Movatterモバイル変換


[0]ホーム

URL:


WO2013050441A1 - Methods and pharmaceutical composition for inhibiting or preventing platelet aggregation - Google Patents

Methods and pharmaceutical composition for inhibiting or preventing platelet aggregation
Download PDF

Info

Publication number
WO2013050441A1
WO2013050441A1PCT/EP2012/069573EP2012069573WWO2013050441A1WO 2013050441 A1WO2013050441 A1WO 2013050441A1EP 2012069573 WEP2012069573 WEP 2012069573WWO 2013050441 A1WO2013050441 A1WO 2013050441A1
Authority
WO
WIPO (PCT)
Prior art keywords
apelin
antibody
antibodies
human
apj receptor
Prior art date
Application number
PCT/EP2012/069573
Other languages
French (fr)
Inventor
Géraldine SIEGFRIED
Bruno FEVE
Regis BOBE
Abdel-Majid Khatib
Philippe Valet
Original Assignee
INSERM (Institut National de la Santé et de la Recherche Médicale)
Priority date (The priority date is an assumption and is not a legal conclusion. Google has not performed a legal analysis and makes no representation as to the accuracy of the date listed.)
Filing date
Publication date
Application filed by INSERM (Institut National de la Santé et de la Recherche Médicale)filedCriticalINSERM (Institut National de la Santé et de la Recherche Médicale)
Publication of WO2013050441A1publicationCriticalpatent/WO2013050441A1/en

Links

Classifications

Definitions

Landscapes

Abstract

The present invention provides methods and pharmaceutical composition for inhibiting or preventing platelet aggregation. More particularly, the present invention relates to an APJ receptor agonist for use in an anti-aggregant platelet treatment.

Description

METHODS AND PHARMACEUTICAL COMPOSITION FOR INHIBITING OR PREVENTING PLATELET AGGREGATION
FIELD OF THE INVENTION:
The present invention provides methods and pharmaceutical composition for inhibiting or preventing platelet aggregation. More particularly, the present invention relates to an APJ receptor agonist for use in an anti-aggregant platelet treatment. BACKGROUND OF THE INVENTION:
Cardiovascular and cerebrovascular (CVD) diseases are the leading cause of morbidity in Western countries. CVD encompasses a number of different pathological conditions such as coronary heart disease (CHD), stroke, high blood pressure and heart failure, the biggest "killers" being the ischemic diseases, CHD and stroke, characterized by defective blood irrigation.
At the center of these diseases, the blood platelet is of major importance. Indeed excessive accumulation of platelets at sites of atherosclerotic plaque rupture is the crucial pathogenic event that is responsible for the development of the acute coronary syndrome, stroke and the ischemic complications of peripheral vascular disease.
Until recently, aspirin was the only anti-platelet agent in widespread clinical use for the prevention and treatment of CVD. By inactivating cyclooxygenase enzymes, aspirin indeed prevents the synthesis of thromboxane A2, an important mediator of platelet aggregation. Today it still remains the gold standard in terms of anti-platelet therapy both for acute ischemic syndromes as well as for secondary prevention of cardiovascular events. Aspirin induces low bleeding risk, but its antithrombotic action is rather weak. Indeed, despite reducing the incidence of acute myocardial infarction and stroke by 34% and 25%, respectively, aspirin only prevents death in 15% of patients. Furthermore, even patients taking aspirin may sustain a thrombotic event, leading to the concept of aspirin resistance. The prevalence of aspirin resistance ranges from 5 to 40%>, depending on the assay used. Attempts to develop more specific drugs interfering with the thromboxane A2 pathway have been disappointing so far with no real improvement over aspirin in terms of efficacy.
The second class of antiplatelet drugs is represented by P2Y12 ADP receptor antagonists such as clopidogrel or prasugrel. Similar to aspirin, albeit through a different mechanism, said molecules prevents platelet activation and subsequent aggregation. Clopidogrel has been used on a large scale as an antiplatelet drug since the mid-1990s and compared to aspirin, it reduces the occurrence of serious vascular events by an additional 9%. However, the antithrombotic effect of clopidogrel is still weak, only slightly better than aspirin mostly in high-risk patients. In experimental models, clopidogrel was shown to be a considerably better antithrombotic agent than aspirin but only if used at high concentrations. In clinical trials, clopidogrel could be used only at concentrations that inhibited ADP-induced platelet aggregation by 40-50% since higher doses led to a significant increase in bleeding time. This small therapeutic window is the main problem of all antithrombotic drugs currently available. Given that molecular events underlying thrombosis are mainly identical to those regulating hemostasis, new treatments are faced with an efficacy versus safety issue. Improved efficacy in terms of antithrombotic activity is obtained with dual therapy, aspirin/clopidogrel, a synergistic combination for antiplatelet effect but also in increased bleeding risk. An issue is that both aspirin and clopidogrel attack all platelets and are irreversible platelet inhibitors, active for the life of the platelet.
The third major group of antiplatelet drugs is represented by the inhibitors of platelet receptor GPIIbllla, commonly known as the final common pathway of platelet aggregation. Indeed, regardless of the primary thrombogenic stimulus, all pathways converge to the activation of GPIIbllla which plays a major role in promoting thrombus growth through its binding to fibrinogen and/or von Willebrand factor. The fist GPIIbllla inhibitor developed was abciximab (ReoPro®), the Fab fragment of a humanized murine monoclonal antibody. In addition to this antibody, other anti GPIIbllla inhibitors include epitifibatide (Integrillin®), a cyclic peptide and tirofiban (Aggrestat®), a non-peptide tryrosine derivative. Intravenous GPIIbllla inhibitors proved to be powerful antiplatelet agents and provided significant clinical benefit in patients undergoing coronary interventions such as percutaneous coronary intervention although increased bleeding risk was also associated with these inhibitors. But the major problems arose with the development of oral GPIIbllla inhibitors who proved to be unsafe, leading to increased mortality due to major bleeding.
The limitations of current anti-platelet drugs underscore the need for new antiplatelet agents.
Apelin is a peptide, identified as the endogenous ligand of APJ, an ubiquitously expressed G protein coupled receptor (Tatemoto K, Hosoya M, Habata Y, Fujii R, Kakegawa T, Zou MX, Kawamata Y, Fukusumi S, Hinuma S, Kitada C, Kurokawa T, Onda H, Fujino M. Isolation and characterization of a novel endogenous peptide ligand for the human APJ receptor. Biochem Biophys Res Commun. Oct 251(2):471-6. 1998). Apelin is synthesized as a 77-amino acid prepropeptide that is cleaved in different fragments including apelin-36, apelin- 17, apelin- 13 and the post-tranlationally [Pyrl] apelin- 13 with a conversion of the N- terminal glutamate to pyroglutamate preventing enzymatic breakdown and thus preserving biological activity (Tatemoto K, Hosoya M, Habata Y, Fujii R, Kakegawa T, Zou MX, Kawamata Y, Fukusumi S, Hinuma S, Kitada C, Kurokawa T, Onda H, Fujino M. Isolation and characterization of a novel endogenous peptide ligand for the human APJ receptor. Biochem Biophys Res Commun. Oct 251(2):471-6. 1998). Before to be revealed as an adipocyte-secreted factor, apelin was known to exert several central and peripheral effects in different tissues such as the regulation of the cardiovascular, immune and gastrointestinal functions but also in fluid homeostasis, angiogenesis, proliferation of different cell types and embryonic development. However its role in platelet aggregation has not yet been investigated. SUMMARY OF THE INVENTION:
The present invention relates to an APJ receptor agonist for use in an anti-aggregant platelet treatment in a subject in need thereof.
DETAILED DESCRIPTION OF THE INVENTION:
Platelet activation is essential for bleeding arrest during vascular injury; however, high accumulation of platelets; can result in arterial thrombi development, causing accelerated occurrence of vascular diseases; including acute myocardial infarction and ischemic stroke. This risk is increased in obese, and type 2 diabetic patients. Apelin is an adipokine with pleiotropic functions on cardiovascular, fluid and energetic homeostasis, and acts through the APJ transmembrane receptor. The inventorshave defined a key role for apelin, in regulating activation of normal platelets and in obesity; that found to express increased functional G- protein coupled apelin receptor; APJ. Using in vitro and in vivo models, they found that apelin displays a potent antithrombotic effect. In vitro, apelin strongly inhibits thrombin- and collagen-induced platelet aggregation, independently of ADP secretion. It prevents platelet activation and thrombin-activated intracellular signaling pathways. In vivo, intravenous injection of apelin increases tail bleeding time and delays chemically-induced vessel occlusion and thrombus stabilization. Taken together, the results provide the first proof that apelin is required for the regulation of platelet activation and function in vivo, and highlight the potential use of apelin and/or APJ agonists as a strategy to reduce obesity- and/or type 2 diabetes-associated thrombosis risks.
Accordingly, the present invention relates to an APJ receptor agonist for use in an anti-aggregant platelet treatment in a subject in need thereof.
As used herein the term "subject" refers to any subject (preferably human). Preferably the subject is afflicted with an ischemic condition or is at risk of having an ischemic condition. In particular embodiment, the subject suffers from a type II diabetes and/or obesity.
The term "ischemic conditions" refers to any conditions that result from a restriction in blood supply in at least one organ or tissue due to a clot formed by platelet aggregation. These conditions typically result from the obstruction of a blood vessel by a clot. For example ischemic conditions include but are not limited to renal ischemia, retinal ischemia, brain ischemia, leg ischemia and myocardial ischemia.
APJ receptor agonists of the present invention are particularly suitable for preventing the formation of thrombus, which can be either a non-occlusive thrombus or an occlusive thrombus. Particularly, APJ receptor agonists are envisaged to prevent arterial thrombus formation, such as acute coronary occlusion. The APJ receptor agonists of the invention are further provided in a method of antithrombotic treatment to maintain the patency of diseased arteries, to prevent restenosis, such as after PCTA or stenting, to prevent thrombus formation in stenosed arteries, to prevent hyperplasia after angioplasty, atherectomy or arterial stenting, to prevent unstable angina, and generally to prevent or treat the occlusive syndrome in a vascular system.
APJ receptor agonists of the invention may be thus useful for the prevention of thrombosis, and particular venous and arterial thrombosis APJ receptor agonists of the invention may also be used to treat patients with acute coronary syndrome s, in particular by preventing further events in the coronary arteries.
APJ receptor agonists of the invention may finally be used to prevent restenosis after vascular injury. The term "APJ receptor" intends the receptor for apelin originally identified by O'Dowd et al. (O'Dowd et al, 1993, Gene 136: 355360). As used herein the term "APJ receptor agonist" refers to any compound, natural or not, capable of promoting the APJ receptor function. Examples of the APJ receptor agonists of the present invention include but are not limited to polypeptides, antibodies, aptamers and small organic molecules.
Agonistic activities of a test compound toward APJ receptor may be determined by any well known method in the art. For example, since the agonist of the present invention can promote the function of the APJ receptor, the agonist can be screened using the natural agonist of APJ receptor (i.e. apelin) and its receptor. Typically, the agonist of the present invention can be obtained using the method screening the substance promoting the function of the APJ receptor, which comprises comparing (i) the case where apelin is brought in contact with the APJ receptor and (ii) the case where a test compound is brought in contact with the APJ receptor. In the screening method of the present invention, for example, (a) the binding amounts of apelin to the APJ receptor are measured (i) when apelin is brought in contact with the APJ receptor and (ii) apelin and a test compound are brought in contact with the APJ receptor; and comparing the results; or, (b) cell stimulating activities (e.g., the activities that promote arachidonic acid release, acetylcholine release, intracellular Ca2+ release, intracellular cAMP production, intracellular cGMP production, inositol phosphate production, changes in cell membrane potential, phosphorylation of intracellular proteins, activation of c- fos, pH changes, etc.) mediated by the APJ receptor are measured (i) when apelin is brought in contact with the APJ receptor and (ii) a test compound is brought in contact with the APJ receptor; and comparing the results. Typically, the test compounds that provide a higher promotion or at least the same promotion of APJ receptor than apelin are then selected as APJ receptor agonists. Specific examples of the screening method of the present invention include: (1) a method of screening the substance promoting the function of the APJ receptor, which comprises measuring the binding amounts of labeled apelin to the APJ receptor when the labeled apelin is brought in contact with the APJ receptor and when the labeled apelin and a test compound are brought in contact with the APJ receptor; and comparing the amounts; (2) a method of screening the substance promoting the function of the APJ receptor, which comprises measuring the binding amounts of labeled apelin to a cell containing the APJ receptor or a membrane fraction of the cell, when the labeled apelin is brought in contact with the cell or membrane fraction and when the labeled apelin and a test compound are brought in contact with the cell or membrane fraction, and comparing the binding amounts; and, (3) a method of screening the substance promoting the function of the APJ receptor, which comprises measuring the binding amounts of labeled apelin to the APJ receptor expressed on a cell membrane by culturing a transformant having a DNA encoding the APJ receptor, when the labeled apelin is brought in contact with the APJ receptor and when the labeled apelin and a test compound are brought in contact with the APJ receptor, and comparing the binding amounts. In those examples, the test compounds that provide a higher binding or at least the same binding as apelin are then selected as APJ receptor agonists. Specifically, a method for determining whether a compound is an APJ receptor agonist is described in Iturrioz X. et al. (Iturrioz X, Alvear-Perez R, De Mota N, Franchet C, Guillier F, Leroux V, Dabire H, Le Jouan M, Chabane H, Gerbier R, Bonnet D, Berdeaux A, Maigret B, Galzi JL, Hibert M, Llorens-Cortes C. Identification and pharmacological properties of E339-3D6, the first nonpeptidic apelin receptor agonist. FASEB J. 2010 May;24(5): 1506-17. Epub 2009 Dec 29). The US Patent Application Publication N°US 2005/01 12701 also described test system for the identification of a ligand for angiotension receptor like-1 (APJ receptor) comprising an APJ receptor. Another method is also described in the US Patent Publication US 6,492,324.
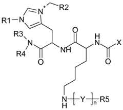
In one embodiment, the APJ receptor agonist is a small organic molecule. The term "small organic molecule" refers to a molecule of a size comparable to those organic molecules generally used in pharmaceuticals. The term excludes biological macro molecules (e. g., proteins, nucleic acids, etc.). Preferred small organic molecules range in size up to about 5000 Da, more preferably up to 2000 Da, and most preferably up to about 1000 Da. Examples of small organic molecules that are APJ receptor agonists include those described in the European Patent Application Publication N° EP 19030052 and in Iturrioz X. et al. (Iturrioz X, Alvear-Perez R, De Mota N, Franchet C, Guillier F, Leroux V, Dabire H, Le Jouan M, Chabane H, Gerbier R, Bonnet D, Berdeaux A, Maigret B, Galzi JL, Hibert M, Llorens-Cortes C. Identification and pharmacological properties of E339-3D6, the first nonpeptidic apelin receptor agonist. FASEB J. 2010 May;24(5): 1506-17. Epub 2009 Dec 29). Typically, a small organic molecule that is an APJ receptor agonist has the general formula
(I):
Figure imgf000008_0001
wherein:
Rl is an aryl, alkylaryl, heteroaryl or alkylheteroaryl group
R2 is a hydrogen atom or an aryl group
R3 and R4 represent a hydrogen atom or a heterocycloalkyl group providing that R3 and R4 cannot represent simultaneously a hydrogen and that R3 and R4 can both be part of a heterocycloalkyl group
R5 represents a group selected from the group consisting of boc, fmoc, texas red, patent blue V, lissamine, and rhodamine 101
n is an integer from 0 to 1
Y represents -CO-(NH)n<-A-NH- group with :
n' is an integer from 0 to 1
A is a group selected from the group consisting of:
Figure imgf000008_0002
-[(CH2)2-0]„'"-(CH2)2-
-(CH2)m- H-CO-(CH2)m.-
-(CH2)m- H-CO-(CH2)m.- H-CO-(CH2)m»-
-(CH2)m-CO- H-(CH2)m.-
-(CH2)m-CO- H-(CH2)m.-CO- H-(CH2)m»- with n' ' representing an integer from 1 to 20
with n" ' representing an integer from 1 to 10
with m, m' and m' ' representing independently from the other an integer from
1 to 15
X represents a group chosen in the following list:
Figure imgf000009_0001
Alternatively, the APJ receptor agonist may consist in an antibody (the term including "antibody portion").
In one embodiment of the antibodies or portions thereof described herein, the antibody is a monoclonal antibody. In one embodiment of the antibodies or portions thereof described herein, the antibody is a polyclonal antibody. In one embodiment of the antibodies or portions thereof described herein, the antibody is a humanized antibody. In one embodiment of the antibodies or portions thereof described herein, the antibody is a chimeric antibody. In one embodiment of the antibodies or portions thereof described herein, the portion of the antibody comprises a light chain of the antibody. In one embodiment of the antibodies or portions thereof described herein, the portion of the antibody comprises a heavy chain of the antibody. In one embodiment of the antibodies or portions thereof described herein, the portion of the antibody comprises a Fab portion of the antibody. In one embodiment of the antibodies or portions thereof described herein, the portion of the antibody comprises a F(ab')2 portion of the antibody. In one embodiment of the antibodies or portions thereof described herein, the portion of the antibody comprises a Fc portion of the antibody. In one embodiment of the antibodies or portions thereof described herein, the portion of the antibody comprises a Fv portion of the antibody. In one embodiment of the antibodies or portions thereof described herein, the portion of the antibody comprises a variable domain of the antibody. In one embodiment of the antibodies or portions thereof described herein, the portion of the antibody comprises one or more CDR domains of the antibody.
As used herein, "antibody" includes both naturally occurring and non-naturally occurring antibodies. Specifically, "antibody" includes polyclonal and monoclonal antibodies, and monovalent and divalent fragments thereof. Furthermore, "antibody" includes chimeric antibodies, wholly synthetic antibodies, single chain antibodies, and fragments thereof. The antibody may be a human or nonhuman antibody. A nonhuman antibody may be humanized by recombinant methods to reduce its immunogenicity in man. Antibodies are prepared according to conventional methodology. Monoclonal antibodies may be generated using the method of Kohler and Milstein (Nature, 256:495, 1975). To prepare monoclonal antibodies useful in the invention, a mouse or other appropriate host animal is immunized at suitable intervals (e.g., twice-weekly, weekly, twice-monthly or monthly) with antigenic forms of APJ. The animal may be administered a final "boost" of antigen within one week of sacrifice. It is often desirable to use an immunologic adjuvant during immunization. Suitable immunologic adjuvants include Freund's complete adjuvant, Freund's incomplete adjuvant, alum, Ribi adjuvant, Hunter's Titermax, saponin adjuvants such as QS21 or Quil A, or CpG-containing immuno stimulatory oligonucleotides. Other suitable adjuvants are well-known in the field. The animals may be immunized by subcutaneous, intraperitoneal, intramuscular, intravenous, intranasal or other routes. A given animal may be immunized with multiple forms of the antigen by multiple routes.
Briefly, the antigen may be provided as synthetic peptides corresponding to antigenic regions of interest in APJ. Following the immunization regimen, lymphocytes are isolated from the spleen, lymph node or other organ of the animal and fused with a suitable myeloma cell line using an agent such as polyethylene glycol to form a hydridoma. Following fusion, cells are placed in media permissive for growth of hybridomas but not the fusion partners using standard methods, as described (Coding, Monoclonal Antibodies: Principles and Practice: Production and Application of Monoclonal Antibodies in Cell Biology, Biochemistry and Immunology, 3rd edition, Academic Press, New York, 1996). Following culture of the hybridomas, cell supernatants are analyzed for the presence of antibodies of the desired specificity, i.e., that selectively bind the antigen. Suitable analytical techniques include ELISA, flow cytometry, immunoprecipitation, and western blotting. Other screening techniques are well-known in the field. Preferred techniques are those that confirm binding of antibodies to conformationally intact, natively folded antigen, such as non-denaturing ELISA, flow cytometry, and immunoprecipitation.
Significantly, as is well-known in the art, only a small portion of an antibody molecule, the paratope, is involved in the binding of the antibody to its epitope (see, in general, Clark, W. R. (1986) The Experimental Foundations of Modern Immunology Wiley & Sons, Inc., New York; Roitt, I. (1991) Essential Immunology, 7th Ed., Blackwell Scientific Publications, Oxford). The Fc' and Fc regions, for example, are effectors of the complement cascade but are not involved in antigen binding. An antibody from which the pFc' region has been enzymatically cleaved, or which has been produced without the pFc' region, designated an F(ab')2 fragment, retains both of the antigen binding sites of an intact antibody. Similarly, an antibody from which the Fc region has been enzymatically cleaved, or which has been produced without the Fc region, designated an Fab fragment, retains one of the antigen binding sites of an intact antibody molecule. Proceeding further, Fab fragments consist of a covalently bound antibody light chain and a portion of the antibody heavy chain denoted Fd. The Fd fragments are the major determinant of antibody specificity (a single Fd fragment may be associated with up to ten different light chains without altering antibody specificity) and Fd fragments retain epitope-binding ability in isolation.
Within the antigen-binding portion of an antibody, as is well-known in the art, there are complementarity determining regions (CDRs), which directly interact with the epitope of the antigen, and framework regions (FRs), which maintain the tertiary structure of the paratope (see, in general, Clark, 1986; Roitt, 1991). In both the heavy chain Fd fragment and the light chain of IgG immunoglobulins, there are four framework regions (FR1 through FR4) separated respectively by three complementarity determining regions (CDR1 through CDRS). The CDRs, and in particular the CDRS regions, and more particularly the heavy chain CDRS, are largely responsible for antibody specificity.
It is now well-established in the art that the non CDR regions of a mammalian antibody may be replaced with similar regions of conspecific or heterospecific antibodies while retaining the epitopic specificity of the original antibody. This is most clearly manifested in the development and use of "humanized" antibodies in which non-human CDRs are covalently joined to human FR and/or Fc/pFc' regions to produce a functional antibody.
This invention provides in certain embodiments compositions and methods that include humanized forms of antibodies. As used herein, "humanized" describes antibodies wherein some, most or all of the amino acids outside the CDR regions are replaced with corresponding amino acids derived from human immunoglobulin molecules. Methods of humanization include, but are not limited to, those described in U.S. Pat. Nos. 4,816,567, 5,225,539, 5,585,089, 5,693,761, 5,693,762 and 5,859,205, which are hereby incorporated by reference. The above U.S. Pat. Nos. 5,585,089 and 5,693,761, and WO 90/07861 also propose four possible criteria which may used in designing the humanized antibodies. The first proposal was that for an acceptor, use a framework from a particular human immunoglobulin that is unusually homologous to the donor immunoglobulin to be humanized, or use a consensus framework from many human antibodies. The second proposal was that if an amino acid in the framework of the human immunoglobulin is unusual and the donor amino acid at that position is typical for human sequences, then the donor amino acid rather than the acceptor may be selected. The third proposal was that in the positions immediately adjacent to the 3 CDRs in the humanized immunoglobulin chain, the donor amino acid rather than the acceptor amino acid may be selected. The fourth proposal was to use the donor amino acid reside at the framework positions at which the amino acid is predicted to have a side chain atom within 3A of the CDRs in a three dimensional model of the antibody and is predicted to be capable of interacting with the CDRs. The above methods are merely illustrative of some of the methods that one skilled in the art could employ to make humanized antibodies. One of ordinary skill in the art will be familiar with other methods for antibody humanization.
In one embodiment of the humanized forms of the antibodies, some, most or all of the amino acids outside the CDR regions have been replaced with amino acids from human immunoglobulin molecules but where some, most or all amino acids within one or more CDR regions are unchanged. Small additions, deletions, insertions, substitutions or modifications of amino acids are permissible as long as they would not abrogate the ability of the antibody to bind a given antigen. Suitable human immunoglobulin molecules would include IgGl, IgG2, IgG3, IgG4, IgA and IgM molecules. A "humanized" antibody retains a similar antigenic specificity as the original antibody. However, using certain methods of humanization, the affinity and/or specificity of binding of the antibody may be increased using methods of "directed evolution", as described by Wu et al, I. Mol. Biol. 294: 151, 1999, the contents of which are incorporated herein by reference.
Fully human monoclonal antibodies also can be prepared by immunizing mice transgenic for large portions of human immunoglobulin heavy and light chain loci. See, e.g., U.S. Pat. Nos. 5,591,669, 5,598,369, 5,545,806, 5,545,807, 6,150,584, and references cited therein, the contents of which are incorporated herein by reference. These animals have been genetically modified such that there is a functional deletion in the production of endogenous (e.g., murine) antibodies. The animals are further modified to contain all or a portion of the human germ-line immunoglobulin gene locus such that immunization of these animals will result in the production of fully human antibodies to the antigen of interest. Following immunization of these mice (e.g., XenoMouse (Abgenix), HuMAb mice (Medarex/GenPharm)), monoclonal antibodies can be prepared according to standard hybridoma technology. These monoclonal antibodies will have human immunoglobulin amino acid sequences and therefore will not provoke human anti-mouse antibody (KAMA) responses when administered to humans.
In vitro methods also exist for producing human antibodies. These include phage display technology (U.S. Pat. Nos. 5,565,332 and 5,573,905) and in vitro stimulation of human B cells (U.S. Pat. Nos. 5,229,275 and 5,567,610). The contents of these patents are incorporated herein by reference.
Thus, as will be apparent to one of ordinary skill in the art, the present invention also provides for F(ab') 2 Fab, Fv and Fd fragments; chimeric antibodies in which the Fc and/or FR and/or CDRl and/or CDR2 and/or light chain CDR3 regions have been replaced by homologous human or non-human sequences; chimeric F(ab')2 fragment antibodies in which the FR and/or CDRl and/or CDR2 and/or light chain CDR3 regions have been replaced by homologous human or non-human sequences; chimeric Fab fragment antibodies in which the FR and/or CDRl and/or CDR2 and/or light chain CDR3 regions have been replaced by homologous human or non-human sequences; and chimeric Fd fragment antibodies in which the FR and/or CDRl and/or CDR2 regions have been replaced by homologous human or non- human sequences. The present invention also includes so-called single chain antibodies.
The various antibody molecules and fragments may derive from any of the commonly known immunoglobulin classes, including but not limited to IgA, secretory IgA, IgE, IgG and IgM. IgG subclasses are also well known to those in the art and include but are not limited to human IgGl, IgG2, IgG3 and IgG4.
In another embodiment, the antibody according to the invention is a single domain antibody. The term "single domain antibody" (sdAb) or "VHH" refers to the single heavy chain variable domain of antibodies of the type that can be found in Camelid mammals which are naturally devoid of light chains. Such VHH are also called "nanobody®". According to the invention, sdAb can particularly be llama sdAb.
In another embodiment the APJ receptor agonist is an aptamer. Aptamers are a class of molecule that represents an alternative to antibodies in term of molecular recognition. Aptamers are oligonucleotide sequences with the capacity to recognize virtually any class of target molecules with high affinity and specificity. Such ligands may be isolated through Systematic Evolution of Ligands by Exponential enrichment (SELEX) of a random sequence library, as described in Tuerk C. and Gold L., 1990. The random sequence library is obtainable by combinatorial chemical synthesis of DNA. In this library, each member is a linear oligomer, eventually chemically modified, of a unique sequence. Possible modifications, uses and advantages of this class of molecules have been reviewed in Jayasena S.D., 1999. Peptide aptamers consists of a conformationally constrained antibody variable region displayed by a platform protein, such as E. coli Thioredoxin A that are selected from combinatorial libraries by two hybrid methods (Colas et al., 1996). Then after raising aptamers directed against APJs as above described, the skilled man in the art can easily select those promoting APJ receptor function.
In another embodiment the APJ receptor agonist may consist in a polypeptide. Preferably, said polypeptide is an apelin polypeptide.
The term "apelin" has its general meaning in the art and includes naturally occurring apelin and function conservative variants and modified forms thereof. The apelin can be from any source, but typically is a mammalian (e.g., human and non-human primate) apelin, and more particularly a human apelin. The sequence of apelin protein and nucleic acids for encoding such proteins are well known to those of skill in the art. Apelin is synthesized as 77- amino acid precursor and is found as a dimer, stabilized by disulfide bridges (Lee DK, Saldivia VR, Nguyen T, Cheng R, George SR, O'Dowd BF. Modification of the terminal residue of apelin-13 antagonizes its hypotensive action. Endocrinology. Jan 146(1):231-6. 2005). The pre-apelin is converted by proteolytic cleavage to produce different C-terminal fragments, including apelin-36, apelin-17, apelin-13, and the post-translationally modified (Pyr^apelin-lS, all are agonist to apelin receptor: APJ. The lack of cysteine residues in these C-terminal fragments suggests that the mature peptides are monomeric. It should be understood that, as those of skill in the art are aware of the sequence of these molecules, any apelin protein or gene sequence variant may be used as long as it has the properties of an apelin.
"Function conservative variants" are those in which a given amino acid residue in a protein or enzyme has been changed without altering the overall conformation and function of the polypeptide, including, but not limited to, replacement of an amino acid with one having similar properties (such as, for example, polarity, hydrogen bonding potential, acidic, basic, hydrophobic, aromatic, and the like). Amino acids other than those indicated as conserved may differ in a protein so that the percent protein or amino acid sequence similarity between any two proteins of similar function may vary and may be, for example, from 70 % to 99 % as determined according to an alignment scheme such as by the Cluster Method, wherein similarity is based on the MEG ALIGN algorithm. A "function-conservative variant" also includes a polypeptide which has at least 60 % amino acid identity as determined by BLAST or FASTA algorithms, preferably at least 75 %, most preferably at least 85%, and even more preferably at least 90 %, and which has the same or substantially similar properties or functions as the native or parent protein to which it is compared. According to the invention the term "apelin" polypeptide refers to any polypeptide that comprises the apelin- 13 C-terminal fragment. Accordingly, the term encompasses apelin itself or fragments thereof comprising the apelin- 17 or apelin-36 fragments. In specific embodiments, it is contemplated that apelin polypeptides used in the therapeutic methods of the present invention may be modified in order to improve their therapeutic efficacy. Such modification of therapeutic compounds may be used to decrease toxicity, increase circulatory time, or modify bio distribution. For example, the toxicity of potentially important therapeutic compounds can be decreased significantly by combination with a variety of drug carrier vehicles that modify bio distribution.
A strategy for improving drug viability is the utilization of water-soluble polymers. Various water-soluble polymers have been shown to modify bio distribution, improve the mode of cellular uptake, change the permeability through physiological barriers; and modify the rate of clearance from the body. To achieve either a targeting or sustained-release effect, water-soluble polymers have been synthesized that contain drug moieties as terminal groups, as part of the backbone, or as pendent groups on the polymer chain.
Polyethylene glycol (PEG), has been widely used as a drug carrier, given its high degree of biocompatibility and ease of modification. Attachment to various drugs, proteins, and liposomes has been shown to improve residence time and decrease toxicity. PEG can be coupled to active agents through the hydroxyl groups at the ends of the chain and via other chemical methods; however, PEG itself is limited to at most two active agents per molecule. In a different approach, copolymers of PEG and amino acids were explored as novel biomaterials which would retain the biocompatibility properties of PEG, but which would have the added advantage of numerous attachment points per molecule (providing greater drug loading), and which could be synthetically designed to suit a variety of applications.
Those of skill in the art are aware of PEGylation techniques for the effective modification of drugs. For example, drug delivery polymers that consist of alternating polymers of PEG and tri- functional monomers such as lysine have been used by VectraMed (Plainsboro, N.J.). The PEG chains (typically 2000 daltons or less) are linked to the a- and e- amino groups of lysine through stable urethane linkages. Such copolymers retain the desirable properties of PEG, while providing reactive pendent groups (the carboxylic acid groups of lysine) at strictly controlled and predetermined intervals along the polymer chain. The reactive pendent groups can be used for derivatization, cross-linking, or conjugation with other molecules. These polymers are useful in producing stable, long-circulating pro-drugs by varying the molecular weight of the polymer, the molecular weight of the PEG segments, and the cleavable linkage between the drug and the polymer. The molecular weight of the PEG segments affects the spacing of the drug/linking group complex and the amount of drug per molecular weight of conjugate (smaller PEG segments provides greater drug loading). In general, increasing the overall molecular weight of the block co-polymer conjugate will increase the circulatory half-life of the conjugate. Nevertheless, the conjugate must either be readily degradable or have a molecular weight below the threshold- limiting glomular filtration (e.g., less than 45 kDa).
In addition, to the polymer backbone being important in maintaining circulatory half- life, and bio distribution, linkers may be used to maintain the therapeutic agent in a pro-drug form until released from the backbone polymer by a specific trigger, typically enzyme activity in the targeted tissue. For example, this type of tissue activated drug delivery is particularly useful where delivery to a specific site of bio distribution is required and the therapeutic agent is released at or near the site of pathology. Linking group libraries for use in activated drug delivery are known to those of skill in the art and may be based on enzyme kinetics, prevalence of active enzyme, and cleavage specificity of the selected disease-specific enzymes (see e.g., technologies of established by VectraMed, Plainsboro, N.J.). Such linkers may be used in modifying the apelin polypeptides described herein for therapeutic delivery. According to the invention, apelin polypeptides may be produced by conventional automated peptide synthesis methods or by recombinant expression. General principles for designing and making proteins are well known to those of skill in the art.
Apelin polypeptides of the invention may be synthesized in solution or on a solid support in accordance with conventional techniques. Various automatic synthesizers are commercially available and can be used in accordance with known protocols, apelin polypeptides of the invention may also be synthesized by solid-phase technology employing an exemplary peptide synthesizer such as a Model 433A from Applied Biosystems Inc. The purity of any given protein; generated through automated peptide synthesis or through recombinant methods may be determined using reverse phase HPLC analysis. Chemical authenticity of each peptide may be established by any method well known to those of skill in the art.
As an alternative to automated peptide synthesis, recombinant DNA technology may be employed wherein a nucleotide sequence which encodes a protein of choice is inserted into an expression vector, transformed or transfected into an appropriate host cell and cultivated under conditions suitable for expression as described herein below. Recombinant methods are especially preferred for producing longer polypeptides.
A variety of expression vector/host systems may be utilized to contain and express the peptide or protein coding sequence. These include but are not limited to microorganisms such as bacteria transformed with recombinant bacteriophage, plasmid or cosmid DNA expression vectors; yeast transformed with yeast expression vectors; insect cell systems infected with virus expression vectors (e.g., baculovirus); plant cell systems transfected with virus expression vectors (e.g., cauliflower mosaic virus, CaMV; tobacco mosaic virus, TMV) or transformed with bacterial expression vectors (e.g., Ti or pBR322 plasmid); or animal cell systems. Those of skill in the art are aware of various techniques for optimizing mammalian expression of proteins. Mammalian cells that are useful in recombinant protein productions include but are not limited to VERO cells, HeLa cells, Chinese hamster ovary (CHO) cell lines, COS cells (such as COS-7), W138, BHK, HepG2, 3T3, RIN, MDCK, A549, PC12, K562 and 293 cells. Exemplary protocols for the recombinant expression of the peptide substrates or fusion polypeptides in bacteria, yeast and other invertebrates are known to those of skill in the art and a briefly described herein below. Mammalian host systems for the expression of recombinant proteins also are well known to those of skill in the art. Host cell strains may be chosen for a particular ability to process the expressed protein or produce certain post-translation modifications that will be useful in providing protein activity. Such modifications of the polypeptide include, but are not limited to, acetylation, carboxylation, glycosylation, phosphorylation, lipidation and acylation. Post-translational processing which cleaves a "prepro" form of the protein may also be important for correct insertion, folding and/or function. Different host cells such as CHO, HeLa, MDCK, 293, WI38, and the like have specific cellular machinery and characteristic mechanisms for such post-translational activities and may be chosen to ensure the correct modification and processing of the introduced, foreign protein.
In the recombinant production of the apelin polypeptides of the invention, it would be necessary to employ vectors comprising polynucleotide molecules for encoding the apelin- derived proteins. Methods of preparing such vectors as well as producing host cells transformed with such vectors are well known to those skilled in the art. The polynucleotide molecules used in such an endeavor may be joined to a vector, which generally includes a selectable marker and an origin of replication, for propagation in a host. These elements of the expression constructs are well known to those of skill in the art. Generally, the expression vectors include DNA encoding the given protein being operably linked to suitable transcriptional or translational regulatory sequences, such as those derived from a mammalian, microbial, viral, or insect genes. Examples of regulatory sequences include transcriptional promoters, operators, or enhancers, mR A ribosomal binding sites, and appropriate sequences which control transcription and translation.
The terms "expression vector," "expression construct" or "expression cassette" are used interchangeably throughout this specification and are meant to include any type of genetic construct containing a nucleic acid coding for a gene product in which part or all of the nucleic acid encoding sequence is capable of being transcribed.
The choice of a suitable expression vector for expression of the peptides or polypeptides of the invention will of course depend upon the specific host cell to be used, and is within the skill of the ordinary artisan. Methods for the construction of mammalian expression vectors are disclosed, for example, in EP-A-0367566; and WO 91/18982.
In general, the vectors useful in the invention include, but are not limited to, plasmids, phagemids, viruses, other vehicles derived from viral or bacterial sources that have been manipulated by the insertion or incorporation of the antisense oligonucleotide, siRNA, shRNA or ribozyme nucleic acid sequences. Viral vectors are a preferred type of vector and include, but are not limited to nucleic acid sequences from the following viruses: retrovirus, such as moloney murine leukemia virus, harvey murine sarcoma virus, murine mammary tumor virus, and rous sarcoma virus; adenovirus, adeno-associated virus; SV40-type viruses; polyoma viruses; Epstein-Barr viruses; papilloma viruses; herpes virus; vaccinia virus; polio virus; and RNA virus such as a retrovirus. One can readily employ other vectors not named but known to the art.
Preferred viral vectors are based on non-cytopathic eukaryotic viruses in which nonessential genes have been replaced with the gene of interest. Non-cytopathic viruses include retroviruses (e.g., lentivirus), the life cycle of which involves reverse transcription of genomic viral RNA into DNA with subsequent proviral integration into host cellular DNA. Retroviruses have been approved for human gene therapy trials. Most useful are those retroviruses that are replication-deficient (i.e., capable of directing synthesis of the desired proteins, but incapable of manufacturing an infectious particle). Such genetically altered retroviral expression vectors have general utility for the high-efficiency transduction of genes in vivo. Standard protocols for producing replication-deficient retroviruses (including the steps of incorporation of exogenous genetic material into a plasmid, transfection of a packaging cell lined with plasmid, production of recombinant retroviruses by the packaging cell line, collection of viral particles from tissue culture media, and infection of the target cells with viral particles) are well known in the art.
Preferred viruses for certain applications are the adenoviruses and adeno-associated (AAV) viruses, which are double-stranded DNA viruses that have already been approved for human use in gene therapy. Actually 12 different AAV serotypes (AAV1 to 12) are known, each with different tissue tropisms. Recombinant AAV are derived from the dependent parvovirus AAV2. The adeno-associated virus type 1 to 12 can be engineered to be replication deficient and is capable of infecting a wide range of cell types and species. It further has advantages such as, heat and lipid solvent stability; high transduction frequencies in cells of diverse lineages, including hemopoietic cells; and lack of superinfection inhibition thus allowing multiple series of transductions. Reportedly, the adeno-associated virus can integrate into human cellular DNA in a site-specific manner, thereby minimizing the possibility of insertional mutagenesis and variability of inserted gene expression characteristic of retroviral infection. In addition, wild-type adeno-associated virus infections have been followed in tissue culture for greater than 100 passages in the absence of selective pressure, implying that the adeno-associated virus genomic integration is a relatively stable event. The adeno-associated virus can also function in an extrachromosomal fashion.
Other vectors include plasmid vectors. Plasmid vectors have been extensively described in the art and are well known to those of skill in the art. In the last few years, plasmid vectors have been used as DNA vaccines for delivering antigen-encoding genes to cells in vivo. They are particularly advantageous for this because they do not have the same safety concerns as with many of the viral vectors. These plasmids, however, having a promoter compatible with the host cell, can express a peptide from a gene operatively encoded within the plasmid. Some commonly used plasmids include pBR322, pUC 18, pUC19, pRC/CMV, SV40, and pBlueScript. Other plasmids are well known to those of ordinary skill in the art. Additionally, plasmids may be custom designed using restriction enzymes and ligation reactions to remove and add specific fragments of DNA. Plasmids may be delivered by a variety of parenteral, mucosal and topical routes. For example, the DNA plasmid can be injected by intramuscular, intradermal, subcutaneous, or other routes. It may also be administered by intranasal sprays or drops, rectal suppository and orally. It may also be administered into the epidermis or a mucosal surface using a gene-gun. The plasmids may be given in an aqueous solution, dried onto gold particles or in association with another DNA delivery system including but not limited to liposomes, dendrimers, cochleate and micro encap sulation. Expression requires that appropriate signals be provided in the vectors, such as enhancers/promoters from both viral and mammalian sources that may be used to drive expression of the nucleic acids of interest in host cells. Usually, the nucleic acid being expressed is under transcriptional control of a promoter. A "promoter" refers to a DNA sequence recognized by the synthetic machinery of the cell, or introduced synthetic machinery, required to initiate the specific transcription of a gene. Nucleotide sequences are operably linked when the regulatory sequence functionally relates to the DNA encoding the protein of interest (i.e., apelin, a variant and the like). Thus, a promoter nucleotide sequence is operably linked to a given DNA sequence if the promoter nucleotide sequence directs the transcription of the sequence.
Similarly, the phrase "under transcriptional control" means that the promoter is in the correct location and orientation in relation to the nucleic acid to control RNA polymerase initiation and expression of the gene. Any promoter that will drive the expression of the nucleic acid may be used. The particular promoter employed to control the expression of a nucleic acid sequence of interest is not believed to be important, so long as it is capable of directing the expression of the nucleic acid in the targeted cell. Thus, where a human cell is targeted, it is preferable to position the nucleic acid coding region adjacent to and under the control of a promoter that is capable of being expressed in a human cell. Generally speaking, such a promoter might include either a human or viral promoter. Common promoters include, e.g., the human cytomegalovirus (CMV) immediate early gene promoter, the SV40 early promoter, the Rous sarcoma virus long terminal repeat, [beta]-actin, rat insulin promoter, the phosphoglycerol kinase promoter and glyceraldehyde-3-phosphate dehydrogenase promoter, all of which are promoters well known and readily available to those of skill in the art, can be used to obtain high-level expression of the coding sequence of interest. The use of other viral or mammalian cellular or bacterial phage promoters which are well-known in the art to achieve expression of a coding sequence of interest is contemplated as well, provided that the levels of expression are sufficient to produce a recoverable yield of protein of interest. By employing a promoter with well known properties, the level and pattern of expression of the protein of interest following transfection or transformation can be optimized. Inducible promoters also may be used.
Another regulatory element that is used in protein expression is an enhancer. These are genetic elements that increase transcription from a promoter located at a distant position on the same molecule of DNA. Where an expression construct employs a cDNA insert, one will typically desire to include a polyadenylation signal sequence to effect proper polyadenylation of the gene transcript. Any polyadenylation signal sequence recognized by cells of the selected transgenic animal species is suitable for the practice of the invention, such as human or bovine growth hormone and SV40 polyadenylation signals. Other polypeptides that can be used as APJ receptor agonists include those described in US 6,492,324 or in US 7,635,751.
A further object of the invention relates to pharmaceutical compositions comprising an APJ receptor agonist according to the invention for use in an anti-aggregant platelet treatment.
Typically, the APJ receptor agonist may be combined with pharmaceutically acceptable excipients, and optionally sustained-release matrices, such as biodegradable polymers, to form therapeutic compositions.
"Pharmaceutically" or "pharmaceutically acceptable" refer to molecular entities and compositions that do not produce an adverse, allergic or other untoward reaction when administered to a mammal, especially a human, as appropriate. A pharmaceutically acceptable carrier or excipient refers to a non-toxic solid, semi-solid or liquid filler, diluent, encapsulating material or formulation auxiliary of any type.
In the pharmaceutical compositions of the present invention for oral, sublingual, subcutaneous, intramuscular, intravenous, transdermal, local or rectal administration, the active principle, alone or in combination with another active principle, can be administered in a unit administration form, as a mixture with conventional pharmaceutical supports, to animals and human beings. Suitable unit administration forms comprise oral-route forms such as tablets, gel capsules, powders, granules and oral suspensions or solutions, sublingual and buccal administration forms, aerosols, implants, subcutaneous, transdermal, topical, intraperitoneal, intramuscular, intravenous, subdermal, transdermal, intrathecal and intranasal administration forms and rectal administration forms.
Preferably, the pharmaceutical compositions contain vehicles which are pharmaceutically acceptable for a formulation capable of being injected. These may be in particular isotonic, sterile, saline solutions (monosodium or disodium phosphate, sodium, potassium, calcium or magnesium chloride and the like or mixtures of such salts), or dry, especially freeze-dried compositions which upon addition, depending on the case, of sterilized water or physiological saline, permit the constitution of injectable solutions. The pharmaceutical forms suitable for injectable use include sterile aqueous solutions or dispersions; formulations including sesame oil, peanut oil or aqueous propylene glycol; and sterile powders for the extemporaneous preparation of sterile injectable solutions or dispersions. In all cases, the form must be sterile and must be fluid to the extent that easy syringability exists. It must be stable under the conditions of manufacture and storage and must be preserved against the contaminating action of microorganisms, such as bacteria and fungi.
Solutions comprising compounds of the invention as free base or pharmacologically acceptable salts can be prepared in water suitably mixed with a surfactant, such as hydroxypropylcellulose. Dispersions can also be prepared in glycerol, liquid polyethylene glycols, and mixtures thereof and in oils. Under ordinary conditions of storage and use, these preparations contain a preservative to prevent the growth of microorganisms.
The APJ receptor agonist can be formulated into a composition in a neutral or salt form. Pharmaceutically acceptable salts include the acid addition salts (formed with the free amino groups of the protein) and which are formed with inorganic acids such as, for example, hydrochloric or phosphoric acids, or such organic acids as acetic, oxalic, tartaric, mandelic, and the like. Salts formed with the free carboxyl groups can also be derived from inorganic bases such as, for example, sodium, potassium, ammonium, calcium, or ferric hydroxides, and such organic bases as isopropylamine, trimethylamine, histidine, procaine and the like.
The carrier can also be a solvent or dispersion medium containing, for example, water, ethanol, polyol (for example, glycerol, propylene glycol, and liquid polyethylene glycol, and the like), suitable mixtures thereof, and vegetables oils. The proper fluidity can be maintained, for example, by the use of a coating, such as lecithin, by the maintenance of the required particle size in the case of dispersion and by the use of surfactants. The prevention of the action of microorganisms can be brought about by various antibacterial and antifungal agents, for example, parabens, chlorobutanol, phenol, sorbic acid, thimerosal, and the like. In many cases, it will be preferable to include isotonic agents, for example, sugars or sodium chloride. Prolonged absorption of the injectable compositions can be brought about by the use in the compositions of agents delaying absorption, for example, aluminium monostearate and gelatin.
Sterile injectable solutions are prepared by incorporating the active polypeptides in the required amount in the appropriate solvent with several of the other ingredients enumerated above, as required, followed by filtered sterilization. Generally, dispersions are prepared by incorporating the various sterilized active ingredients into a sterile vehicle which contains the basic dispersion medium and the required other ingredients from those enumerated above. In the case of sterile powders for the preparation of sterile injectable solutions, the preferred methods of preparation are vacuum-drying and freeze-drying techniques which yield a powder of the active ingredient plus any additional desired ingredient from a previously sterile- filtered solution thereof.
Upon formulation, solutions will be administered in a manner compatible with the dosage formulation and in such amount as is therapeutically effective. The formulations are easily administered in a variety of dosage forms, such as the type of injectable solutions described above, but drug release capsules and the like can also be employed.
For parenteral administration in an aqueous solution, for example, the solution should be suitably buffered if necessary and the liquid diluent first rendered isotonic with sufficient saline or glucose. These particular aqueous solutions are especially suitable for intravenous, intramuscular, subcutaneous and intraperitoneal administration. In this connection, sterile aqueous media which can be employed will be known to those of skill in the art in light of the present disclosure. Some variation in dosage will necessarily occur depending on the condition of the subject being treated. The person responsible for administration will, in any event, determine the appropriate dose for the individual subject.
In addition to the compounds of the invention formulated for parenteral administration, such as intravenous or intramuscular injection, other pharmaceutically acceptable forms include, e.g. tablets or other solids for oral administration; liposomal formulations; time release capsules; and any other form currently used.
The present invention also relates to the use of an APJ receptor agonist for the preparation of biomaterials or medical delivery devices selected among endovascular prostheses, such as stents, bypass grafts, internal patches around the vascular tube, external patches around the vascular tube, vascular cuff, and angioplasty catheter.
In this respect, the invention relates more particularly to biomaterials or medical delivery devices as mentioned above, coated with such APJ receptor agonist as defined above, said biomaterials or medical devices being selected among endovascular prostheses, such as stents, bypass grafts, internal patches around the vascular tube, external patches around the vascular tube, vascular cuff, and angioplasty catheter. Such a local biomaterial or medical delivery device can be used to reduce stenosis as an adjunct to revascularizing, bypass or grafting procedures performed in any vascular location including coronary arteries, carotid arteries, renal arteries, peripheral arteries, cerebral arteries or any other arterial or venous location, to reduce anastomic stenosis such as in the case of arterial-venous dialysis access with or without polytetrafluoro- ethylene grafting and with or without stenting, or in conjunction with any other heart or transplantation procedures, or congenital vascular interventions.
For illustration purpose, such endovascular prostheses and methods for coating an APJ receptor agonist thereto are more particularly described in WO2005094916, or are those currently used in the art. The compounds used for the coating of the prostheses should preferentially permit a controlled release of said inhibitor. Said compounds could be polymers (such as sutures, polycarbonate, Hydron, and Elvax), biopolymers/biomatrices (such as alginate,fucans, collagen-based matrices, heparan sulfate) or synthetic compounds such as synthetic heparan sulfate-like molecules or combinations thereof. Other xamples of polymeric materials may include biocompatible degradable materials, e. g. lactone-based polyesters orcopolyesters, e. g. polylactide ; polylactide-glycolide ;polycaprolactone- glycolide ; polyortho esters ; polyanhydrides ; polyamino acids ; polysaccharides ;polyphospha- zenes; poly (ether-ester) copolymers, e. g. PEO-PLLA, or mixtures thereof; and biocompatible non- degrading materials, e. g. polydimethylsiloxane ; poly (ethylene-vinylacetate) ; acrylate based polymers or coplymers, e. g. polybutylmethacrylate, poly (hydroxyethyl methyl- methacrylate) ; polyvinyl pyrrolidinone ;fluorinated polymers such as polytetrafluo ethylene ; cellulose esters. When a polymeric matrix is used, it may comprise 2 layers, e. g. a base layer in which said inhibitor is incorporated, such as ethylene-co-vinylacetate and polybutylmethacrylate, and a top coat, such as polybutylmethacrylate, which acts as a diffusion-control of said inhibitor. Alternatively, said inhibitor may be comprised in the base layer and the adjunct may be incorporated in the outlayer, or vice versa.
Such biomaterial or medical delivery device may be biodegradable or may be made of metal or alloy, e. g. Ni and Ti, or another stable substance when intented for permanent use. The inhibitor of the invention may also be entrapped into the metal of the stent or graft body which has been modified to contain micropores or channels. Also internal patches around the vascular tube, external patches around the vascular tube, or vascular cuff made of polymer or other biocompatible materials as disclosed above that contain the inhibitor of the invention may also be used for local delivery.
Said biomaterial or medical delivery device allow the inhibitor releasing from said biomaterial or medical delivery device over time and entering the surrounding tissue. Said releasing may occur during 1 month to 1 year. The local delivery according to the present invention allows for high concentration of the inhibitor of the invention at the disease site with low concentration of circulating compound. The amount of said inhibitor used for such local delivery applications will vary depending on the compounds used, the condition to be treated and the desired effect. For purposes of the invention, a therapeutically effective amount will be administered.
The local administration of said biomaterial or medical delivery device preferably takes place at or near the vascular lesions sites. The administration may be by one or more of the following routes: via catheter or other intravascular delivery system, intranasally, intrabronchially, interperitoneally or eosophagal. Stents are commonly used as a tubular structure left inside the lumen of a duct to relieve an obstruction. They may be inserted into the duct lumen in a non-expanded form and are then expanded autonomously (self-expanding stents) or with the aid of a second device in situ, e. g. a catheter-mounted angioplasty balloon which is inflated within the stenosed vessel or body passageway in order to shear and disrupt the obstructions associated with the wall components of the vessel and to obtain an enlarged lumen.
A further object of the invention relates to a method for screening drugs for the prevention and treatment of thrombosis comprising the steps consisting of testing a plurality of compounds for their ability to be an APJ receptor agonist, and selecting positively the compounds that are APJ receptor agonists.
Methods for determining the agonistic activities of a compound for APJ receptors are described above.
The screening method of the invention may further comprise a step consisting of determining the properties of the selected compounds in various biological assays as described in the example (platelet aggregation, in vivo tail-bleeding assay, thrombus formation in vivo, thrombus formation in vitro, fibrin clot retraction, calcium immobilization...).
The invention will be further illustrated by the following figures and examples. However, these examples and figures should not be interpreted in any way as limiting the scope of the present invention.
FIGURES: Figure la. RT-PCR and western blot analyses from human and mouse platelets.
RT-PCR analysis and immunob lotting analysis revealed that platelets express apelin and its receptor AP J. Figure lb. Apelin-13 induces features of unstable hemostasis in vivo. The role of apelin- 13 in hemostasis was investigated in an in vivo tail-bleeding assay. Bleeding time assays were performed, after injection of PBS, as control (·) or apelin-13 (50 nmol/kg) (o) into the retroorbital plexus of wild-type (WT) mice or apelin-deficient mice (Apelin-/-), by cutting off the tip of the tail (3 mm) and immediately immersing it in saline. The time taken for the bleeding to stop was recorded, and tail bleeding assays were stopped at 600 seconds if the bleeding did not stop. Each symbol represents one individual and statistical significance was determined in 2-tailed Mann- Whitney tests (* P < 0.05).
Figure lc. Apelin-13 delays the thrombus formation in vivo. Mesenteric vessels (venules and arterioles) were injured with FeCl3 (10%). Adhesion and thrombus formation of fluorescently labeled platelets were monitored by in vivo videomicroscopy in WT mice receiving an intravenous injection of PBS or apelin-13 (50 nmol/kg). Representative images of mesenteric arterioles (left) and time to vessel occlusion (right) are shown. Each symbol represents one individual and statistical significance was determined in 2-tailed Mann- Whitney tests (* P < 0.05).
Figure Id. Apelin-13 inhibits thrombus formation in vitro. Whole blood from WT mice, collected in PPACK (80 μΜ), was fluorescently labeled by incubation with Rhodamine6G (10 μg/mL) with or without apeline-13 (10 nM) for 5 minutes, then perfused through fibrillar collagen-coated glass microcapillaries at a shear rate of 1000 s"1. After perfusion, the formation of thrombi was observed under an epifluorescence microscope. Results are expressed as the relative percentage of the mean fluorescence intensity (MFI) of the control (PBS) ± S.E.M. and statistical significance was determined in unpaired Student t test (*** P < 0.001).
Figure 2a. Effect of apelin-13 on platelet aggregation. Aggregation of washed human platelets, monitored by measuring light transmission through stirred suspensions of human platelets (3 x 108/mL), was initiated by adding thrombin (30 mU/mL), collagen (0.4 μg/mL) or ADP (5 μΜ). Platelet aggregation assay reveals impaired aggregation in presence of apelin-13 (10 nM) in response to thrombin and collagen, but not after ADP stimulation. Traces are representative of at least 3 independent experiments.
Figure 2b. Effect of apelin-13 on integrin allbb3 activation of mouse platelets. Integrin allbb3 activation was assessed by flow cytometry of washed mouse platelets activated by the PAR4 agonist peptide (PAR4-AP; 50 μΜ) with or without apelin-13 (10 nM). Mouse platelets were incubated with a PE-labeled rat anti-mouse integrin allbb3 mAb (JON/A) specific for the activated conformation of the mouse integrin and with Oregon- Green488-fibrinogen. The level of activated integrin is indicated by the relative percentage of the mean fluorescence intensity (MFI) of the control (PBS) ± S.E.M. from at least 3 experiments. Statistical significance was determined in unpaired Student t test (* P < 0.05).
Figure 2c. Effect of apelin-13 on alpha-granule secretion of mouse platelets, lpha- granule secretion was determined by flow cytometry evaluation of P-selectin exposure in WT platelets. Platelets were incubated with or without apelin-13 (10 nM) before activation with the PAR4 agonist peptide (PAR4-AP; 50 μΜ), then they were labeled with FITC-rat anti- mouse P-selectin mAb (Wug.E9). Flow cytometry experiments were performed without stirring to prevent platelet aggregation. The levels of P-selectin exposed at the surface are expressed as the relative percentage of the mean fluorescence intensity (MFI) of the control (PBS) ± S.E.M. from at least 3 experiments. Statistical significance was determined in unpaired Student t test (** P < 0.01).
Figure 2d. Effect of apelin-13 on fibrin clot retraction. Washed mouse platelets (3 x 108/mL) in Tyrode's buffer were mixed to fibrinogen (2 mg/mL final) with ou without apelin- 13 (10 nM). Clot retraction was initiated by quickly pipetting down bovine thrombin (0.1 U/mL final) with 1 mM CaCl2 . The reaction was developed at 37°C. Pictures were taken at time intervals using a digital camera. Quantification of retraction was performed by assessment of clot area by use of the NIH Image software. Data were expressed as follows: percentage of retraction = (area to - area t)/area to)x 100. Results are expressed as the percentage of clot retraction ± S.E.M. from at least 3 experiments and statistical significance was determined in unpaired Student t test (** P < 0.01).
Figure 2e. Effect of apelin-13 on the activation of ERKl/2, p38, Akt and AMPK in human platelets. The figure represents the phosphorylation of ERKl/2, p38, Akt and AMPK in washed human platelets pre-incubated with apeline-13 (10 nM), activated by thrombin (30 mU/mL) for 3 minutes, then detected by Western blotting with appropriate antibodies directed against total or phosphorylated form of the protein. The Western blot shown is representative of at least 3 independent experiments.
Figure 2f. Effect of apelin-13 on calcium mobilization EXAMPLE 1: ANTITHROMBOTIC FUNCTION OF APELIN Material and methods:
Methods
The human study protocol was approved by the local ethics committee, and all participants signed an informed consent form. All animal procedures and euthanasia were reviewed by the local animal care committee approved by local government authorities and in accordance with European legislation concerning the use of laboratory animals.
Reagents and antibodies
Fibrillar collagen (equine type I) and adenosine 5 '-diphosphate (ADP) were obtained from Kordia (Leiden, The Netherlands). Apyrase (grade VII), prostaglandin Ei (PGEi), rhodamine 6G, bovine thrombin, ferric chloride, TRI Reagent were obtained from Sigma (St Louis, MO). We purchased d-Phe-Pro-Arg chloromethylketone dihydro chloride (PPACK) from Calbiochem-VWR (Fontenay-sous-Bois, France). The protease-activated receptor (PAR) agonist peptide (PAR4-AP; AYPGKF-NH2), pyroglutamylated apelin-13 _{apelin) and apelin-36 were purchased from Bachem (Weil am Rheim, Germany). [Alal3]apelin-13 (F13A) was purchased from Polypeptide Laboratories (Strasbourg, France). Unprocessed double mutant apelin-36 (apelin-DM) was synthesized by Eurogentec (Angers, France). Oregon Green488-fibrinogen and Fura 2-AM were from Invitrogen (Cergy Pontoise, France). Phycoerythrin (PE)-labelled rat anti-mouse integrin αιη,β3 mAb (JON/ A) and fluorescein isothiocyanate (FITC)-labelled rat anti-mouse CD62P (P-selectin) mAb (Wug.E9) were obtained from Emfret Analytics (Wurzburg, Germany). Rabbit anti-APJ was from Epitomics (Burlingame, CA). Polyclonal antibodies directed against total and phosphorylated p38, ER l/2 and Akt were purchased from Cell Signaling (Danvers, MA). Mouse strains
C57BL/6J wild-type (WT) mice and db/db (leptin-resistant) and ob/ob (leptin- deficient) mice were purchased from Janvier Laboratories (Le Genest-St-Isle, France). Diet Induced Obesity (DIO, 60% lipid) mice were purchased from Charles River (Lyon, France). Apelin-deficient mice (apelin-7-) were generated by homologous recombination of a targeting vector in embryonic stem cells (Genoway, Lyon, France). The targeting strategy for apelin invalidation leads to the deletion of the active peptides (apelin-36, apelin-17, apelin-15, apelin- 13 and apelin- 12) encoded by the exon 2. This strategy is based on the insertion of a FRT-neomycin-FRT-LoxP selection cassette upstream of Apelin exon 2 and a distal LoxP site downstream of Apelin exon 2. After electroporation of the targeting vector into 129Sv ES cells, G418 resistant ES cell clones were screened by PCR and Southern Blot for homologous recombination event. Recombined ES cell clones were thereafter injected into C57BL/6J derived blastocysts to generate chimeric mice. Germline transmission and in vivo deletion of the floxed region (exon 2) were then assessed by breeding of chimeras with Cre-expressing deleter C57BL/6J mice. Constitutive knock-out heterozygous females and hemizygous males were characterized by PCR and Southern Blot.
Preparation of washed platelets
Human platelets. Venous blood was collected from healthy donors or obese patients (body mass index (BMI) > 35 kg/m2) on 10% (v/v) trisodium citrate (3.8%). Written informed consent was obtained from all the donors. Platelet-rich plasma (PRP) was obtained by centrifugation (120g; 15 minutes; 20°C) and platelets were isolated by differential centrifugation. The platelet pellet was resuspended in modified Tyrode-HEPES buffer without CaCl2 (137 mM NaCl, 2 mM KC1, 0.3 mM NaH2P04, 5.5 mM glucose, 5 mM Hepes, 12 mM NaHCOs, pH 7.3).
Mouse platelets. Mice were anesthetized by intraperitoneal injection of sodium pentobarbital (60 mg/kg). Xylocain® (0.5% v/v) was used as a local analgesic. Whole blood was collected by cardiac puncture and mixed with 80 μΜ PPACK and 10% (v/v) ACD-C buffer (124 mM sodium citrate, 130 mM citric acid, 110 mM dextrose, pH 6.5) to prevent coagulation. Platelet-rich plasma (PRP) was obtained by centrifugation the whole blood for 7 minutes at 160g. Platelets were obtained from PRP by centrifugation for 10 minutes at 670g and washed in the presence of apyrase (100 mU/rnL) and PGEi (1 μΜ) to minimize platelet activation, then resuspended in modified Tyrode-HEPES buffer without CaCl2. Reverse transcription-polymerase chain reaction (RT-PCR) analysis
Total cellular RNA was isolated from a minimum of 2x l 09 washed platelets, resuspended in 1 ml of TRIZOL Reagent. 0.1 μg RNA per reaction were used to evaluate apelin and APJ mRNA expression patterns by RT-PCR (Qiagen OneStep; Qiagen, Courtaboeuf, France). For real-time PCR assay, total RNA was subjected to cDNA synthesis using the Superscript first strand cDNA synthesis system (Invitrogen). The relative quantification of specific mRNAs was performed by real-time PCR using the StepOnePlus™ Real-Time PCR System and Power SYBR Green PCR Master Mix (Applied Biosystems) according to the manufacturer's instructions. In brief, the mixture of the reaction consists in 20 total volume of 2 of cDNA, 2x QuantiTect SYBER Green PCR Master Mix and 0.5 μΜ of the forward and reverse primers. PCR reaction was performed at 94°C for 15 seconds and at 60°C for 1 minute during 40 cycles, β-actin mRNA expression was used in each sample as endogenous control. Primers set are listed in Supplementary Table 1. Detection of APJ by immunoblotting
Total protein obtained from washed platelet was measured using a Quant-iT protein assay kit (Invitrogen). Samples were run on 4-12% Bis-Tris gels (Invitrogen), transferred onto nitrocellulose membranes and incubated with a rabbit anti-APJ antibody (dilution of 1 : 100). Membranes were then incubated with peroxidase-conjugated goat anti-rabbit IgG antibody (1 : 1000) and immunoreactive bands were visualized with enhanced chemiluminescence detection reagents (Perbio Science, Brebieres, France).
Detection of ERK1/2, p38 and Akt phosphorylation by immunoblotting
Washed platelets (300 \iL; 3x l 08/mL) were stimulated with thrombin in an aggregometer. After 3 minutes of stimulation, platelets were lysed in denaturing buffer (50 mM Tris, 100 mM NaCl, 50 mM NaF, 5 mM EDTA, 40 mM β-glycerophosphate, 100 μΜ phenylarsine oxide, 1% SDS, 5 μg/mL leupeptin, 10 μg/mL aprotinin, pH 7.4). Proteins were separated by SDS-PAGE and transferred to PVDF membranes. Membranes were incubated with primary antibodies . Immunoreactive bands were visualized with enhanced chemiluminescence detection reagents.
Hematological analysis and bleeding time
Complete blood counts and hematocrit were determined with an automatic cell counter. Bleeding time assays were performed on overnight fasted animals, after injection of PBS, apelin-13, apelin-36, apelin-DM or F13A into the retroorbital plexus, by cutting off the tip of the tail (3 mm from the tip) and immediately immersing it in saline at 37°C. We then recorded the time taken for the bleeding to stop. Tail bleeding was monitored for at least 60 seconds beyond this time point, to ensure that bleeding did not begin again. Tail bleeding assays were stopped at 600 seconds.
Platelet aggregation
Platelet aggregation was monitored by measuring light transmission through the stirred suspension of washed platelets (3xl08/mL) at 37°C in presence of 1 mM CaCl2 using a Chronolog aggregometer (Chrono-log Corporation, USA). When mentioned, platelets were first incubated with apelin-13, apelin-36, apelin-DM or F13A for 3 minutes at 37°C. Platelet aggregation was triggered by adding collagen, thrombin, or ADP. Representative traces for aggregation were obtained from at least three independent experiments. Results are expressed as the percent change in light transmission with respect to the blank (buffer without platelets), set at 100%.
Flow cytometry analysis
Washed platelets (108/mL) were stimulated with a range of agonists, as indicated. After incubation for 10 minutes at 37°C without stirring, platelets were incubated with appropriate fluorophore-conjugated antibodies for 30 minutes at room temperature and directly analyzed on an Epics-XL flow cvtometer (Beckman Coulter).
In vitro thrombus formation under flow conditions
Thrombus formation was evaluated in a whole-blood perfusion assay on a fibrillar collagen matrix under arterial shear conditions (shear rate of 1000 s"1). Glass microcapiUary tubes (Vitrocom Hollow Rectangle capillaries; Fiber Optic Center, New Bedford, MA) were coated with collagen (50 μg/mL; overnight; 4°C). Blood samples were collected in 80 μΜ PPACK, fluorescently labeled with rhodamine 6G (10 μg/mL) and incubated for 5 minutes with PBS or apelin-13. Labeled whole blood was then perfused through the coated glass microcapiUary with a KD Scientific syringe pump (Fisher Bioblock Scientific, Illkirch, France). Real-time thrombus formation was recorded with an inverted epifluorescence microscope (Nikon Eclipse TE2000-U; Champigny sur Marne, France), coupled to Metamorph 7.0rl software (Universal Imaging Corporation). Thrombus formation was determined as the mean fluorescence intensity (MFI). Ferric chloride-induced thrombosis model
Ferric chloride injury was induced in four to five week-old mice, as previously described with slight modifications. To facilitate visualization of thrombus formation, platelets of anesthetized mice were fiuorescently labeled in vivo by injection of rhodamine 6G (3.3 mg/kg) into the retroorbital plexus, and mice received an injection of ape/m-iJ (50 nmol/kg) or PBS. The mesentery was then exteriorized through a middle abdominal incision. Arteriole and adjacent venule were exposed and visualized with an inverted epifluorescent microscope (x 10) (Nikon Eclipse TE2000-U), coupled to Metamorph7.0rl software (Universal Imaging Corporation). Injury was induced by topical deposition on the mesenteric vessels of a filter paper strip (0.5 x 4 mm) which was, before, immersed in ferric chloride solution (10% FeCl3). Platelet deposition and thrombus growth in arterioles and venules were monitored in real-time until complete occlusion occurred. The analyzed parameter was the vessel occlusion time, defined as an arrest of blood flow for at least one minute.
Measurement of intracellular free Ca2+ concentration
Human platelets were loaded with Fura-2 by incubation with 2 μΜ Fura-2-AM for 45 minutes at 37°C. Cells were then collected by centrifugation at 350g for 15 min and resuspended in HEPES- buffered saline (145 mM NaCl, 10 mM HEPES, 10 mM D-glucose, 5 mM KCl, 1 mM MgS04, pH 7.4), and supplemented with 0.1% (w/v) BSA. Fluorescence was recorded from 2 mL aliquots of magnetically stirred cell suspensions at 37°C using a fluorescence spectrophotometer (Varian Ltd., Madrid, Spain) with excitation wavelengths of 340 and 380 nm and emission at 505 nm. Changes in [Ca2+]i were monitored using the Fura-2 340/380 fluorescence ratio. Ca2+ release by thrombin was estimated using the integral of the rise in [Ca2+]i for 2.5 minutes after its addition, taking a sample every second, and was expressed in nM.
Statistical analysis
Statistical significance was evaluated with Student's t tests, two-tailed Mann- Whitney U-tests or 1-way ANOVA followed by Tukey or Dunnett's test as indicated, using GraphPad Prism (San Diego, CA).
Results: During the last decades, the prevalence of obesity has dramatically increased in western and emergent countries. The excess in adipose tissue mass was found to induce various pathophysiological processes responsible for the development of atherosclerosis including inflammation, insulin resistance, hypertension, and dyslipidemia. In addition to these obesity-associated metabolic disturbances, the prothrombotic state was found to contribute actively to higher vascular risk. Indeed, as compared to healthy lean subjects; in obese various studies revealed that the risk for arterial and venous thrombosis is 1.5- to 2.5 fold higher. To date, several molecules were identified to be directly involved in insulin resistance, metabolic or cardiovascular complications and their expression is altered during obesity or metabolic syndrome such as adiponectin. The latter was also revealed to inhibit platelet aggregation that illustrates the pleiotropic mechanisms by which an adipokine could exert protective cardiovascular actions. In this current study, we revealed the importance of apelin, another adipokine in the regulation of platelet aggregation and demonstrated the expression of its functional receptor (APJ), a G-protein-coupled receptor in platelets in normal and obese subjects. Apelin is synthesized and secreted by different tissues and cell types, including vascular endothelium and adipose tissue cleaved from the N-terminus of the 77-residue precursor to generate isoforms with various lengths. There is compelling evidence that apelin exerts multiple physiological effects in the cardiovascular system, fluid homeostasis, and adipoinsular axis. Moreover, apelin has beneficial actions in several diseases, including heart failure, atherosclerosis, type 2 diabetes, and obesity.
So far, there is no investigation that confers an antithrombotic role for apelin. Using mRNAs derived from human and mouse platelets, RT-PCR analysis revealed that these cells express apelin and its receptor APJ. At the protein levels, immunoblotting analysis confirmed the expression of both apelin and APJ proteins in platelets (Fig. lb). To investigate whether apelin/ APJ system may be involved in platelet function, we first examined the effect of exogenous apelin on vivo platelets function through tail-bleeding assay. We found, as compared to PBS, that intravenous injection of apelin induced a significant hemostatic defect. As illustrated Fig. lb, 52% of mice receiving intravenous injection of apelin bled for longer than 10 min and only 9 % of mice were found to continue bleeding beyond 10 min. To confirm this hemostatic function of apelin, we analyzed the effect of apelin on platelet function in apelin-deficient mice (Fig. lb). As compared to WT mice, basal bleeding time seemed to be reduced in apelin-/- mice. Injection of apelin in these mice markedly increased the bleeding time. Systemic inoculation of apelin in mice did not alter platelet count or hemostatic parameters. Using a ferric chloride-induced thrombosis model (Fig. lc), we found that injection of PBS in WT mice induced an occlusion time of venules within a 24-39 min range (mean occlusion time: 31.7 ± 5.7 min) and of arterioles within a 17-33 min range (mean occlusion time: 23.5 ± 5.5 min). In contrast, within the time lag of our experimental conditions, apelin largely prevented a complete vessel occlusion, due to the presence of instable thrombi. The ability of apelin to inhibit thrombus formation was confirmed in a whole-blood perfusion assay over a fibrillar collagen matrix at an arterial shear rate of 1000 s"1 (Fig. Id). After 1 min of perfusion, control platelets adhered to collagen matrix and rapidly built stable platelet aggregates. In contrast, apelin decreased the size of thrombi (59 ± 13 % of the control fluorescence value). Similar observations were obtained with apelin-deficient mice in vivo and in vitro. These results provided strong evidence that apelin has an impact on hemostasis and thrombus formation in vitro and in vivo.
To investigate the effect of apelin on platelet aggregation induced by several agents, human platelets were incubated with 100 pM apelin in the absence and presence of these agonists. As shown in Fig. 2a platelets aggregation induced by thrombin or collagen is impaired by up to 40 % and 50% respectively. In contrast, no effect of apelin was observed during ADP-induced platelets aggregation, suggesting that apelin may act on platelets aggregation independently of ADP receptor activation. Accordingly, platelet aggregation assays performed in presence of ADP/ ATP scavenger apyrase, revealed that apelin was able to inhibit collagen- induced platelet aggregation under these conditions.
Our findings show that apelin acts as a platelet antiaggregant that prevents thrombus formation in vitro and in vivo.
REFERENCES:
Throughout this application, various references describe the state of the art to which this invention pertains. The disclosures of these references are hereby incorporated by reference into the present disclosure.

Claims

CLAIMS:
An APJ receptor agonist for use in an anti-aggregant platelet treatment in a subject in need thereof.
The APJ receptor agonist for use according to claim 1 subject is afflicted with an ischemic condition or is at risk of having an ischemic condition.
PCT/EP2012/0695732011-10-052012-10-04Methods and pharmaceutical composition for inhibiting or preventing platelet aggregationWO2013050441A1 (en)

Applications Claiming Priority (2)

Application NumberPriority DateFiling DateTitle
EP11306287.12011-10-05
EP113062872011-10-05

Publications (1)

Publication NumberPublication Date
WO2013050441A1true WO2013050441A1 (en)2013-04-11

Family

ID=47018177

Family Applications (1)

Application NumberTitlePriority DateFiling Date
PCT/EP2012/069573WO2013050441A1 (en)2011-10-052012-10-04Methods and pharmaceutical composition for inhibiting or preventing platelet aggregation

Country Status (1)

CountryLink
WO (1)WO2013050441A1 (en)

Cited By (1)

* Cited by examiner, † Cited by third party
Publication numberPriority datePublication dateAssigneeTitle
WO2015054662A1 (en)*2013-10-102015-04-16Eastern Virginia Medical School4-((2-hydroxy-3-methoxybenzyl)amino) benzenesulfonamide derivatives as 12-lipoxygenase inhibitors

Citations (21)

* Cited by examiner, † Cited by third party
Publication numberPriority datePublication dateAssigneeTitle
US4816567A (en)1983-04-081989-03-28Genentech, Inc.Recombinant immunoglobin preparations
EP0367566A1 (en)1988-10-311990-05-09Immunex CorporationInterleukin-4 receptors
WO1990007861A1 (en)1988-12-281990-07-26Protein Design Labs, Inc.CHIMERIC IMMUNOGLOBULINS SPECIFIC FOR p55 TAC PROTEIN OF THE IL-2 RECEPTOR
WO1991018982A1 (en)1990-06-051991-12-12Immunex CorporationType ii interleukin-1 receptors
US5225539A (en)1986-03-271993-07-06Medical Research CouncilRecombinant altered antibodies and methods of making altered antibodies
US5229275A (en)1990-04-261993-07-20Akzo N.V.In-vitro method for producing antigen-specific human monoclonal antibodies
US5545807A (en)1988-10-121996-08-13The Babraham InstituteProduction of antibodies from transgenic animals
US5545806A (en)1990-08-291996-08-13Genpharm International, Inc.Ransgenic non-human animals for producing heterologous antibodies
US5565332A (en)1991-09-231996-10-15Medical Research CouncilProduction of chimeric antibodies - a combinatorial approach
US5567610A (en)1986-09-041996-10-22Bioinvent International AbMethod of producing human monoclonal antibodies and kit therefor
US5573905A (en)1992-03-301996-11-12The Scripps Research InstituteEncoded combinatorial chemical libraries
US5585089A (en)1988-12-281996-12-17Protein Design Labs, Inc.Humanized immunoglobulins
US5591669A (en)1988-12-051997-01-07Genpharm International, Inc.Transgenic mice depleted in a mature lymphocytic cell-type
US5598369A (en)1994-06-281997-01-28Advanced Micro Devices, Inc.Flash EEPROM array with floating substrate erase operation
US5859205A (en)1989-12-211999-01-12Celltech LimitedHumanised antibodies
US6150584A (en)1990-01-122000-11-21Abgenix, Inc.Human antibodies derived from immunized xenomice
US6492324B1 (en)1997-12-242002-12-10Takeda Chemical Industries, Ltd.APJ ligand polypeptides
US20050112701A1 (en)2003-09-112005-05-26Aventis Pharma Deutschland GmbhTest system for the identification of APJ receptor ligands
WO2005094916A1 (en)2004-04-022005-10-13Novartis Ag.Vegf receptor tyrosine kinase inhibitor coated stent
EP1903005A1 (en)2006-09-222008-03-26UmicoreProduction of Si by reduction of SiCI4 with liquid Zn, and purification process
US7635751B2 (en)2000-03-232009-12-22Takada Pharmaceutical Company LimitedPeptides having ligand activities on APJ that is an orphan G protein-coupled receptor, and use thereof

Patent Citations (23)

* Cited by examiner, † Cited by third party
Publication numberPriority datePublication dateAssigneeTitle
US4816567A (en)1983-04-081989-03-28Genentech, Inc.Recombinant immunoglobin preparations
US5225539A (en)1986-03-271993-07-06Medical Research CouncilRecombinant altered antibodies and methods of making altered antibodies
US5567610A (en)1986-09-041996-10-22Bioinvent International AbMethod of producing human monoclonal antibodies and kit therefor
US5545807A (en)1988-10-121996-08-13The Babraham InstituteProduction of antibodies from transgenic animals
EP0367566A1 (en)1988-10-311990-05-09Immunex CorporationInterleukin-4 receptors
US5591669A (en)1988-12-051997-01-07Genpharm International, Inc.Transgenic mice depleted in a mature lymphocytic cell-type
WO1990007861A1 (en)1988-12-281990-07-26Protein Design Labs, Inc.CHIMERIC IMMUNOGLOBULINS SPECIFIC FOR p55 TAC PROTEIN OF THE IL-2 RECEPTOR
US5693761A (en)1988-12-281997-12-02Protein Design Labs, Inc.Polynucleotides encoding improved humanized immunoglobulins
US5693762A (en)1988-12-281997-12-02Protein Design Labs, Inc.Humanized immunoglobulins
US5585089A (en)1988-12-281996-12-17Protein Design Labs, Inc.Humanized immunoglobulins
US5859205A (en)1989-12-211999-01-12Celltech LimitedHumanised antibodies
US6150584A (en)1990-01-122000-11-21Abgenix, Inc.Human antibodies derived from immunized xenomice
US5229275A (en)1990-04-261993-07-20Akzo N.V.In-vitro method for producing antigen-specific human monoclonal antibodies
WO1991018982A1 (en)1990-06-051991-12-12Immunex CorporationType ii interleukin-1 receptors
US5545806A (en)1990-08-291996-08-13Genpharm International, Inc.Ransgenic non-human animals for producing heterologous antibodies
US5565332A (en)1991-09-231996-10-15Medical Research CouncilProduction of chimeric antibodies - a combinatorial approach
US5573905A (en)1992-03-301996-11-12The Scripps Research InstituteEncoded combinatorial chemical libraries
US5598369A (en)1994-06-281997-01-28Advanced Micro Devices, Inc.Flash EEPROM array with floating substrate erase operation
US6492324B1 (en)1997-12-242002-12-10Takeda Chemical Industries, Ltd.APJ ligand polypeptides
US7635751B2 (en)2000-03-232009-12-22Takada Pharmaceutical Company LimitedPeptides having ligand activities on APJ that is an orphan G protein-coupled receptor, and use thereof
US20050112701A1 (en)2003-09-112005-05-26Aventis Pharma Deutschland GmbhTest system for the identification of APJ receptor ligands
WO2005094916A1 (en)2004-04-022005-10-13Novartis Ag.Vegf receptor tyrosine kinase inhibitor coated stent
EP1903005A1 (en)2006-09-222008-03-26UmicoreProduction of Si by reduction of SiCI4 with liquid Zn, and purification process

Non-Patent Citations (13)

* Cited by examiner, † Cited by third party
Title
BIOCHEM BIOPHYS RES COMMUN., vol. 251, no. 2, October 1998 (1998-10-01), pages 471 - 6
BRUNO M. FEVE ET AL: "Antithrombotic Function of Apelin is Preserved During Obesity", 11 June 2012 (2012-06-11), XP002689074, Retrieved from the Internet <URL:http://www.abstractsonline.com/Plan/ViewAbstract.aspx?mID=2936&sKey=465c09cc-e66a-403c-a619-0f648526bd73&cKey=280731a5-7bb7-4916-9f69-fa0f27b4990c&mKey={0F70410F-8DF3-49F5-A63D-3165359F5371}> [retrieved on 20121212]*
CLARK, W. R.: "The Experimental Foundations of Modern Immunology", 1986, WILEY & SONS, INC.
CODING: "Biochemistry and Immunology", 1996, ACADEMIC PRESS, article "Monoclonal Antibodies: Principles and Practice: Production and Application of Monoclonal Antibodies in Cell Biology"
FENG J H ET AL: "Hemodynamic effect of apelin in a canine model of acute pulmonary thromboembolism", PEPTIDES, ELSEVIER, AMSTERDAM, vol. 31, no. 9, 1 September 2010 (2010-09-01), pages 1772 - 1778, XP027205304, ISSN: 0196-9781, [retrieved on 20100616]*
ITURRIOZ X; ALVEAR-PEREZ R; DE MOTA N; FRANCHET C; GUILLIER F; LEROUX V; DABIRE H; LE JOUAN M; CHABANE H; GERBIER R: "Identification and pharmacological properties of E339-3D6, the first nonpeptidic apelin receptor agonist", FASEB J., vol. 24, no. 5, 29 December 2009 (2009-12-29), pages 1506 - 17
ITURRIOZ X; ALVEAR-PEREZ R; DE MOTA N; FRANCHET C; GUILLIER F; LEROUX V; DABIRE H; LE JOUAN M; CHABANE H; GERBIER R: "Identification and pharmacological properties of E339-3D6, the first nonpeptidic apelin receptor agonist", FASEB J., vol. 24, no. 5, May 2010 (2010-05-01), pages 1506 - 17
LEE DK; SALDIVIA VR; NGUYEN T; CHENG R; GEORGE SR; O'DOWD BF: "Modification of the terminal residue of apelin-13 antagonizes its hypotensive action", ENDOCRINOLOGY, vol. 146, no. 1, January 2005 (2005-01-01), pages 231 - 6, XP002741939, DOI: doi:10.1210/en.2004-0359
O'DOWD ET AL., GENE, vol. 136, 1993, pages 355360
ROITT, 1.: "Essential Immunology", 1991, BLACKWELL SCIENTIFIC PUBLICATIONS
TATEMOTO K; HOSOYA M; HABATA Y; FUJII R; KAKEGAWA T; ZOU MX; KAWAMATA Y; FUKUSUMI S; HINUMA S; KITADA C: "Isolation and characterization of a novel endogenous peptide ligand for the human APJ receptor", BIOCHEM BIOPHYS RES COMMUN., vol. 251, no. 2, October 1998 (1998-10-01), pages 471 - 6, XP002101895, DOI: doi:10.1006/bbrc.1998.9489
WU ET AL., MOL. BIOL., vol. 294, 1999, pages 151
ZENG X J ET AL: "Apelin protects heart against ischemia/reperfusion injury in rat", PEPTIDES, ELSEVIER, AMSTERDAM, vol. 30, no. 6, 1 June 2009 (2009-06-01), pages 1144 - 1152, XP026127103, ISSN: 0196-9781, [retrieved on 20090224], DOI: 10.1016/J.PEPTIDES.2009.02.010*

Cited By (4)

* Cited by examiner, † Cited by third party
Publication numberPriority datePublication dateAssigneeTitle
WO2015054662A1 (en)*2013-10-102015-04-16Eastern Virginia Medical School4-((2-hydroxy-3-methoxybenzyl)amino) benzenesulfonamide derivatives as 12-lipoxygenase inhibitors
US10266488B2 (en)2013-10-102019-04-23Eastern Virginia Medical School4-((2-hydroxy-3-methoxybenzyl)amino)benzenesulfonamide derivatives as potent and selective inhibitors of 12-lipoxygenase
US10752581B2 (en)2013-10-102020-08-25Eastern Virginia Medical School4-((2-hydroxy-3-methoxybenzyl)amino)benzenesulfonamide derivatives as potent and selective inhibitors of 12-lipoxygenase
US11274077B2 (en)2013-10-102022-03-15Eastern Virginia Medical School4-((2-hydroxy-3-methoxybenzyl)amino)benzenesulfonamide derivatives as potent and selective inhibitors of 12-lipoxygenase

Similar Documents

PublicationPublication DateTitle
JP2022110159A (en) Methods for inhibiting angiogenesis in a subject in need of inhibition of angiogenesis
US11649292B2 (en)Compositions and methods for treating and preventing inflammation
US9708397B2 (en)Treatment of vasculoproliferative conditions with Lrg1 antagonists
US8664362B2 (en)Humanized and chimeric anti-properdin antibodies
JP6437462B2 (en) Inhibition of SEMA3A in prevention and treatment of increased intraocular permeability
CN111588855A (en)Methods for treating conditions associated with MASP-2 dependent complement activation
US20170313751A1 (en)Methods and Pharmaceutical Composition for the Preservation of Vascular Endothelial Cell Barrier Integrity
US9926562B2 (en)Methods for preventing and treating chronic kidney disease (CKD)
AU2011224224B2 (en)Humanized and chimeric anti-properdin antibodies
AU2007306058B2 (en)Therapy targeting cathepsin S
ES2924393T3 (en) Antibodies for the prevention or treatment of bleeding episodes
WO2013050441A1 (en)Methods and pharmaceutical composition for inhibiting or preventing platelet aggregation
AU2011217785B2 (en)Epithelial membrane protein 2 (EMP2) binding reagents and their therapeutic uses in ocular diseases
US20180298104A1 (en)Methods and pharmaceutical compositions for the treatment of th17 mediated diseases
US9463217B1 (en)Methods and pharmaceutical compositions for treatment of retinal occlusion
WO2012110843A1 (en)Methods and pharmaceutical compositions for promoting fibrinolysis and thrombolysis
US20220325001A1 (en)Treating non-alcoholic steatohepatitis (nash) and hepatocellular carcinoma (hcc) with compounds binding the ectodomain of platelet glycoprotein ib (gpib) alpha
TW202348799A (en)Methods for treating sickle cell disease or beta thalassemia using complement alternative pathway inhibitors
CA3126727A1 (en)Psmp antagonists for use in treatment of fibrotic disease of the lung, kidney or liver
HK1238571A1 (en)Compositions and methods for treating and preventing inflammation
HK1238571B (en)Compositions and methods for treating and preventing inflammation

Legal Events

DateCodeTitleDescription
121Ep: the epo has been informed by wipo that ep was designated in this application

Ref document number:12772284

Country of ref document:EP

Kind code of ref document:A1

NENPNon-entry into the national phase

Ref country code:DE

122Ep: pct application non-entry in european phase

Ref document number:12772284

Country of ref document:EP

Kind code of ref document:A1


[8]ページ先頭

©2009-2025 Movatter.jp