Movatterモバイル変換


[0]ホーム

URL:


WO2012170347A1 - Bicyclic nucleosides and oligomeric compounds prepared therefrom - Google Patents

Bicyclic nucleosides and oligomeric compounds prepared therefrom
Download PDF

Info

Publication number
WO2012170347A1
WO2012170347A1PCT/US2012/040739US2012040739WWO2012170347A1WO 2012170347 A1WO2012170347 A1WO 2012170347A1US 2012040739 WUS2012040739 WUS 2012040739WWO 2012170347 A1WO2012170347 A1WO 2012170347A1
Authority
WO
WIPO (PCT)
Prior art keywords
substituted
alkyl
compound
bicyclic nucleoside
oligomeric compound
Prior art date
Application number
PCT/US2012/040739
Other languages
French (fr)
Inventor
Christian J. LEUMANN
Branislav DUGOVIC
Punit P. Seth
Eric E. Swayze
Original Assignee
Isis Pharmaceuticals, Inc.
University Of Bern
Priority date (The priority date is an assumption and is not a legal conclusion. Google has not performed a legal analysis and makes no representation as to the accuracy of the date listed.)
Filing date
Publication date
Application filed by Isis Pharmaceuticals, Inc., University Of BernfiledCriticalIsis Pharmaceuticals, Inc.
Publication of WO2012170347A1publicationCriticalpatent/WO2012170347A1/en

Links

Classifications

Definitions

Landscapes

Abstract

The present invention provides novel bicyclic nucleosides and oligomeric compounds prepared therefrom. Incorporation of one or more of the bicyclic nucleosides into an oligomeric compound is expected to enhance one or more properties of the oligomeric compound. Such oligomeric compounds can also be included in double stranded compositions. In certain embodiments, the oligomeric compounds provided herein are expected to hybridize to a portion of a target RNA resulting in loss of normal function of the target RNA.

Description

BICYCLIC NUCLEOSIDES AND OLIGOMERIC COMPOUNDS
PREPARED THEREFROM
FIELD OF THE INVENTION
Provided herein are novel bicyclic nucleosides having Formula I and oligomeric compounds prepared therefrom. Incorporation of one or more of the bicyclic nucleosides of Formula I into an oligomeric compound is expected to enhance one or more properties of the oligomeric compound such as nuclease stability. In certain embodiments, the oligomeric compounds provided herein are expected to hybridize to a portion of a target RNA resulting in loss of normal function of the target RNA. The oligomeric compounds provided herein are also expected to be useful as primers and probes in diagnostic applications. SEQUENCE LISTING
The present application is being filed along with a Sequence Listing in electronic format. The Sequence Listing is provided as a file entitled CHEM0080WOSEQ.txt, created on June 4, 2012 which is 12 Kb in size. The information in the electronic format of the sequence listing is incorporated herein by reference in its entirety.
BACKGROUND OF THE INVENTION
Targeting disease-causing gene sequences was first suggested more than thirty years ago (Belikova et al., Tet. Lett., 1967, 37, 3557-3562), and antisense activity was demonstrated in cell culture more than a decade later (Zamecnik et al., Proc. Natl. Acad. Sci. U.S.A., 1978, 75, 280- 284). One advantage of antisense technology in the treatment of a disease or condition that stems from a disease-causing gene is that it is a direct genetic approach that has the ability to modulate (increase or decrease) the expression of specific disease-causing genes. Another advantage is that validation of a therapeutic target using antisense compounds results in direct and immediate discovery of the drug candidate; the antisense compound is the potential therapeutic agent.
Generally, the principle behind antisense technology is that an antisense compound hybridizes to a target nucleic acid and modulates gene expression activities or function, such as transcription and/or translation. The modulation of gene expression can be achieved by, for example, target degradation or occupancy-based inhibition. An example of modulation of RNA target function by degradation is RNase H-based degradation of the target RNA upon hybridization with a DNA-like antisense compound. Another example of modulation of gene expression by target degradation is RNA interference (RNAi). RNAi generally refers to antisense-mediated gene silencing involving the introduction of dsRNA leading to the sequence-specific reduction of targeted endogenous mRNA levels.
An additional example of modulation of RNA target function by an occupancy-based mechanism is modulation of microRNA function. MicroRNAs are small non-coding RNAs that regulate the expression of protein-coding RNAs. The binding of an antisense compound to a microRNA prevents the microRNA from binding to its messenger RNA target, and thus interferes with the function of the microRNA. Regardless of the specific mechanism, this sequence-specificity makes antisense compounds extremely attractive as tools for target validation and gene
functionalization, as well as therapeutics to selectively modulate the expression of genes involved in the pathogenesis of malignancies and other diseases.
Antisense technology is an effective means for reducing the expression of one or more specific gene products and can therefore prove to be uniquely useful in a number of therapeutic, diagnostic, and research applications. Chemically modified nucleosides are routinely incorporated into antisense compounds to enhance one or more properties, such as nuclease resistance, pharmacokinetics or affinity for a target RNA. In 1998, the antisense compound, Vitravene® (fomivirsen; developed by Isis Pharmaceuticals Inc., Carlsbad, CA) was the first antisense drug to achieve marketing clearance from the U.S. Food and Drug Administration (FDA), and is currently a treatment of cytomegalovirus (CMV)-induced retinitis in AIDS patients.
New chemical modifications have improved the potency and efficacy of antisense compounds, uncovering the potential for oral delivery as well as enhancing subcutaneous administration, decreasing potential for side effects, and leading to improvements in patient convenience. Chemical modifications increasing potency of antisense compounds allow
administration of lower doses, which reduces the potential for toxicity, as well as decreasing overall cost of therapy. Modifications increasing the resistance to degradation result in slower clearance from the body, allowing for less frequent dosing. Different types of chemical modifications can be combined in one compound to further optimize the compound's efficacy.
The synthesis of bicyclic deoxynucleosides along with their incorporation into oligomeric compounds and their Tm evaluations have been described (Tarkoy et al, Helvetica Chimica Acta, 1994, 77, 716-744 and Angew. Chem. Int. Ed. Engl, 1993, 32, 1432-1434; Bolli et al, Helvetica Chimica Acta, 1995, 78, 2077-2096 and Angew. Chem. Int. Ed. Engl, 1995, 34, 694-696; US Patent No. 5,393,878 and U.S. Patent Application US2004/0033973, published on February 19, 2004).
The synthesis of bicyclic DNA (bc-DNA) and analogs thereof comprising various substituent groups having the S configuration at C(6') position has been reported in the literature. The incorporation of bc-DNA analogs into oligomeric compounds and their Tm evaluations has also been disclosed. Examples of such substituent groups include OH and OCH2CONH(CH2)nNH3+ where n is 2 or 3 (Silhar et al, Bioorg. Med. Chem., 2010, 18, 7786-7793); or CH2CONH2,
CH2CONHMe, CH2C02H and CH2C02Et (Luisier et al, Heterocycles, 2010, 82, 775-790).
Various bicyclic deoxythymidine analogs having an amino (NH3 ), acetamido (NHCOCH3) or trifluoroacetamido (NHCOCF3) substituent group in the R configuration at C(6') position have been prepared. Their incorporation into oligomeric compounds and the thermal stability analysis of their duplexes with DNA complements have been reported (Meier et al, Helvetica Chimica Acta, 1999, 82, 1813-1828).
Various bicyclic deoxythymidine analogs having substituted amino groups as substituent groups having R configuration at C(6') position have been prepared. Their incorporation into oligomeric compounds and the thermal stability analysis of their duplexes with DNA and RNA complements have been reported (Lietard et al, Bioorganic & Medicinal Chemistry, 2011, 819, 5869-5875).
The synthesis and preparation of bc-DNA analogs comprising a benzyloxime substituent (=N-OBn) at C(6') position and oligomeric compounds comprising these bc-DNA analogs has been disclosed in the literature. The conformational analysis by X-ray crystallography of these bc-DNA analogs has also been disclosed. The base-pairing properties of the oligomeric compounds with DNA and RNA complement and their uptake into HeLa cells have also been reported (Luisier et al, ChemBioChem, 2008, 9, 2244-2253).
One carbocyclic bicyclic nucleoside having a 4'-(CH2)3-2' bridge and the alkenyl analog bridge 4'-CH=CH-CH2-2' have been described (Frier et al, Nucleic Acids Research, 1997, 25(22), 4429-4443; Albaek, N., Nucleosides, Nucleotides and Nucleic Acids, 2003, 22, 723-725 and Albaek et al, J. Org. Chem., 2006, 71, 7731-7740). The synthesis and preparation of carbocyclic bicyclic nucleosides along with their oligomerization and biochemical studies have also been described (Srivastava et al, J. Am. Chem. Soc. 2007, 129(26), 8362-8379).
The synthesis of bc-DNA analogs having an inverted configuration at C(5') position and the thermal stability of duplexes comprising such bc-DNA analogs with complementary DNA or RNA has been reported (Litten et al, Helvetica Chimica Acta, 1996, 79, 1129-1146 and Bioorg. Med. Chem. Let, 1995, 5, 1231-1234). BRIEF SUMMARY OF THE INVENTION
Provided herein are bicyclic nucleosides having Formula I and oligomeric compounds prepared therefrom. More particularly, bicyclic nucleosides having Formula I are useful for incorporation at one or more positions of an oligomeric compound. In certain embodiments, the oligomeric compounds provided herein are expected to have enhanced nuclease stability. In certain embodiments, the oligomeric compounds as provided herein are expected to hybridize to a portion of a target RNA resulting in loss of normal function of the target RNA. The oligomeric compounds provided herein are also expected to be useful as primers and probes in diagnostic applications.
The variables are defined individually in further detail herein. It is to be understood that the bicyclic nucleosides having Formula I and the oligomeric compounds provided herein include all combinations of the embodiments disclosed and variables defined herein.
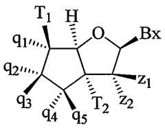
In certain embodiments, bicyclic nucleosides are provided herein having Formula I:
Figure imgf000005_0001
I
wherein:
Bx is an optionally protected heterocyclic base moiety;
one of Ti and T2 is hydroxyl or a protected hydroxyl and the other of Ti and T2 a reactive phosphorus group;
q! is H, Q-C6 alkyl, substituted C C6 alkyl, C2-C6 alkenyl, substituted C2-C6 alkenyl, C2-C6 alkynyl, substituted C2-C6 alkynyl, C -C alkoxy or substituted Q-Ce alkoxy;
<l2, ¾3> ¾4 and q5 are each, independently, H, halogen, C\-C alkyl, substituted Ci-C6 alkyl, C2-C6 alkenyl, substituted C2-C6 alkenyl, C2-C6 alkynyl, substituted C2-C6 alkynyl, C\-Ce alkoxy, substituted -Q alkoxy, amino, substituted amino, thiol or substituted thiol;
or one of q2 and q3 and one of q4 and q5 together form a single bond and the other two of q2, q3, q4 and q5 are each, independently, H, halogen, Q-Q alkyl, substituted Ci-C6 alkyl, C2-C6 alkenyl, substituted C2-C6 alkenyl, C2-C6 alkynyl, substituted C2-C6 alkynyl, Q-Q alkoxy, substituted C1-C6 alkoxy, amino, substituted amino, thiol or substituted thiol; one of z\ and z2 is H and the other of z\ and z2 is, H, hydroxyl, halogen or 0-[C(R1)(TR.2)]n- [(C=0)m-X1]j-Z;
each Ri and R2 is, independently, H, halogen, C\-Ce alkyl or substituted Ci-C6 alkyl;
Xi is 0, S or N(Ei);
Z is H, halogen, Ci-C6 alkyl, substituted Ci-C6 alkyl, C2-C6 alkenyl, substituted C2-C6 alkenyl, C2-C alkynyl, substituted C2-C6 alkynyl or N(E2)(E3);
Ei, E2 and E3 are each, independently, H, Ci-C6 alkyl or substituted CrC6 alkyl;
n is from 1 to about 6;
m is 0 or 1 ;
j is O or l;
each substituted group comprises one or more optionally protected substituent groups independently selected from halogen, OJi, N(Ji)(J2), =NJi, SJi, N3, CN, Ci-C6 alkyl, C2-C6 alkenyl, C2-C6 alkynyl, OC(=L)Ji, OC(=L)N(Ji)(J2) and C(=L)N(J (J2);
L is O, S or NJ3;
each Ji, J2 and J3 is, independently, H or Ci-C6 alkyl;
when j is 1 then Z is other than halogen;
when X! is N(Ei) then Z is other than N(E2)(E3); and
wherein at least one of ql5 q2, q3, q4, q5, zi and z2 is other than H and when ql5 q4, q5, zi and z2 and one of q2 and q3 are each H then the other of q2 and q3 is halogen, Ci-C6 alkyl or substituted Ci-C6 alkyl.
In certain embodiments, Bx is a pyrimidine, substituted pyrimidine, purine or substituted purine. In certain embodiments, Bx is uracil, thymine, 4-N-benzoylcytosine, 4-N-benzoyl-5-methyl- cytosine, 6-N-benzoyladenine or 2-N-isobutyrylguanine.
In certain embodiments, Ti is hydroxyl or protected hydroxyl. In certain embodiments, Ti is a hydroxyl protecting group selected from acetyl, benzyl, t-butyldimethylsilyl, t-butyldiphenylsilyl or dimethoxytrityl. In certain embodiments, T2 is a reactive phosphorus group selected from an H- phosphonate or a phosphoramidite.
In certain embodiments, qi is H or Ci-C6 alkyl. In certain embodiments, qi is H.
In certain embodiments, the other of Zi and z2 is F, OH, OCH3, OCF3, OCH2CH3, OCH2CF3, OCH2-CH=CH2, 0(CH2)2-OCH3, 0(CH2)2-0(CH2)2-N(CH3)2, OCH2C(=0)-N(H)CH3, OCH2C(=0)- N(H)-(CH2)2-N(CH3)2 or OCH2-N(H)-C(=NH)NH2. In certain embodiments, the other of z1 and z2 is F, OH, OCH3 or 0(CH2)2-OCH3. In certain embodiments, z\ is F. In certain embodiments, z2 is F. In certain embodiments, z is OH. In certain embodiments, z2 is OH. In certain embodiments, z\ and Z2 are each H.
In certain embodiments, one of q2 and q3 is H and the other of q2 and q3 is F, Q-C6 alkyl, substituted Q-C6 alkyl, C C6 alkoxy, substituted Ci-Ce alkoxy, amino, substituted amino, thiol or substituted thiol. In certain embodiments, q2 is F. In certain embodiments, q3 is F.
In certain embodiments, one of q2 and q3 and one of q4 and q together form a single bond.
In certain embodiments, one q4 and q5 is H and the other of q4 and q5 is F, C\-C(, alkyl or substituted -C6 alkyl. In certain embodiments, q4 and q5 are each H.
In certain embodiments, qls q2, q3, q4 and q5 are each H.
In certain embodiments, each substituted group comprises one or more optionally protected substituent groups independently selected from F, C -C alkoxy and CN.
In certain embodiments, Ί\ is 4,4'-dimethoxytrityl and T2 is diisopropylcyanoethoxy phosphoramidite.
In certain embodiments, oligomeric compounds are provided comprising at least one bicyclic nucleoside having Formula II:
Figure imgf000007_0001
II
wherein independently for each bicyclic nucleoside of Formula II:
Bx is a heterocyclic base moiety;
one of T3 and T4 is an intemucleoside linking group attaching the bicyclic nucleoside of
Formula II to the oligomeric compound and the other of T3 and T4 is hydroxyl, a protected hydroxyl, a 5' or 3' terminal group or an intemucleoside linking group attaching the bicyclic nucleoside to the oligomeric compound;
q! is H, -Q alkyl, substituted C C6 alkyl, C2-C6 alkenyl, substituted C2-C6 alkenyl, C2-C6 alkynyl, substituted C2-C6 alkynyl, C C6 alkoxy or substituted Q-Q alkoxy;
¾3> ¾4 and q5 are each, independently, H, halogen, Q-C6 alkyl, substituted C C6 alkyl, C2-C6 alkenyl, substituted C2-C6 alkenyl, C2-C6 alkynyl, substituted C2-C6 alkynyl, C C6 alkoxy, substituted C]-C6 alkoxy, amino, substituted amino, thiol or substituted thiol; or one of q2 and q3 and one of q4 and q5 together form a single bond and the other two of q2, q3, q4 and q5 are each, independently, H, halogen, Ci-C6 alkyl, substituted Ci-C6 alkyl, C2-C6 alkenyl, substituted C2-C6 alkenyl, C2-C6 alkynyl, substituted C2-C6 alkynyl, Ci-C6 alkoxy, substituted Ci-C6 alkoxy, amino, substituted amino, thiol or substituted thiol;
one of zi and z2 is H and the other of z and z2 is, H, hydroxyl, halogen or 0-[C(R1)(R2)]n- [(C=0)m-Xi]rZ;
each Ri and R2 is, independently, H, halogen, Ci-C6 alkyl or substituted Ci-C6 alkyl;
Xi is O, S or N(E ;
Z is H, halogen, Ci-C6 alkyl, substituted C!-C6 alkyl, C2-C6 alkenyl, substituted C2-C6 alkenyl, C2-C6 alkynyl, substituted C2-C6 alkynyl or N(E2)(E3);
Ei, E2 and E3 are each, independently, H, Ci-C6 alkyl or substituted Ci-C6 alkyl;
n is from 1 to about 6;
m is 0 or 1 ;
j is 0 or 1 ;
each substituted group comprises one or more optionally protected substituent groups independently selected from halogen, OJi, N(Ji)(J2), =NJi, SJi, N3, CN, Ci-C6 alkyl, C2-C6 alkenyl, C2-C6 alkynyl, OC(=L)Ji, OC(=L)N(Jj)(J2) and C(=L)N(Ji)(J2);
L is O, S or NJ3;
each Ji, J2 and J3 is, independently, H or Ci-C6 alkyl;
when j is 1 then Z is other than halogen;
when Xi is N(Ei) then Z is other than N(E2)(E3);
wherein at least one of qi, q2, q3, q4, q5, zi and z2 is other than H and when qi, q4, q5, zi and z2 and one of q2 and q3 are each H then the other of q2 and q3 is halogen, Ci-C6 alkyl or substituted Ci-C6 alkyl; and
wherein said oligomeric compound comprises from 8 to 40 monomelic subunits and wherein at least some of the heterocyclic base moieties are capable of hybridizing to a nucleic acid molecule.
In certain embodiments, each Bx is, independently, a pyrimidine, substituted pyrimidine, purine or substituted purine. In certain embodiments, each Bx is, independently, uracil, thymine, cytosine, 5-methylcytosine, adenine or guanine.
In certain embodiments, at least one of T3 and T4 is a 5' or 3 -terminal group. In certain embodiments, at least one of T3 and T4 is a conjugate group.
In certain embodiments, one of zi and z2 is F, OH, OCH3, OCF3, OCH2CH3, OCH2CF3,
OCH2-CH=CH2, 0(CH2)2-OCH3, 0(CH2)2-0(CH2)2-N(CH3)2, OCH2C(=0)-N(H)CH3, OCH2C(=0)- N(H)-(CH2)2-N(CH3)2 or OCH2-N(H)-C(=NH)NH2 for each bicyclic nucleoside of Formula II. In certain embodiments, one of zi and z2 is F, OH, OCH3 or 0(CH2)2-OCH3 for each bicyclic nucleoside of Formula II. In certain embodiments, each z is F. In certain embodiments, each z2 is F. In certain embodiments, each z is OH. In certain embodiments, each z2 is OH. In certain embodiments, z\ and z2 are each H for each bicyclic nucleoside of Formula II.
In certain embodiments, q! is H or Ci-C alkyl for each bicyclic nucleoside of Formula II. In certain embodiments, q! is H for each bicyclic nucleoside of Formula II.
In certain embodiments, one of q2 and q3 is H and the other of q2 and q3 is F, C!-C6 alkyl, substituted -Ce alkyl, Ci-Ce alkoxy, substituted Ci-Ce alkoxy, amino, substituted amino, thiol or substituted thiol for each bicyclic nucleoside of Formula II. In certain embodiments, q2 is F for each bicyclic nucleoside of Formula II. In certain embodiments, q3 is F for each bicyclic nucleoside of Formula II.
In certain embodiments, one of q2 and q3 and one of q4 and q5 together form a single bond for each bicyclic nucleoside of Formula II.
In certain embodiments, one q4 and q5 is H and the other of q4 and q5 is F, Q-Q alkyl or substituted C C6 alkyl for each bicyclic nucleoside of Formula II. In certain embodiments, q4 and q5 are each H for each bicyclic nucleoside of Formula II.
In certain embodiments, ql5 q2, q3, q4 and q5 are each H for each bicyclic nucleoside of Formula II.
In certain embodiments, each substituted group comprises one or more optionally protected substituent groups independently selected from F, C\-Ce alkoxy and CN.
In certain embodiments, each internucleoside linking group is, independently, a
phosphodiester internucleoside linking group or a phosphorothioate internucleoside linking group. In certain embodiments, essentially each internucleoside linking group is a phosphorothioate inter- nucleoside linking group.
In certain embodiments, oligomeric compounds are provided comprising a first region having at least two contiguous bicyclic nucleosides having Formula II. In certain embodiments, oligomeric compounds are provided comprising a first region having at least two contiguous bicyclic nucleosides having Formula II and a second region having at least two contiguous monomelic subunits wherein each monomelic subunit in the second region is a modified or unmodified nucleoside different from the bicyclic nucleosides of Formula II of said first region. In certain embodiments, oligomeric compounds are provided comprising a first region having at least two contiguous bicyclic nucleosides having Formula II, a second region having at least two contiguous monomelic subunits wherein each monomelic subunit in the second region is a modified or unmodified nucleoside different from the bicyclic nucleosides of Formula II of said first region and a third region located between said first and second regions wherein each monomer subunit in the third region is independently, a nucleoside or a modified nucleoside that is different from each bicyclic nucleoside of Formula II of the first region and each monomer subunit the second region.
In certain embodiments, oligomeric compounds are provided comprising gapped oligomenc compounds wherein one region of contiguous bicyclic nucleosides of Formula II is located at the 5'- end and the second region of contiguous bicyclic nucleosides of Formula II is located at the 3 '-end, wherein the two regions are separated by an internal region comprising from about 6 to about 14 monomer subunits that are each different from the bicyclic nucleosides having Formula II and independently selected from nucleosides and modified nucleosides.
In certain embodiments, the internal region comprises from about 8 to about 14 contiguous P-D-2'-deoxyribonucleosides. In certain embodiments, the internal region comprises from about 9 to about 12 contiguous P-D-2'-deoxyribonucleosides.
In certain embodiments, methods of inhibiting gene expression are provided comprising contacting a cell with an oligomeric compound comprising a 5' modified nucleoside as provided herein or a double stranded composition comprising at least one oligomeric compound comprising a 5' modified nucleoside as provided herein wherein said oligomeric compound comprises from about 8 to about 40 monomelic subunits and is complementary to a target RNA. In certain embodiments, the cell is in an animal. In certain embodiments, the cell is in a human. In certain embodiments, the target RNA is selected from mRNA, pre-mRNA and micro RNA. In certain embodiments, the target RNA is mRNA. In certain embodiments, the target RNA is human mRNA. In certain embodiments, the target RNA is cleaved thereby inhibiting its function. In certain embodiments, the methods further comprise detecting the levels of target RNA.
In certain embodiments, in vitro methods of inhibiting gene expression are provided comprising contacting one or more cells or a tissue with an oligomeric compound or double stranded composition as provided herein.
In certain embodiments, oligomeric compounds or a double stranded compositions as provided herein are used for use in an in vivo method of inhibiting gene expression said method comprising contacting one or more cells, a tissue or an animal with one of the oligomeric compounds or a double stranded composition as provided herein.
In certain embodiments, oligomeric compounds and double stranded compositions as provided herein are used in medical therapy. DETAILED DESCRIPTION OF THE INVENTION
Provided herein are bicyclic nucleosides having Formula I and oligomeric compounds prepared therefrom. The bicyclic nucleosides are expected to be useful for enhancing one or more properties of the oligomeric compounds they are incorporated into such as for example nuclease resistance and binding affinity. In certain embodiments, the oligomeric compounds provided herein are expected to hybridize to a portion of a target RNA resulting in loss of normal function of the target RNA.
In certain embodiments, bicyclic nucleosides having Formula I are provided that can be incorporated into antisense oligomeric compounds to reduce target RNA, such as messenger RNA, in vitro and in vivo. In one aspect the reduction or loss of function of target RNA is useful for inhibition of gene expression via numerous pathways. Such pathways include for example the steric blocking of transcription and/or translation of mRNA and cleavage of mRNA via single or double stranded oligomeric compounds. The oligomeric compounds provided herein are also expected to be useful as primers and probes in diagnostic applications. In certain embodiments, oligomeric compounds comprising at least one of the bicyclic nucleosides having Formula I are expected to be useful as aptamers which are oligomeric compounds capable of binding to aberrant proteins in an in vivo setting.
In certain embodiment, bicyclic nucleosides are provided having Formula I:
Figure imgf000011_0001
wherein:
Bx is an optionally protected heterocyclic base moiety;
one of Tt and T2 is hydroxyl or a protected hydroxyl and the other of Ti and T2 a reactive phosphorus group;
qi is H, Q-Ce alkyl, substituted Ci-Ce alkyl, C2-C6 alkenyl, substituted C2-C6 alkenyl, C2-C6 alkynyl, substituted C2-C6 alkynyl, Ci-C6 alkoxy or substituted Cj-Q alkoxy; ¾2, ¾3, ¾4 and q5 are each, independently, H, halogen, C!-C6 alkyl, substituted Ci-C6 alkyl, C2-C6 alkenyl, substituted C2-C6 alkenyl, C2-C6 alkynyl, substituted C2-C6 alkynyl, C!-C6 alkoxy, substituted Cj-C6 alkoxy, amino, substituted amino, thiol or substituted thiol;
or one of q2 and q3 and one of q4 and q5 together form a single bond and the other two of q2, q3, q4 and q5 are each, independently, H, halogen, CrC6 alkyl, substituted C -Ce alkyl, C2-C6 alkenyl, substituted C2-C alkenyl, C2-C6 alkynyl, substituted C2-C6 alkynyl, C C alkoxy, substituted Q-C6 alkoxy, amino, substituted amino, thiol or substituted thiol;
one of z\ and z2 is H and the other of z and z2 is, H, hydroxyl, halogen or 0-[C(Ri)(R2)]n- [(C=0)m-Xi]j-Z;
each R\ and R2 is, independently, H, halogen, C\-C alkyl or substituted C\-Ce alkyl;
Xi is O, S or N(E ;
Z is H, halogen, Ci-Ce alkyl, substituted Ci-C6 alkyl, C2-C6 alkenyl, substituted C2-C6 alkenyl, C2-C6 alkynyl, substituted C2-C6 alkynyl or N(E2)(E3);
Ei, E2 and E3 are each, independently, H, d-C6 alkyl or substituted C!-C6 alkyl;
n is from 1 to about 6;
m is 0 or 1 ;
j is 0 or 1 ;
each substituted group comprises one or more optionally protected substituent groups independently selected from halogen, OJls N(J (J2), =NJls SJ1? N3, CN, C C alkyl, C2-C6 alkenyl, C2-C6 alkynyl, OC(=L)Jl5 OC(=L)N(J (J2) and C(=L)N(Ji)(J2);
L is O, S or NJ3;
each Ji, J2 and J3 is, independently, H or Ci-C6 alkyl;
when j is 1 then Z is other than halogen;
when Xi is N(E then Z is other than N(E2)(E3); and
wherein at least one of qi, q2, q3, q4, q5, z\ and z2 is other than H and when qls q4, q5, zi and z2 and one of q2 and q3 are each H then the other of q2 and q3 is halogen, Ci-C^ alkyl or substituted C!-C6 alkyl.
In certain embodiments, oligomeric compounds are provided comprising at least one bicyclic nucleoside having formula II:
Figure imgf000013_0001
wherein independently for each bicyclic nucleoside of Formula II:
Bx is a heterocyclic base moiety;
one of T3 and T4 is an intemucleoside linking group attaching the bicyclic nucleoside of Formula II to the oligomeric compound and the other of T3 and T4 is hydroxyl, a protected hydroxyl, a 5' or 3' terminal group or an intemucleoside linking group attaching the bicyclic nucleoside to the oligomeric compound;
qi is H, -C6 alkyl, substituted Ci-C6 alkyl, C2-C6 alkenyl, substituted C2-C6 alkenyl, C2-C6 alkynyl, substituted C2-C6 alkynyl, C C6 alkoxy or substituted Ci-C6 alkoxy;
¾2> 3, ¾4 and q5 are each, independently, H, halogen, Ci-C6 alkyl, substituted Ci-C6 alkyl, C2-C6 alkenyl, substituted C2-C6 alkenyl, C2-C6 alkynyl, substituted C2-C6 alkynyl, Ci-C6 alkoxy, substituted Ci-C6 alkoxy, amino, substituted amino, thiol or substituted thiol;
or one of q2 and q3 and one of q4 and q5 together form a single bond and the other two of q2, q3, q4 and q5 are each, independently, H, halogen, Ci-C6 alkyl, substituted Ci-C6 alkyl, C2-C6 alkenyl, substituted C2-C alkenyl, C2-C6 alkynyl, substituted C2-C6 alkynyl, Ci-C6 alkoxy, substituted Q-C6 alkoxy, amino, substituted amino, thiol or substituted thiol;
one of zi and z2 is H and the other of z\ and z2 is, H, hydroxyl, halogen or 0-[C(R1)(R2)]n- [(C-0)m-X1]j-Z;
each Ri and R2 is, independently, H, halogen, -Ce alkyl or substituted Ci-C6 alkyl;
Xi is 0, S or N(Et);
Z is H, halogen, Ci-C6 alkyl, substituted Ci-C6 alkyl, C2-C6 alkenyl, substituted C2-C6 alkenyl, C2-C6 alkynyl, substituted C2-C6 alkynyl or N(E2)(E3);
Ei, E2 and E3 are each, independently, H, Ci-C6 alkyl or substituted Q-Q alkyl;
n is from 1 to about 6;
m is 0 or 1 ;
j is 0 or 1 ; each substituted group comprises one or more optionally protected substituent groups independently selected from halogen, OJ1? N(J (J2), =NJi, SJ1? N3, CN, Ci-C6 alkyl, C2-C6 alkenyl, C2-C6 alkynyl,
Figure imgf000014_0001
L is O, S or NJ3;
each Jls J2 and J3 is, independently, H or -Ce alkyl;
when j is 1 then Z is other than halogen;
when Xi is N(Ei) then Z is other than N(E2)(E3);
wherein at least one of ql 5 q2, q3, q4, q5, zi and z2 is other than H and when ql3 q4, q5, z\ and z2 and one of q2 and q3 are each H then the other of q2 and q3 is halogen, Ci-C alkyl or substituted d-C6 alkyl; and
wherein said oligomeric compound comprises from 8 to 40 monomelic subunits and wherein at least some of the heterocyclic base moieties are capable of hybridizing to a nucleic acid molecule.
In certain embodiments, double stranded compositions are provided wherein each double stranded composition comprises:
a first oligomeric compound and a second oligomeric compound wherein the first oligomeric compound is complementary to the second oligomeric compound and the second oligomeric compound is complementary to a nucleic acid target;
at least one of the first and second oligomeric compounds comprises at least one bicyclic nucleoside of Formula II; and
wherein said compositions optionally comprise one or more terminal groups.
Incorporation of one or more of the bicyclic nucleosides, as provided herein, into an oligomeric compound is expected to enhance one or more desired properties of the resulting oligomeric compound. Such properties include without limitation stability, nuclease resistance, binding affinity, specificity, absorption, cellular distribution, cellular uptake, charge, pharmaco- dynamics and pharmacokinetics.
In certain embodiments, the bicyclic nucleosides provided herein are incorporated into antisense oligomeric compounds which are used to reduce target RNA, such as messenger RNA, in vitro and in vivo. The reduction of target RNA can be effected via numerous pathways with a resultant modulation of gene expression. Such modulation can provide direct or indirect increase o r decrease in a particular target (nucleic acid or protein). Such pathways include for example the steric blocking of transcription or translation and cleavage of mRNA using either single or double stranded oligomeric compounds. The oligomeric compounds provided herein are also expected to be useful as primers and probes in diagnostic applications. In certain embodiments, oligomeric compounds comprising at least one of the bicyclic nucleosides provided herein are expected to be useful as aptamers which are oligomenc compounds capable of binding to aberrant proteins in an in vivo setting.
Incorporation of one or more of the bicyclic nucleosides, as provided herein, into an oligomenc compound is expected to enhance one or more desired properties of the resulting oligomeric compound. Such properties include without limitation stability, nuclease resistance, binding affinity, specificity, absorption, cellular distribution, cellular uptake, charge, pharmacodynamics and pharmacokinetics.
As used herein the term "motif refers to the pattern created by the relative positioning of monomer subunits within an oligomeric compound wherein the pattern is determined by comparing the sugar moieties of the linked monomer subunits. The only determinant for the motif of an oligomeric compound is the differences or lack of differences between the sugar moieties. The internucleoside linkages, heterocyclic bases and further groups such as terminal groups are not considered when determining the motif of an oligomeric compound.
The preparation of motifs has been disclosed in various publications including without limitation, representative U.S. patents 5,013,830; 5,149,797; 5,220,007; 5,256,775; 5,366,878;
5,403,711; 5,491,133; 5,565,350; 5,623,065; 5,652,355; 5,652,356; and 5,700,922; and published international applications WO 2005/121371 and WO 2005/121372 (both published on December 22, 2005), certain of which are commonly owned with the instant application, and each of which is herein incorporated by reference in its entirety.
In certain embodiments, the bicyclic nucleosides provided herein are incorporated into oligomeric compounds such that a motif results. The placement of bicyclic nucleosides into oligomeric compounds to provide particular motifs can enhance the desired properties of the resulting oligomeric compounds for activity using various mechanisms such as for example RNaseH or RNAi. Such motifs include without limitation, gapmer motifs, hemimer motifs, blockmer motifs, uniformly fully modified motifs, positionally modified motifs and alternating motifs. In conjunction with these motifs a wide variety of internucleoside linkages can also be used including but not limited to phosphodiester and phosphorothioate internucleoside linkages which can be incorporated uniformly or in various combinations. The oligomeric compounds can further include terminal groups at one or both of the 5' and or 3' terminals such as a conjugate or reporter group. The positioning of the bicyclic nucleosides provided herein, the use of linkage strategies and terminal groups can be easily optimized to enhance a desired activity for a selected target. As used herein the term "alternating motif refers to an oligomeric compound comprising a contiguous sequence of linked monomer subunits wherein the monomer subunits have two different types of sugar moieties that alternate for essentially the entire sequence of the oligomeric compound. Oligomeric compounds having an alternating motif can be described by the formula: 5'-A(-L-B-L- A)n(-L-B)nn-3' where A and B are monomer subunits that have different sugar moieties, each L is, independently, an internucleoside linking group, n is from about 4 to about 12 and nn is 0 or 1. The heterocyclic base and internucleoside linkage is independently variable at each position. The motif further optionally includes the use of one or more other groups including but not limited to capping groups, conjugate groups and other 5' and or 3'-terrninal groups. This permits alternating oligomeric compounds from about 9 to about 26 monomer subunits in length. This length range is not meant to be limiting as longer and shorter oligomeric compounds are also amenable to oligomeric compounds provided herein. In certain embodiments, each A or each B comprise bicyclic nucleosides as provided herein.
As used herein the term "uniformly fully modified motif refers to an oligomeric compound comprising a contiguous sequence of linked monomer subunits that each have the same type of sugar moiety. The heterocyclic base and internucleoside linkage is independently variable at each position. The motif further optionally includes the use of one or more other groups including but not limited to capping groups, conjugate groups and other 5' and or 3'-terminal groups. In certain embodiments, the uniformly fully modified motif includes a contiguous sequence of bicyclic nucleosides. In certain embodiments, one or both of the 5' and 3'-ends of the contiguous sequence of bicyclic nucleosides, comprise 5' and or 3 '-terminal groups such as one or more unmodified nucleosides.
As used herein the term "hemimer motif refers to an oligomeric compound comprising a contiguous sequence of monomer subunits that each have the same type of sugar moiety with a further short contiguous sequence of monomer subunits located at the 5' or the 3' end that have a different type of sugar moiety. The heterocyclic base and internucleoside linkage is independently variable at each position. The motif further optionally includes the use of one or more other groups including but not limited to capping groups, conjugate groups and other 5' and or 3'-terminal groups. In general, a hemimer is an oligomeric compound of uniform sugar moieties further comprising a short region (1 , 2, 3, 4 or about 5 monomer subunits) having uniform but different sugar moieties located on either the 3' or the 5' end of the oligomeric compound.
In certain embodiments, the hemimer motif comprises a contiguous sequence of from about
10 to about 28 monomer subunits having one type of sugar moiety with from 1 to 5 or from 2 to about 5 monomer subunits having a second type of sugar moiety located at one of the termini. In certain embodiments, the hemimer is a contiguous sequence of from about 8 to about 20 β-ϋ-2'- deoxyribonucleosides having from 1-12 contiguous bicyclic nucleosides located at one of the termini. In certain embodiments, the hemimer is a contiguous sequence of from about 8 to about 20 p-D-2'-deoxyribonucleosides having from 1-5 contiguous bicyclic nucleosides located at one of the termini. In certain embodiments, the hemimer is a contiguous sequence of from about 12 to about 18 P-D-2'-deoxyribonucleosides having from 1-3 contiguous bicyclic nucleosides located at one of the termini. In certain embodiments, the hemimer is a contiguous sequence of from about 10 to about 14 p-D-2'-deoxyribonucleosides having from 1-3 contiguous bicyclic nucleosides located at one of the termini.
As used herein the terms "blockmer motif and "blockmer" refer to an oligomeric compound comprising an otherwise contiguous sequence of monomer subunits wherein the sugar moieties of each monomer subunit is the same except for an interrupting internal block of contiguous monomer subunits having a different type of sugar moiety. The heterocyclic base and interaucleoside linkage is independently variable at each position of a blockmer. The motif further optionally includes the use of one or more other groups including but not limited to capping groups, conjugate groups and other 5' or 3'-terminal groups. A blockmer overlaps somewhat with a gapmer in the definition but typically only the monomer subunits in the block have non-naturally occurring sugar moieties in a blockmer and only the monomer subunits in the external regions have non-naturally occurring sugar moieties in a gapmer with the remainder of monomer subunits in the blockmer or gapmer being β- D-2'-deoxyribonucleosides or β-D-ribonucleosides. In certain embodiments, blockmers are provided herein wherein all of the monomer subunits comprise non-naturally occurring sugar moieties.
As used herein the term "positionally modified motif is meant to include an otherwise contiguous sequence of monomer subunits having one type of sugar moiety that is interrupted with two or more regions of from 1 to about 5 contiguous monomer subunits having another type of sugar moiety. Each of the two or more regions of from 1 to about 5 contiguous monomer subu its are independently uniformly modified with respect to the type of sugar moiety. In certain embodiments, each of the two or more regions have the same type of sugar moiety. In certain embodiments, each of the two or more regions have a different type of sugar moiety. In certain embodiments, each of the two or more regions, independently, have the same or a different type of sugar moiety. The heterocyclic base and internucleoside linkage is independently variable at each position of a positionally modified oligomeric compound. The motif further optionally includes the use of one or more other groups including but not limited to capping groups, conjugate groups and other 5' or 3'- terminal groups. In certain embodiments, positionally modified oligomenc compounds are provided comprising a sequence of from 8 to 20 P-D-2'-deoxyribonucleosides that further includes two or three regions of from 2 to about 5 contiguous bicyclic nucleosides each. Positionally modified oligomeric compounds are distinguished from gapped motifs, hemimer motifs, blockmer motifs and alternating motifs because the pattern of regional substitution defined by any positional motif does not fit into the definition provided herein for one of these other motifs. The term positionally modified oligomeric compound includes many different specific substitution patterns.
As used herein the term "gapmer" or "gapped oligomeric compound" refers to an oligomeric compound having two external regions or wings and an internal region or gap. The three regions form a contiguous sequence of monomer subunits with the sugar moieties of the external regions being different than the sugar moieties of the internal region and wherein the sugar moiety of each monomer subunit within a particular region is essentially the same. In certain embodiments, each monomer subunit within a particular region has the same sugar moiety. When the sugar moieties of the external regions are the same the gapmer is a symmetric gapmer and when the sugar moiety used in the 5 -external region is different from the sugar moiety used in the 3'-external region, the gapmer is an asymmetric gapmer. In certain embodiments, the external regions are small (each
independently 1, 2, 3, 4 or about 5 monomer subunits) and the monomer subunits comprise non- naturally occurring sugar moieties with the internal region comprising P-D-2'-deoxyribonucleosides. In certain embodiments, the external regions each, independently, comprise from 1 to about 5 monomer subunits having non-naturally occurring sugar moieties and the internal region comprises from 6 to 18 unmodified nucleosides. The internal region or the gap generally comprises β-ϋ-2'- deoxyribonucleosides but can comprise non-naturally occurring sugar moieties. The heterocyclic base and internucleoside linkage is independently variable at each position of a gapped oligomeric compound. The motif further optionally includes the use of one or more other groups including but not limited to capping groups, conjugate groups and other 5' or 3'-terminal groups.
In certain embodiments, the gapped oligomeric compounds comprise an internal region of P-D-2'-deoxyribonucleosides with one of the external regions comprising bicyclic nucleosides as disclosed herein. In certain embodiments, the gapped oligomeric compounds comprise an internal region of P-D-2'-deoxyribonucleosides with one of the external regions comprising bicyclic nucleosides as disclosed herein and the other external region comprising modified nucleosides different than the bicyclic nucleosides as disclosed herein. In certain embodiments, the gapped oligomeric compounds comprise an internal region of p-D-2'-deoxyribonucleosides with both of the external regions comprising bicyclic nucleosides as provided herein. In certain embodiments, gapped oligomeric compounds are provided herein wherein all of the monomer subunits comprise non-naturally occurring sugar moieties.
In certain embodiments, gapped oligomeric compounds are provided comprising one or two bicyclic nucleosides at the 5'-end, two or three bicyclic nucleosides at the 3'-end and an internal region of from 10 to 16 p-D-2'-deoxyribonucleosides. In certain embodiments, gapped oligomeric compounds are provided comprising one of the bicyclic nucleosides at the 5'-end, two bicyclic nucleosides at the 3'-end and an internal region of from 10 to 16 P-D-2'-deoxyribonucleosides. In certain embodiments, gapped oligomeric compounds are provided comprising one bicyclic nucleosides at the 5 '-end, two bicyclic nucleosides at the 3 '-end and an internal region of from 10 to 14 P-D-2'-deoxyribonucleosides.
In certain embodiments, gapped oligomeric compounds are provided that are from about 18 to about 21 monomer subunits in length. In certain embodiments, gapped oligomeric compounds are provided that are from about 16 to about 21 monomer subunits in length. In certain
embodiments, gapped oligomeric compounds are provided that are from about 10 to about 21 monomer subunits in length. In certain embodiments, gapped oligomeric compounds are provided that are from about 12 to about 16 monomer subunits in length. In certain embodiments, gapped oligomeric compounds are provided that are from about 12 to about 14 monomer subunits in length. In certain embodiments, gapped oligomeric compounds are provided that are from about 14 to about 16 monomer subunits in length.
As used herein the term "alkyl," refers to a saturated straight or branched hydrocarbon radical containing up to twenty four carbon atoms. Examples of alkyl groups include without limitation, methyl, ethyl, propyl, butyl, isopropyl, n-hexyl, octyl, decyl, dodecyl and the like. Alkyl groups typically include from 1 to about 24 carbon atoms, more typically from 1 to about 12 carbon atoms (Ci-C12 alkyl) with from 1 to about 6 carbon atoms being more preferred. The term "lower alkyl" as used herein includes from 1 to about 6 carbon atoms. Alkyl groups as used herein may optionally include one or more further substituent groups.
As used herein the term "alkenyl," refers to a straight or branched hydrocarbon chain radical containing up to twenty four carbon atoms and having at least one carbon-carbon double bond. Examples of alkenyl groups include without limitation, ethenyl, propenyl, butenyl, l-methyl-2- buten-l-yl, dienes such as 1,3 -butadiene and the like. Alkenyl groups typically include from 2 to about 24 carbon atoms, more typically from 2 to about 12 carbon atoms with from 2 to about 6 carbon atoms being more preferred. Alkenyl groups as used herein may optionally include one or more further substituent groups.
As used herein the term "alkynyl," refers to a straight or branched hydrocarbon radical containing up to twenty four carbon atoms and having at least one carbon-carbon triple bond.
Examples of alkynyl groups include, without limitation, ethynyl, 1-propynyl, 1-butynyl, and the like. Alkynyl groups typically include from 2 to about 24 carbon atoms, more typically from 2 to about 12 carbon atoms with from 2 to about 6 carbon atoms being more preferred. Alkynyl groups as used herein may optionally include one or more further substituent groups.
As used herein the term "aliphatic," refers to a straight or branched hydrocarbon radical containing up to twenty four carbon atoms wherein the saturation between any two carbon atoms is a single, double or triple bond. An aliphatic group preferably contains from 1 to about 24 carbon atoms, more typically from 1 to about 12 carbon atoms with from 1 to about 6 carbon atoms being more preferred. The straight or branched chain of an aliphatic group may be interrupted with one or more heteroatoms that include nitrogen, oxygen, sulfur and phosphorus. Such aliphatic groups interrupted by heteroatoms include without limitation, polyalkoxys, such as polyalkylene glycols, polyamines, and polyimines. Aliphatic groups as used herein may optionally include further substituent groups.
As used herein the term "alicyclic" refers to a cyclic ring system wherein the ring is aliphatic. The ring system can comprise one or more rings wherein at least one ring is aliphatic. Preferred alicyclics include rings having from about 5 to about 9 carbon atoms in the ring. Alicyclic as used herein may optionally include further substituent groups.
As used herein the term "alkoxy," refers to a radical formed between an alkyl group and an oxygen atom wherein the oxygen atom is used to attach the alkoxy group to a parent molecule. Examples of alkoxy groups include without limitation, methoxy, ethoxy, propoxy, isopropoxy, n- butoxy, sec-butoxy, fert-butoxy, n-pentoxy, neopentoxy, n-hexoxy and the like. Alkoxy groups as used herein may optionally include further substituent groups.
As used herein the term "aminoalkyl" refers to an amino substituted CrC12 alkyl radical. The alkyl portion of the radical forms a covalent bond with a parent molecule. The amino group can be located at any position and the aminoalkyl group can be substituted with a further substituent group at the alkyl and/or amino portions.
As used herein the terms "aryl" and "aromatic," refer to a mono- or polycyclic carbocyclic ring system radicals having one or more aromatic rings. Examples of aryl groups include without limitation, phenyl, naphthyl, tetrahydronaphthyl, indanyl, idenyl and the like. Preferred aryl ring systems have from about 5 to about 20 carbon atoms in one or more rings. Aryl groups as used herein may optionally include further substituent groups.
As used herein the terms "aralkyl" and "arylalkyl," refer to an aromatic group that is covalently linked to a C1-C12 alkyl radical. The alkyl radical portion of the resulting aralkyl (or arylalkyl) group forms a covalent bond with a parent molecule. Examples include without limitation, benzyl, phenethyl and the like. Aralkyl groups as used herein may optionally include further substituent groups attached to the alkyl, the aryl or both groups that form the radical group.
As used herein the term "heterocyclic radical" refers to a radical mono-, or poly-cyclic ring system that includes at least one heteroatom and is unsaturated, partially saturated or fully saturated, thereby including heteroaryl groups. Heterocyclic is also meant to include fused ring systems wherein one or more of the fused rings contain at least one heteroatom and the other rings can contain one or more heteroatoms or optionally contain no heteroatoms. A heterocyclic radical typically includes at least one atom selected from sulfur, nitrogen or oxygen. Examples of heterocyclic radicals include, [l,3]dioxolanyl, pyrrolidinyl, pyrazolinyl, pyrazolidinyl, imidazolinyl, imidazolidinyl, piperidinyl, piperazinyl, oxazolidinyl, isoxazolidinyl, morpholinyl, thiazolidinyl, isothiazolidinyl, quinoxalinyl, pyridazinonyl, tetrahydrofuryl and the like. Heterocyclic groups as used herein may optionally include further substituent groups.
As used herein the terms "heteroaryl," and "heteroaromatic," refer to a radical comprising a mono- or poly-cyclic aromatic ring, ring system or fused ring system wherein at least one of the rings is aromatic and includes one or more heteroatoms. Heteroaryl is also meant to include fused ring systems including systems where one or more of the fused rings contain no heteroatoms.
Heteroaryl groups typically include one ring atom selected from sulfur, nitrogen or oxygen.
Examples of heteroaryl groups include without limitation, pyridinyl, pyrazinyl, pyrimidinyl, pyrrolyl, pyrazolyl, imidazolyl, thiazolyl, oxazolyl, isooxazolyl, thiadiazolyl, oxadiazolyl, thiophenyl, furanyl, quinolinyl, isoquinolinyl, benzimidazolyl, benzooxazolyl, quinoxalinyl and the like. Heteroaryl radicals can be attached to a parent molecule directly or through a linking moiety such as an aliphatic group or hetero atom. Heteroaryl groups as used herein may optionally include further substituent groups.
As used herein the term "heteroarylalkyl," refers to a heteroaryl group as previously defined that further includes a covalently attached C]-C12 alkyl radical. The alkyl radical portion of the resulting heteroarylalkyl group is capable of forming a covalent bond with a parent molecule.
Examples include without limitation, pyridinylmethylene, pyrimidinylethylene, napthyridinylpropylene and the like. Heteroarylalkyl groups as used herein may optionally include further substituent groups on one or both of the heteroaryl or alkyl portions.
As used herein the term "acyl," refers to a radical formed by removal of a hydroxyl group from an organic acid and has the general Formula -C(0)-X where X is typically aliphatic, alicyclic or aromatic. Examples include aliphatic carbonyls, aromatic carbonyls, aliphatic sulfonyls, aromatic sulfinyls, aliphatic sulfinyls, aromatic phosphates, aliphatic phosphates and the like. Acyl groups as used herein may optionally include further substituent groups.
As used herein the terms "halo" and "halogen," refer to an atom selected from fluorine, chlorine, bromine and iodine.
As used herein the term "oxo" refers to the group (=0).
As used herein the term "protecting group," refers to a labile chemical moiety which is known in the art to protect reactive groups including without limitation, hydroxyl, amino and thiol groups, against undesired reactions during synthetic procedures. Protecting groups are typically used selectively and/or orthogonally to protect sites during reactions at other reactive sites and can then be removed to leave the unprotected group as is or available for further reactions. Protecting groups as known in the art are described generally in Greene's Protective Groups in Organic Synthesis, 4th edition, John Wiley & Sons, New York, 2007.
Groups can be selectively incorporated into oligomeric compounds as provided herein as precursors. For example an amino group can be placed into a compound as provided herein as an azido group that can be chemically converted to the amino group at a desired point in the synthesis. Generally, groups are protected or present as precursors that will be inert to reactions that modify other areas of the parent molecule for conversion into their final groups at an appropriate time. Further representative protecting or precursor groups are discussed in Agrawal et ah, Protocols for Oligonucleotide Conjugates, Humana Press; New Jersey, 1994, 26, 1-72.
The term "orthogonally protected" refers to functional groups which are protected with different classes of protecting groups, wherein each class of protecting group can be removed in any order and in the presence of all other classes (see, Barany et ah, J. Am. Chem. Soc, 1977, 99, 7363- 7365; Barany et ah, J. Am. Chem. Soc, 1980, 102, 3084-3095). Orthogonal protection is widely used in for example automated oligonucleotide synthesis. A functional group is deblocked in the presence of one or more other protected functional groups which is not affected by the deblocking procedure. This deblocked functional group is reacted in some manner and at some point a further orthogonal protecting group is removed under a different set of reaction conditions. This allows for selective chemistry to arrive at a desired compound or oligomeric compound. Examples of hydroxyl protecting groups include without limitation, acetyl, t-butyl, t- butoxymethyl, methoxymethyl, tetrahydropyranyl, 1-ethoxyethyl, 1 -(2-chloroethoxy)ethyl, p- chlorophenyl, 2,4-dinitrophenyl, benzyl, 2,6-dichlorobenzyl, diphenylmethyl, p-nitrobenzyl, bis(2- acetoxyethoxy)methyl (ACE), 2-trimethylsilylethyl, trimethylsilyl, triethylsilyl, t-butyldimethylsilyl, t-butyldiphenylsilyl, triphenylsilyl, [(triisopropylsilyl)oxy]methyl (TOM), benzoylformate, chloroacetyl, trichloroacetyl, trifluoroacetyl, pivaloyl, benzoyl, p-phenylbenzoyl, 9-fluorenylmethyl carbonate, mesylate, tosylate, triphenylmethyl (trityl), monomethoxytrityl, dimethoxytrityl (DMT), trimethoxytrityl, l(2-fluorophenyl)-4-methoxypiperidin-4-yl (FPMP), 9-phenylxanthine-9-yl (Pixyl) and 9-(p-methoxyphenyl)xanthine-9-yl (MOX). Wherein more commonly used hydroxyl protecting groups include without limitation, benzyl, 2,6-dichlorobenzyl, t-butyldimethylsilyl, t-butyldiphenylsilyl, benzoyl, mesylate, tosylate, dimethoxytrityl (DMT), 9-phenylxanthine-9-yl (Pixyl) and 9-(p-methoxyphenyl)xanthine-9-yl (MOX).
Examples of amino protecting groups include without limitation, carbamate-protecting groups, such as 2-trimethylsilylethoxycarbonyl (Teoc), 1 -methyl- l-(4-biphenylyl)ethoxycarbonyl (Bpoc), t-butoxycarbonyl (BOC), allyloxycarbonyl (Alloc), 9-fluorenylmethyloxycarbonyl (Fmoc), and benzyloxycarbonyl (Cbz); amide-protecting groups, such as formyl, acetyl, trihaloacetyl, benzoyl, and nitrophenylacetyl; sulfonamide-protecting groups, such as 2-nitrobenzenesulfonyl; and imine- and cyclic imide-protecting groups, such as phthalimido and dithiasuccinoyl.
Examples of thiol protecting groups include without limitation, triphenylmethyl (trityl), benzyl (Bn), and the like.
The compounds described herein contain one or more asymmetric centers and thus give rise to enantiomers, diastereomers, and other stereoisomeric forms that may be defined, in terms of absolute stereochemistry, as (R)- or (S)-, a or β, or as (D)- or (L)- such as for amino acids. Included herein are all such possible isomers, as well as their racemic and optically pure forms. Optical isomers may be prepared from their respective optically active precursors by the procedures described above, or by resolving the racemic mixtures. The resolution can be carried out in the presence of a resolving agent, by chromatography or by repeated crystallization or by some combination of these techniques which are known to those skilled in the art. Further details regarding resolutions can be found in Jacques, et ah, Enantiomers, Racemates, and Resolutions, John Wiley & Sons, 1981. When the compounds described herein contain olefinic double bonds, other unsaturation, or other centers of geometric asymmetry, and unless specified otherwise, it is intended that the compounds include both E and Z geometric isomers or cis- and trans-isomers.
Likewise, all tautomeric forms are also intended to be included. The configuration of any carbon- carbon double bond appearing herein is selected for convenience only and is not intended to limit a particular configuration unless the text so states.
The terms "substituent" and "substituent group," as used herein, are meant to include groups that are typically added to other groups or parent compounds to enhance desired properties or provide other desired effects. Substituent groups can be protected or unprotected and can be added to one available site or to many available sites in a parent compound. Substituent groups may also be further substituted with other substituent groups and may be attached directly or via a linking group such as an alkyl or hydrocarbyl group to a parent compound.
Substituent groups amenable herein include without limitation, halogen, hydroxyl, alkyl, alkenyl, alkynyl, acyl (-C(O)Raa), carboxyl (-C(O)O-Raa), aliphatic groups, alicyclic groups, alkoxy, substituted oxy (-O-Raa), aryl, aralkyl, heterocyclic radical, heteroaryl, heteroarylalkyl, amino (-N(Rbb)(Rcc)), imino(=NRbb), amido (-C(0)N(Rbb)(RcC) or -N(Rbb)C(0)Raa), azido (-N3), nitro (-N02), cyano (-CN), carbamido (-OC(0)N(Rbb)(RcC) or -N(Rbb)C(0)ORaa), ureido (-N(Rbb)C(0)- N(Rbb)(RcC)), thioureido (-N(Rbb)C(S)N(Rbb)(RcC)), guanidinyl (-N(Rbb)C(=NRbb)N(Rbb)(RcC)), amidinyl (-C(=NRbb)N(Rbb)(RcC) or -N(Rbb)C(=NRbb)(Raa)), thiol (-SRbb), sulfinyl (-S(0)Rbb), sulfonyl (-S(0)2Rbb) and sulfonamidyl (-S(0)2N(Rbb)(RcC) or -N(Rbb)S(0)2Rbb). Wherein each Raa, Rbb and RcC is, independently, H, an optionally linked chemical functional group or a further substituent group with a preferred list including without limitation, H, alkyl, alkenyl, alkynyl, aliphatic, alkoxy, acyl, aryl, aralkyl, heteroaryl, alicyclic, heterocyclic and heteroarylalkyl. Selected substituents within the compounds described herein are present to a recursive degree.
In this context, "recursive substituent" means that a substituent may recite another instance of itself. Because of the recursive nature of such substituents, theoretically, a large number may be present in any given claim. One of ordinary skill in the art of medicinal chemistry and organic chemistry understands that the total number of such substituents is reasonably limited by the desired properties of the compound intended. Such properties include, by way of example and not limitation, physical properties such as molecular weight, solubility or logP, application properties such as activity against the intended target and practical properties such as ease of synthesis.
Recursive substituents are an intended aspect of the invention. One of ordinary skill in the art of medicinal and organic chemistry understands the versatility of such substituents. To the degree that recursive substituents are present in a claim of the invention, the total number will be determined as set forth above.
The terms "stable compound" and "stable structure" as used herein are meant to indicate a compound that is sufficiently robust to survive isolation to a useful degree of purity from a reaction mixture, and formulation into an efficacious therapeutic agent. Only stable compounds are contemplated herein.
As used herein, the term "nucleobase" refers to unmodified or naturally occurring
nucleobases which include, but are not limited to, the purine bases adenine (A) and guanine (G), and the pyrimidine bases thymine (T), cytosine (C) and uracil (U).
As used herein the term "heterocyclic base moiety" refers to unmodified or naturally occurring nucleobases as well as modified or non-naturally occurring nucleobases and synthetic mimetics thereof (such as for example phenoxazines). In one embodiment, a heterocyclic base moiety is any heterocyclic system that contains one or more atoms or groups of atoms capable of hydrogen bonding to a heterocyclic base of a nucleic acid.
In certain embodiments, heterocyclic base moieties include without limitation modified nucleobases such as 5-methylcytosine (5-me-C), 5-hydroxymethyl cytosine, xanthine, hypoxanthine, 2-aminoadenine, 6-methyl and other alkyl derivatives of adenine and guanine, 2-propyl and other alkyl derivatives of adenine and guanine, 2-thiouracil, 2-thiothymine and 2-thiocytosine, 5- halouracil and cytosine, 5-propynyl (-C≡C-CH3) uracil and cytosine and other alkynyl derivatives of pyrimidine bases, 6-azo uracil, cytosine and thymine, 5-uracil (pseudouracil), 4-thiouracil, 8-halo, 8- amino, 8-thiol, 8-thioalkyl, 8-hydroxyl and other 8-substituted adenines and guanines, 5-halo particularly 5-bromo, 5-trifiuoromethyl and other 5-substituted uracils and cytosines, 7- methylguanine and 7-methyladenine, 2-F-adenine, 2-amino-adenine, 8-azaguanine and 8- azaadenine, 7-deazaguanine and 7-deazaadenine, 3-deazaguanine and 3-deazaadenine, universal bases, hydrophobic bases, promiscuous bases, size-expanded bases, and fluorinated bases as defined herein.
In certain embodiments, heterocyclic base moieties include without limitation tricyclic pyrimidines such as l,3-diazaphenoxazine-2-one, l,3-diazaphenothiazine-2-one and 9-(2- aminoethoxy)-l,3-diazaphenoxazine-2-one (G-clamp). Heterocyclic base moieties also include those in which the purine or pyrimidine base is replaced with other heterocycles, for example 7- deaza-adenine, 7-deazaguanosine, 2-aminopyridine and 2-pyridone. Further heterocyclic base moieties include without limitation those known to the art skilled (see for example: United States Patent No. 3,687,808; Swayze et ah, The Medicinal Chemistry of Oligonucleotides in Antisense a Drug Technology, Chapter 6, pages 143-182, Crooke, S.T., ed., 2008); The Concise Encyclopedia
Of Polymer Science And Engineering, Kroschwitz, J.I., Ed., John Wiley & Sons, 1990, 858-859;
Englisch et al., Angewandte Chemie, International Edition, 1991, 30, 613; Sanghvi, Y.S., Chapter
15, Antisense Research and Applications, Crooke, S.T. and Lebleu, B., Eds., CRC Press, 1993, 273- 302). Modified polycyclic heterocyclic compounds useful as heterocyclic base moieties are disclosed in the above noted U.S. 3,687,808, as well as U.S.: 4,845,205; 5,130,302; 5,134,066; 5,175,273; 5,367,066; 5,432,272; 5,434,257; 5,457,187; 5,459,255; 5,484,908; 5,502, 177;
5,525,71 1 ; 5,552,540; 5,587,469; 5,594,121 , 5,596,091 ; 5,614,617; 5,645,985; 5,646,269;
5,681 ,941 ; 5,750,692; 5,763,588; 5,830,653; 6,005,096; and U.S. Patent Application Publication 20030158403, each of which is incorporated herein by reference in its entirety.
As used herein the term "sugar moiety" refers to naturally occurring sugars having a furanose ring, synthetic or non-naturally occurring sugars having a modified furanose ring and sugar surrogates wherein the furanose ring has been replaced with a cyclic ring system such as for example a morpholino or hexitol ring system or a non-cyclic sugar surrogate such as that used in peptide nucleic acids. Illustrative examples of sugar moieties useful in the preparation of oligomeric compounds include without limitation, β-D-ribose, P-D-2'-deoxyribose, substituted sugars (such as 2', 5' and bis substituted sugars), 4'-S-sugars (such as 4'-S-ribose, 4'-S-2'-deoxyribose and 4'-S-2'- substituted ribose wherein the ring oxygen atom has been replaced with a sulfur atom), bicyclic modified sugars (such as the 2 -0-CH2-4' or 2'-0-(CH2)2-4' bridged ribose derived bicyclic sugars) and sugar surrogates (such as for example when the ribose ring has been replaced with a
morpholino, a hexitol ring system or an open non-cyclic system).
As used herein the term "sugar substituent group" refers to groups that are covalently attached to sugar moieties. In certain embodiments, examples of sugar substituent groups include without limitation halogen, alkyl, substituted alkyl, alkoxy, substituted alkoxy, alkenyl, substituted alkenyl, alkynyl, substituted alkynyl, amino, substituted amino, thio, substituted thio and azido. In certain embodiments the alkyl and alkoxy groups are C\ to C6. In certain embodiments, the alkenyl and alkynyl groups are C2 to C6. In certain embodiments, examples of sugar substituent groups include without limitation 2'-F, 2'-allyl, 2*-amino, 2'-azido, 2'-thio, 2'-0-allyl, 2*-OCF3, 2'-O-Ci-C10 alkyl, 2*-OCH3, 2'-0(CH2)nCH3, 2'-OCH2CH3, 2,-0-(CH2)2CH3, 2'-0-(CH2)2-0-CH3 (MOE), 2'- 0[(CH2)„0]mCH3, 2'-0(CH2)2SCH3, 2,-0-(CH2)3-N(Rp)(Rq), 2'-0(CH2)nNH2, 2'-0-(CH2)2-0- N(Rp)(Rq), 0(CH2)nON[(CH2)nCH3]2, 2'-0(CH2)nONH2, 2'-0-(CH2)2-0-(CH2)2-N(Rp)(Rq), 2'-0- CH2C(=0)-N(Rp)(Rq), 2*-OCH2C(=0)N(H)CH3, 2,-0-CH2C(=0)-N(H)-(CH2)2-N(Rp)(Rq) and 2'-0- CH2-N(H)-C(=NRr)[N(Rp)(Rq)], wherein each Rp, Rq and Rr is, independently, H, substituted or unsubstituted Q-CJO alkyl or a protecting group and where n and m are from 1 to about 10.
In certain embodiments, examples of substituent groups useful for modifying furanose sugar moieties (e.g., sugar substituent groups used for modified nucleosides), include without limitation
2'-F, 2"-allyl, 2'-amino, 2'-azido, 2*-thio, 2'-0-3ΐ^1, 2'-OCF3, 2'-O-Ci-C10 alkyl, 2*-0-CH3, OCF3, 2'- O-CH2CH3, 2*-0-(CH2)2CH3, 2'-0-(CH2)2-0-CH3 (MOE), 2'-0(CH2)2SCH3, 2'-0-CH2-CH=CH2, 2'- 0-(CH2)3-N(Rm)(Rn), 2'-0-(CH2)2-0-N(Rm)(Rn), 2'-0-(CH2)2-0-(CH2)2-N(Rm)(R„), 2'-0- CH2C(=0)-N(Rm)(Rn), 2'-0-CH2C(=0)-N(H)-(CH2)2-N(Rm)(Rn) and 2'-0-CH2-N(H)- C(=NRm)[N(Rm)(Rn)] wherein each Rm and Rn is, independently, H, substituted or unsubstituted d- C10 alkyl or a protecting group. In certain embodiments, examples of 2,-sugar substituent groups include without limitation fluoro, -O-CH3, -0-CH2CH3, -0-(CH2)2CH3, -0-(CH2)2-0-CH3, -0-CH2- CH=CH2, -0-(CH2)3-N(R1)(R2), O-(CH2)2-O-N(R (R2), -0-(CH2)2-0-(CH2)2-N(R1)(R2), -O- CH2C(=0)-N(Ri)(R2), -O-CH2C(=O)-N(H)-(CH2)2-N(R (R2) and -0-CH2-N(H)- C(=NR1)[N(R1)(R2)] wherein R\ and R2 are each independently, H or C C2 alkyl. In certain embodiments, examples of sugar substituent groups include without limitation fluoro, -O-CH3, -O- (CH2)2-0-CH3, -0-CH2C(=0)-N(H)(CH3), -0-CH2C(=0)-N(H)-(CH2)2-N(CH3)2 and -0-CH2-N(H)- C(=NCH3)[N(CH3)2]. In certain embodiments, examples of sugar substituent groups include without limitation fluoro, -O-CH3, -0-(CH2)2-0-CH3, -0-CH2C(=0)-N(H)(CH3) and -0-CH2C(=0)- N(H)-(CH2)2-N(CH3)2. Further examples of modified sugar moieties include without limitation bicyclic sugars (e.g. bicyclic nucleic acids or bicyclic nucleosides discussed below).
In certain embodiments, examples of sugar substituent groups include without limitation one or two 5'-sugar substituent groups independently selected from C!-C6 alkyl, substituted Ci-Ce alkyl, C2-C6 alkenyl, substituted C2-C6 alkenyl, C2-C6 alkynyl, substituted C2-C6 alkynyl and halogen. In certain embodiments, examples of sugar substituent groups include without limitation one or two 5'- sugar substituent groups independently selected from vinyl, 5'-methyl, 5'-(5)-methyl and 5'-(R)- methyl. In certain embodiments, examples of sugar substituent groups include without limitation one 5'-sugar substituent group selected from vinyl, 5'-(S)-methyl and 5'-(i?)-methyl.
In certain embodiments, examples of sugar substituent groups include without limitation substituted silyl, an RNA cleaving group, a reporter group, an intercalator, a group for improving pharmacokinetic properties, or a group for improving the pharmacodynamic properties of an oligomeric compound, and other substituents having similar properties. In certain embodiments, oligomeric compounds include modifed nucleosides comprising 2'-MOE substituent groups (Baker et al., J. Biol. Chem., 1997, 272, 11944-12000). Such 2'-MOE substitution has been described as having improved binding affinity compared to unmodified nucleosides and to other modified nucleosides, such as 2'-0-methyl, 2'-0-propyl, and 2'-0-aminopropyl. Oligonucleotides having the
2 -MOE substituent also have been shown to be antisense inhibitors of gene expression with promising features for in vivo use (Martin, P., Helv. Chim. Acta, 1995, 78, 486-504; Altmann et al.,
Chimia, 1996, 50, 168-176; Altmann et al, Biochem. Soc. Trans., 1996, 24, 630-637; and Altmann et αί, Nucleosides Nucleotides, 1997, 16, 917-926).
Sugar moieties can be substituted with combinations of sugar substituent groups including without limitation 2'-F-5 '-methyl substituted nucleosides (see PCT International Application WO 2008/101157, published on 8/21/08 for other disclosed 5', 2*-bis substituted nucleosides). Other combinations are also possible, including without limitation, replacement of the ribosyl ring oxygen atom with S and further substitution at the 2'-position (see published U.S. Patent Application US2005-0130923, published on June 16, 2005) and 5'-substitution of a bicyclic nucleoside (see PCT International Application WO 2007/134181, published on 11/22/07 wherein a 4'-CH2-0-2" bicyclic nucleoside is further substituted at the 5' position with a 5'-methyl or a 5 -vinyl group).
As used herein, the term "nucleoside" refers to a nucleobase-sugar combination. The two most common classes of such nucleobases are purines and pyrimidines.
As used herein, the term "nucleotide" refers to a nucleoside further comprising a modified or unmodified phosphate intemucleoside linking group or a non-phosphate intemucleoside linking group. For nucleotides that include a pentofuranosyl sugar, the intemucleoside linking group can be linked to either the 2', 3' or 5' hydroxyl moiety of the sugar. The phosphate and or a non-phosphate intemucleoside linking groups are routinely used to covalently link adjacent nucleosides to one another to form a linear polymeric compound.
The term "nucleotide mimetic" as used herein is meant to include monomers that incorporate into oligomeric compounds with sugar and linkage surrogate groups, such as for example peptide nucleic acids (PNA) or morpholinos (linked by -N(H)-C(=0)-0-). In general, the heterocyclic base at each position is maintained for hybridization to a nucleic acid target but the sugar and linkage is replaced with surrogate groups that are expected to function similar to native groups but have one or more enhanced properties.
As used herein the term "nucleoside mimetic" is intended to include those structures used to replace the sugar and the base at one or more positions of an oligomeric compound. Examples of nucleoside mimetics include without limitation nucleosides wherein the heterocyclic base moiety is replaced with a phenoxazine moiety (for example the 9-(2-aminoethoxy)-l,3-diazaphenoxazine-2- one group, also referred to as a G-clamp which forms four hydrogen bonds when hybridized with a guanosine base) and further replacement of the sugar moiety with a group such as for example a morpholino, a cyclohexenyl or a bicyclo[3.1.0]hexyl.
As used herein the term "modified nucleoside" is meant to include all manner of modified nucleosides that can be incorporated into an oligomeric compound using oligomer synthesis. The term is intended to include modifications made to a nucleoside such as modified stereochemical configurations, one or more substitutions, and deletion of groups as opposed to the use of surrogate groups which are described elsewhere herein. The term includes nucleosides having a furanose sugar (or 4'-S analog) portion and can include a heterocyclic base or can be an abasic nucleoside. One group of representative modified nucleosides includes without limitation, substituted nucleosides (such as 2', 5 and/or 4' substituted nucleosides) 4'-S-modified nucleosides, (such as 4'- S-ribonucleosides, 4'-S-2'-deoxyribonucleosides and 4'-S-2'-substituted ribonucleosides), bicyclic modified nucleosides (such as for example, bicyclic nucleosides wherein the sugar moiety has a 2'- O-CHRa-41 bridging group, wherein Ra is H, alkyl or substituted alkyl) and base modified nucleosides. The sugar can be modified with more than one of these modifications listed such as for example a bicyclic modified nucleoside further including a 5 '-substitution or a 5 ' or 4' substituted nucleoside further including a 2' substituent. The term modified nucleoside also includes combinations of these modifications such as base and sugar modified nucleosides. These modifications are meant to be illustrative and not exhaustive as other modifications are known in the art and are also envisioned as possible modifications for the modified nucleosides described herein.
As used herein the term "monomer subunit" is meant to include all manner of monomer units that are amenable to oligomer synthesis with one preferred list including monomer subunits such as β-D-ribonucleosides, p-D-2'-deoxyribnucleosides, modified nucleosides, including substituted nucleosides (such as 2', 5' and bis substituted nucleosides), 4'-S-modified nucleosides, (such as 4'-S- ribonucleosides, 4'-S-2'-deoxyribonucleosides and 4'-S-2'-substituted ribonucleosides), bicyclic modified nucleosides (such as bicyclic nucleosides wherein the sugar moiety has a 2'-0-CHRa-4' bridging group, wherein Ra is H, alkyl or substituted alkyl), other modified nucleosides, nucleoside mimetics, nucleosides having sugar surrogates and the bicyclic nucleosides as provided herein.
As used herein the term "bicyclic nucleoside" refers to a nucleoside comprising at least a bicyclic sugar moiety. Examples of bicyclic nucleosides include without limitation nucleosides having a furanosyl sugar that comprises a bridge between two of the non-geminal carbons, preferably the 4' and the 2' carbon atoms. In certain embodiments, oligomeric compounds provided herein include one or more 4' to 2' bridged bicyclic nucleosides. Examples of such 4' to 2' bridged bicyclic nucleosides, include but are not limited to one of formulae: 4'-(CH2)-0-2' (LNA); 4'-(CH2)- S-2'; 4'-(CH2)2-0-2* (ENA); 4'-CH(CH3)-0-2' and 4'-CH(CH20CH3)-0-2' (and analogs thereof see U.S. Patent 7,399,845, issued on July 15, 2008); 4*-C(CH3)(CH3)-0-2' (and analogs thereof see published International Application WO/2009/006478, published January 8, 2009); 4'-CH2-
N(OCH3)-2' (and analogs thereof see published International Application WO/2008/150729, published December 11, 2008); 4'-CH2-0-N(CH3)-2' (see published U.S. Patent Application US2004-0171570, published September 2, 2004 ); 4,-CH2-N(R)-0-2l, wherein R is H, d-C12 alkyl, or a protecting group (see U.S. Patent 7,427,672, issued on September 23, 2008); 4'-CH2-C- (H)(CH3)-2' (see Chattopadhyaya, et al, J. Org. Chem., 2009, 74, 118-134); and 4'-CH2-C(=CH2)-2' (and analogs thereof see published International Application WO 2008/154401, published on December 8, 2008). Further bicyclic nucleosides have been reported in published literature (see for example: Srivastava et al., J. Am. Chem. Soc, 2007, 129(26) 8362-8379; Frieden et al, Nucleic Acids Research, 2003, 21, 6365-6372; Elayadi et al, Curr. Opinion Invens. Drugs, 2001, 2, 558- 561; Braasch et al, Chem. Biol, 2001, 8, 1-7; Orum et al, Curr. Opinion Mol. Ther., 2001, 3, 239- 243; Wahlestedt et al., Proc. Natl. Acad. Sci. U. S. A., 2000, 97, 5633-5638; Singh et al., Chem. Commun., 1998, 4, 455-456; Koshkin et al., Tetrahedron, 1998, 54, 3607-3630; Kumar et al.,
Bioorg. Med. Chem. Lett., 1998, 8, 2219-2222; Singh et al., J. Org. Chem., 1998, 63, 10035-10039; U.S. Patents Nos.: 7,399,845; 7,053,207; 7,034,133; 6,794,499; 6,770,748; 6,670,461 ; 6,525,191 ; 6,268,490; U.S. Patent Publication Nos.: US2008-0039618; US2007-0287831 ; US2004-0171570; U.S. Patent Applications, Serial Nos.: 12/129,154; 61/099,844; 61/097,787; 61/086,231 ;
61/056,564; 61/026,998; 61/026,995; 60/989,574; International applications WO 2007/134181; WO 2005/021570; WO 2004/106356; WO 94/14226; and PCT International Applications Nos.:
PCT/US2008/068922; PCT/US2008/066154; and PCT/US2008/064591). Each of the foregoing bicyclic nucleosides can be prepared having one or more stereochemical sugar configurations including for example a-L-ribofuranose and β-D-ribofuranose (see PCT international application PCT/DK98/00393, published on March 25, 1999 as WO 99/14226).
In certain embodiments, bicyclic nucleosides comprise a bridge between the 4' and the 2' carbon atoms of the pentofuranosyl sugar moiety including without limitation, bridges comprising 1 or from 1 to 4 linked groups independently selected from -[C(Ra)(Rb)]n-, -C(Ra)=C(Rb)-, -C(Ra)=N-, -C(=NRa)-, -C(=0)-, -C(=S)-, -0-, -Si(Ra)2-, -S(=0)x-, and -N(Ra)-; wherein: x is 0, 1, or 2; n is 1, 2, 3, or 4; each Ra and Rb is, independently, H, a protecting group, hydroxyl, C\-Cn alkyl, substituted CrC12 alkyl, C2-C12 alkenyl, substituted C2-C12 alkenyl, C2-C12 alkynyl, substituted C2-C12 alkynyl, C5-C20 aryl, substituted C5-C20 aryl, heterocycle radical, substituted heterocycle radical, heteroaryl, substituted heteroaryl, C5-C7 alicyclic radical, substituted C5-C7 alicyclic radical, halogen, OJi, NJiJ2, SJi, N3, COOJl5 acyl (C(=0)-H), substituted acyl, CN, sulfonyl (S(=O)2-J , or sulfoxyl (S(=O)-J ; and
each J] and j2 is, independently, H, Ci-Ci2 alkyl, substituted C!-C12 alkyl, C2-C12 alkenyl, substituted C2-C12 alkenyl, C2-C12 alkynyl, substituted C2-C12 alkynyl, C5-C20 aryl, substituted C5-
C20 aryl, acyl (C(=0)-H), substituted acyl, a heterocycle radical, a substituted heterocycle radical, C1-C12 aminoalkyl, substituted C Ci2 aminoalkyl or a protecting group.
In certain embodiments, the bridge of a bicyclic sugar moiety is , -[C(Ra)(Rb)]n-,
-[C(Ra)(Rb)]n-0-, -C(RaRb)-N(R)-0- or -C(RaRb)-0-N(R)-. In certain embodiments, the bridge is 4'-CH2-2', 4,-(CH2)2-2*, 4*-(CH2)3-2', 4'-CH2-0-2', 4*-(CH2)2-0-2', 4'-CH2-C-N(R)-2' and 4'-CH2- N(R)-0-2'- wherein each R is, independently, H, a protecting group or Ci-Cn alkyl.
In certain embodiments, bicyclic nucleosides are further defined by isomeric configuration. For example, a nucleoside comprising a 4'-(CH2)-0-2' bridge, may be in the a-L configuration or in the β-D configuration. Previously, a-L-methyleneoxy (4'-CH2-0-2') BNA's have been incorporated into antisense oligonucleotides that showed antisense activity (Frieden et al, Nucleic Acids Research, 2003, 21, 6365-6372).
In certain embodiments, bicyclic nucleosides include those having a 4' to 2' bridge wherein such bridges include without limitation, a-L-4*-(CH2)-0-2*, p-D-4*-CH2-0-2', 4'-(CH2)2-0-2', 4'- CH2-0-N(R)-2', 4'-CH2-N(R)-0-2', 4*-CH(CH3)-0-2', 4'-CH2-S-2*, 4'-CH2-N(R)-2', 4'-CH2- CH(CH3)-2*, and 4'-(CH2)3-2', wherein R is H, a protecting group or Ci-C12 alkyl.
In certain embodiments, bicyclic nucleosides have the formula:
Figure imgf000031_0001
wherein:
Bx is a heterocyclic base moiety;
-Qa-Qb-Qc- is -CH2-N(Rc)-CH2-, -C(=0)-N(Rc)-CH2-, -CH2-0-N(Ro)-, -CH2-N(Rc)-0- or
N(Rc)-0-CH2;
Rc is Ci-C12 alkyl or an amino protecting group; and
Ta and Tb are each, independently H, a hydroxyl protecting group, a conjugate group, a reactive phosphorus group, a phosphorus moiety or a covalent attachment to a support medium.
In certain embodiments, bicyclic nucleosides have the formula:
Figure imgf000031_0002
wherein:
Bx is a heterocyclic base moiety; Ta and Tb are each, independently H, a hydroxyl protecting group, a conjugate group, a reactive phosphorus group, a phosphorus moiety or a covalent attachment to a support medium;
Za is C!-C6 alkyl, C2-C6 alkenyl, C2-C6 alkynyl, substituted C C alkyl, substituted C2-C6 alkenyl, substituted C2-C6 alkynyl, acyl, substituted acyl, substituted amide, thiol or substituted thiol.
In one embodiment, each of the substituted groups, is, independently, mono or poly substituted with substituent groups independently selected from halogen, oxo, hydroxyl, OJc, NJcJd, SJC, N3, OC(=X)Jc, and NJeC(=X)NJcJd, wherein each Jc, Jd and Je is, independently, H, d-C6 alkyl, or substituted Ci-Ce alkyl and X is O or NJC.
In certain embodiments, bicyclic nucleosides have the formula:
Figure imgf000032_0001
wherein:
Bx is a heterocyclic base moiety;
Ta and Tb are each, independently H, a hydroxyl protecting group, a conjugate group, a reactive phosphorus group, a phosphorus moiety or a covalent attachment to a support medium;
Zb is C C6 alkyl, C2-C6 alkenyl, C2-C alkynyl, substituted Q-Q alkyl, substituted C2-C6 alkenyl, substituted C2-C6 alkynyl or substituted acyl (C(=0)-).
In certain embodiments, bicyclic nucleosides have the formula:
Figure imgf000032_0002
wherein:
Bx is a heterocyclic base moiety;
Ta and Tb are each, independently H, a hydroxyl protecting group, a conjugate group, a reactive phosphorus group, a phosphorus moiety or a covalent attachment to a support medium;
Rd is Q-C6 alkyl, substituted C C6 alkyl, C2-C6 alkenyl, substituted C2-C6 alkenyl, C2-C6 alkynyl or substituted C2-C6 alkynyl;
each qa, qt,, qc and qa is, independently, H, halogen, C C6 alkyl, substituted Q-C6 alkyl, C2- C6 alkenyl, substituted C2-C6 alkenyl, C2-C6 alkynyl or substituted C2-C6 alkynyl, C!-C6 alkoxyl, substituted C!-C6 alkoxyl, acyl, substituted acyl, Q- aminoalkyl or substituted Q-Q aminoalkyl;
In certain embodiments, bicyclic nucleosides have the formula:
Figure imgf000033_0001
wherein:
Bx is a heterocyclic base moiety;
Ta and Tb are each, independently H, a hydroxyl protecting group, a conjugate group, a reactive phosphorus group, a phosphorus moiety or a covalent attachment to a support medium;
qa, qb, qe and qf are each, independently, hydrogen, halogen, Ci-C12 alkyl, substituted C\-Cn alkyl, C2-C12 alkenyl, substituted C2-C12 alkenyl, C2-Ci2 alkynyl, substituted C2-C12 alkynyl, Cj-C12 alkoxy, substituted Ci-d2 alkoxy, OJj, SJj, SOJj, S02Jj, NJjJk, N3, CN, C(=0)OJj, C(=0)NJjJk, C(=0)Jj, 0-C(=0)NJjJk, N(H)C(=NH)NJjJk, N(H)C(=0)NJjJk or N(H)C(=S)NJjJk;
or qe and qf together are =C(qg)(qh);
qg and qh are each, independently, H, halogen, C1-C12 alkyl or substituted C1-C12 alkyl.
The synthesis and preparation of adenine, cytosine, guanine, 5-methyl-cytosine, thymine and uracil bicyclic nucleosides having a 4'-CH2-0-2' bridge, along with their oligomerization, and nucleic acid recognition properties have been described (Koshkin et al., Tetrahedron, 1998, 54, 3607-3630). The synthesis of bicyclic nucleosides has also been described in WO 98/39352 and WO 99/14226.
Analogs of various bicyclic nucleosides that have 4' to 2' bridging groups such as 4'-CH2-0- 2' and 4'-CH2-S-2', have also been prepared (Kumar et al, Bioorg. Med. Chem. Lett., 1998, 8, 2219- 2222). Preparation of oligodeoxyribonucleotide duplexes comprising bicyclic nucleosides for use as substrates for nucleic acid polymerases has also been described (Wengel et al., WO 99/14226 ). Furthermore, synthesis of 2'-amino-BNA, a novel conformationally restricted high-affinity oligonucleotide analog has been described in the art (Singh et al., J. Org. Chem., 1998, 63, 10035- 10039). In addition, 2'-amino- and 2'-methylamino-BNA's have been prepared and the thermal stability of their duplexes with complementary RNA and DNA strands has been previously reported. In certain embodiments, bicyclic nucleosides have the formula:
Figure imgf000034_0001
wherein:
Bx is a heterocyclic base moiety;
Ta and T are each, independently H, a hydroxyl protecting group, a conjugate group, a reactive phosphorus group, a phosphorus moiety or a covalent attachment to a support medium; each qi, qj, qk and qi is, independently, H, halogen, C\-Cn alkyl, substituted Ci-Cn alkyl, C2- C12 alkenyl, substituted C2-C12 alkenyl, C2-C12 alkynyl, substituted C2-C12 alkynyl, CrC12 alkoxyl, substituted CrCi2 alkoxyl, OJj, SJj, SOJj, S02Jj, NJj Jk, N3, CN, C(=0)OJj, C(=0)NJj Jk, C(=0)Jj, O- C(=0)NJjJk, N(H)C(=NH)NJjJk, N(H)C(=0)NJjJkorN(H)C(=S)NJjJk; and
qi and qj or qi and qk together are =C(qg)(qh), wherein qg and qh are each, independently, H, halogen, C]-C12 alkyl or substituted Ci-C12 alkyl.
One carbocyclic bicyclic nucleoside having a 4'-(CH2)3-2' bridge and the alkenyl analog bridge 4'-CH=CH-CH2-2' have been described (Frier et al, Nucleic Acids Research, 1997, 25(22), 4429-4443 and Albaek et al, J. Org. Chem., 2006, 71, 7731-7740). The synthesis and preparation of carbocyclic bicyclic nucleosides along with their oligomerization and biochemical studies have also been described (Srivastava et al, J. Am. Chem. Soc. 2007, 129(26), 8362-8379).
In certain embodiments, bicyclic nucleosides include, but are not limited to, (A) a-L- methyleneoxy (4'-CH2-0-2') BNA , (B) β-D-methyleneoxy (4'-CH2-0-2') BNA , (C) ethyleneoxy (4'-(CH2)2-0-2') BNA , (D) aminooxy (4'-CH2-0-N(R)-2') BNA, (E) oxyamino (4'-CH2-N(R)-0- 2') BNA, (F) methyl(methyleneoxy) (4'-CH(CH3)-0-2') BNA (also referred to as constrained ethyl or cEt), (G) methylene-thio (4'-CH2-S-2') BNA, (H) methylene-amino (4'-CH2-N(R)-2') BNA, (I) methyl carbocyclic (4'-CH2-CH(CH3)-2') BNA, (J) propylene carbocyclic (4'-(CH2)3-2') BNA, and (K) vinyl BNA as depicted below.
Figure imgf000035_0001
wherein Bx is the base moiety and R is, independently, H, a protecting group, Ci-Ce alkyl or C Q alkoxy.
As used herein the term "sugar surrogate" refers to replacement of the nucleoside furanose ring with a non-furanose (or 4'-substituted furanose) group with another structure such as another ring system or open system. Such structures can be as simple as a six membered ring as opposed to the five membered furanose ring or can be more complicated such as a bicyclic or tricyclic ring system or a non-ring system used in peptide nucleic acid. In certain embodiments, sugar surrogates include without limitation sugar surrogate groups such as morpholinos, cyclohexenyls and cyclohexitols. In general the heterocyclic base is maintained even when the sugar moiety is a sugar surrogate so that the resulting monomer subunit will be able to hybridize.
In certain embodiments, nucleosides having sugar surrogate groups include without limitation, replacement of the ribosyl ring with a sugar surrogate such as a tetrahydropyranyl ring system (also referred to as hexitol) as illustrated below:
Figure imgf000035_0002
In certain embodiments, sugar surrogates are selected having the formula:
Figure imgf000036_0001
wherein:
Bx is a heterocyclic base moiety;
T3 and T4 are each, independently, an internucleoside linking group linking the
tetrahydropyran nucleoside analog to the oligomeric compound or one of T3 and T4 is an
internucleoside linking group linking the tetrahydropyran nucleoside analog to an oligomeric compound or oligonucleotide and the other of T3 and T4 is H, a hydroxyl protecting group, a linked conjugate group or a 5' or 3'-terminal group;
qi, q2, q3, q», q5, q6 and q7 are each independently, H, C!-C6 alkyl, substituted C C6 alkyl, C2-C6 alkenyl, substituted C2-C6 alkenyl, C2-C6 alkynyl or substituted C2-C6 alkynyl; and
one of Ri and R2 is hydrogen and the other is selected from halogen, substituted or unsubstituted alkoxy, NJiJ2, SJi, N3, OC(=X)Ji, OC(=X)NJiJ2, NJ3C(=X)NJ1J2 and CN, wherein X is O, S or NJi and each Jls J2 and J3 is, independently, H or Q-Q alkyl.
In certain embodiments, qls q2, q3, q4, q5, q6 and q7 are each H. In certain embodiments, at least one of qls q2, q3, q4, q5, q6 and q7 is other than H. In certain embodiments, at least one of q1? q2, 3, q4, q5> q6 and q7 is methyl. In certain embodiments, THP nucleosides are provided wherein one of Ri and R2 is F. In certain embodiments, Ri is fluoro and R2 is H; R\ is methoxy and R2 is H, and Ri is methoxyethoxy and R2 is H.
Such sugar surrogates can be referred to as a "modified tetrahydropyran nucleoside" or "modified THP nucleoside". Modified THP nucleosides include, but are not limited to, what is referred to in the art as hexitol nucleic acid (HNA), altritol nucleic acid (ANA), and mannitol nucleic acid (MNA) (see Leumann, C. J., Bioorg. & Med. Chem., 2002, 10, 841-854).
In certain embodiments, oligomeric compounds comprise one or more modified
cyclohexenyl nucleosides, which is a nucleoside having a six-membered cyclohexenyl in place of the pentofuranosyl residue in naturally occurring nucleosides. Modified cyclohexenyl nucleosides include, but are not limited to those described in the art (see for example commonly owned, published PCT Application WO 2010/036696, published on April 10, 2010, Robeyns et al, J. Am. Chem. Soc, 2008, 130(6), 1979-1984; Horvath et al, Tetrahedron Letters, 2007, 48, 3621-3623; Nauwelaerts et al., J. Am. Chem. Soc, 2007, 129(30), 9340-9348; Gu et al.,, Nucleosides,
Nucleotides & Nucleic Acids, 2005, 24(5-7), 993-998; Nauwelaerts et al, Nucleic Acids Research, 2005, 33(8), 2452-2463; Robeyns et al., Acta Crystallographies Section F: Structural Biology and Crystallization Communications, 2005, F61(6), 585-586; Gu et al., Tetrahedron, 2004, 60(9), 2111- 2123; Gu et al., Oligonucleotides, 2003, 13(6), 479-489; Wang et al, J. Org. Chem., 2003, 68,
4499-4505; Verbeure et al., Nucleic Acids Research, 2001, 29(24), 4941-4947; Wang et al, J. Org. Chem., 2001, 66, 8478-82; Wang et al, Nucleosides, Nucleotides & Nucleic Acids, 2001, 20(4-7), 785-788; Wang et al, J. Am. Chem., 2000, 122, 8595-8602; Published PCT application, WO 06/047842; and Published PCT Application WO 01/049687; the text of each is incorporated by reference herein, in their entirety). Certain modified cyclohexenyl nucleosides have Formula X.
Figure imgf000037_0001
X
wherein independently for each of said at least one cyclohexenyl nucleoside analog of Formula X:
Bx is a heterocyclic base moiety;
T3 and T4 are each, independently, an intemucleoside linking group linking the cyclohexenyl nucleoside analog to an antisense compound or one of T3 and T4 is an intemucleoside linking group linking the tetrahydropyran nucleoside analog to an antisense compound and the other of T3 and T4 is H, a hydroxyl protecting group, a linked conjugate group, or a 5 '-or 3'-terminal group; and qi, < 2, 3, q4, q5, q6, q7> qs and q9 are each, independently, H, C C6 alkyl, substituted C!-C6 alkyl, C2-C6 alkenyl, substituted C2-C6 alkenyl, C2-C6 alkynyl, substituted C2-C6 alkynyl or other sugar substituent group.
Many other monocyclic, bicyclic and tricyclic ring systems are known in the art and are suitable as sugar surrogates that can be used to modify nucleosides for incorporation into oligomenc compounds as provided herein (see for example review article: Leumann, Christian J. Bioorg. & Med. Chem., 2002, 10, 841-854). Such ring systems can undergo various additional substitutions to further enhance their activity.
Some representative U.S. patents that teach the preparation of such modified sugars include without limitation, U.S.: 4,981,957; 5,118,800; 5,319,080; 5,359,044; 5,393,878; 5,446,137; 5,466,786; 5,514,785; 5,519,134; 5,567,811; 5,576,427; 5,591,722; 5,597,909; 5,610,300; 5,627,053; 5,639,873; 5,646,265; 5,670,633; 5,700,920; 5,792,847 and 6,600,032 and International Application PCT/US2005/019219, filed June 2, 2005 and published as WO 2005/121371 on
December 22, 2005 certain of which are commonly owned with the instant application, and each of which is herein incorporated by reference in its entirety.
The bicyclic nucleosides provided herein can be prepared by any of the applicable techniques of organic synthesis, as, for example, illustrated in the examples below. Many such techniques are well known in the art. However, many of the known techniques are elaborated in Compendium of Organic Synthetic Methods, John Wiley & Sons, New York: Vol. 1, Ian T. Harrison and Shuyen Harrison, 1971 ; Vol. 2, Ian T. Harrison and Shuyen Harrison, 1974; Vol. 3, Louis S. Hegedus and Leroy Wade, 1977; Vol. 4, Leroy G. Wade Jr., 1980; Vol. 5, Leroy G. Wade Jr., 1984; and Vol. 6, Michael B. Smith; as well as March, J., Advanced Organic Chemistry, 3rd Edition, John Wiley & Sons, New York, 1985; Comprehensive Organic Synthesis. Selectivity, Strategy &
Efficiency in Modern Organic Chemistry, in 9 Volumes, Barry M. Trost, Editor-in-Chief, Pergamon Press, New York, 1993 ; Advanced Organic Chemistry, Part B: Reactions and Synthesis, 4th Edition; Carey and Sundberg, Kluwer Academic/Plenum Publishers, New York, 2001; Advanced Organic Chemistry, Reactions, Mechanisms, and Structure, 2nd Edition, March, McGraw Hill, 1977; Greene, T.W., and Wutz, P.G.M., Protecting Groups in Organic Synthesis, 4th Edition, John Wiley & Sons, New York, 1991; and Larock, R.C., Comprehensive Organic Transformations, 2nd Edition, John Wiley & Sons, New York, 1999.
As used herein the term "reactive phosphorus" is meant to include groups that are covalently linked to a monomer subunit that can be further attached to an oligomeric compound that are useful for forming internucleoside linkages including for example phosphodiester and phosphorothioate internucleoside linkages. Such reactive phosphorus groups are known in the art and contain phosphorus atoms in Pm or Pv valence state including, but not limited to, phosphoramidite, H- phosphonate, phosphate triesters and phosphorus containing chiral auxiliaries. In certain
embodiments, reactive phosphorus groups are selected from diisopropylcyanoethoxy
phosphoramidite (-0*-P[N[(CH(CH3)2]2]0(CH2)2CN) and H-phosphonate (-0*-P(=0)(H)OH), wherein the O* is provided from the Markush group for the monomer. A preferred synthetic solid phase synthesis utilizes phosphoramidites (Pm chemistry) as reactive phosphites. The intermediate phosphite compounds are subsequently oxidized to the phosphate or thiophosphate (Pv chemistry) using known methods to yield, phosphodiester or phosphorothioate internucleoside linkages. Chiral auxiliaries are known in the art (see for example: Wang et al, Tetrahedron Letters, 1997, 38(5), 705-708; Jin et ah, J. Org. Chem, 1997, 63, 3647-3654; Wang et al, Tetrahedron Letters, 1997, 38(22), 3797-3800; and U.S. patent 6,867,294, issued March 15, 2005). Additional reactive phosphates and phosphites are disclosed in Tetrahedron Report Number 309 (Beaucage and Iyer, Tetrahedron, 1992, 48, 2223-2311).
As used herein, "oligonucleotide" refers to a compound comprising a plurality of linked nucleosides. In certain embodiments, one or more of the plurality of nucleosides is modified. In certain embodiments, an oligonucleotide comprises one or more ribonucleosides (RNA) and/or deoxyribonucleosides (DNA).
The term "oligonucleoside" refers to a sequence of nucleosides that are joined by
internucleoside linkages that do not have phosphorus atoms. Internucleoside linkages of this type include short chain alkyl, cycloalkyl, mixed heteroatom alkyl, mixed heteroatom cycloalkyl, one or more short chain heteroatomic and one or more short chain heterocyclic. These internucleoside linkages include without limitation, siloxane, sulfide, sulfoxide, sulfone, acetyl, formacetyl, thioformacetyl, methylene formacetyl, thioformacetyl, alkeneyl, sulfamate, methyleneimino, methylenehydrazino, sulfonate, sulfonamide, amide and others having mixed N, O, S and C¾ component parts.
As used herein, the term "oligomeric compound" refers to a contiguous sequence of linked monomer subunits. Each linked monomer subunit normally includes a heterocyclic base moiety but monomer subunits also includes those without a heterocyclic base moiety such as abasic monomer subunits. At least some and generally most if not essentially all of the heterocyclic bases in an oligomeric compound are capable of hybridizing to a nucleic acid molecule, normally a preselected RNA target. The term "oligomeric compound" therefore includes oligonucleotides, oligonucleotide analogs and oligonucleosides. It also includes polymers having one or a plurality of nucleoside mimetics and or nucleosides having sugar surrogate groups.
In certain embodiments, oligomeric compounds comprise a plurality of monomer subunits independently selected from naturally occurring nucleosides, non-naturally occurring nucleosides, modified nucleosides, nucleoside mimetics, and nucleosides having sugar surrogate groups. In certain embodiments, oligomeric compounds are single stranded. In certain embodiments, oligomeric compounds are double stranded comprising a double-stranded duplex. In certain embodiments, oligomeric compounds comprise one or more conjugate groups and/or terminal groups.
When preparing oligomeric compounds having specific motifs as disclosed herein it can be advantageous to mix non-naturally occurring monomer subunits such as the bicyclic nucleosides as provided herein with other non-naturally occurring monomer subunits, naturally occurring monomer subunits (nucleosides) or mixtures thereof. In certain embodiments, oligomeric compounds are provided herein comprising a contiguous sequence of linked monomer subunits wherein at least one monomer subunit is a bicyclic nucleoside as provided herein. In certain embodiments, oligomeric compounds are provided comprising a plurality of bicyclic nucleosides as provided herein.
Oligomeric compounds are routinely prepared linearly but can also be joined or otherwise prepared to be circular and/or can be prepared to include branching. Oligomeric compounds can form double stranded constructs such as for example two strands hybridized to form a double stranded composition. Double stranded compositions can be linked or separate and can include various other groups such as conjugates and/or overhangs on the ends.
As used herein, "antisense compound" refers to an oligomeric compound, at least a portion of which is at least partially complementary to a target nucleic acid to which it hybridizes. In certain embodiments, an antisense compound modulates (increases or decreases) expression or amount of a target nucleic acid. In certain embodiments, an antisense compound alters splicing of a target pre- mR A resulting in a different splice variant. In certain embodiments, an antisense compound modulates expression of one or more different target proteins. Antisense mechanisms contemplated herein include, but are not limited to an RNase H mechanism, RNAi mechanisms, splicing modulation, translational arrest, altering R A processing, inhibiting microRNA function, or mimicking microRNA function.
As used herein, "antisense activity" refers to any detectable and/or measurable activity attributable to the hybridization of an antisense compound to its target nucleic acid. In certain embodiments, such activity may be an increase or decrease in an amount of a nucleic acid or protein. In certain embodiments, such activity may be a change in the ratio of splice variants of a nucleic acid or protein. Detection and/or measuring of antisense activity may be direct or indirect. For example, in certain embodiments, antisense activity is assessed by detecting and/or measuring the amount of target protein or the relative amounts of splice variants of a target protein. In certain embodiments, antisense activity is assessed by detecting and/or measuring the amount of target nucleic acids and/or cleaved target nucleic acids and/or alternatively spliced target nucleic acids. In certain embodiments, antisense activity is assessed by observing a phenotypic change in a cell or animal.
As used herein the term "internucleoside linkage" or "internucleoside linking group" is meant to include all manner of internucleoside linking groups known in the art including but not limited to, phosphorus containing internucleoside linking groups such as phosphodiester and phosphorothioate, and non-phosphorus containing intemucleoside linking groups such as formacetyl and methyleneimino. Intemucleoside linkages also includes neutral non-ionic intemucleoside linkages such as amide-3 (3'-CH2-C(=0)-N(H)-5') and amide-4 (3'-CH2-N(H)-C(=0)-5*) wherein a phosphorus atom is not always present.
In certain embodiments, oligomeric compounds as provided herein can be prepared having one or more intemucleoside linkages containing modified e.g. non-naturally occurring
intemucleoside linkages. The two main classes of intemucleoside linkages are defined by the presence or absence of a phosphorus atom. Modified intemucleoside linkages having a phosphorus atom include without limitation, phosphorothioates, chiral phosphorothioates, phosphorodithioates, phosphotriesters, aminoalkylphosphotriesters, methyl and other alkyl phosphonates including 3'- alkylene phosphonates, 5'-alkylene phosphonates and chiral phosphonates, phosphinates, phos- phoramidates including 3 -amino phosphoramidate and aminoalkylphosphoramidates,
thionophosphoramidates, thionoalkylphosphonates, thionoalkylphosphotriesters, selenophosphates and boranophosphates having normal 3 -5' linkages, 2 -5' linked analogs of these, and those having inverted polarity wherein one or more intemucleotide linkages is a 3' to 3', 5' to 5' or 2' to 2' linkage. Oligonucleotides having inverted polarity can comprise a single 3' to 3' linkage at the 3 '-most inter- nucleotide linkage i.e. a single inverted nucleoside residue which may be abasic (the nucleobase is missing or has a hydroxyl group in place thereof). Various salts, mixed salts and free acid forms are also included.
Representative U.S. patents that teach the preparation of the above phosphorus containing linkages include without limitation, U.S.: 3,687,808; 4,469,863; 4,476,301; 5,023,243; 5,177,196; 5,188,897; 5,194,599; 5,264,423; 5,276,019; 5,278,302; 5,286,717; 5,321,131; 5,399,676;
5,405,939; 5,453,496; 5,455,233; 5,466,677; 5,476,925; 5,519,126; 5,527,899; 5,536,821;
5,541,306; 5,550,111; 5,563,253; 5,565,555; 5,571,799; 5,587,361; 5,625,050; 5,672,697 and 5,721 ,218, certain of which are commonly owned with this application, and each of which is herein incorporated by reference.
In certain embodiments, oligomeric compounds as provided herein can be prepared having one or more non-phosphorus containing intemucleoside linkages. Such oligomeric compounds include without limitation, those that are formed by short chain alkyl or cycloalkyl intemucleoside linkages, mixed heteroatom and alkyl or cycloalkyl intemucleoside linkages, or one or more short chain heteroatomic or heterocyclic intemucleoside linkages. These include those having siloxane backbones; sulfide, sulfoxide and sulfone backbones; formacetyl and thioformacetyl backbones; methylene formacetyl and thioformacetyl backbones; riboacetyl backbones; alkene containing backbones; sulfamate backbones; methyleneimino and methylenehydrazino backbones; sulfonate and sulfonamide backbones; amide backbones; and others having mixed N, O, S and CH2 component parts.
Representative U.S. patents that teach the preparation of the above oligonucleosides include without limitation, U.S.: 5,034,506; 5,166,315; 5,185,444; 5,214,134; 5,216,141; 5,235,033;
5,264,562; 5,264,564; 5,405,938; 5,434,257; 5,466,677; 5,470,967; 5,489,677; 5,541,307;
5,561,225; 5,596,086; 5,602,240; 5,608,046; 5,610,289; 5,618,704; 5,623,070; 5,663,312;
5,633,360; 5,677,437; 5,677,439; 5,646,269 and 5,792,608, certain of which are commonly owned with this application, and each of which is herein incorporated by reference.
As used herein "neutral internucleoside linkage" is intended to include interaucleoside linkages that are non-ionic. Neutral internucleoside linkages include without limitation, phosphotriesters, methylphosphonates, MMI (3'-CH2-N(CH3)-0-5'), amide-3 (3'-CH2-C(=0)-N(H)- 5'), amide-4 (3*-CH2-N(H)-C(=0)-5'), formacetal (3,-0-CR2rO-5r), and thioformacetal (3'-S-CH2-0- 5'). Further neutral internucleoside linkages include nonionic linkages comprising siloxane
(dialkylsiloxane), carboxylate ester, carboxamide, sulfide, sulfonate ester and amides (See for example: Carbohydrate Modifications in Antisense Research; Y.S. Sanghvi and P.D. Cook, Eds., ACS Symposium Series 580; Chapters 3 and 4, 40-65). Further neutral internucleoside linkages include nonionic linkages comprising mixed N, O, S and CH2 component parts.
In certain embodiments, oligomeric compounds as provided herein can be prepared having one or more optionally protected phosphorus containing internucleoside linkages. Representative protecting groups for phosphorus containing internucleoside linkages such as phosphodiester and phosphorothioate linkages include β-cyanoethyl, diphenylsilylethyl, δ-cyanobutenyl, cyano p-xylyl (CPX), N-methyl-N-trifluoroacetyl ethyl (MET A), acetoxy phenoxy ethyl (APE) and butene-4-yl groups. See for example U.S. Patents Nos. 4,725,677 and Re. 34,069 (β-cyanoethyl); Beaucage et al, Tetrahedron, 1993, 49(10), 1925-1963; Beaucage et a!., Tetrahedron, 1993, 49(46), 10441- 10488; Beaucage et al, Tetrahedron, 1992, 48(12), 2223-2311.
As used herein the terms "linking groups" and "bifunctional linking moieties" are meant to include groups known in the art that are useful for attachment of chemical functional groups, conjugate groups, reporter groups and other groups to selective sites in a parent compound such as for example an oligomeric compound. In general, a bifunctional linking moiety comprises a hydrocarbyl moiety having two functional groups. One of the functional groups is selected to bind to a parent molecule or compound of interest and the other is selected to bind to essentially any selected group such as a chemical functional group or a conjugate group. In some embodiments, the linker comprises a chain structure or a polymer of repeating units such as ethylene glycols or amino acid units. Examples of functional groups that are routinely used in bifunctional linking moieties include without limitation, electrophiles for reacting with nucleophilic groups and nucleophiles for reacting with electrophilic groups. In some embodiments, bifunctional linking moieties include amino, hydroxyl, carboxylic acid, thiol, unsaturations (e.g., double or triple bonds), and the like.
Some nonlimiting examples of bifunctional linking moieties include 8-amino-3,6-dioxaoctanoic acid (ADO), succinimidyl 4-(N-maleimidomethyl) cyclohexane-l-carboxylate (SMCC) and 6- aminohexanoic acid (AHEX or AHA). Other linking groups include without limitation, substituted Ci-Cio alkyl, substituted or unsubstituted C2-Cio alkenyl or substituted or unsubstituted C6-Cio alkynyl, wherein a nonlimiting list of preferred substituent groups includes hydroxyl, amino, alkoxy, carboxy, benzyl, phenyl, nitro, thiol, thioalkoxy, halogen, alkyl, aryl, alkenyl and alkynyl.
In certain embodiments, the oligomeric compounds as provided herein can be modified by covalent attachment of one or more conjugate groups. In general, conjugate groups modify one or more properties of the oligomeric compounds they are attached to. Such oligonucleotide properties include without limitation, pharmacodynamics, pharmacokinetics, binding, absorption, cellular distribution, cellular uptake, charge and clearance. Conjugate groups are routinely used in the chemical arts and are linked directly or via an optional linking moiety or linking group to a parent compound such as an oligomeric compound. A preferred list of conjugate groups includes without limitation, intercalators, reporter molecules, polyamines, polyamides, polyethylene glycols, thioethers, polyethers, cholesterols, thiocholesterols, cholic acid moieties, folate, lipids,
phospholipids, biotin, phenazine, phenanthridine, anthraquinone, adamantane, acridine, fluoresceins, rhodamines, coumarins and dyes.
In certain embodiments, the oligomeric compounds as provided herein can be modified by covalent attachment of one or more terminal groups to the 5' or 3'-terminal groups. A terminal group can also be attached at any other position at one of the terminal ends of the oligomeric compound. As used herein the terms "5'-terminal group", "3'-terminal group", "terminal group" and combinations thereof are meant to include useful groups known to the art skilled that can be placed on one or both of the terminal ends, including but not limited to the 5' and 3'-ends of an oligomeric compound respectively, for various purposes such as enabling the tracking of the oligomeric compound (a fluorescent label or other reporter group), improving the pharmacokinetics or pharmacodynamics of the oligomeric compound (such as for example: uptake and/or delivery) or enhancing one or more other desirable properties of the oligomeric compound (a group for improving nuclease stability or binding affinity). In certain embodiments, 5' and 3'-terminal groups include without limitation, modified or unmodified nucleosides; two or more linked nucleosides that are independently, modified or unmodified; conjugate groups; capping groups; phosphate moieties; and protecting groups.
As used herein the term "phosphate moiety" refers to a terminal phosphate group that includes phosphates as well as modified phosphates. The phosphate moiety can be located at either terminus but is preferred at the 5 -terminal nucleoside. In one aspect, the terminal phosphate is unmodified having the formula -0-P(=0)(OH)OH. In another aspect, the terminal phosphate is modified such that one or more of the O and OH groups are replaced with H, O, S, N(R) or alkyl where R is H, an amino protecting group or unsubstituted or substituted alkyl. In certain
embodiments, the 5' and or 3' terminal group can comprise from 1 to 3 phosphate moieties that are each, independently, unmodified (di or tri-phosphates) or modified.
As used herein, the term "phosphorus moiety" refers to a group having the formula:
Rx
z ! ¾
Ry
wherein:
Rx and Ry are each, independently, hydroxyl, protected hydroxyl group, thiol, protected thiol group, Cj-C6 alkyl, substituted Ci-Ce alkyl, Q-C6 alkoxy, substituted d-C6 alkoxy, a protected amino or substituted amino; and
Rz is O or S.
As a monomer such as a phosphoramidite or H-phosphonate the protected phosphorus moiety is preferred to maintain stability during oligomer synthesis. After incorporation into an oligomeric compound the phosphorus moiety can include deprotected groups.
Phosphorus moieties included herein can be attached to a monomer, which can be used in the preparation of oligomeric compounds, wherein the monomer may be attached using O, S, NRj or CRsRf, wherein Rj includes without limitation H, Q-C6 alkyl, substituted Ci-C6 alkyl, C -Ce alkoxy, substituted C C6 alkoxy, C2-C6 alkenyl, substituted C2-C6 alkenyl, C2-C6 alkynyl, substituted C2-C6 alkynyl or substituted acyl, and Re and Rf each, independently, include without limitation H, halogen, Ci-C6 alkyl, substituted Q-C6 alkyl, C!-C6 alkoxy or substituted C\-Ce alkoxy. Such linked phosphorus moieties include without limitation, phosphates, modified phosphates, thiophosphates, modified thiophosphates, phosphonates, modified phosphonates, phosphoramidates and modified phosphoramidates. RNA duplexes exist in what has been termed "A Form" geometry while DNA duplexes exist in "B Form" geometry. In general, RNA:RNA duplexes are more stable, or have higher melting temperatures (Tm) than DNA:DNA duplexes (Sanger et al, Principles of Nucleic Acid Structure, 1984, Springer- Verlag; New York, NY.; Lesnik et al, Biochemistry, 1995, 34, 10807-10815; Conte et al, Nucleic Acids Res., 1997, 25, 2627-2634). The increased stability of RNA has been attributed to several structural features, most notably the improved base stacking interactions that result from an A-form geometry (Searle et al, Nucleic Acids Res., 1993, 21, 2051-2056). The presence of the 2' hydroxyl in RNA biases the sugar toward a C3' endo pucker, i.e., also designated as Northern pucker, which causes the duplex to favor the A-form geometry. In addition, the 2' hydroxyl groups of RNA can form a network of water mediated hydrogen bonds that help stabilize the RNA duplex (Egli et al, Biochemistry, 1996, 35, 8489-8494). On the other hand, deoxy nucleic acids prefer a C2' endo sugar pucker, i.e., also known as Southern pucker, which is thought to impart a less stable B-form geometry (Sanger, W. (1984) Principles of Nucleic Acid Structure, Springer- Verlag, New York, NY).
The relative ability of a chemically-modified oligomeric compound to bind to complementary nucleic acid strands, as compared to natural oligonucleotides, is measured by obtaining the melting temperature of a hybridization complex of said chemically-modified oligomeric compound with its complementary unmodified target nucleic acid. The melting temperature (Tm), a characteristic physical property of double helixes, denotes the temperature in degrees centigrade at which 50% helical versus coiled (unhybridized) forms are present. Tm (also commonly referred to as binding affinity) is measured by using the UV spectrum to determine the formation and breakdown (melting) of hybridization. Base stacking, which occurs during hybridization, is accompanied by a reduction in UV absorption (hypochromicity). Consequently a reduction in UV absorption indicates a higher Tm.
It is known in the art that the relative duplex stability of an antisense compound:RNA target duplex can be modulated through incorporation of chemically-modified nucleosides into the antisense compound. Sugar-modified nucleosides have provided the most efficient means of modulating the Tm of an antisense compound with its target RNA. Sugar-modified nucleosides that increase the population of or lock the sugar in the C3'-endo (Northern, RNA-like sugar pucker) configuration have predominantly provided a per modification Tm increase for antisense compounds toward a complementary RNA target. Sugar-modified nucleosides that increase the population of or lock the sugar in the C2'-endo (Southern, DNA-like sugar pucker) configuration predominantly provide a per modification Tm decrease for antisense compounds toward a complementary RNA target. The sugar pucker of a given sugar-modified nucleoside is not the only factor that dictates the ability of the nucleoside to increase or decrease an antisense compound's Tm toward complementary R A. For example, the sugar-modified nucleoside tricycloDNA is predominantly in the C2'-endo conformation, however it imparts a 1.9 to 3° C per modification increase in Tm toward a
complementary RNA. Another example of a sugar-modified high-affinity nucleoside that does not adopt the C3' -endo conformation is a-L-LNA (described in more detail herein).
As used herein, "Tm" means melting temperature which is the temperature at which the two strands of a duplex nucleic acid separate. Tm is often used as a measure of duplex stability or the binding affinity of an antisense compound toward a complementary strand such as an RNA molecule.
As used herein, "complementarity" in reference to nucleobases refers to a nucleobase that is capable of base pairing with another nucleobase. For example, in DNA, adenine (A) is
complementary to thymine (T). For example, in RNA, adenine (A) is complementary to uracil (U). In certain embodiments, complementary nucleobase refers to a nucleobase of an antisense compound that is capable of base pairing with a nucleobase of its target nucleic acid. For example, if a nucleobase at a certain position of an antisense compound is capable of hydrogen bonding with a nucleobase at a certain position of a target nucleic acid, then the position of hydrogen bonding between the oligonucleotide and the target nucleic acid is considered to be complementary at that nucleobase pair. Nucleobases or more broadly, heterocyclic base moieties, comprising certain modifications may maintain the ability to pair with a counterpart nucleobase and thus, are still capable of complementarity.
As used herein, "non-complementary" " in reference to nucleobases refers to a pair of nucleobases that do not form hydrogen bonds with one another or otherwise support hybridization.
As used herein, "complementary" in reference to linked nucleosides, oligonucleotides, oligomeric compounds, or nucleic acids, refers to the capacity of an oligomeric compound to hybridize to another oligomeric compound or nucleic acid through nucleobase or more broadly, heterocyclic base, complementarity. In certain embodiments, an antisense compound and its target are complementary to each other when a sufficient number of corresponding positions in each molecule are occupied by nucleobases that can bond with each other to allow stable association between the antisense compound and the target. One skilled in the art recognizes that the inclusion of mismatches is possible without eliminating the ability of the oligomeric compounds to remain in association. Therefore, described herein are antisense compounds that may comprise up to about
20% nucleotides that are mismatched (i.e., are not nucleobase complementary to the corresponding nucleotides of the target). Preferably the antisense compounds contain no more than about 15%, more preferably not more than about 10%, most preferably not more than 5% or no mismatches. The remaining nucleotides are nucleobase complementary or otherwise do not disrupt hybridization (e.g., universal bases). One of ordinary skill in the art would recognize the compounds provided herein are at least 80%, at least 85%, at least 90%, at least 95%, at least 96%, at least 97%, at least 98%, at least 99% or 100% complementary to a target nucleic acid.
It is understood in the art that the sequence of an oligomeric compound need not be 100% complementary to that of its target nucleic acid to be specifically hybridizable. Moreover, an oligomeric compound may hybridize over one or more segments such that intervening or adjacent segments are not involved in the hybridization event (e.g., a loop structure or hairpin structure). In certain embodiments, oligomeric compounds can comprise at least about 70%, at least about 80%, at least about 90%, at least about 95%, or at least about 99% sequence complementarity to a target region within the target nucleic acid sequence to which they are targeted. For example, an oligomeric compound in which 18 of 20 nucleobases of the oligomeric compound are comple- mentary to a target region, and would therefore specifically hybridize, would represent 90 percent complementarity. In this example, the remaining noncomplementary nucleobases may be clustered or interspersed with complementary nucleobases and need not be contiguous to each other or to complementary nucleobases. As such, an oligomeric compound which is 18 nucleobases in length having 4 (four) noncomplementary nucleobases which are flanked by two regions of complete complementarity with the target nucleic acid would have 77.8% overall complementarity with the target nucleic acid and would thus fall within this scope. Percent complementarity of an oligomeric compound with a region of a target nucleic acid can be determined routinely using BLAST programs (basic local alignment search tools) and PowerBLAST programs known in the art
(Altschul et al., J. Mol. Biol, 1990, 215, 403-410; Zhang and Madden, Genome Res., 1997, 7, 649- 656).
As used herein, "hybridization" refers to the pairing of complementary oligomeric compounds (e.g., an antisense compound and its target nucleic acid). While not limited to a particular mechanism, the most common mechanism of pairing involves hydrogen bonding, which may be Watson-Crick, Hoogsteen or reversed Hoogsteen hydrogen bonding, between
complementary nucleoside or nucleotide bases (nucleobases). For example, the natural base adenine is nucleobase complementary to the natural nucleobases thymidine and uracil which pair through the formation of hydrogen bonds. The natural base guanine is nucleobase complementary to the natural bases cytosine and 5-methyl cytosine. Hybridization can occur under varying circumstances.
As used herein, "target nucleic acid" refers to any nucleic acid molecule the expression, amount, or activity of which is capable of being modulated by an antisense compound. In certain embodiments, the target nucleic acid is DNA or RNA. In certain embodiments, the target RNA is mRNA, pre-mRNA, non-coding RNA, pri-microRNA, pre-microRNA, mature microRNA, promoter-directed RNA, or natural antisense transcripts. For example, the target nucleic acid can be a cellular gene (or mRNA transcribed from the gene) whose expression is associated with a particular disorder or disease state, or a nucleic acid molecule from an infectious agent. In certain embodiments, target nucleic acid is a viral or bacterial nucleic acid.
Further included herein are oligomeric compounds such as antisense oligomeric compounds, antisense oligonucleotides, ribozymes, external guide sequence (EGS) oligonucleotides, alternate splicers, primers, probes, and other oligomeric compounds which hybridize to at least a portion of the target nucleic acid. As such, these oligomeric compounds may be introduced in the form of single-stranded, double-stranded, circular or hairpin oligomeric compounds and may contain structural elements such as internal or terminal bulges or loops. Once introduced to a system, the oligomeric compounds provided herein may elicit the action of one or more enzymes or structural proteins to effect modification of the target nucleic acid. Alternatively, the oligomeric compound may inhibit the activity the target nucleic acid through an occupancy-based method, thus interfering with the activity of the target nucleic acid.
One non-limiting example of such an enzyme is RNAse H, a cellular endonuclease which cleaves the RNA strand of an RNA:DNA duplex. It is known in the art that single-stranded oligomeric compounds which are "DNA-like" elicit RNAse H. Activation of RNase H, therefore, results in cleavage of the RNA target, thereby greatly enhancing the efficiency of oligonucleotide- mediated inhibition of gene expression. Similar roles have been postulated for other ribonucleases such as those in the RNase III and ribonuclease L family of enzymes.
While one form of oligomeric compound is a single-stranded antisense oligonucleotide, in many species the introduction of double-stranded structures, such as double-stranded RNA (dsRNA) molecules, has been shown to induce potent and specific antisense-mediated reduction of the function of a gene or its associated gene products. This phenomenon occurs in both plants and animals and is believed to have an evolutionary connection to viral defense and transposon silencing.
As used herein, "modulation" refers to a perturbation of amount or quality of a function or activity when compared to the function or activity prior to modulation. For example, modulation includes the change, either an increase (stimulation or induction) or a decrease (inhibition or reduction) in gene expression. As a further example, modulation of expression can include perturbing splice site selection of pre-mRNA processing, resulting in a change in the amount of a particular splice-variant present compared to conditions that were not perturbed. As a further example, modulation includes perturbing translation of a protein.
As used herein, the term "pharmaceutically acceptable salts" refers to salts that retain the desired activity of the compound and do not impart undesired toxicological effects thereto. The term "pharmaceutically acceptable salt" includes a salt prepared from pharmaceutically acceptable non-toxic acids or bases, including inorganic or organic acids and bases.
Pharmaceutically acceptable salts of the oligomeric compounds described herein may be prepared by methods well-known in the art. For a review of pharmaceutically acceptable salts, see Stahl and Wermuth, Handbook of Pharmaceutical Salts: Properties, Selection and Use (Wiley- VCH, Weinheim, Germany, 2002). Sodium salts of antisense oligonucleotides are useful and are well accepted for therapeutic administration to humans. Accordingly, in one embodiment the oligomeric compounds described herein are in the form of a sodium salt.
In certain embodiments, oligomeric compounds provided herein comprise from about 8 to about 80 monomer subunits in length. One having ordinary skill in the art will appreciate that this embodies oligomeric compounds of 8, 9, 10, 11, 12, 13, 14, 15, 16, 17, 18, 19, 20, 21, 22, 23, 24, 25, 26, 27, 28, 29, 30, 31, 32, 33, 34, 35, 36, 37, 38, 39, 40, 41, 42, 43, 44, 45, 46, 47, 48, 49, 50, 51, 52, 53, 54, 55, 56, 57, 58, 59, 60, 61, 62, 63, 64, 65, 66, 67, 68, 69, 70, 71, 72, 73, 74, 75, 76, 77, 78, 79, or 80 monomer subunits in length, or any range therewithin.
In certain embodiments, oligomeric compounds provided herein comprise from about 8 to 40 monomer subunits in length. One having ordinary skill in the art will appreciate that this embodies oligomeric compounds of 8, 9, 10, 11, 12, 13, 14, 15, 16, 17, 18, 19, 20, 21, 22, 23, 24, 25, 26, 27, 28, 29, 30, 31, 32, 33, 34, 35, 36, 37, 38, 39 or 40 monomer subunits in length, or any range therewithin.
In certain embodiments, oligomeric compounds provided herein comprise from about 8 to 20 monomer subunits in length. One having ordinary skill in the art will appreciate that this embodies oligomeric compounds of 8, 9, 10, 11, 12, 13, 14, 15, 16, 17, 18, 19 or 20 monomer subunits in length, or any range therewithin.
In certain embodiments, oligomeric compounds provided herein comprise from about 8 to 16 monomer subunits in length. One having ordinary skill in the art will appreciate that this embodies oligomeric compounds of 8, 9, 10, 11, 12, 13, 14, 15 or 16 monomer subunits in length, or any range therewithin.
In certain embodiments, oligomeric compounds provided herein comprise from about 10 to 14 monomer subunits in length. One having ordinary skill in the art will appreciate that this embodies oligomeric compounds of 10, 11, 12, 13 or 14 monomer subunits in length, or any range therewithin.
In certain embodiments, oligomeric compounds provided herein comprise from about 10 to 18 monomer subunits in length. One having ordinary skill in the art will appreciate that this embodies oligomeric compounds of 10, 11, 12, 13, 14, 15, 16, 17 or 18 monomer subunits in length, or any range therewithin.
In certain embodiments, oligomeric compounds provided herein comprise from about 10 to 21 monomer subunits in length. One having ordinary skill in the art will appreciate that this embodies oligomeric compounds of 10, 11, 12, 13, 14, 15, 16, 17, 18, 19, 20 or 21 monomer subunits in length, or any range therewithin.
In certain embodiments, oligomeric compounds provided herein comprise from about 12 to
14 monomer subunits in length. One having ordinary skill in the art will appreciate that this embodies oligomeric compounds of 12, 13 or 14 monomer subunits in length, or any range therewithin.
In certain embodiments, oligomeric compounds provided herein comprise from about 12 to 18 monomer subunits in length. One having ordinary skill in the art will appreciate that this embodies oligomeric compounds of 12, 13, 14, 15, 16, 17 or 18 monomer subunits in length, or any range therewithin.
In certain embodiments, oligomeric compounds provided herein comprise from about 12 to 21 monomer subunits in length. One having ordinary skill in the art will appreciate that this embodies oligomeric compounds of 12, 13, 14, 15, 16, 17, 18, 19, 20 or 21 monomer subunits in length, or any range therewithin.
In certain embodiments, oligomeric compounds provided herein comprise from about 14 to 18 monomer subumts in length. One having ordinary skill in the art will appreciate that this embodies oligomeric compounds of 14, 15, 16, 17 or 18 monomer subunits in length, or any range therewithin.
In certain embodiments, oligomeric compounds of any of a variety of ranges of lengths of linked monomer subunits are provided. In certain embodiments, oligomeric compounds are provided consisting of X-Y linked monomer subunits, where X and Y are each independently selected from 8, 9, 10, 11, 12, 13, 14, 15, 16, 17, 18, 19, 20, 21, 22, 23, 24, 25, 26, 27, 28, 29, 30, 31, 32, 33, 34, 35, 36, 37, 38, 39, 40, 41, 42, 43, 44, 45, 46, 47, 48, 49, and 50; provided that X < Y. For example, in certain embodiments, this provides oligomeric compounds comprising: 8-9, 8-10,
8- 11, 8-12, 8-13, 8-14, 8-15, 8-16, 8-17, 8-18, 8-19, 8-20, 8-21, 8-22, 8-23, 8-24, 8-25, 8-26, 8-27, 8-28, 8-29, 8-30, 9-10, 9-11, 9-12, 9-13, 9-14, 9-15, 9-16, 9-17, 9-18, 9-19, 9-20, 9-21, 9-22, 9-23,
9- 24, 9-25, 9-26, 9-27, 9-28, 9-29, 9-30, 10-11, 10-12, 10-13, 10-14, 10-15, 10-16, 10-17, 10-18, 10- 19, 10-20, 10-21, 10-22, 10-23, 10-24, 10-25, 10-26, 10-27, 10-28, 10-29, 10-30, 11-12, 11-13, 11- 14, 11-15, 11-16, 11-17, 11-18, 11-19, 11-20, 11-21, 11-22, 11-23, 11-24, 11-25, 11-26, 11-27, 11- 28, 11-29, 11-30, 12-13, 12-14, 12-15, 12-16, 12-17, 12-18, 12-19, 12-20, 12-21, 12-22, 12-23, 12- 24, 12-25, 12-26, 12-27, 12-28, 12-29, 12-30, 13-14, 13-15, 13-16, 13-17, 13-18, 13-19, 13-20, 13- 21, 13-22, 13-23, 13-24, 13-25, 13-26, 13-27, 13-28, 13-29, 13-30, 14-15, 14-16, 14-17, 14-18, 14- 19, 14-20, 14-21, 14-22, 14-23, 14-24, 14-25, 14-26, 14-27, 14-28, 14-29, 14-30, 15-16, 15-17, 15-
18. 15- 19, 15-20, 15-21, 15-22, 15-23, 15-24, 15-25, 15-26, 15-27, 15-28, 15-29, 15-30, 16-17, 16-
18. 16- 19, 16-20, 16-21, 16-22, 16-23, 16-24, 16-25, 16-26, 16-27, 16-28, 16-29, 16-30, 17-18, 17- 19, 17-20, 17-21, 17-22, 17-23, 17-24, 17-25, 17-26, 17-27, 17-28, 17-29, 17-30, 18-19, 18-20, 18-
21, 18-22, 18-23, 18-24, 18-25, 18-26, 18-27, 18-28, 18-29, 18-30, 19-20, 19-21, 19-22, 19-23, 19-
24, 19-25, 19-26, 19-27, 19-28, 19-29, 19-30, 20-21, 20-22, 20-23, 20-24, 20-25, 20-26, 20-27, 20- 28, 20-29, 20-30, 21-22, 21-23, 21-24, 21-25, 21-26, 21-27, 21-28, 21-29, 21-30, 22-23, 22-24, 22-
25, 22-26, 22-27, 22-28, 22-29, 22-30, 23-24, 23-25, 23-26, 23-27, 23-28, 23-29, 23-30, 24-25, 24- 26, 24-27, 24-28, 24-29, 24-30, 25-26, 25-27, 25-28, 25-29, 25-30, 26-27, 26-28, 26-29, 26-30, 27-
28, 27-29, 27-30, 28-29, 28-30, or 29-30 linked monomer subunits.
In certain embodiments, the ranges for the oligomeric compounds listed herein are meant to limit the number of monomer subunits in the oligomeric compounds, however such oligomeric compounds may further include 5' and/or 3 '-terminal groups including but not limited to protecting groups such as hydroxyl protecting groups, optionally linked conjugate groups and/or other substituent groups.
In certain embodiments, the preparation of oligomeric compounds as disclosed herein is performed according to literature procedures for DNA: Protocols for Oligonucleotides and Analogs,
Agrawal, Ed., Humana Press, 1993, and/or RNA: Scaringe, Methods, 2001, 23, 206-217; Gait et al, Applications of Chemically synthesized RNA in RNA.Protein Interactions, Smith, Ed., 1998, 1-36;
Gallo et al., Tetrahedron , 2001, 57, 5707-5713. Additional methods for solid-phase synthesis may be found in Caruthers U.S. Patents Nos. 4,415,732; 4,458,066; 4,500,707; 4,668,777; 4,973,679; and
5,132,418; and Koster U.S. Patents Nos. 4,725,677 and Re. 34,069. Oligomeric compounds are routinely prepared using solid support methods as opposed to solution phase methods. Commercially available equipment commonly used for the preparation of oligomeric compounds that utilize the solid support method is sold by several vendors including, for example, Applied Biosystems (Foster City, CA). Any other means for such synthesis known in the art may additionally or alternatively be employed. Suitable solid phase techniques, including automated synthesis techniques, are described in Oligonucleotides and Analogues, a Practical Approach, F. Eckstein, Ed., Oxford University Press, New York, 1991.
The synthesis of RNA and related analogs relative to the synthesis of DNA and related analogs has been increasing as efforts in RNA interference and micro RNA increase. The primary RNA synthesis strategies that are presently being used commercially include 5'-0-DMT-2'-0-t- butyldimethylsilyl (TBDMS), 5'-0-DMT-2'-0-[l (2-fluorophenyl)-4-methoxypiperidin-4-yl] (FPMP), 2'-0-[(triisopropylsilyl)oxy]methyl (2'-0-CH2-0-Si(iPr)3 (TOM) and the 5*-0-silyl ether- 2*-ACE (5"-0-bis(trimethylsiloxy)cyclododecyloxysilyl ether (DOD)-2'-0-bis(2- acetoxyethoxy)methyl (ACE). A current list of some of the major companies currently offering RNA products include Pierce Nucleic Acid Technologies, Dharmacon Research Inc., Ameri
Biotechnologies Inc., and Integrated DNA Technologies, Inc. One company, Princeton Separations, is marketing an RNA synthesis activator advertised to reduce coupling times especially with TOM and TBDMS chemistries. The primary groups being used for commercial RNA synthesis are:
TBDMS: 5*-0-DMT-2*-0-t-butyldimethylsilyl; TOM: 2'-0-[(triisopropylsilyl)oxy] methyl;
DOD/ACE: (5'-0-bis(trimethylsiloxy)cyclododecyloxysilyl ether-2'-0-bis(2-acetoxyethoxy)methyl; and FPMP: 5'-0-DMT-2'-0-[l(2-fluorophenyl)-4-ethoxypiperidin-4-yl]. In certain embodiments, each of the aforementioned RNA synthesis strategies can be used herein. In certain embodiments, the aforementioned RNA synthesis strategies can be performed together in a hybrid fashion e.g. using a 5'-protecting group from one strategy with a 2'-0-protecting from another strategy.
In some embodiments, "suitable target segments" may be employed in a screen for additional oligomeric compounds that modulate the expression of a selected protein. "Modulators" are those oligomeric compounds that decrease or increase the expression of a nucleic acid molecule encoding a protein and which comprise at least an 8-nucleobase portion which is complementary to a suitable target segment. The screening method comprises the steps of contacting a suitable target segment of a nucleic acid molecule encoding a protein with one or more candidate modulators, and selecting for one or more candidate modulators which decrease or increase the expression of a nucleic acid molecule encoding a protein. Once it is shown that the candidate modulator or modulators are capable of modulating (e.g. either decreasing or increasing) the expression of a nucleic acid molecule encoding a peptide, the modulator may then be employed herein in further investigative studies of the function of the peptide, or for use as a research, diagnostic, or therapeutic agent. In the case of oligomeric compounds targeted to microRNA, candidate modulators may be evaluated by the extent to which they increase the expression of a microRNA target RNA or protein (as interference with the activity of a microRNA will result in the increased expression of one or more targets of the microRNA).
As used herein, "expression" refers to the process by which a gene ultimately results in a protein. Expression includes, but is not limited to, transcription, splicing, post-transcriptional modification, and translation.
Suitable target segments may also be combined with their respective complementary oligomeric compounds provided herein to form stabilized double-stranded (duplexed)
oligonucleotides. Such double stranded oligonucleotide moieties have been shown in the art to modulate target expression and regulate translation as well as RNA processing via an antisense mechanism. Moreover, the double-stranded moieties may be subject to chemical modifications (Fire et al. , Nature, 1998, 391, 806-811 ; Timmons and Fire, Nature, 1998, 395, 854; Timmons et al. , Gene, 2001, 263, 103-112; Tabara et al, Science, 1998, 282, 430-431; Montgomery et al., Proc. Natl. Acad. Set USA, 1998, 95, 15502-15507; Tuschl et al, Genes Dev., 1999, 13, 3191-3197;
Elbashir et al, Nature, 2001, 411, 494-498; Elbashir et al, Genes Dev., 2001, 15, 188-200). For example, such double-stranded moieties have been shown to inhibit the target by the classical hybridization of antisense strand of the duplex to the target, thereby triggering enzymatic
degradation of the target (Tijsterman et al, Science, 2002, 295, 694-697).
The oligomeric compounds provided herein can also be applied in the areas of drug discovery and target validation. In certain embodiments, provided herein is the use of the oligomeric compounds and targets identified herein in drug discovery efforts to elucidate
relationships that exist between proteins and a disease state, phenotype, or condition. These methods include detecting or modulating a target peptide comprising contacting a sample, tissue, cell, or organism with one or more oligomeric compounds provided herein, measuring the nucleic acid or protein level of the target and/or a related phenotypic or chemical endpoint at some time after treatment, and optionally comparing the measured value to a non-treated sample or sample treated with a further oligomeric compound as provided herein. These methods can also be performed in parallel or in combination with other experiments to determine the function of unknown genes for the process of target validation or to determine the validity of a particular gene product as a target for treatment or prevention of a particular disease, condition, or phenotype. In certain embodiments, oligomeric compounds are provided for use in therapy. In certain embodiments, the therapy is reducing target messenger RNA.
As used herein, the term "dose" refers to a specified quantity of a pharmaceutical agent provided in a single administration. In certain embodiments, a dose may be administered in two or more boluses, tablets, or injections. For example, in certain embodiments, where subcutaneous administration is desired, the desired dose requires a volume not easily accommodated by a single injection. In such embodiments, two or more injections may be used to achieve the desired dose. In certain embodiments, a dose may be aclministered in two or more injections to minimize injection site reaction in an individual.
In certain embodiments, chemically-modified oligomeric compounds are provided herein that may have a higher affinity for target R As than does non-modified DNA. In certain such embodiments, higher affinity in turn provides increased potency allowing for the administration of lower doses of such compounds, reduced potential for toxicity, improvement in therapeutic index and decreased overall cost of therapy.
Effect of nucleoside modifications on RNAi activity is evaluated according to existing literature (Elbashir et al, Nature, 2001, 411, 494-498; Nishikura et al, Cell, 2001, 107, 415-416; and Bass et al, Cell, 2000, 101, 235-238.)
In certain embodiments, oligomeric compounds provided herein can be utilized for diagnostics, therapeutics, prophylaxis and as research reagents and kits. Furthermore, antisense oligonucleotides, which are able to inhibit gene expression with exquisite specificity, are often used by those of ordinary skill to elucidate the function of particular genes or to distinguish between functions of various members of a biological pathway. In certain embodiments, oligomeric compounds provided herein can be utilized either alone or in combination with other oligomeric compounds or other therapeutics as tools in differential and/or combinatorial analyses to elucidate expression patterns of a portion or the entire complement of genes expressed within cells and tissues. Oligomeric compounds can also be effectively used as primers and probes under conditions favoring gene amplification or detection, respectively. These primers and probes are useful in methods requiring the specific detection of nucleic acid molecules encoding proteins and in the amplification of the nucleic acid molecules for detection or for use in further studies. Hybridization of oligomeric compounds as provided herein, particularly the primers and probes, with a nucleic acid can be detected by means known in the art. Such means may include conjugation of an enzyme to the oligonucleotide, radiolabelling of the oligonucleotide or any other suitable detection means. Kits using such detection means for detecting the level of selected proteins in a sample may also be prepared.
As one nonlimiting example, expression patterns within cells or tissues treated with one or more of the oligomeric compounds provided herein are compared to control cells or tissues not treated with oligomeric compounds and the patterns produced are analyzed for differential levels of gene expression as they pertain, for example, to disease association, signaling pathway, cellular localization, expression level, size, structure or function of the genes examined. These analyses can be performed on stimulated or unstimulated cells and in the presence or absence of other compounds and or oligomeric compounds which affect expression patterns.
Examples of methods of gene expression analysis known in the art include DNA arrays or microarrays (Brazma and Vilo, FEBSLett., 2000, 480, 17-24; Celis, et al, FEBSLett., 2000, 480, 2- 16), SAGE (serial analysis of gene expression)(Madden, et al, Drug Discov. Today, 2000, 5, 415- 425), READS (restriction enzyme amplification of digested cDNAs) (Prashar and Weissman, Methods Enzymol, 1999, 303, 258-72), TOGA (total gene expression analysis) (Sutcliffe, et al., Proc. Natl. Acad. Sci. USA, 2000, 97, 1976-81), protein arrays and proteomics (Celis, et al, FEBS Lett., 2000, 480, 2-16; Jungblut, et al, Electrophoresis, 1999, 20, 2100-10), expressed sequence tag (EST) sequencing (Celis, et al, FEBS Lett., 2000, 480, 2-16; Larsson, et al, J. Biotechnol, 2000, 80, 143-57), subtractive RNA fingerprinting (SuRF) (Fuchs, et al, Anal. Biochem., 2000, 286, 91- 98; Larson, et al, Cytometry, 2000, 41, 203-208), subtractive cloning, differential display (DD) (Jurecic and Belmont, Curr. Opin. Microbiol, 2000, 3, 316-21), comparative genomic hybridization (Carulli, et al, J. Cell Biochem. Suppl, 1998, 31, 286-96), FISH (fluorescent in situ hybridization) techniques (Going and Gusterson, Eur. J. Cancer, 1999, 35, 1895-904) and mass spectrometry methods (To, Comb. Chem. High Throughput Screen, 2000, 3, 235-41).
Those skilled in the art, having possession of the present disclosure will be able to prepare oligomeric compounds, comprising a contiguous sequence of linked monomer subunits, of essentially any viable length to practice the methods disclosed herein. Such oligomeric compounds will include at least one and preferably a plurality of the bicyclic nucleosides provided herein and may also include other monomer subunits including but not limited to nucleosides, modified nucleosides, nucleosides comprising sugar surrogate groups and nucleoside mimetics.
While in certain embodiments, oligomeric compounds provided herein can be utilized as described, the following examples serve only to illustrate and are not intended to be limiting. Examples (General)
1H and13C NMR spectra were recorded on a 300 MHz and 75 MHz Bruker spectrometer, respectively. Example 1
Synthesis of Nucleoside Phosphoramidites
The preparation of nucleoside phosphoramidites is performed following procedures that are illustrated herein and in the art such as but not limited to US Patent 6,426,220 and published PCT WO 02/36743.
Example 2
Synthesis of Oligomeric Compounds
The oligomeric compounds used in accordance with this invention may be conveniently and routinely made through the well-known technique of solid phase synthesis. Equipment for such synthesis is sold by several vendors including, for example, Applied Biosystems (Foster City, CA).
Any other means for such synthesis known in the art may additionally or alternatively be employed.
It is well known to use similar techniques to prepare oligonucleotides such as alkylated derivatives and those having phosphorothioate linkages.
Oligomeric compounds: Unsubstituted and substituted phosphodiester (P=0) oligomeric compounds, including without limitation, oligonucleotides can be synthesized on an automated
DNA synthesizer (Applied Biosystems model 394) using standard phosphoramidite chemistry with oxidation by iodine.
In certain embodiments, phosphorothioate intemucleoside linkages (P=S) are synthesized similar to phosphodiester intemucleoside linkages with the following exceptions: thiation is effected by utilizing a 10% w/v solution of 3,H-l,2-benzodithiole-3-one 1,1-dioxide in acetonitrile for the oxidation of the phosphite linkages. The thiation reaction step time is increased to 180 sec and preceded by the normal capping step. After cleavage from the CPG column and deblocking in concentrated ammonium hydroxide at 55°C (12-16 hr), the oligomeric compounds are recovered by precipitating with greater than 3 volumes of ethanol from a 1 M NPLjOAc solution. Phosphinate intemucleoside linkages can be prepared as described in U.S. Patent 5,508,270.
Alkyl phosphonate intemucleoside linkages can be prepared as described in U.S. Patent 4,469,863. 3 '-Deoxy-3' -methylene phosphonate internucleoside linkages can be prepared as described in U.S. Patents 5,610,289 or 5,625,050.
Phosphoramidite internucleoside linkages can be prepared as described in U.S. Patent, 5,256,775 or U.S. Patent 5,366,878.
Alkylphosphonothioate internucleoside linkages can be prepared as described in published
PCT applications PCT/US 94/00902 and PCT US93/06976 (published as WO 94/17093 and WO 94/02499, respectively).
3 '-Deoxy-3 '-amino phosphoramidate internucleoside linkages can be prepared as described in U.S. Patent 5,476,925.
Phosphotriester internucleoside linkages can be prepared as described in U.S. Patent
5,023,243.
Borano phosphate internucleoside linkages can be prepared as described in U.S. Patents 5,130,302 and 5,177,198.
Oligomeric compounds having one or more non-phosphorus containing internucleoside linkages including without limitation methylenemethylimino linked oligonucleosides, also identified as MMI linked oligonucleosides, methylenedimethylhydrazo linked oligonucleosides, also identified as MDH linked oligonucleosides, methylenecarbonylamino linked oligonucleosides, also identified as amide-3 linked oligonucleosides, and methyleneaminocarbonyl linked oligonucleosides, also identified as amide-4 linked oligonucleosides, as well as mixed backbone oligomeric compounds having, for instance, alternating MMI and P=0 or P=S linkages can be prepared as described in U.S. Patents 5,378,825, 5,386,023, 5,489,677, 5,602,240 and 5,610,289.
Formacetal and thioformacetal internucleoside linkages can be prepared as described in U.S. Patents 5,264,562 and 5,264,564.
Ethylene oxide internucleoside linkages can be prepared as described in U.S. Patent
5,223,618.
Example 3
Isolation and Purification of Oligomeric Compounds
After cleavage from the controlled pore glass solid support or other support medium and deblocking in concentrated ammonium hydroxide at 55°C for 12-16 hours, the oligomeric compounds, including without limitation oligonucleotides and oligonucleosides, are recovered by precipitation out of 1 M NH4OAc with >3 volumes of ethanol. Synthesized oligomeric compounds are analyzed by electrospray mass spectroscopy (molecular weight determination) and by capillary gel electrophoresis. The relative amounts of phosphorothioate and phosphodiester linkages obtained in the synthesis is determined by the ratio of correct molecular weight relative to the -16 amu product (+/-32 +/-48). For some studies oligomeric compounds are purified by HPLC, as described by Chiang et al., J. Biol. Chem. 1991, 266, 18162-18171. Results obtained with HPLC-purified material are generally similar to those obtained with non-HPLC purified material.
Example 4
Synthesis of Oligomeric Compounds using the 96 Well Plate Format
Oligomeric compounds, including without limitation oligonucleotides, can be synthesized via solid phase P(III) phosphoramidite chemistry on an automated synthesizer capable of assembling 96 sequences simultaneously in a 96-well format. Phosphodiester internucleoside linkages are afforded by oxidation with aqueous iodine. Phosphorothioate internucleoside linkages are generated by sulfurization utilizing 3,H-1,2 benzodithiole-3-one 1,1 dioxide (Beaucage Reagent) in anhydrous acetonitrile. Standard base-protected beta-cyanoethyl-diiso-propyl phosphoramidites can be purchased from commercial vendors (e.g. PE- Applied Biosystems, Foster City, CA, or Pharmacia, Piscataway, NJ). Non-standard nucleosides are synthesized as per standard or patented methods and can be functionalized as base protected beta-cyanoethyldiisopropyl phosphoramidites.
Oligomeric compounds can be cleaved from support and deprotected with concentrated NHUOH at elevated temperature (55-60 °C) for 12-16 hours and the released product then dried in vacuo. The dried product is then re-suspended in sterile water to afford a master plate from which all analytical and test plate samples are then diluted utilizing robotic pipettors.
Example 5
Analysis of Oligomeric Compounds using the 96-Well Plate Format
The concentration of oligomeric compounds in each well can be assessed by dilution of samples and UV absorption spectroscopy. The full-length integrity of the individual products can be evaluated by capillary electrophoresis (CE) in either the 96-well format (Beckman P/ACE™ MDQ) or, for individually prepared samples, on a commercial CE apparatus (e.g., Beckman P/ACE™ 5000, ABI 270). Base and backbone composition is confirmed by mass analysis of the oligomeric compounds utilizing electrospray-mass spectroscopy. All assay test plates are diluted from the master plate using single and multi-channel robotic pipettors. Plates are judged to be acceptable if at least 85% of the oligomeric compounds on the plate are at least 85% full length. Example 6
In Vitro Treatment of Cells with Oligomeric Compounds
The effect of oligomeric compounds on target nucleic acid expression is tested in any of a variety of cell types provided that the target nucleic acid is present at measurable levels. This can be routinely determined using, for example, PCR or Northern blot analysis. Cell lines derived from multiple tissues and species can be obtained from American Type Culture Collection (ATCC, Manassas, VA).
The following cell type is provided for illustrative purposes, but other cell types can be routinely used, provided that the target is expressed in the cell type chosen. This can be readily determined by methods routine in the art, for example Northern blot analysis, ribonuclease protection assays or RT-PCR.
b.END cells: The mouse brain endothelial cell line b.END was obtained from Dr. Werner Risau at the Max Plank Institute (Bad Nauheim, Germany). b.END cells are routinely cultured in DMEM, high glucose (Invitrogen Life Technologies, Carlsbad, CA) supplemented with 10% fetal bovine serum (Invitrogen Life Technologies, Carlsbad, CA). Cells are routinely passaged by trypsinization and dilution when they reached approximately 90% confluence. Cells are seeded into 96-well plates (Falcon-Primaria #353872, BD Biosciences, Bedford, MA) at a density of approximately 3000 cells/well for uses including but not limited to oligomeric compound transfection experiments.
Experiments involving treatment of cells with oligomeric compounds:
When cells reach appropriate confluency, they are treated with oligomeric compounds using a transfection method as described.
LIPOFECTIN™
When cells reached 65-75% confluency, they are treated with one or more oligomeric compounds. The oligomeric compound is mixed with LIPOFECTIN™ Invitrogen Life Technologies, Carlsbad, CA) in Opti-MEM™-l reduced serum medium (Invitrogen Life Technologies, Carlsbad, CA) to achieve the desired concentration of the oligomeric compound(s) and a
LIPOFECTIN™ concentration of 2.5 or 3 μg/mL per 100 nM oligomeric compound(s). This transfection mixture is incubated at room temperature for approximately 0.5 hours. For cells grown in 96-well plates, wells are washed once with 100 OPTI-MEM™- 1 and then treated with 130 of the transfection mixture. Cells grown in 24-well plates or other standard tissue culture plates are treated similarly, using appropriate volumes of medium and oligomeric compound(s). Cells are treated and data are obtained in duplicate or triplicate. After approximately 4-7 hours of treatment at 37°C, the medium containing the transfection mixture is replaced with fresh culture medium. Cells are harvested 16-24 hours after treatment with oligomeric compound(s).
Other suitable transfection reagents known in the art include, but are not limited to,
CYTOFECTIN™, LIPOFECTAMINE™, OLIGOFECTAMINE™, and FUGENE™. Other suitable transfection methods known in the art include, but are not limited to, electroporation.
Example 7
Real-time Quantitative PCR Analysis of target mRNA Levels
Quantitation of target mRNA levels is accomplished by real-time quantitative PCR using the ABI PRISM™ 7600, 7700, or 7900 Sequence Detection System (PE-Applied Biosystems, Foster City, CA) according to manufacturer's instructions. This is a closed-tube, non-gel-based, fluorescence detection system which allows high-throughput quantitation of polymerase chain reaction (PCR) products in real-time. As opposed to standard PCR in which amplification products are quantitated after the PCR is completed, products in real-time quantitative PCR are quantitated as they accumulate. This is accomplished by including in the PCR reaction an oligonucleotide probe that anneals specifically between the forward and reverse PCR primers, and contains two fluorescent dyes. A reporter dye (e.g., FAM or JOE, obtained from either PE-Applied Biosystems, Foster City, CA, Operon Technologies Inc., Alameda, CA or Integrated DNA Technologies Inc., Coralville, IA) is attached to the 5'-end of the probe and a quencher dye (e.g., TAMRA, obtained from either PE- Applied Biosystems, Foster City, CA, Operon Technologies Inc., Alameda, CA or Integrated DNA Technologies Inc., Coralville, IA) is attached to the 3' end of the probe. When the probe and dyes are intact, reporter dye emission is quenched by the proximity of the 3' quencher dye. During amplification, annealing of the probe to the target sequence creates a substrate that can be cleaved by the 5'-exonuclease activity of Taq polymerase. During the extension phase of the PCR amplification cycle, cleavage of the probe by Taq polymerase releases the reporter dye from the remainder of the probe (and hence from the quencher moiety) and a sequence-specific fluorescent signal is generated. With each cycle, additional reporter dye molecules are cleaved from their respective probes, and the fluorescence intensity is monitored at regular intervals by laser optics built into the ABI PRISM™ Sequence Detection System. In each assay, a series of parallel reactions containing serial dilutions of mRNA from untreated control samples generates a standard curve that is used to quantitate the percent inhibition after antisense oligonucleotide treatment of test samples.
Prior to quantitative PCR analysis, primer-probe sets specific to the target gene being measured are evaluated for their ability to be "multiplexed" with a GAPDH amplification reaction. In multiplexing, both the target gene and the internal standard gene GAPDH are amplified concurrently in a single sample. In this analysis, mRNA isolated from untreated cells is serially diluted. Each dilution is amplified in the presence of primer-probe sets specific for GAPDH only, target gene only ("single-plexing"), or both (multiplexing). Following PCR amplification, standard curves of GAPDH and target mRNA signal as a function of dilution are generated from both the single-plexed and multiplexed samples. If both the slope and correlation coefficient of the GAPDH and target signals generated from the multiplexed samples fall within 10% of their corresponding values generated from the single-plexed samples, the primer-probe set specific for that target is deemed multiplexable. Other methods of PCR are also known in the art.
RT and PCR reagents are obtained from Invitrogen Life Technologies (Carlsbad, CA). RT, real-time PCR is carried out by adding 20 μΐ, PCR cocktail (2.5x PCR buffer minus MgCl2, 6.6 mM MgCl2, 375 μΜ each of dATP, dCTP, dCTP and dGTP, 375 nM each of forward primer and reverse primer, 125 nM of probe, 4 Units RNAse inhibitor, 1.25 Units PLATINUM® Taq, 5 Units MuLV reverse transcriptase, and 2.5x ROX dye) to 96-well plates containing 30 μΐ. total RNA solution (20- 200 ng). The RT reaction is carried out by incubation for 30 minutes at 48°C. Following a 10 minute incubation at 95 °C to activate the PLATINUM® Taq, 40 cycles of a two-step PCR protocol are carried out: 95°C for 15 seconds (denaturation) followed by 60°C for 1.5 minutes (annealing/- extension).
Gene target quantities obtained by RT, real-time PCR are normalized using either the expression level of GAPDH, a gene whose expression is constant, or by quantifying total RNA using RIBOGREEN™ (Molecular Probes, Inc. Eugene, OR). GAPDH expression is quantified by real time RT-PCR, by being run simultaneously with the target, multiplexing, or separately. Total RNA is quantified using RiboGreen™ RNA quantification reagent (Molecular Probes, Inc. Eugene, OR). Methods of RNA quantification by RIBOGREEN™ are taught in Jones, L.J., et al, (Analytical Biochemistry, 1998, 265, 368-374).
In this assay, 170 μΕ of RIBOGREEN™ working reagent (RIBOGREEN™ reagent diluted
1:350 in lOmM Tris-HCl, 1 mM EDTA, pH 7.5) is pipetted into a 96-well plate containing 30 μΐ. purified, cellular RNA. The plate is read in a CytoFluor 4000 (PE Applied Biosystems) with excitation at 485nm and emission at 530nm.
Example 8
Analysis of oligonucleotide inhibition of target expression
Antisense modulation of a target expression can be assayed in a variety of ways known in the art. For example, a target mRNA levels can be quantitated by, e.g., Northern blot analysis, competitive polymerase chain reaction (PCR), or real-time PCR. Real-time quantitative PCR is presently desired. RNA analysis can be performed on total cellular RNA or poly(A)+ mRNA. One method of RNA analysis of the present disclosure is the use of total cellular RNA as described in other examples herein. Methods of RNA isolation are well known in the art. Northern blot analysis is also routine in the art. Real-time quantitative (PCR) can be conveniently accomplished using the commercially available ABI PRISM™ 7600, 7700, or 7900 Sequence Detection System, available from PE- Applied Biosystems, Foster City, CA and used according to manufacturer's instructions.
Protein levels of a target can be quantitated in a variety of ways well known in the art, such as immunoprecipitation, Western blot analysis (immunoblotting), enzyme-linked immunosorbent assay (ELISA) or fluorescence-activated cell sorting (FACS). Antibodies directed to a target can be identified and obtained from a variety of sources, such as the MSRS catalog of antibodies (Aerie Corporation, Birmingham, MI), or can be prepared via conventional monoclonal or polyclonal antibody generation methods well known in the art. Methods for preparation of polyclonal antisera are taught in, for example, Ausubel, F.M. et al., Current Protocols in Molecular Biology, Volume 2, pp. 11.12.1-11.12.9, John Wiley & Sons, Inc., 1997. Preparation of monoclonal antibodies is taught in, for example, Ausubel, F.M. et al., Current Protocols in Molecular Biology, Volume 2, pp.
11.4.1-11.11.5, John Wiley & Sons, Inc., 1997.
Immunoprecipitation methods are standard in the art and can be found at, for example,
Ausubel, F.M. et al., Current Protocols in Molecular Biology, Volume 2, pp. 10.16.1 - 10.16.11 , John Wiley & Sons, Inc., 1998. Western blot (immunoblot) analysis is standard in the art and can be found at, for example, Ausubel, F.M. et al., Current Protocols in Molecular Biology, Volume 2, pp. 10.8.1-10.8.21, John Wiley & Sons, Inc., 1997. Enzyme-linked immunosorbent assays (ELISA) are standard in the art and can be found at, for example, Ausubel, F.M. et al., Current Protocols in Molecular Biology, Volume 2, pp. 11.2.1-11.2.22, John Wiley & Sons, Inc., 1991. Example 9
Design of phenotypic assays and in vivo studies for the use of target inhibitors
Phenotypic assays
Once target inhibitors have been identified by the methods disclosed herein, the oligomeric compounds are further investigated in one or more phenotypic assays, each having measurable endpoints predictive of efficacy in the treatment of a particular disease state or condition.
Phenotypic assays, kits and reagents for their use are well known to those skilled in the art and are herein used to investigate the role and/or association of a target in health and disease.
Representative phenotypic assays, which can be purchased from any one of several commercial vendors, include those for determining cell viability, cytotoxicity, proliferation or cell survival (Molecular Probes, Eugene, OR; PerkinElmer, Boston, MA), protenvbased assays including enzymatic assays (Panvera, LLC, Madison, WI; BD Biosciences, Franklin Lakes, NJ; Oncogene Research Products, San Diego, CA), cell regulation, signal transduction, inflammation, oxidative processes and apoptosis (Assay Designs Inc., Ann Arbor, MI), triglyceride accumulation (Sigma- Aldrich, St. Louis, MO), angiogenesis assays, tube formation assays, cytokine and hormone assays and metabolic assays (Chemicon International Inc., Temecula, CA; Amersham Biosciences, Piscataway, NJ).
In one non-limiting example, cells determined to be appropriate for a particular phenotypic assay (i.e., MCF-7 cells selected for breast cancer studies; adipocytes for obesity studies) are treated with a target inhibitors identified from the in vitro studies as well as control compounds at optimal concentrations which are determined by the methods described above. At the end of the treatment period, treated and untreated cells are analyzed by one or more methods specific for the assay to determine phenotypic outcomes and endpoints.
Phenotypic endpoints include changes in cell morphology over time or treatment dose as well as changes in levels of cellular components such as proteins, lipids, nucleic acids, hormones, saccharides or metals. Measurements of cellular status which include pH, stage of the cell cycle, intake or excretion of biological indicators by the cell, are also endpoints of interest.
Measurement of the expression of one or more of the genes of the cell after treatment is also used as an indicator of the efficacy or potency of the a target inhibitors. Hallmark genes, or those genes suspected to be associated with a specific disease state, condition, or phenotype, are measured in both treated and untreated cells.
In vivo studies The individual subjects of the in vivo studies described herein are warm-blooded vertebrate animals, which includes humans.
Example 10
RNA Isolation
Poly (A) + mRNA isolation
Poly(A)+ mRNA is isolated according to Miura et al., (Clin. Chem., 1996, 42, 1758-1764). Other methods for poly(A)+ mRNA isolation are routine in the art. Briefly, for cells grown on 96- well plates, growth medium is removed from the cells and each well is washed with 200 μί, cold PBS. 60 μΐ, lysis buffer (10 mM Tris-HCl, pH 7.6, 1 mM EDTA, 0.5 M NaCl, 0.5% NP-40, 20 mM vanadyl-ribonucleoside complex) is added to each well, the plate is gently agitated and then incubated at room temperature for five minutes. 55 μΐ, of lysate is transferred to Oligo d(T) coated 96-well plates (AGCT Inc., Irvine CA). Plates are incubated for 60 minutes at room temperature, washed 3 times with 200 \xL of wash buffer (10 mM Tris-HCl pH 7.6, 1 mM EDTA, 0.3 M NaCl). After the final wash, the plate is blotted on paper towels to remove excess wash buffer and then air- dried for 5 minutes. 60 μΐ. of elution buffer (5 mM Tris-HCl pH 7.6), preheated to 70°C, is added to each well, the plate is incubated on a 90°C hot plate for 5 minutes, and the eluate is then transferred to a fresh 96-well plate.
Cells grown on 100 mm or other standard plates may be treated similarly, using appropriate volumes of all solutions.
Total RNA Isolation
Total RNA is isolated using an RNEASY 96™ kit and buffers purchased from Qiagen Inc. (Valencia, CA) following the manufacturer's recommended procedures. Briefly, for cells grown on 96-well plates, growth medium is removed from the cells and each well is washed with 200 μΐ, cold PBS. 150 μί- Buffer RLT is added to each well and the plate vigorously agitated for 20 seconds.
150 μΐ^ of 70% ethanol is then added to each well and the contents mixed by pipetting three times up and down. The samples are then transferred to the RNEASY 96™ well plate attached to a
QIAVAC™ manifold fitted with a waste collection tray and attached to a vacuum source. Vacuum is applied for 1 minute. 500 μΐ, of Buffer RW1 is added to each well of the RNEASY 96™ plate and incubated for 15 minutes and the vacuum is again applied for 1 minute. An additional 500 μΐ, of Buffer RW1 is added to each well of the RNEASY 96™ plate and the vacuum is applied for 2 minutes. 1 mL of Buffer RPE is then added to each well of the RNEASY 96™ plate and the vacuum applied for a period of 90 seconds. The Buffer RPE wash is then repeated and the vacuum is applied for an additional 3 minutes. The plate is then removed from the QIAVAC™ manifold and blotted dry on paper towels. The plate is then re-attached to the QIAVAC™ manifold fitted with a collection tube rack containing 1.2 mL collection tubes. RNA is then eluted by pipetting 140 μί, of RNAse free water into each well, incubating 1 minute, and then applying the vacuum for 3 minutes.
The repetitive pipetting and elution steps may be automated using a QIAGEN Bio-Robot 9604 (Qiagen, Inc., Valencia CA). Essentially, after lysing of the cells on the culture plate, the plate is transferred to the robot deck where the pipetting, DNase treatment and elution steps are carried out.
Example 11
Target-specific primers and probes
Probes and primers may be designed to hybridize to a target sequence, using published sequence information.
For example, for human PTEN, the following primer-probe set was designed using published sequence information (GENBANK™ accession number U92436.1, SEQ ID NO: 1).
Forward primer: AATGGCTAAGTGAAGATGACAATCAT (SEQ ID NO: 2)
Reverse primer: TGCACATATCATTACACCAGTTCGT (SEQ ID NO: 3)
And the PCR probe:
FAM-TTGCAGCAATTCACTGTAAAGCTGGAAAGG-TAMRA (SEQ ID NO: 4), where
FAM is the fluorescent dye and TAMRA is the quencher dye.
Example 12
Western blot analysis of target protein levels
Western blot analysis (immunoblot analysis) is carried out using standard methods. Cells are harvested 16-20 h after oligonucleotide treatment, washed once with PBS, suspended in Laemmli buffer (100 μΐ/well), boiled for 5 minutes and loaded on a 16% SDS-PAGE gel. Gels are run for 1.5 hours at 150 V, and transferred to membrane for western blotting. Appropriate primary antibody directed to a target is used, with a radiolabeled or fiuorescently labeled secondary antibody directed against the primary antibody species. Bands are visualized using a PHOSPHORIMAGER™
(Molecular Dynamics, Sunnyvale CA). Example 13
Preparation of Compound 16
Figure imgf000066_0001
1 2 Rj = H, R2 = OMe (40%) 4 R, = H, R2 = OMe (67%)
OMe, R2 = H (10%) 5 Rj = OMe, R2 = H
NaBH4
CeCl3.7H2Q
MeOH, 0 °C, 1 h
Figure imgf000066_0002
6a Rj = H, R2 = OMe (89%) 7a Rj = H, R2 = OMe (87%) 6b Rj = OMe, R2 = H (89%) 7b Rj = OMe, R2 = H (58%)
Compound 7a
Figure imgf000066_0003
Figure imgf000066_0004
11 (43%) 12 (22%)
Figure imgf000066_0005
Figure imgf000067_0001
16
a) Preparation of Compounds 2 and 3
Compound 1 was prepared according to published procedures by Steffens et al, Helvetica Chimica Acta, 1997, 80, 2426-2439. Compound 1 as a mixture of a- and β-anomers (4.6 g, 26.4 mmol) in DMSO (30 mL) was added into a stirred suspension of 2-iodoxybenzoic acid (IBX, 13.3 g, 47.5 mmol) in DMSO (10 mL). After 21 h stirring at rt, the mixture was diluted with CH2C12 (40 mL) and allowed to stir for another hour. The mixture was then filtered through a Celite pad to remove the white precipitate followed by an additional wash with CH2C12 (250 mL). The solvent was evaporated in vacuo. The resulting residue was then added into a stirred suspension of IBX (14.8 g, 52.8 mmol) and 4-methoxypyridine N-oxide (MPO, 6.6 g, 52.8 mmol) in DMSO (10 mL). After stirring at rt for 3 days, the mixture was diluted with CH2C12 (50 mL) and allowed to stir for another 30 min. The mixture was then filtered through a Celite pad. The filtrate was partition between CH2C12 and sat. aq. NaHC03. The aqueous portion was separated and back-extracted with CH2CI2 (5 X). The combined organic phases were dried over MgS04, filtered and evaporated in vacuo. The remaining DMSO was removed under high vacuum. The residue was purified by flash column chromatography on silica gel with a solvent system of 3.5% MeOH in CH2CI2 to afford Compound 2 (1.8 g, 40%) as a white solid and Compound 3 (0.44 g, 10%,) as a yellow oil.
Compound 2: Rf (4% MeOH in CH2C12) = 0.19. 1H NMR (CDC13, 300 MHz): δ 7.52 (d, J= 5.9 Hz, 1H; H-C(4)), 6.02 (dd, J= 5.9, 0.4 Hz, 1H; H-C(5)), 5.22 (d, J= 4.3 Hz, 1H; H-C(2)), 4.36 (s, 1H; H-C(6a)), 3.40 (s, 3H; H-OCH3), 3.36 (d, J= 7.8 Hz, 1H; OH), 2.23 (d, J= 13.8 Hz, 1H; H- C(3)), 1.99 (dd, J= 13.8, 4.3 Hz, 1H; HC(3)) ppm.13C NMR (CDCI3, 75 MHz): δ 202.7 (s, C(6)), 161.0 (d, C(4)), 132.0 (d, C(5)), 110.0 (d, C(2)), 88.7 (d, C(6a)), 86.0 (s, C(3a)), 55.4 (q, OCH3), 45.5 (t, C(3)) ppm. ESI+-HRMS: calcd for C8Hi0NaO4: 193.0471 [M+Na]+; found: 193.0475.
Compound 3 : Rf (4% MeOH in CH2C12) = 0.11. 1H NMR (CDC13, 300 MHz): δ 7.53 (d, J = 5.9 Hz, 1H; H-C(4)), 6.11 (dd, J= 5.9, 0.4 Hz, 1H; H-C(5)), 5.14 (dd, J- 4.0, 1.8 Hz, 1H; H-C(2)), 4.21 (s, 1H; H-C(6a)), 3.83 (s, 1H; OH), 3.14 (s, 3H; H-OCH3), 2.38 - 2.24 (m, 2H; H-C(3)) ppm. b) Preparation of Compounds 4 and 5
To a stirred solution of Compound 2 (1.8 g, 10.6 mmol) in dry CH2Cl2/pyridine (1:1, 55 mL) at 0 °C, was added dropwise a solution of I2 (4.56 g, 18.0 mmol) in dry CH2Cl2/pyridine (1:1, 55 mL). After 30 min, the cooling bath was removed and the stirring was continued for 2 h at rt. The reaction mixture was then poured into 1M HCl and extracted with CH2CI2 (3X). The organic phase was washed with 1M aq Na2S203 and the aqueous phase was extracted with CH2CI2 (3X). The combined organic phases were dried over MgS04, filtered and evaporated. The remaining pyridine residual was removed by co-evaporation with toluene. The resulting residue was purified by flash column chromatography on silica gel with a solvent system of 3.5% MeOH in CH2CI2 to provide Compound 4 (2.09 g, 67%) as a viscous yellow oil.
Compound 4: Rf (3.5% MeOH in CH2C12) = 0.57. 1H NMR (CDCI3, 300 MHz): δ 7.91 (d, J = 0.4 Hz, 1H; H-C(4)), 5.24 (d, J= 4.2 Hz, 1H; H-C(2)), 4.40 (s, 1H; H-C(6a)), 3.41 (s, 3H; H- OCH3), 3.38 (s, 1H; OH), 2.26 (d, J= 13.9 Hz, 1H; H-C(3)), 2.03 (dd, J= 13.9, 4.2 Hz, 1H; H- C(3)) ppm.13C NMR (CDC13, 75 MHz): δ 197.3 (s, C(6)), 166.3 (d, C(4)), 109.8 (d, C(2)), 102.1 (s, C(5)), 87.3 (s, C(3a)), 86.0 (d, C(6a)), 55.6 (q, OCH3), 45.3 (t, C(3)) ppm. ESI+HRMS: calcd for C8H9INa04: 318.9438 [M+Na]+; found: 318.9435.
Compound 5 was prepared starting from Compound 3 (0.440 g, 2.06 mmol) in
CH2Cl2/pyridine (1:1, 11 mL) and I2 (0.89 g, 3.50 mmol) using analogous procedure as above. The crude was purified by flash column chromatography on silica gel using the same solvent system as above to provide Compound 5 (0.367 g, 60%) as a pale yellow solid.
Compound 5: Rf (3.5% MeOH in CH2C12) = 0.31. Ή NMR (CDC13, 300 MHz): δ 7.90 (s, 1H; H-C(4)), 5.17 (dd, J= 4.8, 0.6 Hz, 1H; H-C(2)), 4.26 (s, 1H; H-C(6a)), 3.11 (s, 4H; H-OCH3, OH), 2.35 (d, J= 13.6 Hz, 1H; HC(3)), 2.27 (dd, J= 13.9, 4.8 Hz, 1H; H-C(3)) ppm.13C NMR
(CDCI3, 75 MHz): δ 199.0 (s, C(6)), 167.5 (d, C(4)), 107.8 (d, C(2)), 103.2 (s, C(5)), 86.5 (s, C(3a)), 84.0 (d, C(6a)), 55.2 (q, OCH3), 45.2 (t, C(3)) ppm. ESI+HRMS: calcd for C8H9INa04: 318.9438 [M+Na]+; found: 318.9444. c) Preparation of Compounds 6a and 6b
To a stirring solution of Compound 4 (2.09 g, 7.06 mmol) in MeOH (70 mL) was added CeCl3.7H20 (2.63 g, 7.06 mmol). After for 30 min at rt, the reaction mixture was cooled
to 0°C and NaBUt (0.267 g, 7.06 mmol) was added over a period of 20 min in three equal portions. The mixture was allowed to stir for another 30 min, then silica gel was added and the solvent was evaporated. The resulting residue was purified by flash column chromatography on silica gel with a solvent system of 3.5% MeOH in CH2Cl2 to provide Compound 6a (1.87 g, 89%) as a colorless oil.
Compound 6a: Rf (3.5% MeOH in CH2C12) = 0.33. 1H NMR (CDC13, 400 MHz): δ 6.31- 6.28 (m, 1H; H-C(4)), 5.20 (dd, J= 3.7, 2.2 Hz, 1H; H-C(2)), 4.65 (ddd, J= 7.4, 6.2, 1.1 Hz, 1H; H- C(6)), 4.34 - 4.31 (m, 1H; HC(6a)), 3.40 (s, 3H; H-OCH3), 2.76 (m, 2H; OH), 2.21 - 2.10 (m, 2H; H-C(3)) ppm.13C NMR (CDC13, 75 MHz): δ 142.9 (d, C(4)), 108.0 (d, C(2)), 105.3 (s, C(5)), 91.6 (s, C(3a)), 85.1 (d, C(6a)), 79.0 (d, C(6)), 55.4 (q, OCH3), 47.0 (t, C(3)) ppm. ESI+-HRMS: calcd for C8HnINa04: 320.9594 [M+Na]+; found: 320.9602.
Compound 6b was prepared starting from Compound 5 (0.365 g, 1.23 mmol) using analogous procedure as above. The residue was purified by flash column chromatography on silica gel using the same solvent system as above to provide Compound 6b (0.327 g, 89%) as a colorless oil.
Compound 6b: Rf (3.5% MeOH in CH2C12) = 0.26. 1H NMR (CDC13, 300 MHz): δ 6.29 (dd, J- 1.3, 0.5 Hz, 1H; HC(4)), 5.20 (dd, J= 5.8, 1.1 Hz, 1H; H-C(2)), 4.60 (ddd, J= 10.8, 6.2, 1.3 Hz, 1H; H-C(6)), 4.36 (d, J= 6.2 Hz, 1H; H-C(6a)), 3.44 (s, 1H; OH), 3.35 (s, 3H; H-OCH3), 2.93 (d, J = 10.8 Hz, 1H; OH), 2.35 (dd, J=13.9, 5.8 Hz, 1H; H-C(3)), 2.21 (dd, J= 13.9, 1.1 Hz, 1H; H-C(3)) ppm.13C NMR (CDC13, 75 MHz): δ 143.1 (d, C(4)), 108.4 (d, C(2)), 107.3 (s, C(5)), 91.5 (s, C(3a)), 86.7 (d, C(6a)), 79.7 (d, C(6)), 56.2 (q,OCH3), 46.0 (t, C(3)) ppm. d) Preparation of Compounds 7a and 7b
To a solution of Compound 6a (1.87 g, 6.27 mmol) in dry CH2C12 (65 mL) was added imidazole (0.94 g, 13.8 mmol) and TBDMSCl (1.04 g, 6.90 mmol). After stirring at rt for 24 h, the reaction mixture was poured into 1M HC1 and extracted with CH2C12. The organic phase was collected, dried over MgS04, filtered and evaporated in vacuo. The residue was purified by flash column chromatography on silica gel with a solvent system of 7:3 hexane-ethyl acetate to provide Compound 7a (2.26 g, 87%) as a colorless oil. Compound 7a: Rf (hexane/ethyl acetate 7:3) = 0.46. 1H NMR (CDC13, 300 MHz): δ 6.29 (s, 1H; H-C(4)), 5.16 (dd, J= 4.5, 1.0 Hz, 1H; H-C(2)), 4.63 (dd, J= 5.8, 0.7 Hz, 1H; H-C(6)), 4.20 (d, J= 5.8 Hz, 1H; H-C(6a)), 3.37 (s, 3H; H-OCH3), 2.85 (s, 1H; OH), 2.16 (dd, J= 13.6, 4.5 Hz, 1H; H-C(3)), 2.07 (dd, J= 13.6, 1.0 Hz, 1H; HC(3)), 0.92 (s, 9H; H-C(CH3)3), 0.16, 0.12 (2xs, 2x3H; H-Si(CH3)2) ppm.13C NMR (CDC13, 75 MHz): δ 143.0 (d, C(4)), 108.5 (d, C(2)), 104.8 (s, C(5)), 91.3 (s, C(3a)), 87.2 (d, C(6a)), 80.5 (d, C(6)), 55.0 (q, OCH3), 46.5 (t, C(3)), 26.1 (q, C(CH3)3), 18.8 (s, C(CH3)3), -4.3, -4.6 (2xq, Si(CH3)2) ppm. ESI+-HRMS: calcd for C14H25INa04Si:
435.0459 [M+Na]+; found: 435.0459.
Compound 7b was prepared starting from Compound 6b (0.327 g, 1.1 mmol) using analogous procedure as above. The crude was purified by flash column chromatography on silica gel using the same solvent system as above to provide Compound 7b (0.262 g, 58%) as a white solid.
Compound 7b: Rf (hexane/EtOAc 7:3) = 0.35. 1H NMR (CDC13, 400 MHz): δ 6.20 (dd, J= 1.9, 0.6 Hz, 1H; HC(4)), 5.08 (dd, J= 5.1, 1.1 Hz, 1H; H-C(2)), 4.74 (dd, J= 5.5, 1.9 Hz, 1H; H- C(6))5 4.08 (d, J= 5.5 Hz, 1H; H-C(6a)), 3.25 (s, 3H; H-OCH3), 2.24 (dd, J= 13.1, 5.2 Hz, 2H; H- C(3), OH), 2.14 (dd, J= 13.1, 1.1 Hz, 1H; H-C(3)), 0.95 (s, 9H; H-C(CH3)3), 0.16, 0.14 (2xs, 2x3H; H-Si(CH3)2) ppm.13C NMR (CDC13, 75 MHz): δ 141.8 (d, C(4)), 108.8 (s, C(5)), 105.9 (d, C(2)), 91.5 (s, C(3a)), 85.7 (d, C(6a)), 80.7 (d, C(6)), 54.6 (q, OCH3), 45.7 (t, C(3)), 26.1 (q, C(CH3)3), 18.7 (s, C(CH3)3), -4.3, -4.6 (2xq, Si(CH3)2) ppm. ESI+-HRMS: calcd for
C14H25INa04Si: 435.0459 [M+Na]+; found: 435.0456. e) Preparation of Compound 8
To a stirred solution of Compound 7a (1.75 g, 4.24 mmol) and N-flurobenzenesulfonimide (NFSI, 1.61 g, 5.09 mmol) in dry THF (40 mL) was added n-BuLi (1M in hexanes, 10.6 mmol, 17.0 mmol) dropwise at -78 °C over a period of 15 min. After stirring at the same temperature for 1 h under an argon atmosphere, the reaction was quenched with H20 at -78 °C and allowed to warm to it. The reaction mixture was treated with sat. aq. N¾C1 and extracted with Et20. The organic phase was collected, dried over MgS04, filtered and concentrated in vacuo. The residue was purified by flash column chromatography twice on silica gel using two solvent systems (70:30% hexane-ethyl acetate followed by 5:95% to 25:75% ethyl acetate-CH2Cl2 to provide Compound 8 (0.468 g, 36%) as a white solid. Compound 8: Rf (Et20/CH2C12 10:90 %) = 0.49. 1H NMR (CDC13, 400 MHz): δ 5.30 (s, 1H; H-C(4)), 5.17 (td, J= 4.2, 0.9 Hz, 1H; H-C(2)), 4.61 (dd, J= 6.2, 0.5 Hz, 1H; H-C(6)), 4.19 (dd, J= 6.2, 1.9 Hz, 1H; H-C(6a)), 3.38 (s, 3H; H-OCH3), 2.96 (d, J= 2.0 Hz, 1H; OH), 2.14 (dd, J = 13.6, 1.0 Hz, 1H; H-C(3)), 2.08 (dd, J= 13.6, 4.2 Hz, 1H; H-C(3)), 0.88 (s, 9H; H-C(CH3)3), 0.08 (s, 6H; H-Si(CH3)2) ppm.13C NMR (CDC13, 75 MHz): δ 161.7 (d,7J(C,F) = 291 Hz, C(5)), 109.0 (dd,2J(C,F) = 8 Hz, C(4)), 108.8 (d, C(2)), 86.5 (dd,5J(C,F) = 7 Hz, C(6a)), 86.3 (d,5J(C,F) = 11 Hz, C(3a)), 71.3 (d,2J(C,F) = 20 Hz, C(6)), 55.1 (q, OCH3), 47.3 (td, V(C,F) = 3 Hz, C(3)), 25.9 (q, C(CH3)3), 18.7 (s, C(CH3)3), -4.6, -5.1 (2xq, Si(CH3)2) ppm.19F NMR (CDC13, 376 MHz) δ - 123.52 ppm. ESI+-HRMS: calcd for C14H25FNa04Si: 327.1398 [M+Na]+; found: 327.1409. f) Preparation of Compound 9
To a solution of Compound 8 (0.440 g, 1.44 mmol) in dry MeOH (40 mL), was added 10% Pd/C (0.088 g) under an argon atmosphere. The reaction mixture was flushed with argon for 10 min and set under an atmosphere of ¾. After stirring vigorously for 2 h, the mixture was filtered through a pad of Celite. The pad was thoroughly washed with MeOH and the solvent was removed under reduced pressure. The residue was purified by flash column chromatography on silica gel with a solvent system of 5:95% ethyl acetate-CH2Cl2 to provide Compound 9 (0.36 g, 80%) as a white solid.
Compound 9: Rf (Et20/CH2C12 10:90%) = 0.41. 1H NMR (CDC13, 400 MHz): δ 5.12 (d, J= 4.3 Hz, 1H; H-C(2)), 4.97 (ddddd, J= 51.6, 7.0, 6.4, 3.4, 0.9 Hz, 1H; H-C(5)), 4.17 (dddd, J= 10.8, 4.8, 3.3, 0.9 Hz, 1H; H-C(6)), 4.11 (d, J= 4.9 Hz, 1H; H-C(6a)), 3.34 (s, 3H; H-OCH3), 2.88 (s, 1H; OH), 2.25 (ddd, J= 16.9, 13.9, 7.1 Hz 1H; H-C(4)), 2.21 (dd, J= 13.3, 4.3 Hz, 1H; H-C(3)), 2.12 (d, J= 13.3 Hz, 1H; H-C(3)), 2.08 (dt, J= 14.2, 6.5 Hz 1H; H-C(4)), 0.89 (s, 9H; H-C(CH3)3), 0.09, 0.08 (2xs, 2x3H; H-Si(CH3)2) ppm.13C NMR (CDC13, 101 MHz): δ 107.6 (d, C(2)), 93.9 (dd, J(C,F) = 192 Hz, C(5)), 89.0 (dd,JJ(C,F) = 4 Hz, C(6a)), 85.0 (d,3J(C,F) = 6 Hz, C(3a)), 73.6 (d, J(C,F) = 15 Hz, C(6)), 54.7 (q, OCH3), 48.6 (t, C(3)), 40.3 (dd,2J(C,F) = 19 Hz, C(4)), 26.0 (q, C(CH3)3), 18.6 (s, C(CH3)3), -4.6, -4.8 (2xq, Si(CH3)2) ppm.19F NMR (CDC13, 376 MHz): δ - 197.84 (dtd, J(H,F) = 51.6, 15.7, 11.1 Hz) ppm. ESI+-HRMS: calcd for C14H27FNa04Si:
329.1555 [M+Na]+; found: 329.1548. g) Preparation of Compound 10
To a solution of Compound 9 (0.058 g, 0.19 mmol) and 2,6-lutidine (0.11 mL, 0.99 mmol) in CH2C12 (3.5 mL) was added TMSOTf (0.1 mL, 0.55 mmol) dropwise at 0 °C. After stirring for 15 min, the cooling bath was removed and the stirring was continued for another 1.25 h at rt. The reaction mixture was treated with sat. aq. NaHC03 and extracted with EtOAc (3X). The aqueous phase was extracted with EtOAc (3X) and the combined organic phases were washed with sat. aq. NaHC03 (2X), dried over MgSC>4, filtered and evaporated. The resulting residue, Compound 10 was used in the next reaction without further purification.
Compound 10: Rf (EtOAc/hexane 5:95%) = 0.51. 1H NMR (CDC13, 300 MHz): δ 6.38 (d, J = 2.7 Hz, 1H; H-C(3)), 5.09 (d, J= 2.7 Hz, 1H; H-C(4)), 4.90 (dtdd, J= 52.5, 5.2, 3.4, 0.8 Hz, 1H; H-C(7)), 4.37 (d, J= 5.8 Hz, 1H; H-C(l)), 4.27 (dddd, J= 16.6, 5.7, 3.4, 0.9 Hz, 1H; H-C(8)), 2.37 (ddd, J= 16.8, 13.8, 5.4 Hz, 1H; H-C(6)), 2.11 (ddd, J= 22.0, 13.8, 5.1 Hz, 1H; H-C(6)), 0.89 (s, 9H; H-C(CH3)3), 0.10, 0.09 (2 <s, 15H; H-Si(CH3)2, Si(CH3)3) ppm. h) Preparation of Compounds 11 and 12
To a suspension of thymine (0.095 g, 0.76 mmol) in dry CH2C12 (3 mL) was added BSA (0.23 mL, 0.95 mmol). After stirring at rt for 3 h, a solution of Compound 10 (0.072 g, 0.19 mmol) in CH2CI2 (2 mL) was added. The suspension was cooled to 0 °C and N-iodosuccinimide (NIS, 0.064 g, 0.28 mmol) was added. The mixture was allowed to stirred at 0 °C for 4 h and left in the fridge for 12 h at 4°C without stirring. The reaction mixture was diluted with sat. aq. Na2C03 and then extracted with ethyl acetate. The organic phase was washed with sat. aq. Na2C03 (2X), sat. aq. NaHC03 and 1M Na2S203. The aqueous phases were extracted with EtOAc (3X), and the combined organic phases were washed with brine, dried over MgS04, filtered and concentrated. The residue was purified by flash column chromatography on silica gel using a solvent system of 75:25% hexane-ethyl acetate to provide Compounds 11 (β) and 12 (a) as a mixture of anomers (β/ =
70:30), which was further separated by column chromatography using a solvent system of 60:40% hexane-ethyl acetate to provide Compound 11 (0.049 g, 43%) and 12 (0.025 g, 22%).
Compound 11 (β-anomer): Rf (EtO Ac/hexane 25:75%) = 0.33. 1H NMR (CDC13, 300 MHz): 6 8.93 (s, 1H; NH), 7.24 (m, 1H; HC(6)), 6.35 (dd, J= 9.7, 1.6 Hz, 1H; H-C(L)), 5.12-4.85 (m, 1H; H-C(6 ), 4.25 - 4.04 (m, 3H; HC(2\4',5')), 2.26 (td, J= 15.7, 1.8 Hz, 1H; H-C(T)), 1.88 (d, J= 1.2 Hz, 3H; H-CH3), 1.82 (ddd, J= 34.7, 15.1, 4.3 Hz, 1H; H-C(T)), 0.88 (s, 9H; H- C(CH3)3), 0.21 (s, 9H; Si(CH3)3), 0.10, 0.07 (2*s, 2 <3H; HSi(CH3)2) ppm.13C NMR (CDC13, 75 MHz): 8 163.8 (s, C(4)), 150.8 (s, C(2)), 134.9 (dd, J(C,F) = 5 Hz, C(6)), 112.1 (s, C(5)), 95.2 (dd, J(C,F) = 187 Hz, C(6')), 89.0 (d, C(L)), 86.4 (s, C(3')), 85.6 (d, C(4')), 73.1 (dd,2J(C,F) = 16 Hz, C(5')), 38.8 (td,2J(C,F) = 18 Hz, C(7')), 38.1 (dd, J(C,F) - 6 Hz, C(2')), 25.9 (q, C(CH3)3), 18.5 (s, C(CH3)3), 12.7 (q, CH3), 2.2 (q, Si(CH3)3), -4.51, -4.79 (2xq, Si(CH3)2) ppm. ESI+-HRMS: calcd for C21H36FIN2Na05Si2: 621.1084 [M+Na]+; found: 621.1088.
Compound 12 (cc-anomer): Rf (EtO Ac/hexane 25:75%) = 0.33. 1H NMR (CDC13, 300 MHz): δ 8.44 (s, 1H; NH), 7.03 (q, J= 1.2 Hz, 1H; H-C(6)), 6.01 (d, J- 9.4 Hz, 1H; H-C(L)), 4.91 (dtd, J= 53.0, 6.1, 3.9 Hz, 1H; H-C(6^)), 4.56 (d, J= 9.4 Hz, 1H; H-C(2'))), 4.34 (d, J= 4.5 Hz, 1H; H-C(4')), 4.28 (dt, J= 12.1, 4.3 Hz, 1H; H-C(5')), 2.55 (ddd, J= 19.7, 14.7, 6.8 Hz, 1H; H-C(T)), 2.17 (td, J= 14.9, 5.7 Hz, 1H; H-C(7,))5 1.93 (d, J= 1.2 Hz, 3H; H-CH3), 0.90 (s, 9H; H-C(CH3)3), 0.22 (s, 9H; Si(CH3)3), 0.10, 0.08 (2xs, 2x3H; H-Si(CH3)2) ppm.13C NMR (CDC13, 75 MHz): δ 163.5 (s, C(4)), 149.9 (s, C(2)), 136.2 (d, C(6)), 111.9 (s, C(5)), 93.1 (d, C(L)), 91.6 (dd, J(C,F) = 192 Hz, C(6')), 87.0 (s, C(T)), 86.8 (d, C(4')), 74.3 (dd,2J(C,F) = 15 Hz, C(5')), 45.2 (td, J(C,F) = 20 Hz, C(r», 35.1 (d, C(2')), 26.0 (q, C(CH3)3), 18.7 (s, C(CH3)3), 12.8 (q, CH3), 2.5 (q,
Si(CH3)3), -4.6, -4.8 (2xq, Si(CH3)2) ppm. ESI+-HRMS: calcd for C21H36Fr2Na05Si2: 621.1084 [M+Na]+; found: 621.1082. i) Preparation of Compounds 13a and 13b
To a solution of Compound 11 (0.049 g, 0.08 mmol) and Bu3SnH (0.033 mL, 0.12 mmol) in dry toluene (2 mL) at rt, azaisobutyronitrile (AIBN, 0.009 g, 0.06 mmol) was added. The reaction mixture was flushed with argon and allowed to go under reflux for 1.75 h. The solvent was then evaporated, and the residue was purified by flash column chromatography on silica gel using a solvent system of 7:3 hexane-ethyl acetate to provide Compound 13a (0.035 g, 90%) as a white solid.
Compound 13a: Rf (hexane/ethyl acetate 7:3) = 0.32. 1H NMR (CDC13, 400 MHz): δ 9.04
(s, 1H; NH), 7.55 (q, 1H; J= 1.2 Hz; H-C(6))5 6.29 (ddd, J= 9.3, 5.4, 0.8 Hz, 1H; H-C(L)), 5.06 - 4.80 (m, 1H; H-C(6')), 4.20 - 4.04 (m, 2H; H-C(4\5^)), 2.61 (ddd, J= 13.7, 5.4, 2.6 Hz, 1H; H- C(2')), 2.39 (ddd, J= 15.7, 14.8, 1.7 Hz, 1H; HC(7')), 2.08 (dd, J= 13.7, 9.3 Hz, 1H; H-C(2')), 1.87 (d, J= 1.2 Hz, 3H; H-CH3), 1.85 (ddd, J= 37.3, 14.8, 4.0 Hz; H-C(T)), 0.89 (s, 9H; H-C(CH3)3), 0.15 (s, 9H; Si(CH3)3)), 0.11, 0.09 (2xS, 2χ3Η; H-Si(CH3)2) ppm.13C NMR (CDC13, 75 MHz): δ 164.2 (s, C(4)), 150.6 (s, C(2)), 136.3 (dd, J(C,F) = 7 Hz, C(6)), 111.0 (s, C(5)), 96.1 (dd, J(C,F) = 186 Hz, C(6')), 88.6 (d, C(4')), 88.5 (dd,5J(C,F) = 1 Hz, 0(3')), 85.7 (d, C(L)), 73.3 (dd,2J(C,F) = 16 Hz, Q )), 48.1 (td, J(C,F) = 4 Hz, C(2')), 41.8 (td,2J(C,F) = 18 Hz, C(7')), 25.9 (q, C(CH3)3), 18.5 (s, C(CH3)3), 12.6 (q, CH3), 2.1 (q, Si(CH3)3), -4.5, -4.8 (2xq, Si(CH3)2) ppm.19F NMR (CDC13, 376 MHz): δ -194.9 (mc) ppm. ESI+-HRMS: calcd for C21H37FN2Na05Si2: 495.2117
[M+Na]+; found: 495.2117.
Compound 13b was prepared starting from Compound 12 (0.025 g, 0.04 mmol), BU3S11H
(0.017 mL, 0.06 mmol) and AIBN (0.005 g, 0.03 mmol) in toluene (1 mL) using analogous procedure as above. The crude was purified by flash column chromatography on silica gel using the same solvent system as above to provide Compound 13b (10 mg, 50%).
Compound 13b: Rf (hexane/ethyl acetate 7:3) = 0.32. 1H NMR (CDCI3, 400 MHz): δ 8.33 (s, 1H; NH), 7.37 (q, J= 1.1 Hz, 1H; H-C(6)), 6.31 (dd, J= 7.3, 2.6 Hz, 1H; H-C(r)), 4.97 (dtdd, J = 51.2, 8.0, 3.4, 0.7 Hz, 1H; H-C^)), 4.44 (d, J= 4.3 Hz, 1H; H-C^)), 4.18 (dt, J= 4.4, 3.7 Hz, 1H; H-C(5')), 2.65 (dd, J= 14.2, 7.3 Hz, 1H; HC(2')), 2.42 - 2.31 (m, 2H; H-C(7')), 2.29 (dd, J= 14.2, 2.6 Hz, 1H; H-C(2')), 1.91 (d, J= 1.2 Hz, 3H; HCH3), 0.90 (s, 9H; H-C(CH3)3), 0.10 (s, 12H), 0.09 (2xs, 15H; H-Si(CH3)3, H-Si(CH3)2) ppm.13C NMR (CDC13, 75 MHz): δ 163.9 (s, C(4)), 150.2 (s, C(2)), 136.7 (d, C(6)), 110.1 (s, C(5)), 92.9 (dd,5J(C,F) = 5 Hz, C(4')), 91.8 (dd, J(C,F) = 195 Hz, C(6')), 89.5 (d, C(l')), 86.1 (d,5J(C,F) = 7 Hz, C(3')), 72.8 (dd,2J(C,F) = 15 Hz, C(5')), 49.8 (t, C(2')), 42.4 (td,2J(C,F) = 19 Hz, C(7,))5 26.0 (q, C(CH3)3), 18.6 (s, C(CH3)3), 12.8 (q, CH3), 1.9 (q, Si(CH3)3), -4.6, -4.8 (2xq, Si(CH3)2) ppm.19F NMR (CDC13, 376 MHz): δ - 197.7 (mc) ppm. ESI+-HRMS: calcd for C2iH37FN2Na05Si2: 495.2117 [M+Na]+; found: 495.2115. j) Preparation of Compounds 14-16 from Compound 13a
The synthesis of Compound 14 was achieved in high yield by desilylating Compound 13a with 3HF.Et3N. Further, tritylation of 5 '-hydroxy group required 4 equivalents of DMTOTf in pyridine at 70 °C to provide the tritylated product Compound 15 in 81% yield. Phosphitylation of Compound 15 using DIPEA and 2-cyanoethoxy diisopropylamino chlorophosphine (CEPC1) in anhydrous THF furnished the desired fluoro phosphoramidite Compound 16. Structural analysis for these compounds was confirmed by NMR (1H,13C,19F and/or31P). Example 14
Preparation of Compound 22
Figure imgf000075_0001
20 (34% after two steps) 21 (29% after two steps)
Compound 20
Figure imgf000075_0002
a) Preparation of Compounds 17 and 18
Compound 2 was prepared as per the procedure illustrated in Example 13. To a stirring solution of Compound 2 (0.500 g, 2.94 mmol) in MeOH (30 mL) was added CeCl3.7H20 (1.095 g, 2.94 mmol). After 30 min at rt, the reaction mixture was cooled to -78°C and NaBH4 (0.111 g, 2.94 mmol) was added over a period of 20 min in three equal portions. The mixture was allowed to stir for 1.5 h at the same temperature followed by the removal of the cooling bath. The stirring was continued for another 30 min at rt, then the solvent was evaporated in vacuo. The resulting residue was purified by flash column chromatography on silica gel using a solvent system of 2 to 6% isopropanol in CH2Cl2to provide Compound 17 (0.320 g, 63%) as a colorless oil and Compound 18 (0.020 g, 4%) as a white solid. Compound 17: Rf (6% MeOH in CH2C12) = 0.28. 1H NMR (CD3OD, 300 MHz): δ 5.82 (ddd, J= 5.7, 1.7, 0.6 Hz, 1H), 5.74 (ddd, J= 5.7, 1.8, 0.8 Hz, 1H; H-C(4,5)), 5.11 (dd, J= 5.4, 2.3 Hz, 1H; H-C(2)), 4.80 (dt, J= 5.7, 1.8 Hz, 1H; H-C(6)), 4.24 (d, J= 5.5 Hz, 1H; H-C(6a)), 3.39 (s, 3H; H-OCH3), 2.28 (dd, J= 13.8, 5.4 Hz, 1H; H-C(3)), 2.10 (dd, J= 13.8, 2.3 Hz, 1H; H-C(3)) ppm.13C NMR (CD3OD, 75 MHz): δ 137.2, 136.0 (2*d, C(4,5)), 108.7 (d, C(2)), 91.7 (s, C(3a)), 86.3 (d, C(6a)), 76.1 (d, C(6)), 55.4 (q, OCH3), 47.7 (t, C(3)) ppm. ESI+-HRMS: calcd for
C8H12Na04: 195.0628 [M+Na]+; found: 195.0629.
Compound 18: Rf (6% MeOH in CH2C12) = 0.19. 1H NMR (CD3OD, 300 MHz): δ 5.91 (dt, J- 5.6, 0.9 Hz, 1H), 5.72 (ddd, J= 5.6, 2.2, 1.1 Hz, 1H; H-C(4,5)), 5.04 (dd, J= 4.3, 2.1 Hz, 1H; H- C(2)), 4.41 (dt, J= 2.0, 0.9 Hz, 1H; H-C(6)), 4.20 (mc, J= 0.9 Hz, 1H; H-C(6a)), 3.36 (s, 3H; H- OCH3), 2.16 - 2.01 (m, 2H; H-C(3)) ppm.13C NMR (CD3OD, 75 MHz): δ 139.4, 133.5 (2> d, C(4,5)), 108.3 (d, C(2)), 97.2 (d, C(6a)), 91.3 (s, C(3a)), 81.2 (d, C(6)), 55.1 (q, OCH3), 46.1 (t, C(3)) ppm. ESI+-HRMS: calcd for C8Hi2Na04: 195.0628 [M+Na]+; found: 195.0635. b) Preparation of Compound 19
To an ice-cooled suspension of thymine (0.494 g, 3.92 mmol) and Compound 17 (0.270 g, 1.57 mmol) in MeCN (16 mL), was added bis( ,0-trimemylsilyl)acetamide (BSA, 2.3 mL, 9.41 mmol) followed by TMSC1 (0.05 mL, 0.63 mmol). After 40 min of stirring, the reaction mixture turned clear and TMSOTf (1.42 mL, 7.84 mmol) was added dropwise at 0°C. The cooling bath was removed and the reaction mixture was allowed to stir for another 2.5 h at rt. The reaction was then quenched with sat. aq. NaHC03 (5.5 mL). Silica gel was added and the solvents were evaporated in vacuo. The resulting residue was purified by flash column chromatography on silica gel using a solvent system of 8% MeOH in CH2C12 to provide Compound 19 (0.906 g) as an inseparable mixture of β- and a-anomers.
For the purpose of analysis, a small sample of Compound 19 were subjected to preparative
TLC using a solvent system of 8% MeOH in CH2C12 to provide pure β- and a- anomers as white solids.
Compound 19 (β-anomer): Rf (8% MeOH in CH2C12) = 0.16. 1H NMR (CD3OD, 300 MHz): δ 7.93 (q, J= 1.2 Hz, 1H; H-C(6)), 6.43 (dd, J= 8.0, 6.1 Hz, 1H; H-C(l')), 5.93 (dd, J= 5.8, 1.1 Hz, lH), 5.86 (dd, J= 5.8, 2.0 Hz, 1H; HC(6\7')), 4.80 (ddd, J= 5.7, 2.0, 1.1 Hz, 1H; H-C(5')), 4.21 (d, J= 5.7 Hz, 1H; H-C(4')), 2.48 (dd, J= 13.6, 6.1 Hz, 1H; H-C(2')), 2.13 (dd, J= 13.6, 8.0 Hz, 1H; H-C(2')), 1-86 (d, J= 1.2 Hz, 1H; H-CH3) ppm.13C NMR (CD30D, 75 MHz): δ 166.6 (s, C(4)), 152.5 (s, C(2)), 138.8 (d, C(6)), 137.7, 135.5 (2xd, C(6\ 7')), 111.4 (s C(5)), 91.3 (s, C(3')), 89.3, 89.2 (2*d, C(l\ 5')), 75.2 (d, C(4')), 46.3 (t, C(2')), 12.6 (q, CH3) ppm.
Compound 19 (a -anomer): Rf (8% MeOH in CH2C12) = 0.16. 1H NMR (CD3OD, 300
MHz): 6 7.74 (q, J= 1.2 Hz, 1H; H-C(6)), 6.22 (t, J= 6.6 Hz, 1H; H-C(r)), 5.95 (dd, J= 5.9, 0.9 Hz, 1H), 5.91 (ddd, J= 5.9, 1.7, 0.5 Hz, 1H; HC(6',T)), 4.77 (ddd, J= 5.3, 1.6, 1.2 Hz, 1H; H- C(5^)), 4.44 (d, J= 5.3 Hz, 1H; H-C(4')), 2.57 (dd, J= 13.7, 6.6 Hz, 1H; H-Q )), 2.26 (dd, J= 13.7, 6.5 Hz, 1H; H-C(2')), 1.91 (d, J= 1.2 Hz, 3H, H-CH3) ppm.13C NMR (CD3OD, 75 MHz): δ 166. 6 (s, C(4)), 152.5 (s, C(2)), 138.3 (d, C(6)), 137.2, 136.8 (2xd, C(6\ 7^)), 111.9 (s, C(5)), 90.7 (s, C(T)), 89.1 (2xd, C(l\ 4')), 76.2 (d, Q )), 45.7 (t, C(2')), 12.6 (q, CH3) ppm. c) Preparation of Compounds 20 and 21
To a solution of crude mixture of Compound 19 (0.906 g, 1.57 mmol) in anhydrous pyridine (15 mL), was added DMTC1 (1.06 g, 3.14 mmol). After stirring at rt overnight under an argon atmosphere, the reaction mixture was poured into sat. aq. NaHC03 and extracted with ethyl acetate. The organic phase was collected, dried over MgS04, filtered and concentrated in vacuo. The crude was purified by flash column chromatography on silica gel using a solvent system of 3.5% MeOH in CH2C12 to provide Compound 20 (0.307 g, 34%) and Compound 21 (0.262 g, 29%) as pale yellow foams.
Compound 20: Rf (8% MeOH in CH2C12) = 0.33. 1H NMR (CDC13, 400 MHz): δ 8.95 (s, 1H; NH), 7.96 (q, J= 1.2 Hz, 1H; H-C(6)), 7.54 - 7.48 (m, 2H; H-Ph), 7.46 - 7.36 (m, 4H; H-Ph), 7.31 - 7.17 (m, 3H; H-Ph), 6.87-6.78 (m, 4H; H-Ph), 6.18 (dd, J= 6.6, 4.0 Hz, 1H; H-C(O), 5.53 (dd, J= 5.7, 1.6 Hz, 1H; H-C^)), 4.80 (dt, J= 5.3, 1.6 Hz, 1H; H-Q )), 4.69 (ddd, J= 5.6, 1.6, 0.8 Hz, 1H; H-C(6^)), 4.16 (d, J= 5.3 Hz, 1H; HC(4')), 3.77 (2xS, 2x3H; OMe), 2.71 (dd, J= 14.1, 6.6 Hz, 1H; H-Q )), 2.47 (s, 1H; OH), 2.31 (dd, J= 14.1, 4.0 Hz, 1H; H-C(2,))> 1.66 (d, J= 1.2 Hz, 3H; H-CH3) ppm.13C NMR (CDC13, 100 MHz): δ 164.3 (s, C(4)), 159.0 (s, C-Ph), 150.6 (s, C(2)), 145.3 (s, C-Ph), 137.3 (d, C(6)), 136.6 (d, C(6')), 136.4 (2xS, C-Ph), 134.6 (d, C(7-))i 130.3, 128.3, 127.3, 113.6 (7xd, C-Ph), 109.6 (s C(5)), 89.5 (s, C(3')), 88.6 (d, C(l')), 88.2 (d, C(4')), 88.1 (s, C(CPh3)), 77.5 (d, C(5')), 55.5 (q, OCH3), 45.9 (t, C(2')), 12.4 (q, CH3) ppm; ESI+-HRMS: calcd for C33H32N2Na07: 591.2102 [M+Na]+; found: 591.2121.
Compound 21 : Rf (8% MeOH in CH2C12) = 0.33. 1H NMR (CDC13, 400 MHz): δ 8.85 (s,
1H; NH), 7.51 - 7.48 (m, 2H; H-Ph), 7.43 - 7.34 (m, 4H; H-Ph), 7.32 - 7.22 (m, 3H; H-Ph, H-C(6)), 7.23 - 7.15 (m, 1H; H-Ph), 6.85-6.76 (m, 4H; H-Ph), 6.26 (dd, J= 7.3, 5.4 Hz, 1H; H-C(l')), 5.70 (dd, J= 5.9, 1.0 Hz, 1H; H-C(7,», 4.73 (dd, J= 5.9, 1.9 Hz, 1H; H-C(6,))5 4.62 (ddd, J= 5.8, 1.9, 1.2 Hz, 1H; H-C^)), 4.16 (d, J= 5.8 Hz, 1H; HC^)), 3.77 (s, 6H; OMe), 3.02 (s, 1H; OH), 2.67 (dd, J= 14.1, 7.3 Hz, 1H; H-C(2')), 2.30 (dd, J= 14.1, 5.4 Hz, 1H; H-C^)), 1.94 (d, J= 1.1 Hz, 3H; H-CH3) ppm.13C NMR (CDC13, 100 MHz): δ 164.0 (s, C(4)), 158.9 (s, C-Ph), 150.5 (s, C(2)), 145.5 (s, C-Ph), 137.7 (d, C(6)), 137.0, 136.8 (2xS, C-Ph), 135.5, 135.4 (2xd, C(6\ T)), 130.5, 128.5, 128.1, 127.1, 113.4 (7><d, C-Ph), 111.1 (s C(5)), 90.3, 90.3 (s, d, C(l \ T)), 88.8 (d, C(4')), 87.6 (s, CPh3), 76.7 (d, C(5')), 55.5 (q, OCH3), 45.1 (t, C(2')), 12.7 (q, CH3) ppm. ESI+-HRMS: calcd for C33H32N2Na07: 591.2102 [M+Na]+; found: 591.2122. d) Preparation of Compound 22
To a solution of Compound 20 (0.286 g, 0.50 mmol) and DIPEA (0.52 mL, 3.02 mmol) in anhydrous THF (5 mL), was added 2-cyanoethoxy diisopropylamino chlorophosphine (CEPC1, 0.34 mL, 1.51 mmol). After stirring for 1 h at rt under an argon atmosphere, the reaction mixture was poured into sat. aq. NaHC03 and extracted with Et20. The organic phase was collected, dried over MgS04, filtered and concentrated. The crude was purified by flash chromatography on silica gel using a solvent system of 30:70% hexane-ethyl acetate to provide Compound 22 (0.355 g, 94%) as a white foam.
Compound 22: Rf (3:7 hexane/ethyl acetate) = 0.57 or 0.43. 1H NMR (CDC13, 400 MHz): δ 8.83 (brs, 1H; NH), 7.98 (q, J= 1.2 Hz, 0.4H; H-C(6)), 7.91 (q, J= 1.2 Hz, 0.6H; H-C(6)), 7.56 - 7.47 (m, 2H; H-Ph), 7.46 - 7.34 (m, 4H; H-Ph), 7.36 - 7.16 (m, 3H; H-Ph), 6.89 - 6.77 (m, 4H; H- Ph), 6.18 (dd, J= 6.6, 4.3 Hz, 0.6H; H-QT)), 6.13 (dd, J= 6.7, 3.6 Hz, 0.4H; H-QT)), 5.71 (d, J= 5.7 Hz, 0.6H; H-C(7¾)), 5.64 (dt, J= 5.5, 1.4 Hz, 0.4H; H-C^)), 4.78 (d, J= 5.9 Hz, 0.6H; H- C(6')), 4.76 - 4.69 (m, 1.4H; H-C(6\ 5^)), 4.28 (d, J- 5.1 Hz, 0.4H; H-C(4^), 4.23 (d, J= 5.3 Hz, 0.6H; H-C(4')), 3.79, 3.78, 3.77 (4xs, 6H; OMe), 3.71 - 3.43 (m, 4H; H-C(i-Pr), -OCH2-), 2.89 - 2.84 (m, 1H; H-C(2^)), 2.55 - 2.49 (m, 1H; -CH2CN), 2.42 - 2.33 (m, 1H; Η-0(2Λ)), 2.34 - 2.18 (m, 1H; -CH2CN), 1.69 (d, J= 1.2 Hz, 1.3H; H-CH3), 1.66 (d, J= 1.2 Hz, 1.8H; H-CH3), 1.11-1.05 (m, 9H; CH(CH3)2), 1.01 (d, J = 6.8 Hz, 3H; CH(CH3)2) ppm.13C NMR (CDC13, 100 MHz): δ 164.3, 164.2 (2xs, C(4)), 159.0 (2xs, C-Ph), 150.5 (s, C(2)), 145.3 (2xs, C-Ph), 137.3, 137.1 (2xd, C(6)), 136.8 (d, C(7^)), 136.5 (s, C-Ph), 136.4 (d, C(6X)), 136.3 (s, C-Ph), 134.4 (dd,3J(C,?) = 7 Hz, C(T)), 134.0 (dd,5J(C,P) = 8 Hz, C(7^), 130.4, 130.3, 128.3, 128.2, 127.4, 127.3 (9xd, C-Ph), 117.7, 117.4 (2xs, CN), 113.7, 113.6, 113.5 (4xd, C-Ph), 109.7, 109.4 (2xs C(5)), 92.4 (d,2J(C,P) = 11 Hz, C(3')), 92.5 d, (C,P) = 10 Hz, C(3')), 88.5 (2xd, C(L)), 88.1 (2xs, C(CPh3)), 87.8, 87.7 (2xd, C(4')), 77.6 (dd, (C,P) - 1 Hz, C(5')), 77.3 (dd, (C,P) = 3 Hz, C(5')), 58.2 (dt,2J(C,P) = 18 Hz, - 0CH2-), 58.0 (dt,2J(C,P) = 17 Hz, -0CH2-), 55.5 (2xq, 0CH3), 46.2, 46.1 (2xdt,5J(C,P) = 6 Hz, C(2')), 43.6, 43.5 (2xdd,2J(C,P) = 13 Hz, CH(CH3)2), 24.7, 24.5, 24.4 (3xdq,5J(C,P) = 6 Hz, CH(CH3)2), 20.5, 20.0, (2xdt, 3J(C,P) = 7 Hz, -CH2CN), 12.4 (q, CH3) ppm.31P NMR (122 MHz, CDCI3): δ 143.60, 142.99 ppm. ESI+-HRMS: calcd for C42H49N4Na08P: 791.3180 [M+Na]+;
found: 791.3160.
Example 15
Preparation of Compound 26
Figure imgf000079_0001
26
Compound 11 is prepared as per the procedures illustrated in Example 13. Example 16
Preparation of Compound 34
Figure imgf000080_0001
32 33
1. TBAF Bx = heterocyclic base
2. DMTOTf
3. Phosphitylation
Figure imgf000080_0002
34
Compound 27 is prepared according to published procedures by Ravn, J. and Nielsen, P., J. Chem. Soc, Perkin Trans. 1, 2001, 985-993.
Example 17
Preparation of Compound 39
Figure imgf000081_0001
39
Compound 27 is prepared according to published procedures by Ravn, J. and Nielsen, P., J. Chem. Soc, Perkin Trans. 1, 2001, 985-993. Compounds 36 and 37 can be separated by column chromatography. Compound 38 is prepared from Compound 37 by catalytic hydrogenation followed by tntylation in the presence of DMTOTf. The final phosphitylation reaction of the DMT protected bicyclic nucleoside Compound 38 provides the desired phosphoramidite Compound 39. Example 18
Preparation of Compound 44
Figure imgf000081_0002
Compound 40 is prepared according to published procedures by Albaek, N., Nucleosides, Nucleotides and Nucleic Acids, 2003, 22, 723-725.
Example 19
Pre aration of Compound 52
Figure imgf000082_0001
52
a) Preparation of Compound 46
Compound 45 was prepared according to published procedures by Haziri et al, Synthesis, 2010, 823. Compound 45 (1.0 g, 2.51 mmol) was dissolved in 80% aqueous AcOH (40 mL) and stirred at 90 °C for 16 h. AcOH was removed by coevaporation with EtOH (3 x 10 ml), toluene (3 x 10 ml), and anhydrous pyridine (1 x 10 ml). The residue was dissolved in anhydrous pyridine (10 mL) and Ac20 (10 mL) was added dropwise. After stirring at rt for 16 h, the reaction was quenched with water (20 ml) at 0 °C. The aqueous solution was extracted with CH2C12 (3 x 50 ml) and the combined organic phases were washed with sat aq NaHC03 (2 x 80 ml), dried over MgS04, filtered, and evaporated. The residue was purified by flash column chromatography on silica gel with a solvent system of 2:1 hexane-ethyl acetate to provide Compound 46 (0.820 g, 74%) as a 3:1 mixture of a- and β-anomers in a form of colorless oil.
Compound 46 (β-anomer): R{ (hexane-ethyl acetate 2: 1) = 0.31. 1H-NMR (300 MHz, CDC13): δ 2.00-2.30 (m, 4H, 2H-4, 2H-5), 2.06, 2.15 (2s, 6H, 2CH3), 3.94-4.02 (m, IH, H-6), 4.28 (d, J= 11.5 Hz, IH, lCH2Ph), 4.64 (d, J= 4.0 Hz, IH, H-6a), 4.68 (d, J= 11.8 Hz, IH, CH2Ph), 5.50 (d, J= 11.5 Hz, IH, 1 CH2Ph), 5.51 (d, J= 11.8 Hz, IH, 1 CH2Ph), 5.28 (d, J= 0.75 Hz, IH, H-3), 6.25 (s, IH, H-2), 7.28-7.33 (m, 10H, Ph).
Compound 46 (ct-anomer): ?f (hexane-ethyl acetate 2:1) = 0.25. 1H-NMR (300 MHz,
CDCI3): δ 1.85, 2.15 (2s, 6H, 2 CH3), 1.75-2.00 (m, 4H, 2H-4, 2H-5), 3.90-4.05 (m, IH, H-6), 4.13 (dd, J= 7.1 Hz, J= 14.3 Hz, IH, H-6a), 4.52-4.70 (m, 4H, 2CH2Ph), 5.6 (d, J= 4.5 Hz, IH, H-3), 6.52 (d, J = 4.5 Hz, IH, H-2), 7.28-7.33 (m, 10H, Ph).
Compound 46 (anomeric mixture):13C-NMR (75 MHz, CDC13): 5 21.12, 21.43, 21.74, 21.80, 28.93, 29.13, 30.58, 32.40, 67.96, 68.15, 72.58, 78.79, 79.13, 79.67, 79.78, 85.40, 87.97, 88.14, 90.05, 96.38, 101.67, 127.24, 127.59, 128.11, 128.33, 128.45, 128.49, 128.55, 129.02, 129.05, 129.11, 138.58, 138.62, 138.91, 139.54, 169.83, 170.04, 170.56. HRMS (ESI): m/z
[M+Na]+ calcd for C25H2807Na: 463.1727; found: 463.1728. b) Preparation of Compound 47
Compound 46 (0.80 g, 1.8 mmol) and dry thymine (0.57 g, 4 mmol, 2 equiv) were suspended in anhydrous CH3CN (35 mL). N,O-Bis(trimethylsilyl)acetamide (BSA) (2.6 mL, 10 mmol, 5.3 equiv.) was added dropwise, and the solution was stirred at 80 °C for 1 h. The mixture was then cooled to 0 °C and TMS-triflate (0.72 mL, 4 mmol, 2 equiv.) was added. The clear solution was stirred at 50 °C for 16 h. The solution was then cooled to 0 °C and quenched with sat aq NaHCC>3 (30 ml). The aqueous phase was extracted with CH2C12 (3 x 80ml). The combined organic phases were dried with MgS04, filtered, and evaporated. The residue was purified by flash column chromatography on silica gel with a solvent system of 1:1 hexane-ethyl acetate to provide
Compound 47 (0.680 g, 73%, β anomer only) as a colorless foam.
Compound 47: Rf (hexane-ethyl acetate 1 :1) = 0.23. 1H-NMR (300 MHz, CDC13): δ 1.51 (d, J= 1.2 Hz, 3H, (CH3)C-5, 2.07 (s, 3H, CH3), 2.00-2.34 (m, 4H, 2H-6', 2H-7'), 4.00-4.06 (m, IH, H-5'), 4.57-4.73 (m, 5H, H-4', 2CH2Ph), 5.15 (d, J= 8.1 Hz, IH, H-2'), 6.45 (d, J= 8.1 Hz, IH, H- 1 '), 7.28-7.39 (m, 10H, Ph), 7.54 (d, J= 1.3 Hz, IH, H-6), 8.07 (s, IH, NH). 1H-NMR-difference NOE (400 MHz, CDC13): δ 6.45 (Η-1')→ 5.15 (Η-2', 2.1%), 4.63 (Η-4', 3.7%); 5.15 (Η-2)→ 7.54 (Η-6, 12.3%), 6.45 (Η-Ι', 3.6%); 4.63 (Η-4')→ 6.45 (Η-Ι ', 2.8%), 4.06 (Η-5', 5.4%); 4.06 (Η-5') → 4.63 (Η-4', 15.6%).13C-NMR (75 MHz, CDC13): δ 12.01, 20.67, 29.88, 30.21, 67.49, 71.50, 76.57, 78.10, 79.33, 86.67, 87.08, 88.80, 111.74, 126.79, 127.68, 128.06, 128.48, 128.68, 135.28, 137.59, 138.29, 150.40, 163.21, 170.45. HRMS (ESI): m/z calcd for C28H30O7N2Na (M+Na)+: 529.1945; found: 529.1948. c) Preparation of Compound 48
To a solution of Compound 47 (0.67 g, 1.3 mmol) in anhydrous MeOH (30 mL) was added NaOMe (0.14g, 2.6 mmol, 2 equiv.). The clear solution was allowed to stir at rt for 4 h. After cooling to 0 °C the solution was neutralized with aq. HC1 and then extracted with CH2C12 (3 x 50 ml). The combined organic phases were washed with sat aq NaHC03, dried over MgS04, filtered, and evaporated. The residue was purified by flash column chromatography on silica gel with a solvent system of 2:3 hexane-ethyl acetate to provide Compound 48 (0.560, 91%) as a white foam. The conformation preferences of Compound 48 was confirmed and analyzed by X-ray
crystallography.
Compound 48: R{ (hexane-ethyl acetate 3:2) = 0.18. 1H-NMR (300 MHz, CDC13): δ 1.50 (s, 3H, CH3), 2.04-2.13 (m, 4H, 2H6', 2H7'), 3.07 (d, J= 10.3 Hz, 1H, 2'-OH), 3.98-4.10 (m, 2H, H- 5', H-2'), 4.56-4.67 (m, 5H, 2CH2Ph, H-4'), 6.15 (d, J= 8.1 Hz, 1H, Η-Γ), 7.28-7.45 (m, 10H, Ph), 7.49 (s, 1H, H-6), 8.20 (s, 1H, NH). 1H-NMR-NOE (400 MHz, CDCI3): 6.15 (Η-Γ)→ 4.64 (Η-4', 2.3%), 4.06 (Η-2', 1.3%); 4.65 (Η-4')→ 4.04 (Η-5', 5.3%); 4.06 (Η-2')→ 8.20 (Ν-Η, 1.3%), 7.49 (C-H, 8.5%), 6.15 (Η-Ι ', 1.7%).13C-NMR (75 MHz, CDCI3): δ 11.60, 26.84, 29.66, 65.81, 71.26, 77.71, 79.32, 83.15, 88.23, 88.61, 111.16, 127.08, 127.33, 127.77, 128.35, 128.37, 135.12, 137.02, 137.22, 150.45, 162.86. HRMS (ESI): m/z [M+Na]+ calcd for C26H2806N2Na: 487.1840; found: 487.1843. d) Preparation of Compound 49
To a solution of Compound 48 (0.2 g, 0.43 mmol) in DMF (1 ml) was added imidazole (0.043 g, 0.64 mmol) and TBDMSCl (0.084 g, 0.56 mmol) at 0 °C. After stirring at rt for 24 h, the mixture was diluted with CHCI3 (25 ml) and washed with water (3 x 25 ml) and brine (25 ml). The combined organic phases were dried over MgS04 and evaporated. The residue was purified by flash column chromatography on silica gel with a solvent system of 2:3 hexane-ethyl acetate with 1% Et3N to provide Compound 49 (0.166 g, 71%) as a yellow oil.
Compound 49: Rf (hexane-ethyl acetate 2:3) = 0.66. 1H-NMR (300 MHz, CDC13): δ -0.08 (s, 3H, Si-CH3), 0.09 (s, 3H, Si-CH3), 0.85 (s, 9H, tBu), 1.43 (s, 3H, CH3(C-5)), 2.00-2.16 (m, 4H, 2H-6', 2H-7'), 4.01-4.03 (m, 1H, H-5'), 4.13 (d, J= 8.1 Hz, 1H, H-2'), 4.53 (d, J= 5.3, 1H, H-4'), 4.55-4.97 (m, 4H, CH2Ph), 6.38 (d, J= 8.3 Hz, 1H, H-l '), 7.28-7.40 (m, 10H, Ph), 7.52 (d, J= 1.3 Hz, 1H, H-6), 8.00 (s, 1H, NH).13C-NMR (75 MHz, CDC13): δ -4.80, -3.96, 12.00, 14.46, 18.10, 21.29, 25.79, 25.91, 29.96, 30.14, 30.39, 60.64, 68.62, 71.64, 78.51, 81.18, 87.40, 88.73, 88.81, 11.68, 127.23, 127.65, 127.87, 128.32, 128.61, 128.94, 136.03, 138.09, 139.43, 150.60, 163.48. HRMS (ESI): m/z [M+H]+ calcd for C^H^C^Si: 579.2885; found: 579.2868. d) Preparation of Compound 50
To a solution of Compound 49 (0.18 g, 0.3 mmol) in EtOAc (4.5 ml) was added 20%
Pd(OH)2/C ( 0.1 g) and 1,3-cyclohexadiene (0.28 ml, 0.3mmol, 10 eq.). The mixture was flushed with Ar for 15 min and then set under an atmosphere of ¾. After stirring for 6 h at rt, the mixture was filtered through a pad of Celite and the filtrate was evaporated. The residue was purified by flash column chromatography on silica gel with a solvent system of 1 :3 hexane-ethyl acetate to provide Compound 50 (0.12 g, 94%) as a white foam.
Compound 50: Rf (hexane-ethyl acetate 1 :3) = 0.26. 1H-NMR (300 MHz, MeOD): δ -0.11 (s, 3H, Si-CHs), -0.17 (s, 3H, Si-CH3), 0.92 (s, 9H, tBu), 1.39-1.52 (m, 1H, 1H-7'), 1.70-1.85 (m, 1H, 1H-6'), 1.90 (s, 3H, (CH3)C-5), 2.05-2.10 (m, 1Η,1Η-6'), 2.25-2.39 (m, 1H, 1H-7'), 3.80 (d, J= 5.1 Hz, 1H, H-4'), 3.97 (d, J- 3.6 Hz, 1H, H-2'), 4.05 (m, 1H, H-5'), 5.91 (d, J= 3.6 Hz, ΙΗ, Η-Ι '), 7.57 (s, 1H, H-6).13C-NMR (75 MHz, CDC13): δ -4.85, -4.70, 12.72, 19.12, 26.69, 32.19, 33.68, 58.62, 73.52, 81.56, 87.37, 88.96, 89.57, 109.85, 141.31, 152.32, 166.70. HRMS (ESI): m/z
[M+H]+ calcd for C18H3106N2Si: 399.1946; found: 399.1960. e) Preparation of Compound 51
To a stirred solution of Compound 50 (0.29 g, 0.74 mmol) in pyridine (3 ml) was added DMTCl (0.75 g, 3 eq.) at rt. After 3 h, another portion of DMTCl (0.75 g, 3 eq.) was added and the mixture was allowed to stir for an additional 16 h. The reaction was then quenched with sat aq NaHC03 (5 ml) and the mixture was extracted with CH2C12 ( 3 x 10 ml). The combined organic phases were dried over MgS04, filtered and evaporated The residue was purified by flash column chromatography on silica gel with a solvent system of 2:1 hexane-ethyl acetate with 1% Et3N to provide Compound 51 (0.47 g, 90%) as a yellow foam.
Compound 51: R{ (hexane-ethyl acetate 2:1) = 0.30. 1H-NMR (300 MHz, CDC13): δ -0.02 (s, 3H, Si-CH3), 0.07 (s, 3H, Si-CH3), 0.87 (s, 9H, tBu), 1.06- 2.23 (m, 7H, (CH3)C-5, 2H-6', 2H-7),
3.11 (s, IH, 3'-OH), 3.78 (s, 6H, 2MeO), 3.94 - 3.96 (m, 2H, H-4\ H-2'), 4.00-4.10 (m, IH, H-5'), 6.03 (d, J= 7.4 Hz, IH, Η-Γ), 6.84 (dd, J= 9.0, 2.2 Hz, 4H, H-Ph), 7.28-7.49 (m, 10H, H-Ph, H-6),
8.12 (sb, IH, NH).13C NMR (75 MHz, CDC13): δ -4.72, -4.61, -4.49, -4.42, 12.02, 12.51, 14.27, 17.98, 22.85, 25.35, 29.52, 29.82, 34.65, 55.30, 71.54, 73.66, 79.79, 82.84, 87.45, 87.92, 88.20, 89.21, 94.32, 11.80, 113.36, 123.59, 127.25, 127.95, 128.56, 129.30, 130.48, 134.23, 136.47, 138.10, 139.67, 150.35, 158.33, 159.00, 163.87. HRMS (ESI): m/z [M+Na]+ calcd for
C39H4808N2SiNa: 723.3072; found: 723.3087. f) Preparation of Compound 52
To a stirred solution of Compound 50 (0.47 g, 0.67 mmol) in CH3CN (3 ml) was added at /'Pr2EtN (0.5 g, 0.4 mmol, 0.7 ml, 6 eq.), followed by zPr2NP(Cl)OCH2CH2CN (0.58g, 0.26 mmol, 4 eq.) at rt. After 4 h, the mixture was diluted with EtOAc (10 ml) and washed with sat aq NaHC03 (10 ml). The aqueous phase was extracted with EtOAc (3 x 10 ml) and the combined organic phases were dried over MgS04, filtered and evaporated. The residue was purified by flash column chromatography on silica gel with a solvent system of 2:1 hexane-ethyl acetate with 1% Et3N to provide Compound 52 (0.46 g, 76%) as a white foam.
Compound 52: ^(hexane-ethyl acetate 2:1) = 0.34. 1H-NMR (300 MHz, CDC13): δ 0.00, 0.01, 0.08, 0.13 (4s, 6H, Si-CH3), 0.87, 0.88 (2s, 9H, tBu), 0.75-0.95 (m, 2H, 2H-6'), 1.20-1.35 (m, 12H, 4N-CH3), 1.85-1.95 (m, 2H, 2H-7'),2.53-2.65 (m, 2H CH2-CN), 3.40-3.98 (m, 10H, 20Me, 2CH2-0, 2 x CH-N), 4.10-4.21 (m, 2H, H-2', H-5'), 4.34-4.37, 4.55-4.58 (2m, IH, H-4'), 6.22-6.26 (m, IH, H-l'), 6.80-6.85 (m, 4H, Ph), 7.28-7.47 (m, 9H, Ph), 7.54 (s, IH, H-6), 8.23 (bs, IH, NH).13C-NMR (75 MHz, CDC13): δ -4.70, -4.56, -3.80, 11.38, 14.36, 18.09, 18.18, 20.44, 20.61, 20.68, 24.38, 24.48, 24.51, 24.62, 24.69, 24.77, 24.82, 25.70, 25.75, 43.31, 43.41, 43.48, 43.58, 58.41, 72.84, 73.15, 87.62, 87.77, 87.84, 111.52, 111.60, 113.40, 117.87, 118.06, 127.46, 127.50, 128.13, 128.78, 130.64, 135.90, 135.99, 136.14, 136.23, 136.34, 136.42, 145.00, 145.05, 150.53, 150.59, 159.07, 163.49.31P-NMR (161.9 MHz, CDCI3): δ 141.23, 142.08. HRMS (ESI): m/z [M+H]+ calcd for C48H6609N4PSi: 901.4331; found: 901.4352. Example 20
Preparation of Compound 55
Figure imgf000087_0001
a) Preparation of Compound 53
Compound 46 was prepared as per the procedures illustrated in Example 19. Dry N4-Bz- cytosine (0.19 g, 0.9 mmol, 2 eq.) and Compound 46 (0.2 g, 0.45mmol) were suspended in anhydrous CH3CN ( 6 ml ). The suspension was treated with BSA (0.45 g, 2.2 mmol, 0.55 ml, 5 eq.) and was allowed to stir at rt. After 1 h, SnCl4 (0.23 g, 0.9 mmol, 0.1 ml, 2 eq.) was added dropwise and the mixed was stirred for another 3 h at rt. Another equivalent of SnCl4 (0.11 g, 0.45 mmol, 0.05 ml, 1 eq.) was added and the mixture was allowed to stir overnight. The reaction was quenched with sat. aq. NaHC03 (10 ml), and the mixture was extracted with CH2C12 (3 x 20ml). The organic phases were washed with sat. aq. NaHC03 (3 x 15 ml) and brine (1 x 15 ml). The aqueous phase was extracted with CH2C12 (2 x 50 ml). The combined organic phases were dried over MgS04, filtered, and evaporated. The residue was purified by flash column chromatography on silica gel with a solvent system of 1 :2 hexane-ethyl acetate to provide Compound 53 (0.267 g, 98%) as a yellow foam.
Compound 53: R{ (hexane-ethyl acetate 1 :2) = 0.42. 1H-NMR (300 MHz, CDC13): δ 2.04- 2.25 (m, 7H, CH3, 2H-6', 2H-7'), 4.08 (m, 1H, H-5'), 4.58-4.70 (m, 5H, 2CH2Ph, H-4'), 5.17 (d, J= 7.3Hz, 1H, H-2'), 6.63 (d, J= 7.3 Hz, 1H, Η-Γ), 7.28-7.70 (m, 14H, 13Ph, H-5), 7.98 (d, J= 7.4 Hz, 2H, 2Bz), 8.28 (d, J= 7.4 Hz, 1H, H-6), 8.62 (sb, 1H, NH). 1H-NMR-NOE (400 MHz, CDC13): 6.63 (Η- )→ 5.17 (Η-2', 2.6%), 4.71 (Η-4', 5.5%), 4.08 (Η-5', 0.2%); 4.08 (Η-5')→ 4.70 (Η-4', 11.1%).13C-NMR (75 MHz, CDC13): δ 20.74, 22.69, 30.48, 67.64, 71.74, 78.38, 80.97, 87.29, 88.98, 89.46, 126.87, 127.64, 128.21, 128.35, 128.48, 128.78, 129.02, 133.12, 137.31, 138.27, 170.43. HRMS (ESI): m/z [M+H]+ calcd for C34H3407N3: 596.2391; found: 596.2393. b) Preparation of Compound 54
Compound 53 (0.26 g, 0.44 mmol) was dissolved in 0.2 M NaOH in THF/MeOH/H20 (5:4:1, 25 ml) at 0 °C. After 45 min, the reaction was quenched with NH4CI (0.347 g, 1.5 eq.
relative to NaOH). The solution was stirred for another 10 min at rt before evaporation. The residue was adsorbed on silica gel (MeOH) and purified by flash column chromatography with a solvent system of 1 :3 hexane-ethyl acetate to provide Compound 54 (0.120 g, 52%) as a white foam.
Compound 54: R{ (hexane-ethyl acetate 1 :3) = 0.22. 1H-NMR (300 MHz, CDCI3): δ 2.00- 2.12 (m, 4H, 2H-6', 2H-7'), 4.06 (m, 2H, H-2', H-5'), 4.16 (sb, 1H, 2'-OH), 4.52-4.82 (m, 5H, 2CH2Ph, H-4'), 6.19 (d, J= 6.6 Hz, ΙΗ, Η-Ι '), 7.28-7.61 (m, 14H, 13Ph, 1H-C5), 7.89 (d, J= 7.4 Hz, 2H, H-Bz), 8.27 (d, J= 7.5 Hz, 1H, H-6), 8.68 (sb, 1H, NH). 1H-NMR-NOE (400 MHz,
CDCI3): 6.20 (Η- )→ 4.12 (Η-2', 3.3%); 4.78 (Η-4')→ 6.23 (Η-1 ', 2.5%), 4.09 (Η-5', 9.9%).13C-NMR (75 MHz, CDC13): δ 0.99, 14.09, 22.67, 28.72, 29.33, 29.54, 29.63, 29.67, 30.18, 31.42, 31.90, 67.24, 71.73, 78.19, 82.87, 86.49, 89.89, 92.98, 96.67, 113.62, 127.45, 127.52, 127.77 128.09, 128.32, 128.50, 128.69, 129.05, 133.17, 137.36, 138.11, 144.83, 162.10. HRMS (ESI): m/z [M+H]+ calcd for C32H3206N3: 554.2286; found: 554.2291. c) Preparation of Compound 55
To a solution of Compound 54 (0.9g, 0.16 mmol) in DMF (1 ml) was added imidazole (0.016 g, 0.24 mmol, 1.5 eq.) and TBDMSCl (0.031 g, 0.21 mmol, 1.3 eq.) at 0 °C. After stirring for 24 h at rt, the mixture was diluted with CHCI3 (25 ml) and washed with water (3 x 20 ml) and brine (1x20 ml). The organic phase was dried over MgS04, filtered and concentrated. The residue was purified by flash column chromatography on silica gel with a solvent system of 1 :2 hexane-ethyl acetate with 1% ΕΪ3Ν to provide Compound 55 (0.076g, 42%) as a white solid.
Compound 55: Rf (hexane-ethyl acetate 1 :3) = 0.65. 1H-NMR (300 MHz, CDCI3): δ -0.09 (s, 3H, S1-CH3), 0.06 (s, 3H, S1-CH3), 0.85 (s, 9H, tBu), 1.52-2.22 (m, 4H, 2H-6', 2H-7'), 4.10 (m, 2H, H-2', H-5'), 4.50-4.95 (m, 5H, 2CH2Ph, H-4'), 6.60 (d, J= 7.9 Hz, 1H, Η-Γ), 7.28 -7.60 (m, 14H, 13H-Ph, H-5), 7.92 (sb, 2H-Bz), 8.18 (d, J= 7.5 Hz, 1H, H-6), 8.70 (sb, 1H, NH).13C-NMR (75 MHz, CDCI3): δ -5.04, -4.39, 1.01, 14.19, 17.84, 21.03, 25.61, 29.67, 30.58, 60.38, 68.28, 71.59, 78.59, 83.01, 87.79, 89.04, 90.11, 127.02, 127.39, 128.30, 128.36, 128.50, 128.87, 128.99, 133.32, 137.41, 139.06. HRMS (ESI): m/z [M+H]+ calcd for C38H4606N3Si: 668.3150; found: 668.3157. Example 21
Preparation of Compound 58
Figure imgf000089_0001
58
Compound 55 is prepared as per the procedures illustrated in Example 20.
Example 22
Preparation of Compound 65
Figure imgf000090_0001
65
a) Preparation of Compound 59
Compound 48 was prepared as per the procedure illustrated in Example 19. A solution of Compound 48 (50 mg, 0.1 mmol) in DMF (2 ml) was treated with diphenyl carbonate (27 mg, 0.13 mmol, 1.3 eq.) and sodium bicarbonate (2 mg). The mixture was heated at 150 °C for 1 h and was poured into Et20 (5 ml) after cooling to rt. The organic phase was evaporated and the residue was purified by flash column chromatography on silica gel with a solvent system of 1 : 1 hexane-ethyl acetate to provide Compound 59 (11 mg, 23%) as a white solid.
Compound 59: R{ (hexane-ethyl acetate 1 :2) = 0.05. 1H-NMR (300 MHz, CDC13): δ 1.74-
2.03 (m, 6H, 1H-6', 2H-7', (CH3)C-5), 2.63-2.65 (m, 1H, 1H-6'), 3.95 (dd, J= 10.5 Hz, 6.3 Hz 1H, Η-5'), 4.49 (s, 2H, CH2Ph), 4.62 (d, J= 11.4 Ηζ,ΙΗ, lCH2Ph), 4.69 (d, J= 11.4 Hz, 1H, lCH2Ph), 4.82 (d, J= 5.3 Hz, 1H, H-4'), 5.33 (d, J= 6.0 Hz, 1H, H-2'), 6.38 (d, J= 6.0 Hz, 1H, H-l '), 7.25- 7.44 (m, 11H, 2Ph, H-6).13C-NMR (75 MHz, CDC13): δ 13.89, 25.30, 29.70, 67.19, 71.26, 85.51, 92.29, 93.03, 95.44, 119.00, 127.21, 127.55, 127.72, 128.08, 128.40, 128.65, 130.24, 137.11, 137.44, 159.69, 172.27. HRMS (ESI): m/z [M+H]+ calcd for C26H2705N2: 447.1903; found:
447.1914. b) Preparation of Compound 60 from Compound 48
To a stirred solution of Compound 48 (0.3 g, 0.64mmol) in pyridine (3.5ml) was added MsCl (0.22g, 3 eq.) dropwise at 0 °C. After 1 h at rt, the reaction was quenched with water (10ml), and the mixture was extracted with CH2C12 (3 x 15ml). The combined organic phases were washed with sat aq NaHC03 (3 x 30ml), dried over MgS04, filtered and evaporated. The residue was purified by flash column chromatography on silica gel with a solvent system of 1 :2 hexane-ethyl acetate to provide Compound 60 (0.3 lg, 89.6%) as a white solid.
Compound 60: R{ (hexane-ethyl acetate 1 :2) = 0.48.1H-NMR (300 MHz, CDC13): δ 1.48 (d, J= 1.1 Hz, 3H, CH3), 2.20-2.26 (m, 4H, 2H- 6', 2H- 7'), 3.01 (s, 3H, CH3), 4.06 (m, 1H, H-5'), 4.55-4.84 (m, 5H, 2CH2Ph, H-4'), 5.02 (d, J= 7.9 Hz, 1H, H-2'), 6.47 (d, J= 7.9 Hz, 1H, H-l'), 7.28-7.37 (m, 10H, Ph), 7.54 (d, J= 1.3 Hz, 1H, H-6), 8.48 (s, 1H, NH).13C-NMR (75 MHz, CDC13): δ 11.96, 28.47, 29.63, 38.52, 67.84, 71.40, 76.57, 77.80, 82.11, 86.65, 87.40, 88.28, 112.07, 126.85, 127.65, 127.67, 128.14, 128.50, 128.74, 134.97, 137.35, 138.25, 150.50, 163.18. HRMS (ESI): m/z [M+H]+ calcd for C27H30O8N2S: 543.1783; found: 543.1796. c) Preparation of Compound 61 from Compound 59
To a stirred solution of Compound 59 (0.050g, 0.1 lmmol) in EtOH (10 ml), was added 0.1 M KOH. The reaction mixture was allowed to go under was refluxed for 3 h. After cooling to rt, the mixture was neutralized with 1 M aq HC1 and concentrated in vacuo. The residual aqueous solution was saturated with NaCl and extracted with CH2C12 (3 x 20ml). The combined organic phases were washed with sat aq NaHC03 (2 x 30ml), dried over MgS04, filtered and evaporated. The residue was purified by flash column chromatography on silica gel with a solvent system of 1 :2 hexane-ethyl acetate to provide Compound 61 (0.017g, 32%) as a white foam.
Compound 61 : Rt (hexane-ethyl acetate 1 :2) = 0.24. 1H-NMR (300 MHz, CDCI3): δ 1.60 (sb, 4H, 2'-OH, (CH3)C-5), 1.82 (m, 1H, H-7'), 2.10 (m, 1H, H-7'), 2.23 (m, 1H, H-6'), 2.46 (m, 1H, Η-6'), 4.10-4.13 (m, 1H, H-5'), 4.38 (sb, 1H, H-2'), 4.43 (d, J= 4.7 Hz, 1H, H-4'), 4.46-4.72 (m, 4H, 2CH2Ph), 6.30 (d, J= 2.5, 1H, H-l'), 7.28-7.34 (m, 10H, Ph), 7.46 (d, J= 0.8 Hz, 1H, H-6), 9.06 (sb, 1H, NH). 'H-NMR-NOE (400 MHz, CDC13): 6.30 (Η-Ι')→ 4.38 (Η-2', 3.99%), 4.31 (H- 4', 1.41%).13C-NMR (75 MHz, CDC13): δ 12.19, 14.18, 21.01, 23.76, 30.01, 60.36, 67.28, 71.57, 72.19, 78.94, 88.30, 89.72, 95.54, 108.65, 127.40, 127.76, 127.87, 128.40, 128.53, 128.85, 136.84, 137.92, 137.98, 150.00, 164.12. HRMS (ESI): m/z [M+H]+ calcd for C26H2906N2: 465.2025;
found: 465.2020. d) An improved method for the preparation of Compound 61 from Compound 60
To a stirred solution of Compound 60 (0.30g, 0.55mmol) in EtOH (10 ml) and H20 (10 ml) was added 1 M aq NaOH (2.2 ml, 4 eq.). The reaction mixture was allowed to go under reflux for 16 h. After cooling to rt, the mixture was neutralized with 1 M aq HC1 and concentrated in vacuo. The resulting aqueous solution was saturated with NaCl and then extracted with CH2C12 (3 x 30ml). The combined organic phases were washed with sat aq NaHC03 (2 x 30ml), dried over MgS04, filtered and evaporated. The residue was purified by flash column chromatography on silica gel with a solvent system of 1 :2 hexane-ethyl acetate to provide Compound 61 (0.22g, 84%) as a white foam. The analytical data is identical as reported above. e) Preparation of Compound 62
To a solution of Compound 61 (0.15g, 0.32mmol) in 1ml of DMF was added imidazole (0.055g, 0.8 mmol, 2.5 eq.) and TBDMSOTf (0.126 g, 0.48 mmol, 1.5 eq.). After stirring at rt for 20 h, the mixture was diluted with CH2C12 (20ml) and washed with H20 (15 ml) followed by brine (15 ml). The organic phase was dried over MgS04, filtered and concentrated. The residue was purified by flash column chromatography on silica gel with a solvent system of 3:2 hexane-ethyl acetate to provide Compound 62 (0.13g, 71%) as a white foam.
Compound 62: R{ (hexane-ethyl acetate 1:2) = 0.41. 1H-NMR (300 MHz, CDC13): δ -0.14 (s, 3H, Si-CH3), 0.15 (s, 3H, Si-CH3), 0.87 (s, 9H, f-Bu), 1.57-1.65 (m, 1H, 1H-7'), 1.83 (s, 3H, (CH3) C-5), 1.90-2.08 (m, 2H, 1H-6', 1H-7'), 2.26-2.30 (m, 1H, H-6'), 3.97-4.01 (m, 1H, H-5'), 4.31 (d, J= 5.3 Hz, 1H, H-4'), 4.37 (d, J= 3.6 Hz, 1H, H-2'), 4.43 (d, J= 11.1 Hz, 1H, CH2Ph), 4.48 (d, J= 11.1 Hz, 1H, CH2Ph), 4.54 (d, J= 11.5 Hz, 1H, CH2Ph), 4.69 (d, J= 11.5 Hz, 1H, CH2Ph), 4.53 (d, J= 11.5 Hz, 1H, CH2Ph), 4.67 (d, J- 11.5 Hz, 1H, CH2Ph), 6.15 (d, J= 3.6 Hz, 1H, H-l'), 7.28-7.48 (m, 10H, Ph), 7.48 (d, J= 1.32 Hz, 1H, H-6), 8.26 (s, 1H, NH).13C-NMR (75 MHz, CDCb): δ -5.17, -4.87, -3.58, -2.95, 12.37, 17.93, 25.64, 25.69, 25.83, 26.52, 30.77, 66.72, 71.67, 75.43, 77.76, 84.29, 86.14, 94.98, 109.00, 127.22, 127.85, 128.46, 128.54, 137.60, 138.02, 138.98, 149.89, 163.33. HRMS (ESI): m/z [M+Na]+ calcd for C32H4206N5NaSi: 601.2719; found: 601.2704. f) Preparation of Compound 63
To a solution of Compound 62 (0.05 g, 0.086 mmol) in EtOAc (2 ml) was added 20% Pd(OH)2/C ( 0.05g) and 1,3-cyclohexadiene (0.069g, 0.86mmol, 10 eq.). The mixture was flushed with Ar for 15 min and set under an atmosphere of ¾. After stirring for 2 h, the mixture was filtered through a pad of Celite and the solvents were removed under reduced pressure. The residue was purified by flash column chromatography on silica gel with a solvent system of 1 :3 hexane- ethyl acetate to provide Compound 63 (0.02 g, 60%) as a white solid.
Compound 63: ?f (hexane-ethyl acetate 1:3) = 0.16. 1H-NMR (300 MHz, MeOD): δ -0.28 (s, 3H, S1-CH3), 0.01 (s, 3H, S1-CH3), 0.75 (s, 9H, t-Bu), 1.15-1.27 (m, 1H, 1H-7'), 1.60-1.69 (m, 1H, H-6'), 1.72 (s, 3H, (CH3)C-5), 1.79-1.90 (m, 1H, 1H-6'), 2.13-2.21 (m, 1H, 1H-7'), 3.78 (d, J= 5.1 Hz, 1H, H-4'), 3.96 (d, J= 3.6 Hz, 1H, H-2'), 3.97-4.05 (m, 1H, H-5'), 5.90 (d, J= 3.6 Hz, 1H, H-l'), 7.57 (d, J= 1.1 Hz, 1Η, Η-6).13C-NMR (75 MHz, MeOD): δ -4.85, -4.70, 12.72, 19.11, 26.69, 32.19, 33.68, 73.52, 81.56, 87.37, 88.96, 89.57, 109.85, 141.31, 152.32, 166.70. HRMS (ESI): m/z [M+H]+ calcd for C18H3106N2Si: 399.1940; found: 399.1946. g) Preparation of Compound 64
To a stirred solution of Compound 63 (0.24 g, 0.6 mmol) in pyridine (3 ml) was added DMTC1 (0.70 g, 3.5 eq.) at rt. After 5 h, the reaction was quenched with sat aq NaHC03 (5 ml) and the mixture was extracted with CH2CI2 (3 x 10 ml). The combined organic phases were dried over MgS04, filtered, and evaporated. The residue was purified by flash column chromatography on silica gel with a solvent system of 2:1 hexane-ethyl acetate with 1% Et3N to provide Compound 64 (0.38 g, 90%) as a white solid.
Compound 64: Rf (hexane-ethyl acetate 1 :2 + 1% Et3N) = 0.47. 1H-NMR (300 MHz,
CDCI3): δ -0.13 (s, 3H, S1-CH3), 0.15 (s, 3H, Si-CH3), 0.89 (s, 9H, t-Bu), 1.07-1.10 (m, 1H, 1H-7'), 1.47-1.51(m, 1H, 1H-6'), 1.61-1.78 (m, 1H, 1H-6'), 1.94 (s, 3H, (CH3)C-5, 2.04-2.19 (m, 1H, 1H- 7'), 2.23 (bs, 1H, OH), 3.19 (d, J= 5.3 Hz, 1H, H-4'), 3.77 (s, 6H, 20Me), 3.95-3.98 (m, 1H, H-5'), 4.08 (d, J= 3.9 Hz, 1H, H-2'), 6.00 (d, J= 3.9 Hz, 1H, H-l' (sb, 1H, NH).13C-NMR (75 MHz, CDCI3): δ -4.99, -4.84, 12.87, 18.20, 26.10, 30.00, 31.16, 31.94, 55.54, 74.09, 80.68, 85.61, 86.89, 87.01, 88.64, 109.28, 113.39, 127.17, 128.09, 128.48, 130.51, 130.54, 137.11, 137.13, 139.27, 146.01, 150.43, 158.94, 163.72. HRMS (ESI): m/z [M+Na]+ calcd for C39H4808N2NaSi: 723.3048; found: 723.3072. g) Preparation of Compound 65
To a stirred solution of Compound 64 (0.34 g, 0.49 mmol) in CH3CN (3 ml) was added /Pr2EfN (0.3 g, 0.24 mmol, 5 eq) and (/Pr)2NP(Cl)OCH2CH2CN (0.32g, 0.14 mmol, 3 eq) at rt. After 1 h, the mixture was diluted with EtOAc (10 ml) and washed with sat aq NaHC03 (2 x 10 ml). The aqueous phases were extracted with EtOAc (3 x 10 ml) and the combined organic phases were dried over MgS04, filtered and evaporated. The residue was purified by flash column
chromatography on silica gel with a solvent system of 1 :2 hexane-ethyl acetate with 1% Et3N to provide Compound 65 (0.43 g, 97%) as a white foam.
Compound 65: Rf (hexane-ethyl acetate 2:1 + 1% Et3N) = 0.63. 1H-NMR (300 MHz, CDC13): δ -0.162, -0.168, 0.09, 0.10 (4s, 6H, Si-CH3), 0.89 (s, 9H, tBu), 1.06-1.15 (m, 12H, 4N- CH3), 1.15- 1.78, (m, 3H, 2H-6', 1H-7'), 1.95 (s, 3H, (CH3)C-5, 2.04-2.12 (m, 1H, 1H-7), 2.54-2.56 (m, 2H, CH2CN), 3.45-3.65 (m, 4H, CH2-0, 2CH-N), 3.80 (s, 6H, 20Me), 3.90 (m, 1H, H-5'), 4.29- 4.32 (m, 1H, H-4'), 5.91, 5.95 (2d, J= 3.4 Hz, 1H, Η-Γ), 6.79-6.84 (m, 4H, Ph), 7.15-7.61 (m, 10H, Ph, H-6), 8.30-8.50 (m, 1H, NH).13C-NMR (75 MHz, CDC13): δ -5.28, -5.24, -5.05, -4.99, -4.95, - 4.90, 12.58, 14.18, 17.89, 20.08, 20.14, 22.66, 24.13, 24.18, 24.24, 24.29, 24.41, 24.50, 25.84, 29.49, 29.64, 31.82, 32.03, 43.24, 43.30, 43.40, 43.46, 55.30, 55.21, 57.69, 57.90, 73.24, 73.33, 79.04, 79.14, 79.32, 85.42, 85.49, 85.63, 85.90, 86.00, 86.63, 86.65, 92.37, 92.45, 92.48, 92.55, 108.73, 108.76, 113.05, 117.47, 126.84, 127.76, 128.18, 130.23, 130.28, 136.80, 136.86, 138.98, 139.03, 145.75, 149.96, 149.99, 156.60, 163.49.31P- MR (161.9 MHz, CDC13): δ 140.96, 142.13. HRMS (ESI): m/z [M+H]+ calcd for C48H6609N4PSi: 901.4347; found: 901.4331.
Example 23
General method for the preparation of oligomeric compounds comprising one or more bicyclic nucleosides for Tm study
The synthesis of oligomeric compounds as presented below was performed either on a 1.3 μπιοΐ scale with a Pharmacia LKB Gene Assembler Special DNA-synthesizer or on a 1 μπιοΐ scale with a Polygen DNA synthesizer by using standard phosphoramidite chemistry. The phosphoramidite building blocks of the unmodified nucleosides and the nucleosides bound to CPG- solid support were purchased from Glen Research or Vivotide which include for example T, A, U,- G and C residues. Solvents and reagents used for the synthesis were prepared according to the indications of the manufacturer. 5-(Ethylthio)-lH-tetrazole (ETT) was used as an activator and dichloroacetic acid (3%) in dichloroethane was used as a detritylating reagent. A 0.1 M solution of unmodified phosphoramidite in anhydrous acetonitrile was used. For modified phosphoramidites such as bicyclo DNA (bc-DNA), bicyclo ribo (bc-RNA) and bicyclo arabino (bc-ARA), either a 0.15 M or 0.2 M solution in anhydrous acetonitrile was used. The coupling times for unmodified phosphoramidites were 1.5 min and 12-14 min for the modified phosphoramidites. The coupling efficiencies for bc-RNA and bc-ARA phosphoramidites were approximately 90% as judged from the trityl assay. Deprotection and cleavage from solid support were performed in concentrated NH3/EtOH (3:1, 0.5 mL, 55 °C, 30 h). Removal of the silyl groups was performed by treatment of the crude oligomeric compounds with 1M TBAF in THF (0.5 ml) at rt for 24 h. After evaporation, the brown residue was taken up in H20 and filtered through a SEP-PACK® C-18 cartridge {Waters). The crude samples were purified by ion exchange HPLC (Dionex, DNAPac-200, 4.6 x 250 mm column with pre-column). The product containing fractions were concentrated and again desalted over SEPPACK ® C-18 cartridge {Waters) according to the manufacturer's protocol. Linear gradients of B in A were used for HPLC with the following buffers: A: 25 mM Trizma base in ¾0, pH 8.0; B: 25 mM Trizma Base, 1.25 M NaCl, in H20, pH 8.0. The integrity of all oligomeric compounds was confirmed and analyzed by ESI-mass spectrometry.
Thermal denaturation experiments were carried out on a Varian Cary 3E UV/Vis
spectrophotometer. Absorbances were monitored at 260 nm and the heating rate was set to 0.5 °C min"1. A cooling-heating-cooling cycle in the temperature range of 80 -15 °C was applied. The first derivative of the melting curves were calculated with the Varian WinUV software. To avoid evaporation of solvents, a layer of dimethylpolysiloxane was added over the samples within the cell. All measurements were carried out in standard saline buffer (150 mM NaCl, 10 mM Na2HP04, pH 7.0) at a total oligonucleotide concentration of 2 μΜ. All curves within a cycle were
superimposable, thus ruling out non-equilibrium association states. The Tm of the modified 12mer oligomeric compounds were compared to an unmodified 12mer DNA oligonucleotide when duplexed to either DNA or RNA complement. SEQ ID NO. Sequence (5' to 3') Tm (°C) vs DNA Tm (°C) vs RNA
/OLIGO NO. (ATm/mod) (ATm/mod)
05/A01 GGATGTTCTCGA 47.5 (0) 49.5 (0)
05/A02 GGATGTTCTrCGA 39.3 (-8.2) 43.0 (-6.5)
05/A03 GGATGTTCTarCGA 45.9 (-1.6) 48.4 (-1.1)
05/A04 GGATGTTCTdCGA 49.0 (+1.5) 49.0 (-0.5)
05/A05 GGATGTrTrCTCGA 34.6 (-6.5) 41.0 (-4.3)
05/A06 GGATGTarTarCTCGA 42.6 (-2.5) 46.4 (-1.6)
05/A07 GGATGTdTdCTCGA 48.7 (+0.6) 48.2 (-0.7)
05/A08 GGATrGTTCTrCGA 34.0 (-6.8) 39.3 (-5.1)
05/A09 GGATarGTTCTarCGA 42.4 (-2.6) 44.6 (-2.5)
05/A10 GGATdGTTCTdCGA 47.9 (+0.2) 48.0 (-0.8)
Each intemucleoside linking group is a phosphodiester. Each nucleoside not followed by a subscript is a p-D-2'-deoxyribonucleoside and each nucleoside followed by a subscript "r", "ar" or subscript "d" are defined below.
Figure imgf000096_0001
subscript r subscript ar subscript d.
Example 24
Preparation of additional oligomeric compounds for Tm study
Additional oligomeric compounds were designed and prepared using standard automated DNA synthesis protocols as illustrated in Example 23. Thermal denaturation experiments were also performed in the same manner as described above on a Varian Cary 3E UV Vis spectrophotometer. The Tm of the modified 12mer oligomeric compounds were compared to an unmodified 12mer DNA oligonucleotide when duplexed to either DNA or RNA complement.
SEQ ID NO. Sequence (5' to 3') Tm (°C) vs DNA Tm (°C) vs RNA
/OLIGO NO. (ATm/mod) (ATm/mod)
05/A01 GGATGTTCTCGA 48.0 (0) 48.9 (0) 05/A11 GGATGTTCTaCGA 44.0 (-4.0) 47.0 (-1.9)
05/A12 GGATGTaTaCTCGA 43.6 (-2.2) 48.0 (-0.5)
05/A13 GGATaGTTCTaCGA 43.0 (-2.5) 46.0 (-1.5)
05/A01 GGATGTTCTCGA 47.9 (0) 48.3 (0)
05/A14 GGATGTTCTbCGA 46.7 (-1.2) 49.6 (+1.3)
05/A15 GGATGTbTbCTCGA 49.9 (+1.0) 52.6 (+2.2)
05/A16 GGATbGTTCTbCGA 47.3 (-0.3) 49.0 (+0.4)
Each internucleoside linking group is a phosphodiester. Each nucleoside not followed by a subscript is a p-D-2'-deoxyribonucleoside and each nucleoside followed by a subscript "a" or subscri "b" are as defined below.
Figure imgf000097_0001
subscript a subscript b.

Claims

What is Claimed is:
Figure imgf000098_0001
I
wherein:
Bx is an optionally protected heterocyclic base moiety;
one of Ti and T2 is hydroxyl or a protected hydroxyl and the other of Ti and T2 a reactive phosphorus group;
qi is H, Ci-C6 alkyl, substituted C!-C6 alkyl, C2-C alkenyl, substituted C2-C6 alkenyl, C2-C6 alkynyl, substituted C2-C6 alkynyl, Ci-C6 alkoxy or substituted Ci-C6 alkoxy;
¾2, q3, ¾4 and q5 are each, independently, H, halogen, Q-Q alkyl, substituted Q-Q alkyl, C2-C6 alkenyl, substituted C2-C6 alkenyl, C2-C6 alkynyl, substituted C2-C6 alkynyl, Ci-Ce alkoxy, substituted C!-C6 alkoxy, amino, substituted amino, thiol or substituted thiol;
or one of q2 and q3 and one of q4 and q5 together form a single bond and the other two of q2, q3, q4 and q5 are each, independently, H, halogen, C]-C6 alkyl, substituted Ci-C alkyl, C2-C6 alkenyl, substituted C2-C6 alkenyl, C2-C6 alkynyl, substituted C2-C6 alkynyl, C C alkoxy, substituted Ci-C6 alkoxy, amino, substituted amino, thiol or substituted thiol;
one of z and z2 is H and the other of z\ and z2 is, H, hydroxyl, halogen or 0-[C(R1)(R2)]n- [(GO il-Z;
each Ri and R2 is, independently, H, halogen, Q-Q alkyl or substituted Ci-C6 alkyl;
Xi is 0, S or N(Ei);
Z is H, halogen, Ci-C6 alkyl, substituted Ci-C6 alkyl, C2-C6 alkenyl, substituted C2-C6 alkenyl, C2-C6 alkynyl, substituted C2-C6 alkynyl or N(E2)(E3);
Ei, E2 and E3 are each, independently, H, Q-Q alkyl or substituted Ci-C6 alkyl;
n is from 1 to about 6;
m is 0 or 1 ;
j is 0 or 1 ; each substituted group comprises one or more optionally protected substituent groups independently selected from halogen, OJ\, N^X-b), =NJi, SJi,-N3, CN, C C6 alkyl, C2-C6 alkenyl, C2-C6 alkynyl, OC(=L)Jl5 OC(=L)N(Ji)(J2) and C(=L)N(J (J2);
L is O, S or NJ3;
each Ji, J2 and J3 is, independently, H or Ci-Ce alkyl;
when j is 1 then Z is other than halogen;
when X] is N(Ei) then Z is other than N(E2)(E3); and
wherein at least one of q1? q2, q3, q4, q5, z and z2 is other than H and when q1? q4, q5, z\ and z2 and one of q2 and q3 are each H then the other of q2 and q3 is halogen, Ci-C6 alkyl or substituted Ci-Ce alkyl.
2. The bicyclic nucleoside of claim 1 wherein Bx is a pyrimidine, substituted pyrimidine, purine or substituted purine.
3. The bicyclic nucleoside of any one of claims 1 or 2 wherein Bx is uracil, thymine, 4-N- benzoylcytosine, 4-N-benzoyl-5-methylcytosine, 6-N-benzoyladenine or 2-N-isobutyrylguanine.
4. The bicyclic nucleoside of any one of claims 1 to 3 wherein T] is hydroxyl or protected hydroxyl.
5. The bicyclic nucleoside of any one of claims 1 to 4 wherein T] is a hydroxyl protecting group selected from acetyl, benzyl, trimethylsilyl, t-butyldimethylsilyl, t-butyldiphenylsilyl or dimethoxytrityl.
6. The bicyclic nucleoside of any one of claims 1 to 5 wherein T2 is a reactive phosphorus group selected from an H-phosphonate or a phosphoramidite.
7. The bicyclic nucleoside of any one of claims 1 to 6 wherein q! is H or Q-Q alkyl.
8. The bicyclic nucleoside of any one of claims 1 to 6 wherein q! is H.
9. The bicyclic nucleoside of any one of claims 1 to 8 wherein the other of Z\ and z2 is F, OH, OCH3, OCF3, OCH2CH3, OCH2CF3, OCH2-CH=CH2, 0(CH2)2-OCH3, 0(CH2)2-0(CH2)2-N(CH3)2, OCH2C(=0)-N(H)CH3, OCH2C(=0)-N(H)-(CH2)2-N(CH3)2 or OCH2-N(H)-C(=NH)NH2.
10. The bicyclic nucleoside of any one of claims 1 to 9 wherein the other of z\ and z2 is F, OH, OCH3 or 0(CH2)2-OCH3.
11. The bicyclic nucleoside of any one of claims 1 to 10 wherein z\ is F.
12. The bicyclic nucleoside of any one of claims 1 to 10 wherein z2 is F.
13. The bicyclic nucleoside of any one of claims 1 to 10 wherein zi is OH.
14. The bicyclic nucleoside of any one of claims 1 to 10 wherein z2 is OH.
15. The bicyclic nucleoside of any one of claims 1 to 8 wherein z\ and z2 are each H.
16. The bicyclic nucleoside of any one of claims 1 to 15 wherein one of q2 and q3 is H and the other of q2 and q3 is F, C C6 alkyl, substituted Q- s alkyl,\-C alkoxy, substituted C\-C alkoxy, amino, substituted amino, thiol or substituted thiol.
17. The bicyclic nucleoside of any one of claims 1 to 16 wherein q2 is F.
18. The bicyclic nucleoside of any one of claims 1 to 16 wherein q3 is F.
19. The bicyclic nucleoside of any one of claims 1 to 15 wherein one of q2 and q3 and one of q4 and q5 together form a single bond.
20. The bicyclic nucleoside of any one of claims 1 to 19 wherein one q4 and q5 is H and the other of q4 and q5 is F, C!-C6 alkyl or substituted Q-Q alkyl.
The bicyclic nucleoside of any one of claims 1 to 19 wherein q4 and q5 are each H.
22. The bicyclic nucleoside of any one of claims 1 to 6 and 9 to 14 wherein qi, q2, q3, q4 and q5 are each H.
23. The bicyclic nucleoside of any one of claims 1 to 22 wherein each substituted group comprises one or more optionally protected substituent groups independently selected from F, Ci-Ce alkoxy and CN.
24. The bicyclic nucleoside of any one of claims 1 to 23 wherein Ti is 4,4'-dimethoxytrityl and T2 is diisopropylcyanoethoxy phosphoramidite.
25. An oligomeric compound comprising at least one bicyclic nucleoside having Formula II:
Figure imgf000101_0001
wherein independently for each bicyclic nucleoside of Formula II:
Bx is a heterocyclic base moiety;
one of T3 and T4 is an internucleoside linking group attaching the bicyclic nucleoside of Formula II to the oligomeric compound and the other of T3 and T4 is hydroxyl, a protected hydroxyl, a 5' or 3' terminal group or an internucleoside linking group attaching the bicyclic nucleoside to the oligomeric compound;
q! is H, Ci-C alkyl, substituted Q-Q alkyl, C2-C6 alkenyl, substituted C2-C6 alkenyl, C2-C6 alkynyl, substituted C2-C6 alkynyl, C C6 alkoxy or substituted Ci-C6 alkoxy;
q2, q3, q4 and q5 are each, independently, H, halogen, Q-Q alkyl, substituted Ci-Ce alkyl, C2-C6 alkenyl, substituted C2-C6 alkenyl, C2-C6 alkynyl, substituted C2-C6 alkynyl, Ci-C alkoxy, substituted -C6 alkoxy, amino, substituted amino, thiol or substituted thiol;
or one of q2 and q3 and one of q4 and q5 together form a single bond and the other two of q2, q3, q4 and q5 are each, independently, H, halogen, Ci-Ce alkyl, substituted Ci-Ce alkyl, C2-C6 alkenyl, substituted C2-C6 alkenyl, C2-C6 alkynyl, substituted C2-C6 alkynyl, C C6 alkoxy, substituted Ci-C6 alkoxy, amino, substituted amino, thiol or substituted thiol; one of z\ and z2 is H and the other of zj and z2 is, H, hydroxyl, halogen or 0-[C(Ri)(R.2)]n- [(COVXiJj-Z;
each R] and R2 is, independently, H, halogen, CpC6 alkyl or substituted C C6 alkyl;
Xi is O, S or N(E ;
Z is H, halogen, C\-Ce alkyl, substituted C1-C6 alkyl, C2-C6 alkenyl, substituted C2-C6 alkenyl, C2-C6 alkynyl, substituted C2-C alkynyl or N(E2)(E3);
Ei, E2 and E3 are each, independently, H, Q-Q alkyl or substituted C]-C6 alkyl;
n is from 1 to about 6;
m is 0 or 1 ;
j is 0 or 1 ;
each substituted group comprises one or more optionally protected substituent groups independently selected from halogen, OJls N(Ji)(J2), =NJi, SJu N3, CN, CrC6 alkyl, C2-C6 alkenyl, C2-C6 alkynyl, OC(=L)Ji, OC(=L)N(Ji)(J2) and C(=L)N(Ji)(J2);
L is O, S or NJ3;
each Ji, J2 and J3 is, independently, H or C\-C alkyl;
when j is 1 then Z is other than halogen;
when Xi is N(Ei) then Z is other than N(E2)(E3);
wherein at least one of qi, q2, q3, q4, q5, zi and z2 is other than H and when qi, q4, q5, zi and z2 and one of q2 and q3 are each H then the other of q2 and q3 is halogen, C C6 alkyl or substituted d-C6 alkyl; and
wherein said oligomeric compound comprises from 8 to 40 monomelic subunits and wherein at least some of the heterocyclic base moieties are capable of hybridizing to a nucleic acid molecule.
26. The oligomeric compound of claim 25 wherein each Bx is, independently, a pyrimidine, substituted pyrimidine, purine or substituted purine.
27. The oligomeric compound of any one of claims 25 or 26 wherein each Bx is, independently, uracil, thymine, cytosine, 5-methylcytosine, adenine or guanine.
28. The oligomeric compound of any one of claims 25 to 27 wherein at least one of T3 and T4 is a 5' or 3'-terminal group.
The oligomeric compound of claim 28 wherein at least one of T3 and T4 is a conjugate group.
30. The oligomeric compound of any one of claims 25 to 29 wherein one of zi and z2 is F, OH, OCH3, OCF3, OCH2CH3, OCH2CF3, OCH2-CH=CH2, O(CH2)2-OCH3, 0(CH2)2-0(CH2)2-N(CH3)2, OCH2C(=O)-N(H)CH3, OCH2C(=O)-N(H)-(CH2)2-N(CH3)2 or OCH2-N(H)-C(=NH)NH2 for each bicyclic nucleoside of Formula II.
31. The oligomeric compound of any one of claims 25 to 30 wherein one of z\ and z2 is F, OH, OCH3 or O(CH2)2-OCH3 for each bicyclic nucleoside of Formula II.
32. The oligomeric compound of any one of claims 25 to 31 wherein each z\ is F.
33. The oligomeric compound of any one of claims 25 to 31 wherein each z2 is F.
34. The oligomeric compound of any one of claims 25 to 31 wherein each zi is OH.
35. The oligomeric compound of any one of claims 25 to 31 wherein each z2 is OH.
36. The oligomeric compound of any one of claims 25 to 29 wherein zi and z2 are each H for each bicyclic nucleoside of Formula II.
37. The oligomeric compound of any one of claims 25 to 36 wherein q\ is H or -C6 alkyl for each bicyclic nucleoside of Formula II.
38. The oligomeric compound of any one of claims 25 to 36 wherein q] is H for each bicyclic nucleoside of Formula II.
39. The oligomeric compound of any one of claims 25 to 38 wherein one of q2 and q3 is H and the other of q2 and q3 is F, Cj-C6 alkyl, substituted C C6 alkyl, C!-C6 alkoxy, substituted Ci-Ce alkoxy, amino, substituted amino, thiol or substituted thiol for each bicyclic nucleoside of Formula II.
40. The oligomeric compound of any one of claims 25 to 39 wherein q2 is F for each bicyclic nucleoside of Formula II.
41. The oligomeric compound of any one of claims 25 to 39 wherein q3 is F for each bicyclic nucleoside of Formula II.
42. The oligomeric compound of any one of claims 25 to 36 wherein one of q2 and q3 and one of q4 and q5 together form a single bond for each bicyclic nucleoside of Formula II.
43. The oligomeric compound of any one of claims 25 to 42 wherein one q4 and q5 is H and the other of q4 and q5 is F, d-C6 alkyl or substituted Ci-C6 alkyl for each bicyclic nucleoside of Formula II.
44. The oligomeric compound of any one of claims 25 to 42 wherein q4 and q5 are each H for each bicyclic nucleoside of Formula II.
45. The oligomeric compound of any one of claims 25 to 35 wherein ql5 q2, q3, q4 and q5 are each H for each bicyclic nucleoside of Formula II.
46. The bicyclic nucleoside of any one of claims 25 to 45 wherein each substituted group comprises one or more optionally protected substituent groups independently selected from F, Q-Q alkoxy and CN.
47. The oligomeric compound of any one of claims 25 to 46 wherein each internucleoside linking group is, independently, a phosphodiester internucleoside linking group or a phosphoro- thioate internucleoside linking group.
48. The oligomeric compound of any one of claims 19 to 46 wherein essentially each internucleoside linking group is a phosphorothioate internucleoside linking group.
49. The oligomeric compound of any one of claims 19 to 48 comprising a first region having at least two contiguous bicyclic nucleosides having Formula II.
50. The oligomeric compound of claim 49 comprising a second region having at least two contiguous monomeric subunits wherein each monomenc subunit in the second region is a modified or unmodified nucleoside different from the bicyclic nucleosides of Formula II of said first region.
51. The oligomeric compound of claim 50 further comprising a third region located between said first and second regions wherein each monomer subunit in the third region is independently, a nucleoside or a modified nucleoside that is different from each bicyclic nucleoside of Formula II of the first region and each monomer subunit of the second region.
52. The oligomeric compound of any one of claims 25 to 48 comprising a gapped oligomeric compound wherein one region of contiguous bicyclic nucleosides of Formula II is located at the 5'- end and the second region of contiguous bicyclic nucleosides of Formula II is located at the 3 '-end, wherein the two regions are separated by an internal region comprising from about 6 to about 14 monomer subunits that are each different from the bicyclic nucleosides having Formula II and independently selected from nucleosides and modified nucleosides.
53. The oligomeric compound of claim 52 wherein said internal region comprises from about 8 to about 14 contiguous -D-2'-deoxyribonucleosides.
54. The oligomeric compound of claim 52 wherein said internal region comprises from about 9 to about 12 contiguous P-D-2'-deoxyribonucleosides.
PCT/US2012/0407392011-06-092012-06-04Bicyclic nucleosides and oligomeric compounds prepared therefromWO2012170347A1 (en)

Applications Claiming Priority (4)

Application NumberPriority DateFiling DateTitle
US201161495207P2011-06-092011-06-09
US61/495,2072011-06-09
US201261614754P2012-03-232012-03-23
US61/614,7542012-03-23

Publications (1)

Publication NumberPublication Date
WO2012170347A1true WO2012170347A1 (en)2012-12-13

Family

ID=46229961

Family Applications (1)

Application NumberTitlePriority DateFiling Date
PCT/US2012/040739WO2012170347A1 (en)2011-06-092012-06-04Bicyclic nucleosides and oligomeric compounds prepared therefrom

Country Status (1)

CountryLink
WO (1)WO2012170347A1 (en)

Cited By (7)

* Cited by examiner, † Cited by third party
Publication numberPriority datePublication dateAssigneeTitle
JP2015513561A (en)*2012-03-152015-05-14ウニヴェルジテート ベルン Tricyclic nucleosides and oligomeric compounds prepared therefrom
JP2018162245A (en)*2013-03-152018-10-18ウニヴェルジテート ベルン Tricyclic nucleosides and oligomeric compounds prepared therefrom
WO2019157531A1 (en)*2018-02-122019-08-15Ionis Pharmaceuticals, Inc.Modified compounds and uses thereof
US20190345188A1 (en)*2016-11-302019-11-14Universität BernNovel bicyclic nucleosides and oligomers prepared therefrom
WO2020033288A1 (en)2018-08-072020-02-13Merck Sharp & Dohme Corp.Prmt5 inhibitors
WO2022106695A1 (en)2020-11-232022-05-27Alpha Anomeric SasNucleic acid duplexes
RU2814198C2 (en)*2018-08-072024-02-27МЕРК ШАРП И ДОУМ ЭлЭлСиRmt5 inhibitors

Citations (143)

* Cited by examiner, † Cited by third party
Publication numberPriority datePublication dateAssigneeTitle
US2699508A (en)1951-12-211955-01-11Selectronics IncMethod of mounting and construction of mounting for low frequency piezoelectric crystals
US2699808A (en)1944-10-061955-01-18Mark W LoweApparatus for peeling tomatoes
US3687808A (en)1969-08-141972-08-29Univ Leland Stanford JuniorSynthetic polynucleotides
US4415732A (en)1981-03-271983-11-15University Patents, Inc.Phosphoramidite compounds and processes
US4458066A (en)1980-02-291984-07-03University Patents, Inc.Process for preparing polynucleotides
US4469863A (en)1980-11-121984-09-04Ts O Paul O PNonionic nucleic acid alkyl and aryl phosphonates and processes for manufacture and use thereof
US4476301A (en)1982-04-291984-10-09Centre National De La Recherche ScientifiqueOligonucleotides, a process for preparing the same and their application as mediators of the action of interferon
US4500707A (en)1980-02-291985-02-19University Patents, Inc.Nucleosides useful in the preparation of polynucleotides
US4668777A (en)1981-03-271987-05-26University Patents, Inc.Phosphoramidite nucleoside compounds
US4725677A (en)1983-08-181988-02-16Biosyntech GmbhProcess for the preparation of oligonucleotides
US4845205A (en)1985-01-081989-07-04Institut Pasteur2,N6 -disubstituted and 2,N6 -trisubstituted adenosine-3'-phosphoramidites
US4973679A (en)1981-03-271990-11-27University Patents, Inc.Process for oligonucleo tide synthesis using phosphormidite intermediates
US4981957A (en)1984-07-191991-01-01Centre National De La Recherche ScientifiqueOligonucleotides with modified phosphate and modified carbohydrate moieties at the respective chain termini
US5013830A (en)1986-09-081991-05-07Ajinomoto Co., Inc.Compounds for the cleavage at a specific position of RNA, oligomers employed for the formation of said compounds, and starting materials for the synthesis of said oligomers
US5023243A (en)1981-10-231991-06-11Molecular Biosystems, Inc.Oligonucleotide therapeutic agent and method of making same
US5034506A (en)1985-03-151991-07-23Anti-Gene Development GroupUncharged morpholino-based polymers having achiral intersubunit linkages
US5118800A (en)1983-12-201992-06-02California Institute Of TechnologyOligonucleotides possessing a primary amino group in the terminal nucleotide
US5130302A (en)1989-12-201992-07-14Boron Bilogicals, Inc.Boronated nucleoside, nucleotide and oligonucleotide compounds, compositions and methods for using same
US5132418A (en)1980-02-291992-07-21University Patents, Inc.Process for preparing polynucleotides
US5134066A (en)1989-08-291992-07-28Monsanto CompanyImproved probes using nucleosides containing 3-dezauracil analogs
USRE34069E (en)1983-08-181992-09-15Biosyntech GmbhProcess for the preparation of oligonucleotides
US5149797A (en)1990-02-151992-09-22The Worcester Foundation For Experimental BiologyMethod of site-specific alteration of rna and production of encoded polypeptides
US5166315A (en)1989-12-201992-11-24Anti-Gene Development GroupSequence-specific binding polymers for duplex nucleic acids
US5175273A (en)1988-07-011992-12-29Genentech, Inc.Nucleic acid intercalating agents
US5177196A (en)1990-08-161993-01-05Microprobe CorporationOligo (α-arabinofuranosyl nucleotides) and α-arabinofuranosyl precursors thereof
US5177198A (en)1989-11-301993-01-05University Of N.C. At Chapel HillProcess for preparing oligoribonucleoside and oligodeoxyribonucleoside boranophosphates
US5185444A (en)1985-03-151993-02-09Anti-Gene Deveopment GroupUncharged morpolino-based polymers having phosphorous containing chiral intersubunit linkages
US5188897A (en)1987-10-221993-02-23Temple University Of The Commonwealth System Of Higher EducationEncapsulated 2',5'-phosphorothioate oligoadenylates
US5194599A (en)1988-09-231993-03-16Gilead Sciences, Inc.Hydrogen phosphonodithioate compositions
EP0538194A1 (en)*1991-10-171993-04-21Ciba-Geigy AgBicyclic nucleosides, oligonucleotides, their method of preparation and intermediates therein
US5214134A (en)1990-09-121993-05-25Sterling Winthrop Inc.Process of linking nucleosides with a siloxane bridge
US5216141A (en)1988-06-061993-06-01Benner Steven AOligonucleotide analogs containing sulfur linkages
US5220007A (en)1990-02-151993-06-15The Worcester Foundation For Experimental BiologyMethod of site-specific alteration of RNA and production of encoded polypeptides
US5223618A (en)1990-08-131993-06-29Isis Pharmaceuticals, Inc.4'-desmethyl nucleoside analog compounds
US5235033A (en)1985-03-151993-08-10Anti-Gene Development GroupAlpha-morpholino ribonucleoside derivatives and polymers thereof
US5256775A (en)1989-06-051993-10-26Gilead Sciences, Inc.Exonuclease-resistant oligonucleotides
US5264562A (en)1989-10-241993-11-23Gilead Sciences, Inc.Oligonucleotide analogs with novel linkages
US5264423A (en)1987-03-251993-11-23The United States Of America As Represented By The Department Of Health And Human ServicesInhibitors for replication of retroviruses and for the expression of oncogene products
US5264564A (en)1989-10-241993-11-23Gilead SciencesOligonucleotide analogs with novel linkages
US5276019A (en)1987-03-251994-01-04The United States Of America As Represented By The Department Of Health And Human ServicesInhibitors for replication of retroviruses and for the expression of oncogene products
US5278302A (en)1988-05-261994-01-11University Patents, Inc.Polynucleotide phosphorodithioates
WO1994002499A1 (en)1992-07-271994-02-03Hybridon, Inc.Oligonucleotide alkylphosphonothioates
US5321131A (en)1990-03-081994-06-14Hybridon, Inc.Site-specific functionalization of oligodeoxynucleotides for non-radioactive labelling
WO1994014226A1 (en)1992-12-141994-06-23Honeywell Inc.Motor system with individually controlled redundant windings
WO1994017093A1 (en)1993-01-251994-08-04Hybridon, Inc.Oligonucleotide alkylphosphonates and alkylphosphonothioates
US5359044A (en)1991-12-131994-10-25Isis PharmaceuticalsCyclobutyl oligonucleotide surrogates
US5367066A (en)1984-10-161994-11-22Chiron CorporationOligonucleotides with selectably cleavable and/or abasic sites
US5378825A (en)1990-07-271995-01-03Isis Pharmaceuticals, Inc.Backbone modified oligonucleotide analogs
US5386023A (en)1990-07-271995-01-31Isis PharmaceuticalsBackbone modified oligonucleotide analogs and preparation thereof through reductive coupling
US5399676A (en)1989-10-231995-03-21Gilead SciencesOligonucleotides with inverted polarity
US5403711A (en)1987-11-301995-04-04University Of Iowa Research FoundationNucleic acid hybridization and amplification method for detection of specific sequences in which a complementary labeled nucleic acid probe is cleaved
US5405938A (en)1989-12-201995-04-11Anti-Gene Development GroupSequence-specific binding polymers for duplex nucleic acids
US5405939A (en)1987-10-221995-04-11Temple University Of The Commonwealth System Of Higher Education2',5'-phosphorothioate oligoadenylates and their covalent conjugates with polylysine
US5432272A (en)1990-10-091995-07-11Benner; Steven A.Method for incorporating into a DNA or RNA oligonucleotide using nucleotides bearing heterocyclic bases
US5434257A (en)1992-06-011995-07-18Gilead Sciences, Inc.Binding compentent oligomers containing unsaturated 3',5' and 2',5' linkages
US5446137A (en)1993-12-091995-08-29Syntex (U.S.A.) Inc.Oligonucleotides containing 4'-substituted nucleotides
US5457187A (en)1993-12-081995-10-10Board Of Regents University Of NebraskaOligonucleotides containing 5-fluorouracil
US5459255A (en)1990-01-111995-10-17Isis Pharmaceuticals, Inc.N-2 substituted purines
US5466786A (en)1989-10-241995-11-14Gilead Sciences2'modified nucleoside and nucleotide compounds
US5466677A (en)1993-03-061995-11-14Ciba-Geigy CorporationDinucleoside phosphinates and their pharmaceutical compositions
US5470967A (en)1990-04-101995-11-28The Dupont Merck Pharmaceutical CompanyOligonucleotide analogs with sulfamate linkages
US5476925A (en)1993-02-011995-12-19Northwestern UniversityOligodeoxyribonucleotides including 3'-aminonucleoside-phosphoramidate linkages and terminal 3'-amino groups
US5484908A (en)1991-11-261996-01-16Gilead Sciences, Inc.Oligonucleotides containing 5-propynyl pyrimidines
US5489677A (en)1990-07-271996-02-06Isis Pharmaceuticals, Inc.Oligonucleoside linkages containing adjacent oxygen and nitrogen atoms
US5491133A (en)1987-11-301996-02-13University Of Iowa Research FoundationMethods for blocking the expression of specifically targeted genes
US5502177A (en)1993-09-171996-03-26Gilead Sciences, Inc.Pyrimidine derivatives for labeled binding partners
US5508270A (en)1993-03-061996-04-16Ciba-Geigy CorporationNucleoside phosphinate compounds and compositions
US5514785A (en)1990-05-111996-05-07Becton Dickinson And CompanySolid supports for nucleic acid hybridization assays
US5519134A (en)1994-01-111996-05-21Isis Pharmaceuticals, Inc.Pyrrolidine-containing monomers and oligomers
US5519126A (en)1988-03-251996-05-21University Of Virginia Alumni Patents FoundationOligonucleotide N-alkylphosphoramidates
US5525711A (en)1994-05-181996-06-11The United States Of America As Represented By The Secretary Of The Department Of Health And Human ServicesPteridine nucleotide analogs as fluorescent DNA probes
US5541307A (en)1990-07-271996-07-30Isis Pharmaceuticals, Inc.Backbone modified oligonucleotide analogs and solid phase synthesis thereof
US5550111A (en)1984-07-111996-08-27Temple University-Of The Commonwealth System Of Higher EducationDual action 2',5'-oligoadenylate antiviral derivatives and uses thereof
US5552540A (en)1987-06-241996-09-03Howard Florey Institute Of Experimental Physiology And MedicineNucleoside derivatives
US5561225A (en)1990-09-191996-10-01Southern Research InstitutePolynucleotide analogs containing sulfonate and sulfonamide internucleoside linkages
US5565350A (en)1993-12-091996-10-15Thomas Jefferson UniversityCompounds and methods for site directed mutations in eukaryotic cells
US5567811A (en)1990-05-031996-10-22Amersham International PlcPhosphoramidite derivatives, their preparation and the use thereof in the incorporation of reporter groups on synthetic oligonucleotides
US5571799A (en)1991-08-121996-11-05Basco, Ltd.(2'-5') oligoadenylate analogues useful as inhibitors of host-v5.-graft response
US5576427A (en)1993-03-301996-11-19Sterling Winthrop, Inc.Acyclic nucleoside analogs and oligonucleotide sequences containing them
US5587361A (en)1991-10-151996-12-24Isis Pharmaceuticals, Inc.Oligonucleotides having phosphorothioate linkages of high chiral purity
US5591722A (en)1989-09-151997-01-07Southern Research Institute2'-deoxy-4'-thioribonucleosides and their antiviral activity
US5594121A (en)1991-11-071997-01-14Gilead Sciences, Inc.Enhanced triple-helix and double-helix formation with oligomers containing modified purines
US5596086A (en)1990-09-201997-01-21Gilead Sciences, Inc.Modified internucleoside linkages having one nitrogen and two carbon atoms
US5596091A (en)1994-03-181997-01-21The Regents Of The University Of CaliforniaAntisense oligonucleotides comprising 5-aminoalkyl pyrimidine nucleotides
US5597909A (en)1994-08-251997-01-28Chiron CorporationPolynucleotide reagents containing modified deoxyribose moieties, and associated methods of synthesis and use
US5602240A (en)1990-07-271997-02-11Ciba Geigy Ag.Backbone modified oligonucleotide analogs
US5608046A (en)1990-07-271997-03-04Isis Pharmaceuticals, Inc.Conjugated 4'-desmethyl nucleoside analog compounds
US5610289A (en)1990-07-271997-03-11Isis Pharmaceuticals, Inc.Backbone modified oligonucleotide analogues
US5610300A (en)1992-07-011997-03-11Ciba-Geigy CorporationCarbocyclic nucleosides containing bicyclic rings, oligonucleotides therefrom, process for their preparation, their use and intermediates
US5614617A (en)1990-07-271997-03-25Isis Pharmaceuticals, Inc.Nuclease resistant, pyrimidine modified oligonucleotides that detect and modulate gene expression
US5618704A (en)1990-07-271997-04-08Isis Pharmacueticals, Inc.Backbone-modified oligonucleotide analogs and preparation thereof through radical coupling
US5623070A (en)1990-07-271997-04-22Isis Pharmaceuticals, Inc.Heteroatomic oligonucleoside linkages
US5623065A (en)1990-08-131997-04-22Isis Pharmaceuticals, Inc.Gapped 2' modified oligonucleotides
US5625050A (en)1994-03-311997-04-29Amgen Inc.Modified oligonucleotides and intermediates useful in nucleic acid therapeutics
US5627053A (en)1994-03-291997-05-06Ribozyme Pharmaceuticals, Inc.2'deoxy-2'-alkylnucleotide containing nucleic acid
US5633360A (en)1992-04-141997-05-27Gilead Sciences, Inc.Oligonucleotide analogs capable of passive cell membrane permeation
US5639873A (en)1992-02-051997-06-17Centre National De La Recherche Scientifique (Cnrs)Oligothionucleotides
US5646265A (en)1990-01-111997-07-08Isis Pharmceuticals, Inc.Process for the preparation of 2'-O-alkyl purine phosphoramidites
US5646269A (en)1994-04-281997-07-08Gilead Sciences, Inc.Method for oligonucleotide analog synthesis
US5645985A (en)1991-11-261997-07-08Gilead Sciences, Inc.Enhanced triple-helix and double-helix formation with oligomers containing modified pyrimidines
US5652355A (en)1992-07-231997-07-29Worcester Foundation For Experimental BiologyHybrid oligonucleotide phosphorothioates
US5652356A (en)1995-08-171997-07-29Hybridon, Inc.Inverted chimeric and hybrid oligonucleotides
US5656408A (en)1996-04-291997-08-12Xerox CorporationCoated carrier particles
US5663312A (en)1993-03-311997-09-02SanofiOligonucleotide dimers with amide linkages replacing phosphodiester linkages
US5670633A (en)1990-01-111997-09-23Isis Pharmaceuticals, Inc.Sugar modified oligonucleotides that detect and modulate gene expression
US5672697A (en)1991-02-081997-09-30Gilead Sciences, Inc.Nucleoside 5'-methylene phosphonates
US5677437A (en)1990-07-271997-10-14Isis Pharmaceuticals, Inc.Heteroatomic oligonucleoside linkages
US5677439A (en)1990-08-031997-10-14SanofiOligonucleotide analogues containing phosphate diester linkage substitutes, compositions thereof, and precursor dinucleotide analogues
US5681941A (en)1990-01-111997-10-28Isis Pharmaceuticals, Inc.Substituted purines and oligonucleotide cross-linking
US5700922A (en)1991-12-241997-12-23Isis Pharmaceuticals, Inc.PNA-DNA-PNA chimeric macromolecules
US5721218A (en)1989-10-231998-02-24Gilead Sciences, Inc.Oligonucleotides with inverted polarity
US5750692A (en)1990-01-111998-05-12Isis Pharmaceuticals, Inc.Synthesis of 3-deazapurines
US5792608A (en)1991-12-121998-08-11Gilead Sciences, Inc.Nuclease stable and binding competent oligomers and methods for their use
WO1998039352A1 (en)1997-03-071998-09-11Takeshi ImanishiNovel bicyclonucleoside and oligonucleotide analogues
US5830653A (en)1991-11-261998-11-03Gilead Sciences, Inc.Methods of using oligomers containing modified pyrimidines
WO1999014226A2 (en)1997-09-121999-03-25Exiqon A/SBi- and tri-cyclic nucleoside, nucleotide and oligonucleotide analogues
WO2001049687A2 (en)1999-12-302001-07-12K. U. Leuven Research & DevelopmentCyclohexene nucleic acids
WO2002036743A2 (en)2000-10-302002-05-10Isis Pharmaceuticals, Inc.Antisense modulation of calreticulin expression
US6525191B1 (en)1999-05-112003-02-25Kanda S. RamasamyConformationally constrained L-nucleosides
US6600032B1 (en)1998-08-072003-07-29Isis Pharmaceuticals, Inc.2′-O-aminoethyloxyethyl-modified oligonucleotides
US20030158403A1 (en)2001-07-032003-08-21Isis Pharmaceuticals, Inc.Nuclease resistant chimeric oligonucleotides
US6670461B1 (en)1997-09-122003-12-30Exiqon A/SOligonucleotide analogues
US20040033973A1 (en)2002-08-162004-02-19Muthiah ManoharanCompounds and oligomeric compounds comprising novel nucleobases
US6770748B2 (en)1997-03-072004-08-03Takeshi ImanishiBicyclonucleoside and oligonucleotide analogue
US20040171570A1 (en)2002-11-052004-09-02Charles AllersonPolycyclic sugar surrogate-containing oligomeric compounds and compositions for use in gene modulation
WO2004106356A1 (en)2003-05-272004-12-09Syddansk UniversitetFunctionalized nucleotide derivatives
WO2005021570A1 (en)2003-08-282005-03-10Gene Design, Inc.Novel artificial nucleic acids of n-o bond crosslinkage type
US6867294B1 (en)1998-07-142005-03-15Isis Pharmaceuticals, Inc.Gapped oligomers having site specific chiral phosphorothioate internucleoside linkages
US20050130923A1 (en)2003-09-182005-06-16Balkrishen Bhat4'-thionucleosides and oligomeric compounds
WO2005121371A2 (en)2004-06-032005-12-22Isis Pharmaceuticals, Inc.Double strand compositions comprising differentially modified strands for use in gene modulation
WO2006047842A2 (en)2004-11-082006-05-11K.U. Leuven Research And DevelopmentModified nucleosides for rna interference
US7053207B2 (en)1999-05-042006-05-30Exiqon A/SL-ribo-LNA analogues
WO2007134181A2 (en)2006-05-112007-11-22Isis Pharmaceuticals, Inc.5'-modified bicyclic nucleic acid analogs
US20080039618A1 (en)2002-11-052008-02-14Charles AllersonPolycyclic sugar surrogate-containing oligomeric compounds and compositions for use in gene modulation
US7399845B2 (en)2006-01-272008-07-15Isis Pharmaceuticals, Inc.6-modified bicyclic nucleic acid analogs
WO2008101157A1 (en)2007-02-152008-08-21Isis Pharmaceuticals, Inc.5'-substituted-2'-f modified nucleosides and oligomeric compounds prepared therefrom
WO2008150729A2 (en)2007-05-302008-12-11Isis Pharmaceuticals, Inc.N-substituted-aminomethylene bridged bicyclic nucleic acid analogs
WO2008154401A2 (en)2007-06-082008-12-18Isis Pharmaceuticals, Inc.Carbocyclic bicyclic nucleic acid analogs
WO2009006478A2 (en)2007-07-052009-01-08Isis Pharmaceuticals, Inc.6-disubstituted bicyclic nucleic acid analogs
WO2010036696A1 (en)2008-09-242010-04-01Isis Pharmaceuticals, Inc.Cyclohexenyl nucleic acid analogs
US8623108B2 (en)2009-01-142014-01-07Boehler Edelstahl Gmbh & Co KgWear-resistant material
US9778708B1 (en)2016-07-182017-10-03Lenovo Enterprise Solutions (Singapore) Pte. Ltd.Dual sided latching retainer for computer modules
US9984408B1 (en)2012-05-302018-05-29Amazon Technologies, Inc.Method, medium, and system for live video cooperative shopping

Patent Citations (168)

* Cited by examiner, † Cited by third party
Publication numberPriority datePublication dateAssigneeTitle
US2699808A (en)1944-10-061955-01-18Mark W LoweApparatus for peeling tomatoes
US2699508A (en)1951-12-211955-01-11Selectronics IncMethod of mounting and construction of mounting for low frequency piezoelectric crystals
US3687808A (en)1969-08-141972-08-29Univ Leland Stanford JuniorSynthetic polynucleotides
US4458066A (en)1980-02-291984-07-03University Patents, Inc.Process for preparing polynucleotides
US4500707A (en)1980-02-291985-02-19University Patents, Inc.Nucleosides useful in the preparation of polynucleotides
US5132418A (en)1980-02-291992-07-21University Patents, Inc.Process for preparing polynucleotides
US4469863A (en)1980-11-121984-09-04Ts O Paul O PNonionic nucleic acid alkyl and aryl phosphonates and processes for manufacture and use thereof
US4973679A (en)1981-03-271990-11-27University Patents, Inc.Process for oligonucleo tide synthesis using phosphormidite intermediates
US4415732A (en)1981-03-271983-11-15University Patents, Inc.Phosphoramidite compounds and processes
US4668777A (en)1981-03-271987-05-26University Patents, Inc.Phosphoramidite nucleoside compounds
US5023243A (en)1981-10-231991-06-11Molecular Biosystems, Inc.Oligonucleotide therapeutic agent and method of making same
US4476301A (en)1982-04-291984-10-09Centre National De La Recherche ScientifiqueOligonucleotides, a process for preparing the same and their application as mediators of the action of interferon
USRE34069E (en)1983-08-181992-09-15Biosyntech GmbhProcess for the preparation of oligonucleotides
US4725677A (en)1983-08-181988-02-16Biosyntech GmbhProcess for the preparation of oligonucleotides
US5118800A (en)1983-12-201992-06-02California Institute Of TechnologyOligonucleotides possessing a primary amino group in the terminal nucleotide
US5550111A (en)1984-07-111996-08-27Temple University-Of The Commonwealth System Of Higher EducationDual action 2',5'-oligoadenylate antiviral derivatives and uses thereof
US4981957A (en)1984-07-191991-01-01Centre National De La Recherche ScientifiqueOligonucleotides with modified phosphate and modified carbohydrate moieties at the respective chain termini
US5367066A (en)1984-10-161994-11-22Chiron CorporationOligonucleotides with selectably cleavable and/or abasic sites
US4845205A (en)1985-01-081989-07-04Institut Pasteur2,N6 -disubstituted and 2,N6 -trisubstituted adenosine-3'-phosphoramidites
US5235033A (en)1985-03-151993-08-10Anti-Gene Development GroupAlpha-morpholino ribonucleoside derivatives and polymers thereof
US5034506A (en)1985-03-151991-07-23Anti-Gene Development GroupUncharged morpholino-based polymers having achiral intersubunit linkages
US5185444A (en)1985-03-151993-02-09Anti-Gene Deveopment GroupUncharged morpolino-based polymers having phosphorous containing chiral intersubunit linkages
US5013830A (en)1986-09-081991-05-07Ajinomoto Co., Inc.Compounds for the cleavage at a specific position of RNA, oligomers employed for the formation of said compounds, and starting materials for the synthesis of said oligomers
US5286717A (en)1987-03-251994-02-15The United States Of America As Represented By The Department Of Health And Human ServicesInhibitors for replication of retroviruses and for the expression of oncogene products
US5264423A (en)1987-03-251993-11-23The United States Of America As Represented By The Department Of Health And Human ServicesInhibitors for replication of retroviruses and for the expression of oncogene products
US5276019A (en)1987-03-251994-01-04The United States Of America As Represented By The Department Of Health And Human ServicesInhibitors for replication of retroviruses and for the expression of oncogene products
US5552540A (en)1987-06-241996-09-03Howard Florey Institute Of Experimental Physiology And MedicineNucleoside derivatives
US5188897A (en)1987-10-221993-02-23Temple University Of The Commonwealth System Of Higher EducationEncapsulated 2',5'-phosphorothioate oligoadenylates
US5405939A (en)1987-10-221995-04-11Temple University Of The Commonwealth System Of Higher Education2',5'-phosphorothioate oligoadenylates and their covalent conjugates with polylysine
US5491133A (en)1987-11-301996-02-13University Of Iowa Research FoundationMethods for blocking the expression of specifically targeted genes
US5403711A (en)1987-11-301995-04-04University Of Iowa Research FoundationNucleic acid hybridization and amplification method for detection of specific sequences in which a complementary labeled nucleic acid probe is cleaved
US5519126A (en)1988-03-251996-05-21University Of Virginia Alumni Patents FoundationOligonucleotide N-alkylphosphoramidates
US5453496A (en)1988-05-261995-09-26University Patents, Inc.Polynucleotide phosphorodithioate
US5278302A (en)1988-05-261994-01-11University Patents, Inc.Polynucleotide phosphorodithioates
US5216141A (en)1988-06-061993-06-01Benner Steven AOligonucleotide analogs containing sulfur linkages
US5175273A (en)1988-07-011992-12-29Genentech, Inc.Nucleic acid intercalating agents
US5194599A (en)1988-09-231993-03-16Gilead Sciences, Inc.Hydrogen phosphonodithioate compositions
US5565555A (en)1988-09-231996-10-15Gilead Sciences, Inc.Nucleoside hydrogen phosphonodithioate diesters and activated phosphonodithioate analogues
US5256775A (en)1989-06-051993-10-26Gilead Sciences, Inc.Exonuclease-resistant oligonucleotides
US5134066A (en)1989-08-291992-07-28Monsanto CompanyImproved probes using nucleosides containing 3-dezauracil analogs
US5591722A (en)1989-09-151997-01-07Southern Research Institute2'-deoxy-4'-thioribonucleosides and their antiviral activity
US5527899A (en)1989-10-231996-06-18Gilead Sciences, Inc.Oligonucleotides with inverted polarity
US5721218A (en)1989-10-231998-02-24Gilead Sciences, Inc.Oligonucleotides with inverted polarity
US5399676A (en)1989-10-231995-03-21Gilead SciencesOligonucleotides with inverted polarity
US5792847A (en)1989-10-241998-08-11Gilead Sciences, Inc.2' Modified Oligonucleotides
US5466786B1 (en)1989-10-241998-04-07Gilead Sciences2' Modified nucleoside and nucleotide compounds
US5466786A (en)1989-10-241995-11-14Gilead Sciences2'modified nucleoside and nucleotide compounds
US5264562A (en)1989-10-241993-11-23Gilead Sciences, Inc.Oligonucleotide analogs with novel linkages
US5264564A (en)1989-10-241993-11-23Gilead SciencesOligonucleotide analogs with novel linkages
US5455233A (en)1989-11-301995-10-03University Of North CarolinaOligoribonucleoside and oligodeoxyribonucleoside boranophosphates
US5177198A (en)1989-11-301993-01-05University Of N.C. At Chapel HillProcess for preparing oligoribonucleoside and oligodeoxyribonucleoside boranophosphates
US5166315A (en)1989-12-201992-11-24Anti-Gene Development GroupSequence-specific binding polymers for duplex nucleic acids
US5405938A (en)1989-12-201995-04-11Anti-Gene Development GroupSequence-specific binding polymers for duplex nucleic acids
US5130302A (en)1989-12-201992-07-14Boron Bilogicals, Inc.Boronated nucleoside, nucleotide and oligonucleotide compounds, compositions and methods for using same
US5750692A (en)1990-01-111998-05-12Isis Pharmaceuticals, Inc.Synthesis of 3-deazapurines
US5587469A (en)1990-01-111996-12-24Isis Pharmaceuticals, Inc.Oligonucleotides containing N-2 substituted purines
US5459255A (en)1990-01-111995-10-17Isis Pharmaceuticals, Inc.N-2 substituted purines
US5681941A (en)1990-01-111997-10-28Isis Pharmaceuticals, Inc.Substituted purines and oligonucleotide cross-linking
US5670633A (en)1990-01-111997-09-23Isis Pharmaceuticals, Inc.Sugar modified oligonucleotides that detect and modulate gene expression
US5646265A (en)1990-01-111997-07-08Isis Pharmceuticals, Inc.Process for the preparation of 2'-O-alkyl purine phosphoramidites
US5149797A (en)1990-02-151992-09-22The Worcester Foundation For Experimental BiologyMethod of site-specific alteration of rna and production of encoded polypeptides
US5366878A (en)1990-02-151994-11-22The Worcester Foundation For Experimental BiologyMethod of site-specific alteration of RNA and production of encoded polypeptides
US5220007A (en)1990-02-151993-06-15The Worcester Foundation For Experimental BiologyMethod of site-specific alteration of RNA and production of encoded polypeptides
US5541306A (en)1990-03-081996-07-30Worcester Foundation For Biomedical ResearchAminoalkylphosphotriester oligonucleotide derivatives
US5563253A (en)1990-03-081996-10-08Worcester Foundation For Biomedical ResearchLinear aminoalkylphosphoramidate oligonucleotide derivatives
US5321131A (en)1990-03-081994-06-14Hybridon, Inc.Site-specific functionalization of oligodeoxynucleotides for non-radioactive labelling
US5536821A (en)1990-03-081996-07-16Worcester Foundation For Biomedical ResearchAminoalkylphosphorothioamidate oligonucleotide deratives
US5470967A (en)1990-04-101995-11-28The Dupont Merck Pharmaceutical CompanyOligonucleotide analogs with sulfamate linkages
US5567811A (en)1990-05-031996-10-22Amersham International PlcPhosphoramidite derivatives, their preparation and the use thereof in the incorporation of reporter groups on synthetic oligonucleotides
US5514785A (en)1990-05-111996-05-07Becton Dickinson And CompanySolid supports for nucleic acid hybridization assays
US5610289A (en)1990-07-271997-03-11Isis Pharmaceuticals, Inc.Backbone modified oligonucleotide analogues
US5602240A (en)1990-07-271997-02-11Ciba Geigy Ag.Backbone modified oligonucleotide analogs
US5489677A (en)1990-07-271996-02-06Isis Pharmaceuticals, Inc.Oligonucleoside linkages containing adjacent oxygen and nitrogen atoms
US5608046A (en)1990-07-271997-03-04Isis Pharmaceuticals, Inc.Conjugated 4'-desmethyl nucleoside analog compounds
US5677437A (en)1990-07-271997-10-14Isis Pharmaceuticals, Inc.Heteroatomic oligonucleoside linkages
US5614617A (en)1990-07-271997-03-25Isis Pharmaceuticals, Inc.Nuclease resistant, pyrimidine modified oligonucleotides that detect and modulate gene expression
US5386023A (en)1990-07-271995-01-31Isis PharmaceuticalsBackbone modified oligonucleotide analogs and preparation thereof through reductive coupling
US5618704A (en)1990-07-271997-04-08Isis Pharmacueticals, Inc.Backbone-modified oligonucleotide analogs and preparation thereof through radical coupling
US5541307A (en)1990-07-271996-07-30Isis Pharmaceuticals, Inc.Backbone modified oligonucleotide analogs and solid phase synthesis thereof
US5623070A (en)1990-07-271997-04-22Isis Pharmaceuticals, Inc.Heteroatomic oligonucleoside linkages
US5378825A (en)1990-07-271995-01-03Isis Pharmaceuticals, Inc.Backbone modified oligonucleotide analogs
US5677439A (en)1990-08-031997-10-14SanofiOligonucleotide analogues containing phosphate diester linkage substitutes, compositions thereof, and precursor dinucleotide analogues
US5223618A (en)1990-08-131993-06-29Isis Pharmaceuticals, Inc.4'-desmethyl nucleoside analog compounds
US5623065A (en)1990-08-131997-04-22Isis Pharmaceuticals, Inc.Gapped 2' modified oligonucleotides
US5177196A (en)1990-08-161993-01-05Microprobe CorporationOligo (α-arabinofuranosyl nucleotides) and α-arabinofuranosyl precursors thereof
US5214134A (en)1990-09-121993-05-25Sterling Winthrop Inc.Process of linking nucleosides with a siloxane bridge
US5561225A (en)1990-09-191996-10-01Southern Research InstitutePolynucleotide analogs containing sulfonate and sulfonamide internucleoside linkages
US5596086A (en)1990-09-201997-01-21Gilead Sciences, Inc.Modified internucleoside linkages having one nitrogen and two carbon atoms
US5432272A (en)1990-10-091995-07-11Benner; Steven A.Method for incorporating into a DNA or RNA oligonucleotide using nucleotides bearing heterocyclic bases
US5672697A (en)1991-02-081997-09-30Gilead Sciences, Inc.Nucleoside 5'-methylene phosphonates
US5571799A (en)1991-08-121996-11-05Basco, Ltd.(2'-5') oligoadenylate analogues useful as inhibitors of host-v5.-graft response
US5587361A (en)1991-10-151996-12-24Isis Pharmaceuticals, Inc.Oligonucleotides having phosphorothioate linkages of high chiral purity
US5319080A (en)1991-10-171994-06-07Ciba-Geigy CorporationBicyclic nucleosides, oligonucleotides, process for their preparation and intermediates
EP0538194A1 (en)*1991-10-171993-04-21Ciba-Geigy AgBicyclic nucleosides, oligonucleotides, their method of preparation and intermediates therein
US5393878A (en)1991-10-171995-02-28Ciba-Geigy CorporationBicyclic nucleosides, oligonucleotides, process for their preparation and intermediates
US5594121A (en)1991-11-071997-01-14Gilead Sciences, Inc.Enhanced triple-helix and double-helix formation with oligomers containing modified purines
US5484908A (en)1991-11-261996-01-16Gilead Sciences, Inc.Oligonucleotides containing 5-propynyl pyrimidines
US5830653A (en)1991-11-261998-11-03Gilead Sciences, Inc.Methods of using oligomers containing modified pyrimidines
US5645985A (en)1991-11-261997-07-08Gilead Sciences, Inc.Enhanced triple-helix and double-helix formation with oligomers containing modified pyrimidines
US5792608A (en)1991-12-121998-08-11Gilead Sciences, Inc.Nuclease stable and binding competent oligomers and methods for their use
US5359044A (en)1991-12-131994-10-25Isis PharmaceuticalsCyclobutyl oligonucleotide surrogates
US5700922A (en)1991-12-241997-12-23Isis Pharmaceuticals, Inc.PNA-DNA-PNA chimeric macromolecules
US5639873A (en)1992-02-051997-06-17Centre National De La Recherche Scientifique (Cnrs)Oligothionucleotides
US5633360A (en)1992-04-141997-05-27Gilead Sciences, Inc.Oligonucleotide analogs capable of passive cell membrane permeation
US5434257A (en)1992-06-011995-07-18Gilead Sciences, Inc.Binding compentent oligomers containing unsaturated 3',5' and 2',5' linkages
US5700920A (en)1992-07-011997-12-23Novartis CorporationCarbocyclic nucleosides containing bicyclic rings, oligonucleotides therefrom, process for their preparation, their use and intermediates
US5610300A (en)1992-07-011997-03-11Ciba-Geigy CorporationCarbocyclic nucleosides containing bicyclic rings, oligonucleotides therefrom, process for their preparation, their use and intermediates
US5652355A (en)1992-07-231997-07-29Worcester Foundation For Experimental BiologyHybrid oligonucleotide phosphorothioates
WO1994002499A1 (en)1992-07-271994-02-03Hybridon, Inc.Oligonucleotide alkylphosphonothioates
WO1994014226A1 (en)1992-12-141994-06-23Honeywell Inc.Motor system with individually controlled redundant windings
WO1994017093A1 (en)1993-01-251994-08-04Hybridon, Inc.Oligonucleotide alkylphosphonates and alkylphosphonothioates
US5476925A (en)1993-02-011995-12-19Northwestern UniversityOligodeoxyribonucleotides including 3'-aminonucleoside-phosphoramidate linkages and terminal 3'-amino groups
US5508270A (en)1993-03-061996-04-16Ciba-Geigy CorporationNucleoside phosphinate compounds and compositions
US5466677A (en)1993-03-061995-11-14Ciba-Geigy CorporationDinucleoside phosphinates and their pharmaceutical compositions
US5576427A (en)1993-03-301996-11-19Sterling Winthrop, Inc.Acyclic nucleoside analogs and oligonucleotide sequences containing them
US5663312A (en)1993-03-311997-09-02SanofiOligonucleotide dimers with amide linkages replacing phosphodiester linkages
US6005096A (en)1993-09-171999-12-21Gilead Sciences, Inc.Pyrimidine derivatives
US5763588A (en)1993-09-171998-06-09Gilead Sciences, Inc.Pyrimidine derivatives for labeled binding partners
US5502177A (en)1993-09-171996-03-26Gilead Sciences, Inc.Pyrimidine derivatives for labeled binding partners
US5457187A (en)1993-12-081995-10-10Board Of Regents University Of NebraskaOligonucleotides containing 5-fluorouracil
US5565350A (en)1993-12-091996-10-15Thomas Jefferson UniversityCompounds and methods for site directed mutations in eukaryotic cells
US5446137A (en)1993-12-091995-08-29Syntex (U.S.A.) Inc.Oligonucleotides containing 4'-substituted nucleotides
US5446137B1 (en)1993-12-091998-10-06Behringwerke AgOligonucleotides containing 4'-substituted nucleotides
US5519134A (en)1994-01-111996-05-21Isis Pharmaceuticals, Inc.Pyrrolidine-containing monomers and oligomers
US5596091A (en)1994-03-181997-01-21The Regents Of The University Of CaliforniaAntisense oligonucleotides comprising 5-aminoalkyl pyrimidine nucleotides
US5627053A (en)1994-03-291997-05-06Ribozyme Pharmaceuticals, Inc.2'deoxy-2'-alkylnucleotide containing nucleic acid
US5625050A (en)1994-03-311997-04-29Amgen Inc.Modified oligonucleotides and intermediates useful in nucleic acid therapeutics
US5646269A (en)1994-04-281997-07-08Gilead Sciences, Inc.Method for oligonucleotide analog synthesis
US5525711A (en)1994-05-181996-06-11The United States Of America As Represented By The Secretary Of The Department Of Health And Human ServicesPteridine nucleotide analogs as fluorescent DNA probes
US5597909A (en)1994-08-251997-01-28Chiron CorporationPolynucleotide reagents containing modified deoxyribose moieties, and associated methods of synthesis and use
US5652356A (en)1995-08-171997-07-29Hybridon, Inc.Inverted chimeric and hybrid oligonucleotides
US5656408A (en)1996-04-291997-08-12Xerox CorporationCoated carrier particles
WO1998039352A1 (en)1997-03-071998-09-11Takeshi ImanishiNovel bicyclonucleoside and oligonucleotide analogues
US6268490B1 (en)1997-03-072001-07-31Takeshi ImanishiBicyclonucleoside and oligonucleotide analogues
US6770748B2 (en)1997-03-072004-08-03Takeshi ImanishiBicyclonucleoside and oligonucleotide analogue
WO1999014226A2 (en)1997-09-121999-03-25Exiqon A/SBi- and tri-cyclic nucleoside, nucleotide and oligonucleotide analogues
US6794499B2 (en)1997-09-122004-09-21Exiqon A/SOligonucleotide analogues
US7034133B2 (en)1997-09-122006-04-25Exiqon A/SOligonucleotide analogues
US6670461B1 (en)1997-09-122003-12-30Exiqon A/SOligonucleotide analogues
US6867294B1 (en)1998-07-142005-03-15Isis Pharmaceuticals, Inc.Gapped oligomers having site specific chiral phosphorothioate internucleoside linkages
US6600032B1 (en)1998-08-072003-07-29Isis Pharmaceuticals, Inc.2′-O-aminoethyloxyethyl-modified oligonucleotides
US7053207B2 (en)1999-05-042006-05-30Exiqon A/SL-ribo-LNA analogues
US6525191B1 (en)1999-05-112003-02-25Kanda S. RamasamyConformationally constrained L-nucleosides
WO2001049687A2 (en)1999-12-302001-07-12K. U. Leuven Research & DevelopmentCyclohexene nucleic acids
WO2002036743A2 (en)2000-10-302002-05-10Isis Pharmaceuticals, Inc.Antisense modulation of calreticulin expression
US6426220B1 (en)2000-10-302002-07-30Isis Pharmaceuticals, Inc.Antisense modulation of calreticulin expression
US20030158403A1 (en)2001-07-032003-08-21Isis Pharmaceuticals, Inc.Nuclease resistant chimeric oligonucleotides
US20040033973A1 (en)2002-08-162004-02-19Muthiah ManoharanCompounds and oligomeric compounds comprising novel nucleobases
US20040171570A1 (en)2002-11-052004-09-02Charles AllersonPolycyclic sugar surrogate-containing oligomeric compounds and compositions for use in gene modulation
US20080039618A1 (en)2002-11-052008-02-14Charles AllersonPolycyclic sugar surrogate-containing oligomeric compounds and compositions for use in gene modulation
WO2004106356A1 (en)2003-05-272004-12-09Syddansk UniversitetFunctionalized nucleotide derivatives
WO2005021570A1 (en)2003-08-282005-03-10Gene Design, Inc.Novel artificial nucleic acids of n-o bond crosslinkage type
US7427672B2 (en)2003-08-282008-09-23Takeshi ImanishiArtificial nucleic acids of n-o bond crosslinkage type
US20050130923A1 (en)2003-09-182005-06-16Balkrishen Bhat4'-thionucleosides and oligomeric compounds
WO2005121371A2 (en)2004-06-032005-12-22Isis Pharmaceuticals, Inc.Double strand compositions comprising differentially modified strands for use in gene modulation
WO2005121372A2 (en)2004-06-032005-12-22Isis Pharmaceuticals, Inc.Double strand compositions comprising differentially modified strands for use in gene modulation
WO2006047842A2 (en)2004-11-082006-05-11K.U. Leuven Research And DevelopmentModified nucleosides for rna interference
US7399845B2 (en)2006-01-272008-07-15Isis Pharmaceuticals, Inc.6-modified bicyclic nucleic acid analogs
WO2007134181A2 (en)2006-05-112007-11-22Isis Pharmaceuticals, Inc.5'-modified bicyclic nucleic acid analogs
US20070287831A1 (en)2006-05-112007-12-13Isis Pharmaceuticals, Inc5'-modified bicyclic nucleic acid analogs
WO2008101157A1 (en)2007-02-152008-08-21Isis Pharmaceuticals, Inc.5'-substituted-2'-f modified nucleosides and oligomeric compounds prepared therefrom
WO2008150729A2 (en)2007-05-302008-12-11Isis Pharmaceuticals, Inc.N-substituted-aminomethylene bridged bicyclic nucleic acid analogs
WO2008154401A2 (en)2007-06-082008-12-18Isis Pharmaceuticals, Inc.Carbocyclic bicyclic nucleic acid analogs
WO2009006478A2 (en)2007-07-052009-01-08Isis Pharmaceuticals, Inc.6-disubstituted bicyclic nucleic acid analogs
WO2010036696A1 (en)2008-09-242010-04-01Isis Pharmaceuticals, Inc.Cyclohexenyl nucleic acid analogs
US8623108B2 (en)2009-01-142014-01-07Boehler Edelstahl Gmbh & Co KgWear-resistant material
US9984408B1 (en)2012-05-302018-05-29Amazon Technologies, Inc.Method, medium, and system for live video cooperative shopping
US9778708B1 (en)2016-07-182017-10-03Lenovo Enterprise Solutions (Singapore) Pte. Ltd.Dual sided latching retainer for computer modules

Non-Patent Citations (132)

* Cited by examiner, † Cited by third party
Title
"Advanced Organic Chemistry, Reactions, Mechanisms, and Structure 2nd Edition,", 1977, MCGRAW HILL
"Compendium of Organic Synthetic Methods", JOHN WILEY & SONS
"Greene's Protective Groups in Organic Synthesis, 4th edition,", 2007, JOHN WILEY & SONS
"RNA: Scaringe, Methods", vol. 23, 2001, pages: 206 - 217
AGRAWAL ET AL.: "Protocols for Oligonucleotide Conjugates", vol. 26, 1994, HUMANA PRESS, pages: 1 - 72
AGRAWAL,: "DNA: Protocols for Oligonucleotides and Analogs", 1993, HUMANA PRESS
ALBAEK ET AL., J. ORG. CHEM., vol. 71, 2006, pages 7731 - 7740
ALBAEK, N., NUCLEOSIDES, NUCLEOTIDES AND NUCLEIC ACIDS, vol. 22, 2003, pages 723 - 725
ALBAEK, N.: "Nucleotides and Nucleic Acids", NUCLEOSIDES, vol. 22, 2003, pages 723 - 725
ALTMANN ET AL., BIOCHEM. SOC. TRANS., vol. 24, 1996, pages 630 - 637
ALTMANN ET AL., CHIMIA, vol. 50, 1996, pages 168 - 176
ALTMANN ET AL., NUCLEOSIDES NUCLEOTIDES, vol. 16, 1997, pages 917 - 926
ALTSCHUL ET AL., J. MOL. BIOL., vol. 215, 1990, pages 403 - 410
ANGEW. CHEM. INT. ED. ENGL, vol. 32, 1993, pages 1432 - 1434
ANGEW. CHEM. INT. ED. ENGL, vol. 34, 1995, pages 694 - 696
ARBEN I. HAZIRI ET AL: "Synthesis and Pairing Properties of Oligodeoxynucleotides Containing Bicyclo-RNA and Bicyclo-ANA Modifications", THE JOURNAL OF ORGANIC CHEMISTRY, vol. 77, no. 14, 20 July 2012 (2012-07-20), pages 5861 - 5869, XP055038997, ISSN: 0022-3263, DOI: 10.1021/jo300554w*
AUSUBEL, F.M. ET AL.: "Current Protocols in Molecular Biology", vol. 2, 1991, JOHN WILEY & SONS, INC., pages: 11.2.1 - 11.2.22
AUSUBEL, F.M. ET AL.: "Current Protocols in Molecular Biology", vol. 2, 1997, JOHN WILEY & SONS, INC., pages: 10.8.1 - 10.8.21
AUSUBEL, F.M. ET AL.: "Current Protocols in Molecular Biology", vol. 2, 1997, JOHN WILEY & SONS, INC., pages: 11.12.1 - 11.12.9
AUSUBEL, F.M. ET AL.: "Current Protocols in Molecular Biology", vol. 2, 1997, JOHN WILEY & SONS, INC., pages: 11.4.1 - 11.11.5
AUSUBEL, F.M. ET AL.: "Current Protocols in Molecular Biology", vol. 2, 1998, JOHN WILEY & SONS, INC., pages: 10.16.1 - 10.16.1
BAKER ET AL., J. BIOL. CHEM., vol. 272, 1997, pages 11944 - 12000
BARANY ET AL., J. AM. CHEM. SOC., vol. 102, 1980, pages 3084 - 3095
BARANY ET AL., J. AM. CHEM. SOC., vol. 99, 1977, pages 7363 - 7365
BARRY M. TROST,: "Comprehensive Organic Synthesis. Selectivity, Strategy & Efficiency in Modern Organic Chemistry", vol. 9, 1993, PERGAMON PRESS
BASS ET AL., CELL, vol. 101, 2000, pages 235 - 238
BEAUCAGE ET AL., TETRAHEDRON, vol. 48, no. 12, 1992, pages 2223 - 2311
BEAUCAGE ET AL., TETRAHEDRON, vol. 49, no. 10, 1993, pages 1925 - 1963
BEAUCAGE ET AL., TETRAHEDRON, vol. 49, no. 46, 1993, pages 10441 - 10488
BEAUCAGE; IYER, TETRAHEDRON, vol. 48, 1992, pages 2223 - 2311
BELIKOVA ET AL., TET. LETT., vol. 37, 1967, pages 3557 - 3562
BIOORG. MED. CHEM. LET., vol. 5, 1995, pages 1231 - 1234
BOLLI ET AL., HELVETICA CHIMICA ACTA, vol. 78, 1995, pages 2077 - 2096
BRAASCH ET AL., CHEM. BIOL., vol. 8, 2001, pages 1 - 7
BRAZMA; VILO, FEBS LETT., vol. 480, 2000, pages 17 - 24
CAREY; SUNDBERG: "Advanced Organic Chemistry, Part B: Reactions and Synthesis, 4th Edition;", 2001, KLUWER ACADEMIC/PLENUM PUBLISHERS
CARULLI ET AL., J. CELL BIOCHEM. SUPPL., vol. 31, 1998, pages 286 - 96
CELIS ET AL., FEBS LETT., vol. 480, 2000, pages 2 - 16
CHATTOPADHYAYA ET AL., J. ORG. CHEM., vol. 74, 2009, pages 118 - 134
CHIANG ET AL., J. BIOL. CHEM., vol. 266, 1991, pages 18162 - 18171
CONTE ET AL., NUCLEIC ACIDS RES., vol. 25, 1997, pages 2627 - 2634
EGLI ET AL., BIOCHEMISTRY, vol. 35, 1996, pages 8489 - 8494
ELAYADI ET AL., CURR. OPINION INVENS. DRUGS, vol. 2, 2001, pages 558 - 561
ELBASHIR ET AL., GENES DEV., vol. 15, 2001, pages 188 - 200
ELBASHIR ET AL., NATURE, vol. 411, 2001, pages 494 - 498
ENGLISCH ET AL., ANGEWANDTE CHEMIE, INTERNATIONAL EDITION, vol. 30, 1991, pages 613
F. ECKSTEIN,: "Oligonucleotides and Analogues, a Practical Approach", 1991, OXFORD UNIVERSITY PRESS
FIRE ET AL., NATURE, vol. 391, 1998, pages 806 - 811
FRIEDEN ET AL., NUCLEIC ACIDS RESEARCH, vol. 21, 2003, pages 6365 - 6372
FRIER ET AL., NUCLEIC ACIDS RESEARCH, vol. 25, no. 22, 1997, pages 4429 - 4443
FUCHS ET AL., ANAL. BIOCHEM., vol. 286, 2000, pages 91 - 98
GAIT ET AL.: "Applications of Chemically synthesized RNA in RNA:Protein Interactions", vol. 1-36, 1998
GALLO ET AL., TETRAHEDRON, vol. 57, 2001, pages 5707 - 5713
GOING; GUSTERSON, EUR. J. CANCER, vol. 35, 1999, pages 1895 - 904
GREENE, T.W.; WUTZ, P.G.M.: "Protecting Groups in Organic Synthesis, 4th Edition,", 1991, JOHN WILEY & SONS
GU ET AL., NUCLEOSIDES, NUCLEOTIDES & NUCLEIC ACIDS, vol. 24, no. 5-7, 2005, pages 993 - 998
GU ET AL., OLIGONUCLEOTIDES, vol. 13, no. 6, 2003, pages 479 - 489
GU ET AL., TETRAHEDRON, vol. 60, no. 9, 2004, pages 2111 - 2123
HORVÁTH ET AL., TETRAHEDRON LETTERS, vol. 48, 2007, pages 3621 - 3623
IAN T. HARRISON; SHUYEN HARRISON: "COMPENDIUM OF ORGANIC SYNTHETIC METHODS", vol. 1, 1971
IAN T. HARRISON; SHUYEN HARRISON: "COMPENDIUM OF ORGANIC SYNTHETIC METHODS", vol. 2, 1974
JACQUES ET AL.: "Enantiomers, Racemates, and Resolutions", 1981, JOHN WILEY & SONS
JIN ET AL., J. ORG. CHEM, vol. 63, 1997, pages 3647 - 3654
JONES, L.J. ET AL., ANALYTICAL BIOCHEMISTRY, vol. 265, 1998, pages 368 - 374
JUNGBLUT ET AL., ELECTROPHORESIS, vol. 20, 1999, pages 2100 - 10
JURECIC; BELMONT, CURR. OPIN. MICROBIOL., vol. 3, 2000, pages 316 - 21
KOSHKIN ET AL., TETRAHEDRON, vol. 54, 1998, pages 3607 - 3630
KROSCHWITZ, J.I.,: "he Concise Encyclopedia OfPolymer Science And Engineering", 1990, JOHN WILEY & SONS, pages: 858 - 859
KUMAR ET AL., BIOORG. MED CHEM. LETT., vol. 8, 1998, pages 2219 - 2222
KUMAR ET AL., BIOORG. MED. CHEM. LETT., vol. 8, 1998, pages 2219 - 2222
LAROCK, R.C.: "Comprehensive Organic Transformations, 2nd Edition,", 1999, JOHN WILEY & SONS
LARSON ET AL., CYTOMETRY, vol. 41, 2000, pages 203 - 208
LARSSON ET AL., J. BIOTECHNOL., vol. 80, 2000, pages 143 - 57
LEROY G. WADE JR.: "COMPENDIUM OF ORGANIC SYNTHETIC METHODS", vol. 4, 1980
LEROY G. WADE JR.: "COMPENDIUM OF ORGANIC SYNTHETIC METHODS", vol. 5, 1984
LESNIK ET AL., BIOCHEMISTRY, vol. 34, 1995, pages 10807 - 10815
LEUMANN, C. J., BIOORG. & MED CHEM., vol. 10, 2002, pages 841 - 854
LEUMANN; CHRISTIAN J., BIOORG. & MED. CHEM., vol. 10, 2002, pages 841 - 854
LHÁR ET AL., BIOORG. MED CHEM., vol. 18, 2010, pages 7786 - 7793
LIETARD ET AL., BIOORGANIC & MEDICINAL CHEMISTRY, vol. 819, 2011, pages 5869 - 5875
LITTEN ET AL., HELVETICA CHIMICA ACTA, vol. 79, 1996, pages 1129 - 1146
LOUIS S. HEGEDUS; LEROY WADE: "COMPENDIUM OF ORGANIC SYNTHETIC METHODS", vol. 3, 1977
LUISIER ET AL., CHEMBIOCHEM, vol. 9, 2008, pages 2244 - 2253
LUISIER ET AL., HETEROCYCLES, vol. 82, 2010, pages 775 - 790
MADDEN ET AL., DRUG DISCOV. TODAY, vol. 5, 2000, pages 415 - 425
MARCH, J.: "Advanced Organic Chemistry, 3rd Edition,", 1985, JOHN WILEY & SONS
MARTIN, P., HELV. CHIM. ACTA, vol. 78, 1995, pages 486 - 504
MEIER ET AL., HELVETICA CHIMICA ACTA, vol. 82, 1999, pages 1813 - 1828
MICHAEL B. SMITH: "COMPENDIUM OF ORGANIC SYNTHETIC METHODS", vol. 6
MIURA ET AL., CLIN. CHEM., vol. 42, 1996, pages 1758 - 1764
MONTGOMERY ET AL., PROC. NATL. ACAD SCI. USA, vol. 95, 1998, pages 15502 - 15507
NAUWELAERTS ET AL., J. AM. CHEM. SOC., vol. 129, no. 30, 2007, pages 9340 - 9348
NAUWELAERTS ET AL., NUCLEIC ACIDS RESEARCH, vol. 33, no. 8, 2005, pages 2452 - 2463
NISHIKURA ET AL., CELL, vol. 107, 2001, pages 415 - 416
ORUM ET AL., CURR. OPINION MOL. THER., vol. 3, 2001, pages 239 - 243
PRASHAR; WEISSMAN, METHODS ENZYMOL., vol. 303, 1999, pages 258 - 72
RAVN, J.; NIELSEN, P., J. CHEM. SOC., PERKIN TRANS., vol. 1, 2001, pages 985 - 993
ROBEYNS ET AL., ACTA CRYSTALLOGRAPHICA, SECTION F: STRUCTURAL BIOLOGY AND CRYSTALLIZATION COMMUNICATIONS, vol. F61, no. 6, 2005, pages 585 - 586
ROBEYNS ET AL., J. AM. CHEM. SOC., vol. 130, no. 6, 2008, pages 1979 - 1984
ROLAND MEIER ET AL: "Nucleic-Acid Analogs with Restricted Conformational Flexibility in the Sugar-Phosphate Backbone (`Bicyclo-DNA'), Part 7, Synthesis and Properties of Oligodeoxynucleotides Containing [(3'S,5'S,6'R)-6'-Amino-2'-deoxy-3',5'-ethano-[beta]-D-ribofuranosyl]thymine (=(6'R)-6'-Amino-bicyclo-thymidine)", HELVETICA CHIMICA ACTA, vol. 82, no. 11, 10 November 1999 (1999-11-10), pages 1813 - 1828, XP055038980, ISSN: 0018-019X, DOI: 10.1002/(SICI)1522-2675(19991110)82:11<1813::AID-HLCA1813>3.0.CO;2-0*
SAMUEL LUISIER AND CHRISTIAN J LEUMANN: "Screening the Structural Space of Bicyclo-DNA: Synthesis and Properties of Bicyclo-DNA Functionalized at C(6 )", HETEROCYCLES, ELSEVIER SCIENCE PUBLISHERS B.V. AMSTERDAM, NL, vol. 82, no. 1, 1 January 2010 (2010-01-01), pages 775 - 790, XP009163083, ISSN: 0385-5414, [retrieved on 20100716], DOI: 10.3987/COM-10-S(E)65*
SANGER ET AL.: "Principles of Nucleic Acid Structure", 1984, SPRINGER-VERLAG
SANGER, W.: "Principles of Nucleic Acid Structure", 1984, SPRINGER-VERLAG
SANGHVI, Y.S.: "Antisense Research and Applications", 1993, CRC PRESS, pages: 273 - 302
SEARLE ET AL., NUCLEIC ACIDS RES., vol. 21, 1993, pages 2051 - 2056
SILHAR P ET AL: "Parallel synthesis and nucleic acid binding properties of C(6')-alpha-functionalized bicyclo-DNA", 15 November 2010, BIOORGANIC & MEDICINAL CHEMISTRY, PERGAMON, GB, PAGE(S) 7786 - 7793, ISSN: 0968-0896, XP027452437*
SINGH ET AL., CHEM. COMMUN., vol. 4, 1998, pages 455 - 456
SINGH ET AL., J ORG. CHEM., vol. 63, 1998, pages 10035 - 10039
SINGH ET AL., J. ORG. CHEM., vol. 63, 1998, pages 10035 - 10039
SRIVASTAVA ET AL., J. AM. CHEM. SOC., vol. 129, no. 26, 2007, pages 8362 - 8379
STAHL; WERMUTH: "Handbook of Pharmaceutical Salts: Properties, Selection and Use", 2002, WILEY-VCH
STEFFENS ET AL., HELVETICA CHIMICA ACTA, vol. 80, 1997, pages 2426 - 2439
SUTCLIFFE ET AL., PROC. NATL. ACAD SCI. USA, vol. 97, 1976, pages 8 1
SWAYZE ET AL.: "Antisense a Drug Technology", 2008, article "The Medicinal Chemistry of Oligonucleotides", pages: 143 - 182
TABARA ET AL., SCIENCE, vol. 282, 1998, pages 430 - 431
TARK6Y ET AL., HELVETICA CHIMICA ACTA, vol. 77, 1994, pages 716 - 744
TIJSTERMAN ET AL., SCIENCE, vol. 295, 2002, pages 694 - 697
TIMMONS ET AL., GENE, vol. 263, 2001, pages 103 - 112
TIMMONS; FIRE, NATURE, vol. 395, 1998, pages 854
TO, COMB. CHEM. HIGH.THROUGHPUT SCREEN, vol. 3, 2000, pages 235 - 41
TUSCHL ET AL., GENES DEV., vol. 13, 1999, pages 3191 - 3197
VERBEURE ET AL., NUCLEIC ACIDS RESEARCH, vol. 29, no. 24, 2001, pages 4941 - 4947
WAHLESTEDT ET AL., PROC. NATL. ACAD SCI. U. S. A., vol. 97, 2000, pages 5633 - 5638
WANG ET AL., J ORG. CHEM., vol. 66, 2001, pages 8478 - 82
WANG ET AL., J. AM. CHEM., vol. 122, 2000, pages 8595 - 8602
WANG ET AL., J. ORG. CHEM., vol. 68, 2003, pages 4499 - 4505
WANG ET AL., NUCLEOSIDES, NUCLEOTIDES & NUCLEIC ACIDS, vol. 20, no. 4-7, 2001, pages 785 - 788
WANG ET AL., TETRAHEDRON LETTERS, vol. 38, no. 22, 1997, pages 3797 - 3800
WANG ET AL., TETRAHEDRON LETTERS, vol. 38, no. 5, 1997, pages 705 - 708
Y.S. SANGHVI AND P.D. COOK,: "Carbohydrate Modifications in Antisense Research", ACS SYMPOSIUM SERIES 580, pages: 40 - 65
ZAMECNIK ET AL., PROC. NATL. ACAD. SCI. U.S.A., vol. 75, 1978, pages 280 - 284
ZHANG; MADDEN, GENOME RES., vol. 7, 1997, pages 649 - 656

Cited By (21)

* Cited by examiner, † Cited by third party
Publication numberPriority datePublication dateAssigneeTitle
JP2015513561A (en)*2012-03-152015-05-14ウニヴェルジテート ベルン Tricyclic nucleosides and oligomeric compounds prepared therefrom
JP2018109015A (en)*2012-03-152018-07-12ウニヴェルジテート ベルンTricyclic nucleosides and oligomeric compounds prepared therefrom
JP2018162245A (en)*2013-03-152018-10-18ウニヴェルジテート ベルン Tricyclic nucleosides and oligomeric compounds prepared therefrom
JP7263236B2 (en)2016-11-302023-04-24ウニヴェルジテート ベルン Novel bicyclic nucleosides and oligomers prepared therefrom
US11028117B2 (en)*2016-11-302021-06-08Universität BernBicyclic nucleosides and oligomers prepared therefrom
JP2020502072A (en)*2016-11-302020-01-23ウニヴェルジテート ベルン Novel bicyclic nucleosides and oligomers prepared therefrom
US11919922B2 (en)2016-11-302024-03-05Universitat BernBicyclic nucleosides and oligomers prepared therefrom
US20190345188A1 (en)*2016-11-302019-11-14Universität BernNovel bicyclic nucleosides and oligomers prepared therefrom
AU2017368283B2 (en)*2016-11-302022-02-10Universität BernNovel bicyclic nucleosides and oligomers prepared therefrom
JP7317029B2 (en)2018-02-122023-07-28アイオーニス ファーマシューティカルズ, インコーポレーテッド Modified compounds and uses thereof
US11149264B2 (en)2018-02-122021-10-19Ionis Pharmaceuticals, Inc.Modified compounds and uses thereof
JP2021512629A (en)*2018-02-122021-05-20アイオーニス ファーマシューティカルズ, インコーポレーテッドIonis Pharmaceuticals,Inc. Modified compounds and their use
US11332733B2 (en)2018-02-122022-05-17lonis Pharmaceuticals, Inc.Modified compounds and uses thereof
WO2019157531A1 (en)*2018-02-122019-08-15Ionis Pharmaceuticals, Inc.Modified compounds and uses thereof
US12234447B2 (en)2018-02-122025-02-25Ionis Pharmaceuticals, Inc.Modified compounds and uses thereof
EP3833355A4 (en)*2018-08-072022-05-11Merck Sharp & Dohme Corp.Prmt5 inhibitors
CN112805006A (en)*2018-08-072021-05-14默沙东公司PRMT5 inhibitor
RU2814198C2 (en)*2018-08-072024-02-27МЕРК ШАРП И ДОУМ ЭлЭлСиRmt5 inhibitors
WO2020033288A1 (en)2018-08-072020-02-13Merck Sharp & Dohme Corp.Prmt5 inhibitors
US12173026B2 (en)2018-08-072024-12-24Merck Sharp & Dohme LlcPRMT5 inhibitors
WO2022106695A1 (en)2020-11-232022-05-27Alpha Anomeric SasNucleic acid duplexes

Similar Documents

PublicationPublication DateTitle
EP2850092B1 (en)Tricyclic nucleic acid analogs
EP2580228B1 (en)Substituted 2&#39;-amino and 2&#39;-thio-bicyclic nucleosides and oligomeric compounds prepared therefrom
EP2188298B1 (en)Tetrahydropyran nucleic acid analogs
EP2361256B1 (en)Cyclohexenyl nucleic acid analogs
EP2285819B1 (en)Oligomeric compounds comprising neutrally linked terminal bicyclic nucleosides
EP2358397B1 (en)5&#39; and 2&#39; bis-substituted nucleosides and oligomeric compounds prepared therefrom
US9688707B2 (en)Bicyclic morpholino compounds and oligomeric compounds prepared therefrom
EP3119789B1 (en)Bicyclic carbocyclic nucleosides and oligomeric compounds prepared therefrom
WO2011085102A1 (en)Base modified bicyclic nucleosides and oligomeric compounds prepared therefrom
WO2011115818A1 (en)5&#39;-substituted bicyclic nucleosides and oligomeric compounds prepared therefrom
WO2009117589A1 (en)Oligomeric compounds comprising tricyclic nucleosides and methods for their use
US9029335B2 (en)Substituted 2′-thio-bicyclic nucleosides and oligomeric compounds prepared therefrom
US10865413B2 (en)Oligomeric compounds comprising α-β-constrained nucleic acid
WO2011156278A1 (en)Bicyclic nucleosides and oligomeric compounds prepared therefrom
WO2012170347A1 (en)Bicyclic nucleosides and oligomeric compounds prepared therefrom
WO2010090969A1 (en)Tetrahydropyran nucleic acid analogs
WO2013154799A1 (en)Tricyclic nucleosides and oligomeric compounds prepared therefrom
HK1142909B (en)Tetrahydropyran nucleic acid analogs

Legal Events

DateCodeTitleDescription
121Ep: the epo has been informed by wipo that ep was designated in this application

Ref document number:12726564

Country of ref document:EP

Kind code of ref document:A1

NENPNon-entry into the national phase

Ref country code:DE

122Ep: pct application non-entry in european phase

Ref document number:12726564

Country of ref document:EP

Kind code of ref document:A1


[8]ページ先頭

©2009-2025 Movatter.jp