Movatterモバイル変換


[0]ホーム

URL:


WO2013057743A1 - Process for the preparation of an aryl oxime and salts thereof - Google Patents

Process for the preparation of an aryl oxime and salts thereof
Download PDF

Info

Publication number
WO2013057743A1
WO2013057743A1PCT/IN2012/000693IN2012000693WWO2013057743A1WO 2013057743 A1WO2013057743 A1WO 2013057743A1IN 2012000693 WIN2012000693 WIN 2012000693WWO 2013057743 A1WO2013057743 A1WO 2013057743A1
Authority
WO
WIPO (PCT)
Prior art keywords
formula
compound
process according
group
oxy
Prior art date
Application number
PCT/IN2012/000693
Other languages
French (fr)
Inventor
Chandra Sekhar GUDLA
Hampelingaiah Shiva PRASAD
Ramesh KARUPPAIAH
Jagannath SELVARAJ
Tanuja Samatala BASAVARAJAPPA
Senthil kumar THANGARAJ
Mallikarjuna RAYI
Original Assignee
Connexios Life Sciences Pvt. Ltd
Priority date (The priority date is an assumption and is not a legal conclusion. Google has not performed a legal analysis and makes no representation as to the accuracy of the date listed.)
Filing date
Publication date
Application filed by Connexios Life Sciences Pvt. LtdfiledCriticalConnexios Life Sciences Pvt. Ltd
Publication of WO2013057743A1publicationCriticalpatent/WO2013057743A1/en

Links

Classifications

Definitions

Landscapes

Abstract

The invention relates to a process for the preparation of 3-cyano-3-{4-[(4-{[(2Z)-2-(methoxyimino)-2-phenylethyl] oxy} benzyl) oxy] phenyl} propanoic acid or salts thereof. In one form, the invention relates to the process for the preparation of (-)-3-cyano-3-{4-[(4-{[(2Z)-2-(methoxyimino)-2-phenylethyl]oxy}benzyl)oxy]phenyl}propanoic acid and conversion of the (-)-enantiomer to the sodium salt, sodium 3-cyano-3-{4-[(4-{[(2Z)-2-(methoxyimino)-2-phenylethyl]oxy}benzyl)oxy] phenyl}propanoate.

Description

PROCESS FOR THE PREPARATION OF AN ARYL QXIME AND SALTS
THEREOF
FIELD OF THE INVENTION
The invention relates to a process for the preparation of 3-cyano-3-{4-[(4- { [(2Z)-2- (methoxyimino)-2-phenylethyl] oxy} benzyl) oxy] phenyl } propanoic acid or salts thereof. I n one form, the invention relates to the process for the preparation of (-)-3-cyano-3- ! 4 - | i 4- { [(2Z)-2-(methoxyimino)-2-phenylethyl]oxy} benzyl )oxy |pheny I [ propanoic ac id a nd conversion of the (-)-enantiomer to the sodium salt, sodi um 3-cyano-3 - 4-\ ( 4- [ | ( l/. vZ - (methoxyimino)-2-phenylethyl]oxy } benzyl)oxy] phenyl } propanoate.
BACKGROUND OF THE INVENTION
3-Cyano-3-{4-[(4-{ [(2Z)-2-(methoxyimino)-2-phenylethyl] oxy} benzyl) oxy] phenyl } propanoic acid is a compound of the formula (I):
Figure imgf000002_0001
This compound is of interest from a pharmaceutical sense as it shows promise in the treatment of diabetes and related conditions. As with any compound that is of pharmaceutical interest there is a need to develop synthetic routes to the compound that are both reasonably efficient in terms of overall number of process steps and also provide the required abi lity to be scaled up for production in a commercial sense. A skil led address wi l l al so note t ha t t he molecule contains a chiral centre. It is desirable i f the synthetic route proceeds ih mu uh a n advanced intermediate that can be subjected to resolution of the two enantiomers to provide a pharmaceutical compound that is of the desired enantiomeric excess and preferably optical ly pure. OBJECTS OF THE INVENTION
The principal object of the present invention is to provide an improved synthesis of the compound 3-Cyano-3-{4-[(4-{ [(2Z)-2-(methoxyimino)-2-phenylethyl]oxy}benzyl)oxy] phenyl} propanoic acid or a salt thereof.
STATEMENT OF INVENTION
In one aspect the present invention provides a process for the preparat ion o f a compound of formula (1)
Figure imgf000003_0001
Formula (I)
or a salt thereof, the process comprising:
(a) providing a compound of formula (II):
Figure imgf000003_0002
Formula (II) wherein R is a leaving group or hydroxyl group, providing a compound of formula (II I):
Figure imgf000003_0003
Formula (III) wherein P is a carboxyl protecting group.
(c) coupling the compound of formula (II) with the compound of formula (III) in a coupling reaction to provide a compound of formula (IV)
Figure imgf000004_0001
Formula (IV)
(d) removing the carboxyl protecting group to form the compound of formula (I) or a sail thereof. In one embodiment the process comprises a chiral resolution of the compounds produced to produce an enantiomerically pure compound. In one embodiment chiral resolution of the enantiomeric mixture obtained after step (c) or (d) is carried out to provide the (-) enantiomer in greater than 98% ee. In the process of the invention the compound of formula (II) may have the1 as a leaving group or as OH. In one embodiment R1 is a leaving group. In another embodiment R ' is OH. In one embodiment R1 is a leaving group selected from the group consisting of fluorine, chlorine, bromine, iodine, mesylate, tosylate and triflate. In one embodiment where R1 is a leaving group the coupling reaction is carried out in the presence of a base. In one embodiment the base is base is selected from the group consisting of: sodium carbonate, potassium carbonate and cesium carbonate. In one embodiment the reaction is carried out at an elevated temperature.
In another embodiment of the process of the invention R1 is OH. In one embodiment wherein R1 is OH one or more coupling reagents are_ added to the coupling reaction. In one embodiment a phosphorus based coupling reagent is added to the coupling reaction. In one embodiment the phosphorous based coupling reagent is selected from the group consisting of triphenyl phosphine and triethyl phosphine. In one embodiment an azocarboxylate coupling reagent is added to the coupling reaction. In one embodiment the azocarboxylate coupling reagent is selected from the group consisting of diisopropyl azodicarboxylate (DIA D) or diethyl azodicarboxylate (DEAD).
In one embodiment both a phosphorous based coupl i ng reagent and an
Figure imgf000005_0001
laic coupling reagent are added to the coupling reaction. In one embodiment the phosphorous based coupling reagent is added prior to addition of the azocarboxylate coupling reagent.
In one specific embodiment the phosphorous based coupling reagent is triphenyl phosphine. In one specific embodiment the azocarboxylate coupling reagent is DIAD.
The compounds of formula (II) and (III) as used in the process of the present invention may be synthesized using a number of synthetic routes.
In one embodiment where R1 is OH the step of provid i ng a compound o f formula ( I I ) comprises: reacting a compound of formula (V):
Figure imgf000005_0002
Formula (V) wherein X is a leaving group, with methoxylamine or a salt thereof to obtain a compound of formula (V I ):
Figure imgf000005_0003
Formula (VI) (b) contacting the compound of formula (VI) with 4-(hydroxymethyl)phenol in the presence of a base, to obtain a compound of formula (II):
Figure imgf000006_0001
Formula (I I) where R '=OH
In one embodiment of this approach X1 is a halogen.
Similarly in one embodiment the compound of formula (III) is prepared by a process comprising:
(a) condensing 4-hydroxybenzaldehyde with a malonic ester, in the presence of a base, to produce a compound of formula (VII):
Figure imgf000006_0002
Formula (VII) wherein P1 is hydrogen or a carboxyl protecting group; converting the compound of formula (VII) to a compound of formula (III)
Figure imgf000006_0003
In particular the second step of this process may be carried out in a number of In one embodiment step (b) comprises the steps of:
(b l ) reacting the compound of formula (V I I) with a cyanide sail fol lovved by conditions that remove the protecting group to form a compound of the formula ( I l ia)
Figure imgf000007_0001
Formula (Ilia)
(b2) and protecting the carboxylic acid of formula Il ia to produce the compound of form ula (III):
Figure imgf000007_0002
Formula (III)
wherein P' is a carboxyl protecting group.
In one embodiment step (b) comprises the steps of:
(bl) reacting the compound of formula (VII) with a cyanide salt to obtai n a compound of formula (III):
Figure imgf000007_0003
Formula III wherein P is a carboxyl protecting group.
In one embodiment the group P' is a C|-C6 alkyl group.
In one embodimentP1 is selected from the group consisting of C i -Ch al kyl group and benzyl group. In one embodiment the product of step (b) is subjected to chiral resolution of the enantiomers of the compound of formula III to provide the two substantially pure enantiomers in greater than 98% ee.
The present invention also provides a process for the preparation o f a com pound o f formula (I)
Figure imgf000008_0001
Formula (I) salt thereof, the process comprising: reacting a compound of formula (V)
Figure imgf000008_0002
Formula (V) wherein X1 is a leaving group, with methoxylamine or a salt thereof to obtain a compound of formula ( V I ) :
Figure imgf000008_0003
Formula (VI) (b) contacting the compound of formula (VI) with 4-(hydroxymethyl (phenol in ihc presence of a base, to obtain the compound of formula II :
Figure imgf000009_0001
Formula (II) where R'=OH
(c) coupling the compound of formula II with 4-hydroxyphenyl acclonitrilc. undei coupling conditions to obtain the compound of formula (VIII):
Figure imgf000009_0002
Formula (VIII)
(d) reacting the compound of formula (VIII). in the presence of a base, with an est r l formula (IX):
*2V Op1
Formula (IX) wherein,
X2 is a leaving group, and
P1 is a carboxyl protecting group,
to provide the compound of formula (IV)
Figure imgf000010_0001
Formula (IV)
(e) removing the carboxyl protecting group to obtain a compound of formula (I) or a salt thereof.
In one embodiment X1 is a halogen.
In one embodiment X is a halogen. In one embodiment P1 is selected from the group consisting o f G -G, a l ky ! gro u ;ι ικΙ benzyl group.
In one embodiment the product of step (d) or the product of step (e) is subjected to chiral resolution of the enantiomeric mixture to provide the product in greater than 98% ee.
DETAILED DESCRIPTION OF THE INVENTION
In this specification a number of terms are used which are well known to a ski lled addressee. Nevertheless for the purposes of clarity a number of terms will be defined.
hydrocarbon group, preferably a Ci-Ci2 alkyl, more preferably a C i -C io alkyl, most preferably CrC6 unless otherwise noted. Examples of suitable straight and branched C i -C6 alkyl substituents include methyl, ethyl, n-propyl, 2-propyl, n-butyl. sec-butyl , t-butyl . hexyl . and the like. The group may be a terminal group or a bridging group. "Aryl" as a group or part of a group denotes (i) an optional ly substit uted monocyc l i c, or fused polycyclic, aromatic carbocycle (ring structure having ring atoms that are all carbon) preferably having from 5 to 12 atoms per ring. Examples of aryl groups include phenyl, naphthyl, and the like; (ii) an optionally substituted partially saturated bicyclic aromatic carbocyclic moiety in which a phenyl and a C5-7 cycloalkyl or C5-7 cycloalkenyl group are fused together to form a cyclic structure, such as tetrahydronaphthyl, indenyl or indanyl. The group may be a terminal group or a bridging group. Typically an aryl group is a C -C i8 aryl group.
A leaving group is a chemical group that is readi ly displaced by t he des i red π οηι ι η μ chemical moiety. Accordingly in any situation the choice of leaving group wi l l depend u pon the ability of the particular group to be displaced by the incoming chemical moiety. Suitable leaving groups are well known in the art, see for example "Advanced Organic Chemistry" Jerry March 4th Edn. pp 351 -357, Oak Wick and Sons NY (1997). Examples of suitable leaving groups include, but are not limited to, halogen, alkoxy (such as ethoxy, methoxy), sulphonyloxy, optionally substituted arylsulfonyl. Specific examples include chloro, iodo, bromo, fluoro, ethoxy, methoxy, methonsulphonyl, triflate and the like.
As used throughout the specification a suitable solvent is a solvent or solvent m i x t ure that does not interfere with the designated reaction. Suitable solvents are k nown i n t he a rt l or most reactions and will be selected depending upon the reaction cond i t ions.
The term "carboxyl protecting group" means a group that can prevent the carboxyl moiety reacting during further derivatisation of the protected compound and which can be
TO readily removed when desired. Examples of carboxyl protecting groups include alkyl esters, benzyl esters, tert butyl esters, silyl esters and orthosesters. Further examples of these groups are found in: Greene, T. W. and Wuts, P. G. M, Protecti ve Groups i n Organic S y n t hes i s. Second edition; Wiley-Interscience: 1 991 ; Chapter 7; McOm ie. .1. I \ W . ( cd ). P rot ec t i v e Groups in Organic Chemistry, Plenum Press, 1 973 ; and KocienskL P. .1., Protecti ng G ro u ps. Second Edition, Theime Medical Pub., 2000.
As stated previously the present invention involves coupling the compound of formula (II) with the compound._pf formula (III) in a coupling reaction to provide a compound of formula (IV)
Figure imgf000012_0001
Formula (IV)
The coupling of -the two compounds in the process of the invention may-be carried out by any suitable means known in the art. In addition the nature of the coupling will vary depending on the nature of R1 in the compounds of formula (I). In the compound of formula (II) R'may be a leaving group or as OH.
Coupling when R1 is a leaving group
In circumstances where R1 is a leaving group, any suitable leavi ng grou p ma; be chosen and the identity of the leaving group will be determined by the method by which the compound of formula (II) has been obtained. Examples of suitable leaving groups are ones selected from the group consisting of fluorine, chlorine, bromine, iodine, mesylate, tosylate and triflate. In one embodiment the leaving group is bromine.
When R1 is a leaving group of this type the coupling reaction typically involves coupling of the compound of formula (II) and the compound of formula (III) in a suitable solvent in the presence of a base. i n The solvent is chosen so as not to be reactive with the base. Examples of suitable solvents include hydrocarbon solvents such as acetonitrile, tetrahydrofuran, diethyl ether, benzene or toluene. Due to the nature of the coupling reaction in these circumstances the base is used to ensure that the reaction mixture does not become acidic over time and to facilitate removal of the acidic phenol proton to drive the reaction forward. Accordingly, the base may Ιχ· am suitable base that is strong enough to at least partially deprotonate the phenol oxygen. Examples of suitable bases include hindered tertiary amines, alkali earth metal carbonates and alkali earth metal hydroxides by way of example. Specific examples of suitable bases include trialkyl amines (such as trimethylamine, triethyleneamine), sodium carbonate, sodium bicarbonate, potassium carbonate, cesium carbonate, potassium bicarbonate, sodium hydroxide, potassium hydroxide or diisopropyl ethyl amine. The amount of base chosen will depend upon the desired speed of reaction but is chosen to ensure complete consumption of starting material is achieved. In general therefore an excess of base on a molar equivalent is used. Typically the amount of base used is from I to 5 molar equivalents, more typically2 to 4 molar equivalents, most typically.^ molar equivalents.
The compound of formula (II) and the compound of formula (III) couple in a 1:1 manner. As such whilst any ratio between the two compounds may be used in general the ratio of compound of formula (II) to compound of formula (III) is from 0.8:1 to 1:0.8. In general the ratio is about 1:1.
The compound of formula (II) and the compound of formula (111) may be added to the reaction vessel in any order. The coupling may be carried out at any suitable temperature although it is typically conducted at from 25° to 150°C, more typically from 35° to I 20 ( Indeed the coupling reaction is typically conducted at elevated temperatures at the rcllux temperature of the solvent chosen. Thus for example when the solvent is acetonitrile the temperature is 82°C. , The reaction is typically conducted until analysis of the mixture shows complete consumption of starting material. This typically takes from 1 lo 24 hours, more typically from 4 to 20 hours, most typically from 6 to 15 hours. As will be appreciated, however, it is quite easy for a skilled addressee to monitor the reaction. Coupling when R1 is OH
When R1 in the compound of formula (II) is OH the coupling reaction is, in effect a dehydration reaction as the compounds of formula (II) and formula (III) are combined with the loss of H20. Coupling reactions of this type may be carried out in a number of ways known in the art.
Coupling reactions of this type may be carried out using a coupling cataUst or hv exposing them to dehydrating conditions. Thus, for example, one way of achieving the coupling is to heat the two compounds together optionally in the presence of a dehydrating agent such as dicyclohexylcarbodiimide.
In general, however the coupling reaction in these circumstances will involve coupling the two compounds in a suitable solvent in the presence of one or more coupling reagents.
The solvent is chosen so as not to be reactive with the coupling reagents. The solvent is preferably a hydrocarbon solvent such as acetonitrile. tetrahydrofuran. diethyl ether, benzene or toluene.
Any suitable coupling reagents known in the art may be used in the process of the invention. A skilled addressee can choose a suitable coupling reagent (or reagents) to achieve the desired coupling. Indeed in some circumstances there is a combination of coupling reagents used.
Once example of a suitable coupling reagent is a phosphorus based coupling reagent. There are a large number of known reagents of this type including alkyl phosphorous coupling reagents and aryl phosphorous coupling reagents. Specific examples of suitable phosphorous based coupling reagents include trimethyl phosphine. triethyl phosphine. tribiiiyl phosphine. and triphenyl phosphine. An azocarboxylate coupling reagent may also be added to the coupling reaction.
A large number of agents of this type are known including di-(4- chlorobenzyl)azodicarboxylate (DCAD) diisopropyl azodicarboxylate (DIAD) or diethyl azodicarboxylate (DEAD). The amount of each coupling reagent chosen will depend upon the desired speed of reaction but is chosen to ensure complete consumption of starting material is achieved. In general therefore an excess of coupling reagent on a molar equivalent is typically used. Typically the amount of coupling reagent used is from 1 to 1.5 molar equivalents, more typical 1 to 1.2 molar equivalents, most typically 1.1 molar equivalents.
In general where both a phosphorus based coupling reagent and an azodicarboxylate coupling reagent are used the phosphorous based coupling reagent is added to the coupling reaction prior to addition of the azodicarboxylate coupling reagent. As with coupling when R1 is a leaving group in circumstances where R1 is Oil compound of formula (II) and the compound of formula (III) couple in a 1:1 manner. As such whilst any ratio between the two compounds may be used in general the ratio of compound of formula (II) to compound of formula (III) is from 0.8:1 to 1:0.8. In general the ratio is about 1:1.
The compound of formula (II) and the compound of formula (III) may be added to the reaction vessel in any order. The coupling may be carried out at any suitable temperature although it is typically conducted at from 25° to 150°C, more typically from 35° to 120°C. The reaction is typically conducted until analysis of the mixture shows complete consumption of starting material. This typically takes from 1 to 24 hours, more typically from 4 to 20 hours, most typically from 6 to 15 hours. As will be appreciated, however, it is quite easy for a skilled addressee to monitor the reaction. Providing compounds of formula (I) and (II).
The compounds of formula (II) and (ΪΙΙ) as used in the process of the present invention may be synthesized using a number of synthetic routes. Providing a compound of formula (II)
In one embodiment where R1 is OH the step of providing a compound of formula (II) comprises:
(a) reacting a compound of formula (V):
Figure imgf000016_0001
Formula (V) wherein X1 is a leaving group, with methoxylamine or a salt thereof to obtain a compound of formula ( VI):
Figure imgf000016_0002
Formula (VI)
(b) contacting the compound of formula (VI) with
Figure imgf000016_0003
)phcnol in the presence of a base, to obtain a compound of formula II:
Figure imgf000016_0004
Formula (II) where R'=OH
Step (a)
In step (a) the solvent is typically chosen so as to facilitate the formation of the oximino group. An example of a suitable solvent is glacial acetic acid. In general a base is used. Examples of suitable bases include alkali earth metal carbonates and alkali earth metal acetates, by way of example. Specific examples of suitable bases sodium carbonate, sodium rl5- bicarbonate, potassium carbonate, cesium carbonate, potassium bicarbonate, sodium acetate and potassium acetate.
The amount of base chosen will depend upon the desired speed of reaction hui is chosen to ensure complete consumption of starting material is achieved. In general therefore an excess of base on a molar equivalent is used. Typically the amount of base used is from 1 to 2 molar equivalents, more typical 1 to 1.5 molar equivalents, most typically about 1.2 molar equivalents.
The compound of formula (V) and the methoxylamine or salt thereof may be reacted in any of a number of ratios although the ratio is typically 0.8:1 to 1 :0.8 with a 1 :1 ratio being the aim.
The reaction may be carried out at any suitable temperature although it is
Figure imgf000017_0001
conducted at from 25° to 150°C, more typically from 35° to 120°C. Indeed the reaction is typically conducted at elevated temperatures at the reflux temperature of the solvent chosen.
The reaction is typically conducted until analysis of the mixture shows complete consumption of starting material. This typically takes from 1 to 24 hours, more typically from 4 to 20 hours, most typically from 6 to 15 hours. As will be appreciated, however, it is quite easy for a skilled addressee to monitor the reaction.
Step (b)
In step (B) the compound of formula (VI) is reacted with
Figure imgf000017_0002
in the presence of a base. The reaction is typically carried out in a solvent. The solvent is chosen so as not to be reactive with the base. Examples of suitable solvents include hydrocarbon solvents such as acetonitrile, tetrahydrofuran, diethyl ether, benzene or toluene.
The base is used to ensure that the reaction mixture does not become acidic over time and to facilitate removal of the acidic phenol proton to drive the reaction forward. Accordingly, the base may be any suitable base that is strong enough to at least partially deprotonate the phenol oxygen. Examples of suitable bases include hindered tertiary amines, alkali earth metal carbonates and alkali earth metal hydroxides by way of example. Speci ic examples of suitable bases include trialkyl amines (such as trimethylamine. tncthvlcn ammc). sodium carbonate, sodium bicarbonate, potassium carbonate, cesium carbonate, potassium bicarbonate, sodium hydroxide, potassium hydroxide or diisopropyl ethyl amine.
The amount of base chosen will depend upon the desired speed of reaction but is chosen to ensure complete consumption of starting material is achieved. In general therefore an excess of base on a molar equivalent is used. Typically the amount of base used is from 1 to 5 molar equivalents, more typical 2 to 4 molar equivalents, most typically} molar equivalents.
The two compounds are reacted in a 1:1 manner. As such whilst any ratio between the two compounds may be used in general the ratio of two compounds is from 0.8: 1 to 1 :0.8. In general the ratio is about 1:1.
The reaction may be carried out at any suitable temperature although it is typically conducted at from 25° to 150°C, more typically from 35° to 120°C. Indeed the coupling reaction is typically conducted at elevated temperatures at the reflux temperature of the solvent chosen.
The reaction is typically conducted until analysis of the mixture shows complete consumption of starting material. This typically takes from 1 to 24 hours, more typically from 4 to 20 hours, most typically from 6 to 15 hours. As will be appreciated, however, it is quite easy for a skilled addressee to monitor the reaction.
Providing a compound of formula (III)
Similarly in one embodiment the compound of formula (III) is prepared by a process comprising:
(a) condensing 4-hydroxybenzaldehyde with a malonic ester, in the presence of a base. to produce a compound of formula (VII):
Figure imgf000018_0001
Formula (VII) wherein P is hydrogen or a carboxyl protecting group; (b) converting the compound of formula (VII) to a compound of formula (III)
Figure imgf000019_0001
Formula (III).
The condensation reaction in step (a) is typically conducted under dehydrating conditions such as in a Dean-Stark apparatus. As such the solvent used is typically a higher boiling solvent which forms a suitable azeotrope with water. Examples of suitable solvents of this type include benzene and toluene. In addition it is typical in these reactions that th malonic ester is used in excess (typically between l and 1.5 mot equivalents). In general the reaction is monitored by TLC for completion.
Step (b) typically involves addition of a cyanide anion to the double bond leading to elimination of a group of formula HC02P'. Any suitable cyanide source may be used with potassium cyanide being-one example. The reaction is typically carried out in a polar solvent such as a mixture of water/ethanol or water/methanol to facilitate the solubility of the cyanide ion. An excess of cyanide is typically used.
Step (b) may be carried out in a number of ways.
In one embodiment step (b) comprises the steps of:
(bl) reacting the compound of formula (VII) with a cyanide salt to form a compound of the formula (Ilia)
Figure imgf000019_0002
Formula (Ilia)
(b2) and protecting the carboxylic acid of formula Ilia to produce the compound of formula
(III):
Figure imgf000020_0001
Formula (III) wherein P1 is a carboxyl protecting group. In one embodiment step (b) comprises the steps of:
(bl) reacting the compound of formula (VII) with a cyanide salt to obtain a compound of formula III:
Figure imgf000020_0002
(Formula HI) wherein P is a carboxyl protecting group.
In one embodiment the group P1 is a C|-C6 alkyl group.
In one embodiment P1 is selected from the group consisting of Ci-C6 alkyl group and benzyl group. The process of the present invention also involves deprotection of a compound of formula (IV). The deprotection step chosen will depend on the nature of the protecting grou chosen and a worker skilled in the art will be able to easily determine a suitable procedure to remove the protecting group. The above discussed process has been a convergent synthesis involving the coupling of two advanced intermediates to form the final structural backbone in a coupling reaction. The present applicants, have also .identified a linear synthesis that also, provides an elegant synthesis of these molecules. The present invention also provides a process for the preparation o f a com pound o f formula (I)
Figure imgf000021_0001
Formula (I ) or a salt thereof, the process comprising:
(a) reacting a compound of formula (V):
Figure imgf000021_0002
Formula (V) wherein X is a leaving group, with methoxylamine or a salt thereofto obtain a compound of l ornuila ( V I ):
Figure imgf000021_0003
Formula (VI)
(b) contacting the compound of formula (VI) with 4-(hydroxymethyl)phenol in the presence of a base, to obtain the compound of formula II :
Figure imgf000021_0004
Formula (II) where R1
(c) coupling the compound of formula II wi.th 4-hydroxyphenyl acetoniirilc. under coupling conditions to obtain the compound of formula (Vlll):
Figure imgf000022_0001
Formula (VIII)
(d) reacting the compound of formula (Vlll). in the presence of a base, wiih ;m e of formula (IX):
Figure imgf000022_0002
Formula (IX)
wherein,
X2 is a leaving group, and
P1 is a carboxyl protecting group,
to provide the compound of formula (IV)
Figure imgf000022_0003
Formula (IV)
(e) removing the carboxyl protecting group to obtain a compound of formula (I) or a salt thereof.
In one embodiment X1 is a halogen. In one embodiment X is a halogen.
In one embodiment P1 is selected from the group consisting of C | -C6 alkyl group and benzyl group.
In each instance the reaction conditions uti lized for the various steps are t he sa me or similar to the analogous step in the convergent synthesis.
The process of the present invention may also involve a step in which the optical purity of one or more of the intermediates in the process may be increased. In general the mixture of optical isomers is subjected to chiral resolution to produce the two enantiomers in an optical purity greater than 98% ee. The chiral resolution may be achieved by chiral chromatography or by crystallization with a chiral auxiliary. A suitable chiral auxiliary is (-)-Cinchonidine.
The invention will now be described with reference to the following examples.
Examples
The symbols, abbreviations and conventions in the processes, schemes, and e x am p l es are consistent with those used in the contemporary scienti fic literature. Speci fical ly but not meant as limiting, the following abbreviations may be used in the examples and throughout the specification.
• g (grams)
• L (liters)
• Hz (Hertz)
• mol (moles)
• RT (room temperature)
• min (minutes)
• MeOH (methanol)
• CHC13 (chloroform)
• DCM (dichloromethane)
• DMSO (dimethylsulfoxide)
• EtOAc (ethyl acetate) mg (milligrams)
mL ( milliliters)
psi ( pounds per square inch)
mM (millimolar)
MHz (megahertz)
h (hours)
TLC (thin layer chromatography)
EtOH (ethanol)
CDC13 (deuterated chloroform)
HC1 (hydrochloric acid)
DMF (N, N-dimethylformamide)
THF (tetrahydro furan)
K2C03 (potassium carbonate)
Na2S04 (sodium sulfate)
RM (Reaction Mixture)
Unless otherwise indicated, all temperatures are expressed in °C (degree centigrade). All reactions conducted at room temperature unless otherwise mentioned.
All the solvents and reagents used are commercially available and purchased from Sigma Aldrich, Fluka, Acros, Spectrochem, Alfa Aesar. Avra. Q ualmens. Merc k . ank ni a nd Leonid Chemicals.
H NMR spectra were recorded on a Bruker AV 300. Chemical shifts are expressed in parts per million (ppm, δ units). Coupling constants are in units of hertz (Hz). Splitting patterns describe apparent multiplicities and are designated as s (singlet), d (doublet), t (triplet), q (quartet), m (multiplet), or br (broad).
Mass spectra were obtained on single quadruple 6120 LCMS from Agilent technologies, using either atmospheric chemical ionization (APCI) or Electrospray ionization (ESI) or in the combination of these two sources. . All samples were run on SHIMADZU system with an LC-20 AD pump, SPD-M20A diode array detector, SIL-20A auto sampler.
Example 1
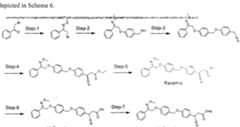
A process for the preparation of 3-cyano-3- {4-[(4- { [(2Z)-2-(mct oxy i mi no ) - 2-phcn y l t h \ 11 oxy} benzyl) oxy] phenyl} propanoic acid is illustrated with the reaction sequence as depicted in Scheme 1.
Figure imgf000025_0001
SCHEME 1
15 Step-1:
Preparation of (IE, lZ)-2-bromo-N-methoxy-l -phenylethanimine
Figure imgf000025_0002
To a solution of 2-bromoacetophenone (2 g, 0.01 mol) in glacial acetic acid (10 ml), were _ - - added O-methoxylamine. HCl (0.83 g, 0.01 mol) and anhydrous sodium acetate (0.98 g, 0.012 0 mol). The resulting mixture was refluxed at 70°C for 3 hrs. The reaction mixture was quenched with saturated sodium bicarbonate and extracted with ethyl acetate. The organic layer was washed with water, brine, dried over anhydrous sodium sulphate and concentrated under reduced pressure to give the crude product. The crude product was purified by silica (100-200 mesh) column chromatography, eluting with ethyl acetate and petroleum ether. MS (ESI, 120 eV): m/z =229TM+H)+
Physical state: colour less liquid
Yield: 2.2 g (98.1 %)
Step-2:
Preparation of (4- { [(2Z)-2-(methoxyimino)-2-phenylethyl | oxy } phenyl ) methanol
Figure imgf000026_0001
To-^a solution -of^(+E,',Jl,Z)-2"-bromo-N-methoxy- l -phenylethanimine(0.5 g, 0.002 mol ) in acetonitrile (15 ml) was added potassium carbonate(0.66 g, 0.004 mol) and 4-hydroxy benzyl alcohol (0.27 g, 0.002 mol). The resulting mixture was refluxed at 82°C for 2 hrs. The suspension was filtered to remove 2CO3 and the filtrate was concentrated. The crude prod uct was diluted with ethyl acetate and the organic layer was washed wi th water, bri ne a nd d ri ed over sodium sulphate. The organic layer was concentrated under red uced pressure to gi ve t he crude product. The crude product was puri fied by si l ica ( 1 00-200 mesh ) co l um n chromatography, eluting with ethyl acetate and petroleum ether. MS (ESI, 1 20 eV): m/z =272 (M+H)+
Physical state: white solid
Yield: 0.56 g (94.3 %) .
Step-3
Preparation of diethyl (4-hydroxybenzylidene) propanedioate
Figure imgf000026_0002
A 3 lit RB flask was fitted with Dean-Stark apparatus, and charged with piperidine ( 0:5 ml, 0.004 mol). Acetic acid (0.3 ml, 0.004 mol) was added drop wise at 0°C, stirred for 5 min and the mixture was then temperature warmed to RT. To this 10ml toluene was added, followed by 4-hydroxybenzaIdehyde (2 g, 0.016 mol) in toluene (15 ml) and diethylmalonatc (3.15 μ. 0.019 mol). The reaction mixture was re luxed at 125°C and the reaction was monitored hv TLC. Concentration under reduced pressure gave the crude product which was diluted with ethyl acetate. The organic layer was washed with water; brine dried over Na2S04, and concentrated to give the crude product. MS (ESI, 120 eV): m/z =263 (M-H)+
Physical state: yellow colour solid
Yield: 2 g (46 %) (Crude)
Step-4:
Preparation of 3-cyano-3-(4-hydroxyphenyl)propanoic acid
Figure imgf000027_0001
A 2-litre RB Flask was charged with CN (0.49 g, 0.007 mol) in 1 mL water and (4- hydroxybenzylidene) propanedioate (1 g, 0.003 mol) in methanol (6 ml) was added slowly at RT. The reaction was stirred at 70°C for 2 hrs was and then concentrated under reduced pressure to remove methanol. The aqueous layer was acidified to pH 3 using IN HCl and then extracted with ethyl acetate. The organic layer was washed with water, brine, dried over sodium sulphate and concentrated under reduced pressure to provide the crude product. MS (ESI, 120 eV): m/z =190 (M-H)+
Physical state: Brown liquid
Yield: 0.6 g (72.33 %) (Crude)
Step-5
Preparation of methyl 3-cyano-3-(4-hydroxyphenyl) propanoate
Figure imgf000027_0002
To a solution of 3-eyano-3-(4-hydroxyphenyl)propanOic acid (0.6 g.0.003 mol) in methanol (15 ml) was added methanesulfonicacid (1 ml). The resulting mixture was retluxed at X2:( for 1 hr and the reaction mixture was then concentrated under reduced pressure to prov ide the crude product which was diluted with ethyl acetate. The organic layer was washed with water, brine solution, dried over Na2S0 and concentrated to give the crude product. The crude product was purified by silica (100-200 mesh) column chromatography, eluting with ethyl acetate and petroleum ether. Ή NMR (300MHz, CDCI3) : δ 7.12-7.!5(d. 211).6.75-6.7R(d. 2H), 4.14-4.19(t, 1H), 3.65(s, 3H), 2.89-2.97(dd, 1 H).2.71 -2.79(dd.1H).
Physical state: Pale yellow liquid
Yield: 0.6 g (93.3 %)
Step-6
Preparation of methyl 3-cyano-3-{4-[(4-{[(22)-2-(methoxyimino)-2-phenylethyl] oxy} benzyl)
Figure imgf000028_0001
A 100 ml RB flask was fitted with mechanical stirrer and charged wiih (4-i|(2Zt-2- (methoxyimino)-2-phenylethyl]oxy}phenyl)methanol (0.20 g, 0.0009 mol), 3-cyano-3-(4- hydroxyphenyl)propanoate (0.26 g, 0.0009 mol) and THF (15 ml). The mixture was cooled to 0 °C triphenylphosphine (0.33 g, 0.0012 mol) was added followed by drop wise addition of a solution of DIAD (0.25g, 0.0012 mol) in 3 ml of THF. The reaction mixture was stirred at room temperature for 12-hrs and concentrated to remove the THF. The crude product was diluted with ethyl acetate and the organic layer was washed with water, brine and dried over sodium sulphate. The organic layer was concentrated under reduced pressure to provide the crude product. The crude product was purified by silica (100-200 mesh) column chromatography, eluting with ethyl acetate and petroleum ether. MS (F.SI. 120 eV ): m/y ( +H)+
Physical state: White colour solid
Yield: 0.3 g (67.3 %)
Step-7
Preparation of 3-cyano-3-{4-[(4-{[(2Z)-2-(methoxyimino)-2-phenylethyl] oxy} benzyl) oxy] phenyl} propanoic acid
Figure imgf000029_0001
™T>0∞a-«s©lttti
benzyl)oxy]phenyl}propanoate (0.3 g, 0.0006 mol) in THF (5 ml) and methanol (5 ml), was added NaOH (0.078 g, 0.001 mol) at 0°C. The reaction mixture was stirred at RT for 2 hand concentrated under reduced pressure, at 25°C, to remove THF and methanol. The crude product was diluted with water and the aqueous layer was washed with ethyl acetate. The aqueous layer was acidified to pH 6 with IN HCI and extracted with ethyl acetate. The organic layer was washed with water, brine, dried over sodium sulphate and concentrated under reduced pressure to give the crude product. The crude product was purified by preparative TLC by using pet ether and ethyl acetate as eluents. MS (ESI, 120 eV): m/z =445.1 (M+H)+
Physical state: White colour solid
Yield: 0.15 g (51.5%)
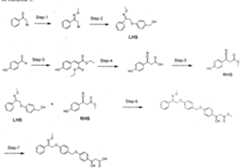
Example 2
A process for the preparation of sodium 3-cyano-3-{4-[(4-{[(2Z)-2-(methoxyimino\- phenylethyl]oxy}benzyl)oxy] phenyl }propanoate is illustrated with the reaction sequenee depicted in Scheme 2.
Figure imgf000030_0001
Figure imgf000030_0002
SCHEME 2 (Sodium salt of the Racemate)
Step-1:
Preparation of (IE, lZ)-2-bromo-N-methoxy-l-phenylethanimine was analogous to that described in step-1 of Scheme 1.
Step-2:
Preparation of (4-{[(2Z)-2-(methoxyimino)-2-phenylethyl ] oxy[ phenyl) methanol was analogous to that described in step-2 of Scheme 1.
Step-3
Preparation -2-[4-(bromomethyl) phenoxyj- -methoxy-l-phenylethanimine
Figure imgf000030_0003
A 500 mL, 2 neck RB flask was charged with (4-| [(2Z)-2-(methoxyimnio)-2- phenylethyl]oxy}phenyl)methanol (5 g, 0.0184 mol) in DCM (200 ml) and the solution was cooled to 0°C. Phosphorus tribromidewas added drop wise at 0°C and th resulting mixiurc was warmed to RT and stirred for 1 hr. The reaction mixture was extracted with ethyl acetate and the organic layer was washed with water, brine, dried over anhydrous sodium sulphate and concentrated under reduced pressure to give the crude product. MS (ESI, 120 eV): m/z =334.9 (M+H)+
Physical state: Yellow colour gummy solid
Yield: 6.5 g (Crude)
Step-4
Preparation of diethyl (4-hydroxybenzylidene)propanedioate was analogous to that described in step-3 of Scheme 1.
Step-5:
Preparation of 3-cyano-3-(4-hydroxyphenyl)propanoic acid was analogous to that descr ibed in step-4 of Scheme 1. Step-6
Preparation of ethyl 3-cyano-3-(4-hydroxyphenyl) propanoate
Figure imgf000031_0001
To a cooled solution of 3-cyano-3-(4-hydroxyphenyl) propanoic acid (8 g) in ethanol (25 ml) at 0°C, was added methanesulfonicacid (4 ml). The reaction mixture was warmed to 75°C, stirred for 4 hrs and then cooled to 60°C and stirred overnight. The reaction mixture was concentrated under reduced pressure and water was added. The crude product was extracted with ethyl acetate and the organic layer was washed with water, bri ne and dried over a- NO , and concentrated to give the crude product. The crude was puri fied by si l ica ( 1 00-200 m sh ) column chromatography, eluting with ethyl acetate and petroleum ether.
Physical state: Pale yellow liquid
Yield: 5.1 g Step-7:
Preparation of Ethyl 3-cyano-3-{4-[(4-{[(2Z)-2-(methoxyimino)-2-phenylethyl] oxy} benzyl) oxy] phenyl} propanoate
Figure imgf000032_0001
To a solution of ethyl 3-cyano-3-(4-hydroxyphenyl)propionate (2.5 g, 0.011 mol) in acetonitrile (100 ml) was added potassium carbonate (4.72 g, 0.034 mol) and (1Ζ)-2-[4- (bromomethyl)phenoxy]-N-methoxy-l-phenylethanimine (3.8 g , 0.011 mol ). The mixture was refluxed at 82°C for 3 hrs and then filtered to remove the K^CC . The llltrate was concentrated under reduced pressure and the crude residue was diluted with ethyl acetate. The organic layer was washed with water, brine, and dried over sodium sulphate concentrated under reduced pressure to give the crude product. The crude was purified by silica ( 100-200 mesh) column chromatography, eluting with ethyl acetate and petroleum ether. MS (ESI. 120 eV): m/z =473.1 (M+H)+
Physical state: White colour solid
Yield: 1.8 g (33.9%)
Step-8
Preparation of Sodium 3-cyano-3-{4-[(4-{[(2Z)-2-(methoxyimino)-2-phenylethyl] oxy} benzyl) oxy] phenyl } propanoate
Figure imgf000032_0002
To a solution of ethyl 3-cyano-3-{4-[(4-{[(2Z)-2-(methoxyimino)-2-phenylethyl] oxy} benzyl) oxy] phenyl} propanoate (1.8 g, 3.81 mol) in THF (5 ml) and methanol (5 ml) was added a solution of NaOH (0.122 g, 3.05 mol) in water ( 2.5 ml). The reaction monitored by TLC and concentrated under reduced pressure to remove the THF and methanol. The aqueous layer was washed with ethyl acetate to remove impurities and the aqueous layer was then concentrated under reduced pressure to give the desired product. MS (ESI. 120 eV): m/z =445.1 (M+H)+
Physical state: White colour solid
Yield: 1.67 g (93.98 %)
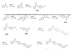
Example 3 Another process for the preparation of sodium 3-cyano-3-{4-[(4-{[(2Z)-2-(metho\yimiiio)- phenylethyl] oxy} benzyl) oxy] phenyl} propanoate is illustrated with the reaction se uence depicted in Scheme 3.
Figure imgf000033_0001
SCHEME 3
Step-1:
Preparation of (IE, lZ)-2-bromo-N-methoxy-l-phenylethanimine was analogous to that described in step-1 of Scheme 1.
Step-2:
Preparation of (4-{[(2Z)-2-(methoxyimino)-2-phenylethyl]oxy}phenyl)rnethanol was analogous to that described in step-2 of Scheme 1. Step-3
Preparation of diethyl (4-hydroxybenzylidene) propanedioate was analogous to that described in step-3 of Scheme 1.
Step-4: Preparation of 3-cyano-3-(4-hydroxyphenyl) propanoic acid was analogous to that described instep-4 of Scheme 1.
Step-5
Preparation of methyl 3-cyano-3-(4-hydroxyphenyl ) propanoale was ana l ogous in t ha i described instep-5 of Scheme 1 .
Step-6
Preparation of methyl 3-cyano-3-{4-[(4- { [(2Z)-2-(methoxyimino)-2-phenylethyl]oxy} benzyl)oxy]phenyl} propanoate was analogous to that described in step-6 of Scheme 1 .
;
Step-7
Preparation of 3-cyano-3-{4-[(4-{ [(2Z)-2-(methoxyimino)-2-phenylethyl] oxy} benzyl) oxy] phenyl} propanoate
Figure imgf000034_0001
To a solution of methyl 3-cyano-3- {4-[(4- { [(2Z)-2-(methoxyimino)-2- phenylethyl]oxy}benzyl)oxy] phenyl} propanoate (0.05 g, 0. 1 1 mol) in THF (2 ml) and methanol (2 ml) was added a solution of NaOH (0.018 g, 0.44 mol) in water (0.5 ml). The reaction was monitored by TLC and concentrated under reduced pressure to remove THF and methanol. The aqueous layer was washed with ethyl acetate was and then acidified to pH5 with IN HCl and extracted with ethyl acetate. The organic layer was washed with water, dried over Na2S04 and concentrated under reduced pressure to give the product. MS (ES I. 1 20 cV): m/z =445.1 (M+H)+
Physical state: White colour solid Step-8:
Preparation of sodium 3-cyano-3-{4-[(4-{ [(2Z)-2-(methoxyimino)-2-phenylethyl] oxy} benzyl) oxy] phenyl} propanoate
Figure imgf000034_0002
To a solution of 3-cyano-3- {4-[(4- { [(2Z)-2-(methoxyimi no)-2-pheny l cthyl |o\ y J- benzyl)oxy]phenyl} propanoic acid (17.51 g, 0.039 mol) in methanol ( 160 mL) and THF ( 1 60 mL), was added a solution of NaOH (1.53 g) in 15 ml of water. The reaction monitored by TLC was and then concentrated under reduced pressure to remove the THF and methanol. The aqueous layer was washed with ethyl acetate to remove impurities and the aqueous layer was then concentrated under reduced pressure to give the desired product. MS (ESI, 120 eV): m/z =445.1 (M-21)+
Physical state: White colour solid
Yield: 1 7.5 g (98 %) Example 4
A process for the preparation of the enantiomer, (-)-3-cyano-3- {4-[(4- { [(2Z)-2- (methoxyimino)-2-phenylethyl] oxy} benzyl) oxy] phenyl} propanoic acid, is illustrated with t
Figure imgf000035_0001
SCHEME 4
Step-1 :
Preparation of ( I E, l Z)-2-bromo-/V-methoxy- 1 -phenylethanimi ne was analogous to t hat described in step- 1 of Scheme 1 .
Step-2:
Preparation of (4-{ [(2Z)-2-(methoxyimino)-2 phenylethyl] oxy} phenyl) methanol was analogous to that described in step-2 of Scheme 1. Step-3
Preparation of diethyl (4-hydroxybenzylidene) propanedioate was analogous to that described instep-3 of Scheme 1 .
Step-4:
Preparation of 3-cyano-3-(4-hydroxyphenyl) propanoic acid was analogous to that descri bed instep-4 of Scheme 1.
Step-5
Preparation of methyl 3-cyano-3-(4-hydroxyphenyl) propanoate was analogous to that described instep-5 of Scheme 1.
Step-6:
Preparation of enantiomer: meth l 3-cyano-3- -hydroxyphenyl ) propanoate
Figure imgf000036_0001
Methyl 3-cyano-3-(4-hydroxyphenyl)propanoate was resolved using normal phase preparative HPLC [CHIRALPAK IC (250*4.6) mm, Mobile phase: hexane:IPA:TFA (80:20:0. l ,v/v/v), Flow rate: 1.0mL/min; Column temp.: 25°C; the isomer methyl 3-cyano-3-(4- hydroxyphenyl)propanoate (-ve) (retention time 12.75 min) was obtained in 98.03% ee. Step-7:
Preparation of benzyl 3-cyano-3-(4-hydroxyphenyl) propanoate (Enantiomer)
Figure imgf000037_0001
A microwave vial was charged with isomer methyl 3-cyano-3-(4-hydroxypheny l ) propanoa te (-) Enantiomer (0.5 g, 0.002 mol) and benzyl alcohol (0.5 niL, 0.004 mol) and tributyltinoxidc (0.03 g, 5% W/W) was added. The temperature was set at 90°C and energy was fixed at 250 W for 30 min. After completion of the reaction, which was monitored by TLC, the reaction mixture was extracted with ethyl acetate. The organic layer was washed with water, brine,
Figure imgf000037_0002
purified by silica (100-200 mesh) column chromatography, eluting with ethyl acetate and petroleum ether. MS (ESI, 120 eV): m/z =282.3 (M+H)+
Physical state: Pale yellow gummy material
Yield: 0.29 g (28.5%)
Step-8:
Preparation of benzyl 3-cyano-3-{4-[(4-{ [(2Z)-2-(methoxyimino)-2-phenylethyl | oxy } benzyl) oxy] phenyl} propanoate (Enantiomer)
Figure imgf000037_0003
A 50 mL RB flask fitted with magnetic stirrer was charged toluene ( 1 0 m L). To the sti rred solution was added 2-(4-hydroxymethyl-phenoxy)- l -phenyl-ethanone. O-methyl -ox i me ( 0.2 o g, 0.0009 mol) and benzyl 3-cyano-3-(4-hydroxyphenyl )p.ropanoatc ( 0.27 g. 0.0009 mo l ) ;i i 0°C for 5 min. Then tributylphosphine (0.24 g, 0.001 mol) was added and the reaction was stirred at 0°C for 15 min. Then 1 , 1 'aza (dicarbonyl) dipiperidine (0.3 1 g, 0.001 mol) was added and the reaction was stirred at RT for 2 hrs. The solvent was removed under reduced pressure and the residue was extracted w h_e.th-V-Lacetat&— he-organic~layer"was ied'witlT water brine, dried by anhydrous Na2S04 and concentrated to give the crude. The crude was purified by silica ( 100-200 mesh) column chromatography, eluting wit h ethy l acetate a nd petroleum ether.MS (ESI, 120 eV): m/z =535.2 (M+H)+
Physical state: Pale yellow gummy material
Yield: 0.1 g (20 %) Step-9:
Preparation of (-)-3-cyano-3-{4-[(4-{[(2Z)-2-(methoxyimino)-2-phenylethyl] oxy} benzyl) oxy] phenyl} propanoic acid (Enantiomer)
Figure imgf000038_0001
To a 500 mL parr hydrogenater flask with ethyl acetate (2 mL) was added benzyl 3-cyano-3- {4-[(4-{ [(2E, 2Z)-2-(methoxyimino)-2-phenyl ethyl] oxy}benzyl)oxy]phenyl }propanoate (0.1 g, 0.0002 mol) and 10% Pd/C (0.001 g) under a N2 atmosphere. The reaction mixture was hydrogenated at 30 psi for 5 hrs, diluted with ethyl acetate (10 mL) and filtered through celite bed to remove Pd/C. The solution was concentrated to give the crude product, which was purified by silica (100-200 mesh) column chromatography, eluting with ethyl acetate and petroleum ether. MS (ESI, 120 eV): m/z =445.2 (M+H)+ .SOR(c= 1 i n methanol at 250O = -2.1.
Physical state: Off white colour solid
Yield: 0.08 g (96.3 %) Example 5
Another process for the preparation of the enantiomer, (-)-3-cyano-3- {4-[(4-{ [(2Z)-2- (methoxyimino)-2-phenylethyl] oxy} benzyl) oxy] phenyl} propanoic acid, is illustrated with the reaction sequence as depicted in Scheme 5.
Figure imgf000039_0001
Figure imgf000039_0002
LHS RHS
Figure imgf000039_0003
SCHEME 5
Step-1 :
Preparation of (I E, lZ)-2-bromo-N-methox - l - hen let animine
Figure imgf000039_0004
To a solution of 2-bromoacetophenone (30 g, 0.15 mol) in glacial acetic acid (300 ml), were added O-methoxylamine. HCl (19.2 g, 0.23 mol) and anhydrous sodium acetate (18.8 g, 0.23 mol). The resulting mixture was stirred at room temperature for 3-4 hrs and then neutralized with saturated sodium bicarbonate and extracted with ethyl acetate. The organic layer was washed with water, brine, dried over anhydrous sodium sulphate and concentrated under reduced pressure to give the desired product. Physical state: pale yellow oil.
Yield: 30 g (88 %) (Crude)
Step-2:
Preparation of (4-{[(2Z)- -(methoxyimino)-2-phenylethyl]oxy}phenyl)methanol
Figure imgf000040_0001
To a solution of (IE, lZ)-2-bromo-N-methoxy-l-phenylethanimine(30 g, 0.13 mol) in acetonitrile (200 ml) was added potassium carbonate(54.6 g, 0.39 mol) and 4-hydroxybenzyl alcohol (16.3 g, 0.13 mol). The mixture was refluxed at 80°C for 3 hrs and then filtered to remove the K2C03. The filtrate was concentrated and the crude product was diluted with ethyl acetate. The organic layer was washed with water, brine, dried over sodium sulphate and concentrated under reduced pressure to give the crude product. The crude product was purified by silica (230-400 mesh) column chromatography, eluting with ethyl acetate and petroleum ether.
Physical state: white solid
Yield: 20 g (57 %)
Step-3
Preparation of diethyl (4-hydroxybenzylidene) propanedioate
Figure imgf000040_0002
A 3-litre RB flask was fitted with Dean-Stark apparatus, charged with piperidinc ( 14.6 ml. 0.14 mol). Acetic acid (9 ml, 0.14 mol) was added drop wise at 0°C. and the reaction was stirred for 5 min and then temperature warmed to RT. To this 100 ml toluene added, followed by a solution of 4-hydroxybenzaldehyde (60 g, 0.49 mol) in toluene (500 ml) and diethylmalonate (94.4 g, 0.59 mol). The reaction mixture was refluxed at 130°C and monitored by TLC. The reaction mixture was concentrated under reduced pressure and resulting crude product was diluted with ethyl acetate. The organic layer was washed with water, brine, dried over Na2S04 and concentrated to give the crude product. The crude product was pun fed
Figure imgf000041_0001
silica (100-200 mesh) column chromatography, eluting with ethyl acetate and petroleum ether. Physical state: yellow colour solid
Yield: 95 g (73.6%) Step-4:
Preparation of methyl 3-
Figure imgf000041_0002
A 2-litre RB Flask was charged with KCN (100 g.1.5 mol) in 100 ml water and a solution of (4-hydroxybenzylidene)propanedioate (200 g, 0.75mol) in methanol (400 ml) was added slowly at RT, warmed to 60°C and stirred for 12 hrs. The reaction mixture was concentrated under reduced pressure and diluted with ethyl acetate. The organic layer was washed with water, brine, dried over sodium sulphate and concentrated under reduced pressure to give the crude product. The crude product was purified by silica (230-400 mesh) column chromatography, eluting .with ethyl acetate, and petroleum ether.
Physical state: pale yellow liquid
Yield: 78 g (51.6%)
Step-5
Preparation of methyl 3-cyano-3-{4-[(4-{[(2Z)-2-(methoxyimino)-2-phenylethyl
Figure imgf000041_0003
! benzyl)oxy]phenyl}propanoate
Figure imgf000041_0004
A 2-litre, 4 neck RB flask was fitted with mechanical stirrer, charged with methyl 3-cyano-3- {4-[(4-{[(2Z)-2-(methoxyimino)-2-phenylethyl] oxy} benzyl) oxy] phenyl} propanoate (29.7 g, O.llmol), 3-cyano-3-(4-hydroxyphenyl) propanoate (25 g, 0.12 mol) and toluene (300 ml). The mixture was cooled to 0°C and tributylphosphine (32.07 g, 0.15 mol) was added, followed by drop wise addition of a solution 1,1-azadicarbonyldipiperidine (40 g.0.158 mol ) in 200 ml toluene. The reaction mixture was stirred at room temperature for 3 hrs. diluted with toluene, stirred for 30 min and then filtered to remove the insoluble solids. The filtrate was concentrated under reduced pressure and the crude product was purified by silica (230-400 mesh) column chromatography, eluting with ethyl acetate and petroleum ether.
Physical state: White colour solid
Yield: 25 g (46 %) Step-6
Preparation of 3-cyano-3-{4-[(4-{ [(2Z)-2-(methoxyimino)-2-phenylethyl]oxy}
benzyl)oxy]phenyl} propanoic acid
Figure imgf000042_0001
To a solution of methyl 3-cyano-3-{4-[(4- { [(2Z)-2-(methoxyimino)-2- phenylethyl]oxy}benzyl)oxy] phenyl} propanoate (25 g. 0.05 mol) in TH F ( 250 m l ) and methanol (250 ml) was added 4N NaOH (27.3 ml. 0. 1 1 mol) at 0°C. The react ion w as sn nvd at RT for 3 h and concentrated under reduced pressure, at 25°C. to remove the N i l a n d methanol. The crude product was diluted with water and the aqueous layer was washed w i th ethyl acetate. The aqueous layer was acidified to pH 6 with IN HCI, and then extracted with ethyl acetate. The organic layer was washed with water, brine, dried over sodium sulphate and concentrated under reduced pressure to give the product.
Physical state: White colour solid
Yield: 19 g (78.4 %) Step-7
Preparation of (-)-3-cyano-3- {4-[(4-{ [(2Z)-2-(methoxyimino)-2-phenylethyl |o y J
benzyl)oxy]phenyl } propanoic acid
Figure imgf000042_0002
enantiomer
Racemate
To a solution of the racemic acid (65 g, 0.14 mol) in THF (650 mL) at RT, was added (-)- Cinchonidine (21 .5.5 g, 0.07 mol) and the solution was stirred for 30 min. The THF was evaporated at 45°C, toluene (400 ml) was added to the residue. The solution was heated to 75°C and stirred for 25 min. The reaction was then cooled to RT and then to 0°C and al lowed to stand for 12 h. The resulting precipitate was filtered and dried. The chiral purity of the desired isomer salt was found to be 70:30 %. The solid was redissolved in toluene (200 ml) at 75 °C and stirred at the same temperature for 30 min. The solution was cooled to RT and allowed to stand for lh. The resulting precipitate was filtered, washed with cold toluene and dried. The chiral purity of the desired isomer salt was found to be 80:20 % by CHIRALPACK AD-H column (Mobile Phase: Hexane: IPA: TFA - 800: 200: 1 ML respectively). After 5 more runs following the above process, the desired chiral purity o f at least 08% cc was achieved. The resulting salt was dissolved in water and cooled to 0°C . The p i I o f the so l u t i on was adjusted to 6.0, using I N HC1, and the aqueous phase was extracted with ethy l acet a te. The organic layer was dried and concentrated to afford the pure acid as a white solid. ( 5.2 g, 8%). SOR(c=l in methanol at 25°C) = -2.1.
Step-8
Preparation of (-)-sodium'3-cyano-3-{4-[(4-{[(2Z)-2-(methoxyimino)-2-phenylethyl]oxy} benzyl)oxy] phenyl } propanoate
Figure imgf000043_0001
To a solution of 3-cyano-3-{4-[(4-{[(2Z)-2-(methoxyimino)-2- phenylethyl]oxy}benzyl)oxy]phenyl}propanoic acid (3.2 g, 0.007 mol) in methanol ( 16 mL) and THF (16 mL), was added aqueous sodium bicarbonate solution (1 M) (7.2 mL, 0.007 mol) at 0°C. The resulting solution was stirred for 10 min and the solvent was removed under reduced pressure at 27°C. The resulting salt was triturated with hexane and dried. The product was obtained as white coloured solid (3.2 g, yield: 95.3%); Enantiomeric purity 99.4%. Example 6
Another process for the preparation of the enantiomer. (-)-3-cyano-3- J 4-| (4- ; | ( 2/ .)-2- (methoxyimino)-2-phenylethyl]oxy}benzyl)oxy]phenyl} propanoic acid, which is further converted to the sodium salt, sodium 3-cyano-3-{4-[(4-{[(2Z)-2-(methoxyimino)-2- phenylethyl]oxy}benzyl)oxy] phenyl }propanoate, as illustrated with the reaction sequence d
Figure imgf000044_0001
(-)-Enantomer (-)-Enantiomer
SCHEME 6 Step-1
Preparation of (IE, lZ)-2-bromo-N-methoxy-l-phenylethanimine was analogous to that described in step- 1 of Scheme 1.
Step-2
Preparation of (4-{[(2Z)-2-(methoxyimino)-2-phenylethyl]oxy}phenyl)methanol was analogous to that described in step-2 of Scheme 1.
Step-3
Preparation of {4-[(4-{[(2Z)-2-(methoxyimino)-2-phenylethylloxy}benzyl)o\y | phenyl jacetonitrile
Figure imgf000045_0001
A 1000 mL, 3-neck RB flask was charged with (4- { [(2Z)-2-(methoxyi m i no)-2- phenylethyl]oxy}phenyl)methanol (160 g, 0.59 mol) and 4-hydroxyphenyl acetonitrile ( 1 1 7.7 g 0.8 mol) in 1600 mL of THF. The reaction mixture was cooled to 0°C and triphenylphosphine (247.5 g, 0.94 mol) was added, followed by drop wise addition of diisopropylazadicarboxylate (190.8 g, 0.94 mol). The reaction mixture was stirred at RT for 12 h and concentrated to remove THF. The resulting crude product was diluted with ethyl acetate. The organic layer was washed with water, brine and dried over sodium sulphate. The organic layer was concentrated under reduced pressure to provide the crude prod uct . The crude product was purified by silica ( 1 00-200 mesh) column chromatography , e l ut i n wi t h ethyl acetate and petroleum ether. MS (ESI, 1 20 eV): m/z =387. 1 ( + H )"
Physical state: white solid
Yield: 96.6 g (42 %)
Step-4
Preparation, of .ethyl. 3-_c,yano/-3 .{4r[(4-„{ [(2Z)-2-(methoxyimino)-2:-phenylethyl] ox } . benzyl) oxy] phenyl} propanoate
Figure imgf000045_0002
To a solution of {4-[(4-{ [(2Z)-2-(methoxyimino)-2-phenylethyl]oxy } benzyl)oxy]phenyl}acetonitrile (82.0 g, 0.21 mol) in DMF (500 ml) was added cesium carbonate (102.3 g ,0.3 1 mol). The reaction was stirred at RT 15 min. Ethylbromoacetate (35.47 g. 0.21 mol) was added drop wise to the solution, the solution was cooled to 10°C and stirred at that temperature for 4 hrs. The reaction mixture was diluted with ice cold water and extracted with ethyl acetate. The organic layer was washed with water, brine, dried over sodium sulphate and concentrated under reduced pressure. The crude product was purified by silica (100-200 mesh) column chromatography, eluting with ethyl acetate and petroleum ether. MS (ESI, 120 eV): m/z =473.2 (M+H)+
Physical state: white solid
Yield: (crude & mixed with the next batch)
Step-5
Preparation of 3-cyano-3-{4-[(4-{[(2Z)-2-(methoxyimino)-2-phenylethyl | oxyj hen/y I) oxy| phenyl} propanoic acid
Figure imgf000046_0001
To a solution of ethyl 3-cyano-3-{4-[(4-{[(2Z)-2-(methoxyimino)-2-phenylethyl]oxy} benzyl)oxy]phenyl}propanoate (60 g, 0.117 mol) in THF (500 ml) and ethanol (2000 ml) was added 2M NaOH (7.6 g, 0.19 mol, 95 ml) at 0°C. The reaction was warmed to RT and stirred for 2 h. The reaction mixture was then concentrated under reduced pressure, at 25°C. to remove the THF and methanol and the resulting crude product was diluted with wat r. The aqueous layer was washed with ethyl acetate to remove impurities was and then acidified to pH 6 with IN HC1 and extracted with ethyl acetate. The organic layer was washed with water, brine, dried over sodium sulphate and concentrated under reduced pressure to give the crude product. The crude product was purified by silica (230-400 mesh) column chromatography, eluting with ethyl acetate and petroleum ether. MS (ESI, 120 eV): m/z =445.2 (M+H)+
Physical state: White colour solid
Yield: 45 g (80 %)
Step-6
Preparation of (-)-3-cyano-3-{4-[(4-{[(2Z)-2-(methoxyimino)-2-phenylethyl |oxy| ben/ l) ox | phenyl} propanoic acid was analogous to that described in step-7 of Scheme 5.
Step-7
Preparation of (-)-sodium 3-cyano-3-{4-[(4-{[(2Z)-2-(methoxyimino)-2-phenylethyl]oxy} benzyl)oxy]phenyl}propanoate was analogous to that described in step-8 of Scheme 5. Example 7
Another process for the preparation of the enantiomer. (-)-3-cyano-3- [4-|(4- 1 \(1Y .VI- (methoxyimino)-2-phenylethyl]oxy}benzyl)oxy]phenyl} propanoic acid, which is further converted to the sodium salt, sodium 3-cyano-3-{4-[(4-{[(2Z)-2-(methoxyimino)-2- phenylethyl]oxy}benzyl)oxy] phenyl }propanoate, as illustrated with the reaction sequence depicted in Scheme 7.
Figure imgf000047_0001
(-)-Enantiomer
Racemic
Figure imgf000047_0002
(-)-Enantiomer SCHEME 7
Step-1
Preparation of (IE, lZ)-2-bromo-N-methoxy-l-phenylethan
Figure imgf000048_0001
2-Bromo-acetophenone INT-1
To a solution of 2-bromoacetophenone (1.5 kg, 7.54 mol) in acetic acid (7.05 L) were added MeONH2.HCl (944 g, 11 1 mol) and sodium acetate (927.7 g, 11.31 mol). The solution was stirred at RT for 3 h. The reaction mixture was diluted with water and the pH was brought to 7.0-8.0 using saturated NaHC03 and extracted with ethyl acetate. The organic layer was washed with water and brine. The organic layer was dried over Na;S( i and concentrated to afford 1.55 Kg of crude Int-1 as yellow oil. The crude lnt-1 was taken to next step without further purification. (Yield: 90.17 %); Ή N R (300MHz. CDCh) : 6 76.-7.66i m. 211). 7.32-7.34(m, 3H), 4.28(s, 2H), 4.02(s, 3H).
Step-2
Preparation of (4-{[(2Z)-2-(methoxyimino)-2-phenylethyl] oxy} phenyl) methanol
Figure imgf000048_0002
4-Hydroxy INT-2
'NT-1 benzyl alcohol
To a solution of Int-1 (7.8 g, 0.034 mol) in acetonitrile (50 mL) were added anhydrous K (( ),
(14.1 g, 0.102 mol) and 4-hydroxybenzyl alcohol (4.59 g, 0.037 mol) and the resulting solution was refluxed at 80°C for 5 h. The solution was filtered to remove K2CO3 and the filtrate was concentrated. The residue obtained was dissolved in ethyl acetate. The organic layer was washed with 10% NaOH solution followed by water and brine. The organic layer was dried over Na2S04 and concentrated to afford crude product. The crude product was purified by ethyl acetate -petroleum ether mixture to yield 6.5 g of Int-2 as a white solid. (Yield: 70.04 %); Ή NMR (300MHz, CDC13) : δ 7.57-7.61 (m, 2H), 7.27-7.29(1, 3 H), 7. 1 8- 7.21 (d, 2H), 6.81 -6.84(d, 2H), 5.12(s, 2H), 4.52-4.54(d, 2H), 3.98(s, 3H).
Step-3
Preparation of diethyl (4-hydroxybenzylidene) propanedioate
Figure imgf000049_0001
4-Hydroxy
benzaldehyde Diethyl malonate
Into a 3-neck, 500 mL RB flask equipped with Dean-Stark apparatus, were added to l uene ( 30 mL) and piperidine (1.62 mL, 0.016 mol). The solution was cooled to 0°C and acetic acid (0.94 mL, 0.016 mol) was added in a drop wise manner. The solution was brought to RT and diluted with toluene (100 mL). To this 4-hydroxybenzaldehyde ( 10 g, 0.082 mol) and diethyl malonate (15.7 g, 0.098 mol) were added and the solution was heated at 125°C for 2 h. The solvent was concentrated at 45-50°C. The residue obtained was diluted with ethyl acetate and the organic layer was washed with water and brine. The organic layer was dried over Na2S04 and concentrated to obtain crude product. The crude product was purified by column chromatography, eluting with ethyl acetate/petroleum ether mixture to afford 1 2 g o f l nl-3 as a pale yellow solid. (Yield: 55.45 %); Ή NMR (300M Hz. CDC h ) : δ 7.5c)( s. I I I ). 7.25 - 7.2 X 1 d . 2H), 6.72-6.75(d, 2H), 6.00(s, 1 H), 4. 1 9-4.33(m, 4H). 1 .23- 1 .28(1, 61-1 ).
Step-4
Preparation of diethyl 2-(cyano (4-hydroxyphenyl) methyl) malonate
Figure imgf000049_0002
To a solution of Int-3 (200 g, 0.756 mol) and2C03 ( 1 25.5 g. 0.908 mo l ) i n et hano l ( I I ) at 0°C was added TMSCN (337 g, 3.402 mol) in a drop wise manner over a peri od o f I h . The solution was brought to RT and stirred for 30 h. The solution was fi ltered to remove k .( < > . The filtrate was concentrated and the residue obtained was diluted with water and extracted-., with ethyl acetate. The organic layer was washed with water and brine. The organic layer was dried over Na2S04 and concentrated to obtain crude product, which was purified by column chromatography, eluting with ethyl acetate/petroleum ether to afford 140 g of lnt-4 as a while solid. (Yield: 63.50 %). Ή NMR (300MHz, CDCI3): δ 7.22(d.2H).6.8 I (d.211).5.S6(hr. s. lH),4.47(d, lH),4.12(q, 2H), 4.07(q, 2H).3.89(d, 1 H).1.31(t.3H).1.14(t.3H).
Step-5
Preparation of ethyl 3
Figure imgf000050_0001
lnt-4
A solution of lnt-4 (10 g, 0.034 mol) and LiCl (2.88 g, 0.068 mol) in DMSO (82 ml/) and water (0.8 mL) was heated at 160°C for 2 h. The solution was cooled to RT and diluted with water. The solution was extracted with ethyl acetate. The organic layer was washed with water and brine solution. The organic solvent was dried over Na2S0 and concentrated under reduced pressure to obtain crude product, which was purified by column chromatography, eluting with ethyl acetate/petroleum ether, to afford 3.5 g of Int-5 as pale yellow oil. (Yield: 46.48 %). LC- S: 219.8
Step-6
Preparation of ethyl 3-cyano-3-{4-[(4-{[(2Z)-2-(methoxyimino)-2-phenylethyl] oxy} benzyl) oxy] phenyl} propanoate
Figure imgf000050_0002
To an ice-cold solution of Int-2 (1.1 kg, 4.05 mol) and Int-5 (1.065 kg, 4.86 mol) in THF (10 L) was added triphenylphosphine (1.44 kg, 5.508 mol) and stirred for 10-15 min. To this DIAD (1.09 L, 5.508 mol) was added in a drop wise manner over a period of 3 h. The solution was stirred at 0°C for 3 h. The THF was removed under reduced pressure to obtain the crude residue. The residue was dissolved in ethyl acetate and the organic layer was washed with water and brine. The organic layer was dried over Na2S04 and concentrated to afford crude" material. The crude material was dissolved in MTBE and left undisturbed at RT for 2 h The solid triphenylphosphine oxide formed was filtered, washed with MTBI;. The process was repeated to remove most of the triphenylphosphine oxide. The filtrate was concentrated and the crude residue was purified by column chromatography, eluting with ethyl acetate/petroleum ether. The material thus obtained was further purified by slurry wash using MTBE/Isopropyl alcohol to obtain about 810 g of pure Int-6 as a white solid. (Yield: 42.28 %).'H NMR (400MHZ, CDC13): δ 7.68(d, 2H), 7.26-7.38(m, 7H).6.92-6.97(m.411). 5.2 lis. 2H), 4.97(s, 2H), 4.26-4.27(m, 3H), 4.06(s, 3H), 3.00(dd; 1 H), 2.81(dd. 111). 1.29(1.311).
Step-7
Preparation of 3-cyano-3-{4-[(4-{[(2Z)-2-(methoxyimino)-2-phenylethyl] oxy} benzyl) oxy] phenyl} propanoic acid
Figure imgf000051_0001
To an ice cold solution of Int-6 (200 g.0.423 mol) in THF (1.1 L) and methanol (0.56 I.) was added a solution of NaOH (16.92 g, 0.423 mol) in water (0.11 L) in a drop wise manner. A Iter addition, the solution was brought to RT and stirred for 5 h. The reaction mixture was concentrated to remove THF and methanol and the crude residue was diluted with water and washed with ethyl acetate to remove impurities. The pH of the aqueous layer was adjusted to 6 using IN HC1 and the solution was extracted using ethyl acetate. The organic layer was dried and concentrated to afford gummy white mass, which was slurried in pet ether and filtered to yield 156 g of free flowing Racemic acid. (Yield: 82.92 %); Ή NMR (400MHz, DMSO-d6) : δ 12.74(br s, 1H), 7.65(d, 2H), 7.35-7.41(m, 7H), 7.00(d, 2H), 6.92(d, 2H), 5.23(s, 2H), 5.00(s, 2H), 4.38(dd, 1H), 4.00(s, 3H), 2.96-3.02(dd, 1H), 2.79-2.85(dd, 1 H).
Step-8
Preparation of (-)-3-cyano-3-{4-[(4-{[(2Z)-2-(methoxyimino)-2-phcnyleih> 11 oxy;
Figure imgf000051_0002
oxy] phenyl} propanoic acid
Figure imgf000051_0003
Racemic (-)-Enantiomer To a solution of racemic acid (10 g, 0.0225 mol) in THF (100 mL) at T, was added (-)- Cinchonidine (6.62 g, 0.0255 mol) and the solution was stirred for 30 min. The THF was evaporated at 45°C. To the residue, toluene (100 V) was added and the solution was heated to 80°C and stirred for 1 h. The reaction mixture was cooled to RT and then kept at 0°C for 12 h. The separated solid was filtered and dried. The chiral purity of the desired isomer salt was found to be 50.2%. The solid obtained was redissolved in toluene (100 V) at 80°C and stirred at the same temperature for 30 min. The solution was cooled to RT and kept at the same temperature for lh. The solid precipitated was filtered, washed with cold toluene and dried. The chiral purity of the desired isomer salt was found to be 72.4%. After 4 more runs following the above process, the desired chiral purity (99%) was achieved. I he salt was dissolved in water and cooled to 0°C and pH of the solution was adjusted to 6.0 using 1 N 11( I and extracted with ethyl acetate. The organic layer was dried and concentrated to afford pure enantiomer (99%) acid as a white solid.
(From 1.5 g of salt approximately 1.0 g of pure enantiomer is expected.)
(Yield: 10 %). Ή NMR,(400MHz, DMSO-d6) : 612.70(br s, 1H), 7.64(d, 2H), 7.34-7.39(m, 7H), 6.90-7.00(m, 4H), 5.22(s, 2H), 4.99(s, 2H), 4.35-4.39(dd, 1H), 3.99(s, 3H), 2.95-3.04(dd, 1H), 2.78-2.84(dd, 1H). SOR(c=l in methanol at 25 °C) = -2.1.
Step-9
Prepa ; benzy
Figure imgf000052_0001
(-)-Enantiomer (-)-Enantiomer
To a solution of 3-cyano-3-{4-[(4-{[(2Z)-2-(methoxyimino)-2-phenylethyl]oxy}benzyl) oxy]phenyl}propanoic acid (4.7 g, 10.58 mmol) in methanol (20 mL) and THF (20 mL), was added sodium bicarbonate solution (1M) (10.6 mL, leq) at 0°C. The resulting solution was stirred for 15 min and solvent was removed under reduced pressure at 2 °C to obtain the salt. The salt was triturated with hexane and dried. The product was obtained as white solid (4.63 g, yield: 93.9%); Chiral Purity : 99.0%.Ή NMR (400MHz, D SO-d6) : 67.63-7.65(m. 211). 7.39-7.41(m, 3H), 7.33-7.36(d, 2H), 7.25-7.28(d, 2H), 6.90-6.97(1, 4H), 5.23(s, 2H), 4.99(s. 2H), 4.22-4.25(dd, 1H), 3.99(s, 3H), 2.39-2.47(dd, 1H), 2.19-2.26(dd, 1H). Example 8
Another process for the preparation of the enantiomer. (-)-3-cyano-3- 14-[(4- \ \ {27.)-2- (methoxyimino)-2-phenylethyl]oxy}benzyl)oxy]phenyl {propanoic acid, which is !unhcr converted to the sodium salt, sodium 3-cyano-3-{4-[(4-{ [(2Z)-2-(methoxyimino )-2- phenylethyl]oxy}benzyl)oxy] phenyl }propanoate, as illustrated with the reaction sequence depicted in Scheme 8.
Figure imgf000053_0001
SCHEME 8 Step-1:
Preparation of (lZ)-2-bromo-N-methoxy-l-phenylethanimine
Figure imgf000053_0002
lnt-1 Batch raw materials:
Figure imgf000054_0001
Procedure:
To a solution of 2-bromoacetophenone (800 g, 4.02 mol, 1.0 eq.) in DCM (3.2 lit.4 V), Acetic acid (724 g, 3 eq.) were added MeONH2.HCl (503.6 g, 6.03 mol. 1.5 eq.) and sodium acetate (820.5 g, 6.03 mol, 1.5 eq.). The solution was stirred at RT for 3 h (monitored hy TI C or ll'( - HPLC). The reaction mass was diluted with water and the pH was adjusted to 7.0-8.0 using satd. NaHC03 solution and extracted with DCM (10 V). The organic layer was washed with water followed by brine solution. The organic layer was dried over Na2SC>4 and evaporated to afford 825 g of crude Int-1 as yellow oil. The crude was taken to next step without further purification, m/z: 228 (M+H)
Results:
• Description Yellow color oil.
• Weight 825 g
• Purity by HPLC 93.35%
• Yield 90.0% Step-2:
Prepara methanol
Figure imgf000055_0001
lnt-1
Batch raw materials:
Figure imgf000055_0002
Procedure:
To a solution of lnt-1 (800 g, 3.5 mol, 1.0 eq.) in acetone (4.8 lit, 6 V) was added anhydrous K2C03 (1.6 Kg, 1 1.92 mol, 3.4 eq.) and 4-hydroxy benzyl alcohol (470 g, 3.78 mol, 1 .08 eq.) and the resulting solution was refluxed at 60°C for 5 h (monitored by TLC or IPC-HPLC). The solution was filtered to remove K2C03 and the filtrate was concentrated. The residue obtained was dissolved in ethyl acetate. The organic layer was washed with 10% NaOH solution followed by water and brine solution. The organic layer was dried over Sodium sulphate and evaporated to afford 904 g of Int-2 as a solid. The crude was taken to next step without further purification, m/z: 272 (M+H) Results:
• Description Pale yellow color solid
• Weight 904 g
• Purity by HPLC 99.68%
• Yield 95%
Step-3:
Prepar momethyl) phenoxy]-N-methoxy-l-phenylethanimine
Figure imgf000056_0001
Batch raw materials:
Figure imgf000056_0002
Procedure:
To a solution of Int-2 (500.0 g, 1.842 mol, 1.0 eq.) in MTBE (5.0 lit, 10 V) were added catalytic amount of Pyridine (14.55 g, 0.1 eq.) and a solution of PB (1 2.4 ml.2.027 mol. 1.1 eq.) in MTBE (500 ml) at 0°C to RT for 4 h (monitored by TLC or II'C-I IPI ). Th ic cii n mass was diluted with water and extracted with ethyl acetate ( 10 V). The organic layer was concentrated to afford 570 g of Int-3 with Z/E isomer ratio: 80.05: 1 1.56 by HPLC) as a solid (Yields 92.54%). The crude was taken to next step without further purification, m/z: 334.2 (M+H)
Results:
Description : Yellow color sol id
Compound wt : 570 g
Purity : 80.05 %
Yield : 92.54 % Step-4:
Preparation of diethyl (4-hydroxybenzylidene) propanedioate
Figure imgf000057_0001
lnt-4 Batch raw materials:
Figure imgf000057_0002
Procedure:
Into a 3-neck RB flask equipped with Dean-Stark apparatus, were added toluene (1.5 lit) and Piperidine (69.0 g, 0.81 mol, 0.2 eq.). The solution was cooled to 0°C. To this acetic acid (49. lg, 0.81 mol, 0.2 eq.) was added in a drop wise manner. The solution was brought to RT and diluted with toluene (5.0 lit). To this 4-hydroxy benzaldehyde (500 g, 4.094mol, 1.0 eq.) and diethyl malonate (786 g, 4.913 mol, 1.2 eq.) were added and the solution was heated to 125°C for 2-3 h (monitored by IPC-HPLC). The solvent was concentrated at 45-50°C. The residue obtained was diluted with ethyl acetate and the organic layer was washed with water followed by brine solution. The organic layer was dried over Na;SO^ and concentrated to obtain crude material. The crude material was crystallized from ethyl acetate/ he.xanes mixture to afford 840 g of Int-4 as a pale yellow color solid, m/z: 265.1 (M + H)
Results:
Description Pale yellow solid
Compound wt 840 g
Purity 98.6 %
Yield 80%
Step-5:
Preparation of diethyl [4-(acetyloxy) benzylidene] propanedioate
Figure imgf000058_0001
lnt-4 |nt-5
Batch raw materials:
Figure imgf000058_0002
6. DCM (lot-2) 10L - - 10 v/w
7. Water (lot- 1) 10 L - - 10 v/w
8. Sat. sodium chloride solution 10 L - - 11) v/w
9. Sodium sulphate 500 g - - 0.5 w.'w
Procedure:
To a solution of Int-4 (1.0 Kg, 3.78 mol, 1.0 eq.) in DCM (10 lit, 10 V) were added TEA (576 g, 5.70 mol, 1.50 eq.), DMAP (46 g, 0.1 eq.) and acetic anhydride (771 g, 7.55 mol, 2.0 eq.). The reaction mixture was stirred at 50°C for overnight. The reaction was monitored by TLC or IPC-HPLC and after completion of the reaction, the mixture was quenched with water and organic layer was separated, and the aqueous layer was extracted with DCM (10 V). The organic layer was dried over sodium sulphate and evaporated to afford 1.11 k of lnt-5 ;is a solid. The crude was taken to next step without further purification, ml :.307 1 (M1 H ). Results:
Description Light yellow color solid
Compound wt 1.1 kg
Purity 99.87 %
Yield 98%
Step-6:
Preparation of methyl 3-cyano-3-(4-hydroxyphenyl) propanoate
Figure imgf000059_0001
Batch raw materials:
Figure imgf000060_0001
Procedure:
The Int-5 (1.0 Kg, 3.26 mol, 1.0 eq.,) was dissolved in MeOH and KCN (244 g in 750 ml of H20) was added. The reaction mixture was stirred at 40°C for overnight. The reaction was monitored by IPC-HPLC and after completion of the reaction, the reaction mixture was quenched with water and methanol, was concentrated and organic layer was diluled with ethyl acetate and Aq. layer was extracted with ethyl acetate (10 V x 2). The organic lav r wus washed with water and brine solution. The organic layer was dried over \a) . and evaporated to afford 500 g of Int-6 as a brown color liquid. The crude was taken lo next step without further purification.
Results:
Description Brown color liquid
Compound wt 500 g
Purity 89.64 %
Yield 74.6 %
Step-7:
Preparation of methyl 3-cyano-3-{4-[(4-{[(2Z)-2-(methoxyimino)-2-phen> elhyl | oxy ;
benzyl) oxy] phenyl} propanoate
Figure imgf000061_0001
Batch raw materials:
Figure imgf000061_0002
Procedure:
The Int-6 (320 g, 1.563 mol, 0.95 eq., 74% pure) was dissolved in acetone (3.3 Lit, 6 V) and added anhydrous K2C03 (772.39 g, 5.595 mol, 3.4 eq.), Int-3 (550.0 g, 1 .645 mol, 1 .0 eq.). The resulting solution was refluxed at 60°C for 5 h (monitored by TLC or IPC-HPLC). The solution was filtered to remove K2C03 and the filtrate was concentrated. The residue obtained was dissolved in ethyl acetate and was washed with water and brine solution. The organic layer was dried over Na2S04, evaporated and the crude compound was purified by column chromatography to afford 390 g of Int-7 as a solid, m/z: 459.3 (M+H) Results:
Description White solid.
Compound wt 390 g
Purity 93.82 % (contains 2-5% of f-isomer)
Yield 5 1 .6 %
Step-8:
Preparation of 3-cyano-3- {4-[(4-{[(2Z)-2-(methoxyimino)-2-phenylethyl] oxy} benzyl) oxy] phenyl} propanoic acid
Figure imgf000062_0001
lnt-7
Batch raw materials:
Figure imgf000062_0002
Procedure:
To an ice cold solution of Int-7 (80.0 g, 0.174 mol, 1.0 eq.) in THF (800 ml, 10 V)) was added drop wise LiOH.H20 (H20, 18.3 g, 0.435 mol, 2.5 eq.) in water (240 ml, 3.0 V). After addition, the solution was brought to RT and stirred for 5 h. The reaction mass was concentrated to remove THF to afford crude residue (Note: Concentration was done at 25- 30°C). The residue was diluted with water and washed with ethyl acetate to remove impurities. The pH of the aqueous layer was adjusted to 6 using IN HCI and the solution was extracted using ethyl acetate. The organic layer was dried over sodium sulphat and concentrated to afford gum, which was slurried further in hexane. filtered to get 5 v. of Racemic acid as white solid.
Results:
Description white solid
Compound wt 65 g
Purity 92.11 %
Yield 83.59 %
Step-9: Diastereomer resolution
Preparation of (-) - 3-cyano-3-{4-[(4-{[(2Z)-2-(methoxyimino)-2-phenylethyl | oxy;
Figure imgf000063_0001
oxy] phenyl} propanoic acid
Figure imgf000063_0002
Racemate Enantiomer
Batch raw materials:
Figure imgf000063_0003
5 Ethyl acetate (Lot-1) 250 mi - 10
Figure imgf000064_0001
VV
6 1NHC1 25 ml - - 1' v/
VV
7 Water 250 ml - - 10 /w
8 Sat Sodium chloride solution 125 ml - - 5 v/ w
9 Hexanes 125 ml - - 5 v/w
Procedure:
The Racemic acid, 25 g, 0.05 mol) was dissolved in THF (250 ml), was added (-)- cinnhonidine (16.54 g, 0.05 mol, l.o eq.) and the reaction mixture was stirred at RT lor "0 mint. The reaction mass was cooled to 0°C and added toluene (150 v) and reaction mixture was stirred for overnight at 0°C. Observed solid formation and the solid was filtered ami dried. The chiral purity of the desired isomer of the salt was found to be 64.01%. The solid obtained was dissolved in toluene (200 v) at 80°C and stirred at the same temperature for 30 min and reaction mixture was allowed to room temperature and stirred for overnight at RT and the solid was filtered and dried. The chiral purity of the desired isomer of the salt was found to be 96.8%. The solid obtained was dissolved in toluene (150 v) at 80°C and stirred at the same temperature for 30 min and reaction mixture was allowed to room temperature and stirred for overnight at RT and the solid was filtered and dried. The chiral purity of the desired isomer of the salt was found to be 99.4%. The chiral salt was dissolved in water and solution was cooled to 0°C, the pi I of the solution was adjusted to 2.0 to 2.5 using 1N.HC1, and the solution was extracted with ethyl acetate. I he- organic layer was sequentially washed with water and brine solution. The organic layer was dried over sodium sulphate and the solvent was removed under reduced pressure to afford crude residue, which was purified by column chromatography using ethyl acetate and hexane to afford gummy residue which was washed with hexanes to obtained 3.5 g of pure isomer as an off white solid, m/z: 443.4 (M-H). SOR(c=l in methanol at 25 °C ) = -2.1. Flow chart for one embodiment of resolution process:
Figure imgf000065_0001
-
Results:
Description White solid Compound wt 3. 5 g
Chemical Purity 97 %
Chiral Purity 99.54%
Yield 15 %

Claims

We Claim,
Figure imgf000066_0001
Formula (I) or a salt thereof, the process comprising:
(a) providing a compound of formula (II):
Figure imgf000066_0002
Formula (II) wherein R is a leaving group or hydroxyl group, providing a compound of formula (III):
Figure imgf000066_0003
Formula (III) wherein P is a carboxyl protecting group, (c) coupling the compound of formula (II) with the compound of formula (III) in a coupling reaction to provide a compound of formula (IV)
Figure imgf000067_0001
Formula (IV)
(d) removing the carboxyl protecting group to form the compound of formula (I) or a sail thereof.
2. A process according to claim 1 wherein in the compound of formula (II) R1 is a leaving group.
3. A process according to claim 2 wherein the leaving group is selected from the group consisting of fluorine, chlorine, bromine, iodine, mesylate, tosylate and triflate.
4. A process according to claim 1 or 2 wherein the coupling reaction is carried oui in ihc presence of a base.
5. A process according to claim 4 wherein the base is selected from the group consisting of: sodium carbonate, potassium carbonate and cesium carbonate.
6. A process according to any one of claims 2 to 5 wherein the coupling reaction is carried out at an elevated temperature.
7. A process according to claim 1 wherein R1 is OH.
8. A process according to claim 7 wherein one or more coupling reagents are added to the coupling reaction.
9. A process according to claim 8 wherein a phosphorus based coupling reagent is added to the coupling reaction.
10. A process according to claim 9 wherein the phosphorous based coupling reagent is selected from the group consisting of triphenyl phosphine and triethyl phosphinc.
11. A process according to any one of claims 8 to 10 wherein an azocarboxylate coupling reagent is added to the coupling reaction.
12. A process according to claim 11, wherein the azocarboxylate coupling reagent is selected from the group consisting of diisopropyl azodicarboxylate (DIAD) or diethyl azodicarboxylate (DEAD).
13. A process according to claim 8 wherein both a phosphorous based coupling reagent and an azocarboxylate coupling reagent are added to the coupling reaction.
14. A process according to claim 13 wherein the phosphorous based coupling reagent is added prior to addition of the azocarboxylate coupling reagent.
15. A process according to claim 13 wherein the phosphorous based coupling reagent is triphenyl phosphine.
16. A process according to claim 15 wherein the azocarboxylate coupling reagent is DIAD.
17. The process according to any one of claims 1 to 16. wherein R1 is 011 and the step of providing a compound of formula (11) comprises:
(a) reacting a compound of formula (V):
Figure imgf000068_0001
Formula (V) wherein X is a leaving group, with methoxylamine or a salt thereofto obtain a compound of formula (VI):
Figure imgf000069_0001
Formula (VI)
(b) contacting the compound of formula (VI) with 4-(hydroxymethyl)phenol in the presence of a base, to obtain a compound of formula 11:
Figure imgf000069_0002
Formula (II) where R'=OH
18. A process according to claim 17, wherein X1 is a halogen.
19. A process according to any one of claims 1 to 18. wherein the compound of formula (III) is prepared by a process comprising:
(a) condensing 4-hydroxybenzaldehyde with a malonic ester, in the presence of a base, to produce a compound of formula (VII):
Figure imgf000069_0003
Formula (Vll) wherein P is hydrogen or a carboxyl protecting group; converting the compound of formula (VII) to a compound of formula (III)
Figure imgf000070_0001
Formula (III).
20. A process according to claim 19 wherein step (b) comprises the steps of:
'(b 1 ) reacting the' comp6T3h¾^ of the formula (Ilia)
Figure imgf000070_0002
Formula (I l ia)
(b2) and protecting the carboxylic acid of formula Ilia to produce the compound of formula
(III):
Figure imgf000070_0003
Formula (III)
wherein P1 is a carboxyl protecting group.
21. A process according to claim 19 wherein step (b) comprises the steps :
(b l) reacting the compound of formula (VII) with a cyanide salt to obtain a compound of formula III:
Figure imgf000070_0004
(Formula III) wherein P is a carboxyl protecting group.
22 A process according to claim 1 9 wherein P is a C j -Q, alky] group.
23. A process according to any one of claims 19 to 22, wherein P1 is selected from group consisting of Ci -C6 alkyl group and benzyl group.
24. A process for the preparation of a compound of form u la ( I)
Figure imgf000071_0001
Formula (I)
or a salt thereof, the process comprising: (a) reacting a compound of formula (V):
Figure imgf000071_0002
Formula (V) wherein X1 is a leaving group, with methoxylamine or a salt thereofto obtain a compound of formula (V I ):
Figure imgf000071_0003
Formula (VI)
(b) contacting the compound of formula (VI) with 4-(hydroxymethyl)phenol presenee-ofa-basertO"Obtain-the-compound-of"formula"H:"
Figure imgf000072_0001
Formula (II) where R'=OH
(c) coupling the compound of formula II with 4-hydroxyphenyl aceton itri le. under coupling conditions to obtain the compound of formula (V I I I ):
Figure imgf000072_0002
Formula (VIII)
(d) reacting the compound of formula (VIII), in the presence of a base, with an ester of formula (IX):
Figure imgf000072_0003
Formula (IX)
wherein,
X is a leaving group, and
P1 is a carboxyl protecting group,
to provide the compound of formula (IV)
Figure imgf000072_0004
Formula (IV) (e) removing the carboxyl protecting group to obtain a compound of formula (I or a salt thereof.
25. A process according to claim 24, wherein X1 is a halogen.
26. A process according to claim 24 or 25, wherein X2 is a halogen.
27. A process according to any one of claims 24 to 26 wherein P1 is selected from the group consisting of Ci-C6 alkyl group and benzyl group.
28 A process according to claim 1, further comprising chiral resolution of the enantiomeric mixture obtained after step (c) or (d) to provide the (-) enantiomer in greater than 98% ee.
29. The process according to claim 19, 20 or 21 , wherein the product of step (b) is subjected to chiral resolution of the enantiomers of the compound of Formula III to provide the two substantially pure enantiomers in greater than 98% ee.
30. The process according to claim 24, wherein the product of step (d) or the product of step (e) is subjected to chiral resolution of the enantiomeric mixture to provide the product in greater than 98% ee.
31. The process according to any one of claims 28 to 30. wherein the chiral resolution is achieved by chiral chromatography.
32. The process according to any one of claims 28 to 30, wherein the chiral resolution is achieved by crystallization of the racemic compound with (-)-Cinchonidine.
PCT/IN2012/0006932011-10-212012-10-19Process for the preparation of an aryl oxime and salts thereofWO2013057743A1 (en)

Applications Claiming Priority (2)

Application NumberPriority DateFiling DateTitle
IN3626CH20112011-10-21
IN3626/CHE/20112011-10-21

Publications (1)

Publication NumberPublication Date
WO2013057743A1true WO2013057743A1 (en)2013-04-25

Family

ID=47351895

Family Applications (1)

Application NumberTitlePriority DateFiling Date
PCT/IN2012/000693WO2013057743A1 (en)2011-10-212012-10-19Process for the preparation of an aryl oxime and salts thereof

Country Status (1)

CountryLink
WO (1)WO2013057743A1 (en)

Cited By (9)

* Cited by examiner, † Cited by third party
Publication numberPriority datePublication dateAssigneeTitle
CN105566267A (en)*2016-01-272016-05-11中国药科大学Novel oxime ether derivative and preparation method thereof and application of derivative by serving as drug
US10710986B2 (en)2018-02-132020-07-14Gilead Sciences, Inc.PD-1/PD-L1 inhibitors
US10774071B2 (en)2018-07-132020-09-15Gilead Sciences, Inc.PD-1/PD-L1 inhibitors
US10899735B2 (en)2018-04-192021-01-26Gilead Sciences, Inc.PD-1/PD-L1 inhibitors
US11236085B2 (en)2018-10-242022-02-01Gilead Sciences, Inc.PD-1/PD-L1 inhibitors
US11279702B2 (en)2020-05-192022-03-22Kallyope, Inc.AMPK activators
US11407768B2 (en)2020-06-262022-08-09Kallyope, Inc.AMPK activators
US11512065B2 (en)2019-10-072022-11-29Kallyope, Inc.GPR119 agonists
US12264171B2 (en)2020-02-282025-04-01Kallyope, Inc.GPR40 agonists

Citations (2)

* Cited by examiner, † Cited by third party
Publication numberPriority datePublication dateAssigneeTitle
US20070142384A1 (en)*2004-02-272007-06-21Amgen Inc.Compounds, pharmaceutical compositions and methods for use in treating metabolic disorders
WO2012011125A1 (en)*2010-07-232012-01-26Connexios Life Sciences Pvt. Ltd.Agonists of gpr40

Patent Citations (2)

* Cited by examiner, † Cited by third party
Publication numberPriority datePublication dateAssigneeTitle
US20070142384A1 (en)*2004-02-272007-06-21Amgen Inc.Compounds, pharmaceutical compositions and methods for use in treating metabolic disorders
WO2012011125A1 (en)*2010-07-232012-01-26Connexios Life Sciences Pvt. Ltd.Agonists of gpr40

Non-Patent Citations (4)

* Cited by examiner, † Cited by third party
Title
"Protective Groups in Organic Chemistry", 1973, PLENUM PRESS
GREENE, T. W.; WUTS, P. G. M.: "Protective Groups in Organic Synthesis", 1991, WILEY-INTERSCIENCE
JERRY MARCH: "Advanced Organic Chemistry", 1997, OAK WICK AND SONS, pages: 351 - 357
KOCIENSKI, P. J.: "Protecting Groups", 2000, THEIME MEDICAL PUB.

Cited By (13)

* Cited by examiner, † Cited by third party
Publication numberPriority datePublication dateAssigneeTitle
CN105566267A (en)*2016-01-272016-05-11中国药科大学Novel oxime ether derivative and preparation method thereof and application of derivative by serving as drug
US10710986B2 (en)2018-02-132020-07-14Gilead Sciences, Inc.PD-1/PD-L1 inhibitors
US12338233B2 (en)2018-02-132025-06-24Gilead Sciences, Inc.PD-1/Pd-L1 inhibitors
US11555029B2 (en)2018-02-132023-01-17Gilead Sciences, Inc.PD-1/PD-L1 inhibitors
US10899735B2 (en)2018-04-192021-01-26Gilead Sciences, Inc.PD-1/PD-L1 inhibitors
US10774071B2 (en)2018-07-132020-09-15Gilead Sciences, Inc.PD-1/PD-L1 inhibitors
US12269812B2 (en)2018-07-132025-04-08Gilead Sciences, Inc.PD-1/PD-L1 inhibitors
US11236085B2 (en)2018-10-242022-02-01Gilead Sciences, Inc.PD-1/PD-L1 inhibitors
US11512065B2 (en)2019-10-072022-11-29Kallyope, Inc.GPR119 agonists
US12264171B2 (en)2020-02-282025-04-01Kallyope, Inc.GPR40 agonists
US11851429B2 (en)2020-05-192023-12-26Kallyope, Inc.AMPK activators
US11279702B2 (en)2020-05-192022-03-22Kallyope, Inc.AMPK activators
US11407768B2 (en)2020-06-262022-08-09Kallyope, Inc.AMPK activators

Similar Documents

PublicationPublication DateTitle
WO2013057743A1 (en)Process for the preparation of an aryl oxime and salts thereof
EP1992609A1 (en)A process for the preparation of a (S)(+)-3-(aminomethyl)-5-methylhexanoic acid
WO2021143712A1 (en)Method for preparing l-glufosinate-ammonium intermediate
EP2914574A2 (en)New process
CN108203419B (en)Preparation method of brivaracetam intermediate
US8530691B2 (en)Process for the preparation of fesoterodine
JP7663218B2 (en) Method for producing α-(mercaptomethyl)acrylic acid ester
US10562834B2 (en)Process for preparing substituted crotonic acids
JP5448572B2 (en) Acetyl compound, method for producing the acetyl compound, and method for producing a naphthol compound using the acetyl compound
Tengeiji et al.A new method for production of chiral 2-aryloxypropanoic acids using effective kinetic resolution of racemic 2-aryloxycarboxylic acids
CN102320996A (en)A kind of preparation of silodosin midbody and purification process
KR101134021B1 (en)Manufacturing method of pitavastatin hemicalcium using novel intermediates
CN107118144B (en)Reduction preparation process of ezetimibe and intermediate thereof
JP4258658B2 (en) Method for producing acetylene compound
JP6771775B2 (en) Method for producing 2-aminonicotinic acid benzyl ester derivative
CN114276244B (en)Preparation method of carboxylic acid compound and metal salt derivative thereof
JP4991543B2 (en) Method for producing diarylcycloalkyl derivative
KR101087500B1 (en) Process for preparing binaphthol aldehyde derivatives and intermediates thereof
KR101390486B1 (en)Method for the synthesis of n-[3-[(2-methoxyphenyl)sulfanyl]-2-methylpropyl]-3,4-dihydro-2h-1,5-benzoxathiepin-3-amine
KR101691792B1 (en)Enantiomerically pure binaphtol derivatives and method for preparing the same
CN104292252B (en)Synthesis technology of 1-ethoxycarbonyl-5-methyl-(3R)-(tert-butyldimethylsilyloxy) glutaric ester
KR101396304B1 (en)Method for preparation of chiral indole succinic acid derivatives
DK2282991T3 (en) METHOD OF PREPARING 1,4-BENZOTHIEPINE-1,1-DIOXIDE DERIVATIVES
JP6345499B2 (en) Process for the preparation of (2-hydroxy-3-oxo-cyclopent-1-enyl) -acetate
Tait et al.Stereospecific synthesis of 3-[(2H-1, 2, 4-Benzothiadiazine-1, 1-dioxide-3-yl) thio]-2-methylpropanoic acids

Legal Events

DateCodeTitleDescription
121Ep: the epo has been informed by wipo that ep was designated in this application

Ref document number:12799320

Country of ref document:EP

Kind code of ref document:A1

NENPNon-entry into the national phase

Ref country code:DE

122Ep: pct application non-entry in european phase

Ref document number:12799320

Country of ref document:EP

Kind code of ref document:A1


[8]ページ先頭

©2009-2025 Movatter.jp