heteroaryl, wherein the ring member atoms of the heteroaryl include besides carbon atoms 1 , 2, 3 or 4 heteroatoms selected from the group of N, O and S, and wherein the aforementioned cyclic radicals are unsubstituted or carry 1 , 2, 3 or 4 identical or different substituents Rd:
Rd is halogen, CN, d-d-alkyl, d-d-haloalkyl, Ci-d-alkoxy or d-d-haloalkoxy; or two radicals Rc that are bound to adjacent ring member atoms of the Het group form together with said ring member atoms a fused
5-, 6- or 7-membered saturated, partially unsaturated or aromatic carbocycle or heterocycle, wherein the ring member atoms of the fused heterocycle include besides carbon atoms 1 , 2, 3 or 4 heteroatoms selected from the group of N, O and S, and wherein the fused carbocycle or heterocycle is unsubstituted or carries 1 , 2, 3 or 4 identical or different radicals groups Re:
Re is halogen, CN, Ci-d-alkyl, Ci-d-haloalkyl, Ci-d-alkoxy or d-d-haloalkoxy; and the N-oxides and the agriculturally acceptable salts thereof.
The present invention furthermore relates to processes for preparing the compounds I. The present invention furthermore relates to intermediates such as compounds of formulae II, III, I la and Ilia.
The compounds of the present invention are useful for combating harmful fungi. Therefore the present invention furthermore relates to a method for combating harmful fungi, which process comprises treating the fungi or the materials, plants, the soil or seeds to be protected against fungal attack, with an effective amount of at least one compound of formula I or of an N- oxide or an agriculturally acceptable salt thereof.
Furthermore, the present invention also relates to seed comprising a compound of formula I, or an N-oxide or an agriculturally acceptable salt thereof, in an amount of from 0.1 g to 10 kg per 100 kg of seed.
Depending on the substitution pattern, the compounds of formula I and their N-oxides may have one or more centers of chirality, in which case they are present as pure enantiomers or pure diastereomers or as enantiomer or diastereomer mixtures. Both, the pure enantiomers or diastereomers and their mixtures are subject matter of the present invention.
Agriculturally useful salts of the compounds I encompass especially the salts of those cations or the acid addition salts of those acids whose cations and anions, respectively, have no adverse effect on the fungicidal action of the compounds I. Suitable cations are thus in particular the ions of the alkali metals, preferably sodium and potassium, of the alkaline earth metals, preferably calcium, magnesium and barium, of the transition metals, preferably manganese, copper, zinc and iron, and also the ammonium ion which, if desired, may carry one to four Ci-C4-alkyl substituents and/or one phenyl or benzyl substituent, preferably
diisopropylammonium, tetramethylammonium, tetrabutylammonium, tnmethylbenzylammonium, furthermore phosphonium ions, sulfonium ions, preferably tri(Ci-C4-alkyl)sulfonium, and sulfoxonium ions, preferably tri(Ci-C4-alkyl)sulfoxonium.
Anions of useful acid addition salts are primarily chloride, bromide, fluoride, hydrogensulfate, sulfate, dihydrogenphosphate, hydrogenphosphate, phosphate, nitrate, bicarbonate, carbonate, hexafluorosilicate, hexafluorophosphate, benzoate, and the anions of Ci-C4-alkanoic acids, preferably formate, acetate, propionate and butyrate. They can be formed by reacting a compound I with an acid of the corresponding anion, preferably of hydrochloric acid,
hydrobromic acid, sulfuric acid, phosphoric acid or nitric acid.
The compounds of formula I can be present in atropisomers arising from restricted rotation about a single bond of asymmetric groups. They also form part of the subject matter of the present invention.
In repect of the variables, the embodiments of the intermediates correspond to the embodiments of the compounds of formula I.
The term "compounds I" refers to compounds of formula I. Likewise, this terminology applies to all sub-formulae, e. g. "compounds I .A" refers to compounds of the formula I .A or
"compounds II" refers to compounds of the formula II, etc..
The inventive compounds I can be prepared by various routes in analogy to prior art processes and, advantageously, by the synthesis shown in the following schemes and in the experimental part of this application.
A 4-halopyrimidine compound II, wherein Hal is halogen, preferably CI or F, can be reacted with a suitable phenethyl amine compound III, wherein X is -C(=0)-, to obtain a compound I according to the present invention, wherein X is -C(=0)-, as shown in Scheme 1 :
Scheme 1
Figure imgf000005_0001
Generally, this reaction is carried out at temperatures of from 0 to 200°C, preferably from 50 to 170°C, preferably in an inert organic solvent and preferably in presence of a base or a catalyst or a combination of a base and a catalyst.
Suitable catalysts are e.g. haldies such as NaF, KF, LiF, NaBr, KBr, LiBr, Nal, Kl, Lil; ionic liquids, such as imidazolium catalysts; transition metal catalysts like palladium, rhodium, ruthenium, iron, copper in the form of halides, pseudohalides, alkoxides, carboxylates
(pre-ferred acetate), complexes with dibenzylidene acetone and ligands like phosphine, phos- hites, phosphoramidate ligands. Preferred ligands are bidentate and sterically demanding phosphorous ligands, even more preferably the catalysts are selected from 2,2' bis(dipheny phosphanyl)-1 ,1 '-binaphthyl, 2,2'-Bis(diphenylphosphino)-1 ,1 '-biphenyl, 2,4',6'- diisopropyl-1 ,1 '-biphenyl-2-yldicyclohexylphosphine, 2-(dicyclohexylphosphino)-2',6' dimethoxy- 1 ,1 ' b phenyl, 1 ,1 -bis(diphenylphosphino)ferrocene, 9,9-dimethyl-4,5
bis(diphenylphosphino)^xan^thene, 1 ,2-bis(diphenylphosphino)ethane (dppe), 1 ,3- propanediylbis[diphenylphosphine], 1 ,4 butanediylbis[diphenylphosphine] and 1 ,1 '-(1 ,2- ethanediyl)bis[1 -(2-methoxyphenyl)-1 phenyl-diposphine.
Suitable solvents are aromatic hydrocarbons such as toluene, o-, m- and p-xylene;
halogenated hydro-carbons chlorobenzene, dichlorobenzene; ethers such as dioxane, anisole and THF; nitriles such as acetonitrile and propionitrile; ketones such as acetone, methyl ethyl ketone, diethyl ketone and tert. -butyl methyl ketone; alcohols such as ethanol, n-propanol, isopropanol, n-butanol and tert.-butanol; and also DMSO, DMF, dimethyl acetamide, NMP, NEP and acetic acid ethyl ester, preferably THF, DMSO, DMF, dimethyl acetamide, NMP or NEP; even more preferably THF, DMF or NMP. It is also possible to use mixtures of the solvents mentioned.
Suitable bases are, in general, inorganic compounds, such as alkali metal and alkaline earth metal hydroxides such as lithium hydroxide, sodium hydroxide, potassium hydroxide and calcium hydroxide; alkali metal and alkaline earth metal oxides such as lithium oxide, sodium oxide, potassium oxide and calcium oxide; alkali metal and alkaline earth metal phosphates such as lithium phosphate, sodium phosphate, potassium phosphate and calcium phosphate; alkali metal amides such as lithium amide, sodium amide and potassium amide; alkali metal and alkaline earth metal hydrides lithium hydride, sodium hydride, potassium hydride and calcium hydride; alkali metal and alkaline earth metal carbonates such as lithium carbonate, potassium carbonate and calcium carbonate, caesium carbonate; moreover organic bases, for example tertiary amines such as trimethyl-amine (TMA), triethylamine (TEA), tributylamine (TBA), diisopropylethylamine (DIPEA) and N-methyl-2-pyrrolidone (NMP), pyridine, substituted pyridines such as collidine, lutidine and 4 dimethylaminopyridine (DMAP), and also bicyclic amines. Preference is given to sodium hydride, potassium hydride, lithium carbonate, potassium carbonate, caesium carbonate, TEA, TBA and DIPEA, in particular DIPEA. The bases are generally employed in equimolar amounts, in excess or, if appropriate, as solvent. The amount of base is typically 1.1 to 5.0 molar equivalents relative to 1 mole of compounds II.
The starting materials are generally reacted with one another in equimolar amounts. In terms of yields, it may be advantageous to employ an excess of compounds III, based on 1 .1 to 2.5 equivalents, preferred 1 .1 to 1.5 equivalents of compounds II.
The compounds II are known from the literature or are commercially available or they can be prepared for example in analogy to methods described in: Heterocycles (2009) 78(7), 1627- 1665; New J. Chem. (1994) 18(6), 701 -8; WO 2005/095357; Science of Synthesis (2004) 16, 379-572; WO 2008/156726; WO 2006/072831 ; Organic Reactions (Hoboken, NJ, United States) (2000), 56; or Targets in Heterocyclic Systems (2008) 12, 59-84.
The phenyl acetic acid amide compounds III are known from the literature or are
commercially available or they can be prepared for example in analogy to methods described in Organometallics, 30(20), 5442-5451 ; 201 1 , WO 2010058030 A1 20100527, Journal of Organic Chemistry, 52(21 ), 4689-93; 1987, Brit. UK Pat. Appl., 2016466, 26 Sep 1979,
Alternatively, amide compounds I, wherein X is -C(=0)-, can be synthesized by reacting 4-amino-pyrimidine compounds I la, which are available by reaction of a chloro-pyrimidine II with excess of ammonia in analogy to methods described in WO 201 1/147066; WO 2006/135719; US 2005/0245530 A1 ; J. Chem. Soc. (1951 ), 3439-44; Helv. Chim. Act. (1951 ), 34, 835-40, with the corresponding phenyl acetic acid ester compounds Ilia, in which Z is hydrogen or C1-C4- alkyl and which are commercially available, preferably in presence of ΑΙΜβ3 (1 to 3 equivalents) as stoichiometric reagent preferably in an inert organic solvent such as toluene (in analogy to US 2010/0063063 A1 ; WO 2005/01 1601 ; WO 2006/074884) as described in Scheme 2:
Scheme 2
Figure imgf000007_0001
Compounds I , wherein X is -C(=S)-, can be can be prepared from compounds I , wherein X is -C(=0)-, for example, in analogy to methods described in US 20100022538 A1 ; J. Med. Chem. (201 1 ), 54(9), 3241 -3250; J. Org. Chem. (201 1 ), 76(6), 1546-1553; Org. Lett. (2010), 12(23), 5570-5572.
Compounds I and intermediates, wherein R is hydrogen, can be converted by conventional processes such as alkylation. Examples of suitable alkylating agents include alkyl halides, such as alkyl chloride, alkyl bromide or alkyl iodide, examples being methyl chloride, methyl bromide or methyl iodide, or dialkyl sulfates such as dimethyl sulfate or diethyl sulfate. The reaction with the alkylating agent is carried out advantageously in the presence of a solvent. Solvents used for these reactions are - depending on temperature range - aliphatic, cycloaliphatic or aromatic hydrocarbons such as hexane, cyclohexane, toluene, xylene, chlorinated aliphatic and aromatic hydrocarbons such as DCM, chlorobenzene, open-chain dialkyl ethers such as diethyl ether, di- n-propyl ether, MTBE, cyclic ethers such as THF, 1 ,4-dioxane, glycol ethers such as dimethyl glycol ether, and also DMSO, DMF, dimethyl acetamide, NMP, NEP and acetic acid ethyl ester, preferably DMF, DMSO, NMP or NEP, or mixtures of these solvents.
If individual compounds I cannot be obtained by the routes described above, they can be prepared by derivatization of other compounds I.
The N-oxides may be prepared from the compounds I according to conventional oxidation methods, e. g. by treating compounds I with an organic peracid such as metachloroperbenzoic acid (cf. WO 03/64572 or J. Med. Chem. 1995, 38(1 1 ), 1892-1903,); or with inorganic oxidizing agents such as hydrogen peroxide (cf. J. Heterocyc. Chem. 1981 , 18 (7), 1305-1308) or oxone (cf. J. Am. Chem. Soc. 2001 , 123 (25), 5962-5973). The oxidation may lead to pure mono-N- oxides or to a mixture of different N-oxides, which can be separated by conventional methods such as chromatography.
If the synthesis yields mixtures of isomers, a separation is generally not necessarily required since in some cases the individual isomers can be interconverted during work-up for use or during application (e. g. under the action of light, acids or bases). Such conversions may also take place after use, e. g. in the treatment of plants in the treated plant, or in the harmful fungus to be controlled. In the definitions of the variables given above, collective terms are used which are generally representative for the substituents in question. The term "Cn-Cm" indicates the number of carbon atoms possible in each case in the substituent or substituent moiety in question.
The term "halogen" refers to fluorine, chlorine, bromine and iodine.
The term "Ci-C4-alkyl" refers to a straight-chained or branched saturated hydrocarbon group having 1 to 4 carbon atoms, for example methyl, ethyl, propyl, 1 -methylethyl, butyl, 1 - methylpropyl, 2-methylpropyl, and 1 ,1 -dimethylethyl. Likewise, the term "Ci-C6-alkyl" refers to a straight-chained or branched saturated hydrocarbon group having 1 to 6 carbon atoms.
The term "Ci-C4-haloalkyl" refers to a straight-chained or branched alkyl group having 1 to 4 carbon atoms (as defined above), wherein some or all of the hydrogen atoms in these groups may be replaced by halogen atoms as mentioned above, for example chloromethyl,
bromomethyl, dichloromethyl, trichloromethyl, fluoromethyl, difluoromethyl, trifluoromethyl, chlorofluoromethyl, dichlorofluoromethyl, chlorodifluoromethyl, 1 -chloroethyl, 1 -bromoethyl, 1 - fluoroethyl, 2-fluoroethyl, 2,2-difluoroethyl, 2,2,2-trifluoroethyl, 2-chloro-2-fluoroethyl, 2-chloro- 2,2-difluoroethyl, 2,2-dichloro-2-fluoroethyl, 2,2,2-trichloroethyl and pentafluoroethyl, 2- fluoropropyl, 3-fluoropropyl, 2,2-difluoropropyl, 2,3-difluoropropyl, 2-chloropropyl, 3- chloropropyl, 2,3-dichloropropyl, 2-bromopropyl, 3-bromopropyl, 3,3,3-trifluoropropyl, 3,3,3- trichloropropyl, CH2-C2F5, CF2-C2F5, CF(CF3)2, 1 -(fluoromethyl)-2-fluoroethyl, l -(chloromethyl)- 2-chloroethyl, 1 -(bromomethyl)-2-bromoethyl, 4-fluorobutyl, 4-chlorobutyl, 4-bromobutyl or nonafluorobutyl. Likewise, the term "Ci-C6-haloalkyl" refers to a straight-chained or branched alkyl group having 1 to 6 carbon atoms.
The term "Ci-C4-hydroxyalkyl" refers to a straight-chained or branched alkyl group having 2 to 4 carbon atoms (as defined above), wherein one hydrogen atom in these groups may be replaced by one hydroxy group, for example hydroxym ethyl, 2-hydroxyethyl, 3-hydroxy-n-propyl, or 4-hydroxy-n-butyl.
The term "Ci-C4-alkoxy" refers to a straight-chain or branched alkyl group having 1 to 4 carbon atoms (as defined above) which is bonded via an oxygen, at any position in the alkyl group, for example methoxy, ethoxy, n-propoxy, 1-methylethoxy, butoxy, 1 -methyhpropoxy, 2- methylpropoxy or 1 ,1 -dimethylethoxy. Likewise, the term "Ci-C6-alkoxy" refers to a straight- chain or branched alkyl group having 1 to 6 carbon atoms.
The term "Ci-C4-haloalkoxy" refers to a Ci-C4-alkoxy group as defined above, wherein some or all of the hydrogen atoms may be replaced by halogen atoms as mentioned above, for example, OCH2F, OCHF2, OCF3, OCH2CI, OCHCI2, OCCI3, chlorofluoromethoxy,
dichlorofluoromethoxy, chlorodifluoromethoxy, 2-fluoroethoxy, 2-chloroethoxy, 2-bromoethoxy, 2-iodoethoxy, 2,2-difluoroethoxy, 2,2,2-trifluoroethoxy, 2-chloro-2-fluoroethoxy, 2-chloro-2,2- difluoroethoxy, 2,2-dichloro-2-fluoroethoxy, 2,2,2-trichloroethoxy, OC2F5, 2-fluoropropoxy, 3- fluoropropoxy, 2,2-difluoropropoxy, 2,3-difluoropropoxy, 2-chloropropoxy, 3-chloropropoxy, 2,3- dichloropropoxy, 2-bromopropoxy, 3-bromopropoxy, 3,3,3-trifluoropropoxy, 3,3,3- trichloropropoxy, OCH2-C2F5, OCF2-C2F5, 1 -(CH2F)-2-fluoroethoxy, 1 -(CH2CI)-2-chloroethoxy, 1-(CH2Br)-2-bromo-,ethoxy, 4-fluorobutoxy, 4-chlorobutoxy, 4-bromobutoxy or
nonafluorobutoxy. Likewise, the term "Ci-C6-haloalkoxy" refers to a Ci-C6-alkoxy group as defined above, wherein some or all of the hydrogen atoms may be replaced by halogen atoms as mentioned above.
The term "Ci-C4-alkoxy-Ci-C4-alkyl" refers to alkyl having 1 to 4 carbon atoms (as defined above), wherein one hydrogen atom of the alkyl radical is replaced by a Ci-C4-alkoxy group (as defined above). Likewise, the term "Ci-C6-alkoxy-Ci-C4-alkyl" refers to alkyl having 1 to 4 carbon atoms (as defined above), wherein one hydrogen atom of the alkyl radical is replaced by a Ci-C6-alkoxy group (as defined above).
The term "Ci-C4-alkoxy-Ci-C4-alkoxy" refers to an alkoxy radical having 1 to 4 carbon atoms (as defined above), wherein one hydrogen atom of this alkoxy radical is replaced by a
Ci-C4-alkoxy group (as defined above). Likewise, the term "Ci-C6-alkoxy-Ci-C4-alkoxy" refers to alkoxy having 1 to 4 carbon atoms (as defined above), wherein one hydrogen atom of the alkyl radical is replaced by a Ci-C6-alkoxy group (as defined above).
The term "Ci-C4-haloalkoxy-Ci-C4-alkyl" refers to alkyl having 1 to 4 carbon atoms (as defined above), wherein one hydrogen atom of the alkyl radical is replaced by a
Ci-C4-haloalkoxy group (as defined above). Likewise, the term "Ci-C6-haloalkoxy-Ci-C4-alkyl" refers to alkyl having 1 to 4 carbon atoms (as defined above), wherein one hydrogen atom of the alkyl radical is replaced by a Ci-C6-alkoxy group (as defined above).
The term "Ci-C4-alkylthio" as used herein refers to straight-chain or branched alkyl groups having 1 to 4 carbon atoms (as defined above) bonded via a sulfur atom, at any position in the alkyl group, for example methylthio, ethylthio, propylthio, isopropylthio, and n butylthio.
Likewise, the term "Ci-C6-alkylthio" as used herein refers to straight-chain or branched alkyl groups having 1 to 6 carbon atoms (as defined above) bonded via a sulfur atom. Accordingly, the terms "Ci-C4-haloalkylthio" and "Ci-C6-haloalkylthio" as used herein refer to straight-chain or branched haloalkyi groups having 1 to 4 or 1 to 6 carbon atoms (as defined above) bonded through a sulfur atom, at any position in the haloalkyi group.
The terms "Ci-C4-alkylsulfinyl" or "Ci-C6-alkylsulfinyl" refer to straight-chain or branched alkyl groups having 1 to 4 or 1 to 6 carbon atoms (as defined above) bonded through a -S(=0)- moiety, at any position in the alkyl group, for example methylsulfinyl and ethylsulfinyl, and the like. Accordingly, the terms "Ci-C4-haloalkylsulfinyl" and "Ci-C6-haloalkylsulfinyl", respectively, refer to straight-chain or branched haloalkyi groups having 1 to 4 and 1 to 6 carbon atoms (as defined above), respectively, bonded through a -S(=0)- moiety, at any position in the haloalkyi group.
The terms "Ci-C4-alkylsulfonyl" and "Ci-C6-alkylsulfonyl", respectively, refer to straight-chain or branched alkyl groups having 1 to 4 and 1 to 6 carbon atoms (as defined above),
respectively, bonded through a -S(=0)2- moiety, at any position in the alkyl group, for example methylsulfonyl. Accordingly, the terms "Ci-C4-haloalkylsulfonyl" and "Ci-C6-haloalkylsulfonyl", respectively, refer to straight-chain or branched haloalkyi groups having 1 to 4 and 1 to 6 carbon atoms (as defined above), respectively, bonded through a -S(=0)2- moiety, at any position in the haloalkyl group.
The term "Ci-C4-alkylamino" refers to an amino radical carrying one Ci-C4-alkyl group (as defined above) as substituent, for example methylamino, ethylamino, propylamino, 1 - methylethylamino, butylamino, 1 -methylpropylamino, 2-methylpropylamino, 1 ,1 -di- methylethylamino and the like. Likewise, the term "Ci-C6-alkylamino" refers to an amino radical carrying one Ci-C6-alkyl group (as defined above) as substituent.
The term "di(Ci-C4-alkyl)amino" refers to an amino radical carrying two identical or different Ci-C4-alkyl groups (as defined above) as substituents, for example dimethylamino,
diethylamino, di-n-propylamino, diisopropylamino, N-ethyl-N-methylamino, N-(n-propyl)-N- methylamino, N-(isopropyl)-N methylamino, N-(n-butyl)-N-methylamino, N-(n-pentyl)-N- methylamino, N-(2-butyl)-N methylamino, N-(isobutyl)-N-methylamino, and the like. Likewise, the term "di(Ci-C6-alkyl)amino" refers to an amino radical carrying two identical or different Ci- C6-alkyl groups (as defined above) as substituents.
The term "(Ci-C4-alkoxy)carbonyl" refers to a Ci-C4-alkoxy radical (as defined above) which is attached via a carbonyl group.
The term "di(Ci-C4-alkyl)aminocarbonyl" refers to a di(Ci-C4)alkylamino radical as defined above which is attached via a carbonyl group.
The term "phenoxy" and refers to a phenyl radical which is attached via an oxygen atom. Likewise, the term "phenoxy-Ci-C4-alkyl" and refers to a phenoxy radical which is attached via a Ci-C4-alkyl group (as defined above).
The term "C2-C4-alkenyl" refers to a straight-chain or branched unsaturated hydrocarbon radical having 2 to 4 carbon atoms and a double bond in any position, such as ethenyl, 1 - propenyl, 2-propenyl (allyl), 1 -methylethenyl, 1 -butenyl, 2-butenyl, 3-butenyl, 1 -methyl-1 - propenyl, 2-methyl-1 -propenyl, 1 -methyl-2-propenyl, 2-methyl-2-propenyl. Likewise, the term "C2-C6-alkenyl" refers to a straight-chain or branched unsaturated hydrocarbon radical having 2 to 6 carbon atoms and a double bond in any position.
The term "C2-C4-alkynyl" refers to a straight-chain or branched unsaturated hydrocarbon radical having 2 to 4 carbon atoms and containing at least one triple bond, such as ethynyl, 1 - propynyl, 2-propynyl, 1 -butynyl, 2-butynyl, 3-butynyl, 1 -methyl-2-propynyl. Likewise, the term "C2-C6-alkynyl" refers to a straight-chain or branched unsaturated hydrocarbon radical having 2 to 6 carbon atoms and at least one triple bond.
The term "Cs-Cs-cycloalkyl" refers to monocyclic saturated hydrocarbon radicals having 3 to 8 carbon ring members, such as cyclopropyl (C3H5), cyclobutyl, cyclopentyl, cyclohexyl, cycloheptyl or cyclooctyl.
The term "C3-C8-cycloalkyl-Ci-C4-alkyl" refers to an alkyl radical having 1 to 4 carbon atoms (as defined above), wherein one hydrogen atom of the alkyl radical is replaced by a Cs-Cs- cycloalkyl group (as defined above).
The term "Cs-Cs-cycloalkyloxy" refers to a cycloalkyl radical having 3 to 8 carbon atoms (as defined above), which is bonded via an oxygen.
The term "saturated or partially unsaturated 3-, 4- 5-, 6- or 7-membered carbocycle" is to be understood as meaning both saturated or partially unsaturated carbocycles having 3, 4, 5, 6 or 7 ring members. Examples include cyclopropyl, cyclopentyl, cyclopentenyl, cyclopentadienyl, cyclohexyl, cyclohexenyl, cyclohexadienyl, cycloheptyl, cycloheptenyl, cycloheptadienyl, and the like. The term " saturated or partially unsaturated 3-, 4-, 5-, 6-, or 7-membered heterocycle, wherein the ring member atoms of the heterocycle include besides carbon atoms 1 , 2, 3 or 4 heteroatoms selected from the group of N, O and S", is to be understood as meaning both saturated and partially unsaturated heterocycles, e.g.:
- a 3- or 4-membered saturated heterocycle which contains 1 or 2 heteroatoms from the group consisting of N, O and S as ring members such as oxirane, aziridine, thiirane, oxetane, azetidine, thiethane, [1 ,2]dioxetane, [1 ,2]dithietane, [1 ,2]diazetidine; or
- a 5- or 6-membered saturated or partially unsaturated heterocycle which contains 1 , 2 or 3 heteroatoms from the group consisting of N, O and S as ring members such as 2- tetrahydrofuranyl, 3-tetrahydrofuranyl, 2-tetrahydrothienyl, 3-tetrahydrothienyl, 2-pyrrolidinyl,
3- pyrrolidinyl, 3-isoxazolidinyl, 4-isoxazolidinyl, 5-isoxazolidinyl, 3-isothiazolidinyl,
4- isothiazolidinyl, 5-isothiazolidinyl, 3-pyrazolidinyl, 4-pyrazolidinyl, 5-pyrazolidinyl, 2- oxazolidinyl, 4-oxazolidinyl, 5-oxazolidinyl, 2-thiazolidinyl, 4-thiazolidinyl, 5-thiazolidinyl, 2-imidazolidinyl, 4-imidazolidinyl, 1 ,2,4-oxadiazolidin-3-yl, 1 ,2,4-oxadiazolidin-5-yl, 1 ,2,4- thiadiazolidin-3-yl, 1 ,2,4-thiadiazolidin-5-yl, 1 ,2,4-triazolidin-3-yl, 1 ,3,4-oxadiazolidin-2-yl, 1 ,3,4-thiadiazolidin-2-yl, 1 ,3,4-triazolidin-2-yl, 2,3-dihydrofur-2-yl, 2,3-dihydrofur-3-yl, 2,4- dihydrofur-2-yl, 2,4-dihydrofur-3-yl, 2,3-dihydrothien-2-yl, 2,3-dihydrothien-3-yl, 2,4-dihydro- thien-2-yl, 2,4-dihydrothien-3-yl, 2-pyrrolin-2-yl, 2-pyrrolin-3-yl, 3-pyrrolin-2-yl, 3-pyrrolin-3-yl,
2- isoxazolin-3-yl, 3-isoxazolin-3-yl, 4-isoxazolin-3-yl, 2-isoxazolin-4-yl, 3-isoxazolin-4-yl, 4- isoxazolin-4-yl, 2-isoxazolin-5-yl, 3-isoxazolin-5-yl, 4-isoxazolin-5-yl, 2-isothiazolin-3-yl,
3- isothiazolin-3-yl, 4-isothiazolin-3-yl, 2-isothiazolin-4-yl, 3-isothiazolin-4-yl, 4-isothiazolin-4- yl, 2-isothiazolin-5-yl, 3-isothiazolin-5-yl, 4-isothiazolin-5-yl, 2,3-dihydropyrazol-1 -yl,
2.3- dihydropyrazol-2-yl, 2,3-dihydropyrazol-3-yl, 2,3-dihydropyrazol-4-yl, 2,3-dihydropyrazol-
5- yl, 3,4-dihydropyrazol-1 -yl, 3,4-dihydropyrazol-3-yl, 3,4-dihydropyrazol-4-yl, 3,4- dihydropyrazol-5-yl, 4,5-dihydropyrazol-1 -yl, 4,5-dihydropyrazol-3-yl, 4,5-dihydropyrazol-4-yl, 4,5-dihydropyrazol-5-yl, 2,3-dihydrooxazol-2-yl, 2,3-dihydrooxazol-3-yl, 2,3-dihydrooxazol-4- yl, 2,3-dihydrooxazol-5-yl, 3,4-dihydrooxazol-2-yl, 3,4-dihydrooxazol-3-yl, 3,4-dihydrooxazol-
4- yl, 3,4-dihydrooxazol-5-yl, 3,4-dihydrooxazol-2-yl, 3,4-dihydrooxazol-3-yl, 3,4-di- hydrooxazol-4-yl, 2-piperidinyl, 3-piperidinyl, 4-piperidinyl, 1 ,3-dioxan-5-yl, 2-tetrahydro- pyranyl, 4-tetrahydropyranyl, 2-tetrahydrothienyl, 3-hexahydropyridazinyl, 4-hexa- hydropyridazinyl, 2-hexahydropyrimidinyl, 4-hexahydropyrimidinyl, 5-hexahydropyrimidinyl, 2-piperazinyl, 1 ,3,5-hexahydrotriazin-2-yl and 1 ,2,4-hexahydrotriazin-3-yl and also the corresponding -ylidene radicals; and
- a 7-membered saturated or partially unsaturated heterocycle such as tetra- and hexahydroazepinyl, such as 2,3,4,5-tetrahydro[1 H]azepin-1 -, -2-, -3-, -4-, -5-,
-6- or -7-yl, 3,4,5,6-tetrahydro[2H]azepin-2-, -3-, -4-, -5-, -6- or -7-yl, 2,3,4,7-tetrahydro- [1 H]azepin-1 -, -2-, -3-, -4-, -5-, -6- or -7-yl, 2,3,6,7-tetrahydro[1 H]azepin-1 -, -2-,
-3-, -4-, -5-, -6- or -7-yl, hexahydroazepin-1 -, -2-, -3- or -4-yl, tetra- and hexahydrooxepinyl such as 2,3,4,5-tetrahydro[1 H]oxepin-2-, -3-, -4-, -5-, -6- or -7-yl, 2,3,4,7-te- trahydro[1 H]oxepin-2-, -3-, -4-, -5-, -6- or -7-yl, 2,3,6,7-tetrahydro[1 H]oxepin-2-, -3-, -4-, -5-, -
6- or -7-yl, hexahydroazepin-1 -, -2-, -3- or -4-yl, tetra- and hexahydro-1 ,3-diazepinyl, tetra- and hexahydro-1 ,4-diazepinyl, tetra- and hexahydro-1 ,3-oxazepinyl, tetra- and hexahydro-
1 .4- oxazepinyl, tetra- and hexahydro-1 ,3-dioxepinyl, tetra- and hexahydro-1 ,4-dioxepinyl and the corresponding -ylidene radicals; and The term "5-or 6-membered heteroaryl, wherein the ring member atoms of the heteroaryl include besides carbon atoms 1 , 2, 3 or 4 heteroatoms selected from the group of N, O and S", refers to, for example,
- a 5-membered heteroaryl such as pyrrol-1 -yl, pyrrol-2-yl, pyrrol-3-yl, thien-2-yl, thien-3-yl, furan-2-yl, furan-3-yl, pyrazol-1 -yl, pyrazol-3-yl, pyrazol-4-yl, pyrazol-5-yl, imidazol-1 -yl, imidazol-2-yl, imidazol-4-yl, imidazol-5-yl, oxazol-2-yl, oxazol-4-yl, oxazol-5-yl, isoxazol-3-yl, isoxazol-4-yl, isoxazol-5-yl, thiazol-2-yl, thiazol-4-yl, thiazol-5-yl, isothiazol-3-yl, isothiazol-4-yl, isothiazol-5-yl, 1 ,2,4-triazolyl-1 -yl, 1 ,2,4-triazol-3-yl 1 ,2,4-triazol-5-yl, 1 ,2,4-oxadiazol-3-yl, 1 ,2,4-oxadiazol-5-yl and 1 ,2,4-thiadiazol-3-yl, 1 ,2,4-thiadiazol-5-yl; or
- a 6-membered heteroaryl, such as pyridin-2-yl, pyridin-3-yl, pyridin-4-yl, pyridazin-3-yl, pyridazin-4-yl, pyrimidin-2-yl, pyrimidin-4-yl, pyrimidin-5-yl, pyrazin-2-yl and 1 ,3,5-triazin-2-yl and 1 ,2,4-triazin-3-yl.
The term "two radicals Rc that are bound to adjacent ring member atoms form together with said ring member atoms a fused cycle" refers to a condensed bicyclic ring system, wherein 5- or 6-membered heteroaryl carries a fused-on 5-, 6- or 7-membered carbocyclic or heterocyclic ring it being possible that these rings are saturated or partially saturated or aromatic.
The term "one or two Chb groups of the abovementioned cycles may be respectively replaced by one or two C(=0) or C(=S) groups" refers to an exchange of carbon atoms from a saturated or partially unsaturated 3-, 4-, 5-, 6- or 7-membered carbocycle or a saturated or partially unsaturated 3-, 4-, 5-, 6- or 7-membered heterocycle, resulting in cycles such as cyclopropanone, cyclopentanone, cyclopropanethione, cyclopentanethione, 5-oxazolone, cyclohexane-1 ,4-dione, cyclohexane-1 ,4-dithione, cyclohex-2-ene-1 ,4-dione or cyclohex-2-ene- 1 ,4-dithione.
In this application, CH3 shall also be understood as Me, CH2CH3 shall also be understood as Et, OCH3 shall also be understood as OMe, OCH2OCH3 shall also be understood as OMeOMe, CH2OCH3 shall also be understood as MeOMe, COOCH3 shall also be understood as COOMe and COOC2H5 shall also be understood as COOEt.
As regards the fungicidal activity of the compounds I, preference is given to those compounds I and where applicable also to compounds of all sub-formulae provided herein, for example formulae 1.1 , 1.2, 1.3, I.4, 1.1 F, I.4F, I.F1 and I.F2 and to the intermediates such as compounds II, III, lla and Ilia, wherein the substituents and variables (e.g. A, B, D, Ra2, Ra5, Ra6, R, X, R1, R2, RA, RB, Het, n, Ra, Rb, Rc, Rd, Re, R', R" and R'") have independently of each other or more preferably in combination the following meanings including also each combination of meanings for any subset of substituents and variables:
One embodiment relates to compounds I, wherein A is a direct bond.
A further embodiment relates to compounds I, wherein A is -0-.
According to a further embodiment, B is -CH2- or -CF2-, in particular B is -CH2-.
According to a further embodiment, D is hydrogen.
According to a further embodiment, Ra2 is selected from CH3, CF3 and OCH3.
Further preferred embodiments relate to compounds I wherein Ra2 in each case is one of the following groups 1-1 to I-3 in Table I: Table I:
Figure imgf000013_0001
Figure imgf000013_0005
Figure imgf000013_0006
Figure imgf000013_0007
Preferably, RA, RB in radical R independently of one another preferably are hydrogen or Ci- C4-alkyl.
Preferably, R' in radical R is hydrogen, OH, NH2, Ci-C4-alkyl or Ci-C4-alkoxy.
In the compounds I according to the invention, R is preferably hydrogen, Ci-C4-alkyl, Ci-C4- alkoxy, Ci-C4-alkoxy-Ci-C4-alkyl, C2-C4-alkenyl, C2-C4-alkynyl, CN, CH2CN or CH2-0-C(=0)R', wherein R' is hydrogen, Ci-C4-alkyl or Ci-C4-alkoxy; more preferably R is hydrogen, Ci-C4-alkyl, Ci-C4-alkoxy-Ci-C4-alkyl, C2-C4-alkenyl or C2-C4-alkynyl; most preferably R is hydrogen or Ci- C4-alkyl, in particular R is hydrogen.
Another preferred embodiment relates to compounds I wherein R is CH3.
In the compounds I according to the invention, X is preferably -C(=0)- .
According to a further embodiment, the moiety O-Het is bound in meta-position to the phenylring. According to a further embodiment, the moiety O-Het is bound in ortho-position to the phenylring.
According to a further embodiment, the moiety O-Het is bound in para-position to the phenylring, which compounds are of formula 1.1 :
Figure imgf000013_0002
According to a further embodiment, the moiety O-Het is bound in para-position to the phenylring and X is -C(=0)-, w
Figure imgf000013_0003
According to a further embodiment, the moiety O-Het is bound in para-position to the phenylring and the substituents R, R1 and R2 are hydrogen, which compounds are of formula I.2:
Figure imgf000013_0004
According to a further embodiment, the moiety O-Het is bound in para-position to the phenylring, R is CH3 and the substituents R1 and R2 are hydrogen, which compounds are of formula 1.3:
Figure imgf000014_0001
According to a further embodiment, the moiety O-Het is bound in meta-position to the phenylring, which compounds are of formula 1.4:
Figure imgf000014_0002
According to a further embodiment, the moiety O-Het is bound in meta-position to the phenylring and X is -C(=0)-, w
Figure imgf000014_0003
According to a further embodiment X is -C(=0)-, n is 0, R is hydrogen, the moiety O-Het is bound in para-position to the phenylring and R1 and R2 are both hydrogen, which compounds are of formula I.F1 :
Figure imgf000014_0004
According to a further embodiment X is -C(=0)-, n is 0, R is CH3, the moiety O-Het is bound in para-position to the phenylring and R1 and R2 are both hydrogen, which compounds are of formula I.F2:
Figure imgf000014_0005
In the compounds I according to the invention, R1 and R2 independently of each other are preferably hydrogen, halogen, CN, Ci-C4-alkyl, Ci-C4-haloalkyl, Ci-C4-alkoxy, Ci-C4-haloalkoxy or C3-C8-cycloalkyl.
According to a further embodiment, R1 and R2 independently of each other are preferably hydrogen, CN, F, CH3, CH2CH3 or OCH3, more preferably R1 and R2 independently of each other are hydrogen or CH3, even more preferably, R1 and R2 are both hydrogen.
Preferably, RA, RB in radicals R1, R2, Rb and/or Rc, independently of one another preferably are hydrogen or Ci-C4-alkyl. Preferably, R' in radicals R1, R2 and/or Rc, which may the same or different, are hydrogen, NH2, Ci-C4-alkyl or Ci-C4-alkoxy.
Preferably, R" in radicals R1, R2, Rb and/or Rc, which may the same or different, are hydrogen, Ci-C4-alkyl.
Preferably, R'" in radicals R1, R2, Rb and/or Rc, which may the same or different, are hydrogen or Ci-C4-alkyl.
Further preferred embodiments relate to compounds I wherein the combination of R1 and R2 is in each case one of the following combinations 11-1 to II-7 in Table II: Table II:
Figure imgf000015_0004
Figure imgf000015_0002
Figure imgf000015_0003
In the compounds I according to the invention, Rb is preferably selected from the group consisting of halogen, CN, NO2, Ci-C4-alkyl, Ci-C4-haloalkyl, Ci-C4-alkoxy, Ci-C4-haloalkoxy and Ci-C4-alkoxy-Ci-C4-alkyl; more preferably Rb is halogen, CN, Ci-C4-alkyl, Ci-C4-haloalkyl or Ci-C4-alkoxy; most preferably Rb is halogen, CN, CH3, CF3 or OCH3.
According to a further embodiment, n is 1 , 2, 3 or 4 and Rb is selected from the group of halogen, CN, NO2, Ci-C4-alkyl, Ci-C4-haloalkyl, Ci-C4-alkoxy, Ci-C4-haloalkoxy and C1-C4- alkoxy-Ci-C4-alkyl.
In the compounds I according to the invention, n is preferably 0. According to a further embodiment, n is preferably 1 According to a further embodiment, n is preferably 2. According to a further embodiment, n is preferably 3.
Further preferred embodiments relate to compounds I wherein n is 1 and Rb is in each case one of the following groups III-1 to III-20 in Table III: Table III:
Figure imgf000015_0001
Figure imgf000015_0005
Figure imgf000015_0006
* The position of Rb on the phenyl ring is defined in Table I relative to the CR1R2-moiety bound to the phenyl ring as being in ortho (o-) or meta (m-) position.
One embodiment of the invention relates to compounds I, in which Het is a 6-membered heteroaryl, wherein the ring member atoms of the heteroaryl include besides carbon atoms 1 , 2, 3 or 4 heteroatoms selected from the group of N, O and S, and wherin the 6-membered heteroaryl is unsubstituted or carries 1 , 2, 3 or 4 identical or different groups Rc.
If Het is a 6-membered heteroaryl, in one embodiment, Het carries at least one nitrogen as ring member atom. Preference is given to compounds I, in which Het is a pyridyl radical that is selected from pyridin-2-yl, pyridin-3-yl and pyridin-4-yl, and wherein the aforementioned pyridyl radicals are unsubstituted or carry 1 , 2, 3 or 4 identical or different substituents Rc. More preferably, Het is pyridin-2-yl, which is unsubstituted or carries one or two radicals Rc.
Preference is given to compounds I, in which Het is a pyrimidinyl radical that is selected from pyrimidin-2-yl, pyrimidin-4-yl, pyrimidin-5-yl and pyrimidin-6-yl, and wherein the aformentioned pyrimidinyl radicals are unsubstituted or carry 1 , 2 or 3 identical or different substituents Rc.
If Het is a 5-membered heteroaryl, in another embodiment of the invention, Het carries two heteroatoms as ring member atoms. Preference is given to compounds I, in which Het is a pyrazolyl radical that is selected from pyrazol-3-yl, pyrazol-4-yl and pyrazol-5-yl, and wherein the aforementioned pyrazolyl radicals are unsubstituted or carry 1 , 2 or 3 identical or different substituents Rc. Preference is given to compounds I, in which Het is an isoxazolyl radical that is selected from isoxazol-3-yl, isoxazol-4-yl and isoxazol-5-yl, and wherein the aforementioned isoxazolyl radicals are unsubstituted or carry 1 or 2 identical or different substituents Rc.
Preference is given to compounds I, in which Het is an isothiazolyl radical that is selected from isothiazol-3-yl, isothiazol-4-yl and isothiazol-5-yl, and wherein the aforementioned isothiazolyl radicals are unsubstituted or carry 1 or 2 identical or different substituents Rc. Preference is given to compounds I, in which Het is an imidazolyl radical that is selected from imidazol-2-yl, imidazol-4-yl and imidazol-5-yl, and wherein the aforementioned imidazolyl radicals are unsubstituted or carry 1 , 2 or 3 identical or different substituents Rc. Preference is given to compounds I, in which Het is an oxazolyl radical that is selected from oxazol-2-yl, oxazol-4-yl and oxazol-5-yl, and wherein the aforementioned oxazolyl radicals are unsubstituted or carry 1 or 2 identical or different substituents Rc. Preference is given to compounds I, in which Het is a thiazolyl radical that is selected from thiazol-2-yl, thiazol-4-yl and thiazol-5-yl, and wherein the aforementioned thiazolyl radicals are unsubstituted or carry 1 or 2 identical or different substituents Rc.
Preferred embodiments of the invention relate to compounds I, in which the group Het is one of the following radicals H-1 to H-38:
Figure imgf000016_0001
Figure imgf000017_0001
in which # indicates the point of attachment.
One embodiment of the invention relates to compounds I, wherein Het carries 1 , 2 or 3 radicals Rc. Another embodiment relates to compounds I, wherein Het carries 1 or 2 radicals Rc. A further embodiment relates to compounds I, wherein Het carries one radical Rc. A further embodiment relates to compounds I, wherein Het carries two radicals Rc. A further embodiment relates to compounds I, wherein Het is unsubstituted.
In a further embodiment, two radicals Rc that are bound to adjacent ring member atoms of the Het group do not form together with said ring member atoms any fused cycle.
Preferably, Rc is halogen, CN , Ci-C6-alkyl, Ci-C6-haloalkyl, Ci-C6-alkoxy, Ci-C6-haloalkoxy, Ci-C6-alkoxy-Ci-C4-alkyl, C(=0)R', C(=NOR")R"', C3-C8-cycloalkyl, Ci-C4-alkyl-C3-C8-cycloalkyl, phenyl, phenoxy, phenoxy-Ci-C4-alkyl or a 5- or 6-membered heteroaryl, wherein the ring member atoms of the heteroaryl include besides carbon atoms 1 , 2, 3 or 4 heteroatoms selected from the group of N, O and S, and wherein the aforementioned cyclic radicals are unsubstituted or carry 1 , 2, 3 or 4 identical or different substituents Rd.
In one embodiment, Rc is halogen and selected from fluorine, chlorine, bromine and iodine and selected from fluorine and chlorine and in particular, Rc is chlorine.
In another embodiment, Rc is CN .
In a further embodiment, Rc is Ci-C4-alkyl and selected from methyl, ethyl, n-propyl, i-propyl, n-butyl, 1 -methyl-propyl, 2-methyl-propyl and 1 ,1 -dimethylethyl, and selected from methyl, ethyl, n-propyl and i-propyl, and in particular, Rc is methyl.
In a further embodiment, Rc is Ci-C4-haloalkyl and selected from Ci-haloalkyl, C2-haloalkyl, C3-haloalkyl and C4-haloalkyl. More preferably, Rc is Ci-haloalkyl and selected from fluormethyl, difluormethyl, trifluormethyl, chlormethyl, dichlormethyl and trichlormethyl, and in particular, Rc is trifluormethyl.
In a further embodiment, Rc is Ci-C4-alkoxy and selected from methoxy, ethoxy, n-propyloxy, i-propyloxy, n-butyloxy, 1 -methyl-propyloxy, 2-methyl-propyloxy and 1 ,1 -dimethylethyloxy and in particular from methoxy and ethoxy.
In a further embodiment, Rc is Ci-C4-haloalkoxy and specifically halomethoxy, such as difluormethoxy, trifluormethoxy, dichlormethoxy and trichlormethoxy, and haloethoxy, such as 2,2-difluorethoxy, 2,2,2-trifluorethoxy, 2,2-dichlorethoxy and 2,2,2-trichlorethoxy, and halo-n- propoxy, halo-i-propoxy, halo-n-butoxy, halo-1 -methyl-propoxy, halo-2-methyl-propoxy or halo-
1 ,1 -dimethylethoxy.
In a further embodiment, Rc is Cs-Cs-cycloalkyl, and in particular, Rc is cyclopropyl.
In a further embodiment, Rc is phenyl.
In a further embodiment, Rc is phenoxy.
In a further embodiment, Rc is phenoxy-Ci-C4-alkyl and selected from phenoxymethyl, 1 - phenoxy-ethyl and 2-phenoxyethyl.
If Rc is present, one embodiment relates to compounds I, wherein Rc carries 1 , 2, 3 or 4 radicals Rd, preferably 1 , 2 or 3 radicals Rd, and more preferably 1 or 2 radicals Rd. In a paricularly preffered embodiment, Rc carries one radical Rd. In another paricularly preferred embodiment, Rc carries two radicals Rd. In a further particularly preferred embodiment the group Rc carries 3 radicals Rd.
In one embodiment, Rd is halogen and selected from fluorine, chlorine, bromine and iodine and specifically from fluorine and chlorine and in particular, Rc is chlorine.
In another embodiment, Rd is CN .
In a further embodiment, Rd is Ci-C4-alkyl and selected from methyl, ethyl, n-propyl, i-propyl, n-butyl, 1 -methyl-propyl, 2-methyl-propyl and 1 ,1 -dimethylethyl, and preferably selected from methyl, ethyl, n-propyl and i-propyl and in particular, Rd is methyl.
In a further embodiment, Rd is Ci-C4-haloalkyl and selected from Ci-haloalkyl, C2-haloalkyl, C3-haloalkyl and C4-haloalkyl. More preferably, Rc is Ci-haloalkyl and selected from fluormethyl, difluormethyl, trifluormethyl, chlormethyl, dichlormethyl and trichlormethyl, and in particular, Rd is trifluormethyl.
In a further embodiment, Rd is Ci-C4-alkoxy and selected from methoxy, ethoxy, n-propyloxy, i-propyloxy, n-butyloxy, 1 -methyl-propyloxy, 2-methyl-propyloxy and 1 ,1 -dimethylethyloxy and in particular from methoxy and ethoxy.
A skilled person will readily understand that the preferences given in connection with compounds of formula I also apply for formulae 1.1 , 1.2, 1.3, 1.4, 1.1 F, I.4F, I.F1 and I.F2 as defined herein.
According to a further embodiment, the present invention relates to compounds of the formula I wherein:
Ra5, Ra6 are hydrogen;
Ra2 is CH3, OCHs or CF3;
R is hydrogen or CH3;
X is -C(=0)-;
R1, R2 are independently selected from hydrogen and CH3;
n indicates the number of substituents Rb on the phenyl ring and n is 0 or 1 ;
Rb is halogen;
Het is a pyridinyl; and wherein the moiety O-Het is bound in para- or meta-position to the
phenylring; and wherein the pyridinyl is unsubstituted or carries 1 or 2 groups Rc:
Rc is halogen or Ci-C6-haloalkyl; and
the N-oxides and the agriculturally acceptable salts of the compounds of formula I.
The compounds I and the compositions according to the invention, respectively, are suitable as fungicides. They are distinguished by an outstanding effectiveness against a broad spectrum of phytopathogenic fungi, including soil-borne fungi, which derive especially from the classes of the Plasmodiophoromycetes, Peronosporomycetes (syn. Oomycetes), Chytridiomycetes, Zygomycetes, Ascomycetes, Basidiomycetes and Deuteromycetes (syn. Fungi imperfecti). Some are systemically effective and they can be used in crop protection as foliar fungicides, fungicides for seed dressing and soil fungicides. Moreover, they are suitable for controlling harmful fungi, which inter alia occur in wood or roots of plants.
The compounds I and the compositions according to the invention are particularly important in the control of a multitude of phytopathogenic fungi on various cultivated plants, such as cereals, e. g. wheat, rye, barley, triticale, oats or rice; beet, e. g. sugar beet or fodder beet; fruits, such as pomes, stone fruits or soft fruits, e. g. apples, pears, plums, peaches, almonds, cherries, strawberries, raspberries, blackberries or gooseberries; leguminous plants, such as lentils, peas, alfalfa or soybeans; oil plants, such as rape, mustard, olives, sunflowers, coconut, cocoa beans, castor oil plants, oil palms, ground nuts or soybeans; cucurbits, such as squashes, cucumber or melons; fiber plants, such as cotton, flax, hemp or jute; citrus fruit, such as oranges, lemons, grapefruits or mandarins; vegetables, such as spinach, lettuce, asparagus, cabbages, carrots, onions, tomatoes, potatoes, cucurbits or paprika; lauraceous plants, such as avocados, cinnamon or camphor; energy and raw material plants, such as corn, soybean, rape, sugar cane or oil palm; corn; tobacco; nuts; coffee; tea; bananas; vines (table grapes and grape juice grape vines); hop; turf; sweet leaf (also called Stevia); natural rubber plants or ornamental and forestry plants, such as flowers, shrubs, broad-leaved trees or evergreens, e. g. conifers; and on the plant propagation material, such as seeds, and the crop material of these plants.
Preferably, compounds I and compositions thereof, respectively are used for controlling a multitude of fungi on field crops, such as potatoes sugar beets, tobacco, wheat, rye, barley, oats, rice, corn, cotton, soybeans, rape, legumes, sunflowers, coffee or sugar cane; fruits; vines; ornamentals; or vegetables, such as cucumbers, tomatoes, beans or squashes. The term "plant propagation material" is to be understood to denote all the generative parts of the plant such as seeds and vegetative plant material such as cuttings and tubers (e. g.
potatoes), which can be used for the multiplication of the plant. This includes seeds, roots, fruits, tubers, bulbs, rhizomes, shoots, sprouts and other parts of plants, including seedlings and young plants, which are to be transplanted after germination or after emergence from soil.
These young plants may also be protected before transplantation by a total or partial treatment by immersion or pouring.
Preferably, treatment of plant propagation materials with compounds I and compositions thereof, respectively, is used for controlling a multitude of fungi on cereals, such as wheat, rye, barley and oats; rice, corn, cotton and soybeans.
The term "cultivated plants" is to be understood as including plants which have been modified by breeding, mutagenesis or genetic engineering including but not limiting to agricultural biotech products on the market or in development (cf.
http://www.bio.org/speeches/pubs/er/agri_products.asp). Genetically modified plants are plants, which genetic material has been so modified by the use of recombinant DNA techniques that under natural circumstances cannot readily be obtained by cross breeding, mutations or natural recombination. Typically, one or more genes have been integrated into the genetic material of a genetically modified plant in order to improve certain properties of the plant. Such genetic modifications also include but are not limited to targeted post-translational modification of protein(s), oligo- or polypeptides e. g. by glycosylation or polymer additions such as prenylated, acetylated or farnesylated moieties or PEG moieties.
The compounds I and compositions thereof, respectively, are particularly suitable for controlling the following plant diseases:
Albugo spp. (white rust) on ornamentals, vegetables (e. g. A. Candida) and sunflowers (e. g. A. tragopogonis); Alternaria spp. (Alternaria leaf spot) on vegetables, rape (A. brassicola or brassicae), sugar beets (A. tenuis), fruits, rice, soybeans, potatoes (e. g. A. solani or A.
alternata), tomatoes (e. g. A. solani or A. alternata) and wheat; Aphanomyces spp. on sugar beets and vegetables; Ascochyta spp. on cereals and vegetables, e. g. A. tritici (anthracnose) on wheat and A. hordei on barley; Bipolaris and Drechslera spp. (teleomorph: Cochliobolus spp.), e. g. Southern leaf blight (D. maydis) or Northern leaf blight (B. zeicola) on corn, e. g. spot blotch (B. sorokiniana) on cereals and e.g. B. oryzae on rice and turfs; Blumeria (formerly Erysiphe) graminis (powdery mildew) on cereals (e. g. on wheat or barley); Botrytis cinerea (teleomorph: Botryotinia fuckeliana: grey mold) on fruits and berries (e. g. strawberries), vegetables (e. g. lettuce, carrots, celery and cabbages), rape, flowers, vines, forestry plants and wheat; Bremia lactucae (downy mildew) on lettuce; Ceratocystis (syn. Ophiostoma) spp. (rot or wilt) on broad-leaved trees and evergreens, e. g. C. ulmi (Dutch elm disease) on elms;
Cercospora spp. (Cercospora leaf spots) on corn (e.g. Gray leaf spot: C. zeae-maydis), rice, sugar beets (e. g. C. beticola), sugar cane, vegetables, coffee, soybeans (e. g. C. sojina or C. kikuchii) and rice; Cladosporium spp. on tomatoes (e. g. C. fulvum: leaf mold) and cereals, e. g. C. herbarum (black ear) on wheat; Claviceps purpurea (ergot) on cereals; Cochliobolus
(anamorph: Helminthosporium of Bipolaris) spp. (leaf spots) on corn (C. carbonum), cereals (e. g. C. sativus, anamorph: B. sorokiniana) and rice (e. g. C. miyabeanus, anamorph: H.
oryzae); Colletotrichum (teleomorph: Glomerella) spp. (anthracnose) on cotton (e. g. C.
gossypii), corn (e. g. C. graminicola: Anthracnose stalk rot), soft fruits, potatoes (e. g. C.
coccodes: black dot), beans (e. g. C. lindemuthianum) and soybeans (e. g. C. truncatum or C. gloeosporioides); Corticium spp., e. g. C. sasakii (sheath blight) on rice; Corynespora cassiicola (leaf spots) on soybeans and ornamentals; Cycloconium spp., e. g. C. oleaginum on olive trees; Cylindrocarpon spp. (e. g. fruit tree canker or young vine decline, teleomorph: Nectria or Neonectria spp.) on fruit trees, vines (e. g. C. liriodendri, teleomorph: Neonectria liriodendri:
Black Foot Disease) and ornamentals; Dematophora (teleomorph: Rosellinia) necatrix (root and stem rot) on soybeans; Diaporthe spp., e. g. D. phaseolorum (damping off) on soybeans;
Drechslera (syn. Helminthosporium, teleomorph: Pyrenophora) spp. on corn, cereals, such as barley (e. g. D. teres, net blotch) and wheat (e. g. D. tritici-repentis: tan spot), rice and turf; Esca (dieback, apoplexy) on vines, caused by Formitiporia (syn. Phellinus) punctata, F. mediterranea, Phaeomoniella chlamydospora (earlier Phaeoacremonium chlamydosporum),
Phaeoacremonium aleophilum and/or Botryosphaeria obtusa; Elsinoe spp. on pome fruits (E. pyri), soft fruits (E. veneta: anthracnose) and vines (E. ampelina: anthracnose); Entyloma oryzae (leaf smut) on rice; Epicoccum spp. (black mold) on wheat; Erysiphe spp. (powdery mildew) on sugar beets (E. betae), vegetables (e. g. E. pisi), such as cucurbits (e. g. E.
cichoracearum), cabbages, rape (e. g. E. cruciferarum); Eutypa lata (Eutypa canker or dieback, anamorph: Cytosporina lata, syn. Libertella blepharis) on fruit trees, vines and ornamental woods; Exserohilum (syn. Helminthosporium) spp. on corn (e. g. E. turcicum); Fusarium
(teleomorph: Gibberella) spp. (wilt, root or stem rot) on various plants, such as F. graminearum or F. culmorum (root rot, scab or head blight) on cereals (e. g. wheat or barley), F. oxysporum on tomatoes, F. solani on soybeans and F. verticillioides on corn; Gaeumannomyces graminis (take-all) on cereals (e. g. wheat or barley) and corn; Gibberella spp. on cereals (e. g. G. zeae) and rice (e. g. G. fujikuroi: Bakanae disease); Glomerella cingulata on vines, pome fruits and other plants and G. gossypii on cotton; Grainstaining complex on rice; Guignardia bidwellii (black rot) on vines; Gymnosporangium spp. on rosaceous plants and junipers, e. g. G. sabinae (rust) on pears; Helminthosporium spp. (syn. Drechslera, teleomorph: Cochliobolus) on corn, cereals and rice; Hemileia spp., e. g. H. vastatrix (coffee leaf rust) on coffee; Isariopsis clavispora (syn. Cladosporium vitis) on vines; Macrophomina phaseolina (syn. phaseoli) (root and stem rot) on soybeans and cotton; Microdochium (syn. Fusarium) nivale (pink snow mold) on cereals (e. g. wheat or barley); Microsphaera diffusa (powdery mildew) on soybeans;
Monilinia spp., e. g. M. laxa, M. fructicola and M. fructigena (bloom and twig blight, brown rot) on stone fruits and other rosaceous plants; Mycosphaerella spp. on cereals, bananas, soft fruits and ground nuts, such as e. g. M. graminicola (anamorph: Septoria tritici, Septoria blotch) on wheat or M. fijiensis (black Sigatoka disease) on bananas; Peronospora spp. (downy mildew) on cabbage (e. g. P. brassicae), rape (e. g. P. parasitica), onions (e. g. P. destructor), tobacco (P. tabacina) and soybeans (e. g. P. manshurica); Phakopsora pachyrhizi and P. meibomiae (soybean rust) on soybeans; Phialophora spp. e. g. on vines (e. g. P. tracheiphila and P.
tetraspora) and soybeans (e. g. P. gregata: stem rot); Phoma lingam (root and stem rot) on rape and cabbage and P. betae (root rot, leaf spot and damping-off) on sugar beets; Phomopsis spp. on sunflowers, vines (e. g. P. viticola: can and leaf spot) and soybeans (e. g. stem rot: P.
phaseoli, teleomorph: Diaporthe phaseolorum); Physoderma maydis (brown spots) on corn; Phytophthora spp. (wilt, root, leaf, fruit and stem root) on various plants, such as paprika and cucurbits (e. g. P. capsici), soybeans (e. g. P. megasperma, syn. P. sojae), potatoes and tomatoes (e. g. P. infestans: late blight) and broad-leaved trees (e. g. P. ramorum: sudden oak death); Plasmodiophora brassicae (club root) on cabbage, rape, radish and other plants;
Plasmopara spp., e. g. P. viticola (grapevine downy mildew) on vines and P. halstedii on sunflowers; Podosphaera spp. (powdery mildew) on rosaceous plants, hop, pome and soft fruits, e. g. P. leucotricha on apples; Polymyxa spp., e. g. on cereals, such as barley and wheat (P. graminis) and sugar beets (P. betae) and thereby transmitted viral diseases;
Pseudocercosporella herpotrichoides (eyespot, teleomorph: Tapesia yallundae) on cereals, e. g. wheat or barley; Pseudoperonospora (downy mildew) on various plants, e. g. P. cubensis on cucurbits or P. humili on hop; Pseudopezicula tracheiphila (red fire disease or .rotbrenner', anamorph: Phialophora) on vines; Puccinia spp. (rusts) on various plants, e. g. P. triticina (brown or leaf rust), P. striiformis (stripe or yellow rust), P. hordei (dwarf rust), P. graminis (stem or black rust) or P. recondita (brown or leaf rust) on cereals, such as e. g. wheat, barley or rye, P. kuehnii (orange rust) on sugar cane and P. asparagi on asparagus; Pyrenophora (anamorph: Drechslera) tritici-repentis (tan spot) on wheat or P. teres (net blotch) on barley; Pyricularia spp., e. g. P. oryzae (teleomorph: Magnaporthe grisea, rice blast) on rice and P. grisea on turf and cereals; Pythium spp. (damping-off) on turf, rice, corn, wheat, cotton, rape, sunflowers, soybeans, sugar beets, vegetables and various other plants (e. g. P. ultimum or P. aphani- dermatum); Ramularia spp., e. g. R. collo-cygni (Ramularia leaf spots, Physiological leaf spots) on barley and R. beticola on sugar beets; Rhizoctonia spp. on cotton, rice, potatoes, turf, corn, rape, potatoes, sugar beets, vegetables and various other plants, e. g. R. solani (root and stem rot) on soybeans, R. solani (sheath blight) on rice or R. cerealis (Rhizoctonia spring blight) on wheat or barley; Rhizopus stolonifer (black mold, soft rot) on strawberries, carrots, cabbage, vines and tomatoes; Rhynchosporium secalis (scald) on barley, rye and triticale; Sarocladium oryzae and S. attenuatum (sheath rot) on rice; Sclerotinia spp. (stem rot or white mold) on vegetables and field crops, such as rape, sunflowers (e. g. S. sclerotiorum) and soybeans (e. g. S. rolfsii or S. sclerotiorum); Septoria spp. on various plants, e. g. S. glycines (brown spot) on soybeans, S. tritici (Septoria blotch) on wheat and S. (syn. Stagonospora) nodorum
(Stagonospora blotch) on cereals; Uncinula (syn. Erysiphe) necator (powdery mildew, anamorph: Oidium tuckeri) on vines; Setospaeria spp. (leaf blight) on corn (e. g. S. turcicum, syn. Helminthosporium turcicum) and turf; Sphacelotheca spp. (smut) on corn, (e. g. S. reiliana: head smut), sorghum und sugar cane; Sphaerotheca fuliginea (powdery mildew) on cucurbits; Spongospora subterranea (powdery scab) on potatoes and thereby transmitted viral diseases; Stagonospora spp. on cereals, e. g. S. nodorum (Stagonospora blotch, teleomorph:
Leptosphaeria [syn. Phaeosphaeria] nodorum) on wheat; Synchytrium endobioticum on potatoes (potato wart disease); Taphrina spp., e. g. T. deformans (leaf curl disease) on peaches and T. pruni (plum pocket) on plums; Thielaviopsis spp. (black root rot) on tobacco, pome fruits, vegetables, soybeans and cotton, e. g. T. basicola (syn. Chalara elegans); Tilletia spp.
(common bunt or stinking smut) on cereals, such as e. g. T. tritici (syn. T. caries, wheat bunt) and T. controversa (dwarf bunt) on wheat; Typhula incarnata (grey snow mold) on barley or wheat; Urocystis spp., e. g. U. occulta (stem smut) on rye; Uromyces spp. (rust) on vegetables, such as beans (e. g. U. appendiculatus, syn. U. phaseoli) and sugar beets (e. g. U. betae); Ustilago spp. (loose smut) on cereals (e. g. U. nuda and U. avaenae), corn (e. g. U. maydis: corn smut) and sugar cane; Venturia spp. (scab) on apples (e. g. V. inaequalis) and pears; and Verticillium spp. (wilt) on various plants, such as fruits and ornamentals, vines, soft fruits, vegetables and field crops, e. g. V. dahliae on strawberries, rape, potatoes and tomatoes.
The compounds I and compositions thereof, respectively, are also suitable for controlling harmful fungi in the protection of stored products or harvest and in the protection of materials. The term "protection of materials" is to be understood to denote the protection of technical and non-living materials, such as adhesives, glues, wood, paper and paperboard, textiles, leather, paint dispersions, plastics, colling lubricants, fiber or fabrics, against the infestation and destruction by harmful microorganisms, such as fungi and bacteria. As to the protection of wood and other materials, the particular attention is paid to the following harmful fungi: Ascomycetes such as Ophiostoma spp., Ceratocystis spp., Aureobasidium pullulans, Sclerophoma spp., Chaetomium spp., Humicola spp., Petriella spp., Trichurus spp.; Basidiomycetes such as Coniophora spp., Coriolus spp., Gloeophyllum spp., Lentinus spp., Pleurotus spp., Poria spp., Serpula spp. and Tyromyces spp., Deuteromycetes such as Aspergillus spp., Cladosporium spp., Penicillium spp., Trichorma spp., Alternaria spp., Paecilomyces spp. and Zygomycetes such as Mucor spp., and in addition in the protection of stored products and harvest the following yeast fungi are worthy of note: Candida spp. and Saccharomyces cerevisae.
The compounds I and compositions thereof, resepectively, may be used for improving the health of a plant. The invention also relates to a method for improving plant health by treating a plant, its propagation material and/or the locus where the plant is growing or is to grow with an effective amount of compounds I and compositions thereof, respectively.
The term "plant health" is to be understood to denote a condition of the plant and/or its products which is determined by several indicators alone or in combination with each other such as yield (e. g. increased biomass and/or increased content of valuable ingredients), plant vigor (e. g. improved plant growth and/or greener leaves ("greening effect")), quality (e. g. improved content or composition of certain ingredients) and tolerance to abiotic and/or biotic stress. The above identified indicators for the health condition of a plant may be interdependent or may result from each other.
The compounds of the formula (I) can be present in different crystal modifications whose biological activity may differ. They are likewise subject matter of the present invention.
The compounds I are employed as such or in form of compositions by treating the fungi or the plants, plant propagation materials, such as seeds, soil, surfaces, materials or rooms to be protected from fungal attack with a fungicidally effective amount of the active substances. The application can be carried out both before and after the infection of the plants, plant propagation materials, such as seeds, soil, surfaces, materials or rooms by the fungi.
Plant propagation materials may be treated with compounds I as such or a composition comprising at least one compound I prophylactically either at or before planting or transplanting. The invention also relates to agrochemical compositions comprising an auxiliary and at least one compound I according to the invention.
An agrochemical composition comprises a fungicidally effective amount of a compound I. The term "effective amount" denotes an amount of the composition or of the compounds I, which is sufficient for controlling harmful fungi on cultivated plants or in the protection of materials and which does not result in a substantial damage to the treated plants. Such an amount can vary in a broad range and is dependent on various factors, such as the fungal species to be controlled, the treated cultivated plant or material, the climatic conditions and the specific compound I used.
The compounds I, their N-oxides and salts can be converted into customary types of agrochemical compositions, e. g. solutions, emulsions, suspensions, dusts, powders, pastes, granules, pressings, capsules, and mixtures thereof. Examples for composition types are suspensions (e.g. SC, OD, FS), emulsifiable concentrates (e.g. EC), emulsions (e.g. EW, EO, ES, ME), capsules (e.g. CS, ZC), pastes, pastilles, wettable powders or dusts (e.g. WP, SP, WS, DP, DS), pressings (e.g. BR, TB, DT), granules (e.g. WG, SG, GR, FG, GG, MG), insecticidal articles (e.g. LN), as well as gel formulations for the treatment of plant propagation materials such as seeds (e.g. GF). These and further compositions types are defined in the "Catalogue of pesticide formulation types and international coding system", Technical
Monograph No. 2, 6th Ed. May 2008, CropLife International.
The compositions are prepared in a known manner, such as described by Mollet and Grubemann, Formulation technology, Wiley VCH, Weinheim, 2001 ; or Knowles, New
developments in crop protection product formulation, Agrow Reports DS243, T&F Informa, London, 2005.
Examples for suitable auxiliaries are solvents, liquid carriers, solid carriers or fillers, surfactants, dispersants, emulsifiers, wetters, adjuvants, solubilizers, penetration enhancers, protective colloids, adhesion agents, thickeners, humectants, repellents, attractants, feeding stimulants, compatibilizers, bactericides, anti-freezing agents, anti-foaming agents, colorants, tackifiers and binders.
Suitable solvents and liquid carriers are water and organic solvents, such as mineral oil fractions of medium to high boiling point, e.g. kerosene, diesel oil; oils of vegetable or animal origin; aliphatic, cyclic and aromatic hydrocarbons, e. g. toluene, paraffin,
tetrahydronaphthalene, alkylated naphthalenes; alcohols, e.g. ethanol, propanol, butanol, benzylalcohol, cyclohexanol; glycols; dimethyl sulfoxide (DMSO); ketones, e.g. cyclohexanone; esters, e.g. lactates, carbonates, fatty acid esters, gamma-butyrolactone; fatty acids;
phosphonates; amines; amides, e.g. N-methylpyrrolidone, fatty acid dimethylamides; and mixtures thereof.
Suitable solid carriers or fillers are mineral earths, e.g. silicates, silica gels, talc, kaolins, limestone, lime, chalk, clays, dolomite, diatomaceous earth, bentonite, calcium sulfate, magnesium sulfate, magnesium oxide; polysaccharide powders, e.g. cellulose, starch;
fertilizers, e.g. ammonium sulfate, ammonium phosphate, ammonium nitrate, ureas; products of vegetable origin, e.g. cereal meal, tree bark meal, wood meal, nutshell meal, and mixtures thereof.
Suitable surfactants are surface-active compounds, such as anionic, cationic, nonionic and amphoteric surfactants, block polymers, polyelectrolytes, and mixtures thereof. Such surfactants can be used as emusifier, dispersant, solubilizer, wetter, penetration enhancer, protective colloid, or adjuvant. Examples of surfactants are listed in McCutcheon's, Vol.1 : Emulsifiers & Detergents, McCutcheon's Directories, Glen Rock, USA, 2008 (International Ed. or North American Ed.).
Suitable anionic surfactants are alkali, alkaline earth or ammonium salts of sulfonates, sulfates, phosphates, carboxylates, and mixtures thereof. Examples of sulfonates are alkylarylsulfonates, diphenylsulfonates, alpha-olefin sulfonates, lignine sulfonates, sulfonates of fatty acids and oils, sulfonates of ethoxylated alkylphenols, sulfonates of alkoxylated
arylphenols, sulfonates of condensed naphthalenes, sulfonates of dodecyl- and
tridecylbenzenes, sulfonates of naphthalenes and alkylnaphthalenes, sulfosuccinates or sulfosuccinamates. Examples of sulfates are sulfates of fatty acids and oils, of ethoxylated alkylphenols, of alcohols, of ethoxylated alcohols, or of fatty acid esters. Examples of phosphates are phosphate esters. Examples of carboxylates are alkyl carboxylates, and carboxylated alcohol or alkylphenol ethoxylates.
Suitable nonionic surfactants are alkoxylates, N-subsituted fatty acid amides, amine oxides, esters, sugar-based surfactants, polymeric surfactants, and mixtures thereof. Examples of alkoxylates are compounds such as alcohols, alkylphenols, amines, amides, arylphenols, fatty acids or fatty acid esters which have been alkoxylated with 1 to 50 equivalents. Ethylene oxide and/or propylene oxide may be employed for the alkoxylation, preferably ethylene oxide.
Examples of N-subsititued fatty acid amides are fatty acid glucamides or fatty acid
alkanolamides. Examples of esters are fatty acid esters, glycerol esters or monoglycerides. Examples of sugar-based surfactants are sorbitans, ethoxylated sorbitans, sucrose and glucose esters or alkylpolyglucosides. Examples of polymeric surfactants are home- or copolymers of vinylpyrrolidone, vinylalcohols, or vinylacetate.
Suitable cationic surfactants are quaternary surfactants, for example quaternary ammonium compounds with one or two hydrophobic groups, or salts of long-chain primary amines. Suitable amphoteric surfactants are alkylbetains and imidazolines. Suitable block polymers are block polymers of the A-B or A-B-A type comprising blocks of polyethylene oxide and polypropylene oxide, or of the A-B-C type comprising alkanol, polyethylene oxide and polypropylene oxide. Suitable polyelectrolytes are polyacids or polybases. Examples of polyacids are alkali salts of polyacrylic acid or polyacid comb polymers. Examples of polybases are polyvinylamines or polyethyleneamines.
Suitable adjuvants are compounds, which have a neglectable or even no pesticidal activity themselves, and which improve the biological performance of the compound I on the target. Examples are surfactants, mineral or vegetable oils, and other auxilaries. Further examples are listed by Knowles, Adjuvants and additives, Agrow Reports DS256, T&F Informa UK, 2006, chapter 5.
Suitable thickeners are polysaccharides (e.g. xanthan gum, carboxymethylcellulose), anorganic clays (organically modified or unmodified), polycarboxylates, and silicates.
Suitable bactericides are bronopol and isothiazolinone derivatives such as alkyliso- thiazolinones and benzisothiazolinones.
Suitable anti-freezing agents are ethylene glycol, propylene glycol, urea and glycerin.
Suitable anti-foaming agents are silicones, long chain alcohols, and salts of fatty acids. Suitable colorants (e.g. in red, blue, or green) are pigments of low water solubility and water- soluble dyes. Examples are inorganic colorants (e.g. iron oxide, titan oxide, iron
hexacyanoferrate) and organic colorants (e.g. alizarin-, azo- and phthalocyanine colorants).
Suitable tackifiers or binders are polyvinylpyrrolidone, polyvinylacetates, polyvinyl alcohols, polyacrylates, biological or synthetic waxes, and cellulose ethers.
The agrochemical compositions generally comprise between 0.01 and 95%, preferably between 0.1 and 90%, and most preferably between 0.5 and 75%, by weight of active substance. The active substances are employed in a purity of from 90% to 100%, preferably from 95% to 100% (according to NMR spectrum).
Water-soluble concentrates (LS), Suspoemulsions (SE), flowable concentrates (FS), powders for dry treatment (DS), water-dispersible powders for slurry treatment (WS), water- soluble powders (SS), emulsions (ES), emulsifiable concentrates (EC) and gels (GF) are usually employed for the purposes of treatment of plant propagation materials, particularly seeds. The compositions in question give, after two-to-tenfold dilution, active substance concentrations of from 0.01 to 60% by weight, preferably from 0.1 to 40%, in the ready-to-use preparations.
Application can be carried out before or during sowing. Methods for applying or treating compound I and compositions thereof, respectively, on to plant propagation material, especially seeds include dressing, coating, pelleting, dusting, soaking and in-furrow application methods of the propagation material. Preferably, compound I or the compositions thereof, respectively, are applied on to the plant propagation material by a method such that germination is not induced, e. g. by seed dressing, pelleting, coating and dusting.
When employed in plant protection, the amounts of active substances applied are, depending on the kind of effect desired, from 0.001 to 2 kg per ha, preferably from 0.005 to 2 kg per ha, more preferably from 0.05 to 0.9 kg per ha, in particular from 0.1 to 0.75 kg per ha.
In treatment of plant propagation materials such as seeds, e. g. by dusting, coating or drenching seed, amounts of active substance of from 0.1 to 1000 g, preferably from 1 to 1000 g, more preferably from 1 to 100 g and most preferably from 5 to 100 g, per 100 kilogram of plant propagation material (preferably seed) are generally required.
When used in the protection of materials or stored products, the amount of active substance applied depends on the kind of application area and on the desired effect. Amounts customarily applied in the protection of materials are 0.001 g to 2 kg, preferably 0.005 g to 1 kg, of active substance per cubic meter of treated material.
Various types of oils, wetters, adjuvants, fertilizer, or micronutrients, and other pesticides (e.g. herbicides, insecticides, fungicides, growth regulators, safeners) may be added to the active substances or the compositions comprising them as premix or, if appropriate not until immediately prior to use (tank mix). These agents can be admixed with the compositions according to the invention in a weight ratio of 1 :100 to 100:1 , preferably 1 :10 to 10:1.
The user applies the composition according to the invention usually from a predosage device, a knapsack sprayer, a spray tank, a spray plane, or an irrigation system. Usually, the agrochemical composition is made up with water, buffer, and/or further auxiliaries to the desired application concentration and the ready-to-use spray liquor or the agrochemical composition according to the invention is thus obtained. Usually, 20 to 2000 liters, preferably 50 to 400 liters, of the ready-to-use spray liquor are applied per hectare of agricultural useful area. According to one embodiment, individual components of the composition according to the invention such as parts of a kit or parts of a binary or ternary mixture may be mixed by the user himself in a spray tank and further auxiliaries may be added, if appropriate.
Mixing the compounds I or the compositions comprising them in the use form as fungicides with other fungicides results in many cases in an expansion of the fungicidal spectrum of activity being obtained or in a prevention of fungicide resistance development. Furthermore, in many cases, synergistic effects are obtained.
The following list of active substances, in conjunction with which the compounds I can be used, is intended to illustrate the possible combinations but does not limit them:
A) Respiration inhibitors
- Inhibitors of complex III at Qo site (e.g. strobilurins): azoxystrobin, coumethoxy- strobin, coumoxystrobin, dimoxystrobin, enestroburin, fenaminstrobin, fenoxy- strobin/flufenoxystrobin, fluoxastrobin, kresoxim-methyl, metominostrobin, orysastrobin, picoxystrobin, pyraclostrobin, pyrametostrobin, pyraoxystrobin, trifloxystrobin, 2-[2-(2,5- dimethyl-phenoxymethyl)-phenyl]-3-methoxy-acrylic acid methyl ester and 2-(2-(3-(2,6-di- chlorophenyl)-1 -methyl-allylideneaminooxymethyl)-phenyl)-2-methoxyimino-N-methyl- acetamide, pyribencarb, triclopyricarb/chlorodincarb, famoxadone, fenamidone;
- inhibitors of complex III at Qi site: cyazofamid, amisulbrom, [(3S,6S,7R,8R)-8-benz- yl-3-[(3-acetoxy-4-methoxy-pyridine-2-carbonyl)amino]-6-methyl-4,9-dioxo-1 ,5-dioxonan-
7-yl] 2-methylpropanoate, [(3S,6S,7R,8R)-8-benzyl-3-[[3-(acetoxymethoxy)-4-methoxy- pyridine-2-carbonyl]amino]-6-methyl-4,9-dioxo-1 ,5-dioxonan-7-yl] 2-methylpropanoate, [(3S,6S,7R,8R)-8-benzyl-3-[(3-isobutoxycarbonyloxy-4-methoxy-pyridine- 2-carbonyl)amino]-6-methyl-4,9-dioxo-1 ,5-dioxonan-7-yl] 2-methylpropanoate,
[(3S,6S,7R,8R)-8-benzyl-3-[[3-(1 ,3-benzodioxol-5-ylmethoxy)-4-methoxy-pyridine-2-car- bonyl]amino]-6-methyl-4,9-dioxo-1 ,5-dioxonan-7-yl] 2-methylpropanoate;
- inhibitors of complex II (e. g. carboxamides): benodanil, bixafen, boscalid, carboxin, fenfuram, fluopyram, flutolanil, fluxapyroxad, furametpyr, isopyrazam, mepronil, oxycarboxin, penflufen, penthiopyrad, sedaxane, tecloftalam, thifluzamide, N-(4'- trifluoromethylthiobiphenyl-2-yl)-3-difluoromethyl-1-methyl-1 H-pyrazole-4-carboxamide, N-
(2-(1 ,3,3-trimethyl-butyl)-phenyl)-1 ,3-dimethyl-5-fluoro-1 H-pyrazole-4-carboxamide, N-[9- (dichloromethylene)-l ,2,3,4-tetrahydro-1 ,4-methanonaphthalen-5-yl]-3-(difluoromethyl)-1 - methyl-1 H-pyrazole-4-carboxamide;
- other respiration inhibitors (e.g. complex I, uncouplers): diflumetorim, (5,8-difluoro- quinazolin-4-yl)-{2-[2-fluoro-4-(4-trifluoromethylpyridin-2-yloxy)-phenyl]-ethyl}-amine; nitrophenyl derivates: binapacryl, dinobuton, dinocap, fluazinam; ferimzone; organometal compounds: fentin salts, such as fentin-acetate, fentin chloride or fentin hydroxide;
ametoctradin; and silthiofam;
B) Sterol biosynthesis inhibitors (SBI fungicides)
- C14 demethylase inhibitors (DMI fungicides): triazoles: azaconazole, bitertanol, bromuconazole, cyproconazole, difenoconazole, diniconazole, diniconazole-M, epoxiconazole, fenbuconazole, fluquinconazole, flusilazole, flutriafol, hexaconazole, imibenconazole, ipconazole, metconazole, myclobutanil, oxpoconazole, paclobutrazole, penconazole, propiconazole, prothioconazole, simeconazole, tebuconazole, tetraconazole, triadimefon, triadimenol, triticonazole, uniconazole; imidazoles: imazalil, pefurazoate, prochloraz, triflumizol; pyrimidines, pyridines and piperazines: fenarimol, nuarimol, pyrifenox, triforine;
- Delta14-reductase inhibitors: aldimorph, dodemorph, dodemorph-acetate, fenpropimorph, tridemorph, fenpropidin, piperalin, spiroxamine;
- Inhibitors of 3-keto reductase: fenhexamid;
C) Nucleic acid synthesis inhibitors
- phenylamides or acyl amino acid fungicides: benalaxyl, benalaxyl-M, kiralaxyl, metalaxyl, metalaxyl-M (mefenoxam), ofurace, oxadixyl;
- others: hymexazole, octhilinone, oxolinic acid, bupirimate, 5-fluorocytosine, 5-fluoro-
2-(p-tolylmethoxy)pyrimidin-4-amine, 5-fluoro-2-(4-fluorophenylmethoxy)pyrimidin- 4-amine;
D) lnhibitors of cell division and cytoskeleton
- tubulin inhibitors, such as benzimidazoles, thiophanates: benomyl, carbendazim, fuberidazole, thiabendazole, thiophanate-methyl; triazolopyrimidines: 5-chloro-
7-(4-methylpiperidin-1 -yl)-6-(2,4,6-trifluorophenyl)-[1 ,2,4]triazolo[1 ,5-a]pyrimidine
- other cell division inhibitors: diethofencarb, ethaboxam, pencycuron, fluopicolide, zoxamide, metrafenone, pyriofenone;
E) Inhibitors of amino acid and protein synthesis
- methionine synthesis inhibitors (anilino-pyrimidines): cyprodinil, mepanipyrim, pyrimethanil;
- protein synthesis inhibitors: blasticidin-S, kasugamycin, kasugamycin hydrochloride- hydrate, mildiomycin, streptomycin, oxytetracyclin, polyoxine, validamycin A;
F) Signal transduction inhibitors
- MAP / histidine kinase inhibitors: fluoroimid, iprodione, procymidone, vinclozolin, fenpiclonil, fludioxonil;
- G protein inhibitors: quinoxyfen;
G) Lipid and membrane synthesis inhibitors
- Phospholipid biosynthesis inhibitors: edifenphos, iprobenfos, pyrazophos, isoprothiolane;
- lipid peroxidation: dicloran, quintozene, tecnazene, tolclofos-methyl, biphenyl, chloroneb, etridiazole;
- phospholipid biosynthesis and cell wall deposition: dimethomorph, flumorph, mandipropamid, pyrimorph, benthiavalicarb, iprovalicarb, valifenalate and N-(1 -(1 -(4- cyano-phenyl)ethanesulfonyl)-but-2-yl) carbamic acid-(4-fluorophenyl) ester;
- compounds affecting cell membrane permeability and fatty acides: propamocarb, propamocarb-hydrochlorid
H) lnhibitors with Multi Site Action
- inorganic active substances: Bordeaux mixture, copper acetate, copper hydroxide, copper oxychloride, basic copper sulfate, sulfur;
- thio- and dithiocarbamates: ferbam, mancozeb, maneb, metam, metiram, propineb, thiram, zineb, ziram;
- organochlorine compounds (e.g. phthalimides, sulfamides, chloronitriles): anilazine, chlorothalonil, captafol, captan, folpet, dichlofluanid, dichlorophen, flusulfamide, hexachlorobenzene, pentachlorphenole and its salts, phthalide, tolylfluanid, N-(4-chloro-2- nitro-phenyl)-N-ethyl-4-methyl-benzenesulfonamide;
- guanidines and others: guanidine, dodine, dodine free base, guazatine, guazatine- acetate, iminoctadine, iminoctadine-triacetate, iminoctadine-tris(albesilate), dithianon; I) Cell wall synthesis inhibitors
- inhibitors of glucan synthesis: validamycin, polyoxin B; melanin synthesis inhibitors: pyroquilon, tricyclazole, carpropamid, dicyclomet, fenoxanil;
J) Plant defence inducers
- acibenzolar-S-methyl, probenazole, isotianil, tiadinil, prohexadione-calcium;
phosphonates: fosetyl, fosetyl-aluminum, phosphorous acid and its salts;
K) Unknown mode of action
- bronopol, chinomethionat, cyflufenamid, cymoxanil, dazomet, debacarb, diclo- mezine, difenzoquat, difenzoquat-methylsulfate, diphenylamin, fenpyrazamine, flumetover, flusulfamide, flutianil, methasulfocarb, nitrapyrin, nitrothal-isopropyl, oxin- copper, proquinazid, tebufloquin, tecloftalam, triazoxide, 2-butoxy-6-iodo-
3-propylchromen-4-one, N-(cyclopropylmethoxyimino-(6-difluoro-methoxy-2,3-difluoro- phenyl)-methyl)-2-phenyl acetamide, N'-(4-(4-chloro-3-trifluoromethyl-phenoxy)-2,5- dimethyl-phenyl)-N-ethyl-N-methyl formamidine, N'-(4-(4-fluoro-3-trifluoromethyl- phenoxy)-2,5-dimethyl-phenyl)-N-ethyl-N-methyl formamidine, N'-(2-methyl-5- trifluoromethyl-4-(3-trimethylsilanyl-propoxy)-phenyl)-N-ethyl-N-methyl formamidine, N'-(5- difluoromethyl-2-methyl-4-(3-trimethylsilanyl-propoxy)-phenyl)-N-ethyl-N-methyl formamidine, 2-{1 -[2-(5-methyl-3-trifluoromethyl-pyrazole-1 -yl)-acetyl]-piperidin-4-yl}- thiazole-4-carboxylic acid methyl-(1 ,2,3,4-tetrahydro-naphthalen-1 -yl)-amide, 2-{1 -[2-(5- methyl-3-trifluoromethyl-pyrazole-1 -yl)-acetyl]-piperidin-4-yl}-thiazole-4-carboxylic acid methyl-(R)-1 ,2,3,4-tetrahydro-naphthalen-1 -yl-amide,
1 - [4-[4-[5-(2,6-difluorophenyl)-4,5-dihydro-3-isoxazolyl]-2-thiazolyl]-1 -piperidinyl]-
2- [5-methyl-3-(trifluoromethyl)-1 H-pyrazol-1 -yl]ethanone, methoxy-acetic acid
6-tert-butyl-8-fluoro-2,3-dimethyl-quinolin-4-yl ester, N-Methyl-2-{1 -[(5-methyl-3-trifluoro- methyl-1 H-pyrazol-1 -yl)-acetyl]-piperidin-4-yl}-N-[(1 R)-1 ,2,3,4-tetrahydronaphthalen-1 -yl]- 4-thiazolecarboxamide, 3-[5-(4-methylphenyl)-2,3-dimethyl-isoxazolidin-3-yl]-pyridine, 3-
[5-(4-chloro-phenyl)-2,3-dimethyl-isoxazolidin-3-yl]-pyridine (pyrisoxazole), N-(6-methoxy- pyridin-3-yl) cyclopropanecarboxylic acid amide, 5-chloro-1 -(4,6-dimethoxy-pyrimidin-2- yl)-2-methyl-1 H-benzoimidazole,
2-(4-chloro-phenyl)-N-[4-(3,4-dimethoxy-phenyl)-isoxazol-5-yl]-2-prop-2-ynyloxy- acetamide;
L) Antifungal biocontrol agents, plant bioactivators: Ampelomyces quisqualis (e.g. AQ 10® from Intrachem Bio GmbH & Co. KG, Germany), Aspergillus flavus (e.g.
AFLAGUARD® from Syngenta, CH), Aureobasidium pullulans (e.g. BOTECTOR® from bio-ferm GmbH, Germany), Bacillus pumilus (e.g. NRRL Accession No. B-30087 in SONATA® and BALLAD® Plus from AgraQuest Inc., USA), Bacillus subtilis (e.g. isolate
NRRL-Nr. B-21661 in RHAPSODY®, SERENADE® MAX and SERENADE® ASO from AgraQuest Inc., USA), Bacillus subtilis var. amyloliquefaciens FZB24 (e.g. TAEGRO® from Novozyme Biologicals, Inc., USA), Candida oleophila I-82 (e.g. ASPIRE® from Ecogen Inc., USA), Candida saitoana (e.g. BIOCURE® (in mixture with lysozyme) and BIOCOAT® from Micro Flo Company, USA (BASF SE) and Arysta), Chitosan (e.g.
ARMOUR-ZEN from BotriZen Ltd., NZ), Clonostachys rosea f. catenulata, also named Gliocladium catenulatum (e.g. isolate J1446: PRESTOP® from Verdera, Finland), Coniothyrium minitans (e.g. CONTANS® from Prophyta, Germany), Cryphonectria parasitica (e.g. Endothia parasitica from CNICM, France), Cryptococcus albidus (e.g.
YIELD PLUS® from Anchor Bio-Technologies, South Africa), Fusarium oxysporum (e.g. BIOFOX® from S.I.A.P.A., Italy, FUSACLEAN® from Natural Plant Protection, France), Metschnikowia fructicola (e.g. SHEMER® from Agrogreen, Israel), Microdochium dimerum (e.g. ANTIBOT® from Agrauxine, France), Phlebiopsis gigantea (e.g. ROTSOP® from Verdera, Finland), Pseudozyma flocculosa (e.g. SPORODEX® from Plant Products Co.
Ltd., Canada), Pythium oligandrum DV74 (e.g. POLYVERSUM® from Remeslo SSRO, Biopreparaty, Czech Rep.), Reynoutria sachlinensis (e.g. REGALIA® from Marrone Biolnnovations, USA), Talaromyces flavus V1 17b (e.g. PROTUS® from Prophyta, Germany), Trichoderma asperellum SKT-1 (e.g. ECO-HOPE® from Kumiai Chemical Industry Co., Ltd., Japan), T. atroviride LC52 (e.g. SENTINEL® from Agrimm
Technologies Ltd, NZ), T. harzianum T-22 (e.g. PLANTSHIELD® der Firma BioWorks Inc., USA), T. harzianum TH 35 (e.g. ROOT PRO® from Mycontrol Ltd., Israel), T.
harzianum T-39 (e.g. TRICHODEX® and TRICHODERMA 2000® from Mycontrol Ltd., Israel and Makhteshim Ltd., Israel), T. harzianum and T. viride (e.g. TRICHOPEL from Agrimm Technologies Ltd, NZ), T. harzianum ICC012 and T. viride ICC080 (e.g.
REMEDIER® WP from Isagro Ricerca, Italy), T. polysporum and T. harzianum (e.g.
BINAB® from BINAB Bio-Innovation AB, Sweden), T. stromaticum (e.g. TRICOVAB® from C.E.P.L.A.C., Brazil), T. virens GL-21 (e.g. SOILGARD® from Certis LLC, USA), T. viride (e.g. TRIECO® from Ecosense Labs. (India) Pvt. Ltd., Indien, BIO-CURE® F from T. Stanes & Co. Ltd., Indien), T. viride TV1 (e.g. T. viride TV1 from Agribiotec srl, Italy),
Ulocladium oudemansii HRU3 (e.g. BOTRY-ZEN® from Botry-Zen Ltd, NZ);
M) Growth regulators
abscisic acid, amidochlor, ancymidol, 6-benzylaminopurine, brassinolide, butralin, chlormequat (chlormequat chloride), choline chloride, cyclanilide, daminozide, dikegulac, dimethipin, 2,6-dimethylpuridine, ethephon, flumetralin, flurprimidol, fluthiacet,
forchlorfenuron, gibberellic acid, inabenfide, indole-3-acetic acid , maleic hydrazide, mefluidide, mepiquat (mepiquat chloride), naphthaleneacetic acid, N-6-benzyladenine, paclobutrazol, prohexadione (prohexadione-calcium), prohydrojasmon, thidiazuron, triapenthenol, tributyl phosphorotrithioate, 2,3,5-tri-iodobenzoic acid , trinexapac-ethyl and uniconazole;
N) Herbicides
- acetamides: acetochlor, alachlor, butachlor, dimethachlor, dimethenamid, flufenacet, mefenacet, metolachlor, metazachlor, napropamide, naproanilide, pethoxamid, pretilachlor, propachlor, thenylchlor;
- amino acid derivatives: bilanafos, glyphosate, glufosinate, sulfosate;
- aryloxyphenoxypropionat.es: clodinafop, cyhalofop-butyl, fenoxaprop, fluazifop, haloxyfop, metamifop, propaquizafop, quizalofop, quizalofop-P-tefuryl;
- Bipyridyls: diquat, paraquat;
- (thio)carbamates: asulam, butylate, carbetamide, desmedipham, dimepiperate, eptam (EPTC), esprocarb, molinate, orbencarb, phenmedipham, prosulfocarb, pyributicarb, thiobencarb, triallate;
- cyclohexanediones: butroxydim, clethodim, cycloxydim, profoxydim, sethoxydim, tepraloxydim, tralkoxydim;
- dinitroanilines: benfluralin, ethalfluralin, oryzalin, pendimethalin, prodiamine, trifluralin;
- diphenyl ethers: acifluorfen, aclonifen, bifenox, diclofop, ethoxyfen, fomesafen, lactofen, oxyfluorfen;
- hydroxybenzonitriles: bomoxynil, dichlobenil, ioxynil;
- imidazolinones: imazamethabenz, imazamox, imazapic, imazapyr, imazaquin, imazethapyr;
- phenoxy acetic acids: clomeprop, 2,4-dichlorophenoxyacetic acid (2,4-D), 2,4-DB, dichlorprop, MCPA, MCPA-thioethyl, MCPB, Mecoprop;
- pyrazines: chloridazon, flufenpyr-ethyl, fluthiacet, norflurazon, pyridate;
- pyridines: aminopyralid, clopyralid, diflufenican, dithiopyr, fluridone, fluroxypyr, picloram, picolinafen, thiazopyr;
- sulfonyl ureas: amidosulfuron, azimsulfuron, bensulfuron, chlorimuron-ethyl, chlorsulfuron, cinosulfuron, cyclosulfamuron, ethoxysulfuron, flazasulfuron,
flucetosulfuron, flupyrsulfuron, foramsulfuron, halosulfuron, imazosulfuron, iodosulfuron, mesosulfuron, metazosulfuron, metsulfuron-methyl, nicosulfuron, oxasulfuron,
primisulfuron, prosulfuron, pyrazosulfuron, rimsulfuron, sulfometuron, sulfosulfuron, thifensulfuron, triasulfuron, tribenuron, trifloxysulfuron, triflusulfuron, tritosulfuron, 1 -((2- chloro-6-propyl-imidazo[1 ,2-b]pyridazin-3-yl)sulfonyl)-3-(4,6-dimethoxy-pyrimidin-2- yl)urea;
- triazines: ametryn, atrazine, cyanazine, dimethametryn, ethiozin, hexazinone, metamitron, metribuzin, prometryn, simazine, terbuthylazine, terbutryn, triaziflam;
- ureas: chlorotoluron, daimuron, diuron, fluometuron, isoproturon, linuron, metha- benzthiazuron,tebuthiuron;
- other acetolactate synthase inhibitors: bispyribac-sodium, cloransulam-methyl, diclosulam, florasulam, flucarbazone, flumetsulam, metosulam, ortho-sulfamuron, penoxsulam, propoxycarbazone, pyribambenz-propyl, pyribenzoxim, pyriftalid, pyriminobac-methyl, pyrimisulfan, pyrithiobac, pyroxasulfone, pyroxsulam;
- others: amicarbazone, aminotriazole, anilofos, beflubutamid, benazolin,
bencarbazone,benfluresate, benzofenap, bentazone, benzobicyclon, bicyclopyrone, bromacil, bromobutide, butafenacil, butamifos, cafenstrole, carfentrazone, cinidon-ethyl, chlorthal, cinmethylin, clomazone, cumyluron, cyprosulfamide, dicamba, difenzoquat, diflufenzopyr, Drechslera monoceras, endothal, ethofumesate, etobenzanid,
fenoxasulfone, fentrazamide, flumiclorac-pentyl, flumioxazin, flupoxam, flurochloridone, flurtamone, indanofan, isoxaben, isoxaflutole, lenacil, propanil, propyzamide, quinclorac, quinmerac, mesotrione, methyl arsonic acid, naptalam, oxadiargyl, oxadiazon, oxaziclomefone, pentoxazone, pinoxaden, pyraclonil, pyraflufen-ethyl, pyrasulfotole, pyrazoxyfen, pyrazolynate, quinoclamine, saflufenacil, sulcotrione, sulfentrazone, terbacil, tefuryltrione, tembotrione, thiencarbazone, topramezone, (3-[2-chloro-4-fluoro-5-(3- methyl-2,6-dioxo-4-trifluoromethyl-3,6-dihydro-2H-pyrimidin-1 -yl)-phenoxy]-pyridin-2- yloxy)-acetic acid ethyl ester, 6-amino-5-chloro-2-cyclopropyl-pyrimidine-4-carboxylic acid methyl ester, 6-chloro-3-(2-cyclopropyl-6-methyl-phenoxy)-pyridazin-4-ol, 4-amino-3- chloro-6-(4-chloro-phenyl)-5-fluoro-pyridine-2-carboxylic acid, 4-amino-3-chloro-6-(4- chloro-2-fluoro-3-methoxy-phenyl)-pyridine-2-carboxylic acid methyl ester, and 4-amino-3- chloro-6-(4-chloro-3-dimethylamino-2-fluoro-phenyl)-pyridine-2-carboxylic acid methyl ester.
O) Insecticides
- organo(thio)phosphates: acephate, azamethiphos, azinphos-methyl, chlorpyrifos, chlorpyrifos-methyl, chlorfenvinphos, diazinon, dichlorvos, dicrotophos, dimethoate, disulfoton, ethion, fenitrothion, fenthion, isoxathion, malathion, methamidophos, methidathion, methyl-parathion, mevinphos, monocrotophos, oxydemeton-methyl, paraoxon, parathion, phenthoate, phosalone, phosmet, phosphamidon, phorate, phoxim, pirimiphos-methyl, profenofos, prothiofos, sulprophos, tetrachlorvinphos, terbufos, triazophos, trichlorfon;
- carbamates: alanycarb, aldicarb, bendiocarb, benfuracarb, carbaryl, carbofuran, carbosulfan, fenoxycarb, furathiocarb, methiocarb, methomyl, oxamyl, pirimicarb, propoxur, thiodicarb, triazamate;
- pyrethroids: allethrin, bifenthrin, cyfluthrin, cyhalothrin, cyphenothrin, cypermethrin, alpha-cypermethrin, beta-cypermethrin, zeta-cypermethrin, deltamethrin, esfenvalerate, etofenprox, fenpropathrin, fenvalerate, imiprothrin, lambda-cyhalothrin, permethrin, prallethrin, pyrethrin I and II, resmethrin, silafluofen, tau-fluvalinate, tefluthrin, tetramethrin, tralomethrin, transfluthrin, profluthrin, dimefluthrin;
- insect growth regulators: a) chitin synthesis inhibitors: benzoylureas: chlorfluazuron, cyramazin, diflubenzuron, flucycloxuron, flufenoxuron, hexaflumuron, lufenuron, novaluron, teflubenzuron, triflumuron; buprofezin, diofenolan, hexythiazox, etoxazole, clofentazine; b) ecdysone antagonists: halofenozide, methoxyfenozide, tebufenozide, azadirachtin; c) juvenoids: pyriproxyfen, methoprene, fenoxycarb; d) lipid biosynthesis inhibitors: spirodiclofen, spiromesifen, spirotetramat;
- nicotinic receptor agonists/antagonists compounds: clothianidin, dinotefuran, imidacloprid, thiamethoxam, nitenpyram, acetamiprid, thiacloprid, 1 -(2-chloro-thiazol-5- ylmethyl)-2-nitrimino-3,5-dimethyl-[1 ,3,5]triazinane;
- GABA antagonist compounds: endosulfan, ethiprole, fipronil, vaniliprole,
pyrafluprole, pyriprole, 5-amino-1 -(2,6-dichloro-4-methyl-phenyl)-4-sulfinamoyl- 1 H-pyrazole-3-carbothioic acid amide;
- macrocyclic lactone insecticides: abamectin, emamectin, milbemectin, lepimectin, spinosad, spinetoram;
- mitochondrial electron transport inhibitor (METI) I acaricides: fenazaquin, pyridaben, tebufenpyrad, tolfenpyrad, flufenerim;
- METI II and III compounds: acequinocyl, fluacyprim, hydramethylnon;
- Uncouplers: chlorfenapyr;
- oxidative phosphorylation inhibitors: cyhexatin, diafenthiuron, fenbutatin oxide, propargite;
- moulting disruptor compounds: cryomazine;
- mixed function oxidase inhibitors: piperonyl butoxide; - sodium channel blockers: indoxacarb, metaflumizone;
- others: benclothiaz, bifenazate, cartap, flonicamid, pyridalyl, pymetrozine, sulfur, thiocyclam, flubendiamide, chlorantraniliprole, cyazypyr (HGW86), cyenopyrafen, flupyrazofos, cyflumetofen, amidoflumet, imicyafos, bistrifluron, pyrifluquinazon and 1 ,1 '- [(3S,4R,4aR,6S,6aS, 12R, 12aS, 12bS)-4-[[(2-cyclopropylacetyl)oxy]methyl]-
1 ,3,4,4a,5,6,6a,12,12a,12b-decahydro-12-hydroxy-4,6a,12b-trimethyl-1 1 -oxo-9-(3- pyridinyl)-2H,1 1 H-naphtho[2,1 -b]pyrano[3,4-e]pyran-3,6-diyl] cyclopropaneacetic acid ester. The present invention furthermore relates to agrochemical compositions comprising a mixture of at least one compound I (component 1 ) and at least one further active substance useful for plant protection, e. g. selected from the groups A) to O) (component 2), in particular one further fungicide, e. g. one or more fungicide from the groups A) to L), as described above, and if desired one suitable solvent or solid carrier. Those mixtures are of particular interest, since many of them at the same application rate show higher efficiencies against harmful fungi. Furthermore, combating harmful fungi with a mixture of compounds I and at least one fungicide from groups A) to L), as described above, is more efficient than combating those fungi with individual compounds I or individual fungicides from groups A) to L). By applying compounds I together with at least one active substance from groups A) to O) a synergistic effect can be obtained, i.e. more then simple addition of the individual effects is obtained (synergistic mixtures).
This can be obtained by applying the compounds I and at least one further active substance simultaneously, either jointly (e. g. as tank-mix) or separately, or in succession, wherein the time interval between the individual applications is selected to ensure that the active substance applied first still occurs at the site of action in a sufficient amount at the time of application of the further active substance(s). The order of application is not essential for working of the present invention.
In binary mixtures, i.e. compositions according to the invention comprising one compound I (component 1 ) and one further active substance (component 2), e. g. one active substance from groups A) to O), the weight ratio of component 1 and component 2 generally depends from the properties of the active substances used, usually it is in the range of from 1 :100 to 100:1 , regularly in the range of from 1 :50 to 50:1 , preferably in the range of from 1 :20 to 20:1 , more preferably in the range of from 1 :10 to 10:1 and in particular in the range of from 1 :3 to 3:1 .
In ternary mixtures, i.e. compositions according to the invention comprising one compound I (component 1 ) and a first further active substance (component 2) and a second further active substance (component 3), e. g. two active substances from groups A) to O), the weight ratio of component 1 and component 2 depends from the properties of the active substances used, preferably it is in the range of from 1 :50 to 50:1 and particularly in the range of from 1 :10 to 10:1 , and the weight ratio of component 1 and component 3 preferably is in the range of from 1 :50 to 50:1 and particularly in the range of from 1 :10 to 10:1.
Preference is also given to mixtures comprising a compound I (component 1 ) and at least one active substance selected from group A) (component 2) and particularly selected from azoxystrobin, dimoxystrobin, fluoxastrobin, kresoxim-methyl, orysastrobin, picoxystrobin, pyraclostrobin, trifloxystrobin; famoxadone, fenamidone; bixafen, boscalid, fluopyram, fluxapyroxad, isopyrazam, penflufen, penthiopyrad, sedaxane; ametoctradin, cyazofamid, fluazinam, fentin salts, such as fentin acetate.
Preference is given to mixtures comprising a compound I (component 1 ) and at least one active substance selected from group B) (component 2) and particularly selected from cyproconazole, difenoconazole, epoxiconazole, fluquinconazole, flusilazole, flutriafol, metconazole, myclobutanil, penconazole, propiconazole, prothioconazole, triadimefon, triadimenol, tebuconazole, tetraconazole, triticonazole, prochloraz, fenarimol, triforine;
dodemorph, fenpropimorph, tridemorph, fenpropidin, spiroxamine; fenhexamid.
Preference is given to mixtures comprising a compound I (component 1 ) and at least one active substance selected from group C) (component 2) and particularly selected from metalaxyl, (metalaxyl-M) mefenoxam, ofurace.
Preference is given to mixtures comprising a compound I (component 1 ) and at least one active substance selected from group D) (component 2) and particularly selected from benomyl, carbendazim, thiophanate-methyl, ethaboxam, fluopicolide, zoxamide, metrafenone, pyriofenone.
Preference is also given to mixtures comprising a compound I (component 1 ) and at least one active substance selected from group E) (component 2) and particularly selected from cyprodinil, mepanipyrim, pyrimethanil.
Preference is also given to mixtures comprising a compound I (component 1 ) and at least one active substance selected from group F) (component 2) and particularly selected from iprodione, fludioxonil, vinclozolin, quinoxyfen.
Preference is also given to mixtures comprising a compound I (component 1 ) and at least one active substance selected from group G) (component 2) and particularly selected from dimethomorph, flumorph, iprovalicarb, benthiavalicarb, mandipropamid, propamocarb.
Preference is also given to mixtures comprising a compound I (component 1 ) and at least one active substance selected from group H) (component 2) and particularly selected from copper acetate, copper hydroxide, copper oxychloride, copper sulfate, sulfur, mancozeb, metiram, propineb, thiram, captafol, folpet, chlorothalonil, dichlofluanid, dithianon.
Preference is also given to mixtures comprising a compound I (component 1 ) and at least one active substance selected from group I) (component 2) and particularly selected from carpropamid and fenoxanil.
Preference is also given to mixtures comprising a compound I (component 1 ) and at least one active substance selected from group J) (component 2) and particularly selected from acibenzolar-S-methyl, probenazole, tiadinil, fosetyl, fosetyl-aluminium, H3PO3 and salts thereof.
Preference is also given to mixtures comprising a compound I (component 1 ) and at least one active substance selected from group K) (component 2) and particularly selected from cymoxanil, proquinazid and N-methyl-2-{1 -[(5-methyl-3-trifluoromethyl-1 H-pyrazol-1 -yl)-acetyl]- piperidin-4-yl}-N-[(1 R)-1 ,2,3,4-tetrahydronaphthalen-1 -yl]-4-thiazolecarboxamide.
Preference is also given to mixtures comprising a compound I (component 1 ) and at least one active substance selected from group L) (component 2) and particularly selected from Bacillus subtilis strain NRRL No. B-21661 , Bacillus pumilus strain NRRL No. B-30087 and Ulocladium oudemansii.
Accordingly, the present invention furthermore relates to compositions comprising one compound I (component 1 ) and one further active substance (component 2), which further active substance is selected from the column "Component 2" of the lines D-1 to D-370 of Table D.
A further embodiment relates to the compositions D-1 to D-370 listed in Table D, where a row of Table D corresponds in each case to a fungicidal composition comprising one of the in the present specification individualized compounds of formula I (component 1 ) and the respective further active substance from groups A) to O) (component 2) stated in the row in question. Preferably, the compositions described comprise the active substances in synergistically effective amounts. Table D: Composition comprising one indiviualized compound I and one further active substance from groups A) to O)
Mixture Component 1 Component 2
D-1 one individualized compound I Azoxystrobin
D-2 one individualized compound I Coumethoxystrobin
D-3 one individualized compound I Coumoxystrobin
D-4 one individualized compound I Dimoxystrobin
D-5 one individualized compound I Enestroburin
D-6 one individualized compound I Fenaminstrobin
D-7 one individualized compound I Fenoxystrobin/Flufenoxystrobin
D-8 one individualized compound I Fluoxastrobin
D-9 one individualized compound I Kresoxim-methyl
D-10 one individualized compound I Metominostrobin
D-1 1 one individualized compound I Orysastrobin
D-12 one individualized compound I Picoxystrobin
D-13 one individualized compound I Pyraclostrobin
D-14 one individualized compound I Pyrametostrobin
D-15 one individualized compound I Pyraoxystrobin
D-16 one individualized compound I Pyribencarb
D-17 one individualized compound I Trifloxystrobin
D-18 one individualized compound I Triclopyricarb/Chlorodincarb
2-[2-(2,5-dimethyl-phenoxymethyl)-
D-19 one individualized compound I phenyl]-3-methoxy-acrylic acid methyl
ester
2-(2-(3-(2,6-dichlorophenyl)-1 -methyl-
D-20 one individualized compound I allylideneaminooxymethyl)-phenyl)- 2-methoxyimino-N-methyl-acetamide
D-21 one individualized compound I Benalaxyl
D-22 one individualized compound I Benalaxyl-M
D-23 one individualized compound I Benodanil
D-24 one individualized compound I Benzovindiflupyr
D-25 one individualized compound I Bixafen
D-26 one individualized compound I Boscalid Mixture Component 1 Component 2
D-27 one individualized compound I Carboxin
D-28 one individualized compound I Fenfuram
D-29 one individualized compound I Fenhexamid
D-30 one individualized compound I Flutolanil
D-31 one individualized compound I Fluxapyroxad
D-32 one individualized compound I Furametpyr
D-33 one individualized compound I Isopyrazam
D-34 one individualized compound I Isotianil
D-35 one individualized compound I Kiralaxyl
D-36 one individualized compound I Mepronil
D-37 one individualized compound I Metalaxyl
D-38 one individualized compound I Metalaxyl-M
D-39 one individualized compound I Ofurace
D-40 one individualized compound I Oxadixyl
D-41 one individualized compound I Oxycarboxin
D-42 one individualized compound I Penflufen
D-43 one individualized compound I Penthiopyrad
D-44 one individualized compound I Sedaxane
D-45 one individualized compound I Tecloftalam
D-46 one individualized compound I Thifluzamide
D-47 one individualized compound I Tiadinil
2-Amino-4-methyl-thiazole-5-carboxylic
D-48 one individualized compound I
acid anilide
N-(4'-trifluoromethylthiobiphenyl-2-yl)-
D-49 one individualized compound I 3- difluoromethyl-1 -methyl-1 H-pyrazole-
4- carboxamide
N-(2-(1 ,3,3-trimethyl-butyl)-phenyl)-
D-50 one individualized compound I 1 ,3-dimethyl-5-fluoro-1 H-pyrazole- 4-carboxamide
3-(difluoromethyl)-1 -methyl-N-(1 ,1 ,3-tri-
D-51 one individualized compound I methylindan-4-yl)pyrazole-4-carbox- amide
3-(trifluoromethyl)-1 -methyl-N-(1 ,1 ,3-tri-
D-52 one individualized compound I methylindan-4-yl)pyrazole-4-carbox- amide
1 ,3-dimethyl-N-(1 ,1 ,3-trimethylindan-
D-53 one individualized compound I
4-yl)pyrazole-4-carboxamide
3- (trifluoromethyl)-1 ,5-dimethyl-
D-54 one individualized compound I N-(1 ,1 ,3-trimethylindan-4-yl)pyrazole-
4- carboxamide Mixture Component 1 Component 2
3- (difluoromethyl)-1 ,5-dimethyl-
D-55 one individualized compound I N-(1 ,1 ,3-trimethylindan-4-yl)pyrazole-
4- carboxamide
1 ,3,5-trimethyl-N-(1 ,1 ,3-trimethylindan-
D-56 one individualized compound I
4-yl)pyrazole-4-carboxamide
D-57 one individualized compound I Dimethomorph
D-58 one individualized compound I Flumorph
D-59 one individualized compound I Pyrimorph
D-60 one individualized compound I Flumetover
D-61 one individualized compound I Fluopicolide
D-62 one individualized compound I Fluopyram
D-63 one individualized compound I Zoxamide
D-64 one individualized compound I Carpropamid
D-65 one individualized compound I Diclocymet
D-66 one individualized compound I Mandipropamid
D-67 one individualized compound I Oxytetracyclin
D-68 one individualized compound I Silthiofam
N-(6-methoxy-pyridin-3-yl)
D-69 one individualized compound I
cyclopropanecarboxylic acid amide
D-70 one individualized compound I Azaconazole
D-71 one individualized compound I Bitertanol
D-72 one individualized compound I Bromuconazole
D-73 one individualized compound I Cyproconazole
D-74 one individualized compound I Difenoconazole
D-75 one individualized compound I Diniconazole
D-76 one individualized compound I Diniconazole-M
D-77 one individualized compound I Epoxiconazole
D-78 one individualized compound I Fenbuconazole
D-79 one individualized compound I Fluquinconazole
D-80 one individualized compound I Flusilazole
D-81 one individualized compound I Flutriafol
D-82 one individualized compound I Hexaconazol
D-83 one individualized compound I Imibenconazole
D-84 one individualized compound I Ipconazole
D-85 one individualized compound I Metconazole
D-86 one individualized compound I Myclobutanil
D-87 one individualized compound I Oxpoconazol
D-88 one individualized compound I Paclobutrazol
D-89 one individualized compound I Penconazole
D-90 one individualized compound I Propiconazole
D-91 one individualized compound I Prothioconazole
D-92 one individualized compound I Simeconazole Mixture Component 1 Component 2
D-93 one individualized compound I Tebuconazole
D-94 one individualized compound I Tetraconazole
D-95 one individualized compound I Triadimefon
D-96 one individualized compound I Triadimenol
D-97 one individualized compound I Triticonazole
D-98 one individualized compound I Uniconazole
1 - [re/-(2S;3R)-3-(2-chlorophenyl)-
D-99 one individualized compound I 2- (2,4-difluorophenyl)-oxiranylmethyl]- 5-thiocyanato-1 H-[1 ,2,4]triazole,
2-[re/-(2S;3R)-3-(2-chlorophenyl)-
D-100 one individualized compound I 2-(2,4-difluorophenyl)-oxiranylmethyl]-
2H-[1 ,2,4]triazole-3-thiol
D-101 one individualized compound I Cyazofamid
D-102 one individualized compound I Amisulbrom
D-103 one individualized compound I Imazalil
D-104 one individualized compound I Imazalil-sulfate
D-105 one individualized compound I Pefurazoate
D-106 one individualized compound I Prochloraz
D-107 one individualized compound I Triflumizole
D-108 one individualized compound I Benomyl
D-109 one individualized compound I Carbendazim
D-1 10 one individualized compound I Fuberidazole
D-1 1 1 one individualized compound I Thiabendazole
D-1 12 one individualized compound I Ethaboxam
D-1 13 one individualized compound I Etridiazole
D-1 14 one individualized compound I Hymexazole
2-(4-Chloro-phenyl)-N-[4-(3,4-dimeth-
D-1 15 one individualized compound I oxy-phenyl)-isoxazol-5-yl]-2-prop-2-yn- yloxy-acetamide
D-1 16 one individualized compound I Fluazinam
D-1 17 one individualized compound I Pyrifenox
3-[5-(4-Chloro-phenyl)-2,3-dimethyl-is-
D-1 18 one individualized compound I
oxazolidin-3-yl]-pyridine (Pyrisoxazole)
3-[5-(4-Methyl-phenyl)-2,3-dimethyl-
D-1 19 one individualized compound I
isoxazolidin-3-yl]-pyridine
D-120 one individualized compound I Bupirimate
D-121 one individualized compound I Cyprodinil
D-122 one individualized compound I 5-Fluorocytosine
5-Fluoro-2-(p-tolylmethoxy)pyrimidin-
D-123 one individualized compound I
4-amine
5-Fluoro-2-(4-fluorophenylmethoxy)-
D-124 one individualized compound I
pyrimidin-4-amine Mixture Component 1 Component 2
D-125 one individualized compound I Diflumetorim
(5,8-Difluoroquinazolin-4-yl)-{2-[2-fluo-
D-126 one individualized compound I ro-4-(4-trifluoromethylpyridin-2-yloxy)- phenyl]-ethyl}-amine
D-127 one individualized compound I Fenarimol
D-128 one individualized compound I Ferimzone
D-129 one individualized compound I Mepanipyrim
D-130 one individualized compound I Nitra pyrin
D-131 one individualized compound I Nuarimol
D-132 one individualized compound I Pyrimethanil
D-133 one individualized compound I Triforine
D-134 one individualized compound I Fenpiclonil
D-135 one individualized compound I Fludioxonil
D-136 one individualized compound I Aldimorph
D-137 one individualized compound I Dodemorph
D-138 one individualized compound I Dodemorph-acetate
D-139 one individualized compound I Fenpropimorph
D-140 one individualized compound I Tridemorph
D-141 one individualized compound I Fenpropidin
D-142 one individualized compound I Fluoroimid
D-143 one individualized compound I Iprodione
D-144 one individualized compound I Procymidone
D-145 one individualized compound I Vinclozolin
D-146 one individualized compound I Famoxadone
D-147 one individualized compound I Fenamidone
D-148 one individualized compound I Flutianil
D-149 one individualized compound I Octhilinone
D-150 one individualized compound I Probenazole
D-151 one individualized compound I Fenpyrazamine
D-152 one individualized compound I Acibenzolar-S-methyl
D-153 one individualized compound I Ametoctradin
D-154 one individualized compound I Amisulbrom
[(3S,6S,7R,8R)-8-benzyl-3-[(3-isobuty- ryloxymethoxy-4-methoxypyridine-
D-155 one individualized compound I
2-carbonyl)amino]-6-methyl-4,9-dioxo- [1 ,5]dioxonan-7-yl] 2-methylpropanoate
[(3S,6S,7R,8R)-8-benzyl-3-[(3-acetoxy- 4-methoxy-pyridine-2-carbonyl)amino]-
D-156 one individualized compound I
6-methyl-4,9-dioxo-1 ,5-dioxonan-7-yl] 2-methylpropanoate Mixture Component 1 Component 2
[(3S,6S,7R,8R)-8-benzyl-3-[[3-(acet- oxymethoxy)-4-methoxy-pyridine-
D-157 one individualized compound I
2-carbonyl]amino]-6-methyl-4,9-dioxo- 1 ,5-dioxonan-7-yl] 2-methylpropanoate
[(3S,6S,7R,8R)-8-benzyl-3-[(3-isobut- oxycarbonyloxy-4-methoxy-pyridine-
D-158 one individualized compound I
2-carbonyl)amino]-6-methyl-4,9-dioxo- 1 ,5-dioxonan-7-yl] 2-methylpropanoate
[(3S,6S,7R,8R)-8-benzyl-3-[[3-(1 ,3-ben- zodioxol-5-ylmethoxy)-4-methoxy-pyri-
D-159 one individualized compound I dine-2-carbonyl]amino]-6-methyl-4,9-di- oxo-1 ,5-dioxonan-7-yl] 2-methylpropanoate
(3S,6S,7R,8R)-3-[[(3-hydroxy-4-meth- oxy-2-pyridinyl)carbonyl]amino]-
D-160 one individualized compound I
6-methyl-4,9-dioxo-8-(phenylmethyl)- 1 ,5-dioxonan-7-yl 2-methylpropanoate
D-161 one individualized compound I Anilazin
D-162 one individualized compound I Blasticidin-S
D-163 one individualized compound I Captafol
D-164 one individualized compound I Captan
D-165 one individualized compound I Chinomethionat
D-166 one individualized compound I Dazomet
D-167 one individualized compound I Debacarb
D-168 one individualized compound I Diclomezine
D-169 one individualized compound I Difenzoquat,
D-170 one individualized compound I Difenzoquat-methylsulfate
D-171 one individualized compound I Fenoxanil
D-172 one individualized compound I Folpet
D-173 one individualized compound I Oxolinsaure
D-174 one individualized compound I Piperalin
D-175 one individualized compound I Proquinazid
D-176 one individualized compound I Pyroquilon
D-177 one individualized compound I Quinoxyfen
D-178 one individualized compound I Triazoxid
D-179 one individualized compound I Tricyclazole
2-Butoxy-6-iodo-3-propyl-chromen-4-
D-180 one individualized compound I
one
5-Chloro-1 -(4,6-dimethoxy-pyrimidin-2-
D-181 one individualized compound I
yl)-2-methyl-1 H-benzoimidazole Mixture Component 1 Component 2
5-Chloro-7-(4-methyl-piperidin-1 -yl)-
D-182 one individualized compound I 6-(2,4,6-trifluoro-phenyl)-[1 ,2,4]tri- azolo[1 ,5-a]pyrimidine
D-183 one individua ized compound I Ferbam
D-184 one individua ized compound I Mancozeb
D-185 one individua ized compound I Maneb
D-186 one individua ized compound I Metam
D-187 one individua ized compound I Methasulphocarb
D-188 one individua ized compound I Metiram
D-189 one individua ized compound I Propineb
D-190 one individua ized compound I Thiram
D-191 one individua ized compound I Zineb
D-192 one individua ized compound I Ziram
D-193 one individua ized compound I Diethofencarb
D-194 one individua ized compound I Benthiavalicarb
D-195 one individua ized compound I Iprovalicarb
D-196 one individua ized compound I Propamocarb
D-197 one individua ized compound I Propamocarb hydrochlorid
D-198 one individua ized compound I Valifenalate
N-(1 -(1 -(4-cyanophenyl)ethanesulfon-
D-199 one individua ized compound I yl)-but-2-yl) carbamic acid-(4-fluoro- phenyl) ester
D-200 one individua ized compound I Dodine
D-201 one individua ized compound I Dodine free base
D-202 one individua ized compound I Guazatine
D-203 one individua ized compound I Guazatine-acetate
D-204 one individua ized compound I Iminoctadine
D-205 one individua ized compound I Iminoctadine-triacetate
D-206 one individua ized compound I Iminoctadine-tris(albesilate)
D-207 one individua ized compound I Kasugamycin
D-208 one individua ized compound I Kasugamycin-hydrochloride-hydrate
D-209 one individua ized compound I Polyoxine
D-210 one individua ized compound I Streptomycin
D-21 1 one individua ized compound I Validamycin A
D-212 one individua ized compound I Binapacryl
D-213 one individua ized compound I Dicloran
D-214 one individua ized compound I Dinobuton
D-215 one individua ized compound I Dinocap
D-216 one individua ized compound I Nitrothal-isopropyl
D-217 one individua ized compound I Tecnazen
D-218 one individua ized compound I Fentin salts
D-219 one individua ized compound I Dithianon Mixture Component 1 Component 2
2,6-dimethyl-1 H,5H-[1 ,4]dithiino
D-220 one individualized compound I [2,3-c:5,6-c']dipyrrole-
1 ,3,5,7(2H,6H)-tetraone
D-221 one individualized compound I Isoprothiolane
D-222 one individualized compound I Edifenphos
D-223 one individualized compound I Fosetyl, Fosetyl-aluminium
D-224 one individualized compound I Iprobenfos
Phosphorous acid (H3PO3) and
D-225 one individualized compound I
derivatives
D-226 one individualized compound I Pyrazophos
D-227 one individualized compound I Tolclofos-methyl
D-228 one individualized compound I Chlorothalonil
D-229 one individualized compound I Dichlofluanid
D-230 one individualized compound I Dichlorophen
D-231 one individualized compound I Flusulfamide
D-232 one individualized compound I Hexachlorbenzene
D-233 one individualized compound I Pencycuron
D-234 one individualized compound I Pentachlorophenol and salts
D-235 one individualized compound I Phthalide
D-236 one individualized compound I Quintozene
D-237 one individualized compound I Thiophanate Methyl
D-238 one individualized compound I Tolylfluanid
N-(4-chloro-2-nitro-phenyl)-N-ethyl-
D-239 one individualized compound I
4-methyl-benzenesulfonamide
D-240 one individualized compound I Bordeaux mixture
D-241 one individualized compound I Copper acetate
D-242 one individualized compound I Copper hydroxide
D-243 one individualized compound I Copper oxychloride
D-244 one individualized compound I basic Copper sulfate
D-245 one individualized compound I Sulfur
D-246 one individualized compound I Biphenyl
D-247 one individualized compound I Bronopol
D-248 one individualized compound I Cyflufenamid
D-249 one individualized compound I Cymoxanil
D-250 one individualized compound I Diphenylamin
D-251 one individualized compound I Metrafenone
D-252 one individualized compound I Pyriofenone
D-253 one individualized compound I Mildiomycin
D-254 one individualized compound I Oxin-copper
D-255 one individualized compound I Oxathiapiprolin
D-256 one individualized compound I Prohexadione calcium
D-257 one individualized compound I Spiroxamine Mixture Component 1 Component 2
D-258 one individualized compound I Tebufloquin
D-259 one individualized compound I Tolylfluanid
N-(Cyclopropylmethoxyimino-(6-
D-260 one individualized compound I difluoromethoxy-2,3-difluoro-phenyl)- methyl)-2-phenyl acetamide
N'-(4-(4-chloro-3-trifluoromethyl-
D-261 one individualized compound I phenoxy)-2,5-dimethyl-phenyl)-N-ethyl- N-methyl formamidine
N'-(4-(4-fluoro-3-trifluoromethyl-
D-262 one individualized compound I phenoxy)-2,5-dimethyl-phenyl)-N-ethyl- N-methyl formamidine
N'-(2-methyl-5-trifluoromethyl-4-(3-tri-
D-263 one individualized compound I methylsilanyl-propoxy)-phenyl)-N-ethyl- N-methyl formamidine
N'-(5-difluoromethyl-2-methyl-4-(3-tri-
D-264 one individualized compound I methylsilanyl-propoxy)-phenyl)-N-ethyl- N-methyl formamidine
Methoxy-acetic acid 6-tert-butyl-8-
D-265 one individualized compound I
fluoro-2,3-dimethyl-quinolin-4-yl ester
D-266 one individualized compound I Bacillus subtilis NRRL No. B-21661
D-267 one individualized compound I Bacillus pumilus NRRL No. B-30087
D-268 one individualized compound I Ulocladium oudemansii
D-269 one individualized compound I Carbaryl
D-270 one individualized compound I Carbofuran
D-271 one individualized compound I Carbosulfan
D-272 one individualized compound I Methomylthiodicarb
D-273 one individualized compound I Bifenthrin
D-274 one individualized compound I Cyfluthrin
D-275 one individualized compound I Cypermethrin
D-276 one individualized compound I alpha-Cypermethrin
D-277 one individualized compound I zeta-Cypermethrin
D-278 one individualized compound I Deltamethrin
D-279 one individualized compound I Esfenvalerate
D-280 one individualized compound I Lambda-cyhalothrin
D-281 one individualized compound I Permethrin
D-282 one individualized compound I Tefluthrin
D-283 one individualized compound I Diflubenzuron
D-284 one individualized compound I Flufenoxuron
D-285 one individualized compound I Lufenuron
D-286 one individualized compound I Teflubenzuron
D-287 one individualized compound I Spirotetramate
D-288 one individualized compound I Clothianidin Mixture Component 1 Component 2
D-289 one individualized compound I Dinotefuran
D-290 one individualized compound I Imidacloprid
D-291 one individualized compound I Thiamethoxam
D-292 one individualized compound I Flupyradifurone
D-293 one individualized compound I Acetamiprid
D-294 one individualized compound I Thiacloprid
D-295 one individualized compound I Endosulfan
D-296 one individualized compound I Fipronil
D-297 one individualized compound I Abamectin
D-298 one individualized compound I Emamectin
D-299 one individualized compound I Spinosad
D-300 one individualized compound I Spinetoram
D-301 one individualized compound I Hydramethylnon
D-302 one individualized compound I Chlorfenapyr
D-303 one individualized compound I Fenbutatin oxide
D-304 one individualized compound I Indoxacarb
D-305 one individualized compound I Metaflumizone
D-306 one individualized compound I Flonicamid
D-307 one individualized compound I Lubendiamide
D-308 one individualized compound I Chlorantraniliprole
D-309 one individualized compound I Cyazypyr (HGW86)
D-310 one individualized compound I Cyflumetofen
D-31 1 one individualized compound I Acetochlor
D-312 one individualized compound I Dimethenamid
D-313 one individualized compound I metolachlor
D-314 one individualized compound I Metazachlor
D-315 one individualized compound I Glyphosate
D-316 one individualized compound I Glufosinate
D-317 one individualized compound I Sulfosate
D-318 one individualized compound I Clodinafop
D-319 one individualized compound I Fenoxaprop
D-320 one individualized compound I Fluazifop
D-321 one individualized compound I Haloxyfop
D-322 one individualized compound I Paraquat
D-323 one individualized compound I Phenmedipham
D-324 one individualized compound I Clethodim
D-325 one individualized compound I Cycloxydim
D-326 one individualized compound I Profoxydim
D-327 one individualized compound I Sethoxydim
D-328 one individualized compound I Tepraloxydim
D-329 one individualized compound I Pendimethalin
D-330 one individualized compound I Prodiamine Mixture Component 1 Component 2
D-331 one individualized compound I Trifluralin
D-332 one individualized compound I Acifluorfen
D-333 one individualized compound I Bromoxynil
D-334 one individualized compound I Imazamethabenz
D-335 one individualized compound I Imazamox
D-336 one individualized compound I Imazapic
D-337 one individualized compound I Imazapyr
D-338 one individualized compound I Imazaquin
D-339 one individualized compound I Imazethapyr
D-340 one individualized compound I 2,4-Dichlorophenoxyacetic acid (2,4-D)
D-341 one individualized compound I Chloridazon
D-342 one individualized compound I Clopyralid
D-343 one individualized compound I Fluroxypyr
D-344 one individualized compound I Picloram
D-345 one individualized compound I Picolinafen
D-346 one individualized compound I Bensulfuron
D-347 one individualized compound I Chlorimuron-ethyl
D-348 one individualized compound I Cyclosulfamuron
D-349 one individualized compound I lodosulfuron
D-350 one individualized compound I Mesosulfuron
D-351 one individualized compound I Metsulfuron-methyl
D-352 one individualized compound I Nicosulfuron
D-353 one individualized compound I Rimsulfuron
D-354 one individualized compound I Triflusulfuron
D-355 one individualized compound I Atrazine
D-356 one individualized compound I Hexazinone
D-357 one individualized compound I Diuron
D-358 one individualized compound I Florasulam
D-359 one individualized compound I Pyroxasulfone
D-360 one individualized compound I Bentazone
D-361 one individualized compound I Cinidon-ethyl
D-362 one individualized compound I Cinmethylin
D-363 one individualized compound I Dicamba
D-364 one individualized compound I Diflufenzopyr
D-365 one individualized compound I Quinclorac
D-366 one individualized compound I Quinmerac
D-367 one individualized compound I Mesotrione
D-368 one individualized compound I Saflufenacil
D-369 one individualized compound I Topramezone Mixture Component 1 Component 2
1 ,1 '-[(3S,4R,4aR,6S,6aS,12R,12aS,
12bS)-4-[[(2-cyclopropylacetyl)oxy]me- thyl]-1 ,3,4,4a,5,6,6a,12,12a,12b-deca-
D-370 one individualized compound I hydro-12-hydroxy-4,6a,12b-trimethyl-
1 1 -oxo-9-(3-pyridinyl)-2H,1 1 H-naph- tho[2,1 -b]pyrano[3,4-e]pyran-3,6-diyl] cyclopropaneacetic acid ester
The active substances referred to as component 2, their preparation and their activity against harmful fungi is known (cf.: http://www.alanwood.net/pesticides/); these substances are commercially available. The compounds described by lUPAC nomenclature, their preparation and their fungicidal activity are also known (cf. Can. J. Plant Sci. 48(6), 587-94, 1968; EP-A 141 317; EP-A 152 031 ; EP-A 226 917; EP-A 243 970; EP-A 256 503; EP-A 428 941 ; EP- A 532 022; EP-A 1 028 125; EP-A 1 035 122; EP-A 1 201 648; EP-A 1 122 244,
JP 2002316902; DE 19650197; DE 10021412; DE 102005009458; US 3,296,272;
US 3,325,503; WO 98/46608; WO 99/14187; WO 99/24413; WO 99/27783; WO 00/29404; WO 00/46148; WO 00/65913; WO 01/54501 ; WO 01/56358; WO 02/22583; WO 02/40431 ; WO 03/10149; WO 03/1 1853; WO 03/14103; WO 03/16286; WO 03/53145; WO 03/61388; WO 03/66609; WO 03/74491 ; WO 04/49804; WO 04/83193; WO 05/120234; WO 05/123689; WO 05/123690; WO 05/63721 ; WO 05/87772; WO 05/87773; WO 06/15866; WO 06/87325; WO 06/87343; WO 07/82098; WO 07/90624, WO 1 1/028657).
The mixtures of active substances can be prepared as compositions comprising besides the active ingridients at least one inert ingredient by usual means, e. g. by the means given for the compositions of compounds I.
Concerning usual ingredients of such compositions reference is made to the explanations given for the compositions containing compounds I.
The mixtures of active substances according to the present invention are suitable as fungicides, as are the compounds of formula I. They are distinguished by an outstanding effectiveness against a broad spectrum of phytopathogenic fungi, especially from the classes of the Ascomycetes, Basidiomycetes, Deuteromycetes and Peronosporomycetes (syn.
Oomycetes). In addition, it is refered to the explanations regarding the fungicidal activity of the compounds and the compositions containing compounds I, respectively.
Synthesis examples
With appropriate modification of the starting materials, the procedures given in the synthesis examples below were used to obtain further compounds I. The compounds produced in this manner are listed in Table IV below.
Example 1 : Preparation of methyl 2-[3-[[2-(trifluoromethyl)-4-pyridyl]oxy] phenyl]acetate
To a solution of methyl 2-(3-hydroxyphenyl)acetate (6 g, 36 mmol), potassium carbonate (5.5 g, 40 mmol) and catalytic amounts of potassium iodide in N-methyl-2-pyrrolidone (NMP, 65 ml.) that was stirred for 20 minutes at room temperature was added 4-chloro-2- trifluoromethylpyridine (6.6 g, 36 mmol). The reaction mixture was then heated to 130°C for 5 h, cooled, poured into water and extracted with methy feri-butylether (MTBE, 3x). The combined organic layers were washed with succesivly with 3 N NaOH and water, dried over Na2S04 and reduced in vacuo. The crude residue was purified by flash silica gel column chromatography (hexane/ethyl acetate) to afford a 54% (6 g, 19 mmol) yield of the desired product.
Example 2: Preparation of N-(2-methylpyrimidin-4-yl)-2-[3-[[2-(trifluoromethyl)-4- pyridyl]oxy]phenyl]acetamide (IV-10) To a solution of 2-methyl-4-pyrimidinamine (200 mg, 1.83 mmol) in benzene (20 ml.) was slowly added trimethylaluminum (132 mg, 1 .83 mmol); keeping the temperature below 30°C, the solution was left to stir for 1 h. To this mixture was then added a solution of methyl 2-[3-[[2- (trifluoromethyl)-4-pyridyl]oxy]phenyl]acetate (570 mg, 1.83 mmol) in benzene (4 ml_). The reaction was heated to reflux for 3 h then stirred at room temperature overnight. The reaction was quenched with the addition of 2N HCI and was brought to pH 10 with an aqueous solution of NaOH (10%). The product was extracted with dichloromethane and the combine organic layers were dried over Na2S04 and concentrated. The residue was purified by flash silica gel column chromatography (1 :1 to 1 :2 to 0:100 heptane:ethyl acetate) to afford a 38% (269 g, 0.69 mmol) yield of the desired amide product.
Example 3: Preparation of 2-[3-[[2-(trifluoromethyl)-4-pyridyl]oxy]phenyl]acetamide
To a solution of methyl 2-[3-[[2-(trifluoromethyl)-4-pyridyl]oxy]phenyl]acetate (126 g, 400 mmol) in 7N NH3 in MeOH (1.5 L) was added NaCN (1.98 g, 0.04 mmol). The reaction was stirred at 35°C for 3 h then stirring was continued at room temperature for 48 h and was then concentrated. Water was added and the product was extracted with ethyl acetate. The combined organic layers were wased with water, dried with Na2S04 and concentrated to provide 1 10 g of the beige solid product. Example 4: Preparation of N-(2-methylpyrimidin-4-yl)-2-[4-[[2-(trifluoromethyl)-4- pyridyl]oxy]phenyl]propanamide (IV-5)
A solution of 2-[4-[[2-(trifluoromethyl)-4-pyridyl]oxy]phenyl]propanamide (483 mg, 1 .6 mmol), 4-chloro-2-methyl-pyrimidine (200 mg, 1 .6 mmol), cesium carbonate (558 mg, 1 .7 mmol), palladium (II) acetate (17 mg, 0.08 mmol), and Xantphos (53 mg, 0.09 mmol) in tetrahydrofuran (9 ml.) was degassed with nitrogen for 2 min and then was exposed to microwave radiation at 80°C for 8 h. The reaction was cooled to room temperature, filtered, and concentrated. The crude residue was purified by MPLC to provide 150 mg (0.37 mmol, 24%) of the desired product.
The compounds listed in Table IV have been prepared in an analogous manner. Table IV: Compounds IV-1 to IV-14 of formulae 1.1 F and I.4F as defined herein, whereas R in each case is hydrogen.
Figure imgf000048_0001
* The position of Rb on the phenyl ring is defined relative to the CR1R2-moiety bound to the phenyl ring as being in ortho (o-) or meta (m-) position, n = 0 indicates that no substituent Rb is present on the phenyl ring. m.p. = melting point (°C). Form. = formula.
HPLC-MS: column Kinetex XB C18 1 ,7μ (50 x 2,1 mm); eluent: acetonitrile / water + 0.1 % TFA (gradient from 5:95 to 100 : 0 in 1.5 min at 60°C, flow gradient from 0.8 to 1.0 ml/min in 1.5 min). MS: Quadrupol Electrospray lonisation, 80 V (positive mode). Biological examples for fungicidal activity
The fungicidal action of the compounds I was demonstrated by the following experiments:
Glass house trials
The spray solutions were prepared in several steps: The stock solution were prepared: a mixture of acetone and/or dimethylsulfoxide and the wetting agent/emulsifier Wettol, which is based on ethoxylated alkylphenoles, in a relation (volume) solvent-emulsifier of 99 to 1 was added to 25 mg of the compound to give a total of 5 ml. Water was then added to total volume of 100 ml.
This stock solution was diluted with the described solvent-emulsifier-water mixture to the given concentration.
After the final cultivation period, the extent of fungal attack on the leaves was visually assessed as % diseased leaf area.
Use example 1 : Preventative control of brown rust on wheat caused by Puccinia recondita
The first two developed leaves of pot-grown wheat seedling were sprayed to run-off with an aqueous suspension, containing the concentration of active ingredient or their mixture as described below. The next day the plants were inoculated with spores of Puccinia recondita. To ensure the success the artificial inoculation, the plants were transferred to a humid chamber without light and a relative humidity of 95 to 99 % and 20 to 24°C for 24 h. Then the trial plants were cultivated for 6 days in a greenhouse chamber at 20 to 24°C and a relative humidity between 65 and 70%.
In this test, the plants which had been treated with 250 ppm of the active compound IV-1 , IV- 2, IV-3, IV-4, IV-5 or IV-6 showed a diseased leaf area of at most 15%, whereas the untreated plants showed 82% diseased leaf area.
Use example 2: Protective control of soy bean rust on soy beans caused by Phakopsora pachyrhizi Leaves of pot-grown soybean seedlings were sprayed to run-off with an aqueous suspension, containing the concentration of active ingredient or their mixture as described below. The plants were allowed to air-dry. The trial plants were cultivated for 1 day in a greenhouse chamber at 23 to 27°C and a relative humidity between 60 and 80%.Then the plants were inoculated with spores of Phakopsora pachyrhizi. To ensure the success the artificial inoculation, the plants were transferred to a humid chamber with a relative humidity of about 95% and 20 - 24°C for 24 h. The trial plants were cultivated for fourteen days in a greenhouse chamber at 23 to 27°C and a relative humidity between 60 and 80%.
In this test, the plants which had been treated with 250 ppm of the active compound IV-5, IV- 7, IV-10, IV-1 1 , IV-12, IV-14, IV-7, IV-8, IV-9 or IV-1 1 showed a diseased leaf area of at most 20%, whereas the untreated plants showed 73% diseased leaf area.
Use example 3: Control of late blight on tomatoes caused by Phytophthora infestans
Young seedlings of tomato plants were grown in pots. These plants were sprayed to run-off with an aqueous suspension, containing the concentration of active ingredient or their mixture mentioned in the table below. The next day, the treated plants were inoculated with an aqueous suspension of sporangia of Phytophthora infestans. After inoculation, the trial plants were immediately transferred to a humid chamber and kept for 6 days at 18 to 20°C and a relative humidity close to 100%.
In this test, the plants which had been treated with 250 ppm of the active compound IV-1 , IV- 2, IV-3, IV-4, IV-5, IV-6, IV-7, IV-8, IV-9, IV-10, IV-1 1 , IV-12 or IV-14 showed a diseased leaf area of at most 20%, whereas the untreated plants showed 80% diseased leaf area.
Use example 4: Preventative control of leaf blotch on wheat caused by Septoria tritici
Leaves of pot-grown wheat seedling were sprayed to run-off with an aqueous suspension of the active compound or their mixture, prepared as described. The plants were allowed to air-dry. At the following day the plants were inoculated with an aqueous spore suspension of Septoria tritici. Then the trial plants were immediately transferred to a humid chamber at 18 to 22°C and a relative humidity close to 100%. After 4 days the plants were transferred to a chamber with 18 to 22°C and a relative humidity close to 70% and kept there for 4 weeks.
In this test, the plants which had been treated with 250 ppm of the active compound IV-1 , IV- 3, IV-4, IV-8, IV-10, IV-1 1 , IV-12, IV-13 or IV-14 showed a diseased leaf area of at most 20%, whereas the untreated plants showed 84% diseased leaf area.

Claims

We claim:
1 . Compounds of formula I
Figure imgf000050_0001
wherein: is A-B-D, wherein
A is a direct bond or a divalent group -0-,
B is a divalent group -CH2-, wherein the divalent group -CH2- is unsubstituted or substituted by 1 or 2 halogen, and
D is hydrogen or halogen;
Ra6 are hydrogen; is hydrogen, Ci-C4-alkyl, Ci-C4-haloalkyl, Ci-C4-alkoxy, Ci-C4-haloalkoxy, Ci-C4-alkoxy-Ci-C4-alkyl, Ci-C4-haloalkoxy-Ci-C4-alkyl, C2-C4-alkenyl, C2-C4-haloalkenyl, C2-C4-alkynyl, C2-C4-haloalkynyl, CN, CH2CN, NRARB or
CH2-0-C(=0)R';
RA, RB independently of one another are hydrogen, Ci-C4-alkyl,
C2-C4-alkenyl, C2-C4-alkynyl, phenyl, benzyl, Cs-Cs-cycloalkyI, Cs-Cs-cycloalkenyl or C(=0)-R';
R' is hydrogen, OH, NH2, Ci-C4-alkyl, Ci-C4-haloalkyl, C2-C4-alkenyl, C2-C4-alkynyl, Ci-C4-alkoxy, Ci-C4-haloalkoxy, Ci-C4-alkylamino or di(Ci-C4-alkyl)amino;
R1, R2 independently of each other are hydrogen, halogen, OH, CN,
Ci-C4-alkyl, Ci-C4-haloalkyl, Ci-C4-alkoxy, Ci-C4-haloalkoxy, Ci-C4-alkoxy-Ci-C4- alkyl, Ci-C4-haloalkoxy-Ci-C4-alkyl, C2-C4-alkenyl, C2-C4-haloalkenyl, C2-C4-alkynyl,
C2-C4-haloalkynyl, Cs-Cs-cycloalkyI, Cs-Cs-cycloalkyloxy, C3-Cs-cycloalkyl-Ci-C4- alkyl, NRARB, C(=0)R', C(=NOR")R"', C(=NH)-0-R"' or benzyl,
wherein the phenyl moiety of benzyl is unsubstituted or carries 1 , 2 , 3, 4 or 5 substituents selected from the group consisting of CN, halogen,
Ci-C4-alkyl, Ci-C4-haloalkyl, Ci-C4-alkoxy, Ci-C4-haloalkoxy, (Ci-C4-alkoxy)carbonyl and di(Ci-C4-alkyl)aminocarbonyl, two radicals R1 and R2 that are bound to the same carbon atom form together with said carbon atom a saturated or partially unsaturated
3-, 4-, 5-, 6- or 7-membered carbocycle or a saturated or partially unsaturated 3-, 4-, 5-, 6- or 7-membered heterocycle, wherein the ring member atoms of the
abovementioned heterocycle include beside carbon atoms 1 , 2, 3 or 4 heteroatoms selected from the group of N, O and S, and wherein the abovementioned cycle is unsubstituted or carries 1 , 2, 3 or 4 substituents selected from halogen, CN, OH, SH, Ci-C4-alkyl, Ci-C4-alkoxy or Ci-C4-alkylthio; and
one or two CH2 groups of the abovementioned cycles may be replaced by one or two C(=0) or C(=S) groups respectively;
R" is hydrogen, Ci-C4-alkyl, Ci-C4-haloalkyl, C2-C4-alkenyl, C2-C4-alkynyl or
C 1 -C4-a I koxy-C 1 -C4-a I ky I ,
R'" is hydrogen or Ci-C4-alkyl; is a divalent group selected from -C(=0)- and -C(=S)-; indicates the number of substituents Rb on the phenyl ring and n is 0, 1 , 2, 3 or 4; is halogen, CN, NO2, Ci-C4-alkyl, Ci-C4-haloalkyl, Ci-C4-alkoxy, Ci-C4-haloalkoxy, C2-C4-alkenyl, C2-C4-haloalkenyl, C2-C4-alkynyl, C2-C4-haloalkynyl, NRARB,
C(=NOR")R"' or C(=NH)-0-R"',
it being possible for n = 2, 3 or 4 that Rb are identical or different; is a 5- or 6-membered heteroaryl, wherein the ring member atoms of the heteroaryl include besides carbon atoms 1 , 2, 3 or 4 heteroatoms selected from the group of N, O and S and wherein the heteroaryl is unsubstituted or carries 1 , 2, 3 or 4 identical or different groups Rc:
Rc is halogen, CN, N02, Ci-C6-alkyl, d-C6-haloalkyl, Ci-C6-alkoxy, Ci-C6-halo- alkoxy, Ci-C6-alkylthio, Ci-C6-haloalkylthio, Ci-C6-alkylsulfinyl, Ci-C6-halo- alkylsulfinyl, Ci-C6-alkylsulfonyl, Ci-C6-haloalkylsulfonyl, Ci-C6-alkoxy- Ci-C4-alkyl, Ci-C6-haloalkoxy-Ci-C4-alkyl, C2-C6-alkenyl, C2-C6-alkynyl, NRARB, C(=0)R', C(=NOR")R'", C(=NH)-0-R'", C3-C8-cycloalkyl,
C3-C8-cycloalkyl-Ci-C4-alkyl, phenyl, phenyl-Ci-C4-alkyl, phenoxy, phenoxy- Ci-C4-alkyl or a 5- or 6-membered heteroaryl, wherein the ring member atoms of the heteroaryl include besides carbon atoms 1 , 2, 3 or 4 heteroatoms selected from the group of N, O and S, and wherein the aforementioned cyclic radicals are unsubstituted or carry 1 , 2, 3 or 4 identical or different substituents Rd: Rd is halogen, CN, Ci-C4-alkyl, Ci-C4-haloalkyl, Ci-C4-alkoxy or
Ci-C4-haloalkoxy; or two radicals Rc that are bound to adjacent ring member atoms of the Het group form together with said ring member atoms a fused
5-, 6- or 7-membered saturated, partially unsaturated or aromatic carbocycle or heterocycle, wherein the ring member atoms of the fused heterocycle include besides carbon atoms 1 , 2, 3 or 4 heteroatoms selected from the group of N, O and S, and wherein the fused carbocycle or heterocycle is unsubstituted or carries 1 , 2, 3 or 4 identical or different radicals groups Re:
Re is halogen, CN, Ci-C4-alkyl, Ci-C4-haloalkyl, Ci-C4-alkoxy or
Ci-C4-haloalkoxy; and the N-oxides and the agriculturally acceptable salts thereof.
Compounds according to claim 1 , wherein Ra2 is CH3, CF3 or OCH3.
Compounds according to claim 1 or 2, wherein R is hydrogen.
Compounds according to any of claims 1 to 3, wherein X is -C(=0)-.
Compounds according to any of claims 1 to 4, wherein n is 1 , 2, 3 or 4 and Rb is selected from the group of halogen, CN, NO2, Ci-C4-alkyl, Ci-C4-haloalkyl, Ci-C4-alkoxy, Ci-C4-haloalkoxy and Ci-C4-alkoxy-Ci-C4-alkyl.
Compounds according to any of claims 1 to 5, wherein Het is selected from pyrimidin-2-yl, pyrimidin-3-yl, pyrimidin-4-yl, pyridin-2-yl, pyridin-3-yl, thiazol-2-yl, pyrazin-2-yl, pyridazin- 3-yl, 1 ,3,5-triazin-2-yl, and 1 ,2,4-triazin-3-yl.
Compounds according to any of claims 1 to 6, wherein Het carries 1 or 2 radicals Rc which are selected from F, CI, Br, CN, Ci-C2-alkylsulfonyl, Ci-C2-alkoxycarbonyl, aminocarbonyl, Ci-C2-alkylaminocarbonyl, di(Ci-C2-alkyl)aminocarbonyl, Ci-C2-alkoxy, CF3, CHF2, OCF3
Figure imgf000052_0001
A process for preparing compounds I as defined in claim 1 , wherein X is -C(=0)-, which comprises reacting a compound of formula II
II
Figure imgf000052_0002
wherein Ra2, Ra5 and Ra6 are as defined in claim 1 and Hal is fluorine, chlorine or bromine, with a compound of formula III
Figure imgf000053_0001
wherein R, R1, R2, Rb, n and Het are as defined in claim 1 and X is -C(=0)- in the presence of a base or a catalyst or a combination of a base and a catalyst and in the presence of a solvent.
9. A process for preparing compounds I as defined in claim 1 in which X is -C(=0)-, which comprises reacting a compound of formula lla
Figure imgf000053_0002
wherein Ra2, Ra5 and Ra6 are as defined in claim 1 with a compound of the formula Ilia,
Figure imgf000053_0003
wherein R1, R2, Rb, n and Het are as defined in claim l and Z is hydrogen or
Ci-C4-alkyl.
10. An agrochemical composition which comprises an auxiliary and at least one compound of formula I or an N-oxide or an agriculturally acceptable salt thereof, according to any of claims 1 to 7.
1 1 . An agrochemical composition according to claim 10 comprising at least one further active substance.
12. A method for combating phytopathogenic harmful fungi, which process comprises treating the fungi or the materials, plants, the soil or seeds to be protected against fungal attack, with an effective amount of at least one compound of formula I of an or an N-oxide or an agriculturally acceptable salt thereof, as defined in any of claims 1 to 7.
3. The use of compounds of formula I, their N-oxides and their agriculturally acceptable salts, as defined in any of claims 1 to 7 for combating phytopathogenic harmful fungi.
4. Seed comprising a compound of formula I, or an N-oxide or an agriculturally acceptable salt thereof, as defined in any of claims 1 to 7, in an amount of from 0.1 g to 10 kg per 100 kg of seed.
PCT/EP2013/0518462012-02-032013-01-31Fungicidal pyrimidine compounds iWO2013113781A1 (en)

Applications Claiming Priority (4)

Application NumberPriority DateFiling DateTitle
EP121537552012-02-03
EP12153755.92012-02-03
EP121542132012-02-07
EP12154213.82012-02-07

Publications (1)

Publication NumberPublication Date
WO2013113781A1true WO2013113781A1 (en)2013-08-08

Family

ID=47624095

Family Applications (1)

Application NumberTitlePriority DateFiling Date
PCT/EP2013/051846WO2013113781A1 (en)2012-02-032013-01-31Fungicidal pyrimidine compounds i

Country Status (2)

CountryLink
AR (1)AR089878A1 (en)
WO (1)WO2013113781A1 (en)

Cited By (4)

* Cited by examiner, † Cited by third party
Publication numberPriority datePublication dateAssigneeTitle
WO2014063642A1 (en)*2012-10-252014-05-01中国中化股份有限公司Substituted pyrimidine compound and uses thereof
US9321734B2 (en)2012-12-282016-04-26Dow Agrosciences LlcN-(substituted)-5-fluoro-4-imino-3-methyl-2-oxo-3,4-dihydropyrimidine-1(2H)-carboxamide derivatives
US9908855B2 (en)2012-12-282018-03-06Adama Makhteshim Ltd.N-(substituted)-5-fluoro-4-imino-3-methyl-2-oxo-3,4-dihydropyrimidine-1(2H)-carboxylate derivatives
US10059703B2 (en)2012-12-312018-08-28Adama Makhteshim Ltd.3-alkyl-5-fluoro-4-substituted-imino-3,4-dihydropyrimidin-2(1H)-one derivatives as fungicides

Citations (69)

* Cited by examiner, † Cited by third party
Publication numberPriority datePublication dateAssigneeTitle
US3296272A (en)1965-04-011967-01-03Dow Chemical CoSulfinyl- and sulfonylpyridines
US3325503A (en)1965-02-181967-06-13Diamond Alkali CoPolychloro derivatives of mono- and dicyano pyridines and a method for their preparation
GB2016466A (en)1978-03-011979-09-26Nippon Chemiphar CoAcetic acid derivatives and processes for producing the same
EP0141317A2 (en)1983-10-211985-05-15BASF Aktiengesellschaft7-Amino-azolo[1,5-a]pyrimidines and fungicides containing them
EP0152031A2 (en)1984-02-031985-08-21Shionogi & Co., Ltd.Azolyl cycloalkanol derivatives and agricultural fungicides
EP0226917A1 (en)1985-12-201987-07-01BASF AktiengesellschaftAcrylic acid esters and fungicides containing these compounds
EP0243970A1 (en)1986-05-021987-11-04Stauffer Chemical CompanyFungicidal pyridyl imidates
EP0256503A2 (en)1986-08-121988-02-24Mitsubishi Kasei CorporationPyridinecarboxamide derivatives and their use as fungicide
EP0264217A2 (en)1986-10-081988-04-20Ube Industries, Ltd.Aralkylaminopyrimidine derivative, process for producing thereof and insecticide, acaricide and fungicide containing said derivative as active ingredient
EP0428941A1 (en)1989-11-101991-05-29Agro-Kanesho Co., Ltd.Hexahydrotriazine compounds and insecticides
EP0532022A1 (en)1991-09-131993-03-17Ube Industries, Ltd.Acrylate compound, preparation process thereof and fungicide using the same
WO1995018795A1 (en)1994-01-071995-07-13DowelancoN-(4-pyrimidinyl)amide pesticides
EP0665225A1 (en)1994-02-011995-08-02Ube Industries, Ltd.4-Phenethylamino pyrimidine derivative, process for preparing the same and agricultural and horticultural chemical for controlling noxious organisms containing the same
WO1997028133A1 (en)1996-02-011997-08-07Bayer AktiengesellschaftAcylated 4-amino- and 4-hydrazinopyrimidines and their use as pesticides
WO1998003272A1 (en)1996-07-191998-01-29Ube Industries, Ltd.Processes for the preparation of 4-amino-5-chloro-6-(1-fluoroethyl)pyrimidine compounds
DE19650197A1 (en)1996-12-041998-06-10Bayer Ag 3-thiocarbamoylpyrazole derivatives
WO1998046608A1 (en)1997-04-141998-10-22American Cyanamid CompanyFungicidal trifluoromethylalkylamino-triazolopyrimidines
WO1999014187A1 (en)1997-09-181999-03-25Basf AktiengesellschaftBenzamidoxim derivatives, intermediate products and methods for preparing and using them as fungicides
WO1999024413A2 (en)1997-11-121999-05-20Bayer AktiengesellschaftIsothiazole carboxylic acid amides and the application thereof in order to protect plants
WO1999027783A1 (en)1997-12-041999-06-10Dow Agrosciences LlcFungicidal compositions and methods, and compounds and methods for the preparation thereof
WO2000029404A1 (en)1998-11-172000-05-25Kumiai Chemical Industry Co., Ltd.Pyrimidinylbenzimidazole and triazinylbenzimidazole derivatives and agricultura/horticultural bactericides
WO2000046148A1 (en)1999-02-022000-08-10Sintokogio, Ltd.Silica gel carrying titanium oxide photocatalyst in high concentration and method for preparation thereof
EP1028125A1 (en)1998-11-302000-08-16Isagro Ricerca S.r.l.Dipeptide compounds having fungicidal activity and their agronomic use
EP1035122A1 (en)1999-03-112000-09-13Rohm And Haas CompanyHeterocyclic subsituted isoxazolidines and their use as fungicides
WO2000065913A1 (en)1999-04-282000-11-09Takeda Chemical Industries, Ltd.Sulfonamide derivatives
DE10021412A1 (en)1999-12-132001-06-21Bayer Ag Fungicidal active ingredient combinations
WO2001054501A2 (en)2000-01-252001-08-02Syngenta Participations AgHerbicidal composition
EP1122244A1 (en)2000-02-042001-08-08Sumitomo Chemical Company, LimitedUracil compounds and their use
WO2001056358A2 (en)2000-01-282001-08-09Rohm And Haas CompanyEnhanced propertied pesticides
WO2002022583A2 (en)2000-09-182002-03-21E. I. Du Pont De Nemours And CompanyPyridinyl amides and imides for use as fungicides
EP1201648A1 (en)1999-08-052002-05-02Kumiai Chemical Industry Co., Ltd.Carbamate derivatives and agricultural/horticultural bactericides
WO2002040431A2 (en)2000-11-172002-05-23Dow Agrosciences LlcCompounds having fungicidal activity and processes to make and use same
JP2002316902A (en)2001-04-202002-10-31Sumitomo Chem Co Ltd Plant disease control agent composition
WO2003010149A1 (en)2001-07-252003-02-06Bayer Cropscience AgPyrazolylcarboxanilides as fungicides
WO2003011853A1 (en)2001-07-302003-02-13Dow Agrosciences Llc6-aryl-4-aminopicolinates and their use as herbicides
WO2003014103A1 (en)2001-08-032003-02-20Bayer Cropscience S.A.Iodobenzopyran-4-one derivatives having fungicidal activity
WO2003016286A1 (en)2001-08-172003-02-27Sankyo Agro Company, Limited3-phenoxy-4-pyridazinol derivative and herbicide composition containing the same
WO2003053145A1 (en)2001-12-212003-07-03Nissan Chemical Industries, Ltd.Bactericidal composition
WO2003061388A1 (en)2002-01-182003-07-31Sumitomo Chemical Takeda Agro Company, LimitedFused heterocyclic sulfonylurea compound, herbicide containing the same, and method of controlling weed with the same
WO2003064572A1 (en)2002-01-312003-08-07Exxonmobil Research And Engineering CompanyLubricating oil compositions with improved friction properties
WO2003066609A1 (en)2002-02-042003-08-14Bayer Cropscience AktiengesellschaftDisubstituted thiazolyl carboxanilides and their use as microbicides
WO2003074491A1 (en)2002-03-052003-09-12Syngenta Participations AgO-cyclopropyl-carboxanilides and their use as fungicides
WO2004049804A2 (en)2002-11-292004-06-17Syngenta Participations AgFungicidal combinations for crop potection
WO2004083193A1 (en)2003-03-172004-09-30Sumitomo Chemical Company, LimitedAmide compound and bactericide composition containing the same
WO2005011601A2 (en)2003-08-012005-02-10Pfizer Products, Inc.6-menbered heteroaryl compounds for the treatment of neurodegenerative disorders
WO2005063721A1 (en)2003-12-192005-07-14E.I. Dupont De Nemours And CompanyHerbicidal pyrimidines
WO2005087772A1 (en)2004-03-102005-09-22Basf Aktiengesellschaft5,6-dialkyl-7-amino-triazolopyrimidines, method for their production, their use for controlling pathogenic fungi and agents containing said compounds
WO2005087773A1 (en)2004-03-102005-09-22Basf Aktiengesellschaft5,6-dialkyl-7-amino-triazolopyrimidines, method for their production, their use for controlling pathogenic fungi and agents containing said compounds
WO2005095357A2 (en)2004-03-302005-10-13Taisho Pharmaceutical Co., Ltd.Pyrimidine derivatives and methods of treatment related to the use thereof
US20050245530A1 (en)2004-04-232005-11-03Borzilleri Robert MMonocyclic heterocycles as kinase inhibitors
WO2005120234A2 (en)2004-06-032005-12-22E.I. Dupont De Nemours And CompanyFungicidal mixtures of amidinylphenyl compounds
WO2005123690A1 (en)2004-06-182005-12-29Basf Aktiengesellschaft1-methyl-3-difluoromethyl-pyrazol-4-carbonic acid-(ortho-phenyl)-anilides, and use thereof as a fungicide
WO2005123689A1 (en)2004-06-182005-12-29Basf Aktiengesellschaft1-methyl-3-trifluoromethyl-pyrazole-4-carboxylic acid (ortho-phenyl)-anilides and to use thereof as fungicide
WO2006015866A1 (en)2004-08-122006-02-16Syngenta Participations AgMethod for protecting useful plants or plant propagation material
WO2006072831A1 (en)2005-01-102006-07-13Pfizer Inc.Pyrrolopyrazoles, potent kinase inhibitors
WO2006074884A1 (en)2005-01-142006-07-20F.Hoffmann-La Roche AgThiazole-4-carboxamide derivatives as mglur5 antagonists
WO2006087343A1 (en)2005-02-162006-08-24Basf AktiengesellschaftPyrazole carboxylic acid anilides, method for the production thereof and agents containing them for controlling pathogenic fungi
WO2006087325A1 (en)2005-02-162006-08-24Basf Aktiengesellschaft5-alkoxyalkyl-6-alkyl-7-amino-azolopyrimidines, method for their production, their use for controlling pathogenic fungi and agents containing said substances
DE102005009458A1 (en)2005-03-022006-09-07Bayer Cropscience Ag pyrazolylcarboxanilides
WO2006135719A1 (en)2005-06-102006-12-21Janssen Pharmaceutica N.V.Aminopyrimidines as kinase modulators
WO2007082098A2 (en)2006-01-132007-07-19Dow Agrosciences Llc6-(poly-substituted aryl)-4-aminopicolinates and their use as herbicides
WO2007090624A2 (en)2006-02-092007-08-16Syngenta Participations AgA method of protecting a plant propagation material, a plant, and/or plant organs
WO2008156726A1 (en)2007-06-202008-12-24Merck & Co., Inc.Inhibitors of janus kinases
WO2010000527A1 (en)2008-07-042010-01-07Robert Bosch GmbhSolenoid valve for a fuel injector and fuel injector
US20100022538A1 (en)2008-01-222010-01-28Dow Agrosciences Llc5-fluoro pyrimidine derivatives
US20100063063A1 (en)2008-09-112010-03-11Pfizer IncSubstituted Heteroaryls
WO2010058030A1 (en)2008-11-242010-05-27Boehringer Ingelheim International GmbhNew compounds
WO2011028657A1 (en)2009-09-012011-03-10Dow Agrosciences LlcSynergistic fungicidal compositions containing a 5-fluoropyrimidine derivative for fungal control in cereals
WO2011147066A1 (en)2010-05-262011-12-01四川大学Arylamino purine derivatives, preparation method and pharmaceutical use thereof

Patent Citations (69)

* Cited by examiner, † Cited by third party
Publication numberPriority datePublication dateAssigneeTitle
US3325503A (en)1965-02-181967-06-13Diamond Alkali CoPolychloro derivatives of mono- and dicyano pyridines and a method for their preparation
US3296272A (en)1965-04-011967-01-03Dow Chemical CoSulfinyl- and sulfonylpyridines
GB2016466A (en)1978-03-011979-09-26Nippon Chemiphar CoAcetic acid derivatives and processes for producing the same
EP0141317A2 (en)1983-10-211985-05-15BASF Aktiengesellschaft7-Amino-azolo[1,5-a]pyrimidines and fungicides containing them
EP0152031A2 (en)1984-02-031985-08-21Shionogi & Co., Ltd.Azolyl cycloalkanol derivatives and agricultural fungicides
EP0226917A1 (en)1985-12-201987-07-01BASF AktiengesellschaftAcrylic acid esters and fungicides containing these compounds
EP0243970A1 (en)1986-05-021987-11-04Stauffer Chemical CompanyFungicidal pyridyl imidates
EP0256503A2 (en)1986-08-121988-02-24Mitsubishi Kasei CorporationPyridinecarboxamide derivatives and their use as fungicide
EP0264217A2 (en)1986-10-081988-04-20Ube Industries, Ltd.Aralkylaminopyrimidine derivative, process for producing thereof and insecticide, acaricide and fungicide containing said derivative as active ingredient
EP0428941A1 (en)1989-11-101991-05-29Agro-Kanesho Co., Ltd.Hexahydrotriazine compounds and insecticides
EP0532022A1 (en)1991-09-131993-03-17Ube Industries, Ltd.Acrylate compound, preparation process thereof and fungicide using the same
WO1995018795A1 (en)1994-01-071995-07-13DowelancoN-(4-pyrimidinyl)amide pesticides
EP0665225A1 (en)1994-02-011995-08-02Ube Industries, Ltd.4-Phenethylamino pyrimidine derivative, process for preparing the same and agricultural and horticultural chemical for controlling noxious organisms containing the same
WO1997028133A1 (en)1996-02-011997-08-07Bayer AktiengesellschaftAcylated 4-amino- and 4-hydrazinopyrimidines and their use as pesticides
WO1998003272A1 (en)1996-07-191998-01-29Ube Industries, Ltd.Processes for the preparation of 4-amino-5-chloro-6-(1-fluoroethyl)pyrimidine compounds
DE19650197A1 (en)1996-12-041998-06-10Bayer Ag 3-thiocarbamoylpyrazole derivatives
WO1998046608A1 (en)1997-04-141998-10-22American Cyanamid CompanyFungicidal trifluoromethylalkylamino-triazolopyrimidines
WO1999014187A1 (en)1997-09-181999-03-25Basf AktiengesellschaftBenzamidoxim derivatives, intermediate products and methods for preparing and using them as fungicides
WO1999024413A2 (en)1997-11-121999-05-20Bayer AktiengesellschaftIsothiazole carboxylic acid amides and the application thereof in order to protect plants
WO1999027783A1 (en)1997-12-041999-06-10Dow Agrosciences LlcFungicidal compositions and methods, and compounds and methods for the preparation thereof
WO2000029404A1 (en)1998-11-172000-05-25Kumiai Chemical Industry Co., Ltd.Pyrimidinylbenzimidazole and triazinylbenzimidazole derivatives and agricultura/horticultural bactericides
EP1028125A1 (en)1998-11-302000-08-16Isagro Ricerca S.r.l.Dipeptide compounds having fungicidal activity and their agronomic use
WO2000046148A1 (en)1999-02-022000-08-10Sintokogio, Ltd.Silica gel carrying titanium oxide photocatalyst in high concentration and method for preparation thereof
EP1035122A1 (en)1999-03-112000-09-13Rohm And Haas CompanyHeterocyclic subsituted isoxazolidines and their use as fungicides
WO2000065913A1 (en)1999-04-282000-11-09Takeda Chemical Industries, Ltd.Sulfonamide derivatives
EP1201648A1 (en)1999-08-052002-05-02Kumiai Chemical Industry Co., Ltd.Carbamate derivatives and agricultural/horticultural bactericides
DE10021412A1 (en)1999-12-132001-06-21Bayer Ag Fungicidal active ingredient combinations
WO2001054501A2 (en)2000-01-252001-08-02Syngenta Participations AgHerbicidal composition
WO2001056358A2 (en)2000-01-282001-08-09Rohm And Haas CompanyEnhanced propertied pesticides
EP1122244A1 (en)2000-02-042001-08-08Sumitomo Chemical Company, LimitedUracil compounds and their use
WO2002022583A2 (en)2000-09-182002-03-21E. I. Du Pont De Nemours And CompanyPyridinyl amides and imides for use as fungicides
WO2002040431A2 (en)2000-11-172002-05-23Dow Agrosciences LlcCompounds having fungicidal activity and processes to make and use same
JP2002316902A (en)2001-04-202002-10-31Sumitomo Chem Co Ltd Plant disease control agent composition
WO2003010149A1 (en)2001-07-252003-02-06Bayer Cropscience AgPyrazolylcarboxanilides as fungicides
WO2003011853A1 (en)2001-07-302003-02-13Dow Agrosciences Llc6-aryl-4-aminopicolinates and their use as herbicides
WO2003014103A1 (en)2001-08-032003-02-20Bayer Cropscience S.A.Iodobenzopyran-4-one derivatives having fungicidal activity
WO2003016286A1 (en)2001-08-172003-02-27Sankyo Agro Company, Limited3-phenoxy-4-pyridazinol derivative and herbicide composition containing the same
WO2003053145A1 (en)2001-12-212003-07-03Nissan Chemical Industries, Ltd.Bactericidal composition
WO2003061388A1 (en)2002-01-182003-07-31Sumitomo Chemical Takeda Agro Company, LimitedFused heterocyclic sulfonylurea compound, herbicide containing the same, and method of controlling weed with the same
WO2003064572A1 (en)2002-01-312003-08-07Exxonmobil Research And Engineering CompanyLubricating oil compositions with improved friction properties
WO2003066609A1 (en)2002-02-042003-08-14Bayer Cropscience AktiengesellschaftDisubstituted thiazolyl carboxanilides and their use as microbicides
WO2003074491A1 (en)2002-03-052003-09-12Syngenta Participations AgO-cyclopropyl-carboxanilides and their use as fungicides
WO2004049804A2 (en)2002-11-292004-06-17Syngenta Participations AgFungicidal combinations for crop potection
WO2004083193A1 (en)2003-03-172004-09-30Sumitomo Chemical Company, LimitedAmide compound and bactericide composition containing the same
WO2005011601A2 (en)2003-08-012005-02-10Pfizer Products, Inc.6-menbered heteroaryl compounds for the treatment of neurodegenerative disorders
WO2005063721A1 (en)2003-12-192005-07-14E.I. Dupont De Nemours And CompanyHerbicidal pyrimidines
WO2005087772A1 (en)2004-03-102005-09-22Basf Aktiengesellschaft5,6-dialkyl-7-amino-triazolopyrimidines, method for their production, their use for controlling pathogenic fungi and agents containing said compounds
WO2005087773A1 (en)2004-03-102005-09-22Basf Aktiengesellschaft5,6-dialkyl-7-amino-triazolopyrimidines, method for their production, their use for controlling pathogenic fungi and agents containing said compounds
WO2005095357A2 (en)2004-03-302005-10-13Taisho Pharmaceutical Co., Ltd.Pyrimidine derivatives and methods of treatment related to the use thereof
US20050245530A1 (en)2004-04-232005-11-03Borzilleri Robert MMonocyclic heterocycles as kinase inhibitors
WO2005120234A2 (en)2004-06-032005-12-22E.I. Dupont De Nemours And CompanyFungicidal mixtures of amidinylphenyl compounds
WO2005123690A1 (en)2004-06-182005-12-29Basf Aktiengesellschaft1-methyl-3-difluoromethyl-pyrazol-4-carbonic acid-(ortho-phenyl)-anilides, and use thereof as a fungicide
WO2005123689A1 (en)2004-06-182005-12-29Basf Aktiengesellschaft1-methyl-3-trifluoromethyl-pyrazole-4-carboxylic acid (ortho-phenyl)-anilides and to use thereof as fungicide
WO2006015866A1 (en)2004-08-122006-02-16Syngenta Participations AgMethod for protecting useful plants or plant propagation material
WO2006072831A1 (en)2005-01-102006-07-13Pfizer Inc.Pyrrolopyrazoles, potent kinase inhibitors
WO2006074884A1 (en)2005-01-142006-07-20F.Hoffmann-La Roche AgThiazole-4-carboxamide derivatives as mglur5 antagonists
WO2006087343A1 (en)2005-02-162006-08-24Basf AktiengesellschaftPyrazole carboxylic acid anilides, method for the production thereof and agents containing them for controlling pathogenic fungi
WO2006087325A1 (en)2005-02-162006-08-24Basf Aktiengesellschaft5-alkoxyalkyl-6-alkyl-7-amino-azolopyrimidines, method for their production, their use for controlling pathogenic fungi and agents containing said substances
DE102005009458A1 (en)2005-03-022006-09-07Bayer Cropscience Ag pyrazolylcarboxanilides
WO2006135719A1 (en)2005-06-102006-12-21Janssen Pharmaceutica N.V.Aminopyrimidines as kinase modulators
WO2007082098A2 (en)2006-01-132007-07-19Dow Agrosciences Llc6-(poly-substituted aryl)-4-aminopicolinates and their use as herbicides
WO2007090624A2 (en)2006-02-092007-08-16Syngenta Participations AgA method of protecting a plant propagation material, a plant, and/or plant organs
WO2008156726A1 (en)2007-06-202008-12-24Merck & Co., Inc.Inhibitors of janus kinases
US20100022538A1 (en)2008-01-222010-01-28Dow Agrosciences Llc5-fluoro pyrimidine derivatives
WO2010000527A1 (en)2008-07-042010-01-07Robert Bosch GmbhSolenoid valve for a fuel injector and fuel injector
US20100063063A1 (en)2008-09-112010-03-11Pfizer IncSubstituted Heteroaryls
WO2010058030A1 (en)2008-11-242010-05-27Boehringer Ingelheim International GmbhNew compounds
WO2011028657A1 (en)2009-09-012011-03-10Dow Agrosciences LlcSynergistic fungicidal compositions containing a 5-fluoropyrimidine derivative for fungal control in cereals
WO2011147066A1 (en)2010-05-262011-12-01四川大学Arylamino purine derivatives, preparation method and pharmaceutical use thereof

Non-Patent Citations (20)

* Cited by examiner, † Cited by third party
Title
"McCutcheon's, Vol.1: Emulsifiers & Detergents", vol. 1, 2008, MCCUTCHEON'S DIRECTORIES
"Technical Monograph No. 2, 6th Ed.", May 2008, CROPLIFE INTERNATIONAL, article "Catalogue of pesticide formulation types and international coding system"
CAN. J. PLANT SCI., vol. 48, no. 6, 1968, pages 587 - 94
HELV. CHIM. ACT., vol. 34, 1951, pages 835 - 40
HETEROCYCLES, vol. 78, no. 7, 2009, pages 1627 - 1665
HOBOKEN, NJ, ORGANIC REACTIONS, 2000, pages 56
J. AM. CHEM. SOC., vol. 123, no. 25, 2001, pages 5962 - 5973
J. CHEM. SOC., 1951, pages 3439 - 44
J. HETEROCYC. CHEM., vol. 18, no. 7, 1981, pages 1305 - 1308
J. MED. CHEM., vol. 38, no. 11, 1995, pages 1892 - 1903
J. MED. CHEM., vol. 54, no. 9, 2011, pages 3241 - 3250
J. ORG. CHEM., vol. 76, no. 6, 2011, pages 1546 - 1553
JOURNAL OF ORGANIC CHEMISTRY, vol. 52, no. 21, 1987, pages 4689 - 93
KNOWLES: "Agrow Reports DS243", 2005, T&F INFORMA, article "New developments in crop protection product formulation"
MOLLET; GRUBEMANN: "Formulation technology", 2001, WILEY VCH
NEW J. CHEM., vol. 18, no. 6, 1994, pages 701 - 8
ORG. LETT., vol. 12, no. 23, 2010, pages 5570 - 5572
ORGANOMETALLICS, vol. 30, no. 20, 2011, pages 5442 - 5451
SCIENCE OF SYNTHESIS, vol. 16, 2004, pages 379 - 572
TARGETS IN HETEROCYCLIC SYSTEMS, vol. 12, 2008, pages 59 - 84

Cited By (7)

* Cited by examiner, † Cited by third party
Publication numberPriority datePublication dateAssigneeTitle
WO2014063642A1 (en)*2012-10-252014-05-01中国中化股份有限公司Substituted pyrimidine compound and uses thereof
CN104684900A (en)*2012-10-252015-06-03中国中化股份有限公司Substituted pyrimidine compound and uses thereof
US9770026B2 (en)2012-10-252017-09-26Shenyang Sinochem Agrochemicals R&D Co., Ltd.Substituted pyrimidine compound and uses thereof
US9321734B2 (en)2012-12-282016-04-26Dow Agrosciences LlcN-(substituted)-5-fluoro-4-imino-3-methyl-2-oxo-3,4-dihydropyrimidine-1(2H)-carboxamide derivatives
US9840475B2 (en)2012-12-282017-12-12Adama Makhteshim Ltd.N-(substituted)-5-fluoro-4-imino-3-methyl-2-oxo-3,4-dihydropyrimidine-1(2H)-carboxamide derivatives
US9908855B2 (en)2012-12-282018-03-06Adama Makhteshim Ltd.N-(substituted)-5-fluoro-4-imino-3-methyl-2-oxo-3,4-dihydropyrimidine-1(2H)-carboxylate derivatives
US10059703B2 (en)2012-12-312018-08-28Adama Makhteshim Ltd.3-alkyl-5-fluoro-4-substituted-imino-3,4-dihydropyrimidin-2(1H)-one derivatives as fungicides

Also Published As

Publication numberPublication date
AR089878A1 (en)2014-09-24

Similar Documents

PublicationPublication DateTitle
US9072301B2 (en)Fungicidal pyrimidine compounds
WO2017016915A1 (en)Pyridine compounds useful for combating phytopathogenic fungi
EP2809658B1 (en)Fungicidal pyrimidine compounds
WO2014095548A1 (en)Substituted [1,2,4]triazole compounds and their use as fungicides
EP3359530A1 (en)Pyridine derivatives for combating phytopathogenic fungi
WO2015036058A1 (en)Fungicidal pyrimidine compounds
WO2014095655A1 (en)Substituted [1,2,4]triazole and imidazole compounds
WO2013113776A1 (en)Fungicidal pyrimidine compounds
WO2014095381A1 (en)Fungicidal imidazolyl and triazolyl compounds
JP2015512891A (en) Bactericidal pyrimidine compounds
WO2015036059A1 (en)Fungicidal pyrimidine compounds
WO2013113781A1 (en)Fungicidal pyrimidine compounds i
WO2013113788A1 (en)Fungicidal pyrimidine compounds
WO2013113773A1 (en)Fungicidal pyrimidine compounds
WO2013113716A1 (en)Fungicidal pyrimidine compounds
WO2013113778A1 (en)Fungicidal pyrimidine compounds
WO2014095637A1 (en)Substituted [1,2,4]triazole and imidazole compounds
WO2013135672A1 (en)Fungicidal pyrimidine compounds
WO2013113719A1 (en)Fungicidal pyrimidine compounds ii
WO2013113720A1 (en)Fungicidal pyrimidine compounds
WO2013113782A1 (en)Fungicidal pyrimidine compounds
EP2746264A1 (en)Substituted [1,2,4]triazole and imidazole compounds
EP2746279A1 (en)Fungicidal imidazolyl and triazolyl compounds
EP2746274A1 (en)Substituted [1,2,4]triazole compounds
EP2745691A1 (en)Substituted imidazole compounds and their use as fungicides

Legal Events

DateCodeTitleDescription
121Ep: the epo has been informed by wipo that ep was designated in this application

Ref document number:13701655

Country of ref document:EP

Kind code of ref document:A1

NENPNon-entry into the national phase

Ref country code:DE

122Ep: pct application non-entry in european phase

Ref document number:13701655

Country of ref document:EP

Kind code of ref document:A1


[8]ページ先頭

©2009-2025 Movatter.jp