Movatterモバイル変換


[0]ホーム

URL:


WO2013049688A2 - Mems-based optical image stabilization - Google Patents

Mems-based optical image stabilization
Download PDF

Info

Publication number
WO2013049688A2
WO2013049688A2PCT/US2012/058082US2012058082WWO2013049688A2WO 2013049688 A2WO2013049688 A2WO 2013049688A2US 2012058082 WUS2012058082 WUS 2012058082WWO 2013049688 A2WO2013049688 A2WO 2013049688A2
Authority
WO
WIPO (PCT)
Prior art keywords
camera
actuators
lens
tangential
motion
Prior art date
Application number
PCT/US2012/058082
Other languages
French (fr)
Other versions
WO2013049688A3 (en
Inventor
Roman C. Gutierrez
Robert J. Calvet
Xiaolei Liu
Pat K. Leang
Jose A. Mendez
Corneliu Zaharia
Alexandru F. DRIMBAREAN
Petronel Gheorghe BIGIOI
Original Assignee
DigitalOptics Corporation MEMS
Priority date (The priority date is an assumption and is not a legal conclusion. Google has not performed a legal analysis and makes no representation as to the accuracy of the date listed.)
Filing date
Publication date
Priority claimed from US13/247,906external-prioritypatent/US8855476B2/en
Priority claimed from US13/247,895external-prioritypatent/US9019390B2/en
Application filed by DigitalOptics Corporation MEMSfiledCriticalDigitalOptics Corporation MEMS
Priority to CN201610905935.3ApriorityCriticalpatent/CN106569310B/en
Priority to CN201280047680.1Aprioritypatent/CN103842875B/en
Publication of WO2013049688A2publicationCriticalpatent/WO2013049688A2/en
Publication of WO2013049688A3publicationCriticalpatent/WO2013049688A3/en

Links

Classifications

Definitions

Landscapes

Abstract

In one example, a camera is provided that includes: a plurality of MEMS electrostatic comb actuators, each actuator operable to exert a force on at least one lens; and an optical image stabilization (OIS) algorithm module operable to command the plurality of actuators to actuate the at least one lens responsive to motion of the camera.

Description

MEMS-BASED OPTICAL IMAGE STABILIZATION
Related Applications
This application claims priority to U.S. Application No. 13/247,906, filed September 28, 2011 and to U.S. Application No. 13/247,895, filed September 28, 2011. The contents of these applications are incorporated herein in their entirety.
Technical Field
This disclosure relates, in general, to optical devices, and more particularly, to a MEMS- based image stabilization system.
Background
The explosive growth of cell phone cameras with features such as zoom, auto focus, and high resolution has threatened to make the point-and-shoot digital camera obsolete. But as such miniature cameras migrate to ever higher megapixel density and zoom capabilities, the resulting image quality suffers from shaky human hands. Indeed, it is physically impossible for a human user to hold a camera still even when consciously trying in that human hands have a natural tremor that peaks in the range of 7 to 11 Hz. This roughly 10 Hz shaking of the camera will have more and more effect on the image quality depending upon the exposure time and also the angular field-of-view for each image pixel. The increase of pixel density in cell phone cameras introduces more and more image blur from camera jitter as a result.
Thus, MEMS-based motion sensors for digital cameras has been developed to address the image degradation that results from human hand tremor. For example, MEMS-based gyroscopes may be used to sense camera motion. In response to the sensed motion, an image stabilization system attempts to move the lens or the image sensor to minimize or eliminate the resulting motion-induced blurring of the image. However, the resulting actuation is performed using conventional actuators.
Accordingly, there is a need in the art for MEMS-based image stabilization systems.
Summary
In accordance with a first aspect of the disclosure, a camera is provided that includes: a plurality of electrostatic actuators; and an optical image stabilization (OIS) algorithm module operable to command the plurality of actuators to actuate the at least one lens responsive to motion of the camera. In accordance with a second aspect of the disclosure, a method of image stabilization is provided that includes: sensing a motion of a camera; based upon the sensed motion, determining a desired lens actuation that stabilizes a camera lens; translating the desired lens actuation into desired tangential actuations; and tangentially actuating the at least one lens using a plurality of tangential actuators according to the desired tangential actuations.
In accordance with a third aspect of the disclosure, an actuator device, comprising:
a stage resiliently supported for movement within a plane; three or more actuators, each coupled to an outer periphery of the stage and operable to apply a force acting in the plane and
tangentially to the stage when actuated; and, an outer frame surrounding and supporting the stage and the actuators.
A better understanding of the above and many other features and advantages of the novel actuator devices of the present disclosure and the several methods of their use can be obtained from a consideration of the detailed description of some example embodiments thereof below, particularly if such consideration is made in conjunction with the appended drawings, wherein like reference numerals are used to identify like elements illustrated in one or more of the figures thereof.
Brief Description of the Drawings
Fig. 1 is a plan view of an example image stabilization device that utilizes tangential actuation;
Figs. 2 A - 2F are vector diagrams illustrating the use of the example image stabilization device of Fig. 1 to effect in-plane translational and rotational movement of an optical element;
Fig. 3 is a perspective view of an actuator in the device of Fig. 1;
Fig. 4A is a partial plan view of the interdigitated fingers for a comb in the actuator of Fig. 3, showing the fingers before the actuator is deployed for operational use;
Fig. 4B is a partial plan view of the interdigitated fingers for a comb in the actuator of Fig.
3, showing the fingers after the actuator has been deployed;
Fig. 4C is a partial plan view of the interdigitated fingers for a comb in the actuator of Fig 3, after the comb has been biased to an operating position;
Fig. 5 is a plan view of an actuator latch of Figure 3, showing various stages in its engagement with the actuator lever;
Figs. 6 A - 6C are vector diagrams illustrating in-plane rotational movement of a stage of the device of Fig. 1 between a "parked" state and an "operating" state;
Fig. 6D is a plan view of the stage in the parked state;
Fig. 6E is a plan view of the stage in the operating state; Fig. 6F is a close-up view of the locked stage arm of Figure 6D.
Fig. 6G is a close-up view of the unlocked stage arm of Figure 6E.
Fig. 7 is a block diagram of an image stabilization system using tangential actuators; Fig. 8 is a block diagram of an embodiment of the system of Fig. 7 in which the optical image stabilization algorithm is implemented in a driver integrated circuit;
Fig. 9 illustrates more details for the driver integrated circuit of Fig. 8;
Fig. 10 is a flowchart for the image stabilization process performed by the system of Figs. 8 and 9;
Fig. 11 is a block diagram of an embodiment of the system of Fig. 7 in which the optical image stabilization algorithm is implemented in an image processor integrated circuit;
Fig. 12 illustrates more details for the driver and image processor integrated circuits of Fig. 11 ; and
Fig. 13 is a flowchart for the image stabilization process performed by the system of Figs. 11 and 12.
Detailed Description
Electrostatic MEMS-based lens actuation is exploited to provide an efficient image stabilization system. In one embodiment, as few as three actuators may be disposed about an optical element such as a lens to effect image stabilization by exploiting tangential actuation. Turning now to the drawings, an image stabilization fixture 100 includes an a central aperture 105 defined by a circular mounting stage 110 for receiving an optical element such as a lens or group of lenses (not illustrated). Three actuators, designated as an actuator 1, an actuator 2, and an actuator 3, are symmetrically disposed about aperture 105. Each actuator actuates stage 110 in a tangential fashion. In other words, a linear displacement 120 introduced by each actuator defines a vector direction that is tangential to a circle enclosing an aperture center 118. For example, linear displacements 120 are tangential to the circle defined by mounting stage 110.
The resulting tangential actuation is better understood with regard to a Cartesian coordinate system defined at center 118 of aperture 105. Stage 110 and actuators 1, 2, and 3 lie in a plane defined by the x and y directions. A z direction projects normally from the plane at center 118. As used herein, a tangential displacement is said to be positive for each actuator as indicated by directions 1 15. Each actuator is thus capable of a positive and a negative displacement in that regard. As seen in Figure 2A, if actuators 1, 2, and 3 each introduce an equal displacement, with actuators 1 and 2 being tangentially negative and actuator 3 being tangentially positive, the resulting tangential actuation of stage 110 is in the positive x direction. Conversely, if all the actuators 1 and 2 are positive while actuator 3 is equally negative, the resulting tangential actuation of stage 110 is in the negative x direction as shown in Figure 2C. Alternatively, if actuator 3 is left neutral, actuator 1 actuates negatively a given amount, and actuator 2 actuates positively in the same amount, the net actuation of stage 110 is in the positive y direction as shown in Figure 2B. Conversely, if actuator 3 is left neutral but the positive and negative displacements switched for actuators 1 and 2 switched as shown in Figure 2D, the net actuation of stage 110 is in the negative y direction. In this fashion, tangential actuation can effect any desired amount of x and y displacement for stage 110 within the travel limits of the actuators.
Tangential actuation can also introduce a rotation of stage 110 about the z axis. For example, if actuators 1, 2 and 3 each introduce an equal amount of negative displacements, the net actuation of stage 110 is a clockwise rotation (negative Θ) in Figure 2E. Conversely, if the actuations of Figure 2E are all reversed as shown in Figure 2Fm such that all tangential actuations are positive, the net actuation of stage 110 is a counter-clockwise z axis rotation (positive Θ). In this fashion, stage 110 may be both translated as desired in the x and y plane as well as rotated in the Θ direction.
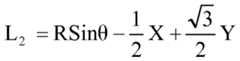
The tangential displacement introduced by each actuator 1 through 3 may be represented in a local coordinate system. For example, the x-directed tangential displacement for actuator 3 may be designated as displacement in the L3 direction with the same positive convention as represented by direction 115 of Figure 1. Similarly, the tangential displacements for actuators 1 and 2 may be represented by local linear coordinates Li and L2, respectively. The displacement in dimension Li from actuator 1, the displacement in L2 from actuator 2, and the displacement in L3 from actuator 3 may all be related to the translation in the x and y dimensions for stage 110 as well as a rotation in Θ for stage 110 depending upon the radial distance R from center 118 to the effective tangential actuation point for each actuator. In that regard, it may be shown that a coordinate transformation is as follows:
1
L, = RSin9— X +— S Y
1 2 2
Figure imgf000006_0001
L3 = RSin# + X
The above coordinate transformations assume that the lens neutral position is at the origin but may be modified accordingly if the neutral position is displaced from the origin. Using these coordinate transformations, a detected translation in the x,y plane or rotation of stage 110 resulting from jitter or other unintended physical disturbance of the camera may be addressed through a corresponding tangential actuation.
Any suitable actuator may be used to construct actuators 1, 2, and 3 such as a comb actuator or a gap-closing actuator. A biased comb actuator offers attractive travel characteristics such as +/- 50 microns and may be implemented such as discussed in commonly-assigned U.S. Application No. 12/946,670 (the '670 application), filed November 15, 2010, the contents of which are incorporated by reference. In such an embodiment, each actuator has a fixed portion 121 and a moveable portion 122. In image stabilization device 100 of Figure 1, fixed portion 121 integrates with an outer frame 125 and includes a plurality of fixed comb supports 112 that extend radially towards moveable portion 122. Similarly, moveable portion 122 includes a plurality of comb supports 113 that extend radially toward fixed portion 121. Comb supports 112 and 113 alternate with each other to support a plurality of combs 114. For illustration clarity, combs 114 are not shown in Figure 1 but instead are shown in a closeup view in Figure 4 A through 4C.
As seen in more detail in Figure 3, each actuator 1 through 3 drives stage 110 through a corresponding flexure 106. To allow movement from opposing actuators, each flexure 106 may be relatively flexible in the radial direction while being relatively stiff in the tangential direction (corresponding to linear displacements 120 of Figure 1). For example, flexure 106 may comprise a V-shaped folded flexure having a longitudinal axis aligned in the tangential direction. Such a V-shaped flexure permits a radial flexing yet is relatively stiff with regard to displacements 120. In this fashion, a "pseudo-kinematic" placement for stage 110 is achieved that precisely locates center 118 in a rest state yet achieves the desired x-y plane translation and Θ rotation during image stabilization.
Manufacture of combs 114 using a MEMS process yet achieving a biased deployed state for actuators 1 through 3 may be accomplished using a linear deployment such as discussed in the '670 application. As seen in the closeup view of Figure 4A, the interdigitated fingers making up each comb 114 may be manufactured in a fully interdigitated state. In other words, the fingers for comb 114 are initially disposed such that the associated fixed and moveable comb supports 112 and 113 are spaced apart by approximately the length of the fingers in comb 114.
Accordingly, the application of a voltage differential across comb 114 in the un-deployed state of Figure 4A would not result in any in-plane rectilinear movement of stage 110 relative to frame 125, and hence, any corresponding X, Y or Θ movement of a lens coupled to the former. To allow room for actuation, each comb 114 should be spread apart and deployed as shown in Figure 4B. As illustrated in Fig. 4B, in one embodiment, this deployment can be effected by moving the comb support 113 (and hence, movable portion 122 of Figure 1) in the direction of an arrow 400 to a deployed position that is coplanar with, parallel to and spaced at a selected distance apart from the associated fixed comb support 112, and then fixing moveable portion 122 in the deployed position for substantially coplanar, rectilinear movement with regard to fixed portion 121. As illustrated in Fig. 4C, when thus deployed, the application and removal of a suitable voltage differential across comb 114 will result in a substantially rectilinear and coplanar movement of the resiliently supported moveable portion 122 toward and away from fixed portion 121 as indicated by a double-headed arrow 402, and hence, a corresponding X, Y and/or ΘΖ movement of an element coupled to stage 110.
There are several different methods and apparatus for deploying moveable portion 122 to the deployed position as well as for locking or fixing it in the deployed position. For example, as seen in Figure 3 a deployment method involves a coplanar over-center latch 300 and a fulcrum 304 on frame 125. Latch 302 is coupled to frame 125 with a latch flexure 306. A coplanar deployment lever 308 is coupled to moveable portion 122 through a deployment fiexure 310. Deployment lever 308 has a cam surface 312 that is configured to engage with latch
300. In addition, lever 308 has a notch for engaging with fulcrum 304 for rotational movement of the lever with regard to fulcrum 304.
In an example deployment, an acceleration pulse is applied to moveable portion 122 in the direction of an arrow 314 while holding the frame 125 static as shown in Figure 3. This pulse causes deployment lever 308 to rotate about fulcrum 304 towards latch 300. The rotation of the deployment lever 308 about the fulcrum 304 causes cam surface 312 to engage latch 300 as seen in Fig. 5. Initially, lever 308 is in an un-deployed position 501 but begins to rotate into intermediate position 502 such that cam surface 312 biases latch 300 and stretches latch fiexure 306. Deployment flexure 310 is shown mostly cutaway for illustration clarity. Continued rotation of lever 308 allows latch flexure 306 to pull latch 300 back down to latch lever 308 into a latched position 503. To produce the acceleration pulse that rotates lever 308 and displaces moveable portion 122, a small needle or another MEMS device may be inserted into a pull ring 315 (Figure 3) and actuated accordingly. In an alternative embodiment, moveable portion 122 may be deployed using capillary action such as described in commonly-assigned U.S.
Application No. 12/946,657, filed November 15, 2010, the contents of which are incorporated by reference. Similarly, alternative deployment and latching structures and methods are described in the '670 application. The deployment and latching may result in combs 114 being relatively fully opened as shown in Figure 4B. In such a position, combs 114 can effectively only be contracted as opposed to being expanded. In that regard, both a contraction and an expansion is desirable to get both positive and negative tangential movements as discussed above with regard to actuators 1, 2, and 3. A default state during image stabilization may thus involve some degree of voltage being applied across combs 114 to achieve the intermediate interdigitation as shown in Figure 4C. In this fashion, should the comb voltage be lowered below the default operating voltage level of Figure 4C, comb 114 will expand. Conversely, should the comb voltage be increased with regard to the default operating level, comb 114 will contract. In this manner, both positive and negative actuation may be applied by actuators 1, 2, and 3 as indicated by arrow 405.
Prior to application of the default voltage across combs 114, the actuators may be in a "beginning-of travel," "power-off or "parked" state. In the parked state, image stabilization in inoperative but center 118 is unaffected. As discussed with regard to Figure 2F, an appropriate displacement for each of actuators 1, 2, and 3 produces a positive rotation in Θ but no x-y plane translation. Such a displacement at each comb 114 is thus sufficient to go from the deployed but inactive state shown in Figure 4b to the default operating state of Figure 4C. Figure 6 A shows the rotation from actuators 1, 2, and 3 to go from the parked state to the active optical image stabilization state. As illustrated in Fig. 8B, after combs 114 have been biased to their operating voltages, selectively applying controlled increases or decreases in the respective operating voltages for each of the actuators 1, 2, and 3 will result in a deterministic movement of stage 110 (and hence center 118) as discussed above in connection with Figs. 2A - 2F. To save on power when imaging is not being performed, actuators 1, 2, and 3 may again be parked into their inactive states as shown in Figure 6C.
The deployment of actuators 1, 2, and 3 from their parked state to their active optical image stabilization may be better understood with reference to Figures 6D and 6E. The power- off state of the actuator device can be utilized advantageously to protect the device against shock forces and in-plane sagging effects acting on the stage and the flexures during periods of device inactivity. Thus, in some embodiments, one or more locking arms 308, each having a locking feature 428 disposed thereon, can be coupled to the periphery of stage 110, and a corresponding plurality of complementary locking features 430 can be coupled, e.g., to the outer frame 125, and arranged to engage a corresponding one of the complementary locking features 428 on the locking arms 308 when the stage 101 is rotationally disposed in the parked, or power-off state. Figures 6F is a view of the engagement of locking feature 430 with complementary locking feature 428 whereas Figure 6G shows these features in the deployed state. In Fig. 6G, the phantom outline 432 delineates the range of motion of the periphery of an end portion of a locking arm 308 and locking feature 428 in the operating state and during an image stabilization operation of the actuator device, and illustrates that no interference will occur between the arm 308, locking feature 428 and the complementary locking feature 430 during such operation.
A block diagram for a control system 700 to control image stabilization using tangential actuation is shown in Figure 7. In image stabilization, it is conventional to distinguish between intended motion of the camera as opposed to unintended jitter. For example, a user may be deliberately moving a camera through a 90 degree range of motion to image different subjects. Should this deliberate movement not be detected, the image stabilization system would have the impossible and undesirable task of rotating the lens 90 degrees to compensate for such intended motion. One way to distinguish unintended jitter of the camera is to use employ a tracking loop that predicts the intended motion of a camera. In one embodiment, control system 700 includes a tracking filter such a Kalman filter 705 that predicts a current lens position based upon previously-measured camera movement.
Kalman filter 705 needs some measure of camera motion to make a prediction of what is intended movement of the camera as opposed to unintended jitter. Thus, an inertial sensor such as a MEMS-based gyroscope 710 measures the velocity of some reference point on the camera such as aperture center 1 18 discussed previously. The x,y plane velocities for center 118 as obtained from pitch and yaw measurements from gyroscope 710 may be designated as xg and yg, respectively. Such inertial measurements may be supplemented by motion estimates obtained from analyzing the camera image. Thus, a camera image processor 720 may also make an estimate for the x,y plane velocities for center 118, which may be designated as xc and yc, respectively. The Kalman filter receives the velocity estimates from gyroscope 710 and camera image processor 720 to filter them so as to make a prediction of the x, y plane velocity for lens center 118 accordingly. This Kalman filter predication for the reference location velocities in the x,y plane may be designated as x0 and y0, respectively. The velocity estimates are filtered through high pass filters 725 to remove gyroscope drift and integrated in integrators 730 and multiplied by an appropriate scale factor in amplifiers 735 to obtain position estimates 740. In that regard, estimates 740 represent what Kalman filter 705 predicts as the intended position of lens center 118 without the presence of jitter. Any difference between estimates 740 and the actual lens position is treated as jitter and should be compensated for by image stabilization control system 700. It will be appreciated that embodiments of control system 700 may be implemented that do not include such a predicted tracking loop. For example, the inertial measurements from gyroscope 710 may be merely high-pass filtered to provide a cruder estimate of the intended camera velocities. Such velocity estimates may be integrated as discussed above to obtain position estimates 740.
To obtain the actual lens position (or equivalently, the position of some reference point such as center 118), each actuator is associated with a position sensor. For example, actuator 1 may be associated with a position sensor 741 that senses the Li displacement discussed earlier. In that regard, position sensor 741 may sense the capacitance across combs 114 to make an estimate of the Li displacement. Alternatively, other type of position sensors may be used such as Hall sensors. Similarly, actuators 2 and 3 are associated with corresponding position sensors 742 and 743. Position sensor 742 thus senses the L2 displacement whereas sensor 743 senses the L3 displacement. These sensed displacements may then be digitized in corresponding analog-to- digital converters 745 and presented to a coordinate translator 750. The tangential actuations Li through L3 may be converted into a sensed position xs, ys by inverting the equations discussed previously with Θ equaling zero. The difference between the sensed position and the Kalman- filter-predicated position is then determined using adders 755. The outputs from adders 755 may then be filtered in controllers 760 and compensators 765 to get the resulting x and y coordinates of where the lens should be actuated to compensate for the jitter of the camera.
A translator 770 translates the x and y coordinates into tangential coordinates Lls L2, and L3 as described in the equation above with Θ equaling zero. The outputs from translator 770 thus represents the desired actuation of actuators 1 through 3. The Kalman filter prediction and generation of the resulting desired actuation takes place at a relatively slow data rate in that significant calculation is necessary. But the actual actuation to drive actuators 1 through 3 to the desired degree of actuation may take place at a relatively high data rate. Thus, a demarcation 771 in Figure 7 indicates the partition of a digital domain for control system 700 into relatively high and relatively low data rates. Similarly, a demarcation 772 indicates the partition of control system 700 into digital and analog domains.
The difference between the desired degree of actuation and the actual actuation of actuators 1, 2, and 3 may be determined using corresponding adders. A corresponding controller 780 then determines an appropriate control signal for its actuator accordingly. The resulting digital control signals may then be converted into analog control signals using digital to analog converters (DACs) 790. As known in the art, an electrostatic comb actuator typically requires boosted voltage levels such as obtained through charge pumps. Thus, each actuator 1 through 3 is driven by a corresponding driver circuit 790 responsive to the analog control signals produced in DACs 790. In this fashion, control system 700 can uses gyroscope 710 that is sensing camera motion in the Cartesian x,y plane to advantageously achieve image stabilization using just three tangential MEMS actuators.
Image stabilization using system 700 may be implemented using a number of alternative embodiments. In that regard, the aggregation of digital components and signal paths from Kalman filter 705 through translators 770 and 750 may be designated as an OIS algorithm module. The OIS algorithm module may be implemented in various integrated circuit architectures. As shown in Figure 8, one embodiment of a camera 800 includes an OIS algorithm module 805 within a MEMS driver integrated circuit (IC) 810. Camera 800 includes MEMS tangential actuators for image stabilization as discussed above as well as actuators for autofocus (AF) purposes and zooming purposes. These MEMS actuators are shown collectively as a MEMS module 815. Driver IC 810 drives MEMS module 815 with AF commands 820 from an AF driver 830 as well as in-plane tangential actuation commands 825 from an optical image stabilization (OIS) driver 835. MEMS module 815 includes positions sensors such as discussed with regard to Figure 7 so that driver IC 810 may receive in-plane tangential actuator positions 840.
A bus such as an I C bus 845 couples driver IC 810 to other camera components.
However, it will be appreciated that other bus protocols may be utilized. In camera 800, gyroscope 710, imager 720, an image processor 850, and a micro controller unit (MCU) 855 all
2 2
couple to I C bus 845. Since the I C protocol is a master-slave protocol, the location of module 805 in driver IC 810 provides lower latency as will be described further herein. Figure 9 shows the resulting control loops for camera 800. The bus master may be either the ISP or the MCU as represented by master module 900. OIS algorithm module 805 is a simplified version in that the tracking filter is omitted and the intended motion of the camera approximated by high pass filtering 910 the pitch and yaw rates from gyroscope 710. Because the data flow on a master- slave bus is always from slave-to-master or from master-to-slave, the rotation rates from gyroscope 710 first flow to master module 900 and then to driver IC 810. Master module 900 controls both gyroscope 710 and driver IC 810 in that regard. For illustration clarity, just a single combined channel is shown for OIS algorithm module 805. Thus, a translator 920 represents translators 770 and 750 of Figure 7. The actual and desired lens positions are translated within translator 920 with respect to a lens neutral position 925.
The resulting data traffic on bus 845 is shown in Figure 10. Image stabilization necessarily draws some current and thus it is desirable to only commence image stabilization while a user is taking a digital photograph. At that time, the OIS data traffic begins in an initial step 1000 with master module 900 as the I C bus master. At that time, gyroscope 710 may begin taking inertial measurements of camera movement and OIS driver 835 may command MEMS actuators 815 to transition from a parked to an active state as represented by step 1005. Master module 900 then reads 6 bytes of gyroscopic data in a step 1010 so that the data may be written to driver IC in a step 1015. OIS algorithm module 805 can then determine the appropriate amount of actuation to address the camera jitter in a step 1020. If the user has finished taking digital photographs as determined in a step 1025, the process ends at step 1030. Otherwise, steps 1010 through 1025 are repeated. The communication time for one cycle (steps 1010 through 1020) depends upon the bus clock period and the data width. If bus 845 can
accommodate 3 bytes in each clock cycle of 10 μβ, the cycle time Ϊ8 ΐ0 μ8 * 2 * 6 * 8 + the algorithm calculation time for step 1020, which equals 0.96 ms + the algorithm calculation time.
An alternative control architecture is shown in Figure 11 in which OIS algorithm module 805 is located within ISP 850. Similar to Figure 9, an autofocus algorithm module 940 in ISP 850 controls AF driver 830 in driver IC 810. Driver IC 810, gyroscope 710, imager 720, ISP 850 and MCU 855 all communicate using I C bus 845. Figure 12 shows the resulting control loops. OIS algorithm module 805 is again a simplified version in that the tracking filter is omitted and the intended motion of the camera approximated by high pass filtering 910 the pitch and yaw rates from gyroscope 710. ISP 850 controls both gyroscope 710 and driver IC 810. For illustration clarity, just a single combined channel is shown for OIS algorithm module 805.
The resulting data traffic on bus 845 for the embodiment of Figures 11 and 12 is shown in Figure 13. In response to invocation of an active picture taking mode, the OIS data traffic begins in an initial step 1300 with ISP 850 as the I C bus master. Alternatively, MCU 855 may act as the master. Concurrent or subsequent to step 1300, gyroscope 710 may begin taking inertial measurements of camera movement and OIS driver 835 may command MEMS actuators 815 to transition from a parked to an active state as represented by step 1305. ISP 850 then reads 6 bytes of gyroscopic data in a step 1310. In addition, ISP 855 reads the current lens position as six bytes of data from translator 920 in a step 1315. OIS algorithm module 805 can then determine the appropriate amount of actuation to address the camera jitter in a step 1320 whereupon ISP 855 may write to driver IC accordingly with a six-byte actuation command in a step 1325. If the user has finished taking digital photographs as determined in a step 1330, the process ends at step 1335. Otherwise, steps 1310 through 1325 are repeated. The
communication time for one cycle (steps 1310 through 1325 depends upon the bus clock period and the data width. If bus 845 can accommodate 3 bytes in each clock cycle of 10 μβ, the cycle time Ϊ8 ΐ0 μ8 * 3 * 6 * 8 + the algorithm calculation time for step 1320, which equals 1.44 ms + the algorithm calculation time. Thus, locating OIS algorithm module 805 in IC driver 810 as discussed previously is faster in a master-slave bus protocol system. In contrast, locating OIS algorithm 805 in ISP 850 requires an extra step of data movement.
As those of some skill in this art will by now appreciate and depending on the particular application at hand, many modifications, substitutions and variations can be made in and to the materials, apparatus, configurations and methods of use of the actuator devices of the present disclosure without departing from the spirit and scope thereof, and in light this, the scope of the present disclosure should not be limited to that of the particular embodiments illustrated and described herein, as they are merely by way of some examples thereof, but rather, should be fully commensurate with that of the claims appended hereafter and their functional equivalents.

Claims

Claims WHAT IS CLAIMED IS:
1. A camera, comprising:
a plurality of electrostatic actuators, each actuator configured to exert a force on at least one lens; and
an optical image stabilization (OIS) algorithm module configured to command the plurality of actuators to actuate the at least one lens responsive to motion of the camera.
2. The camera of claim 1, wherein each actuator is configured to exert a tangential force on the at least one lens, and wherein the OIS algorithm module is configured to command the plurality of actuators to tangentially actuate the at least one lens responsive to the motion of the camera.
3. The camera of claim 2, further comprising:
a plurality of position sensors corresponding to the plurality of actuators, each position sensor measuring a tangential displacement of its corresponding actuator; and
a translator module operable to translate the tangential displacements from the position sensors into a displacement for the lens, wherein the OIS algorithm module is also responsive to the lens displacement.
4. The camera of claim 1, further comprising:
a driver integrated circuit operable to drive the actuators responsive to the OIS algorithm module's commands, wherein the OIS algorithm module is integrated in the driver integrated circuit.
5. The camera of claim 1, further comprising:
an imager configured to digitize an image taken through the at least one lens; and an image processor integrated circuit operable to process the digitized image, wherein the OIS algorithm module is integrated in the image processor integrated circuit.
6. The camera of claim 1, wherein the camera is integrated into a cellular telephone.
7. The camera of claim 6, wherein the actuators are electrostatic comb actuators.
8. The camera of claim 7, further comprising:
a circular stage to receive the at least one lens, wherein the plurality of actuators comprises three actuators symmetrically disposed outside of the circular stage.
9. The camera of claim 1, wherein the OIS algorithm module includes a Kalman filter for predicting an intended motion of the camera.
10. The camera of claim 9, further comprising:
a gyroscope, wherein the gyroscope measures a pitch and yaw of the camera, and wherein the Kalman filter predicts an intended motion of the camera based the measured pitch and yaw.
11. The camera of claim 1 , wherein the OIS algorithm module commands the plurality of actuators based upon a relatively low data rate, and wherein the camera further includes at least one controller for controlling the actuators at a relatively high data rate based upon the OIS algorithm module commands.
12. A method of image stabilization, comprising:
sensing a motion of a camera;
based upon the sensed motion, determining a desired lens actuation that stabilizes a camera lens;
translating the desired lens actuation into desired tangential actuations; and
tangentially actuating the at least one lens using a plurality of tangential actuators according to the desired tangential actuations.
13. The method of claim 12, wherein the camera motion is sensed using a gyroscope, the method further comprising:
filtering sensed camera motion from the gyroscope to provide a prediction of an intended position for the lens;
sensing tangential actuations by the plurality of tangential actuations;
translating the tangential actuations into a current lens position; and
subtracting the current lens position from the intended lens position to provide a lens position error due to unintended camera motion, wherein the desired lens actuation stabilizes the lens by addressing the unintended camera motion.
14. The method of claim 13, wherein the filtering is a Kalman filtering.
15. The method of claim 13, wherein the filtering is a high pass filtering.
16. The method of claim 13, wherein the tangential actuation is a MEMS electrostatic comb tangential actuation.
17. An actuator device, comprising:
a stage resiliently supported for movement within a plane;
three or more actuators, each coupled to an outer periphery of the stage and operable to apply a force acting in the plane and tangentially to the stage when actuated; and,
an outer frame surrounding and supporting the stage and the actuators.
18. The actuator device of claim 17, wherein the stage, the actuators and the outer frame are disposed generally coplanar with each other.
19. The actuator device of claim 17, wherein at least one of the actuators is coupled to the outer periphery of the stage through at least one flexure.
20. The actuator device of claim 17, wherein at least one of the actuators comprises:
a fixed frame,
a moving frame resiliently supported for reciprocal movement relative to the fixed frame, and
a plurality of interdigitated teeth alternately attached to the fixed and the moving frames.
PCT/US2012/0580822011-09-282012-09-28Mems-based optical image stabilizationWO2013049688A2 (en)

Priority Applications (2)

Application NumberPriority DateFiling DateTitle
CN201610905935.3ACN106569310B (en)2011-09-282012-09-28Optical image stabilization based on MEMS
CN201280047680.1ACN103842875B (en)2011-09-282012-09-28 MEMS-Based Optical Image Stabilization

Applications Claiming Priority (4)

Application NumberPriority DateFiling DateTitle
US13/247,906US8855476B2 (en)2011-09-282011-09-28MEMS-based optical image stabilization
US13/247,8952011-09-28
US13/247,895US9019390B2 (en)2011-09-282011-09-28Optical image stabilization using tangentially actuated MEMS devices
US13/247,9062011-09-28

Publications (2)

Publication NumberPublication Date
WO2013049688A2true WO2013049688A2 (en)2013-04-04
WO2013049688A3 WO2013049688A3 (en)2013-06-27

Family

ID=47116353

Family Applications (1)

Application NumberTitlePriority DateFiling Date
PCT/US2012/058082WO2013049688A2 (en)2011-09-282012-09-28Mems-based optical image stabilization

Country Status (3)

CountryLink
CN (2)CN103842875B (en)
TW (1)TWI584001B (en)
WO (1)WO2013049688A2 (en)

Cited By (3)

* Cited by examiner, † Cited by third party
Publication numberPriority datePublication dateAssigneeTitle
WO2016064658A1 (en)*2014-10-242016-04-28Apple Inc.Camera actuator
CN108602663A (en)*2015-11-052018-09-28麦穆斯驱动有限公司MEMS actuator group structure
EP4329286A4 (en)*2021-05-272025-04-02Samsung Electronics Co., Ltd.Electronic device for synchronizing lens driving information with image

Families Citing this family (13)

* Cited by examiner, † Cited by third party
Publication numberPriority datePublication dateAssigneeTitle
KR20160055003A (en)*2014-11-072016-05-17삼성전기주식회사Lens Driving Module
CN107407849B (en)*2015-04-022018-11-06核心光电有限公司 Dual Voice Coil Coil Motor Structure in Dual Optical Module Camera
DE102015209030B4 (en)*2015-05-182023-06-07Robert Bosch Gmbh Micromechanical device and method of making a micromechanical device
US10382698B2 (en)2015-09-302019-08-13Apple Inc.Mobile zoom using multiple optical image stabilization cameras
CN106302988B (en)*2016-07-292017-12-19广东欧珀移动通信有限公司Falling protection method and device for mobile terminal and mobile terminal
CN106101559B (en)*2016-07-292017-12-19广东欧珀移动通信有限公司Control method, control device and electronic installation
CN106060367B (en)*2016-07-292017-11-24广东欧珀移动通信有限公司Double-camera shooting control method and device and shooting device
US10473949B2 (en)*2017-01-302019-11-12Semiconductor Components Industries, LlcSystems and methods for an optical image stabilizer system
CN109343293A (en)*2018-08-272019-02-15中国科学院苏州纳米技术与纳米仿生研究所 Electrostatic drive device and optical device
KR102573302B1 (en)*2018-10-102023-08-31삼성전자 주식회사Camera module for stabilizing video, electrical video including the same and video stabilizing method of the electrical device
CN110049235A (en)*2019-03-062019-07-23杭州电子科技大学A kind of optical anti-vibration MEMS actuator
CN112399043B (en)*2019-08-162022-04-12华为技术有限公司Optical image stabilizer, optical image stabilizer system and control method
WO2022141485A1 (en)*2020-12-312022-07-07欧菲光集团股份有限公司Optical anti-shake driver, camera module, and electronic device

Family Cites Families (14)

* Cited by examiner, † Cited by third party
Publication numberPriority datePublication dateAssigneeTitle
US7170665B2 (en)*2002-07-242007-01-30Olympus CorporationOptical unit provided with an actuator
JP3896745B2 (en)*1999-12-172007-03-22コニカミノルタフォトイメージング株式会社 Drive device
AU2001281213A1 (en)*2000-08-092002-02-18Jds Uniphase CorporationTunable distributed feedback laser
US6845669B2 (en)*2001-05-022005-01-25The Regents Of The University Of CaliforniaNon-resonant four degrees-of-freedom micromachined gyroscope
US6493631B1 (en)*2001-05-312002-12-10Mlho, Inc.Geophysical inertial navigation system
US8691099B2 (en)*2001-12-132014-04-08John GrittersProcess for fabricating MEMS devices
US7542188B2 (en)*2004-01-202009-06-02National University Of SingaporeOptical scanning using vibratory diffraction gratings
US7702227B2 (en)*2005-08-162010-04-20Canon Kabushiki KaishaOptical device having blur correction function
JP4857021B2 (en)*2006-05-082012-01-18株式会社タムロン Actuator and lens unit and camera provided with the same
KR100819301B1 (en)*2006-12-202008-04-03삼성전자주식회사 Image stabilization method and apparatus of a camera module for mobile devices
JP4219383B2 (en)*2006-12-282009-02-04日本航空電子工業株式会社 Comb-type electrostatic actuator
JP2008203402A (en)*2007-02-192008-09-04Konica Minolta Opto IncSensor device and imaging apparatus
US8098289B2 (en)*2007-05-022012-01-17Lite-On Technology CorporationMicro-optical image stabilizer
CN101482640B (en)*2008-01-092012-06-20鸿富锦精密工业(深圳)有限公司Lens module

Cited By (5)

* Cited by examiner, † Cited by third party
Publication numberPriority datePublication dateAssigneeTitle
WO2016064658A1 (en)*2014-10-242016-04-28Apple Inc.Camera actuator
US9917991B2 (en)2014-10-242018-03-13Apple Inc.Camera actuator
CN108602663A (en)*2015-11-052018-09-28麦穆斯驱动有限公司MEMS actuator group structure
EP4329286A4 (en)*2021-05-272025-04-02Samsung Electronics Co., Ltd.Electronic device for synchronizing lens driving information with image
US12306395B2 (en)2021-05-272025-05-20Samsung Electronics Co., Ltd.Electronic device synchronizing lens driving information and images

Also Published As

Publication numberPublication date
WO2013049688A3 (en)2013-06-27
TW201319628A (en)2013-05-16
TWI584001B (en)2017-05-21
CN103842875B (en)2016-11-09
CN106569310A (en)2017-04-19
CN106569310B (en)2019-11-22
CN103842875A (en)2014-06-04

Similar Documents

PublicationPublication DateTitle
US10558057B2 (en)MEMS-based optical image stabilization
WO2013049688A2 (en)Mems-based optical image stabilization
US9019390B2 (en)Optical image stabilization using tangentially actuated MEMS devices
CN111355872B (en)Camera module, anti-shake subassembly and terminal
US11237405B2 (en)Camera module having stabilizer providing stabilization function and electronic device including the camera module
US9258473B2 (en)Camera orientation sensing using camera module with MEMS AF actuator
EP1936956B1 (en)Hand-shake correction method and apparatus of camera module for use in mobile device
JP4607048B2 (en) Imaging device using optical motion sensor as gyroscope
US11327276B2 (en)MEMS actuation system
JP2007116679A (en)Imaging device with blur reduction system
US11522472B2 (en)MEMS actuation system
EP2122406A1 (en)A device for providing stabilized images in a hand held camera
CN111527439B (en)MEMS actuation system
CN114554038A (en) Camera Modules and Electronic Equipment
US8616791B2 (en)Rotationally deployed actuator devices
US12237780B2 (en)MEMS assembly and process flow
CN117356104A (en)Actuator mechanism
CN114265165A (en)MEMS actuation system
HK1104731A (en)Imaging device with blur reduction system

Legal Events

DateCodeTitleDescription
121Ep: the epo has been informed by wipo that ep was designated in this application

Ref document number:12780953

Country of ref document:EP

Kind code of ref document:A2

122Ep: pct application non-entry in european phase

Ref document number:12780953

Country of ref document:EP

Kind code of ref document:A2


[8]ページ先頭

©2009-2025 Movatter.jp