Movatterモバイル変換


[0]ホーム

URL:


WO2012147890A1 - Novel azole derivative - Google Patents

Novel azole derivative
Download PDF

Info

Publication number
WO2012147890A1
WO2012147890A1PCT/JP2012/061288JP2012061288WWO2012147890A1WO 2012147890 A1WO2012147890 A1WO 2012147890A1JP 2012061288 WJP2012061288 WJP 2012061288WWO 2012147890 A1WO2012147890 A1WO 2012147890A1
Authority
WO
WIPO (PCT)
Prior art keywords
ring
alkyl
alkoxy
membered
hydroxy
Prior art date
Application number
PCT/JP2012/061288
Other languages
French (fr)
Japanese (ja)
Inventor
石川 誠
淳 灰谷
直人 小菅
Original Assignee
持田製薬株式会社
Priority date (The priority date is an assumption and is not a legal conclusion. Google has not performed a legal analysis and makes no representation as to the accuracy of the date listed.)
Filing date
Publication date
Application filed by 持田製薬株式会社filedCritical持田製薬株式会社
Publication of WO2012147890A1publicationCriticalpatent/WO2012147890A1/en

Links

Classifications

Definitions

Landscapes

Abstract

The present invention relates to a nitrogen-containing aromatic compound according to formula (I) that acts as an effective inhibitor of phosphodiesterase 10 (PDE 10). The present invention also relates to a pharmaceutical composition containing this type of compound, and the use of this type of compound in methods for treating certain types of central nervous system (CNS) disorders and other disorders. The present invention also relates to a method for treating disorders such as a neurodegenerative disorders and mental disorders such as schizophrenia disorders, as well as disorders that include cognitive disability as a symptom.

Description

新規アゾール誘導体New azole derivatives
 本発明は、有効なホスホジエステラーゼ10(PDE10)阻害剤として役立つアゾール化合物に関する。本発明はさらに、そのような化合物を含む医薬組成物、およびある種の中枢神経系(CNS)障害または他の障害を治療する方法におけるそのような化合物の使用に関する。本発明は、神経変性障害および精神障害、たとえば統合失調症および症状として認知不全を含む障害を治療する方法にも関する。The present invention relates to an azole compound useful as an effective phosphodiesterase 10 (PDE10) inhibitor. The invention further relates to pharmaceutical compositions comprising such compounds and the use of such compounds in methods of treating certain central nervous system (CNS) disorders or other disorders. The invention also relates to methods of treating neurodegenerative and psychiatric disorders, such as schizophrenia and disorders involving cognitive deficits as symptoms.
 ホスホジエステラーゼ(PDE)は、ヌクレオチド環状アデノシン一リン酸(cAMP)および環状グアノシン一リン酸(cGMP)のそれぞれのヌクレオチド一リン酸への加水分解に関与する細胞内酵素の一種類である。環状ヌクレオチドcAMPおよびcGMPは、それぞれアデニリルシクラーゼおよびグアニリルシクラーゼによって合成され、様々な細胞経路において二次メッセンジャーとして役立つ。Phosphodiesterase (PDE) is one type of intracellular enzyme involved in the hydrolysis of nucleotide cyclic adenosine monophosphate (cAMP) and cyclic guanosine monophosphate (cGMP) to each nucleotide monophosphate. The cyclic nucleotides cAMP and cGMP are synthesized by adenylyl cyclase and guanylyl cyclase, respectively, and serve as second messengers in various cellular pathways.
 cAMPおよびcGMPは、特に中枢神経系のニューロンにおいて、多くの細胞内プロセスを調節する細胞内二次メッセンジャーとして機能する。ニューロンにおいて、これにはcAMPおよびcGMP依存性キナーゼの活性化、ならびにシナプス伝達の急性調節とニューロン分化および生存に関与するその後のタンパク質のリン酸化が包含される。環状ヌクレオチドシグナル伝達の複雑性は、cAMPおよびcGMPの合成および分解に関与する酵素の分子多様性によって示唆される。少なくとも10種のアデニリルシクラーゼファミリー、2種のグアニリルシクラーゼ、および11種のホスホジエステラーゼが存在する。さらに、種々の異なる種類のニューロンが、これらの各クラスの複数のアイソザイムを発現することが知られており、所与のニューロン内の種々の異なるアイソザイムのコンパートメント化および機能特異性に関する充分な証拠がある。CAMP and cGMP function as intracellular second messengers that regulate many intracellular processes, particularly in neurons of the central nervous system. In neurons, this includes activation of cAMP and cGMP-dependent kinases, as well as the subsequent phosphorylation of proteins involved in acute regulation of synaptic transmission and neuronal differentiation and survival. The complexity of cyclic nucleotide signaling is suggested by the molecular diversity of the enzymes involved in the synthesis and degradation of cAMP and cGMP. There are at least 10 adenylyl cyclase families, 2 guanylyl cyclases, and 11 phosphodiesterases. In addition, various different types of neurons are known to express each of these classes of multiple isozymes, and there is ample evidence for compartmentalization and functional specificity of the various different isozymes within a given neuron. is there.
 環状ヌクレオチドシグナル伝達を調節する主要な機序は、ホスホジエステラーゼ触媒環状ヌクレオチド異化作用によるものである。21種の異なる遺伝子でコードされる11種の既知のPDEファミリーがある。それぞれの遺伝子は典型的に、さらにアイソザイムの多様性の一因となる複数のスプライスバリアントを生じる。PDEファミリーは、環状ヌクレオチド基質特異性、調節機序、および阻害剤に対する感受性に基づいて、機能的に区別される。さらにPDEは、中枢神経系を包含する生体全体にわたって特異的に発現する。これらの特異な酵素活性および局在化の結果として、種々の異なるPDEアイソザイムは、特異な生理的機能を果たし得る。さらに、特異なPDEファミリーまたはアイソザイムを選択的に阻害できる化合物は、特定の治療効果、より少ない副作用、またはその両方を提供することができる。The primary mechanism for regulating cyclic nucleotide signaling is by phosphodiesterase-catalyzed cyclic nucleotide catabolism. There are 11 known PDE families encoded by 21 different genes. Each gene typically results in multiple splice variants that further contribute to the diversity of isozymes. The PDE family is functionally distinguished based on cyclic nucleotide substrate specificity, regulatory mechanisms, and sensitivity to inhibitors. Furthermore, PDE is specifically expressed throughout the body including the central nervous system. As a result of these specific enzyme activities and localization, a variety of different PDE isozymes can perform specific physiological functions. Further, compounds that can selectively inhibit specific PDE families or isozymes can provide specific therapeutic effects, fewer side effects, or both.
 PDE10は、一次アミノ酸配列および特異な酵素活性に基づいて、ユニークなファミリーとして同定される。ESTデータベースの相同性スクリーニングにより、PDEのPDE10ファミリーの最初のメンバーとして、マウスPDE10Aが明らかとなった(Fujishigeら、J.Biol.Chem.274:18438~18445、1999;Loughney,K.ら、Gene 234:109~117、1999)。このマウスホモログはクローン化もされており(Soderling,S.ら、Proc.Natl.Acad.Sci.USA 96:7071~7076、1999)、ラットおよびヒト遺伝子両方のN末端スプライスバリアントが同定されている(Kotera,J.ら、Biochem.Biophys.Res.Comm.261:551~557、1999;Fujishige,K.ら、Eur.J.Biochem.266:1118~1127、1999)。種を超えて高度の相同性が存在する。マウスPDE10Aは、cAMPおよびcGMPの両方をそれぞれAMPおよびGMPに加水分解する779アミノ酸のタンパク質である。PDE10のcAMPに対する親和性(Km=0.05μM)は、cGMPに対する親和性(Km=3μM)より高い。しかしながら、VmaxはcAMPよりcGMPで約5倍大きいことから、PDE10がユニークなcAMP阻害cGMPアーゼであることが示唆されている(Fujishigeら、J.Biol.Chem.274:18438~18445、1999)。PDE10 is identified as a unique family based on primary amino acid sequence and specific enzyme activity. Homology screening of the EST database revealed mouse PDE10A as the first member of the PDE10 family of PDEs (Fujishige et al., J. Biol. Chem. 274: 18438-18445, 1999; Loughney, K. et al., Gene. 234: 109-117, 1999). This mouse homologue has also been cloned (Soderling, S. et al., Proc. Natl. Acad. Sci. USA 96: 7071-7076, 1999), and N-terminal splice variants of both rat and human genes have been identified. (Kotera, J. et al., Biochem. Biophys. Res. Comm. 261: 551-557, 1999; Fujishige, K. et al., Eur. J. Biochem. 266: 1118-1127, 1999). There is a high degree of homology across species. Mouse PDE10A is a 779 amino acid protein that hydrolyzes both cAMP and cGMP to AMP and GMP, respectively. The affinity of PDE10 for cAMP (Km = 0.05 μM) is higher than the affinity for cGMP (Km = 3 μM). However, Vmax is about 5 times greater in cGMP than cAMP, suggesting that PDE10 is a unique cAMP-inhibiting cGMPase (Fujishige et al., J. Biol. Chem. 274: 18438-18445, 1999).
 PDE10ファミリーのポリペプチドは、以前に同定されているPDEファミリーと比べて低い配列相同性を示し、他のPDEファミリーに特異的であることが知られているある種の阻害剤に非感受性であることが示されている。本明細書の一部として米国特許第6350603号が参照される。PDE10 family polypeptides exhibit low sequence homology compared to previously identified PDE families and are insensitive to certain inhibitors known to be specific for other PDE families It has been shown. Reference is made to US Pat. No. 6,350,603 as part of this specification.
 PDE10はまた、他のPDEファミリーと比べて、哺乳動物で独特に局在する。PDE10のmRNAは、精巣および脳だけで高度に発現する(Fujishige,K.ら、Eur J Biochem.266:1118~1127、1999;Soderling,S.ら、Proc.Natl.Acad.Sci.96:7071~7076、1999;Loughney,K.ら、Gene 234:109~117、1999)。これらの初期の研究は、脳内では、PDE10の発現が線条体(尾状核および被殻)、側坐核、および嗅結節でもっとも高いことを示している。より最近、PDE10mRNA(Seeger,T.F.ら、Abst.Soc.Neurosci.26:345.10、2000)、およびPDE10タンパク質(Menniti,F.S.、Stick,C.A.、Seeger,T.F.、およびRyan,A.M.、Immunohistochemical localization of PDE10 in the rat brain、William Harvey Research Conference「Phosphodiesterase in Health and Disease」、Porto、Portugal、2001年12月5日~7日)の齧歯類脳における発現パターンの詳細な分析が行われた。PDE10 is also uniquely localized in mammals compared to other PDE families. PDE10 mRNA is highly expressed only in the testis and brain (Fujishige, K. et al., Eur J Biochem. 266: 1118-1127, 1999; Soderling, S. et al., Proc. Natl. Acad. Sci. 96: 7071. ~ 7076, 1999; Loughney, K. et al., Gene 234: 109-117, 1999). These early studies show that in the brain, PDE10 expression is highest in the striatum (caudate nucleus and putamen), nucleus accumbens, and olfactory nodule. More recently, PDE10 mRNA (Seeeger, TF et al., Abst. Soc. Neurosci. 26: 345.10, 2000), and PDE10 protein (Menniti, FS, Stick, CA, Seeger, T. et al.). F., and Ryan, AM, Immunohistochemical localization of PDE10 in the brain brain, William Harvey Research Conference "Phosphosterase inPalse, P A detailed analysis of the expression pattern in the brain was performed.
 近年、PDE10阻害作用を有する化合物の研究が進められており、国際公開第2009/152825号パンフレット(特許文献1)、国際公開第2010/027097号パンフレット(特許文献2)、国際公開第2010/030027号パンフレット(特許文献3)、国際公開第2010/145668号パンフレット(特許文献4)、国際公開第2011/036127号パンフレット(特許文献5)、国際公開第2011/072694号パンフレット(特許文献6)、国際公開第2011/072695号パンフレット(特許文献7)、国際公開第2011/072696号パンフレット(特許文献8)、国際公開第2011/072697号パンフレット(特許文献9)、国際公開第2010/030027号パンフレット(特許文献10)、などが知られている。しかしながら、これらの特許文献には、本願発明に開示されるようなリンカーである-L1-L2-部位の両端に、含窒素縮合環並びに含窒素6員環が結合した化合物の開示はない。In recent years, research on compounds having a PDE10 inhibitory activity has been promoted, including International Publication No. 2009/152825 (Patent Document 1), International Publication No. 2010/027097 (Patent Document 2), International Publication No. 2010/030027. Pamphlet (patent document 3), international publication 2010/145668 pamphlet (patent document 4), international publication 2011/036127 pamphlet (patent document 5), international publication 2011/072694 pamphlet (patent document 6), International Publication No. 2011/072695 (Patent Document 7), International Publication No. 2011/072696 (Patent Document 8), International Publication No. 2011/072697 (Patent Document 9), International Publication No. 2010/030027 Pamphlet (Patent Document 10) is known. However, these patent documents do not disclose a compound in which a nitrogen-containing condensed ring and a nitrogen-containing 6-membered ring are bonded to both ends of the -L1-L2- site which is a linker as disclosed in the present invention.
国際公開第2009/152825号パンフレットInternational Publication No. 2009/152825 Pamphlet国際公開第2010/027097号パンフレットInternational Publication No. 2010/027097 Pamphlet国際公開第2010/030027号パンフレットInternational Publication No. 2010/030027 Pamphlet国際公開第2010/145668号パンフレットInternational Publication No. 2010/145668 Pamphlet国際公開第2011/036127号パンフレットInternational Publication No. 2011/036127 Pamphlet国際公開第2011/072694号パンフレットInternational Publication No. 2011/072694 Pamphlet国際公開第2010/072695号パンフレットInternational Publication No. 2010/072695 Pamphlet国際公開第2010/072696号パンフレットInternational Publication No. 2010/072696 Pamphlet国際公開第2011/072697号パンフレットInternational Publication No. 2011/072697 Pamphlet国際公開第2010/030027号パンフレットInternational Publication No. 2010/030027 Pamphlet
 精神性障害、特に統合失調症は、日常生活を極めて損なわせる深刻な精神疾患である。統合失調症の症状は2つの部分に分けられ得る。急性期では、陽性症状と呼ばれる幻覚及び妄想に支配される。興奮期が弱まると、いわゆる陰性症状が目立ってくる。これらは認知障害、社会恐怖、注意力の低下、無関心並びに言語学習及び言語記憶の障害、言語の流暢さ及び運動機能の障害を含む。
 いくつかの抗統合失調症薬が入手可能であるが、現行の統合失調症の療法は満足のいくものではない。古典的な中枢薬、例えばドーパミンD2受容体に対して高い親和性を有するハロペリドールは、極端な副作用、例えば錐体外路症状(=EPS)を示し、統合失調症の陰性症状を改善しないため、患者を日常生活に戻すことができない。
 クロザピンは、統合失調症の陽性、陰性及び認知症状を治療回復させるベンチマークとして現れたが、潜在性の致命的な副作用として顆粒球減少症を示す(Capuanoら、2002年)。その上、未だに多くの治療抵抗性の症例がある(Lindenmayerら、2002年)。
Psychiatric disorders, particularly schizophrenia, are serious mental illnesses that greatly impair everyday life. The symptoms of schizophrenia can be divided into two parts. In the acute phase, it is dominated by hallucinations and delusions called positive symptoms. When the excitement period weakens, so-called negative symptoms become conspicuous. These include cognitive impairment, social phobia, reduced attention, indifference and impaired language learning and memory, language fluency and impaired motor function.
Several anti-schizophrenic drugs are available, but current schizophrenic therapies are not satisfactory. Patients with classic central drugs such as haloperidol with high affinity for dopamine D2 receptor show extreme side effects such as extrapyramidal symptoms (= EPS) and do not improve negative symptoms of schizophrenia Can not return to daily life.
Clozapine has emerged as a benchmark to treat and recover positive, negative and cognitive symptoms of schizophrenia but shows granulocytopenia as a potential fatal side effect (Capuano et al., 2002). Moreover, there are still many treatment-resistant cases (Lindenmayer et al., 2002).
 結論として、統合失調症の陽性、陰性及び認知症状を回復させ、且つより望ましくは副作用の少ない新たな統合失調症治療薬の開発がなお求められている。
 また、医薬品開発においては、目的とする薬理活性のみでなく、吸収、分布、代謝、排泄等の各種の面で良好な特性を有することが要求される。例えば、薬物相互作用、薬物耐性、経口投与時の消化管吸収、小腸内への移行速度、吸収速度と初回通過効果、臓器バリアー、蛋白結合、薬物代謝酵素の誘導や阻害、排泄経路や体内クリアランス、適用方法(適用部位、方法、目的)等において種々の検討課題が要求され、これらを満たすものはなかなか見出されない。
In conclusion, there is still a need for the development of new schizophrenia treatments that restore the positive, negative and cognitive symptoms of schizophrenia and, more desirably, have fewer side effects.
In drug development, it is required to have good characteristics in various aspects such as absorption, distribution, metabolism, and excretion as well as the intended pharmacological activity. For example, drug interaction, drug resistance, gastrointestinal absorption after oral administration, transfer rate into the small intestine, absorption rate and first-pass effect, organ barrier, protein binding, induction and inhibition of drug metabolizing enzymes, excretion route and clearance in the body Various studies are required in the application method (application site, method, purpose) and the like, and it is difficult to find one that satisfies these.
 PDE10阻害剤についてもこれらの医薬品開発上の総合的課題は常にあり、いまだ上市されるには至っていない。より具体的には、PDE10阻害作用を有する化合物についても、例えば、溶解性がよくないこと、代謝安定性が低く経口投与による全身曝露が困難であること、吸収性や持続性等の薬物動態が良好ではないこと、あるいは不整脈を起こす危険性があるhERG(human ether-a-go-go related gene)チャネルの阻害活性を示すこと、薬物代謝酵素(例えば、シトクロムP450等)の誘導あるいは阻害活性を示すことや高い蛋白結合率を示すなど、有用性や安全性の課題がある。また臨床試験の段階で分かる課題もある。そしてこれらの問題を可能な限り多く解決し、且つ有効性の高い化合物を見出すことが求められているのである。As for PDE10 inhibitors, there are always comprehensive problems in the development of these drugs, and they have not yet been put on the market. More specifically, for compounds having PDE10 inhibitory activity, for example, poor solubility, low metabolic stability and difficulty in systemic exposure by oral administration, and pharmacokinetics such as absorption and persistence. Inhibiting activity of hERG (human ether-a-go-related gene) channels that are not good or may cause arrhythmia, inducing or inhibiting activity of drug metabolizing enzymes (eg, cytochrome P450) There are problems of usefulness and safety such as showing high protein binding rate. There are also issues that can be identified at the clinical trial stage. There is a need to solve these problems as much as possible and find highly effective compounds.
 本発明者らは、前記の課題を解決すべく、安全性が高く、及び/または有効性に優れたPDE10阻害剤を得るべく、鋭意研究を重ねてきた結果、式(I)、式(I-a)、式(I-1)、式(I-2)、式(I-3)、式(I-4)、式(I-5)等で表される当該アゾール構造を有する誘導体が、PDE10阻害作用を有することを見出した。本発明化合物は、優れたPDE10阻害作用を有し、強力な統合失調症様症状の改善作用を有する。In order to solve the above-mentioned problems, the present inventors have conducted extensive studies to obtain a PDE10 inhibitor that is highly safe and / or excellent in effectiveness. As a result, the formula (I) and the formula (I -A), a derivative having the azole structure represented by formula (I-1), formula (I-2), formula (I-3), formula (I-4), formula (I-5), etc. And PDE10 inhibitory action. The compound of the present invention has an excellent PDE10 inhibitory action and a strong ameliorating action for schizophrenia-like symptoms.
 本発明は、式(I)で表される当該アゾール構造を持つことを特徴とする化合物またはその塩またはそれらの溶媒和物、及び、該化合物またはそれらの製薬学的に許容されるその塩またはそれらの溶媒和物を有効成分として含有することを特徴とする医薬組成物である。
 本発明化合物は、PDE10阻害作用を有する化合物、またはPDE10を阻害することにより、線条体GABA神経のcAMPの分解を阻害する事で、神経発火を増加させ、線条体の活性化を促進する事で、統合失調症様の改善作用を有する。本発明化合物を有効成分として含有する医薬組成物は、経口投与可能であり、統合失調症の治療剤として期待される。
 また、本発明化合物群は、in vitro試験におけるPDE10阻害活性作用が強く、溶解性が良好であること、代謝安定性が高いこと、優れた経口吸収性をもつこと、優れた脳内移行性を有すること、あるいはhERGチャネルの阻害作用が少ないこと、in vivo試験において自発運動量抑制作用、などの少なくとも一つ以上の特徴も有することから有用性が高い。
The present invention relates to a compound having the azole structure represented by formula (I) or a salt thereof or a solvate thereof, and the compound or a pharmaceutically acceptable salt thereof. It is a pharmaceutical composition characterized by containing these solvates as active ingredients.
The compound of the present invention increases the nerve firing and promotes the activation of the striatum by inhibiting the cAMP degradation of the striatal GABA nerve by inhibiting the PDE10-inhibiting compound or PDE10 In other words, it has an ameliorating effect on schizophrenia. A pharmaceutical composition containing the compound of the present invention as an active ingredient can be administered orally and is expected as a therapeutic agent for schizophrenia.
In addition, the compound group of the present invention has a strong PDE10 inhibitory activity in an in vitro test, good solubility, high metabolic stability, excellent oral absorbability, and excellent brain migration. It has high usefulness because it has at least one characteristic such as having a hERG channel inhibitory action, an in vivo test, and a spontaneous momentum suppressing action.
 本発明は、以下の態様に示される式(I)で表される当該アゾール構造を持つことを特徴とする化合物またはその塩またはそれらの溶媒和物、及び、それらを有効成分として含有することを特徴とする医薬組成物、PDE10阻害剤である。
 
本発明は、次の態様[1]を含む。
[1]
 すなわち、下記式(I-a)
Figure JPOXMLDOC01-appb-C000021
(式中、
X1, X5はそれぞれ独立してCR3又はNを表し、R3は水素原子、ハロゲン、C1-6アルキル、又はOR6’ ’を表し、
L1及びL2は、それぞれ独立してC、CH2、CH、O、S、SO、SO2、NH、C(O)、又はNを表し、環Aを含むヘテロ縮合環と含窒素6員環との間にあるリンカー(-L1-L2-部位)は、
Figure JPOXMLDOC01-appb-C000022
として、-CH2-CH2-、-CH=CH-、-C≡C-、-O-CH2-、-CH2-O-、-NH-CH2-、-CH2-NH-、-N=CH-、-CH=N-、-S-CH2-、-CH2-S-、-SO-CH2-、-CH2-SO-、-SO2-CH2-、-CH2-SO2-、-C(O)NH-、又は-NHC(O)-を表し、
L1、L2のそれぞれにおけるCH, CH2はC1-6アルキル、C1-6ハロアルキル、C2-6アルケニル、オキソ、ヒドロキシ、C1-6アルコキシ、NR4’R5’で1-2個置換されていてもよく、二つのアルキル基が互いに結合して3-6員シクロ環を形成してもよく、又はハロゲンで1-4個置換されていてもよく、当該C1-6アルキルは更にヒドロキシ、オキソ、NR4’R5’で独立して1-3個置換されていてもよく、L1、L2のそれぞれにおけるNHはC1-6アルキルで置換されていてもよく、当該C1-6アルキルは更にオキソ、ヒドロキシで1-2個置換されていてもよく、The present invention includes a compound having the azole structure represented by the formula (I) represented by the following embodiment or a salt thereof or a solvate thereof, and containing them as an active ingredient. A pharmaceutical composition characterized by a PDE10 inhibitor.

The present invention includes the following embodiment [1].
[1]
That is, the following formula (Ia)
Figure JPOXMLDOC01-appb-C000021
(Where
X1, X5 each independently represent CR3 or N, R3 represents a hydrogen atom, halogen, C1-6 alkyl, or OR6 ′ ′,
L1 and L2 each independently represent C, CH2, CH, O, S, SO, SO2, NH2, C (O), or N, and a hetero condensed ring containing ring A and a nitrogen-containing 6-membered ring The linker in between (-L1-L2-site)
Figure JPOXMLDOC01-appb-C000022
-CH2-CH2-, -CH = CH-, -C≡C-, -O-CH2-, -CH2-O-, -NH-CH2-, -CH2-NH-, -N = CH-, -CH = N-, -S-CH2-, -CH2-S-, -SO-CH2-, -CH2-SO-, -SO2-CH2-, -CH2-SO2-, -C (O) NH-, Or -NHC (O)-
CH and CH2 in each of L1 and L2 may be substituted with 1-2 by C1-6 alkyl, C1-6 haloalkyl, C2-6 alkenyl, oxo, hydroxy, C1-6 alkoxy, NR4′R5 ′, Two alkyl groups may be bonded to each other to form a 3-6 membered cyclocycle, or may be substituted with 1-4 halogen atoms, and the C1-6 alkyl may be further substituted with hydroxy, oxo, NR4'R5 1 to 3 may be independently substituted with ', and NH in each of L1 and L2 may be substituted with C1-6 alkyl, and the C1-6 alkyl is further substituted with oxo and hydroxy with 1-2 May be replaced,
或いは以下に示すシクロプロパン環若しくはシクロブタン環を形成してもよく、
当該シクロプロパン環又はシクロブタン環はハロゲン原子又はC1-6アルキルで1-2個置換されていてもよく、
Figure JPOXMLDOC01-appb-C000023
Figure JPOXMLDOC01-appb-C000024
Figure JPOXMLDOC01-appb-C000025
 R1は、水素原子、ハロゲン、シアノ、フェニル、フェニルC1-6アルキル、5-6員ヘテロアリール、5-6員ヘテロアリールC1-6アルキル、3-6員脂肪族環、1-2個の炭素原子で架橋されていてもよい4-10員ヘテロ脂肪族環、C1-6アルキル、C1-6アルキルスルホニル、C1-6アルコキシ、NR4R5、OR6、COR7、又はCONR8R9を表し、
Alternatively, the following cyclopropane ring or cyclobutane ring may be formed,
The cyclopropane ring or cyclobutane ring may be substituted with 1-2 halogen atoms or C1-6 alkyl,
Figure JPOXMLDOC01-appb-C000023
Figure JPOXMLDOC01-appb-C000024
Figure JPOXMLDOC01-appb-C000025
R1 is a hydrogen atom, halogen, cyano, phenyl, phenyl C1-6 alkyl, 5-6 membered heteroaryl, 5-6 membered heteroaryl C1-6 alkyl, 3-6 membered aliphatic ring, 1-2 carbons Represents a 4-10 membered heteroaliphatic ring optionally bridged by atoms, C1-6 alkyl, C1-6 alkylsulfonyl, C1-6 alkoxy, NR4R5, OR6, COR7, or CONR8R9;
R1における当該フェニル、フェニルC1-6アルキル、5-6員ヘテロアリール、5-6員ヘテロアリールC1-6アルキル、3-6員脂肪族環、1-2個の炭素原子で架橋されていてもよい4-10員ヘテロ脂肪族環、における各環はそれぞれハロゲン、C1-6アルキル、C1-6ハロアルキル、シアノ、ヒドロキシ、C1-6アルコキシカルボニル、NR4’R5’、C1-6アルキルスルホニル、C1-6アルコキシC1-6アルキル、C2-6アルカノイル、COR7、CONR8R9又はC1-6アルコキシで独立して1-2個置換されていてもよく、当該各環は置換可能であればオキソで1-2個置換されていてもよく、
R1における、1-2個の炭素原子で架橋されていてもよい4-10員ヘテロ脂肪族環は、更に3-6員脂肪族環又は含酸素4-6員脂肪族環と共に全体として構成員数が7-12員のスピロ環を形成してもよく、当該スピロ環はハロゲン又はC1-6アルキルで1-2個置換されていてもよく、
R1 may be bridged with phenyl, phenyl C1-6 alkyl, 5-6 membered heteroaryl, 5-6 membered heteroaryl C1-6 alkyl, 3-6 membered aliphatic ring, 1-2 carbon atoms Each ring in a good 4-10 membered heteroaliphatic ring is halogen, C1-6 alkyl, C1-6 haloalkyl, cyano, hydroxy, C1-6 alkoxycarbonyl, NR4'R5 ', C1-6 alkylsulfonyl, C1- 6 alkoxy C1-6 alkyl, C2-6 alkanoyl, COR7, CONR8R9 or C1-6 alkoxy may be independently substituted with 1-2, each ring being substituted with 1-2 oxo May be replaced,
The 4- to 10-membered heteroaliphatic ring which may be bridged with 1 to 2 carbon atoms in R1 is further composed of a total of 3 to 6-membered aliphatic rings or oxygen-containing 4 to 6-membered aliphatic rings. May form a 7-12 membered spiro ring, which may be substituted with 1-2 halogens or C1-6 alkyl,
R1における当該C1-6アルキル、C1-6アルキルスルホニル、C1-6アルコキシの各アルキル部位は更にハロゲン、オキソ、ヒドロキシ、フェニル、C1-6アルコキシ、-NR4’R5’でそれぞれ独立して1-3個置換されていてもよくEach alkyl part of the C1-6 alkyl, C1-6 alkylsulfonyl, and C1-6 alkoxy in R1 is further independently 1-3 of halogen, oxo, hydroxy, phenyl, C1-6 alkoxy, and —NR4′R5 ′. May be replaced
R1における当該NR4R5におけるR4及びR5は、それぞれ独立して水素原子、フェニル、フェニルC1-6アルキル、5-6員ヘテロアリール、縮環式のヘテロアリール、5-6員ヘテロアリールC1-6アルキル、4-6員ヘテロ脂肪族環、3-6員脂肪族環、C1-6アルキル、C1-6アルコキシC1-6アルキル、C1-6アルコキシ、又はC1-6アルキルスルホニルを表し、
当該R4又はR5におけるフェニル、5-6員ヘテロアリール、縮環式のヘテロアリール、4-6員ヘテロ脂肪族環、3-6員脂肪族環、フェニルC1-6アルキル、5-6員ヘテロアリールC1-6アルキルにおける各環はハロゲン、シアノ、ヒドロキシ、NR4’R5’、C1-6アルキル、C1-6アルキルスルホニル、ヒドロキシC1-6アルキル、C1-6アルコキシC1-6アルキル、又はC1-6アルコキシで独立して1-3個置換されていてもよく、当該各環は置換可能であればオキソで1-2個置換されていてもよく、各環における当該C1-6アルキル、C1-6アルキルスルホニル又はC1-6アルコキシは更にハロゲン、オキソ、ヒドロキシ、C1-6アルコキシ、-NR4’R5’でそれぞれ独立して1-3個置換されていてもよく、
当該R4又はR5におけるC1-6アルキル、C1-6アルキルスルホニル、C1-6アルコキシC1-6アルキル、又はC1-6アルコキシの各アルキル部位はそれぞれ更にハロゲン、オキソ、シアノ、ヒドロキシ、C1-6アルキル、C1-6アルコキシ、フェニル、C1-6アルキルアミノカルボニル、-NR4’R5’、4-10員ヘテロ脂肪族環、又は5-6員ヘテロアリールでそれぞれ独立して1-3個置換されていてもよく、
R4又はR5における当該C1-6アルキルにおいて、ジェミナル位置にある二つのアルキル基やアルコキシ基が置換されている場合には、これらが互いに結合して3-6員シクロ環又は4-10員ヘテロ脂肪族環を形成してもよく、
ただしR1におけるR4及びR5は同時に水素原子ではなく、
R4 and R5 in NR4R5 in R1 are each independently a hydrogen atom, phenyl, phenyl C1-6 alkyl, 5-6 membered heteroaryl, condensed heteroaryl, 5-6 membered heteroaryl C1-6 alkyl, 4-6 membered heteroaliphatic ring, 3-6 membered aliphatic ring, C1-6 alkyl, C1-6 alkoxy, C1-6 alkyl, C1-6 alkoxy, or C1-6 alkylsulfonyl,
Phenyl, 5-6 membered heteroaryl, condensed heteroaryl, 4-6 membered heteroaliphatic ring, 3-6 membered aliphatic ring, phenyl C1-6 alkyl, 5-6 membered heteroaryl in the R4 or R5 Each ring in C1-6 alkyl is halogen, cyano, hydroxy, NR4'R5 ', C1-6 alkyl, C1-6 alkylsulfonyl, hydroxy C1-6 alkyl, C1-6 alkoxy C1-6 alkyl, or C1-6 alkoxy 1 to 3 may be independently substituted with each other, and each ring may be substituted with 1 to 2 oxo groups if possible, and the C1-6 alkyl and C1-6 alkyl in each ring may be substituted. The sulfonyl or C1-6 alkoxy may be further independently substituted with 1-3 of halogen, oxo, hydroxy, C1-6 alkoxy, —NR4′R5 ′,
Each alkyl part of C1-6 alkyl, C1-6 alkylsulfonyl, C1-6 alkoxy C1-6 alkyl, or C1-6 alkoxy in R4 or R5 is further halogen, oxo, cyano, hydroxy, C1-6 alkyl, C1-6 alkoxy, phenyl, C1-6 alkylaminocarbonyl, -NR4'R5 ', 4-10 membered heteroaliphatic ring, or 5-6 membered heteroaryl, each independently 1-3 substituted Often,
In the C1-6 alkyl in R4 or R5, when two alkyl groups or alkoxy groups at the geminal position are substituted, these are bonded to each other to form a 3-6 membered cyclocycle or a 4-10 membered heterofatty acid. May form a family ring,
However, R4 and R5 in R1 are not hydrogen atoms at the same time,
R1における当該OR6におけるR6は、フェニル、5-6員ヘテロアリール、4-6員ヘテロ脂肪族環、3-6員脂肪族環、C1-6アルキル、又は水素原子を表し、
R6における当該フェニル、4-6員ヘテロ脂肪族環、5-6員ヘテロアリール、3-6員脂肪族環はハロゲン、ヒドロキシ、NR4’R5’、C1-6アルキル、C1-6アルキルスルホニル又はC1-6アルコキシで独立して1-2個置換されていてもよく、当該各環は置換可能であればオキソで1-2個置換されていてもよく、各環における当該C1-6アルキル、C1-6アルキルスルホニル又はC1-6アルコキシは更にハロゲン、オキソ、ヒドロキシ、C1-6アルコキシ、-NR4’R5’でそれぞれ独立して1-3個置換されていてもよく、
OR6における当該C1-6アルキルは、更にハロゲン、オキソ、ヒドロキシ、C1-6アルコキシ、フェニル、5-6員ヘテロアリール、-NR4’R5’でそれぞれ独立して1-3個置換されていてもよく、
R1における当該OR6におけるC1-6アルキルにおける、当該フェニル、5-6員ヘテロアリールは、それぞれヒドロキシ、C1-6アルコキシでそれぞれ独立して1-3個置換されていてもよく、
R6 in the OR6 in R1 represents phenyl, 5-6 membered heteroaryl, 4-6 membered heteroaliphatic ring, 3-6 membered aliphatic ring, C1-6 alkyl, or a hydrogen atom,
The phenyl in R6, 4-6 membered heteroaliphatic ring, 5-6 membered heteroaryl, 3-6 membered aliphatic ring is halogen, hydroxy, NR4'R5 ', C1-6 alkyl, C1-6 alkylsulfonyl or C1 -6 alkoxy may be independently substituted with 1-2, and each ring may be substituted with 1-2 oxo if possible, and the C1-6 alkyl, C1 -6 alkylsulfonyl or C1-6 alkoxy may be further independently substituted with 1-3 of halogen, oxo, hydroxy, C1-6 alkoxy, -NR4'R5 ',
The C1-6 alkyl in OR6 may be further independently substituted with halogen, oxo, hydroxy, C1-6 alkoxy, phenyl, 5-6 membered heteroaryl, or —NR4′R5 ′, each independently. ,
In the C1-6 alkyl in the OR6 in R1, the phenyl and the 5-6 membered heteroaryl may be independently substituted with 1-3 of hydroxy and C1-6 alkoxy, respectively.
R1およびR1における前記各環における当該COR7におけるR7は、フェニル、4-6員ヘテロ脂肪族環、5-6員ヘテロアリール、3-6員脂肪族環、C1-6アルキル、C1-6アルコキシ、又はヒドロキシを表し、
R7における当該フェニル、4-6員ヘテロ脂肪族環、5-6員ヘテロアリール、3-6員脂肪族環はハロゲン、オキソ、ヒドロキシ、NR4’R5’、C1-6アルキル、C1-6アルキルスルホニル又はC1-6アルコキシで独立して1-2個置換されていてもよく、各環における当該C1-6アルキル、C1-6アルキルスルホニル又はC1-6アルコキシは更にハロゲン、オキソ、ヒドロキシ、C1-6アルコキシ、-NR4’R5’でそれぞれ独立して1-3個置換されていてもよく、
R7 in the COR7 in each ring in R1 and R1 is phenyl, 4-6 membered heteroaliphatic ring, 5-6 membered heteroaryl, 3-6 membered aliphatic ring, C1-6 alkyl, C1-6 alkoxy, Or represents hydroxy,
The phenyl in R7, 4-6 membered heteroaliphatic ring, 5-6 membered heteroaryl, 3-6 membered aliphatic ring is halogen, oxo, hydroxy, NR4'R5 ', C1-6 alkyl, C1-6 alkylsulfonyl Or C1-6 alkoxy may be independently substituted by 1-2, and the C1-6 alkyl, C1-6 alkylsulfonyl or C1-6 alkoxy in each ring is further halogen, oxo, hydroxy, C1-6 Each may be independently substituted with 1-3 of alkoxy and -NR4'R5 ',
R1およびR1における前記各環における当該CONR8R9におけるR8、R9は、それぞれ独立して水素原子、フェニル、5-6員ヘテロアリール、4-6員ヘテロ脂肪族環、C1-6アルキル、又はC1-6アルキルスルホニルを表し、
R8、R9における当該フェニル、5-6員ヘテロアリール、4-6員ヘテロ脂肪族環、はハロゲン、C1-6アルキル、ヒドロキシ、NR4’R5’、C1-6アルキルスルホニル又はC1-6アルコキシで独立して1-2個置換されていてもよく、当該各環は置換可能であればオキソで1-2個置換されていてもよく、
R8、R9におけるC1-6アルキル、C1-6アルキルスルホニルは更にハロゲン、オキソ、ヒドロキシ、C1-6アルコキシ、-NR4’R5’でそれぞれ独立して1-3個置換されていてもよく、
R8 and R9 in CONR8R9 in each ring in R1 and R1 are each independently a hydrogen atom, phenyl, 5-6 membered heteroaryl, 4-6 membered heteroaliphatic ring, C1-6 alkyl, or C1-6 Represents alkylsulfonyl,
The phenyl, 5-6 membered heteroaryl, 4-6 membered heteroaliphatic ring in R8 and R9 are independently halogen, C1-6 alkyl, hydroxy, NR4′R5 ′, C1-6 alkylsulfonyl or C1-6 alkoxy. And each ring may be substituted with 1-2 oxo groups if possible,
C1-6 alkyl and C1-6 alkylsulfonyl in R8 and R9 may be further independently substituted with 1-3 of halogen, oxo, hydroxy, C1-6 alkoxy, and —NR4′R5 ′,
R2は4-7員ヘテロ脂肪族環、5-6員ヘテロアリール、フェニル、NR4’ ’R5’ ’、又はOR6’、を表し、
R2における4-7員ヘテロ脂肪族環、5-6員ヘテロアリール、フェニルの各環はハロゲン、シアノ、ヒドロキシ、C1-6アルコキシ、NR4’R5’、COR7’、C1-6アルキル、C1-6アルキルスルホニルで1-2個置換されていてもよく、当該各環は置換可能であればオキソで1-2個置換されていてもよく、
R2の各環におけるCOR7’におけるR7’は、フェニル、4-6員ヘテロ脂肪族環、C1-6アルキル、C1-6アルコキシ、又はヒドロキシを表し、R2の各環における当該C1-6アルコキシ、C1-6アルキルは更にハロゲン、ヒドロキシ、シアノ、オキソ、C1-6アルコキシで1-3個置換されていてもよく、
R2 represents a 4-7 membered heteroaliphatic ring, 5-6 membered heteroaryl, phenyl, NR4 '' R5 '', or OR6 ',
Each ring of 4-7 membered heteroaliphatic ring, 5-6 membered heteroaryl and phenyl in R2 is halogen, cyano, hydroxy, C1-6 alkoxy, NR4'R5 ', COR7', C1-6 alkyl, C1-6 1-2 may be substituted with alkylsulfonyl, and each ring may be substituted with 1-2 oxo if possible,
R7 ′ in COR7 ′ in each ring of R2 represents phenyl, 4-6 membered heteroaliphatic ring, C1-6 alkyl, C1-6 alkoxy, or hydroxy, and the C1-6 alkoxy in each ring of R2, C1 -6 alkyl may be further substituted 1-3 by halogen, hydroxy, cyano, oxo, C1-6 alkoxy,
R2における当該NR4’ ’R5’ ’におけるR4’ ’及びR5’ ’は、それぞれ独立して水素原子、フェニル、5-6員ヘテロアリール、4-6員ヘテロ脂肪族環、3-6員脂肪族環、C1-6アルキル、又はC1-6アルキルスルホニルを表し、
当該R4’ ’又はR5’ ’におけるフェニル、5-6員ヘテロアリール、4-6員ヘテロ脂肪族環、3-6員脂肪族環はハロゲン、ヒドロキシ、NR4’R5’、C1-6アルキル、C1-6アルキルスルホニル又はC1-6アルコキシで独立して1-2個置換されていてもよく、当該各環は置換可能であればオキソで1-2個置換されていてもよく、
当該C1-6アルキル、C1-6アルキルスルホニル、又はC1-6アルコキシは更にハロゲン、オキソ、ヒドロキシ、C1-6アルコキシ、-NR4’R5’でそれぞれ独立して1-3個置換されていてもよく、
当該R4’ ’又はR5’ ’におけるC1-6アルキル、C1-6アルキルスルホニル、又はC1-6アルコキシはそれぞれ更にハロゲン、オキソ、ヒドロキシ、C1-6アルコキシ、-NR4’R5’でそれぞれ独立して1-3個置換されていてもよく、
ただしR2におけるR4’ ’及びR5’ ’は同時に水素原子ではなく、
R4 ′ ′ and R5 ′ ′ in NR4′′R5 ′ ′ in R2 are each independently a hydrogen atom, phenyl, 5-6 membered heteroaryl, 4-6 membered heteroaliphatic ring, 3-6 membered aliphatic Represents a ring, C1-6 alkyl, or C1-6 alkylsulfonyl;
In the R4 ′ ′ or R5 ′ ′, phenyl, 5-6 membered heteroaryl, 4-6 membered heteroaliphatic ring, 3-6 membered aliphatic ring is halogen, hydroxy, NR4′R5 ′, C1-6 alkyl, C1 -6 alkylsulfonyl or C1-6 alkoxy may be independently substituted with 1-2, and each ring may be substituted with oxo if it can be substituted,
The C1-6 alkyl, C1-6 alkylsulfonyl, or C1-6 alkoxy may be further independently substituted with 1-3 of halogen, oxo, hydroxy, C1-6 alkoxy, and —NR4′R5 ′. ,
C1-6 alkyl, C1-6 alkylsulfonyl, or C1-6 alkoxy in the R4 ′ ′ or R5 ′ ′ is independently independently halogen, oxo, hydroxy, C1-6 alkoxy, or —NR4′R5 ′. -3 may be replaced,
However, R4 ′ ′ and R5 ′ ′ in R2 are not hydrogen atoms at the same time,
R2における当該OR6’におけるR6’はフェニル、5-6員ヘテロアリール、4-6員ヘテロ脂肪族環、又は3-6員脂肪族環を表し、
R2におけるR6’における当該フェニル、5-6員ヘテロアリール、4-6員ヘテロ脂肪族環、3-6員脂肪族環の各環はハロゲン、ヒドロキシ、NR4’R5’、C1-6アルキル、C1-6アルキルスルホニル又はC1-6アルコキシで独立して1-2個置換されていてもよく、当該各環は置換可能であればオキソで1-2個置換されていてもよく、
各環における当該C1-6アルキル、C1-6アルキルスルホニル又はC1-6アルコキシは更にハロゲン、オキソ、ヒドロキシ、C1-6アルコキシ、-NR4’R5’でそれぞれ独立して1-3個置換されていてもよく、
R3における当該OR6’’におけるR6’’は、フェニル、5-6員ヘテロアリール、縮環式のヘテロアリール、4-6員ヘテロ脂肪族環、3-6員脂肪族環、C1-6アルキル、C2-6アルカノイル、又は水素原子を表し、
R6’’における当該フェニル、4-6員ヘテロ脂肪族環、5-6員ヘテロアリール、縮環式のヘテロアリール、3-6員脂肪族環はハロゲン、ヒドロキシ、NR4’R5’、C1-6アルキル、C1-6アルキルスルホニル又はC1-6アルコキシで独立して1-2個置換されていてもよく、当該各環は置換可能であればオキソで1-2個置換されていてもよく、各環における当該C1-6アルキル、C1-6アルキルスルホニル又はC1-6アルコキシは更にハロゲン、オキソ、ヒドロキシ、C1-6アルコキシ、-NR4’R5’でそれぞれ独立して1-3個置換されていてもよく、
R6’’における当該C1-6アルキル、又はC2-6アルカノイルの各置換基は、更にハロゲン、オキソ、ヒドロキシ、C1-6アルコキシ、フェニル、5-6員ヘテロアリール、-NR4’R5’でそれぞれ独立して1-3個置換されていてもよく、
R6’ ’におけるC1-6アルキル又はC2-6アルカノイルの各置換基における、当該フェニル、5-6員ヘテロアリールは、それぞれヒドロキシ、C1-6アルコキシでそれぞれ独立して1-3個置換されていてもよく、
R6 ′ in the OR6 ′ in R2 represents phenyl, 5-6 membered heteroaryl, 4-6 membered heteroaliphatic ring, or 3-6 membered aliphatic ring,
Each of the phenyl, 5-6 membered heteroaryl, 4-6 membered heteroaliphatic ring, 3-6 membered aliphatic ring in R6 ′ in R2 is halogen, hydroxy, NR4′R5 ′, C1-6 alkyl, C1 -6 alkylsulfonyl or C1-6 alkoxy may be independently substituted with 1-2, and each ring may be substituted with oxo if it can be substituted,
The C1-6 alkyl, C1-6 alkylsulfonyl or C1-6 alkoxy in each ring is further independently substituted with 1-3 of halogen, oxo, hydroxy, C1-6 alkoxy, and —NR4′R5 ′. Well,
R6 '' in the OR6 '' in R3 is phenyl, 5-6 membered heteroaryl, condensed heteroaryl, 4-6 membered heteroaliphatic ring, 3-6 membered aliphatic ring, C1-6 alkyl, C2-6 represents an alkanoyl or hydrogen atom,
The phenyl in R6 '', 4-6 membered heteroaliphatic ring, 5-6 membered heteroaryl, condensed heteroaryl, 3-6 membered aliphatic ring is halogen, hydroxy, NR4'R5 ', C1-6 It may be independently substituted with 1-2 alkyl, C1-6 alkylsulfonyl, or C1-6 alkoxy, and each ring may be substituted with 1-2 oxo if it can be substituted. The C1-6 alkyl, C1-6 alkylsulfonyl or C1-6 alkoxy in the ring may be further independently substituted with 1-3 of halogen, oxo, hydroxy, C1-6 alkoxy, or —NR4′R5 ′. Often,
Each substituent of the C1-6 alkyl or C2-6 alkanoyl in R6 '' is further independently halogen, oxo, hydroxy, C1-6 alkoxy, phenyl, 5-6 membered heteroaryl, -NR4'R5 ' 1-3 may be substituted,
In each substituent of C1-6 alkyl or C2-6 alkanoyl in R6 ′ ′, the phenyl and 5-6-membered heteroaryl are each independently substituted with 1-3 of hydroxy and C1-6 alkoxy. Well,
 環Aを含むヘテロ縮合環においてX2、X3及びX4はそれぞれ独立してC, CH、NH又はNを表し、当該縮合環は以下からなる群より選択され、
Figure JPOXMLDOC01-appb-C000026
それぞれにおける6員環A部位、又は隣接する含窒素5員環はC1-6アルキル、C2-6アルケニル、ハロゲン、シアノ、C1-6ハロアルキル、-NR4’R5’、C1-6アルコキシで1-3個置換されていてもよく、
X2, X3 and X4 in the hetero condensed ring containing ring A each independently represent C, CH, NH or N, and the condensed ring is selected from the group consisting of:
Figure JPOXMLDOC01-appb-C000026
6-membered ring A site in each, or adjacent nitrogen-containing 5-membered ring is 1-3 by C1-6 alkyl, C2-6 alkenyl, halogen, cyano, C1-6 haloalkyl, -NR4'R5 ', C1-6 alkoxy May be replaced,
以上におけるNR4’R5’におけるR4’及びR5’は、それぞれ独立して水素原子、C1-6アルキル、4-6員ヘテロ脂肪族環を表す。)
で表される化合物、または薬学的に許容できるその塩またはそれらの溶媒和物を含有するPDE10阻害剤。
 尚、式(I-a)中のX1、X2、X3、X4、X5、L1、 L2、環Aを含むヘテロ縮合環、R1~R10などの好ましい例は、以下の式(I)などで説明する本願発明の好ましい例と同様である。本願発明の好ましい態様は、例えば以下のように表現される。
[1-1]
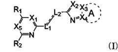
 下記式(I)
Figure JPOXMLDOC01-appb-C000027
(式中、
X1, X5はそれぞれ独立してはCR3又はNを表し、R3は水素原子、ハロゲン、C1-6アルキル、又はOR6’ ’を表し、
L1及びL2は、それぞれ独立してC、CH2、CH、O、S、SO、SO2、NH、C(O)、又はNを表し、環Aを含むヘテロ縮合環と含窒素6員環との間にあるリンカー(-L1-L2-部位)は、
Figure JPOXMLDOC01-appb-C000028
として、-CH2-CH2-、-CH=CH-、-C≡C-、-O-CH2-、-CH2-O-、-NH-CH2-、-CH2-NH-、-N=CH-、-CH=N-、-S-CH2-、-CH2-S-、-SO-CH2-、-CH2-SO-、-SO2-CH2-、-CH2-SO2-、-C(O)NH-、又は-NHC(O)-を表し、
L1、L2のそれぞれにおけるCH, CH2はC1-6アルキル、C1-6ハロアルキル、C2-6アルケニル、オキソ、ヒドロキシ、C1-6アルコキシ、NR4’R5’で1-2個置換されていてもよく、二つのアルキル基が互いに結合して3-6員シクロ環を形成してもよく、又はハロゲンで1-4個置換されていてもよく、当該C1-6アルキルは更にヒドロキシ、オキソ、NR4’R5’で独立して1-3個置換されていてもよく、L1、L2のそれぞれにおけるNHはC1-6アルキルで置換されていてもよく、当該C1-6アルキルは更にオキソ、ヒドロキシで1-2個置換されていてもよく、
In the above, R4 ′ and R5 ′ in NR4′R5 ′ each independently represent a hydrogen atom, C1-6 alkyl, or a 4-6 membered heteroaliphatic ring. )
Or a pharmaceutically acceptable salt or solvate thereof, a PDE10 inhibitor.
In the formula (Ia), preferred examples of X1, X2, X3, X4, X5, L1, L2, hetero condensed ring containing ring A, R1 to R10 and the like are described in the following formula (I) and the like. This is the same as the preferred example of the present invention. A preferred embodiment of the present invention is expressed as follows, for example.
[1-1]
Formula (I)
Figure JPOXMLDOC01-appb-C000027
(Where
X1, X5 each independently represent CR3 or N, R3 represents a hydrogen atom, halogen, C1-6 alkyl, or OR6 ′ ′,
L1 and L2 each independently represent C, CH2, CH, O, S, SO, SO2, NH2, C (O), or N, and a hetero condensed ring containing ring A and a nitrogen-containing 6-membered ring The linker in between (-L1-L2-site)
Figure JPOXMLDOC01-appb-C000028
-CH2-CH2-, -CH = CH-, -C≡C-, -O-CH2-, -CH2-O-, -NH-CH2-, -CH2-NH-, -N = CH-, -CH = N-, -S-CH2-, -CH2-S-, -SO-CH2-, -CH2-SO-, -SO2-CH2-, -CH2-SO2-, -C (O) NH-, Or -NHC (O)-
CH and CH2 in each of L1 and L2 may be substituted with 1-2 by C1-6 alkyl, C1-6 haloalkyl, C2-6 alkenyl, oxo, hydroxy, C1-6 alkoxy, NR4′R5 ′, Two alkyl groups may be bonded to each other to form a 3-6 membered cyclocycle, or may be substituted with 1-4 halogen atoms, and the C1-6 alkyl may be further substituted with hydroxy, oxo, NR4'R5 1 to 3 may be independently substituted with ', and NH in each of L1 and L2 may be substituted with C1-6 alkyl, and the C1-6 alkyl is further substituted with oxo and hydroxy with 1-2 May be replaced,
或いは以下に示すシクロプロパン環若しくはシクロブタン環を形成してもよく、
当該シクロプロパン環又はシクロブタン環はハロゲン原子又はC1-6アルキルで1-2個置換されていてもよく、
Figure JPOXMLDOC01-appb-C000029
Figure JPOXMLDOC01-appb-C000030
Figure JPOXMLDOC01-appb-C000031
Alternatively, the following cyclopropane ring or cyclobutane ring may be formed,
The cyclopropane ring or cyclobutane ring may be substituted with 1-2 halogen atoms or C1-6 alkyl,
Figure JPOXMLDOC01-appb-C000029
Figure JPOXMLDOC01-appb-C000030
Figure JPOXMLDOC01-appb-C000031
好ましくは、
Figure JPOXMLDOC01-appb-C000032
として、-CH2-CH2-、-CH=CH-、-C≡C-、-O-CH2-、-NH-CH2-、-N=CH-、-CH=N-、-S-CH2-、又は- CH2-S-を表し、
L1、L2のそれぞれにおけるCH, CH2はC1-6アルキル、C1-6ハロアルキル、C2-6アルケニル、オキソ、ヒドロキシ、C1-6アルコキシ、NR4’R5’で1-2個置換されていてもよく、二つのアルキル基が互いに結合して3-6員シクロ環を形成してもよく、又はハロゲンで1-4個置換されていてもよく、
或いは以下に示すシクロプロパン環若しくはシクロブタン環を形成してもよく、
当該シクロプロパン環又はシクロブタン環はハロゲン原子又はC1-6アルキルで1-2個置換されていてもよく、
Figure JPOXMLDOC01-appb-C000033
Figure JPOXMLDOC01-appb-C000034
Figure JPOXMLDOC01-appb-C000035
あるいは、好ましくは、
Figure JPOXMLDOC01-appb-C000036
として、-CH2-CH2-、-CH=CH-、-O-CH2-、-CH2-O-、-NH-CH2-、-CH2-NH-、-N=CH-、-CH=N-、-S-CH2-、-CH2-S-、-SO-CH2-、-CH2-SO-、-SO2-CH2-、又は-CH2-SO2-を表し、或いはシクロプロパン環若しくはシクロブタン環を形成してもよく、
L1、L2のそれぞれにおけるCH, CH2はC1-6アルキル、C1-6ハロアルキル、C1-6アルケニル、オキソ、ヒドロキシ、ハロゲン、NR4’R5’で1-2個置換されていてもよく、当該C1-6アルキルは更にヒドロキシ、オキソ、NR4’R5’で独立して1-3個置換されていてもよく、L1、L2のそれぞれにおけるNHはC1-6アルキルで置換されていてもよく、当該C1-6アルキルは更にオキソ、ヒドロキシで1-2個置換されていてもよく、
Preferably,
Figure JPOXMLDOC01-appb-C000032
-CH2-CH2-, -CH = CH-, -C≡C-, -O-CH2-, -NH-CH2-, -N = CH-, -CH = N-, -S-CH2-, Or -CH2-S-
CH and CH2 in each of L1 and L2 may be substituted with 1-2 by C1-6 alkyl, C1-6 haloalkyl, C2-6 alkenyl, oxo, hydroxy, C1-6 alkoxy, NR4′R5 ′, Two alkyl groups may be bonded to each other to form a 3-6 membered cyclo ring, or may be substituted with 1-4 halogen atoms;
Alternatively, the following cyclopropane ring or cyclobutane ring may be formed,
The cyclopropane ring or cyclobutane ring may be substituted with 1-2 halogen atoms or C1-6 alkyl,
Figure JPOXMLDOC01-appb-C000033
Figure JPOXMLDOC01-appb-C000034
Figure JPOXMLDOC01-appb-C000035
Alternatively, preferably
Figure JPOXMLDOC01-appb-C000036
-CH2-CH2-, -CH = CH-, -O-CH2-, -CH2-O-, -NH-CH2-, -CH2-NH-, -N = CH-, -CH = N-, -S-CH2-, -CH2-S-, -SO-CH2-, -CH2-SO-, -SO2-CH2-, or -CH2-SO2-, or forming a cyclopropane ring or a cyclobutane ring Well,
CH1 and CH2 in each of L1 and L2 may be substituted by C1-6 alkyl, C1-6 haloalkyl, C1-6 alkenyl, oxo, hydroxy, halogen, or NR4′R5 ′, and the C1- 6 alkyl may further be independently substituted with 1-3 hydroxy, oxo, NR4′R5 ′, NH in each of L1, L2 may be substituted with C1-6 alkyl, the C1- 6 alkyl may be further substituted with 1-2 oxo, hydroxy,
より好ましくは、
Figure JPOXMLDOC01-appb-C000037
として、-CH2-CH2-、-CH=CH-、-O-CH2-、又は-NH-CH2-、を表し、-CH=CH-は好ましくはE体を表し、
L1、L2のそれぞれにおけるCH, CH2はC1-6アルキル、C1-6ハロアルキル、オキソ、ヒドロキシ、C1-6アルコキシ、で1-2個置換されていてもよく、二つのアルキル基が互いに結合して3-6員シクロ環を形成してもよく、又はハロゲンで1-4個置換されていてもよく、
或いは以下に示すシクロプロパン環を形成してもよく、
当該シクロプロパン環はハロゲン原子で1-2個置換されていてもよく、
Figure JPOXMLDOC01-appb-C000038
More preferably,
Figure JPOXMLDOC01-appb-C000037
-CH2-CH2-, -CH = CH-, -O-CH2-, or -NH-CH2-, -CH = CH- preferably represents E-form,
CH1 and CH2 in each of L1 and L2 may be substituted with 1 to 2 of C1-6 alkyl, C1-6 haloalkyl, oxo, hydroxy, C1-6 alkoxy, and two alkyl groups are bonded to each other. May form a 3-6 membered cyclo ring, or may be substituted 1-4 with halogen,
Or you may form the cyclopropane ring shown below,
The cyclopropane ring may be substituted with 1-2 halogen atoms,
Figure JPOXMLDOC01-appb-C000038
更に好ましくは、
Figure JPOXMLDOC01-appb-C000039
として、-CH=CH-、を表し、-CH=CH-は好ましくはE体を表し、
或いは以下に示すシクロプロパン環を形成してもよく、
Figure JPOXMLDOC01-appb-C000040
 R1は、水素原子、ハロゲン、シアノ、フェニル、フェニルC1-6アルキル、5-6員ヘテロアリール、5-6員ヘテロアリールC1-6アルキル、3-6員脂肪族環、1-2個の炭素原子で架橋されていてもよい4-10員ヘテロ脂肪族環、C1-6アルキル、C1-6アルキルスルホニル、C1-6アルコキシ、NR4R5、OR6、COR7、又はCONR8R9を表し、
More preferably,
Figure JPOXMLDOC01-appb-C000039
-CH = CH-, -CH = CH- preferably represents E-form,
Or you may form the cyclopropane ring shown below,
Figure JPOXMLDOC01-appb-C000040
R1 is a hydrogen atom, halogen, cyano, phenyl, phenyl C1-6 alkyl, 5-6 membered heteroaryl, 5-6 membered heteroaryl C1-6 alkyl, 3-6 membered aliphatic ring, 1-2 carbons Represents a 4-10 membered heteroaliphatic ring optionally bridged by atoms, C1-6 alkyl, C1-6 alkylsulfonyl, C1-6 alkoxy, NR4R5, OR6, COR7, or CONR8R9;
R1における当該フェニル、フェニルC1-6アルキル、5-6員ヘテロアリール、5-6員ヘテロアリールC1-6アルキル、3-6員脂肪族環、1-2個の炭素原子で架橋されていてもよい4-10員ヘテロ脂肪族環、における各環はそれぞれハロゲン、C1-6アルキル、C1-6ハロアルキル、シアノ、ヒドロキシ、C1-6アルコキシカルボニル、NR4’R5’、C1-6アルキルスルホニル、C1-6アルコキシC1-6アルキル、C2-6アルカノイル、COR7、CONR8R9又はC1-6アルコキシで独立して1-2個置換されていてもよく、当該各環は置換可能であればオキソで1-2個置換されていてもよく、
R1における、1-2個の炭素原子で架橋されていてもよい4-10員ヘテロ脂肪族環は、更に3-6員脂肪族環又は含酸素4-6員脂肪族環と共に全体として構成員数が7-12員のスピロ環を形成してもよく、当該スピロ環はハロゲン又はC1-6アルキルで1-2個置換されていてもよく、
R1 may be bridged with phenyl, phenyl C1-6 alkyl, 5-6 membered heteroaryl, 5-6 membered heteroaryl C1-6 alkyl, 3-6 membered aliphatic ring, 1-2 carbon atoms Each ring in a good 4-10 membered heteroaliphatic ring is halogen, C1-6 alkyl, C1-6 haloalkyl, cyano, hydroxy, C1-6 alkoxycarbonyl, NR4'R5 ', C1-6 alkylsulfonyl, C1- 6 alkoxy C1-6 alkyl, C2-6 alkanoyl, COR7, CONR8R9 or C1-6 alkoxy may be independently substituted with 1-2, each ring being substituted with 1-2 oxo May be replaced,
The 4- to 10-membered heteroaliphatic ring which may be bridged with 1 to 2 carbon atoms in R1 is further composed of a total of 3 to 6-membered aliphatic rings or oxygen-containing 4 to 6-membered aliphatic rings. May form a 7-12 membered spiro ring, which may be substituted with 1-2 halogens or C1-6 alkyl,
R1における当該C1-6アルキル、C1-6アルキルスルホニル、C1-6アルコキシの各アルキル部位は更にハロゲン、オキソ、ヒドロキシ、フェニル、C1-6アルコキシ、-NR4’R5’でそれぞれ独立して1-3個置換されていてもよく、Each alkyl part of the C1-6 alkyl, C1-6 alkylsulfonyl, and C1-6 alkoxy in R1 is further independently 1-3 of halogen, oxo, hydroxy, phenyl, C1-6 alkoxy, and —NR4′R5 ′. May be replaced,
R1における当該NR4R5におけるR4及びR5は、それぞれ独立して水素原子、フェニル、フェニルC1-6アルキル、5-6員ヘテロアリール、縮環式のヘテロアリール、5-6員ヘテロアリールC1-6アルキル、4-6員ヘテロ脂肪族環、3-6員脂肪族環、C1-6アルキル、C1-6アルコキシC1-6アルキル、C1-6アルコキシ、又はC1-6アルキルスルホニルを表し、
当該R4又はR5におけるフェニル、5-6員ヘテロアリール、縮環式のヘテロアリール、4-6員ヘテロ脂肪族環、3-6員脂肪族環、フェニルC1-6アルキル、5-6員ヘテロアリールC1-6アルキルにおける各環はハロゲン、シアノ、ヒドロキシ、NR4’R5’、C1-6アルキル、C1-6アルキルスルホニル、ヒドロキシC1-6アルキル、C1-6アルコキシC1-6アルキル、又はC1-6アルコキシで独立して1-3個置換されていてもよく、当該各環は置換可能であればオキソで1-2個置換されていてもよく、各環における当該C1-6アルキル、C1-6アルキルスルホニル又はC1-6アルコキシは更にハロゲン、オキソ、ヒドロキシ、C1-6アルコキシ、-NR4’R5’でそれぞれ独立して1-3個置換されていてもよく、
当該R4又はR5におけるC1-6アルキル、C1-6アルキルスルホニル、C1-6アルコキシC1-6アルキル、又はC1-6アルコキシの各アルキル部位はそれぞれ更にハロゲン、オキソ、シアノ、ヒドロキシ、C1-6アルキル、C1-6アルコキシ、フェニル、C1-6アルキルアミノカルボニル、-NR4’R5’、4-10員ヘテロ脂肪族環、又は5-6員ヘテロアリールでそれぞれ独立して1-3個置換されていてもよく、
R4又はR5における当該C1-6アルキルにおいて、ジェミナル位置にある二つのアルキル基やアルコキシ基が置換されている場合には、これらが互いに結合して3-6員シクロ環又は4-10員ヘテロ脂肪族環を形成してもよく、
ただしR1におけるR4及びR5は同時に水素原子ではなく、
R4 and R5 in NR4R5 in R1 are each independently a hydrogen atom, phenyl, phenyl C1-6 alkyl, 5-6 membered heteroaryl, condensed heteroaryl, 5-6 membered heteroaryl C1-6 alkyl, 4-6 membered heteroaliphatic ring, 3-6 membered aliphatic ring, C1-6 alkyl, C1-6 alkoxy, C1-6 alkyl, C1-6 alkoxy, or C1-6 alkylsulfonyl,
Phenyl, 5-6 membered heteroaryl, condensed heteroaryl, 4-6 membered heteroaliphatic ring, 3-6 membered aliphatic ring, phenyl C1-6 alkyl, 5-6 membered heteroaryl in the R4 or R5 Each ring in C1-6 alkyl is halogen, cyano, hydroxy, NR4'R5 ', C1-6 alkyl, C1-6 alkylsulfonyl, hydroxy C1-6 alkyl, C1-6 alkoxy C1-6 alkyl, or C1-6 alkoxy 1 to 3 may be independently substituted with each other, and each ring may be substituted with 1 to 2 oxo groups if possible, and the C1-6 alkyl and C1-6 alkyl in each ring may be substituted. The sulfonyl or C1-6 alkoxy may be further independently substituted with 1-3 of halogen, oxo, hydroxy, C1-6 alkoxy, —NR4′R5 ′,
Each alkyl part of C1-6 alkyl, C1-6 alkylsulfonyl, C1-6 alkoxy C1-6 alkyl, or C1-6 alkoxy in R4 or R5 is further halogen, oxo, cyano, hydroxy, C1-6 alkyl, C1-6 alkoxy, phenyl, C1-6 alkylaminocarbonyl, -NR4'R5 ', 4-10 membered heteroaliphatic ring, or 5-6 membered heteroaryl, each independently 1-3 substituted Often,
In the C1-6 alkyl in R4 or R5, when two alkyl groups or alkoxy groups at the geminal position are substituted, these are bonded to each other to form a 3-6 membered cyclocycle or a 4-10 membered heterofatty acid. May form a family ring,
However, R4 and R5 in R1 are not hydrogen atoms at the same time,
R1における当該OR6におけるR6は、フェニル、5-6員ヘテロアリール、4-6員ヘテロ脂肪族環、3-6員脂肪族環、C1-6アルキル、又は水素原子を表し、
R6における当該フェニル、4-6員ヘテロ脂肪族環、5-6員ヘテロアリール、3-6員脂肪族環はハロゲン、ヒドロキシ、NR4’R5’、C1-6アルキル、C1-6アルキルスルホニル又はC1-6アルコキシで独立して1-2個置換されていてもよく、当該各環は置換可能であればオキソで1-2個置換されていてもよく、各環における当該C1-6アルキル、C1-6アルキルスルホニル又はC1-6アルコキシは更にハロゲン、オキソ、ヒドロキシ、C1-6アルコキシ、-NR4’R5’でそれぞれ独立して1-3個置換されていてもよく、
OR6における当該C1-6アルキルは、更にハロゲン、オキソ、ヒドロキシ、C1-6アルコキシ、フェニル、5-6員ヘテロアリール、-NR4’R5’でそれぞれ独立して1-3個置換されていてもよく、
R1における当該OR6におけるC1-6アルキルにおける、当該フェニル、5-6員ヘテロアリールは、それぞれヒドロキシ、C1-6アルコキシでそれぞれ独立して1-3個置換されていてもよく、
R6 in the OR6 in R1 represents phenyl, 5-6 membered heteroaryl, 4-6 membered heteroaliphatic ring, 3-6 membered aliphatic ring, C1-6 alkyl, or a hydrogen atom,
The phenyl in R6, 4-6 membered heteroaliphatic ring, 5-6 membered heteroaryl, 3-6 membered aliphatic ring is halogen, hydroxy, NR4'R5 ', C1-6 alkyl, C1-6 alkylsulfonyl or C1 -6 alkoxy may be independently substituted with 1-2, and each ring may be substituted with 1-2 oxo if possible, and the C1-6 alkyl, C1 -6 alkylsulfonyl or C1-6 alkoxy may be further independently substituted with 1-3 of halogen, oxo, hydroxy, C1-6 alkoxy, -NR4'R5 ',
The C1-6 alkyl in OR6 may be further independently substituted with halogen, oxo, hydroxy, C1-6 alkoxy, phenyl, 5-6 membered heteroaryl, or —NR4′R5 ′, each independently. ,
In the C1-6 alkyl in the OR6 in R1, the phenyl and the 5-6 membered heteroaryl may be independently substituted with 1-3 of hydroxy and C1-6 alkoxy, respectively.
R1およびR1における前記各環における当該COR7におけるR7は、フェニル、4-6員ヘテロ脂肪族環、5-6員ヘテロアリール、3-6員脂肪族環、C1-6アルキル、C1-6アルコキシ、又はヒドロキシを表し、
R7における当該フェニル、4-6員ヘテロ脂肪族環、5-6員ヘテロアリール、3-6員脂肪族環はハロゲン、オキソ、ヒドロキシ、NR4’R5’、C1-6アルキル、C1-6アルキルスルホニル又はC1-6アルコキシで独立して1-2個置換されていてもよく、各環における当該C1-6アルキル、C1-6アルキルスルホニル又はC1-6アルコキシは更にハロゲン、オキソ、ヒドロキシ、C1-6アルコキシ、-NR4’R5’でそれぞれ独立して1-3個置換されていてもよく、
R7 in the COR7 in each ring in R1 and R1 is phenyl, 4-6 membered heteroaliphatic ring, 5-6 membered heteroaryl, 3-6 membered aliphatic ring, C1-6 alkyl, C1-6 alkoxy, Or represents hydroxy,
The phenyl in R7, 4-6 membered heteroaliphatic ring, 5-6 membered heteroaryl, 3-6 membered aliphatic ring is halogen, oxo, hydroxy, NR4'R5 ', C1-6 alkyl, C1-6 alkylsulfonyl Or C1-6 alkoxy may be independently substituted by 1-2, and the C1-6 alkyl, C1-6 alkylsulfonyl or C1-6 alkoxy in each ring is further halogen, oxo, hydroxy, C1-6 Each may be independently substituted with 1-3 of alkoxy and -NR4'R5 ',
R1およびR1における前記各環における当該CONR8R9におけるR8、R9は、それぞれ独立して水素原子、フェニル、5-6員ヘテロアリール、4-6員ヘテロ脂肪族環、C1-6アルキル、又はC1-6アルキルスルホニルを表し、
R8、R9における当該フェニル、5-6員ヘテロアリール、4-6員ヘテロ脂肪族環、はハロゲン、C1-6アルキル、ヒドロキシ、NR4’R5’、C1-6アルキルスルホニル又はC1-6アルコキシで独立して1-2個置換されていてもよく、当該各環は置換可能であればオキソで1-2個置換されていてもよく、
R8、R9におけるC1-6アルキル、C1-6アルキルスルホニルは更にハロゲン、オキソ、ヒドロキシ、C1-6アルコキシ、-NR4’R5’でそれぞれ独立して1-3個置換されていてもよく、
R8 and R9 in CONR8R9 in each ring in R1 and R1 are each independently a hydrogen atom, phenyl, 5-6 membered heteroaryl, 4-6 membered heteroaliphatic ring, C1-6 alkyl, or C1-6 Represents alkylsulfonyl,
The phenyl, 5-6 membered heteroaryl, 4-6 membered heteroaliphatic ring in R8 and R9 are independently halogen, C1-6 alkyl, hydroxy, NR4′R5 ′, C1-6 alkylsulfonyl or C1-6 alkoxy. And each ring may be substituted with 1-2 oxo groups if possible,
C1-6 alkyl and C1-6 alkylsulfonyl in R8 and R9 may be further independently substituted with 1-3 of halogen, oxo, hydroxy, C1-6 alkoxy, and —NR4′R5 ′,
 R1として好ましくは、
水素原子、フェニル、フェニルC1-6アルキル、5-6員ヘテロアリール、5-6員ヘテロアリールC1-6アルキル、1-2個の炭素原子で架橋されていてもよい4-10員ヘテロ脂肪族環、C1-6アルキル、C1-6アルキルスルホニル、C1-6アルコキシ、NR4R5、OR6、COR7、又はCONR8R9を表し、
R1における当該フェニル、フェニルC1-6アルキル、5-6員ヘテロアリール、5-6員ヘテロアリールC1-6アルキル、1-2個の炭素原子で架橋されていてもよい4-10員ヘテロ脂肪族環、における各環はそれぞれハロゲン、C1-6アルキル、C1-6ハロアルキル、シアノ、ヒドロキシ、C1-6アルコキシカルボニル、NR4’R5’、C1-6アルキルスルホニル、C1-6アルコキシC1-6アルキル、C2-6アルカノイル、COR7、CONR8R9又はC1-6アルコキシで独立して1-2個置換されていてもよく、当該各環は置換可能であればオキソで1-2個置換されていてもよく、
R1における、1-2個の炭素原子で架橋されていてもよい4-10員ヘテロ脂肪族環は、更に3-6員脂肪族環又は含酸素4-6員脂肪族環と共に全体として構成員数が7-12員のスピロ環を形成してもよく、当該スピロ環はハロゲン又はC1-6アルキルで1-2個置換されていてもよく、
あるいは、R1として好ましくは、
水素原子、NR4R5、OR6、ハロゲン、シアノ、フェニル、4-6員ヘテロ脂肪族環、3-6員脂肪族環、5-6員ヘテロアリール、C1-6アルキル、C1-6アルキルスルホニル、C1-6アルコキシ、COR7、又はCONR8R9を表し、
R1における当該フェニル、4-6員ヘテロ脂肪族環、3-6員脂肪族環、5-6員ヘテロアリールにおける各環はそれぞれハロゲン、オキソ、C1-6アルキル、ヒドロキシ、NR4’R5’、C1-6アルキルスルホニル、C1-6アルコキシ、シアノ、C2-6アルカノイル、COR7、又はCONR8R9で独立して1-2個置換されていてもよく、
R1における当該C1-6アルキル、C1-6アルコキシ、C1-6アルキルスルホニルは更にハロゲン、オキソ、ヒドロキシ、C1-6アルコキシ、-NR4’R5’でそれぞれ独立して1-3個置換されていてもよく
R1における当該NR4R5におけるR4及びR5は、それぞれ独立して水素原子、フェニル、5-6員ヘテロアリール、縮環式のヘテロアリール、4-6員ヘテロ脂肪族環、3-6員脂肪族環、C1-6アルキル、又はC1-6アルキルスルホニルを表し、
当該R4又はR5におけるフェニル、5-6員ヘテロアリール、縮環式のヘテロアリール、4-6員ヘテロ脂肪族環、3-6員脂肪族環はハロゲン、オキソ、ヒドロキシ、NR4’R5’、C1-6アルキル、C1-6アルキルスルホニル又はC1-6アルコキシで独立して1-2個置換されていてもよく、当該C1-6アルキル、C1-6アルキルスルホニル又はC1-6アルコキシは更にハロゲン、オキソ、ヒドロキシ、C1-6アルコキシ、-NR4’R5’でそれぞれ独立して1-3個置換されていてもよく、
当該R4又はR5におけるC1-6アルキル、C1-6アルキルスルホニル又はC1-6アルコキシはそれぞれ更にハロゲン、オキソ、ヒドロキシ、C1-6アルコキシ、-NR4’R5’でそれぞれ独立して1-3個置換されていてもよく、
ただしR1におけるR4及びR5は同時に水素原子ではなく、
R1における当該OR6におけるR6はフェニル、5-6員ヘテロアリール、4-6員ヘテロ脂肪族環、3-6員脂肪族環、又はC1-6アルキルを表し、
R6における当該フェニル、4-6員ヘテロ脂肪族環、5-6員ヘテロアリール、3-6員脂肪族環はハロゲン、オキソ、ヒドロキシ、NR4’R5’、C1-6アルキル、C1-6アルキルスルホニル又はC1-6アルコキシで独立して1-2個置換されていてもよく、当該C1-6アルキル、C1-6アルキルスルホニル又はC1-6アルコキシは更にハロゲン、オキソ、ヒドロキシ、C1-6アルコキシ、-NR4’R5’でそれぞれ独立して1-3個置換されていてもよく、
R1における当該OR6におけるC1-6アルキルは、更にハロゲン、オキソ、ヒドロキシ、C1-6アルコキシ、-NR4’R5’でそれぞれ独立して1-3個置換されていてもよく、
R1及びR1における前記各環における当該COR7におけるR7は、フェニル、4-6員ヘテロ脂肪族環、C1-6アルキル、C1-6アルコキシ、又はヒドロキシを表し、
R7における当該フェニル、4-6員ヘテロ脂肪族環はハロゲン、オキソ、ヒドロキシ、NR4’R5’、C1-6アルキル、C1-6アルキルスルホニル又はC1-6アルコキシで独立して1-2個置換されていてもよく、当該C1-6アルキル、C1-6アルキルスルホニル又はC1-6アルコキシは更にハロゲン、オキソ、ヒドロキシ、C1-6アルコキシ、-NR4’R5’でそれぞれ独立して1-3個置換されていてもよく、
R1及びR1における前記各環における当該CONR8R9におけるR8、R9は、それぞれ独立して水素原子、フェニル、5-6員ヘテロアリール、C1-6アルキル、又はC1-6アルキルスルホニルを表し、
R8、R9における当該フェニル、5-6員ヘテロアリールはハロゲン、オキソ、C1-6アルキル、ヒドロキシ、NR4’R5’、C1-6アルキルスルホニル又はC1-6アルコキシで独立して1-2個置換されていてもよく、
R8、R9におけるC1-6アルキル、C1-6アルキルスルホニルは更にハロゲン、オキソ、ヒドロキシ、C1-6アルコキシ、-NR4’R5’でそれぞれ独立して1-3個置換されていてもよく、
Preferably as R1,
Hydrogen atom, phenyl, phenyl C1-6 alkyl, 5-6 membered heteroaryl, 5-6 membered heteroaryl C1-6 alkyl, 4-10 membered heteroaliphatic optionally bridged with 1-2 carbon atoms Represents a ring, C1-6 alkyl, C1-6 alkylsulfonyl, C1-6 alkoxy, NR4R5, OR6, COR7, or CONR8R9;
The phenyl in R1, phenyl C1-6 alkyl, 5-6 membered heteroaryl, 5-6 membered heteroaryl C1-6 alkyl, 4-10 membered heteroaliphatic optionally bridged with 1-2 carbon atoms Each ring in the ring is halogen, C1-6 alkyl, C1-6 haloalkyl, cyano, hydroxy, C1-6 alkoxycarbonyl, NR4'R5 ', C1-6 alkylsulfonyl, C1-6 alkoxy C1-6 alkyl, C2 -6 alkanoyl, COR7, CONR8R9 or C1-6 alkoxy may be independently substituted with 1-2, and each ring may be substituted with oxo if substituted with 1-2,
The 4- to 10-membered heteroaliphatic ring which may be bridged with 1 to 2 carbon atoms in R1 is further composed of a total of 3 to 6-membered aliphatic rings or oxygen-containing 4 to 6-membered aliphatic rings. May form a 7-12 membered spiro ring, which may be substituted with 1-2 halogens or C1-6 alkyl,
Alternatively, preferably as R1,
Hydrogen atom, NR4R5, OR6, halogen, cyano, phenyl, 4-6 membered heteroaliphatic ring, 3-6 membered aliphatic ring, 5-6 membered heteroaryl, C1-6 alkyl, C1-6 alkylsulfonyl, C1- 6 represents alkoxy, COR7, or CONR8R9,
The ring in R1, phenyl, 4-6 membered heteroaliphatic ring, 3-6 membered aliphatic ring, and 5-6 membered heteroaryl are each halogen, oxo, C1-6 alkyl, hydroxy, NR4'R5 ', C1 Optionally substituted with 1-2 alkylsulfonyl, C1-6 alkoxy, cyano, C2-6 alkanoyl, COR7, or CONR8R9,
The C1-6 alkyl, C1-6 alkoxy and C1-6 alkylsulfonyl in R1 may be further independently substituted with 1-3 of halogen, oxo, hydroxy, C1-6 alkoxy, and —NR4′R5 ′. Often
R4 and R5 in NR4R5 in R1 are each independently a hydrogen atom, phenyl, 5-6 membered heteroaryl, condensed heteroaryl, 4-6 membered heteroaliphatic ring, 3-6 membered aliphatic ring, Represents C1-6 alkyl, or C1-6 alkylsulfonyl,
In the R4 or R5, phenyl, 5-6 membered heteroaryl, condensed heteroaryl, 4-6 membered heteroaliphatic ring, 3-6 membered aliphatic ring are halogen, oxo, hydroxy, NR4′R5 ′, C1 -6 alkyl, C1-6 alkylsulfonyl or C1-6 alkoxy may be independently 1-2 substituted, and the C1-6 alkyl, C1-6 alkylsulfonyl or C1-6 alkoxy is further substituted with halogen, oxo , Hydroxy, C1-6 alkoxy, and -NR4'R5 'each independently may be substituted 1-3,
C1-6 alkyl, C1-6 alkylsulfonyl or C1-6 alkoxy in R4 or R5 is further independently substituted with 1-3 of halogen, oxo, hydroxy, C1-6 alkoxy, or —NR4′R5 ′. You may,
However, R4 and R5 in R1 are not hydrogen atoms at the same time,
R6 in OR6 in R1 represents phenyl, 5-6 membered heteroaryl, 4-6 membered heteroaliphatic ring, 3-6 membered aliphatic ring, or C1-6 alkyl,
The phenyl in R6, 4-6 membered heteroaliphatic ring, 5-6 membered heteroaryl, 3-6 membered aliphatic ring is halogen, oxo, hydroxy, NR4'R5 ', C1-6 alkyl, C1-6 alkylsulfonyl Alternatively, C1-6 alkoxy may be independently substituted with 1-2, and the C1-6 alkyl, C1-6 alkylsulfonyl or C1-6 alkoxy is further halogen, oxo, hydroxy, C1-6 alkoxy,- Each of NR4′R5 ′ may be independently substituted 1-3,
C1-6 alkyl in OR6 in R1 may be further independently substituted with 1-3 of halogen, oxo, hydroxy, C1-6 alkoxy, —NR4′R5 ′,
R7 in COR7 in each ring in R1 and R1 represents phenyl, 4-6 membered heteroaliphatic ring, C1-6 alkyl, C1-6 alkoxy, or hydroxy;
The phenyl, 4-6 membered heteroaliphatic ring in R7 is independently substituted with 1-2 halogen, oxo, hydroxy, NR4'R5 ', C1-6 alkyl, C1-6 alkylsulfonyl or C1-6 alkoxy. The C1-6 alkyl, C1-6 alkylsulfonyl or C1-6 alkoxy is further independently substituted with 1-3 of halogen, oxo, hydroxy, C1-6 alkoxy, and —NR4′R5 ′. You may,
R8 and R9 in CONR8R9 in each ring in R1 and R1 each independently represent a hydrogen atom, phenyl, 5-6 membered heteroaryl, C1-6 alkyl, or C1-6 alkylsulfonyl,
The phenyl and 5-6 membered heteroaryl in R8 and R9 are independently substituted with 1-2 halogen, oxo, C1-6 alkyl, hydroxy, NR4′R5 ′, C1-6 alkylsulfonyl or C1-6 alkoxy. You may,
C1-6 alkyl and C1-6 alkylsulfonyl in R8 and R9 may be further independently substituted with 1-3 of halogen, oxo, hydroxy, C1-6 alkoxy, and —NR4′R5 ′,
 R1としてより好ましくは、1-2個の炭素原子で架橋されていてもよい4-10員ヘテロ脂肪族環、NR4R5、又はOR6、を表し、
R1における当該4-10員ヘテロ脂肪族環はハロゲン、シアノ、C1-6アルキル、C2-6アルカノイル、COR7、CONR8R9、ヒドロキシ、NR4’R5’で独立して1-2個置換されていてもよく、
R1における、1-2個の炭素原子で架橋されていてもよい4-10員ヘテロ脂肪族環は、更に3-6員脂肪族環又は含酸素4-6員脂肪族環と共に全体として構成員数が7-12員のスピロ環を形成してもよく、当該スピロ環はハロゲン又はC1-6アルキルで1-2個置換されていてもよく、
R1 more preferably represents a 4- to 10-membered heteroaliphatic ring, NR4R5, or OR6, which may be bridged with 1-2 carbon atoms,
The 4- to 10-membered heteroaliphatic ring in R1 may be independently substituted with 1-2 halogen, cyano, C1-6 alkyl, C2-6 alkanoyl, COR7, CONR8R9, hydroxy, NR4'R5 ' ,
The 4- to 10-membered heteroaliphatic ring which may be bridged with 1 to 2 carbon atoms in R1 is further composed of a total of 3 to 6-membered aliphatic rings or oxygen-containing 4 to 6-membered aliphatic rings. May form a 7-12 membered spiro ring, which may be substituted with 1-2 halogens or C1-6 alkyl,
R2は4-7員ヘテロ脂肪族環、5-6員ヘテロアリール、フェニル、NR4’ ’R5’ ’、又はOR6’、を表し、
R2における4-7員ヘテロ脂肪族環、5-6員ヘテロアリール、フェニルの各環はハロゲン、シアノ、ヒドロキシ、C1-6アルコキシ、NR4’R5’、COR7’、C1-6アルキル、C1-6アルキルスルホニルで1-2個置換されていてもよく、当該各環は置換可能であればオキソで1-2個置換されていてもよく、
R2の各環におけるCOR7’におけるR7’は、フェニル、4-6員ヘテロ脂肪族環、C1-6アルキル、C1-6アルコキシ、又はヒドロキシを表し、R2の各環における当該C1-6アルコキシ、C1-6アルキルは更にハロゲン、ヒドロキシ、シアノ、オキソ、C1-6アルコキシで1-3個置換されていてもよく、
R2 represents a 4-7 membered heteroaliphatic ring, 5-6 membered heteroaryl, phenyl, NR4 '' R5 '', or OR6 ',
Each ring of 4-7 membered heteroaliphatic ring, 5-6 membered heteroaryl and phenyl in R2 is halogen, cyano, hydroxy, C1-6 alkoxy, NR4'R5 ', COR7', C1-6 alkyl, C1-6 1-2 may be substituted with alkylsulfonyl, and each ring may be substituted with 1-2 oxo if possible,
R7 ′ in COR7 ′ in each ring of R2 represents phenyl, 4-6 membered heteroaliphatic ring, C1-6 alkyl, C1-6 alkoxy, or hydroxy, and the C1-6 alkoxy in each ring of R2, C1 -6 alkyl may be further substituted 1-3 by halogen, hydroxy, cyano, oxo, C1-6 alkoxy,
R2における当該NR4’ ’R5’ ’におけるR4’ ’及びR5’ ’は、それぞれ独立して水素原子、フェニル、5-6員ヘテロアリール、4-6員ヘテロ脂肪族環、3-6員脂肪族環、C1-6アルキル、又はC1-6アルキルスルホニルを表し、
当該R4’ ’又はR5’ ’におけるフェニル、5-6員ヘテロアリール、4-6員ヘテロ脂肪族環、3-6員脂肪族環はハロゲン、ヒドロキシ、NR4’R5’、C1-6アルキル、C1-6アルキルスルホニル又はC1-6アルコキシで独立して1-2個置換されていてもよく、当該各環は置換可能であればオキソで1-2個置換されていてもよく、
当該C1-6アルキル、C1-6アルキルスルホニル、又はC1-6アルコキシは更にハロゲン、オキソ、ヒドロキシ、C1-6アルコキシ、-NR4’R5’でそれぞれ独立して1-3個置換されていてもよく、
当該R4’ ’又はR5’ ’におけるC1-6アルキル、C1-6アルキルスルホニル、又はC1-6アルコキシはそれぞれ更にハロゲン、オキソ、ヒドロキシ、C1-6アルコキシ、-NR4’R5’でそれぞれ独立して1-3個置換されていてもよく、
ただしR2におけるR4’ ’及びR5’ ’は同時に水素原子ではなく、
R4 ′ ′ and R5 ′ ′ in NR4′′R5 ′ ′ in R2 are each independently a hydrogen atom, phenyl, 5-6 membered heteroaryl, 4-6 membered heteroaliphatic ring, 3-6 membered aliphatic Represents a ring, C1-6 alkyl, or C1-6 alkylsulfonyl;
In the R4 ′ ′ or R5 ′ ′, phenyl, 5-6 membered heteroaryl, 4-6 membered heteroaliphatic ring, 3-6 membered aliphatic ring is halogen, hydroxy, NR4′R5 ′, C1-6 alkyl, C1 -6 alkylsulfonyl or C1-6 alkoxy may be independently substituted with 1-2, and each ring may be substituted with oxo if it can be substituted,
The C1-6 alkyl, C1-6 alkylsulfonyl, or C1-6 alkoxy may be further independently substituted with 1-3 of halogen, oxo, hydroxy, C1-6 alkoxy, and —NR4′R5 ′. ,
C1-6 alkyl, C1-6 alkylsulfonyl, or C1-6 alkoxy in the R4 ′ ′ or R5 ′ ′ is independently independently halogen, oxo, hydroxy, C1-6 alkoxy, or —NR4′R5 ′. -3 may be replaced,
However, R4 ′ ′ and R5 ′ ′ in R2 are not hydrogen atoms at the same time,
R2における当該OR6’におけるR6’はフェニル、5-6員ヘテロアリール、4-6員ヘテロ脂肪族環、又は3-6員脂肪族環を表し、
R2におけるR6’における当該フェニル、5-6員ヘテロアリール、4-6員ヘテロ脂肪族環、3-6員脂肪族環の各環はハロゲン、ヒドロキシ、NR4’R5’、C1-6アルキル、C1-6アルキルスルホニル又はC1-6アルコキシで独立して1-2個置換されていてもよく、当該各環は置換可能であればオキソで1-2個置換されていてもよく、
各環における当該C1-6アルキル、C1-6アルキルスルホニル又はC1-6アルコキシは更にハロゲン、オキソ、ヒドロキシ、C1-6アルコキシ、-NR4’R5’でそれぞれ独立して1-3個置換されていてもよく、
R6 ′ in the OR6 ′ in R2 represents phenyl, 5-6 membered heteroaryl, 4-6 membered heteroaliphatic ring, or 3-6 membered aliphatic ring,
Each of the phenyl, 5-6 membered heteroaryl, 4-6 membered heteroaliphatic ring, 3-6 membered aliphatic ring in R6 ′ in R2 is halogen, hydroxy, NR4′R5 ′, C1-6 alkyl, C1 -6 alkylsulfonyl or C1-6 alkoxy may be independently substituted with 1-2, and each ring may be substituted with oxo if it can be substituted,
The C1-6 alkyl, C1-6 alkylsulfonyl or C1-6 alkoxy in each ring is further independently substituted with 1-3 of halogen, oxo, hydroxy, C1-6 alkoxy, and —NR4′R5 ′. Well,
 R2として好ましくは、
4-7員ヘテロ脂肪族環を表し、
当該4-7員ヘテロ脂肪族環はハロゲン、シアノ、オキソ、ヒドロキシ、C1-6アルコキシ、NR4’R5’、C1-6アルキルスルホニル、COR7’、C1-6アルキルで1-2個置換されていてもよく、
当該4-7員ヘテロ脂肪族環におけるCOR7’におけるR7’は、C1-6アルキル、C1-6アルコキシ、又はヒドロキシを表し、
 あるいは、R2として好ましくは、
4-6員ヘテロ脂肪族環、NR4’ ’R5’ ’、OR6’、フェニル、又は5-6員ヘテロアリールを表し、
R2における4-6員ヘテロ脂肪族環、5-6員ヘテロアリールの各環はハロゲン、オキソ、ヒドロキシ、C1-6アルコキシ、NR4’R5’、COR7’、C1-6アルキルで1-2個置換されていてもよく、当該C1-6アルコキシ、C1-6アルキルはハロゲン、ヒドロキシ、シアノで1-2個置換されていてもよく、
R2における当該COR7’におけるR7’は、フェニル、4-6員ヘテロ脂肪族環、C1-6アルキル、C1-6アルコキシ、又はヒドロキシを表し、
R2における当該OR6’におけるR6’はフェニル、5-6員ヘテロアリール、4-6員ヘテロ脂肪族環、又は3-6員脂肪族環を表し、
R6’における当該フェニル、4-6員ヘテロ脂肪族環、5-6員ヘテロアリール、3-6員脂肪族環の各環はハロゲン、オキソ、ヒドロキシ、NR4’R5’、C1-6アルキル、C1-6アルキルスルホニル又はC1-6アルコキシで独立して1-2個置換されていてもよく、当該C1-6アルキル、C1-6アルキルスルホニル又はC1-6アルコキシは更にハロゲン、オキソ、ヒドロキシ、C1-6アルコキシ、-NR4’R5’でそれぞれ独立して1-3個置換されていてもよく、
R2における当該NR4’ ’R5’ ’におけるR4’ ’及びR5’ ’は、それぞれ独立して水素原子、フェニル、5-6員ヘテロアリール、4-6員ヘテロ脂肪族環、3-6員脂肪族環、C1-6アルキル、又はC1-6アルキルスルホニルを表し、
当該R4’ ’又はR5’ ’におけるフェニル、5-6員ヘテロアリール、4-6員ヘテロ脂肪族環、3-6員脂肪族環はハロゲン、オキソ、ヒドロキシ、NR4’R5’、C1-6アルキル、C1-6アルキルスルホニル又はC1-6アルコキシで独立して1-2個置換されていてもよく、当該C1-6アルキル、C1-6アルキルスルホニル又はC1-6アルコキシは更にハロゲン、オキソ、ヒドロキシ、C1-6アルコキシ、-NR4’R5’でそれぞれ独立して1-3個置換されていてもよく、
当該R4’ ’又はR5’ ’におけるC1-6アルキル、C1-6アルキルスルホニル又はC1-6アルコキシはそれぞれ更にハロゲン、オキソ、ヒドロキシ、C1-6アルコキシ、-NR4’R5’でそれぞれ独立して1-3個置換されていてもよく、
ただしR2におけるR4’ ’及びR5’ ’は同時に水素原子ではなく、
Preferably as R2,
Represents a 4-7 membered heteroaliphatic ring,
The 4-7 membered heteroaliphatic ring is 1-2 substituted with halogen, cyano, oxo, hydroxy, C1-6 alkoxy, NR4′R5 ′, C1-6 alkylsulfonyl, COR7 ′, C1-6 alkyl. Well,
R7 ′ in COR7 ′ in the 4-7 membered heteroaliphatic ring represents C1-6 alkyl, C1-6 alkoxy, or hydroxy,
Alternatively, preferably as R2,
Represents a 4-6 membered heteroaliphatic ring, NR4 '' R5 '', OR6 ', phenyl, or 5-6 membered heteroaryl,
Each ring of 4-6 membered heteroaliphatic ring and 5-6 membered heteroaryl in R2 is substituted with 1-2 halogen, oxo, hydroxy, C1-6 alkoxy, NR4'R5 ', COR7', C1-6 alkyl The C1-6 alkoxy, C1-6 alkyl may be substituted with 1-2 halogen, hydroxy, cyano,
R7 ′ in the COR7 ′ in R2 represents phenyl, a 4-6 membered heteroaliphatic ring, C1-6 alkyl, C1-6 alkoxy, or hydroxy,
R6 ′ in the OR6 ′ in R2 represents phenyl, 5-6 membered heteroaryl, 4-6 membered heteroaliphatic ring, or 3-6 membered aliphatic ring,
Each of the phenyl, 4-6 membered heteroaliphatic ring, 5-6 membered heteroaryl, 3-6 membered aliphatic ring in R6 ′ is halogen, oxo, hydroxy, NR4′R5 ′, C1-6 alkyl, C1 -6 alkylsulfonyl or C1-6 alkoxy may be independently substituted with 1-2, and the C1-6 alkyl, C1-6 alkylsulfonyl or C1-6 alkoxy is further halogen, oxo, hydroxy, C1- Each may be independently substituted with 6 alkoxy, -NR4'R5 ',
R4 ′ ′ and R5 ′ ′ in NR4′′R5 ′ ′ in R2 are each independently a hydrogen atom, phenyl, 5-6 membered heteroaryl, 4-6 membered heteroaliphatic ring, 3-6 membered aliphatic Represents a ring, C1-6 alkyl, or C1-6 alkylsulfonyl;
Phenyl, 5-6 membered heteroaryl, 4-6 membered heteroaliphatic ring and 3-6 membered aliphatic ring in the R4 ′ ′ or R5 ′ ′ are halogen, oxo, hydroxy, NR4′R5 ′, C1-6 alkyl , C1-6 alkylsulfonyl or C1-6 alkoxy may be independently 1-2 substituted, and the C1-6 alkyl, C1-6 alkylsulfonyl or C1-6 alkoxy is further halogen, oxo, hydroxy, Each may be independently substituted with 1-3 of C1-6 alkoxy and -NR4'R5 ',
C1-6 alkyl, C1-6 alkylsulfonyl or C1-6 alkoxy in the R4 ′ ′ or R5 ′ ′ is further independently halogen, oxo, hydroxy, C1-6 alkoxy, or —NR4′R5 ′. 3 may be replaced,
However, R4 ′ ′ and R5 ′ ′ in R2 are not hydrogen atoms at the same time,
R2としてより好ましくは、
Figure JPOXMLDOC01-appb-C000041
であり、
R10はハロゲン、シアノ、ヒドロキシ、C1-6アルコキシ、NR4’R5’、COR7’ ’、 ヒドロキシC1-6アルキル、又はC1-6アルキルを表し、当該COR7’ ’におけるR7’ ’は、C1-6アルキル、C1-6アルコキシ、ヒドロキシC1-6アルキル、又はヒドロキシを表し、
NR4’R5’におけるR4’及びR5’は、それぞれ独立して水素原子、C1-6アルキル、4-6員ヘテロ脂肪族環を表し、
R3における当該OR6’ ’におけるR6’ ’は、フェニル、5-6員ヘテロアリール、縮環式のヘテロアリール、4-6員ヘテロ脂肪族環、3-6員脂肪族環、C1-6アルキル、C2-6アルカノイル、又は水素原子を表し、
R6’ ’における当該フェニル、4-6員ヘテロ脂肪族環、5-6員ヘテロアリール、縮環式のヘテロアリール、3-6員脂肪族環はハロゲン、ヒドロキシ、NR4’R5’、C1-6アルキル、C1-6アルキルスルホニル又はC1-6アルコキシで独立して1-2個置換されていてもよく、当該各環は置換可能であればオキソで1-2個置換されていてもよく、各環における当該C1-6アルキル、C1-6アルキルスルホニル又はC1-6アルコキシは更にハロゲン、オキソ、ヒドロキシ、C1-6アルコキシ、-NR4’R5’でそれぞれ独立して1-3個置換されていてもよく、
R6’ ’における当該C1-6アルキル、又はC2-6アルカノイルの各置換基は、更にハロゲン、オキソ、ヒドロキシ、C1-6アルコキシ、フェニル、5-6員ヘテロアリール、-NR4’R5’でそれぞれ独立して1-3個置換されていてもよく、
R6’ ’におけるC1-6アルキル又はC2-6アルカノイルの各置換基における、当該フェニル、5-6員ヘテロアリールは、それぞれヒドロキシ、C1-6アルコキシでそれぞれ独立して1-3個置換されていてもよく、
R3における当該OR6’ ’におけるR6’ ’として好ましくは、5-6員ヘテロアリール、4-6員ヘテロ脂肪族環、C1-6アルキル、又はC2-6アルカノイルを表し、R6’ ’における当該5-6員ヘテロアリール、4-6員ヘテロ脂肪族環、はC1-6アルコキシで独立して1-2個置換されていてもよく、当該各環は置換可能であればオキソで1-2個置換されていてもよく、各環における当該C1-6アルコキシは更にハロゲン、オキソ、ヒドロキシ、C1-6アルコキシ、-NR4’R5’でそれぞれ独立して1-3個置換されていてもよく、R6’ ’における当該C1-6アルキル、又はC2-6アルカノイルの各置換基は、更にハロゲン、オキソ、ヒドロキシ、C1-6アルコキシ、フェニル、5-6員ヘテロアリール、-NR4’R5’でそれぞれ独立して1-3個置換されていてもよく、R6’ ’におけるC1-6アルキル又はC2-6アルカノイルの各置換基における、当該フェニル、5-6員ヘテロアリールは、それぞれヒドロキシ、C1-6アルコキシでそれぞれ独立して1-3個置換されていてもよく、
R3における当該OR6’ ’におけるR6’ ’としてより好ましくは、4-6員ヘテロ脂肪族環、C1-6アルキル、又はC2-6アルカノイルを表わし、R6’ ’における当該4-6員ヘテロ脂肪族環はC1-6アルコキシで独立して1-2個置換されていてもよく、当該環は置換可能であればオキソで1-2個置換されていてもよく、各環における当該C1-6アルコキシは更にハロゲン、オキソ、ヒドロキシ、C1-6アルコキシ、-NR4’R5’でそれぞれ独立して1-3個置換されていてもよく、R6’ ’における当該C1-6アルキル、又はC2-6アルカノイルの各置換基は、更にハロゲン、オキソ、ヒドロキシ、C1-6アルコキシ、フェニル、5-6員ヘテロアリール、-NR4’R5’でそれぞれ独立して1-3個置換されていてもよく、R6’ ’におけるC1-6アルキル又はC2-6アルカノイルの各置換基における、当該フェニル、5-6員ヘテロアリールは、それぞれヒドロキシ、C1-6アルコキシでそれぞれ独立して1-3個置換されていてもよく、
More preferably as R2,
Figure JPOXMLDOC01-appb-C000041
And
R10 represents halogen, cyano, hydroxy, C1-6 alkoxy, NR4′R5 ′, COR7 ′ ′, hydroxy C1-6 alkyl, or C1-6 alkyl, and R7 ′ ′ in the COR7 ′ ′ is C1-6 alkyl , C1-6 alkoxy, hydroxy C1-6 alkyl, or hydroxy,
R4 ′ and R5 ′ in NR4′R5 ′ each independently represent a hydrogen atom, C1-6 alkyl, a 4-6 membered heteroaliphatic ring,
R6 ′ ′ in the OR6 ′ ′ in R3 is phenyl, 5-6 membered heteroaryl, condensed heteroaryl, 4-6 membered heteroaliphatic ring, 3-6 membered aliphatic ring, C1-6 alkyl, C2-6 represents an alkanoyl or hydrogen atom,
The phenyl in R6 ′ ′, 4-6 membered heteroaliphatic ring, 5-6 membered heteroaryl, condensed heteroaryl, 3-6 membered aliphatic ring is halogen, hydroxy, NR4′R5 ′, C1-6 It may be independently substituted with 1-2 alkyl, C1-6 alkylsulfonyl, or C1-6 alkoxy, and each ring may be substituted with 1-2 oxo if it can be substituted. The C1-6 alkyl, C1-6 alkylsulfonyl or C1-6 alkoxy in the ring may be further independently substituted with 1-3 of halogen, oxo, hydroxy, C1-6 alkoxy, or —NR4′R5 ′. Often,
Each substituent of the C1-6 alkyl or C2-6 alkanoyl in R6 ′ ′ is further independently halogen, oxo, hydroxy, C1-6 alkoxy, phenyl, 5-6 membered heteroaryl, or —NR4′R5 ′. 1-3 may be substituted,
In each substituent of C1-6 alkyl or C2-6 alkanoyl in R6 ′ ′, the phenyl and 5-6-membered heteroaryl are each independently substituted with 1-3 of hydroxy and C1-6 alkoxy. Well,
R6 ′ ′ in the OR6 ′ ′ in R3 preferably represents a 5-6 membered heteroaryl, a 4-6 membered heteroaliphatic ring, C1-6 alkyl, or C2-6 alkanoyl, and the 5- 6-membered heteroaryl, 4-6-membered heteroaliphatic ring may be independently 1-2 substituted with C1-6 alkoxy, and each ring may be substituted with oxo if 1-2 The C1-6 alkoxy in each ring may be further independently substituted with 1-3 of halogen, oxo, hydroxy, C1-6 alkoxy, —NR4′R5 ′, and R6 ′. Each substituent of the C1-6 alkyl or C2-6 alkanoyl in 'is further independently halogen, oxo, hydroxy, C1-6 alkoxy, phenyl, 5-6 membered heteroaryl, or -NR4'R5'. 1-3 may be substituted, and in each substituent of C1-6 alkyl or C2-6 alkanoyl in R6 ′ ′ , The phenyl, 5-6 membered heteroaryl may each hydroxy, be independently 1-3 with each substituted with a C1-6 alkoxy,
More preferably, R6 ′ ′ in the OR6 ′ ′ in R3 represents a 4-6 membered heteroaliphatic ring, C1-6 alkyl, or C2-6 alkanoyl, and the 4-6 membered heteroaliphatic ring in R6 ′ ′. May be independently substituted with 1-2 C1-6 alkoxy, and if the ring is substitutable, it may be substituted with 1-2 oxo, and the C1-6 alkoxy in each ring is Further, 1-3 of each independently substituted with halogen, oxo, hydroxy, C1-6 alkoxy, or —NR4′R5 ′, and each of the C1-6 alkyl or C2-6 alkanoyl in R6 ′ ′ Substituents may further be independently substituted with 1-3 of halogen, oxo, hydroxy, C1-6 alkoxy, phenyl, 5-6 membered heteroaryl, —NR4′R5 ′, and in R6 ′ ′ The phenyl and 5-6 membered heteroaryl in each substituent of C1-6 alkyl or C2-6 alkanoyl are Each hydroxy, may be independently 1-3 with each substituted with a C1-6 alkoxy,
 環Aを含むヘテロ縮合環においてX2、X3及びX4はそれぞれ独立してC, CH、NH又はNを表し、当該縮合環は以下からなる群より選択され、
Figure JPOXMLDOC01-appb-C000042
それぞれにおける6員環A部位、又は隣接する含窒素5員環はC1-6アルキル、C2-6アルケニル、ハロゲン、シアノ、C1-6ハロアルキル、-NR4’R5’、C1-6アルコキシで1-3個置換されていてもよく、
X2, X3 and X4 in the hetero condensed ring containing ring A each independently represent C, CH, NH or N, and the condensed ring is selected from the group consisting of:
Figure JPOXMLDOC01-appb-C000042
6-membered ring A site in each, or adjacent nitrogen-containing 5-membered ring is 1-3 by C1-6 alkyl, C2-6 alkenyl, halogen, cyano, C1-6 haloalkyl, -NR4'R5 ', C1-6 alkoxy May be replaced,
好ましくは、当該縮合環は以下からなる群より選択され、
Figure JPOXMLDOC01-appb-C000043
それぞれにおける6員環A部位、又は隣接する含窒素5員環はC1-6アルキル、C2-6アルケニル、ハロゲン、シアノ、C1-6ハロアルキル、-NR4’R5’、C1-6アルコキシで1-3個置換されていてもよく、
Preferably, the fused ring is selected from the group consisting of:
Figure JPOXMLDOC01-appb-C000043
6-membered ring A site in each, or adjacent nitrogen-containing 5-membered ring is 1-3 by C1-6 alkyl, C2-6 alkenyl, halogen, cyano, C1-6 haloalkyl, -NR4'R5 ', C1-6 alkoxy May be replaced,
また好ましくは、当該縮合環は以下からなる群より選択され、
Figure JPOXMLDOC01-appb-C000044
それぞれにおける6員環A部位、又は隣接する含窒素5員環はC1-6アルキル、C2-6アルケニル、ハロゲン、シアノ、C1-6ハロアルキル、-NR4’R5’、C1-6アルコキシで1-3個置換されていてもよく、
また好ましくは、当該縮合環は以下からなる群より選択され、
Figure JPOXMLDOC01-appb-C000045
それぞれにおける6員環A部位、又は隣接する含窒素5員環はC1-6アルキル、ハロゲン、C1-6ハロアルキル、C1-6アルコキシで1-2個置換されていてもよい。)で表され、
Also preferably, the fused ring is selected from the group consisting of:
Figure JPOXMLDOC01-appb-C000044
6-membered ring A site in each, or adjacent nitrogen-containing 5-membered ring is 1-3 by C1-6 alkyl, C2-6 alkenyl, halogen, cyano, C1-6 haloalkyl, -NR4'R5 ', C1-6 alkoxy May be replaced,
Also preferably, the fused ring is selected from the group consisting of:
Figure JPOXMLDOC01-appb-C000045
Each 6-membered ring A site or adjacent nitrogen-containing 5-membered ring may be substituted with 1-2 C1-6 alkyl, halogen, C1-6 haloalkyl, C1-6 alkoxy. )
より好ましくは、当該縮合環は以下からなる群より選択され、
Figure JPOXMLDOC01-appb-C000046
それぞれにおける6員環A部位、又は隣接する含窒素5員環はC1-6アルキル、C2-6アルケニル、ハロゲン、シアノ、C1-6ハロアルキル、-NR4’R5’、C1-6アルコキシで1-3個置換されていてもよく、
More preferably, the fused ring is selected from the group consisting of:
Figure JPOXMLDOC01-appb-C000046
6-membered ring A site in each, or adjacent nitrogen-containing 5-membered ring is 1-3 by C1-6 alkyl, C2-6 alkenyl, halogen, cyano, C1-6 haloalkyl, -NR4'R5 ', C1-6 alkoxy May be replaced,
更に好ましくは、当該縮合環は以下からなる群より選択され、
Figure JPOXMLDOC01-appb-C000047
それぞれにおける6員環A部位、又は隣接する含窒素5員環はC1-6アルキル、C2-6アルケニル、ハロゲン、シアノ、C1-6ハロアルキル、-NR4’R5’、C1-6アルコキシで1-3個置換されていてもよく、
More preferably, the fused ring is selected from the group consisting of:
Figure JPOXMLDOC01-appb-C000047
6-membered ring A site in each, or adjacent nitrogen-containing 5-membered ring is 1-3 by C1-6 alkyl, C2-6 alkenyl, halogen, cyano, C1-6 haloalkyl, -NR4'R5 ', C1-6 alkoxy May be replaced,
以上におけるNR4’R5’におけるR4’及びR5’は、それぞれ独立して水素原子、C1-6アルキル、4-6員ヘテロ脂肪族環を表し、
好ましくは、R4’及びR5’は、それぞれ独立して水素原子、又はC1-6アルキルを表す。)で表される含窒素化合物、または薬学的に許容できるその塩またはそれらの溶媒和物であり、
R4 ′ and R5 ′ in NR4′R5 ′ in the above each independently represent a hydrogen atom, C1-6 alkyl, a 4-6 membered heteroaliphatic ring,
Preferably, R4 ′ and R5 ′ each independently represent a hydrogen atom or C1-6 alkyl. ), Or a pharmaceutically acceptable salt or solvate thereof,
ただし、以下に示す部分構造A,B,C又はD(いずれも、縮合複素環上の置換基の有無によらない)を有する化合物、または薬学的に許容できるその塩またはそれらの溶媒和物は除く。However, a compound having the following partial structure A, B, C or D (which does not depend on the presence or absence of a substituent on the condensed heterocyclic ring), or a pharmaceutically acceptable salt thereof or a solvate thereof: except.
Figure JPOXMLDOC01-appb-C000048
部分構造A
Figure JPOXMLDOC01-appb-C000049
部分構造B
Figure JPOXMLDOC01-appb-C000050
部分構造C
Figure JPOXMLDOC01-appb-C000051
部分構造D
Figure JPOXMLDOC01-appb-C000048
Partial structure A
Figure JPOXMLDOC01-appb-C000049
Partial structure B
Figure JPOXMLDOC01-appb-C000050
Substructure C
Figure JPOXMLDOC01-appb-C000051
Substructure D
 本発明は、上記の式(I)で表される含窒素化合物、または薬学的に許容できるその塩またはそれらの溶媒和物を提供する。
本発明は、以下の実施態様も有する。
The present invention provides a nitrogen-containing compound represented by the above formula (I), or a pharmaceutically acceptable salt thereof, or a solvate thereof.
The present invention also has the following embodiments.
[1-2]
態様 [1-1]の式(I)で表される含窒素化合物、または薬学的に許容できるその塩またはそれらの溶媒和物において、好ましいリンカー(-L1-L2-部位)を有する含窒素化合物は、例えば以下のように表現される。
下記式(I)
Figure JPOXMLDOC01-appb-C000052
(式中、
環Aを含むヘテロ縮合環、L1, L2, X1, X2, X3, X4, X5, R1, R2はそれぞれ態様[1-1]に記載の定義と同じであり、
Figure JPOXMLDOC01-appb-C000053
として、-CH2-CH2-、-CH=CH-、-C≡C-、-O-CH2-、-NH-CH2-、-N=CH-、-CH=N-、-S-CH2-、又は-CH2-S-を表し、-CH=CH-は好ましくはE体を表し、
L1、L2のそれぞれにおけるCH, CH2はC1-6アルキル、C1-6ハロアルキル、C2-6アルケニル、オキソ、ヒドロキシ、C1-6アルコキシ、NR4’R5’(R4’、R5’は態様[1-1]に記載の定義と同じである)で1-2個置換されていてもよく、二つのアルキル基が互いに結合して3-6員シクロ環を形成してもよく、又はハロゲンで1-4個置換されていてもよく、
或いは以下に示すシクロプロパン環若しくはシクロブタン環を形成してもよく、
当該シクロプロパン環又はシクロブタン環はハロゲン原子又はC1-6アルキルで1-2個置換されていてもよく、
Figure JPOXMLDOC01-appb-C000054
Figure JPOXMLDOC01-appb-C000055
Figure JPOXMLDOC01-appb-C000056
[1-2]
The nitrogen-containing compound represented by the formula (I) of the embodiment [1-1], or a pharmaceutically acceptable salt or solvate thereof having a preferred linker (-L1-L2-site) Is expressed as follows, for example.
Formula (I)
Figure JPOXMLDOC01-appb-C000052
(Where
Heterocondensed ring containing ring A, L1, L2, X1, X2, X3, X4, X5, R1, R2 are respectively the same as defined in embodiment [1-1],
Figure JPOXMLDOC01-appb-C000053
-CH2-CH2-, -CH = CH-, -C≡C-, -O-CH2-, -NH-CH2-, -N = CH-, -CH = N-, -S-CH2-, Or -CH2-S-, -CH = CH- preferably represents E-form,
CH and CH2 in each of L1 and L2 are C1-6 alkyl, C1-6 haloalkyl, C2-6 alkenyl, oxo, hydroxy, C1-6 alkoxy, NR4′R5 ′ (R4 ′ and R5 ′ are embodiments [1-1 The same as defined above), two alkyl groups may be bonded to each other to form a 3-6 membered cyclo ring, or halogen may be substituted with 1-4 May be replaced,
Alternatively, the following cyclopropane ring or cyclobutane ring may be formed,
The cyclopropane ring or cyclobutane ring may be substituted with 1-2 halogen atoms or C1-6 alkyl,
Figure JPOXMLDOC01-appb-C000054
Figure JPOXMLDOC01-appb-C000055
Figure JPOXMLDOC01-appb-C000056
好ましくは、
Figure JPOXMLDOC01-appb-C000057
として、-CH2-CH2-、-CH=CH-、又は-O-CH2-、を表し、-CH=CH-は好ましくはE体を表し、
L1、L2のそれぞれにおけるCH, CH2はC1-6アルキル、C1-6ハロアルキル、オキソ、ヒドロキシ、C1-6アルコキシ、で1-2個置換されていてもよく、二つのアルキル基が互いに結合して3-6員シクロ環を形成してもよく、又はハロゲンで1-4個置換されていてもよく、
或いは以下に示すシクロプロパン環を形成してもよく、
当該シクロプロパン環はハロゲン原子又はC1-6アルキルで1-2個置換されていてもよく、
Figure JPOXMLDOC01-appb-C000058
Preferably,
Figure JPOXMLDOC01-appb-C000057
-CH2-CH2-, -CH = CH-, or -O-CH2-, -CH = CH- preferably represents E form,
CH1 and CH2 in each of L1 and L2 may be substituted with 1 to 2 of C1-6 alkyl, C1-6 haloalkyl, oxo, hydroxy, C1-6 alkoxy, and two alkyl groups are bonded to each other. May form a 3-6 membered cyclo ring, or may be substituted 1-4 with halogen,
Or you may form the cyclopropane ring shown below,
The cyclopropane ring may be substituted with 1-2 halogen atoms or C1-6 alkyl,
Figure JPOXMLDOC01-appb-C000058
更に好ましくは、
Figure JPOXMLDOC01-appb-C000059
として、-CH=CH-、を表し、-CH=CH-は好ましくはE体を表し、
或いは以下に示すシクロプロパン環を形成してもよい。
Figure JPOXMLDOC01-appb-C000060
)で表される。
More preferably,
Figure JPOXMLDOC01-appb-C000059
-CH = CH-, -CH = CH- preferably represents E-form,
Alternatively, the following cyclopropane ring may be formed.
Figure JPOXMLDOC01-appb-C000060
).
[1-3]
態様 [1-1]の式(I)で表される含窒素化合物、または薬学的に許容できるその塩またはそれらの溶媒和物において、好ましい環Aを含むヘテロ縮合環は、例えば以下のように表現される。
下記式(I)
Figure JPOXMLDOC01-appb-C000061
(式中、
L1, L2, X1, X5, R1, R2および、リンカー(-L1-L2-部位)は、それぞれ態様[1-1]に記載の定義と同じであり、
 環Aを含むヘテロ縮合環においてX2、X3及びX4はそれぞれ独立してC, CH、NH又はNを表し、当該縮合環は以下からなる群より選択され、
Figure JPOXMLDOC01-appb-C000062
それぞれにおける6員環A部位、又は隣接する含窒素5員環はC1-6アルキル、C2-6アルケニル、ハロゲン、シアノ、C1-6ハロアルキル、-NR4’R5’、C1-6アルコキシで1-3個置換されていてもよく、
[1-3]
In the nitrogen-containing compound represented by the formula (I) of the embodiment [1-1], or a pharmaceutically acceptable salt thereof, or a solvate thereof, a preferable heterofused ring containing the ring A is, for example, as follows: Expressed.
Formula (I)
Figure JPOXMLDOC01-appb-C000061
(Where
L1, L2, X1, X5, R1, R2 and the linker (-L1-L2-site) are the same as defined in the embodiment [1-1],
X2, X3 and X4 in the hetero condensed ring containing ring A each independently represent C, CH, NH or N, and the condensed ring is selected from the group consisting of:
Figure JPOXMLDOC01-appb-C000062
6-membered ring A site in each, or adjacent nitrogen-containing 5-membered ring is 1-3 by C1-6 alkyl, C2-6 alkenyl, halogen, cyano, C1-6 haloalkyl, -NR4'R5 ', C1-6 alkoxy May be replaced,
好ましくは、当該縮合環は以下からなる群より選択され、
Figure JPOXMLDOC01-appb-C000063
それぞれにおける6員環A部位、又は隣接する含窒素5員環はC1-6アルキル、C2-6アルケニル、ハロゲン、シアノ、C1-6ハロアルキル、-NR4’R5’、C1-6アルコキシで1-3個置換されていてもよく、
Preferably, the fused ring is selected from the group consisting of:
Figure JPOXMLDOC01-appb-C000063
6-membered ring A site in each, or adjacent nitrogen-containing 5-membered ring is 1-3 by C1-6 alkyl, C2-6 alkenyl, halogen, cyano, C1-6 haloalkyl, -NR4'R5 ', C1-6 alkoxy May be replaced,
また好ましくは、当該縮合環は以下からなる群より選択され、
Figure JPOXMLDOC01-appb-C000064
それぞれにおける6員環A部位、又は隣接する含窒素5員環はC1-6アルキル、C2-6アルケニル、ハロゲン、シアノ、C1-6ハロアルキル、-NR4’R5’、C1-6アルコキシで1-3個置換されていてもよく、
Also preferably, the fused ring is selected from the group consisting of:
Figure JPOXMLDOC01-appb-C000064
6-membered ring A site in each, or adjacent nitrogen-containing 5-membered ring is 1-3 by C1-6 alkyl, C2-6 alkenyl, halogen, cyano, C1-6 haloalkyl, -NR4'R5 ', C1-6 alkoxy May be replaced,
より好ましくは、当該縮合環は以下からなる群より選択され、
Figure JPOXMLDOC01-appb-C000065
それぞれにおける6員環A部位、又は隣接する含窒素5員環はC1-6アルキル、C2-6アルケニル、ハロゲン、シアノ、C1-6ハロアルキル、-NR4’R5’、C1-6アルコキシで1-3個置換されていてもよく、
More preferably, the fused ring is selected from the group consisting of:
Figure JPOXMLDOC01-appb-C000065
6-membered ring A site in each, or adjacent nitrogen-containing 5-membered ring is 1-3 by C1-6 alkyl, C2-6 alkenyl, halogen, cyano, C1-6 haloalkyl, -NR4'R5 ', C1-6 alkoxy May be replaced,
更に好ましくは、当該縮合環は以下からなる群より選択され、
Figure JPOXMLDOC01-appb-C000066
それぞれにおける6員環A部位、又は隣接する含窒素5員環はC1-6アルキル、C2-6アルケニル、ハロゲン、シアノ、C1-6ハロアルキル、-NR4’R5’、C1-6アルコキシで1-3個置換されていてもよく、
More preferably, the fused ring is selected from the group consisting of:
Figure JPOXMLDOC01-appb-C000066
6-membered ring A site in each, or adjacent nitrogen-containing 5-membered ring is 1-3 by C1-6 alkyl, C2-6 alkenyl, halogen, cyano, C1-6 haloalkyl, -NR4'R5 ', C1-6 alkoxy May be replaced,
以上におけるNR4’R5’におけるR4’及びR5’は、それぞれ独立して水素原子、C1-6アルキル、4-6員ヘテロ脂肪族環を表す。)で表される。R4 'and R5' in the above NR4'R5 'each independently represents a hydrogen atom, C1-6 alkyl, or a 4-6 membered heteroaliphatic ring. ).
[2-1]
態様 [1-1]の式(I)で表される含窒素化合物、または薬学的に許容できるその塩またはそれらの溶媒和物において、好ましいR1は、例えば以下のように表現される。
下記式(I)
Figure JPOXMLDOC01-appb-C000067
(式中、
X1, X2, X3, X4, X5, R2, L1, L2および、リンカー(-L1-L2-部位)はそれぞれ態様[1-1]に記載の定義と同じであり、
[2-1]
In the nitrogen-containing compound represented by the formula (I) of the embodiment [1-1], or a pharmaceutically acceptable salt thereof, or a solvate thereof, preferable R 1 is expressed, for example, as follows.
Formula (I)
Figure JPOXMLDOC01-appb-C000067
(Where
X1, X2, X3, X4, X5, R2, L1, L2, and the linker (-L1-L2-site) are the same as defined in Embodiment [1-1],
 R1が、
水素原子、フェニル、フェニルC1-6アルキル、5-6員ヘテロアリール、5-6員ヘテロアリールC1-6アルキル、1-2個の炭素原子で架橋されていてもよい4-10員ヘテロ脂肪族環、C1-6アルキル、C1-6アルキルスルホニル、C1-6アルコキシ、NR4R5、OR6、COR7又はCONR8R9を表し、
R1における当該フェニル、フェニルC1-6アルキル、5-6員ヘテロアリール、5-6員ヘテロアリールC1-6アルキル、1-2個の炭素原子で架橋されていてもよい4-10員ヘテロ脂肪族環、における各環はそれぞれハロゲン、C1-6アルキル、C1-6ハロアルキル、シアノ、ヒドロキシ、C1-6アルコキシカルボニル、NR4’R5’、C1-6アルキルスルホニル、C1-6アルコキシC1-6アルキル、C2-6アルカノイル、COR7、CONR8R9又はC1-6アルコキシで独立して1-2個置換されていてもよく、当該各環は置換可能であればオキソで1-2個置換されていてもよく、
R1における、1-2個の炭素原子で架橋されていてもよい4-10員ヘテロ脂肪族環は、更に3-6員脂肪族環又は含酸素4-6員脂肪族環と共に全体として構成員数が7-12員のスピロ環を形成してもよく、当該スピロ環はハロゲン又はC1-6アルキルで1-2個置換されていてもよく、
R1 is
Hydrogen atom, phenyl, phenyl C1-6 alkyl, 5-6 membered heteroaryl, 5-6 membered heteroaryl C1-6 alkyl, 4-10 membered heteroaliphatic optionally bridged with 1-2 carbon atoms Represents a ring, C1-6 alkyl, C1-6 alkylsulfonyl, C1-6 alkoxy, NR4R5, OR6, COR7 or CONR8R9;
The phenyl in R1, phenyl C1-6 alkyl, 5-6 membered heteroaryl, 5-6 membered heteroaryl C1-6 alkyl, 4-10 membered heteroaliphatic optionally bridged with 1-2 carbon atoms Each ring in the ring is halogen, C1-6 alkyl, C1-6 haloalkyl, cyano, hydroxy, C1-6 alkoxycarbonyl, NR4'R5 ', C1-6 alkylsulfonyl, C1-6 alkoxy C1-6 alkyl, C2 -6 alkanoyl, COR7, CONR8R9 or C1-6 alkoxy may be independently substituted with 1-2, and each ring may be substituted with oxo if substituted with 1-2,
The 4- to 10-membered heteroaliphatic ring which may be bridged with 1 to 2 carbon atoms in R1 is further composed of a total of 3 to 6-membered aliphatic rings or oxygen-containing 4 to 6-membered aliphatic rings. May form a 7-12 membered spiro ring, which may be substituted with 1-2 halogens or C1-6 alkyl,
 より好ましくは、R1が
1-2個の炭素原子で架橋されていてもよい4-10員ヘテロ脂肪族環、NR4R5、又はOR6、を表し、
R1における当該4-10員ヘテロ脂肪族環はハロゲン、シアノ、C1-6アルキル、C2-6アルカノイル、COR7、CONR8R9、ヒドロキシ、NR4’R5’で独立して1-2個置換されていてもよく、
R1における、1-2個の炭素原子で架橋されていてもよい4-10員ヘテロ脂肪族環は、更に3-6員脂肪族環又は含酸素4-6員脂肪族環と共に全体として構成員数が7-12員のスピロ環を形成してもよく、当該スピロ環はハロゲン又はC1-6アルキルで1-2個置換されていてもよく、
R1におけるR4~R9、R4’、R5’はそれぞれ態様[1-1]に記載の定義と同じである。)で表される。
More preferably, R1 is
Represents a 4-10 membered heteroaliphatic ring, NR4R5, or OR6, optionally bridged with 1-2 carbon atoms,
The 4- to 10-membered heteroaliphatic ring in R1 may be independently substituted with 1-2 halogen, cyano, C1-6 alkyl, C2-6 alkanoyl, COR7, CONR8R9, hydroxy, NR4'R5 ' ,
The 4- to 10-membered heteroaliphatic ring which may be bridged with 1 to 2 carbon atoms in R1 is further composed of a total of 3 to 6-membered aliphatic rings or oxygen-containing 4 to 6-membered aliphatic rings. May form a 7-12 membered spiro ring, which may be substituted with 1-2 halogens or C1-6 alkyl,
R4 to R9, R4 ′, and R5 ′ in R1 are the same as defined in Embodiment [1-1]. ).
[2-2]
態様 [1-1]の式(I)で表される含窒素化合物、または薬学的に許容できるその塩またはそれらの溶媒和物において、好ましいR2は、例えば以下のように表現される。
下記式(I)
Figure JPOXMLDOC01-appb-C000068
(式中、
環Aを含むヘテロ縮合環、X1, X2, X3, X4, X5, R1, L1, L2および、リンカー(-L1-L2-部位)はそれぞれ態様[1-1]に記載の定義と同じであり、
 R2が、
4-7員ヘテロ脂肪族環を表し、
当該4-7員ヘテロ脂肪族環はハロゲン、シアノ、ヒドロキシ、C1-6アルコキシ、NR4’R5’、COR7’、C1-6アルキルで1-2個置換されていてもよく、
当該4-7員ヘテロ脂肪族環におけるCOR7’におけるR7’は、C1-6アルキル、C1-6アルコキシ、又はヒドロキシを表し、
[2-2]
In the nitrogen-containing compound represented by the formula (I) of the embodiment [1-1], or a pharmaceutically acceptable salt thereof, or a solvate thereof, preferable R 2 is expressed, for example, as follows.
Formula (I)
Figure JPOXMLDOC01-appb-C000068
(Where
The hetero-fused ring containing ring A, X1, X2, X3, X4, X5, R1, L1, L2, and the linker (-L1-L2-site) are the same as defined in embodiment [1-1]. ,
R2 is
Represents a 4-7 membered heteroaliphatic ring,
The 4-7 membered heteroaliphatic ring may be substituted with 1-2 halogen, cyano, hydroxy, C1-6 alkoxy, NR4′R5 ′, COR7 ′, C1-6 alkyl,
R7 ′ in COR7 ′ in the 4-7 membered heteroaliphatic ring represents C1-6 alkyl, C1-6 alkoxy, or hydroxy,
好ましくは、R2が
Figure JPOXMLDOC01-appb-C000069
であり、
R10はハロゲン、シアノ、ヒドロキシ、C1-6アルコキシ、NR4’R5’、COR7’ ’、 ヒドロキシC1-6アルキル、又はC1-6アルキルを表し、当該COR7’ ’におけるR7’ ’は、C1-6アルキル、C1-6アルコキシ、ヒドロキシを表し、
R2におけるR4’, R5’,R7’はそれぞれ態様[1-1]に記載の定義と同じである。)で表される。
Preferably R2 is
Figure JPOXMLDOC01-appb-C000069
And
R10 represents halogen, cyano, hydroxy, C1-6 alkoxy, NR4′R5 ′, COR7 ′ ′, hydroxy C1-6 alkyl, or C1-6 alkyl, and R7 ′ ′ in the COR7 ′ ′ is C1-6 alkyl , C1-6 alkoxy, hydroxy,
R4 ′, R5 ′, and R7 ′ in R2 are the same as defined in Embodiment [1-1]. ).
[2-3] 
態様 [1-1]の式(I)で表される含窒素化合物、または薬学的に許容できるその塩またはそれらの溶媒和物において、好ましいR3は、例えば以下のように表現される。
下記式(I)
Figure JPOXMLDOC01-appb-C000070
(式中、環Aを含むヘテロ縮合環、X2, X3, X4, R1, R2, L1, L2および、リンカー(-L1-L2-部位)はそれぞれ態様[1-1]に記載の定義と同じであり、X1, X5はそれぞれ独立してCR3又はNを表し、R3は水素原子、ハロゲン、C1-6アルキル、OR6’ ’を表し、
また、R3における当該OR6’ ’におけるR6’ ’は、フェニル、5-6員ヘテロアリール、縮環式のヘテロアリール、4-6員ヘテロ脂肪族環、3-6員脂肪族環、C1-6アルキル、C2-6アルカノイル、又は水素原子を表し、
R6’ ’における当該フェニル、4-6員ヘテロ脂肪族環、5-6員ヘテロアリール、縮環式のヘテロアリール、3-6員脂肪族環はハロゲン、ヒドロキシ、NR4’R5’、C1-6アルキル、C1-6アルキルスルホニル又はC1-6アルコキシで独立して1-2個置換されていてもよく、当該各環は置換可能であればオキソで1-2個置換されていてもよく、各環における当該C1-6アルキル、C1-6アルキルスルホニル又はC1-6アルコキシは更にハロゲン、オキソ、ヒドロキシ、C1-6アルコキシ、-NR4’R5’でそれぞれ独立して1-3個置換されていてもよく、
R6’ ’における当該C1-6アルキル、又はC2-6アルカノイルの各置換基は、更にハロゲン、オキソ、ヒドロキシ、C1-6アルコキシ、フェニル、5-6員ヘテロアリール、-NR4’R5’でそれぞれ独立して1-3個置換されていてもよく、
R6’ ’におけるC1-6アルキル又はC2-6アルカノイルの各置換基における、当該フェニル、5-6員ヘテロアリールは、それぞれヒドロキシ、C1-6アルコキシでそれぞれ独立して1-3個置換されていてもよく、
R3における当該OR6’ ’におけるR6’ ’として好ましくは、5-6員ヘテロアリール、4-6員ヘテロ脂肪族環、C1-6アルキル、又はC2-6アルカノイルを表し、R6’ ’における当該5-6員ヘテロアリール、4-6員ヘテロ脂肪族環、はC1-6アルコキシで独立して1-2個置換されていてもよく、当該各環は置換可能であればオキソで1-2個置換されていてもよく、各環における当該C1-6アルコキシは更にハロゲン、オキソ、ヒドロキシ、C1-6アルコキシ、-NR4’R5’でそれぞれ独立して1-3個置換されていてもよく、R6’ ’における当該C1-6アルキル、又はC2-6アルカノイルの各置換基は、更にハロゲン、オキソ、ヒドロキシ、C1-6アルコキシ、フェニル、5-6員ヘテロアリール、-NR4’R5’でそれぞれ独立して1-3個置換されていてもよく、R6’ ’におけるC1-6アルキル又はC2-6アルカノイルの各置換基における、当該フェニル、5-6員ヘテロアリールは、それぞれヒドロキシ、C1-6アルコキシでそれぞれ独立して1-3個置換されていてもよく、
R3における当該OR6’ ’におけるR6’ ’としてより好ましくは、4-6員ヘテロ脂肪族環、C1-6アルキル、又はC2-6アルカノイルを表わし、R6’ ’における当該4-6員ヘテロ脂肪族環はC1-6アルコキシで独立して1-2個置換されていてもよく、当該環は置換可能であればオキソで1-2個置換されていてもよく、各環における当該C1-6アルコキシは更にハロゲン、オキソ、ヒドロキシ、C1-6アルコキシ、-NR4’R5’でそれぞれ独立して1-3個置換されていてもよく、R6’ ’における当該C1-6アルキル、又はC2-6アルカノイルの各置換基は、更にハロゲン、オキソ、ヒドロキシ、C1-6アルコキシ、フェニル、5-6員ヘテロアリール、-NR4’R5’でそれぞれ独立して1-3個置換されていてもよく、R6’ ’におけるC1-6アルキル又はC2-6アルカノイルの各置換基における、当該フェニル、5-6員ヘテロアリールは、それぞれヒドロキシ、C1-6アルコキシでそれぞれ独立して1-3個置換されていてもよく、
以上におけるR4’, R5’はそれぞれ態様[1-1]に記載の定義と同じである。)で表わされる。
[3-1] 
態様 [1-1]の式(I)で表される含窒素化合物、または薬学的に許容できるその塩またはそれらの溶媒和物において、好ましい態様は、例えば以下のように表現される。
下記式(I)
Figure JPOXMLDOC01-appb-C000071
(式中、X1, X5はそれぞれ態様[1-1]に記載の定義と同じであり、
X2はCH, NH又はNを表し、
X3, X4はC又はNを表し、
環Aを含むヘテロ縮合環と含窒素6員環との間にあるリンカー(-L1-L2-部位)は、
Figure JPOXMLDOC01-appb-C000072
として、-CH2-CH2-、-CH=CH-、又は-O-CH2-、を表し、-CH=CH-は好ましくはE体を表し、
L1、L2のそれぞれにおけるCH, CH2はC1-6アルキル、C1-6ハロアルキル、C2-6アルケニル、オキソ、ヒドロキシ、C1-6アルコキシ、NR4’R5’で1-2個置換されていてもよく、又はハロゲンで1-4個置換されていてもよく、
或いは以下に示すシクロプロパン環を形成してもよく、
当該シクロプロパン環はハロゲン原子で1-2個置換されていてもよく、
Figure JPOXMLDOC01-appb-C000073
[2-3]
In the nitrogen-containing compound represented by the formula (I) of the embodiment [1-1], or a pharmaceutically acceptable salt thereof, or a solvate thereof, preferable R 3 is expressed, for example, as follows.
Formula (I)
Figure JPOXMLDOC01-appb-C000070
(Wherein the hetero condensed ring including ring A, X2, X3, X4, R1, R2, L1, L2, and the linker (-L1-L2- moiety) are the same as defined in the embodiment [1-1]. X1 and X5 each independently represent CR3 or N, R3 represents a hydrogen atom, halogen, C1-6 alkyl, OR6 ′ ′,
R6 ′ ′ in OR6 ′ ′ in R3 represents phenyl, 5-6 membered heteroaryl, condensed heteroaryl, 4-6 membered heteroaliphatic ring, 3-6 membered aliphatic ring, C1-6 Represents an alkyl, a C2-6 alkanoyl, or a hydrogen atom,
The phenyl in R6 ′ ′, 4-6 membered heteroaliphatic ring, 5-6 membered heteroaryl, condensed heteroaryl, 3-6 membered aliphatic ring is halogen, hydroxy, NR4′R5 ′, C1-6 It may be independently substituted with 1-2 alkyl, C1-6 alkylsulfonyl, or C1-6 alkoxy, and each ring may be substituted with 1-2 oxo if it can be substituted. The C1-6 alkyl, C1-6 alkylsulfonyl or C1-6 alkoxy in the ring may be further independently substituted with 1-3 of halogen, oxo, hydroxy, C1-6 alkoxy, or —NR4′R5 ′. Often,
Each substituent of the C1-6 alkyl or C2-6 alkanoyl in R6 ′ ′ is further independently halogen, oxo, hydroxy, C1-6 alkoxy, phenyl, 5-6 membered heteroaryl, or —NR4′R5 ′. 1-3 may be substituted,
In each substituent of C1-6 alkyl or C2-6 alkanoyl in R6 ′ ′, the phenyl and 5-6-membered heteroaryl are each independently substituted with 1-3 of hydroxy and C1-6 alkoxy. Well,
R6 ′ ′ in the OR6 ′ ′ in R3 preferably represents a 5-6 membered heteroaryl, a 4-6 membered heteroaliphatic ring, C1-6 alkyl, or C2-6 alkanoyl, and the 5- 6-membered heteroaryl, 4-6-membered heteroaliphatic ring may be independently 1-2 substituted with C1-6 alkoxy, and each ring may be substituted with oxo if 1-2 The C1-6 alkoxy in each ring may be further independently substituted with 1-3 of halogen, oxo, hydroxy, C1-6 alkoxy, —NR4′R5 ′, and R6 ′. Each substituent of the C1-6 alkyl or C2-6 alkanoyl in 'is further independently halogen, oxo, hydroxy, C1-6 alkoxy, phenyl, 5-6 membered heteroaryl, or -NR4'R5'. 1-3 may be substituted, and in each substituent of C1-6 alkyl or C2-6 alkanoyl in R6 ′ ′ , The phenyl, 5-6 membered heteroaryl may each hydroxy, be independently 1-3 with each substituted with a C1-6 alkoxy,
More preferably, R6 ′ ′ in the OR6 ′ ′ in R3 represents a 4-6 membered heteroaliphatic ring, C1-6 alkyl, or C2-6 alkanoyl, and the 4-6 membered heteroaliphatic ring in R6 ′ ′. May be independently substituted with 1-2 C1-6 alkoxy, and if the ring is substitutable, it may be substituted with 1-2 oxo, and the C1-6 alkoxy in each ring is Further, 1-3 of each independently substituted with halogen, oxo, hydroxy, C1-6 alkoxy, or —NR4′R5 ′, and each of the C1-6 alkyl or C2-6 alkanoyl in R6 ′ ′ Substituents may further be independently substituted with 1-3 of halogen, oxo, hydroxy, C1-6 alkoxy, phenyl, 5-6 membered heteroaryl, —NR4′R5 ′, and in R6 ′ ′ The phenyl and 5-6 membered heteroaryl in each substituent of C1-6 alkyl or C2-6 alkanoyl are Each hydroxy, may be independently 1-3 with each substituted with a C1-6 alkoxy,
R4 ′ and R5 ′ in the above are the same as defined in the embodiment [1-1]. ).
[3-1]
In the nitrogen-containing compound represented by the formula (I) of the embodiment [1-1], or a pharmaceutically acceptable salt or solvate thereof, a preferable embodiment is expressed as follows, for example.
Formula (I)
Figure JPOXMLDOC01-appb-C000071
(Wherein, X1 and X5 are the same as defined in the embodiment [1-1],
X2 represents CH, NH or N;
X3 and X4 represent C or N,
The linker (-L1-L2-site) between the hetero condensed ring containing ring A and the nitrogen-containing 6-membered ring is
Figure JPOXMLDOC01-appb-C000072
-CH2-CH2-, -CH = CH-, or -O-CH2-, -CH = CH- preferably represents E form,
CH and CH2 in each of L1 and L2 may be substituted by 1-2 by C1-6 alkyl, C1-6 haloalkyl, C2-6 alkenyl, oxo, hydroxy, C1-6 alkoxy, NR4′R5 ′, Or 1-4 may be substituted with halogen,
Or you may form the cyclopropane ring shown below,
The cyclopropane ring may be substituted with 1-2 halogen atoms,
Figure JPOXMLDOC01-appb-C000073
更に好ましくは、
Figure JPOXMLDOC01-appb-C000074
として、-CH=CH-、を表し、-CH=CH-は好ましくはE体を表し、
或いは以下に示すシクロプロパン環を形成してもよく、
Figure JPOXMLDOC01-appb-C000075
More preferably,
Figure JPOXMLDOC01-appb-C000074
-CH = CH-, -CH = CH- preferably represents E-form,
Or you may form the cyclopropane ring shown below,
Figure JPOXMLDOC01-appb-C000075
 R1は、
水素原子、フェニル、フェニルC1-6アルキル、5-6員ヘテロアリール、5-6員ヘテロアリールC1-6アルキル、1-2個の炭素原子で架橋されていてもよい4-10員ヘテロ脂肪族環、C1-6アルキル、C1-6アルキルスルホニル、C1-6アルコキシ、NR4R5、OR6、COR7又はCONR8R9を表し、
R1における当該フェニル、フェニルC1-6アルキル、5-6員ヘテロアリール、5-6員ヘテロアリールC1-6アルキル、1-2個の炭素原子で架橋されていてもよい4-10員ヘテロ脂肪族環、における各環はそれぞれハロゲン、C1-6アルキル、C1-6ハロアルキル、シアノ、ヒドロキシ、C1-6アルコキシカルボニル、NR4’R5’、C1-6アルキルスルホニル、C1-6アルコキシC1-6アルキル、C2-6アルカノイル、COR7、CONR8R9又はC1-6アルコキシで独立して1-2個置換されていてもよく、当該各環は置換可能であればオキソで1-2個置換されていてもよく、
R1における、1-2個の炭素原子で架橋されていてもよい4-10員ヘテロ脂肪族環は、更に3-6員脂肪族環又は含酸素4-6員脂肪族環と共に全体として構成員数が7-12員のスピロ環を形成してもよく、当該スピロ環はハロゲン又はC1-6アルキルで1-2個置換されていてもよく、
R1 is
Hydrogen atom, phenyl, phenyl C1-6 alkyl, 5-6 membered heteroaryl, 5-6 membered heteroaryl C1-6 alkyl, 4-10 membered heteroaliphatic optionally bridged with 1-2 carbon atoms Represents a ring, C1-6 alkyl, C1-6 alkylsulfonyl, C1-6 alkoxy, NR4R5, OR6, COR7 or CONR8R9;
The phenyl in R1, phenyl C1-6 alkyl, 5-6 membered heteroaryl, 5-6 membered heteroaryl C1-6 alkyl, 4-10 membered heteroaliphatic optionally bridged with 1-2 carbon atoms Each ring in the ring is halogen, C1-6 alkyl, C1-6 haloalkyl, cyano, hydroxy, C1-6 alkoxycarbonyl, NR4'R5 ', C1-6 alkylsulfonyl, C1-6 alkoxy C1-6 alkyl, C2 -6 alkanoyl, COR7, CONR8R9 or C1-6 alkoxy may be independently substituted with 1-2, and each ring may be substituted with oxo if substituted with 1-2,
The 4- to 10-membered heteroaliphatic ring which may be bridged with 1 to 2 carbon atoms in R1 is further composed of a total of 3 to 6-membered aliphatic rings or oxygen-containing 4 to 6-membered aliphatic rings. May form a 7-12 membered spiro ring, which may be substituted with 1-2 halogens or C1-6 alkyl,
 R1として好ましくは、
1-2個の炭素原子で架橋されていてもよい4-10員ヘテロ脂肪族環、NR4R5、又はOR6、を表し、
R1における当該4-10員ヘテロ脂肪族環はハロゲン、シアノ、C1-6アルキル、ヒドロキシ、C2-6アルカノイル、COR7、CONR8R9、NR4’R5’で独立して1-2個置換されていてもよく、
R1における、1-2個の炭素原子で架橋されていてもよい4-10員ヘテロ脂肪族環は、更に3-6員脂肪族環又は含酸素4-6員脂肪族環と共に全体として構成員数が7-12員のスピロ環を形成してもよく、当該スピロ環はハロゲン又はC1-6アルキルで1-2個置換されていてもよく、
Preferably as R1,
Represents a 4-10 membered heteroaliphatic ring, NR4R5, or OR6, optionally bridged with 1-2 carbon atoms,
The 4- to 10-membered heteroaliphatic ring in R1 may be independently substituted with 1-2 halogen, cyano, C1-6 alkyl, hydroxy, C2-6 alkanoyl, COR7, CONR8R9, NR4'R5 ' ,
The 4- to 10-membered heteroaliphatic ring which may be bridged with 1 to 2 carbon atoms in R1 is further composed of a total of 3 to 6-membered aliphatic rings or oxygen-containing 4 to 6-membered aliphatic rings. May form a 7-12 membered spiro ring, which may be substituted with 1-2 halogens or C1-6 alkyl,
 R2として好ましくは、
4-6員ヘテロ脂肪族環を表し、
当該4-6員ヘテロ脂肪族環はハロゲン、シアノ、ヒドロキシ、C1-6アルコキシ、NR4’R5’、COR7’、C1-6アルキルで1-2個置換されていてもよく、
当該4-6員ヘテロ脂肪族環におけるCOR7’におけるR7’は、C1-6アルキル、C1-6アルコキシ、又はヒドロキシを表し、
Preferably as R2,
Represents a 4-6 membered heteroaliphatic ring,
The 4-6 membered heteroaliphatic ring may be substituted with 1-2 halogen, cyano, hydroxy, C1-6 alkoxy, NR4′R5 ′, COR7 ′, C1-6 alkyl,
R7 ′ in COR7 ′ in the 4-6 membered heteroaliphatic ring represents C1-6 alkyl, C1-6 alkoxy, or hydroxy,
R2としてより好ましくは、
Figure JPOXMLDOC01-appb-C000076
であり、
R10はハロゲン、シアノ、ヒドロキシ、C1-6アルコキシ、NR4’R5’、COR7’ ’、 又はC1-6アルキルを表し、当該COR7’ ’におけるR7’ ’は、C1-6アルキル、C1-6アルコキシ、ヒドロキシC1-6アルキル、又はヒドロキシを表し、
More preferably as R2,
Figure JPOXMLDOC01-appb-C000076
And
R10 represents halogen, cyano, hydroxy, C1-6 alkoxy, NR4′R5 ′, COR7 ′ ′, or C1-6 alkyl, and R7 ′ ′ in the COR7 ′ ′ is C1-6 alkyl, C1-6 alkoxy, Represents hydroxy C1-6 alkyl, or hydroxy,
環Aを含むヘテロ縮合環は以下からなる群より選択され、
Figure JPOXMLDOC01-appb-C000077
それぞれにおける6員環A部位、又は隣接する含窒素5員環はC1-6アルキル、C2-6アルケニル、ハロゲン、シアノ、C1-6ハロアルキル、-NR4’R5’、C1-6アルコキシで1-3個置換されていてもよく、
The hetero-fused ring containing ring A is selected from the group consisting of:
Figure JPOXMLDOC01-appb-C000077
6-membered ring A site in each, or adjacent nitrogen-containing 5-membered ring is 1-3 by C1-6 alkyl, C2-6 alkenyl, halogen, cyano, C1-6 haloalkyl, -NR4'R5 ', C1-6 alkoxy May be replaced,
以上におけるNR4’R5’におけるR4’及びR5’は、それぞれ独立して水素原子、C1-6アルキル、4-6員ヘテロ脂肪族環を表し、
以上におけるR4~R9はそれぞれ態様[1-1]に記載の定義と同じである。)で表される含窒素化合物、または薬学的に許容できるその塩またはそれらの溶媒和物。
R4 ′ and R5 ′ in NR4′R5 ′ in the above each independently represent a hydrogen atom, C1-6 alkyl, a 4-6 membered heteroaliphatic ring,
R4 to R9 in the above are the same as defined in the embodiment [1-1]. Or a pharmaceutically acceptable salt or solvate thereof.
[4-1]
態様 [1-1]の式(I)で表される含窒素化合物、または薬学的に許容できるその塩またはそれらの溶媒和物において、好ましい態様は、例えば以下のように表現される。
下記式(I-1)
Figure JPOXMLDOC01-appb-C000078
(式中、
環Aを含むヘテロ縮合環、L1, L2, X1, X2, X3, X4, X5, R1および、リンカー(-L1-L2-部位)はそれぞれ態様[1-1]に記載の定義と同じであり、
R10はハロゲン、シアノ、ヒドロキシ、C1-6アルコキシ、NR4’R5’、COR7’ ’、 ヒドロキシC1-6アルキル、又はC1-6アルキルを表し、当該COR7’ ’におけるR7’ ’は、C1-6アルキル、C1-6アルコキシ、ヒドロキシを表し、
以上におけるR4’, R5’はそれぞれ態様[1-1]に記載の定義と同じである。)で表される含窒素化合物、または薬学的に許容できるその塩またはそれらの溶媒和物。
[4-1]
In the nitrogen-containing compound represented by the formula (I) of the embodiment [1-1], or a pharmaceutically acceptable salt or solvate thereof, a preferable embodiment is expressed as follows, for example.
The following formula (I-1)
Figure JPOXMLDOC01-appb-C000078
(Where
The hetero-fused ring containing ring A, L1, L2, X1, X2, X3, X4, X5, R1, and the linker (-L1-L2-site) are the same as defined in embodiment [1-1]. ,
R10 represents halogen, cyano, hydroxy, C1-6 alkoxy, NR4′R5 ′, COR7 ′ ′, hydroxy C1-6 alkyl, or C1-6 alkyl, and R7 ′ ′ in the COR7 ′ ′ is C1-6 alkyl , C1-6 alkoxy, hydroxy,
R4 ′ and R5 ′ in the above are the same as defined in the embodiment [1-1]. Or a pharmaceutically acceptable salt or solvate thereof.
[4-2] 
態様 [1-1]の式(I)で表される含窒素化合物、または薬学的に許容できるその塩またはそれらの溶媒和物において、好ましい態様は、例えば以下のように表現される。
下記式(I-2)
Figure JPOXMLDOC01-appb-C000079
(式中、
環Aを含むヘテロ縮合環、X1, X2, X3, X4, X5, R1はそれぞれ態様[1-1]に記載の定義と同じであり、
環Aを含むヘテロ縮合環と含窒素6員環との間にあるリンカー(-L1-L2-部位)は、
Figure JPOXMLDOC01-appb-C000080
として、-CH=CH-、を表し、-CH=CH-は好ましくはE体を表し、
或いは以下に示すシクロプロパン環を形成してもよく、
Figure JPOXMLDOC01-appb-C000081
R10はハロゲン、シアノ、ヒドロキシ、C1-6アルコキシ、NR4’R5’、COR7’ ’、ヒドロキシC1-6アルキル、又はC1-6アルキルを表し、当該COR7’ ’におけるR7’ ’は、C1-6アルキル、C1-6アルコキシ、又はヒドロキシを表し、
以上におけるR4’, R5’はそれぞれ態様[1-1]に記載の定義と同じである。)で表される。
[4-2]
In the nitrogen-containing compound represented by the formula (I) of the embodiment [1-1], or a pharmaceutically acceptable salt or solvate thereof, a preferable embodiment is expressed as follows, for example.
The following formula (I-2)
Figure JPOXMLDOC01-appb-C000079
(Where
Heterocondensed ring containing ring A, X1, X2, X3, X4, X5, R1 is the same as defined in the embodiment [1-1],
The linker (-L1-L2-site) between the hetero condensed ring containing ring A and the nitrogen-containing 6-membered ring is
Figure JPOXMLDOC01-appb-C000080
-CH = CH-, -CH = CH- preferably represents E-form,
Or you may form the cyclopropane ring shown below,
Figure JPOXMLDOC01-appb-C000081
R10 represents halogen, cyano, hydroxy, C1-6 alkoxy, NR4′R5 ′, COR7 ′ ′, hydroxy C1-6 alkyl, or C1-6 alkyl, and R7 ′ ′ in the COR7 ′ ′ is C1-6 alkyl , C1-6 alkoxy or hydroxy
R4 ′ and R5 ′ in the above are the same as defined in the embodiment [1-1]. ).
 また、本発明は、次の態様[4-3]を含む。
[4-3]
 下記式(I-3)
Figure JPOXMLDOC01-appb-C000082
(式中、
L1及びL2は、それぞれ独立してCH2、CH、O、S、SO、 SO2、N、又はNHを表し、環Aを含むヘテロ縮合環と含窒素6員環とのリンカーは、
Figure JPOXMLDOC01-appb-C000083
として、-CH2-CH2-、-CH=CH-、-O-CH2-、-CH2-O-、-NH-CH2-、-CH2-NH-、-N=CH-、-CH=N-、-S-CH2-、-CH2-S-、-SO-CH2-、-CH2-SO-、-SO2-CH2-、又は-CH2-SO2-を表し、或いはシクロプロパン環若しくはシクロブタン環を形成してもよく、
Further, the present invention includes the following aspect [4-3].
[4-3]
The following formula (I-3)
Figure JPOXMLDOC01-appb-C000082
(Where
L1 and L2 each independently represent CH2, CH, O, S, SO, SO2, N, or NH, and the linker between the hetero-fused ring containing ring A and the nitrogen-containing 6-membered ring is
Figure JPOXMLDOC01-appb-C000083
-CH2-CH2-, -CH = CH-, -O-CH2-, -CH2-O-, -NH-CH2-, -CH2-NH-, -N = CH-, -CH = N-, -S-CH2-, -CH2-S-, -SO-CH2-, -CH2-SO-, -SO2-CH2-, or -CH2-SO2-, or forming a cyclopropane ring or a cyclobutane ring Well,
L1、L2のそれぞれにおけるCH, CH2はC1-6アルキル、C1-6ハロアルキル、C1-6アルケニル、オキソ、ヒドロキシ、ハロゲン、NR4’R5’で1-2個置換されていてもよく、当該C1-6アルキルは更にヒドロキシ、オキソ、NR4’R5’で独立して1-3個置換されていてもよく、L1、L2のそれぞれにおけるNHはC1-6アルキルで置換されていてもよく、当該C1-6アルキルは更にオキソ、ヒドロキシで1-2個置換されていてもよく、
R1は、水素原子、NR4R5、OR6、ハロゲン、シアノ、フェニル、4-6員ヘテロ脂肪族環、3-6員脂肪族環、5-6員ヘテロアリール、C1-6アルキル、C1-6アルキルスルホニル、C1-6アルコキシ、COR7、又はCONR8R9を表し、
R1における当該フェニル、4-6員ヘテロ脂肪族環、3-6員脂肪族環、5-6員ヘテロアリールにおける各環はそれぞれハロゲン、オキソ、C1-6アルキル、ヒドロキシ、NR4’R5’、C1-6アルキルスルホニル、C1-6アルコキシ、シアノ、C2-6アルカノイル、COR7、又はCONR8R9で独立して1-2個置換されていてもよく、
R1における当該C1-6アルキル、C1-6アルコキシ、C1-6アルキルスルホニルは更にハロゲン、オキソ、ヒドロキシ、C1-6アルコキシ、-NR4’R5’でそれぞれ独立して1-3個置換されていてもよく
R1における当該NR4R5におけるR4及びR5は、それぞれ独立して水素原子、フェニル、5-6員ヘテロアリール、縮環式のヘテロアリール、4-6員ヘテロ脂肪族環、3-6員脂肪族環、C1-6アルキル、又はC1-6アルキルスルホニルを表し、
CH1 and CH2 in each of L1 and L2 may be substituted by C1-6 alkyl, C1-6 haloalkyl, C1-6 alkenyl, oxo, hydroxy, halogen, or NR4′R5 ′, and the C1- 6 alkyl may further be independently substituted with 1-3 hydroxy, oxo, NR4′R5 ′, NH in each of L1, L2 may be substituted with C1-6 alkyl, the C1- 6 alkyl may be further substituted with 1-2 oxo, hydroxy,
R1 is a hydrogen atom, NR4R5, OR6, halogen, cyano, phenyl, 4-6 membered heteroaliphatic ring, 3-6 membered aliphatic ring, 5-6 membered heteroaryl, C1-6 alkyl, C1-6 alkylsulfonyl , C1-6 alkoxy, COR7, or CONR8R9,
The ring in R1, phenyl, 4-6 membered heteroaliphatic ring, 3-6 membered aliphatic ring, and 5-6 membered heteroaryl are each halogen, oxo, C1-6 alkyl, hydroxy, NR4'R5 ', C1 Optionally substituted with 1-2 alkylsulfonyl, C1-6 alkoxy, cyano, C2-6 alkanoyl, COR7, or CONR8R9,
The C1-6 alkyl, C1-6 alkoxy and C1-6 alkylsulfonyl in R1 may be further independently substituted with 1-3 of halogen, oxo, hydroxy, C1-6 alkoxy, and —NR4′R5 ′. Often
R4 and R5 in NR4R5 in R1 are each independently a hydrogen atom, phenyl, 5-6 membered heteroaryl, condensed heteroaryl, 4-6 membered heteroaliphatic ring, 3-6 membered aliphatic ring, Represents C1-6 alkyl, or C1-6 alkylsulfonyl,
当該R4又はR5におけるフェニル、5-6員ヘテロアリール、縮環式のヘテロアリール、4-6員ヘテロ脂肪族環、3-6員脂肪族環はハロゲン、オキソ、ヒドロキシ、NR4’R5’、C1-6アルキル、C1-6アルキルスルホニル又はC1-6アルコキシで独立して1-2個置換されていてもよく、当該C1-6アルキル、C1-6アルキルスルホニル又はC1-6アルコキシは更にハロゲン、オキソ、ヒドロキシ、C1-6アルコキシ、-NR4’R5’でそれぞれ独立して1-3個置換されていてもよく、
当該R4又はR5におけるC1-6アルキル、C1-6アルキルスルホニル又はC1-6アルコキシはそれぞれ更にハロゲン、オキソ、ヒドロキシ、C1-6アルコキシ、-NR4’R5’でそれぞれ独立して1-3個置換されていてもよく、
ただしR1におけるR4及びR5は同時に水素原子ではなく、
In the R4 or R5, phenyl, 5-6 membered heteroaryl, condensed heteroaryl, 4-6 membered heteroaliphatic ring, 3-6 membered aliphatic ring are halogen, oxo, hydroxy, NR4′R5 ′, C1 -6 alkyl, C1-6 alkylsulfonyl or C1-6 alkoxy may be independently 1-2 substituted, and the C1-6 alkyl, C1-6 alkylsulfonyl or C1-6 alkoxy is further substituted with halogen, oxo , Hydroxy, C1-6 alkoxy, and -NR4'R5 'each independently may be substituted 1-3,
C1-6 alkyl, C1-6 alkylsulfonyl or C1-6 alkoxy in R4 or R5 is further independently substituted with 1-3 of halogen, oxo, hydroxy, C1-6 alkoxy, or —NR4′R5 ′. You may,
However, R4 and R5 in R1 are not hydrogen atoms at the same time,
R1における当該OR6におけるR6はフェニル、5-6員ヘテロアリール、4-6員ヘテロ脂肪族環、3-6員脂肪族環、又はC1-6アルキルを表し、
R6における当該フェニル、4-6員ヘテロ脂肪族環、5-6員ヘテロアリール、3-6員脂肪族環はハロゲン、オキソ、ヒドロキシ、NR4’R5’、C1-6アルキル、C1-6アルキルスルホニル又はC1-6アルコキシで独立して1-2個置換されていてもよく、当該C1-6アルキル、C1-6アルキルスルホニル又はC1-6アルコキシは更にハロゲン、オキソ、ヒドロキシ、C1-6アルコキシ、-NR4’R5’でそれぞれ独立して1-3個置換されていてもよく、
R1における当該OR6におけるC1-6アルキルは、更にハロゲン、オキソ、ヒドロキシ、C1-6アルコキシ、-NR4’R5’でそれぞれ独立して1-3個置換されていてもよく、
R1及びR1における前記各環における当該COR7におけるR7は、フェニル、4-6員ヘテロ脂肪族環、C1-6アルキル、C1-6アルコキシ、又はヒドロキシを表し、
R7における当該フェニル、4-6員ヘテロ脂肪族環はハロゲン、オキソ、ヒドロキシ、NR4’R5’、C1-6アルキル、C1-6アルキルスルホニル又はC1-6アルコキシで独立して1-2個置換されていてもよく、当該C1-6アルキル、C1-6アルキルスルホニル又はC1-6アルコキシは更にハロゲン、オキソ、ヒドロキシ、C1-6アルコキシ、-NR4’R5’でそれぞれ独立して1-3個置換されていてもよく、
R1及びR1における前記各環における当該CONR8R9におけるR8、R9は、それぞれ独立して水素原子、フェニル、5-6員ヘテロアリール、C1-6アルキル、又はC1-6アルキルスルホニルを表し、
R8、R9における当該フェニル、5-6員ヘテロアリールはハロゲン、オキソ、C1-6アルキル、ヒドロキシ、NR4’R5’、C1-6アルキルスルホニル又はC1-6アルコキシで独立して1-2個置換されていてもよく、
R6 in OR6 in R1 represents phenyl, 5-6 membered heteroaryl, 4-6 membered heteroaliphatic ring, 3-6 membered aliphatic ring, or C1-6 alkyl,
The phenyl in R6, 4-6 membered heteroaliphatic ring, 5-6 membered heteroaryl, 3-6 membered aliphatic ring is halogen, oxo, hydroxy, NR4'R5 ', C1-6 alkyl, C1-6 alkylsulfonyl Alternatively, C1-6 alkoxy may be independently substituted with 1-2, and the C1-6 alkyl, C1-6 alkylsulfonyl or C1-6 alkoxy is further halogen, oxo, hydroxy, C1-6 alkoxy,- Each of NR4′R5 ′ may be independently substituted 1-3,
C1-6 alkyl in OR6 in R1 may be further independently substituted with 1-3 of halogen, oxo, hydroxy, C1-6 alkoxy, —NR4′R5 ′,
R7 in COR7 in each ring in R1 and R1 represents phenyl, 4-6 membered heteroaliphatic ring, C1-6 alkyl, C1-6 alkoxy, or hydroxy;
The phenyl, 4-6 membered heteroaliphatic ring in R7 is independently substituted with 1-2 halogen, oxo, hydroxy, NR4'R5 ', C1-6 alkyl, C1-6 alkylsulfonyl or C1-6 alkoxy. The C1-6 alkyl, C1-6 alkylsulfonyl or C1-6 alkoxy is further independently substituted with 1-3 of halogen, oxo, hydroxy, C1-6 alkoxy, and —NR4′R5 ′. You may,
R8 and R9 in CONR8R9 in each ring in R1 and R1 each independently represent a hydrogen atom, phenyl, 5-6 membered heteroaryl, C1-6 alkyl, or C1-6 alkylsulfonyl,
The phenyl and 5-6 membered heteroaryl in R8 and R9 are independently substituted with 1-2 halogen, oxo, C1-6 alkyl, hydroxy, NR4′R5 ′, C1-6 alkylsulfonyl or C1-6 alkoxy. You may,
R8、R9におけるC1-6アルキル、C1-6アルキルスルホニルは更にハロゲン、オキソ、ヒドロキシ、C1-6アルコキシ、-NR4’R5’でそれぞれ独立して1-3個置換されていてもよく、
R2は4-6員ヘテロ脂肪族環、NR4’ ’R5’ ’、OR6’、フェニル、又は5-6員ヘテロアリールを表し、
R2における4-6員ヘテロ脂肪族環、5-6員ヘテロアリールの各環はハロゲン、オキソ、ヒドロキシ、C1-6アルコキシ、NR4’R5’、COR7’、C1-6アルキルで1-2個置換されていてもよく、当該C1-6アルコキシ、C1-6アルキルはハロゲン、ヒドロキシ、シアノで1-2個置換されていてもよく、
C1-6 alkyl and C1-6 alkylsulfonyl in R8 and R9 may be further independently substituted with 1-3 of halogen, oxo, hydroxy, C1-6 alkoxy, and —NR4′R5 ′,
R2 represents a 4-6 membered heteroaliphatic ring, NR4′′R5 ′ ′, OR6 ′, phenyl, or 5-6 membered heteroaryl,
Each ring of 4-6 membered heteroaliphatic ring and 5-6 membered heteroaryl in R2 is substituted with 1-2 halogen, oxo, hydroxy, C1-6 alkoxy, NR4'R5 ', COR7', C1-6 alkyl The C1-6 alkoxy, C1-6 alkyl may be substituted with 1-2 halogen, hydroxy, cyano,
R2における当該COR7’におけるR7’は、フェニル、4-6員ヘテロ脂肪族環、C1-6アルキル、C1-6アルコキシ、又はヒドロキシを表し、
R2における当該OR6’におけるR6’はフェニル、5-6員ヘテロアリール、4-6員ヘテロ脂肪族環、又は3-6員脂肪族環を表し、
R6’における当該フェニル、4-6員ヘテロ脂肪族環、5-6員ヘテロアリール、3-6員脂肪族環の各環はハロゲン、オキソ、ヒドロキシ、NR4’R5’、C1-6アルキル、C1-6アルキルスルホニル又はC1-6アルコキシで独立して1-2個置換されていてもよく、当該C1-6アルキル、C1-6アルキルスルホニル又はC1-6アルコキシは更にハロゲン、オキソ、ヒドロキシ、C1-6アルコキシ、-NR4’R5’でそれぞれ独立して1-3個置換されていてもよく、
R2における当該NR4’ ’R5’ ’におけるR4’ ’及びR5’ ’は、それぞれ独立して水素原子、フェニル、5-6員ヘテロアリール、4-6員ヘテロ脂肪族環、3-6員脂肪族環、C1-6アルキル、又はC1-6アルキルスルホニルを表し、
R7 ′ in the COR7 ′ in R2 represents phenyl, a 4-6 membered heteroaliphatic ring, C1-6 alkyl, C1-6 alkoxy, or hydroxy,
R6 ′ in the OR6 ′ in R2 represents phenyl, 5-6 membered heteroaryl, 4-6 membered heteroaliphatic ring, or 3-6 membered aliphatic ring,
Each of the phenyl, 4-6 membered heteroaliphatic ring, 5-6 membered heteroaryl, 3-6 membered aliphatic ring in R6 ′ is halogen, oxo, hydroxy, NR4′R5 ′, C1-6 alkyl, C1 -6 alkylsulfonyl or C1-6 alkoxy may be independently substituted with 1-2, and the C1-6 alkyl, C1-6 alkylsulfonyl or C1-6 alkoxy is further halogen, oxo, hydroxy, C1- Each may be independently substituted with 6 alkoxy, -NR4'R5 ',
R4 ′ ′ and R5 ′ ′ in NR4′′R5 ′ ′ in R2 are each independently a hydrogen atom, phenyl, 5-6 membered heteroaryl, 4-6 membered heteroaliphatic ring, 3-6 membered aliphatic Represents a ring, C1-6 alkyl, or C1-6 alkylsulfonyl;
当該R4’ ’又はR5’ ’におけるフェニル、5-6員ヘテロアリール、4-6員ヘテロ脂肪族環、3-6員脂肪族環はハロゲン、オキソ、ヒドロキシ、NR4’R5’、C1-6アルキル、C1-6アルキルスルホニル又はC1-6アルコキシで独立して1-2個置換されていてもよく、当該C1-6アルキル、C1-6アルキルスルホニル又はC1-6アルコキシは更にハロゲン、オキソ、ヒドロキシ、C1-6アルコキシ、-NR4’R5’でそれぞれ独立して1-3個置換されていてもよく、
当該R4’ ’又はR5’ ’におけるC1-6アルキル、C1-6アルキルスルホニル又はC1-6アルコキシはそれぞれ更にハロゲン、オキソ、ヒドロキシ、C1-6アルコキシ、-NR4’R5’でそれぞれ独立して1-3個置換されていてもよく、
ただしR2におけるR4’ ’及びR5’ ’は同時に水素原子ではなく、
Phenyl, 5-6 membered heteroaryl, 4-6 membered heteroaliphatic ring and 3-6 membered aliphatic ring in the R4 ′ ′ or R5 ′ ′ are halogen, oxo, hydroxy, NR4′R5 ′, C1-6 alkyl , C1-6 alkylsulfonyl or C1-6 alkoxy may be independently 1-2 substituted, and the C1-6 alkyl, C1-6 alkylsulfonyl or C1-6 alkoxy is further halogen, oxo, hydroxy, Each may be independently substituted with 1-3 of C1-6 alkoxy and -NR4'R5 ',
C1-6 alkyl, C1-6 alkylsulfonyl or C1-6 alkoxy in the R4 ′ ′ or R5 ′ ′ is further independently halogen, oxo, hydroxy, C1-6 alkoxy, or —NR4′R5 ′. 3 may be replaced,
However, R4 ′ ′ and R5 ′ ′ in R2 are not hydrogen atoms at the same time,
X1はCR3又はNを表し、R3は水素原子、C1-6アルキル又はOR6’ ’を表し、
R3における当該OR6’ ’におけるR6’ ’は、フェニル、5-6員ヘテロアリール、縮環式のヘテロアリール、4-6員ヘテロ脂肪族環、3-6員脂肪族環、C1-6アルキル、C2-6アルカノイル、又は水素原子を表し、
R6’ ’における当該フェニル、4-6員ヘテロ脂肪族環、5-6員ヘテロアリール、縮環式のヘテロアリール、3-6員脂肪族環はハロゲン、ヒドロキシ、NR4’R5’、C1-6アルキル、C1-6アルキルスルホニル又はC1-6アルコキシで独立して1-2個置換されていてもよく、当該各環は置換可能であればオキソで1-2個置換されていてもよく、各環における当該C1-6アルキル、C1-6アルキルスルホニル又はC1-6アルコキシは更にハロゲン、オキソ、ヒドロキシ、C1-6アルコキシ、-NR4’R5’でそれぞれ独立して1-3個置換されていてもよく、
R6’ ’における当該C1-6アルキル、又はC2-6アルカノイルの各置換基は、更にハロゲン、オキソ、ヒドロキシ、C1-6アルコキシ、フェニル、5-6員ヘテロアリール、-NR4’R5’でそれぞれ独立して1-3個置換されていてもよく、
R6’ ’におけるC1-6アルキル又はC2-6アルカノイルの各置換基における、当該フェニル、5-6員ヘテロアリールは、それぞれヒドロキシ、C1-6アルコキシでそれぞれ独立して1-3個置換されていてもよく、
以上における-NR4’R5’におけるR4’及びR5’は、それぞれ独立して水素原子、又はC1-6アルキルを表し、
環Aを含むヘテロ縮合環においてX2、X3及びX4はそれぞれ独立してC, CH又はNを表し、当該縮合環は以下からなる群より選択され、
Figure JPOXMLDOC01-appb-C000084
それぞれにおける6員環A部位、又は隣接する含窒素5員環はC1-6アルキル、ハロゲン、C1-6ハロアルキル、C1-6アルコキシで1-2個置換されていてもよい。)で表される含窒素化合物、または薬学的に許容できるその塩またはそれらの溶媒和物であり、ただし、2-((イミダゾ[1,2-a]ピリミジン-2-イルメチル)チオ)-6-メチルーN-フェニルピリミジンー4-アミン、4-(2-((イミダゾ[1,2-a]ピリミジンー2-イルメチル)チオ)-6-メチルピリミジンー4-イル)モルホリン、または薬学的に許容できるその塩またはそれらの溶媒和物は除く。
[4-4]
態様 [1-1]の式(I)で表される含窒素化合物、または薬学的に許容できるその塩またはそれらの溶媒和物において、好ましい態様は、例えば以下のように表現される。
下記式(I-4)
Figure JPOXMLDOC01-appb-C000085
(式中、環Aを含むヘテロ縮合環、X1, X2, X3, X4, X5, R1, R10はそれぞれ態様[1-1]に記載の定義と同じであり、環Aを含むヘテロ縮合環と含窒素6員環との間にあるリンカー(-L1-L2-部位)は、-CH=CH-(E体)を表す)で表される。
[4-5]
態様 [1-1]の式(I)で表される含窒素化合物、または薬学的に許容できるその塩またはそれらの溶媒和物において、好ましい態様は、例えば以下のように表現される。
下記式(I-5)
Figure JPOXMLDOC01-appb-C000086
(式中、*は不斉中心を表わし、環Aを含むヘテロ縮合環、X1, X2, X3, X4, X5, R1, R10はそれぞれ態様[1-1]に記載の定義と同じであり、環Aを含むヘテロ縮合環と含窒素6員環との間にあるリンカー(-L1-L2-部位)はシクロプロパン環を表す)で表される。
X1 represents CR3 or N, R3 represents a hydrogen atom, C1-6 alkyl or OR6 ′ ′,
R6 ′ ′ in the OR6 ′ ′ in R3 is phenyl, 5-6 membered heteroaryl, condensed heteroaryl, 4-6 membered heteroaliphatic ring, 3-6 membered aliphatic ring, C1-6 alkyl, C2-6 represents an alkanoyl or hydrogen atom,
The phenyl in R6 ′ ′, 4-6 membered heteroaliphatic ring, 5-6 membered heteroaryl, condensed heteroaryl, 3-6 membered aliphatic ring is halogen, hydroxy, NR4′R5 ′, C1-6 It may be independently substituted with 1-2 alkyl, C1-6 alkylsulfonyl, or C1-6 alkoxy, and each ring may be substituted with 1-2 oxo if it can be substituted. The C1-6 alkyl, C1-6 alkylsulfonyl or C1-6 alkoxy in the ring may be further independently substituted with 1-3 of halogen, oxo, hydroxy, C1-6 alkoxy, or —NR4′R5 ′. Often,
Each substituent of the C1-6 alkyl or C2-6 alkanoyl in R6 ′ ′ is further independently halogen, oxo, hydroxy, C1-6 alkoxy, phenyl, 5-6 membered heteroaryl, or —NR4′R5 ′. 1-3 may be substituted,
In each substituent of C1-6 alkyl or C2-6 alkanoyl in R6 ′ ′, the phenyl and 5-6-membered heteroaryl are each independently substituted with 1-3 of hydroxy and C1-6 alkoxy. Well,
R4 ′ and R5 ′ in —NR4′R5 ′ in the above each independently represent a hydrogen atom or C1-6 alkyl,
X2, X3 and X4 each independently represent C, CH or N in the hetero condensed ring containing ring A, and the condensed ring is selected from the group consisting of:
Figure JPOXMLDOC01-appb-C000084
Each 6-membered ring A site or adjacent nitrogen-containing 5-membered ring may be substituted with 1-2 C1-6 alkyl, halogen, C1-6 haloalkyl, C1-6 alkoxy. Or a pharmaceutically acceptable salt or solvate thereof, provided that 2-((imidazo [1,2-a] pyrimidin-2-ylmethyl) thio) -6 -Methyl-N-phenylpyrimidin-4-amine, 4- (2-((imidazo [1,2-a] pyrimidin-2-ylmethyl) thio) -6-methylpyrimidin-4-yl) morpholine, or pharmaceutically acceptable The possible salts or solvates thereof are excluded.
[4-4]
In the nitrogen-containing compound represented by the formula (I) of the embodiment [1-1], or a pharmaceutically acceptable salt or solvate thereof, a preferable embodiment is expressed as follows, for example.
The following formula (I-4)
Figure JPOXMLDOC01-appb-C000085
(In the formula, hetero-fused ring containing ring A, X1, X2, X3, X4, X5, R1, and R10 are the same as defined in the embodiment [1-1], and the hetero-fused ring containing ring A and The linker (-L1-L2-site) between the nitrogen-containing 6-membered ring is represented by -CH = CH- (E form)).
[4-5]
In the nitrogen-containing compound represented by the formula (I) of the embodiment [1-1], or a pharmaceutically acceptable salt or solvate thereof, a preferable embodiment is expressed as follows, for example.
Following formula (I-5)
Figure JPOXMLDOC01-appb-C000086
(In the formula, * represents an asymmetric center, a hetero-condensed ring containing ring A, X1, X2, X3, X4, X5, R1, R10 are each the same as defined in the embodiment [1-1]; A linker (-L1-L2-site) between the hetero condensed ring containing ring A and the nitrogen-containing 6-membered ring represents a cyclopropane ring).
[5-1]
  本願発明の好ましい化合物として、以下のものが例示される。
(実施例1化合物)
(E)-2-(2-(6-(アゼチジン-1-イル)ピリジン-2-イル)ビニル)-5,8-ジメチル-[1,2,4]トリアゾロ[1,5-a]ピラジン
(実施例2化合物)
2-(2-(6-(アゼチジン-1-イル)ピリジン-2-イル)エチル)-5,8-ジメチル-[1,2,4]トリアゾロ[1,5-a]ピラジン
(実施例3化合物)
(E)-5,8-ジメチル-2-(2-(6-(ピロリジン-1-イル)ピリジン-2-イル)ビニル)-[1,2,4]トリアゾロ[1,5-a]ピラジン
(実施例4化合物)
5,8-ジメチル-2-(2-(6-(ピロロジン-1-イル)ピリジン-2-イル)エチル)-[1,2,4]トリアゾロ[1,5-a]ピラジン
[5-1]
The following are illustrated as a preferable compound of this invention.
Example 1 Compound
(E) -2- (2- (6- (azetidin-1-yl) pyridin-2-yl) vinyl) -5,8-dimethyl- [1,2,4] triazolo [1,5-a] pyrazine Example 2 Compound
2- (2- (6- (azetidin-1-yl) pyridin-2-yl) ethyl) -5,8-dimethyl- [1,2,4] triazolo [1,5-a] pyrazine (Example 3) Compound)
(E) -5,8-dimethyl-2- (2- (6- (pyrrolidin-1-yl) pyridin-2-yl) vinyl)-[1,2,4] triazolo [1,5-a] pyrazine Example 4 Compound
5,8-Dimethyl-2- (2- (6- (pyrrolodin-1-yl) pyridin-2-yl) ethyl)-[1,2,4] triazolo [1,5-a] pyrazine
(実施例5化合物)
(R,E)-2-(2-(6-(3-フルオロピロリジン-1-イル)ピリジン-2-イル)ビニル)-5,8-ジメチル-[1,2,4]トリアゾロ[1,5-a]ピラジン
(実施例6化合物)
(R,E)-2-(2-(6-(2-(メトキシメチル)ピロリジン-1-イル)ピリジン-2-イル)ビニル)-5,8-ジメチル-[1,2,4]トリアゾロ[1,5-a]ピラジン
(実施例7化合物)
(E)-5,8-ジメチル-2-(2-(6-(3-メチルアゼチジン-1-イル)ピリジン-2-イル)ビニル)-[1,2,4]トリアゾロ[1,5-a]ピラジン
(実施例8化合物)
(E)-2-(2-(4-クロロ-6-(ピロリジン-1-イル)ピリジン-2-イル)ビニル)5,8-ジメチル-[1,2,4]トリアゾロ[1,5-a]ピラジン
Example 5 Compound
(R, E) -2- (2- (6- (3-Fluoropyrrolidin-1-yl) pyridin-2-yl) vinyl) -5,8-dimethyl- [1,2,4] triazolo [1, 5-a] pyrazine (Compound of Example 6)
(R, E) -2- (2- (6- (2- (methoxymethyl) pyrrolidin-1-yl) pyridin-2-yl) vinyl) -5,8-dimethyl- [1,2,4] triazolo [1,5-a] pyrazine (Compound of Example 7)
(E) -5,8-dimethyl-2- (2- (6- (3-methylazetidin-1-yl) pyridin-2-yl) vinyl)-[1,2,4] triazolo [1,5 -A] pyrazine (Compound of Example 8)
(E) -2- (2- (4-Chloro-6- (pyrrolidin-1-yl) pyridin-2-yl) vinyl) 5,8-dimethyl- [1,2,4] triazolo [1,5- a] Pyrazine
(実施例9化合物)
(E)-2-(2-(5,8-ジメチル-[1,2,4]トリアゾロ[1,5-a]ピラジン-2-イル)ビニル)-6-(ピロリジン-1-イル)-N-(テトラヒドロヒドロ-2H-ピラン-4-イル)-ピリミジン-4-アミン
(実施例10化合物)
2-(2-(5,8-ジメチル-[1,2,4]トリアゾロ[1,5-a]ピラジン-2-イル)エチル)-6-(ピロリジン-1-イル)-N-(テトラヒドロヒドロ-2H-ピラン-4-イル)ピリミジン-4-アミン
(実施例11化合物)
(E)-4-(2-(2-(5,8-ジメチル-[1,2,4]トリアゾロ[1,5-a]ピラジン-2-イル)ビニル)-6-(ピロリジン-1-イル)ピリミジン-4-イル)モルフォリン
(実施例12化合物)
4-(2-(2-(5,8-ジメチル-[1,2,4]トリアゾロ[1,5-a]ピラジン-2-イル)エチル)-6-(ピロリジン-1-イル)ピリミジン-4-イル)モルフォリン
Example 9 Compound
(E) -2- (2- (5,8-dimethyl- [1,2,4] triazolo [1,5-a] pyrazin-2-yl) vinyl) -6- (pyrrolidin-1-yl)- N- (Tetrahydrohydro-2H-pyran-4-yl) -pyrimidin-4-amine (Compound of Example 10)
2- (2- (5,8-dimethyl- [1,2,4] triazolo [1,5-a] pyrazin-2-yl) ethyl) -6- (pyrrolidin-1-yl) -N- (tetrahydro Hydro-2H-pyran-4-yl) pyrimidin-4-amine (Compound of Example 11)
(E) -4- (2- (2- (5,8-dimethyl- [1,2,4] triazolo [1,5-a] pyrazin-2-yl) vinyl) -6- (pyrrolidine-1- Yl) pyrimidin-4-yl) morpholine (Compound of Example 12)
4- (2- (2- (5,8-dimethyl- [1,2,4] triazolo [1,5-a] pyrazin-2-yl) ethyl) -6- (pyrrolidin-1-yl) pyrimidine- 4-yl) morpholine
(実施例13化合物)
(E)-2-(2-(5,8-ジメチル-[1,2,4]トリアゾロ[1,5-a]ピラジン-2-イル)ビニル)-N,N-ジエチル-6-(ピロリジン-1-イル)-ピリミジン-4-アミン
(実施例14化合物)
(E)-(5,8-ジメチル-2-(2-(4-(ピペリジン-1-イル)-6-(ピロリジン-1-イル)-ピリミジン-2-イル)ビニル-[1,2,4]トリアゾロ[1,5-a]ピラジン
(実施例15化合物)
(E)-2-(2-(5,8-ジメチル-[1,2,4]トリアゾロ[1,5-a]ピラジン-2-イル)ビニル)-N-(ピリジン-2-イル)-6-(ピロリジン-1-イル)ピリミジン-4-アミン
Example 13 Compound
(E) -2- (2- (5,8-dimethyl- [1,2,4] triazolo [1,5-a] pyrazin-2-yl) vinyl) -N, N-diethyl-6- (pyrrolidine -1-yl) -pyrimidin-4-amine (Compound of Example 14)
(E)-(5,8-Dimethyl-2- (2- (4- (piperidin-1-yl) -6- (pyrrolidin-1-yl) -pyrimidin-2-yl) vinyl- [1,2, 4] Triazolo [1,5-a] pyrazine (Compound of Example 15)
(E) -2- (2- (5,8-dimethyl- [1,2,4] triazolo [1,5-a] pyrazin-2-yl) vinyl) -N- (pyridin-2-yl)- 6- (Pyrrolidin-1-yl) pyrimidin-4-amine
(実施例16化合物)
(E)-2-(2-(4-(4-フルオロフェニル)-6-(ピロリジン-1-イル)ピリミジン-2-イル)ビニル)-5,8-ジメチル[1,2,4]トリアゾロ[1,5-a]ピラジン
(実施例17化合物)
(E)-2-(2-(4-(4-フルオロフェノキシ)-6-(ピロリジン-1-イル)-ピリミジン-2-イル)ビニル)-5,8-ジメチル[1,2,4]トリアゾロ[1,5-a]ピラジン
(実施例18化合物)
(E)-5,8-ジメチル-2-(2-(4-(ピロリジン-1-イル)-6-((テトラヒドロ-2H-ピラン-4-イル)オキシ)ピリミジン-2-イル)ビニル)-[1,2,4]トリアゾロ[1,5-a]ピラジン
Example 16 Compound
(E) -2- (2- (4- (4-Fluorophenyl) -6- (pyrrolidin-1-yl) pyrimidin-2-yl) vinyl) -5,8-dimethyl [1,2,4] triazolo [1,5-a] pyrazine (Compound of Example 17)
(E) -2- (2- (4- (4-Fluorophenoxy) -6- (pyrrolidin-1-yl) -pyrimidin-2-yl) vinyl) -5,8-dimethyl [1,2,4] Triazolo [1,5-a] pyrazine (Example 18 compound)
(E) -5,8-dimethyl-2- (2- (4- (pyrrolidin-1-yl) -6-((tetrahydro-2H-pyran-4-yl) oxy) pyrimidin-2-yl) vinyl) [1,2,4] triazolo [1,5-a] pyrazine
[5-2]
 本願発明の好ましい化合物として、以下のものが例示される。
以下で表される化合物名称、及び本願で表記される化合物名称はCambridgeSoft ChemBioDraw Ultra 12.0.2.1076の化合物名称命名プログラムに従って得られた英語名称に基づく。当該英語名称より、当業者が知る化学構造を表す日本語に変換している。
Figure JPOXMLDOC01-appb-T000087
Figure JPOXMLDOC01-appb-T000088
Figure JPOXMLDOC01-appb-T000089
Figure JPOXMLDOC01-appb-T000090
Figure JPOXMLDOC01-appb-T000091
Figure JPOXMLDOC01-appb-T000092
Figure JPOXMLDOC01-appb-T000093
Figure JPOXMLDOC01-appb-T000094
Figure JPOXMLDOC01-appb-T000095
Figure JPOXMLDOC01-appb-T000096
Figure JPOXMLDOC01-appb-T000097
Figure JPOXMLDOC01-appb-T000098
Figure JPOXMLDOC01-appb-T000099
Figure JPOXMLDOC01-appb-T000100
Figure JPOXMLDOC01-appb-T000101
Figure JPOXMLDOC01-appb-T000102
Figure JPOXMLDOC01-appb-T000103
Figure JPOXMLDOC01-appb-T000104
Figure JPOXMLDOC01-appb-T000105
Figure JPOXMLDOC01-appb-T000106
Figure JPOXMLDOC01-appb-T000107
Figure JPOXMLDOC01-appb-T000108
Figure JPOXMLDOC01-appb-T000109
Figure JPOXMLDOC01-appb-T000110
Figure JPOXMLDOC01-appb-T000111
Figure JPOXMLDOC01-appb-T000112
Figure JPOXMLDOC01-appb-T000113
Figure JPOXMLDOC01-appb-T000114
Figure JPOXMLDOC01-appb-T000115
Figure JPOXMLDOC01-appb-T000116
Figure JPOXMLDOC01-appb-T000117
Figure JPOXMLDOC01-appb-T000118
[5-2]
The following are illustrated as a preferable compound of this invention.
The compound names represented below, and the compound names described herein, are based on English names obtained according to the compound name naming program of CambridgeSoft ChemBioDraw Ultra 12.0.2.1076. From the English name, it is converted into Japanese representing the chemical structure known to those skilled in the art.
Figure JPOXMLDOC01-appb-T000087
Figure JPOXMLDOC01-appb-T000088
Figure JPOXMLDOC01-appb-T000089
Figure JPOXMLDOC01-appb-T000090
Figure JPOXMLDOC01-appb-T000091
Figure JPOXMLDOC01-appb-T000092
Figure JPOXMLDOC01-appb-T000093
Figure JPOXMLDOC01-appb-T000094
Figure JPOXMLDOC01-appb-T000095
Figure JPOXMLDOC01-appb-T000096
Figure JPOXMLDOC01-appb-T000097
Figure JPOXMLDOC01-appb-T000098
Figure JPOXMLDOC01-appb-T000099
Figure JPOXMLDOC01-appb-T000100
Figure JPOXMLDOC01-appb-T000101
Figure JPOXMLDOC01-appb-T000102
Figure JPOXMLDOC01-appb-T000103
Figure JPOXMLDOC01-appb-T000104
Figure JPOXMLDOC01-appb-T000105
Figure JPOXMLDOC01-appb-T000106
Figure JPOXMLDOC01-appb-T000107
Figure JPOXMLDOC01-appb-T000108
Figure JPOXMLDOC01-appb-T000109
Figure JPOXMLDOC01-appb-T000110
Figure JPOXMLDOC01-appb-T000111
Figure JPOXMLDOC01-appb-T000112
Figure JPOXMLDOC01-appb-T000113
Figure JPOXMLDOC01-appb-T000114
Figure JPOXMLDOC01-appb-T000115
Figure JPOXMLDOC01-appb-T000116
Figure JPOXMLDOC01-appb-T000117
Figure JPOXMLDOC01-appb-T000118
[5-3]
 本願発明の好ましい化合物として、以下のものが例示される。
(実施例1P化合物)
(4-(2-(アゼチジン-1-イル)-6-(2-(5,8-ジメチル-[1,2,4]トリアゾロ[1,5-a]ピラジン-2-イル)-1-メトキシエチル)ピリミジン-4-イル)モルフォリン)
(実施例2P化合物)
(1-(6-(アゼチジン-1-イル)-4-モルフォリノピリジンン-2-イル)-2-(5,8-ジメチル-[1,2,4]トリアゾロ[1,5-a]ピラジン-2-イル)エタノール)
(実施例3P化合物)
(4-(2-(アゼチジン-1-イル)-6-(2-(5,8-ジメチル-[1,2,4]トリアゾロ[1,5-a]ピラジン-2-イル)-1-フルオロエチル)ピリジン-4-イル)モルフォリン)
(実施例4P化合物)
(1-(6-(アゼチジン-1-イル)-4-モルフォリノピリジン-2-イル)-2-(5,8-ジメチル-[1,2,4]トリアゾロ[1,5-a]ピラジン-2-イル)エタノン)
(実施例5P化合物)
(4-(2-(アゼチジン-1-イル)-6-(2-(5,8-ジメチル-[1,2,4]トリアゾロ[1,5-a]ピラジン-2-イル)-1,1-ジフルオロエチル)ピリジン-4-イル)モルフォリン)
(実施例6P化合物)
(4-(2-(アゼチジン-1-イル)-6-(3-(5,8-ジメチル-[1,2,4]-トリアゾロ[1,5-a]ピラジン-2-イル)プロプ-1-エン-2-イル)ピリジン-4-イル)モルフォリン)
(実施例7P化合物)
(4-(2-(アゼチジン-1-イル)-6-(1-((5,8-ジメチル-[1,2,4]トリアゾロ[1,5-a]ピラジン-2-イル)メチル)シクロプロピル)ピリジン-4-イル)モルフォリン)
(実施例8P化合物)
((E)-4-(2-(アゼチジン-1-イル)-6-(1-(5,8-ジメチル-[1,2,4]トリアゾロ[1,5-a]ピラジン-2-イル)プロプ-1-エン-2-イル)ピリジン-4-イル)モルフォリン)
(実施例9P化合物)
(4-(2-(アゼチジン-1-イル)-6-(1-(5,8-ジメチル-[1,2,4]トリアゾロ[1,5-a]ピラジン-2-イル)プロパン-2-イル)ピリジン-4-イル)モルフォリン)
(実施例10P化合物)
(1-(5,8-ジメチル-[1,2,4]トリアゾロ[1,5-a]ピラジン-2-イル)-2-(4-モルフォリノ-6-(ピロリジン-1-イル)ピリミジン-2-イル)エタノール)
(実施例11P化合物)
(4-(2-(2-(5,8-ジメチル-[1,2,4]トリアゾロ[1,5-a]ピラジン-2-イル)-2-フルオロエチル)-6-(ピロリジン-1-イル)ピリミジン-4-イル)モルフォリン)
(実施例12P化合物)
(4-(2-(2-(5,8-ジメチル-[1,2,4]トリアゾロ[1,5-a]ピラジン-2-イル)-2-メトキシエチル)-6-(ピロリジン-1-イル)ピリミジン-4-イル)モルフォリン)
(実施例13P化合物)
(1-(5,8-ジメチル-[1,2,4]トリアゾロ[1,5-a]ピラジン-2-イル)-2-(4-モルフォリノ-6-(ピロリジン-1-イル)ピリミジン-2-イル)エタノン)
[5-3]
The following are illustrated as a preferable compound of this invention.
Example 1P Compound
(4- (2- (azetidin-1-yl) -6- (2- (5,8-dimethyl- [1,2,4] triazolo [1,5-a] pyrazin-2-yl) -1- Methoxyethyl) pyrimidin-4-yl) morpholine)
Example 2P Compound
(1- (6- (azetidin-1-yl) -4-morpholinopyridin-2-yl) -2- (5,8-dimethyl- [1,2,4] triazolo [1,5-a] Pyrazin-2-yl) ethanol)
Example 3P Compound
(4- (2- (azetidin-1-yl) -6- (2- (5,8-dimethyl- [1,2,4] triazolo [1,5-a] pyrazin-2-yl) -1- Fluoroethyl) pyridin-4-yl) morpholine)
Example 4P Compound
(1- (6- (azetidin-1-yl) -4-morpholinopyridin-2-yl) -2- (5,8-dimethyl- [1,2,4] triazolo [1,5-a] pyrazine -2-yl) Ethanon)
Example 5P Compound
(4- (2- (azetidin-1-yl) -6- (2- (5,8-dimethyl- [1,2,4] triazolo [1,5-a] pyrazin-2-yl) -1, 1-difluoroethyl) pyridin-4-yl) morpholine)
Example 6P Compound
(4- (2- (azetidin-1-yl) -6- (3- (5,8-dimethyl- [1,2,4] -triazolo [1,5-a] pyrazin-2-yl) prop- 1-en-2-yl) pyridin-4-yl) morpholine)
Example 7P Compound
(4- (2- (azetidin-1-yl) -6- (1-((5,8-dimethyl- [1,2,4] triazolo [1,5-a] pyrazin-2-yl) methyl) Cyclopropyl) pyridin-4-yl) morpholine)
Example 8P Compound
((E) -4- (2- (azetidin-1-yl) -6- (1- (5,8-dimethyl- [1,2,4] triazolo [1,5-a] pyrazin-2-yl) ) Prop-1-en-2-yl) pyridin-4-yl) morpholine)
Example 9P Compound
(4- (2- (azetidin-1-yl) -6- (1- (5,8-dimethyl- [1,2,4] triazolo [1,5-a] pyrazin-2-yl) propane-2 -Yl) pyridin-4-yl) morpholine)
Example 10P Compound
(1- (5,8-dimethyl- [1,2,4] triazolo [1,5-a] pyrazin-2-yl) -2- (4-morpholino-6- (pyrrolidin-1-yl) pyrimidine- 2-yl) ethanol)
Example 11P Compound
(4- (2- (2- (5,8-dimethyl- [1,2,4] triazolo [1,5-a] pyrazin-2-yl) -2-fluoroethyl) -6- (pyrrolidine-1 -Yl) pyrimidin-4-yl) morpholine)
Example 12P Compound
(4- (2- (2- (5,8-dimethyl- [1,2,4] triazolo [1,5-a] pyrazin-2-yl) -2-methoxyethyl) -6- (pyrrolidine-1 -Yl) pyrimidin-4-yl) morpholine)
Example 13P Compound
(1- (5,8-dimethyl- [1,2,4] triazolo [1,5-a] pyrazin-2-yl) -2- (4-morpholino-6- (pyrrolidin-1-yl) pyrimidine- 2-Ile) Ethanon)
(実施例14P化合物)
(4-(2-(2-(5,8-ジメチル-[1,2,4]トリアゾロ[1,5-a]ピラジン-2-イル)-2,2-ジフルオロエチル)-6-(ピロリジン-1-イル)ピリミジン-4-イル)モルフォリン)
(実施例15P化合物)
((E)-5,8-ジメチル-2-(2-(4-メチルスルホニル)-6-(ピロリジン-1-イル)-ピリミジン-2-イル)ビニル)-[1,2,4]トリアゾロ[1,5-a]ピラジン)
(実施例16P化合物)
((E)-2-(2-(5,8-ジメチル-[1,2,4]トリアゾロ[1,5-a]ピラジン-2-イル)ビニル)-6-(ピロリジン-1-イル)ピリミジン-4-カルボン酸)
(実施例17P化合物)
((E)-2-(2-(5,8-ジメチル-[1,2,4]トリアゾロ[1,5-a]ピラジン-2-イル)ビニル)-6-(ピロリジン-1-イル)ピリミジン-4-イル)メタノール)
(実施例18P化合物)
((E)-2-(2-(5,8-ジメチル-[1,2,4]トリアゾロ[1,5-a]ピラジン-2-イル)ビニル)-N、N-ジメチル-6-(ピロリジン-1-イル)ピリミジン-4-カルボキサミド)
(実施例19P化合物)
((E)-2-(2-(5,8-ジメチル-[1,2,4]トリアゾロ[1,5-a]ピラジン-2-イル)ビニル)-6-(ピロリジン-1-イル)ピリミジン-4-イル)メタノアミン)
(実施例20P化合物)
((E)-1-(2-(2-(5,8-ジメチル-[1,2,4]トリアゾロ[1,5-a]ピラジン-2-イル)ビニル)-6-(ピロリジン-1-イル)ピリミジン-4-イル)N-メチルメタンアミン)
Example 14P Compound
(4- (2- (2- (5,8-dimethyl- [1,2,4] triazolo [1,5-a] pyrazin-2-yl) -2,2-difluoroethyl) -6- (pyrrolidine -1-yl) pyrimidin-4-yl) morpholine)
Example 15P Compound
((E) -5,8-dimethyl-2- (2- (4-methylsulfonyl) -6- (pyrrolidin-1-yl) -pyrimidin-2-yl) vinyl)-[1,2,4] triazolo [1,5-a] pyrazine)
Example 16P Compound
((E) -2- (2- (5,8-dimethyl- [1,2,4] triazolo [1,5-a] pyrazin-2-yl) vinyl) -6- (pyrrolidin-1-yl) Pyrimidine-4-carboxylic acid)
Example 17P Compound
((E) -2- (2- (5,8-dimethyl- [1,2,4] triazolo [1,5-a] pyrazin-2-yl) vinyl) -6- (pyrrolidin-1-yl) Pyrimidin-4-yl) methanol)
Example 18P Compound
((E) -2- (2- (5,8-dimethyl- [1,2,4] triazolo [1,5-a] pyrazin-2-yl) vinyl) -N, N-dimethyl-6- ( Pyrrolidin-1-yl) pyrimidine-4-carboxamide)
Example 19P Compound
((E) -2- (2- (5,8-dimethyl- [1,2,4] triazolo [1,5-a] pyrazin-2-yl) vinyl) -6- (pyrrolidin-1-yl) Pyrimidin-4-yl) methanoamine)
Example 20P Compound
((E) -1- (2- (2- (5,8-dimethyl- [1,2,4] triazolo [1,5-a] pyrazin-2-yl) vinyl) -6- (pyrrolidine-1 -Yl) pyrimidin-4-yl) N-methylmethanamine)
(実施例21P化合物)
(5,8-ジメチル-2-(2-(4-(メチルスルホニル)-6-(ピロリジン-1-イル)ピリミジン-2-イル)エチル-[1,2,4]トリアゾロ[1,5-a]ピラジン)
(実施例22P化合物)
(2-(2-(5,8-ジメチル-[1,2,4]トリアゾロ[1,5-a]ピラジン-2-イル)エチル)-6-(ピロリジン-1-イル)ピリミジン-4-カルボン酸)
(実施例23P化合物)
(2-(2-(5,8-ジメチル-[1,2,4]トリアゾロ[1,5-a]ピラジン-2-イル)エチル)-6-(ピロリジン-1-イル)ピリミジン-4-イル)メタノール)
(実施例24P化合物)
(2-(2-(5,8-ジメチル-[1,2,4]トリアゾロ[1,5-a]ピラジン-2-イル)エチル)-N,N-ジメチル-6-(ピロリジン-1-イル)ピリミジン-4-カルボキサミド)
(実施例25P化合物)
(2-(2-(5,8-ジメチル-[1,2,4]トリアゾロ[1,5-a]ピラジン-2-イル)エチル)-6-(ピロリジン-1-イル)ピリミジン-4-イル)メタンアミン)
(実施例26P化合物)
(1-(2-(2-(5,8-ジメチル-[1,2,4]トリアゾロ[1,5-a]ピラジン-2-イル)エチル)-6-(ピロリジン-1-イル)ピリミジン-4-イル)-N-メチルメタンアミン)
(実施例27P化合物)
(N-(6-(アゼチジン-1-イル)-4-モルフォリノピリジン-2-イル)-N, 5,8-トリメチル-[1,2,4]トリアゾロ[1,5-a]ピラジン-2-カルボキサミド)
Example 21P Compound
(5,8-Dimethyl-2- (2- (4- (methylsulfonyl) -6- (pyrrolidin-1-yl) pyrimidin-2-yl) ethyl- [1,2,4] triazolo [1,5- a] pyrazine)
Example 22P Compound
(2- (2- (5,8-Dimethyl- [1,2,4] triazolo [1,5-a] pyrazin-2-yl) ethyl) -6- (pyrrolidin-1-yl) pyrimidine-4- carboxylic acid)
Example 23P Compound
(2- (2- (5,8-Dimethyl- [1,2,4] triazolo [1,5-a] pyrazin-2-yl) ethyl) -6- (pyrrolidin-1-yl) pyrimidine-4- Yl) methanol)
Example 24P Compound
(2- (2- (5,8-Dimethyl- [1,2,4] triazolo [1,5-a] pyrazin-2-yl) ethyl) -N, N-dimethyl-6- (pyrrolidine-1- Yl) pyrimidine-4-carboxamide)
Example 25P Compound
(2- (2- (5,8-Dimethyl- [1,2,4] triazolo [1,5-a] pyrazin-2-yl) ethyl) -6- (pyrrolidin-1-yl) pyrimidine-4- Yl) methanamine)
Example 26P Compound
(1- (2- (2- (5,8-dimethyl- [1,2,4] triazolo [1,5-a] pyrazin-2-yl) ethyl) -6- (pyrrolidin-1-yl) pyrimidine) -4-yl) -N-methylmethanamine)
Example 27P Compound
(N- (6- (azetidin-1-yl) -4-morpholinopyridin-2-yl) -N, 5,8-trimethyl- [1,2,4] triazolo [1,5-a] pyrazine- 2-carboxamide)
(実施例28P化合物)
(N-(6-(アゼチジン-1-イル)-4-((テトラヒドロ-2H-ピラン-4-イル)オキシ)ピリジン-2-イル)-N, 5,8-トリメチル-[1,2,4]トリアゾロ[1,5-a]ピラジン-2-カルボキサミド)
(実施例30P化合物)
(4-(2-(アゼチジン-1-イル)-6-((5,8-ジメチル-[1,2,4]トリアゾロ[1,5-a]ピラジン-2-イル)メトキシ)ピリジン-4-イル)モルフォリン)
(実施例31P化合物)
(6-(アゼチジン-1-イル)-N-((5,8-ジメチル-[1,2,4]トリアゾロ[1,5-a]ピラジン-2-イル)メチル)-N-メチル-4-((テトラヒドロ-2H-ピラン-4-イル)オキシ)ピリジン-2-アミン
(実施例32P化合物)
(6-(アゼチジン-1-イル)-N-((5,8-ジメチル -[1,2,4]トリアゾロ[1,5-a]ピラジン-2-イル)メチル)-N-メチル-4-モルホリノピリジン-2-アミン)
(実施例33P化合物)
(4-(2-アゼチジン-1-イル)-6-(2-(5,8-ジメチル-[1,2,4]トリアゾロ[1,5-a]ピラジン-2-イル)シクロプロピル)ピリジン-4-イル)モルフォリン)
(実施例34P化合物)
(4-(2-((1-(5,8-ジメチル-[1,2,4]トリアゾロ[1,5-a]ピラジン-2-イル)シクロプロピル)メチル)-6-(ピロリジン-1-イル)ピリミジン-4-イル)モルフォリン)
[5-4]
本発明の好ましい化合物として、下記式(II-III-1)で表わされる化合物が例示される。
Figure JPOXMLDOC01-appb-C000119
(式(II-III-1)中、*は不斉中心を、Halはハロゲン原子を表わす)の化合物またはそれらの溶媒和物。
[5-5]
本発明の好ましい化合物として、下記式(II-V-1)で表わされる化合物が例示される。
Figure JPOXMLDOC01-appb-C000120
(式(II-V-1)中、*は不斉中心を、Halはハロゲン原子、R=C1~6アルキル、C7~11アラルキル、フェニル、トリチル、置換シリル、又はC2~6アルケニルを表わす)の化合物、またはその塩またはそれらの溶媒和物。
 
[5-6]
本発明の好ましい化合物として、下記式(II-1)で表わされる化合物が例示される。
Figure JPOXMLDOC01-appb-C000121
(式(II-1)中、*は不斉中心を、Halはハロゲン原子を表わす)の化合物、またはその塩またはそれらの溶媒和物。
 
[5-7]
本発明の好ましい化合物として、下記式(II-VI-1)で表わされる化合物が例示される。
Figure JPOXMLDOC01-appb-C000122
(式(II-VI-1)中、*は不斉中心、
環Aを含む縮合環は以下からなる群より選択され、
Figure JPOXMLDOC01-appb-C000123
Halはハロゲン原子を表わす)で表わされる光学活性なアゾール誘導体の、またはその塩またはそれらの溶媒和物。
 
Example 28P Compound
(N- (6- (azetidin-1-yl) -4-((tetrahydro-2H-pyran-4-yl) oxy) pyridin-2-yl) -N, 5,8-trimethyl- [1,2, 4] Triazolo [1,5-a] pyrazine-2-carboxamide)
Example 30P Compound
(4- (2- (azetidin-1-yl) -6-((5,8-dimethyl- [1,2,4] triazolo [1,5-a] pyrazin-2-yl) methoxy) pyridine-4 -Il) Morpholine)
Example 31P Compound
(6- (azetidin-1-yl) -N-((5,8-dimethyl- [1,2,4] triazolo [1,5-a] pyrazin-2-yl) methyl) -N-methyl-4 -((Tetrahydro-2H-pyran-4-yl) oxy) pyridin-2-amine (Compound of Example 32P)
(6- (azetidin-1-yl) -N-((5,8-dimethyl- [1,2,4] triazolo [1,5-a] pyrazin-2-yl) methyl) -N-methyl-4 -Morpholinopyridine-2-amine)
Example 33P Compound
(4- (2-Azetidin-1-yl) -6- (2- (5,8-dimethyl- [1,2,4] triazolo [1,5-a] pyrazin-2-yl) cyclopropyl) pyridine -4-yl) morpholine)
Example 34P Compound
(4- (2-((1- (5,8-dimethyl- [1,2,4] triazolo [1,5-a] pyrazin-2-yl) cyclopropyl) methyl) -6- (pyrrolidine-1 -Yl) pyrimidin-4-yl) morpholine)
[5-4]
As a preferred compound of the present invention, a compound represented by the following formula (II-III-1) is exemplified.
Figure JPOXMLDOC01-appb-C000119
(In formula (II-III-1), * represents an asymmetric center and Hal represents a halogen atom) or a solvate thereof.
[5-5]
As a preferred compound of the present invention, a compound represented by the following formula (II-V-1) is exemplified.
Figure JPOXMLDOC01-appb-C000120
(In formula (II-V-1), * represents an asymmetric center, Hal represents a halogen atom, R = C1-6 alkyl, C7-11 aralkyl, phenyl, trityl, substituted silyl, or C2-6 alkenyl) Or a salt or solvate thereof.

[5-6]
As a preferred compound of the present invention, a compound represented by the following formula (II-1) is exemplified.
Figure JPOXMLDOC01-appb-C000121
A compound of the formula (II-1), wherein * represents an asymmetric center and Hal represents a halogen atom, or a salt or solvate thereof.

[5-7]
As a preferred compound of the present invention, a compound represented by the following formula (II-VI-1) is exemplified.
Figure JPOXMLDOC01-appb-C000122
(In the formula (II-VI-1), * is an asymmetric center,
The fused ring comprising ring A is selected from the group consisting of:
Figure JPOXMLDOC01-appb-C000123
Hal represents a halogen atom), or a salt thereof or a solvate thereof.
[6-1]
 統合失調症、妄想性障害、および薬物誘発性中枢疾患;不安障害、運動障害、気分障害、神経変性障害、肥満、および薬物嗜癖を治療するための医薬組成物であって、前記障害または状態を治療するのに有効なある量の態様[1]~態様[5-3]に記載の化合物を含む医薬組成物。
[6-2]
 統合失調症、妄想性障害、および薬物誘発性中枢疾患;不安障害、運動障害、気分障害、肥満、および神経変性障害から選択される障害を治療する方法であって、前記障害を治療するのに有効なある量の態様[1]~態様[5-3]に記載の化合物を前記障害の治療を必要とする対象に投与することを含む方法。
[6-1]
A pharmaceutical composition for treating schizophrenia, delusional disorder, and drug-induced central disease; anxiety disorder, movement disorder, mood disorder, neurodegenerative disorder, obesity, and drug addiction, said disorder or condition A pharmaceutical composition comprising an amount of a compound according to embodiments [1] to [5-3] effective to be treated.
[6-2]
A method of treating a disorder selected from schizophrenia, delusional disorder, and drug-induced central disease; anxiety disorder, movement disorder, mood disorder, obesity, and neurodegenerative disorder, wherein the disorder is treated A method comprising administering an effective amount of a compound according to embodiment [1] to embodiment [5-3] to a subject in need of treatment for said disorder.
[6-3]
 前記障害が、認知症、アルツハイマー病、多発脳梗塞性認知症、アルコール性認知症もしくは他の薬物関連認知症、頭蓋内腫瘍もしくは脳外傷に関連する認知症、ハンチントン病もしくはパーキンソン病に関連する認知症、またはAIDS関連認知症;せん妄;健忘障害;心的外傷後ストレス障害;精神遅滞;学習障害、たとえば読字障害、算数障害、または書字表出障害;注意欠陥/過活動性障害;加齢性認知低下、軽度、中等度、または重度型の大うつ病エピソード;躁病または混合気分エピソード;軽躁気分エピソード;非定型の特徴を伴ううつ病エピソード;メランコリー型の特徴を伴ううつ病エピソード;緊張型の特徴を伴ううつ病エピソード;分娩後の発症を伴う気分エピソード;脳卒中後うつ病;大うつ病性障害;気分変調性障害;小うつ病性障害;月経前不快気分障害;統合失調症の後うつ病性障害;妄想性障害または統合失調症を含む中枢性障害に併発する大うつ病性障害;双極I型障害、双極II型障害、気分循環性障害を含む双極性障害、パーキンソン病;ハンチントン病;認知症、アルツハイマー病、多発脳梗塞性認知症、AIDS関連認知症、前頭側頭型認知症;脳外傷に関連する神経変性;脳卒中に関連する神経変性;脳梗塞に関連する神経変性;低血糖誘発性神経変性;てんかん発作に関連する神経変性;神経毒中毒に関連する神経変性;多系統委縮症、妄想型、解体型、緊張型、鑑別不能型、または残遺型;統合失調症様障害;妄想型または抑うつ型の統合失調感情障害;妄想性障害;物質誘導性中枢性障害、アルコール、アンフェタミン、大麻、コカイン、幻覚剤、肥満、吸入剤、オピオイド、またはフェンシクリジンによって誘発された中枢疾患;妄想型の人格障害;および統合失調型の人格障害からなる群から選択される障害である態様[6-1]に記載の医薬組成物又は態様[6-2]に記載の方法。
[6-3]
The disorder is dementia, Alzheimer's disease, multiple cerebral infarction dementia, alcoholic dementia or other drug-related dementia, dementia associated with intracranial tumor or brain trauma, cognition associated with Huntington's disease or Parkinson's disease Or AIDS-related dementia; delirium; amnesia disorder; post-traumatic stress disorder; mental retardation; learning disorders such as reading disorders, math disorders, or written expression disorders; attention deficit / hyperactivity disorder; Sexual cognitive decline, mild, moderate, or severe major depression episodes; mania or mixed mood episodes; mild mood episodes; depression episodes with atypical features; depression episodes with melancholic features; Depressive episodes with features; mood episodes with postpartum onset; poststroke depression; major depressive disorder; mood modulation Harm; minor depressive disorder; premenstrual dysphoric disorder; post-schizophrenic depressive disorder; major depressive disorder associated with central disorder including delusional disorder or schizophrenia; bipolar I disorder; Bipolar type II disorder, bipolar disorder including mood circulation disorder, Parkinson's disease; Huntington's disease; dementia, Alzheimer's disease, multiple cerebral infarction dementia, AIDS-related dementia, frontotemporal dementia; related to brain trauma Neurodegeneration associated with stroke; neurodegeneration associated with cerebral infarction; hypoglycemia-induced neurodegeneration; neurodegeneration associated with epileptic seizures; neurodegeneration associated with neurotoxin poisoning; multisystem atrophy, paranoid type , Disorganized, strained, indistinguishable, or remnant; schizophrenia-like disorder; delusional or depressive schizophrenic disorder; delusional disorder; substance-induced central disorder, alcohol, amphetamine, cannabis Embodiments wherein the disorder is selected from the group consisting of cocaine, hallucinogens, obesity, inhalants, opioids, or phencyclidine-induced central disease; delusional personality disorder; and schizophrenic personality disorder [6- The pharmaceutical composition according to 1] or the method according to embodiment [6-2].
[6-4]
 統合失調症、妄想性障害、および薬物誘発性中枢疾患;不安障害、運動障害、気分障害、神経変性障害、肥満、および薬物嗜癖を治療する方法であって、PDE10を阻害するのに有効なある量の態様[1]~態様[5-3]に記載の化合物を投与することを含む方法。
[6-4]
A method of treating schizophrenia, paranoid disorders, and drug-induced central diseases; anxiety disorders, movement disorders, mood disorders, neurodegenerative disorders, obesity, and drug addiction, effective for inhibiting PDE10 A method comprising administering an amount of the compound according to embodiment [1] to embodiment [5-3].
 前記本発明の態様において、「治療」とは疾患もしくは症状の治療だけでなく、疾患もしくは症状の改善、予防或いは再発防止も含むものとする。In the embodiment of the present invention, “treatment” includes not only treatment of a disease or symptom, but also improvement, prevention or prevention of recurrence of the disease or symptom.
 以上の全ての態様において、「化合物」の文言を用いるとき、「その製薬学的に許容される塩」についても言及するものとする。また、本発明化合物は不斉炭素を有する場合があり、本発明化合物には、幾何異性体、互変異性体、光学異性体などの各種の立体異性体の混合物や単離されたものが含まれる。かかる立体異性体の単離、精製は、優先晶出やカラムクロマトグラフィーを用いた光学分割あるいは不斉合成を通じて当業者が通常の技術により為し得ることができる。In all of the above embodiments, when the term “compound” is used, “the pharmaceutically acceptable salt” is also referred to. In addition, the compound of the present invention may have an asymmetric carbon, and the compound of the present invention includes a mixture of various stereoisomers such as geometric isomers, tautomers, optical isomers, and isolated compounds. It is. Isolation and purification of such stereoisomers can be carried out by those skilled in the art through conventional techniques through preferential crystallization, optical resolution using column chromatography or asymmetric synthesis.
 本発明の式(I)~(I-5)、(I-a)等で表される化合物(以下、「本発明の式(I)で表される化合物」、「本発明の式(I)の化合物」、「式(I)の化合物」等と記載する場合がある)は、置換基の種類によって、酸付加塩を形成する場合や塩基との塩を形成する場合がある。かかる塩としては、製薬学的に許容しうる塩であれば特に限定されないが、具体的には、塩酸、臭化水素酸、よう化水素酸、硫酸、硝酸、りん酸等の鉱酸類;蟻酸、酢酸、プロピオン酸、酪酸、吉草酸、エナント酸、カプリン酸、ミリスチン酸、パルミチン酸、ステアリン酸、乳酸、ソルビン酸、マンデル酸等の脂肪族モノカルボン酸、安息香酸、サリチル酸等の芳香族モノカルボン酸、しゅう酸、マロン酸、こはく酸、フマル酸、マレイン酸、りんご酸、酒石酸等の脂肪族ジカルボン酸、くえん酸等の脂肪族トリカルボン酸、桂皮酸、グリコール酸、ピルビン酸、オキシル酸、サリチル酸、N-アセチルシステインなどの有機カルボン酸類;メタンスルホン酸、エタンスルホン酸、2-ヒドロキシエタンスルホン酸等の脂肪族スルホン酸、ベンゼンスルホン酸、p-トルエンスルホン酸等の芳香族スルホン酸などの有機スルホン酸類;アスパラギン酸、グルタミン酸等の酸性アミノ酸類等との酸付加塩、及びリチウム、ナトリウム、カリウム、セシウムなどのアルカリ金属、マグネシウム、カルシウム、バリウム等のアルカリ土類金属等の金属との塩(例えば、モノ塩の他、二ナトリウム塩、二カリウム塩も含む)、アルミニウム、鉄、銅、ニッケル、コバルト、亜鉛などの金属との塩、メチルアミン、エチルアミン、t-ブチルアミン、t-オクチルアミン、ジエチルアミン、トリエチルアミン、シクロヘキシルアミン、ジベンジルアミン、エタノールアミン、ジエタノールアミン、トリエタノールアミン、ピペリジン、モルホリン、ピリジン、リシン、アルギニン、オルニチン、エチレンジアミン、N-メチルグルカミン、グルコサミン、フェニルグリシンアルキルエステル、グアニジン、等の有機塩基との塩や、グリシン塩、ヒスチジン塩、コリン塩、またはアンモニウム塩等が挙げられる。Compounds represented by the formulas (I) to (I-5), (Ia) and the like of the present invention (hereinafter referred to as “compounds represented by the formula (I) of the present invention”, “formulas (I ) ”And“ compound of formula (I) ”may form an acid addition salt or a salt with a base depending on the type of substituent. Such a salt is not particularly limited as long as it is a pharmaceutically acceptable salt. Specifically, mineral acids such as hydrochloric acid, hydrobromic acid, hydroiodic acid, sulfuric acid, nitric acid, phosphoric acid; formic acid , Acetic acid, propionic acid, butyric acid, valeric acid, enanthic acid, capric acid, myristic acid, palmitic acid, stearic acid, lactic acid, sorbic acid, mandelic acid and other aliphatic monocarboxylic acids, benzoic acid, salicylic acid and other aromatic monocarboxylic acids Carboxylic acid, oxalic acid, malonic acid, succinic acid, fumaric acid, maleic acid, malic acid, aliphatic dicarboxylic acid such as tartaric acid, aliphatic tricarboxylic acid such as citric acid, cinnamic acid, glycolic acid, pyruvic acid, oxylic acid, Organic carboxylic acids such as salicylic acid and N-acetylcysteine; aliphatic sulfonic acids such as methanesulfonic acid, ethanesulfonic acid, 2-hydroxyethanesulfonic acid, Organic sulfonic acids such as aromatic sulfonic acids such as benzene sulfonic acid and p-toluenesulfonic acid; acid addition salts with acidic amino acids such as aspartic acid and glutamic acid, and alkali metals such as lithium, sodium, potassium and cesium, Salts with metals such as alkaline earth metals such as magnesium, calcium and barium (for example, disodium and dipotassium salts as well as mono salts), metals such as aluminum, iron, copper, nickel, cobalt and zinc Salt with, methylamine, ethylamine, t-butylamine, t-octylamine, diethylamine, triethylamine, cyclohexylamine, dibenzylamine, ethanolamine, diethanolamine, triethanolamine, piperidine, morpholine, pyridine, lysine, arginine, ornichi , Ethylenediamine, N- methylglucamine, glucosamine, phenylglycine alkyl ester, guanidine, salts or with organic bases like, glycine salts, histidine salts, choline salts or ammonium salts, and the like.
 これらの塩は常法,例えば、適当量の本発明化合物と所望の酸あるいは塩基等を含む溶液を混合し、所望の塩をろ取するか溶媒を留去して集めることにより得ることができる。また、本発明化合物またはその塩は、水、エタノール、グリセロールなどの溶媒と溶媒和物を形成しうる。These salts can be obtained by a conventional method, for example, by mixing an appropriate amount of the compound of the present invention with a solution containing the desired acid or base, and collecting the desired salt by filtration or distilling off the solvent. . Moreover, this invention compound or its salt can form solvates with solvents, such as water, ethanol, and glycerol.
 また、本発明化合物の塩には、モノ塩、ジ塩及びトリ塩が含まれる。或いは本発明化合物は側鎖の置換基によっては、酸付加塩と塩基の塩の両方を同時に形成しうる。更に本発明は、本発明の式(I)で表される化合物の水和物、製薬学的に許容可能な各種溶媒和物や結晶多形のもの等も含まれる。尚、当然ながら本発明は、後述実施例に記載された化合物に限定されるものではなく、本発明の式(I)で表される化合物または製薬学的に許容される塩の全てを包含するものである。In addition, the salt of the compound of the present invention includes a mono salt, a di salt and a tri salt. Alternatively, the compound of the present invention can form both an acid addition salt and a base salt at the same time depending on the side chain substituent. Furthermore, the present invention includes hydrates of the compounds represented by the formula (I) of the present invention, various pharmaceutically acceptable solvates, crystal polymorphs, and the like. In addition, naturally this invention is not limited to the compound described in the below-mentioned Example, All the compounds or the pharmaceutically acceptable salt represented by the formula (I) of this invention are included. Is.
 適切な塩基塩は、非毒性塩を形成する塩基から形成される。例には、これに限定されるものではないが、アルミニウム、アルギニン、ベンザチン、カルシウム、コリン、ジエチルアミン、ジオラミン、グリシン、リシン、マグネシウム、メグルミン、オラミン、カリウム、ナトリウム、トロメタミン、セシウムおよび亜鉛塩が包含される。Suitable base salts are formed from bases that form non-toxic salts. Examples include, but are not limited to, aluminum, arginine, benzathine, calcium, choline, diethylamine, diolamine, glycine, lysine, magnesium, meglumine, olamine, potassium, sodium, tromethamine, cesium and zinc salts. Is done.
 酸および塩基のヘミ塩、たとえばヘミ硫酸塩およびヘミカルシウム塩を形成することもできる。Acid and base hemi-salts such as hemisulfate and hemi-calcium salts can also be formed.
 これらの塩および他の適切な塩に関する総説は、Handbook of Pharmaceutical Salts:Properties,Selection,and Use、StahlおよびWermuth(Wiley-VCH、2002)を参照されたい。For a review on these and other suitable salts, see Handbook of Pharmaceutical Salts: Properties, Selection, and Use, Stahl and Wermuth (Wiley-VCH, 2002).
 式(I)の化合物の薬学的に許容できる塩は、以下の3つの方法の1つまたは複数によって調製することができる。
(i)式(I)の化合物を所望の酸または塩基と反応させることによる、(ii)式(I)の化合物の適切な前駆体から酸もしくは塩基不安定保護基を除去することによるか、または所望の酸もしくは塩基を用いて、適切な酸もしくは塩基との反応によって、または適切なイオン交換カラムによって、別の塩に変換することによる。
Pharmaceutically acceptable salts of the compounds of formula (I) can be prepared by one or more of the following three methods.
(Ii) by removing the acid or base labile protecting group from the appropriate precursor of the compound of formula (I) by reacting the compound of formula (I) with the desired acid or base, Or by conversion to another salt using the desired acid or base, by reaction with a suitable acid or base, or by a suitable ion exchange column.
 3つの反応はすべて、典型的には溶液で実行される。得られる塩は析出され、濾過によって収集するか、または溶媒を蒸発して回収することができる。得られる塩のイオン化度は、完全イオン化からほぼ非イオン化まで多様であってよい。All three reactions are typically performed in solution. The resulting salt may precipitate out and be collected by filtration or may be recovered by evaporation of the solvent. The degree of ionization of the resulting salt may vary from fully ionized to nearly non-ionized.
 本発明の化合物は、完全非晶質から完全結晶性まで連続の固体状態で存在することができる。「非晶質」という用語は、その材料が分子レベルにおいて長距離秩序を欠き、温度に応じて、固体または液体の物理的特性を示すことのできる状態を指す。典型的にそのような材料は特有のX線解析パターンを示さず、固体の特性を示しながら、より形式的には液体とみなされる。加熱により、固体から液体特性への変化が起こり、これは典型的には2次である状態変化を特徴とする(「ガラス転移」)。「結晶性」という用語は、材料が分子レベルで規則的な秩序内部構造を有し、明確なピークを有する特有のX線解析パターンを示す固相を指す。そのような材料も、充分に加熱されると液体の特性を示すが、固体から液体への変化は、典型的には1次である相変化を特徴とする(「融点」)。The compound of the present invention can exist in a continuous solid state from completely amorphous to completely crystalline. The term “amorphous” refers to a state in which the material lacks long-range order at the molecular level and can exhibit solid or liquid physical properties depending on temperature. Typically such materials do not exhibit a characteristic X-ray analysis pattern and are more formally considered liquid while exhibiting solid properties. Heating causes a change from solid to liquid properties, which is characterized by a state change that is typically second order ("glass transition"). The term “crystalline” refers to a solid phase in which the material has a regular X-ray analysis pattern with a regular ordered internal structure at the molecular level and with distinct peaks. Such materials also exhibit liquid properties when fully heated, but the change from solid to liquid is typically characterized by a phase change that is first order ("melting point").
 本発明の化合物は、非溶媒和形態および溶媒和形態でも存在することができる。本明細書では、「溶媒和物」という用語は、本発明の化合物と1種または複数の薬学的に許容できる溶媒分子、たとえばエタノールとを含む分子複合体を記載するために用いられる。前記溶媒が水であるとき、「水和物」という用語が用いられる。The compounds of the present invention can exist in unsolvated forms as well as solvated forms. As used herein, the term “solvate” is used to describe a molecular complex comprising a compound of the invention and one or more pharmaceutically acceptable solvent molecules, such as ethanol. When the solvent is water, the term “hydrate” is used.
 有機水和物に関して現在許容されている分類体系は、単離部位、チャネル、または金属イオン配位水和物を定義するものであり、K.R.MorrisのPolymorphism in Pharmaceutical Solids(H.G.Brittain編、Marcel Dekker、1995)を参照されたい。単離部位水和物は、有機分子の介在によって水分子がそれぞれ互いの直接接触から単離されているものである。チャネル水和物では、水分子は格子チャネルに存在し、ここで水分子は互いに隣接している。金属イオン配位水和物では、水分子は金属イオンに結合している。The currently accepted classification system for organic hydrates is to define isolated sites, channels, or metal ion coordination hydrates. R. See Morris' Polymorphism in Pharmaceutical Solids (edited by HG Brittain, Marcel Dekker, 1995). Isolated site hydrates are those in which water molecules are each isolated from direct contact with each other through the intervention of organic molecules. In channel hydrates, water molecules are present in lattice channels where the water molecules are adjacent to each other. In metal ion coordination hydrate, water molecules are bound to metal ions.
 溶媒または水が強く結合しているとき、複合体は湿度と無関係に明確な化学量論を有することになる。しかしながら、チャネル溶媒和物および吸湿性化合物のように、溶媒または水の結合が弱いとき、水/溶媒含量は、湿度および乾燥条件に依存する。そのような場合、非化学量論が標準となる。When the solvent or water is strongly bound, the complex will have a well-defined stoichiometry independent of humidity. However, when the solvent or water binding is weak, such as channel solvates and hygroscopic compounds, the water / solvent content depends on humidity and drying conditions. In such cases, non-stoichiometry is the standard.
 本発明の化合物は、適切な条件に供したとき、中間状態(中間相または液晶)で存在することもできる。中間状態は、真の結晶状態と真の液体状態(溶融または溶液)の中間である。温度変化の結果として生じる中間形態は「サーモトロピック」と呼ばれ、水または他の溶媒など第2成分の添加によるものは「リオトロピック」と呼ばれる。リオトロピック中間相を形成する潜在能力を有する化合物は「両親媒性」と呼ばれ、イオン(-COO-Na+、-COO-K+、もしくは-SO3-Na+など)または非イオン(-N-N+(CH3)3など)極性頭部基を有する分子からなる。さらなる情報は、Crystals and the Polarizing Microscope、N.H.HartshorneおよびA.Stuart、第4版(Edward Arnold、1970)を参照されたい。The compounds of the present invention can also exist in an intermediate state (intermediate phase or liquid crystal) when subjected to appropriate conditions. The intermediate state is intermediate between the true crystalline state and the true liquid state (molten or solution). The intermediate form resulting from the temperature change is called “thermotropic” and the result of the addition of a second component such as water or other solvent is called “lyotropic”. Compounds with the potential to form lyotropic mesophases are called “amphiphilic” and are ionic (such as —COO—Na +, —COO—K +, or —SO 3 —Na +) or nonionic (—N—N + (CH 3 And 3)) consisting of a molecule having a polar head group. For more information, see Crystals and the Polarizing Microscope, N.C. H. Harthorne and A.H. See Stuart, 4th edition (Edward Arnold, 1970).
 以下、式(I)の化合物に関する記載はすべて、その塩、溶媒和物、多成分複合体、および液晶、ならびにその塩の溶媒和物、多成分複合体、および液晶に関する記載を包含する。Hereinafter, all the descriptions relating to the compound of the formula (I) include descriptions relating to salts, solvates, multicomponent composites, and liquid crystals thereof, and solvates, multicomponent composites, and liquid crystals of the salts thereof.
 本発明の化合物は、そのすべての多形および晶癖を含む上に定義された式(I)の化合物、以下に定義するそのプロドラッグおよび異性体(光学、幾何、および互変異性体を包含する)、ならびに同位体標識された式(I)の化合物を包含する。The compounds of the present invention include compounds of formula (I) as defined above, including all polymorphs and crystal habits thereof, and prodrugs and isomers (optical, geometric and tautomeric forms) as defined below. And isotope-labeled compounds of formula (I).
 記載のとおり、式(I)の化合物のいわゆる「プロドラッグ」も本発明の範囲内である。たとえば、それ自体ほとんどまたはまったく薬理活性を持たない可能性のある式(I)の化合物のある種の誘導体は、身体内または身体上に投与されたとき、たとえば加水分解によって、所望の活性を有する式(I)の化合物に変換され得る。そのような誘導体を「プロドラッグ」と称する。プロドラッグの使用に関するさらなる情報は、Pro-drugs as Novel Delivery Systems、Vol.14、ACS Symposium Series(T.HiguchiおよびW.Stella)、ならびにBioreversible Carriers in Drug Design、Pergamon Press、1987(E.B.Roche編、American Pharmaceutical Association)に見出すことができる。As described, so-called “prodrugs” of the compounds of formula (I) are also within the scope of the present invention. For example, certain derivatives of compounds of formula (I) that may themselves have little or no pharmacological activity have the desired activity when administered in or on the body, for example by hydrolysis It can be converted to a compound of formula (I). Such derivatives are referred to as “prodrugs”. For more information on the use of prodrugs, see Pro-drugs as Novell Delivery Systems, Vol. 14, ACS Symposium Series (T. Higuchi and W. Stella), as well as Bioreversible Carriers in Drug Design, Pergamon Press, 1987 (edited by E. B. Roche, AmericanAmericaPrice).
 本発明によるプロドラッグは、たとえば、式(I)の化合物に存在する適切な官能基を、たとえばDesign of Prodrugs、H.Bundgaard(Elsevier、1985)に記載されている、当業者に保護基として知られているある種の置換基で置き換えることによって生成することができる。Prodrugs according to the present invention may be, for example, suitable functional groups present in compounds of formula (I), such as Design of Products, H.P. Can be generated by substitution with certain substituents known to those skilled in the art as protecting groups, as described in Bundgaard (Elsevier, 1985).
 本発明によるプロドラッグのいくつかの例には、これに限定されるものではないが、以下のものが包含される。
(i)式(I)の化合物がカルボン酸官能基(-COOH)を含有する場合、そのエステル、たとえば、式(I)の化合物のカルボン酸官能基の水素が(C1~C8)アルキルで置換されている化合物、(ii)式(I)の化合物がアルコール官能基(-OH)を含有する場合、そのエーテル、たとえば、式(I)の化合物のアルコール官能基の水素が(C2~C6)アルカノイルオキシメチルで置換されている化合物、および(iii)式(I)の化合物が第一級または第二級アミノ官能基(-NH2または-NHR(式中、R≠H))を含有する場合、そのアミド、たとえば、場合によって式(I)の化合物のアミノ官能基の一方または両方の水素が(C2~C10)アルカノイルで置換されている化合物。
Some examples of prodrugs according to the present invention include, but are not limited to:
(I) When the compound of formula (I) contains a carboxylic acid functional group (—COOH), its ester, for example, the hydrogen of the carboxylic acid functional group of the compound of formula (I) is replaced by (C1-C8) alkyl. (Ii) when the compound of formula (I) contains an alcohol function (—OH), the ether, for example, the hydrogen of the alcohol function of the compound of formula (I) is (C2 to C6) When the compound substituted with alkanoyloxymethyl, and (iii) the compound of formula (I) contains a primary or secondary amino functional group (—NH 2 or —NHR (where R ≠ H)) An amide thereof, for example a compound in which one or both hydrogens of the amino function of the compound of formula (I) are optionally substituted with (C2-C10) alkanoyl.
 前述の例および他の型のプロドラッグの例による置換基のさらなる例は、前述の参考文献に見出すことができる。Additional examples of substituents according to the above examples and other types of prodrug examples can be found in the above references.
 さらに、式(I)のある種の化合物は、式(I)の他の化合物のプロドラッグとしてそれ自体作用することができる。Furthermore, certain compounds of formula (I) can themselves act as prodrugs of other compounds of formula (I).
 さらに式(I)の化合物の代謝産物、すなわちその薬物の投与によってin vivoで形成される化合物も本発明の範囲に包含される。本発明による代謝産物のいくつかの例には、これに限定されるものではないが、以下のものが包含される。
(i)式(I)の化合物がメチル基を含有する場合、そのヒドロキシメチル誘導体(-CH3->-CH2OH)、(ii)式(I)の化合物がアルコキシ基を含有する場合、そのヒドロキシ誘導体(-OR->-OH)、(iii)式(I)の化合物が第三級アミノ基を含有する場合、その第二級アミノ誘導体(-NR1R2->-NHR1または-NHR2)、(iv)式(I)の化合物が第二級アミノ基を含有する場合、その第一級誘導体(-NHR1->-NH2)、(v)式(I)の化合物がフェニル部分を含有する場合、そのフェノール誘導体(-Ph->-PhOH)、および(vi)式(I)の化合物がアミド基を含有する場合、そのカルボン酸誘導体(-CONH2->COOH)。
Furthermore, metabolites of the compound of formula (I), that is, compounds formed in vivo upon administration of the drug are also encompassed within the scope of the present invention. Some examples of metabolites according to the present invention include, but are not limited to:
(I) when the compound of formula (I) contains a methyl group, its hydroxymethyl derivative (—CH 3 —> CH 2 OH), (ii) when the compound of formula (I) contains an alkoxy group, its hydroxy derivative (-OR->-OH), (iii) when the compound of formula (I) contains a tertiary amino group, its secondary amino derivative (-NR1R2->-NHR1 or -NHR2), (iv) When the compound of formula (I) contains a secondary amino group, its primary derivative (-NHR1->-NH2), (v) when the compound of formula (I) contains a phenyl moiety, its phenol Derivatives (-Ph->-PhOH), and (vi) when the compound of formula (I) contains an amide group, its carboxylic acid derivative (-CONH2-> COOH).
 1つまたは複数の不斉炭素原子を含有する式(I)の化合物は、2種以上の立体異性体として存在できる。式(I)の化合物がアルケニルまたはアルケニレン基を含有する場合、幾何シス/トランス(またはZ/E)異性体が可能である。構造異性体が低いエネルギー障壁により相互変換可能である場合、互変異性(tautomeric isomerism)(「互変異性(tautomerism)」)が生じ得る。これは、たとえばイミノ、ケト、もしくはオキシム基を含有する式(I)の化合物においてプロトン互変異性の形態、または芳香族部分を含有する化合物においていわゆる原子価互変異性の形態をとることができる。その結果として、単一の化合物は、複数の型の異性を示す可能性がある。The compound of formula (I) containing one or more asymmetric carbon atoms can exist as two or more stereoisomers. Where a compound of formula (I) contains an alkenyl or alkenylene group, geometric cis / trans (or Z / E) isomers are possible. Tautomerism (“tautomerism”) can occur when structural isomers are interconvertible by a low energy barrier. This can take the form of proton tautomerism in compounds of formula (I) containing, for example, an imino, keto, or oxime group, or so-called valence tautomerism in compounds containing aromatic moieties. . As a result, a single compound can exhibit multiple types of isomerism.
 複数の型の異性を示す化合物を包含する、式(I)の化合物のすべての立体異性体、幾何異性体、および互変異性型、ならびにそれらの1つまたは複数の混合物が本発明の範囲に包含される。さらに、対イオンが光学活性である(たとえばd-乳酸塩またはl-リシン)、またはラセミ体である(たとえばdl-酒石酸塩またはdl-アルギニン)酸付加塩または塩基塩も包含される。All stereoisomers, geometric isomers, and tautomeric forms of the compounds of formula (I), including compounds exhibiting multiple types of isomerism, and mixtures of one or more thereof are within the scope of the invention. Is included. Also included are acid addition or base salts in which the counterion is optically active (eg, d-lactate or l-lysine) or racemic (eg, dl-tartrate or dl-arginine).
 シス/トランス異性体は、当業者によく知られている通常の技法、たとえばクロマトグラフィーおよび分別結晶によって分離することができる。本明細書では、オレフィンにおいてはZ体/E体とも記載する。Cis / trans isomers can be separated by conventional techniques well known to those skilled in the art, such as chromatography and fractional crystallization. In the present specification, the olefin is also referred to as Z-form / E-form.
 個々のエナンチオマーを調製/単離するための通常の技法には、光学的に純粋な適切な前駆体からのキラル合成、または、たとえばキラル高速液体クロマトグラフィー(HPLC)を用いるラセミ体(または塩もしくは誘導体のラセミ体)の分割が包含される。Conventional techniques for preparing / isolating individual enantiomers include chiral synthesis from appropriate optically pure precursors, or racemates (or salts or salts using, for example, chiral high performance liquid chromatography (HPLC)). Resolution of racemic derivatives) is included.
 別法として、ラセミ体(またはラセミ前駆体)を、適切な光学活性化合物、たとえばアルコール、または式(I)の化合物が酸性もしくは塩基性部分を含有する場合、1-フェニルエチルアミンまたは酒石酸などの塩基または酸との塩などとさせることができる。得られたジアステレオマー混合物を、クロマトグラフィーおよび/または分別結晶によって分離し、当業者によく知られている手段によって、ジアステレオマーの一方または両方を、対応する純粋なエナンチオマーに変換することができる。Alternatively, the racemate (or racemic precursor) is converted to a suitable optically active compound, such as an alcohol, or a base such as 1-phenylethylamine or tartaric acid if the compound of formula (I) contains an acidic or basic moiety. Alternatively, a salt with an acid can be used. The resulting diastereomeric mixture can be separated by chromatography and / or fractional crystallization, and one or both of the diastereomers can be converted to the corresponding pure enantiomers by means well known to those skilled in the art. it can.
 本発明のキラル化合物(およびそのキラル前駆体)は、クロマトグラフィー、典型的にはHPLCを用いて、0から50容量%のイソプロパノール、例えば2%から20%、および0から5容量%のアルキルアミン、典型的には0.1%のジエチルアミンを含有する炭化水素、例えばヘプタンまたはヘキサンからなる移動相を用い、非対称樹脂においてエナンチオマーに富む形態で得ることができる。溶離液の濃縮によって富化混合物を得る。The chiral compounds of the present invention (and their chiral precursors) can be synthesized from 0 to 50% by volume isopropanol, eg 2% to 20%, and 0 to 5% by volume alkylamine using chromatography, typically HPLC. Can be obtained in enantiomeric rich forms in asymmetric resins using a mobile phase, typically consisting of a hydrocarbon containing 0.1% diethylamine, such as heptane or hexane. The enriched mixture is obtained by concentration of the eluent.
 任意のラセミ化合物が結晶化するとき、2種の異なる型の結晶が可能である。第1の型は、等モル量で両方のエナンチオマーを含有する1つの均質な形態の結晶が生成される上述のラセミ化合物(真のラセミ化合物)である。第2の型は、それぞれ単一のエナンチオマーを含む2種の形態の結晶が等モル量で生成されるラセミ混合物またはコングロメレートである。When two racemates crystallize, two different types of crystals are possible. The first type is the racemic compound described above (true racemate) in which one homogeneous form of crystal is produced containing both enantiomers in equimolar amounts. The second type is a racemic mixture or conglomerate in which two forms of crystals each containing a single enantiomer are produced in equimolar amounts.
 ラセミ混合物に存在する両方の結晶形態は同じ物理的特性を有するが、真のラセミ化合物と比較して異なる物理的特性を有する可能性がある。ラセミ混合物は当業者に知られている通常の技法によって分離することができ、たとえばStereochemistry of Organic Compounds、E.L.ElielおよびS.H.Wilen(Wiley、1994)を参照されたい。Both crystal forms present in the racemic mixture have the same physical properties, but may have different physical properties compared to the true racemate. Racemic mixtures can be separated by conventional techniques known to those skilled in the art, for example, Stereochemistry of Organic Compounds, E.I. L. Eliel and S.M. H. See Wilen (Wiley, 1994).
 本発明は、1つまたは複数の原子が、同じ原子番号を有するが、自然界で主に見出される原子質量または質量数とは異なる原子質量または質量数を有する原子で置き換えられている、すべての薬学的に許容できる同位標識された式(I)の化合物を包含する。The present invention relates to all pharmaceuticals in which one or more atoms have been replaced with atoms having the same atomic number but having an atomic mass or mass number different from the atomic mass or mass number found primarily in nature. Which are pharmaceutically acceptable isotope-labelled compounds of formula (I).
 本発明の化合物に包含されるのに適した同位体の例には、水素の同位体、2Hおよび3Hなど、炭素の同位体、11C、13C、および14Cなど、塩素の同位体、36Clなど、フッ素の同位体、18Fなど、ヨウ素の同位体、123Iおよび125Iなど、窒素の同位体、13Nおよび15Nなど、酸素の同位体、15O、17O、および18Oなど、リンの同位体、32Pなど、ならびに硫黄の同位体、35Sなどが包含される。Examples of isotopes suitable for inclusion in the compounds of the present invention include isotopes of hydrogen, such as 2H and 3H, isotopes of carbon, such as 11C, 13C and 14C, isotopes of chlorine, 36Cl and the like, Isotopes of fluorine, such as 18F, isotopes of iodine, such as 123I and 125I, isotopes of nitrogen, such as 13N and 15N, isotopes of oxygen, such as 15O, 17O and 18O, isotopes of phosphorus, 32P etc., and Sulfur isotopes such as 35S are included.
 ある種の同位体標識された式(I)の化合物、たとえば放射性同位体を取り込んだ化合物は、薬物および/または基質の組織分布研究において有用である。放射性同位体トリチウム、すなわち3H、および炭素14、すなわち14Cは、それらの取り込みが容易であり、検出手段が容易である点から、この目的のために特に有用である。Certain isotopically-labelled compounds of formula (I), such as those incorporating a radioactive isotope, are useful in drug and / or substrate tissue distribution studies. The radioactive isotopes tritium, ie 3H, and carbon-14, ie 14C, are particularly useful for this purpose in view of their ease of incorporation and ready means of detection.
 重水素、すなわち2Hなどの重い同位体で置換することによって、より高い代謝安定性、たとえばin vivo半減期の増大、または必要用量の低減に起因するある種の治療上の利点がもたらされる可能性があり、したがってある状況では好ましい可能性がある。Substitution with heavy isotopes such as deuterium, ie 2H, may provide certain therapeutic benefits due to higher metabolic stability, eg, increased in vivo half-life, or reduced dosage requirements And therefore may be preferred in certain situations.
 11C、18F、15O、および13Nなどの陽電子放出同位体による置換は、基質受容体占有率を調べるための陽電子放出トポグラフィー(Positron Emission Topography)(PET)試験に有用であり得る。Substitution with positron emitting isotopes, such as 11C, 18F, 15O, and 13N, can be useful in Positron Emission Topography (PET) studies to examine substrate receptor occupancy.
 同位体標識された式(I)の化合物は、当業者に知られている通常の技法によって、または下記の実施例および調製に記載するものと類似の方法によって、前に用いられた非標識試薬の代わりに適切な同位体標識試薬を用いて、一般に調製することができる。Isotopically-labelled compounds of formula (I) can be obtained from unlabeled reagents previously used by conventional techniques known to those skilled in the art or by methods analogous to those described in the Examples and Preparations below. Can be generally prepared using a suitable isotope labeling reagent instead of
 本発明による薬学的に許容できる溶媒和物には、たとえばD2O、d6-アセトン、d6-DMSOなど、結晶化の溶媒が同位体置換されていてもよい溶媒和物が包含される。The pharmaceutically acceptable solvate according to the present invention includes solvates in which the solvent for crystallization may be isotopically substituted, such as D2O, d6-acetone, d6-DMSO.
 本発明の特定の実施形態は、以下の実施例に例示される化合物、ならびにそれらの薬学的に許容できる塩、複合体、溶媒和物、多形、立体異性体、代謝産物、プロドラッグ、およびそれらの他の誘導体を包含する。Certain embodiments of the present invention include compounds exemplified in the following examples, and pharmaceutically acceptable salts, complexes, solvates, polymorphs, stereoisomers, metabolites, prodrugs thereof, and Includes those other derivatives.
 本発明はまた、統合失調症、妄想性障害、および薬物誘発性中枢疾患などのある種の中枢性障害および状態;恐慌性障害および強迫性障害などの不安障害;ならびにパーキンソン病およびハンチントン病を包含する運動障害を治療するための医薬組成物であって、PDE10を阻害するのに有効なある量の式(I)の化合物を含む医薬組成物に関する。The invention also encompasses certain central disorders and conditions such as schizophrenia, paranoid disorders, and drug-induced central diseases; anxiety disorders such as panic disorder and obsessive compulsive disorder; and Parkinson's disease and Huntington's disease Relates to a pharmaceutical composition comprising an amount of a compound of formula (I) effective to inhibit PDE10.
 他の実施形態において、本発明はまた、統合失調症、妄想性障害、および薬物誘発性中枢疾患などの中枢性障害および状態;恐慌性障害および強迫性障害などの不安障害;ならびにパーキンソン病およびハンチントン病を包含する運動障害を治療するための医薬組成物であって、前記障害または状態を治療するのに有効なある量の式(I)の化合物を含む医薬組成物に関する。In other embodiments, the present invention also includes central disorders and conditions such as schizophrenia, paranoid disorders, and drug-induced central diseases; anxiety disorders such as panic disorder and obsessive compulsive disorder; and Parkinson's disease and Huntington It relates to a pharmaceutical composition for treating movement disorders including diseases, comprising a certain amount of a compound of formula (I) effective to treat said disorder or condition.
 本発明に従って治療することのできる中枢性障害の例には、これに限定されるものではないが、たとえば妄想型、解体型、緊張型、鑑別不能型、または残遺型の統合失調症;統合失調症様障害;たとえば妄想型または抑うつ型の統合失調感情障害;妄想性障害;物質誘導性中枢性障害、たとえばアルコール、アンフェタミン、大麻、コカイン、幻覚剤、吸入剤、オピオイド、またはフェンシクリジンによって誘発された中枢疾患;妄想型の人格障害;および統合失調型の人格障害が包含される。Examples of central disorders that can be treated according to the present invention include, but are not limited to, eg, delusional, dismantled, strained, indistinguishable, or residual schizophrenia; Schizophrenia-like disorders; for example, paranoid or depressive schizophrenic disorder; paranoid disorders; substance-induced central disorders such as alcohol, amphetamine, cannabis, cocaine, hallucinogens, inhalants, opioids, or phencyclidine Included are induced central disease; delusional personality disorder; and schizophrenic personality disorder.
 本発明に従って治療することのできる運動障害の例には、これに限定されるものではないが、ハンチントン病、およびドパミンアゴニスト療法に関連する異常運動症、パーキンソン病、不穏下肢症候群、ならびに本態性振せんが包含される。Examples of movement disorders that can be treated according to the present invention include, but are not limited to, Huntington's disease, and aberrant motility associated with dopamine agonist therapy, Parkinson's disease, restless leg syndrome, and essential tremor. Is included.
 本発明に従って治療することのできる他の障害は、強迫性障害、トゥレット症候群、および他のチック障害である。Other disorders that can be treated according to the present invention are obsessive-compulsive disorder, Tourette syndrome, and other tic disorders.
 他の実施形態において、本発明は、哺乳動物において不安障害または状態を治療する方法であって、前記哺乳動物に、PDE10を阻害するのに有効なある量の式(I)の化合物を投与することを含む方法に関する。In another embodiment, the invention is a method of treating an anxiety disorder or condition in a mammal, wherein said mammal is administered an amount of a compound of formula (I) effective to inhibit PDE10. Relates to a method comprising:
 本発明はまた、哺乳動物において不安障害または状態を治療する方法であって、前記哺乳動物に、前記障害または状態を治療するのに有効なある量の式(I)の化合物を投与することを含む方法を提供する。The present invention also provides a method of treating an anxiety disorder or condition in a mammal comprising administering to said mammal an amount of a compound of formula (I) effective to treat said disorder or condition. A method of including is provided.
 本発明に従って治療することのできる不安障害の例には、これに限定されるものではな
いが、恐慌性障害;広場恐怖症;特定恐怖症;社会恐怖症;強迫性障害;心的外傷後ストレス障害;急性ストレス障害;および全般性不安障害が包含される。
Examples of anxiety disorders that can be treated according to the present invention include, but are not limited to, panic disorder; agoraphobia; specific phobia; social phobia; obsessive compulsive disorder; Disorders include: acute stress disorder; and generalized anxiety disorder.
 本発明はさらに、ヒトを包含する哺乳動物において、薬物嗜癖、たとえばアルコール、アンフェタミン、コカイン、またはアヘン嗜癖を治療する方法であって、前記哺乳動物に、薬物嗜癖を治療するのに有効なある量の式(I)の化合物を投与することを含む方法を提供する。The present invention further provides a method of treating drug addiction, such as alcohol, amphetamine, cocaine, or opium addiction, in mammals, including humans, wherein the mammal is an amount effective to treat drug addiction A method comprising administering a compound of formula (I):
 本発明はまた、ヒトを包含する哺乳動物において、薬物嗜癖、たとえばアルコール、アンフェタミン、コカイン、またはアヘン嗜癖を治療する方法であって、前記哺乳動物に、PDE10を阻害するのに有効なある量の式(I)の化合物を投与することを含む方法を提供する。The invention also provides a method of treating drug addiction, such as alcohol, amphetamine, cocaine, or opium addiction, in mammals, including humans, wherein the mammal has an amount effective to inhibit PDE10. There is provided a method comprising administering a compound of formula (I).
 本明細書では、「薬物嗜癖」は薬物に対する異常な欲望を意味し、一般に所望の薬物を摂取しようとする衝動強迫のような動機的障害、および強度の薬物切望のエピソードを特徴とする。As used herein, “drug addiction” means an abnormal desire for a drug and is generally characterized by a motivational disorder such as an impulsive compulsion to take a desired drug and an episode of intense drug craving.
 本発明はさらに、ヒトを包含する哺乳動物において、症状として注意および/または認知の欠如を含む障害を治療する方法であって、前記哺乳動物に、前記障害を治療するのに有効なある量の式(I)の化合物を投与することを含む方法を提供する。The invention further provides a method of treating a disorder, including a lack of attention and / or cognition as a symptom, in a mammal, including a human, wherein the mammal has an amount effective to treat the disorder. There is provided a method comprising administering a compound of formula (I).
 本発明はまた、ヒトを包含する哺乳動物において、症状として注意および/または認知の欠如を含む障害または状態を治療する方法であって、前記哺乳動物に、PDE10を阻害するのに有効なある量の式(I)の化合物を投与することを含む方法を提供する。The present invention also provides a method of treating a disorder or condition comprising a lack of attention and / or cognition as a symptom in a mammal, including a human, wherein the mammal is an amount effective to inhibit PDE10. A method comprising administering a compound of formula (I):
 本発明はまた、ヒトを包含する哺乳動物において、症状として注意および/または認知の欠如を含む障害または状態を治療する方法であって、前記哺乳動物に、前記障害または状態を治療するのに有効なある量の式(I)の化合物を投与することを含む方法を提供する。The present invention is also a method of treating a disorder or condition that includes a lack of attention and / or cognition as a symptom in a mammal, including a human, and is effective for treating said disorder or condition in said mammal. There is provided a method comprising administering an amount of a compound of formula (I).
 本明細書で「症状として注意および/または認知の欠如を含む障害」に用いられる「注意および/または認知の欠如」という語句は、同じ年齢の人口集団の他の個体と比較して特定の個体において、記憶、知力、または学習および論理能力などの1種または複数の認知的局面の機能が正常以下であることを指す。「注意および/または認知の欠如」はまた、たとえば加齢性認知低下で起こるような1種または複数の認知的局面の任意の特定の個体における機能の低下を指す。The phrase “lack of attention and / or cognition” as used herein for “disorders involving attention and / or lack of cognition as a symptom” refers to a particular individual compared to other individuals of the same age population Refers to subnormal functioning of one or more cognitive aspects such as memory, intelligence, or learning and logic ability. “Lack of attention and / or cognition” also refers to a decline in function in any particular individual of one or more cognitive aspects, such as occurs with age-related cognitive decline.
 本発明に従って治療することのできる注意および/または認知の欠如を症状として含む障害の例は、認知症、たとえばアルツハイマー病、多発脳梗塞、アルコール性認知症もしくは他の薬物関連認知症、頭蓋内腫瘍もしくは脳外傷に関連する認知症、ハンチントン病もしくはパーキンソン病に関連する認知症、またはAIDS関連認知症;せん妄;健忘障害;心的外傷後ストレス障害;精神遅滞;学習障害、たとえば読字障害、算数障害、または書字表出障害;注意欠陥/過活動性障害;および加齢性認知低下である。Examples of disorders that include as a symptom a lack of attention and / or cognition that can be treated according to the present invention include dementia such as Alzheimer's disease, multiple cerebral infarction, alcoholic or other drug-related dementia, intracranial tumors Or dementia related to brain trauma, dementia related to Huntington's disease or Parkinson's disease, or AIDS-related dementia; delirium; amnestic disorder; post-traumatic stress disorder; mental retardation; learning disorder such as reading disorder, arithmetic disorder Or written disability; attention deficit / hyperactivity disorder; and age-related cognitive decline.
 本発明はまた、ヒトを包含する哺乳動物において、気分障害または気分エピソードを治療する方法であって、前記哺乳動物に、前記障害またはエピソードを治療するのに有効なある量の式(I)の化合物を投与することを含む方法を提供する。The present invention is also a method of treating a mood disorder or mood episode in a mammal, including a human, wherein the mammal has an amount of Formula (I) effective to treat the disorder or episode. A method comprising administering a compound is provided.
 本発明はまた、ヒトを包含する哺乳動物において、気分障害または気分エピソードを治療する方法であって、前記哺乳動物に、PDE10を阻害するのに有効なある量の式(I)の化合物を投与することを含む方法を提供する。The present invention is also a method of treating mood disorders or mood episodes in mammals, including humans, wherein said mammal is administered an amount of a compound of formula (I) effective to inhibit PDE10. Providing a method comprising:
 本発明に従って治療することのできる気分障害および気分エピソードの例には、これに限定されるものではないが、軽度、中等度、または重度型の大うつ病エピソード、躁病または混合気分エピソード、軽躁気分エピソード;非定型の特徴を伴ううつ病エピソード;メランコリー型の特徴を伴ううつ病エピソード;緊張型の特徴を伴ううつ病エピソード;分娩後の発症を伴う気分エピソード;脳卒中後うつ病;大うつ病性障害;気分変調性障害;小うつ病性障害;月経前不快気分障害;統合失調症の後うつ病性障害;妄想性障害または統合失調症などの中枢性障害に併発する大うつ病性障害;双極性障害、たとえば双極I型障害、双極II型障害、および気分循環性障害が包含される。Examples of mood disorders and mood episodes that can be treated according to the present invention include, but are not limited to, mild, moderate, or severe forms of major depression episodes, mania or mixed mood episodes, hypomania mood Episodes; Depressive episodes with atypical features; Depressive episodes with melancholic features; Depressive episodes with tension-type features; Mood episodes with postpartum onset; Depression after stroke; Major depression Disorder; mood modulation disorder; minor depression disorder; premenstrual dysphoric disorder; depressive disorder after schizophrenia; major depressive disorder associated with central disorder such as delusional disorder or schizophrenia; Bipolar disorders such as bipolar I disorder, bipolar type II disorder, and mood circulatory disorder are included.
 本発明はさらに、ヒトを包含する哺乳動物において、神経変性障害または状態を治療する方法であって、前記哺乳動物に、前記障害または状態を治療するのに有効なある量の式(I)の化合物を投与することを含む方法を提供する。The present invention is further a method of treating a neurodegenerative disorder or condition in mammals, including humans, wherein the mammal has an amount of formula (I) effective to treat the disorder or condition. A method comprising administering a compound is provided.
 本発明はさらに、ヒトを包含する哺乳動物において、神経変性障害または状態を治療する方法であって、前記哺乳動物に、PDE10を阻害するのに有効なある量の式(I)の化合物を投与することを含む方法を提供する。The present invention is further a method of treating a neurodegenerative disorder or condition in mammals, including humans, wherein said mammal is administered an amount of a compound of formula (I) effective to inhibit PDE10. Providing a method comprising:
 本明細書では、別に指示のない限り、「神経変性障害または状態」は、中枢神経系でのニューロンの機能不全および/または死に起因する障害または状態を指す。これらの障害および状態の治療は、これらの障害または状態において危険な状態にあるニューロンの機能不全または死を防ぐか、かつ/または危険な状態にあるニューロンの機能不全または死に起因する機能喪失を補うように、損傷または正常ニューロンの機能を高めることのできる薬剤の投与によって促進することができる。本明細書では、「神経栄養剤」という用語は、これらの特性の一部またはすべてを有する物質または薬剤を指す。As used herein, unless otherwise indicated, “neurodegenerative disorder or condition” refers to a disorder or condition resulting from neuronal dysfunction and / or death in the central nervous system. Treatment of these disorders and conditions prevents dysfunction or death of neurons at risk in these disorders or conditions and / or compensates for loss of function due to dysfunction or death of neurons at risk As such, it can be facilitated by administration of agents that can enhance the function of damaged or normal neurons. As used herein, the term “neurotrophic agent” refers to a substance or agent that has some or all of these properties.
 本発明に従って治療することのできる神経変性障害および状態の例には、これに限定されるものではないが、パーキンソン病;ハンチントン病;認知症、たとえばアルツハイマー病、多発脳梗塞性認知症、AIDS関連認知症、および前頭側頭型認知症;脳外傷に関連する神経変性;脳卒中に関連する神経変性、脳梗塞に関連する神経変性;低血糖誘発性神経変性;てんかん発作に関連する神経変性;神経毒中毒に関連する神経変性;および多系統委縮症が包含される。Examples of neurodegenerative disorders and conditions that can be treated according to the present invention include, but are not limited to, Parkinson's disease; Huntington's disease; dementia such as Alzheimer's disease, multiple cerebral infarction dementia, AIDS-related Dementia and frontotemporal dementia; neurodegeneration associated with brain trauma; neurodegeneration associated with stroke, neurodegeneration associated with cerebral infarction; hypoglycemia-induced neurodegeneration; neurodegeneration associated with epileptic seizures; Neurodegeneration associated with poisoning; and multiple system atrophy.
 本発明の一実施形態において、神経変性障害または状態は、ヒトを包含する哺乳動物の線条体中型有棘ニューロンの神経変性を含む。In one embodiment of the invention, the neurodegenerative disorder or condition comprises neurodegeneration of striatal medium spiny neurons in mammals, including humans.
 本発明のさらなる実施形態において、神経変性障害または状態は、ハンチントン病である。In a further embodiment of the invention, the neurodegenerative disorder or condition is Huntington's disease.
 本発明はまた、中枢性障害、妄想性障害、および薬物誘発性中枢疾患;不安障害、運動障害、気分障害、神経変性障害、および薬物嗜癖を治療するための医薬組成物であって、前記障害または状態を治療するのに有効なある量の式(I)の化合物を含む医薬組成物を提供する。The present invention also provides a pharmaceutical composition for treating central disorder, delusional disorder, and drug-induced central disease; anxiety disorder, movement disorder, mood disorder, neurodegenerative disorder, and drug addiction, said disorder Or a pharmaceutical composition comprising an amount of a compound of formula (I) effective to treat the condition.
 本発明はまた、中枢性障害、妄想性障害、および薬物誘発性中枢疾患;不安障害、運動障害、気分障害、および神経変性障害から選択される障害を治療する方法であって、前記障害を治療するのに有効なある量の式(I)の化合物を前記障害の治療を必要とする対象に投与することを含む方法を提供する。The present invention also provides a method of treating a disorder selected from central disorder, delusional disorder, and drug-induced central disease; anxiety disorder, movement disorder, mood disorder, and neurodegenerative disorder, wherein said disorder is treated There is provided a method comprising administering an effective amount of a compound of formula (I) to a subject in need of treatment for said disorder.
 本発明はまた、認知症、アルツハイマー病、多発脳梗塞性認知症、アルコール性認知症もしくは他の薬物関連認知症、頭蓋内腫瘍もしくは脳外傷に関連する認知症、ハンチントン病もしくはパーキンソン病に関連する認知症、またはAIDS関連認知症;せん妄;健忘障害;心的外傷後ストレス障害;精神遅滞;学習障害、たとえば読字障害、算数障害、または書字表出障害;注意欠陥/過活動性障害;加齢性認知低下、軽度、中等度、または重度型の大うつ病エピソード;躁病または混合気分エピソード;軽躁気分エピソード;非定型の特徴を伴ううつ病エピソード;メランコリー型の特徴を伴ううつ病エピソード;緊張型の特徴を伴ううつ病エピソード;分娩後の発症を伴う気分エピソード;脳卒中後うつ病;大うつ病性障害;気分変調性障害;小うつ病性障害;月経前不快気分障害;統合失調症の後うつ病性障害;妄想性障害または統合失調症を含む中枢性障害に併発する大うつ病性障害;双極I型障害、双極II型障害、気分循環性障害を含む双極性障害、パーキンソン病;ハンチントン病;認知症、アルツハイマー病、多発脳梗塞性認知症、AIDS関連認知症、前頭側頭型認知症;脳外傷に関連する神経変性;脳卒中に関連する神経変性;脳梗塞に関連する神経変性;低血糖誘発性神経変性;てんかん発作に関連する神経変性;神経毒中毒に関連する神経変性;多系統委縮症、妄想型、解体型、緊張型、鑑別不能型、または残遺型;統合失調症様障害;妄想型または抑うつ型の統合失調感情障害;妄想性障害;物質誘導性中枢性障害、アルコール、アンフェタミン、大麻、コカイン、幻覚剤、吸入剤、オピオイド、またはフェンシクリジンによって誘発された中枢性疾患;妄想型の人格障害;および統合失調型の人格障害からなる群から選択される障害を治療する方法であって、前記障害を治療するのに有効なある量の式(I)の化合物を前記障害の治療を必要とする対象に投与することを含む方法を提供する。The invention also relates to dementia, Alzheimer's disease, multiple cerebral infarction dementia, alcoholic dementia or other drug-related dementia, dementia associated with intracranial tumors or brain trauma, Huntington's disease or Parkinson's disease Dementia, or AIDS-related dementia; delirium; amnestic disorder; post-traumatic stress disorder; mental retardation; learning disorders such as reading disorders, math disorders, or written expression disorders; attention deficit / hyperactivity disorder; Age-related cognitive decline, mild, moderate, or severe major depression episodes; mania or mixed mood episodes; mild mood episodes; depression episodes with atypical features; depression episodes with melancholic features; tension Depressive episode with type characteristics; mood episode with postpartum episode; poststroke depression; major depressive disorder; mood change Minor depressive disorder; premenstrual dysphoric disorder; post-schizophrenic depressive disorder; major depressive disorder associated with central disorder including delusional disorder or schizophrenia; bipolar type I disorder Bipolar type II disorder, bipolar disorder including mood circulation disorder, Parkinson's disease; Huntington's disease; dementia, Alzheimer's disease, multiple cerebral infarction dementia, AIDS-related dementia, frontotemporal dementia; Associated neurodegeneration; Neurodegeneration associated with stroke; Neurodegeneration associated with cerebral infarction; Hypoglycemia-induced neurodegeneration; Neurodegeneration associated with epileptic seizures; Neurodegeneration associated with neurotoxin poisoning; Multiple system atrophy, delusions Type, dismantled type, tension type, indistinguishable type, or remnant type; schizophrenia-like disorder; delusional or depressive schizophrenic disorder; paranoid disorder; substance-induced central disorder, alcohol, amphetamine, A method of treating a disorder selected from the group consisting of hemp, cocaine, hallucinogen, inhalant, opioid, or phencyclidine-induced central disease; delusional personality disorder; and schizophrenic personality disorder There is provided a method comprising administering an amount of a compound of formula (I) effective to treat the disorder to a subject in need of treatment of the disorder.
 本発明はまた、中枢性障害、妄想性障害、および薬物誘発性中枢疾患;不安障害、運動障害、気分障害、神経変性障害、および薬物嗜癖を治療する方法であって、PDE10を阻害するのに有効なある量の式(I)の化合物を前記治療を必要とする対象に投与することを含む方法を提供する。The present invention also provides a method of treating central disorders, delusional disorders, and drug-induced central diseases; anxiety disorders, movement disorders, mood disorders, neurodegenerative disorders, and drug addiction, for inhibiting PDE10. There is provided a method comprising administering an effective amount of a compound of formula (I) to a subject in need of said treatment.
 本発明の化合物に関する説明において、例えば「C1-6」とは、構成炭素原子数が1から6であることを示し、特に断らない限り、直鎖、分枝鎖または環状の基を表し、環状の基で置換した直鎖もしくは分枝鎖の基、または直鎖もしくは分枝鎖の基で置換した環状の基を含む。
 「C2-6」とは、構成炭素原子数が2から6であることを示し、特に断らない限り、直鎖、分枝鎖または環状の基を表し、環状の基で置換した直鎖もしくは分枝鎖の基、または直鎖もしくは分枝鎖の基で置換した環状の基を含む。
In the description of the compound of the present invention, for example, “C 1-6” means that the number of constituent carbon atoms is 1 to 6, and unless otherwise specified, represents a linear, branched or cyclic group, A linear or branched group substituted with a group, or a cyclic group substituted with a linear or branched group.
“C2-6” means 2 to 6 carbon atoms, and unless otherwise specified, represents a linear, branched or cyclic group, which is a linear or branched group substituted with a cyclic group. It includes a branched group, or a cyclic group substituted with a linear or branched group.
 「ハロゲン」の例としては、フッ素原子、塩素原子、臭素原子、ヨウ素原子が挙げられる。Examples of “halogen” include fluorine atom, chlorine atom, bromine atom and iodine atom.
 「5-6員ヘテロアリール」としては、例えば、ピロリル、フリル、チエニル、イミダゾリル、ピラゾリル、オキサゾリル、イソオキサゾリル、チアゾリル、イソチアゾリル、1,2,3-トリアゾリル、1,2,4-トリアゾリル、1,2,3-オキサジアゾリル、1,2,4-オキサジアゾリル、1,3,4-オキサジアゾリル、フラザニル、1,2,3-チアジアゾリル、1,2,4-チアジアゾリル、1,3,4-チアジアゾリル、テトラゾリル、ピリジル、ピリダジニル、ピリミジニル、ピラジニル、1,2,3-トリアジニル、1,2,4-トリアジニル、1,3,5-トリアジニル、2H-1,2,3-チアジアジニル、4H-1,2,4-チアジアジニル、6H-1,3,4-チアジアジニル、1,4-ジアゼピニル、1,4-オキサゼピニル等が挙げられ、このうち、ピリジル、ピリダジニル、ピリミジニル、ピラジニルなどの含窒素6員ヘテロアリールと、ピロリル、イミダゾリル、ピラゾリル等の含窒素5員ヘテロアリール、或いは、フリル、チエニル等の非含窒素ヘテロアリールに大別される。
 本明細書における「縮環式のヘテロアリール」としてはインドリル、イソインドリル、ベンゾフラニル、イソベンゾフラニル、ベンゾチエニル、イソベンゾチエニル、ベンゾオキサゾリル、1,2-ベンゾイソキサゾリル、ベンゾチアゾリル、1,2-ベンゾイソチアゾリル、1H-ベンズイミダゾリル、1H-インダゾリル、1H-ベンゾトリアゾリル、2,1,3-ベンゾチアジアジニル、クロメニル、イソクロメニル、4H-1,4-ベンゾオキサジニル、4H-1,4-ベンゾチアジニル、キノリル、イソキノリル、シンノリニル、キナゾリニル、キノキサリニル、フタラジニル、ベンゾオキサゼピニル、ベンゾアゼピニル、ベンゾジアゼピニル、ナフチリジニル、プリニル、プテリジニル、カルバゾリル、カルボリニル、アクリジニル、フェノキサジニル、フェノチアジニル、フェナジニル、フェノキサチイニル、チアンスレニル、チアントレニルフェナンスリジニル、フェナンスロリニル、インドリジニル、チエノ[3,2-c]ピリジル、チアゾロ[5,4-c]ピリジル、ピロロ[1,2-b]ピリダジニル、ピラゾロ[1,5-a]ピリジル、イミダゾ[1,2-a]ピリジル、イミダゾ[1,5-a]ピリジル、イミダゾ[1,2-b]ピリダジニル、イミダゾ[1,5-a]ピリミジニル、1,2,4-トリアゾロ[4,3-a]ピリジル、1,2,4-トリアゾロ[4,3-b]ピリダジニル、1H-ピラゾロ[3,4-b]ピリジル、1,2,4-トリアゾロ[1,5-a]ピリミジニル等が挙げられる。
Examples of the “5-6-membered heteroaryl” include pyrrolyl, furyl, thienyl, imidazolyl, pyrazolyl, oxazolyl, isoxazolyl, thiazolyl, isothiazolyl, 1,2,3-triazolyl, 1,2,4-triazolyl, 1,2 , 3-oxadiazolyl, 1,2,4-oxadiazolyl, 1,3,4-oxadiazolyl, furazanyl, 1,2,3-thiadiazolyl, 1,2,4-thiadiazolyl, 1,3,4-thiadiazolyl, tetrazolyl, pyridyl , Pyridazinyl, pyrimidinyl, pyrazinyl, 1,2,3-triazinyl, 1,2,4-triazinyl, 1,3,5-triazinyl, 2H-1,2,3-thiadiazinyl, 4H-1,2,4-thiadiazinyl 6H-1,3,4-thiadiazinyl, 1,4-diazepinyl, 1,4- Among them, nitrogen-containing 6-membered heteroaryl such as pyridyl, pyridazinyl, pyrimidinyl, pyrazinyl and the like, nitrogen-containing 5-membered heteroaryl such as pyrrolyl, imidazolyl, pyrazolyl, or non-nitrogen-containing such as furyl, thienyl, etc. It is roughly divided into heteroaryl.
As used herein, “condensed heteroaryl” includes indolyl, isoindolyl, benzofuranyl, isobenzofuranyl, benzothienyl, isobenzothienyl, benzoxazolyl, 1,2-benzisoxazolyl, benzothiazolyl, 1 , 2-Benzisothiazolyl, 1H-benzimidazolyl, 1H-indazolyl, 1H-benzotriazolyl, 2,1,3-benzothiadiazinyl, chromenyl, isochromenyl, 4H-1,4-benzoxazinyl, 4H-1,4-benzothiazinyl, quinolyl, isoquinolyl, cinnolinyl, quinazolinyl, quinoxalinyl, phthalazinyl, benzoxazepinyl, benzoazepinyl, benzodiazepinyl, naphthyridinyl, purinyl, pteridinyl, carbazolyl, carbolinyl, acridin Phenoxazinyl, phenothiazinyl, phenazinyl, phenoxathinyl, thianthrenyl, thianthenylphenanthridinyl, phenanthrolinyl, indolizinyl, thieno [3,2-c] pyridyl, thiazolo [5,4-c] pyridyl, Pyrrolo [1,2-b] pyridazinyl, pyrazolo [1,5-a] pyridyl, imidazo [1,2-a] pyridyl, imidazo [1,5-a] pyridyl, imidazo [1,2-b] pyridazinyl, Imidazo [1,5-a] pyrimidinyl, 1,2,4-triazolo [4,3-a] pyridyl, 1,2,4-triazolo [4,3-b] pyridazinyl, 1H-pyrazolo [3,4 b] pyridyl, 1,2,4-triazolo [1,5-a] pyrimidinyl and the like.
 「4-10員ヘテロ脂肪族環」とは、4-10員環の飽和または部分的に不飽和の非芳香族のヘテロ環を表わす。これらの環は、炭素原子以外にN、O、Sから任意に選ばれる少なくとも1つのヘテロ原子(好ましくは1~3個)が含まれる。例えば、アゼチジニル、オキセタニル、チエタニル、ピロリジニルテトラヒドロフリル、チオラニル、ピラゾリニル、ピラゾリジニル、イミダゾリジニルピペリジニル、ジヒドロピラニル、テトラヒドロピラニル(オキサニル)、テトラヒドロチオピラニル、ピペラジニル、ジオキサニル、オキサゾリニル、イソキサゾリニル、1,3-オキサゾリジニル、イソキサゾリジニル、チアゾリニル、イソチアゾリニル、1,3-チアゾリジニル、イソチアゾリジニル、オキサジアゾリニル、1,3,4-オキサジアゾリジニル、モルホリニル、チオモルホリニル、オキセパニル、アゼピニル、ジアゼパニル、ジアゼピニル、ヘキサヒドロ-1H-アゼピニル、オキセパニル、チエパニル、ヘキサヒドロ-1H-1,4-ジアゼピニル、ヘキサヒドロ-1H-1,4-オキサゼピニル、ヘキサヒドロ-1H-1,4-チアゼピニル、オクタヒドロアゾシニル、オキソカニル、チオカニル、オクタヒドロ-1,5-ジアゾシニル、ヘキサヒドロ-2H-1,5-オキサゾシニル、ヘキサヒドロ-2H-1,5-チアゾシニル、オクタヒドロ-1H-アゾニンイルオキソナニル、チオナニル、オクタヒドロ-1,5-ジアゾニンイル、オクタヒドロ-1,5-オキサゾニンイル、オクタヒドロ-1,5-チアゾニンイル、デカヒドロアゼシニル、オキセカニル、チエカニル、デカヒドロ-1,6-ジアゼシニル等が挙げられる。
 本明細書における「1-2個の炭素原子で架橋されていてもよい4-10員ヘテロ脂肪族環」とは、4-10員環の飽和または部分的に不飽和のヘテロ環に任意の炭素原子又は窒素原子がメチレン若しくはエチレンで架橋されていてもよい環を表し、これを置換基して扱う場合には、当該4-10員ヘテロ脂肪族環から任意の水素原子を除いてできる1価の基を表す。当該ヘテロ脂肪族環には、炭素原子以外にN、O、Sから任意に選ばれる少なくとも1つのヘテロ原子(好ましくは1~3個)が含まれる。
 例えば、アゼチジニル、オキセタニル、チエタニル、ピロリジニル、テトラヒドロフリル、チオラニル、ピラゾリニル、ピラゾリジニル、ピペリジル、テトラヒドロピラニル、ピペラジニル、モルホリニル、オキサゾリニル、チアゾリニル、チオモルホリニル、キヌクリジニル、オキセパニル、アゼピニル、ジアゼパニル、ジアゼピニル、ヘキサヒドロオキサゾロピラジニル、ヘキサヒドロ-1,4-オキサゼピニル、3,6-ジヒドロ2Hピラン、2-オキサー5-アザビシクロ[2,2,1]-ヘプタン、ヘキサヒドロピロロ[1,2-a]ピラジン-6(2H)-オン、2-オキサ-5-アザビシクロ[2,2,1]ヘプタニル等が挙げられる。
“4-10 membered heteroaliphatic ring” refers to a 4-10 membered saturated or partially unsaturated non-aromatic heterocycle. These rings include at least one heteroatom (preferably 1 to 3) arbitrarily selected from N, O and S in addition to the carbon atom. For example, azetidinyl, oxetanyl, thietanyl, pyrrolidinyltetrahydrofuryl, thiolanyl, pyrazolinyl, pyrazolidinyl, imidazolidinylpiperidinyl, dihydropyranyl, tetrahydropyranyl (oxanyl), tetrahydrothiopyranyl, piperazinyl, dioxanyl, oxazolinyl, isoxazolinyl, 1,3-oxazolidinyl, isoxazolidinyl, thiazolinyl, isothiazolinyl, 1,3-thiazolidinyl, isothiazolidinyl, oxadiazolinyl, 1,3,4-oxadiazolidinyl, morpholinyl, thiomorpholinyl, oxepanyl, azepinyl , Diazepanyl, diazepinyl, hexahydro-1H-azepinyl, oxepanyl, thiepanyl, hexahydro-1H-1,4-diazepinyl, hexahydride -1H-1,4-oxazepinyl, hexahydro-1H-1,4-thiazepinyl, octahydroazosinyl, oxocanyl, thiocanyl, octahydro-1,5-diazosinyl, hexahydro-2H-1,5-oxazosinyl, hexahydro-2H- 1,5-thiazosinyl, octahydro-1H-azoninyl oxonanyl, thionanyl, octahydro-1,5-diazoninyl, octahydro-1,5-oxazoninyl, octahydro-1,5-thiazoninyl, decahydroazesinyl, oxecanyl, thiecanyl , Decahydro-1,6-diazesinyl and the like.
The term “4-10 membered heteroaliphatic ring optionally bridged with 1 to 2 carbon atoms” as used herein refers to any 4-10 membered saturated or partially unsaturated heterocyclic ring. This represents a ring in which a carbon atom or a nitrogen atom may be bridged with methylene or ethylene. When this is treated as a substituent, it can be formed by removing any hydrogen atom from the 4- to 10-membered heteroaliphatic ring. Represents a valent group. The heteroaliphatic ring includes at least one heteroatom (preferably 1 to 3) arbitrarily selected from N, O, and S in addition to the carbon atom.
For example, azetidinyl, oxetanyl, thietanyl, pyrrolidinyl, tetrahydrofuryl, thiolanyl, pyrazolinyl, pyrazolidinyl, piperidyl, tetrahydropyranyl, piperazinyl, morpholinyl, oxazolinyl, thiazolinyl, thiomorpholinyl, quinuclidinyl, oxepaneyl, azepinyl, azepinyl, azepinyl Razinyl, hexahydro-1,4-oxazepinyl, 3,6-dihydro-2H pyran, 2-oxa-5-azabicyclo [2,2,1] -heptane, hexahydropyrrolo [1,2-a] pyrazine-6 (2H ) -One, 2-oxa-5-azabicyclo [2,2,1] heptanyl and the like.
 好ましくは、4-7員環の飽和または部分的に不飽和の単環ヘテロ環から任意の水素原子を除いてできる1価の基を表す。また本明細書では「4-7員ヘテロ脂肪族環」とも記載される。当該ヘテロ脂肪族環には、炭素原子以外にN、O、Sから任意に選ばれる少なくとも1つのヘテロ原子(好ましくは1~3個)が含まれる。
 例えば、アゼチジニル、オキセタニル、チエタニル、ピロリジニル、テトラヒドロフリル、チオラニル、ピラゾリニル、ピラゾリジニル、ピペリジル、テトラヒドロピラニル、ピペラジニル、モルホリニル、オキサゾリニル、チアゾリニル、チオモルホリニル、キヌクリジニル、オキセパニル、アゼピニル、ジアゼパニル、ジアゼピニル、ヘキサヒドロオキサゾロピラジニル、等が挙げられる。
 「4-6員ヘテロ脂肪族環」とは、4-6員環の飽和または部分的に不飽和の非芳香族のヘテロ環を表わす。これらの環は、炭素原子以外にN、O、Sから任意に選ばれる少なくとも1つのヘテロ原子(好ましくは1~3個)が含まれる。例えば、アゼチジニル、オキセタニル、チエタニル、ピロリジニルテトラヒドロフリル、チオラニル、ピラゾリニル、ピラゾリジニル、イミダゾリジニルピペリジニル、ジヒドロピラニル、テトラヒドロピラニル(オキサニル)、テトラヒドロチオピラニル、ピペラジニル、ジオキサニル、オキサゾリニル、イソキサゾリニル、1,3-オキサゾリジニル、イソキサゾリジニル、チアゾリニル、イソチアゾリニル、1,3-チアゾリジニル、イソチアゾリジニル、オキサジアゾリニル、1,3,4-オキサジアゾリジニル、モルホリニル、チオモルホリニル等が挙げられる。
Preferably, it represents a monovalent group formed by removing any hydrogen atom from a 4-7 membered saturated or partially unsaturated monocyclic heterocycle. In the present specification, it is also described as “4-7 membered heteroaliphatic ring”. The heteroaliphatic ring includes at least one heteroatom (preferably 1 to 3) arbitrarily selected from N, O, and S in addition to the carbon atom.
For example, azetidinyl, oxetanyl, thietanyl, pyrrolidinyl, tetrahydrofuryl, thiolanyl, pyrazolinyl, pyrazolidinyl, piperidyl, tetrahydropyranyl, piperazinyl, morpholinyl, oxazolinyl, thiazolinyl, thiomorpholinyl, quinuclidinyl, oxepaneyl, azepinyl, azepinyl, azepinyl Razinyl and the like.
The “4-6 membered heteroaliphatic ring” represents a 4-6 membered saturated or partially unsaturated non-aromatic heterocycle. These rings include at least one heteroatom (preferably 1 to 3) arbitrarily selected from N, O and S in addition to the carbon atom. For example, azetidinyl, oxetanyl, thietanyl, pyrrolidinyltetrahydrofuryl, thiolanyl, pyrazolinyl, pyrazolidinyl, imidazolidinylpiperidinyl, dihydropyranyl, tetrahydropyranyl (oxanyl), tetrahydrothiopyranyl, piperazinyl, dioxanyl, oxazolinyl, isoxazolinyl, 1,3-oxazolidinyl, isoxazolidinyl, thiazolinyl, isothiazolinyl, 1,3-thiazolidinyl, isothiazolidinyl, oxadiazolinyl, 1,3,4-oxadiazolidinyl, morpholinyl, thiomorpholinyl, etc. .
 「含酸素4-6員脂肪族環」とは、4-6員環の飽和または部分的に不飽和の含酸素4-6員環を表し、これを置換基して扱う場合には、任意の水素原子を除いてできる1価の基を表す。
 例えば、オキセタニル、テトラヒドロフリル、テトラヒドロピラニル、等が挙げられる。
“Oxygen-containing 4-6-membered aliphatic ring” refers to a 4-6-membered saturated or partially unsaturated oxygen-containing 4-6-membered ring. Represents a monovalent group formed by removing the hydrogen atom.
For example, oxetanyl, tetrahydrofuryl, tetrahydropyranyl, etc. are mentioned.
 「3-6員脂肪族環」とは、3-6員環の飽和または部分的に不飽和の炭素単環を表し、これを置換基して扱う場合には、任意の水素原子を除いてできる1価の基を表す。
例えば、シクロプロピル、シクロブチル、シクロペンチル、シクロヘキシル、シクロプロピルメチル、シクロブチルメチル、シクロペンチルメチル、1-シクロプロピルエチル、2-シクロプロピルエチル、2-シクロブチルエチル、2-メチルシクロプロピル等が挙げられる。また本明細書では「3-6員シクロ環」とも記載される。
“3-6 membered aliphatic ring” refers to a saturated or partially unsaturated carbon monocycle of a 3-6 membered ring, and when this is treated as a substituent, excluding any hydrogen atom Represents a monovalent group that can be formed.
Examples include cyclopropyl, cyclobutyl, cyclopentyl, cyclohexyl, cyclopropylmethyl, cyclobutylmethyl, cyclopentylmethyl, 1-cyclopropylethyl, 2-cyclopropylethyl, 2-cyclobutylethyl, 2-methylcyclopropyl, and the like. In the present specification, it is also described as “3-6 membered cyclo ring”.
 「構成員数が7-12員のスピロ環」とは、例えばその具体的例示として以下のような部分構造が表される。
Figure JPOXMLDOC01-appb-C000124
Figure JPOXMLDOC01-appb-C000125
Figure JPOXMLDOC01-appb-C000126
Figure JPOXMLDOC01-appb-C000127
“The spiro ring having 7 to 12 members” represents, for example, the following partial structure as a specific example.
Figure JPOXMLDOC01-appb-C000124
Figure JPOXMLDOC01-appb-C000125
Figure JPOXMLDOC01-appb-C000126
Figure JPOXMLDOC01-appb-C000127
 「アリール基」とは、単環式もしくは縮環式のC6-14アリール基、例えば、フェニル、1-ナフチル、2-ナフチル、アンスリル、フェナンスリル、アセナフチル等、或いは(1-、2-、4-もしくは5-)インダニル、インデニル、テトラヒドロナフチル等の部分的に水素化された縮合アリール基等が挙げられる。
 「フェニルC1-6アルキル」とは、C1-C6の直鎖、分枝鎖もしくは環状のアルキル基にフェニル基が結合したもので、例えばベンジル、フェネチル、フェニルヘキシル等が挙げられる。
 「C7-11アラルキル」とは、前記「アリール基」が「C1-6アルキル基」の直鎖もしくは分枝鎖のアルキル基に置換した基であり、例えば、ベンジル、フェネチル、3-フェニルプロピル、1-ナフチルメチル、2-ナフチルメチル、2-(1-ナフチル)エチル、2-(2-ナフチル)エチル、1-インダニルメチル、2-インダニルメチル、1,2,3,4-テトラヒドロナフタレン-1-イルメチル、1,2,3,4-テトラヒドロナフタレン-2-イルメチル等が挙げられる。
The “aryl group” means a monocyclic or condensed C6-14 aryl group such as phenyl, 1-naphthyl, 2-naphthyl, anthryl, phenanthryl, acenaphthyl, etc., or (1-, 2-, 4- Or, 5-) partially hydrogenated fused aryl groups such as indanyl, indenyl, tetrahydronaphthyl and the like.
“Phenyl C1-6 alkyl” is a C1-C6 linear, branched or cyclic alkyl group bonded with a phenyl group, and examples thereof include benzyl, phenethyl, phenylhexyl and the like.
“C7-11 aralkyl” is a group in which the above “aryl group” is substituted with a linear or branched alkyl group of “C1-6 alkyl group”, such as benzyl, phenethyl, 3-phenylpropyl, 1-naphthylmethyl, 2-naphthylmethyl, 2- (1-naphthyl) ethyl, 2- (2-naphthyl) ethyl, 1-indanylmethyl, 2-indanylmethyl, 1,2,3,4-tetrahydronaphthalene -1-ylmethyl, 1,2,3,4-tetrahydronaphthalen-2-ylmethyl and the like.
 「5-6員ヘテロアリールC1-6アルキル」とは、C1-C6の直鎖、分枝鎖もしくは環状のアルキル基に5-6員ヘテロアリール基が結合したもので、例えばピリジノメチル、ピリジノエチル、フラニルヘキシル等が挙げられる。
 「C1-6アルコキシC1-6アルキル」とは、C1-C6の直鎖、分枝鎖もしくは環状のアルキル基にC1-C6のアルコキシ基が結合したもので、例えばメトキシメチル、エトキシメチル、メトキシエチル、エトキシエチル、n-プロポキシメチル、n-プロポキシエチル、n-プロポキシプロピル、シクロプロポキシメチル、n-ブトキシメチル、シクロブトキシメチル、n-ペンチルオキシメチル、シクロペンチルオキシメチル、n-ヘキシルオキシメチル、シクロヘキシルオキシメチル、等が挙げられる。
“5-6 membered heteroaryl C1-6 alkyl” is a C1-C6 linear, branched or cyclic alkyl group bonded to a 5-6 membered heteroaryl group, for example, pyridinomethyl, pyridinoethyl, furani Examples include ruhexyl.
“C1-6 alkoxy C1-6 alkyl” is a C1-C6 linear, branched or cyclic alkyl group bonded to a C1-C6 alkoxy group, for example, methoxymethyl, ethoxymethyl, methoxyethyl , Ethoxyethyl, n-propoxymethyl, n-propoxyethyl, n-propoxypropyl, cyclopropoxymethyl, n-butoxymethyl, cyclobutoxymethyl, n-pentyloxymethyl, cyclopentyloxymethyl, n-hexyloxymethyl, cyclohexyloxy Methyl, and the like.
 「C1-6アルキル」とは、C1-C6の直鎖、分枝鎖もしくは環状のアルキル基、例えばメチル、エチル、プロピル、イソプロピル、n-ブチル、イソブチル、sec-ブチル、tert-ブチル、ペンチル、イソペンチル、ネオペンチル、tert-ペンチル、1-メチルブチル、2-メチルブチル、1,2-ジメチルプロピル、1-エチルプロピル、ヘキシル、イソヘキシル、1-メチルペンチル、2-メチルペンチル、3-メチルペンチル、1,1-ジメチルブチル、1,2-ジメチルブチル、2,2-ジメチルブチル、1,3-ジメチルブチル、2,3-ジメチルブチル、3,3-ジメチルブチル、1-エチルブチル、2-エチルブチル、1,1,2-トリメチルプロピル、1,2,2-トリメチルプロピル、1-エチル-1-メチルプロピル、1-エチル-2-メチルプロピル、シクロプロピル、シクロブチル、シクロペンチル、シクロヘキシル、シクロプロピルメチル、シクロブチルメチル、シクロペンチルメチル、1-シクロプロピルエチル、2-シクロプロピルエチル、2-シクロブチルエチル、2-メチルシクロプロピル等が挙げられる。
 「C1-6ハロアルキル」とは、前記「C1-6アルキル基」が1~5個のハロゲン原子で任意に置換されている基を表す。例えば、トリフルオロメチル、トリフルオロエチル、テトラフルオロエチル、ペンタフルオロエチル、クロロメチル、ジクロロメチル、トリクロロメチル、ブロモメチル、ジブロモメチル、トリブロモメチル等が挙げられる。
“C1-6 alkyl” refers to a C1-C6 linear, branched or cyclic alkyl group such as methyl, ethyl, propyl, isopropyl, n-butyl, isobutyl, sec-butyl, tert-butyl, pentyl, Isopentyl, neopentyl, tert-pentyl, 1-methylbutyl, 2-methylbutyl, 1,2-dimethylpropyl, 1-ethylpropyl, hexyl, isohexyl, 1-methylpentyl, 2-methylpentyl, 3-methylpentyl, 1,1 -Dimethylbutyl, 1,2-dimethylbutyl, 2,2-dimethylbutyl, 1,3-dimethylbutyl, 2,3-dimethylbutyl, 3,3-dimethylbutyl, 1-ethylbutyl, 2-ethylbutyl, 1,1 , 2-trimethylpropyl, 1,2,2-trimethylpropyl, 1-ethyl-1-methylpropyl Propyl, 1-ethyl-2-methylpropyl, cyclopropyl, cyclobutyl, cyclopentyl, cyclohexyl, cyclopropylmethyl, cyclobutylmethyl, cyclopentylmethyl, 1-cyclopropylethyl, 2-cyclopropylethyl, 2-cyclobutylethyl, 2 -Methylcyclopropyl and the like.
“C 1-6 haloalkyl” represents a group in which the “C 1-6 alkyl group” is optionally substituted with 1 to 5 halogen atoms. Examples include trifluoromethyl, trifluoroethyl, tetrafluoroethyl, pentafluoroethyl, chloromethyl, dichloromethyl, trichloromethyl, bromomethyl, dibromomethyl, tribromomethyl and the like.
 「C2-6アルケニル」とは、C2-C6の直鎖、分枝鎖もしくは環状のアルケニル基、例えばビニル、アリル、イソプロペニル、2-メチルアリル、ブテニル、ペンテニル、ヘキセニル、1-シクロプロペン-1-イル、2-シクロプロペン-1-イル、1-シクロブテン-1-イル、1-シクロペンテン-1-イル、2-シクロペンテン-1-イル、3-シクロペンテン-1-イル、1-シクロヘキセン-1-イル、2-シクロヘキセン-1-イル、3-シクロヘキセン-1-イル、2,4-シクロペンタジエン-1-イル、2,5-シクロヘキサジエン-1-イル等が挙げられる。“C2-6 alkenyl” refers to a C2-C6 straight, branched or cyclic alkenyl group such as vinyl, allyl, isopropenyl, 2-methylallyl, butenyl, pentenyl, hexenyl, 1-cyclopropene-1- Yl, 2-cyclopropen-1-yl, 1-cyclobuten-1-yl, 1-cyclopenten-1-yl, 2-cyclopenten-1-yl, 3-cyclopenten-1-yl, 1-cyclohexen-1-yl 2-cyclohexen-1-yl, 3-cyclohexen-1-yl, 2,4-cyclopentadien-1-yl, 2,5-cyclohexadien-1-yl, and the like.
 「C1-6アルコキシ」とは、C1-C6の直鎖、分枝鎖もしくは環状のアルコキシル基を表す。例えば、メトキシ、エトキシ、プロポキシ、イソプロポキシ、ブトキシ、イソブトキシ、sec-ブトキシ、tert-ブトキシ、ペンチルオキシ、イソペンチルオキシ、ネオペンチルオキシ、tert-ペンチルオキシ、1-メチルブトキシ、2-メチルブトキシ、1,2-ジメチルプロポキシ、1-エチルプロポキシ、ヘキシルオキシ、イソヘキシルオキシ、3,3-ジメチルブトキシ、シクロプロピルオキシ、シクロブチルオキシ、シクロペンチルオキシ、シクロヘキシルオキシ、シクロプロピルメトキシ、1-シクロプロピルエトキシ、2-シクロプロピルエトキシ、シクロブチルメトキシ、2-シクロブチルエトキシ、シクロペンチルメトキシ、2-メチルシクロプロピルオキシ等が挙げられる。“C1-6 alkoxy” represents a C1-C6 linear, branched or cyclic alkoxyl group. For example, methoxy, ethoxy, propoxy, isopropoxy, butoxy, isobutoxy, sec-butoxy, tert-butoxy, pentyloxy, isopentyloxy, neopentyloxy, tert-pentyloxy, 1-methylbutoxy, 2-methylbutoxy, 1 , 2-dimethylpropoxy, 1-ethylpropoxy, hexyloxy, isohexyloxy, 3,3-dimethylbutoxy, cyclopropyloxy, cyclobutyloxy, cyclopentyloxy, cyclohexyloxy, cyclopropylmethoxy, 1-cyclopropylethoxy, 2 -Cyclopropylethoxy, cyclobutylmethoxy, 2-cyclobutylethoxy, cyclopentylmethoxy, 2-methylcyclopropyloxy and the like.
 「ヒドロキシC1-6アルキル」とは、上述した-(C1-C6)-アルキルにヒドロキシル基が結合した基を表す。例えばヒドロキシメチル、ヒドロキシエチル、ヒドロキシプロピル、ヒドロキシブチル、ヒドロキシペンチル、ヒドロキシヘキシル、ヒドロキシシクロプロピル、4-ヒドロキシシクロヘキシル、等が挙げられる。“Hydroxy C1-6 alkyl” represents a group in which a hydroxyl group is bonded to the above-described — (C1-C6) -alkyl. Examples thereof include hydroxymethyl, hydroxyethyl, hydroxypropyl, hydroxybutyl, hydroxypentyl, hydroxyhexyl, hydroxycyclopropyl, 4-hydroxycyclohexyl and the like.
 「C1-6アルキルチオ」とは、上述した-(C1-C6)-アルキルがSに結合した基を表す。例えばメチルチオ、エチルチオ、プロピルチオ、イソプロピルチオ、ブチルチオ、イソブチルチオ、sec-ブチルチオ、tert-ブチルチオ、ペンチルチオ、イソペンチルチオ、tert-ペンチルチオ、ネオペンチルチオ、1-メチルブチルチオ、2-メチルブチルチオ、1,2-ジメチルプロピルチオ、1-エチルプロピルチオ、ヘキシルチオ、イソヘキシルチオ、3,3-ジメチルブチルチオ、シクロプロピルチオ、シクロブチルチオ、シクロペンチルチオ、シクロヘキシルチオ、シクロプロピルメチルチオ、1-シクロプロピルエチルチオ、2-シクロプロピルエチルチオ、シクロブチルメチルチオ、2-シクロブチルエチルチオ、シクロペンチルメチルチオ、2-メチルシクロプロピルチオ、等が挙げられる。
 「C1-6アルキルアミノ」は、アミノ基の一つの水素原子が前記「C1-6アルキル基」で置換されたアミノ基を意味する。例えば、メチルアミノ、エチルアミノ、プロピルアミノ、イソプロピルアミノ、ブチルアミノ、イソブチルアミノ、ペンチルアミノ、イソペンチルアミノ、ヘキシルアミノ、イソヘキシルアミノ、シクロプロピルアミノ、シクロブチルアミノ、シクロペンチルアミノ、シクロヘキシルアミノ、1-シクロプロピルメチルアミノ、1-シクロブチルメチルアミノ、1-シクロペンチルメチルアミノ、1-シクロヘキシルメチルアミノ、等が挙げられる。
“C1-6 alkylthio” represents a group in which — (C1-C6) -alkyl described above is bonded to S. For example, methylthio, ethylthio, propylthio, isopropylthio, butylthio, isobutylthio, sec-butylthio, tert-butylthio, pentylthio, isopentylthio, tert-pentylthio, neopentylthio, 1-methylbutylthio, 2-methylbutylthio, 1 , 2-dimethylpropylthio, 1-ethylpropylthio, hexylthio, isohexylthio, 3,3-dimethylbutylthio, cyclopropylthio, cyclobutylthio, cyclopentylthio, cyclohexylthio, cyclopropylmethylthio, 1-cyclopropylethyl And thio, 2-cyclopropylethylthio, cyclobutylmethylthio, 2-cyclobutylethylthio, cyclopentylmethylthio, 2-methylcyclopropylthio, and the like.
“C 1-6 alkylamino” means an amino group in which one hydrogen atom of an amino group is substituted with the above “C 1-6 alkyl group”. For example, methylamino, ethylamino, propylamino, isopropylamino, butylamino, isobutylamino, pentylamino, isopentylamino, hexylamino, isohexylamino, cyclopropylamino, cyclobutylamino, cyclopentylamino, cyclohexylamino, 1- And cyclopropylmethylamino, 1-cyclobutylmethylamino, 1-cyclopentylmethylamino, 1-cyclohexylmethylamino, and the like.
 「C1-6アルキルアミノカルボニル」とは、前記「C1-6アルキルアミノ」基とカルボニル基とが結合した基を意味する。例えば、メチルアミノカルボニル、エチルアミノカルボニル、プロピルアミノカルボニル、イソプロピルアミノカルボニル、ブチルアミノカルボニル、イソブチルアミノカルボニル、ペンチルアミノカルボニル、イソペンチルアミノカルボニル、ヘキシルアミノカルボニル、イソヘキシルアミノカルボニル、シクロプロピルアミノカルボニル、シクロブチルアミノカルボニル、シクロペンチルアミノカルボニル、シクロヘキシルアミノカルボニル、1-シクロプロピルメチルアミノカルボニル、1-シクロブチルメチルアミノカルボニル、1-シクロペンチルメチルアミノカルボニル、1-シクロヘキシルメチルアミノカルボニル、等が挙げられる。
 「C2-6アルカノイル」とは、上述した-(C1-C6)-アルキルがカルボニル基に結合した基を表す。例えばアセチル、プロピオニル(プロパノイル)、ブチリル、イゾブチリル、バレリル、イソバレリル、ピバロイル、シクロプロピルカルボニル、シクロブチルカルボニル、シクロペンチルカルボニルが挙げられる。
 「C1-6アルコキシカルボニル」とは、前記「C1-6アルコキシ」基とカルボニル基とが結合した基を意味する。例えば、メトキシカルボニル、エトキシカルボニル、プロポキシカルボニル、イソプロポキシカルボニル、ブトキシカルボニル、イソブトキシカルボニル、sec-ブトキシカルボニル、tert-ブトキシカルボニル、ペンチルオキシカルボニル、イソペンチルオキシカルボニル、ネオペンチルオキシカルボニル、tertペンチルオキシカルボニル、1-メチルブトキシカルボニル、2-メチルブトキシカルボニル、1,2-ジメチルプロポキシカルボニル、1-エチルプロポキシカルボニル、ヘキシルオキシカルボニル、イソヘキシルオキシカルボニル、1-メチルペンチルオキシカルボニル、2-メチルペンチルオキシカルボニル、3-メチルペンチルオキシカルボニル、1,1-ジメチルブチルオキシカルボニル、1,2-ジメチルブチルオキシカルボニル、2,2-ジメチルブチルオキシカルボニル、1,3-ジメチルブチルオキシカルボニル、2,3-ジメチルブチルオキシカルボニル、3,3-ジメチルブトキシカルボニル、1-エチルブチルオキシカルボニル、2-エチルブチルオキシカルボニル、1,1,2-トリメチルプロピルオキシカルボニル、1,2,2-トリメチルプロピルオキシカルボニル、1-エチル-1-メチルプロピルオキシカルボニル、1-エチル-2-メチルプロピルオキシカルボニル、シクロプロピルオキシカルボニル、シクロブチルオキシカルボニル、シクロペンチルオキシカルボニル、シクロヘキシルオキシカルボニル、シクロプロピルメトキシカルボニル、シクロブチルメトキシカルボニル、シクロペンチルメトキシカルボニル、1-シクロプロピルエトキシカルボニル、2-シクロプロピルエトキシカルボニル、2-シクロブチルエトキシカルボニル、2-メチルシクロプロピルオキシカルボニル、等が挙げられる。
 「C1-6アルキルスルホニル」とは、前記「C1-6アルキル」基とスルホニル基とが結合した基を意味する。例えば、メチルスルホニル、エチルスルホニル、プロピルスルホニル、イソプロピルスルホニル、シクロプロピルスルホニル、シクロプロピルメチルスルホニル、2-メチルシクロプロピルスルホニル、等が挙げられる。
 「置換シリル」とは、アルコール基、フェノール基、カルボキシル基、アミノ基、イミノ基、炭素原子等の置換基の保護基を意味する。例えば、トリメチルシリル、ジメチルフェニルシリル、トリイソプロピルシリル、ジメチルメトキシシリル、ジメチル-t-ブチルシリル、ジフェニルメチルシリル、トリフェニルシリル、等を挙げられる。
“C1-6 alkylaminocarbonyl” means a group in which the “C1-6 alkylamino” group is bonded to a carbonyl group. For example, methylaminocarbonyl, ethylaminocarbonyl, propylaminocarbonyl, isopropylaminocarbonyl, butylaminocarbonyl, isobutylaminocarbonyl, pentylaminocarbonyl, isopentylaminocarbonyl, hexylaminocarbonyl, isohexylaminocarbonyl, cyclopropylaminocarbonyl, cyclo Examples include butylaminocarbonyl, cyclopentylaminocarbonyl, cyclohexylaminocarbonyl, 1-cyclopropylmethylaminocarbonyl, 1-cyclobutylmethylaminocarbonyl, 1-cyclopentylmethylaminocarbonyl, 1-cyclohexylmethylaminocarbonyl, and the like.
“C2-6 alkanoyl” represents a group in which — (C1-C6) -alkyl described above is bonded to a carbonyl group. Examples include acetyl, propionyl (propanoyl), butyryl, izobutyryl, valeryl, isovaleryl, pivaloyl, cyclopropylcarbonyl, cyclobutylcarbonyl, and cyclopentylcarbonyl.
“C1-6 alkoxycarbonyl” means a group in which the “C1-6 alkoxy” group is bonded to a carbonyl group. For example, methoxycarbonyl, ethoxycarbonyl, propoxycarbonyl, isopropoxycarbonyl, butoxycarbonyl, isobutoxycarbonyl, sec-butoxycarbonyl, tert-butoxycarbonyl, pentyloxycarbonyl, isopentyloxycarbonyl, neopentyloxycarbonyl, tert pentyloxycarbonyl 1-methylbutoxycarbonyl, 2-methylbutoxycarbonyl, 1,2-dimethylpropoxycarbonyl, 1-ethylpropoxycarbonyl, hexyloxycarbonyl, isohexyloxycarbonyl, 1-methylpentyloxycarbonyl, 2-methylpentyloxycarbonyl, 3-methylpentyloxycarbonyl, 1,1-dimethylbutyloxycarbonyl, 1,2-dimethyl Butyloxycarbonyl, 2,2-dimethylbutyloxycarbonyl, 1,3-dimethylbutyloxycarbonyl, 2,3-dimethylbutyloxycarbonyl, 3,3-dimethylbutoxycarbonyl, 1-ethylbutyloxycarbonyl, 2-ethylbutyl Oxycarbonyl, 1,1,2-trimethylpropyloxycarbonyl, 1,2,2-trimethylpropyloxycarbonyl, 1-ethyl-1-methylpropyloxycarbonyl, 1-ethyl-2-methylpropyloxycarbonyl, cyclopropyloxy Carbonyl, cyclobutyloxycarbonyl, cyclopentyloxycarbonyl, cyclohexyloxycarbonyl, cyclopropylmethoxycarbonyl, cyclobutylmethoxycarbonyl, cyclopentylmethoxycarbonyl 1-cyclopropyl ethoxycarbonyl, 2-cyclopropyl ethoxycarbonyl, 2-cyclopropyl-butyl ethoxycarbonylmethyl, 2-methylcyclopropyl oxycarbonyl, and the like.
The “C1-6 alkylsulfonyl” means a group in which the “C1-6 alkyl” group and a sulfonyl group are bonded. Examples include methylsulfonyl, ethylsulfonyl, propylsulfonyl, isopropylsulfonyl, cyclopropylsulfonyl, cyclopropylmethylsulfonyl, 2-methylcyclopropylsulfonyl, and the like.
“Substituted silyl” means a protecting group for a substituent such as an alcohol group, a phenol group, a carboxyl group, an amino group, an imino group, or a carbon atom. Examples include trimethylsilyl, dimethylphenylsilyl, triisopropylsilyl, dimethylmethoxysilyl, dimethyl-t-butylsilyl, diphenylmethylsilyl, triphenylsilyl, and the like.
 R1における「NR4R5」において、R4及びR5はそれぞれ独立して水素原子、フェニル、フェニルC1-6アルキル、5-6員ヘテロアリール、縮環式のヘテロアリール、5-6員ヘテロアリールC1-6アルキル、4-6員ヘテロ脂肪族環、3-6員脂肪族環、C1-6アルキル、C1-6アルコキシC1-6アルキル、C1-6アルコキシ、又はC1-6アルキルスルホニルを表し、
当該R4又はR5におけるフェニル、5-6員ヘテロアリール、縮環式のヘテロアリール、4-6員ヘテロ脂肪族環、3-6員脂肪族環、フェニルC1-6アルキル、5-6員ヘテロアリールC1-6アルキルにおける各環はハロゲン、シアノ、ヒドロキシ、NR4’R5’、C1-6アルキル、C1-6アルキルスルホニル、ヒドロキシC1-6アルキル、C1-6アルコキシC1-6アルキル、又はC1-6アルコキシで独立して1-3個置換されていてもよく、当該各環は置換可能であればオキソで1-2個置換されていてもよく、各環における当該C1-6アルキル、C1-6アルキルスルホニル又はC1-6アルコキシは更にハロゲン、オキソ、ヒドロキシ、C1-6アルコキシ、-NR4’R5’でそれぞれ独立して1-3個置換されていてもよく、
当該R4又はR5におけるC1-6アルキル、C1-6アルキルスルホニル、C1-6アルコキシC1-6アルキル、又はC1-6アルコキシの各アルキル部位はそれぞれ更にハロゲン、オキソ、シアノ、ヒドロキシ、C1-6アルキル、C1-6アルコキシ、フェニル、C1-6アルキルアミノカルボニル、-NR4’R5’、4-10員ヘテロ脂肪族環、又は5-6員ヘテロアリールでそれぞれ独立して1-3個置換されていてもよく、
R4又はR5における当該C1-6アルキルにおいて、ジェミナル位置にある二つのアルキル基やアルコキシ基が置換されている場合には、これらが互いに結合して3-6員シクロ環又は4-10員ヘテロ脂肪族環を形成してもよい。
ただしR1におけるR4及びR5は同時に水素原子ではない。
 R2おける「NR4’ ’R5’ ’」において、R4’ ’及びR5’ ’はそれぞれ独立して水素原子、フェニル、5-6員ヘテロアリール、4-6員ヘテロ脂肪族環、3-6員脂肪族環、C1-6アルキル、C1-6アルキルスルホニルを表し、
当該R4’ ’又はR5’ ’におけるフェニル、5-6員ヘテロアリール、4-6員ヘテロ脂肪族環、3-6員脂肪族環はハロゲン、ヒドロキシ、NR4’R5’、C1-6アルキル、C1-6アルキルスルホニル又はC1-6アルコキシで独立して1-2個置換されていてもよく、当該各環は置換可能であればオキソで1-2個置換されていてもよく、
当該C1-6アルキル、C1-6アルキルスルホニル、又はC1-6アルコキシは更にハロゲン、オキソ、ヒドロキシ、C1-6アルコキシ、-NR4’R5’でそれぞれ独立して1-3個置換されていてもよく、
当該R4’ ’又はR5’ ’におけるC1-6アルキル、C1-6アルキルスルホニル、又はC1-6アルコキシはそれぞれ更にハロゲン、オキソ、ヒドロキシ、C1-6アルコキシ、-NR4’R5’でそれぞれ独立して1-3個置換されていてもよく、
ただしR2におけるR4’ ’及びR5’ ’は同時に水素原子ではない。
 「NR4’R5’」において、R4’及びR5’は、それぞれ独立して水素原子、C1-6アルキル、4-6員ヘテロ脂肪族環を表す。
In "NR4R5" in R1, R4 and R5 are each independently a hydrogen atom, phenyl, phenyl C1-6 alkyl, 5-6 membered heteroaryl, condensed heteroaryl, 5-6 membered heteroaryl C1-6 alkyl Represents a 4-6 membered heteroaliphatic ring, a 3-6 membered aliphatic ring, C1-6 alkyl, C1-6 alkoxy, C1-6 alkyl, C1-6 alkoxy, or C1-6 alkylsulfonyl,
Phenyl, 5-6 membered heteroaryl, condensed heteroaryl, 4-6 membered heteroaliphatic ring, 3-6 membered aliphatic ring, phenyl C1-6 alkyl, 5-6 membered heteroaryl in the R4 or R5 Each ring in C1-6 alkyl is halogen, cyano, hydroxy, NR4'R5 ', C1-6 alkyl, C1-6 alkylsulfonyl, hydroxy C1-6 alkyl, C1-6 alkoxy C1-6 alkyl, or C1-6 alkoxy 1 to 3 may be independently substituted with each other, and each ring may be substituted with 1 to 2 oxo groups if possible, and the C1-6 alkyl and C1-6 alkyl in each ring may be substituted. The sulfonyl or C1-6 alkoxy may be further independently substituted with 1-3 of halogen, oxo, hydroxy, C1-6 alkoxy, —NR4′R5 ′,
Each alkyl part of C1-6 alkyl, C1-6 alkylsulfonyl, C1-6 alkoxy C1-6 alkyl, or C1-6 alkoxy in R4 or R5 is further halogen, oxo, cyano, hydroxy, C1-6 alkyl, C1-6 alkoxy, phenyl, C1-6 alkylaminocarbonyl, -NR4'R5 ', 4-10 membered heteroaliphatic ring, or 5-6 membered heteroaryl, each independently 1-3 substituted Often,
In the C1-6 alkyl in R4 or R5, when two alkyl groups or alkoxy groups at the geminal position are substituted, these are bonded to each other to form a 3-6 membered cyclocycle or a 4-10 membered heterofatty acid. A family ring may be formed.
However, R4 and R5 in R1 are not hydrogen atoms at the same time.
In “NR4′′R5 ′ ′” in R2, R4 ′ ′ and R5 ′ ′ each independently represent a hydrogen atom, phenyl, 5-6 membered heteroaryl, 4-6 membered heteroaliphatic ring, 3-6 membered fat. Represents a group ring, C1-6 alkyl, C1-6 alkylsulfonyl,
In the R4 ′ ′ or R5 ′ ′, phenyl, 5-6 membered heteroaryl, 4-6 membered heteroaliphatic ring, 3-6 membered aliphatic ring is halogen, hydroxy, NR4′R5 ′, C1-6 alkyl, C1 -6 alkylsulfonyl or C1-6 alkoxy may be independently substituted with 1-2, and each ring may be substituted with oxo if it can be substituted,
The C1-6 alkyl, C1-6 alkylsulfonyl, or C1-6 alkoxy may be further independently substituted with 1-3 of halogen, oxo, hydroxy, C1-6 alkoxy, and —NR4′R5 ′. ,
C1-6 alkyl, C1-6 alkylsulfonyl, or C1-6 alkoxy in the R4 ′ ′ or R5 ′ ′ is independently independently halogen, oxo, hydroxy, C1-6 alkoxy, or —NR4′R5 ′. -3 may be replaced,
However, R4 ′ ′ and R5 ′ ′ in R2 are not hydrogen atoms at the same time.
In “NR4′R5 ′”, R4 ′ and R5 ′ each independently represent a hydrogen atom, C1-6 alkyl, or a 4-6 membered heteroaliphatic ring.
 R1における「OR6」とは、フェノキシ、5-6員ヘテロアリールオキシ、4-6員ヘテロ脂肪族環オキシ、3-6員脂肪族環オキシ、C1-6アルコキシ、又は水酸基を表し、
当該フェノキシ、5-6員ヘテロアリールオキシ、4-6員ヘテロ脂肪族環オキシ、3-6員脂肪族環オキシはハロゲン、ヒドロキシ、NR4’R5’、C1-6アルキル、C1-6アルキルスルホニル又はC1-6アルコキシで独立して1-2個置換されていてもよく、当該各環は置換可能であればオキソで1-2個置換されていてもよく、各環における当該C1-6アルキル、C1-6アルキルスルホニル又はC1-6アルコキシは更にハロゲン、オキソ、ヒドロキシ、C1-6アルコキシ、-NR4’R5’でそれぞれ独立して1-3個置換されていてもよく、
OR6における当該C1-6アルコキシは、更にハロゲン、オキソ、ヒドロキシ、C1-6アルコキシ、フェニル、5-6員ヘテロアリール、-NR4’R5’でそれぞれ独立して1-3個置換されていてもよく、
当該C1-6アルコキシにおける、当該フェニル、5-6員ヘテロアリールは、それぞれヒドロキシ、C1-6アルコキシでそれぞれ独立して1-3個置換されていてもよい。
R2における「OR6’」は、フェノキシ、5-6員ヘテロアリールオキシ、4-6員ヘテロ脂肪族環オキシ、又は3-6員脂肪族環オキシを表し、
当該フェノキシ、5-6員ヘテロアリールオキシ、4-6員ヘテロ脂肪族環オキシ、3-6員脂肪族環オキシの各環はハロゲン、ヒドロキシ、NR4’R5’、C1-6アルキル、C1-6アルキルスルホニル又はC1-6アルコキシで独立して1-2個置換されていてもよく、当該各環は置換可能であればオキソで1-2個置換されていてもよく、
各環における当該C1-6アルキル、C1-6アルキルスルホニル又はC1-6アルコキシは更にハロゲン、オキソ、ヒドロキシ、C1-6アルコキシ、-NR4’R5’でそれぞれ独立して1-3個置換されていてもよい。
R3における「OR6’ ’」は、フェノキシ、5-6員ヘテロアリールオキシ、縮環式のヘテロアリールオキシ、4-6員ヘテロ脂肪族環オキシ、3-6員脂肪族環オキシ、C1-6アルキルオキシ、C2-6アルカノイルオキシ、又は水酸基を表し、
当該フェノキシ、4-6員ヘテロ脂肪族環オキシ、5-6員ヘテロアリールオキシ、縮環式のヘテロアリールオキシ、3-6員脂肪族環オキシはハロゲン、ヒドロキシ、NR4’R5’、C1-6アルキル、C1-6アルキルスルホニル又はC1-6アルコキシで独立して1-2個置換されていてもよく、当該各環は置換可能であればオキソで1-2個置換されていてもよく、各環における当該C1-6アルキル、C1-6アルキルスルホニル又はC1-6アルコキシは更にハロゲン、オキソ、ヒドロキシ、C1-6アルコキシ、-NR4’R5’でそれぞれ独立して1-3個置換されていてもよく、
R6’ ’における当該C1-6アルキル、又はC2-6アルカノイルの各置換基は、更にハロゲン、オキソ、ヒドロキシ、C1-6アルコキシ、フェニル、5-6員ヘテロアリール、-NR4’R5’でそれぞれ独立して1-3個置換されていてもよく、
R6’ ’におけるC1-6アルキル又はC2-6アルカノイルの各置換基における、当該フェニル、5-6員ヘテロアリールは、それぞれヒドロキシ、C1-6アルコキシでそれぞれ独立して1-3個置換されていてもよい。
 「COR7」とは、C2-7アルカノイル基(R7=C1-6アルキルの場合)、アリールカルボニル基(R7=フェニルの場合)、ヘテロ環カルボニル基(R7=4-6員ヘテロ脂肪族環の場合)、エステル基(R7= C1-6アルコキシの場合)、カルボキシル基(R7=ヒドロキシの場合)を表わす。
 「COR7’」とは、C2-7アルカノイル基(R7’=C1-6アルキルの場合)、エステル基(R7’= C1-6アルコキシの場合)、カルボキシル基(R7’=ヒドロキシの場合)を表わす。
 「COR7’ ’」とは、C2-7アルカノイル基(R7’ ’=C1-6アルキルの場合)、エステル基(R7’ ’= C1-6アルコキシの場合)、カルボキシル基(R7’ ’=ヒドロキシの場合)を表わす。
 「CONR8R9」とは、カルバモイル基(R8、R9は、それぞれ独立して水素原子、フェニル、5-6員ヘテロアリール、C1-6アルキルの場合)、又はスルホニルカルバモイル基(R8がC1-6アルキルスルホニルの場合、R9は水素原子、フェニル、5-6員ヘテロアリール、C1-6アルキルである。またR8とR9が逆になる事も有る)を表し、R8、R9における当該フェニル、5-6員ヘテロアリールはハロゲン、オキソ、C1-6アルキル、ヒドロキシ、NR4’R5’、C1-6アルキルスルホニル又はC1-6アルコキシで独立して1-2個置換されていてもよく、
R8、R9におけるC1-6アルキル、C1-6アルキルスルホニルは更にハロゲン、オキソ、ヒドロキシ、C1-6アルコキシ、-NR4’R5’でそれぞれ独立して1-3個置換されていてもよい。
"OR6" in R1 represents phenoxy, 5-6 membered heteroaryloxy, 4-6 membered heteroaliphatic ring oxy, 3-6 membered aliphatic ring oxy, C1-6 alkoxy, or hydroxyl group;
The phenoxy, 5-6 membered heteroaryloxy, 4-6 membered heteroaliphatic ring oxy, 3-6 membered aliphatic ring oxy is halogen, hydroxy, NR4′R5 ′, C1-6 alkyl, C1-6 alkylsulfonyl or 1-2 independently substituted with C1-6 alkoxy, and if each ring is substitutable, 1-2 may be substituted with oxo, the C1-6 alkyl in each ring, C1-6 alkylsulfonyl or C1-6 alkoxy may be further independently substituted with 1-3 of halogen, oxo, hydroxy, C1-6 alkoxy, —NR4′R5 ′,
The C1-6 alkoxy in OR6 may be further independently substituted with 1-3 of halogen, oxo, hydroxy, C1-6 alkoxy, phenyl, 5-6 membered heteroaryl, and —NR4′R5 ′. ,
In the C1-6 alkoxy, the phenyl and the 5-6 membered heteroaryl may be independently substituted with 1-3 of hydroxy and C1-6 alkoxy, respectively.
"OR6 '" in R2 represents phenoxy, 5-6 membered heteroaryloxy, 4-6 membered heteroaliphatic ring oxy, or 3-6 membered aliphatic ring oxy,
Each ring of the phenoxy, 5-6 membered heteroaryloxy, 4-6 membered heteroaliphatic ring oxy, 3-6 membered aliphatic ring oxy is halogen, hydroxy, NR4'R5 ', C1-6 alkyl, C1-6 May be independently substituted with 1-2 alkylsulfonyl or C1-6 alkoxy, and each ring may be substituted with 1-2 oxo if possible,
The C1-6 alkyl, C1-6 alkylsulfonyl or C1-6 alkoxy in each ring is further independently substituted with 1-3 of halogen, oxo, hydroxy, C1-6 alkoxy, and —NR4′R5 ′. Also good.
“OR6 ′ ′” in R3 is phenoxy, 5-6 membered heteroaryloxy, condensed heteroaryloxy, 4-6 membered heteroaliphatic ring oxy, 3-6 membered aliphatic ring oxy, C1-6 alkyl Represents oxy, C2-6 alkanoyloxy, or hydroxyl,
The phenoxy, 4-6 membered heteroaliphatic ring oxy, 5-6 membered heteroaryloxy, condensed heteroaryloxy, 3-6 membered aliphatic ringoxy are halogen, hydroxy, NR4'R5 ', C1-6 It may be independently substituted with 1-2 alkyl, C1-6 alkylsulfonyl, or C1-6 alkoxy, and each ring may be substituted with 1-2 oxo if it can be substituted. The C1-6 alkyl, C1-6 alkylsulfonyl or C1-6 alkoxy in the ring may be further independently substituted with 1-3 of halogen, oxo, hydroxy, C1-6 alkoxy, or —NR4′R5 ′. Often,
Each substituent of the C1-6 alkyl or C2-6 alkanoyl in R6 ′ ′ is further independently halogen, oxo, hydroxy, C1-6 alkoxy, phenyl, 5-6 membered heteroaryl, or —NR4′R5 ′. 1-3 may be substituted,
In each substituent of C1-6 alkyl or C2-6 alkanoyl in R6 ′ ′, the phenyl and 5-6-membered heteroaryl are each independently substituted with 1-3 of hydroxy and C1-6 alkoxy. Also good.
“COR7” means C2-7 alkanoyl group (when R7 = C1-6 alkyl), arylcarbonyl group (when R7 = phenyl), heterocyclic carbonyl group (R7 = 4-6 membered heteroaliphatic ring) ), Ester group (when R7 = C1-6 alkoxy), carboxyl group (when R7 = hydroxy).
“COR7 ′” represents a C2-7 alkanoyl group (when R7 ′ = C1-6 alkyl), an ester group (when R7 ′ = C1-6 alkoxy), or a carboxyl group (when R7 ′ = hydroxy). .
“COR7 ′ ′” means a C2-7 alkanoyl group (in the case of R7 ′ ′ = C1-6 alkyl), an ester group (in the case of R7 ′ ′ = C1-6 alkoxy), a carboxyl group (R7 ′ ′ = hydroxy Case).
"CONR8R9" is a carbamoyl group (R8 and R9 are each independently a hydrogen atom, phenyl, 5-6 membered heteroaryl, C1-6 alkyl) or a sulfonylcarbamoyl group (R8 is a C1-6 alkylsulfonyl) In this case, R9 represents a hydrogen atom, phenyl, 5-6 membered heteroaryl, C1-6 alkyl, or R8 and R9 may be reversed. Heteroaryl may be independently 1-2 substituted with halogen, oxo, C1-6 alkyl, hydroxy, NR4′R5 ′, C1-6 alkylsulfonyl or C1-6 alkoxy;
C1-6 alkyl and C1-6 alkylsulfonyl in R8 and R9 may be further independently substituted with 1-3 of halogen, oxo, hydroxy, C1-6 alkoxy, and —NR4′R5 ′.
 「神経毒中毒」は、神経毒による中毒を指す。神経毒は、神経死、したがって神経学的損傷を引き起こし得る任意の化学物質または物質である。神経毒の例はアルコールであり、これは妊婦によって乱用されたとき、新生児において胎児性アルコール症候群として知られるアルコール中毒および神経学的損傷を生じ得る。他の神経毒の例には、これに限定されるものではないが、カイニン酸、ドウモイ酸、およびアクロメリン酸;ある種の農薬、たとえばDDTなど;ある種の殺虫剤、たとえば有機リン酸類など;揮発性有機溶媒、たとえばヘキサカーボン(たとえば、トルエン)など;重金属(たとえば、鉛、水銀、ヒ素、およびリン);アルミニウム;兵器として用いられるある種の化学物質、たとえばエージェントオレンジまたは神経ガスなど;ならびに神経毒性抗腫瘍剤が包含される。“Neurotoxin poisoning” refers to poisoning caused by neurotoxin. A neurotoxin is any chemical or substance that can cause neuronal death and thus neurological damage. An example of a neurotoxin is alcohol, which, when abused by pregnant women, can result in alcoholism and neurological damage known as fetal alcohol syndrome in newborns. Examples of other neurotoxins include, but are not limited to, kainic acid, domoic acid, and achromelic acid; certain pesticides, such as DDT; certain insecticides, such as organophosphates; Volatile organic solvents such as hexacarbon (eg toluene); heavy metals (eg lead, mercury, arsenic and phosphorus); aluminum; certain chemicals used as weapons such as agent orange or nerve gas; and Neurotoxic antitumor agents are included.
 本明細書では、式(I)の化合物は、薬学的に許容できるそのすべての塩を包含する。As used herein, a compound of formula (I) includes all pharmaceutically acceptable salts thereof.
 本明細書では、「選択的PDE10阻害剤」という用語は、PDE1~9ファミリーまたはPDE11ファミリーの酵素より大幅にPDE10ファミリーの酵素を有効に阻害する物質、たとえば有機分子を指す。一実施形態において、選択的PDE10阻害剤は、他の任意のPDE酵素の阻害に関してその物質が有するKiの約1/10以下である、PDE10の阻害に関するKiを有する物質、たとえば有機分子である。換言すると、その物質は、他の任意のPDE酵素の場合に必要とする濃度の約1/10以下の濃度でPDE10活性を同程度阻害する。As used herein, the term “selective PDE10 inhibitor” refers to a substance, such as an organic molecule, that effectively inhibits PDE10 family enzymes to a greater extent than PDE1-9 family or PDE11 family enzymes. In one embodiment, the selective PDE10 inhibitor is a substance having a Ki for inhibition of PDE10, eg, an organic molecule, that is about 1/10 or less of the Ki that the substance has for inhibition of any other PDE enzyme. In other words, the substance inhibits PDE10 activity to the same extent at a concentration of about 1/10 or less than that required for any other PDE enzyme.
 約1μM、若しくは約300nM以下、好ましくは約100nM下、更に好ましくは約10nM以下、最も好ましくは約1nM以下のIC50値を有する場合、PDE10活性を有効に阻害するとみなされる。If it has an IC50 value of about 1 μM, or about 300 nM or less, preferably about 100 nM, more preferably about 10 nM or less, and most preferably about 1 nM or less, it is considered to effectively inhibit PDE10 activity.
 「選択的PDE10阻害剤」は、たとえば物質がPDE10活性を阻害する能力を、他のPDEファミリーのPDE酵素を阻害する能力と比較することによって同定できる。たとえば、物質は、PDE1A、PDE1B、PDE1C、PDE2、PDE3A、PDE3B、PDE4A、PDE4B、PDE4C、PDE4D、PDE5、PDE6、PDE7、PDE8、PDE9、およびPDE11に加えて、PDE10活性を阻害する能力に関して分析することができる。A “selective PDE10 inhibitor” can be identified, for example, by comparing the ability of a substance to inhibit PDE10 activity with the ability to inhibit PDE enzymes of other PDE families. For example, substances are analyzed for their ability to inhibit PDE10 activity in addition to PDE1A, PDE1B, PDE1C, PDE2, PDE3A, PDE3B, PDE4A, PDE4B, PDE4C, PDE4D, PDE5, PDE6, PDE7, PDE8, PDE9, and PDE11 be able to.
 「障害を治療する方法」にあるような「治療する」という用語は、そのような用語が適用される障害の進行、または1つもしくは複数のその障害の症状を回復させる、緩和する、または抑制することを指す。本明細書では、この用語はまた、患者の状態に応じて、障害の発症またはその障害に関連する任意の症状の発症を予防することを包含する障害の予防、ならびに発症前に障害またはその任意の症状の重症度を低減することも包含する。本明細書では、「治療する」はある障害の再発を予防することも指す。The term “treating” as in “a method of treating a disorder” refers to the progression of the disorder to which such term applies, or to ameliorate, alleviate or inhibit the symptoms of one or more of the disorder. To do. As used herein, this term also refers to the prevention of a disorder, including preventing the onset of the onset of the disorder or any symptom associated with the disorder, as well as the disorder or any Also included is reducing the severity of symptoms. As used herein, “treating” also refers to preventing the recurrence of a disorder.
 たとえば、本明細書では「統合失調症、または統合失調症様障害もしくは統合失調感情障害を治療する」は、前記障害の1つまたは複数の症状(陽性、陰性、および他の関連する特徴)を治療すること、たとえばそれに関連する妄想および/または幻覚を治療することも包含する。統合失調症、ならびに統合失調症様障害および統合失調感情障害の症状の他の例には、解体した会話、感情の平坦化、アロギー、快感消失、不相応な情動、不快気分(たとえば、抑うつ、不安、または怒りの形態)、および認知機能障害の一部の徴候が包含される。For example, as used herein, “treating schizophrenia, or schizophrenia-like disorder or schizophrenic emotional disorder” refers to one or more symptoms (positive, negative, and other related features) of the disorder. It also includes treating, for example treating the associated delusions and / or hallucinations. Other examples of schizophrenia and symptoms of schizophrenia-like disorders and schizophrenic emotional disorders include disorganized conversations, flattening of emotions, allergies, loss of pleasantness, disproportionate feelings, discomfort (eg, depression, anxiety) Or forms of anger), and some signs of cognitive impairment.
 本発明の化合物は、単回または多回投与のいずれかで、単独でまたは薬学的に許容でき
る担体と組み合わせて投与することができる。適切な医薬担体には、不活性固体希釈剤または充填剤、滅菌水溶液、および種々の有機溶媒が包含される。それにより形成される医薬組成物は次いで、錠剤、粉剤、ロゼンジ、液体調剤、シロップ剤、注射液などの様々な投与形態で容易に投与することができる。これらの医薬組成物は、香味剤、結合剤、賦形剤などの追加成分を場合により含有できる。したがって、本発明の化合物は、経口、口腔、鼻腔、非経口(たとえば、静脈内、筋内、または皮下)、経皮(たとえば、パッチ)、もしくは直腸投与用に、または吸入もしくは注入(insufflation)による投与に適した形態で製剤化することができる。
The compounds of the present invention can be administered either alone or in combination with a pharmaceutically acceptable carrier, either single or multiple doses. Suitable pharmaceutical carriers include inert solid diluents or fillers, sterile aqueous solution, and various organic solvents. The pharmaceutical composition thereby formed can then be easily administered in various dosage forms such as tablets, powders, lozenges, liquid preparations, syrups, injection solutions and the like. These pharmaceutical compositions can optionally contain additional ingredients such as flavoring agents, binders, excipients and the like. Accordingly, the compounds of the present invention can be used for oral, buccal, nasal, parenteral (eg, intravenous, intramuscular, or subcutaneous), transdermal (eg, patch), or rectal administration, or by inhalation or insufflation. Can be formulated in a form suitable for administration by.
 本発明化合物と併用される薬物とを組み合わせて使用する場合は、別々の製剤であっても、合剤であっても良い。また、別々の製剤においては、両者を同時に服用することも、時間をずらして投与することも可能である。In the case of using in combination with a drug used in combination with the compound of the present invention, it may be a separate preparation or a combination. Moreover, in separate preparations, both can be taken simultaneously or can be administered at different times.
[本発明の予防・治療剤の製剤化]
 本発明の医薬は、医薬組成物の形態で投与される。
 本発明の医薬組成物は、本発明の式(I)で表される化合物の少なくとも一つ以上を含んでいればよく、医薬上許容される添加剤と組み合わせてつくられる。より詳細には、賦形剤(例;乳糖、白糖、マンニット、結晶セルロース、ケイ酸、トウモロコシデンプン、バレイショデンプン)、結合剤(例;セルロース類(ヒドロキシプロピルセルロース(HPC)、ヒドロキシプロピルメチルセルロース(HPMC))、結晶セルロース、糖類(乳糖、マンニット、白糖、ソルビトール、エリスリトール、キシリトール、)、デンプン類(トウモロコシデンプン、バレイショデンプン)、α化デンプン、デキストリン、ポリビニルピロリドン(PVP)、マクロゴール、ポリビニルアルコール(PVA))、滑沢剤(例;ステアリン酸マグネシウム、ステアリン酸カルシウム、タルク、カルボキシメチルセルロース)、崩壊剤(例;デンプン類(トウモロコシデンプン、バレイショデンプン)、カルボキシメチルスターチナトリウム、カルメロース、カルメロースカルシウム、クロスカルメロースナトリウム、クロスポピドン)、被膜剤(例;セルロース類(ヒドロキシプロピルセルロース(HPC)、ヒドロキシプロピルメチルセルロース(HPMC)、アミノアルキルメタクリレートコポリマーE、メタクリル酸コポリマーLD)、可塑剤(例;クエン酸トリエチル、マクロゴール)、隠蔽剤(例;酸化チタン)、着色剤、香味剤、防腐剤(例;塩化ベンザルコニウム、パラオキシ安息香酸エステル)、等張化剤(例;グリセリン、塩化ナトリウム、塩化カルシウム、マンニトール、ブドウ糖)、pH調節剤(例;水酸化ナトリウム、水酸化カリウム、炭酸ナトリウム、塩酸、硫酸、リン酸緩衝液などの緩衝液)、安定化剤(例;糖、糖アルコール、キサンタンガム)、分散剤、酸化防止剤(例;アスコルビン酸、ブチルヒドロキシアニソール(BHA)、没食子酸プロピル、dl-α-トコフェロール)、緩衝剤、保存剤(例;パラベン、ベンジルアルコール、塩化ベンザルコニウム)、芳香剤(例;バニリン、l-メントール、ローズ油)、溶解補助剤(例;ポリオキシエチレン硬化ヒマシ油、ポリソルベート80、ポリエチレングリコール、リン脂質コレステロール、トリエタノールアミン)、吸収促進剤(例;グリコール酸ナトリウム、エデト酸ナトリウム、カプリン酸ナトリウム、アシルカルニチン類、リモネン)、ゲル化剤、懸濁化剤、または乳化剤、一般的に用いられる適当な添加剤または溶媒の類を、本発明の化合物と適宜組み合わせて種々の剤形とすることが出来る。
[Formulation of the preventive / therapeutic agent of the present invention]
The medicament of the present invention is administered in the form of a pharmaceutical composition.
The pharmaceutical composition of the present invention only needs to contain at least one compound represented by the formula (I) of the present invention, and is prepared in combination with a pharmaceutically acceptable additive. More specifically, excipients (eg; lactose, sucrose, mannitol, crystalline cellulose, silicic acid, corn starch, potato starch), binders (eg; celluloses (hydroxypropylcellulose (HPC), hydroxypropylmethylcellulose ( HPMC)), crystalline cellulose, saccharides (lactose, mannitol, sucrose, sorbitol, erythritol, xylitol), starches (corn starch, potato starch), pregelatinized starch, dextrin, polyvinylpyrrolidone (PVP), macrogol, polyvinyl Alcohol (PVA)), lubricant (eg; magnesium stearate, calcium stearate, talc, carboxymethylcellulose), disintegrant (eg; starches (corn starch, potato starch), carbo Cymethyl starch sodium, carmellose, carmellose calcium, croscarmellose sodium, crospovidone), coating agent (eg; celluloses (hydroxypropylcellulose (HPC), hydroxypropylmethylcellulose (HPMC), aminoalkyl methacrylate copolymer E, methacrylic acid) Copolymer LD), plasticizers (eg triethyl citrate, macrogol), masking agents (eg titanium oxide), colorants, flavoring agents, preservatives (eg benzalkonium chloride, paraoxybenzoate), isotonic Agents (eg, glycerin, sodium chloride, calcium chloride, mannitol, glucose), pH regulators (eg, buffers such as sodium hydroxide, potassium hydroxide, sodium carbonate, hydrochloric acid, sulfuric acid, phosphate buffer), stable Agent (eg, sugar, sugar a) (Alcohol, xanthan gum), dispersant, antioxidant (eg; ascorbic acid, butylhydroxyanisole (BHA), propyl gallate, dl-α-tocopherol), buffer, preservative (eg; paraben, benzyl alcohol, benzal chloride) Luconium), fragrance (eg, vanillin, l-menthol, rose oil), solubilizer (eg, polyoxyethylene hydrogenated castor oil, polysorbate 80, polyethylene glycol, phospholipid cholesterol, triethanolamine), absorption enhancer (E.g., sodium glycolate, sodium edetate, sodium caprate, acylcarnitines, limonene), gelling agents, suspending agents or emulsifiers, commonly used suitable additives or solvents It can be combined with the compounds of the invention as appropriate to form various dosage forms. Come.
 種々の剤形とは、錠剤、カプセル剤、顆粒剤、散剤、丸剤、エアゾール剤、吸入剤、軟膏剤、貼付剤、坐剤、注射剤、トローチ剤、液剤、酒精剤、懸濁剤、エキス剤、エリキシル剤等があげられる。また、経口、皮下投与、筋肉内投与、鼻腔内投与、経皮投与、静脈内投与、動脈内投与、神経周囲投与、硬膜外投与、硬膜下腔内投与、脳室内投与、直腸内投与、吸入等により患者に投与し得る。Various dosage forms include tablets, capsules, granules, powders, pills, aerosols, inhalants, ointments, patches, suppositories, injections, lozenges, liquids, spirits, suspensions, Examples include extract and elixir. Oral, subcutaneous administration, intramuscular administration, intranasal administration, transdermal administration, intravenous administration, intraarterial administration, perineural administration, epidural administration, intradural administration, intraventricular administration, intrarectal administration It can be administered to a patient by inhalation or the like.
 本発明の化合物は、通常のカテーテル技法または注入(infusion)を用いることを含む、注射による非経口投与用に製剤化することができる。注射用製剤は、保存剤を添加して、たとえばアンプルまたは多回投与容器で、単位投与形態として提供することができる。これらの製剤は、油性または水性ビヒクル中の懸濁剤、液剤、またはエマルションなどの形態をとることができ、懸濁化剤、安定化剤、および/または分散剤などの製剤化剤を含有することができる。あるいは活性成分は、使用前に、適切なビヒクル、たとえば滅菌発熱物質除去水で再構成するための粉末形態であることもできる。The compounds of the present invention can be formulated for parenteral administration by injection, including using conventional catheterization techniques or infusion. Injectable formulations may be presented as unit dosage forms, for example, in ampoules or multi-dose containers, with the addition of preservatives. These formulations can take the form of suspensions, solutions, or emulsions in oily or aqueous vehicles, and contain formulation agents such as suspending, stabilizing, and / or dispersing agents. be able to. Alternatively, the active ingredient can be in powder form for reconstitution with a suitable vehicle, eg, sterile pyrogen-free water, before use.
 製品溶液が必要とされる場合、製品溶液は患者への経口または非経口投与に必要とされる強度の溶液を生じるのに充分な量で、水(または他の水性媒質)に単離包接複合体を溶解することによって製造できる。これらの化合物は、口腔内で活性成分が放出されるように設計されている、迅速分散投与形態(fddf)に製剤化することができる。これらの製剤は多くの場合、急速溶解性ゼラチンをベースとしたマトリクスを用いて製剤化されている。これらの投与形態はよく知られており、広範な薬物を送達するために用いることができる。ほとんどの迅速分散投与形態は、担体または構造形成剤としてゼラチンを利用する。典型的に、ゼラチンは、包装から取り出すときに破損を防ぐ充分な強度を投与形態に付与するために用いられるが、ひとたび口に入れると、ゼラチンはその投与形態が即時分解することを可能にする。あるいは、同じ効果を得るために、種々のデンプンが用いられる。If a product solution is required, the product solution is isolated in water (or other aqueous medium) in an amount sufficient to produce a solution of the strength required for oral or parenteral administration to the patient. It can be produced by dissolving the complex. These compounds can be formulated into rapidly dispersed dosage forms (fddf) that are designed to release the active ingredient in the oral cavity. These formulations are often formulated using a matrix based on fast dissolving gelatin. These dosage forms are well known and can be used to deliver a wide range of drugs. Most rapid dispersion dosage forms utilize gelatin as a carrier or structure-forming agent. Gelatin is typically used to give a dosage form sufficient strength to prevent breakage when removed from the package, but once in the mouth, gelatin allows the dosage form to break down immediately. . Alternatively, various starches are used to achieve the same effect.
 本発明の化合物はまた、たとえば通常の坐剤基剤、たとえばカカオバターまたは他のグリセリドなどを含有する、坐剤または停留浣腸などの直腸組成物に製剤化することもできる。The compounds of the invention can also be formulated in rectal compositions such as suppositories or retention enemas, eg containing conventional suppository bases such as cocoa butter or other glycerides.
 鼻腔内投与または吸入による投与の場合、本発明の化合物は、患者によって圧搾されるか、もしくはポンプで送り出されるポンプスプレー容器から溶液または懸濁液の形態で、または適切な噴射剤、たとえば、ジクロロジフルオロメタン、トリクロロフルオロメタン、ジクロロテトラフルオロエタン、二酸化炭素、もしくは他の適切なガスを用いて、加圧式容器もしくはネブライザからエアロゾルスプレー形(aerosol spray presentation)として、好都合に送達される。加圧式エアロゾルの場合、投与単位は、計量された量を送達する弁を提供することによって決定することができる。加圧式容器またはネブライザは、活性化合物の溶液または懸濁液を含有することができる。吸入器または注入器で用いるカプセル剤およびカートリッジ剤(たとえば、ゼラチンから製造される)は、本発明の化合物とラクトースまたはデンプンなどの適切な粉末基剤との混合粉末を含有させて製剤化することができる。For intranasal administration or administration by inhalation, the compounds of the invention may be administered in the form of a solution or suspension from a pump spray container which is squeezed or pumped by the patient, or a suitable propellant such as dichloromethane. Conveniently delivered as an aerosol spray presentation from a pressurized container or nebulizer using difluoromethane, trichlorofluoromethane, dichlorotetrafluoroethane, carbon dioxide, or other suitable gas. In the case of a pressurized aerosol, the dosage unit can be determined by providing a valve that delivers a metered amount. A pressurized container or nebulizer can contain a solution or suspension of the active compound. Capsules and cartridges (eg, made from gelatin) for use in an inhaler or insufflator should be formulated containing a mixed powder of a compound of the invention and a suitable powder base such as lactose or starch. Can do.
 平均的成人において上述の状態(たとえば、片頭痛)を治療するためのエアロゾル製剤は、好ましくはエアロゾルの各計量用量または「1吹き(puff)」が本発明の化合物約20mgから約1000mgを含有するように設定される。エアロゾルによる総日用量は、約100mgから約10mgの範囲内となる。投与は1日数回、たとえば2、3、4、または8回、たとえば各回1、2、または3用量の投与であることができる。Aerosol formulations for treating the aforementioned conditions (eg, migraine) in the average adult preferably each metered dose or “puff” of the aerosol contains from about 20 mg to about 1000 mg of the compound of the invention. Is set as follows. The total daily dose with an aerosol will be within the range of about 100 mg to about 10 mg. Administration can be several times daily, for example 2, 3, 4 or 8 times, for example 1, 2 or 3 doses each time.
 上述の状態を治療するために、平均的成人に経口、非経口、直腸、または口腔投与される本発明の化合物の提案される日用量は、たとえば1日1から4回投与することのできる単位用量当たり、式(I)の活性成分約0.01mgから約2000mg、好ましくは約0.1mgから約200mgである。Proposed daily doses of the compounds of the invention administered orally, parenterally, rectally, or buccally to the average adult to treat the above conditions are, for example, units that can be administered 1 to 4 times daily From about 0.01 mg to about 2000 mg, preferably from about 0.1 mg to about 200 mg, of the active ingredient of formula (I) per dose.
 本発明化合物である式(I)で表される化合物およびその塩は、市販化合物または市販化合物から文献公知の方法等により容易に製造することが可能であり、以下に示す製造方法に従い製造することができる。
 また、本発明は以下に説明する製造方法に、何ら限定されるものではない。
The compound represented by the formula (I) which is the compound of the present invention and a salt thereof can be easily produced from a commercially available compound or a commercially available compound by a method known in the literature, etc. and produced according to the production method shown below. Can do.
Further, the present invention is not limited to the manufacturing method described below.
以下に本発明の式(I)で表される化合物の製造方法を示す。
[本発明化合物の製造方法]
 本発明に用いられる式(I)で表される化合物ならびに関連化合物は、以下に示される製造法により得ることができる。以下、各反応工程について説明する。
 製造法中の反応条件については、特に断らない限り、以下の如きとする。反応温度は、-78℃から250℃の範囲であり、反応時間は、反応が十分進行する時間である。また、反応に不活性な溶媒とは、例えばトルエン、キシレン、ベンゼン等の芳香族炭化水素系溶媒、メタノールおよびエタノール、2-プロパノール等のアルコール性溶媒、N,N-ジメチルホルムアミド、ジメチルスルホキシド、アセトニトリル、水等の極性溶媒、トリエチルアミン、ピリジンなどの塩基性溶媒、酢酸等の有機酸溶媒、クロロホルム、ジクロロメタン、1,2-ジクロロエタン等のハロゲン系溶媒、ジエチルエーテル、テトラヒドロフラン、ジオキサン、ジメトキシエタン等のエーテル系溶媒、もしくはこれらの混合溶媒であり、反応条件により適宜選択される。塩基とは、炭酸カリウム、炭酸ナトリウム、炭酸セシウム、炭酸カルシウム、水酸化ナトリウム、水酸化カリウム、水素化ナトリウム、炭酸水素ナトリウム等の無機塩基、あるいはトリエチルアミン、ジエチルアミン、ピリジン、N,N-ジアルキルアニリン、N,N-ジイソプロピルエチルアミン(hunig base)、リチウムジイソプロピルアミド、リチウムビス(トリメチルシリル)アミド等の有機塩基であり、酸とは、塩酸、硫酸、硝酸等の無機酸、酢酸、トリフルオロ酢酸、メタンスルホン酸、p-トルエンスルホン酸等の有機酸である。ただし、上記に記載したものに必ずしも限定されるものではない。
The production method of the compound represented by the formula (I) of the present invention is shown below.
[Method for producing compound of the present invention]
The compound represented by formula (I) and related compounds used in the present invention can be obtained by the production method shown below. Hereinafter, each reaction process will be described.
The reaction conditions in the production method are as follows unless otherwise specified. The reaction temperature is in the range of −78 ° C. to 250 ° C., and the reaction time is the time for which the reaction proceeds sufficiently. Examples of the solvent inert to the reaction include aromatic hydrocarbon solvents such as toluene, xylene and benzene, alcoholic solvents such as methanol and ethanol and 2-propanol, N, N-dimethylformamide, dimethyl sulfoxide and acetonitrile. Polar solvents such as water, basic solvents such as triethylamine and pyridine, organic acid solvents such as acetic acid, halogen solvents such as chloroform, dichloromethane and 1,2-dichloroethane, ethers such as diethyl ether, tetrahydrofuran, dioxane and dimethoxyethane It is a system solvent or a mixed solvent thereof, and is appropriately selected depending on the reaction conditions. The base is an inorganic base such as potassium carbonate, sodium carbonate, cesium carbonate, calcium carbonate, sodium hydroxide, potassium hydroxide, sodium hydride, sodium hydrogen carbonate, or triethylamine, diethylamine, pyridine, N, N-dialkylaniline, Organic bases such as N, N-diisopropylethylamine (hunig base), lithium diisopropylamide, lithium bis (trimethylsilyl) amide, and acids are inorganic acids such as hydrochloric acid, sulfuric acid, nitric acid, acetic acid, trifluoroacetic acid, methanesulfone Acids, and organic acids such as p-toluenesulfonic acid. However, it is not necessarily limited to what was described above.
 なお、本発明の式(I)で表される化合物を製造する際に、水酸基、アミノ基、カルボキシル基等の反応性基がある場合には、各反応工程においてこれらの基を適宜保護し、適当な段階で当該保護基を除去することもできる。こうした保護基の導入・除去の方法は、保護される基あるいは保護基の種類により適宜行われる。例えば、グリーン(Greene)らの[プロテクティブ・グループス・イン・オーガニック・シンセシス(Protective Groups in Organic Synthesis) 第4版、2007年、ジョン ウィリー アンド サンズ(John Wiley & Sons)]の成書に記載の方法により、当業者が適宜選択出来る方法で行うことができる。
アミノ基の保護基としては、例えば、ホルミル基、C1-6アルキル-カルボニル基、C1-6アルコキシ-カルボニル基、ベンゾイル基、C7-10アラルキル-カルボニル基(例、ベンジルカルボニル)、C7-14アラルキルオキシ-カルボニル基(例、ベンジルオキシカルボニル、9-フルオレニルメトキシカルボニル)、トリチル基、フタロイル基、N,N-ジメチルアミノメチレン基、置換シリル基(例、トリメチルシリル、トリエチルシリル、ジメチルフェニルシリル、tert-ブチルジメチルシリル、tert-ブチルジエチルシリル)、C2-6アルケニル基(例、1-アリル)などが挙げられる。これらの基は、ハロゲン原子、C1-6アルコキシ基およびニトロ基から選ばれる1ないし3個の置換基で置換されていてもよい。
カルボキシ基の保護基としては、例えば、C1-6アルキル基、C7-11アラルキル基(例、ベンジル)、フェニル基、トリチル基、置換シリル基(例、トリメチルシリル、トリエチルシリル、ジメチルフェニルシリル、tert-ブチルジメチルシリル、tert-ブチルジエチルシリル)、C2-6アルケニル基(例、1-アリル)等が挙げられる。
ヒドロキシ基の保護基としては、例えば、C1-6アルキル基、フェニル基、トリチル基、C7-10アラルキル基(例、ベンジル)、ホルミル基、C1-6アルキル-カルボニル基、ベンゾイル基、C7-10アラルキル-カルボニル基(例、ベンジルカルボニル)、2-テトラヒドロピラニル基、2-テトラヒドロフラニル基、置換シリル基(例、トリメチルシリル、トリエチルシリル、ジメチルフェニルシリル、tert-ブチルジメチルシリル、tert-ブチルジエチルシリル)、C2-6アルケニル基(例、1-アリル)などが挙げられる。これらの基は、ハロゲン原子、C1-6アルキル基、C1-6アルコキシ基およびニトロ基から選ばれる1ないし3個の置換基で置換されていてもよい。
In addition, when producing the compound represented by the formula (I) of the present invention, if there are reactive groups such as a hydroxyl group, an amino group, and a carboxyl group, these groups are appropriately protected in each reaction step, The protecting group can be removed at an appropriate stage. Such a method for introducing / removing a protecting group is appropriately performed depending on the group to be protected or the kind of the protecting group. For example, as described in Green et al. [Protective Groups in Organic Synthesis 4th Edition, 2007, John Wiley & Sons]. The method can be carried out by a method that can be appropriately selected by those skilled in the art.
Examples of amino-protecting groups include formyl group, C1-6 alkyl-carbonyl group, C1-6 alkoxy-carbonyl group, benzoyl group, C7-10 aralkyl-carbonyl group (eg, benzylcarbonyl), C7-14 aralkyl. Oxy-carbonyl groups (eg, benzyloxycarbonyl, 9-fluorenylmethoxycarbonyl), trityl groups, phthaloyl groups, N, N-dimethylaminomethylene groups, substituted silyl groups (eg, trimethylsilyl, triethylsilyl, dimethylphenylsilyl, tert-butyldimethylsilyl, tert-butyldiethylsilyl), C2-6 alkenyl groups (eg, 1-allyl) and the like. These groups may be substituted with 1 to 3 substituents selected from a halogen atom, a C1-6 alkoxy group and a nitro group.
Examples of the protecting group for carboxy group include C1-6 alkyl group, C7-11 aralkyl group (eg, benzyl), phenyl group, trityl group, substituted silyl group (eg, trimethylsilyl, triethylsilyl, dimethylphenylsilyl, tert- Butyldimethylsilyl, tert-butyldiethylsilyl), C2-6 alkenyl groups (eg, 1-allyl) and the like.
Examples of the protecting group for hydroxy group include C1-6 alkyl group, phenyl group, trityl group, C7-10 aralkyl group (eg, benzyl), formyl group, C1-6 alkyl-carbonyl group, benzoyl group, C7-10 Aralkyl-carbonyl group (eg, benzylcarbonyl), 2-tetrahydropyranyl group, 2-tetrahydrofuranyl group, substituted silyl group (eg, trimethylsilyl, triethylsilyl, dimethylphenylsilyl, tert-butyldimethylsilyl, tert-butyldiethylsilyl) ), A C2-6 alkenyl group (eg, 1-allyl) and the like. These groups may be substituted with 1 to 3 substituents selected from a halogen atom, a C1-6 alkyl group, a C1-6 alkoxy group and a nitro group.
以下の反応で用いられる、総称で示される溶媒の説明を以下に示す。
「アルコール類」としては、例えば、メタノール、エタノール、1-プロパノール、2-プロパノール、tert-ブチルアルコールなどが用いられる。
「エーテル類」としては、例えば、ジエチルエーテル、ジイソプロピルエーテル、ジフェニルエーテル、テトラヒドロフラン、1,4-ジオキサン、1,2-ジメトキシエタンなどが用いられる。
「エステル類」としては、例えば、酢酸エチル、酢酸メチル、酢酸tert-ブチルなどが用いられる。
「炭化水素類」としては、例えば、ベンゼン、トルエン、キシレン、シクロヘキサン、ノルマルヘキサン、ペンタンなどが用いられる。
「アミド類」としては、例えば、N,N-ジメチルホルムアミド、N,N-ジメチルアセトアミド、N,N-ジメチルアニリン、ヘキサメチルりん酸トリアミドなどが用いられる。
「ハロゲン化炭化水素類」としては、例えば、ジクロロメタン、クロロホルム、四塩化炭素、1,2-ジクロロエタン、テトラクロロエチレン、クロロベンゼンなどが用いられる。
「ニトリル類」としては、例えば、アセトニトリル、プロピオニトリルなどが用いられる。
「ケトン類」としては、例えば、アセトン、2-ブタノンなどが用いられる。
「有機酸類」としては、例えば、ギ酸、酢酸、プロピオン酸、トリフルオロ酢酸、メタンスルホン酸などが用いられる。
「有機塩基類」としては、例えば、ギ酸、酢酸、プロピオン酸、トリフルオロ酢酸、メタンスルホン酸などが用いられる。
「芳香族アミン類」としては、例えば、ピリジン、2,6-ルチジン、キノリンなどが用いられる。
「脂肪族アミン類」としては、例えば、トリエチルアミン、N,N,ジイソプロピルエチルアミンなどが用いられる。
「スルホキシド類」としては、例えば、ジメチルスルホキシドなどが用いられる。
The general solvent used in the following reaction is described below.
Examples of “alcohols” include methanol, ethanol, 1-propanol, 2-propanol, tert-butyl alcohol, and the like.
Examples of the “ethers” include diethyl ether, diisopropyl ether, diphenyl ether, tetrahydrofuran, 1,4-dioxane, 1,2-dimethoxyethane and the like.
Examples of “esters” include ethyl acetate, methyl acetate, tert-butyl acetate and the like.
Examples of the “hydrocarbons” include benzene, toluene, xylene, cyclohexane, normal hexane, pentane and the like.
Examples of the “amides” include N, N-dimethylformamide, N, N-dimethylacetamide, N, N-dimethylaniline, hexamethylphosphoric triamide and the like.
Examples of the “halogenated hydrocarbons” include dichloromethane, chloroform, carbon tetrachloride, 1,2-dichloroethane, tetrachloroethylene, chlorobenzene and the like.
As the “nitriles”, for example, acetonitrile, propionitrile and the like are used.
As the “ketones”, for example, acetone, 2-butanone and the like are used.
Examples of the “organic acids” include formic acid, acetic acid, propionic acid, trifluoroacetic acid, methanesulfonic acid and the like.
Examples of the “organic bases” include formic acid, acetic acid, propionic acid, trifluoroacetic acid, methanesulfonic acid and the like.
Examples of the “aromatic amines” include pyridine, 2,6-lutidine, quinoline and the like.
Examples of the “aliphatic amines” include triethylamine, N, N, diisopropylethylamine and the like.
Examples of the “sulfoxides” include dimethyl sulfoxide.
以下の各製造法において、アルキル化反応、アミド化反応(縮合反応)、エステル化反応、還元反応、還元的アミノ化反応、アミノ化反応、ハロゲン化反応、酸化反応などを行う場合、これらの反応は、文献公知の方法に従って行われる。このような方法としては、例えば、Organic Functional Group Preparations 第2版,Academic Press, Inc. 1989年刊、Comprehensive Organic Transformations,VCH Publishers Inc.,1989年刊等に記載の方法などが挙げられる。In the following production methods, when alkylation reaction, amidation reaction (condensation reaction), esterification reaction, reduction reaction, reductive amination reaction, amination reaction, halogenation reaction, oxidation reaction, etc., these reactions are performed. Is performed according to methods known in the literature. Examples of such methods include the methods described in Organic-Functional Group Preparations 2nd Edition, Academic Press, Inc. 1989, Comprehensive Organic Transformations, VCH Publishers Inc., 1989, and the like.
 前記式(I)で表わされる化合物は、以下の製造法により製造できる。以下の製法において、X1、X2、X3、X4及びX5は特に断らない限り、前記態様[1][1-1][1-2][1-3][2-1][2-2][2-3][3-1][4-1][4-2][4-3][4-4][4-5]に記載の定義と同じである。以下の製法において、Y1, Y2, Xは特に断らない限りハロゲン、OTf、Ms、Ts基などの脱離基を表す。また以下の製造法において、例えば<1-1 to 1-2 step>とは、図中の化合物(1-1)を原料として(1-2)の化合物を製造するプロセスの説明を表す。また図中の「When Y1(日本語で、Y1であるとき、の意味)」とは、図中の置換基(R1 or Y1)の記載においてその化合物を製造する過程で脱離基Y1を有するものとして合成された場合、鈴木カップリング等や置換反応によってY1がR1に置換されることで最終化合物(I)が製造される工程を示す。つまりB上の置換基が脱離基Y1である場合には、適当な方法によりR1を導入することで、目的となる式(I)の化合物を製造することができ、R1の種類によりその手法は異なる。置換基(R2 or Y2)の場合も同様である。The compound represented by the formula (I) can be produced by the following production method. In the following production methods, X1, X2, X3, X4 and X5 are the above-mentioned embodiments [1] [1-1] [1-2] [1-3] [2-1] [2-2] unless otherwise specified. [2-3] [3-1] [4-1] [4-2] [4-3] [4-4] [4-5] Same definitions as described above. In the following production methods, Y1, Y2, and X represent leaving groups such as halogen, OTf, Ms, and Ts groups unless otherwise specified. In the following production methods, for example, <1-1 to 1-2 step> represents a description of a process for producing the compound (1-2) using the compound (1-1) in the figure as a raw material. In addition, “When Y1 (meaning when Y1 is Japanese)” in the figure has a leaving group Y1 in the process of producing the compound in the description of the substituent (R1 or Y1) in the figure When synthesized as a product, a process in which the final compound (I) is produced by replacing Y1 with R1 by Suzuki coupling or the like or a substitution reaction is shown. In other words, when the substituent on B is the leaving group Y1, the target compound of formula (I) can be produced by introducing R1 by an appropriate method, and the method depends on the type of R1. Is different. The same applies to the substituent (R2 or Y2).
 また図中のreaction, reduction, base, hydrolysis, condensation, cyclization, key intermediate, coupling, chlorination等の化学用語は、それぞれ化学分野の当業者に知られる日本語である反応、還元、塩基、加水分解、縮合、環化、鍵中間体、カップリング、塩素化等の化学用語を表す。また図中の波線はオレフィンに於いてE体及びZ体の混合物であるか、E体又はZ体であることを示す。In addition, chemical terms such as reaction, reduction, base, hydrolysis, scondensation, cyclization, key intermediate, coupling, chlorination, etc. are reaction, reduction, base, hydrolysis, Represents chemical terms such as condensation, cyclization, key intermediate, coupling, chlorination and the like. Moreover, the wavy line in the figure indicates that the olefin is a mixture of E-form and Z-form, or is E-form or Z-form.
(製法A)ピリジン、ピリミジン構造を有し、L1-L2部位が-CH2-CH2-、-CH=CH-、の場合。
Figure JPOXMLDOC01-appb-C000128
(Manufacturing method A) When it has a pyridine and pyrimidine structure and the L1-L2 site is -CH2-CH2-, -CH = CH-.
Figure JPOXMLDOC01-appb-C000128
 前記式(I)で表わされる化合物において、リンカー(-L1-L2-部位)が-C=C-を表す化合物(1-6)並びに-CH2-CH2-を表す化合物(1-7)の化合物を製造する方法を示す。In the compound represented by the formula (I), the compound (1-6) in which the linker (-L1-L2-site) represents —C═C— and the compound (1-7) in which —CH2—CH2— is represented. The method of manufacturing is shown.
<1-1 to 1-2 step> and <1-1 to 1-3 step>
 WO2009/152825に記載された方法に従い、当業者が知る方法で(1-2)のホスホニウム塩を調整することが出来る。また当業者が知る方法でP(OEt)3と式(1-1)で示される化合物を反応させることにより、リン酸エステル(1-3)を調整することが出来る。
<1-2 to 1-4 step> and <1-3 to 1-4 step>
 式(1-2)の化合物又は式(1-3)の化合物、並びに式(4-3)のアルデヒド化合物を用い、文献公知の方法、例えば (実験化学講座 第4版 19、有機合成I、炭化水素・ハロゲン化合物、53-298頁、1992年、丸善)等に記載された方法に準じて、ジアザビシクロウンデセン(図中ではDBUと示す)、水素化ナトリウム、ブチルリチウム、ピペラジン、モルホリン、トリエチルアミン、リチウムジイソプロピルアミド、リチウムビス(トリメチルシリル)アミド、ソジウムビス(トリメチルシリル)アミド、ポタシウムビス(トリメチルシリル)アミド、ホスファゼンベース-P4-tert-ブチル等の塩基存在下、N,N-ジメチルホルムアミドなどの極性溶媒、1,4-ジオキサン、テトラヒドロフラン等のエーテル系溶媒、ベンゼン、トルエン、キシレン等の芳香族炭化水素系溶媒等の反応に不活性な溶媒、もしくはこれらの混合溶媒を用いて、-78℃から溶媒が還流する温度で反応を行い、式(1-4)の化合物を製造することができる。図中のHWEとは、当業者に知られるホーナー・エモンズ反応を表す。
<1-1 to 1-2 step> and <1-1 to 1-3 step>
According to the method described in WO2009 / 152825, the phosphonium salt (1-2) can be prepared by a method known to those skilled in the art. The phosphate ester (1-3) can be prepared by reacting P (OEt) 3 with a compound represented by the formula (1-1) by a method known to those skilled in the art.
<1-2 to 1-4 step> and <1-3 to 1-4 step>
Using a compound of formula (1-2) or a compound of formula (1-3) and an aldehyde compound of formula (4-3), methods known in the literature, such as (Experimental Chemistry Course 4th Edition 19, Organic Synthesis I, In accordance with the method described in Hydrocarbon / Halogen Compounds, pages 53-298, 1992, Maruzen), diazabicycloundecene (shown as DBU in the figure), sodium hydride, butyllithium, piperazine, morpholine Polar such as N, N-dimethylformamide in the presence of a base such as triethylamine, lithium diisopropylamide, lithium bis (trimethylsilyl) amide, sodium bis (trimethylsilyl) amide, potassium bis (trimethylsilyl) amide, phosphazene base-P4-tert-butyl Solvent, ether solvents such as 1,4-dioxane and tetrahydrofuran, The reaction is carried out at a temperature at which the solvent refluxes from −78 ° C. using a solvent inert to the reaction, such as aromatic hydrocarbon solvents such as ethylene, toluene, xylene, etc., or a mixed solvent thereof. ) Can be produced. HWE in the figure represents the Horner-Emmons reaction known to those skilled in the art.
<4-4 to P-1 step> and <4-4 to P-2 step>
 式(4-4)の化合物を原料とし、<1-1 to 1-2 step> and <1-1 to 1-3 step>と同様の方法で式(P-1)の化合物又は(P-2)の化合物を製造することができる。
<P-1 to 1-4 step> and <P-2 to 1-4 step>
 式(P-1)の化合物又は式(P-2)の化合物並びに式(6-1-1)のアルデヒド化合物を用い、<1-2 to 1-4 step> and <1-3 to 1-4 step>と同様の方法で式(1-4)の化合物を製造することができる。
<1-4 to 1-5 step>
 水素ガスやギ酸アンモニウムなど適当な水素源の存在下、パラジウムなど金属触媒を用いて還元し、式(1-5)の化合物を製造することが出来る。つまり、式(1-4)の化合物を用い、文献公知の方法、例えば (実験化学講座 第4版 26、有機合成VIII、不斉合成・還元・糖・標識化合物、251-266頁、1992年、丸善)などに記載された方法に準じて、パラジウム-炭素(Pd-C)、ラネーニッケル(Raney-Ni)、酸化白金(PtO2)などの触媒を適宜選択し、その存在下、メタノール、エタノール、2-プロパノール等のアルコール系溶媒、ジクロロメタン、クロロホルム等のハロゲン系溶媒、ジエチルエーテル、テトラヒドロフラン等のエーテル系溶媒、酢酸エチル、アセトニトリル等の極性溶媒、トルエン、ベンゼン等の芳香族炭化水素系溶媒、酢酸等の酸溶媒等の反応に関与しない溶媒もしくはこれらの混合溶媒中、室温から溶媒が還流する温度で水素ガスを添加することにより、式(1-5)の化合物を製造することができる。
<4-4 to P-1 step> and <4-4 to P-2 step>
Using the compound of formula (4-4) as a raw material, the compound of formula (P-1) or (P- The compound of 2) can be produced.
<P-1 to 1-4 step> and <P-2 to 1-4 step>
Using a compound of formula (P-1) or a compound of formula (P-2) and an aldehyde compound of formula (6-1-1), <1-2 to 1-4 step> and <1-3 to 1- The compound of formula (1-4) can be produced in the same manner as in 4 step>.
<1-4 to 1-5 step>
Reduction with a metal catalyst such as palladium in the presence of a suitable hydrogen source such as hydrogen gas or ammonium formate can produce a compound of formula (1-5). That is, using a compound of formula (1-4), methods known in the literature, such as (Experimental Chemistry Course 4th Edition 26, Organic Synthesis VIII, Asymmetric Synthesis / Reduction / Sugar / Labeled Compound, pp. 251-266, 1992) And a catalyst such as palladium-carbon (Pd—C), Raney nickel (Raney-Ni), platinum oxide (PtO 2) and the like in the presence of methanol, ethanol, Alcohol solvents such as 2-propanol, halogen solvents such as dichloromethane and chloroform, ether solvents such as diethyl ether and tetrahydrofuran, polar solvents such as ethyl acetate and acetonitrile, aromatic hydrocarbon solvents such as toluene and benzene, acetic acid Hydrogen in a solvent that does not participate in the reaction such as an acid solvent or the like or a mixed solvent thereof at a temperature at which the solvent is refluxed from room temperature. The compound of formula (1-5) can be produced by adding a gas.
<1-4 to (I)1-6 step> and <1-5 to (I)1-7 step>
 式(1-4)又は式(1-5)で表される化合物において、含窒素ヘテロ6員環上の置換基が脱離基Y1である場合には、適当な方法によりR1を導入することで、目的となる式(I)の化合物(1-6)又は(1-7)の化合物を製造することができる。R1の種類によりその手法は異なる。
<1-4 to (I) 1-6 step> and <1-5 to (I) 1-7 step>
In the compound represented by formula (1-4) or formula (1-5), when the substituent on the nitrogen-containing hetero 6-membered ring is the leaving group Y1, R1 is introduced by an appropriate method. Thus, the target compound of formula (I) (1-6) or (1-7) can be produced. The method differs depending on the type of R1.
 R1が3-7員含窒素ヘテロ脂肪族環であり、二級アミンを有する3-7員含窒素ヘテロ脂肪族環化合物を用いる場合は、式(1-4)又は式(1-5)で表される化合物と3-7員含窒素ヘテロ脂肪族環化合物(例えばピペリジン、ピペラジン、モルホリン、チオモルホリン)との置換反応を行う。
 式(1-4)で表わされる化合物、および二級アミンを有する3-6員含窒素ヘテロ脂肪族環化合物を用い、文献公知の方法、例えば[テトラへドロン(Tetrahedron)、63(25)、5394-5405、2007年]に記載された方法に準じて、トリエチルアミン、ピリジン、1,8-ジアザビシクロ[5.4.0]ウンデカ-7-エン、炭酸ナトリウム等の塩基の存在下または非存在下、ジクロロメタン、クロロホルム等のハロゲン系溶媒、ジエチルエーテル、テトラヒドロフラン、ジオキサン等のエーテル系溶媒、トルエン、ベンゼン等の芳香族炭化水素系溶媒、N,N-ジメチルホルムアミド、アセトニトリル、ジメチルスルホキシド等の極性溶媒等の反応に関与しない溶媒中、0℃から250℃で反応させることにより、式(I)の化合物(1-6)又は式(1-7)の化合物を製造することができる。
When R1 is a 3-7-membered nitrogen-containing heteroaliphatic ring and a 3-7-membered nitrogen-containing heteroaliphatic ring compound having a secondary amine is used, the formula (1-4) or (1-5) A substitution reaction between the represented compound and a 3-7-membered nitrogen-containing heteroalicyclic compound (for example, piperidine, piperazine, morpholine, thiomorpholine) is performed.
Using a compound represented by the formula (1-4) and a 3-6 membered nitrogen-containing heteroalicyclic compound having a secondary amine, a method known in the literature, for example, [Tetrahedron, 63 (25), 5394-5405, 2007] in the presence or absence of a base such as triethylamine, pyridine, 1,8-diazabicyclo [5.4.0] undec-7-ene, sodium carbonate or the like. Halogen solvents such as dichloromethane and chloroform, ether solvents such as diethyl ether, tetrahydrofuran and dioxane, aromatic hydrocarbon solvents such as toluene and benzene, polar solvents such as N, N-dimethylformamide, acetonitrile and dimethyl sulfoxide, etc. By reacting at 0 ° C. to 250 ° C. in a solvent not involved in the reaction of Compounds of I) (1-6) or can be prepared a compound of formula (1-7).
 R1がアリール又はヘテロアリールの場合は、式(1-4)又は式(1-5)で表される化合物とArB(OH)2で表されるアリールボロン酸のカップリング反応を行う。式(1-4)又は式(1-5)で表される化合物を用い、文献公知の方法、例えば[実験化学講座 第5版 18 有機化合物の合成 VI-金属を用いる有機合成-、327-352頁、2004年、丸善]、および[ジャーナル・オブ・メディシナル・ケミストリー(Journal of Medicinal Chemistry)、48(20)、6326-6339、2005年]に記載された方法に準じて、式(1-5)で表される化合物の存在下、酢酸パラジウム(II)、テトラキストリフェニルホスフィンパラジウム、トリス(ジベンジリデンアセトン)ジパラジウム、ビス(ジベンジリデンアセトン)パラジウム、[1,1'-ビス(ジフェニルホスフィノ)フェロセン]ジクロロパラジウム(II)などのパラジウム触媒、トリフェニルホスフィン、トリス(tert-ブチル)ホスフィン、トリス(o-トリル)ホスフィン、2-ジシクロヘキシルホスフィノ-2',6'-ジメトキシビフェニル、2-ジシクロヘキシルホスフィノ-2',4',6'-トリイソプロピルビフェニル等のホスフィン系試薬、およびトリエチルアミン、N,N-ジイソプロピルエチルアミン、リン酸カリウム等の有機または無機塩基存在下、トルエン、キシレン、N,N-ジメチルホルムアミド、N,N-ジメチルアセトアミド等の反応に関与しない溶媒、もしくはこれらの混合溶媒を用いて、0℃から溶媒が還流する温度で反応を行い、式(I)の化合物(1-6)又は式(1-7)の化合物を製造することができる。またはホスフィン系試薬の替わりにテトラメチルアンモニウムクロリド、テトラブチルアンモニウムクロリド等を用いて、同様な方法にて製造することができる。
R1がNR4R5の場合は、式(1-4)又は式(1-5)で表される化合物と式HN-R4R5で表されるアミン化合物の置換反応を行う。
式(1-4)又は式(1-5)でで表わされる化合物、および式HN-R4R5で表わされる化合物を用い、文献公知の方法、例えば[テトラへドロン(Tetrahedron)、63(25)、5394-5405、2007年]に記載された方法に準じて、トリエチルアミン、ピリジン、1,8-ジアザビシクロ[5.4.0]ウンデカ-7-エン(スキーム内ではDBUと記載、以下同じ)、炭酸ナトリウム等の塩基の存在下または非存在下、ジクロロメタン、クロロホルム等のハロゲン系溶媒、ジエチルエーテル、テトラヒドロフラン、ジオキサン等のエーテル系溶媒、トルエン、ベンゼン等の芳香族炭化水素系溶媒、N,N-ジメチルホルムアミド、アセトニトリル、ジメチルスルホキシド等の極性溶媒等の反応に関与しない溶媒中、0℃から250℃で反応させることにより、式(I)の化合物(1-6)又は式(1-7)の化合物を製造することができる。
When R1 is aryl or heteroaryl, a coupling reaction of a compound represented by formula (1-4) or formula (1-5) and an aryl boronic acid represented by ArB (OH) 2 is performed. Using a compound represented by formula (1-4) or formula (1-5), a method known in the literature, for example, [Experimental Chemistry Course 5th edition 18 Synthesis of organic compounds VI-Organic synthesis using metals-327- 352, 2004, Maruzen], and [Journal of Medicinal Chemistry, 48 (20), 6326-6339, 2005]. 5) Palladium (II) acetate, tetrakistriphenylphosphine palladium, tris (dibenzylideneacetone) dipalladium, bis (dibenzylideneacetone) palladium, [1,1'-bis (diphenylphosphine) Fino) ferrocene] palladium catalysts such as dichloropalladium (II), triphenylphospho Fins, Tris (tert-butyl) phosphine, Tris (o-tolyl) phosphine, 2-dicyclohexylphosphino-2 ′, 6′-dimethoxybiphenyl, 2-dicyclohexylphosphino-2 ′, 4 ′, 6′-triisopropyl In the reaction of toluene, xylene, N, N-dimethylformamide, N, N-dimethylacetamide, etc. in the presence of phosphine reagents such as biphenyl and organic or inorganic bases such as triethylamine, N, N-diisopropylethylamine and potassium phosphate Using a non-participating solvent or a mixed solvent thereof, reacting at a temperature at which the solvent is refluxed from 0 ° C. to produce a compound of formula (I) (1-6) or a compound of formula (1-7) Can do. Alternatively, it can be produced by a similar method using tetramethylammonium chloride, tetrabutylammonium chloride or the like instead of the phosphine reagent.
When R1 is NR4R5, a substitution reaction of the compound represented by formula (1-4) or formula (1-5) and the amine compound represented by formula HN-R4R5 is performed.
Using a compound represented by formula (1-4) or formula (1-5) and a compound represented by formula HN-R4R5, a method known in the literature, for example, [Tetrahedron, 63 (25), 5394-5405, 2007], triethylamine, pyridine, 1,8-diazabicyclo [5.4.0] undec-7-ene (described as DBU in the scheme, the same applies hereinafter), carbonic acid, In the presence or absence of a base such as sodium, halogen solvents such as dichloromethane and chloroform, ether solvents such as diethyl ether, tetrahydrofuran and dioxane, aromatic hydrocarbon solvents such as toluene and benzene, N, N-dimethyl In a solvent that does not participate in the reaction, such as a polar solvent such as formamide, acetonitrile, dimethyl sulfoxide, etc., 0 ° C. to 25 ° C. By reacting at 0 ° C., the compound of formula (I) (1-6) or the compound of formula (1-7) can be produced.
R1がOR6の場合は、式(1-4)又は式(1-5)で表される化合物を用い、文献公知の方法、つまり、(実験化学講座 第5版 14 有機化合物の合成II アルコール・アミン、239-249頁、2004年、丸善)等に記載された方法に準じて目的となる化合物を製造することができる。つまりR6OHで表されるアルコールの存在下、トリエチルアミン、N,N-ジイソプロピルエチルアミン、リン酸カリウム等の有機または無機塩基存在下、トルエン、キシレン、N,N-ジメチルホルムアミド、N,N-ジメチルアセトアミド等の反応に関与しない溶媒、もしくはこれらの混合溶媒を用いて、0℃から溶媒が還流する温度で反応を行い、式(I)の化合物(1-6)又は式(1-7)の化合物を製造することができる。When R1 is OR6, a compound represented by formula (1-4) or formula (1-5) is used, and a method known in the literature, that is, (Experimental Chemistry Course 5th Edition, 14 Synthesis of Organic Compounds II Alcohol Amine, pages 239-249, 2004, Maruzen) can be used to produce the target compound. That is, in the presence of an alcohol represented by R6OH, in the presence of an organic or inorganic base such as triethylamine, N, N-diisopropylethylamine, potassium phosphate, toluene, xylene, N, N-dimethylformamide, N, N-dimethylacetamide, etc. Using a solvent that does not participate in the reaction or a mixed solvent thereof, the reaction is carried out at a temperature at which the solvent is refluxed from 0 ° C. to give a compound of formula (I) (1-6) or a compound of formula (1-7) Can be manufactured.
(製法B)中間体(4-3-1)の製法
Figure JPOXMLDOC01-appb-C000129
(4-3-1)で示されるアルデヒド化合物は、WO2009/152825に示される文献既知の各種スルホネートから強塩基の存在下、アセタール化合物(4-3-2)を経た後に、当業者が知る酸性条件下でアルデヒド化合物(4-3-1)を得ることが出来る。代表的な手法は参考例16.01に詳述される。
(Manufacturing method B) Manufacturing method of intermediate (4-3-1)
Figure JPOXMLDOC01-appb-C000129
The aldehyde compound represented by (4-3-1) is an acid known to those skilled in the art after passing through the acetal compound (4-3-2) in the presence of a strong base from various sulfonates known in the literature shown in WO2009 / 152825. The aldehyde compound (4-3-1) can be obtained under the conditions. A representative technique is described in detail in Reference Example 16.01.
(製法B-1)鍵中間体の製法
鍵中間体である式(P-1)、(P-2)の化合物及び式(4-3)の化合物を製造する方法を示す。
Figure JPOXMLDOC01-appb-C000130
(Production method B-1) Production method of key intermediate A method for producing the compounds of formula (P-1) and (P-2) and the compound of formula (4-3), which are key intermediates.
Figure JPOXMLDOC01-appb-C000130
<4-4 to P-1 step> and <4-4 to P-2 step>
WO2009/152825に記載された方法に従い、式(4-4)の化合物を用い当業者が知る方法で(P-1)のホスホニウム塩を調整することが出来る。また当業者が知る方法でP(OR)3(RはC1-6アルキルを表す)と式(4-4)で示される化合物を反応させることにより、リン酸エステル(P-2)を調整することが出来る。A環を含む縮環がトリアゾロピラジンである化合物の製法詳細が、参考例1から参考例4に記載されており、各種A環の場合に適宜適用されうる。
<4-4 to 4-3 step>
鍵中間体であるアルデヒド(4-3)は、式(4-4)の化合物を当業者が知る方法で酢酸ナトリウムを用いてアセテート化した後に加水分解を経てヒドロキシル化して式(4-2)で示されるアルコールを得た後に、デスマーチン試薬等の酸化剤により酸化することにより、式(4-3)で表されるアルデヒドを製造することが出来る。又は式(4-4)で示された化合物からNMO(N-メチルモルホリン N-オキシド)などを用いて直接酸化することにより式(4-3)で表されるアルデヒドを製造することが出来る。A環を含む縮環がトリアゾロピラジンである化合物の製法詳細は、参考例1から参考例4に記載されており、各種A環の場合に適宜適用されうる。
<4-4 to P-1 step> and <4-4 to P-2 step>
According to the method described in WO2009 / 152825, the phosphonium salt of (P-1) can be prepared by a method known to those skilled in the art using the compound of formula (4-4). The phosphate ester (P-2) is prepared by reacting P (OR) 3 (R represents C1-6 alkyl) and the compound represented by formula (4-4) by a method known to those skilled in the art. I can do it. Details of the method for producing a compound in which the condensed ring containing A ring is triazolopyrazine are described in Reference Examples 1 to 4, and can be appropriately applied to various A rings.
<4-4 to 4-3 step>
Aldehyde (4-3), which is a key intermediate, is obtained by subjecting a compound of formula (4-4) to acetate with sodium acetate by a method known to those skilled in the art, followed by hydrolysis to hydroxylate the compound of formula (4-2) The aldehyde represented by the formula (4-3) can be produced by obtaining the alcohol represented by the formula (1) and then oxidizing with an oxidizing agent such as a desmartin reagent. Alternatively, the aldehyde represented by the formula (4-3) can be produced from the compound represented by the formula (4-4) by direct oxidation using NMO (N-methylmorpholine N-oxide) or the like. Details of the method for producing a compound in which the condensed ring containing A ring is triazolopyrazine are described in Reference Examples 1 to 4, and can be appropriately applied to various A rings.
(製法B-2)鍵中間体の製法
鍵中間体である式(2-1)の化合物を製造する方法を示す。
式(2-1)の化合物は、WO2010/145668スキーム1に示される文献既知の方法に従って製造できる。すなわち、ジメチルクロロピラジン(2-3-1)をアジ化ナトリウムでアジド化した後に還元し、得られたアミノピラジン誘導体(3-1)をトシルヒドロキシアミンなど、脱離基を有するヒドロキシルアミンと反応させた後にクロロメチル酢酸で処理し、目的の式(2-1)の化合物を製造することができる。又式(3-1)の化合物はアンモニウム水を用いて式(2-3-1)の化合物から直接式(3-1)の化合物を合成することもできる。
又式(2-1)の化合物は、WO2010/145668、スキーム1に示される文献既知の方法により生じる下記スルホネートから塩基の存在下、直接式(2-1)の鍵中間体を得ることが出来る。
Figure JPOXMLDOC01-appb-C000131
(Manufacturing method B-2) Manufacturing method of a key intermediate The method to manufacture the compound of Formula (2-1) which is a key intermediate is shown.
The compound of the formula (2-1) can be produced according to a known method shown in WO2010 / 145668 scheme 1. That is, dimethylchloropyrazine (2-3-1) is azidated with sodium azide and then reduced, and the resulting aminopyrazine derivative (3-1) is reacted with hydroxylamine having a leaving group such as tosylhydroxyamine. And then treated with chloromethylacetic acid to produce the desired compound of formula (2-1). The compound of formula (3-1) can be synthesized directly from the compound of formula (2-3-1) using ammonium water.
In addition, the compound of formula (2-1) can directly obtain the key intermediate of formula (2-1) in the presence of a base from the following sulfonate produced by a known method shown in WO2010 / 145668, scheme 1. .
Figure JPOXMLDOC01-appb-C000131
以下に示される鍵中間体である式(2-2)から式(2-14)の化合物もWO2009/152825に記載された方法に準じて、或いは当業者に知られた方法で、以下に示された式(3-1)から式(3-8)で示された原料から製造することができる。
鍵中間体の構造(2-1)~(2-14)
Figure JPOXMLDOC01-appb-C000132
鍵中間体の原料構造(3-1)~(3-8)
The compounds of formula (2-2) to formula (2-14), which are the key intermediates shown below, are also shown below according to the methods described in WO2009 / 152825 or by methods known to those skilled in the art. It can be produced from the raw materials represented by formula (3-1) to formula (3-8).
Structure of key intermediate (2-1) to (2-14)
Figure JPOXMLDOC01-appb-C000132
Raw material structure of key intermediate (3-1) to (3-8)
Figure JPOXMLDOC01-appb-C000133
Figure JPOXMLDOC01-appb-C000133
例えば式2-7の化合物については、欧州特許公報EP2060572 A1に記載された方法に従って、以下の製法により製造することが出来る。
Figure JPOXMLDOC01-appb-C000134
For example, the compound of formula 2-7 can be produced by the following production method according to the method described in European Patent Publication EP2060572 A1.
Figure JPOXMLDOC01-appb-C000134
また式2-11-1の化合物(R置換体、R=C1-6アルキル)については、Organic research & development, 2008, 12(6), 1261-1264に記載された方法に従って、以下の製法により製造することが出来る。
Figure JPOXMLDOC01-appb-C000135
For the compound of formula 2-11-1 (R-substituted product, R = C1-6 alkyl), according to the method described in Organic research & development, 2008, 12 (6), 1261-1264, Can be manufactured.
Figure JPOXMLDOC01-appb-C000135
 式2-2の中間体化合物については、以下で示された製法により製造することが出来る。手法の詳細は参考例35に詳述される。
 また下記(2-2)の化合物は、WO2009/152825、44頁に示される文献既知の下記スルホネート及びその類縁体を介して製造することが出来る。
Figure JPOXMLDOC01-appb-C000136
The intermediate compound of formula 2-2 can be produced by the production method shown below. Details of the technique are described in Reference Example 35.
In addition, the compound of the following (2-2) can be produced via the following sulfonates and analogs thereof known from WO2009 / 152825, page 44.
Figure JPOXMLDOC01-appb-C000136
また下記(2-3-3)のアルデヒド化合物は、WO2009/152825に示される文献既知の下記スルホネートから強塩基の存在下、アセタール化合物(2-3-1)を経てパラジウム触媒の存在下、水素雰囲気下で当業者に知られる水素化を行い、酸性条件下でアルデヒド化合物(2-3-3)を得ることが出来る。
Figure JPOXMLDOC01-appb-C000137
In addition, the aldehyde compound (2-3-3) described below is a hydrogen atom in the presence of a palladium base via an acetal compound (2-3-1) in the presence of a strong base from the following sulfonates shown in WO2009 / 152825. Hydrogenation known to those skilled in the art can be performed under an atmosphere to obtain an aldehyde compound (2-3-3) under acidic conditions.
Figure JPOXMLDOC01-appb-C000137
WO2009/152825に示される文献既知の下記スルホネートから塩基の存在下、直接式(2-14)の鍵中間体を得ることが出来る。
Figure JPOXMLDOC01-appb-C000138
The key intermediate of formula (2-14) can be obtained directly from the following sulfonates known in the literature shown in WO2009 / 152825 in the presence of a base.
Figure JPOXMLDOC01-appb-C000138
(製法C)ピリミジン型化合物の製造方法
以下に、製法Aに記載された方法の中でピリミジン構造を有する式(I)で示される化合物を製造する方法を詳述する。
Figure JPOXMLDOC01-appb-C000139
(Manufacturing method C) The manufacturing method of a pyrimidine type compound The method to manufacture the compound shown by the formula (I) which has a pyrimidine structure in the method described in the manufacturing method A is explained in full detail below.
Figure JPOXMLDOC01-appb-C000139
式(I)で示される化合物は、WO2009/152825に記載された方法など文献公知の方法に従って製造することができる。式(5-1)で示される化合物は、WO2010/30027又はChem. Sox. C, 1968年、17号、2188頁で知られる化合物である。
<5-1 to 5-2 step>
脱離基Clを有する式(5-1)の化合物は使用する原料化合物により異なる適当な方法によりR2を導入することで、目的となる式(5-2)の化合物を製造することができる。R2の種類によりその手法は異なる。
1.R2がNR4’’R5’’の場合
 式(5-1)で表される化合物と式HN-R4’’R5’’で表されるアミン化合物の置換反応を行う。
式(5-1)で表わされる化合物、および式HN-R4’’R5’’で表わされる化合物を用い、文献公知の方法、例えば[テトラへドロン(Tetrahedron)、63(25)、5394-5405、2007年]に記載された方法に準じて、トリエチルアミン、ピリジン、1,8-ジアザビシクロ[5.4.0]ウンデカ-7-エン(スキーム内ではDBUと記載、以下同じ)、炭酸ナトリウム等の塩基の存在下または非存在下、ジクロロメタン、クロロホルム等のハロゲン系溶媒、ジエチルエーテル、テトラヒドロフラン、ジオキサン等のエーテル系溶媒、トルエン、ベンゼン等の芳香族炭化水素系溶媒、N,N-ジメチルホルムアミド、アセトニトリル、ジメチルスルホキシド等の極性溶媒等の反応に関与しない溶媒中、0℃から250℃で反応させることにより、式(5-2)の化合物を製造することができる。
The compound represented by the formula (I) can be produced according to a method known in the literature such as the method described in WO2009 / 152825. The compound represented by the formula (5-1) is a compound known from WO2010 / 30027 or Chem. Sox. C, 1968, No. 17, page 2188.
<5-1 to 5-2 step>
The compound of the formula (5-1) having a leaving group Cl can be produced by introducing R2 by an appropriate method that varies depending on the starting compound used. The method differs depending on the type of R2.
1. When R2 is NR4 ″ R5 ″ A substitution reaction of the compound represented by Formula (5-1) and the amine compound represented by Formula HN-R4 ″ R5 ″ is performed.
Using a compound represented by the formula (5-1) and a compound represented by the formula HN-R4 ″ R5 ″, a method known in the literature, for example, [Tetrahedron, 63 (25), 5394-5405 , 2007], triethylamine, pyridine, 1,8-diazabicyclo [5.4.0] undec-7-ene (described as DBU in the scheme, the same shall apply hereinafter), sodium carbonate, etc. In the presence or absence of a base, halogen solvents such as dichloromethane and chloroform, ether solvents such as diethyl ether, tetrahydrofuran and dioxane, aromatic hydrocarbon solvents such as toluene and benzene, N, N-dimethylformamide, acetonitrile , Reaction at 0 to 250 ° C in a solvent such as dimethyl sulfoxide that is not involved in the reaction By, it is possible to produce a compound of formula (5-2).
2.R2がOR6’の場合
 式(5-1)の化合物を用い、文献公知の方法、つまり、(実験化学講座 第5版 14 有機化合物の合成II アルコール・アミン、239-249頁、2004年、丸善)等に記載された方法に準じて、式(5-2)の化合物を同様に製造することができる。R6’OHで表されるアルコールの存在下、トリエチルアミン、N,N-ジイソプロピルエチルアミン、リン酸カリウム等の有機または無機塩基存在下、トルエン、キシレン、N,N-ジメチルホルムアミド、N,N-ジメチルアセトアミド等の反応に関与しない溶媒、もしくはこれらの混合溶媒を用いて、0℃から溶媒が還流する温度で反応を行い、式(5-2)の化合物を製造することができる。
2. When R2 is OR6 ′ Using a compound of formula (5-1), a method known in the literature, that is, (Experimental Chemistry Course 5th Edition, 14 Synthesis of Organic Compounds II Alcohol Amines, 239-249, 2004, Maruzen The compound of formula (5-2) can be produced in the same manner according to the method described in the above. In the presence of an alcohol represented by R6'OH, in the presence of an organic or inorganic base such as triethylamine, N, N-diisopropylethylamine or potassium phosphate, toluene, xylene, N, N-dimethylformamide, N, N-dimethylacetamide The compound of the formula (5-2) can be produced by carrying out the reaction at a temperature at which the solvent is refluxed from 0 ° C. using a solvent that does not participate in the reaction, or a mixed solvent thereof.
3.R2がアリール基の場合
 式(5-1)で表される化合物とArB(OH)2で表されるフェニルボロン酸のカップリング反応を行う。式(5-1)で表される化合物を用い、文献公知の方法、例えば[実験化学講座 第5版 18 有機化合物の合成 VI-金属を用いる有機合成-、327-352頁、2004年、丸善]、および[ジャーナル・オブ・メディシナル・ケミストリー(Journal of Medicinal Chemistry)、48(20)、6326-6339、2005年]に記載された方法に準じて、式(5-3)で表される化合物の存在下、酢酸パラジウム(II)、テトラキストリフェニルホスフィンパラジウム、トリス(ジベンジリデンアセトン)ジパラジウム、ビス(ジベンジリデンアセトン)パラジウム、[1,1'-ビス(ジフェニルホスフィノ)フェロセン]ジクロロパラジウム(II)などのパラジウム触媒、トリフェニルホスフィン、トリス(tert-ブチル)ホスフィン、トリス(o-トリル)ホスフィン、2-ジシクロヘキシルホスフィノ-2',6'-ジメトキシビフェニル、2-ジシクロヘキシルホスフィノ-2',4',6'-トリイソプロピルビフェニル等のホスフィン系試薬、およびトリエチルアミン、N,N-ジイソプロピルエチルアミン、リン酸カリウム等の有機または無機塩基存在下、トルエン、キシレン、N,N-ジメチルホルムアミド、N,N-ジメチルアセトアミド等の反応に関与しない溶媒、もしくはこれらの混合溶媒を用いて、0℃から溶媒が還流する温度で反応を行い、式(5-2)で表される化合物を製造することができる。またはホスフィン系試薬の替わりにテトラメチルアンモニウムクロリド、テトラブチルアンモニウムクロリド等を用いて、同様な方法にて製造することができる。
3. When R2 is an aryl group A coupling reaction of the compound represented by the formula (5-1) and the phenylboronic acid represented by ArB (OH) 2 is performed. Using a compound represented by the formula (5-1), a method known in the literature, for example, [Experimental Chemistry Course 5th Edition 18 Synthesis of Organic Compounds VI-Organic Synthesis Using Metals-327-352, 2004, Maruzen And a compound represented by the formula (5-3) according to the method described in [Journal of Medicinal Chemistry, 48 (20), 6326-6339, 2005]. In the presence of palladium (II) acetate, tetrakistriphenylphosphine palladium, tris (dibenzylideneacetone) dipalladium, bis (dibenzylideneacetone) palladium, [1,1′-bis (diphenylphosphino) ferrocene] dichloropalladium ( II) and other palladium catalysts, triphenylphosphine, Sus (tert-butyl) phosphine, tris (o-tolyl) phosphine, 2-dicyclohexylphosphino-2 ′, 6′-dimethoxybiphenyl, 2-dicyclohexylphosphino-2 ′, 4 ′, 6′-triisopropylbiphenyl, etc. In the presence of organic phosphine reagents and organic or inorganic bases such as triethylamine, N, N-diisopropylethylamine, potassium phosphate, etc., do not participate in the reaction of toluene, xylene, N, N-dimethylformamide, N, N-dimethylacetamide, etc. Using a solvent or a mixed solvent thereof, the reaction can be carried out at a temperature at which the solvent is refluxed from 0 ° C. to produce a compound represented by the formula (5-2). Alternatively, it can be produced by a similar method using tetramethylammonium chloride, tetrabutylammonium chloride or the like instead of the phosphine reagent.
4.R1が3-7員含窒素ヘテロ脂肪族環の場合
 R2が3-7員含窒素ヘテロ脂肪族環であり、二級アミンを有する3-7員含窒素ヘテロ脂肪族環化合物を反応試薬として用いる場合は、式(5-1)で表される化合物と3-7員含窒素ヘテロ脂肪族環化合物(例えばピペリジン、ピペラジン、モルホリン、チオモルホリン)との置換反応を行う。尚、3-7員含窒素ヘテロ脂肪族環化合物は、図中では当業者に知られる化学用語であるnitrogen containing 3-7 membered heterocyclic ringと記載されている。
 式(5-1)で表わされる化合物、および二級アミンを有する3-7員含窒素ヘテロ脂肪族環化合物を用い、文献公知の方法、例えば[テトラへドロン(Tetrahedron)、63(25)、5394-5405、2007年]に記載された方法に準じて、トリエチルアミン、ピリジン、1,8-ジアザビシクロ[5.4.0]ウンデカ-7-エン、炭酸ナトリウム等の塩基の存在下または非存在下、ジクロロメタン、クロロホルム等のハロゲン系溶媒、ジエチルエーテル、テトラヒドロフラン、ジオキサン等のエーテル系溶媒、トルエン、ベンゼン等の芳香族炭化水素系溶媒、N,N-ジメチルホルムアミド、アセトニトリル、ジメチルスルホキシド等の極性溶媒等の反応に関与しない溶媒中、0℃から250℃で反応させることにより、式(5-2)の化合物を製造することができる。
4). When R1 is a 3-7-membered nitrogen-containing heteroaliphatic ring R2 is a 3-7-membered nitrogen-containing heteroaliphatic ring, and a 3-7-membered nitrogen-containing heteroaliphatic ring compound having a secondary amine is used as a reaction reagent In this case, a substitution reaction between the compound represented by the formula (5-1) and a 3-7 membered nitrogen-containing heteroalicyclic compound (for example, piperidine, piperazine, morpholine, thiomorpholine) is performed. The 3-7-membered nitrogen-containing heteroaliphatic ring compound is described as nitrogen containing 3-7 membered recycled ring, which is a chemical term known to those skilled in the art.
Using a compound represented by the formula (5-1) and a 3-7 membered nitrogen-containing heteroalicyclic compound having a secondary amine, a method known in the literature, for example, [Tetrahedron, 63 (25), 5394-5405, 2007] in the presence or absence of a base such as triethylamine, pyridine, 1,8-diazabicyclo [5.4.0] undec-7-ene, sodium carbonate or the like. Halogen solvents such as dichloromethane and chloroform, ether solvents such as diethyl ether, tetrahydrofuran and dioxane, aromatic hydrocarbon solvents such as toluene and benzene, polar solvents such as N, N-dimethylformamide, acetonitrile and dimethyl sulfoxide, etc. By reacting at 0 ° C. to 250 ° C. in a solvent not involved in the reaction of It can be prepared compound 5-2).
<5-2 to 5-3 step>
 式(5-2)の化合物を文献WO2010/30027に詳述される文献既知の方法、例えばBu4NIなどの試薬存在下、加熱することにより亜リン酸トリエチルと反応させると、式(5-3)のホスホネートが得られる。つまり参考例4に準じて製造される。
<5-2 to 6-1 step>
製法B-1の方法に従い、様々な置換基R2を有する式(6-1)で示される化合物を製造することが出来る。
<5-3 to 5-4 step>
 式(5-3)の化合物及び式(4-3)のアルデヒド化合物を用い、文献公知の方法、例えば(実験化学講座 第4版 19、有機合成I、炭化水素・ハロゲン化合物、53-298頁、1992年、丸善)等に記載された方法に準じて、水素化ナトリウム、ブチルリチウム、ピペラジン、モルホリン、トリエチルアミン、リチウムジイソプロピルアミド、リチウムビス(トリメチルシリル)アミド、ソジウムビス(トリメチルシリル)アミド、ポタシウムビス(トリメチルシリル)アミド、ホスファゼンベース-P4-tert-ブチル等の塩基存在下、N,N-ジメチルホルムアミドなどの極性溶媒、1,4-ジオキサン、テトラヒドロフラン等のエーテル系溶媒、ベンゼン、トルエン、キシレン等の芳香族炭化水素系溶媒等の反応に不活性な溶媒、もしくはこれらの混合溶媒を用いて、-78℃から溶媒が還流する温度で反応を行い、式(5-4)の化合物を製造することができる。図中のHWEとは、当業者に知られるホーナー・エモンズ反応を表す。
<P-1 to 5-4 step>
 式(P-1)の化合物及び式(6-1)の化合物を原料とし、当業者に知られるウィティッヒ反応を行い式(5-4)の化合物を合成することができる。
<5-2 to 5-3 step>
When a compound of formula (5-2) is reacted with triethyl phosphite by heating in the presence of a reagent known in the literature, such as Bu4NI, detailed in the literature WO2010 / 30027, formula (5-3) Of phosphonate. That is, it is manufactured according to Reference Example 4.
<5-2 to 6-1 step>
According to the method of production method B-1, compounds represented by the formula (6-1) having various substituents R2 can be produced.
<5-3 to 5-4 step>
A method known in the literature using a compound of formula (5-3) and an aldehyde compound of formula (4-3), such as (Experimental Chemistry Course 4th Edition 19, Organic Synthesis I, Hydrocarbon / Halogen Compounds, pp. 53-298) 1992, Maruzen) and the like, sodium hydride, butyllithium, piperazine, morpholine, triethylamine, lithium diisopropylamide, lithium bis (trimethylsilyl) amide, sodium bis (trimethylsilyl) amide, potassium bis (trimethylsilyl) ) In the presence of bases such as amide and phosphazene base-P4-tert-butyl, polar solvents such as N, N-dimethylformamide, ether solvents such as 1,4-dioxane and tetrahydrofuran, aromatics such as benzene, toluene and xylene Solvents inert to reactions such as hydrocarbon solvents Or by using a mixed solvent thereof can be solvent -78 ° C. is carried out at a temperature of reflux to produce the compound of formula (5-4). HWE in the figure represents the Horner-Emmons reaction known to those skilled in the art.
<P-1 to 5-4 step>
Using a compound of formula (P-1) and a compound of formula (6-1) as raw materials, a Wittig reaction known to those skilled in the art can be performed to synthesize a compound of formula (5-4).
<5-4 to 5-5 step>
 水素ガスやギ酸アンモニウムなど適当な水素源の存在下、パラジウムなど金属触媒を用いて還元し、式(5-5)の化合物を製造することが出来る。つまり、 式(5-4)の化合物を用い、文献公知の方法、例えば (実験化学講座 第4版 26、有機合成VIII、不斉合成・還元・糖・標識化合物、251-266頁、1992年、丸善)などに記載された方法に準じて、パラジウム-炭素(Pd-C)、ラネーニッケル(Raney-Ni)、酸化白金(PtO2)、パラジウム・フィブロイン(Wako Chemical,code No. 167-22181 or 163-22183)などの触媒を適宜選択し、その存在下、メタノール、エタノール、2-プロパノール等のアルコール系溶媒、ジクロロメタン、クロロホルム等のハロゲン系溶媒、ジエチルエーテル、テトラヒドロフラン等のエーテル系溶媒、酢酸エチル、アセトニトリル等の極性溶媒、トルエン、ベンゼン等の芳香族炭化水素系溶媒、酢酸等の酸溶媒等の反応に関与しない溶媒もしくはこれらの混合溶媒中、室温から溶媒が還流する温度で水素ガスを添加することにより、式(5-5)の化合物を製造することができる。
<5-4 to 5-5 step>
Reduction with a metal catalyst such as palladium in the presence of a suitable hydrogen source such as hydrogen gas or ammonium formate can produce a compound of formula (5-5). That is, using a compound of formula (5-4), a method known in the literature, for example, (Experimental Chemistry Course 4th Edition 26, Organic Synthesis VIII, Asymmetric Synthesis / Reduction / Sugar / Labeled Compound, pp. 251-266, 1992) In accordance with the method described in J. Maruzen), palladium-carbon (Pd-C), Raney nickel (Raney-Ni), platinum oxide (PtO2), palladium fibroin (Wako Chemical, code No. 167-22181 or 163). And a catalyst such as methanol, ethanol and 2-propanol, halogen solvents such as dichloromethane and chloroform, ether solvents such as diethyl ether and tetrahydrofuran, ethyl acetate, Solvents that do not participate in reactions such as polar solvents such as acetonitrile, aromatic hydrocarbon solvents such as toluene and benzene, and acid solvents such as acetic acid. Or a mixed solvent thereof, by addition of hydrogen gas at a temperature the solvent from room temperature to reflux, can be prepared a compound of formula (5-5).
<5-5 to compound I step>
 式(5-5)の化合物及を原料とし、<5-1 to 5-2 step>と同様の方法で式(5-6)の化合物を合成することができる。
<5-5 to compound I step>
The compound of formula (5-6) can be synthesized in the same manner as in <5-1 to 5-2 step> using the compound of formula (5-5) as a raw material.
<5-4 to 5-6 step>
 式(5-4)の化合物及を原料とし、<5-1 to 5-2 step>と同様の方法で式(5-6)の化合物を合成することができる。
<P-1 to 5-6 step>
 式(P-1)の化合物及び式(6-2)の化合物を原料とし、当業者に知られるウィティッヒ反応を行い式(5-6)の化合物を合成することができる。
<5-2 to 6-1 step>
 式(5-2)の化合物を原料とし、製法B-1に記載された同様の方法で式(6-1)の化合物を合成することができる。
<6-1 to 6-2 step>
 式(6-1)の化合物を原料とし、<5-1 to 5-2 step>に記載されたものと同様の方法で式(6-2)の化合物を合成することができる。
<5-6 to compound I step>
 式(5-6)の化合物を原料とし、<5-4 to 5-5 step>と同様の方法で式(I)の化合物を合成することができる。
<5-4 to 5-6 step>
A compound of formula (5-6) can be synthesized in the same manner as in <5-1 to 5-2 step> using the compound of formula (5-4) as a raw material.
<P-1 to 5-6 step>
Using a compound of formula (P-1) and a compound of formula (6-2) as raw materials, a Wittig reaction known to those skilled in the art can be performed to synthesize a compound of formula (5-6).
<5-2 to 6-1 step>
Using the compound of formula (5-2) as a raw material, the compound of formula (6-1) can be synthesized by the same method described in Production Method B-1.
<6-1 to 6-2 step>
The compound of formula (6-2) can be synthesized by the same method as described in <5-1 to 5-2 step> using the compound of formula (6-1) as a raw material.
<5-6 to compound I step>
Using the compound of formula (5-6) as a raw material, the compound of formula (I) can be synthesized by the same method as in <5-4 to 5-5 step>.
(製法D)ピリジン型化合物の製造方法
 以下に、製法Aに記載された方法の中でピリジン構造を有する式(I)で示される化合物を製造する方法を詳述する。
Figure JPOXMLDOC01-appb-C000140
(Manufacturing method D) Manufacturing method of a pyridine type compound Below, the method of manufacturing the compound shown by the formula (I) which has a pyridine structure in the method described in the manufacturing method A is explained in full detail.
Figure JPOXMLDOC01-appb-C000140
<7-1 to 8-1 step >
 式(P-1)又は式(P-2)の化合物、及び式(7-1)の化合物を原料とし、<5-3 to 5-4 step>又は<P-1 to 5-4 step>と同様の方法で式(8-1)のオレフィン化合物を合成することができる。
<7-1 to 7-2 step>
 式(7-1)の化合物を原料として用い、文献公知の方法、例えば(実験化学講座 第5版 14 有機化合物の合成II アルコール・アミン、182-189頁、2.1.3.酸化によるフェノールの合成、2004年、丸善)に従い、ボランで置換した後に、Oxoneで酸化することにより、式(7-2)の化合物を製造することが出来る。
<7-2 to 8-2 step >
 式(P-1)又は式(P-2)の化合物、及び式(7-2)の化合物を原料とし、<5-3 to 5-4 step>又は<P-1 to 5-4 step>と同様の方法で式(8-2)のオレフィン化合物を合成することができる。
<7-3 to 8-3 step >
 式(P-1)又は式(P-2)の化合物、及び式(7-3)の化合物を原料とし、<5-3 to 5-4 step>又は<P-1 to 5-4 step>と同様の方法で式(8-3)のオレフィン化合物を合成することができる。
<7-4 to 8-4 step >
 式(P-1)又は式(P-2)の化合物、及び式(7-4)の化合物を原料とし、<5-3 to 5-4 step>又は<P-1 to 5-4 step>と同様の方法で式(8-4)のオレフィン化合物を合成することができる。
<8-1 to 8-2 step>
 式(8-1)の化合物を原料として用い、文献公知の方法、例えば(実験化学講座 第5版 14 有機化合物の合成II アルコール・アミン、182-189頁、2.1.3.酸化によるフェノールの合成、2004年、丸善)に従い、ボランで置換した後に、Oxoneで酸化することにより、式(8-2)の化合物を製造することが出来る。
<8-2 to 8-3 step>
 式(8-2)の化合物を原料とし、製法C、<5-1 to 5-2 step>と同様の方法で式(8-3)の化合物を合成することができる。R2の種類によりその手法は異なる。
<8-3 to 9-3 step>
 式(8-3)の化合物を原料として用い、文献公知の方法、例えば(実験化学講座 第5版 14 有機化合物の合成II アルコール・アミン、255-256頁、2004年、丸善)に従い、試薬R6-OH及びDEAD(アゾジカルボン酸ジエチル)を用いて当業者に知られる光延反応を行うことにより、式(9-3)の化合物を製造することが出来る。
<7-1 to 8-1 step>
Using the compound of formula (P-1) or formula (P-2) and the compound of formula (7-1) as a raw material, <5-3 to 5-4 step> or <P-1 to 5-4 step> The olefin compound of the formula (8-1) can be synthesized by the same method.
<7-1 to 7-2 step>
Using compounds of formula (7-1) as raw materials, methods known in the literature, for example (Experimental Chemistry Course 5th edition 14 Synthesis of organic compounds II Alcohol amines, pages 182-189, 2.1.3. Synthesis of phenols by oxidation In 2004, Maruzen), the compound of the formula (7-2) can be produced by substitution with borane and oxidation with Oxone.
<7-2 to 8-2 step>
<5-3 to 5-4 step> or <P-1 to 5-4 step> using the compound of formula (P-1) or formula (P-2) and the compound of formula (7-2) as raw materials The olefin compound of the formula (8-2) can be synthesized by the same method.
<7-3 to 8-3 step>
<5-3 to 5-4 step> or <P-1 to 5-4 step> using the compound of formula (P-1) or formula (P-2) and the compound of formula (7-3) as raw materials The olefin compound of the formula (8-3) can be synthesized by the same method.
<7-4 to 8-4 step>
Using the compound of formula (P-1) or formula (P-2) and the compound of formula (7-4) as a raw material, <5-3 to 5-4 step> or <P-1 to 5-4 step> The olefin compound of the formula (8-4) can be synthesized by the same method.
<8-1 to 8-2 step>
Using compounds of formula (8-1) as raw materials, methods known in the literature, for example (Experimental Chemistry Course 5th edition 14 Synthesis of organic compounds II Alcohol amines, pages 182-189, 2.1.3. Synthesis of phenols by oxidation In 2004, Maruzen), the compound of formula (8-2) can be produced by substitution with borane and oxidation with Oxone.
<8-2 to 8-3 step>
Using the compound of formula (8-2) as a raw material, the compound of formula (8-3) can be synthesized by the same method as Production Method C, <5-1 to 5-2 step>. The method differs depending on the type of R2.
<8-3 to 9-3 step>
Using the compound of formula (8-3) as a raw material, according to a method known in the literature, for example, (Experimental Chemistry Course 5th Edition 14 Synthesis of Organic Compounds II Alcohol Amine, 255-256, 2004, Maruzen) A compound of formula (9-3) can be produced by carrying out Mitsunobu reaction known to those skilled in the art using —OH and DEAD (diethyl azodicarboxylate).
<9-3 to compound I(R1=R6O)>
 式(9-3)の化合物を原料とし、製法C、<5-4 to 5-5 step>と同様の方法で還元反応を行うことによりR1がR6Oである式(I)の化合物を合成することができる。
<8-4 to compound I(R1=H)>
 式(8-4)の化合物を原料とし、製法C、<5-4 to 5-5 step>と同様の方法で還元反応を行うことによりR1が水素原子である式(I)の化合物を合成することができる。
<8-3 to 9-1 step>
 式(8-3)の化合物を原料とし、Tf2OとTEA(トリエチルアミン), hunig base(ジイソプロピルエチルアミン)など適当な塩基の存在下、ハロゲン系溶媒など反応に関与しない溶媒を用いて低温で反応を行うことにより、式(9-1)で表されるトリフラート化合物を合成することが出来る。
<9-1 to 9-2 step>
 脱離基であるOTfを有する式(9-1)の化合物を用い、製法C、<5-5 to compound I>の1.R1がNR4R5の場合と同様の手法により式(9-2)で表される化合物を合成することが出来る。
<9-2 to compound I(R1=NR4R5))>
 式(9-2)の化合物を原料とし、製法C、<5-4 to 5-5 step>と同様の方法で還元反応を行うことによりR1がNR4R5である式(I)の化合物を合成することができる。
<10-1 to 10-2 step>
 式(P-1)又は式(P-2)の化合物、及び既述の手法により適宜合成可能又は市販されている式(10-1)の化合物を原料とし、製法C、<5-3 to 5-4 step>又は<P-1 to 5-4 step>と同様の方法でウイティッヒ反応又はホーナー・エモンズ反応を行うことにより式(10-2)のオレフィン化合物を合成することができる。
<10-2 to compound I>
 式(10-2)の化合物を原料とし、製法C、<5-4 to 5-5 step>と同様の方法で還元反応を行うことにより式(I)の化合物を合成することができる。
<9-3 to compound I (R1 = R6O)>
Using the compound of formula (9-3) as a raw material, the compound of formula (I) in which R1 is R6O is synthesized by performing a reduction reaction in the same manner as in Production Method C, <5-4 to 5-5 step> be able to.
<8-4 to compound I (R1 = H)>
Using the compound of formula (8-4) as a raw material, the compound of formula (I) in which R1 is a hydrogen atom is synthesized by a reduction reaction in the same manner as in Production Method C, <5-4 to 5-5 step> can do.
<8-3 to 9-1 step>
Using the compound of formula (8-3) as a raw material, the reaction is performed at low temperature using a solvent that does not participate in the reaction, such as a halogen-based solvent, in the presence of an appropriate base such as Tf2O, TEA (triethylamine), and hunig base (diisopropylethylamine). Thus, the triflate compound represented by the formula (9-1) can be synthesized.
<9-1 to 9-2 step>
Using a compound of formula (9-1) having OTf which is a leaving group, 1. of production method C, <5-5 to compound I> A compound represented by the formula (9-2) can be synthesized by the same method as in the case where R1 is NR4R5.
<9-2 to compound I (R1 = NR4R5))>
Using the compound of formula (9-2) as a raw material, the compound of formula (I) in which R1 is NR4R5 is synthesized by performing a reduction reaction in the same manner as in Production Method C, <5-4 to 5-5 step> be able to.
<10-1 to 10-2 step>
Using a compound of formula (P-1) or formula (P-2) and a compound of formula (10-1) which can be appropriately synthesized by the method described above or commercially available, as a raw material, production method C, <5-3 to The olefin compound of the formula (10-2) can be synthesized by conducting Wittig reaction or Horner-Emmons reaction in the same manner as in 5-4 step> or <P-1 to 5-4 step>.
<10-2 to compound I>
The compound of formula (I) can be synthesized by performing a reduction reaction in the same manner as in Production Method C, <5-4 to 5-5 step> using the compound of formula (10-2) as a raw material.
(製法E)ピリミジン型化合物の製造方法
 以下に、製法Aに記載された方法の中でピリミジン構造を有する式(I)で示される化合物を製造する方法を詳述する。
Figure JPOXMLDOC01-appb-C000141
 X5がNである式(I)で示される化合物は、市販されているか、又は当業者が容易に合成可能な式(11-1)で示された化合物より、製造することが出来る。
<11-1 to 11-2 step>
 式(11-1)の化合物を原料とし、製法C、<5-1 to 5-2 step>と同様の方法で式(11-2)の化合物を製造することができる。
<11-2 to 11-3 step >
 式(11-2)の化合物を原料とし、当業者の知る方法でアルカリ条件下にエステル加水分解してカルボン酸を得た後、以下に示す製法H、<16-4 to 16-6 step>と同様の方法で式(11-3)の化合物を製造することができる。
<11-3 to 11-4 step >
 式(11-3)の化合物を原料とし、製法B-1、<4-2 to 4-3 step>と同様の方法で式(11-4)の化合物を製造することができる。
<11-4 to 11-5 step >
 式(11-4)の化合物を原料とし、製法C、<5-1 to 5-2 step>と同様の方法で式(11-5)の化合物を製造することができる。
<11-5 to 11-6 step > 
 式(11-5)の化合物を原料とし、製法Iに示す<19-4 to 19-5 step>と同様の方法で式(11-6)の化合物を製造することができる。
<11-5 to 11-7 step >
 式(11-5)で表される化合物において、ピリミジン環上の置換基が脱離基Y2である場合には、適当な方法によりR2を導入することで、製法C、<5-1 to 5-2 step>と同様の方法のより目的となる式(I)の化合物である(11-7)の化合物を製造することができる。R2の種類によりその手法は異なる。
<11-5 to 11-8 step >
 式(11-5)の化合物を原料とし、製法C、<5-4 to 5-5 step>と同様の方法で式(11-8)の化合物を製造することができる。
<11-8 to 11-9 step >
 式(11-8)で表される化合物において、ピリミジン環上の置換基が脱離基Y2である場合には、適当な方法によりR2を導入することで、製法C、<5-4 to 5-6 step>と同様の方法のより目的となる式(I)の化合物である(11-9)の化合物を製造することができる。R2の種類によりその手法は異なる。
<11-6 to 11-10 step >
 式(11-6)で表される化合物において、ピリミジン環上の置換基が脱離基Y2である場合には、適当な方法によりR2を導入することで、製法C、<5-1 to 5-2 step>と同様の方法のより目的となる式(I)の化合物である(11-10)の化合物を製造することができる。R2の種類によりその手法は異なる。
(Manufacturing method E) The manufacturing method of a pyrimidine type compound The method to manufacture the compound shown by the formula (I) which has a pyrimidine structure in the method described in the manufacturing method A is explained in full detail below.
Figure JPOXMLDOC01-appb-C000141
The compound represented by the formula (I) in which X5 is N is commercially available, or can be produced from the compound represented by the formula (11-1) that can be easily synthesized by those skilled in the art.
<11-1 to 11-2 step>
Using the compound of formula (11-1) as a raw material, the compound of formula (11-2) can be produced in the same manner as in Production Method C, <5-1 to 5-2 step>.
<11-2 to 11-3 step>
Using the compound of formula (11-2) as a raw material, ester hydrolysis under alkaline conditions by a method known to those skilled in the art to obtain a carboxylic acid, the following production method H, <16-4 to 16-6 step> The compound of the formula (11-3) can be produced by the same method.
<11-3 to 11-4 step>
The compound of the formula (11-4) can be produced by using the compound of the formula (11-3) as a raw material in the same manner as in Production Method B-1, <4-2 to 4-3 step>.
<11-4 to 11-5 step>
Using the compound of formula (11-4) as a raw material, the compound of formula (11-5) can be produced by a method similar to Production Method C, <5-1 to 5-2 step>.
<11-5 to 11-6 step>
Using the compound of formula (11-5) as a raw material, the compound of formula (11-6) can be produced by the same method as <19-4 to 19-5 step> shown in Production Method I.
<11-5 to 11-7 step>
In the compound represented by the formula (11-5), when the substituent on the pyrimidine ring is the leaving group Y2, R2 is introduced by an appropriate method, whereby the production method C, <5-1 to 5 The compound (11-7), which is the compound of formula (I), can be produced by the same method as in step -2 step>. The method differs depending on the type of R2.
<11-5 to 11-8 step>
The compound of the formula (11-8) can be produced by using the compound of the formula (11-5) as a raw material in the same manner as in Production Method C, <5-4 to 5-5 step>.
<11-8 to 11-9 step>
In the compound represented by the formula (11-8), when the substituent on the pyrimidine ring is the leaving group Y2, R2 is introduced by an appropriate method, whereby the production method C, <5-4 to 5 The compound of (11-9), which is a compound of the formula (I), which is the target by the same method as in step -6 step>, can be produced. The method differs depending on the type of R2.
<11-6 to 11-10 step>
In the compound represented by the formula (11-6), when the substituent on the pyrimidine ring is the leaving group Y2, R2 is introduced by an appropriate method, whereby the production method C, <5-1 to 5 The compound (11-10), which is the target compound of the formula (I), can be produced by the same method as in step -2 step>. The method differs depending on the type of R2.
(製法F)リンカー(-L1-L2-部位)に置換基導入された化合物-1
 ピリジン又はピリミジン環と、含窒素縮合環を結合するエチレン部位に置換基を有する化合物は、以下に示されたスキームに基づき適宜合成することが出来る。その手法を簡便に記載する。
Figure JPOXMLDOC01-appb-C000142
(Production Method F) Compound-1 Introduced with Substituent at Linker (-L1-L2-Site)
A compound having a substituent at the ethylene moiety that binds the pyridine or pyrimidine ring and the nitrogen-containing condensed ring can be appropriately synthesized based on the scheme shown below. The method is described simply.
Figure JPOXMLDOC01-appb-C000142
 式(4-4)で示された化合物と式(12-1)で示された化合物を用い、文献公知の方法、つまり、例えば(実験化学講座 第5版 14 有機化合物の合成II アルコール・アミン、151-159頁、1.4.4.カルボニル化合物と有機金属試剤の反応、グリニャール試剤の項、2004年、丸善)等に記載された方法に準じて、式(12-2)の化合物を製造することができる。式(12-1)の化合物を原料としてC1-6-alkyl-MgBrを用い、同様にして式(13-1)の化合物を製造することが出来る。
 また式(12-2) 又は式(12-3)で示された化合物を原料としてDAST(三フッ化ジエチルアミノ硫酸)などを用い、文献公知の方法、つまり、(実験化学講座 第5版 14 有機化合物の合成I 炭水化物・ハロゲン化物、350-353頁、d.ヒドロキシ基をフッ素に置換する 2004年、丸善)等に記載された方法に準じて、式(12-5)の化合物を製造することができる。
 式(12-6)で示される化合物は、式(12-3)で示される化合物を原料として同様に製造することが出来る。
Using a compound represented by the formula (4-4) and a compound represented by the formula (12-1), a method known in the literature, for example, (Experimental Chemistry Course 5th Edition, 14 Synthesis of Organic Compounds II Alcohol / Amine 151-159, 1.4.4. Reaction of carbonyl compound and organometallic reagent, Grignard reagent section, 2004, Maruzen) etc., to produce the compound of formula (12-2) be able to. A compound of formula (13-1) can be produced in the same manner using C1-6-alkyl-MgBr as a raw material of the compound of formula (12-1).
In addition, DAST (diethyl trifluoride trisulfate) is used as a raw material from the compound represented by formula (12-2) or formula (12-3), and the method known in the literature, that is, (Experimental Chemistry Course 5th Edition 14 Organic Synthesis of compound I Carrying out the compound of formula (12-5) according to the method described in Carbohydrate / halide, p. 350-353, d. Substituting hydroxy group with fluorine (2004, Maruzen), etc. Can do.
The compound represented by the formula (12-6) can be similarly produced using the compound represented by the formula (12-3) as a raw material.
 式(13-3)で示される化合物は式(13-2)及び式(P-1)若しくは式(P-2)で示される化合物を原料として製法Cに記載されるウィティッヒ反応又はホーナーエモンズ反応を適宜選択することで製造することが出来る。
 式(12-7)に示された化合物は式(12-4)で示される化合物を原料として、文献公知の方法、つまり、(実験化学講座 第5版 14 有機化合物の合成I 炭水化物・ハロゲン化物、1-3頁、1.1.1シクロプロパン誘導体 2004年、丸善)等に記載された方法に準じて製造することが出来る。
 式(13-3)で示される化合物は、式(13-2)及び式(P-1)又は(P-2)で示される化合物を原料とし、ホーナーエモンズ反応又はウィティッヒ反応を適宜選択して製造することができる。
 式(13-4)で示される化合物は、式(13-3)で示される化合物を当業者に知られる方法で還元することで製造することができる。
 式(12-8)で示される化合物は式(12-2)で示されるアルコール化合物を当業者に知られる方法でエーテル合成反応を行うことで製造することができる。
 式(12-3)で示される化合物又は式(13-2)で示される化合物は、それぞれ式(12-2)で示される化合物又は式(13-1)で示される化合物を当業者に知られる方法で酸化することで製造することができる。
<12-8 to 14-1 step>, <12-5 to 14-2 step>, <12-3 to 14-3 step>, <12-6 to 14-4 step>, <12-4 to 14-5 step>, <12-7 to 14-6 step>, <13-4 to 14-7 step>
 式(12-8), (12-5), (12-3), (12-6), (12-4), (12-7), (13-4)で表される化合物において、脱離基Y2を有するものとして製造した場合には、適当な方法によりR2を導入することで、製法C、<5-4 to 5-6 step>と同様の方法のより目的となる式(I)の化合物を製造することができる。R2の種類によりその手法は異なる。
The compound represented by the formula (13-3) is a Wittig reaction or Horner-Emmons reaction described in the production method C using the compound represented by the formula (13-2) and the formula (P-1) or the formula (P-2) as a raw material. Can be produced by appropriately selecting.
The compound represented by the formula (12-7) is obtained from the compound represented by the formula (12-4) as a raw material by a method known in the literature, that is, (Experimental Chemistry Course 5th Edition 14 Synthesis of Organic Compounds I , Page 1-3, 1.1.1 cyclopropane derivative 2004, Maruzen) and the like.
The compound represented by the formula (13-3) is selected from the compound represented by the formula (13-2) and the formula (P-1) or (P-2) as a raw material, and a Horner-Emmons reaction or a Wittig reaction is appropriately selected. Can be manufactured.
The compound represented by the formula (13-4) can be produced by reducing the compound represented by the formula (13-3) by a method known to those skilled in the art.
The compound represented by the formula (12-8) can be produced by conducting an ether synthesis reaction of an alcohol compound represented by the formula (12-2) by a method known to those skilled in the art.
The compound represented by the formula (12-3) or the compound represented by the formula (13-2) is known to those skilled in the art as the compound represented by the formula (12-2) or the compound represented by the formula (13-1), respectively. It can manufacture by oxidizing by the method produced.
<12-8 to 14-1 step>, <12-5 to 14-2 step>, <12-3 to 14-3 step>, <12-6 to 14-4 step>, <12-4 to 14 -5 step>, <12-7 to 14-6 step>, <13-4 to 14-7 step>
In the compounds represented by formulas (12-8), (12-5), (12-3), (12-6), (12-4), (12-7), (13-4) When produced as having a leaving group Y2, by introducing R2 by an appropriate method, the target formula (I) of the same method as in Production Method C, <5-4 to 5-6 step> Can be produced. The method differs depending on the type of R2.
(製法G)リンカー(-L1-L2-部位)に置換基導入された化合物-1
 ピリジン又はピリミジン環と、含窒素縮合環を結合するエチレン部位に置換基を有する化合物は、以下に示されたスキームに基づき適宜合成することが出来る。その手法を簡便に記載する。
Figure JPOXMLDOC01-appb-C000143
(Production method G) Compound-1 having a substituent introduced into a linker (-L1-L2-site) -1
A compound having a substituent at the ethylene moiety that binds the pyridine or pyrimidine ring and the nitrogen-containing condensed ring can be appropriately synthesized based on the scheme shown below. The method is described simply.
Figure JPOXMLDOC01-appb-C000143
 ピリジン又はピリミジン環と含窒素縮合環を結合するエチレン部位に置換基を有する化合物(15-5)から(15-8)は、以上のスキームに基づき合成することが出来る。
原料であるジクロル体(15-1)、又は類似のハロゲン体を用いて製法C、<5-1 to 5-2 step>と同様の方法でR1及びR2を適宜導入し、WO2006/066109、スキーム1に記載されたものと同様の方法で当業者に知られる求核試薬、グリニャール試薬を調整し、アルデヒド(15-3)と反応させるか、又はBuLiなど強塩基の存在下、リチオ化させてアルデヒド(15-3)と反応させることによりアルコール体(15-4)を得る。その後は製法Eに示された手法と同様に酸化、メチル化、ハロゲン化などを経て式(15-5), (15-6), (15-7), (15-8)で示された化合物を製造することが出来る。
 R1,R2の導入は、例えばどちらかをクロル体又はハロゲン体のままで上記工程を経てケトン体、アルコキシ体、ジフッ素体、フッ素体等を得た後に、最終工程で製法C、<step 5-1 to 5-2>と同様の方法でR1又はびR2を導入することも可能である。以下にその例として概略を示す。
Figure JPOXMLDOC01-appb-C000144
Compounds (15-5) to (15-8) having a substituent at the ethylene moiety connecting the pyridine or pyrimidine ring and the nitrogen-containing condensed ring can be synthesized based on the above scheme.
R1 and R2 are appropriately introduced in the same manner as in Production Method C, <5-1 to 5-2 step> using the dichloro compound (15-1) as a raw material or a similar halogen compound, WO2006 / 066109, scheme A nucleophile or Grignard reagent known to those skilled in the art is prepared in the same manner as described in 1, and reacted with aldehyde (15-3) or lithiated in the presence of a strong base such as BuLi. The alcohol form (15-4) is obtained by reacting with the aldehyde (15-3). After that, it was expressed by the formulas (15-5), (15-6), (15-7), (15-8) through oxidation, methylation, halogenation, etc. in the same way as the method shown in Production Method E. A compound can be produced.
For example, R1 and R2 can be introduced in the final step after producing a ketone body, an alkoxy body, a difluorine body, a fluorine body, or the like through the above-described process while either one is in a chloro or halogen form, and <step 5 It is also possible to introduce R1 or R2 in the same manner as -1 to 5-2>. The outline is shown as an example below.
Figure JPOXMLDOC01-appb-C000144
(製法H)R1のバリエーション-1
 R1に下記のような置換基を有する化合物の製造方法を、以下に簡便に記載する。
Figure JPOXMLDOC01-appb-C000145
Figure JPOXMLDOC01-appb-C000146
 R1としてCOR7やCONR8R9、置換されていてもよいC1-6アルキルを有する式(I)で示される化合物(16-4)から(16-8)は、以上のスキームを鍵工程としてそれぞれ合成することが出来る。クロル体である式(16-1)化合物をチオエーテルとした後に酸化剤を用いて酸化してスルホン化し、式(16-3)で表される化合物を、反応に不活性な極性溶媒中でKCNを反応させて加水分解し、カルボン酸(16-4)を得る。
 又はハロゲン体である式(16-1)で示される化合物を、パラジウム触媒の存在下、一酸化炭素雰囲気下で当業者が知る方法により直接カルボン酸体である式(16-4)で示される化合物を得ることが出来る。
 当該カルボン酸は当業者が知る縮合によるアミド化、又はボランによる還元を経てアミド体(16-5)又はヒドロキシル体(16-6)とすることが出来る。アミド体(16-5)は、還元することでアミン体(16-8)とすることも出来る。ヒドロキシル体(16-6)はクロロ化、アジド化とそれに続く還元により当業者が知る方法でアミン体(16-7)とすることが出来る。当該アミン体からは、還元的アルキル化により式(16-8)で示される化合物を得ることが出来る。
 これら式(16-4), (16-5), (16-6), (16-7), (16-8)で示されるオレフィン化合物は、<step 1-4 to 1-5>と同様に還元することで式(17-1), (17-2), (17-3), (17-4), (17-5)で示される化合物をそれぞれ得ることが出来る。
(Method H) Variation of R1-1
A method for producing a compound having the following substituent in R1 is simply described below.
Figure JPOXMLDOC01-appb-C000145
Figure JPOXMLDOC01-appb-C000146
The compounds (16-4) to (16-8) represented by the formula (I) having COR7 or CONR8R9 as R1 and optionally substituted C1-6 alkyl should be synthesized using the above scheme as a key step. I can do it. The chloro compound of formula (16-1) is converted to thioether and then oxidized and sulfonated using an oxidizing agent, and the compound of formula (16-3) is converted to KCN in a polar solvent inert to the reaction. To give a carboxylic acid (16-4).
Alternatively, the compound represented by the formula (16-1) which is a halogen form is directly represented by the formula (16-4) which is a carboxylic acid form by a method known to those skilled in the art in the presence of a palladium catalyst in a carbon monoxide atmosphere. A compound can be obtained.
The carboxylic acid can be converted into an amide (16-5) or hydroxyl (16-6) through amidation by condensation known to those skilled in the art or reduction with borane. The amide body (16-5) can also be reduced to the amine body (16-8). The hydroxyl form (16-6) can be converted to the amine form (16-7) by a method known to those skilled in the art by chlorination, azidation and subsequent reduction. From the amine body, a compound represented by the formula (16-8) can be obtained by reductive alkylation.
The olefin compounds represented by these formulas (16-4), (16-5), (16-6), (16-7), (16-8) are the same as <step 1-4 to 1-5> The compounds represented by the formulas (17-1), (17-2), (17-3), (17-4), and (17-5) can be obtained by reducing to
(製法H-1) R1のバリエーション-2
Figure JPOXMLDOC01-appb-C000147
(Manufacturing method H-1) Variation of R1-2
Figure JPOXMLDOC01-appb-C000147
 前記式(I)で表わされる化合物において、リンカー(-L1-L2-部位)が-CH2-CH2-を表すエチレン型化合物(18-8)、(18-9)及び(18-10)の化合物又はリンカー(-L1-L2-部位)が-CH=CH-を表す(18-5)、(18-6)及び(18-7)の化合物製造する方法を示す。当該製法により、式(I)で表わされる化合物において、種々のR1基を有する化合物を製造することができる。Compounds of the ethylene type compounds (18-8), (18-9) and (18-10) wherein the linker (-L1-L2-site) represents -CH2-CH2- in the compound represented by the formula (I) Alternatively, a method for producing the compounds (18-5), (18-6) and (18-7) in which the linker (-L1-L2-site) represents —CH═CH— is shown. By the said manufacturing method, the compound which has various R1 groups in the compound represented by a formula (I) can be manufactured.
<8-2-1 to 18-1 step>
 式(8-2-1)の化合物、およびトリフルオロメタンスルホン酸無水物、トリフルオロメタンスルホン酸クロライド等を用い、文献公知の方法、例えばシンセシス(Synthesis)、(4)、547-550、2005年に記載された方法に準じて、トリエチルアミン、N,N-ジイソプロピルエチルアミン、ピリジン等の塩基存在下、ジクロロメタン、クロロホルム等のハロゲン系溶媒、ジエチルエーテル、テトラヒドロフラン、1,2-ジメトキシエタン、1,4-ジオキサン等のエーテル系溶媒、ベンゼン、トルエン等の芳香族炭化水素系溶媒など反応に関与しない溶媒、もしくはこれらの混合溶媒を用いて、-78℃から溶媒が還流する温度で反応を行い、式(18-1)の化合物を製造することができる。
<8-2-1 to 18-1 step>
Using a compound of formula (8-2-1), trifluoromethanesulfonic anhydride, trifluoromethanesulfonic acid chloride and the like, a method known in the literature, for example, Synthesis, (4), 547-550, 2005 In accordance with the described method, in the presence of a base such as triethylamine, N, N-diisopropylethylamine, pyridine or the like, a halogen solvent such as dichloromethane or chloroform, diethyl ether, tetrahydrofuran, 1,2-dimethoxyethane, 1,4-dioxane The reaction is carried out at a temperature at which the solvent is refluxed from −78 ° C. using a solvent that does not participate in the reaction, such as an ether solvent such as benzene, toluene, or an aromatic hydrocarbon solvent such as benzene, toluene, and the like. -1) can be produced.
<8-2-1 to 18-2 step>
 式(8-2-1)化合物を原料とし、製法D、<8-3 to 9-3 step>と同様の方法で式(18-2)の化合物を製造することができる。
<18-1 to 18-2 step>, <18-1 to 18-3 step>, <18-1 to 18-4 step>
 脱離基OTfを有する化合物(18-1)を原料とし、製法C、<5-1 to 5-2 step>で示した方法を適宜活用することで式(18-2)、式(18-3)、式(18-4)で表される化合物を製造することができる。
<8-2-1 to 18-2 step>
Using the compound of formula (8-2-1) as a raw material, the compound of formula (18-2) can be produced in the same manner as in Production Method D, <8-3 to 9-3 step>.
<18-1 to 18-2 step>, <18-1 to 18-3 step>, <18-1 to 18-4 step>
By using the compound (18-1) having a leaving group OTf as a raw material and appropriately utilizing the method shown in Production Method C, <5-1 to 5-2 step>, Formula (18-2), Formula (18- 3) A compound represented by the formula (18-4) can be produced.
<18-2 to 18-5 step>, <18-3 to 18-6 step>, <18-4 to 18-7 step>
 式(18-2), (18-3), (18-4)で表される化合物において、含窒素ヘテロ6員環上の置換基が脱離基Y1である場合には、適当な方法によりR2を導入することで、製法C、<5-4 to 5-5 step>と同様の方法のより目的となる式(I)の化合物(18-5), (18-6), (18-7)を製造することができる。R2の種類によりその手法は異なる。
<18-2 to 18-5 step>, <18-3 to 18-6 step>, <18-4 to 18-7 step>
In the compounds represented by formulas (18-2), (18-3), and (18-4), when the substituent on the nitrogen-containing hetero 6-membered ring is the leaving group Y1, By introducing R2, the compound (18-5), (18-6), (18-) of the formula (I), which is the target of the same method as Production Method C, <5-4 to 5-5 step> 7) can be manufactured. The method differs depending on the type of R2.
<18-5 to 18-8 step>, <18-6 to 18-9 step>, <18-7 to 18-10 step>
 化合物(18-5), (18-6), (18-7)は適当な手法で還元することにより、それぞれ式(18-8), (18-9), (18-10)で表される化合物を製造することが出来る。
<18-5 to 18-8 step>, <18-6 to 18-9 step>, <18-7 to 18-10 step>
Compounds (18-5), (18-6), and (18-7) are represented by the formulas (18-8), (18-9), and (18-10), respectively, by reduction using appropriate methods. Can be produced.
(製法I)シクロプロパン型化合物の製造方法
 またリンカー(-L1-L2-部位)がシクロプロパン型の化合物は、以下に示す方法により製造することが出来る。置換基R1,R2は、適宜選択される。
Figure JPOXMLDOC01-appb-C000148
<19-1 to 19-2 step>
 式(19-1)の化合物を原料とし、製法C、<5-4 to 5-6 step>と同様の方法で式(19-2)の化合物を製造することができる。
<19-2 to 19-3 step>
 式(19-2)の化合物を文献WO2010/30027に詳述される文献既知の方法、例えばBu4NIなどの試薬存在下、加熱することにより亜リン酸トリエチルと反応させると、式(19-3)のホスホネートが得られる。詳細な製法はまた参考例4に詳述される。
<19-3 to 19-4 step>
 式(19-3)の化合物を原料とし、製法C、<5-3 to 5-4 step>と同様の方法で式(19-4)の化合物を製造することができる。
<19-4 to 19-5 step>
 式(19-4)の化合物を用い文献公知の方法、例えばWO2008/035049などに記載された方法に準じて、トリメチルスルホキソニウムイオジド(Me3SO+I-)及びカリウムt-ブトキシド(KOtBu)などの塩基存在下、DMSOなどの極性溶媒中で反応させることにより、式(19-5)の化合物を製造することができる。
<19-5 to 19-6 step>
 式(19-5)の化合物を原料とし、製法C、<5-4 to 5-6 step>と同様の方法で式(19-6)の化合物を製造することができる。
(Production Method I) Method for Producing Cyclopropane Type Compound A compound whose linker (-L1-L2-site) is cyclopropane type can be produced by the following method. The substituents R1 and R2 are appropriately selected.
Figure JPOXMLDOC01-appb-C000148
<19-1 to 19-2 step>
Using the compound of formula (19-1) as a raw material, the compound of formula (19-2) can be produced in the same manner as in Production Method C, <5-4 to 5-6 step>.
<19-2 to 19-3 step>
When the compound of the formula (19-2) is reacted with triethyl phosphite by heating in the presence of a reagent known in the literature detailed in the literature WO2010 / 30027, for example, a reagent such as Bu4NI, the formula (19-3) Of phosphonate. The detailed manufacturing method is also detailed in Reference Example 4.
<19-3 to 19-4 step>
The compound of the formula (19-4) can be produced by using the compound of the formula (19-3) as a raw material in the same manner as in Production Method C, <5-3 to 5-4 step>.
<19-4 to 19-5 step>
According to a method known in the literature using a compound of the formula (19-4), for example, a method described in WO2008 / 035049 and the like, trimethylsulfoxonium iodide (Me3SO + I-), potassium t-butoxide (KOtBu), etc. In the presence of a base in a polar solvent such as DMSO, a compound of the formula (19-5) can be produced.
<19-5 to 19-6 step>
The compound of the formula (19-6) can be produced from the compound of the formula (19-5) as a raw material in the same manner as in Production Method C, <5-4 to 5-6 step>.
(製造法J)L1-L2が-NH-CH2-、-O-CH2-、-S-CH2-の場合
Figure JPOXMLDOC01-appb-C000149
(Production Method J) When L1-L2 is -NH-CH2-, -O-CH2-, -S-CH2-
Figure JPOXMLDOC01-appb-C000149
 前記式(I)で表わされる化合物において、リンカー(-L1-L2-部位)が-NH-CH2-, -O-CH2-, -S-CH2-化合物(22-3)、(22-5)、及び(22-7)の化合物を製造する方法を示す。当該製法により、式(I)で表わされる化合物において、種々のリンカー(-L1-L2-部位)を有する化合物を製造することができる。
<21-1 to 21-3 step>
 式(21-1)の化合物を原料とし、アジ化ナトリウムでアジド化した後で得られた式(21-2)の化合物を還元し、式(21-3)の化合物を製造することができる。
<21-3 to 22-2 step>
 式(21-3)の化合物及び式(19-1)の化合物を用い水素化ナトリウムなど塩基の存在下、反応に関与しない極性溶媒であるDMF中で0℃から反応が完結する温度で反応を行い、式(22-2)の化合物を製造することができる。
<21-1 to 21-4 step>
 式(21-1)の化合物を当業者が知る方法でアセテート化した後に加水分解を経てヒドロキシル化し、式(21-4)の化合物を製造することができる。
又は式(21-1)の化合物をブリテン・オブ・ザ・ケミカルソサイエティー・ジャパン(Bulletin of the Chemical Society of Japan)、1977年、50巻、5号、1184頁~1190頁に記載されたような方法にてアルカリ性条件下にヒドロキシル化し、式(21-4)の化合物を製造することができる。
<21-4 to 22-4 step>
 式(21-4)の化合物及び式(19-1)の化合物を用い製法B-1、<4-1 to 5-2 step>と同様の方法で式(22-4)の化合物を製造することができる。
In the compound represented by the formula (I), the linker (-L1-L2-site) is -NH-CH2-, -O-CH2-, -S-CH2- compound (22-3), (22-5) And a method for producing the compound of (22-7). By the said manufacturing method, the compound which has a various linker (-L1-L2- part) in the compound represented by Formula (I) can be manufactured.
<21-1 to 21-3 step>
Using the compound of formula (21-1) as a raw material, the compound of formula (21-2) obtained after azidation with sodium azide can be reduced to produce the compound of formula (21-3) .
<21-3 to 22-2 step>
Using the compound of formula (21-3) and the compound of formula (19-1), the reaction is carried out in the presence of a base such as sodium hydride in DMF, which is a polar solvent not involved in the reaction, from 0 ° C. at a temperature at which the reaction is completed. And the compound of formula (22-2) can be produced.
<21-1 to 21-4 step>
A compound of the formula (21-1) can be produced by subjecting the compound of the formula (21-1) to acetate by a method known to those skilled in the art and then hydrolyzing to hydroxylate.
Or the compound of formula (21-1) is described in Bulletin of the Chemical Society of Japan, 1977, Vol. 50, No. 5, pp. 1184 to 1190 Can be hydroxylated under alkaline conditions to produce the compound of formula (21-4).
<21-4 to 22-4 step>
Using the compound of formula (21-4) and the compound of formula (19-1), a compound of formula (22-4) is produced in the same manner as in Production Method B-1, <4-1 to 5-2 step> be able to.
<21-1 to 21-5 step>
 式(21-1)の化合物及び含硫黄化合物を用い、文献公知の方法、例えば(実験化学講座 第4版 24 有機合成VI ヘテロ元素・典型金属元素化合物、344-345頁、2004年、丸善)等に記載された塩基存在下における置換反応を、反応に関与しない溶媒中で行うことによって、式(21-5)の化合物を製造することができる。
<21-5 to 22-6 step>
 式(21-5)の化合物を原料とし、当業者が知る方法で水素添加することで脱ベンジル化して式(21-6)で示される化合物を製造し、続いて式(23-3)の化合物及び式(19-1)の化合物を用いて水素化ナトリウムなど塩基の存在下、反応に関与しない極性溶媒であるDMF等を溶媒として用い0℃から反応が完結する温度で反応を行い、式(22-6)の化合物を製造することができる。
<22-2 to-22-3 step>, <22-4 to 22-5 step>, <22-6 to 22-7 step>
 式(22-2), (22-4), (22-6)で表される化合物において、含窒素ヘテロ6員環上の置換基が脱離基Y1である場合には、適当な方法によりR2を導入することで、<5-1 to 5-2 step>と同様の方法のより目的となる式(I)の化合物(22-3), (22-5), (22-7)の化合物を製造することができる。R2の種類によりその手法は異なる。
<21-1 to 21-5 step>
A method known in the literature using a compound of the formula (21-1) and a sulfur-containing compound, for example (Experimental Chemistry Course 4th Edition 24 Organic Synthesis VI Heteroelement / Typical Metal Element Compound, pages 344-345, 2004, Maruzen) The compound of the formula (21-5) can be produced by performing the substitution reaction in the presence of a base described in the above in a solvent that does not participate in the reaction.
<21-5 to 22-6 step>
The compound of formula (21-5) is used as a raw material, and debenzylated by hydrogenation by a method known to those skilled in the art to produce the compound of formula (21-6), followed by formula (23-3) Using the compound and the compound of formula (19-1), in the presence of a base such as sodium hydride, the reaction is carried out at a temperature at which the reaction is completed from 0 ° C. using DMF, which is a polar solvent not involved in the reaction, as a solvent. The compound of (22-6) can be produced.
<22-2 to-22-3 step>, <22-4 to 22-5 step>, <22-6 to 22-7 step>
In the compounds represented by formulas (22-2), (22-4) and (22-6), when the substituent on the nitrogen-containing hetero 6-membered ring is the leaving group Y1, By introducing R2, the compound (22-3), (22-5), (22-7) of formula (I), which is a more targeted method similar to <5-1 to 5-2 step> Compounds can be produced. The method differs depending on the type of R2.
 式(22-7)で表される化合物は、当業者が知る方法でmCPBAやH2O2、Oxoneなどを用いることでチオエーテル部分を酸化することにより、リンカー(-L1-L2-部位)が-CH2-SO-, -CH2- SO2-で表される化合物を適宜合成することが出来る。The compound represented by the formula (22-7) is obtained by oxidizing the thioether moiety by using mCPBA, H2O2, Oxone or the like by a method known to those skilled in the art, so that the linker (-L1-L2-site) becomes -CH2- Compounds represented by SO-, -CH2- SO2- can be appropriately synthesized.
(製造法K)L1-L2が-CH2-NH-、-CH2-O-、-CH2-S-の場合
Figure JPOXMLDOC01-appb-C000150
(Production method K) When L1-L2 is -CH2-NH-, -CH2-O-, -CH2-S-
Figure JPOXMLDOC01-appb-C000150
 前記式(I)で表わされる化合物において、リンカー(-L1-L2-部位)が-CH2-NH-, -CH2-O-, -CH2-S-化合物(24-2)、(24-4)、及び(24-6)の化合物を製造する方法を示す。当該製法により、式(I)で表わされる化合物において、種々のリンカー(-L1-L2-部位)を有する化合物を製造することができる。
<23-1 to 23-3 step>
 式(23-1)の化合物を原料とし、アジ化ナトリウムでアジド化した後で得られた式(23-2)の化合物を還元し、式(23-3)の化合物を製造することができる。
<23-3 to 24-1 step>
 式(23-3)の化合物及び式(5-1)の化合物を用い水素化ナトリウムなど塩基の存在下、反応に関与しない極性溶媒であるDMF中で0℃から反応が完結する温度で反応を行い、式(24-1)の化合物を製造することができる。
<23-1 to 23-4 step>
 式(23-1)の化合物を当業者が知る方法でアセテート化した後に加水分解を経てヒドロキシル化し、式(23-4)の化合物を製造することができる。又は式(23-1)の化合物をブリテン・オブ・ザ・ケミカルソサイエティー・ジャパン(Bulletin of the Chemical Society of Japan)、1977年、50巻、5号、1184頁~1190頁に記載されたような方法にてヒドロキシル化し、式(23-4)の化合物を製造することができる。
<23-4 to 24-3 step>
 式(23-4)の化合物及び式(5-1)の化合物を用い<23-3 to 24-1 step>と同様 の方法で式(24-3)の化合物を製造することができる。
In the compound represented by the formula (I), the linker (-L1-L2-site) is -CH2-NH-, -CH2-O-, -CH2-S-compound (24-2), (24-4) And a method for producing the compound of (24-6). By the said manufacturing method, the compound which has a various linker (-L1-L2- part) in the compound represented by Formula (I) can be manufactured.
<23-1 to 23-3 step>
Using the compound of formula (23-1) as a raw material, the compound of formula (23-2) obtained after azidation with sodium azide can be reduced to produce the compound of formula (23-3) .
<23-3 to 24-1 step>
Using the compound of formula (23-3) and the compound of formula (5-1), the reaction is carried out in the presence of a base such as sodium hydride in DMF, which is a polar solvent not involved in the reaction, from 0 ° C. at a temperature at which the reaction is completed. And the compound of formula (24-1) can be produced.
<23-1 to 23-4 step>
A compound of the formula (23-1) can be produced by acetation by a method known to those skilled in the art and then hydroxylated by hydrolysis to produce a compound of the formula (23-4). Or the compound of formula (23-1) is described in Bulletin of the Chemical Society of Japan, 1977, 50, No. 5, pp. 1184 to 1190 The compound of formula (23-4) can be produced by hydroxylation by a simple method.
<23-4 to 24-3 step>
Using the compound of formula (23-4) and the compound of formula (5-1), the compound of formula (24-3) can be produced in the same manner as in <23-3 to 24-1 step>.
<23-1 to 23-5 step>
 式(23-1)の化合物及び含硫黄化合物を用い、文献公知の方法、例えば(実験化学講座
 第4版 24 有機合成VI ヘテロ元素・典型金属元素化合物、344-345頁、2004年、丸善)等に記載された塩基存在下における置換反応を、反応に関与しない溶媒中で行うことによって、式(23-5)の化合物を製造することができる。
<23-5 to 24-5 step>
 式(23-5)の化合物を原料とし、当業者が知る方法で水素添加することで脱ベンジル化して(23-6)で示される化合物を製造し、続いて<23-3 to 24-1 step>と同様の方法により、式(5-1)の化合物を用いて式(24-5)の化合物を製造することができる。
<24-1 to 24-2 step>, <24-3 to 24-4 step>, <24-5 to 24-6 step>
 式(24-1), (24-3), (24-5)で表される化合物において、含窒素ヘテロ6員環上の置換基が脱離基Y2である場合には、適当な方法によりR2を導入することで、製法C、<5-1 to 5-2 step>と同様の方法のより目的となる式(I)の化合物(24-2), (24-4), (24-6)の化合物を製造することができる。R2の種類によりその手法は異なる。
<23-1 to 23-5 step>
A method known in the literature using a compound of formula (23-1) and a sulfur-containing compound, for example (Experimental Chemistry Course 4th Edition 24 Organic Synthesis VI Heteroelement / Typical Metal Element Compound, pages 344-345, 2004, Maruzen) The compound of the formula (23-5) can be produced by performing the substitution reaction in the presence of a base described in the above in a solvent that does not participate in the reaction.
<23-5 to 24-5 step>
The compound of formula (23-5) is used as a raw material and debenzylated by hydrogenation by a method known to those skilled in the art to produce the compound represented by (23-6), followed by <23-3 to 24-1 By the method similar to step>, the compound of formula (24-5) can be produced using the compound of formula (5-1).
<24-1 to 24-2 step>, <24-3 to 24-4 step>, <24-5 to 24-6 step>
In the compounds represented by formulas (24-1), (24-3), and (24-5), when the substituent on the nitrogen-containing hetero 6-membered ring is the leaving group Y2, By introducing R2, compound (24-2), (24-4), (24-) of formula (I), which is the target of the same method as in production method C, <5-1 to 5-2 step> The compound of 6) can be produced. The method differs depending on the type of R2.
 式(24-6)で表される化合物は、当業者が知る方法でmCPBAやH2O2、Oxoneなどを用いることでチオエーテル部分を酸化することにより、リンカー(-L1-L2-部位)が-SO-CH2-, -SO2-CH2-で表される化合物を適宜合成することが出来る。The compound represented by the formula (24-6) is obtained by oxidizing the thioether moiety by using mCPBA, H2O2, Oxone or the like by a method known to those skilled in the art, so that the linker (-L1-L2-site) becomes -SO- Compounds represented by CH2- and -SO2-CH2- can be appropriately synthesized.
(製法L)L1-L2部分がアミドの場合
 L1-L2部分がアミド結合を有する場合の化合物(I)を製造する方法を、簡便に記載する。
Figure JPOXMLDOC01-appb-C000151
 リンカー(-L1-L2-部位)がアミド構造を有する化合物は、アルデヒド15-3を酸化して得られたカルボン酸(25-1)及びアニリン様化合物(25-2)又は(25-5)を原料として、当業者に知られる方法で縮合し、得られた(25-6)化合物、(25-3)化合物を製造法Fに記載される各種の方法を組み合わせることで各種R1、R2を有する化合物(27P-1及び28P-1)を製造することが出来る。
(Manufacturing method L) When L1-L2 part is amide The method to manufacture compound (I) in case L1-L2 part has an amide bond is described simply.
Figure JPOXMLDOC01-appb-C000151
Compounds in which the linker (-L1-L2-site) has an amide structure are carboxylic acid (25-1) and aniline-like compound (25-2) or (25-5) obtained by oxidizing aldehyde 15-3 As a raw material, a variety of R1 and R2 are obtained by condensing the obtained (25-6) compound and (25-3) compound by a method known to those skilled in the art by combining various methods described in Production Method F. Having the compounds (27P-1 and 28P-1).
(製造法M)L1-L2がCH2-Sである化合物
 リンカー(-L1-L2-部位)がCH2-Sである式(3-a)で表される化合物は、WO2009/152825で開示される化合物(1-a)と、市販品又は文献既知の方法により製造される化合物(2-a)から、文献既知の方法、つまりWO2009/152825に開示された方法により製造することが出来る。置換基R1,R2は適宜選択される。
Figure JPOXMLDOC01-appb-C000152
(Production Method M) Compound in which L1-L2 is CH2-S The compound represented by the formula (3-a) in which the linker (-L1-L2-site) is CH2-S is disclosed in WO2009 / 152825. The compound (1-a) can be produced from a commercially available product or a compound (2-a) produced by a method known in the literature by a method known in the literature, that is, a method disclosed in WO2009 / 152825. The substituents R1 and R2 are appropriately selected.
Figure JPOXMLDOC01-appb-C000152
(製法N)リンカー(-L1-L2-部位)がシクロブタン型の製造方法
 リンカー(-L1-L2-部位)がシクロブタン環を有する式(I)の化合物を製造する方法を、簡便に示す。式(28-1)で表される化合物をエーテル系溶媒など反応に関与しない溶媒中、当業者が知る方法でグリニャール試薬として調整し、式(28-2)で表されるエステルを用い、-78℃から室温で、文献公知の方法、例えばWO2010/085528の実施例1、ステップ1などに記載された方法に準じて反応を行い、式(28-3)の化合物を製造することができる。その後は加水分解及びポリリン酸(図中ではPPAAと記載)を用いた縮合及びそれに続く環化反応を経て、式(28-7)で表される化合物が得られる。その後はいずれも製法C等で示されるような置換反応、光延反応、カップリング反応を適宜選択し、R1も製法C、<step 5-1 to 5-2>と同様に適宜導入することで式(I)の化合物である、式(28-8)で示される化合物を製造することができる。
(Production method N) A method for producing a compound of formula (I) in which the linker (-L1-L2-site) has a cyclobutane ring. A compound represented by the formula (28-1) was prepared as a Grignard reagent by a method known to those skilled in the art in a solvent that does not participate in the reaction, such as an ether solvent, and an ester represented by the formula (28-2) was used. The compound of the formula (28-3) can be produced by reacting at 78 ° C. to room temperature according to a method known in the literature, for example, the method described in Example 1, Step 1 of WO2010 / 085528. Thereafter, a compound represented by the formula (28-7) is obtained through hydrolysis, condensation using polyphosphoric acid (denoted as PPAA in the figure), and subsequent cyclization reaction. Thereafter, any of the substitution reaction, Mitsunobu reaction, and coupling reaction as shown in production method C and the like are appropriately selected, and R1 is also introduced as appropriate in the same manner as in production method C, <step 5-1 to 5-2>. A compound represented by formula (28-8), which is a compound of (I), can be produced.
Figure JPOXMLDOC01-appb-C000153
Figure JPOXMLDOC01-appb-C000153
(製法O)L1-L2が -C≡C-(アルキン)の場合
Figure JPOXMLDOC01-appb-C000154
 前記式(I)で表わされる化合物において、リンカー(-L1-L2-部位)-が-C≡C-を表すアルキン型化合物(29-3)を製造する方法を示す。
式(29-4)の化合物及びアルキン (29-1)を用い、文献公知の方法、例えばWO2011/072695などに記載された方法に準じて、当業者の知る園頭カップリングを行う。即ちトリエチルアミン、ヒューニッヒ塩基などの脂肪族アミン、水素化ナトリウム、ブチルリチウム、水酸化リチウム、水酸化ナトリウム、水酸化カリウム、炭酸リチウム、炭酸ナトリウム、炭酸カリウム等の塩基存在下、パラジウム触媒(例えば1,1-ビス(ジフェニルホスフィノ)レロセンパラジウム(II)ジクロリド・ジクロロメタン錯体など)又は銅触媒(例えばヨウ化銅(I))の存在下、N,N-ジメチルホルムアミド、ジオキサン、テトラヒドロフラン等の反応に不活性な溶媒、もしくはこれらの混合溶媒を用いて、0℃から溶媒が還流する温度で反応を行い、式(29-2)の化合物を製造することができる。
(Manufacturing method O) When L1-L2 is -C≡C- (alkyne)
Figure JPOXMLDOC01-appb-C000154
In the compound represented by the formula (I), a method for producing an alkyne type compound (29-3) in which a linker (—L1-L2-site) — represents —C≡C— is shown.
Using the compound of formula (29-4) and alkyne (29-1), Sonogashira coupling known to those skilled in the art is performed according to a method known in the literature, for example, the method described in WO2011 / 072695 and the like. That is, in the presence of a base such as an aliphatic amine such as triethylamine or Hunig base, sodium hydride, butyllithium, lithium hydroxide, sodium hydroxide, potassium hydroxide, lithium carbonate, sodium carbonate or potassium carbonate, a palladium catalyst (for example, 1, 1-bis (diphenylphosphino) relhocenepalladium (II) dichloride / dichloromethane complex, etc.) or copper catalysts (eg copper (I) iodide) in the presence of N, N-dimethylformamide, dioxane, tetrahydrofuran, etc. The compound of the formula (29-2) can be produced by carrying out the reaction at a temperature at which the solvent is refluxed from 0 ° C. using an inert solvent or a mixed solvent thereof.
 式(29-2)で表される化合物において、含窒素ヘテロ6員環上の置換基が脱離基Y1である場合には、その後はいずれも(製法C)等で示されるような置換反応、光延反応、カップリング反応を適宜選択し、適当な方法によりR1を導入することで、目的となる式(I)の化合物である式(29-3)で表される化合物を製造することができる。R1の種類によりその手法は異なる。In the compound represented by the formula (29-2), when the substituent on the nitrogen-containing hetero 6-membered ring is the leaving group Y1, the subsequent substitution reaction is as shown in (Production method C) The compound represented by the formula (29-3), which is the target compound of the formula (I), can be produced by appropriately selecting the Mitsunobu reaction and the coupling reaction and introducing R1 by an appropriate method. it can. The method differs depending on the type of R1.
 式(29-5)及び式(29-8)で表される化合物からも同様に、式(29-3)で示される化合物を製造することができる。Similarly, the compound represented by the formula (29-3) can also be produced from the compound represented by the formula (29-5) and the formula (29-8).
(製造法P) リンカー(-L1-L2-部位)がジフルオロシクロプロパン型の製造方法
 リンカー(-L1-L2-部位)にジフルオロシクロプロパン環を有する式(I)の化合物を製造する方法を示す。式(30-2)で示される化合物は、オレフィン体である式(1-4)の化合物を原料として、文献公知の方法、例えばジャーナル・オブ・フルオリン・ケミストリー(Journal of Fluorine Chemistry)、125、459-469、2004年に記載された方法に準じて、method Aからmethod Fに示される反応試剤を適宜選択することで製造することが出来る。
 式(30-1)で表される化合物において、含窒素ヘテロ6員環上の置換基が脱離基Y1である場合には、その後はいずれも(製法C)等で示されるような置換反応、光延反応、カップリング反応を適宜選択し、適当な方法によりR1を導入することで、目的となる式(I)の化合物である式(30-23)で表される化合物を製造することができる。R1の種類によりその手法は異なる。
(Production method P) A method for producing a compound of formula (I) in which the linker (-L1-L2-site) has a difluorocyclopropane ring at the linker (-L1-L2-site). . The compound represented by the formula (30-2) is obtained by using a compound of the formula (1-4), which is an olefin, as a raw material, in a method known in the literature, for example, Journal of Fluorine Chemistry, 125, According to the method described in 459-469, 2004, it can manufacture by selecting suitably the reaction reagent shown by method A to method F.
In the compound represented by the formula (30-1), when the substituent on the nitrogen-containing hetero 6-membered ring is the leaving group Y1, the subsequent substitution reaction is as shown in (Production method C) The compound represented by formula (30-23), which is the target compound of formula (I), can be produced by appropriately selecting Mitsunobu reaction and coupling reaction and introducing R1 by an appropriate method. it can. The method differs depending on the type of R1.
Figure JPOXMLDOC01-appb-C000155
Figure JPOXMLDOC01-appb-C000155
(製造法Q)縮環の多様性
 A環を含む縮環に置換基を導入する方法を簡便に、以下に示す。式(31-1)で示されるクロル体を出発原料とし、各種置換基を導入することが可能である。詳細な製法は、実施例19.050、19.052、19.053、19.054に詳述されるが、反応条件はこれらに詳述されるものに限定されない。溶媒、反応試薬、反応温度は適宜選択される。
Figure JPOXMLDOC01-appb-C000156
(Manufacturing method Q) Diversity of condensed ring A method for introducing a substituent into a condensed ring containing an A ring is simply shown below. Various substituents can be introduced using a chloro compound represented by the formula (31-1) as a starting material. Detailed production methods are described in detail in Examples 19.050, 19.052, 19.053, 19.054, but the reaction conditions are not limited to those detailed in these. The solvent, reaction reagent, and reaction temperature are appropriately selected.
Figure JPOXMLDOC01-appb-C000156
(製造法R)2-5置換ピリジン
Figure JPOXMLDOC01-appb-C000157
(Production method R) 2-5-substituted pyridine
Figure JPOXMLDOC01-appb-C000157
<32-1 to 32-2 step >
 式(32-1)の化合物を原料とし、製法H、<16-4 to 16-6 step>と同様の方法で式(32-2)の化合物を製造することができる。
<32-2 to 32-3 step >
 式(32-2)の化合物を原料とし、製法B-1、<4-2 to 4-3 step>と同様の方法で式(32-3)の化合物を製造することができる。
<32-3 to 32-4 step >
 式(32-3)の化合物及び式(P-2)の化合物を原料とし、製法A、<1-3 to 1-4 step>と同様の方法で式(32-4)の化合物を製造することができる。
<32-4 to 32-6 step >, <32-5 to 32-7 step >
 式(32-4)又は式(32-5)の化合物を原料とし、製法I、<19-4 to 19-5 step>と同様の方法で式(32-6)又は式(32-7)の化合物を製造することができる。
<32-4 to 32-5 step >, <32-6 to 32-7 step >
 式(32-4)又は式(32-6)の化合物を原料とし、製法C、<5-1 to 5-2 step>と同様の方法で式(32-5)又は式(32-7)の化合物を製造することができる。R2の種類によりその手法は異なる。
<32-1 to 32-2 step>
Using the compound of formula (32-1) as a raw material, the compound of formula (32-2) can be produced by a method similar to Production Method H, <16-4 to 16-6 step>.
<32-2 to 32-3 step>
Using the compound of formula (32-2) as a raw material, the compound of formula (32-3) can be produced in the same manner as in Production Method B-1, <4-2 to 4-3 step>.
<32-3 to 32-4 step>
Using the compound of formula (32-3) and the compound of formula (P-2) as raw materials, the compound of formula (32-4) is produced in the same manner as in Production Method A, <1-3 to 1-4 step> be able to.
<32-4 to 32-6 step>, <32-5 to 32-7 step>
The compound of formula (32-4) or formula (32-5) is used as a raw material, and the formula (32-6) or formula (32-7) is prepared in the same manner as in Production Method I, <19-4 to 19-5 step> Can be produced.
<32-4 to 32-5 step>, <32-6 to 32-7 step>
The compound of formula (32-4) or formula (32-6) is used as a raw material, and the formula (32-5) or formula (32-7) is prepared in the same manner as in Production Method C, <5-1 to 5-2 step> Can be produced. The method differs depending on the type of R2.
(具体的製法)
 具体的化合物構造と出発原料を以下に示すが、上記の合成ルートに従い、種々の置換基R1,R2及びA環を含む種々の縮環を有する一般式(I)の化合物を製造することが出来る。以下に実施例1P~14P及び34P化合物の具体的な製造例を記載するが、当該方法に限られるものではなく当業者が適宜選択する方法でこれらの化合物は製造することが出来る。
(Specific manufacturing method)
Specific compound structures and starting materials are shown below, but compounds of general formula (I) having various condensed rings including various substituents R1, R2 and A ring can be produced according to the above synthetic route. . Specific production examples of the compounds of Examples 1P to 14P and 34P are described below. However, the present invention is not limited to these methods, and these compounds can be produced by methods appropriately selected by those skilled in the art.
(製法P-1)
Figure JPOXMLDOC01-appb-C000158
(Production method P-1)
Figure JPOXMLDOC01-appb-C000158
 リンカー(-L1-L2-部位)がエチレンの場合、当該エチレン部位に置換基を有する化合物は、上記に示されたスキームに基づき合成することが出来る。式(P1-1)で示された化合物を用い、文献公知の方法、つまり、例えば(実験化学講座 第5版 14 有機化合物の合成II アルコール・アミン、151-159頁、1.4.4.カルボニル化合物と有機金属試剤の反応、グリニャール試剤の項、2004年、丸善)等に記載された方法に準じて、式(P1-3)の化合物を製造することができる。
 また式(P1-3)と式(2-1)とのグリニャール反応で得られた式(2P)で示された化合物を原料として、DAST(三フッ化ジエチルアミノ硫酸)などを用い、文献公知の方法、つまり、(実験化学講座 第5版 14 有機化合物の合成I 炭水化物・ハロゲン化物、350-353頁、d.ヒドロキシ基をフッ素に置換する 2004年、丸善)等に記載された方法に準じて、式(3P)の化合物を製造することができる。
 式(5P)で示される化合物は、式(2P)で示される化合物を酸化して得られる式(4P)で示される化合物を原料として、上記フッ素化剤を用いて同様に製造することが出来る。
When the linker (-L1-L2- moiety) is ethylene, a compound having a substituent at the ethylene moiety can be synthesized based on the scheme shown above. A method known in the literature using the compound represented by the formula (P1-1), that is, for example, (Experimental Chemistry Course 5th Edition 14 Synthesis of Organic Compounds II Alcohol Amines, pp. 151-159, 1.4.4. Carbonyl Compounds The compound of the formula (P1-3) can be produced according to the method described in the reaction of organometallic reagents with Grignard reagents, 2004, Maruzen).
In addition, using a compound represented by the formula (2P) obtained by the Grignard reaction of the formula (P1-3) and the formula (2-1) as a raw material, DAST (diethylaminosulfur trisulfate) or the like is used. In accordance with the method described in, for example, (Experimental Chemistry Course 5th edition 14 Synthesis of organic compounds I Carbohydrates / halides, 350-353, d. Substitution of hydroxy group with fluorine 2004, Maruzen) A compound of formula (3P) can be prepared.
The compound represented by the formula (5P) can be similarly produced using the compound represented by the formula (4P) obtained by oxidizing the compound represented by the formula (2P) as a raw material using the fluorinating agent. .
 式(6P)で示される化合物は式(4P)で示される化合物を原料としてウィティッヒ反応又は図に示された試薬に限らずホーナーエモンズ反応を適宜選択することで製造することが出来る。
 式(7P)に示された化合物は式(6P)で示される化合物を原料として、文献公知の方法、つまり、(実験化学講座 第5版 14 有機化合物の合成I 炭水化物・ハロゲン化物、1-3頁、1.1.1シクロプロパン誘導体 2004年、丸善)等に記載された方法に準じて製造することが出来る。
 式(1P)で示される化合物は式(2P)で示される化合物を当業者に知られる方法でエーテル合成反応を行うことで製造することができる。
The compound represented by the formula (6P) can be produced by appropriately selecting the Horner-Emmons reaction, not limited to the Wittig reaction or the reagent shown in the figure, using the compound represented by the formula (4P) as a raw material.
The compound represented by the formula (7P) is prepared from a compound represented by the formula (6P) as a raw material by a method known in the literature, that is, (Experimental Chemistry Course 5th Edition 14 Synthesis of Organic Compounds I Carbohydrates / halides, 1-3 Page, 1.1.1 cyclopropane derivatives, 2004, Maruzen) and the like.
The compound represented by the formula (1P) can be produced by subjecting the compound represented by the formula (2P) to an ether synthesis reaction by a method known to those skilled in the art.
(製法P-2)
Figure JPOXMLDOC01-appb-C000159
(Production method P-2)
Figure JPOXMLDOC01-appb-C000159
 リンカー(-L1-L2-部位)がエチレンの場合、当該エチレン部位に置換基を有する化合物は、上記に示されたスキームに基づき合成することが出来る。式(P2-1)で示された化合物を用い、文献公知の方法、つまり、例えば(実験化学講座 第5版 14 有機化合物の合成II アルコール・アミン、151-159頁、1.4.4.カルボニル化合物と有機金属試剤の反応、グリニャール試剤の項、2004年、丸善)等に記載された方法に準じて、アルコール体を得た後、デスマーチン試薬等の酸化剤を用いて酸化することで、式(P2-2)の化合物を製造することができる。When the linker (-L1-L2-site) is ethylene, a compound having a substituent at the ethylene site can be synthesized based on the scheme shown above. A method known in the literature using the compound represented by the formula (P2-1), for example, (Experimental Chemistry Course, 5th edition, 14 Synthesis of organic compounds II, Alcohol / Amine, pages 151-159, 1.4.4. Carbonyl compounds After obtaining the alcohol form according to the method described in the reaction of organometallic reagent with Grignard reagent, 2004, Maruzen), etc., it is oxidized by using an oxidizing agent such as Dessmartin reagent. The compound of (P2-2) can be produced.
 式(8-P)で示される化合物は式(P2-2)で示される化合物を原料としてホーナーエモンズ反応により製造することが出来る。
 式(9P)で示される化合物は、式(8P)で示される化合物を当業者に知られる方法で還元することで製造することができる。
The compound represented by the formula (8-P) can be produced by the Horner Emmons reaction using the compound represented by the formula (P2-2) as a raw material.
The compound represented by the formula (9P) can be produced by reducing the compound represented by the formula (8P) by a method known to those skilled in the art.
(製法P-3)
Figure JPOXMLDOC01-appb-C000160
(Production method P-3)
Figure JPOXMLDOC01-appb-C000160
 合成可能な具体的化合物構造と名称、出発原料を以下に示すが、上記の合成ルートに従い、又は組み合わせることにより、種々の置換基R2、及びA環を含む種々の縮環を有する一般式(I)の化合物を製造することが出来る。実施例15Pから33P化合物の具体的製造ルートを以下に示すが、詳しい製法は製法A~製法Qに適宜記載されており、当該方法に限られるものではなく当業者が適宜選択する方法でこれらの化合物は製造することが出来る。Specific compound structures, names, and starting materials that can be synthesized are shown below. The general formula (I) having various substituents R2 and various condensed rings including A ring can be obtained by following or combining the above synthetic routes. ) Can be produced. Specific production routes for the compounds of Examples 15P to 33P are shown below, but the detailed production methods are appropriately described in production methods A to Q, and are not limited to those methods, and those skilled in the art can appropriately select these methods. The compound can be manufactured.
(製法P-4)
Figure JPOXMLDOC01-appb-C000161
 つまり上記のルートに従い当業者が知る置換反応、酸化反応、還元反応、縮合反応、アルキル化反応など適宜反応条件を選択し、製造することが出来る。
(Production method P-4)
Figure JPOXMLDOC01-appb-C000161
That is, it can be produced by appropriately selecting reaction conditions such as a substitution reaction, oxidation reaction, reduction reaction, condensation reaction, and alkylation reaction known to those skilled in the art according to the above route.
 環Aを含むヘテロ縮合環と含窒素6員環との間のリンカー(-L1-L2-部位)が炭素原子のみからなる化合物だけでなく、L1又はL2がが窒素原子又は酸素原子よりなる以下の化合物も、上記の方法を組み合わせ、或いは当業者が知る方法で合成することが出来る。代表的な化合物の製造法を示すが、本発明に包含される式(I)で示される化合物は以下の構造に限られず、実施例に記載されたR1、R2の置換基が適宜選択される。Not only compounds in which the linker (-L1-L2-site) between the hetero-condensed ring containing ring A and the nitrogen-containing 6-membered ring consists only of carbon atoms but also L1 or L2 consists of nitrogen atoms or oxygen atoms This compound can also be synthesized by a method known to those skilled in the art by combining the above methods. The production method of a typical compound is shown below, but the compound represented by the formula (I) included in the present invention is not limited to the following structure, and R1 and R2 substituents described in Examples are appropriately selected. .
(製法P-5)L1-L2がアミドの場合
Figure JPOXMLDOC01-appb-C000162
(Production method P-5) When L1-L2 is an amide
Figure JPOXMLDOC01-appb-C000162
 また製法P-5における鍵中間体(15-3)は、鍵中間体(2-1)~(2-14)のハロアルキル体を原料として(製法B-1)鍵中間体に記載の方法に従い、種々の構造を有する式(15-3)の化合物を製造し、製法P-5の出発原料に用いることが出来る。つまり種々の縮環構造を有する27P,28Pの化合物を製造することが出来る。例えば製法P-5において、式(15-3)で表される化合物の替わりに以下の原料(2-6)より製法B-1に従い調整される式(2-6-1)を用いると、27P-1,28P-1の化合物を製造することが出来る。In addition, the key intermediate (15-3) in production method P-5 is prepared from the haloalkyl compounds of key intermediates (2-1) to (2-14) as raw materials according to the method described in (production method B-1) key intermediate. Compounds of formula (15-3) having various structures can be produced and used as starting materials for production method P-5. That is, 27P and 28P compounds having various condensed ring structures can be produced. For example, in the production method P-5, instead of the compound represented by the formula (15-3), the formula (2-6-1) prepared from the following raw material (2-6) according to the production method B-1 is used. 27P-1,28P-1 compounds can be produced.
Figure JPOXMLDOC01-appb-C000163
Figure JPOXMLDOC01-appb-C000163
Figure JPOXMLDOC01-appb-C000164
Figure JPOXMLDOC01-appb-C000164
Figure JPOXMLDOC01-appb-C000165
Figure JPOXMLDOC01-appb-C000165
Figure JPOXMLDOC01-appb-C000166
Figure JPOXMLDOC01-appb-C000166
(製法P-6)リンカー(-L1-L2-部位)にN又はOを含む場合
 合成可能な具体的化合物構造と名称、出発原料を以下に示すが、上記の合成ルートに従い、又は組み合わせることにより、種々の置換基R2、及びA環を含む種々の縮環を有する一般式(I)の化合物を製造することが出来る。実施例30P-32P化合物の具体的製造ルートを以下に示すが、当該方法に限られるものではなく当業者が適宜選択する方法でこれらの化合物は製造することが出来る。また製法P-6における鍵中間体(15-3)は、鍵中間体(2-1)~(2-7)のハロアルキル体を原料として(製法B-1)鍵中間体に記載の方法に従い、種々の構造を有する式(4-2)の化合物を製造し、製法P-6の出発原料に用いることが出来る。つまり種々の縮環構造を有する30P, 31P, 32Pの化合物を製造することが出来る。例えば製法(P-6)において、式(P6-4-2)で表される化合物の替わりに以下の原料(2-6)より製法Bに従い調整される式(P6-4-2-1)を用いると、30P-1,31P-1,32P-1の化合物を製造することが出来る。
(Production method P-6) When N or O is included in the linker (-L1-L2-site) Specific compound structures, names, and starting materials that can be synthesized are shown below. By following or combining the above synthetic routes In addition, compounds of general formula (I) having various condensed rings including various substituents R2 and A ring can be produced. Example 30 The specific production route of the P-32P compounds is shown below, but is not limited to the method, and these compounds can be produced by methods appropriately selected by those skilled in the art. In addition, the key intermediate (15-3) in production method P-6 is prepared from the haloalkyl compounds of key intermediates (2-1) to (2-7) as raw materials according to the method described in (production method B-1) key intermediate. Compounds of formula (4-2) having various structures can be prepared and used as starting materials for production method P-6. That is, 30P, 31P, and 32P compounds having various condensed ring structures can be produced. For example, in the production method (P-6), instead of the compound represented by the formula (P6-4-2), the formula (P6-4-2-1) prepared according to the production method B from the following raw material (2-6) Can be used to produce 30P-1,31P-1,32P-1 compounds.
Figure JPOXMLDOC01-appb-C000167
Figure JPOXMLDOC01-appb-C000167
Figure JPOXMLDOC01-appb-C000168
Figure JPOXMLDOC01-appb-C000168
Figure JPOXMLDOC01-appb-C000169
Figure JPOXMLDOC01-appb-C000169
Figure JPOXMLDOC01-appb-C000170
Figure JPOXMLDOC01-appb-C000170
Figure JPOXMLDOC01-appb-C000171
Figure JPOXMLDOC01-appb-C000171
Figure JPOXMLDOC01-appb-C000172
Figure JPOXMLDOC01-appb-C000172
(製造法P-7)シクロプロパン型
 リンカー(-L1-L2-部位)にシクロプロパン環を有する式(P7-2), (P7-2), (P7-2-1), (P7-3-2)で示される化合物は、当業者に知られるカルベン反応であるシモンズ・スミス反応など方法を適宜選択することで、オレフィン体である式(P7-1)又は(P7-1-1)で示される化合物から製造することが出来る。シクロプロパン環を有する化合物の具体例として実施例33P化合物の構造を示す。
(Production method P-7) Cyclopropane type Formula (P7-2), (P7-2), (P7-2-1), (P7-3) having a cyclopropane ring at the linker (-L1-L2- site) The compound represented by -2) is an olefin compound represented by the formula (P7-1) or (P7-1-1) by appropriately selecting a method such as a Simmons-Smith reaction which is a carbene reaction known to those skilled in the art. It can be prepared from the compounds shown. As a specific example of the compound having a cyclopropane ring, the structure of Example 33P compound is shown.
Figure JPOXMLDOC01-appb-C000173
Figure JPOXMLDOC01-appb-C000173
(製法S)
 シクロプロパン型化合物の製造方法;式(I)にて、-L1-L2-(リンカー部位)=シクロプロパン環の場合;置換基R1,R2は、適宜選択される。
Figure JPOXMLDOC01-appb-C000174
<工程1>
 自体公知(購入も可能)もしくは当業者に容易に誘導合成可能である、式(S-I)[式(S-I)中Halはハロゲン原子(F、Cl、)Br、Iを表わす]で表わされる化合物を用い、(製法C)<5-1 to 5-2 step>と同様の方法により、置換基R2が導入された式(S-II)で表わされる化合物を製造することができる。
<工程2>
 式(S-II)で表わされる化合物を用い、(製法C)<5-2 to 5-3 step>と同様の方法により、式(S-III)で表わされる化合物を製造することができる。
<工程3>
 式(S-III)で表わされる化合物と式(15-3)で表わされるアルデヒドを用い、(製法C)<5-3 to 5-4 step>と同様な方法により、式(S-IV)で表わされる化合物を製造することができる。
<工程4>
 式(S-IV)で表わされる化合物を用いてシクロプロパン化を行う。文献既知の方法、例えば、『オルガニック シンセシズ(Organic Syntheses)、Coll. Vol. 5, 855頁、1973年』に記載されている方法に準じて、CH2I2、Zn(Cu)存在下、ジエチルエーテル、テトラヒドロフラン等を溶媒として、0℃から溶媒が還流する温度で反応を行うこと、例えば、『国際公開第2011/072697号パンフレット』に記載されている方法に準じて、CHおよびPd(OAc)等の触媒存在下、ジエチルエーテル、テトラヒドロフランを溶媒として、0℃から溶媒が還流する温度で反応を行うこと、例えば、『ジャーナル ケミカル コミュニケーション(J.Chem.Commun.2644頁、2003年』に記載されている方法(コーリー・チャイコフスキー反応)に準じて、MeSOI、tert-BuOK存在下、テトラヒドフラン、ジメチルスルホキシドを溶媒として、0℃から溶媒が還流する温度で反応を行うことで、式(S-V)で表わされるシクロプロパン誘導体を製造することができる。
<工程5>
 式(S-V)で表わされる化合物を光学活性カラムを用いた、カラムクロマトグラフィーに付すことにより、式(S-VI)で表わされる光学活性なシクロプロパン誘導体[当該誘導体の絶対立体配置は(S,S)、(S,R)、(R,S)、(R,R)のうち、いづれかである]を製造することができる。
<工程6>
 式(S-VI)で表わされる化合物を用い、(製法C)<5-4 to 5-6 step>と同様な方法により、式(S-IX)で表わされる化合物[絶対立体配置は(S,S)、(S,R)、(R,S)、(R,R)のうち、いづれかである]を製造することができる。
<工程7>
 式(S-IV)で表わされる化合物を用い、(製法C)<5-4 to 5-6 step>と同様な方法により、式(S-VII)で表わされる化合物を製造することができる。
<工程8>
 式(S-VII)で表わされる化合物を用い、(製法S)<工程4>と同様な方法により、式(S-VIII)で表わされる化合物を製造することができる。
<工程9>
 式(S-V)で表わされる化合物を用い、(製法C)<5-4 to 5-6 step>と同様な方法により、式(S-VIII)で表わされる化合物を製造することができる。
<工程10>
 式(S-VIII)で表わされる化合物を用い、(製法S)<工程5>と同様な方法により、式(S-IX)で表わされる化合物[絶対立体配置は(S,S)、(S,R)、(R,S)、(R,R)のうち、いづれかである]を製造することができる。
 
(製法T)
 式(I)でL1-L2=シクロプロパン環、X2=X3=N、X4=Cの場合
Figure JPOXMLDOC01-appb-C000175
<工程1>
 自体公知(購入も可能)もしくは当業者に容易に誘導合成可能である、式(T-I)で表わされるエチニルヘテロアリール誘導体と式(T-II)で表わされる2-ジアゾ酢酸エステル(R=C1~6アルキル、C7~11アラルキル基(例、ベンジル)、フェニル基、トリチル基、置換シリル基(例、トリメチルシリル、トリエチルシリル、ジメチルフェニルシリル、tert-ブチルジメチルシリル、tert-ブチルジエチルシリル)、C2~6アルケニル基(例、1-アリル)等を表わす)を用いて、文献既知の方法、例えば、『国際公開第2011/044212号パンフレット』に記載されている方法に準じて、トルエン溶媒中、5,10,15,20-テトラフェニル-21H,23H-ポルフィリンコバルト(II)等の触媒存在下、0℃から溶媒が還流する温度で反応を行い、式(T-III)で表わされる、ヘテロアリールシクロプロパンエステル誘導体を製造する事ができる。
<工程2>
 自体公知(購入も可能)もしくは式(T-I)から酸化反応にて誘導合成可能である、式(T-IV)で表わされるエポキシ誘導体と、2-(ジアルコキシホスフィニル)酢酸エステル類(エステル中Rは、R=C1~6アルキル、C7~11アラルキル基(例、ベンジル)、フェニル基、トリチル基、置換シリル基(例、トリメチルシリル、トリエチルシリル、ジメチルフェニルシリル、tert-ブチルジメチルシリル、tert-ブチルジエチルシリル)、C2~6アルケニル基(例、1-アリル)等を表わす)を用いて、文献既知の方法、例えば、『オルガニック レター(Organic Letters)、5(13)、2331-2334頁、2003年』に記載されている方法に準じて、水素ナトリウム等の塩基存在化、キシレン等の溶媒を用いて、0℃から溶媒が還流する温度で反応を行い、式(T-III)で表わされる、ヘテロアリールシクロプロパンエステル誘導体を製造する事ができる。
<工程3>
 自体公知(購入も可能)もしくは式(T-V)からホーナーエモンズウィティヒ反応にて誘導合成可能である、式(T-VI)で表わされる化合物を用いて、(製造法S)<工程4>と同様な反応をおこなうことで、式(T-III)で表わされる、ヘテロアリールシクロプロパンエステル誘導体を製造する事ができる。
<工程4>
 式(T-III)で表わされるヘテロアリールシクロプロパンエステル誘導体の加水分解を行う。<R=アルキル基(例えば、メチル、エチル基など)の場合>式(T-III)で表される化合物を用い、文献公知の方法、例えば『実験化学講座 第4版 22 有機合成IV 酸・アミノ酸・ペプチド、1-43頁、1992年、丸善』などに記載された方法に準じて、水酸化リチウム、水酸化ナトリウム、水酸化カリウム、炭酸リチウム、炭酸ナトリウム、炭酸カリウム等の塩基存在下、水およびメタノール、エタノール、2-プロパノール、N,N-ジメチルホルムアミド、1,4-ジオキサン、テトラヒドロフラン等の反応に不活性な溶媒、もしくはこれらの混合溶媒を用いて、0℃から溶媒が還流する温度で反応を行い、式(T-IV)で表わされる化合物を製造することができる。<R=tert-ブチル基の場合>塩酸、トリフルオロ酢酸等の酸を用いて反応を行い、式(T-IV)で表わされる化合物を製造することができる。
<工程5>
 式(T-IV)で表わされるヘテロアリールシクロプロパンカルボン酸誘導体を、文献既知の方法、例えば、『国際公開第2011/044212号パンフレット』に記載されている方法と同様に、光学活性カラムクロマトグラフィーに付すことにより、式(T-VIII)で表わされる、光学活性なヘテロアリールシクロプロパンカルボン酸誘導体[当該カルボン酸の絶対立体配置は(S,S)、(S,R)、(R,S)、(R,R)のうち、いづれかである]を製造することができる。
<工程6>
 式(T-VIII)で表わされる化合物と式(10-4)で表わされる化合物を用い、(製法N)<28-5 to 28-7 step>と同様の方法(ポリリン酸を用いた縮合及びそれに続く環化反応)により、式(T-IX)で表わされる化合物を製造することができる。
 
(製造法U)
 ヘテロアリールシクロプロパンカルボン酸誘導体の不斉合成<1>
Figure JPOXMLDOC01-appb-C000176
<工程1>
 自体公知(購入も可能)もしくは当業者に容易に誘導合成可能である、式(T-I)で表わされるエチニルヘテロアリール誘導体と式(T-II)[式(T-II)中、R=C1~6アルキル、C7~11アラルキル基(例、ベンジル)、フェニル基、トリチル基、置換シリル基(例、トリメチルシリル、トリエチルシリル、ジメチルフェニルシリル、tert-ブチルジメチルシリル、tert-ブチルジエチルシリル)、C2~6アルケニル基(例、1-アリル)等)で表わされる2-ジアゾ酢酸エステル(R=C1~6アルキル、C7~11アラルキル基(例、ベンジル)、フェニル基、トリチル基、置換シリル基(例、トリメチルシリル、トリエチルシリル、ジメチルフェニルシリル、tert-ブチルジメチルシリル、tert-ブチルジエチルシリル)、C2~6アルケニル基(例、1-アリル)等を表わす)を用いて、文献既知の方法、例えば、『バイオオルガニック アンド メディシナル ケミストリー (Bioorganic &Medicinal Chemistry)、19(12)、3709-3716頁、2011年』に記載されている方法に準じて、金属触媒(例えば、式(U-II)で表わされる銅触媒)および不斉配位子(例えば、式(U-I)で表わされる不配位子)を用いて、不斉反応を行うことで、式(U-III)で表わされる光学活性なヘテロアリールシクロプロパンエステル誘導体[当該エステル誘導体の絶対立体配置は(S,S)、(S,R)、(R,S)、(R,R)のうち、いづれかである]を製造する事ができる。(金属触媒、不斉配位子は式(U-III)で所望の不斉中心が得られるように適宜選択する事が出来る)
<工程2>
 式(U-III)で表わされる化合物を用い、(製造方法T)<工程4>と同様の方法にて、式(U-IV)で表わされる光学活性なヘテロアリールシクロプロパンカルボン酸誘導体を製造することができる。
 
(製造法V)
 ヘテロアリールシクロプロパンカルボン酸誘導体の不斉合成<2>
Figure JPOXMLDOC01-appb-C000177
<工程1>
 自体公知(購入も可能)もしくは当業者に容易に誘導合成可能である、式(II-I)[式(II-I)中Halはハロゲン原子(F、Cl、Br、I)を表わす]で表わされる化合物と式(II-II)で表わされる化合物を用い、アンゲバンテ ケミカル インターナショナル エディション(Angew. Chem. Int. Ed.)、43、4611-4644頁、2004年を参考にして、反応を行うことで式(II-III)で表わされる化合物を製造することができる。
<工程2>
 式(II-III)[式(II-I)中Halはハロゲン原子(F、Cl、Br、I)を表わす]で表わされる化合物と式(II-IV)[式(II-IV)中、R=C1~6アルキル、C7~11アラルキル基(例、ベンジル)、フェニル基、トリチル基、置換シリル基(例、トリメチルシリル、トリエチルシリル、ジメチルフェニルシリル、tert-ブチルジメチルシリル、tert-ブチルジエチルシリル)、C2~6アルケニル基(例、1-アリル)等を表わす]で表わされる化合物を用い、アンゲバンテ ケミカル インターナショナル エディション(Angew. Chem. Int. Ed.)、43、4611-4644頁、2004年を参考にして、反応を行うことで式(II-V)で表わされる化合物[当該エステル誘導体の絶対立体配置は(S,S)、(S,R)、(R,S)、(R,R)のうち、いづれかである]を製造することができる。
<工程3>
 式(II-V)で表わされる化合物を用い、(製造方法T)<工程4>と同様の方法にて、式(II)で表わされる光学活性なヘテロアリールシクロプロパンカルボン酸誘導体を製造することができる。
<工程4>
 式(II)で表わされる化合物を用い、(製法C)<5-4 to 5-6 step>と同様な方法により、式(II-VI)で表わされる化合物を製造することができる。
 
(製造法W)
 式(I)でL1-L2=シクロプロパン環、X1=X2=X3=N、X4=C、X5=CHの場合のヘテロアリールシクロプロパンカルボン酸誘導体の不斉合成
Figure JPOXMLDOC01-appb-C000178
<工程1>
 自体公知(購入も可能)もしくは当業者に容易に誘導合成可能である、式(W-I)[式(W-I)中Halはハロゲン原子(F、Cl、Br、I)を表わす]で表わされる化合物と式(II-II)で表わされる化合物を用い、(製法V)<工程1>と同様の方法にて反応を行うことで式(V-II)で表わされる化合物を製造することができる。
<工程2>
 式(W-II)[式(V-II)中Halはハロゲン原子(F、Cl、Br、I)を表わす]で表わされる化合物と式(II-IV)[式(II-IV)中、R=C1~6アルキル、C7~11アラルキル基(例、ベンジル)、フェニル基、トリチル基、置換シリル基(例、トリメチルシリル、トリエチルシリル、ジメチルフェニルシリル、tert-ブチルジメチルシリル、tert-ブチルジエチルシリル)、C2~6アルケニル基(例、1-アリル)等を表わす]で表わされる化合物を用い、(製法V)<工程2>と同様の方法にて反応を行うことで式(W-III)で表わされる化合物[当該エステル誘導体の絶対立体配置は(S,S)、(S,R)、(R,S)、(R,R)のうち、いづれかである]を製造することができる。
<工程3>
 式(W-III)で表わされる化合物を用い、(製造方法T)<工程4>と同様の方法にて、式(W-IV)で表わされる光学活性なヘテロアリールシクロプロパンカルボン酸誘導体を製造することができる。
<工程4>
 式(W-IV)で表わされる化合物と式(10-4)で表わされる化合物を用い、(製法N)<28-5 to 28-7 step>と同様の方法(ポリリン酸を用いた縮合及びそれに続く環化反応)により、式(W-V)で表わされる化合物を製造することができる。
<工程5>
 式(W-V)で表わされる化合物を用い、(製法C)<5-4 to 5-6 step>と同様な方法により、式(W-VI)で表わされる化合物を製造することができる。
 
 以下に示される実施例1P-34P化合物は、上記の反応を適宜組み合わせることにより製造可能である。反応に使用される溶媒、試薬は記載されたものに限らず当業者が選択できる条件で適宜製造することが出来る。以下で表される化合物名称はCambridgeSoft ChemBioDraw Ultra 12.0.2.1076の化合物名称命名プログラムに従って得られた英語名称に基づく。
 実施例1P化合物(4-(2-(アゼチジン-1-イル)-6-(2-(5,8-ジメチル-[1,2,4]トリアゾロ[1,5-a]ピラジン-2-イル)-1-メトキシエチル)ピリミジン-4-イル)モルフォリン)
Figure JPOXMLDOC01-appb-C000179
実施例2P化合物(1-(6-(アゼチジン-1-イル)-4-モルフォリノピリジンン-2-イル)-2-(5,8-ジメチル-[1,2,4]トリアゾロ[1,5-a]ピリジン-2-イル)エタノール)
Figure JPOXMLDOC01-appb-C000180
実施例3P化合物(4-(2-(アゼチジン-1-イル)-6-(2-(5,8-ジメチル-[1,2,4]トリアゾロ[1,5-a]ピラジン-2-イル)-1-フルオロエチル)ピリジン-4-イル)モルフォリン)
(Manufacturing method S)
Production method of cyclopropane type compound; in formula (I), when -L1-L2- (linker moiety) = cyclopropane ring; substituents R1, R2 are appropriately selected.
Figure JPOXMLDOC01-appb-C000174
<Step 1>
Known per se (can be purchased) or easily derivatized and synthesized by those skilled in the art, represented by the formula (SI) [In the formula (SI), Hal represents a halogen atom (F, Cl,) Br, I] Using the compound represented, the compound represented by the formula (S-II) into which the substituent R2 is introduced can be produced by the same method as in (Production C) <5-1 to 5-2 step>.
<Step 2>
Using the compound represented by the formula (S-II), the compound represented by the formula (S-III) can be produced by a method similar to (Production C) <5-2 to 5-3 step>.
<Step 3>
Using the compound represented by the formula (S-III) and the aldehyde represented by the formula (15-3), a method similar to (Production C) <5-3 to 5-4 step> The compound represented by these can be manufactured.
<Step 4>
Cyclopropanation is carried out using a compound of the formula (S-IV). Methods known from the literature, such as “Organic Synthesis, Coll. Vol. 5, 855, 1973 ”, in the presence of CH2I2, Zn (Cu), using diethyl ether, tetrahydrofuran or the like as a solvent, the reaction is carried out at a temperature at which the solvent is refluxed from 0 ° C. For example, according to the method described in “International Publication No. 2011/072697 pamphlet”, in the presence of a catalyst such as CH2 N2 and Pd (OAc)2 , diethyl ether and tetrahydrofuran are used as a solvent, and the solvent is used from 0 ° C. In accordance with the method described in “Journal Chemical Communication (J. Chem. Commun. 2644, 2003)” (Cory-Chaikovsky reaction), for example, Me3 SOI, tert. -Dissolve tetrahydrofuran and dimethyl sulfoxide in the presence of BuOK. As, by performing the reaction at a temperature that the solvent refluxes from 0 ° C., it is possible to produce a cyclopropane derivative represented by the formula (S-V).
<Step 5>
By subjecting the compound represented by the formula (SV) to column chromatography using an optically active column, an optically active cyclopropane derivative represented by the formula (S-VI) [the absolute configuration of the derivative is ( S, S), (S, R), (R, S), or (R, R) can be produced].
<Step 6>
Using the compound represented by the formula (S-VI), the compound represented by the formula (S-IX) [the absolute configuration is (S) in the same manner as (Production C) <5-4 to 5-6 step> , S), (S, R), (R, S), or (R, R)].
<Step 7>
Using the compound represented by the formula (S-IV), the compound represented by the formula (S-VII) can be produced by a method similar to (Production C) <5-4 to 5-6 step>.
<Step 8>
Using the compound represented by the formula (S-VII), the compound represented by the formula (S-VIII) can be produced by the same method as in (Production S) <Step 4>.
<Step 9>
Using the compound represented by the formula (SV), the compound represented by the formula (S-VIII) can be produced by a method similar to (Production C) <5-4 to 5-6 step>.
<Step 10>
Using a compound represented by the formula (S-VIII), a compound represented by the formula (S-IX) [absolute configuration is (S, S), (S , R), (R, S), or (R, R)] can be manufactured.

(Manufacturing method T)
In the formula (I), L1-L2 = cyclopropane ring, X2 = X3 = N, X4 = C
Figure JPOXMLDOC01-appb-C000175
<Step 1>
An ethynylheteroaryl derivative represented by the formula (TI) and a 2-diazoacetic acid ester represented by the formula (T-II) (R =), which are known per se (can be purchased) or can be easily induced and synthesized by those skilled in the art. C1-6 alkyl, C7-11 aralkyl group (eg, benzyl), phenyl group, trityl group, substituted silyl group (eg, trimethylsilyl, triethylsilyl, dimethylphenylsilyl, tert-butyldimethylsilyl, tert-butyldiethylsilyl), Using a C2-6 alkenyl group (for example, 1-allyl) and the like in a toluene solvent according to a method known in the literature, for example, the method described in “International Publication No. 2011/0444212 pamphlet”. 5,10,15,20-tetraphenyl-21H, 23H-porphyrin cobalt (II), etc. Presence, the reaction was carried out in the temperature at which the solvent refluxes from 0 ° C., of the formula (T-III), can be produced heteroaryl cyclopropane ester derivatives.
<Step 2>
Epoxy derivatives represented by the formula (T-IV) and 2- (dialkoxyphosphinyl) acetic acid esters, which are known per se (can be purchased) or can be derivatized and synthesized from the formula (TI) by oxidation reaction (R in the ester is R = C1-6 alkyl, C7-11 aralkyl group (eg, benzyl), phenyl group, trityl group, substituted silyl group (eg, trimethylsilyl, triethylsilyl, dimethylphenylsilyl, tert-butyldimethylsilyl) , Tert-butyldiethylsilyl), a C2-6 alkenyl group (eg, 1-allyl) and the like) and methods known in the literature, for example, “Organic Letters, 5 (13), 2331 In accordance with the method described in "2334, 2003", the presence of a base such as sodium hydride, Using a solvent emissions such, carrying out the reaction at a temperature at which the solvent refluxes from 0 ° C., of the formula (T-III), can be produced heteroaryl cyclopropane ester derivatives.
<Step 3>
Using a compound represented by the formula (T-VI), which is known per se (can be purchased) or can be derived from the formula (TV) by the Horner Emmons-Wittig reaction, (Production Method S) <Step 4 > Can be used to produce a heteroarylcyclopropane ester derivative represented by the formula (T-III).
<Step 4>
Hydrolysis of the heteroarylcyclopropane ester derivative represented by the formula (T-III) is carried out. <In the case of R = alkyl group (for example, methyl, ethyl group, etc.)> Using a compound represented by the formula (T-III), a method known in the literature, for example, “Experimental Chemistry Course 4th Edition 22 Organic Synthesis IV Acid / In the presence of a base such as lithium hydroxide, sodium hydroxide, potassium hydroxide, lithium carbonate, sodium carbonate, potassium carbonate, etc., according to the method described in `` Amino acid / peptide, page 1-33, 1992, Maruzen '' Temperature at which the solvent is refluxed from 0 ° C. using water and a solvent inert to the reaction such as methanol, ethanol, 2-propanol, N, N-dimethylformamide, 1,4-dioxane, tetrahydrofuran and the like, or a mixed solvent thereof. To produce a compound represented by the formula (T-IV). <R = tert-Butyl Group> A compound represented by the formula (T-IV) can be produced by performing a reaction using an acid such as hydrochloric acid or trifluoroacetic acid.
<Step 5>
The heteroarylcyclopropanecarboxylic acid derivative represented by the formula (T-IV) is converted into an optically active column chromatography in the same manner as in literatures, for example, the method described in “International Publication No. 2011/044212 pamphlet”. To the optically active heteroarylcyclopropanecarboxylic acid derivative represented by the formula (T-VIII) [the absolute configuration of the carboxylic acid is (S, S), (S, R), (R, S ) Or (R, R)].
<Step 6>
Using the compound represented by the formula (T-VIII) and the compound represented by the formula (10-4), the same method as in (Production N) <28-5 to 28-7 step> (condensation using polyphosphoric acid and A compound represented by the formula (T-IX) can be produced by a subsequent cyclization reaction.

(Production method U)
Asymmetric synthesis of heteroarylcyclopropanecarboxylic acid derivatives <1>
Figure JPOXMLDOC01-appb-C000176
<Step 1>
An ethynylheteroaryl derivative represented by the formula (TI) and a formula (T-II) [formula (T-II) in which R = C1-6 alkyl, C7-11 aralkyl group (eg, benzyl), phenyl group, trityl group, substituted silyl group (eg, trimethylsilyl, triethylsilyl, dimethylphenylsilyl, tert-butyldimethylsilyl, tert-butyldiethylsilyl), 2-diazoacetic acid esters represented by C2-6 alkenyl groups (eg, 1-allyl), etc. (R = C1-6 alkyl, C7-11 aralkyl groups (eg, benzyl), phenyl groups, trityl groups, substituted silyl groups) (Eg, trimethylsilyl, triethylsilyl, dimethylphenylsilyl, tert-butyldimethylsilyl, tert- Tildiethylsilyl), C2-6 alkenyl groups (eg, 1-allyl) and the like) and methods known in the literature, such as “Bioorganic & Medicinal Chemistry”, 19 (12), 3709-3716, 2011 ”, a metal catalyst (for example, a copper catalyst represented by the formula (U-II)) and an asymmetric ligand (for example, the formula (UI) An asymmetric reaction using an optically active heteroarylcyclopropane ester derivative represented by the formula (U-III) [the absolute configuration of the ester derivative is (S, S) , (S, R), (R, S), or (R, R)] can be manufactured. (The metal catalyst and the asymmetric ligand can be appropriately selected so as to obtain a desired asymmetric center in the formula (U-III)).
<Step 2>
Using the compound represented by the formula (U-III), the optically active heteroarylcyclopropanecarboxylic acid derivative represented by the formula (U-IV) is produced in the same manner as in (Production Method T) <Step 4>. can do.

(Production method V)
Asymmetric synthesis of heteroarylcyclopropanecarboxylic acid derivatives <2>
Figure JPOXMLDOC01-appb-C000177
<Step 1>
Known per se (can be purchased) or easily derivatized and synthesized by those skilled in the art, represented by the formula (II-I) [In the formula (II-I), Hal represents a halogen atom (F, Cl, Br, I)] The reaction is carried out using the compound represented by formula (II-II) and the compound represented by the formula (II-II) with reference to Angewante Chemical International Edition (Angew. Chem. Int. Ed.), Pages 43, 4611-4644, 2004. The compound represented by the formula (II-III) can be produced.
<Step 2>
A compound represented by formula (II-III) [wherein Hal represents a halogen atom (F, Cl, Br, I)] and formula (II-IV) [in formula (II-IV), R = C1-6 alkyl, C7-11 aralkyl group (eg, benzyl), phenyl group, trityl group, substituted silyl group (eg, trimethylsilyl, triethylsilyl, dimethylphenylsilyl, tert-butyldimethylsilyl, tert-butyldiethylsilyl) ), A C2-6 alkenyl group (for example, 1-allyl) and the like], and Angelage Chemical International Edition (Angew. Chem. Int. Ed.), 43, 4611-4644, 2004. Referring to the compound represented by formula (II-V) by carrying out the reaction [the ester derivative The absolute configuration (S, S), (S, R), (R, S), can be prepared (R, R) out of is either.
<Step 3>
Using the compound represented by the formula (II-V), the optically active heteroarylcyclopropanecarboxylic acid derivative represented by the formula (II) is produced in the same manner as in (Production Method T) <Step 4>. Can do.
<Step 4>
Using the compound represented by the formula (II), the compound represented by the formula (II-VI) can be produced by a method similar to (Production C) <5-4 to 5-6 step>.

(Production method W)
Asymmetric synthesis of heteroarylcyclopropanecarboxylic acid derivatives in the case of formula (I) where L1-L2 = cyclopropane ring, X1 = X2 = X3 = N, X4 = C, X5 = CH
Figure JPOXMLDOC01-appb-C000178
<Step 1>
Known per se (can be purchased) or easily derivatized and synthesized by those skilled in the art, represented by the formula (WI) [wherein Hal represents a halogen atom (F, Cl, Br, I)] Using the compound represented by formula (II-II) and the compound represented by formula (II-II), the compound represented by formula (V-II) is produced by reacting in the same manner as in (Production Method V) <Step 1>. Can do.
<Step 2>
A compound represented by formula (W-II) [wherein Hal represents a halogen atom (F, Cl, Br, I)] and formula (II-IV) [in formula (II-IV), R = C1-6 alkyl, C7-11 aralkyl group (eg, benzyl), phenyl group, trityl group, substituted silyl group (eg, trimethylsilyl, triethylsilyl, dimethylphenylsilyl, tert-butyldimethylsilyl, tert-butyldiethylsilyl) ), A C2-6 alkenyl group (eg, 1-allyl) and the like], and the reaction is carried out in the same manner as in (Production Method V) <Step 2> to give a compound of formula (W-III) [The absolute configuration of the ester derivative is any of (S, S), (S, R), (R, S), and (R, R)].
<Step 3>
Using the compound represented by the formula (W-III), the optically active heteroarylcyclopropanecarboxylic acid derivative represented by the formula (W-IV) is produced in the same manner as in (Production Method T) <Step 4>. can do.
<Step 4>
Using the compound represented by the formula (W-IV) and the compound represented by the formula (10-4), the same method as (Production N) <28-5 to 28-7 step> (condensation using polyphosphoric acid and The compound represented by the formula (WV) can be produced by the subsequent cyclization reaction.
<Step 5>
Using the compound represented by the formula (WV), the compound represented by the formula (W-VI) can be produced by the same method as in (Production C) <5-4 to 5-6 step>.

The following Example 1P-34P compounds can be produced by appropriately combining the above reactions. Solvents and reagents used in the reaction are not limited to those described, but can be appropriately produced under conditions that can be selected by those skilled in the art. The compound names represented below are based on English names obtained according to the compound name naming program of CambridgeSoft ChemBioDraw Ultra 12.0.2.1076.
Example 1P Compound (4- (2- (azetidin-1-yl) -6- (2- (5,8-dimethyl- [1,2,4] triazolo [1,5-a] pyrazin-2-yl) ) -1-Methoxyethyl) pyrimidin-4-yl) morpholine)
Figure JPOXMLDOC01-appb-C000179
Example 2 P Compound (1- (6- (azetidin-1-yl) -4-morpholinopyridin-2-yl) -2- (5,8-dimethyl- [1,2,4] triazolo [1, 5-a] pyridin-2-yl) ethanol)
Figure JPOXMLDOC01-appb-C000180
Example 3P Compound (4- (2- (azetidin-1-yl) -6- (2- (5,8-dimethyl- [1,2,4] triazolo [1,5-a] pyrazin-2-yl) ) -1-Fluoroethyl) pyridin-4-yl) morpholine)
Figure JPOXMLDOC01-appb-C000181
実施例4P化合物(1-(6-(アゼチジン-1-イル)-4-モルフォリンピリジン-2-イル)-2-(5,8-ジメチル-[1,2,4]トリアゾロ[1,5-a]ピラジン-2-イル)エタノン)
Figure JPOXMLDOC01-appb-C000182
実施例5P化合物(4-(2-(アゼチジン-1-イル)-6-(2-(5,8-ジメチル-[1,2,4]トリアゾロ[1,5-a]ピラジン-2-イル)-1,1-ジフルオロエチル)ピリジン4-イル)モルフォリン)
Figure JPOXMLDOC01-appb-C000183
実施例6P化合物(4-(2-(アゼチジン-1-イル)-6-(3-(5,8-ジメチル-[1,2,4]-トリアゾロ[1,5-a]ピラジン-2-イル)プロプ-1-エン-2-イル)ピリジン-4-イル)モルフォリン)
Figure JPOXMLDOC01-appb-C000181
Example 4P Compound (1- (6- (azetidin-1-yl) -4-morpholinepyridin-2-yl) -2- (5,8-dimethyl- [1,2,4] triazolo [1,5 -A] pyrazin-2-yl) ethanone)
Figure JPOXMLDOC01-appb-C000182
Example 5P Compound (4- (2- (azetidin-1-yl) -6- (2- (5,8-dimethyl- [1,2,4] triazolo [1,5-a] pyrazin-2-yl) ) -1,1-difluoroethyl) pyridin-4-yl) morpholine)
Figure JPOXMLDOC01-appb-C000183
Example 6P Compound (4- (2- (azetidin-1-yl) -6- (3- (5,8-dimethyl- [1,2,4] -triazolo [1,5-a] pyrazine-2- Yl) prop-1-en-2-yl) pyridin-4-yl) morpholine)
Figure JPOXMLDOC01-appb-C000184
実施例7P化合物(4-(2-(アゼチジン-1-イル)-6-(1-((5,8-ジメチル-[1,2,4]トリアゾロ[1,5-a]ピラジン-2-イル)メチル)シクロプロピル)ピリジン-4-イル)モルフォリン)
Figure JPOXMLDOC01-appb-C000185
実施例8P化合物((E)-4-(2-(アゼチジン-1-イル)-6-(1-(5,8-ジメチル-[1,2,4]トリアゾロ[1,5-a]ピラジン-2-イル)プロプ-1-エン-2-イル)ピリジン-4-イル)モルフォリン)
Figure JPOXMLDOC01-appb-C000186
実施例9P化合物(4-(2-(アゼチジン-1-イル)-6-(1-(5,8-ジメチル-[1,2,4]トリアゾロ[1,5-a]ピラジン-2-イル)プロパン-2-イル)ピリジン-4-イル)モルフォリン)
Figure JPOXMLDOC01-appb-C000184
Example 7P Compound (4- (2- (azetidin-1-yl) -6- (1-((5,8-dimethyl- [1,2,4] triazolo [1,5-a] pyrazine-2- Yl) methyl) cyclopropyl) pyridin-4-yl) morpholine)
Figure JPOXMLDOC01-appb-C000185
Example 8P Compound ((E) -4- (2- (azetidin-1-yl) -6- (1- (5,8-dimethyl- [1,2,4] triazolo [1,5-a] pyrazine) -2-yl) prop-1-en-2-yl) pyridin-4-yl) morpholine)
Figure JPOXMLDOC01-appb-C000186
Example 9P Compound (4- (2- (azetidin-1-yl) -6- (1- (5,8-dimethyl- [1,2,4] triazolo [1,5-a] pyrazin-2-yl) ) Propan-2-yl) pyridin-4-yl) morpholine)
Figure JPOXMLDOC01-appb-C000187
実施例10P化合物(1-(5,8-ジメチル-[1,2,4]トリアゾロ[1,5-a]ピラジン-2-イル)-2-(4-モルフォリノ-6-(ピロリジン-1-イル)ピリミジン-2-イル)エタノール)
Figure JPOXMLDOC01-appb-C000188
実施例11P化合物(4-(2-(2-(5,8-ジメチル-[1,2,4]トリアゾロ[1,5-a]ピラジン-2-イル)-2-フルオロエチル)-6-(ピロリジン-1-イル)ピリミジン-4-イル)モルフォリン)
Figure JPOXMLDOC01-appb-C000189
実施例12P化合物(4-(2-(2-(5,8-ジメチル-[1,2,4]トリアゾロ[1,5-a]ピラジン-2-イル)-2-メトキシエチル)-6-(ピロリジン-1-イル)ピリミジン-4-イル)モルフォリン)
Figure JPOXMLDOC01-appb-C000187
Example 10P Compound (1- (5,8-Dimethyl- [1,2,4] triazolo [1,5-a] pyrazin-2-yl) -2- (4-morpholino-6- (pyrrolidine-1- Yl) pyrimidin-2-yl) ethanol)
Figure JPOXMLDOC01-appb-C000188
Example 11P Compound (4- (2- (2- (5,8-Dimethyl- [1,2,4] triazolo [1,5-a] pyrazin-2-yl) -2-fluoroethyl) -6- (Pyrrolidin-1-yl) pyrimidin-4-yl) morpholine)
Figure JPOXMLDOC01-appb-C000189
Example 12P Compound (4- (2- (2- (5,8-Dimethyl- [1,2,4] triazolo [1,5-a] pyrazin-2-yl) -2-methoxyethyl) -6- (Pyrrolidin-1-yl) pyrimidin-4-yl) morpholine)
Figure JPOXMLDOC01-appb-C000190
実施例13P化合物(1-(5,8-ジメチル-[1,2,4]トリアゾロ[1,5-a]ピラジン-2-イル)-2-(4-モルフォリノ-6-(ピロリジン-1-イル)ピリミジン-2-イル)エタノン)
Figure JPOXMLDOC01-appb-C000191
実施例14P化合物(4-(2-(2-(5,8-ジメチル-[1,2,4]トリアゾロ[1,5-a]ピラジン-2-イル)-2,2-ジフルオロエチル)-6-(ピロリジン-1-イル)ピリミジン-4-イル)モルフォリン)
Figure JPOXMLDOC01-appb-C000192
実施例15P化合物((E)-5,8-ジメチル-2-(2-(4-メチルスルホニル)-6-(ピロリジン-1-イル)-ピリミジン-2-イル)ビニル)-[1,2,4]トリアゾロ[1,5-a]ピラジン)
Figure JPOXMLDOC01-appb-C000190
Example 13P Compound (1- (5,8-dimethyl- [1,2,4] triazolo [1,5-a] pyrazin-2-yl) -2- (4-morpholino-6- (pyrrolidine-1- Ill) pyrimidin-2-yl) ethanone)
Figure JPOXMLDOC01-appb-C000191
Example 14P Compound (4- (2- (2- (5,8-Dimethyl- [1,2,4] triazolo [1,5-a] pyrazin-2-yl) -2,2-difluoroethyl)- 6- (pyrrolidin-1-yl) pyrimidin-4-yl) morpholine)
Figure JPOXMLDOC01-appb-C000192
Example 15P Compound ((E) -5,8-Dimethyl-2- (2- (4-methylsulfonyl) -6- (pyrrolidin-1-yl) -pyrimidin-2-yl) vinyl)-[1,2 , 4] triazolo [1,5-a] pyrazine)
Figure JPOXMLDOC01-appb-C000193
実施例16P化合物((E)-2-(2-(5,8-ジメチル-[1,2,4]トリアゾロ[1,5-a]ピラジン-2-イル)ビニル)-6-(ピロリジン-1-イル)ピリミジン-4-カルボン酸)
Figure JPOXMLDOC01-appb-C000194
Figure JPOXMLDOC01-appb-C000193
Example 16P Compound ((E) -2- (2- (5,8-dimethyl- [1,2,4] triazolo [1,5-a] pyrazin-2-yl) vinyl) -6- (pyrrolidine- 1-yl) pyrimidine-4-carboxylic acid)
Figure JPOXMLDOC01-appb-C000194
実施例17P化合物((E)-2-(2-(5,8-ジメチル-[1,2,4]トリアゾロ[1,5-a]ピラジン-2-イル)ビニル)-6-(ピロリジン-1-イル)ピリミジン-4-イル)メタノール)
Figure JPOXMLDOC01-appb-C000195
実施例18P化合物((E)-2-(2-(5,8-ジメチル-[1,2,4]トリアゾロ[1,5-a]ピラジン-2-イル)ビニル)-N、N-ジメチル-6-(ピロリジン-1-イル)ピリミジン-4-カルボキサミド)
Figure JPOXMLDOC01-appb-C000196
実施例19P化合物((E)-2-(2-(5,8-ジメチル-[1,2,4]トリアゾロ[1,5-a]ピラジン-2-イル)ビニル)-6-(ピロリジン-1-イル)ピリミジン-4-イル)メタノアミン)
Figure JPOXMLDOC01-appb-C000197
実施例20P化合物((E)-1-(2-(2-(5,8-ジメチル-[1,2,4]トリアゾロ[1,5-a]ピラジン-2-イル)ビニル)-6-(ピロリジン-1-イル)ピリミジン-4-イル)N-メチルメタンアミン)
Example 17P Compound ((E) -2- (2- (5,8-dimethyl- [1,2,4] triazolo [1,5-a] pyrazin-2-yl) vinyl) -6- (pyrrolidine- 1-yl) pyrimidin-4-yl) methanol)
Figure JPOXMLDOC01-appb-C000195
Example 18P Compound ((E) -2- (2- (5,8-Dimethyl- [1,2,4] triazolo [1,5-a] pyrazin-2-yl) vinyl) -N, N-dimethyl -6- (pyrrolidin-1-yl) pyrimidine-4-carboxamide)
Figure JPOXMLDOC01-appb-C000196
Example 19P Compound ((E) -2- (2- (5,8-dimethyl- [1,2,4] triazolo [1,5-a] pyrazin-2-yl) vinyl) -6- (pyrrolidine- 1-yl) pyrimidin-4-yl) methanoamine)
Figure JPOXMLDOC01-appb-C000197
Example 20P Compound ((E) -1- (2- (2- (5,8-dimethyl- [1,2,4] triazolo [1,5-a] pyrazin-2-yl) vinyl) -6- (Pyrrolidin-1-yl) pyrimidin-4-yl) N-methylmethanamine)
Figure JPOXMLDOC01-appb-C000198
実施例21P化合物(5,8-ジメチル-2-(2-(4-(メチルスルホニル)-6-(ピロリジン-1-イル)ピリミジン-2-イル)エチル-[1,2,4]トリアゾロ[1,5-a]ピラジン)
Figure JPOXMLDOC01-appb-C000199
実施例22P化合物(2-(2-(5,8-ジメチル-[1,2,4]トリアゾロ[1,5-a]ピラジン-2-イル)エチル)-6-(ピロリジン-1-イル)ピリミジン-4-カルボン酸)
Figure JPOXMLDOC01-appb-C000200
実施例23P化合物(2-(2-(5,8-ジメチル-[1,2,4]トリアゾロ[1,5-a]ピラジン-2-イル)エチル)-6-(ピロリジン-1-イル)ピリミジン-4-イル)メタノール)
Figure JPOXMLDOC01-appb-C000201
実施例24P化合物(2-(2-(5,8-ジメチル-[1,2,4]トリアゾロ[1,5-a]ピラジン-2-イル)エチル)-N,N-ジメチル-6-(ピロリジン-1-イル)ピリミジン-4-カルボキサミド)
Figure JPOXMLDOC01-appb-C000202
実施例25P化合物(2-(2-(5,8-ジメチル-[1,2,4]トリアゾロ[1,5-a]ピラジン-2-イル)エチル)-6-(ピロリジン-1-イル)ピリミジン-4-イル)メタンアミン) 
Figure JPOXMLDOC01-appb-C000198
Example 21P Compound (5,8-Dimethyl-2- (2- (4- (methylsulfonyl) -6- (pyrrolidin-1-yl) pyrimidin-2-yl) ethyl- [1,2,4] triazolo [ 1,5-a] pyrazine)
Figure JPOXMLDOC01-appb-C000199
Example 22P Compound (2- (2- (5,8-Dimethyl- [1,2,4] triazolo [1,5-a] pyrazin-2-yl) ethyl) -6- (pyrrolidin-1-yl) Pyrimidine-4-carboxylic acid)
Figure JPOXMLDOC01-appb-C000200
Example 23P Compound (2- (2- (5,8-Dimethyl- [1,2,4] triazolo [1,5-a] pyrazin-2-yl) ethyl) -6- (pyrrolidin-1-yl) Pyrimidin-4-yl) methanol)
Figure JPOXMLDOC01-appb-C000201
Example 24P Compound (2- (2- (5,8-dimethyl- [1,2,4] triazolo [1,5-a] pyrazin-2-yl) ethyl) -N, N-dimethyl-6- ( Pyrrolidin-1-yl) pyrimidine-4-carboxamide)
Figure JPOXMLDOC01-appb-C000202
Example 25P Compound (2- (2- (5,8-Dimethyl- [1,2,4] triazolo [1,5-a] pyrazin-2-yl) ethyl) -6- (pyrrolidin-1-yl) Pyrimidin-4-yl) methanamine)
Figure JPOXMLDOC01-appb-C000203
実施例26P化合物(1-(2-(2-(5,8-ジメチル-[1,2,4]トリアゾロ[1,5-a]ピラジン-2-イル)エチル)-6-(ピロリジン-1-イル)ピリミジン-4-イル)-N-メチルメタンアミン)
Figure JPOXMLDOC01-appb-C000204
実施例27P化合物(N-(6-(アゼチジン-1-イル)-4-モルフォリノピリジン-2-イル)-N, 5,8-トリメチル-[1,2,4]トリアゾロ[1,5-a]ピラジン-2-カルボキサミド)
Figure JPOXMLDOC01-appb-C000205
実施例28P化合物(N-(6-(アゼチジン-1-イル)-4-((テトラヒドロ-2H-ピラン-4-イル)オキシ)ピリジン-2-イル)-N, 5,8-トリメチル-[1,2,4]トリアゾロ[1,5-a]ピラジン-2-カルボキサミド)
Figure JPOXMLDOC01-appb-C000206
実施例30P化合物(4-(2-(アゼチジン-1-イル)-6-((5,8-ジメチル-[1,2,4]トリアゾロ[1,5-a]ピラジン-2-イル)メトキシ)ピリジン-4-イル)モルフォリン)
Figure JPOXMLDOC01-appb-C000203
Example 26P Compound (1- (2- (2- (5,8-Dimethyl- [1,2,4] triazolo [1,5-a] pyrazin-2-yl) ethyl) -6- (pyrrolidine-1 -Yl) pyrimidin-4-yl) -N-methylmethanamine)
Figure JPOXMLDOC01-appb-C000204
Example 27P Compound (N- (6- (azetidin-1-yl) -4-morpholinopyridin-2-yl) -N, 5,8-trimethyl- [1,2,4] triazolo [1,5- a] pyrazine-2-carboxamide)
Figure JPOXMLDOC01-appb-C000205
Example 28P Compound (N- (6- (azetidin-1-yl) -4-((tetrahydro-2H-pyran-4-yl) oxy) pyridin-2-yl) -N, 5,8-trimethyl- [ 1,2,4] triazolo [1,5-a] pyrazine-2-carboxamide)
Figure JPOXMLDOC01-appb-C000206
Example 30P Compound (4- (2- (azetidin-1-yl) -6-((5,8-dimethyl- [1,2,4] triazolo [1,5-a] pyrazin-2-yl) methoxy) ) Pyridin-4-yl) morpholine)
Figure JPOXMLDOC01-appb-C000207
実施例31P化合物(6-(アゼチジン-1-イル)-N-((5,8-ジメチル-[1,2,4]トリアゾロ[1,5-a]ピラジン-2-イル)メチル)-N-メチル-4-((テトラヒドロ-2H-ピラン-4-イル)オキシ)ピリジン-2-アミン
Figure JPOXMLDOC01-appb-C000208
実施例32P化合物(6-(アゼチジン-1-イル)-N-((5,8-ジメチル -[1,2,4]トリアゾロ[1,5-a]ピラジン-2-イル)メチル)-N-メチル-4-モルホリノピリジン-2-アミン)
Figure JPOXMLDOC01-appb-C000209
実施例33P化合物(4-(2-アゼチジン-1-イル)-6-(2-(5,8-ジメチル-[1,2,4]トリアゾロ[1,5-a]ピラジン-2-イル)シクロプロピル)ピリジン-4-イル)モルフォリン)
Figure JPOXMLDOC01-appb-C000207
Example 31P Compound (6- (azetidin-1-yl) -N-((5,8-dimethyl- [1,2,4] triazolo [1,5-a] pyrazin-2-yl) methyl) -N -Methyl-4-((tetrahydro-2H-pyran-4-yl) oxy) pyridin-2-amine
Figure JPOXMLDOC01-appb-C000208
Example 32P Compound (6- (azetidin-1-yl) -N-((5,8-dimethyl- [1,2,4] triazolo [1,5-a] pyrazin-2-yl) methyl) -N -Methyl-4-morpholinopyridin-2-amine)
Figure JPOXMLDOC01-appb-C000209
Example 33P Compound (4- (2-azetidin-1-yl) -6- (2- (5,8-dimethyl- [1,2,4] triazolo [1,5-a] pyrazin-2-yl) Cyclopropyl) pyridin-4-yl) morpholine)
Figure JPOXMLDOC01-appb-C000210
実施例34P化合物(4-(2-((1-(5,8-ジメチル-[1,2,4]トリアゾロ[1,5-a]ピラジン-2-イル)シクロプロピル)メチル)-6-(ピロリジン-1-イル)ピリミジン-4-イル)モルフォリン))
Figure JPOXMLDOC01-appb-C000211
Figure JPOXMLDOC01-appb-C000210
Example 34P Compound (4- (2-((1- (5,8-Dimethyl- [1,2,4] triazolo [1,5-a] pyrazin-2-yl) cyclopropyl) methyl) -6- (Pyrrolidin-1-yl) pyrimidin-4-yl) morpholine))
Figure JPOXMLDOC01-appb-C000211
特に、ピリジン環を有する実施例化合物は同時にピリミジン環を有する実施例化合物も上記の反応を適宜組み合わせることにより合成可能であり、逆も合成可能である。以下に例示する。
例えばピリミジン環を有する実施例1P化合物
Figure JPOXMLDOC01-appb-C000212
に対し、ピリジン環を有する以下の実施例化合物も上記製造法に倣い、原材料を適宜選択することで合成可能である。
Figure JPOXMLDOC01-appb-C000213
In particular, an example compound having a pyridine ring can be synthesized by simultaneously combining the example compounds having a pyrimidine ring as appropriate, and vice versa. Examples are given below.
For example, Example 1P compound having a pyrimidine ring
Figure JPOXMLDOC01-appb-C000212
On the other hand, the following Example compounds having a pyridine ring can also be synthesized by following the above production method and appropriately selecting raw materials.
Figure JPOXMLDOC01-appb-C000213
 上記の反応に、さらに所望により、公知の加水分解反応、保護反応、脱保護反応、アシル化反応、アルキル化反応、酸化反応、環化反応、炭素鎖延長反応および置換基交換反応の1つまたはそれ以上を組み合わせてもよく、それによって、化合物(I) を製造することもできる。
 化合物(I) は、公知の手段、例えば、転溶、濃縮、溶媒抽出、分溜、液性変換、晶出、再結晶、クロマトグラフィーなどによって単離、精製することができる。
 化合物(I) が遊離化合物として得られる場合には、自体公知の方法あるいはそれに準ずる方法によって、目的とする塩に変換することができ、逆に塩で得られる場合には、自体公知の方法あるいはそれに準ずる方法により、遊離体または目的とする他の塩に変換することができる。
In addition to the above reaction, if desired, one of known hydrolysis reaction, protection reaction, deprotection reaction, acylation reaction, alkylation reaction, oxidation reaction, cyclization reaction, carbon chain extension reaction and substituent exchange reaction More than that may be combined, whereby the compound (I) can also be produced.
Compound (I) can be isolated and purified by a known means such as phase transfer, concentration, solvent extraction, fractional distillation, liquid conversion, crystallization, recrystallization, chromatography and the like.
When compound (I) is obtained as a free compound, it can be converted to the target salt by a method known per se or a method analogous thereto, and conversely when it is obtained as a salt, a method known per se or It can be converted into a free form or other desired salt by a method equivalent thereto.
 化合物(I) の塩としては、例えば、金属塩、アンモニウム塩、有機塩基との塩、無機酸との塩、有機酸との塩、塩基性または酸性アミノ酸との塩等が挙げられ得る。金属塩の好適な例としては、例えば、ナトリウム塩、カリウム塩等のアルカリ金属塩、カルシウム塩、マグネシウム塩、バリウム塩等のアルカリ土類金属塩;アルミニウム塩等が挙げられ得る。有機塩基との塩の好適な例としては、例えば、トリメチルアミン、トリエチルアミン、ピリジン、ピコリン、2, 6 - ルチジン、エタノールアミン、ジエタノールアミン、トリエタノールアミン、シクロへキシルアミン、ジシクロヘキシルアミン、N, N ’ - ジベンジルエチレンジアミン等との塩が挙げられ得る。無機酸との塩の好適な例としては、例えば、塩酸、臭化水素酸、硝酸、硫酸、リン酸等との塩が挙げられ得る。塩基性アミノ酸との塩の好適な例としては、例えば、アルギニン、リジン、オルニチン等との塩が挙げられ得る。酸性アミノ酸との塩の好適な例としては、例えば、アスパラギン酸、グルタミン酸等との塩が挙げられ得る。このうち、薬学的に許容しうる塩が好ましい。例えば、化合物内に酸性官能基を有する場合には、アルカリ金属塩(例、ナトリウム塩、カリウム塩等) 、アルカリ土類金属塩(例、カルシウム塩、マグネシウム塩、バリウム塩等) 等の無機塩、アンモニウム塩等、また化合物内に塩基性官能基を有する場合には、例えば、塩酸、臭化水素酸、硝酸、硫酸、リン酸等の無機酸との塩、および酢酸、フタル酸、フマル酸、シュウ酸、酒石酸、マレイン酸、クエン酸、コハク酸、メタンスルホン酸、p -トルエンスルホン酸等の有機酸との塩が挙げられ得る。
 本発明の化合物(I) はプロドラッグとして用いてもよく、かかるプロドラッグは、生体内における生理条件下で酵素や胃酸等との反応の結果として化合物(I) に変換される化合物を意味する。すなわち、該化合物は、酵素的に酸化、還元、加水分解等によって、あるいは、胃酸等による加水分解によって、化合物(I) に変換される。
Examples of the salt of compound (I) include metal salts, ammonium salts, salts with organic bases, salts with inorganic acids, salts with organic acids, salts with basic or acidic amino acids, and the like. Preferable examples of the metal salt include alkali metal salts such as sodium salt and potassium salt, alkaline earth metal salts such as calcium salt, magnesium salt and barium salt; aluminum salt and the like. Preferable examples of the salt with an organic base include, for example, trimethylamine, triethylamine, pyridine, picoline, 2, 6-lutidine, ethanolamine, diethanolamine, triethanolamine, cyclohexylamine, dicyclohexylamine, N, N′-di Mention may be made of salts with benzylethylenediamine and the like. Preferable examples of the salt with inorganic acid include salts with hydrochloric acid, hydrobromic acid, nitric acid, sulfuric acid, phosphoric acid and the like. Preferable examples of the salt with basic amino acid include salts with arginine, lysine, ornithine and the like. Preferable examples of the salt with acidic amino acid include salts with aspartic acid, glutamic acid and the like. Of these, pharmaceutically acceptable salts are preferred. For example, when the compound has an acidic functional group, inorganic salts such as alkali metal salts (eg, sodium salts, potassium salts, etc.), alkaline earth metal salts (eg, calcium salts, magnesium salts, barium salts, etc.) In the case where the compound has a basic functional group, for example, a salt with inorganic acid such as hydrochloric acid, hydrobromic acid, nitric acid, sulfuric acid, phosphoric acid, and acetic acid, phthalic acid, fumaric acid And salts with organic acids such as oxalic acid, tartaric acid, maleic acid, citric acid, succinic acid, methanesulfonic acid and p-toluenesulfonic acid.
The compound (I) of the present invention may be used as a prodrug, and such a prodrug means a compound that is converted into the compound (I) as a result of reaction with an enzyme, gastric acid or the like under physiological conditions in vivo. . That is, the compound is converted into compound (I) by enzymatic oxidation, reduction, hydrolysis or the like or by hydrolysis with gastric acid or the like.
 化合物(I) のプロドラッグとしては、化合物(I) のアミノ基をアシル化、アルキル化またはりん酸化に供することによって得られる化合物(例、化合物(I) のアミノ基を、エイコサノイル化、アラニル化、ペンチルアミノカルボニル化、(5 - メチル- 2 - オキソ- 1 , 3 - ジオキソレン- 4 - イル) メトキシカルボニル化、テトラヒドロフラニル化、ピロリジルメチル化、ピバロイルオキシメチル化、t e r t - ブチル化に供することによって得られる化合物など) ; 化合物(I) の水酸基を、アシル化、アルキル化、りん酸化およびほう酸化に供することによって得られる化合物(例、化合物(I) の水酸基を、アセチル化、パルミトイル化、プロパノイル化、ピバロイル化、サクシニル化、フマリル化、アラニル化、ジメチルアミノメチルカルボニル化に供することによって得られる化合物など); 化合物(I) のカルボキシル基を、エステル化またはアミド化に供することによって得られる化合物(例、化合物(I) のカルボキシル基を、エチルエステル化、フェニルエステル化、カルボキシメチル-エステル化、ジメチルアミノメチル-アミド化、ピバロイルオキシメチル- エステル化、エトキシカルボニルオキシエチル- エステル化、フタリジル-エステル化、( 5 - メチル- 2- オキソ- 1 , 3 - ジオキソレン- 4- イル) メチル- エステル化、シクロヘキシルオキシカルボニルエチル- エステル化およびメチルアミド化に供することによって得られる化合物など) 。
 これらの化合物は、自体公知の方法によって化合物(I) から製造することができる。 また、化合物(I) のプロドラッグは、広川書店1990年刊「医薬品の開発」、第7巻(分子設計)、163頁から198頁に記載されているような、生理的条件で化合物(I) に変換される化合物であってもよい。
As a prodrug of compound (I), a compound obtained by subjecting the amino group of compound (I) to acylation, alkylation or phosphorylation (eg, the amino group of compound (I) is eicosanoylated or alanylated. , Pentylaminocarbonylation, (5-methyl-2-oxo-1-, 3-dioxolen-4-yl) methoxycarbonylation, tetrahydrofuranylation, pyrrolidylmethylation, pivaloyloxymethylation, ter t- A compound obtained by subjecting to a butylation); a compound obtained by subjecting the hydroxyl group of the compound (I) to acylation, alkylation, phosphorylation and boration (eg, the hydroxyl group of the compound (I) to acetyl , Palmitoylation, propanoylation, pivaloylation, succinylation, fumarylation, alanylation, Compounds obtained by subjecting to dimethylaminomethylcarbonylation); compounds obtained by subjecting the carboxyl group of compound (I) to esterification or amidation (eg, the carboxyl group of compound (I) to ethyl ester) , Phenyl esterification, carboxymethyl-esterification, dimethylaminomethyl-amidation, pivaloyloxymethyl-esterification, ethoxycarbonyloxyethyl-esterification, phthalidyl-esterification, (5 -methyl-2-oxo- 1,3-Dioxolen-4-yl) methyl-esterified, cyclohexyloxycarbonylethyl-esterified and methylamidated compounds, etc.).
These compounds can be produced from compound (I) by a method known per se. In addition, prodrugs of Compound (I) can be obtained under physiological conditions as described in Hirokawa Shoten 1990 “Drug Development”, Volume 7 (Molecular Design), pages 163 to 198. It may be a compound converted into
[本発明の予防・治療剤の製剤化]
 本発明の医薬は、医薬組成物の形態で投与される。
 本発明の医薬組成物は、本発明の式(I)で表される化合物の少なくとも一つ以上を含んでいればよく、医薬上許容される添加剤と組み合わせてつくられる。より詳細には、賦形剤(例;乳糖、白糖、マンニット、結晶セルロース、ケイ酸、トウモロコシデンプン、バレイショデンプン)、結合剤(例;セルロース類(ヒドロキシプロピルセルロース(HPC)、ヒドロキシプロピルメチルセルロース(HPMC))、結晶セルロース、糖類(乳糖、マンニット、白糖、ソルビトール、エリスリトール、キシリトール、)、デンプン類(トウモロコシデンプン、バレイショデンプン)、α化デンプン、デキストリン、ポリビニルピロリドン(PVP)、マクロゴール、ポリビニルアルコール(PVA))、滑沢剤(例;ステアリン酸マグネシウム、ステアリン酸カルシウム、タルク、カルボキシメチルセルロース)、崩壊剤(例;デンプン類(トウモロコシデンプン、バレイショデンプン)、カルボキシメチルスターチナトリウム、カルメロース、カルメロースカルシウム、クロスカルメロースナトリウム、クロスポピドン)、被膜剤(例;セルロース類(ヒドロキシプロピルセルロース(HPC)、ヒドロキシプロピルメチルセルロース(HPMC)、アミノアルキルメタクリレートコポリマーE、メタクリル酸コポリマーLD)、可塑剤(例;クエン酸トリエチル、マクロゴール)、隠蔽剤(例;酸化チタン)、着色剤、香味剤、防腐剤(例;塩化ベンザルコニウム、パラオキシ安息香酸エステル)、等張化剤(例;グリセリン、塩化ナトリウム、塩化カルシウム、マンニトール、ブドウ糖)、pH調節剤(例;水酸化ナトリウム、水酸化カリウム、炭酸ナトリウム、塩酸、硫酸、リン酸緩衝液などの緩衝液)、安定化剤(例;糖、糖アルコール、キサンタンガム)、分散剤、酸化防止剤(例;アスコルビン酸、ブチルヒドロキシアニソール(BHA)、没食子酸プロピル、dl-α-トコフェロール)、緩衝剤、保存剤(例;パラベン、ベンジルアルコール、塩化ベンザルコニウム)、芳香剤(例;バニリン、l-メントール、ローズ油)、溶解補助剤(例;ポリオキシエチレン硬化ヒマシ油、ポリソルベート80、ポリエチレングリコール、リン脂質コレステロール、トリエタノールアミン)、吸収促進剤(例;グリコール酸ナトリウム、エデト酸ナトリウム、カプリン酸ナトリウム、アシルカルニチン類、リモネン)、ゲル化剤、懸濁化剤、または乳化剤、一般的に用いられる適当な添加剤または溶媒の類を、本発明の化合物と適宜組み合わせて種々の剤形とすることが出来る。
[Formulation of the preventive / therapeutic agent of the present invention]
The medicament of the present invention is administered in the form of a pharmaceutical composition.
The pharmaceutical composition of the present invention only needs to contain at least one compound represented by the formula (I) of the present invention, and is prepared in combination with a pharmaceutically acceptable additive. More specifically, excipients (eg; lactose, sucrose, mannitol, crystalline cellulose, silicic acid, corn starch, potato starch), binders (eg; celluloses (hydroxypropylcellulose (HPC), hydroxypropylmethylcellulose ( HPMC)), crystalline cellulose, saccharides (lactose, mannitol, sucrose, sorbitol, erythritol, xylitol), starches (corn starch, potato starch), pregelatinized starch, dextrin, polyvinylpyrrolidone (PVP), macrogol, polyvinyl Alcohol (PVA)), lubricant (eg; magnesium stearate, calcium stearate, talc, carboxymethylcellulose), disintegrant (eg; starches (corn starch, potato starch), carbo Cymethyl starch sodium, carmellose, carmellose calcium, croscarmellose sodium, crospovidone), coating agent (eg; celluloses (hydroxypropylcellulose (HPC), hydroxypropylmethylcellulose (HPMC), aminoalkyl methacrylate copolymer E, methacrylic acid) Copolymer LD), plasticizers (eg triethyl citrate, macrogol), masking agents (eg titanium oxide), colorants, flavoring agents, preservatives (eg benzalkonium chloride, paraoxybenzoate), isotonic Agents (eg, glycerin, sodium chloride, calcium chloride, mannitol, glucose), pH regulators (eg, buffers such as sodium hydroxide, potassium hydroxide, sodium carbonate, hydrochloric acid, sulfuric acid, phosphate buffer), stable Agent (eg, sugar, sugar a) (Alcohol, xanthan gum), dispersant, antioxidant (eg; ascorbic acid, butylhydroxyanisole (BHA), propyl gallate, dl-α-tocopherol), buffer, preservative (eg; paraben, benzyl alcohol, benzal chloride) Luconium), fragrance (eg, vanillin, l-menthol, rose oil), solubilizer (eg, polyoxyethylene hydrogenated castor oil, polysorbate 80, polyethylene glycol, phospholipid cholesterol, triethanolamine), absorption enhancer (E.g., sodium glycolate, sodium edetate, sodium caprate, acylcarnitines, limonene), gelling agents, suspending agents or emulsifiers, commonly used suitable additives or solvents It can be combined with the compounds of the invention as appropriate to form various dosage forms. Come.
 種々の剤形とは、錠剤、カプセル剤、顆粒剤、散剤、丸剤、エアゾール剤、吸入剤、軟膏剤、貼付剤、坐剤、注射剤、トローチ剤、液剤、酒精剤、懸濁剤、エキス剤、エリキシル剤等があげられる。また、経口、皮下投与、筋肉内投与、鼻腔内投与、経皮投与、静脈内投与、動脈内投与、神経周囲投与、硬膜外投与、硬膜下腔内投与、脳室内投与、直腸内投与、吸入等により患者に投与し得る。Various dosage forms include tablets, capsules, granules, powders, pills, aerosols, inhalants, ointments, patches, suppositories, injections, lozenges, liquids, spirits, suspensions, Examples include extract and elixir. Oral, subcutaneous administration, intramuscular administration, intranasal administration, transdermal administration, intravenous administration, intraarterial administration, perineural administration, epidural administration, intradural administration, intraventricular administration, intrarectal administration It can be administered to a patient by inhalation or the like.
 本発明化合物の投与量は、通常成人1日当たり0.005mg~3.0g、好ましくは0.05mg~2.5g、より好ましくは0.1mg~1.5gであるが、症状あるいは投与経路に応じて適宜増減できる。The dose of the compound of the present invention is usually 0.005 mg to 3.0 g, preferably 0.05 mg to 2.5 g, more preferably 0.1 mg to 1.5 g per day for an adult. Can be increased or decreased as appropriate.
 全量を1回あるいは2-6回に分割して経口または非経口投与することや、点滴静注等、連続投与することも可能である。The entire amount can be divided into 1 or 2-6 doses, orally or parenterally, or can be administered continuously by intravenous infusion.
[製剤例]
 以下に、本発明の医薬組成物の例を挙げる。
製剤例1 錠剤
  実施例6の化合物           100g
  乳糖                 137g
  結晶セルロース             30g
  ヒドロキシプロピルセルロース      15g
  カルボキシメチルスターチナトリウム   15g
  ステアリン酸マグネシウム         3g
 上記成分を秤量した後,均一に混合する。この混合物を打錠して重量150mgの錠剤とする。
[Formulation example]
The following are examples of the pharmaceutical composition of the present invention.
Formulation Example 1 Tablet Compound of Example 6 100 g
137g of lactose
Crystalline cellulose 30g
Hydroxypropylcellulose 15g
Carboxymethyl starch sodium 15g
Magnesium stearate 3g
Weigh the above ingredients and mix uniformly. This mixture is compressed into tablets having a weight of 150 mg.
製剤例2 フィルムコーティング
  ヒドロキシプロピルメチルセルロース    9g
  マクロゴール6000           1g
  酸化チタン                2g
 上記成分を秤量した後,ヒドロキシプロピルメチルセルロース、マクロゴール6000を水に溶解、酸化チタンを分散させる。この液を、製剤例1の錠剤300gにフィルムコーティングし、フィルムコート錠を得る。
Formulation Example 2 Film Coating Hydroxypropylmethylcellulose 9g
Macrogol 6000 1g
Titanium oxide 2g
After weighing the above components, hydroxypropylmethylcellulose and macrogol 6000 are dissolved in water and titanium oxide is dispersed. This liquid is film-coated on 300 g of the tablet of Preparation Example 1 to obtain film-coated tablets.
製剤例3 カプセル剤
  実施例11の化合物           50g
  乳糖                 435g
  ステアリン酸マグネシウム        15g
 上記成分を秤量した後、均一に混合する。混合物をカプセル封入器にて適当なハードカプセルに重量300mgずつ充填し、カプセル剤とする。
Formulation Example 3 Capsule Compound of Example 11 50g
Lactose 435g
Magnesium stearate 15g
The above ingredients are weighed and mixed uniformly. The mixture is filled into an appropriate hard capsule in an amount of 300 mg in a capsule encapsulator to form a capsule.
製剤例4 カプセル剤
  実施例15の化合物           100g
  乳糖                  63g
  トウモロコシデンプン          25g
  ヒドロキシプロピルセルロース      10g
  タルク                  2g
 上記成分を秤量した後、実施例15の化合物、乳糖、トウモロコシデンプンを均一に混合し、ヒドロキシプロピルセルロースの水溶液を加え、湿式造粒法により顆粒を製造する。この顆粒にタルクを均一に混合し,適当なハードカプセルに重量200mgずつ充填し,プセル剤とする。
Formulation Example 4 Capsule Compound of Example 15 100 g
Lactose 63g
Corn starch 25g
Hydroxypropylcellulose 10g
Talc 2g
After weighing the above components, the compound of Example 15, lactose and corn starch are uniformly mixed, an aqueous solution of hydroxypropylcellulose is added, and granules are produced by wet granulation. Talc is uniformly mixed with the granules, and 200 mg each is filled into a suitable hard capsule to form a pushell.
製剤例5 散剤
  実施例16の化合物          200g
  乳糖                 790g
  ステアリン酸マグネシウム        10g
 上記成分をそれぞれ秤量した後、均一に混合し、20%散剤とする。
製剤例6 顆粒剤、細粒剤
  実施例18の化合物          100g
  乳糖                 200g
  結晶セルロース            100g
  部分α化デンプン            50g
  ヒドロキシプロピルセルロース      50g
 上記成分を秤量した後、実施例18の化合物、乳糖、結晶セルロース,部分α化デンプンを加えて均一に混合し、ヒドロキシプロピルセルロース(HPC)の水溶液を加え、湿式造粒法により顆粒又は細粒を製造する。この顆粒又は細粒を乾燥し、顆粒剤又は細粒剤とする。
Formulation Example 5 Powder 200 g of the compound of Example 16
790 g of lactose
Magnesium stearate 10g
After weighing each of the above components, they are mixed uniformly to form a 20% powder.
Formulation Example 6 Granules, Fine Granules Compound of Example 18 100 g
Lactose 200g
Crystalline cellulose 100g
Partially pregelatinized starch 50g
Hydroxypropylcellulose 50g
After weighing the above components, the compound of Example 18, lactose, crystalline cellulose, and partially pregelatinized starch were added and mixed uniformly, an aqueous solution of hydroxypropylcellulose (HPC) was added, and granules or fine granules were obtained by wet granulation. Manufacturing. The granules or fine granules are dried to obtain granules or fine granules.
[薬理実験例]
 以下に実験例を挙げて、本発明を具体的に説明するが、本発明はこれらによって何ら限定されるものではない。
[Examples of pharmacological experiments]
Hereinafter, the present invention will be described in detail with reference to experimental examples, but the present invention is not limited thereto.
 薬理実験例1:in vitro化合物評価
酵素阻害活性評価
 IMAP TR-FRET Phosphodiersterase Evaluation Assay Kit(モレキュラーデバイス)を用いて測定した。384ウェルプレート(Corning)に希釈した各濃度の被検化合物10μLおよび酵素希釈液(25mM Tris-HCl、pH8.0、100mM NaCl、0.05% Tween-20、30%グリセロール、3mM DTT)で100 μg/mLに希釈したPDE10酵素(BPAバイオサイエンス)5μLを加え、5分間室温にてプレインキュベーションした。基質としてキット添付のcAMP基質5μLを加えて60分間室温にて反応させた。さらにキット添付のBinding Buffer 60μLを添加して3時間以上放置したのち、ARVO SX(PerkinElmer)にて励起波長340nm、発光波長490nmおよび520nmでの蛍光強度を測定することによって産生された5‘-AMPの量を算出した。被検化合物の代わりに溶媒を添加したウェルのカウントを0%、cAMP基質を加えていないウェルのカウントを100%として各被検化合物の阻害活性を算出した。
 全ての実施例化合物について、PDE10阻害活性(IC50値)を測定した。これら全ての実施例化合物のIC50値は概ね、0.01nmol/L~300nmol/Lの範囲であった。以下に、IC50値が10nmol/L以上100nmol/L未満の本発明の化合物を+として、IC50値が1nmol/L以上10nmol/L未満の本発明の化合物を++として、IC50値が1nmol/L未満の化合物を+++として表2に示した。
Pharmacological experiment example 1: In vitro compound evaluation Enzyme inhibitory activity evaluation IMAP TR-FRET Phosphosterase Evaluation Assay Kit (Molecular device) was used for measurement. 10 μL of each concentration of test compound diluted in 384 well plate (Corning) and enzyme dilution solution (25 mM Tris-HCl, pH 8.0, 100 mM NaCl, 0.05% Tween-20, 30% glycerol, 3 mM DTT) 100 5 μL of PDE10 enzyme (BPA bioscience) diluted to μg / mL was added and preincubated for 5 minutes at room temperature. As a substrate, 5 μL of cAMP substrate attached to the kit was added and reacted at room temperature for 60 minutes. Further, 60 μL of Binding Buffer attached to the kit was added and allowed to stand for 3 hours or more, and then 5′-AMP produced by measuring fluorescence intensity at an excitation wavelength of 340 nm, an emission wavelength of 490 nm and 520 nm with ARVO SX (PerkinElmer). The amount of was calculated. The inhibitory activity of each test compound was calculated by setting the count of wells to which a solvent was added instead of the test compound to 0% and the count of wells to which no cAMP substrate was added to 100%.
PDE10 inhibitory activity (IC50 value) was measured for all Example compounds. The IC50 values of all these example compounds were generally in the range of 0.01 nmol / L to 300 nmol / L. In the following, the compound of the present invention having an IC50 value of 10 nmol / L or more and less than 100 nmol / L is defined as +, the compound of the present invention having an IC50 value of 1 nmol / L or more and less than 10 nmol / L is represented as ++, and the IC50 value is less than 1 nmol / L. These compounds are shown in Table 2 as ++.
 
Figure JPOXMLDOC01-appb-T000214
Figure JPOXMLDOC01-appb-T000215
Figure JPOXMLDOC01-appb-T000216
Figure JPOXMLDOC01-appb-T000217
Figure JPOXMLDOC01-appb-T000218
Figure JPOXMLDOC01-appb-T000219
Figure JPOXMLDOC01-appb-T000220
Figure JPOXMLDOC01-appb-T000221
Figure JPOXMLDOC01-appb-T000222
Figure JPOXMLDOC01-appb-T000223
Figure JPOXMLDOC01-appb-T000224
 
Figure JPOXMLDOC01-appb-T000214
Figure JPOXMLDOC01-appb-T000215
Figure JPOXMLDOC01-appb-T000216
Figure JPOXMLDOC01-appb-T000217
Figure JPOXMLDOC01-appb-T000218
Figure JPOXMLDOC01-appb-T000219
Figure JPOXMLDOC01-appb-T000220
Figure JPOXMLDOC01-appb-T000221
Figure JPOXMLDOC01-appb-T000222
Figure JPOXMLDOC01-appb-T000223
Figure JPOXMLDOC01-appb-T000224
薬理実験例2:in vivo試験例
 
動物
 雄性Sprague-Dawleyラットを日本チャールスリバー株式会社 (日本)から購入した。飼育施設に到着後、動物を少なくとも一週間の馴化期間をおいて実験に使用した。動物は、温度と湿度をコントロールした実験室で、12時間明暗サイクル下で飼育し、食餌と水を自由摂取させた。
 
薬物投与
 被験化合物は、0.5w/v%メチルセルロース400溶液 (和光純薬工業株式会社、日本)に懸濁し、経口投与 (p.o.)した。(+)-MK-801 hydrogen maleate ((5R,10S)-(+)-5-メチル-10,11-ジヒドロ-5H-ジベンゾ[a,d]シクロヘプテン-5,10-イミンマレイン酸水素塩、シグマアルドリッチ、セントルイス、ミズーリ州) は、生理食塩水に溶解し、皮下投与(s.c.)した。ラットに対して被験化合物は5 mL/kg体重、MK-801は1 mL/kg体重の容量で投与した。
 
MK-801誘発自発運動量亢進に対する拮抗作用
 げっ歯類において精神刺激誘発薬 (例、アンフェタミン、コカイン、メタンフェタミン、MK-801及びフェンシクリジン)による自発運動量亢進の評価は、統合失調症の動物モデルとして広く汎用されている (Schizophrenia Bulletin 2010, vol.36:1066-1072; Psychopharmacology 1999, vol.145:237-250)。ラットにおける被験化合物のMK-801誘発自発運動量亢進に対する拮抗作用について試験した。試験まで、雄性Sprague-Dawleyラット (約300g)を、飼育ケージ内で測定を実施する部屋に60分以上馴化させた。馴化後、動物に溶媒又は化合物 (0.3または1 mg/kg体重)のいずれかを経口投与し、すぐに飼育ケージに戻した。被験化合物の投与60分後に、再び動物を飼育ケージより取り出し、溶媒 (生理食塩水)またはMK-801 (0.2 mg/kg体重)を皮下投与し、すぐに動物を赤外線センサーの付いた自発運動量測定チャンバー (室町機械株式会社、日本)に入れて測定を開始した。自発運動量は、10分ごとにカウントした。MK-801投与後120分間の累積カウントを各処置群について計算した。全てのデータは平均値と平均値の標準誤差 (n=6)として表した。統計解析は、コントロール群とMK-801単独投与群の比較についてはStudent’s t-testを用い (p<0.05で有意差あり)、MK-801単独投与群と被験化合物投与群の比較についてはDunnett’s test (p<0.05で有意差あり)を用いて解析した。結果を下記表に示す。
Figure JPOXMLDOC01-appb-T000225
 MK-801(0.2 mg/kg体重,s.c.)処置の60分前に経口投与することにより、被験化合物はMK-801誘発の自発運動量亢進に対して有意な抑制作用を示した。**p<0.01 (コントロール群とMK-801単独投与群の比較、Student’s t-test)。#p<0.05,##p<0.01 (MK-801単独投与群と被験化合物投与群の比較、Dunnett’s test)。
Pharmacological experiment example 2: In vivo test example
Animals Male Sprague-Dawley rats were purchased from Nihon Charles River Co., Ltd. (Japan). After arriving at the breeding facility, the animals were used for experiments with an acclimatization period of at least one week. Animals were housed under a 12 hour light / dark cycle in a laboratory with controlled temperature and humidity, and were allowed free access to food and water.

Drug Administration The test compound was suspended in 0.5 w / v% methylcellulose 400 solution (Wako Pure Chemical Industries, Ltd., Japan) and orally administered (po). (+)-MK-801 hydrogen maleate ((5R, 10S)-(+)-5-methyl-10,11-dihydro-5H-dibenzo [a, d] cycloheptene-5,10-imine maleic acid hydrogen salt, (Sigma Aldrich, St. Louis, MO) was dissolved in saline and administered subcutaneously (sc). The test compound was administered to rats at a volume of 5 mL / kg body weight, and MK-801 was administered at a volume of 1 mL / kg body weight.

Antagonism against MK-801-induced increased locomotor activity Evaluation of increased locomotor activity by psychostimulants (eg, amphetamine, cocaine, methamphetamine, MK-801 and phencyclidine) in rodents is an animal model of schizophrenia Widely used (Schizophrenia Bulletin 2010, vol. 36: 1066-1072; Psychopharmacology 1999, vol. 145: 237-250). The test compound was tested for antagonism against MK-801-induced increased locomotor activity in rats. Until the test, male Sprague-Dawley rats (approximately 300 g) were acclimated to the room in which the measurements were performed in the housing cage for at least 60 minutes. After habituation, animals were orally administered either solvent or compound (0.3 or 1 mg / kg body weight) and immediately returned to their home cage. Sixty minutes after administration of the test compound, the animals were again taken out of the cage and administered subcutaneously with solvent (saline) or MK-801 (0.2 mg / kg body weight), and the animals were spontaneously attached with an infrared sensor. Measurement was started by placing it in a momentum measurement chamber (Muromachi Kikai Co., Ltd., Japan). Spontaneous exercise was counted every 10 minutes. Cumulative counts for 120 minutes after MK-801 administration were calculated for each treatment group. All data were expressed as mean and standard error of mean (n = 6). For statistical analysis, Student's t-test was used for comparison between the control group and the MK-801 single administration group (significant difference at p <0.05). Comparison between the MK-801 single administration group and the test compound administration group Was analyzed using Dunnett's test (p <0.05 with significant difference). The results are shown in the table below.
Figure JPOXMLDOC01-appb-T000225
When administered orally 60 minutes prior to treatment with MK-801 (0.2 mg / kg body weight, sc), the test compound exhibited a significant inhibitory effect on MK-801-induced spontaneous motor momentum. . ** p <0.01 (Comparison between control group and MK-801 single administration group, Student's t-test). #P <0.05, ## p <0.01 (comparison between MK-801 single administration group and test compound administration group, Dunnett's test).
 薬理実験例3:溶解性試験
(1)DMSO析出溶解性(Kinetic Solubility)
 本発明の化合物の10mMのDMSO 溶液を最終濃度100μMとなるように50mMリン酸緩衝液(pH7.4)に添加する。その溶液を室温で1.5時間、600rpmにて撹拌しながらインキュベーションした後、フィルタープレート(4μm、MultiScreenSolubilityフィルタープレート(Millipore))でろ過し、プレートリーダー(Powerscan HT(大日本製薬))を用いて、ろ液の吸光度を最大吸収波長で測定する。同時に、既知濃度(1、3、10、30、100μM)の試験化合物を含む溶液を検量線標準溶液として各々の標準溶液吸光度を測定し、検量線を作成する。ろ液および標準溶液の吸光度値より化合物の溶解度(μM)を算出する。
Pharmacological Experiment Example 3: Solubility Test (1) DMSO Precipitation Solubility (Kinetic Solubility)
A 10 mM DMSO solution of the compound of the present invention is added to a 50 mM phosphate buffer (pH 7.4) to a final concentration of 100 μM. The solution was incubated at 600 rpm with stirring at room temperature for 1.5 hours, filtered through a filter plate (4 μm, MultiScreen Solidity filter plate (Millipore)), and then using a plate reader (Powerscan HT (Dainippon Pharmaceutical)). The absorbance of the filtrate is measured at the maximum absorption wavelength. At the same time, each standard solution absorbance is measured using a solution containing a test compound having a known concentration (1, 3, 10, 30, 100 μM) as a calibration curve standard solution, and a calibration curve is created. The solubility (μM) of the compound is calculated from the absorbance values of the filtrate and standard solution.
(2)結晶溶解性(Thermodynamic Solubility)
 本発明の化合物を1mg/mLとなるように水に添加する。その溶液を37℃で24時間静置した後、遠心分離する。得られた上清をHPLCを用いて、最大吸収波長においてピークを検出し、ピーク面積を測定する。同様に既知濃度(0.03、0.1、0.3、1、3、10μg/mL)の試験化合物を含む溶液を検量線標準溶液として各々のピーク面積を測定し、検量線のピーク面積より化合物の溶解度(μg/mL)を算出する。
(2) Crystal solubility (Thermodynamic Solubility)
The compound of the present invention is added to water to 1 mg / mL. The solution is allowed to stand at 37 ° C. for 24 hours and then centrifuged. Using the obtained supernatant, a peak is detected at the maximum absorption wavelength using HPLC, and the peak area is measured. Similarly, each peak area is measured using a solution containing a test compound having a known concentration (0.03, 0.1, 0.3, 1, 3, 10 μg / mL) as a calibration curve standard solution, and the peak area of the calibration curve is measured. From the above, the solubility (μg / mL) of the compound is calculated.
薬理実験例4:代謝安定性試験
 本発明の化合物の10mMのDMSO 溶液を最終濃度1μMとなるように肝ミクロソーム溶液(ヒト、ラット;XenoTech)、NADPH生成溶液(β-NADP、Glucose-6-Phosphate、G-6-PDH(Y)、MgCl2を含む水)に添加する。その溶液を37℃で10分または20分間インキュベートした後、アセトニトリルで反応停止する。反応液をフィルタープレート(MultiScreenHTS-HVプレート(Millipore))で遠心ろ過し、高速液体クロマトグラム/マススペクトロメトリーを用いて、ろ液中の試験化合物を測定する。同様に反応時間0分のサンプルをコントロールとして測定し、ミクロソーム反応サンプルとコントロールの比より、代謝速度および分解率(%)を算出する。
Pharmacological Experiment Example 4: Metabolic Stability Test Liver microsomal solution (human, rat; XenoTech), NADPH generating solution (β-NADP, Glucose-6-Phosphate) with 10 mM DMSO solution of the compound of the present invention to a final concentration of 1 μM , G-6-PDH (Y), water containing MgCl 2). The solution is incubated at 37 ° C. for 10 or 20 minutes and then quenched with acetonitrile. The reaction solution is subjected to centrifugal filtration using a filter plate (MultiScreen HTS-HV plate (Millipore)), and the test compound in the filtrate is measured using high performance liquid chromatogram / mass spectrometry. Similarly, a sample with a reaction time of 0 minutes is measured as a control, and a metabolic rate and a degradation rate (%) are calculated from the ratio of the microsome reaction sample and the control.
薬理実験例5:パッチクランプ法によるhERG阻害試験
 hERG(human ether-a-go-go related gene)チャネルに対する作用を全自動パッチクランプシステム(Patchliner(Nanion))を用いて測定する。細胞(hERG-HEK(Upstate))のhERG IKr電流を確認するため、膜電位を-80mVに保持して定期的に脱分極パルスを加える。発生した電流が安定した後、試験化合物を添加する。試験化合物のhERGチャネルに対する作用は、40mV、0.5秒間の脱分極パルスに続く-40mV、0.5秒間の再分極パルスによって誘導されるテール電流の変化によって確認する。刺激は10秒に1回の頻度で行う。測定は室温で行う。hERGチャネル阻害率は、試験化合物適用前の最大テール電流に対する適用2分後のテール電流の減少率(抑制率)として算出する。
 この抑制率を算出することにより、薬物によるQT延長とそれに続く致死的な副作用(心室頻拍や突然死など)を誘発する可能性が示される。
Pharmacological Experiment Example 5 hERG Inhibition Test by Patch Clamp Method The effect on hERG (human ether-a-go-related gene) channels is measured using a fully automatic patch clamp system (Patchliner (Nanion)). In order to confirm the hERG IKr current of the cells (hERG-HEK (Upstate)), a depolarizing pulse is periodically applied while maintaining the membrane potential at −80 mV. After the generated current has stabilized, the test compound is added. The effect of the test compound on the hERG channel is confirmed by a change in tail current induced by a -40 mV, 0.5 second depolarizing pulse followed by a -40 mV, 0.5 second repolarizing pulse. Stimulation is performed once every 10 seconds. The measurement is performed at room temperature. The hERG channel inhibition rate is calculated as a reduction rate (inhibition rate) of the tail current 2 minutes after application with respect to the maximum tail current before application of the test compound.
By calculating this suppression rate, the possibility of inducing QT prolongation by drugs and subsequent fatal side effects (such as ventricular tachycardia and sudden death) is shown.
薬理実験例6:蛋白結合率試験
 本発明の化合物の10mMのDMSO 溶液を最終濃度10μMとなるように正常血漿(ヒト、ラット)に添加する。簡易平衡透析装置(RED Device(Linden Bioscience))にて37℃で4時間透析した後、透析膜の内側(血漿側)溶液と外側(PBS側)溶液を、高速液体クロマトグラム/マススペクトロメトリーを用いて、試料中の試験化合物を測定する。PBS側と血漿側の比から非結合分率(%)を算出し、100-非結合分率(%)より蛋白結合率(%)を算出する。
Pharmacological Experiment Example 6: Protein Binding Rate Test A 10 mM DMSO solution of the compound of the present invention is added to normal plasma (human, rat) to a final concentration of 10 μM. After dialysis for 4 hours at 37 ° C using a simple equilibrium dialysis machine (RED Device (Linden Bioscience)), the solution on the inner (plasma side) and outer (PBS side) of the dialysis membrane was subjected to high-performance liquid chromatogram / mass spectrometry. Used to measure the test compound in the sample. The non-binding fraction (%) is calculated from the ratio between the PBS side and the plasma side, and the protein binding rate (%) is calculated from 100−non-binding fraction (%).
薬理実験例7:ファーマコキネティクス試験(ラットカセットPK)
 本発明の化合物を7あるいは8週齢の雄性Slc:SDに1mg/kg(投与溶媒は、DMSO:Tween80:超純水=1:1:8、10mL/kg)で経口単回投与した後、0.5、1、2、4時間後に頚静脈より採血する。血液を遠心分離(3000rpm、15分間、4℃)して得られた血漿を用いて、高速液体クロマトグラム/マススペクトロメトリーにて、血漿中の試験化合物を測定する。同様に既知濃度(0.01、0.02、0.05、0.1、0.2、0.5、1μg/mL)の試験化合物を含む標準溶液を用いて作成した検量線より血漿中濃度(μg/mL)を算出し、最高血漿中濃度をCmax(μg/mL)とする。
Pharmacological experiment example 7: Pharmacokinetics test (rat cassette PK)
After a single oral administration of the compound of the present invention to 7- or 8-week-old male Slc: SD at 1 mg / kg (administration solvent: DMSO: Tween 80: ultrapure water = 1: 1: 8, 10 mL / kg), Blood is collected from the jugular vein 0.5, 1, 2, 4 hours later. Using plasma obtained by centrifuging blood (3000 rpm, 15 minutes, 4 ° C.), the test compound in plasma is measured by high performance liquid chromatogram / mass spectrometry. Similarly, in a plasma from a calibration curve prepared using a standard solution containing a test compound having a known concentration (0.01, 0.02, 0.05, 0.1, 0.2, 0.5, 1 μg / mL) The concentration (μg / mL) is calculated, and the maximum plasma concentration is defined as Cmax (μg / mL).
 以上の結果より、本発明の化合物は、優れたPDE10阻害剤遮断活性を有していることが示される。また、in vivoの統合失調症モデルでの統合失調症薬の効果を示す。From the above results, it is shown that the compound of the present invention has an excellent PDE10 inhibitor blocking activity. In addition, the effects of schizophrenia drugs in an in vivo schizophrenia model are shown.
 更に、本発明の好ましい化合物は、hERG(human ether-a-go-go related gene)チャネルの50%阻害活性が10μMを下回らない。Furthermore, the preferred compound of the present invention has a 50% inhibitory activity of hERG (human ether-a-go-go related gene) channel not lower than 10 μM.
 従って、本発明の化合物は、選択的なPDE10阻害剤として、統合失調症、妄想性障害、および薬物誘発性疾患などのある種の精神性障害および状態;恐慌性障害および強迫性障害などの不安障害;ならびにパーキンソン病およびハンチントン病を包含する運動障害の予防または治療剤に用いることが期待される。Thus, the compounds of the present invention are selective PDE10 inhibitors, as well as certain psychiatric disorders and conditions such as schizophrenia, paranoid disorders, and drug-induced diseases; anxiety such as panic disorder and obsessive-compulsive disorder It is expected to be used as a preventive or therapeutic agent for disorders; and movement disorders including Parkinson's disease and Huntington's disease.
 次に、本発明をさらに詳細に説明するために実施例をあげるが、本発明はこれに限定されるものではない。
 核磁気共鳴スペクトル(NMR)の測定には、ジェオ-ルJNM-ECX400(JEOL JNM-ECX400)FT-NMR(日本電子(株)製)、ジェオ-ルJNM-ECX300(JEOL JNM-ECX300)FT-NMR(日本電子(株)製)を用いた。LC-Massは以下のいずれかの方法で測定した。Waters FractionLynx MSシステム(Waters製)を用い、カラムはWaters製、SunFireカラム(4.6mm×5cm、5μm)を用い、移動相は、[メソッドA]メタノール:0.05%酢酸水溶液=10:90(0分)~100:0(5分)~100:0(7分)、または[メソッドB]メタノール:0.05%トリフルオロ酢酸水溶液=10:90(0分)~100:0(5分)~100:0(7分)のグラジエント条件を用いる方法。UPLC/MSはWaters UPLC-ZQ MSシステム(Waters製)を用い、カラムは資生堂製、MGIII-H(2.1mm×5cm、3μm)を用い、移動層は、[メソッドC]メタノール:0.05%トリフルオロ酢酸水溶液=5:95(0分)~100:0(1分)~100:0(2分)のグラジエント条件を用いた。
分取系には化合物により適宜変更したグラジエント条件を用いた。
Next, examples are given to describe the present invention in more detail, but the present invention is not limited thereto.
For the measurement of nuclear magnetic resonance spectrum (NMR), Geol JNM-ECX400 (JEOL JNM-ECX400) FT-NMR (manufactured by JEOL Ltd.), Geol JNM-ECX300 (JEOL JNM-ECX300) FT- NMR (manufactured by JEOL Ltd.) was used. LC-Mass was measured by one of the following methods. A Waters FractionLynx MS system (manufactured by Waters) was used, a column manufactured by Waters and a SunFire column (4.6 mm × 5 cm, 5 μm) were used, and the mobile phase was [Method A] methanol: 0.05% acetic acid aqueous solution = 10: 90. (0 min) to 100: 0 (5 min) to 100: 0 (7 min), or [Method B] methanol: 0.05% aqueous trifluoroacetic acid = 10: 90 (0 min) to 100: 0 (5 Min) to 100: 0 (7 min) gradient conditions. For UPLC / MS, a Waters UPLC-ZQ MS system (manufactured by Waters) was used, the column was made by Shiseido, MGIII-H (2.1 mm × 5 cm, 3 μm), and the moving bed was [Method C] methanol: 0.05. % Trifluoroacetic acid aqueous solution = 5: 95 (0 min) to 100: 0 (1 min) to 100: 0 (2 min) gradient conditions were used.
For the preparative system, gradient conditions appropriately changed depending on the compound were used.
(参考例1)
(E)-2-(2-(6-ブロモピリジン-2-イル)ビニル)-5,8-ジメチル-[1,2,4]トリアゾロ[1,5-a]ピラジンの合成
Figure JPOXMLDOC01-appb-C000226
 6-ブロモ-2-ピリジンカルボキシアルデヒド(100mg)のテトラヒドロフラン(5ml)溶液に、[WO2009/152825号パンフレット 実施例11]に記載された方法に準じて合成した((5,8-ジメチル-[1,2,4]トリアゾロ[1,5-a]ピラジン-2-イル)メチル)トリフェニルホスホニウムクロリド(247mg)及び1,8-ジアザビシクロ[5.4.0]ウンデカ-7-エン(DBU:89μl)を加え、室温にて20時間攪拌した。反応溶液に水(10ml)を加え、析出物を濾取し、水洗後、減圧下乾燥して、標記化合物(164mg)を得た。
(参考例2)
5,8-ジメチル-[1,2,4]トリアゾロ[1,5-a]ピラジン-2-カルボキシアルデヒドの合成
Figure JPOXMLDOC01-appb-C000227
<工程1>
2-(クロロメチル)-5,8-ジメチル-[1,2,4]トリアゾロ[1,5-a]ピラジンの合成
Figure JPOXMLDOC01-appb-C000228
 [WO2009/152825号パンフレット 44頁]に記載された方法に準じて合成した1-アミノ-3,6-ジメチルピラジン-2(1H)-イミニウム 2,4,6-トリメチルベンゼンスルフォネート(500mg)の1,2-ジクロロエタン(5.9ml)溶液に、トリエチルアミン(0.82ml)を加えた。反応溶液に氷冷下、クロロアセチルクロリド(0.35ml)を加え、75度にて6時間攪拌した。反応溶液を室温に冷却したのち、トリエチルアミン(0.41ml)及びクロロアセチルクロリド(0.18ml)を氷冷下順次加え、75度にてさらに15時間攪拌した。反応溶液を室温に冷却した後、水(40ml)を加え、酢酸エチル(20ml)で4回抽出し、飽和食塩水(40ml)で洗浄した後、無水硫酸ナトリウムで乾燥した。減圧下溶媒を留去し、得られた残渣をシリカゲルカラムクロマトグラフィー(溶出液;n-ヘキサン:酢酸エチル=80:20~60:40)で精製し、減圧下溶媒を留去し、標記化合物(230mg)を茶色固体として得た。
(Reference Example 1)
Synthesis of (E) -2- (2- (6-Bromopyridin-2-yl) vinyl) -5,8-dimethyl- [1,2,4] triazolo [1,5-a] pyrazine
Figure JPOXMLDOC01-appb-C000226
It was synthesized in a solution of 6-bromo-2-pyridinecarboxaldehyde (100 mg) in tetrahydrofuran (5 ml) according to the method described in [WO2009 / 152825, Example 11] ((5,8-dimethyl- [1 , 2,4] triazolo [1,5-a] pyrazin-2-yl) methyl) triphenylphosphonium chloride (247 mg) and 1,8-diazabicyclo [5.4.0] undec-7-ene (DBU: 89 μl) ) And stirred at room temperature for 20 hours. Water (10 ml) was added to the reaction solution, and the precipitate was collected by filtration, washed with water, and dried under reduced pressure to obtain the title compound (164 mg).
(Reference Example 2)
Synthesis of 5,8-dimethyl- [1,2,4] triazolo [1,5-a] pyrazine-2-carboxaldehyde
Figure JPOXMLDOC01-appb-C000227
<Step 1>
Synthesis of 2- (chloromethyl) -5,8-dimethyl- [1,2,4] triazolo [1,5-a] pyrazine
Figure JPOXMLDOC01-appb-C000228
1-amino-3,6-dimethylpyrazine-2 (1H) -iminium 2,4,6-trimethylbenzenesulfonate synthesized in accordance with the method described in [WO2009 / 152825, pamphlet, page 44] (500 mg) Triethylamine (0.82 ml) was added to a solution of 1,2-dichloroethane in 5.9 ml. Chloroacetyl chloride (0.35 ml) was added to the reaction solution under ice cooling, and the mixture was stirred at 75 ° C. for 6 hours. After the reaction solution was cooled to room temperature, triethylamine (0.41 ml) and chloroacetyl chloride (0.18 ml) were sequentially added under ice cooling, and the mixture was further stirred at 75 ° C. for 15 hours. The reaction solution was cooled to room temperature, water (40 ml) was added, extracted four times with ethyl acetate (20 ml), washed with saturated brine (40 ml), and dried over anhydrous sodium sulfate. The solvent was distilled off under reduced pressure, and the resulting residue was purified by silica gel column chromatography (eluent; n-hexane: ethyl acetate = 80: 20-60: 40). The solvent was distilled off under reduced pressure to give the title compound (230 mg) was obtained as a brown solid.
<工程2>
5,8-ジメチル-[1,2,4]トリアゾロ[1,5-a]ピラジン-2-カルボキシアルデヒドの合成
Figure JPOXMLDOC01-appb-C000229
(参考例2)<工程1>で得られた、2-(クロロメチル)-5,8-ジメチル-[1,2,4]トリアゾロ[1,5-a]ピラジン(2.0g)の1,4-ジオキサン(68ml)溶液に、N-メチルモルフォリンN-オキシド(3.6g)及び臭化カリウム(1.6g)を順次加え、反応溶液を窒素雰囲気下、2.5時間加熱還流した。反応溶液を室温に冷却し、N-メチルモルフォリンN-オキシド(0.58g)を加え、反応溶液を窒素雰囲気下、さらに1.5時間加熱還流した。反応溶液を室温に冷却し、セライトにて濾過した後、1,4-ジオキサン(50ml)にて洗浄した。ろ液を減圧下濃縮し、得られた残渣をシリカゲルカラムクロマトグラフィー(溶出液;n-ヘキサン:酢酸エチル=0:100)で精製し、減圧下溶媒を留去し、標記化合物(1.2g)を白色固体として得た。
(参考例3)
5,8-ジメチル-[1,2,4]トリアゾロ[1,5-a]ピラジン-2-カルボキシアルデヒドの合成
Figure JPOXMLDOC01-appb-C000230
<工程1>
(5,8-ジメチル-[1,2,4]トリアゾロ[1,5-a]ピラジン-2-イル)メチルアセテートの合成
Figure JPOXMLDOC01-appb-C000231
(参考例2)<工程1>で得られた、2-(クロロメチル)-5,8-ジメチル-[1,2,4]トリアゾロ[1,5-a]ピラジン(1.5g)のN、N-ジメチルホルムアミド(15ml)溶液に、酢酸ナトリウム(0.70g)を加え、100度にて1時間攪拌した。反応溶液を室温に冷却し、水(5ml)及び飽和食塩水(5ml)を順次加え、酢酸エチル(10ml)で2回抽出した。有機相を無水硫酸ナトリウムで乾燥し、減圧下溶媒を留去し、標記化合物(1.53g)の粗生成物を薄茶色固体として得た。
<工程2>
(5,8-ジメチル-[1,2,4]トリアゾロ[1,5-a]ピラジン-2-イル)メタノールの合成
Figure JPOXMLDOC01-appb-C000232
<Step 2>
Synthesis of 5,8-dimethyl- [1,2,4] triazolo [1,5-a] pyrazine-2-carboxaldehyde
Figure JPOXMLDOC01-appb-C000229
Reference Example 2 1 of 2- (chloromethyl) -5,8-dimethyl- [1,2,4] triazolo [1,5-a] pyrazine (2.0 g) obtained in <Step 1> , 4-Dioxane (68 ml), N-methylmorpholine N-oxide (3.6 g) and potassium bromide (1.6 g) were sequentially added, and the reaction solution was heated to reflux for 2.5 hours under a nitrogen atmosphere. . The reaction solution was cooled to room temperature, N-methylmorpholine N-oxide (0.58 g) was added, and the reaction solution was further heated to reflux under a nitrogen atmosphere for 1.5 hours. The reaction solution was cooled to room temperature, filtered through celite, and washed with 1,4-dioxane (50 ml). The filtrate was concentrated under reduced pressure, and the obtained residue was purified by silica gel column chromatography (eluent; n-hexane: ethyl acetate = 0: 100). The solvent was evaporated under reduced pressure to give the title compound (1.2 g ) Was obtained as a white solid.
(Reference Example 3)
Synthesis of 5,8-dimethyl- [1,2,4] triazolo [1,5-a] pyrazine-2-carboxaldehyde
Figure JPOXMLDOC01-appb-C000230
<Step 1>
Synthesis of (5,8-dimethyl- [1,2,4] triazolo [1,5-a] pyrazin-2-yl) methyl acetate
Figure JPOXMLDOC01-appb-C000231
Reference Example 2 N of 2- (chloromethyl) -5,8-dimethyl- [1,2,4] triazolo [1,5-a] pyrazine (1.5 g) obtained in <Step 1> Sodium acetate (0.70 g) was added to a solution of N-dimethylformamide (15 ml), and the mixture was stirred at 100 ° C. for 1 hour. The reaction solution was cooled to room temperature, water (5 ml) and saturated brine (5 ml) were successively added, and the mixture was extracted twice with ethyl acetate (10 ml). The organic phase was dried over anhydrous sodium sulfate, and the solvent was distilled off under reduced pressure to obtain a crude product of the title compound (1.53 g) as a light brown solid.
<Step 2>
Synthesis of (5,8-dimethyl- [1,2,4] triazolo [1,5-a] pyrazin-2-yl) methanol
Figure JPOXMLDOC01-appb-C000232
(参考例3)<工程1>で得られた、5,8-ジメチル-[1,2,4]トリアゾロ[1,5-a]ピラジン-2-イル)メチルアセテート(1.5g)のメタノール(15ml)溶液に、炭酸セシウム(0.11g)を加え、1.5時間攪拌した。減圧下溶媒を留去し、標記化合物(1.36g)の粗生成物を白色固体として得た。
<工程3>
5,8-ジメチル-[1,2,4]トリアゾロ[1,5-a]ピラジン-2-カルボキシアルデヒドの合成
Figure JPOXMLDOC01-appb-C000233
(参考例3)<工程2>で得られた、(5,8-ジメチル-[1,2,4]トリアゾロ[1,5-a]ピラジン-2-イル)メタノール(1.2g)の塩化メチレン(48ml)溶液に、1,1,1-トリアセトキシ-1,1-ジヒドロ-1,2-ベンズヨードキソール-3(1H)-オン(デス・マーチン・ペルヨージナン:5.9g)を加え、1時間攪拌した。反応溶液に、飽和炭酸水素ナトリウム水溶液(70ml)を加え、塩化メチレン(200ml)で3回抽出した。有機相を無水硫酸ナトリウムで乾燥した後、減圧下溶媒を留去し、標記化合物(1.37g)の粗生成物を白色固体として得た。
(参考例4)
ジエチル((5,8-ジメチル-[1,2,4]トリアゾロ[1,5-a]ピラジン-2-イル)メチル)ホスホネートの合成
Figure JPOXMLDOC01-appb-C000234
(参考例2)<工程1>で得られた2-(クロロメチル)-5,8-ジメチル-[1,2,4]トリアゾロ[1,5-a]ピラジン(0.19g)に、亜リン酸トリエチル(0.5ml)及びテトラブチルアンモニウムヨージド(21mg)を順次加え、窒素雰囲気下、120度にて3.5時間攪拌した。反応溶液を室温に冷却し、水(10ml)及び飽和炭酸水素ナトリウム水溶液(20ml)を加え、酢酸エチル(20ml)で5回抽出した。有機相を合わせて、飽和食塩水(40ml)で洗浄した後、無水硫酸ナトリウムで乾燥し、減圧下溶媒を留去した。得られた残渣をNHシリカゲルカラムクロマトグラフィー(溶出液;n-ヘキサン:酢酸エチル=100:0-0:100)で精製し、減圧下溶媒を留去し、標記化合物(198mg)を黄色油状物質として得た。
(参考例5)
4-(アゼチジン-1-イル)-6-クロロピリミジン-2-カルボキシアルデヒドの合成
Figure JPOXMLDOC01-appb-C000235
(工程1)
4-(アゼチジン-1-イル)-6-クロロ-2-(クロロメチル)ピリミジンの合成
Figure JPOXMLDOC01-appb-C000236
文献既知の方法に準じて合成した4,6-ジクロロ-2-(クロロメチル)ピリミジン(0.1g)のイソプロパノール(3ml)溶液に、アゼチジン塩酸塩(71mg)及びトリエチルアミン(0.11ml)を加え、1時間加熱還流した。反応液を室温に冷却し、酢酸エチル(30ml)で希釈し、0.1規定塩酸(30ml)、水(20ml)、及び飽和食塩水(20ml)で洗浄した。有機相を無水硫酸ナトリウムで乾燥し、減圧下溶媒を留去した。得られた残渣をシリカゲルカラムクロマトグラフィー(溶出液;n-ヘキサン:酢酸エチル=75:25)で精製し、減圧下溶媒を留去し、標記化合物(83mg)を薄黄色固体として得た。
Reference Example 3 5,8-Dimethyl- [1,2,4] triazolo [1,5-a] pyrazin-2-yl) methyl acetate (1.5 g) methanol obtained in <Step 1> To the (15 ml) solution, cesium carbonate (0.11 g) was added and stirred for 1.5 hours. The solvent was distilled off under reduced pressure to obtain a crude product of the title compound (1.36 g) as a white solid.
<Step 3>
Synthesis of 5,8-dimethyl- [1,2,4] triazolo [1,5-a] pyrazine-2-carboxaldehyde
Figure JPOXMLDOC01-appb-C000233
Reference Example 3 Chlorination of (5,8-dimethyl- [1,2,4] triazolo [1,5-a] pyrazin-2-yl) methanol (1.2 g) obtained in <Step 2> To a methylene (48 ml) solution is added 1,1,1-triacetoxy-1,1-dihydro-1,2-benziodoxol-3 (1H) -one (Des Martin periodinane: 5.9 g). Stir for 1 hour. To the reaction solution was added saturated aqueous sodium hydrogen carbonate solution (70 ml), and the mixture was extracted 3 times with methylene chloride (200 ml). The organic phase was dried over anhydrous sodium sulfate, and then the solvent was distilled off under reduced pressure to obtain a crude product of the title compound (1.37 g) as a white solid.
(Reference Example 4)
Synthesis of diethyl ((5,8-dimethyl- [1,2,4] triazolo [1,5-a] pyrazin-2-yl) methyl) phosphonate
Figure JPOXMLDOC01-appb-C000234
Reference Example 2 To 2- (chloromethyl) -5,8-dimethyl- [1,2,4] triazolo [1,5-a] pyrazine (0.19 g) obtained in <Step 1> Triethyl phosphate (0.5 ml) and tetrabutylammonium iodide (21 mg) were sequentially added, and the mixture was stirred at 120 ° C. for 3.5 hours under a nitrogen atmosphere. The reaction solution was cooled to room temperature, water (10 ml) and saturated aqueous sodium hydrogen carbonate solution (20 ml) were added, and the mixture was extracted 5 times with ethyl acetate (20 ml). The organic phases were combined, washed with saturated brine (40 ml), dried over anhydrous sodium sulfate, and the solvent was distilled off under reduced pressure. The obtained residue was purified by NH silica gel column chromatography (eluent; n-hexane: ethyl acetate = 100: 0-0: 100), and the solvent was evaporated under reduced pressure to give the title compound (198 mg) as a yellow oily substance. Got as.
(Reference Example 5)
Synthesis of 4- (azetidin-1-yl) -6-chloropyrimidine-2-carboxaldehyde
Figure JPOXMLDOC01-appb-C000235
(Process 1)
Synthesis of 4- (azetidin-1-yl) -6-chloro-2- (chloromethyl) pyrimidine
Figure JPOXMLDOC01-appb-C000236
Azetidine hydrochloride (71 mg) and triethylamine (0.11 ml) were added to a solution of 4,6-dichloro-2- (chloromethyl) pyrimidine (0.1 g) synthesized according to a method known in the literature in isopropanol (3 ml). Heated to reflux for 1 hour. The reaction mixture was cooled to room temperature, diluted with ethyl acetate (30 ml), and washed with 0.1N hydrochloric acid (30 ml), water (20 ml), and saturated brine (20 ml). The organic phase was dried over anhydrous sodium sulfate, and the solvent was distilled off under reduced pressure. The obtained residue was purified by silica gel column chromatography (eluent; n-hexane: ethyl acetate = 75: 25), and the solvent was evaporated under reduced pressure to give the title compound (83 mg) as a pale yellow solid.
(工程2)4-(アゼチジン-1-イル)-6-クロロピリミジン-2-カルボキシアルデヒドの合成
Figure JPOXMLDOC01-appb-C000237
 参考例5(工程1)で得られた4-(アゼチジン-1-イル)-6-クロロ-2-(クロロメチル)ピリミジン(75mg)から参考例2(工程2)と同様の方法、もしくはこれに準ずる方法を用いて、標記化合物(55mg)を白色固体として得た。
(参考例6)
6-ブロモ-4-ヒドロキシピコリンアルデヒドの合成
Figure JPOXMLDOC01-appb-C000238
 Chemistry--A European Journal,2006,12(30),p7839-7847に記載の方法に準じて合成した2,6-ジブロモピリジン-4-オール(0.50g)のテトラヒドロフラン(5ml)溶液に、窒素雰囲気下、-70度から-65度にてn-ブチルリチウム(1.49ml、2.64M ヘキサン溶液)を20分かけて滴下し、同温度にて40分攪拌した。反応液に同温にて、N、N-ジメチルホルムアミド(0.77ml)を10分間かけて滴下し、同温にて2時間攪拌後、室温まで昇温した。反応液に0.5規定塩酸水溶液(20ml)を加えてクエンチし、酢酸エチル(50ml、20ml)で抽出した。有機相を飽和食塩水(20ml)で洗浄し、無水硫酸ナトリウム(10g)で乾燥し、減圧下溶媒を留去した。得られた残渣をシリカゲルカラムクロマトグラフィー(溶出液;n-ヘキサン:酢酸エチル=80:20-65:35)で精製し、減圧下溶媒を留去し、標記化合物(234mg)を得た。
(Step 2) Synthesis of 4- (azetidin-1-yl) -6-chloropyrimidine-2-carboxaldehyde
Figure JPOXMLDOC01-appb-C000237
4- (azetidin-1-yl) -6-chloro-2- (chloromethyl) pyrimidine (75 mg) obtained in Reference Example 5 (Step 1) or the same method as Reference Example 2 (Step 2), or Was used to give the title compound (55 mg) as a white solid.
(Reference Example 6)
Synthesis of 6-bromo-4-hydroxypicolinaldehyde
Figure JPOXMLDOC01-appb-C000238
To a solution of 2,6-dibromopyridin-4-ol (0.50 g) synthesized according to the method described in Chemistry--A European Journal, 2006, 12 (30), p7839-7847 in tetrahydrofuran (5 ml) was added nitrogen. Under an atmosphere, n-butyllithium (1.49 ml, 2.64 M hexane solution) was added dropwise at −70 ° C. to −65 ° C. over 20 minutes, and the mixture was stirred at the same temperature for 40 minutes. N, N-dimethylformamide (0.77 ml) was added dropwise to the reaction solution at the same temperature over 10 minutes, and the mixture was stirred at the same temperature for 2 hours and then warmed to room temperature. The reaction solution was quenched by addition of 0.5N aqueous hydrochloric acid (20 ml), and extracted with ethyl acetate (50 ml, 20 ml). The organic phase was washed with saturated brine (20 ml), dried over anhydrous sodium sulfate (10 g), and the solvent was distilled off under reduced pressure. The obtained residue was purified by silica gel column chromatography (eluent; n-hexane: ethyl acetate = 80: 20-65: 35), and the solvent was distilled off under reduced pressure to obtain the title compound (234 mg).
(参考例7)
(E)-2-(2-(5,8-ジメチル-[1,2,4]トリアゾロ[1,5-a]ピラジン-2-イル)ビニル)-6-(ピロリジン-1-イル)ピリミジン-4-カルボン酸及び(Z)-2-(2-(5,8-ジメチル-[1,2,4]トリアゾロ[1,5-a]ピラジン-2-イル)ビニル)-6-(ピロリジン-1-イル)ピリミジン-4-カルボン酸混合物の合成
<工程1>
メチル 2-クロロ-6-(ピロリジン-1-イル)ピリミジン-4-カルボキシレート
の合成
 メチル 2,6-ジクロロピリミジン-4-カルボキシレート(0.99g)のN、N-ジメチルホルムアミド(10ml)溶液に、氷冷下、トリエチルアミン(1.3ml)、ピロリジン(0.44ml)を加え、室温で4時間攪拌した。反応溶液に水(10ml)を加え、酢酸エチルで抽出した。有機層を無水硫酸ナトリウムで乾燥し、減圧下溶媒を留去した。得られた残渣をシリカゲルカラムクロマトグラフィー(溶出液;n-ヘキサン:酢酸エチル=90:10-50:50)で精製し、標記化合物(1.2g)を無色固体として得た。
<工程2>
(E)-メチル 6-(ピロリジン-1-イル)-2-スチリルピリミジン-4-カルボキシレートの合成
(参考例7)<工程1>で得られた、メチル 2-クロロ-6-(ピロリジン-1-イル)ピリミジン-4-カルボキシレート(100mg)、炭酸カリウム(85mg)、(E)-スチリルボロン酸(92mg)、テトラキストリフェニルホスフィンパラジウム(47mg)のトルエン(3ml)溶液に、窒素を3分間バブリングした後、90℃で8時間攪拌した。反応溶液に水(3ml)を加え、酢酸エチルで抽出した。有機層を無水硫酸ナトリウムで乾燥し、減圧下溶媒を留去した。得られた残渣をシリカゲルカラムクロマトグラフィー(溶出液;n-ヘキサン:酢酸エチル=90:10-67:33)で精製し、標記化合物(115mg)を無色固体として得た。
(Reference Example 7)
(E) -2- (2- (5,8-dimethyl- [1,2,4] triazolo [1,5-a] pyrazin-2-yl) vinyl) -6- (pyrrolidin-1-yl) pyrimidine -4-carboxylic acid and (Z) -2- (2- (5,8-dimethyl- [1,2,4] triazolo [1,5-a] pyrazin-2-yl) vinyl) -6- (pyrrolidine Synthesis of -1-yl) pyrimidine-4-carboxylic acid mixture <Step 1>
Synthesis of methyl 2-chloro-6- (pyrrolidin-1-yl) pyrimidine-4-carboxylate Methyl 2,6-dichloropyrimidine-4-carboxylate (0.99 g) in N, N-dimethylformamide (10 ml) Under ice cooling, triethylamine (1.3 ml) and pyrrolidine (0.44 ml) were added, and the mixture was stirred at room temperature for 4 hours. Water (10 ml) was added to the reaction solution, and the mixture was extracted with ethyl acetate. The organic layer was dried over anhydrous sodium sulfate, and the solvent was distilled off under reduced pressure. The obtained residue was purified by silica gel column chromatography (eluent; n-hexane: ethyl acetate = 90: 10-50: 50) to obtain the title compound (1.2 g) as a colorless solid.
<Step 2>
Synthesis of (E) -methyl 6- (pyrrolidin-1-yl) -2-styrylpyrimidine-4-carboxylate (Reference Example 7) Methyl 2-chloro-6- (pyrrolidine-) obtained in <Step 1> To a toluene (3 ml) solution of 1-yl) pyrimidine-4-carboxylate (100 mg), potassium carbonate (85 mg), (E) -styrylboronic acid (92 mg), tetrakistriphenylphosphine palladium (47 mg), nitrogen was added. After bubbling for minutes, the mixture was stirred at 90 ° C. for 8 hours. Water (3 ml) was added to the reaction solution, and the mixture was extracted with ethyl acetate. The organic layer was dried over anhydrous sodium sulfate, and the solvent was distilled off under reduced pressure. The obtained residue was purified by silica gel column chromatography (eluent; n-hexane: ethyl acetate = 90: 10-67: 33) to obtain the title compound (115 mg) as a colorless solid.
<工程3>
メチル 2-ホルミル-6-(ピロリジン-1-イル)ピリミジン-4-カルボキシレートの合成
(参考例7)<工程2>で得られた、(E)-メチル 6-(ピロリジン-1-イル)-2-スチリルピリミジン-4-カルボキシレート(850mg)のジオキサン(18ml)-水(3ml)溶液に、氷冷下、過ヨウ素酸ナトリウム(1.4g)、四酸化オスミウム(69mg)を加え、室温で18時間攪拌した。反応溶液に水(5ml)を加え、塩化メチレンで抽出した。有機層を無水硫酸ナトリウムで乾燥し、減圧下溶媒を留去した。得られた残渣をシリカゲルカラムクロマトグラフィー(溶出液;n-ヘキサン:酢酸エチル=67:33-50:50-33:67)で精製し、標記化合物(310mg)を黄色固体として得た。
<工程4>
(E)-2-(2-(5,8-ジメチル-[1,2,4]トリアゾロ[1,5-a]ピラジン-2-イル)ビニル)-6-(ピロリジン-1-イル)ピリミジン-4-カルボン酸及び(Z)-2-(2-(5,8-ジメチル-[1,2,4]トリアゾロ[1,5-a]ピラジン-2-イル)ビニル)-6-(ピロリジン-1-イル)ピリミジン-4-カルボン酸混合物の合成
(参考例4)で得られた、ジエチル((5,8-ジメチル-[1,2,4]トリアゾロ[1,5-a]ピラジン-2-イル)メチル)ホスホネート(38mg)のテトラヒドロフラン(3ml)溶液に、氷冷下、60%水素化ナトリウム(10mg)を加え、同温にて15分間攪拌した。反応溶液に(参考例7)<工程3>で得られたメチル 2-ホルミル-6-(ピロリジン-1-イル)ピリミジン-4-カルボキシレート(30mg)のテトラヒドロフラン(3ml)溶液を加え、室温に昇温し、1時間30分攪拌した。反応溶液に、水(3ml)を加え、酢酸エチルで洗浄した。水層を10%塩酸水溶液でpH3としたのち、塩化メチレンで抽出した。有機層を合わせて、無水硫酸ナトリウムで乾燥した。減圧下溶媒を留去し、標記化合物(37mg)を得た。
<Step 3>
Synthesis of methyl 2-formyl-6- (pyrrolidin-1-yl) pyrimidine-4-carboxylate (Reference Example 7) (E) -methyl 6- (pyrrolidin-1-yl) obtained in <Step 2> To a solution of -2-styrylpyrimidine-4-carboxylate (850 mg) in dioxane (18 ml) -water (3 ml) was added sodium periodate (1.4 g) and osmium tetroxide (69 mg) under ice-cooling. For 18 hours. Water (5 ml) was added to the reaction solution, and the mixture was extracted with methylene chloride. The organic layer was dried over anhydrous sodium sulfate, and the solvent was distilled off under reduced pressure. The obtained residue was purified by silica gel column chromatography (eluent; n-hexane: ethyl acetate = 67: 33-50: 50-33: 67) to obtain the title compound (310 mg) as a yellow solid.
<Step 4>
(E) -2- (2- (5,8-dimethyl- [1,2,4] triazolo [1,5-a] pyrazin-2-yl) vinyl) -6- (pyrrolidin-1-yl) pyrimidine -4-carboxylic acid and (Z) -2- (2- (5,8-dimethyl- [1,2,4] triazolo [1,5-a] pyrazin-2-yl) vinyl) -6- (pyrrolidine Diethyl ((5,8-dimethyl- [1,2,4] triazolo [1,5-a] pyrazine-) obtained by the synthesis of a (-1-yl) pyrimidine-4-carboxylic acid mixture (Reference Example 4) To a solution of 2-yl) methyl) phosphonate (38 mg) in tetrahydrofuran (3 ml) was added 60% sodium hydride (10 mg) under ice cooling, and the mixture was stirred at the same temperature for 15 minutes. To the reaction solution was added a solution of methyl 2-formyl-6- (pyrrolidin-1-yl) pyrimidine-4-carboxylate (30 mg) obtained in (Reference Example 7) <Step 3> in tetrahydrofuran (3 ml) at room temperature. The temperature was raised and the mixture was stirred for 1 hour 30 minutes. Water (3 ml) was added to the reaction solution and washed with ethyl acetate. The aqueous layer was adjusted to pH 3 with a 10% aqueous hydrochloric acid solution and extracted with methylene chloride. The organic layers were combined and dried over anhydrous sodium sulfate. The solvent was distilled off under reduced pressure to obtain the title compound (37 mg).
(参考例8)
(Z)-2-(2-(5,8-ジメチル-[1,2,4]トリアゾロ[1,5-a]ピラジン-2-イル)ビニル)-6-(ピロリジン-1-イル)ピリミジン-4-カルバアルデヒドの合成
<工程1>
(Z)-(2-(2-(5,8-ジメチル-[1,2,4]トリアゾロ[1,5-a]ピラジン-2-イル)ビニル)-6-(ピロリジン-1-イル)ピリミジン-4-イル)メタノールの合成
(参考例7)<工程4>で得られた、(Z)-2-(2-(5,8-ジメチル-[1,2,4]トリアゾロ[1,5-a]ピラジン-2-イル)ビニル)-6-(ピロリジン-1-イル)ピリミジン-4-カルボン酸(50mg)のテトラヒドロフラン(3ml)-アセトニトリル(1.5ml)溶液に、氷冷下、N-メチルモルフォリン(22μl)、クロロギ酸イソブチル(26μl)を加え、同温で15分攪拌した。減圧下溶媒を留去し、得られた粗生成物のメタノール(3ml)溶液に、氷冷下、水素化ホウ素ナトリウム(7.7mg)を加え、40℃で12時間攪拌した。反応溶液に水(1ml)を加え、減圧下溶媒を留去した。得られた残渣をシリカゲルカラムクロマトグラフィー(溶出液;n-ヘキサン:酢酸エチル=50:50-0:100)で精製し、標記化合物(16mg)を無色油状物質として得た。
<工程2>
(Z)-2-(2-(5,8-ジメチル-[1,2,4]トリアゾロ[1,5-a]ピラジン-2-イル)ビニル)-6-(ピロリジン-1-イル)ピリミジン-4-カルバアルデヒドの合成
(参考例8)<工程1>で得られた(Z)-(2-(2-(5,8-ジメチル-[1,2,4]トリアゾロ[1,5-a]ピラジン-2-イル)ビニル)-6-(ピロリジン-1-イル)ピリミジン-4-イル)メタノールを用いて、(参考例24)<工程2>と同様の方法、もしくはこれに準ずる方法で、標記化合物を得た。
(Reference Example 8)
(Z) -2- (2- (5,8-Dimethyl- [1,2,4] triazolo [1,5-a] pyrazin-2-yl) vinyl) -6- (pyrrolidin-1-yl) pyrimidine Synthesis of -4-carbaldehyde <Step 1>
(Z)-(2- (2- (2,8-dimethyl- [1,2,4] triazolo [1,5-a] pyrazin-2-yl) vinyl) -6- (pyrrolidin-1-yl) Synthesis of Pyrimidin-4-yl) methanol (Reference Example 7) (Z) -2- (2- (5,8-dimethyl- [1,2,4] triazolo [1, obtained in <Step 4>) 5-a] pyrazin-2-yl) vinyl) -6- (pyrrolidin-1-yl) pyrimidine-4-carboxylic acid (50 mg) in tetrahydrofuran (3 ml) -acetonitrile (1.5 ml) under ice cooling. N-methylmorpholine (22 μl) and isobutyl chloroformate (26 μl) were added, and the mixture was stirred at the same temperature for 15 minutes. The solvent was distilled off under reduced pressure, and sodium borohydride (7.7 mg) was added to a methanol (3 ml) solution of the obtained crude product under ice cooling, followed by stirring at 40 ° C. for 12 hours. Water (1 ml) was added to the reaction solution, and the solvent was distilled off under reduced pressure. The obtained residue was purified by silica gel column chromatography (eluent; n-hexane: ethyl acetate = 50: 50-0: 100) to give the title compound (16 mg) as a colorless oil.
<Step 2>
(Z) -2- (2- (5,8-Dimethyl- [1,2,4] triazolo [1,5-a] pyrazin-2-yl) vinyl) -6- (pyrrolidin-1-yl) pyrimidine Synthesis of -4-carbaldehyde (Reference Example 8) (Z)-(2- (2- (5,8-dimethyl- [1,2,4] triazolo [1,5- a] Pyrazin-2-yl) vinyl) -6- (pyrrolidin-1-yl) pyrimidin-4-yl) methanol, (Reference Example 24) A method similar to or equivalent to <Step 2> To give the title compound.
<参考例9>
4-モルホリノ-6-(ピロリジン-1-イル)ピリミジン-2-カルバアルデヒドの合成
<工程1>
4-クロロ-6-(ピロリジン-1-イル)ピリミジン-2-カルバアルデヒドの合成
[US2011/160206号パンフレット 13頁]に記載された方法に準じて合成した4-クロロ-2-(クロロメチル)-6-(ピロリジン-1-イル)ピリミジン(2.7g)を用いて、(参考例2)<工程2>と同様の方法にて、標記化合物(1.8g)を得た。 
<工程2>
4-クロロ-2-(ジメトキシメチル)-6-(ピロリジン-1-イル)ピリミジンの合成 
(参考例9)<工程1>で得られた、4-クロロ-6-(ピロリジン-1-イル)ピリミジン-2-カルバアルデヒド(400mg)のメタノール(12ml)溶液に、p-トルエンスルホン酸一水和物(36mg)を加え、加熱環流下にて64時間攪拌した。減圧下溶媒を留去し、標記化合物(526mg)を得た。
<工程3>
4-(2-(ジメトキシメチル)-6-(ピロリジン-1-イル)ピリミジン-4-イル)モルフォリンの合成
(参考例9)<工程2>で得られた、4-クロロ-2-(ジメトキシメチル)-6-(ピロリジン-1-イル)ピリミジン(470mg)及びモルフォリン(0.80ml)を用いて、(実施例11)と同様の手法にて標記化合物(414mg)を得た。
<工程4>
4-モルホリノ-6-(ピロリジン-1-イル)ピリミジン-2-カルバアルデヒドの合成
(参考例9)<工程3>で得られた、4-(2-(ジメトキシメチル)-6-(ピロリジン-1-イル)ピリミジン-4-イル)モルフォリン(390mg)のアセトン(8ml)溶液に、水(8ml)、濃塩酸(16ml)を順次加え、室温にて21時間攪拌した。反応溶液に、酢酸エチル(150ml)、水(100ml)を加えた後、炭酸水素ナトリウムを加え中和した。水層を酢酸エチル(100ml)で2回抽出した。有機層を無水硫酸ナトリウム(30g)で乾燥し、減圧下溶媒を留去した。得られた残渣をシリカゲルカラムクロマトグラフィー(溶出液;n-ヘキサン:酢酸エチル=70:30-50:50)で精製し、標記化合物(261mg)を得た。
<Reference Example 9>
Synthesis of 4-morpholino-6- (pyrrolidin-1-yl) pyrimidine-2-carbaldehyde <Step 1>
Synthesis of 4-chloro-6- (pyrrolidin-1-yl) pyrimidine-2-carbaldehyde [4-chloro-2- (chloromethyl) synthesized according to the method described in US Pat. No. 2011/160206, page 13] Using -6- (pyrrolidin-1-yl) pyrimidine (2.7 g), the title compound (1.8 g) was obtained in the same manner as in (Reference Example 2) <Step 2>.
<Step 2>
Synthesis of 4-chloro-2- (dimethoxymethyl) -6- (pyrrolidin-1-yl) pyrimidine
Reference Example 9 To a solution of 4-chloro-6- (pyrrolidin-1-yl) pyrimidine-2-carbaldehyde (400 mg) obtained in <Step 1> in methanol (12 ml), p-toluenesulfonic acid mono Hydrate (36 mg) was added, and the mixture was stirred for 64 hours under reflux with heating. The solvent was distilled off under reduced pressure to obtain the title compound (526 mg).
<Step 3>
Synthesis of 4- (2- (dimethoxymethyl) -6- (pyrrolidin-1-yl) pyrimidin-4-yl) morpholine (Reference Example 9) 4-chloro-2- ( The title compound (414 mg) was obtained in the same manner as in (Example 11) using dimethoxymethyl) -6- (pyrrolidin-1-yl) pyrimidine (470 mg) and morpholine (0.80 ml).
<Step 4>
Synthesis of 4-morpholino-6- (pyrrolidin-1-yl) pyrimidine-2-carbaldehyde (Reference Example 9) 4- (2- (dimethoxymethyl) -6- (pyrrolidine-) obtained in <Step 3> Water (8 ml) and concentrated hydrochloric acid (16 ml) were sequentially added to a solution of 1-yl) pyrimidin-4-yl) morpholine (390 mg) in acetone (8 ml), and the mixture was stirred at room temperature for 21 hours. Ethyl acetate (150 ml) and water (100 ml) were added to the reaction solution, and then sodium hydrogen carbonate was added for neutralization. The aqueous layer was extracted twice with ethyl acetate (100 ml). The organic layer was dried over anhydrous sodium sulfate (30 g), and the solvent was distilled off under reduced pressure. The obtained residue was purified by silica gel column chromatography (eluent; n-hexane: ethyl acetate = 70: 30-50: 50) to obtain the title compound (261 mg).
(参考例10)
ジエチル((7-クロロ-5,8-ジメチル-[1,2,4]トリアゾロ[1,5-c]ピリミジン-2-イル)メチル)ホスホネートの合成
<工程1>
2,5-ジメチルピリミジン-4,6-ジオールの合成
エタノール(25ml)にナトリウム(1.6g)を加え、完全に溶解させた後、アセトアミジン塩酸塩(2.2g)、ジエチル 2-メチルマロネート(4ml)を加え、反応溶液を加熱還流下18時間攪拌した。氷冷下、水(25ml)を加えた後、濃塩酸で中和し、室温で30分攪拌した。析出した固体をろ過し、水(50ml)、エタノール(25ml)で順次洗浄し、標記化合物(2.6g)を無色固体として得た。 
<工程2>
4,6-ジクロロ-2,5-ジメチルピリミジンの合成
(参考例10)<工程1>で得られた2,5-ジメチルピリミジン-4,6-ジオール(0.92g)、オキシ塩化リン(6.0ml)、N,N-ジメチルアニリン(0.42ml)の混合溶液を110℃で20時間攪拌した。減圧下溶媒を留去し、水(5ml)を加え、酢酸エチルで抽出した。有機層を飽和炭酸水素ナトリウム水溶液(5ml)、水(5ml)で順次洗浄した後、無水硫酸ナトリウムで乾燥した。減圧下溶媒を留去し、標記化合物(0.97g)を黄色固体として得た。 
<工程3>
6-クロロ-2,5-ジメチルピリミジン-4-アミンの合成
(参考例10)<工程2>で得られた4,6-ジクロロ-2,5-ジメチルピリミジン(6.6g)のアンモニア-メタノール(30ml)溶液を、シールドチューブを用いて80℃で18時間攪拌した。減圧下溶媒を留去し、標記化合物の粗生成物(5.2g)を無色固体として得た。
<工程4>
3-アミノ-6-クロロ-2,5-ジメチルピリミジン-4(3H)-イミニウム 2,4,6-トリメチルベンゼンスルホネートの合成
(参考例10)<工程3>で得られた6-クロロ-2,5-ジメチルピリミジン-4-アミンを用いて、[WO2009/152825号パンフレット 44頁]に記載された方法に準じて、標記化合物を合成した。
<工程5>
7-クロロ-2-(クロロメチル)-5,8-ジメチル-[1,2,4]トリアゾロ[1,5-c]ピリミジンの合成
(参考例10)<工程4>で得られた、3-アミノ-6-クロロ-2,5-ジメチルピリミジン-4(3H)-イミニウム 2,4,6-トリメチルベンゼンスルホネートを用いて、[WO2009/152825号パンフレット 48頁]に記載された方法に準じて、標記化合物を合成した。
<工程6>
ジエチル((7-クロロ-5,8-ジメチル-[1,2,4]トリアゾロ[1,5-c]ピリミジン-2-イル)メチル)ホスホネートの合成
<参考例10)<工程5>で得られた、7-クロロ-2-(クロロメチル)-5,8-ジメチル-[1,2,4]トリアゾロ[1,5-c]ピリミジンから、(参考例4)と同様の方法、もしくはこれに準ずる方法で、標記化合物を合成した。
(Reference Example 10)
Synthesis of diethyl ((7-chloro-5,8-dimethyl- [1,2,4] triazolo [1,5-c] pyrimidin-2-yl) methyl) phosphonate <Step 1>
Synthesis of 2,5-dimethylpyrimidine-4,6-diol Sodium (1.6 g) was added to ethanol (25 ml) and completely dissolved, then acetamidine hydrochloride (2.2 g), diethyl 2-methylmalo Nate (4 ml) was added and the reaction solution was stirred with heating under reflux for 18 hours. Water (25 ml) was added under ice cooling, then neutralized with concentrated hydrochloric acid, and stirred at room temperature for 30 minutes. The precipitated solid was filtered and washed successively with water (50 ml) and ethanol (25 ml) to obtain the title compound (2.6 g) as a colorless solid.
<Step 2>
Synthesis of 4,6-dichloro-2,5-dimethylpyrimidine (Reference Example 10) 2,5-dimethylpyrimidine-4,6-diol (0.92 g) obtained in <Step 1>, phosphorus oxychloride (6 0.0 ml) and N, N-dimethylaniline (0.42 ml) were stirred at 110 ° C. for 20 hours. The solvent was distilled off under reduced pressure, water (5 ml) was added, and the mixture was extracted with ethyl acetate. The organic layer was washed successively with saturated aqueous sodium hydrogen carbonate solution (5 ml) and water (5 ml), and then dried over anhydrous sodium sulfate. The solvent was distilled off under reduced pressure to obtain the title compound (0.97 g) as a yellow solid.
<Step 3>
Synthesis of 6-chloro-2,5-dimethylpyrimidin-4-amine (Reference Example 10) Ammonia-methanol of 4,6-dichloro-2,5-dimethylpyrimidine (6.6 g) obtained in <Step 2> The (30 ml) solution was stirred at 80 ° C. for 18 hours using a shield tube. The solvent was distilled off under reduced pressure to obtain a crude product of the title compound (5.2 g) as a colorless solid.
<Step 4>
Synthesis of 3-amino-6-chloro-2,5-dimethylpyrimidine-4 (3H) -iminium 2,4,6-trimethylbenzenesulfonate (Reference Example 10) 6-chloro-2 obtained in <Step 3> , 5-Dimethylpyrimidin-4-amine was used to synthesize the title compound according to the method described in [WO2009 / 152825, page 44].
<Step 5>
Synthesis of 7-chloro-2- (chloromethyl) -5,8-dimethyl- [1,2,4] triazolo [1,5-c] pyrimidine (Reference Example 10) 3 obtained in <Step 4> -Using amino-6-chloro-2,5-dimethylpyrimidine-4 (3H) -iminium 2,4,6-trimethylbenzenesulfonate according to the method described in [WO2009 / 152825 pamphlet, page 48] The title compound was synthesized.
<Step 6>
Synthesis of diethyl ((7-chloro-5,8-dimethyl- [1,2,4] triazolo [1,5-c] pyrimidin-2-yl) methyl) phosphonate <Reference Example 10) Obtained in <Step 5> 7-chloro-2- (chloromethyl) -5,8-dimethyl- [1,2,4] triazolo [1,5-c] pyrimidine obtained by the same method as in (Reference Example 4), or The title compound was synthesized according to the method described above.
(参考例11)
ジエチル((5,8-ジメチル-[1,2,4]トリアゾロ[1,5-a]ピリジン-2-イル)メチル)ホスホネートの合成
<工程1>1-アミノ-3,6-ジメチルピリジン-2(1H)-イミニウム 2,4,6-トリメチルベンゼンスルホネートの合成
(E)-エチル N-(メシチルスルホニル)オキシアセトイミデート(1.7g)を1,4-ジオキサン(10ml)に溶解し、氷冷下15℃以下で70%過塩素酸(7.5ml)を20分かけて滴下した。反応液を氷水(100g)で希釈し10分間撹拌した後、析出物を濾取し、水(10ml)で5回洗浄した。得られた固体を塩化メチレン(10ml)に溶解し芒硝乾燥した後、文献既知の方法に準じて合成した3,6-ジメチルピリジン-2-アミン(0.61g)の塩化メチレン溶液(10ml)に、氷冷下15℃以下で滴下した。滴下終了後室温で3時間撹拌し、析出物を濾取し塩化メチレン(10ml)で2回洗浄後、減圧下乾燥し標記化合物(1.3g)を白色固体として得た。
<工程2>2-(クロロメチル)-5,8-ジメチル-[1,2,4]トリアゾロ[1,5-a]ピリジンの合成
(参考例11)<工程1>で得られた1-アミノ-3,6-ジメチルピリジン-2(1H)-イミニウム 2,4,6-トリメチルベンゼンスルホネート(1.2g)と炭酸カリウム(2.3g)をアセトニトリル(35ml)中で懸濁し50℃で1時間撹拌した。この混合物を氷冷下5℃に冷却し、クロロ酢酸クロリド(0.90ml)を加えたのち、50℃で2時間撹拌した。反応混合物を水(100ml)で希釈し酢酸エチル(100ml)で抽出した。抽出液を水(50ml)で洗浄した後、芒硝乾燥し、減圧下濃縮した。残渣をシリカゲルカラムクロマトグラフィー(溶出液;n-ヘキサン:酢酸エチル=20:80-0:100)にて精製し、標記化合物(0.6g)を淡桃色固体として得た。
<工程3>ジエチル((5,8-ジメチル-[1,2,4]トリアゾロ[1,5-a]ピリジン-2-イル)メチル)ホスホネートの合成
テトラブチルアンモニウムヨージド(28mg)存在下、(参考例11)<工程2>で得られた2-(クロロメチル)-5,8-ジメチル-[1,2,4]トリアゾロ[1,5-a]ピリジン(0.25g)を亜リン酸トリエチル(0.66ml)と共に120℃で3時間撹拌した。反応混合物をシリカゲルカラムクロマトグラフィー(溶出液;酢酸エチル:メタノール=100:0-90:10)で精製し、標記化合物(0.26g)を淡褐色油状物として得た。
(Reference Example 11)
Synthesis of diethyl ((5,8-dimethyl- [1,2,4] triazolo [1,5-a] pyridin-2-yl) methyl) phosphonate <Step 1> 1-amino-3,6-dimethylpyridine- Synthesis of 2 (1H) -iminium 2,4,6-trimethylbenzenesulfonate (E) -Ethyl N- (mesitylsulfonyl) oxyacetimidate (1.7 g) was dissolved in 1,4-dioxane (10 ml). Then, 70% perchloric acid (7.5 ml) was added dropwise over 15 minutes at 15 ° C. or lower under ice cooling. The reaction solution was diluted with ice water (100 g) and stirred for 10 minutes, and then the precipitate was collected by filtration and washed 5 times with water (10 ml). The obtained solid was dissolved in methylene chloride (10 ml), dried with sodium sulfate, and then added to a methylene chloride solution (10 ml) of 3,6-dimethylpyridin-2-amine (0.61 g) synthesized according to a method known in the literature. The solution was added dropwise at 15 ° C. or lower under ice cooling. After completion of the dropwise addition, the mixture was stirred at room temperature for 3 hours. The precipitate was collected by filtration, washed twice with methylene chloride (10 ml) and dried under reduced pressure to obtain the title compound (1.3 g) as a white solid.
<Step 2> Synthesis of 2- (chloromethyl) -5,8-dimethyl- [1,2,4] triazolo [1,5-a] pyridine (Reference Example 11) 1-obtained in <Step 1> Amino-3,6-dimethylpyridine-2 (1H) -iminium 2,4,6-trimethylbenzenesulfonate (1.2 g) and potassium carbonate (2.3 g) were suspended in acetonitrile (35 ml), Stir for hours. The mixture was cooled to 5 ° C. under ice-cooling, chloroacetic acid chloride (0.90 ml) was added, and the mixture was stirred at 50 ° C. for 2 hr. The reaction mixture was diluted with water (100 ml) and extracted with ethyl acetate (100 ml). The extract was washed with water (50 ml), dried with sodium sulfate, and concentrated under reduced pressure. The residue was purified by silica gel column chromatography (eluent; n-hexane: ethyl acetate = 20: 80-0: 100) to obtain the title compound (0.6 g) as a pale pink solid.
<Step 3> Synthesis of diethyl ((5,8-dimethyl- [1,2,4] triazolo [1,5-a] pyridin-2-yl) methyl) phosphonate in the presence of tetrabutylammonium iodide (28 mg). Reference Example 11 2- (Chloromethyl) -5,8-dimethyl- [1,2,4] triazolo [1,5-a] pyridine (0.25 g) obtained in <Step 2> The mixture was stirred with triethyl acid (0.66 ml) at 120 ° C. for 3 hours. The reaction mixture was purified by silica gel column chromatography (eluent; ethyl acetate: methanol = 100: 0-90: 10) to give the title compound (0.26 g) as a pale brown oil.
(参考例12)
(E)-2-(アゼチジン-1-イル)-6-(2-(5,8-ジメチル-[1,2,4]トリアゾロ[1,5-a]ピラジン-2-イル)ビニル)ピリジン-4-イル トリフルオロメタンスルホネートの合成
<工程1> 
(E)-2-ブロモ-6-(2-(5,8-ジメチル-[1,2,4]トリアゾロ[1,5-a]ピラジン-2-イル)ビニル)ピリジン-4-オールの合成
(参考例4)で得られた、ジエチル((5,8-ジメチル-[1,2,4]トリアゾロ[1,5-a]ピラジン-2-イル)メチル)ホスホネート(3.5g)のテトラヒドロフラン(30ml)溶液に、氷冷下、60%水素化ナトリウム(0.79g)を加え、同温で15分撹拌した。反応溶液に、(参考例6)で得られた6-ブロモ-4-ヒドロキシピコリンアルデヒド(2.0g)のテトラヒドロフラン(30ml)溶液を滴下し、室温に昇温した。水(100ml)、酢酸エチル(100ml)、飽和塩化アンモニウム水溶液(100ml)、及び1M塩酸水溶液(10ml)を加え、分液操作を行った。有機層中で析出していた固体をろ取し、酢酸エチル(200ml)で洗浄し、標記化合物(2.2g)を淡黄色固体として得た。
<工程2>
 (E)-2-(アゼチジン-1-イル)-6-(2-(5,8-ジメチル-[1,2,4]トリアゾロ[1,5-a]ピラジン-2-イル)ビニル)ピリジン-4-オールの合成
(参考例12)<工程1>で得られた(E)-2-ブロモ-6-(2-(5,8-ジメチル-[1,2,4]トリアゾロ[1,5-a]ピラジン-2-イル)ビニル)ピリジン-4-オール(2.0g)のtert-ブタノール(50ml)溶液に、アゼチジン塩酸塩(2.7g)、ナトリウムtert-ブトキシド(4.1g)、トリス(ジベンジリデンアセトン)ジパラジウム(0.53g)、2-(ジシクロヘキシルホスフィノ)-2’,4’,6’-トリイソプロピルビフェニル(X-Phos、0.28g)を加え、窒素雰囲気下2時間加熱還流し、その後終夜室温で撹拌した。減圧下溶媒を留去し、水(150ml)とジイソプロピルエーテル(150ml)を加え、セライトろ過した。ろ液に塩化アンモニウム(30g)を加え、酢酸エチル(200ml)で抽出した。水層に塩化アンモニウム(10g)を加え、酢酸エチル(200ml)で抽出した。水層にさらに塩化アンモニウム(10g)を加え、酢酸エチル(200ml)で抽出した。水層を酢酸エチル:THF=1:1(300mlx2、150mlx1)で抽出し、有機層をあわせて無水硫酸ナトリウムで乾燥した。減圧下溶媒を留去し、得られた残渣にジクロロメタン(50ml)を加え、不溶物をろ取した。また、ろ液を濃縮後、得られた残渣をシリカゲルカラムクロマトグラフィー(溶出液;ジクロロメタン:メタノール=90:10)で精製し、ろ取したものとあわせて標記化合物(1.0g)を黄色固体として得た。
<工程3>
(E)-2-(アゼチジン-1-イル)-6-(2-(5,8-ジメチル-[1,2,4]トリアゾロ[1,5-a]ピラジン-2-イル)ビニル)ピリジン-4-イル トリフルオロメタンスルホネート合成
(参考例12)<工程2>で得られた(E)-2-(アゼチジン-1-イル)-6-(2-(5,8-ジメチル-[1,2,4]トリアゾロ[1,5-a]ピラジン-2-イル)ビニル)ピリジン-4-オール(0.15g)のジクロロメタン(6ml)懸濁溶液に、窒素雰囲気下、トリエチルアミン(0.19ml)とN,N-ジメチルアミノピリジン(1 mg)を加え、氷冷下、無水トリフルオロメタンスルホン酸(0.11ml)を加え、同温下55分間撹拌した。トリエチルアミン(90μl)と無水トリフルオロメタンスルホン酸(50μl)を追加し、同温下110分間撹拌した。水(30ml)とジクロロメタン(40ml)を加えて分液し、有機層を飽和重曹水(30ml)、飽和食塩水(20ml)で洗浄し、無水硫酸ナトリウムで乾燥した。減圧下溶媒を留去し、標記化合物(0.24g)を褐色固体として得た。
(Reference Example 12)
(E) -2- (azetidin-1-yl) -6- (2- (5,8-dimethyl- [1,2,4] triazolo [1,5-a] pyrazin-2-yl) vinyl) pyridine Synthesis of -4-yl trifluoromethanesulfonate <Step 1>
Synthesis of (E) -2-bromo-6- (2- (5,8-dimethyl- [1,2,4] triazolo [1,5-a] pyrazin-2-yl) vinyl) pyridin-4-ol Tetrahydrofuran of diethyl ((5,8-dimethyl- [1,2,4] triazolo [1,5-a] pyrazin-2-yl) methyl) phosphonate (3.5 g) obtained in (Reference Example 4) (30 ml) To the solution was added 60% sodium hydride (0.79 g) under ice cooling, and the mixture was stirred at the same temperature for 15 minutes. To the reaction solution was added dropwise a solution of 6-bromo-4-hydroxypicolinaldehyde (2.0 g) obtained in (Reference Example 6) in tetrahydrofuran (30 ml), and the temperature was raised to room temperature. Water (100 ml), ethyl acetate (100 ml), saturated aqueous ammonium chloride solution (100 ml), and 1M aqueous hydrochloric acid solution (10 ml) were added to carry out a liquid separation operation. The solid precipitated in the organic layer was collected by filtration and washed with ethyl acetate (200 ml) to obtain the title compound (2.2 g) as a pale yellow solid.
<Step 2>
(E) -2- (azetidin-1-yl) -6- (2- (5,8-dimethyl- [1,2,4] triazolo [1,5-a] pyrazin-2-yl) vinyl) pyridine Synthesis of -4-ol (Reference Example 12) (E) -2-Bromo-6- (2- (5,8-dimethyl- [1,2,4] triazolo [1, 5-a] pyrazin-2-yl) vinyl) pyridin-4-ol (2.0 g) in tert-butanol (50 ml) was added azetidine hydrochloride (2.7 g), sodium tert-butoxide (4.1 g). , Tris (dibenzylideneacetone) dipalladium (0.53 g), 2- (dicyclohexylphosphino) -2 ′, 4 ′, 6′-triisopropylbiphenyl (X-Phos, 0.28 g) was added under a nitrogen atmosphere. Reflux for 2 hours, then And the mixture was stirred at room temperature night. The solvent was distilled off under reduced pressure, water (150 ml) and diisopropyl ether (150 ml) were added, and the mixture was filtered through Celite. Ammonium chloride (30 g) was added to the filtrate, and the mixture was extracted with ethyl acetate (200 ml). Ammonium chloride (10 g) was added to the aqueous layer, and the mixture was extracted with ethyl acetate (200 ml). Ammonium chloride (10 g) was further added to the aqueous layer, and the mixture was extracted with ethyl acetate (200 ml). The aqueous layer was extracted with ethyl acetate: THF = 1: 1 (300 ml × 2, 150 ml × 1), and the organic layers were combined and dried over anhydrous sodium sulfate. The solvent was distilled off under reduced pressure, dichloromethane (50 ml) was added to the resulting residue, and insoluble material was collected by filtration. Further, after the filtrate was concentrated, the obtained residue was purified by silica gel column chromatography (eluent; dichloromethane: methanol = 90: 10), and the title compound (1.0 g) was combined with the filtered product to give a yellow solid. Got as.
<Step 3>
(E) -2- (azetidin-1-yl) -6- (2- (5,8-dimethyl- [1,2,4] triazolo [1,5-a] pyrazin-2-yl) vinyl) pyridine -4-yl trifluoromethanesulfonate synthesis (Reference Example 12) (E) -2- (azetidin-1-yl) -6- (2- (5,8-dimethyl- [1, 2,4] triazolo [1,5-a] pyrazin-2-yl) vinyl) pyridin-4-ol (0.15 g) in a suspension of dichloromethane (6 ml) in a nitrogen atmosphere, triethylamine (0.19 ml) And N, N-dimethylaminopyridine (1 mg) were added, trifluoromethanesulfonic anhydride (0.11 ml) was added under ice cooling, and the mixture was stirred at the same temperature for 55 minutes. Triethylamine (90 μl) and trifluoromethanesulfonic anhydride (50 μl) were added, and the mixture was stirred at the same temperature for 110 minutes. Water (30 ml) and dichloromethane (40 ml) were added for liquid separation, and the organic layer was washed with saturated aqueous sodium hydrogen carbonate (30 ml) and saturated brine (20 ml), and dried over anhydrous sodium sulfate. The solvent was distilled off under reduced pressure to obtain the title compound (0.24 g) as a brown solid.
(参考例13)
2-(2-(4-クロロ-6-(ピロリジン-1-イル)ピリミジン‐2‐イル)シクロプロピル)-5,8-ジメチル-[1,2,4]トリアゾロ[1,5-a]ピラジンの合成
トリメチルスルホキソニウムヨージド(0.62g)のジメチルスルホキシド(2ml)溶液にカリウム-tert-ブトキシド(0.28g)を加え、24℃にて40分攪拌した。(実施例8)で得られた、(E)-2-(2-(4-クロロ-6-(ピロロジン-1-イル)ピリジン-2-イル)ビニル)5,8-ジメチル-[1,2,4]トリアゾロ[1,5-a]ピラジン(100mg)のジメチルスルホキシド(4ml)溶液に、100℃で上記調整した溶液(0.4ml)を2時間かけ3回加えた。氷冷下、飽和塩化アンモニウム水溶液(5ml)、水(20ml)を順次加え、酢酸エチル(30ml)で抽出した。水(20ml)、飽和食塩水(20ml)で洗浄した後、無水硫酸ナトリウムで乾燥した。減圧下溶媒を留去した。得られた残渣をシリカゲルカラムクロマトグラフィー(溶出液;n-ヘキサン:酢酸エチル=3:2)で精製し、標記化合物(344mg)を得た。
(Reference Example 13)
2- (2- (4-Chloro-6- (pyrrolidin-1-yl) pyrimidin-2-yl) cyclopropyl) -5,8-dimethyl- [1,2,4] triazolo [1,5-a] Synthesis of Pyrazine Potassium-tert-butoxide (0.28 g) was added to a solution of trimethylsulfoxonium iodide (0.62 g) in dimethyl sulfoxide (2 ml), and the mixture was stirred at 24 ° C. for 40 minutes. (E) -2- (2- (4-Chloro-6- (pyrrolodin-1-yl) pyridin-2-yl) vinyl) 5,8-dimethyl- [1, obtained in (Example 8) To the solution of 2,4] triazolo [1,5-a] pyrazine (100 mg) in dimethyl sulfoxide (4 ml), the above-prepared solution (0.4 ml) was added three times over 2 hours at 100 ° C. Under ice-cooling, a saturated aqueous ammonium chloride solution (5 ml) and water (20 ml) were successively added, and the mixture was extracted with ethyl acetate (30 ml). The extract was washed with water (20 ml) and saturated brine (20 ml) and then dried over anhydrous sodium sulfate. The solvent was distilled off under reduced pressure. The obtained residue was purified by silica gel column chromatography (eluent; n-hexane: ethyl acetate = 3: 2) to obtain the title compound (344 mg).
(参考例14)
2-(2-(4-クロロ-6-(ピロリジン-1-イル)ピリミジン‐2‐イル)シクロプロピル)-5,8-ジメチル-[1,2,4]トリアゾロ[1,5-a]ピラジンの光学分割
 <参考例13>で得られた2-(2-(4-クロロ-6-(ピロリジン-1-イル)ピリミジン-2-イル)シクロプロピル)-5,8-ジメチル-[1,2,4]トリアゾロ[1,5-a]ピラジン(7.2g)を分取クロマトグラフィー(カラム:(株)ダイセル化学工業製 CHIRALPAK IC(5cm×25cm)、溶出液;n-ヘキサン:ジクロロメタン:エタノール:ジエチルアミン=25:75:1:0.1(V/V)、流速:35ml/分、UV:275nm検出、カラム温度:25℃)を用いて光学分割を行うことで、標記化合物のエナンチオマー(3.3g、白色固体、>99%ee、リテンションタイム7.7分、エナンチオマーA及び3.2g、白色固体、>99%ee、リテンションタイム13.1分、エナンチオマーB)を得た。光学純度とリテンションタイムは、下記条件で決定した。(カラム:(株)ダイセル化学工業製 CHIRALPAK OJ-H (0.46cm×25cm)、溶出液;エタノール(0.1%ジエチルアミン)、流速:0.7ml/分、UV:254nm検出、カラム温度:40℃)。
(Reference Example 14)
2- (2- (4-Chloro-6- (pyrrolidin-1-yl) pyrimidin-2-yl) cyclopropyl) -5,8-dimethyl- [1,2,4] triazolo [1,5-a] Optical resolution of pyrazine 2- (2- (4-Chloro-6- (pyrrolidin-1-yl) pyrimidin-2-yl) cyclopropyl) -5,8-dimethyl- [1 obtained in Reference Example 13 , 2,4] triazolo [1,5-a] pyrazine (7.2 g) (preparation chromatography (column: CHIRALPAK IC (5 cm × 25 cm) manufactured by Daicel Chemical Industries, Ltd.), eluent; n-hexane: dichloromethane : Ethanol: diethylamine = 25: 75: 1: 0.1 (V / V), flow rate: 35 ml / min, UV: 275 nm detection, column temperature: 25 ° C.) Nanchioma (3.3 g, white solid,> 99% ee, retention time 7.7 min, enantiomer A and 3.2 g, white solid,> 99% ee, retention time 13.1 minutes, enantiomer B) was obtained. The optical purity and retention time were determined under the following conditions. (Column: CHIRALPAK OJ-H (0.46 cm × 25 cm) manufactured by Daicel Chemical Industries, Ltd., eluent: ethanol (0.1% diethylamine), flow rate: 0.7 ml / min, UV: 254 nm detection, column temperature: 40 ° C).
(参考例15)
2-(2-(5,8-ジメチル-[1,2,4]トリアゾロ[1,5-a]ピラジン-2-イル)シクロプロピル)-6-(ピロリジン-1-イル)ピリミジン-4-カルボン酸の合成
(参考例13)で得られた、2-(2-(4-クロロ-6-(ピロリジン-1-イル)ピリミジン-2-イル)シクロプロピル)-5,8-ジメチル-[1,2,4]トリアゾロ[1,5-a]ピラジン(30mg)のアセトニトリル(1.5ml)及び1-ブタノール(1.5ml)混合溶液に、ビス(アセトニトリル)ジクロロパラジウム(II)(4.2mg)、2,2’-ビス(ジフェニルホスフィノ)-1,1’-ビナフチル(10mg)、ジイソプロピルエチルアミン(15μl)を加え、一酸化炭素雰囲気下、75℃で18時間攪拌した。反応溶液を室温に冷却し、1規定水酸化ナトリウム水溶液(2ml)を加えた。室温で3時間攪拌した後、酢酸エチルを加え、洗浄した。得られた水層に1規定塩酸水溶液(2ml)を加え、塩化メチレンで抽出した。有機層を無水硫酸ナトリウムで乾燥し、減圧下溶媒を留去し標記化合物(39mg)を茶色固体として得た。
(参考例16)
2-(2-(4-クロロ-6-(ピロリジン-1-イル)ピリミジン‐2‐イル)シクロプロピル)-5,8-ジメチル-[1,2,4]トリアゾロ[1,5-c]ピリミジンの合成
<工程1>
7-クロロ-2-(ジメトキシメチル)-5,8-ジメチル-[1,2,4]トリアゾロ[1,5-c]ピリミジンの合成
(参考例10)<工程4>で得られた、3-アミノ-6-クロロ-2,5-ジメチルピリミジン-4(3H)-イミニウム 2,4,6-トリメチルベンゼンスルホネート(6.4g)のメタノール(15ml)溶液に、ジメトキシ酢酸エチル(4.2ml)及びナトリウムメトキシド(3.6ml、28%メタノール溶液)を加え、45℃で64時間攪拌した。反応溶液を室温に冷却し、水(100ml)を加え、酢酸エチル(150ml)で抽出した。さらに、水層を酢酸エチル(100ml)で3回抽出し、有機層を合わせて、硫酸ナトリウムで乾燥した。減圧下溶媒を留去し、得られた残渣をシリカゲルカラムクロマトグラフィー(溶出液;n-ヘキサン:酢酸エチル=75:25-60:40)で精製し、標記化合物(2.6g)を得た。
<工程2>
2-(ジメトキシメチル)-5,8-ジメチル-[1,2,4]トリアゾロ[1,5-c]ピリミジンの合成
(参考例16)<工程1>で得られた7-クロロ-2-(ジメトキシメチル)-5,8-ジメチル-[1,2,4]トリアゾロ[1,5-c]ピリミジン(2.9g)から、(実施例2)と同様の方法で標記化合物(1.2g)を得た。
<工程3>
5,8-ジメチル-[1,2,4]トリアゾロ[1,5-c]ピリミジン-2-カルバアルデヒドの合成
(参考例16)<工程2>で得られた2-(ジメトキシメチル)-5,8-ジメチル- [1,2,4]トリアゾロ[1,5-c]ピリミジン(1,8g)に、水(7.2ml)、濃塩酸(3.6ml)を加え、室温にて49時間攪拌した。反応溶液に水(20ml)、炭酸ナトリウムを加えpH8とし、クロロホルム/イソプロパノール=4/1の混合溶液(70ml)で5回抽出した。有機層を硫酸ナトリウムで乾燥し、減圧下溶媒を留去し、標記化合物(0.96g)を得た。
<工程4>(E)-2-(2-(4-クロロ-6-(ピロロジン-1-イル)ピリジン-2-イル)ビニル)5,8-ジメチル-[1,2,4]トリアゾロ[1,5-c]ピリミジンの合成
(参考例16)<工程3>で得られた5,8-ジメチル-[1,2,4]トリアゾロ[1,5-c]ピリミジン-2-カルバアルデヒド(1.0g)から、(実施例8)と同様の方法で標記化合物(380mg)を得た。
<工程5>
2-(2-(4-クロロ-6-(ピロリジン-1-イル)ピリミジン‐2‐イル)シクロプロピル)-5,8-ジメチル-[1,2,4]トリアゾロ[1,5-c]ピリミジンの合成
(参考例16)<工程4>で得られた(E)-2-(2-(4-クロロ-6-(ピロロジン-1-イル)ピリジン-2-イル)ビニル)5,8-ジメチル-[1,2,4]トリアゾロ[1,5-c]ピリミジン(310mg)から(参考例13)と同様の方法で、標記化合物(180mg)を得た。
(Reference Example 15)
2- (2- (5,8-dimethyl- [1,2,4] triazolo [1,5-a] pyrazin-2-yl) cyclopropyl) -6- (pyrrolidin-1-yl) pyrimidine-4- 2- (2- (4-Chloro-6- (pyrrolidin-1-yl) pyrimidin-2-yl) cyclopropyl) -5,8-dimethyl- [, obtained in the synthesis of carboxylic acid (Reference Example 13) To a mixed solution of 1,2,4] triazolo [1,5-a] pyrazine (30 mg) in acetonitrile (1.5 ml) and 1-butanol (1.5 ml), bis (acetonitrile) dichloropalladium (II) (4. 2 mg), 2,2′-bis (diphenylphosphino) -1,1′-binaphthyl (10 mg) and diisopropylethylamine (15 μl) were added, and the mixture was stirred at 75 ° C. for 18 hours in a carbon monoxide atmosphere. The reaction solution was cooled to room temperature, and 1N aqueous sodium hydroxide solution (2 ml) was added. After stirring at room temperature for 3 hours, ethyl acetate was added for washing. A 1N aqueous hydrochloric acid solution (2 ml) was added to the obtained aqueous layer, and the mixture was extracted with methylene chloride. The organic layer was dried over anhydrous sodium sulfate, and the solvent was distilled off under reduced pressure to obtain the title compound (39 mg) as a brown solid.
(Reference Example 16)
2- (2- (4-Chloro-6- (pyrrolidin-1-yl) pyrimidin-2-yl) cyclopropyl) -5,8-dimethyl- [1,2,4] triazolo [1,5-c] Synthesis of pyrimidine <Step 1>
Synthesis of 7-chloro-2- (dimethoxymethyl) -5,8-dimethyl- [1,2,4] triazolo [1,5-c] pyrimidine (Reference Example 10) 3 obtained in <Step 4> Amino-6-chloro-2,5-dimethylpyrimidine-4 (3H) -iminium 2,4,6-trimethylbenzenesulfonate (6.4 g) in methanol (15 ml) solution in ethyl dimethoxyacetate (4.2 ml) And sodium methoxide (3.6 ml, 28% methanol solution) were added and stirred at 45 ° C. for 64 hours. The reaction solution was cooled to room temperature, water (100 ml) was added, and the mixture was extracted with ethyl acetate (150 ml). Further, the aqueous layer was extracted three times with ethyl acetate (100 ml), and the organic layers were combined and dried over sodium sulfate. The solvent was distilled off under reduced pressure, and the resulting residue was purified by silica gel column chromatography (eluent; n-hexane: ethyl acetate = 75: 25-60: 40) to obtain the title compound (2.6 g). .
<Step 2>
Synthesis of 2- (dimethoxymethyl) -5,8-dimethyl- [1,2,4] triazolo [1,5-c] pyrimidine (Reference Example 16) 7-Chloro-2- obtained in <Step 1> From (dimethoxymethyl) -5,8-dimethyl- [1,2,4] triazolo [1,5-c] pyrimidine (2.9 g), the title compound (1.2 g) was prepared in the same manner as in Example 2. )
<Step 3>
Synthesis of 5,8-dimethyl- [1,2,4] triazolo [1,5-c] pyrimidine-2-carbaldehyde (Reference Example 16) 2- (dimethoxymethyl) -5 obtained in <Step 2> , 8-Dimethyl- [1,2,4] triazolo [1,5-c] pyrimidine (1,8 g), water (7.2 ml) and concentrated hydrochloric acid (3.6 ml) were added, and the mixture was stirred at room temperature for 49 hours. Stir. Water (20 ml) and sodium carbonate were added to the reaction solution to adjust the pH to 8, and the mixture was extracted 5 times with a mixed solution of chloroform / isopropanol = 4/1 (70 ml). The organic layer was dried over sodium sulfate, and the solvent was distilled off under reduced pressure to obtain the title compound (0.96 g).
<Step 4> (E) -2- (2- (4-Chloro-6- (pyrrolodin-1-yl) pyridin-2-yl) vinyl) 5,8-dimethyl- [1,2,4] triazolo [ Synthesis of 1,5-c] pyrimidine (Reference Example 16) 5,8-dimethyl- [1,2,4] triazolo [1,5-c] pyrimidine-2-carbaldehyde obtained in <Step 3> 1.0 g) to give the title compound (380 mg) in the same manner as in (Example 8).
<Step 5>
2- (2- (4-Chloro-6- (pyrrolidin-1-yl) pyrimidin-2-yl) cyclopropyl) -5,8-dimethyl- [1,2,4] triazolo [1,5-c] Synthesis of Pyrimidine (Reference Example 16) (E) -2- (2- (4-Chloro-6- (pyrrolodin-1-yl) pyridin-2-yl) vinyl) 5,8 obtained in <Step 4> The title compound (180 mg) was obtained from -dimethyl- [1,2,4] triazolo [1,5-c] pyrimidine (310 mg) in the same manner as in (Reference Example 13).
(参考例17)
<工程1>
(5,8-ジメチル-[1,2,4]トリアゾロ[1,5-a]ピリジン-2-イル)メチル アセテートの合成
(参考例11)<工程2>で得られた2-(クロロメチル)-5,8-ジメチル-[1,2,4]トリアゾロ[1,5-a]ピリジン(0.30g)のN、N-ジメチルホルムアミド(3ml)溶液に、酢酸ナトリウム(0.14g)を加えたのち、室温で終夜撹拌した。反応混合物を水(30ml)で希釈し酢酸エチル(30ml)で抽出した。抽出液を水(30ml)で洗浄し、芒硝乾燥した後、減圧下濃縮した。得られた残渣をシリカゲルカラムクロマトグラフィー(溶出液;n-ヘキサン:酢酸エチル=30:70-0:100)にて精製し、標記化合物(0.22g)を茶白色固体として得た。
<工程2>
(5,8-ジメチル-[1,2,4]トリアゾロ[1,5-a]ピリジン-2-イル)メタノールの合成
(参考例17)<工程1>で得られた(5,8-ジメチル-[1,2,4]トリアゾロ[1,5-a]ピリジン-2-イル)メチル アセテート(0.2g)をメタノール(2ml)に溶解し、炭酸セシウム(3mg)を加えたのち、室温で終夜撹拌した。反応混合物を減圧下濃縮し、標記化合物(0.15g)を茶白色固体として得た。
<工程3>5,8-ジメチル-[1,2,4]トリアゾロ[1,5-a]ピリジン-2-カルバアルデヒドの合成
(参考例17)<工程2>で得られた(5,8-ジメチル-[1,2,4]トリアゾロ[1,5-a]ピリジン-2-イル)メタノール(135mg)の塩化メチレン(5ml)溶液に、氷冷下、1,1,1-トリアセトキシ-1,1-ジヒドロ-1,2-ベンズヨードキソール-3(1H)-オン(デス・マーチン・ペルヨージナン:646mg)を加え、室温にて1時間攪拌した。反応溶液に塩化メチレン(50ml)を加え、飽和重曹水(10ml)、10%チオ硫酸
ナトリウム水(10ml)で順次洗浄し、さらに飽和重曹水(5ml)、10%チオ硫酸
ナトリウム水(20ml)で3回洗浄した。有機層を芒硝乾燥し、減圧下濃縮して標記化合物(135mg)を得た。
<工程4>
(E)-2-(2-(4-クロロ-6-(ピロリジン-1-イル)ピリミジン-2-イル)ビニル)5,8-ジメチル-[1,2,4]トリアゾロ[1,5-a]ピラジンの合成
(参考例17)<工程3>で得られた5,8-ジメチル-[1,2,4]トリアゾロ[1,5-a]ピリジン-2-カルバアルデヒド(130mg)から、(実施例8)と同様の方法を用いて、標記化合物(165mg)を得た。
<工程5>
2-(2-(4-クロロ-6-(ピロリジン-1-イル)ピリミジン‐2‐イル)シクロプロピル)-5,8-ジメチル-[1,2,4]トリアゾロ[1,5-a]ピリジンの合成
(参考例17)<工程4>で得られた(E)-2-(2-(4-クロロ-6-(ピロリジン-1-イル)ピリミジン-2-イル)ビニル)5,8-ジメチル-[1,2,4]トリアゾロ[1,5-a]ピラジン(180mg)から(参考例13)と同様の方法、もしくは、これに準ずる方法で標記化合物(148mg)を得た。
(Reference Example 17)
<Step 1>
Synthesis of (5,8-dimethyl- [1,2,4] triazolo [1,5-a] pyridin-2-yl) methyl acetate (Reference Example 11) 2- (chloromethyl obtained in <Step 2> ) -5,8-dimethyl- [1,2,4] triazolo [1,5-a] pyridine (0.30 g) in N, N-dimethylformamide (3 ml), sodium acetate (0.14 g) was added. After the addition, the mixture was stirred at room temperature overnight. The reaction mixture was diluted with water (30 ml) and extracted with ethyl acetate (30 ml). The extract was washed with water (30 ml), dried with sodium sulfate, and then concentrated under reduced pressure. The obtained residue was purified by silica gel column chromatography (eluent; n-hexane: ethyl acetate = 30: 70-0: 100) to obtain the title compound (0.22 g) as a brown white solid.
<Step 2>
Synthesis of (5,8-dimethyl- [1,2,4] triazolo [1,5-a] pyridin-2-yl) methanol (Reference Example 17) (5,8-dimethyl) obtained in <Step 1> -[1,2,4] triazolo [1,5-a] pyridin-2-yl) methyl acetate (0.2 g) was dissolved in methanol (2 ml), cesium carbonate (3 mg) was added, and then at room temperature. Stir overnight. The reaction mixture was concentrated under reduced pressure to obtain the title compound (0.15 g) as a brown white solid.
<Step 3> Synthesis of 5,8-dimethyl- [1,2,4] triazolo [1,5-a] pyridine-2-carbaldehyde (Reference Example 17) obtained in <Step 2> (5,8 -Dimethyl- [1,2,4] triazolo [1,5-a] pyridin-2-yl) methanol (135 mg) in methylene chloride (5 ml) under ice-cooling, 1,1,1-triacetoxy- 1,1-dihydro-1,2-benziodoxol-3 (1H) -one (Dess-Martin periodinane: 646 mg) was added, and the mixture was stirred at room temperature for 1 hour. Methylene chloride (50 ml) was added to the reaction solution, washed sequentially with saturated aqueous sodium hydrogen carbonate (10 ml), 10% aqueous sodium thiosulfate (10 ml), and further with saturated aqueous sodium hydrogen carbonate (5 ml) and 10% aqueous sodium thiosulfate (20 ml). Washed 3 times. The organic layer was dried over sodium sulfate and concentrated under reduced pressure to obtain the title compound (135 mg).
<Step 4>
(E) -2- (2- (4-Chloro-6- (pyrrolidin-1-yl) pyrimidin-2-yl) vinyl) 5,8-dimethyl- [1,2,4] triazolo [1,5- a] Synthesis of Pyrazine (Reference Example 17) From 5,8-dimethyl- [1,2,4] triazolo [1,5-a] pyridine-2-carbaldehyde (130 mg) obtained in <Step 3> Using the same method as in (Example 8), the title compound (165 mg) was obtained.
<Step 5>
2- (2- (4-Chloro-6- (pyrrolidin-1-yl) pyrimidin-2-yl) cyclopropyl) -5,8-dimethyl- [1,2,4] triazolo [1,5-a] Synthesis of Pyridine (Reference Example 17) (E) -2- (2- (4-Chloro-6- (pyrrolidin-1-yl) pyrimidin-2-yl) vinyl) 5,8 obtained in <Step 4> The title compound (148 mg) was obtained from -dimethyl- [1,2,4] triazolo [1,5-a] pyrazine (180 mg) in the same manner as in (Reference Example 13) or a method analogous thereto.
(参考例18)
2-(2-(4-(アゼチジン-1-イル)-6-クロロピリミジン-2-イル)シクロプロピル)-5,8-ジメチル-[1,2,4]トリアゾロ[1,5-a]ピラジンの合成
<工程1>
(E)-2-(2-(4,6-ジクロロピリミジン-2-イル)ビニル)-5,8-ジメチル-[1,2,4]トリアゾロ[1,5-a]ピラジンの合成
文献既知の方法[WO2010027097]で得られたジエチル((4,6-ジクロロピリミジン-2-イル)メチル)ホスホネート(0.48g)のテトラヒドロフラン(10ml)溶液に、氷冷下、60%水素化ナトリウム(68mg)を加えて同温下30分撹拌した。(参考例2)で得られた5,8-ジメチル-[1,2,4]トリアゾロ[1,5-a]ピラジン-2-カルボキシアルデヒド(0.2g)のテトラヒドロフラン(4ml)溶液を加え、同温下5分撹拌したのち、室温で40分撹拌した。水(30ml)を加え、生じた不溶物をろ取し、標記化合物(0.23g)を白色固体として得た。
<工程2>
2-(2-(4,6-ジクロロピリミジン-2-イル)シクロプロピル)-5,8-ジメチル-[1,2,4]トリアゾロ[1,5-a]ピラジンの合成
(参考例18)<工程1>で得られた(E)-2-(2-(4,6-ジクロロピリミジン-2-イル)ビニル)-5,8-ジメチル-[1,2,4]トリアゾロ[1,5-a]ピラジンから、(参考例13)と同様の方法、もしくはこれに準ずる方法を用いて、標記化合物を得た。
<工程3> 
2-(2-(4-(アゼチジン-1-イル)-6-クロロピリミジン-2-イル)シクロプロピル)-5,8-ジメチル-[1,2,4]トリアゾロ[1,5-a]ピラジンの合成
(参考例18)<工程2>で得られた、2-(2-(4,6-ジクロロピリミジン-2-イル)シクロプロピル)-5,8-ジメチル-[1,2,4]トリアゾロ[1,5-a]ピラジン(70mg)の2-プロパノール(2ml)溶液に、アゼチジン塩酸塩(29mg)とトリエチルアミン(58μl)を加え、60℃で17時間30分加熱撹拌した。反応液を室温に冷却し、酢酸エチル(30ml)で希釈し水(20ml)、飽和食塩水(20ml)で順次洗浄し、無水硫酸ナトリウムで乾燥した。減圧下溶媒を留去し、標記化合物(73mg)を淡黄色固体として得た。
(Reference Example 18)
2- (2- (4- (azetidin-1-yl) -6-chloropyrimidin-2-yl) cyclopropyl) -5,8-dimethyl- [1,2,4] triazolo [1,5-a] Synthesis of pyrazine <Step 1>
Synthesis of (E) -2- (2- (4,6-dichloropyrimidin-2-yl) vinyl) -5,8-dimethyl- [1,2,4] triazolo [1,5-a] pyrazine To a solution of diethyl ((4,6-dichloropyrimidin-2-yl) methyl) phosphonate (0.48 g) obtained in the above method [WO2010027097] in tetrahydrofuran (10 ml) under ice-cooling, 60% sodium hydride (68 mg ) And stirred at the same temperature for 30 minutes. A solution of 5,8-dimethyl- [1,2,4] triazolo [1,5-a] pyrazine-2-carboxaldehyde (0.2 g) obtained in (Reference Example 2) in tetrahydrofuran (4 ml) was added, After stirring at the same temperature for 5 minutes, the mixture was stirred at room temperature for 40 minutes. Water (30 ml) was added, and the resulting insoluble material was collected by filtration to give the title compound (0.23 g) as a white solid.
<Step 2>
Synthesis of 2- (2- (4,6-dichloropyrimidin-2-yl) cyclopropyl) -5,8-dimethyl- [1,2,4] triazolo [1,5-a] pyrazine (Reference Example 18) (E) -2- (2- (4,6-dichloropyrimidin-2-yl) vinyl) -5,8-dimethyl- [1,2,4] triazolo [1,5] obtained in <Step 1> -A] The title compound was obtained from pyrazine using the same method as in (Reference Example 13) or a method analogous thereto.
<Step 3>
2- (2- (4- (azetidin-1-yl) -6-chloropyrimidin-2-yl) cyclopropyl) -5,8-dimethyl- [1,2,4] triazolo [1,5-a] Synthesis of Pyrazine (Reference Example 18) 2- (2- (4,6-Dichloropyrimidin-2-yl) cyclopropyl) -5,8-dimethyl- [1,2,4 obtained in <Step 2> Azetidine hydrochloride (29 mg) and triethylamine (58 μl) were added to a solution of triazolo [1,5-a] pyrazine (70 mg) in 2-propanol (2 ml), and the mixture was heated and stirred at 60 ° C. for 17 hours and 30 minutes. The reaction mixture was cooled to room temperature, diluted with ethyl acetate (30 ml), washed successively with water (20 ml) and saturated brine (20 ml), and dried over anhydrous sodium sulfate. The solvent was distilled off under reduced pressure to obtain the title compound (73 mg) as a pale yellow solid.
(参考例19)
4-(6-クロロ-2-(2-(5,8-ジメチル-[1,2,4]トリアゾロ[1,5-a]ピラジン-2-イル)シクロプロピル)ピリミジン-4-イル)モルフォリンの合成
(参考例18)<工程2>で得られた2-(2-(4,6-ジクロロピリミジン-2-イル)シクロプロピル)-5,8-ジメチル-[1,2,4]トリアゾロ[1,5-a]ピラジン(70mg)の2-プロパノール溶液(3ml)に、モルフォリン(27μl)とトリエチルアミン(58μl)を加え、60℃で8時間加熱撹拌した。反応液を室温に冷却し、酢酸エチル(30ml)で希釈し水(20ml)、飽和食塩水(20ml)で順次洗浄し、無水硫酸ナトリウムで乾燥した。減圧下溶媒を留去し、標記化合物(78mg)を白色固体として得た。
(Reference Example 19)
4- (6-Chloro-2- (2- (5,8-dimethyl- [1,2,4] triazolo [1,5-a] pyrazin-2-yl) cyclopropyl) pyrimidin-4-yl) morpho Synthesis of Phosphorus (Reference Example 18) 2- (2- (4,6-Dichloropyrimidin-2-yl) cyclopropyl) -5,8-dimethyl- [1,2,4] obtained in <Step 2> Morpholine (27 μl) and triethylamine (58 μl) were added to a 2-propanol solution (3 ml) of triazolo [1,5-a] pyrazine (70 mg), and the mixture was heated and stirred at 60 ° C. for 8 hours. The reaction mixture was cooled to room temperature, diluted with ethyl acetate (30 ml), washed successively with water (20 ml) and saturated brine (20 ml), and dried over anhydrous sodium sulfate. The solvent was distilled off under reduced pressure to obtain the title compound (78 mg) as a white solid.
(参考例20)
2-(2-(4-クロロ-6-(ピロリジン-1-イル)ピリジン-2-イル)シクロプロピル)-5,8-ジメチル-[1,2,4]トリアゾロ[1,5-a]ピラジンの合成
<工程1>
(E)-2-(2-(6-ブロモ-4-((3,5-ジメトキシベンジル)オキシ)ピリジン-2-イル)ビニル)-5,8-ジメチル-[1,2,4]トリアゾロ[1,5-a]ピラジンの合成
(参考例12)<工程1>で得られた(E)-2-ブロモ-6-(2-(5,8-ジメチル-[1,2,4]トリアゾロ[1,5-a]ピラジン-2-イル)ビニル)ピリジン-4-オール(50mg)及びジメトキシベンジルブロミド(33mg)のアセトン(3ml)溶液に、炭酸カリウム(29mg)、18-クラウン-6-エーテル(7.6mg)を加え、加熱還流下18時間攪拌した。反応溶液を冷却後、水(2ml)を加え、酢酸エチルで抽出した。有機層を無水硫酸ナトリウムで乾燥し、減圧下溶媒を留去した。得られた残渣をシリカゲルカラムクロマトグラフィー(溶出液;n-ヘキサン:酢酸エチル=85:15-50:50)で精製し、標記化合物(44mg)を無色固体として得た。
<工程2>
2-(2-(6-ブロモ-4-((3,5-ジメトキシベンジル)オキシ)ピリジン-2-イル)シクロプロピル)-5,8-ジメチル-[1,2,4]トリアゾロ[1,5-a]ピラジンの合成
(参考例20)<工程1>で得られた、(E)-2-(2-(6-ブロモ-4-((3,5-ジメトキシベンジル)オキシ)ピリジン-2-イル)ビニル)-5,8-ジメチル-[1,2,4]トリアゾロ[1,5-a]ピラジン(200mg)を用いて、(参考例13)と同様の方法、もしくはこれに準ずる方法で標記化合物(164mg)を無色固体として得た。
<工程3>
2-(2-(4-((3,5-ジメトキシベンジル)オキシ)-6-(ピロリジン-1-イル)ピリジン-2-イル)シクロプロピル)-5,8-ジメチル-[1,2,4]トリアゾロ[1,5-a]ピラジンの合成
(参考例20)<工程2>で得られた、2-(2-(6-ブロモ-4-((3,5-ジメトキシベンジル)オキシ)ピリジン-2-イル)シクロプロピル)-5,8-ジメチル-[1,2,4]トリアゾロ[1,5-a]ピラジン(160mg)、ピロリジン(0.13ml)、トリス(ジベンジリデンアセトン)ジパラジウム(57mg)、X-Phos(30mg)、ナトリウム-tert-ブトキシド(75mg)のtert-ブタノール(3.1ml)溶液を95℃で1時間攪拌した。反応溶液をセライトろ過し、酢酸エチル(40ml)で洗浄した後、減圧下溶媒を留去した。得られた残渣をシリカゲルカラムクロマトグラフィー(溶出液;n-ヘキサン:酢酸エチル=92:8-60:40)で精製し、標記化合物(95mg)を黄色固体として得た。
<工程4>
2-(2-(5,8-ジメチル-[1,2,4]トリアゾロ[1,5-a]ピラジン-2-イル)シクロプロピル)-6-(ピロリジン-1-イル)ピリジン-4-オール
(参考例20)<工程3>で得られた、2-(2-(4-((3,5-ジメトキシベンジル)オキシ)-6-(ピロリジン-1-イル)ピリジン-2-イル)シクロプロピル)-5,8-ジメチル-[1,2,4]トリアゾロ[1,5-a]ピラジン(65mg)、のジクロロメタン(5ml)溶液に、-78℃で1.0M三臭化ホウ素ジクロロメタン溶液(0.29ml)を加え、室温で1時間攪拌した。反応溶液に水(3ml)を加え、塩化メチレンで抽出した。有機層を無水硫酸ナトリウムで乾燥し、減圧下溶媒を留去した。得られた残渣をシリカゲルカラムクロマトグラフィー(溶出液;n-ヘキサン:酢酸エチル=50:50-0:100-メタノール:酢酸エチル=10:90)で精製し、標記化合物(48mg)を淡黄色油状物質として得た。
<工程5>
2-(2-(4-クロロ-6-(ピロリジン-1-イル)ピリジン-2-イル)シクロプロピル)-5,8-ジメチル-[1,2,4]トリアゾロ[1,5-a]ピラジンの合成
(参考例20)<工程4>で得られた、2-(2-(5,8-ジメチル-[1,2,4]トリアゾロ[1,5-a]ピラジン-2-イル)シクロプロピル)-6-(ピロリジン-1-イル)ピリジン-4-オール(48mg)を用いて、(参考例10)<工程2>と同様の方法、もしくはこれに準ずる方法で標記化合物(18mg)を淡黄色油状物質として得た。
(Reference Example 20)
2- (2- (4-Chloro-6- (pyrrolidin-1-yl) pyridin-2-yl) cyclopropyl) -5,8-dimethyl- [1,2,4] triazolo [1,5-a] Synthesis of pyrazine <Step 1>
(E) -2- (2- (6-Bromo-4-((3,5-dimethoxybenzyl) oxy) pyridin-2-yl) vinyl) -5,8-dimethyl- [1,2,4] triazolo Synthesis of [1,5-a] pyrazine (Reference Example 12) (E) -2-bromo-6- (2- (5,8-dimethyl- [1,2,4]) obtained in <Step 1> To a solution of triazolo [1,5-a] pyrazin-2-yl) vinyl) pyridin-4-ol (50 mg) and dimethoxybenzyl bromide (33 mg) in acetone (3 ml) was added potassium carbonate (29 mg), 18-crown-6. -Ether (7.6 mg) was added, and the mixture was stirred with heating under reflux for 18 hours. The reaction solution was cooled, water (2 ml) was added, and the mixture was extracted with ethyl acetate. The organic layer was dried over anhydrous sodium sulfate, and the solvent was distilled off under reduced pressure. The obtained residue was purified by silica gel column chromatography (eluent; n-hexane: ethyl acetate = 85: 15-50: 50) to obtain the title compound (44 mg) as a colorless solid.
<Step 2>
2- (2- (6-Bromo-4-((3,5-dimethoxybenzyl) oxy) pyridin-2-yl) cyclopropyl) -5,8-dimethyl- [1,2,4] triazolo [1, Synthesis of 5-a] pyrazine (Reference Example 20) (E) -2- (2- (6-Bromo-4-((3,5-dimethoxybenzyl) oxy) pyridine-) obtained in <Step 1> 2-yl) vinyl) -5,8-dimethyl- [1,2,4] triazolo [1,5-a] pyrazine (200 mg), and the same method as in (Reference Example 13) or equivalent thereto The title compound (164 mg) was obtained as a colorless solid by the method.
<Step 3>
2- (2- (4-((3,5-dimethoxybenzyl) oxy) -6- (pyrrolidin-1-yl) pyridin-2-yl) cyclopropyl) -5,8-dimethyl- [1,2, 4] Synthesis of triazolo [1,5-a] pyrazine (Reference Example 20) 2- (2- (6-bromo-4-((3,5-dimethoxybenzyl) oxy) obtained in <Step 2>) Pyridin-2-yl) cyclopropyl) -5,8-dimethyl- [1,2,4] triazolo [1,5-a] pyrazine (160 mg), pyrrolidine (0.13 ml), tris (dibenzylideneacetone) di A solution of palladium (57 mg), X-Phos (30 mg), sodium-tert-butoxide (75 mg) in tert-butanol (3.1 ml) was stirred at 95 ° C. for 1 hour. The reaction solution was filtered through celite, washed with ethyl acetate (40 ml), and the solvent was evaporated under reduced pressure. The obtained residue was purified by silica gel column chromatography (eluent; n-hexane: ethyl acetate = 92: 8-60: 40) to obtain the title compound (95 mg) as a yellow solid.
<Step 4>
2- (2- (5,8-Dimethyl- [1,2,4] triazolo [1,5-a] pyrazin-2-yl) cyclopropyl) -6- (pyrrolidin-1-yl) pyridine-4- All (Reference Example 20) 2- (2- (4-((3,5-dimethoxybenzyl) oxy) -6- (pyrrolidin-1-yl) pyridin-2-yl) obtained in <Step 3>) Cyclopropyl) -5,8-dimethyl- [1,2,4] triazolo [1,5-a] pyrazine (65 mg) in dichloromethane (5 ml) in 1.0 M boron tribromide dichloromethane at −78 ° C. The solution (0.29 ml) was added and stirred at room temperature for 1 hour. Water (3 ml) was added to the reaction solution, and the mixture was extracted with methylene chloride. The organic layer was dried over anhydrous sodium sulfate, and the solvent was distilled off under reduced pressure. The obtained residue was purified by silica gel column chromatography (eluent; n-hexane: ethyl acetate = 50: 50-0: 100-methanol: ethyl acetate = 10: 90) to give the title compound (48 mg) as a pale yellow oil Obtained as material.
<Step 5>
2- (2- (4-Chloro-6- (pyrrolidin-1-yl) pyridin-2-yl) cyclopropyl) -5,8-dimethyl- [1,2,4] triazolo [1,5-a] Synthesis of Pyrazine (Reference Example 20) 2- (2- (5,8-dimethyl- [1,2,4] triazolo [1,5-a] pyrazin-2-yl) obtained in <Step 4> Using cyclopropyl) -6- (pyrrolidin-1-yl) pyridin-4-ol (48 mg) in the same manner as in (Reference Example 10) <Step 2> or a method analogous thereto, the title compound (18 mg) Was obtained as a pale yellow oil.
(参考例21)
(E)-2-クロロ-6-(2-(5,8-ジメチル-[1,2,4]トリアゾロ[1,5-a]ピラジン-2-イル)ビニル)-N-(トトラヒドロフラン-2H-ピラン-4-イル)ピリミジン-4-アミン
<工程1>
2-クロロ-6-((テトラヒドロ-2H-ピラン-4-イル)アミノ)ピリミジン-4-カルバアルデヒド
[WO2010/027097号パンフレット P41]に記載された方法に準じて合成した(2-クロロ-6-((テトラヒドロ-2H-ピラン-4-イル)アミノ)ピリミジン-4-イル)メタノール(746mg)の塩化メチレン(30ml)溶液に、氷冷下、1,1,1-トリアセトキシ-1,1-ジヒドロ-1,2-ベンズヨードキソール-3(1H)-オン(デス・マーチン・ペルヨージナン:1.95g)を加え、同温にて1時間攪拌した。反応溶液に、飽和炭酸水素ナトリウム水溶液(50ml)を加え、塩化メチレン(50ml)で3回抽出した。有機層を合わせて、硫酸ナトリウムで乾燥し、減圧下溶媒を留去した。得られた残渣を塩化メチレン懸濁溶液として、不溶物質を吸引濾過により除去し、ろ液を減圧下濃縮した。得られた残渣をシリカゲルカラムクロマトグラフィー(溶出液;n-ヘキサン:酢酸エチル=90:10~30:70)で精製し、減圧下溶媒を留去し、標記化合物(604mg)を白色固体として得た。
<工程2>
(E)-2-クロロ-6-(2-(5,8-ジメチル-[1,2,4]トリアゾロ[1,5-a]ピラジン-2-イル)ビニル)-N-(テトラヒドロフラン-2H-ピラン-4-イル)ピリミジン-4-アミンの合成
60%水素化ナトリウム(100mg)のテトラヒドロフラン(5ml)溶液に、(参考例4)で得られたジエチル((5,8-ジメチル-[1,2,4]トリアゾロ[1,5-a]ピラジン-2-イル)メチル)ホスホネートジエチル(814mg)のテトラヒドロフラン(5ml)溶液を加えた。室温に昇温して、30分間攪拌した。反応溶液に、(参考例21)<工程2>で得られた、2-クロロ-6-((テトラヒドロ-2H-ピラン-4-イル)アミノ)ピリミジン-4-カルバアルデヒド(550mg)のテトラヒドロフラン(5ml)溶液を10分間かけて加え、1時間攪拌した。水(20ml)を加え、析出した固体を吸引濾過にてろ取し、酢酸エチル(10ml)で洗浄した。得られた残渣を50℃にて減圧乾燥し、標記化合物(606mg)を得た。
(Reference Example 21)
(E) -2-Chloro-6- (2- (5,8-dimethyl- [1,2,4] triazolo [1,5-a] pyrazin-2-yl) vinyl) -N- (totrahydrofuran -2H-pyran-4-yl) pyrimidin-4-amine <Step 1>
2-Chloro-6-((tetrahydro-2H-pyran-4-yl) amino) pyrimidine-4-carbaldehyde
(2-chloro-6-((tetrahydro-2H-pyran-4-yl) amino) pyrimidin-4-yl) methanol (746 mg) synthesized according to the method described in [WO2010 / 027097 pamphlet P41] To a methylene chloride (30 ml) solution, 1,1,1-triacetoxy-1,1-dihydro-1,2-benziodoxol-3 (1H) -one (Dess Martin Periodinane: 1) under ice-cooling .95 g) was added and stirred at the same temperature for 1 hour. To the reaction solution was added saturated aqueous sodium hydrogen carbonate solution (50 ml), and the mixture was extracted 3 times with methylene chloride (50 ml). The organic layers were combined and dried over sodium sulfate, and the solvent was distilled off under reduced pressure. The obtained residue was made into a methylene chloride suspension solution, insoluble substances were removed by suction filtration, and the filtrate was concentrated under reduced pressure. The obtained residue was purified by silica gel column chromatography (eluent; n-hexane: ethyl acetate = 90: 10-30: 70), and the solvent was distilled off under reduced pressure to obtain the title compound (604 mg) as a white solid. It was.
<Step 2>
(E) -2-Chloro-6- (2- (5,8-dimethyl- [1,2,4] triazolo [1,5-a] pyrazin-2-yl) vinyl) -N- (tetrahydrofuran-2H Synthesis of -pyran-4-yl) pyrimidin-4-amine To a solution of 60% sodium hydride (100 mg) in tetrahydrofuran (5 ml) in diethyl ((5,8-dimethyl- [1 , 2,4] triazolo [1,5-a] pyrazin-2-yl) methyl) phosphonate diethyl (814 mg) in tetrahydrofuran (5 ml) was added. The mixture was warmed to room temperature and stirred for 30 minutes. To the reaction solution was added 2-chloro-6-((tetrahydro-2H-pyran-4-yl) amino) pyrimidine-4-carbaldehyde (550 mg) of tetrahydrofuran (550 mg) obtained in (Reference Example 21) <Step 2>. 5 ml) solution was added over 10 minutes and stirred for 1 hour. Water (20 ml) was added, and the precipitated solid was collected by suction filtration and washed with ethyl acetate (10 ml). The obtained residue was dried under reduced pressure at 50 ° C. to obtain the title compound (606 mg).
(参考例22)
2-クロロ-6-(2-(5,8-ジメチル-[1,2,4]トリアゾロ[1,5-a]ピラジン-2-イル)シクロプロピル)-N-(テトラヒドロ-2H-ピラン-4-イル)ピリミジン-4-アミン
(参考例21)<工程2>で得られた、(E)-2-クロロ-6-(2-(5,8-ジメチル-[1,2,4]トリアゾロ[1,5-a]ピラジン-2-イル)ビニル)-N-(テトラヒドロフラン-2H-ピラン-4-イル)ピリミジン-4-アミン(100mg)から、(参考例13)と同様な方法、もしくはこれに準ずる方法を用いて、標記化合物(63mg)を得た。
(Reference Example 22)
2-Chloro-6- (2- (5,8-dimethyl- [1,2,4] triazolo [1,5-a] pyrazin-2-yl) cyclopropyl) -N- (tetrahydro-2H-pyran- 4-yl) pyrimidin-4-amine (Reference Example 21) (E) -2-chloro-6- (2- (5,8-dimethyl- [1,2,4]) obtained in <Step 2> From triazolo [1,5-a] pyrazin-2-yl) vinyl) -N- (tetrahydrofuran-2H-pyran-4-yl) pyrimidin-4-amine (100 mg), a method similar to (Reference Example 13), Alternatively, the title compound (63 mg) was obtained by a method analogous thereto.
(参考例23)
(E)-4-(6-クロロ-2-(2-(5,8-ジメチル)-[1,2,4]トリアゾロ[1,5-a]ピラジン-2-イル)ビニル)ピリミジン-4-イル)モルフォリンの合成
<工程1>
4-(6-クロロ-2-(クロロメチル)ピリミジン-4-イル)モルフォリン
文献既知の方法に準じて合成した4,6-ジクロロ-2-(クロロメチル)ピリミジン(5g)の1,4-ジオキサン(50ml)溶液に、炭酸水素ナトリウム(12.7g)及びモルフォリン(2.32g)を加えた。反応溶液を室温にて80分攪拌したのち、50℃から60℃にてさらに70分加熱攪拌し、反応溶液を室温に戻した。反応溶液を水(100ml)で希釈し、酢酸エチル(150ml)を加え、不溶物をセライトにて除去した。得られたろ液を酢酸エチル(50ml)で2回抽出し、硫酸ナトリウムで乾燥した。減圧下溶媒を留去して得られた残渣を、シリカゲルカラムクロマトグラフィー(溶出液;n-ヘキサン:酢酸エチル=100:0~80:20~75:25~50:50)で精製し、減圧下溶媒を留去し、標記化合物(4.85g)を茶色固体として得た。
<工程2>
ジエチル((4-クロロ-6-モルホリノピリミジン-2-イル)メチル)フォスフォネート
(参考例23)<工程1>で得られた、4-(6-クロロ-2-(クロロメチル)ピリミジン-4-イル)モルフォリン(1g)に亜リン酸トリエチル(1.0ml)及びテトラブチルアンモニウムヨージド(90mg)を加え、反応溶液を120℃で3時間加熱した。反応溶液を室温に冷却し、減圧下、過剰な亜リン酸トリエチルを除去した。得られた残渣をNHシリカゲルカラムクロマトグラフィー(溶出液;n-ヘキサン:酢酸エチル=88:12~0:100)で精製し、減圧下溶媒を留去し、標記化合物(1.35g)を茶色固体として得た。
<工程3>
(E)-4-(6-クロロ-2-(2-(5,8-ジメチル)-[1,2,4]トリアゾロ[1,5-a]ピラジン-2-イル)ビニル)ピリミジン-4-イル)モルフォリンの合成
(参考例23)<工程2>で得られた、ジエチル((4-クロロ-6-モルホリノピリミジン-2-イル)メチル)フォスフォネート(714mg)のテトラヒドロフラン(5ml)溶液に、氷冷下、60%水素化ナトリウム(102mg)を加え30分攪拌した。反応溶液に、(参考例2)<工程2>で得られた、5,8-ジメチル-[1,2,4]トリアゾロ[1,5-a]ピラジン-2-カルボキシアルデヒド(300mg)のテトラヒドロフラン(5ml)溶液を加え、2時間30分攪拌した。反応溶液に水を加え、析出した固体をろ取し、50℃にて減圧乾燥し、標記化合物(532mg)を白色固体として得た。
(Reference Example 23)
(E) -4- (6-Chloro-2- (2- (5,8-dimethyl)-[1,2,4] triazolo [1,5-a] pyrazin-2-yl) vinyl) pyrimidine-4 -Il) Synthesis of morpholine <Step 1>
4- (6-Chloro-2- (chloromethyl) pyrimidin-4-yl) morpholine 1,4 of 4,6-dichloro-2- (chloromethyl) pyrimidine (5 g) synthesized according to methods known in the literature To a dioxane (50 ml) solution was added sodium bicarbonate (12.7 g) and morpholine (2.32 g). The reaction solution was stirred at room temperature for 80 minutes, and then heated and stirred at 50 to 60 ° C. for an additional 70 minutes to return the reaction solution to room temperature. The reaction solution was diluted with water (100 ml), ethyl acetate (150 ml) was added, and the insoluble material was removed with celite. The obtained filtrate was extracted twice with ethyl acetate (50 ml) and dried over sodium sulfate. The residue obtained by distilling off the solvent under reduced pressure was purified by silica gel column chromatography (eluent; n-hexane: ethyl acetate = 100: 0 to 80:20 to 75:25 to 50:50) The lower solvent was distilled off to obtain the title compound (4.85 g) as a brown solid.
<Step 2>
Diethyl ((4-chloro-6-morpholinopyrimidin-2-yl) methyl) phosphonate (Reference Example 23) 4- (6-chloro-2- (chloromethyl) pyrimidine- obtained in <Step 1> To 4-yl) morpholine (1 g) were added triethyl phosphite (1.0 ml) and tetrabutylammonium iodide (90 mg), and the reaction solution was heated at 120 ° C. for 3 hours. The reaction solution was cooled to room temperature, and excess triethyl phosphite was removed under reduced pressure. The resulting residue was purified by NH silica gel column chromatography (eluent; n-hexane: ethyl acetate = 88: 12 to 0: 100), the solvent was distilled off under reduced pressure, and the title compound (1.35 g) was browned. Obtained as a solid.
<Step 3>
(E) -4- (6-Chloro-2- (2- (5,8-dimethyl)-[1,2,4] triazolo [1,5-a] pyrazin-2-yl) vinyl) pyrimidine-4 Synthesis of -yl) morpholine (Reference Example 23) Diethyl ((4-chloro-6-morpholinopyrimidin-2-yl) methyl) phosphonate (714 mg) obtained in <Step 2> (5 ml) To the solution, 60% sodium hydride (102 mg) was added under ice-cooling and stirred for 30 minutes. To the reaction solution was added tetrahydrofuran of 5,8-dimethyl- [1,2,4] triazolo [1,5-a] pyrazine-2-carboxaldehyde (300 mg) obtained in (Reference Example 2) <Step 2>. (5 ml) solution was added and stirred for 2 hours 30 minutes. Water was added to the reaction solution, and the precipitated solid was collected by filtration and dried under reduced pressure at 50 ° C. to obtain the title compound (532 mg) as a white solid.
(参考例24)
(E)-2-(2-(6-クロロ-3-メチルピリジン-2-イル)ビニル)-5,8-ジメチル-[1,2,4]トリアゾロ[1,5-a]ピラジンの合成
<工程1>
(6-クロロ-3-メチルピリジン-2-イル)メタノールの合成
メチル 6-クロロ-3-メチルピコリネート(200mg)のエタノール(7ml)溶液に、水素化ホウ素ナトリウム(70mg)を加え、室温で18時間攪拌した。減圧下溶媒を留去し、得られた残渣をシリカゲルカラムクロマトグラフィー(溶出液;n-ヘキサン:酢酸エチル=85:15-50:50)で精製し、標記化合物(151mg)を無色油状物質として得た。
<工程2>
6-クロロ-3-メチルピリジンアルデヒドの合成
(参考例24)<工程1>で得られた、(6-クロロ-3-メチルピリジン-2-イル)メタノール(150mg)のジクロロメタン(7ml)溶液に、氷冷下、1,1,1-トリアセトキシ-1,1-ジヒドロ-1,2-ベンズヨードキソール-3(1H)-オン(デス・マーチン・ペルヨージナン:480mg)を加え、室温で3時間攪拌した。反応溶液に飽和炭酸水素ナトリウム水溶液(1ml)、チオ硫酸ナトリウム水溶液(1ml)を加え、塩化メチレンで抽出した。有機層を無水硫酸ナトリウムで乾燥し、減圧下溶媒を留去し、標記化合物(180mg)を無色固体として得た。
<工程3>
(E)-2-(2-(6-クロロ-3-メチルピリジン-2-イル)ビニル)-5,8-ジメチル-[1,2,4]トリアゾロ[1,5-a]ピラジンの合成
(参考例24)<工程2>で得られた6-クロロ-3-メチルピリジンアルデヒド(150mg)及び(参考例4)で得られたジエチル((5,8-ジメチル-[1,2,4]トリアゾロ[1,5-a]ピラジン-2-イル)メチル)ホスホネート(290mg)を用いて、(参考例12)<工程1>と同様の方法、もしくはこれに準ずる方法で、標記化合物(119mg)を白色固体として得た。
(Reference Example 24)
Synthesis of (E) -2- (2- (6-Chloro-3-methylpyridin-2-yl) vinyl) -5,8-dimethyl- [1,2,4] triazolo [1,5-a] pyrazine <Step 1>
Synthesis of (6-chloro-3-methylpyridin-2-yl) methanol To a solution of methyl 6-chloro-3-methylpicolinate (200 mg) in ethanol (7 ml) was added sodium borohydride (70 mg) at room temperature. Stir for 18 hours. The solvent was distilled off under reduced pressure, and the obtained residue was purified by silica gel column chromatography (eluent; n-hexane: ethyl acetate = 85: 15-50: 50) to give the title compound (151 mg) as a colorless oil. Obtained.
<Step 2>
Synthesis of 6-chloro-3-methylpyridine aldehyde (Reference Example 24) To a solution of (6-chloro-3-methylpyridin-2-yl) methanol (150 mg) obtained in <Step 1> in dichloromethane (7 ml) Under ice-cooling, 1,1,1-triacetoxy-1,1-dihydro-1,2-benziodoxol-3 (1H) -one (Dess-Martin periodinane: 480 mg) was added, and 3 Stir for hours. To the reaction solution were added saturated aqueous sodium hydrogen carbonate solution (1 ml) and aqueous sodium thiosulfate solution (1 ml), and the mixture was extracted with methylene chloride. The organic layer was dried over anhydrous sodium sulfate and the solvent was distilled off under reduced pressure to obtain the title compound (180 mg) as a colorless solid.
<Step 3>
Synthesis of (E) -2- (2- (6-Chloro-3-methylpyridin-2-yl) vinyl) -5,8-dimethyl- [1,2,4] triazolo [1,5-a] pyrazine Reference Example 24 6-Chloro-3-methylpyridine aldehyde (150 mg) obtained in <Step 2> and Diethyl ((5,8-dimethyl- [1,2,4] obtained in (Reference Example 4)) ] Using triazolo [1,5-a] pyrazin-2-yl) methyl) phosphonate (290 mg) in the same manner as in (Reference Example 12) <Step 1> or a method analogous thereto, the title compound (119 mg ) Was obtained as a white solid.
(参考例25)
2-(2-(6-クロロ-3-メチルピリジン-2-イル)シクロプロピル)-5,8-ジメチル-[1,2,4]トリアゾロ[1,5-a]ピラジンの合成
(参考例24)<工程3>で得られた(E)-2-(2-(6-クロロ-3-メチルピリジン-2-イル)ビニル)-5,8-ジメチル-[1,2,4]トリアゾロ[1,5-a]ピラジン(30mg)を用いて、(参考例13)と同様な方法、もしくはこれに準ずる方法で標記化合物(18mg)を無色油状物質として得た。
(Reference Example 25)
Synthesis of 2- (2- (6-chloro-3-methylpyridin-2-yl) cyclopropyl) -5,8-dimethyl- [1,2,4] triazolo [1,5-a] pyrazine (reference example) 24) (E) -2- (2- (6-Chloro-3-methylpyridin-2-yl) vinyl) -5,8-dimethyl- [1,2,4] triazolo obtained in <Step 3> Using [1,5-a] pyrazine (30 mg), the title compound (18 mg) was obtained as a colorless oil in the same manner as in Reference Example 13 or a method analogous thereto.
(参考例26)
1-(4-モルホリノ-6-(ピロリジン-1-イル)ピリミジン-2-イル)エタノンの合成 
(参考例9)<工程4>で得られた4-モルホリノ-6-(ピロリジン-1-イル)ピリミジン-2-カルバアルデヒド(80mg)のテトラヒドロフラン(3ml)溶液に、氷冷下、3規定メチルマグネシムブロマイド・ジエチルエーテル溶液(0.28ml)を加え、室温で12時間攪拌した。飽和塩化アンモニウム水溶液を加え、酢酸エチル(10ml)、クロロホルム/イソプロパノール=3/1の混合溶液(5ml)で3回抽出した。無水硫酸ナトリウムで乾燥させ、濾過した後減圧下溶媒を留去し粗生成物(49mg)を淡黄色固体として得た。得られた粗生成物を塩化メチレン(3ml)に溶解させ、二酸化マンガン(0.22g)を加え室温にて36時間攪拌した。反応液をセライトにて濾過し塩化メチレンで洗浄した。ろ液を減圧下濃縮し、標記化合物(47mg)を得た。
(Reference Example 26)
Synthesis of 1- (4-morpholino-6- (pyrrolidin-1-yl) pyrimidin-2-yl) ethanone
Reference Example 9 To a solution of 4-morpholino-6- (pyrrolidin-1-yl) pyrimidin-2-carbaldehyde (80 mg) obtained in <Step 4> in tetrahydrofuran (3 ml) was added 3N methyl under ice-cooling. Magnesium bromide / diethyl ether solution (0.28 ml) was added, and the mixture was stirred at room temperature for 12 hours. A saturated aqueous ammonium chloride solution was added, and the mixture was extracted 3 times with a mixed solution (5 ml) of ethyl acetate (10 ml) and chloroform / isopropanol = 3/1. After drying over anhydrous sodium sulfate and filtration, the solvent was distilled off under reduced pressure to obtain a crude product (49 mg) as a pale yellow solid. The obtained crude product was dissolved in methylene chloride (3 ml), manganese dioxide (0.22 g) was added, and the mixture was stirred at room temperature for 36 hours. The reaction mixture was filtered through celite and washed with methylene chloride. The filtrate was concentrated under reduced pressure to obtain the title compound (47 mg).
(参考例27)
ジフェニル((4-モルホリノ-6-(ピロリジン-1-イル)ピリミジン-2-イル)フェニルアミノ)メチル)フォスフォネートの合成
(参考例9)<工程4>で得られた4-モルホリノ-6-(ピロリジン-1-イル)ピリミジン-2-カルバアルデヒド(80mg)のジイソプロピルアルコール(3ml)溶液に、アニリン(33μl)、ホスホン酸ジフェニル(34μl)溶液を加え、室温で12時間攪拌した。減圧下溶媒を留去して得られた残渣をシリカゲルカラムクロマトグラフィー(溶出液;n-ヘキサン:酢酸エチル=50:50)で精製し、標記化合物(143mg)を無色アモルファスとして得た。
(Reference Example 27)
Synthesis of diphenyl ((4-morpholino-6- (pyrrolidin-1-yl) pyrimidin-2-yl) phenylamino) methyl) phosphonate (Reference Example 9) 4-morpholino-6 obtained in <Step 4> To a solution of-(pyrrolidin-1-yl) pyrimidine-2-carbaldehyde (80 mg) in diisopropyl alcohol (3 ml) were added aniline (33 μl) and phosphonate diphenyl (34 μl) solutions, and the mixture was stirred at room temperature for 12 hours. The solvent was distilled off under reduced pressure and the obtained residue was purified by silica gel column chromatography (eluent; n-hexane: ethyl acetate = 50: 50) to obtain the title compound (143 mg) as a colorless amorphous.
(参考例28)
(E)-2-(1-(4-クロロ-6-(ピロリジン-1-イル)ピリミジン-2-イル)1-プロぺン-2-イル)-5,8-ジメチル-[1,2,4]トリアゾロ[1,5-a]ピラジンの合成
<工程1>1-(5,8-ジメチル-[1,2,4]トリアゾロ[1,5-a]ピラジン-2-イル)エタノールの合成
(参考例2)(工程2)で得られた、5,8-ジメチル-[1,2,4]トリアゾロ[1,5-a]ピラジン-2-カルバアルデヒド(300mg)のテトラヒドロフラン(3ml)溶液に、氷冷下、3規定メチルマグネシムブロマイド・ジエチルエーテル溶液(0.85ml)を加え、室温12にて時間攪拌した。飽和塩化アンモニウム水溶液を加え、pH7としクロロホルム/イソプロパノール=4/1の混合溶液(10ml)を用いて3回抽出した。無水硫酸ナトリウムで乾燥させ、濾過した後減圧下溶媒を留去し標記化合物(105mg)を得た。
<工程2>1-(5,8-ジメチル-[1,2,4]トリアゾロ[1,5-a]ピラジンン-2-イル)エタノンの合成
(参考例28)<工程1>で得られた、1-(5,8-ジメチル-[1,2,4]トリアゾロ[1,5-a]ピラジン‐2‐イル)エタノール(100mg)のジクロロメタン(3ml)溶液に、室温にて二酸化マンガン(140mg)を加え48時間攪拌した。反応溶液をセライトにてろ過し、ジクロロメタンで洗浄した。減圧下溶媒を留去して得られた残渣をシリカゲルカラムクロマトグラフィー(溶出液;酢酸エチル)で精製し、標記化合物(62mg)を淡黄色固体として得た。
<工程3>(E)-2-(1-(4-クロロ-6-(ピロリジン-1-イル)ピリミジン-2-イル)1-プロぺン-2-イル)-5,8-ジメチル-[1,2,4]トリアゾロ[1,5-a]ピラジンの合成
(参考例28)<工程2>で得られた、1-(5,8-ジメチル-[1,2,4]トリアゾロ[1,5-a]ピリダジン‐2‐イル)エタノン(60mg)を用いて、(実施例8)と同様な方法、もしくはこれに準ずる方法で、標記化合物(16mg)を得た。
 
(参考例29)
2-(((4-クロロ-6-(ピロリジン-1-イル)ピリミジン-2-イル)オキシ)メチル)-5,8-ジメチル-[1,2,4]トリアゾロ[1,5-a]ピラジン及び2-(((2-クロロ-6-(ピロリジン-1-イル)ピリミジン-2-イル)オキシ)メチル)-5,8-ジメチル-[1,2,4]トリアゾロ[1,5-a]ピラジンの合成
<工程1> 
2,4-ジクロロ-6-(ピロリジン-1-イル)ピリミジンの合成
2,4,6-トリクロロピリミジン(1.0g)のエタノール(15ml)溶液に、ジイソプロピルエチルアミン(1.9ml)を加え、-20℃でピロリジン(0.45ml)のエタノール(7ml)溶液を5分間かけて滴下した。同温下30分撹拌し、2時間かけて室温まで昇温したのち、1週間室温で撹拌した。減圧下溶媒を留去し、残渣をシリカゲルカラムクロマトグラフィー(溶出液;n-ヘキサン:酢酸エチル=17:3)で精製し、標記化合物(0.84g)を白色固体として得た。
<工程2>
2-(((4-クロロ-6-(ピロリジン-1-イル)ピリミジン-2-イル)オキシ)メチル)-5,8-ジメチル-[1,2,4]トリアゾロ[1,5-a]ピラジン及び2-(((2-クロロ-6-(ピロリジン-1-イル)ピリミジン-2-イル)オキシ)メチル)-5,8-ジメチル-[1,2,4]トリアゾロ[1,5-a]ピラジンの合成
(参考例3)<工程2>で得られた(5,8-ジメチル-[1,2,4]トリアゾロ[1,5-a]ピラジン-2-イル)メタノール(98mg)のN、N、-ジメチルホルムアミド(3ml)溶液に、氷冷下、60%水素化ナトリウム(26mg)を加え、同温下15分撹拌した。(参考例29)<工程1>で得られた2,4-ジクロロ-6-(ピロリジン-1-イル)ピリミジン(0.12g)のN、N、-ジメチルホルムアミド(2ml)溶液を加え、同温下10分撹拌したのち室温で90時間撹拌した。飽和塩化アンモニウム水溶液(5ml)を加え、生じた不溶物をろ取して酢酸エチルで洗浄し、2-(((4-クロロ-6-(ピロリジン-1-イル)ピリミジン-2-イル)オキシ)メチル)-5,8-ジメチル-[1,2,4]トリアゾロ[1,5-a]ピラジン(0.10g)を褐色固体として得た。ろ液と洗浄液をあわせて酢酸エチル(30ml)で希釈し、水(20ml)、飽和食塩水(20ml)で洗浄し、無水硫酸ナトリウムで乾燥した。減圧下溶媒を留去し、残渣をシリカゲルカラムクロマトグラフィー(溶出液;n-ヘキサン:酢酸エチル=2:3)で精製し、2-(((2-クロロ-6-(ピロリジン-1-イル)ピリミジン-2-イル)オキシ)メチル)-5,8-ジメチル-[1,2,4]トリアゾロ[1,5-a]ピラジン(15mg)を白色固体として得た。
(Reference Example 28)
(E) -2- (1- (4-Chloro-6- (pyrrolidin-1-yl) pyrimidin-2-yl) 1-propen-2-yl) -5,8-dimethyl- [1,2 , 4] Synthesis of triazolo [1,5-a] pyrazine <Step 1> of 1- (5,8-dimethyl- [1,2,4] triazolo [1,5-a] pyrazin-2-yl) ethanol Synthesis (Reference Example 2) 5,8-dimethyl- [1,2,4] triazolo [1,5-a] pyrazine-2-carbaldehyde (300 mg) tetrahydrofuran (3 ml) obtained in (Step 2) To the solution was added 3N methylmagnesium bromide / diethyl ether solution (0.85 ml) under ice-cooling, and the mixture was stirred at room temperature for 12 hours. A saturated aqueous ammonium chloride solution was added to adjust the pH to 7, and the mixture was extracted three times using a mixed solution (10 ml) of chloroform / isopropanol = 4/1. After drying over anhydrous sodium sulfate and filtration, the solvent was distilled off under reduced pressure to obtain the title compound (105 mg).
<Step 2> Synthesis of 1- (5,8-dimethyl- [1,2,4] triazolo [1,5-a] pyrazin-2-yl) ethanone (Reference Example 28) obtained in <Step 1> , 1- (5,8-dimethyl- [1,2,4] triazolo [1,5-a] pyrazin-2-yl) ethanol (100 mg) in dichloromethane (3 ml) at room temperature with manganese dioxide (140 mg ) Was added and stirred for 48 hours. The reaction solution was filtered through celite and washed with dichloromethane. The residue obtained by evaporating the solvent under reduced pressure was purified by silica gel column chromatography (eluent; ethyl acetate) to obtain the title compound (62 mg) as a pale yellow solid.
<Step 3> (E) -2- (1- (4-Chloro-6- (pyrrolidin-1-yl) pyrimidin-2-yl) 1-propen-2-yl) -5,8-dimethyl- Synthesis of [1,2,4] triazolo [1,5-a] pyrazine
Reference Example 28 Using 1- (5,8-dimethyl- [1,2,4] triazolo [1,5-a] pyridazin-2-yl) ethanone (60 mg) obtained in <Step 2> In the same manner as in (Example 8) or a method analogous thereto, the title compound (16 mg) was obtained.

(Reference Example 29)
2-(((4-Chloro-6- (pyrrolidin-1-yl) pyrimidin-2-yl) oxy) methyl) -5,8-dimethyl- [1,2,4] triazolo [1,5-a] Pyrazine and 2-(((2-chloro-6- (pyrrolidin-1-yl) pyrimidin-2-yl) oxy) methyl) -5,8-dimethyl- [1,2,4] triazolo [1,5- a] Synthesis of Pyrazine <Step 1>
Synthesis of 2,4-dichloro-6- (pyrrolidin-1-yl) pyrimidine To a solution of 2,4,6-trichloropyrimidine (1.0 g) in ethanol (15 ml) was added diisopropylethylamine (1.9 ml), A solution of pyrrolidine (0.45 ml) in ethanol (7 ml) was added dropwise at 20 ° C. over 5 minutes. The mixture was stirred at the same temperature for 30 minutes, warmed to room temperature over 2 hours, and then stirred at room temperature for 1 week. The solvent was distilled off under reduced pressure, and the residue was purified by silica gel column chromatography (eluent; n-hexane: ethyl acetate = 17: 3) to obtain the title compound (0.84 g) as a white solid.
<Step 2>
2-(((4-Chloro-6- (pyrrolidin-1-yl) pyrimidin-2-yl) oxy) methyl) -5,8-dimethyl- [1,2,4] triazolo [1,5-a] Pyrazine and 2-(((2-chloro-6- (pyrrolidin-1-yl) pyrimidin-2-yl) oxy) methyl) -5,8-dimethyl- [1,2,4] triazolo [1,5- a] Synthesis of Pyrazine (Reference Example 3) (5,8-Dimethyl- [1,2,4] triazolo [1,5-a] pyrazin-2-yl) methanol (98 mg) obtained in <Step 2> 60% sodium hydride (26 mg) was added to a solution of N, N, -dimethylformamide (3 ml) under ice cooling, and the mixture was stirred at the same temperature for 15 minutes. Reference Example 29 A solution of 2,4-dichloro-6- (pyrrolidin-1-yl) pyrimidine (0.12 g) obtained in <Step 1> in N, N, -dimethylformamide (2 ml) was added. After stirring for 10 minutes at the temperature, the mixture was stirred at room temperature for 90 hours. Saturated aqueous ammonium chloride solution (5 ml) was added, and the resulting insoluble material was collected by filtration and washed with ethyl acetate to give 2-(((4-chloro-6- (pyrrolidin-1-yl) pyrimidin-2-yl) oxy. ) Methyl) -5,8-dimethyl- [1,2,4] triazolo [1,5-a] pyrazine (0.10 g) was obtained as a brown solid. The filtrate and the washing solution were combined, diluted with ethyl acetate (30 ml), washed with water (20 ml) and saturated brine (20 ml), and dried over anhydrous sodium sulfate. The solvent was distilled off under reduced pressure, and the residue was purified by silica gel column chromatography (eluent; n-hexane: ethyl acetate = 2: 3) to give 2-(((2-chloro-6- (pyrrolidin-1-yl). ) Pyrimidin-2-yl) oxy) methyl) -5,8-dimethyl- [1,2,4] triazolo [1,5-a] pyrazine (15 mg) was obtained as a white solid.
(参考例30)
4-クロロ-N-((5,8-ジメチル-[1,2,4]トリアゾロ[1,5-a]ピラジン-2-イル)メチル)-6-(ピロリジン-1-イル)ピリミジン-2-アミンの合成
<工程1> 
2-(アジドメチル)-5,8-ジメチル-[1,2,4]トリアゾロ[1,5-a]ピラジンの合成
(参考例2)<工程1>で得られた2-(クロロメチル)-5,8-ジメチル-[1,2,4]トリアゾロ[1,5-a]ピラジン(0.30g)のN、N-ジメチルホルムアミド(15ml)溶液に、アジ化ナトリウム(0.20g)を加え、80℃で5時間撹拌した。室温に冷却したのち、酢酸エチル(70ml)で希釈し、水(50ml)で3回、飽和食塩水(40ml)で洗浄し、無水硫酸ナトリウムで乾燥した。減圧下溶媒を留去し、標記化合物(0.2g)を褐色油状物質として得た。
<工程2> 
(5,8-ジメチル-[1,2,4]トリアゾロ[1,5-a]ピラジン-2-イル)メタンアミンの合成
(参考例30)<工程1>で得られた2-(アジドメチル)-5,8-ジメチル-[1,2,4]トリアゾロ[1,5-a]ピラジン(0.19g)のメタノール(10ml)溶液に、10%パラジウム-炭素(20mg)を加え、水素雰囲気下室温で35分撹拌した。反応液をセライトろ過し、ろ液を濃縮して標記化合物(0.16g)を淡黄色固体として得た。
<工程3> 
4-クロロ-N-((5,8-ジメチル-[1,2,4]トリアゾロ[1,5-a]ピラジン-2-イル)メチル)-6-(ピロリジン-1-イル)ピリミジン-2-アミンの合成
(参考例30)<工程2>で得られた(5,8-ジメチル-[1,2,4]トリアゾロ[1,5-a]ピラジン-2-イル)メタンアミン(98mg)のエタノール(5ml)溶液に、(参考例29)<工程1>で得られた2,4-ジクロロ-6-(ピロリジン-1-イル)ピリミジン(0.12g)とジイソプロピルエチルアミン(0.19ml)を加え、80℃で65時間、100℃で23時間加熱撹拌した。室温に冷却し、酢酸エチル(30ml)で希釈し、水(20ml)、飽和食塩水(20ml)で洗浄し、無水硫酸ナトリウムで乾燥した。減圧下溶媒を留去し、残渣をNH-シリカゲルカラムクロマトグラフィー(溶出液;n-ヘキサン:酢酸エチル=1:1)で精製し、標記化合物(34mg)を白色固体として得た。
(Reference Example 30)
4-Chloro-N-((5,8-dimethyl- [1,2,4] triazolo [1,5-a] pyrazin-2-yl) methyl) -6- (pyrrolidin-1-yl) pyrimidine-2 -Synthesis of amine <Step 1>
Synthesis of 2- (azidomethyl) -5,8-dimethyl- [1,2,4] triazolo [1,5-a] pyrazine (Reference Example 2) 2- (chloromethyl)-obtained in <Step 1> Sodium azide (0.20 g) was added to a solution of 5,8-dimethyl- [1,2,4] triazolo [1,5-a] pyrazine (0.30 g) in N, N-dimethylformamide (15 ml). , And stirred at 80 ° C. for 5 hours. After cooling to room temperature, the mixture was diluted with ethyl acetate (70 ml), washed 3 times with water (50 ml), saturated brine (40 ml), and dried over anhydrous sodium sulfate. The solvent was distilled off under reduced pressure to obtain the title compound (0.2 g) as a brown oily substance.
<Step 2>
Synthesis of (5,8-dimethyl- [1,2,4] triazolo [1,5-a] pyrazin-2-yl) methanamine (Reference Example 30) 2- (azidomethyl)-obtained in <Step 1> To a solution of 5,8-dimethyl- [1,2,4] triazolo [1,5-a] pyrazine (0.19 g) in methanol (10 ml) was added 10% palladium-carbon (20 mg), and the room temperature was kept under hydrogen atmosphere For 35 minutes. The reaction solution was filtered through Celite, and the filtrate was concentrated to obtain the title compound (0.16 g) as a pale yellow solid.
<Step 3>
4-Chloro-N-((5,8-dimethyl- [1,2,4] triazolo [1,5-a] pyrazin-2-yl) methyl) -6- (pyrrolidin-1-yl) pyrimidine-2 Synthesis of amine (Reference Example 30) of (5,8-dimethyl- [1,2,4] triazolo [1,5-a] pyrazin-2-yl) methanamine (98 mg) obtained in <Step 2> To a solution of ethanol (5 ml), (Reference Example 29) 2,4-dichloro-6- (pyrrolidin-1-yl) pyrimidine (0.12 g) and diisopropylethylamine (0.19 ml) obtained in <Step 1> were added. In addition, the mixture was heated and stirred at 80 ° C. for 65 hours and at 100 ° C. for 23 hours. The mixture was cooled to room temperature, diluted with ethyl acetate (30 ml), washed with water (20 ml) and saturated brine (20 ml), and dried over anhydrous sodium sulfate. The solvent was evaporated under reduced pressure, and the residue was purified by NH-silica gel column chromatography (eluent; n-hexane: ethyl acetate = 1: 1) to obtain the title compound (34 mg) as a white solid.
(参考例31)
ジフェニル((5,8-ジメチル-[1,2,4]トリアゾロ[1,5-a]ピラジン-2-イル)(フェニルアミノ)メチル)ホスホネートの合成
(参考例2)で得られた5,8-ジメチル-[1,2,4]トリアゾロ[1,5-a]ピラジン-2-カルボキシアルデヒド(300mg)から、(参考例27)と同様の方法、もしくはこれに準ずる方法で、標記化合物(665mg)をアモルファスとして得た。
(参考例32)
tert-ブチル 4-(2-(2-(5,8-ジメチル-[1,2,4]トリアゾロ[1,5-a]ピラジン-2-イル)エチル)-6-(ピロリジン-1-イル)ピリミジン-4-イル)ピペリジン-1-カーボキシレートの合成
<工程1>
(E)-tert-ブチル 4-(2-(2-(5,8-ジメチル-[1,2,4]トリアゾロ[1,5-a]ピラジン-2-イル)ビニル)-6-(ピロリジン-1-イル)ピリミジン-4-イル)-5,6-ジヒドロピリジン-1(2H)-カルボキシレートの合成
(実施例8)で得られた(E)-2-(2-(4-クロロ-6-(ピロリジン-1-イル)ピリミジン-2-イル)ビニル)5,8-ジメチル-[1,2,4]トリアゾロ[1,5-a]ピラジン(50mg)の1,2-ジメトキシエタン(1ml)-水(0.25ml)の混合溶液に、tert-ブチル 4-(4,4,5,5-テトラメチル-1,3,2-ジオキサボロラン-2-イル)-5,6-ジヒドロピリジン-1(2H)-カルボキシレート(48mg)、テトラキス(トリフェニルホスフィン)パラジウム(16mg)、炭酸ナトリウム(24mg)を加え、10時間加熱還流し、その後室温で5日間撹拌した。酢酸エチル(50ml)を加え、有機層を水(40ml)で2回、飽和食塩水(40ml)で洗浄し、無水硫酸ナトリウムで乾燥した。減圧下溶媒を留去し、シリカゲルカラムクロマトグラフィー(溶出液;n-ヘキサン:酢酸エチル=1:3)で精製した。得られた粗生成物をNH-シリカゲルカラムクロマトグラフィーで精製し(溶出液;n-ヘキサン:酢酸エチル=3:2)、標記化合物(46mg)を白色固体として得た。
<工程2>
tert-ブチル 4-(2-(2-(5,8-ジメチル-[1,2,4]トリアゾロ[1,5-a]ピラジン-2-イル)エチル)-6-(ピロリジン-1-イル)ピリミジン-4-イル)ピペリジン-1-カーボキシレートの合成。
(参考例32)<工程1>で得られた(E)-tert-ブチル 4-(2-(2-(5,8-ジメチル-[1,2,4]トリアゾロ[1,5-a]ピラジン-2-イル)ビニル)-6-(ピロリジン-1-イル)ピリミジン-4-イル)-5,6-ジヒドロピリジン-1(2H)-カルボキシレート(41mg)から、(実施例2)と同様な方法で、標記化合物(40mg)を無色油状物質として得た。
(参考例33)
(E)-4-(6-(アゼチジン-1-イル)-2-(2-(5,8-ジメチル-[1,2,4]トリアゾロ[1,5-a]ピラジン-2-イル)ビニル)ピリミジン-4-イル)モルフォリンの合成
<工程1> ジエチル ((4-(アゼチジン-1-イル)-6-クロロピリミジン-2-イル)メチル)ホスホネートの合成
(参考例5)(工程1)で得られた4-(アゼチジン-1-イル)-6-クロロ-2-(クロロメチル)ピリミジン(0.10g)と亜リン酸トリエチル(0.24ml)、テトラブチルアンモニウムヨージド(10mg)の混合物を75℃で2時間、90℃で5時間半撹拌したのち、室温で16時間撹拌した。反応液をNH-シリカゲルカラムクロマトグラフィー(溶出液;n-ヘキサン:酢酸エチル=2:3)で精製し、標記化合物(0.14g)を淡黄色油状物質として得た。
<工程2>(E)-2-(2-(4-(アゼチジン-1-イル)-6-クロロピリミジン-2-イル)ビニル)-5,8-ジメチル-[1,2,4]トリアゾロ[1,5-a]ピラジンの合成
(参考例33)<工程1>で得られたジエチル((4-(アゼチジン-1-イル)-6-クロロピリミジン-2-イル)メチル)ホスホネート(0.13g)のテトラヒドロフラン(2ml)溶液に、氷冷下、60%水素化ナトリウム(18mg)を加えて同温下20分撹拌した。(参考例2)で得られた5,8-ジメチル-[1,2,4]トリアゾロ[1,5-a]ピラジン-2-カルボキシアルデヒド(65mg)のテトラヒドロフラン(1.5ml)溶液を加え、同温下5分撹拌したのち、室温で14時間撹拌した。水(20ml)を加え、生じた不溶物をろ取し、標記化合物(0.11g)を白色固体として得た。
<工程3> 
(E)-4-(6-(アゼチジン-1-イル)-2-(2-(5,8-ジメチル-[1,2,4]トリアゾロ[1,5-a]ピラジン-2-イル)ビニル)ピリミジン-4-イル)モルフォリンの合成
(参考例33)<工程2>で得られた(E)-2-(2-(4-(アゼチジン-1-イル)-6-クロロピリミジン-2-イル)ビニル)-5,8-ジメチル-[1,2,4]トリアゾロ[1,5-a]ピラジン(20mg)のtert-ブタノール(1ml)溶液にモルフォリン(25μl)、ナトリウムtert-ブトキシド(8mg)、トリス(ジベンジリデンアセトン)ジパラジウム(11mg)、2-(ジシクロヘキシルホスフィノ)-2’,4’,6’-トリイソプロピルビフェニル(X-Phos:6mg)を加え、35分加熱還流したのち室温に冷却し、不溶物をセライトろ過で除去した。ろ液を濃縮し、標記化合物の粗生成物を得た。
(Reference Example 31)
The diphenyl ((5,8-dimethyl- [1,2,4] triazolo [1,5-a] pyrazin-2-yl) (phenylamino) methyl) phosphonate was obtained by synthesis (Reference Example 2). From 8-dimethyl- [1,2,4] triazolo [1,5-a] pyrazine-2-carboxaldehyde (300 mg) in the same manner as in (Reference Example 27) or a method analogous thereto, the title compound ( 665 mg) was obtained as amorphous.
(Reference Example 32)
tert-Butyl 4- (2- (2- (5,8-dimethyl- [1,2,4] triazolo [1,5-a] pyrazin-2-yl) ethyl) -6- (pyrrolidin-1-yl) Synthesis of) pyrimidin-4-yl) piperidine-1-carboxylate <Step 1>
(E) -tert-butyl 4- (2- (2- (5,8-dimethyl- [1,2,4] triazolo [1,5-a] pyrazin-2-yl) vinyl) -6- (pyrrolidine -1-yl) pyrimidin-4-yl) -5,6-dihydropyridine-1 (2H) -carboxylate (E) -2- (2- (4-chloro-) obtained in Example 8) 6- (Pyrrolidin-1-yl) pyrimidin-2-yl) vinyl) 5,8-dimethyl- [1,2,4] triazolo [1,5-a] pyrazine (50 mg) in 1,2-dimethoxyethane ( 1 ml) -water (0.25 ml) to a mixed solution of tert-butyl 4- (4,4,5,5-tetramethyl-1,3,2-dioxaborolan-2-yl) -5,6-dihydropyridine- 1 (2H) -carboxylate (48 mg), Tet Tetrakis (triphenylphosphine) palladium (16 mg), was added sodium carbonate (24 mg), and reflux for 10 hours, then stirred at room temperature for 5 days. Ethyl acetate (50 ml) was added, and the organic layer was washed twice with water (40 ml), saturated brine (40 ml), and dried over anhydrous sodium sulfate. The solvent was distilled off under reduced pressure, and the residue was purified by silica gel column chromatography (eluent; n-hexane: ethyl acetate = 1: 3). The obtained crude product was purified by NH-silica gel column chromatography (eluent; n-hexane: ethyl acetate = 3: 2) to obtain the title compound (46 mg) as a white solid.
<Step 2>
tert-Butyl 4- (2- (2- (5,8-dimethyl- [1,2,4] triazolo [1,5-a] pyrazin-2-yl) ethyl) -6- (pyrrolidin-1-yl) Synthesis of)) pyrimidin-4-yl) piperidine-1-carboxylate.
Reference Example 32 (E) -tert-butyl 4- (2- (2- (5,8-dimethyl- [1,2,4] triazolo [1,5-a] obtained in <Step 1>) Pyrazin-2-yl) vinyl) -6- (pyrrolidin-1-yl) pyrimidin-4-yl) -5,6-dihydropyridine-1 (2H) -carboxylate (41 mg), as in (Example 2) In this way, the title compound (40 mg) was obtained as a colorless oil.
(Reference Example 33)
(E) -4- (6- (azetidin-1-yl) -2- (2- (5,8-dimethyl- [1,2,4] triazolo [1,5-a] pyrazin-2-yl) Synthesis of vinyl) pyrimidin-4-yl) morpholine <Step 1> Synthesis of diethyl ((4- (azetidin-1-yl) -6-chloropyrimidin-2-yl) methyl) phosphonate (Reference Example 5) (Step 4- (azetidin-1-yl) -6-chloro-2- (chloromethyl) pyrimidine (0.10 g) obtained in 1), triethyl phosphite (0.24 ml), tetrabutylammonium iodide (10 mg The mixture was stirred at 75 ° C. for 2 hours, 90 ° C. for 5 hours and a half, and then stirred at room temperature for 16 hours. The reaction solution was purified by NH-silica gel column chromatography (eluent; n-hexane: ethyl acetate = 2: 3) to obtain the title compound (0.14 g) as a pale yellow oily substance.
<Step 2> (E) -2- (2- (4- (azetidin-1-yl) -6-chloropyrimidin-2-yl) vinyl) -5,8-dimethyl- [1,2,4] triazolo Synthesis of [1,5-a] pyrazine (Reference Example 33) Diethyl ((4- (azetidin-1-yl) -6-chloropyrimidin-2-yl) methyl) phosphonate (0) obtained in <Step 1> .13 g) in tetrahydrofuran (2 ml) was added 60% sodium hydride (18 mg) under ice cooling and stirred at the same temperature for 20 minutes. A solution of 5,8-dimethyl- [1,2,4] triazolo [1,5-a] pyrazine-2-carboxaldehyde (65 mg) obtained in (Reference Example 2) in tetrahydrofuran (1.5 ml) was added, After stirring at the same temperature for 5 minutes, the mixture was stirred at room temperature for 14 hours. Water (20 ml) was added, and the resulting insoluble material was collected by filtration to give the title compound (0.11 g) as a white solid.
<Step 3>
(E) -4- (6- (azetidin-1-yl) -2- (2- (5,8-dimethyl- [1,2,4] triazolo [1,5-a] pyrazin-2-yl) Synthesis of vinyl) pyrimidin-4-yl) morpholine (Reference Example 33) (E) -2- (2- (4- (azetidin-1-yl) -6-chloropyrimidine-) obtained in <Step 2> 2-yl) vinyl) -5,8-dimethyl- [1,2,4] triazolo [1,5-a] pyrazine (20 mg) in tert-butanol (1 ml) in morpholine (25 μl), sodium tert- Add butoxide (8 mg), tris (dibenzylideneacetone) dipalladium (11 mg), 2- (dicyclohexylphosphino) -2 ′, 4 ′, 6′-triisopropylbiphenyl (X-Phos: 6 mg), and heat for 35 minutes. reflux Cooled to room temperature then was, insoluble matters were removed by filtration through Celite. The filtrate was concentrated to give a crude product of the title compound.
(参考例34)
(E)-6-(アゼチジン-1-イル)-2-(2-(5,8-ジメチル-[1,2,4]トリアゾロ[1,5-a]ピラジン-2-イル)ビニル)-N-(2-メトキシエチル)ピリミジン-4-アミンの合成
(参考例33)<工程2>で得られた(E)-2-(2-(4-(アゼチジン-1-イル)-6-クロロピリミジン-2-イル)ビニル)-5,8-ジメチル-[1,2,4]トリアゾロ[1,5-a]ピラジン(20mg)から、(参考例33)<工程3>と同様な方法、もしくは、これに準ずる方法で対応するアミンから合成した。
(参考例35)
2-(2-(4-(アゼチジン-1-イル)-6-クロロピリミジン-2-イル)ビニル)-5,7-ジメチル-[1,2,4]トリアゾロ[1,5-a]ピリミジンの合成
<工程1>
ジエチル ((5,7-ジメチル-[1,2,4]トリアゾロ[1,5-a]ピリミジン-2-イル)メチル)ホスホネートの合成
文献既知の方法に準じて合成した2-(クロロメチル)-5,7-ジメチル-[1,2,4]トリアゾロ[1,5-a]ピリミジン(300mg)、亜リン酸トリエチル(0.79ml)、テトラブチルアンモニウムヨージド(33mg)の混合液を120℃で2.5時間攪拌した。反応液を冷却後、シリカゲルカラムクロマトグラフィー(溶出液;n-ヘキサン:酢酸エチル=50:50-0:100)で精製し、標記化合物(306mg)を無色固体として得た。
<工程2>
2-(2-(4-(アゼチジン-1-イル)-6-クロロピリミジン-2-イル)ビニル)-5,7-ジメチル-[1,2,4]トリアゾロ[1,5-a]ピリミジンの合成
(参考例35)<工程1>で得られた、ジエチル((5,7-ジメチル-[1,2,4]トリアゾロ[1,5-a]ピリミジン-2-イル)メチル)ホスホネート(180mg)のテトラヒドロフラン(2.5ml)溶液に、氷冷下、60%水素化ナトリウム(40mg)を加え、同温で30分攪拌した。その後、(参考例5)<工程2>で得られた4-(アゼチジン-1-イル)-6-クロロピリミジン-2-カルバアルデヒド(100mg)のテトラヒドロフラン(2.5ml)溶液を加え、室温で1時間攪拌した。反応溶液に水(5ml)を加え、酢酸エチルで抽出した。有機層を無水硫酸ナトリウムで乾燥し、減圧下溶媒を留去した。得られた残渣をシリカゲルカラムクロマトグラフィー(溶出液;メタノール:酢酸エチル=0:100-10:90)で精製し、標記化合物のE体(8.9mg)を無色固体として、Z体(23mg)を非結晶固体として得た。
(Reference Example 34)
(E) -6- (azetidin-1-yl) -2- (2- (5,8-dimethyl- [1,2,4] triazolo [1,5-a] pyrazin-2-yl) vinyl)- Synthesis of N- (2-methoxyethyl) pyrimidin-4-amine (Reference Example 33) (E) -2- (2- (4- (azetidin-1-yl) -6- obtained in <Step 2>) Chloropyrimidin-2-yl) vinyl) -5,8-dimethyl- [1,2,4] triazolo [1,5-a] pyrazine (20 mg) from (Reference Example 33) <Method 3> Alternatively, it was synthesized from the corresponding amine by a method similar to this.
(Reference Example 35)
2- (2- (4- (azetidin-1-yl) -6-chloropyrimidin-2-yl) vinyl) -5,7-dimethyl- [1,2,4] triazolo [1,5-a] pyrimidine <Process 1>
Synthesis of diethyl ((5,7-dimethyl- [1,2,4] triazolo [1,5-a] pyrimidin-2-yl) methyl) phosphonate 2- (chloromethyl) synthesized according to methods known in the literature A mixture of -5,7-dimethyl- [1,2,4] triazolo [1,5-a] pyrimidine (300 mg), triethyl phosphite (0.79 ml) and tetrabutylammonium iodide (33 mg) was added. Stir at 2.5 ° C. for 2.5 hours. The reaction mixture was cooled and purified by silica gel column chromatography (eluent; n-hexane: ethyl acetate = 50: 50-0: 100) to give the title compound (306 mg) as a colorless solid.
<Step 2>
2- (2- (4- (azetidin-1-yl) -6-chloropyrimidin-2-yl) vinyl) -5,7-dimethyl- [1,2,4] triazolo [1,5-a] pyrimidine (Reference Example 35) Diethyl ((5,7-dimethyl- [1,2,4] triazolo [1,5-a] pyrimidin-2-yl) methyl) phosphonate obtained in <Step 1> ( To a solution of 180 mg) in tetrahydrofuran (2.5 ml) was added 60% sodium hydride (40 mg) under ice cooling, and the mixture was stirred at the same temperature for 30 minutes. Thereafter, a solution of 4- (azetidin-1-yl) -6-chloropyrimidine-2-carbaldehyde (100 mg) obtained in (Reference Example 5) <Step 2> in tetrahydrofuran (2.5 ml) was added at room temperature. Stir for 1 hour. Water (5 ml) was added to the reaction solution, and the mixture was extracted with ethyl acetate. The organic layer was dried over anhydrous sodium sulfate, and the solvent was distilled off under reduced pressure. The obtained residue was purified by silica gel column chromatography (eluent; methanol: ethyl acetate = 0: 100-10: 90) to give E-form (8.9 mg) of the title compound as a colorless solid, Z-form (23 mg) Was obtained as an amorphous solid.
(参考例36)
(E)-2-(2-(4-クロロ-6-(ピロリジン-1-イル)ピリミジン-2-イル)ビニル)-5,8-ジメチルイミダゾ(1,2-a)ピリジンの合成
<工程1>
3,6-ジメチルピリジン-2-アミンの合成
2,5-ジメチルピリジン(8.6ml)をp-シメン(10ml)に溶解し、ナトリウムアミド(3.2g)を加えた。この混合物を窒素雰囲気下160~170℃で10時間撹拌した。反応混合物に氷(50g)を加え溶解後、酢酸エチル(50ml)で2回抽出した。抽出液を水(50ml)で洗浄後、芒硝乾燥し減圧下濃縮した。残渣をシリカゲルクロマトグラフィー(溶出液;酢酸エチル:メタノール=100:0-90:10)で精製し、標記化合物(3.0g)を褐色固体として得た。
<工程2>
2-(クロロメチル)-5,8-ジメチルイミダゾ(1,2-a)ピリジンの合成
(参考例36)<工程1>で得られた3,6-ジメチルピリジン-2-アミン(0.80g)と1,3-ジクロロプロパン-2-オン(0.87g)を1,2-ジメトキシエタン(6.5ml)に懸濁し40℃で16時間撹拌した。反応溶液を室温まで冷却後、固体を濾取し、1,2-ジメトキシエタン(2ml)で洗浄した。得られた固体をエタノール(4.9ml)に懸濁し、3時間加熱還流した。反応溶液を室温まで冷却し、減圧下濃縮して得られた残渣を酢酸エチル(10ml)に懸濁し、1N水酸化ナトリウム水溶液(8ml)を加え、固体を溶解した。その有機層を分離し水(10ml)で洗浄、芒硝乾燥した後、減圧下濃縮して標記化合物(1.0g)を茶白色固体として得た。
<工程3>
5,8-ジメチルイミダゾ(1,2-a)ピリジン-2-カルバアルデヒドの合成
(参考例36)<工程2>で得られた(2-(クロロメチル)-5,8-ジメチルイミダゾ(1,2-a)ピリジン(0.5g)をN-メチルモルフォリンN-オキシド(0.9g)、臭化カリウム(0.4g)と共に1,4-ジオキサン(20ml)中、4時間加熱還流した。反応溶液を室温まで冷却した後減圧下濃縮して得られた残渣を、酢酸エチル(10ml)に懸濁し、不溶物を濾過し酢酸エチル(5ml)で4回洗浄した。濾液を減圧下濃縮して得られた残渣を、シリカゲルカラムクロマトグラフィー(溶出液;n-ヘキサン:酢酸エチル=70:30-0:100)で精製し、標記化合物(167mg)を白色固体として得た。
<工程4>
(E)-2-(2-(4-クロロ-6-(ピロリジン-1-イル)ピリミジン-2-イル)ビニル)-5,8ジメチルイミダゾ(1,2-a)ピリジンの合成
[WO2010/027097号パンフレット 実施例1.001]に記載された方法に準じて合成したジエチル((4-クロロ-6-(ピロリジン-1-イル)ピリミジン-2-イル)メチル)ホスホネート(0.37g)のテトラヒドロフラン(5ml)溶液に、氷冷下、60%水素化ナトリウム(73mg)を徐々に加えた。室温で1時間撹拌した後、(参考例36)<工程3>で得られた5,8-ジメチルイミダゾ(1,2-a)ピリジン-2-カルバアルデヒドを、氷冷下10分間かけて加え、テトラヒドロフラン(3ml)で洗いこんだ。この混合物を氷冷下2時間撹拌した後、室温で16時間撹拌した。反応混合物を水(30ml)で希釈し、酢酸エチル(20ml)を加え固体を有機層に分散した。水層を分離し有機層を水(10ml)で洗浄した後、減圧下濃縮した。残渣をアセトン(5ml、2ml)、酢酸エチル(2ml、2ml)で順次洗浄した後、減圧下乾燥し標記化合物(0.32g)を淡黄色固体として得た。
(Reference Example 36)
Synthesis of (E) -2- (2- (4-Chloro-6- (pyrrolidin-1-yl) pyrimidin-2-yl) vinyl) -5,8-dimethylimidazo (1,2-a) pyridine <Step 1>
Synthesis of 3,6-dimethylpyridin-2-amine 2,5-dimethylpyridine (8.6 ml) was dissolved in p-cymene (10 ml), and sodium amide (3.2 g) was added. The mixture was stirred at 160-170 ° C. for 10 hours under a nitrogen atmosphere. Ice (50 g) was added to the reaction mixture to dissolve it, and the mixture was extracted twice with ethyl acetate (50 ml). The extract was washed with water (50 ml), dried with sodium sulfate, and concentrated under reduced pressure. The residue was purified by silica gel chromatography (eluent; ethyl acetate: methanol = 100: 0-90: 10) to obtain the title compound (3.0 g) as a brown solid.
<Step 2>
Synthesis of 2- (chloromethyl) -5,8-dimethylimidazo (1,2-a) pyridine (Reference Example 36) 3,6-dimethylpyridin-2-amine (0.80 g) obtained in <Step 1> ) And 1,3-dichloropropan-2-one (0.87 g) were suspended in 1,2-dimethoxyethane (6.5 ml) and stirred at 40 ° C. for 16 hours. The reaction solution was cooled to room temperature, and the solid was collected by filtration and washed with 1,2-dimethoxyethane (2 ml). The obtained solid was suspended in ethanol (4.9 ml) and heated to reflux for 3 hours. The reaction solution was cooled to room temperature and concentrated under reduced pressure. The resulting residue was suspended in ethyl acetate (10 ml), and 1N aqueous sodium hydroxide solution (8 ml) was added to dissolve the solid. The organic layer was separated, washed with water (10 ml), dried over sodium sulfate, and concentrated under reduced pressure to obtain the title compound (1.0 g) as a brownish white solid.
<Step 3>
Synthesis of 5,8-dimethylimidazo (1,2-a) pyridine-2-carbaldehyde (Reference Example 36) (2- (Chloromethyl) -5,8-dimethylimidazo (1) obtained in <Step 2> , 2-a) Pyridine (0.5 g) was heated to reflux in 1,4-dioxane (20 ml) with N-methylmorpholine N-oxide (0.9 g) and potassium bromide (0.4 g) for 4 hours. The reaction solution was cooled to room temperature and concentrated under reduced pressure, and the resulting residue was suspended in ethyl acetate (10 ml), and the insoluble material was filtered and washed 4 times with ethyl acetate (5 ml). The residue obtained was purified by silica gel column chromatography (eluent; n-hexane: ethyl acetate = 70: 30-0: 100) to obtain the title compound (167 mg) as a white solid.
<Step 4>
Synthesis of (E) -2- (2- (4-Chloro-6- (pyrrolidin-1-yl) pyrimidin-2-yl) vinyl) -5,8 dimethylimidazo (1,2-a) pyridine
Diethyl ((4-chloro-6- (pyrrolidin-1-yl) pyrimidin-2-yl) methyl) phosphonate (0. To a solution of 37 g) in tetrahydrofuran (5 ml), 60% sodium hydride (73 mg) was gradually added under ice cooling. After stirring at room temperature for 1 hour, (Reference Example 36) 5,8-dimethylimidazo (1,2-a) pyridine-2-carbaldehyde obtained in <Step 3> was added over 10 minutes under ice cooling. Washed with tetrahydrofuran (3 ml). The mixture was stirred for 2 hours under ice cooling, and then stirred at room temperature for 16 hours. The reaction mixture was diluted with water (30 ml), ethyl acetate (20 ml) was added, and the solid was dispersed in the organic layer. The aqueous layer was separated and the organic layer was washed with water (10 ml) and then concentrated under reduced pressure. The residue was washed successively with acetone (5 ml, 2 ml) and ethyl acetate (2 ml, 2 ml) and then dried under reduced pressure to obtain the title compound (0.32 g) as a pale yellow solid.
(参考例37)
(E)-2-(2-(6-ブロモ-4-メトキシピリジン-2-イル)ビニル)-5,8-ジメチル-[1,2,4]トリアゾロ[1,5-a]ピラジンの合成
(参考例12)<工程2>で得られた(E)-2-ブロモ-6-(2-(5,8-ジメチル-[1,2,4]トリアゾロ[1,5-a]ピラジン-2-イル)ビニル)ピリジン-4-オール(30mg)のN,N-ジメチルホルムアミド(1ml)溶液に、炭酸カリウム(18mg)とヨウ化メチル(6μl)を加え、室温で3時間半撹拌した。水(5ml)を加えて撹拌したのち、生じた不溶物をろ取して水で洗浄し、標記化合物(25mg)を白色固体として得た。
(Reference Example 37)
Synthesis of (E) -2- (2- (6-Bromo-4-methoxypyridin-2-yl) vinyl) -5,8-dimethyl- [1,2,4] triazolo [1,5-a] pyrazine Reference Example 12 (E) -2-Bromo-6- (2- (5,8-dimethyl- [1,2,4] triazolo [1,5-a] pyrazine-) obtained in <Step 2> To a solution of 2-yl) vinyl) pyridin-4-ol (30 mg) in N, N-dimethylformamide (1 ml) were added potassium carbonate (18 mg) and methyl iodide (6 μl), and the mixture was stirred at room temperature for 3.5 hours. Water (5 ml) was added and the mixture was stirred. The resulting insoluble material was collected by filtration and washed with water to give the title compound (25 mg) as a white solid.
(参考例38)
(Z)-N-((2-(2-(5,8-ジメチル-[1,2,4]トリアゾロ[1,5-a]ピラジン-2-イル)ビニル)-6-(ピロリジン-1-イル)ピリミジン-4-イル)メチル)テトラヒドロ-2H-ピラン-4-アミンの合成
(参考例8)<工程2>で得られた、(Z)-2-(2-(5,8-ジメチル-[1,2,4]トリアゾロ[1,5-a]ピラジン-2-イル)ビニル)-6-(ピロリジン-1-イル)ピリミジン-4-カルバアルデヒド(13mg)のジクロロメタン(3ml)溶液に、テトラヒドロ-2H-ピラン-4-アミン(5.7mg)、酢酸(0.43μl)、水素化トリアセトキシホウ素
ナトリウム(11.8mg)を加え、室温で1時間攪拌した。反応溶液に飽和炭酸水素ナトリウム水溶液(1ml)を加え、酢酸エチルで抽出した。有機層を無水硫酸ナトリウムで乾燥し、減圧下溶媒を留去し、標記化合物の粗生成物(18mg)を無色油状物質として得た。
 
 
(参考例39)
2-(2-(5,8-ジメチル-[1,2,4]トリアゾロ[1,5-a]ピラジン-2-イル)シクロプロピル)-6-(ピロリジン-1-イル)ピリジン-3-オールの合成
<工程1>6-ブロモ-3-メトキシピコリンアルデヒドの合成
文献既知の方法、またはこれに準ずる方法にて合成した(6-ブロモ-3-メトキシピリジン-2-イル)メタノール(3.10g)を用いて、(参考例21)<工程1>と同様の方法、もしくはこれに準ずる方法で標記化合物(3.1g)を白色固体として得た。
 
<工程2>(E)-2-(2-(6-ブロモ-3-メトキシピリジン-2-イル)ビニル)-(5,8-ジメチル-[1,2,4]トリアゾロ[1,5-a]ピラジンの合成
(参考例39)<工程1>で得られた6-ブロモ-3-メトキシピコリンアルデヒド(2.20g)を用いて、(参考例12)<工程1>と同様の方法、もしくはこれに準ずる方法で標記化合物(2.47g)を黄色固体として得た。
 
<工程3>2-(2-(6-ブロモ-3-メトキシピリジン-2-イル)シクロプロピル)-(5,8-ジメチル-[1,2,4]トリアゾロ[1,5-a]ピラジンの合成
(参考例39)<工程2>で得られた(E)-2-(2-(6-ブロモ-3-メトキシピリジン-2-イル)ビニル)-(5,8-ジメチル-[1,2,4]トリアゾロ[1,5-a]ピラジン(1.0g)を用いて、(参考例13)と同様な方法、もしくはこれに準ずる方法で標記化合物(904mg)を白色固体として得た。
 
<工程4>2-(2-(3-メトキシ-6-(ピロリジン-1-イル)ピリジン-2-イル)シクロプロピル)-5,8-ジメチル-[1,2,4]トリアゾロ[1,5-a]ピラジンの合成
(参考例39)(工程3)で得られた2-(2-(6-ブロモ-3-メトキシピリジン-2-イル)シクロプロピル)-(5,8-ジメチル-[1,2,4]トリアゾロ[1,5-a]ピラジン(900mg)を用いて、(実施例21.036)と同様の方法、もしくははこれに準ずる方法で、対応するアミン(1.00ml)から標記化合物(481.1mg)を黄色固体として得た。
 
<工程5>2-(2-(5,8-ジメチル-[1,2,4]トリアゾロ[1,5-a]ピラジン-2-イル)シクロプロピル)-6-(ピロリジン-1-イル)ピリジン-3-オールの合成
(参考例39)<工程4>で得られた2-(2-(3-メトキシ-6-(ピロリジン-1-イル)ピリジン-2-イル)シクロプロピル)-5,8-ジメチル-[1,2,4]トリアゾロ[1,5-a]ピラジン(480mg)の塩化メチレン(52.7ml)溶液に、-78℃にて3臭化ホウ素(2.9ml、1M塩化メチレン溶液)を加え、室温まで昇温し、1時間撹拌した。反応溶液に、3臭化ホウ素(15ml、1M塩化メチレン溶液)を加え、50分間撹拌した。氷冷下、反応溶液に、水(50ml)、1規定水酸化ナトリウム水溶液(60ml)、飽和炭酸水素ナトリウム水溶液(20ml)を加え、分液操作により、有機層を抽出した。水層を塩化メチレン(100ml)で2回抽出し、有機層を合わせて、飽和食塩水(100ml)で洗浄した。有機層を減圧下濃縮し、得られた残渣をシリカゲルカラムクロマトグラフィー(溶出液;塩化メチレン:メタノール=100:0~95:5)で精製し、標記化合物(382mg)を茶色固体として得た。
 
(参考例40)
1-アミノ-5-クロロ-3,6-ジメチルピラジン-2(1H)-イミニウム 2,4,6-トリメチルベンゼンスルフォネートの合成
<工程1>5-クロロ-3,6-ジメチルピラジン-2-アミンの合成
3,6-ジメチルピラジン-2-アミン(4g)の四塩化炭素(324.8ml)溶液に、N-クロルスクシイミド(4.55g)を加え、110℃で2時間撹拌した。反応溶液を冷却し、減圧下溶媒を留去した。得られた残渣をシリカゲルカラムクロマトグラフィー(n-ヘキサン:酢酸エチル=94:6~50:50)で精製し、標記化合物(4.36g、純度71%)を黄色固体として得た。
 
<工程2>1-アミノ-5-クロロ-3,6-ジメチルピラジン-2(1H)-イミニウム 2,4,6-トリメチルベンゼンスルフォネートの合成
(参考例40)<工程1>で得られた5-クロロ-3,6-ジメチルピラジン-2-アミン(0.53g)及び(参考例11)<工程1>と同様な方法、もしくはこれに準ずる方法を用いて、標記化合物(720mg)を無色固体として得た。
 
(参考例41)
2-(4-モルホリノ-6-(ピロリジン-1-イル)ピリミジン-2-イル)シクロプロパンカルボン酸の合成
(実施例36.002)で得られた2-(4-クロロ-6-(ピロリジン-1-イル)ピリミジン-2-イル)シクロプロパンカルボン酸(395mg)から、(実施例21.077)と同様な方法、もしくはこれに準ずる方法で、標記化合物(518.7mg)を茶色固体として得た。
 
(参考例42)
1-アミノ-5-ブロモ-3-メトキシ-6-メチルピラジン-2(1H)-イミニウム 2,4,6-トリメチルベンゼンスルフォネートの合成
文献既知の方法に従って合成した5-ブロモ-3-メトキシ-6-メチル-1,2-ジヒドロピラジン-2-アミン(120mg)を用いて、(参考例11)<工程1>と同様な方法、もしくはこれに準ずる方法で、標記化合物(175.5mg)を白色固体として得た。
 
(参考例43)
(2-(2-(5,8-ジメチル-[1,2,4]トリアゾロ[1,5-a]ピラジン-2-イル)シクロプロピル)-6-(ピロリジン-1-イル)ピリミジン-4-カルボアルデヒドの合成
<工程1>(2-(2-(5,8-ジメチル-[1,2,4]トリアゾロ[1,5-a]ピラジン-2-イル)シクロプロピル)-6-(ピロリジン-1-イル)ピリミジン-4-イル)メタノールの合成
(参考例14)で得られた2-(2-(4-クロロ-6-(ピロリジン-1-イル)ピリミジン-2-イル)シクロプロピル)-5,8-ジメチル-[1,2,4]トリアゾロ[1,5-a]ピラジン(エナンチオマーB)を用いて、(参考例15)と同様な方、もしくはこれに準じた方法で得られたブチル(2-(2-(5,8-ジメチル-[1,2,4]トリアゾロ[1,5-a]ピラジン-2-イル)シクロプロピル)-6-(ピロリジン-1-イル)ピリミジン-4-カルボキシレート(170mg)のメタノール(0.8ml)溶液に、氷冷下、水素化ホウ素ナトリウム(19.2mg)を加え、室温に昇温し、15時間40分撹拌した。反応溶液を減圧下濃縮し、得られた残渣を水(30ml)で希釈し、酢酸エチル(20ml)で3回抽出した。有機層を合わせて、飽和食塩水(20ml)で洗浄し、硫酸ナトリウムで乾燥した。減圧下溶媒を留去し、得られた残渣をLC/MSで分取精製し、標記化合物(137mg)を無色固体として得た。
 
<工程2>(2-(2-(5,8-ジメチル-[1,2,4]トリアゾロ[1,5-a]ピラジン-2-イル)シクロプロピル)-6-(ピロリジン-1-イル)ピリミジン-4-カルボアルデヒドの合成
(参考例43)<工程1>で得られた(2-(2-(5,8-ジメチル-[1,2,4]トリアゾロ[1,5-a]ピラジン-2-イル)シクロプロピル)-6-(ピロリジン-1-イル)ピリミジン-4-イル)メタノール(60mg)の塩化メチレン(16.4ml)溶液に、氷冷下、1,1,1-トリアセトキシ-1,1-ジヒドロ-1,2-ベンズヨードキソール-3(1H)-オン(デス・マーチン・ペルヨージナン:104.5mg)を加え、室温に昇温して40分撹拌した。反応溶液に、1,1,1-トリアセトキシ-1,1-ジヒドロ-1,2-ベンズヨードキソール-3(1H)-オン(デス・マーチン・ペルヨージナン:48.3mg)を加え、20分撹拌した。反応溶液に飽和炭酸水素ナトリウム水溶液(10ml)、飽和チオ硫酸ナトリウム水溶液(10ml)及び塩化メチレン(10ml)を加え、有機層を抽出した。水層を塩化メチレン(10ml)で2回抽出した。有機層を合わせて、飽和食塩水(10ml)で洗浄し、硫酸ナトリウムで乾燥した。減圧下溶媒を留去し、標記化合物(57.5mg)を淡黄色固体として得た。
 
(Reference Example 38)
(Z) -N-((2- (2- (5,8-dimethyl- [1,2,4] triazolo [1,5-a] pyrazin-2-yl) vinyl) -6- (pyrrolidine-1 Synthesis of -yl) pyrimidin-4-yl) methyl) tetrahydro-2H-pyran-4-amine (Reference Example 8) (Z) -2- (2- (5,8-) obtained in <Step 2> Dimethyl- [1,2,4] triazolo [1,5-a] pyrazin-2-yl) vinyl) -6- (pyrrolidin-1-yl) pyrimidine-4-carbaldehyde (13 mg) in dichloromethane (3 ml) Were added tetrahydro-2H-pyran-4-amine (5.7 mg), acetic acid (0.43 μl) and sodium triacetoxyborohydride (11.8 mg), and the mixture was stirred at room temperature for 1 hour. Saturated aqueous sodium hydrogen carbonate solution (1 ml) was added to the reaction solution, and the mixture was extracted with ethyl acetate. The organic layer was dried over anhydrous sodium sulfate and the solvent was distilled off under reduced pressure to obtain a crude product (18 mg) of the title compound as a colorless oil.


(Reference Example 39)
2- (2- (5,8-dimethyl- [1,2,4] triazolo [1,5-a] pyrazin-2-yl) cyclopropyl) -6- (pyrrolidin-1-yl) pyridine-3- Synthesis of All <Step 1> Synthesis of 6-bromo-3-methoxypicolinaldehyde Synthesis of (6-bromo-3-methoxypyridin-2-yl) methanol (3. 10 g) was used to give the title compound (3.1 g) as a white solid in the same manner as in (Reference Example 21) <Step 1> or a method analogous thereto.

<Step 2> (E) -2- (2- (6-Bromo-3-methoxypyridin-2-yl) vinyl)-(5,8-dimethyl- [1,2,4] triazolo [1,5- a] Synthesis of pyrazine (Reference Example 39) Using 6-bromo-3-methoxypicolinaldehyde (2.20 g) obtained in <Step 1>, (Reference Example 12) The same method as in <Step 1> Alternatively, the title compound (2.47 g) was obtained as a yellow solid by a method analogous thereto.

<Step 3> 2- (2- (6-Bromo-3-methoxypyridin-2-yl) cyclopropyl)-(5,8-dimethyl- [1,2,4] triazolo [1,5-a] pyrazine (Reference Example 39) (E) -2- (2- (6-Bromo-3-methoxypyridin-2-yl) vinyl)-(5,8-dimethyl- [1] obtained in <Step 2> , 2,4] Triazolo [1,5-a] pyrazine (1.0 g) to give the title compound (904 mg) as a white solid in the same manner as in Reference Example 13 or a method analogous thereto. .

<Step 4> 2- (2- (3-Methoxy-6- (pyrrolidin-1-yl) pyridin-2-yl) cyclopropyl) -5,8-dimethyl- [1,2,4] triazolo [1, Synthesis of 5-a] pyrazine (Reference Example 39) 2- (2- (6-Bromo-3-methoxypyridin-2-yl) cyclopropyl)-(5,8-dimethyl-) obtained in (Step 3) Using [1,2,4] triazolo [1,5-a] pyrazine (900 mg) in the same manner as in (Example 21.026) or a method analogous thereto, the corresponding amine (1.00 ml ) Gave the title compound (481.1 mg) as a yellow solid.

<Step 5> 2- (2- (5,8-dimethyl- [1,2,4] triazolo [1,5-a] pyrazin-2-yl) cyclopropyl) -6- (pyrrolidin-1-yl) Synthesis of Pyridin-3-ol (Reference Example 39) 2- (2- (3-Methoxy-6- (pyrrolidin-1-yl) pyridin-2-yl) cyclopropyl) -5 obtained in <Step 4> , 8-dimethyl- [1,2,4] triazolo [1,5-a] pyrazine (480 mg) in methylene chloride (52.7 ml) at −78 ° C. at boron tribromide (2.9 ml, 1M). Methylene chloride solution) was added, and the mixture was warmed to room temperature and stirred for 1 hour. Boron tribromide (15 ml, 1M methylene chloride solution) was added to the reaction solution and stirred for 50 minutes. Under ice cooling, water (50 ml), 1N aqueous sodium hydroxide solution (60 ml) and saturated aqueous sodium hydrogen carbonate solution (20 ml) were added to the reaction solution, and the organic layer was extracted by a liquid separation operation. The aqueous layer was extracted twice with methylene chloride (100 ml), and the organic layers were combined and washed with saturated brine (100 ml). The organic layer was concentrated under reduced pressure, and the obtained residue was purified by silica gel column chromatography (eluent; methylene chloride: methanol = 100: 0 to 95: 5) to obtain the title compound (382 mg) as a brown solid.

(Reference Example 40)
Synthesis of 1-amino-5-chloro-3,6-dimethylpyrazine-2 (1H) -iminium 2,4,6-trimethylbenzenesulfonate <Step 1> 5-Chloro-3,6-dimethylpyrazine-2 -Synthesis of amine N-chlorosuccinimide (4.55 g) was added to a solution of 3,6-dimethylpyrazin-2-amine (4 g) in carbon tetrachloride (324.8 ml), and the mixture was stirred at 110 ° C for 2 hours. . The reaction solution was cooled and the solvent was distilled off under reduced pressure. The obtained residue was purified by silica gel column chromatography (n-hexane: ethyl acetate = 94: 6-50: 50) to obtain the title compound (4.36 g, purity 71%) as a yellow solid.

<Step 2> Synthesis of 1-amino-5-chloro-3,6-dimethylpyrazine-2 (1H) -iminium 2,4,6-trimethylbenzenesulfonate (Reference Example 40) obtained in <Step 1> The title compound (720 mg) was prepared using a method similar to or equivalent to 5-chloro-3,6-dimethylpyrazin-2-amine (0.53 g) and (Reference Example 11) <Step 1>. Obtained as a colorless solid.

(Reference Example 41)
2- (4-Chloro-6- (pyrrolidine) obtained in the synthesis of 2- (4-morpholino-6- (pyrrolidin-1-yl) pyrimidin-2-yl) cyclopropanecarboxylic acid (Example 36.002) The title compound (518.7 mg) was obtained as a brown solid from -1-yl) pyrimidin-2-yl) cyclopropanecarboxylic acid (395 mg) in the same manner as in (Example 21.077) or a method analogous thereto. Obtained.

(Reference Example 42)
Synthesis of 1-amino-5-bromo-3-methoxy-6-methylpyrazine-2 (1H) -iminium 2,4,6-trimethylbenzenesulfonate 5-bromo-3-methoxy synthesized according to methods known in the literature Using -6-methyl-1,2-dihydropyrazin-2-amine (120 mg) in the same manner as in (Reference Example 11) <Step 1> or a method analogous thereto, the title compound (175.5 mg) Was obtained as a white solid.

(Reference Example 43)
(2- (2- (5,8-dimethyl- [1,2,4] triazolo [1,5-a] pyrazin-2-yl) cyclopropyl) -6- (pyrrolidin-1-yl) pyrimidine-4 Synthesis of Carbaldehyde <Step 1> (2- (2- (5,8-dimethyl- [1,2,4] triazolo [1,5-a] pyrazin-2-yl) cyclopropyl) -6- ( 2- (2- (4-Chloro-6- (pyrrolidin-1-yl) pyrimidin-2-yl) cyclo obtained in the synthesis of pyrrolidin-1-yl) pyrimidin-4-yl) methanol (Reference Example 14) (Propyl) -5,8-dimethyl- [1,2,4] triazolo [1,5-a] pyrazine (enantiomer B) in the same manner as in Reference Example 15 or a method analogous thereto. The resulting butyl (2- (2- (5,8-dimethyl- [ 1,2,4] triazolo [1,5-a] pyrazin-2-yl) cyclopropyl) -6- (pyrrolidin-1-yl) pyrimidine-4-carboxylate (170 mg) in methanol (0.8 ml) To the mixture, sodium borohydride (19.2 mg) was added under ice cooling, and the mixture was warmed to room temperature and stirred for 15 hours and 40 minutes The reaction solution was concentrated under reduced pressure, and the resulting residue was diluted with water (30 ml). The organic layers were combined, washed with saturated brine (20 ml) and dried over sodium sulfate, the solvent was distilled off under reduced pressure, and the resulting residue was subjected to LC / Preparative purification by MS gave the title compound (137 mg) as a colorless solid.

<Step 2> (2- (2- (5,8-dimethyl- [1,2,4] triazolo [1,5-a] pyrazin-2-yl) cyclopropyl) -6- (pyrrolidin-1-yl) ) Synthesis of Pyrimidine-4-carbaldehyde (Reference Example 43) <2- (2- (5,8-dimethyl- [1,2,4] triazolo [1,5-a] obtained in <Step 1>) Pyrazin-2-yl) cyclopropyl) -6- (pyrrolidin-1-yl) pyrimidin-4-yl) methanol (60 mg) in methylene chloride (16.4 ml) was added with 1,1,1- Triacetoxy-1,1-dihydro-1,2-benziodoxol-3 (1H) -one (Dess-Martin periodinane: 104.5 mg) was added, and the mixture was warmed to room temperature and stirred for 40 minutes. To the solution, 1,1,1-triacetoxy-1 1-dihydro-1,2-benziodoxol-3 (1H) -one (Dess-Martin periodinane: 48.3 mg) was added, and the mixture was stirred for 20 minutes.Saturated sodium hydrogen carbonate aqueous solution (10 ml) was added to the reaction solution, A saturated aqueous sodium thiosulfate solution (10 ml) and methylene chloride (10 ml) were added to extract the organic layer, the aqueous layer was extracted twice with methylene chloride (10 ml), and the organic layers were combined and saturated with brine (10 ml). The solvent was distilled off under reduced pressure to obtain the title compound (57.5 mg) as a pale yellow solid.
以下の表3に、各参考例で得られた中間体の名称を記載する。
Figure JPOXMLDOC01-appb-T000239
Figure JPOXMLDOC01-appb-T000240
Figure JPOXMLDOC01-appb-T000241
Figure JPOXMLDOC01-appb-T000242
Figure JPOXMLDOC01-appb-T000243
Figure JPOXMLDOC01-appb-T000244
Figure JPOXMLDOC01-appb-T000245
Table 3 below lists the names of the intermediates obtained in each Reference Example.
Figure JPOXMLDOC01-appb-T000239
Figure JPOXMLDOC01-appb-T000240
Figure JPOXMLDOC01-appb-T000241
Figure JPOXMLDOC01-appb-T000242
Figure JPOXMLDOC01-appb-T000243
Figure JPOXMLDOC01-appb-T000244
Figure JPOXMLDOC01-appb-T000245
(実施例1)
(E)-2-(2-(6-(アゼチジン-1-イル)ピリジン-2-イル)ビニル)-5,8-ジメチル-[1,2,4]トリアゾロ[1,5-a]ピラジンの合成
Figure JPOXMLDOC01-appb-C000246
 参考例1で得られた(E)-2-(2-(6-ブロモピリジン-2-イル)ビニル)-5,8-ジメチル-[1,2,4]トリアゾロ[1,5-a]ピラジン(30mg)のtert-ブタノール(1ml)溶液に、アゼチジン塩酸塩(43mg)、トリス(ジベンジリデンアセトン)ジパラジウム(0)(17mg)、2-ジシクロヘキシルホスフィノ-2’,4’,6’-)トリイソプロピルビフェニル(XPhos:8.7mg)、及びナトリウム-tert-ブトキシド(57mg)を順次加え、窒素雰囲気下にて、2時間加熱還流した。反応溶液を室温まで冷却し、セライトにて濾過した後、メタノールにて洗浄した。濾液を減圧下濃縮して得られた残渣を、LC/MSにて分取精製し、標記化合物(14mg)を黄色固体として得た。
(実施例2)
2-(2-(6-(アゼチジン-1-イル)ピリジン-2-イル)エチル)-5,8-ジメチル-[1,2,4]トリアゾロ[1,5-a]ピラジンの合成
Figure JPOXMLDOC01-appb-C000247
 実施例1にて得られた、(E)-2-(2-(6-(アゼチジン-1-イル)ピリジン-2-イル)ビニル)-5,8-ジメチル-[1,2,4]トリアゾロ[1,5-a]ピラジン(40mg)のメタノール(10ml)溶液に、10%パラジウム-炭素(17mg)を加え、水素雰囲気下、4時間攪拌した。反応溶液をセライトにてろ過し、メタノールで洗浄した。減圧下溶媒を留去して得られた残渣をシリカゲルカラムクロマトグラフィー(溶出液;n-ヘキサン:酢酸エチル=100:0~0:100)で精製し、減圧下溶媒を留去し、標記化合物(25mg)を白色固体として得た。
Example 1
(E) -2- (2- (6- (azetidin-1-yl) pyridin-2-yl) vinyl) -5,8-dimethyl- [1,2,4] triazolo [1,5-a] pyrazine Synthesis of
Figure JPOXMLDOC01-appb-C000246
(E) -2- (2- (6-Bromopyridin-2-yl) vinyl) -5,8-dimethyl- [1,2,4] triazolo [1,5-a] obtained in Reference Example 1 A solution of pyrazine (30 mg) in tert-butanol (1 ml) was added to azetidine hydrochloride (43 mg), tris (dibenzylideneacetone) dipalladium (0) (17 mg), 2-dicyclohexylphosphino-2 ′, 4 ′, 6 ′. -) Triisopropylbiphenyl (XPhos: 8.7 mg) and sodium-tert-butoxide (57 mg) were sequentially added, and the mixture was heated to reflux for 2 hours under a nitrogen atmosphere. The reaction solution was cooled to room temperature, filtered through celite, and washed with methanol. The residue obtained by concentrating the filtrate under reduced pressure was separated and purified by LC / MS to obtain the title compound (14 mg) as a yellow solid.
(Example 2)
Synthesis of 2- (2- (6- (azetidin-1-yl) pyridin-2-yl) ethyl) -5,8-dimethyl- [1,2,4] triazolo [1,5-a] pyrazine
Figure JPOXMLDOC01-appb-C000247
(E) -2- (2- (6- (azetidin-1-yl) pyridin-2-yl) vinyl) -5,8-dimethyl- [1,2,4] obtained in Example 1 To a solution of triazolo [1,5-a] pyrazine (40 mg) in methanol (10 ml) was added 10% palladium-carbon (17 mg), and the mixture was stirred under a hydrogen atmosphere for 4 hours. The reaction solution was filtered through celite and washed with methanol. The residue obtained by evaporating the solvent under reduced pressure was purified by silica gel column chromatography (eluent; n-hexane: ethyl acetate = 100: 0 to 0: 100). The solvent was evaporated under reduced pressure to give the title compound (25 mg) was obtained as a white solid.
(実施例3)
(E)-5,8-ジメチル-2-(2-(6-(ピロリジン-1-イル)ピリジン-2-イル)ビニル)-[1,2,4]トリアゾロ[1,5-a]ピラジンの合成
Figure JPOXMLDOC01-appb-C000248
(実施例1)と同様の方法、もしくはこれに準ずる方法で、対応するアミンから合成した。
(実施例4)
5,8-ジメチル-2-(2-(6-(ピロリジン-1-イル)ピリジン-2-イル)エチル)-[1,2,4]トリアゾロ[1,5-a]ピラジンの合成
Figure JPOXMLDOC01-appb-C000249
 実施例3で得られた(E)-5,8-ジメチル-2-(2-(6-(ピロリジン-1-イル)ピリジン-2-イル)ビニル)-[1,2,4]トリアゾロ[1,5-a]ピラジンを用いて、(実施例2)と同様の方法、もしくはこれに準ずる方法で合成した。
以下の(実施例5)から(実施例7)の化合物を、(実施例1)と同様の方法、もしくはこれに準ずる方法で、各々対応するアミンから合成した。
(実施例5)
(R,E)-2-(2-(6-(3-フルオロピロリジン-1-イル)ピリジン-2-イル)ビニル)-5,8-ジメチル-[1,2,4]トリアゾロ[1,5-a]ピラジン
Figure JPOXMLDOC01-appb-C000250
(Example 3)
(E) -5,8-dimethyl-2- (2- (6- (pyrrolidin-1-yl) pyridin-2-yl) vinyl)-[1,2,4] triazolo [1,5-a] pyrazine Synthesis of
Figure JPOXMLDOC01-appb-C000248
It was synthesized from the corresponding amine by the same method as in (Example 1) or a method analogous thereto.
Example 4
Synthesis of 5,8-dimethyl-2- (2- (6- (pyrrolidin-1-yl) pyridin-2-yl) ethyl)-[1,2,4] triazolo [1,5-a] pyrazine
Figure JPOXMLDOC01-appb-C000249
(E) -5,8-dimethyl-2- (2- (6- (pyrrolidin-1-yl) pyridin-2-yl) vinyl)-[1,2,4] triazolo [Example 3] obtained in Example 3 1,5-a] pyrazine was used in the same manner as in (Example 2) or a method analogous thereto.
The following compounds of (Example 5) to (Example 7) were synthesized from the corresponding amines by the same method as (Example 1) or a method analogous thereto.
(Example 5)
(R, E) -2- (2- (6- (3-Fluoropyrrolidin-1-yl) pyridin-2-yl) vinyl) -5,8-dimethyl- [1,2,4] triazolo [1, 5-a] pyrazine
Figure JPOXMLDOC01-appb-C000250
(実施例6)
(R,E)-2-(2-(6-(2-(メトキシメチル)ピロリジン-1-イル)ピリジン-2-イル)ビニル)-5,8-ジメチル-[1,2,4]トリアゾロ[1,5-a]ピラジン
Figure JPOXMLDOC01-appb-C000251
(実施例7)
(E)-5,8-ジメチル-2-(2-(6-(3-メチルアゼチジン-1-イル)ピリジン-2-イル)ビニル)-[1,2,4]トリアゾロ[1,5-a]ピラジン
Figure JPOXMLDOC01-appb-C000252
(実施例8)
(E)-2-(2-(4-クロロ-6-(ピロリジン-1-イル)ピリミジン-2-イル)ビニル)5,8-ジメチル-[1,2,4]トリアゾロ[1,5-a]ピラジンの合成
Figure JPOXMLDOC01-appb-C000253
 [WO2010/027097号パンフレット 実施例1.001]に記載された方法に準じて合成したジエチル((4-クロロ-6-(ピロリジン-1-イル)ピリミジン-2-イル)メチル)ホスホネート(0.86g)のテトラヒドロフラン(10ml)溶液に、氷冷下、水素化ナトリウム(0.17g)を加えた後、反応溶液を室温に昇温した。反応溶液を再び氷冷下とし、参考例2で得られた、5,8-ジメチル-[1,2,4]トリアゾロ[1,5-a]ピラジン-2-カルボキシアルデヒド(0.38g)のテトラヒドロフラン(5ml)溶液を加え、反応溶液を室温に昇温して15.5時間攪拌した。氷冷下、反応溶液に水を加え、析出物を濾取し、水洗後、減圧下乾燥して、標記化合物(0.43g)を黄色固体として得た。
(Example 6)
(R, E) -2- (2- (6- (2- (methoxymethyl) pyrrolidin-1-yl) pyridin-2-yl) vinyl) -5,8-dimethyl- [1,2,4] triazolo [1,5-a] pyrazine
Figure JPOXMLDOC01-appb-C000251
(Example 7)
(E) -5,8-Dimethyl-2- (2- (6- (3-methylazetidin-1-yl) pyridin-2-yl) vinyl)-[1,2,4] triazolo [1,5 -A] pyrazine
Figure JPOXMLDOC01-appb-C000252
(Example 8)
(E) -2- (2- (4-Chloro-6- (pyrrolidin-1-yl) pyrimidin-2-yl) vinyl) 5,8-dimethyl- [1,2,4] triazolo [1,5- a] Synthesis of pyrazine
Figure JPOXMLDOC01-appb-C000253
Diethyl ((4-chloro-6- (pyrrolidin-1-yl) pyrimidin-2-yl) methyl) phosphonate (0. To a solution of 86 g) in tetrahydrofuran (10 ml) was added sodium hydride (0.17 g) under ice cooling, and then the reaction solution was warmed to room temperature. The reaction solution was cooled again on ice, and 5,8-dimethyl- [1,2,4] triazolo [1,5-a] pyrazine-2-carboxaldehyde (0.38 g) obtained in Reference Example 2 was added. Tetrahydrofuran (5 ml) solution was added, and the reaction solution was warmed to room temperature and stirred for 15.5 hours. Under ice cooling, water was added to the reaction solution, and the precipitate was collected by filtration, washed with water, and dried under reduced pressure to obtain the title compound (0.43 g) as a yellow solid.
(実施例9)
(E)-2-(2-(5,8-ジメチル-[1,2,4]トリアゾロ[1,5-a]ピラジン-2-イル)ビニル)-6-(ピロリジン-1-イル)-N-(テトラヒドロ-2H-ピラン-4-イル)-ピリミジン-4-アミンの合成
Figure JPOXMLDOC01-appb-C000254
 実施例8で得られた(E)-2-(2-(4-クロロ-6-(ピロリジン-1-イル)ピリミジン-2-イル)ビニル)5,8-ジメチル-[1,2,4]トリアゾロ[1,5-a]ピラジン(30mg)のtert-ブタノール(1ml)溶液に、テトラヒドロ-2H-ピラン-4-アミン(43mg)、トリス(ジベンジリデンアセトン)ジパラジウム(0)(15mg)、2-ジシクロヘキシルホスフィノ-2’,4’,6’-トリイソプロピルビフェニル(XPhos:8.0mg)、及びナトリウム-tert-ブトキシド(12mg)を加え、窒素雰囲気下にて、2時間加熱還流した。反応溶液を室温まで冷却し、セライトにてろ過し、メタノールにて洗浄した。ろ液を減圧下濃縮して得られた残渣を、LC/MSにて分取精製し、標記化合物(8.0mg)を白色固体として得た。
Example 9
(E) -2- (2- (5,8-dimethyl- [1,2,4] triazolo [1,5-a] pyrazin-2-yl) vinyl) -6- (pyrrolidin-1-yl)- Synthesis of N- (tetrahydro-2H-pyran-4-yl) -pyrimidin-4-amine
Figure JPOXMLDOC01-appb-C000254
(E) -2- (2- (4-Chloro-6- (pyrrolidin-1-yl) pyrimidin-2-yl) vinyl) 5,8-dimethyl- [1,2,4 obtained in Example 8 ] To a solution of triazolo [1,5-a] pyrazine (30 mg) in tert-butanol (1 ml), tetrahydro-2H-pyran-4-amine (43 mg), tris (dibenzylideneacetone) dipalladium (0) (15 mg) 2-dicyclohexylphosphino-2 ′, 4 ′, 6′-triisopropylbiphenyl (XPhos: 8.0 mg) and sodium-tert-butoxide (12 mg) were added, and the mixture was heated to reflux for 2 hours under a nitrogen atmosphere. . The reaction solution was cooled to room temperature, filtered through celite, and washed with methanol. The residue obtained by concentrating the filtrate under reduced pressure was separated and purified by LC / MS to obtain the title compound (8.0 mg) as a white solid.
(実施例10)
2-(2-(5,8-ジメチル-[1,2,4]トリアゾロ[1,5-a]ピラジン-2-イル)エチル)-6-(ピロリジン-1-イル)-N-(テトラヒドロ-2H-ピラン-4-イル)ピリミジン-4-アミンの合成
Figure JPOXMLDOC01-appb-C000255
 実施例9で得られた(E)-2-(2-(5,8-ジメチル-[1,2,4]トリアゾロ[1,5-a]ピラジン-2-イル)ビニル)-6-(ピロリジン-1-イル)-N-(テトラヒドロ-2H-ピラン-4-イル)ピリミジン-4-アミン(30mg)のメタノール(7.2ml)溶液に、10%パラジウム-炭素(9.1mg)を加え、水素雰囲気下2.5時間攪拌した。反応溶液をセライトろ過し、メタノールで洗浄した。ろ液を減圧下濃縮して得られた残渣を、シリカゲルカラムクロマトグラフィー(溶出液;塩化メチレン:メタノール=100:0~80:20)で精製し、減圧下溶媒を留去した。得られた残渣を、シリカゲルカラムクロマトグラフィー(溶出液;n-ヘキサン:酢酸エチル=100:0~0:100)で再精製し、減圧下溶媒を留去し、標記化合物(17.5mg)を黄色固体として得た。
(実施例11)
(E)-4-(2-(2-(5,8-ジメチル-[1,2,4]トリアゾロ[1,5-a]ピラジン-2-イル)ビニル)-6-(ピロリジン-1-イル)ピリミジン-4-イル)モルフォリンの合成
Figure JPOXMLDOC01-appb-C000256
 (実施例9)と同様の方法、もしくはこれに準ずる方法で、対応するアミンから合成した。
(Example 10)
2- (2- (5,8-dimethyl- [1,2,4] triazolo [1,5-a] pyrazin-2-yl) ethyl) -6- (pyrrolidin-1-yl) -N- (tetrahydro -2H-pyran-4-yl) pyrimidin-4-amine
Figure JPOXMLDOC01-appb-C000255
(E) -2- (2- (5,8-dimethyl- [1,2,4] triazolo [1,5-a] pyrazin-2-yl) vinyl) -6- (obtained in Example 9 To a solution of pyrrolidin-1-yl) -N- (tetrahydro-2H-pyran-4-yl) pyrimidin-4-amine (30 mg) in methanol (7.2 ml) was added 10% palladium-carbon (9.1 mg). The mixture was stirred for 2.5 hours under a hydrogen atmosphere. The reaction solution was filtered through celite and washed with methanol. The residue obtained by concentrating the filtrate under reduced pressure was purified by silica gel column chromatography (eluent; methylene chloride: methanol = 100: 0 to 80:20), and the solvent was distilled off under reduced pressure. The obtained residue was re-purified by silica gel column chromatography (eluent; n-hexane: ethyl acetate = 100: 0 to 0: 100), and the solvent was evaporated under reduced pressure to give the title compound (17.5 mg). Obtained as a yellow solid.
(Example 11)
(E) -4- (2- (2- (5,8-dimethyl- [1,2,4] triazolo [1,5-a] pyrazin-2-yl) vinyl) -6- (pyrrolidine-1- Synthesis of yl) pyrimidin-4-yl) morpholine
Figure JPOXMLDOC01-appb-C000256
The compound was synthesized from the corresponding amine in the same manner as in (Example 9) or a method analogous thereto.
(実施例12)
4-(2-(2-(5,8-ジメチル-[1,2,4]トリアゾロ[1,5-a]ピラジン-2-イル)エチル)-6-(ピロリジン-1-イル)ピリミジン-4-イル)モルフォリンの合成
Figure JPOXMLDOC01-appb-C000257
 実施例11で得られた(E)-4-(2-(5,8-ジメチル-[1,2,4]トリアゾロ[1,5-a]ピラジン-2-イル)ビニル)-6-(ピロリジン-1-イル)ピリミジン-4-イル)モルフォリンを用いて、(実施例10)と同様の方法、もしくはこれに準ずる方法で合成した。
以下の(実施例13)から(実施例15)の化合物を、(実施例9)と同様の方法、もしくはこれに準ずる方法で、各々対応するアミンから合成した。
(実施例13)
(E)-2-(2-(5,8-ジメチル-[1,2,4]トリアゾロ[1,5-a]ピラジン-2-イル)ビニル)-N,N-ジエチル-6-(ピロリジン-1-イル)-ピリミジン-4-アミン
Figure JPOXMLDOC01-appb-C000258
(実施例14)
(E)-5,8-ジメチル-2-(2-(4-(ピペリジン-1-イル)-6-(ピロリジン-1-イル)-ピリミジン-2-イル)ビニル)-[1,2,4]トリアゾロ[1,5-a]ピラジン
Figure JPOXMLDOC01-appb-C000259
(実施例15)
(E)-2-(2-(5,8-ジメチル-[1,2,4]トリアゾロ[1,5-a]ピラジン-2-イル)ビニル)-N-(ピリジン-2-イル)-6-(ピロリジン-1-イル)ピリミジン-4-アミン
Figure JPOXMLDOC01-appb-C000260
(Example 12)
4- (2- (2- (5,8-dimethyl- [1,2,4] triazolo [1,5-a] pyrazin-2-yl) ethyl) -6- (pyrrolidin-1-yl) pyrimidine- Synthesis of 4-yl) morpholine
Figure JPOXMLDOC01-appb-C000257
(E) -4- (2- (5,8-dimethyl- [1,2,4] triazolo [1,5-a] pyrazin-2-yl) vinyl) -6- (obtained in Example 11 Using pyrrolidin-1-yl) pyrimidin-4-yl) morpholine, it was synthesized in the same manner as in (Example 10) or a method analogous thereto.
The following compounds of (Example 13) to (Example 15) were synthesized from the corresponding amines by the same method as (Example 9) or a method analogous thereto.
(Example 13)
(E) -2- (2- (5,8-dimethyl- [1,2,4] triazolo [1,5-a] pyrazin-2-yl) vinyl) -N, N-diethyl-6- (pyrrolidine -1-yl) -pyrimidin-4-amine
Figure JPOXMLDOC01-appb-C000258
(Example 14)
(E) -5,8-dimethyl-2- (2- (4- (piperidin-1-yl) -6- (pyrrolidin-1-yl) -pyrimidin-2-yl) vinyl)-[1,2, 4] Triazolo [1,5-a] pyrazine
Figure JPOXMLDOC01-appb-C000259
(Example 15)
(E) -2- (2- (5,8-dimethyl- [1,2,4] triazolo [1,5-a] pyrazin-2-yl) vinyl) -N- (pyridin-2-yl)- 6- (Pyrrolidin-1-yl) pyrimidin-4-amine
Figure JPOXMLDOC01-appb-C000260
(実施例16)
(E)-2-(2-(4-(4-フルオロフェニル)-6-(ピロリジン-1-イル)ピリミジン-2-イル)ビニル)-5,8-ジメチル[1,2,4]トリアゾロ[1,5-a]ピラジンの合成
Figure JPOXMLDOC01-appb-C000261
 実施例8で得られた、(E)-2-(2-(4-クロロ-6-(ピロリジン-1-イル)ピリジン-2-イル)ビニル)5,8-ジメチル-[1,2,4]トリアゾロ[1,5-a]ピラジン(30mg)のジメトキシエタン(0.35ml)及び水(0.25ml)の混合溶液に、4-フルオロフェニルボロン酸(18mg)、ビス(トリフェニルフォスフィン)パラジウム(II)ジクロリド(5.9mg)、炭酸ナトリウム(18mg)を順次加え、1時間加熱還流した。反応溶液を室温に冷却し、4-フルオロフェニルボロン酸(18mg)、ビス(トリフェニルフォスフィン)パラジウム(II)ジクロリド(5.9mg)及びジメトキシエタン(0.5ml)を追加し、14時間加熱還流した。反応溶液を室温に冷却後、セライトろ過し、メタノールで洗浄した。ろ液を減圧下濃縮し、得られた残渣を、LC/MSにて分取精製し、標記化合物(8.2mg)を薄茶色固体として得た。
(Example 16)
(E) -2- (2- (4- (4-Fluorophenyl) -6- (pyrrolidin-1-yl) pyrimidin-2-yl) vinyl) -5,8-dimethyl [1,2,4] triazolo Synthesis of [1,5-a] pyrazine
Figure JPOXMLDOC01-appb-C000261
(E) -2- (2- (4-Chloro-6- (pyrrolidin-1-yl) pyridin-2-yl) vinyl) 5,8-dimethyl- [1,2, obtained in Example 8 4] To a mixed solution of triazolo [1,5-a] pyrazine (30 mg) in dimethoxyethane (0.35 ml) and water (0.25 ml), 4-fluorophenylboronic acid (18 mg), bis (triphenylphosphine) ) Palladium (II) dichloride (5.9 mg) and sodium carbonate (18 mg) were sequentially added, and the mixture was heated to reflux for 1 hour. The reaction solution was cooled to room temperature, 4-fluorophenylboronic acid (18 mg), bis (triphenylphosphine) palladium (II) dichloride (5.9 mg) and dimethoxyethane (0.5 ml) were added and heated for 14 hours. Refluxed. The reaction solution was cooled to room temperature, filtered through celite, and washed with methanol. The filtrate was concentrated under reduced pressure, and the resulting residue was separated and purified by LC / MS to obtain the title compound (8.2 mg) as a light brown solid.
(実施例17)
(E)-2-(2-(4-(4-フルオロフェノキシ)-6-(ピロリジン-1-イル)ピリミジン-2-イル)ビニル)-5,8-ジメチル[1,2,4]トリアゾロ[1,5-a]ピラジンの合成
Figure JPOXMLDOC01-appb-C000262
 実施例8で得られた、(E)-2-(2-(4-クロロ-6-(ピロリジン-1-イル)ピリジン-2-イル)ビニル)5,8-ジメチル-[1,2,4]トリアゾロ[1,5-a]ピラジン(20mg)のN、N-ジメチルホルムアミド(0.5ml)溶液に、4-フルオロフェノール(7.6mg)及び炭酸カリウム(9.3mg)を加え、150度にて51時間攪拌した。反応溶液をジメチルスルフォキシド(1ml)にて希釈後、LC/MSにて分取精製し、標記化合物(5.8mg)を薄黄色固体として得た。
(Example 17)
(E) -2- (2- (4- (4-Fluorophenoxy) -6- (pyrrolidin-1-yl) pyrimidin-2-yl) vinyl) -5,8-dimethyl [1,2,4] triazolo Synthesis of [1,5-a] pyrazine
Figure JPOXMLDOC01-appb-C000262
(E) -2- (2- (4-Chloro-6- (pyrrolidin-1-yl) pyridin-2-yl) vinyl) 5,8-dimethyl- [1,2, obtained in Example 8 4] To a solution of triazolo [1,5-a] pyrazine (20 mg) in N, N-dimethylformamide (0.5 ml), 4-fluorophenol (7.6 mg) and potassium carbonate (9.3 mg) were added. Stir for 51 hours. The reaction solution was diluted with dimethyl sulfoxide (1 ml) and purified by fractionation with LC / MS to obtain the title compound (5.8 mg) as a pale yellow solid.
(実施例18)
(E)-5,8-ジメチル-2-(2-(4-(ピロリジン-1-イル)-6-((テトラヒドロ-2H-ピラン-4-イル)オキシ)ピリミジン-2-イル)ビニル)-[1,2,4]トリアゾロ[1,5-a]ピラジンの合成
Figure JPOXMLDOC01-appb-C000263
 実施例8で得られた、(E)-2-(2-(4-クロロ-6-(ピロリジン-1-イル)ピリジン-2-イル)ビニル)5,8-ジメチル-[1,2,4]トリアゾロ[1,5-a]ピラジン(20mg)に、テトラヒドロ-2H-ピラン-4-オール(0.56ml)、ヨウ化銅(2.1mg)、リン酸カリウム(24mg)及び8-ヒドロキシキノリン(3.3mg)を順次加え、マイクロウェーブ反応器を用いて、130度で30分間攪拌した。反応溶液を室温まで冷却し、セライト濾過し、酢酸エチル(30ml)で洗浄した。ろ液を減圧下濃縮し、得られた残渣をLC/MSにて分取精製し、標記化合物(3.8mg)を黄色固体として得た。
 
(実施例19.001)から(実施例19.021)の化合物[各実施例化合物名は前述の[表1-1]から[表1-2]に記載してある]を、(実施例9)と同様の方法、もしくはこれに準ずる方法で、各々対応するアミンを用いて合成した。
 
(実施例19.022)
(E)-2-(2-(5,8-ジメチル-[1,2,4]トリアゾロ[1,5-a]ピラジン-2-イル)ビニル)-N-(2-メトキシエチル)-N-メチル-6-(ピロリジン-1-イル)ピリミジン-4-アミンの合成
(実施例8)で得られた(E)-2-(2-(4-クロロ-6-(ピロリジン-1-イル)ピリミジン-2-イル)ビニル)5,8-ジメチル-[1,2,4]トリアゾロ[1,5-a]ピラジン(10mg)の1-ブタノール(1ml)溶液に、1,8-ジアザビシクロ(5.4.0)ウンデカ-7-エン(DBU:21μl)及び2-メトキシ-N-メチルエチルアミン(30μl)を加え、反応溶液を150℃で43時間加熱攪拌した。反応溶液を室温に冷却し、LC/MSにて分取精製し、標記化合物(10mg)を得た。
 
(実施例19.023)から(実施例19.030)の化合物[各実施例化合物名は前述の[表1-3]に記載してある]を、(実施例19.022)と同様の方法、もしくはこれに準ずる方法で、各々対応するアミンを用いて合成した。
 
(Example 18)
(E) -5,8-dimethyl-2- (2- (4- (pyrrolidin-1-yl) -6-((tetrahydro-2H-pyran-4-yl) oxy) pyrimidin-2-yl) vinyl) Synthesis of [1,2,4] triazolo [1,5-a] pyrazine
Figure JPOXMLDOC01-appb-C000263
(E) -2- (2- (4-Chloro-6- (pyrrolidin-1-yl) pyridin-2-yl) vinyl) 5,8-dimethyl- [1,2, obtained in Example 8 4] Triazolo [1,5-a] pyrazine (20 mg), tetrahydro-2H-pyran-4-ol (0.56 ml), copper iodide (2.1 mg), potassium phosphate (24 mg) and 8-hydroxy Quinoline (3.3 mg) was sequentially added, and the mixture was stirred at 130 ° C. for 30 minutes using a microwave reactor. The reaction solution was cooled to room temperature, filtered through celite, and washed with ethyl acetate (30 ml). The filtrate was concentrated under reduced pressure, and the resulting residue was separated and purified by LC / MS to obtain the title compound (3.8 mg) as a yellow solid.

The compounds of (Example 19.001) to (Example 19.021) [the names of the compounds of each Example are described in the above [Table 1-1] to [Table 1-2]], Each of the compounds was synthesized using the corresponding amine in the same manner as in 9) or a method analogous thereto.

(Example 19.022)
(E) -2- (2- (5,8-dimethyl- [1,2,4] triazolo [1,5-a] pyrazin-2-yl) vinyl) -N- (2-methoxyethyl) -N (E) -2- (2- (4-Chloro-6- (pyrrolidin-1-yl) obtained in the synthesis of Example 6) -methyl-6- (pyrrolidin-1-yl) pyrimidin-4-amine ) Pyrimidin-2-yl) vinyl) 5,8-dimethyl- [1,2,4] triazolo [1,5-a] pyrazine (10 mg) in 1-butanol (1 ml) solution was added 1,8-diazabicyclo ( 5.4.0) Undec-7-ene (DBU: 21 μl) and 2-methoxy-N-methylethylamine (30 μl) were added, and the reaction solution was heated and stirred at 150 ° C. for 43 hours. The reaction solution was cooled to room temperature and separated and purified by LC / MS to obtain the title compound (10 mg).

The compounds of (Example 19.023) to (Example 19.030) [the names of the compounds of each Example are described in [Table 1-3] above] are the same as in (Example 19.022). Each of these was synthesized using a corresponding amine by a method or a method equivalent thereto.
(実施例19.031)
(E)-2-(2-(4-(4-メトキシフェニル)-6-(ピロリジン-1-イル)ピリミジン-2-イル)ビニル)-5,8-ジメチル-[1,2,4]トリアゾロ[1,5-a]ピラジンの合成
(実施例8)で得られた、(E)-2-(2-(4-クロロ-6-(ピロリジン-1-イル)ピリミジン-2-イル)ビニル)-5,8-ジメチル-[1,2,4]トリアゾロ[1,5-a]ピラジン(50mg)、(4-メトキシフェニル)ボロン酸(32mg)、ビス(トリフェニルホスフィン)パラジウム(II)ジクロリド(9.9mg)、炭酸ナトリウム(29.8mg)の1,2-ジメトキシエタン(0.7ml)-水(0.47ml)溶液を窒素雰囲気下、4.5時間加熱還流した。ビス(トリフェニルホスフィン)パラジウム(II)ジクロリド(10mg)、1,2-ジメトキシエタン(0.7ml)を加え、さらに15時間攪拌した。反応溶液をセライトろ過し、減圧下溶媒を留去した。得られた残渣をLC/MSにて分取精製し、標記化合物(7.6mg)を無色固体として得た。
 
(実施例19.032)から(実施例19.034)の化合物[各実施例化合物名は前述の[表1-3]から[表1-4]に記載してある]を、(実施例19.031)と同様の方法、もしくはこれに準ずる方法で、各々対応するボロン酸を用いて合成した。
 
(実施例19.035)
(E)-2-(2-(4-(3,6-ジヒドロ-2H-ピラン-4-イル)-6-(ピロリジン-1-イル)ピリミジン-2-イル)ビニル)-5,8-ジメチル-[1,2,4]トリアゾロ[1,5-a]ピラジンの合成
(実施例8)で得られた(E)-2-(2-(4-クロロ-6-(ピロリジン-1-イル)ピリミジン-2-イル)ビニル)-5,8-ジメチル-[1,2,4]トリアゾロ[1,5-a]ピラジン(50mg)の1,2-ジメトキシエタン(1ml)-水(0.25ml)混合溶液に2-(3,6-ジヒドロ-2H-ピラン-4-イル)-4,4,5,5-テトラメチル-1,3,2-ジオキサボロラン(32mg)、テトラキス(トリフェニルホスフィン)パラジウム(16mg)、炭酸ナトリウム(24mg)を加え、10時間加熱還流し、その後室温で12時間撹拌した。反応溶液をN、N-ジメチルホルムアミド(1ml)で希釈し、メンブランフィルター(DISMIC(登録商標)-13JP)でろ過したのちLC/MSにて分取精製し、標記化合物(5mg)を淡褐色固体として得た。
 
(実施例19.036)
(E)-5,8-ジメチル-2-(2-(4-メチル-6-(ピロリジン-1-イル)ピリミジン-2-イル)ビニル)-[1,2,4]トリアゾロ[1,5-a]ピラジンの合成
(実施例8)で得られた(E)-2-(2-(4-クロロ-6-(ピロリジン-1-イル)ピリミジン-2-イル)ビニル)5,8-ジメチル-[1,2,4]トリアゾロ[1,5-a]ピラジン(30mg)のN,N,-ジメチルホルムアミド(1.2ml)溶液に、炭酸カリウム(58mg)、1,1′-ビス(ジフェニルホスフィノ)フェロセン-パラジウム(II)ジクロリド-ジクロロメタン錯体(34mg)及び2,4,6,トリメチルボロキシン(47μl)を加え、マイクロウェーブで110℃2時間加熱した。反応液をセライト濾過し、酢酸エチル(20ml)で洗浄した。ろ液に水(10ml)を加え、酢酸エチル(20ml)で2回抽出した。有機層を飽和食塩水(20ml)で洗浄し、硫酸ナトリウムで乾燥した。減圧下溶媒を留去し、得られた残渣をNH-シリカゲルカラムクロマトグラフィー(溶出液;n-ヘキサン:酢酸エチル=90:10-0:100)で精製し、標記化合物(21mg)を茶色固体として得た。
(Example 19.031)
(E) -2- (2- (4- (4-Methoxyphenyl) -6- (pyrrolidin-1-yl) pyrimidin-2-yl) vinyl) -5,8-dimethyl- [1,2,4] (E) -2- (2- (4-Chloro-6- (pyrrolidin-1-yl) pyrimidin-2-yl) obtained by synthesis of triazolo [1,5-a] pyrazine (Example 8) Vinyl) -5,8-dimethyl- [1,2,4] triazolo [1,5-a] pyrazine (50 mg), (4-methoxyphenyl) boronic acid (32 mg), bis (triphenylphosphine) palladium (II ) A solution of 1,2-dimethoxyethane (0.7 ml) -water (0.47 ml) in dichloride (9.9 mg) and sodium carbonate (29.8 mg) was heated to reflux under a nitrogen atmosphere for 4.5 hours. Bis (triphenylphosphine) palladium (II) dichloride (10 mg) and 1,2-dimethoxyethane (0.7 ml) were added, and the mixture was further stirred for 15 hours. The reaction solution was filtered through celite, and the solvent was distilled off under reduced pressure. The obtained residue was separated and purified by LC / MS to obtain the title compound (7.6 mg) as a colorless solid.

The compounds of (Example 19.032) to (Example 19.034) [The names of the compounds of each Example are described in [Table 1-3] to [Table 1-4] above], (Example In the same manner as in 19.031) or a method analogous thereto, each was synthesized using the corresponding boronic acid.

(Example 19.035)
(E) -2- (2- (4- (3,6-Dihydro-2H-pyran-4-yl) -6- (pyrrolidin-1-yl) pyrimidin-2-yl) vinyl) -5,8- (E) -2- (2- (4-Chloro-6- (pyrrolidine-1-) obtained in the synthesis of Example 8) of dimethyl- [1,2,4] triazolo [1,5-a] pyrazine Yl) pyrimidin-2-yl) vinyl) -5,8-dimethyl- [1,2,4] triazolo [1,5-a] pyrazine (50 mg) in 1,2-dimethoxyethane (1 ml) -water (0 .25 ml) mixed solution was mixed with 2- (3,6-dihydro-2H-pyran-4-yl) -4,4,5,5-tetramethyl-1,3,2-dioxaborolane (32 mg), tetrakis (triphenyl Phosphine) palladium (16 mg), sodium carbonate (24 mg) For example, 10 hours heated to reflux and then stirred at room temperature for 12 hours. The reaction solution was diluted with N, N-dimethylformamide (1 ml), filtered through a membrane filter (DISMIC (registered trademark) -13JP), and fractionated and purified by LC / MS to give the title compound (5 mg) as a light brown solid. Got as.

(Example 19.036)
(E) -5,8-dimethyl-2- (2- (4-methyl-6- (pyrrolidin-1-yl) pyrimidin-2-yl) vinyl)-[1,2,4] triazolo [1,5 -A] (E) -2- (2- (4-Chloro-6- (pyrrolidin-1-yl) pyrimidin-2-yl) vinyl) 5,8- obtained in the synthesis of pyrazine (Example 8) To a solution of dimethyl- [1,2,4] triazolo [1,5-a] pyrazine (30 mg) in N, N, -dimethylformamide (1.2 ml) was added potassium carbonate (58 mg), 1,1′-bis ( Diphenylphosphino) ferrocene-palladium (II) dichloride-dichloromethane complex (34 mg) and 2,4,6, trimethylboroxine (47 μl) were added and heated in the microwave at 110 ° C. for 2 hours. The reaction mixture was filtered through celite and washed with ethyl acetate (20 ml). Water (10 ml) was added to the filtrate, and the mixture was extracted twice with ethyl acetate (20 ml). The organic layer was washed with saturated brine (20 ml) and dried over sodium sulfate. The solvent was evaporated under reduced pressure, and the obtained residue was purified by NH-silica gel column chromatography (eluent; n-hexane: ethyl acetate = 90: 10-0: 100) to give the title compound (21 mg) as a brown solid Got as.
(実施例19.037)
(E)-5,8-ジメチル-2-(2-(4-(ピリジン-4-イル)-6-(ピロリジン-1-イル)ピリミジン-2-イル)ビニル)-[1,2,4]トリアゾロ[1,5-a]ピラジンの合成
(実施例8)で得られた、(E)-2-(2-(4-クロロ-6-(ピロリジン-1-イル)ピリミジン-2-イル)ビニル)-5,8-ジメチル-[1,2,4]トリアゾロ[1,5-a]ピラジン(30mg)、ピリジン-4-ボロン酸ピナコールエステル(19mg)、テトラキストリフェニルホスフィンパラジウム(9.7mg)、0.1M炭酸ナトリウム水溶液(0.8ml)のジオキサン(0.8ml)溶液を窒素雰囲気下、120℃で7時間攪拌した。ピリジン-4-ボロン酸ピナコールエステル(25mg)、テトラキストリフェニルホスフィンパラジウム(19mg)、1,4-ジオキサン(0.8ml)を加え、さらに15時間攪拌した。反応溶液に水(5ml)酢酸エチル(10ml)を加え、セライトろ過し、酢酸エチル(40ml)で洗浄した。減圧下溶媒を留去し、得られた残渣をLC/MSにて分取精製し、標記化合物(6.7mg、トリフェニルホスフィンオキシドを27%含む)を茶色固体として得た。
 
(実施例19.038)
(E)-5,8-ジメチル-2-(2-(4-(ピリジン-2-イル)-6-(ピロリジン-1-イル)ピリミジン-2-イル)ビニル)-[1,2,4]トリアゾロ[1,5-a]ピラジンの合成
(実施例8)で得られた、(E)-2-(2-(4-クロロ-6-(ピロリジン-1-イル)ピリミジン-2-イル)ビニル)-5,8-ジメチル-[1,2,4]トリアゾロ[1,5-a]ピラジン(25mg)、ビス(トリフェニルホスフィン)パラジウム(II)ジクロリド(4.9mg)、2-ピリジル臭化亜鉛(0.21ml、0.5M テトラヒドロフラン溶液)のN-メチルピロリドン(0.27ml)溶液を窒素雰囲気下、100℃で30分攪拌した。反応溶液をセライトろ過し、クロロホルム(30ml)で洗浄した後、減圧下溶媒を留去した。得られた残渣をLC/MSにて分取精製し、標記化合物(3.2mg)を淡黄色固体として得た。
 
(実施例19.039-A)及び(実施例19.039-B)
(E)-2-(2-(5,8-ジメチル-[1,2,4]トリアゾロ[1,5-a]ピラジン-2-イル)ビニル)-6-(ピロリジン-1-イル)-N-(テトラヒドロ-2H-ピラン-4-イル)ピリミジン-4-カルボキサミド(A)及び(Z)-2-(2-(5,8-ジメチル-[1,2,4]トリアゾロ[1,5-a]ピラジン-2-イル)ビニル)-6-(ピロリジン-1-イル)-N-(テトラヒドロ-2H-ピラン-4-イル)ピリミジン-4-カルボキサミド(B)の合成
(参考例7)<工程4>で得られた、(E)-2-(2-(5,8-ジメチル-[1,2,4]トリアゾロ[1,5-a]ピラジン-2-イル)ビニル)-6-(ピロリジン-1-イル)ピリミジン-4-カルボン酸及び(Z)-2-(2-(5,8-ジメチル-[1,2,4]トリアゾロ[1,5-a]ピラジン-2-イル)ビニル)-6-(ピロリジン-1-イル)ピリミジン-4-カルボン酸混合物(18mg)、テトラヒドロ-2H-ピラン-4-アミン(7.4mg)、1-エチル-3-(3-ジメチルアミノプロピル)カルボジイミド塩酸塩(14mg)、1-ヒドロキシベンゾトリアゾール一水和物(6.6mg)のN,N-ジメチルホルムアミド(2ml)溶液を室温で18時間、50℃で3時間攪拌した。減圧下溶媒を留去し、得られた残渣をシリカゲルカラムクロマトグラフィー(溶出液;n-ヘキサン:酢酸エチル=67:33-50:50)で精製し、標記化合物A(4.2mg)を白色固体として、標記化合物B(6.3mg)を無色アモルファスととして得た。
 
(実施例19.040-A)及び(実施例19.040-B)
(E)-2-(2-(5,8-ジメチル-[1,2,4]トリアゾロ[1,5-a]ピラジン-2-イル)ビニル)-N-(2-メトキシエチル)-6-(ピロリジン-1-イル)ピリミジン-4-カルボキサミド(A)及び(Z)-2-(2-(5,8-ジメチル-[1,2,4]トリアゾロ[1,5-a]ピラジン-2-イル)ビニル)-N-(2-メトキシエチル)-6-(ピロリジン-1-イル)ピリミジン-4-カルボキサミド(B)の合成
(実施例19.039)と同様の方法、もしくはこれに準ずる方法で、対応するアミンから合成した。
(Example 19.037)
(E) -5,8-dimethyl-2- (2- (4- (pyridin-4-yl) -6- (pyrrolidin-1-yl) pyrimidin-2-yl) vinyl)-[1,2,4 ] (E) -2- (2- (4-Chloro-6- (pyrrolidin-1-yl) pyrimidin-2-yl) obtained by synthesis of triazolo [1,5-a] pyrazine (Example 8) ) Vinyl) -5,8-dimethyl- [1,2,4] triazolo [1,5-a] pyrazine (30 mg), pyridine-4-boronic acid pinacol ester (19 mg), tetrakistriphenylphosphine palladium (9. 7 mg), a 0.1 M aqueous solution of sodium carbonate (0.8 ml) in dioxane (0.8 ml) was stirred at 120 ° C. for 7 hours under a nitrogen atmosphere. Pyridine-4-boronic acid pinacol ester (25 mg), tetrakistriphenylphosphine palladium (19 mg) and 1,4-dioxane (0.8 ml) were added, and the mixture was further stirred for 15 hours. Water (5 ml) and ethyl acetate (10 ml) were added to the reaction solution, filtered through celite, and washed with ethyl acetate (40 ml). The solvent was distilled off under reduced pressure, and the resulting residue was purified by preparative LC / MS to obtain the title compound (6.7 mg, containing 27% triphenylphosphine oxide) as a brown solid.

(Example 19.038)
(E) -5,8-dimethyl-2- (2- (4- (pyridin-2-yl) -6- (pyrrolidin-1-yl) pyrimidin-2-yl) vinyl)-[1,2,4 ] (E) -2- (2- (4-Chloro-6- (pyrrolidin-1-yl) pyrimidin-2-yl) obtained by synthesis of triazolo [1,5-a] pyrazine (Example 8) ) Vinyl) -5,8-dimethyl- [1,2,4] triazolo [1,5-a] pyrazine (25 mg), bis (triphenylphosphine) palladium (II) dichloride (4.9 mg), 2-pyridyl A solution of zinc bromide (0.21 ml, 0.5 M tetrahydrofuran solution) in N-methylpyrrolidone (0.27 ml) was stirred at 100 ° C. for 30 minutes under a nitrogen atmosphere. The reaction solution was filtered through Celite and washed with chloroform (30 ml), and then the solvent was distilled off under reduced pressure. The resulting residue was separated and purified by LC / MS to obtain the title compound (3.2 mg) as a pale yellow solid.

(Example 19.039-A) and (Example 19.039-B)
(E) -2- (2- (5,8-dimethyl- [1,2,4] triazolo [1,5-a] pyrazin-2-yl) vinyl) -6- (pyrrolidin-1-yl)- N- (Tetrahydro-2H-pyran-4-yl) pyrimidine-4-carboxamide (A) and (Z) -2- (2- (5,8-dimethyl- [1,2,4] triazolo [1,5 Synthesis of —a] pyrazin-2-yl) vinyl) -6- (pyrrolidin-1-yl) -N- (tetrahydro-2H-pyran-4-yl) pyrimidine-4-carboxamide (B) (Reference Example 7) (E) -2- (2- (5,8-dimethyl- [1,2,4] triazolo [1,5-a] pyrazin-2-yl) vinyl) -6 obtained in <Step 4> -(Pyrrolidin-1-yl) pyrimidine-4-carboxylic acid and (Z) -2- (2- (5,8 Dimethyl- [1,2,4] triazolo [1,5-a] pyrazin-2-yl) vinyl) -6- (pyrrolidin-1-yl) pyrimidine-4-carboxylic acid mixture (18 mg), tetrahydro-2H- Pyran-4-amine (7.4 mg), 1-ethyl-3- (3-dimethylaminopropyl) carbodiimide hydrochloride (14 mg), 1-hydroxybenzotriazole monohydrate (6.6 mg) N, N- The dimethylformamide (2 ml) solution was stirred at room temperature for 18 hours and at 50 ° C. for 3 hours. The solvent was evaporated under reduced pressure, and the obtained residue was purified by silica gel column chromatography (eluent; n-hexane: ethyl acetate = 67: 33-50: 50) to give the title compound A (4.2 mg) in white The title compound B (6.3 mg) was obtained as a colorless amorphous as a solid.

(Example 19.040-A) and (Example 19.040-B)
(E) -2- (2- (5,8-dimethyl- [1,2,4] triazolo [1,5-a] pyrazin-2-yl) vinyl) -N- (2-methoxyethyl) -6 -(Pyrrolidin-1-yl) pyrimidine-4-carboxamide (A) and (Z) -2- (2- (5,8-dimethyl- [1,2,4] triazolo [1,5-a] pyrazine- 2-yl) vinyl) -N- (2-methoxyethyl) -6- (pyrrolidin-1-yl) pyrimidine-4-carboxamide (B) (similar to the method of Example 19.039) or Synthesized from the corresponding amine in a similar manner.
(実施例19.041)
(E)-N-((2-(2-(5,8-ジメチル-[1,2,4]トリアゾロ[1,5-a]ピラジン-2-イル)ビニル)-6-(ピロリジン-1-イル)ピリミジン-4-イル)メチル)テトラヒドロ-2H-ピラン-4-アミンの合成
 (参考例38)で得られた(Z)-N-((2-(2-(5,8-ジメチル-[1,2,4]トリアゾロ[1,5-a]ピラジン-2-イル)ビニル)-6-(ピロリジン-1-イル)ピリミジン-4-イル)メチル)テトラヒドロ-2H-ピラン-4-アミン(10mg)に1,8-ジアザビシクロ(5.4.0)ウンデカ-7-エン(DBU:17μL)、1-ブタノール(1.5ml)を加え、150℃で10日間攪拌した。減圧下溶媒を留去し,得られた残渣をシリカゲルカラムクロマトグラフィー(溶出液;n-ヘキサン:酢酸エチル=50:50-0:100-メタノール:酢酸エチル=2:98)で精製し、標記化合物(7.2mg)を白色固体として得た。
 
(実施例19.042)
(E)-5,8-ジメチル-2-(2-(4-(ピロリジン-1-イル)-6-((テトラヒドロ-2H-ピラン-4-イル)オキシ)ピリミジン-2-イル)ビニル)-[1,2,4]トリアゾロ[1,5-a]ピラジンの合成
(実施例8)で得られた(E)-2-(2-(4-クロロ-6-(ピロリジン-1-イル)ピリミジン-2-イル)ビニル)-5,8-ジメチル-[1,2,4]トリアゾロ[1,5-a]ピラジン(20mg)、ヨウ化銅(2.1mg)、リン酸カリウム(23mg)、8-ヒドロキシキノリン(3.2mg)、及びテトラヒドロ-2H-ピラン-4-オール(0.56ml)の混合溶液を、マイクロウェーブを用いて130℃で30分間反応させた。反応溶液をセライトろ過し、酢酸エチルで洗浄した後、減圧下溶媒を留去した。得られた残渣をLC/MSにて分取精製し、標記化合物(3.8mg)を黄色固体として得た。
 
(実施例19.043)
(E)-2-(2-(4-((5-メトキシピリジン-3-イル)オキシ)-6-(ピロリジン-1-イル)ピリミジン-2-イル)ビニル)-5,8-ジメチル-[1,2,4]トリアゾロ[1,5-a]ピラジンの合成
(実施例8)で得られた、(E)-2-(2-(4-クロロ-6-(ピロリジン-1-イル)ピリミジン-2-イル)ビニル)-5,8-ジメチル-[1,2,4]トリアゾロ[1,5-a]ピラジン(30mg)のN-メチルピロリドン(1ml)溶液に、5-メトキシピリジン-3-オール(530mg)、炭酸カリウム(58mg)を加え、150℃で23時間加熱攪拌した。反応溶液を冷却したのち、ろ過し、得られたろ液をLC/MSにて分取精製し、標記化合物(4.8mg)を茶色固体として得た。
 
(実施例19.044)
(E)-2-(2-(4-(2-メトキシエトキシ)-6-(ピロリジン-1-イル)ピリミジン-2-イル)ビニル)-5,8-ジメチル-[1,2,4]トリアゾロ[1,5-a]ピラジンの合成
(実施例8)で得られた、(E)-2-(2-(4-クロロ-6-(ピロリジン-1-イル)ピリミジン-2-イル)ビニル)-5,8-ジメチル-[1,2,4]トリアゾロ[1,5-a]ピラジン(30mg)に2-メトキシエタノール(320mg)、炭酸カリウム(58mg)を加え、150℃で23時間加熱攪拌した。反応溶液をろ過し、得られたろ液をLC/MSにて分取精製し、標記化合物(8.1mg)を茶色固体として得た。
(Example 19.041)
(E) -N-((2- (2- (5,8-dimethyl- [1,2,4] triazolo [1,5-a] pyrazin-2-yl) vinyl) -6- (pyrrolidine-1 Synthesis of -yl) pyrimidin-4-yl) methyl) tetrahydro-2H-pyran-4-amine (Z) -N-((2- (2- (5,8-dimethyl) obtained in Reference Example 38) [1,2,4] triazolo [1,5-a] pyrazin-2-yl) vinyl) -6- (pyrrolidin-1-yl) pyrimidin-4-yl) methyl) tetrahydro-2H-pyran-4- 1,8-Diazabicyclo (5.4.0) undec-7-ene (DBU: 17 μL) and 1-butanol (1.5 ml) were added to amine (10 mg), and the mixture was stirred at 150 ° C. for 10 days. The solvent was distilled off under reduced pressure, and the resulting residue was purified by silica gel column chromatography (eluent; n-hexane: ethyl acetate = 50: 50-0: 100-methanol: ethyl acetate = 2: 98) Compound (7.2 mg) was obtained as a white solid.

(Example 19.042)
(E) -5,8-dimethyl-2- (2- (4- (pyrrolidin-1-yl) -6-((tetrahydro-2H-pyran-4-yl) oxy) pyrimidin-2-yl) vinyl) (E) -2- (2- (4-Chloro-6- (pyrrolidin-1-yl) obtained in the synthesis of Example 1) of [1,2,4] triazolo [1,5-a] pyrazine ) Pyrimidin-2-yl) vinyl) -5,8-dimethyl- [1,2,4] triazolo [1,5-a] pyrazine (20 mg), copper iodide (2.1 mg), potassium phosphate (23 mg) ), 8-hydroxyquinoline (3.2 mg), and tetrahydro-2H-pyran-4-ol (0.56 ml) were reacted at 130 ° C. for 30 minutes using a microwave. The reaction solution was filtered through Celite and washed with ethyl acetate, and then the solvent was distilled off under reduced pressure. The resulting residue was separated and purified by LC / MS to obtain the title compound (3.8 mg) as a yellow solid.

(Example 19.043)
(E) -2- (2- (4-((5-methoxypyridin-3-yl) oxy) -6- (pyrrolidin-1-yl) pyrimidin-2-yl) vinyl) -5,8-dimethyl- (E) -2- (2- (4-Chloro-6- (pyrrolidin-1-yl) obtained by synthesis of [1,2,4] triazolo [1,5-a] pyrazine (Example 8) ) Pyrimidin-2-yl) vinyl) -5,8-dimethyl- [1,2,4] triazolo [1,5-a] pyrazine (30 mg) in N-methylpyrrolidone (1 ml) and 5-methoxypyridine -3-ol (530 mg) and potassium carbonate (58 mg) were added, and the mixture was heated with stirring at 150 ° C. for 23 hours. The reaction solution was cooled and then filtered, and the resulting filtrate was separated and purified by LC / MS to obtain the title compound (4.8 mg) as a brown solid.

(Example 19.044)
(E) -2- (2- (4- (2-methoxyethoxy) -6- (pyrrolidin-1-yl) pyrimidin-2-yl) vinyl) -5,8-dimethyl- [1,2,4] (E) -2- (2- (4-Chloro-6- (pyrrolidin-1-yl) pyrimidin-2-yl) obtained by synthesis of triazolo [1,5-a] pyrazine (Example 8) Vinyl) -5,8-dimethyl- [1,2,4] triazolo [1,5-a] pyrazine (30 mg) was added 2-methoxyethanol (320 mg) and potassium carbonate (58 mg), and the mixture was stirred at 150 ° C. for 23 hours. Stir with heating. The reaction solution was filtered, and the obtained filtrate was separated and purified by LC / MS to obtain the title compound (8.1 mg) as a brown solid.
(実施例19.045)
(E)-2-(2-(5,8-ジメチル-[1,2,4]トリアゾロ[1,5-a]ピラジン-2-イル)ビニル)-N-メチル-6-(ピロリジン-1-イル)-N-(テトラヒドロ-2H-ピラン-4-イル)-ピリミジン-4-アミンの合成
(実施例9)で得られた(E)-2-(2-(5,8-ジメチル-[1,2,4]トリアゾロ[1,5-a]ピラジン-2-イル)ビニル)-6-(ピロリジン-1-イル)-N-(テトラヒドロ-2H-ピラン-4-イル)-ピリミジン-4-アミン(50mg)のN,N-ジメチルホルムアミド(0.48ml)溶液に、氷冷下、60%水素化ナトリウム(5.7mg)を加え、同温にて25分攪拌し、ヨードメタン(7μl)加え室温まで昇温し3時間30分攪拌した。さらに反応溶液にヨードメタン(17μl)加え40℃にて4時間30分攪拌した。反応溶液に水素化ナトリウム(11mg)およびヨードメタン(17μl)を加え40℃にて60分攪拌した。反応溶液を濾過し、テトラヒドロフラン(30ml)で洗浄した。減圧下溶媒を留去し、得られた残渣をLC/MSで分取精製し、標記化合物(2mg)を茶色固体として得た。
 
(実施例19.046)
(E)-2-(2-(5,8-ジメチル-[1,2,4]トリアゾロ[1,5-a]ピラジン-2-イル)ビニル)-6-(ピロリジン-1-イル)ピリミジン-4-カルボニトリルの合成
(実施例8)で得られた、(E)-2-(2-(4-クロロ-6-(ピロリジン-1-イル)ピリミジン-2-イル)ビニル)-5,8-ジメチル-[1,2,4]トリアゾロ[1,5-a]ピラジン(100mg)のN、N-ジメチルホルムアミド(1.4ml)溶液に、シアン化亜鉛(23mg)、テトラキス(トリフェニルホスフィン)パラジウム(32mg)を加え、95℃で1時間、130℃で2.5時間攪拌した。シアン化亜鉛(99mg)、テトラキス(トリフェニルホスフィン)パラジウム(260mg)を加え、115℃でさらに21時間攪拌した。反応溶液をセライトろ過し、酢酸エチルで洗浄した後、減圧下溶媒を留去した。得られた残渣をシリカゲルカラムクロマトグラフィー(溶出液;n-ヘキサン:酢酸エチル=100:0-20:80)で精製し、得られた混合物をLC/MSにて分取精製し、標記化合物(3.3mg)を淡黄色固体として得た。
 
(実施例19.047)
(E)-2-(2-(5,8-ジメチル-[1,2,4]トリアゾロ[1,5-a]ピラジン-2-イル)ビニル)-N-メチル-6-(ピロリジン-1-イル)ピリミジン-4-アミンの合成
(実施例8)で得られた、(E)-2-(2-(4-クロロ-6-(ピロリジン-1-イル)ピリミジン-2-イル)ビニル)-5,8-ジメチル-[1,2,4]トリアゾロ[1,5-a]ピラジン(17mg)のジメチルスルホキシド(0.5ml)溶液に、メチルアミン塩酸塩(16mg)、トリエチルアミン(33μL)を加え、マイクロウェーブを用いて150℃で2時間攪拌した。反応溶液をLC/MSにて分取精製し、標記化合物(2mg)を非結晶固体として得た。
 
(実施例19.048)
(E)-2-(2-(4-メトキシ-6-(ピロリジン-1-イル)ピリミジン-2-イル)ビニル)-5,8-ジメチル-[1,2,4]トリアゾロ[1,5-a]ピラジンの合成
メタノール(5ml)にナトリウム(5.8mg)を溶解させ、(実施例8)で得られた(E)-2-(2-(4-クロロ-6-(ピロリジン-1-イル)ピリミジン-2-イル)ビニル)-5,8-ジメチル-[1,2,4]トリアゾロ[1,5-a]ピラジン(30mg)を加え、80℃で18時間攪拌した。反応溶液に水(1ml)を加え、減圧下溶媒を留去した。得られた残渣をLC/MSにて分取精製し、標記化合物(4.8mg)を非結晶固体として得た。
(Example 19.045)
(E) -2- (2- (5,8-dimethyl- [1,2,4] triazolo [1,5-a] pyrazin-2-yl) vinyl) -N-methyl-6- (pyrrolidine-1 (E) -2- (2- (5,8-dimethyl-) obtained in the synthesis of (-yl) -N- (tetrahydro-2H-pyran-4-yl) -pyrimidin-4-amine (Example 9) [1,2,4] Triazolo [1,5-a] pyrazin-2-yl) vinyl) -6- (pyrrolidin-1-yl) -N- (tetrahydro-2H-pyran-4-yl) -pyrimidine- To a solution of 4-amine (50 mg) in N, N-dimethylformamide (0.48 ml) was added 60% sodium hydride (5.7 mg) under ice-cooling, and the mixture was stirred at the same temperature for 25 minutes, followed by iodomethane (7 μl The mixture was warmed to room temperature and stirred for 3 hours 30 minutes. Further, iodomethane (17 μl) was added to the reaction solution, and the mixture was stirred at 40 ° C. for 4 hours and 30 minutes. Sodium hydride (11 mg) and iodomethane (17 μl) were added to the reaction solution, and the mixture was stirred at 40 ° C. for 60 minutes. The reaction solution was filtered and washed with tetrahydrofuran (30 ml). The solvent was distilled off under reduced pressure, and the resulting residue was purified by preparative LC / MS to obtain the title compound (2 mg) as a brown solid.

(Example 19.046)
(E) -2- (2- (5,8-dimethyl- [1,2,4] triazolo [1,5-a] pyrazin-2-yl) vinyl) -6- (pyrrolidin-1-yl) pyrimidine (E) -2- (2- (4-Chloro-6- (pyrrolidin-1-yl) pyrimidin-2-yl) vinyl) -5 obtained in the synthesis of -4-carbonitrile (Example 8) , 8-dimethyl- [1,2,4] triazolo [1,5-a] pyrazine (100 mg) in N, N-dimethylformamide (1.4 ml) was added to zinc cyanide (23 mg), tetrakis (triphenyl Phosphine) palladium (32 mg) was added, and the mixture was stirred at 95 ° C. for 1 hour and 130 ° C. for 2.5 hours. Zinc cyanide (99 mg) and tetrakis (triphenylphosphine) palladium (260 mg) were added, and the mixture was further stirred at 115 ° C. for 21 hours. The reaction solution was filtered through Celite and washed with ethyl acetate, and then the solvent was distilled off under reduced pressure. The obtained residue was purified by silica gel column chromatography (eluent; n-hexane: ethyl acetate = 100: 0-20: 80), and the resulting mixture was purified by LC / MS to give the title compound ( 3.3 mg) was obtained as a pale yellow solid.

(Example 19.047)
(E) -2- (2- (5,8-dimethyl- [1,2,4] triazolo [1,5-a] pyrazin-2-yl) vinyl) -N-methyl-6- (pyrrolidine-1 (E) -2- (2- (4-Chloro-6- (pyrrolidin-1-yl) pyrimidin-2-yl) vinyl obtained in the synthesis of (-yl) pyrimidin-4-amine (Example 8) ) -5,8-dimethyl- [1,2,4] triazolo [1,5-a] pyrazine (17 mg) in dimethyl sulfoxide (0.5 ml), methylamine hydrochloride (16 mg), triethylamine (33 μL) And stirred at 150 ° C. for 2 hours using a microwave. The reaction solution was separated and purified by LC / MS to obtain the title compound (2 mg) as an amorphous solid.

(Example 19.048)
(E) -2- (2- (4-Methoxy-6- (pyrrolidin-1-yl) pyrimidin-2-yl) vinyl) -5,8-dimethyl- [1,2,4] triazolo [1,5 -A] Synthesis of pyrazine Sodium (5.8 mg) was dissolved in methanol (5 ml), and (E) -2- (2- (4-chloro-6- (pyrrolidine-1) obtained in (Example 8) was obtained. -Il) pyrimidin-2-yl) vinyl) -5,8-dimethyl- [1,2,4] triazolo [1,5-a] pyrazine (30 mg) was added and stirred at 80 ° C. for 18 hours. Water (1 ml) was added to the reaction solution, and the solvent was distilled off under reduced pressure. The resulting residue was separated and purified by LC / MS to obtain the title compound (4.8 mg) as an amorphous solid.
(実施例19.049)
(E)-2-(2-(5,8-ジメチル-[1,2,4]トリアゾロ[1,5-a]ピラジン-2-イル)ビニル)-N,N-ビス(2-メトキシエチル)-6-(ピロリジン-1-イル)ピリミジン-4-アミンの合成
(実施例8)で得られた(E)-2-(2-(4-クロロ-6-(ピロリジン-1-イル)ピリミジン-2-イル)ビニル)-5,8-ジメチル-[1,2,4]トリアゾロ[1,5-a]ピラジン(20mg)、炭酸カリウム(38mg)、及びビス(2-メトキシエチル)アミン(220mg)の混合溶液を150℃で18時間攪拌した。反応溶液に水(1ml)、メタノール(1ml)を加え、LC/MSにて分取精製し、標記化合物(8.5mg)を非結晶固体として得た。
 
(実施例19.050)
(E)-4-(2-(2-(7-クロロ-5,8-ジメチル-[1,2,4]トリアゾロ[1,5-c]ピリミジン-2-イル)ビニル)-6-(ピロリジン-1-イル)ピリミジン-4-イル)モルフォリンの合成
(参考例9)<工程4>で得られた4-モルホリノ-6-(ピロリジン-1-イル)ピリミジン-2-カルバアルデヒド(40mg)及び(参考例10)<工程6>で得られた、ジエチル((7-クロロ-5,8-ジメチル-[1,2,4]トリアゾロ[1,5-c]ピリミジン-2-イル)メチル)ホスホネート(55mg)を用いて、(参考例12)<工程1>と同様な方法、もしくは、これに準ずる方法で、標記化合物(40mg)を淡黄色固体として得た。
 
(実施例19.051)
(E)-4-(2-(2-(5,8-ジメチル-[1,2,4]トリアゾロ[1,5-c]ピリミジン-2-イル)ビニル)-6-(ピロリジン-1-イル)ピリミジン-4-イル)モルフォリンの合成
(実施例19.050)で得られた、(E)-4-(2-(2-(7-クロロ-5,8-ジメチル-[1,2,4]トリアゾロ[1,5-c]ピリミジン-2-イル)ビニル)-6-(ピロリジン-1-イル)ピリミジン-4-イル)モルフォリン(10mg)のN,N-ジメチルホルムアミド(0.5ml)溶液に、テトラキストリフェニルホスフィンパラジウム(13mg)を加え、80℃で18時間攪拌した。反応溶液に水(2ml)を加え、酢酸エチルで抽出した。有機層を無水硫酸ナトリウムで乾燥し、減圧下溶媒を留去した。得られた残渣をシリカゲル分取TLC(溶出液;n-ヘキサン:酢酸エチル=50:50)で精製し、標記化合物(0.5mg)を無色油状物質として得た。
 
(実施例19.052)
(E)-4-(2-(2-(5,8-ジメチル-7-ビニル-[1,2,4]トリアゾロ[1,5-c]ピリミジン-2-イル)ビニル)-6-(ピロリジン-1-イル)ピリミジン-4-イル)モルフォリンの合成
(実施例19.050)で得られた、(E)-4-(2-(2-(7-クロロ-5,8-ジメチル-[1,2,4]トリアゾロ[1,5-c]ピリミジン-2-イル)ビニル)-6-(ピロリジン-1-イル)ピリミジン-4-イル)モルフォリン(20mg)、炭酸カリウム(12mg)、テトラキストリフェニルホスフィンパラジウム(57mg)、2,4,6-ビニルボロン酸無水物ピリジン錯体(12mg)の混合物に、1,2-ジメトキシエタン(2ml)及び水(0.6ml)を加え、90℃で18時間攪拌した。反応溶液に水(2ml)を加え、酢酸エチルで抽出した。有機層を無水硫酸ナトリウムで乾燥し、減圧下溶媒を留去した。得られた残渣をシリカゲルカラムクロマトグラフィー(溶出液;n-ヘキサン:酢酸エチル=67:33-50:50-33:67)で精製し、標記化合物(4mg)を白色固体として得た。
(Example 19.049)
(E) -2- (2- (5,8-dimethyl- [1,2,4] triazolo [1,5-a] pyrazin-2-yl) vinyl) -N, N-bis (2-methoxyethyl) ) -6- (Pyrrolidin-1-yl) pyrimidin-4-amine (E) -2- (2- (4-Chloro-6- (pyrrolidin-1-yl)) obtained in Example 8 Pyrimidin-2-yl) vinyl) -5,8-dimethyl- [1,2,4] triazolo [1,5-a] pyrazine (20 mg), potassium carbonate (38 mg), and bis (2-methoxyethyl) amine A mixed solution of (220 mg) was stirred at 150 ° C. for 18 hours. Water (1 ml) and methanol (1 ml) were added to the reaction solution, and fractionated and purified by LC / MS to obtain the title compound (8.5 mg) as an amorphous solid.

(Example 19.050)
(E) -4- (2- (2- (7-chloro-5,8-dimethyl- [1,2,4] triazolo [1,5-c] pyrimidin-2-yl) vinyl) -6- ( Synthesis of pyrrolidin-1-yl) pyrimidin-4-yl) morpholine (Reference Example 9) 4-morpholino-6- (pyrrolidin-1-yl) pyrimidine-2-carbaldehyde (40 mg) obtained in <Step 4> ) And (Reference Example 10) Diethyl ((7-chloro-5,8-dimethyl- [1,2,4] triazolo [1,5-c] pyrimidin-2-yl) obtained in <Step 6> Using methyl) phosphonate (55 mg), the title compound (40 mg) was obtained as a pale yellow solid in the same manner as in (Reference Example 12) <Step 1> or a method analogous thereto.

(Example 19.051)
(E) -4- (2- (2- (5,8-dimethyl- [1,2,4] triazolo [1,5-c] pyrimidin-2-yl) vinyl) -6- (pyrrolidine-1- (E) -4- (2- (2- (7-Chloro-5,8-dimethyl- [1,) obtained by the synthesis of (yl) pyrimidin-4-yl) morpholine (Example 19.050). 2,4] triazolo [1,5-c] pyrimidin-2-yl) vinyl) -6- (pyrrolidin-1-yl) pyrimidin-4-yl) morpholine (10 mg) N, N-dimethylformamide (0 0.5 ml) solution was added tetrakistriphenylphosphine palladium (13 mg) and stirred at 80 ° C. for 18 hours. Water (2 ml) was added to the reaction solution, and the mixture was extracted with ethyl acetate. The organic layer was dried over anhydrous sodium sulfate, and the solvent was distilled off under reduced pressure. The obtained residue was purified by silica gel preparative TLC (eluent; n-hexane: ethyl acetate = 50: 50) to obtain the title compound (0.5 mg) as a colorless oily substance.

(Example 19.052)
(E) -4- (2- (2- (5,8-dimethyl-7-vinyl- [1,2,4] triazolo [1,5-c] pyrimidin-2-yl) vinyl) -6- ( (E) -4- (2- (2- (7-chloro-5,8-dimethyl) obtained in the synthesis of pyrrolidin-1-yl) pyrimidin-4-yl) morpholine (Example 19.050) [1,2,4] triazolo [1,5-c] pyrimidin-2-yl) vinyl) -6- (pyrrolidin-1-yl) pyrimidin-4-yl) morpholine (20 mg), potassium carbonate (12 mg ), Tetrakistriphenylphosphine palladium (57 mg), 2,4,6-vinylboronic anhydride pyridine complex (12 mg), 1,2-dimethoxyethane (2 ml) and water (0.6 ml) were added, and 90 Stir at 18 ° C. for 18 hours. Water (2 ml) was added to the reaction solution, and the mixture was extracted with ethyl acetate. The organic layer was dried over anhydrous sodium sulfate, and the solvent was distilled off under reduced pressure. The obtained residue was purified by silica gel column chromatography (eluent; n-hexane: ethyl acetate = 67: 33-50: 50-33: 67) to obtain the title compound (4 mg) as a white solid.
(実施例19.053)
(E)-N,5,8-トリメチル-2-(2-(4-モルホリノ-6-(ピロリジン-1-イル)ピリミジン-2-イル)ビニル)-[1,2,4]トリアゾロ[1,5-c]ピリミジン-7-アミンの合成
(実施例19.050)で得られた(E)-4-(2-(2-(7-クロロ-5,8-ジメチル-[1,2,4]トリアゾロ[1,5-c]ピリミジン-2-イル)ビニル)-6-(ピロリジン-1-イル)ピリミジン-4-イル)モルフォリン(20mg)、メチルアミン塩酸塩(6.1mg)、及びジイソプロピルエチルアミン(23μl)のN-メチルピロリドン(0.5ml)溶液を、マイクロウェーブを用いて140℃で6時間攪拌した。得られた反応溶液をLC/MSにて分取精製し、標記化合物(1.3mg)を無色油状物質として得た。
 
(実施例19.054)
(E)-4-(6-(ピロリジン-1-イル)-2-(2-(5,7,8-トリメチル-[1,2,4]トリアゾロ[1,5-c]ピリミジン-2-イル)ビニル)ピリミジン-4-イル)モルフォリンの合成
(実施例19.050)で得られた(E)-4-(2-(2-(7-クロロ-5,8-ジメチル-[1,2,4]トリアゾロ[1,5-c]ピリミジン-2-イル)ビニル)-6-(ピロリジン-1-イル)ピリミジン-4-イル)モルフォリン(20mg)から、(実施例19.036)と同様な方法、もしくはこれに準ずる方法を用いて、標記化合物(10mg)を黄色固体として得た。
 
(実施例19.055)
(E)-4-(2-(2-(5,8ジメチル-[1,2,4]トリアゾロ[1,5-a]ピリジン-2-イル)ビニル)-6-(ピロリジン1-イル)ピリミジン-4-イル)モルフォリンの合成
 (参考例11)<工程3>で得られた、ジエチル((5,8-ジメチル-[1,2,4]トリアゾロ[1,5-a]ピリジン-2-イル)メチル)ホスホネート(0.25g)のテトラヒドロフラン(10ml)溶液に、氷冷下、60%水素化ナトリウム(60mg)を加え室温で1時間撹拌した。(参考例9)<工程4>で得られた4-モルホリノ-6-(ピロリジン1-イル)ピリミジン-2-カルボキシアルデヒド(0.2g)を反応溶液に加え、室温で終夜撹拌した。反応混合物を水(50ml)で希釈し、析出物を濾取しアセトン(10ml)、酢酸エチル(10ml)で順次洗浄した後減圧下乾燥し、標記化合物(91mg)を白色固体として得た。
 
(実施例19.056)
(S,E)-4-(2-(2-(5,8-ジメチル-[1,2,4]トリアゾロ[1,5-a]ピラジン-2-イル)ビニル)-6-(3-フルオロピリジン-1-イル)ピリミジン-4-イル)モルフォリンの合成
(参考例23)<工程3>で得られた、(E)-4-(6-クロロ-2-(2-(5,8-ジメチル)-[1,2,4]トリアゾロ[1,5-a]ピラジン-2-イル)ビニル)ピリミジン-4-イル)モルフォリン(30mg)の1-ブタノール(1ml)溶液に、1,8-ジアザビシクロ(5.4.0)ウンデカ-7-エン(DBU:61μl)及び(S)-3-フルオロピロリジン塩酸塩(20mg)を加え、150℃で43時間加熱攪拌した。反応溶液を冷却し、析出した固体を吸引濾過にてろ取した。得られた黄色固体をシリカゲルカラムクロマトグラフィー(溶出液;n-ヘキサン:酢酸エチル=100:0~20:80)で精製し、減圧下溶媒を留去し、標記化合物(15mg)を黄色固体として得た。
 
(実施例19.057)から(実施例19.059)の化合物[各実施例化合物名は前述の[表1-6]に記載してある]を、(実施例19.056)と同様の方法、もしくはこれに準ずる方法で、各々対応するアミンを用いて合成した。
 
(Example 19.053)
(E) -N, 5,8-trimethyl-2- (2- (4-morpholino-6- (pyrrolidin-1-yl) pyrimidin-2-yl) vinyl)-[1,2,4] triazolo [1 , 5-c] pyrimidin-7-amine (E) -4- (2- (2- (7-chloro-5,8-dimethyl- [1,2) obtained in Example 19.050) , 4] triazolo [1,5-c] pyrimidin-2-yl) vinyl) -6- (pyrrolidin-1-yl) pyrimidin-4-yl) morpholine (20 mg), methylamine hydrochloride (6.1 mg) , And a solution of N-methylpyrrolidone (0.5 ml) in diisopropylethylamine (23 μl) was stirred at 140 ° C. for 6 hours using a microwave. The resulting reaction solution was fractionated and purified by LC / MS to give the title compound (1.3 mg) as a colorless oil.

(Example 19.054)
(E) -4- (6- (pyrrolidin-1-yl) -2- (2- (5,7,8-trimethyl- [1,2,4] triazolo [1,5-c] pyrimidine-2- (E) -4- (2- (2- (7-Chloro-5,8-dimethyl- [1]) obtained in the synthesis of (yl) vinyl) pyrimidin-4-yl) morpholine (Example 19.050) , 2,4] triazolo [1,5-c] pyrimidin-2-yl) vinyl) -6- (pyrrolidin-1-yl) pyrimidin-4-yl) morpholine (20 mg) from (Example 19.036). ) Or a method analogous thereto was used to give the title compound (10 mg) as a yellow solid.

(Example 19.055)
(E) -4- (2- (2- (5,8dimethyl- [1,2,4] triazolo [1,5-a] pyridin-2-yl) vinyl) -6- (pyrrolidin-1-yl) Synthesis of Pyrimidin-4-yl) morpholine (Reference Example 11) Diethyl ((5,8-dimethyl- [1,2,4] triazolo [1,5-a] pyridine-) obtained in <Step 3> To a solution of 2-yl) methyl) phosphonate (0.25 g) in tetrahydrofuran (10 ml) was added 60% sodium hydride (60 mg) under ice cooling, and the mixture was stirred at room temperature for 1 hour. Reference Example 9 4-morpholino-6- (pyrrolidin1-yl) pyrimidine-2-carboxaldehyde (0.2 g) obtained in <Step 4> was added to the reaction solution, and the mixture was stirred at room temperature overnight. The reaction mixture was diluted with water (50 ml), the precipitate was collected by filtration, washed successively with acetone (10 ml) and ethyl acetate (10 ml), and dried under reduced pressure to give the title compound (91 mg) as a white solid.

(Example 19.056)
(S, E) -4- (2- (2- (5,8-dimethyl- [1,2,4] triazolo [1,5-a] pyrazin-2-yl) vinyl) -6- (3- Synthesis of fluoropyridin-1-yl) pyrimidin-4-yl) morpholine (Reference Example 23) (E) -4- (6-Chloro-2- (2- (5,5)) obtained in <Step 3> 8-dimethyl)-[1,2,4] triazolo [1,5-a] pyrazin-2-yl) vinyl) pyrimidin-4-yl) morpholine (30 mg) in 1-butanol (1 ml) , 8-diazabicyclo (5.4.0) undec-7-ene (DBU: 61 μl) and (S) -3-fluoropyrrolidine hydrochloride (20 mg) were added, and the mixture was stirred with heating at 150 ° C. for 43 hours. The reaction solution was cooled, and the precipitated solid was collected by suction filtration. The obtained yellow solid was purified by silica gel column chromatography (eluent; n-hexane: ethyl acetate = 100: 0 to 20:80), and the solvent was evaporated under reduced pressure to give the title compound (15 mg) as a yellow solid. Obtained.

The compounds of (Example 19.057) to (Example 19.059) [the names of the compounds of each Example are described in [Table 1-6] above] are the same as in (Example 19.056). Each of these was synthesized using a corresponding amine by a method or a method equivalent thereto.
(実施例20.001)
(E)-2-(2-(6-(アゼチジン-1-イル)-4-イソプロポキシピリジン-2-イル)ビニル)-5,8-ジメチル-[1,2,4]トリアゾロ[1,5-a]ピラジンの合成
(参考例12)<工程2>で得られた(E)-2-(アゼチジン-1-イル)-6-(2-(5,8-ジメチル-[1,2,4]トリアゾロ[1,5-a]ピラジン-2-イル)ビニル)ピリジン-4-オール(0.15g)のN,N-ジメチルホルムアミド(2ml)溶液に、窒素雰囲気下、炭酸カリウム(96mg)と2-ヨードプロパン(56μl)を加え、80℃で4時間30分撹拌した。炭酸カリウム(40mg)と2-ヨードプロパン(30μl)を追加し、同温下2時間30分撹拌した。酢酸エチル(50ml)を加え、水(30ml、20ml)、飽和食塩水(20ml)で順次洗浄し、無水硫酸ナトリウムで乾燥した。減圧下溶媒を留去し、得られた残渣を酢酸エチルでトリチュレートした。ろ液を減圧下濃縮し、LC/MSにて分取精製し、標記化合物(11mg)を得た。
 
(実施例20.002)
(E)-2-(2-(6-(アゼチジン-1-イル)-4-(2,2,2-トリフルオロエトキシ)ピリジン-2-イル)ビニル)-5,8-ジメチル-[1,2,4]トリアゾロ[1,5-a]ピラジンの合成
(参考例12)<工程2>で得られた(E)-2-(アゼチジン-1-イル)-6-(2-(5,8-ジメチル-[1,2,4]トリアゾロ[1,5-a]ピラジン-2-イル)ビニル)ピリジン-4-オール(150mg)、及び2,2,2-トリフルオロエチル トリフルオロメタンスルフォネート(81μl)を用いて、(実施例20.001)と同様な方法、もしくは、これに準ずる方法で標記化合物(45mg)を得た。
 
(実施例20.003)
(E)-4-(2-(アゼチジン-1-イル)-6-(2-(5,8-ジメチル-[1,2,4]トリアゾロ[1,5-a]ピラジン-2-イル)ビニル)ピリジン-4-イル)モルフォリンの合成 
(参考例12)<工程3>で得られた(E)-2-(アゼチジン-1-イル)-6-(2-(5,8-ジメチル-[1,2,4]トリアゾロ[1,5-a]ピラジン-2-イル)ビニル)ピリジン-4-イル トリフルオロメタンスルホネート(50mg)のジオキサン(2ml)溶液に、モルフォリン(48μl)、ナトリウムtert-ブトキシド(16mg)、トリス(ジベンジリデンアセトン)ジパラジウム(20mg)、2-(ジシクロヘキシルホスフィノ)-2’,4’,6’-トリイソプロピルビフェニル(X-Phos:10mg)を加え、窒素雰囲気下1時間半加熱還流した。酢酸エチル(50ml)を加え、水(20ml)で洗浄した。水層を酢酸エチル(30ml)で抽出し、有機層をあわせて無水硫酸ナトリウムで乾燥した。減圧下溶媒を留去し、残渣をNH-シリカゲルカラムクロマトグラフィー(溶出液;n-ヘキサン:酢酸エチル=3:7)で精製し、標記化合物(11mg)を得た。
(Example 20.001)
(E) -2- (2- (6- (azetidin-1-yl) -4-isopropoxypyridin-2-yl) vinyl) -5,8-dimethyl- [1,2,4] triazolo [1, Synthesis of 5-a] pyrazine (Reference Example 12) (E) -2- (azetidin-1-yl) -6- (2- (5,8-dimethyl- [1,2) obtained in <Step 2> , 4] triazolo [1,5-a] pyrazin-2-yl) vinyl) pyridin-4-ol (0.15 g) in N, N-dimethylformamide (2 ml) under potassium atmosphere (96 mg And 2-iodopropane (56 μl) were added, and the mixture was stirred at 80 ° C. for 4 hours and 30 minutes. Potassium carbonate (40 mg) and 2-iodopropane (30 μl) were added, and the mixture was stirred at the same temperature for 2 hours 30 minutes. Ethyl acetate (50 ml) was added, washed successively with water (30 ml, 20 ml) and saturated brine (20 ml), and dried over anhydrous sodium sulfate. The solvent was distilled off under reduced pressure, and the resulting residue was triturated with ethyl acetate. The filtrate was concentrated under reduced pressure, and fractionated and purified by LC / MS to obtain the title compound (11 mg).

(Example 20.000)
(E) -2- (2- (6- (azetidin-1-yl) -4- (2,2,2-trifluoroethoxy) pyridin-2-yl) vinyl) -5,8-dimethyl- [1 , 2,4] Triazolo [1,5-a] pyrazine (Reference Example 12) (E) -2- (azetidin-1-yl) -6- (2- (5) obtained in <Step 2> , 8-dimethyl- [1,2,4] triazolo [1,5-a] pyrazin-2-yl) vinyl) pyridin-4-ol (150 mg) and 2,2,2-trifluoroethyl trifluoromethanesulfuric acid The title compound (45 mg) was obtained using phonate (81 μl) in the same manner as in (Example 20.001) or a method analogous thereto.

(Example 20.0.003)
(E) -4- (2- (azetidin-1-yl) -6- (2- (5,8-dimethyl- [1,2,4] triazolo [1,5-a] pyrazin-2-yl) Synthesis of vinyl) pyridin-4-yl) morpholine
Reference Example 12 (E) -2- (azetidin-1-yl) -6- (2- (5,8-dimethyl- [1,2,4] triazolo [1, 5-a] pyrazin-2-yl) vinyl) pyridin-4-yl trifluoromethanesulfonate (50 mg) in dioxane (2 ml), morpholine (48 μl), sodium tert-butoxide (16 mg), tris (dibenzylideneacetone) ) Dipalladium (20 mg) and 2- (dicyclohexylphosphino) -2 ′, 4 ′, 6′-triisopropylbiphenyl (X-Phos: 10 mg) were added, and the mixture was heated to reflux for 1 hour and a half under a nitrogen atmosphere. Ethyl acetate (50 ml) was added and washed with water (20 ml). The aqueous layer was extracted with ethyl acetate (30 ml), and the organic layers were combined and dried over anhydrous sodium sulfate. The solvent was distilled off under reduced pressure, and the residue was purified by NH-silica gel column chromatography (eluent; n-hexane: ethyl acetate = 3: 7) to obtain the title compound (11 mg).
(実施例20.004)
(E)-5,8-ジメチル-2-(2-(6-(ピロリジン-1-イル)-4-((テトラヒドロ-2H-ピラン-4-イル)オキシ)ピリジン-2-イル)ビニル)-[1,2,4]トリアゾロ[1,5-a]ピラジンの合成
(参考例12)<工程2>と同様な方法を用いて、対応するアミンから合成した(E)-2-(2-(5,8-ジメチル-[1,2,4]トリアゾロ[1,5-a]ピラジン-2-イル)ビニル)-6-(ピロリジン-1-イル)ピリジン-4-オール(0.1g)のテトラヒドロフラン(2ml)溶液に、氷冷下、トリフェニルホスフィン(0.16g)、テトラヒドロ-2H-ピラン-4-オール(61mg)のテトラヒドロフラン(1ml)溶液、及びジイソプロピルアゾジカーボキシレート(1.9Mトルエン溶液、0.31 ml)を順次加え、同温下3時間半撹拌した。減圧下溶媒を留去し、残渣を酢酸エチルでトリチュレートした。得られた固体をジクロロメタン(2ml)及びエタノール(3ml)の混合溶液で溶解したのち、減圧下溶媒を留去した。得られた残渣をエタノール(3ml)で共沸し、得られた残渣を減圧乾燥して、標記化合物(80mg)を得た。
 
(実施例20.005)
(E)-2-(アゼチジン-1-イル)-6-(2-(5,8-ジメチル-[1,2,4]トリアゾロ[1,5-a]ピラジン-2-イル)ビニル)-N-(2-メトキシエチル)ピリジン-4-アミンの合成
(実施例20.003)と同様な方法、もしくは、これに準ずる方法を用いて、対応するアミンから合成した。
 
(実施例20.006)
(E)-4-(2-(2-(5,8-ジメチル-[1,2,4]トリアゾロ[1,5-a]ピラジン-2-イル)ビニル)-6-(ピロリジン-1-イル)ピリジン-4-イル)モルフォリンの合成 
(実施例20.004)で得られた、(E)-2-(2-(5,8-ジメチル-[1,2,4]トリアゾロ[1,5-a]ピラジン-2-イル)ビニル)-6-(ピロリジン-1-イル)ピリジン-4-オール及び対応するアミンを用いて、(参考例12)<工程3>及び(実施例20.003)と同様な方法、もしくこれに準ずる方法で、標記化合物を合成した。
 
(実施例20.007)
(E)-2-(2-(4-メトキシ-6-(ピロリジン-1-イル)ピリジン-2-イル)ビニル)-5,8-ジメチル-[1,2,4]トリアゾロ[1,5-a]ピラジンの合成
(参考例37)で得られた(E)-2-(2-(6-ブロモ-4-メトキシピリジン-2-イル)ビニル)-5,8-ジメチル-[1,2,4]トリアゾロ[1,5-a]ピラジン(10mg)を用いて、(実施例9)と同様な方法、もしくはこれに準ずる方法で、対応するアミンから合成した。
(Example 20.004)
(E) -5,8-dimethyl-2- (2- (6- (pyrrolidin-1-yl) -4-((tetrahydro-2H-pyran-4-yl) oxy) pyridin-2-yl) vinyl) Synthesis of [1,2,4] triazolo [1,5-a] pyrazine (Reference Example 12) (E) -2- (2) synthesized from the corresponding amine using the same method as in <Step 2> -(5,8-dimethyl- [1,2,4] triazolo [1,5-a] pyrazin-2-yl) vinyl) -6- (pyrrolidin-1-yl) pyridin-4-ol (0.1 g ) In tetrahydrofuran (2 ml) under ice-cooling, triphenylphosphine (0.16 g), tetrahydro-2H-pyran-4-ol (61 mg) in tetrahydrofuran (1 ml), and diisopropyl azodicarboxylate (1 .9M Torr Down solution, 0.31 ml), and the mixture was stirred under 3 hours the same temperature. The solvent was distilled off under reduced pressure, and the residue was triturated with ethyl acetate. The obtained solid was dissolved in a mixed solution of dichloromethane (2 ml) and ethanol (3 ml), and then the solvent was distilled off under reduced pressure. The obtained residue was azeotroped with ethanol (3 ml), and the obtained residue was dried under reduced pressure to obtain the title compound (80 mg).

(Example 20.0.005)
(E) -2- (azetidin-1-yl) -6- (2- (5,8-dimethyl- [1,2,4] triazolo [1,5-a] pyrazin-2-yl) vinyl)- N- (2-methoxyethyl) pyridin-4-amine was synthesized from the corresponding amine using a method similar to the synthesis of Example (0.0020) or a method analogous thereto.

(Example 20.006)
(E) -4- (2- (2- (5,8-dimethyl- [1,2,4] triazolo [1,5-a] pyrazin-2-yl) vinyl) -6- (pyrrolidine-1- Synthesis of yl) pyridin-4-yl) morpholine
(E) -2- (2- (5,8-dimethyl- [1,2,4] triazolo [1,5-a] pyrazin-2-yl) vinyl obtained in (Example 20.0.004) ) -6- (Pyrrolidin-1-yl) pyridin-4-ol and the corresponding amine, the same method as (Reference Example 12) <Step 3> and (Example 20.003), or The title compound was synthesized by a similar method.

(Example 20.007)
(E) -2- (2- (4-Methoxy-6- (pyrrolidin-1-yl) pyridin-2-yl) vinyl) -5,8-dimethyl- [1,2,4] triazolo [1,5 -A] (E) -2- (2- (6-Bromo-4-methoxypyridin-2-yl) vinyl) -5,8-dimethyl- [1, obtained by synthesis of pyrazine (Reference Example 37) 2,4] triazolo [1,5-a] pyrazine (10 mg) was used and synthesized from the corresponding amine in the same manner as in (Example 9) or a method analogous thereto.
(実施例21.001)
(トランス)-4-(2-(2-(5,8-ジメチル-[1,2,4]トリアゾロ[1,5-a]ピラジン-2-イル)シクロプロピル)-6-(ピロリジン-1-イル)ピリミジン-4-イル)アミノ)シクロヘキサノールの合成
(参考例13)で得られた、2-(2-(4-クロロ-6-(ピロリジン-1-イル)ピリミジン‐2‐イル)シクロプロピル)-5,8-ジメチル-[1,2,4]トリアゾロ[1,5-a]ピラジン(20mg)に、(トランス)-4-アミノシクロヘキサノール(31mg)、トリス(ジベンジリデンアセトン)ジパラジウム(5mg)、X-Phos(3mg)、ナトリウム-tert-ブトキシド(10mg)のtert-ブタノール(4ml)溶液を加え、1時間加熱還流した。室温まで放冷した後、メタノール(3ml)を加え濾過し、ろ液を減圧留去し得られた残渣を、LC/MSで分取精製し、標記化合物(11mg)を白色固体として得た。
 
(実施例21.002)から(実施例21.035)の化合物[各実施例化合物名は前述の[表1-7]から[表1-10]に記載してある]を、(実施例21.001)と同様の方法、もしくはこれに準ずる方法で、各々対応するアミンを用いて合成した。
 
(実施例21.036)
6-((2-(2-(5,8-ジメチル-[1,2,4]トリアゾロ[1,5-a]ピラジン-2-イル)シクロプロピル)-6-(ピロリジン-1-イル)ピリミジン-4-イル)アミノ)ニコチノニトリルの合成の合成 
(参考例14)で得られた、2-(2-(4-クロロ-6-(ピロリジン-1-イル)ピリミジン‐2‐イル)シクロプロピル)-5,8-ジメチル-[1,2,4]トリアゾロ[1,5-a]ピラジン(エナンチオマーB:30mg)、6-アミノニコチノニトリル(19mg)、トリス(ジベンジリデンアセトン)ジパラジウム(14mg)、X-Phos(7.7mg)、ナトリウム-tert-ブトキシド(37mg)のtert-ブタノール(1ml)溶液を100℃で2.8時間攪拌した。室温まで放冷した後、メタノール(2ml)を加え濾過し、溶媒を減圧留去した。得られた残渣をNHシリカゲルカラムクロマトグラフィー(溶出液;n-ヘキサン:酢酸エチル=85:15-60:40)で精製した。得られた粗生成物をNH-シリカゲル分取TLC(展開層:n-ヘキサン:酢酸エチル=1:1)で精製したのち、得られた粗生成物を酢酸エチル/n-ヘキサン(1:1)でトリチュレーションして、標記化合物(5mg)を得た。
 
(実施例21.037)から(実施例21.045)の化合物[各実施例化合物名は前述の[表1-10]から[表1-11]に記載してある]を、(実施例21.036)と同様の方法、もしくはこれに準ずる方法で、各々対応するアミンを用いて合成した。
 
(Example 21.001)
(Trans) -4- (2- (2- (5,8-dimethyl- [1,2,4] triazolo [1,5-a] pyrazin-2-yl) cyclopropyl) -6- (pyrrolidine-1 2- (2- (4-Chloro-6- (pyrrolidin-1-yl) pyrimidin-2-yl) obtained in the synthesis of -yl) pyrimidin-4-yl) amino) cyclohexanol (Reference Example 13) Cyclopropyl) -5,8-dimethyl- [1,2,4] triazolo [1,5-a] pyrazine (20 mg), (trans) -4-aminocyclohexanol (31 mg), tris (dibenzylideneacetone) A solution of dipalladium (5 mg), X-Phos (3 mg), sodium-tert-butoxide (10 mg) in tert-butanol (4 ml) was added, and the mixture was heated to reflux for 1 hour. After allowing to cool to room temperature, methanol (3 ml) was added and filtered, and the filtrate was evaporated under reduced pressure. The resulting residue was purified by LC / MS to give the title compound (11 mg) as a white solid.

Compounds of (Example 21.002) to (Example 21.035) [The names of the compounds of each Example are described in the above [Table 1-7] to [Table 1-10]], (Example In the same manner as in 21.001) or a method analogous thereto, each was synthesized using the corresponding amine.

(Example 21.036)
6-((2- (2- (5,8-dimethyl- [1,2,4] triazolo [1,5-a] pyrazin-2-yl) cyclopropyl) -6- (pyrrolidin-1-yl) Synthesis of the synthesis of pyrimidin-4-yl) amino) nicotinonitrile
2- (2- (4-Chloro-6- (pyrrolidin-1-yl) pyrimidin-2-yl) cyclopropyl) -5,8-dimethyl- [1,2,4] obtained in (Reference Example 14) 4] Triazolo [1,5-a] pyrazine (enantiomer B: 30 mg), 6-aminonicotinonitrile (19 mg), tris (dibenzylideneacetone) dipalladium (14 mg), X-Phos (7.7 mg), sodium A solution of tert-butoxide (37 mg) in tert-butanol (1 ml) was stirred at 100 ° C. for 2.8 hours. After allowing to cool to room temperature, methanol (2 ml) was added and filtered, and the solvent was evaporated under reduced pressure. The obtained residue was purified by NH silica gel column chromatography (eluent; n-hexane: ethyl acetate = 85: 15-60: 40). The obtained crude product was purified by NH-silica gel preparative TLC (developing layer: n-hexane: ethyl acetate = 1: 1), and then the obtained crude product was ethyl acetate / n-hexane (1: 1). ) To give the title compound (5 mg).

The compounds of (Example 21.037) to (Example 21.045) [The names of the compounds of each Example are described in the above [Table 1-10] to [Table 1-11]], (Example In the same manner as in 21.036) or a method analogous thereto, each was synthesized using the corresponding amine.
(実施例21.046)
2-(2-(4-(3-メトキシ-3-メチルアゼチジン-1-イル)-6-(ピロリジン-1-イル)ピリミジン-2-イル)シクロプロピル)-5,8-ジメチル-[1,2,4]トリアゾロ[1,5-a]ピラジンの合成
(参考例13)で得られた2-(2-(4-クロロ-6-(ピロリジン-1-イル)ピリミジン-2-イル)シクロプロピル)-5,8-ジメチル-[1,2,4]トリアゾロ[1,5-a]ピラジン(30mg)のtert-ブタノール(1ml)溶液に3-メトキシ-3-メチルアゼチジン塩酸塩(22mg)、ナトリウムtert-ブトキシド(16mg)、トリス(ジベンジリデンアセトン)ジパラジウム-クロロホルム付加体(17mg)、2-(ジシクロヘキシルホスフィノ)-2’,4’,6’-トリイソプロピルビフェニル(X-Phos、8mg)、ジイソプロピルエチルアミン(0.11 ml)を加え、2時間加熱還流し、その後室温で14時間撹拌した。ナトリウムtert-ブトキシド(16mg)、トリス(ジベンジリデンアセトン)ジパラジウム-クロロホルム付加体(17mg)、2-(ジシクロヘキシルホスフィノ)-2’,4’,6’-トリイソプロピルビフェニル(X-Phos:8mg)を追加し、7時間加熱還流したのち室温で14時間撹拌した。反応溶液をメタノール(1ml)で希釈し、メンブランフィルター(DISMIC(登録商標)-13JP)でろ過したのちLC/MSにて分取精製した。得られた粗生成物をNH-シリカゲル分取TLC(展開層:n-ヘキサン:酢酸エチル=1:1)で精製し、標記化合物(6mg)を無色油状物質として得た。
 
(実施例21.047)から(実施例21.049)の化合物[各実施例化合物名は前述の[表1-11]から[表1-12]に記載してある]を、(実施例21.046)と同様の方法、もしくはこれに準ずる方法で、各々対応するアミンを用いて合成した。
 
(Example 21.046)
2- (2- (4- (3-Methoxy-3-methylazetidin-1-yl) -6- (pyrrolidin-1-yl) pyrimidin-2-yl) cyclopropyl) -5,8-dimethyl- [ 2- (2- (4-Chloro-6- (pyrrolidin-1-yl) pyrimidin-2-yl) obtained by synthesis of 1,2,4] triazolo [1,5-a] pyrazine (Reference Example 13) ) Cyclopropyl) -5,8-dimethyl- [1,2,4] triazolo [1,5-a] pyrazine (30 mg) in tert-butanol (1 ml) in 3-methoxy-3-methylazetidine hydrochloride (22 mg), sodium tert-butoxide (16 mg), tris (dibenzylideneacetone) dipalladium-chloroform adduct (17 mg), 2- (dicyclohexylphosphino) -2 ′, 4 ′, 6′-trii Propyl biphenyl (X-Phos, 8mg), was added diisopropylethylamine (0.11 ml), refluxed for 2 hours, followed by stirring at room temperature for 14 hours. Sodium tert-butoxide (16 mg), tris (dibenzylideneacetone) dipalladium-chloroform adduct (17 mg), 2- (dicyclohexylphosphino) -2 ′, 4 ′, 6′-triisopropylbiphenyl (X-Phos: 8 mg) ) Was added, and the mixture was heated to reflux for 7 hours and then stirred at room temperature for 14 hours. The reaction solution was diluted with methanol (1 ml), filtered through a membrane filter (DISMIC (registered trademark) -13JP), and purified by fractionation using LC / MS. The obtained crude product was purified by NH-silica gel preparative TLC (developing layer: n-hexane: ethyl acetate = 1: 1) to obtain the title compound (6 mg) as a colorless oily substance.

The compounds of (Example 21.047) to (Example 21.049) [The names of the compounds of each Example are described in the above [Table 1-11] to [Table 1-12]], (Example In the same manner as in 21.046) or a method analogous thereto, each was synthesized using the corresponding amine.
実施例(21.050)
2-(2-(5,8-ジメチル-[1,2,4]トリアゾロ[1,5-a]ピラジン-2-イル)シクロプロピル)-6-(ピロリジン-1-イル)-N-(6-(トリフルオロメチル)ピリジン-3-イル)ピリミジン-4-アミンの合成
(参考例13)で得られた、2-(2-(4-クロロ-6-(ピロリジン-1-イル)ピリミジン‐2‐イル)シクロプロピル)-5,8-ジメチル-[1,2,4]トリアゾロ[1,5-a]ピラジン(30mg)のジオキサン(2ml)溶液に、(5-アミノ-2-(トリフルオロメチル)ピリジン(20mg)、酢酸パラジウム(II)(1.8mg)、2-ジシクロヘキシルホスフィノ-2′-(N,N-ジメチルアミノ)ビフェニル(3mg)、ナトリウム-tert-ブトキシド(23mg)を加え100℃で2.5時間攪拌した。室温まで放冷した後、メタノール(3ml)を加え濾過し、溶媒を減圧留去した。得られた残渣をジエチルエーテルでトリチュレートし、標記化合物(15mg)を白色固体として得た。
 
(実施例21.051)から(実施例21.060)の化合物[各実施例化合物名は前述の[表1-12]から[表1-13]に記載してある]を、(実施例21.050)と同様の方法、もしくはこれに準ずる方法で、各々対応するアミンから合成した。
 
(実施例21.061)から(実施例21.064)の化合物[各実施例化合物名は前述の[表1-13]に記載してある]を、(参考例14)で得られた、2-(2-(4-クロロ-6-(ピロリジン-1-イル)ピリミジン‐2‐イル)シクロプロピル)-5,8-ジメチル-[1,2,4]トリアゾロ[1,5-a]ピラジン(エナンチオマーB)を用いて、(実施例21.050)と同様の方法、もしくはこれに準ずる方法で、各々対応するアミンから合成した。
 
(実施例21.065)
2-((2-(2-(5,8-ジメチル-[1,2,4]トリアゾロ[1,5-a]ピラジン-2-イル)シクロプロピル)-6-(ピロリジン-1-イル)ピリミジン-4-イル)アミノ)-N,N-ジメチルアセトアミドの合成
(参考例13)で得られた2-(2-(4-クロロ-6-(ピロリジン-1-イル)ピリミジン-2-イル)シクロプロピル)-5,8-ジメチル-[1,2,4]トリアゾロ[1,5-a]ピラジン(30mg)のジオキサン(1ml)溶液に2-アミノ-N,N-ジメチルアセトアミド塩酸塩(66mg)、ナトリウムtert-ブトキシド(62mg)、酢酸パラジウム(3mg)、2-ジシクロヘキシルホスフィノ-2’-(N,N-ジメチルアミノ)ビフェニル(Dave-Phos:6mg)、ジイソプロピルエチルアミン(0.11ml)を加え、14時間加熱還流した。反応溶液を室温に冷却し、メタノール(1ml)で希釈し、メンブランフィルター(DISMIC(登録商標)-13JP)でろ過したのちLC/MSにて分取精製し、標記化合物(11mg)を白色固体として得た。
 
(実施例21.066)から(実施例21.070)の化合物[各実施例化合物名は前述の[表1-13]から[表1-14]に記載してある]を、(実施例21.065)と同様の方法、もしくはこれに準ずる方法で、各々対応するアミンを用いて合成した。
 
Example (21.050)
2- (2- (5,8-dimethyl- [1,2,4] triazolo [1,5-a] pyrazin-2-yl) cyclopropyl) -6- (pyrrolidin-1-yl) -N- ( 2- (2- (4-Chloro-6- (pyrrolidin-1-yl) pyrimidine obtained by synthesis of 6- (trifluoromethyl) pyridin-3-yl) pyrimidin-4-amine (Reference Example 13) -2-yl) cyclopropyl) -5,8-dimethyl- [1,2,4] triazolo [1,5-a] pyrazine (30 mg) in a dioxane (2 ml) solution of (5-amino-2- ( (Trifluoromethyl) pyridine (20 mg), palladium (II) acetate (1.8 mg), 2-dicyclohexylphosphino-2 ′-(N, N-dimethylamino) biphenyl (3 mg), sodium-tert-butoxide (23 m The mixture was stirred for 2.5 hours at 100 ° C. After standing to cool to room temperature, methanol (3 ml) was added and the mixture was filtered, and the solvent was distilled off under reduced pressure. 15 mg) was obtained as a white solid.

Compounds of (Example 21.051) to (Example 21.060) [The names of the compounds of each Example are described in [Table 1-12] to [Table 1-13] above], In the same manner as in 21.050) or a method analogous thereto, each was synthesized from the corresponding amine.

The compounds of (Example 21.006) to (Example 21.064) [each compound name of each example is described in [Table 1-13] above] were obtained in (Reference Example 14). 2- (2- (4-Chloro-6- (pyrrolidin-1-yl) pyrimidin-2-yl) cyclopropyl) -5,8-dimethyl- [1,2,4] triazolo [1,5-a] Using pyrazine (enantiomer B), each was synthesized from the corresponding amine in the same manner as in (Example 21.050) or a method analogous thereto.

(Example 21.065)
2-((2- (2- (5,8-dimethyl- [1,2,4] triazolo [1,5-a] pyrazin-2-yl) cyclopropyl) -6- (pyrrolidin-1-yl) 2- (2- (4-Chloro-6- (pyrrolidin-1-yl) pyrimidin-2-yl) obtained by the synthesis of pyrimidin-4-yl) amino) -N, N-dimethylacetamide (Reference Example 13) ) Cyclopropyl) -5,8-dimethyl- [1,2,4] triazolo [1,5-a] pyrazine (30 mg) in dioxane (1 ml) with 2-amino-N, N-dimethylacetamide hydrochloride ( 66 mg), sodium tert-butoxide (62 mg), palladium acetate (3 mg), 2-dicyclohexylphosphino-2 ′-(N, N-dimethylamino) biphenyl (Dave-Phos: 6 mg), dii Sopropylethylamine (0.11 ml) was added, and the mixture was heated to reflux for 14 hours. The reaction solution was cooled to room temperature, diluted with methanol (1 ml), filtered through a membrane filter (DISMIC (registered trademark) -13JP), and fractionated and purified by LC / MS to give the title compound (11 mg) as a white solid. Obtained.

The compounds of (Example 21.066) to (Example 21.070) [each compound name is described in [Table 1-13] to [Table 1-14] above], (Example In the same manner as in 21.065) or a method analogous thereto, each was synthesized using the corresponding amine.
(実施例21.071)から(実施例21.073)の化合物[各実施例化合物名は前述の[表1-14]に記載してある]を、(参考例14)で得られた2-(2-(4-クロロ-6-(ピロリジン-1-イル)ピリミジン‐2‐イル)シクロプロピル)-5,8-ジメチル-[1,2,4]トリアゾロ[1,5-a]ピラジン(エナンチオマーB)を用いて、(実施例21.065)と同様の方法、もしくはこれに準ずる方法で、各々対応するアミンから合成した。
 
(実施例21.074)
2-(2-(2-(5,8-ジメチル-[1,2,4]トリアゾロ[1,5-a]ピラジン-2-イル)シクロプロピル)-6-(ピロリジン-1-イル)ピリミジン-4-イル)ヘキサヒドロピロロ(1,2-a)ピラジン-6(2H)-オンの合成
(参考例13)で得られた、2-(2-(4-クロロ-6-(ピロリジン-1-イル)ピリミジン-2-イル)シクロプロピル)-5,8-ジメチル-[1,2,4]トリアゾロ[1,5-a]ピラジン(30mg)、ヘキサヒドロピロロ(1,2-a)ピラジン-6(2H)-オン(57mg)、及び1,8-ジアザビシクロ(5.4.0)ウンデカ-7-エン(DBU:61μl)の1-ブタノール(0.8ml)溶液を150℃で48時間攪拌した。反応溶液を室温に冷却したのち、LC/MSにて分取精製し、標記化合物(18mg)を茶色固体として得た。
 
(実施例21.075)及び(実施例21.076)の化合物[各実施例化合物名は前述の[表1-14]に記載してある]を、(実施例21.074)と同様の方法、もしくはこれに準ずる方法で、各々対応するアミンを用いて合成した。
 
(実施例21.077)及び(実施例21.078)の化合物[各実施例化合物名は前述の[表1-14]から[表1-15]に記載してある]を、(参考例14)で得られた2-(2-(4-クロロ-6-(ピロリジン-1-イル)ピリミジン-2-イル)シクロプロピル)-5,8-ジメチル-[1,2,4]トリアゾロ[1,5-a]ピラジン(エナンチオマーB)を用いて、(実施例21.074)と同様の方法、もしくはこれに準ずる方法で、各々対応するアミンを用いて合成した。
 
(実施例21.079)
4-(2-(2-(5,8-ジメチル-[1,2,4]トリアゾロ[1,5-a]ピラジン-2-イル)シクロプロピル)-6-(ピロリジン-1-イル)ピリミジン-4-イル)ピペラジン-2-オンの合成
(参考例13)で得られた2-(2-(4-クロロ-6-(ピロリジン-1-イル)ピリミジン-2-イル)シクロプロピル)-5,8-ジメチル-[1,2,4]トリアゾロ[1,5-a]ピラジン(30mg)のN-メチルピロリドン(0.5ml)溶液に、ピペラジン-2-オン(41mg)、1,8-ジアザビシクロ(5.4.0)ウンデカ-7-エン(DBU:61μl)を加え、150℃で12時間加熱撹拌した。反応液を室温に冷却し、酢酸エチル(20ml)で希釈し、水(15mlx2)、飽和食塩水(15ml)で洗浄し、無水硫酸ナトリウムで乾燥した。減圧下溶媒を留去し、残渣をNH-シリカゲルカラムクロマトグラフィー(溶出液;酢酸エチル:メタノール=9:1)で精製し、標記化合物(21mg)を白色アモルファスとして得た。
 
(実施例21.080)から(実施例21.082)の化合物[各実施例化合物名は前述の[表1-15]に記載してある]を、(実施例21.079)と同様の方法、もしくはこれに準ずる方法で、各々対応するアミンを用いて合成した。
 
(実施例21.083)から(実施例21.089)の化合物[各実施例化合物名は前述の[表1-15]から[表1-16]に記載してある]を、(参考例14)で得られた2-(2-(4-クロロ-6-(ピロリジン-1-イル)ピリミジン‐2‐イル)シクロプロピル)-5,8-ジメチル-[1,2,4]トリアゾロ[1,5-a]ピラジン(エナンチオマーB)を用いて、(実施例21.079)と同様の方法、もしくはこれに準ずる方法で、各々対応するアミンから合成した。
 
The compounds of (Example 21.071) to (Example 21.073) [each Example compound name is described in [Table 1-14] above] were obtained in (Reference Example 14) 2 -(2- (4-Chloro-6- (pyrrolidin-1-yl) pyrimidin-2-yl) cyclopropyl) -5,8-dimethyl- [1,2,4] triazolo [1,5-a] pyrazine Using (enantiomer B), each was synthesized from the corresponding amine in the same manner as in (Example 21.065) or a method analogous thereto.

(Example 21.074)
2- (2- (2- (2,8-dimethyl- [1,2,4] triazolo [1,5-a] pyrazin-2-yl) cyclopropyl) -6- (pyrrolidin-1-yl) pyrimidine 2- (2- (4-Chloro-6- (pyrrolidine-) obtained by the synthesis of -4-yl) hexahydropyrrolo (1,2-a) pyrazin-6 (2H) -one (Reference Example 13) 1-yl) pyrimidin-2-yl) cyclopropyl) -5,8-dimethyl- [1,2,4] triazolo [1,5-a] pyrazine (30 mg), hexahydropyrrolo (1,2-a) A solution of 1-butanol (0.8 ml) of pyrazin-6 (2H) -one (57 mg) and 1,8-diazabicyclo (5.4.0) undec-7-ene (DBU: 61 μl) at 150 ° C. Stir for hours. The reaction solution was cooled to room temperature and then purified by preparative LC / MS to obtain the title compound (18 mg) as a brown solid.

The compounds of (Example 21.075) and (Example 21.076) [each Example compound name is described in [Table 1-14] above] are the same as in (Example 21.074). Each of these was synthesized using the corresponding amine by the method or a method equivalent thereto.

The compounds of (Example 21.077) and (Example 21.078) [each compound name is described in [Table 1-14] to [Table 1-15] above] (Reference Example 14-) 2- (2- (4-Chloro-6- (pyrrolidin-1-yl) pyrimidin-2-yl) cyclopropyl) -5,8-dimethyl- [1,2,4] triazolo [ 1,5-a] pyrazine (enantiomer B) was used and synthesized in the same manner as in (Example 21.074) or a method analogous thereto, using the corresponding amine.

(Example 21.079)
4- (2- (2- (5,8-dimethyl- [1,2,4] triazolo [1,5-a] pyrazin-2-yl) cyclopropyl) -6- (pyrrolidin-1-yl) pyrimidine 2- (2- (4-Chloro-6- (pyrrolidin-1-yl) pyrimidin-2-yl) cyclopropyl)-obtained by the synthesis of (-4-yl) piperazin-2-one (Reference Example 13) To a solution of 5,8-dimethyl- [1,2,4] triazolo [1,5-a] pyrazine (30 mg) in N-methylpyrrolidone (0.5 ml), piperazin-2-one (41 mg), 1,8 -Diazabicyclo (5.4.0) undec-7-ene (DBU: 61 μl) was added, and the mixture was heated with stirring at 150 ° C. for 12 hours. The reaction solution was cooled to room temperature, diluted with ethyl acetate (20 ml), washed with water (15 ml × 2) and saturated brine (15 ml), and dried over anhydrous sodium sulfate. The solvent was distilled off under reduced pressure, and the residue was purified by NH-silica gel column chromatography (eluent; ethyl acetate: methanol = 9: 1) to obtain the title compound (21 mg) as a white amorphous.

The compounds of (Example 21.080) to (Example 21.082) [each compound name of each example is described in [Table 1-15] above] are the same as those of (Example 21.079). Each of these was synthesized using the corresponding amine by the method or a method equivalent thereto.

The compounds of (Example 21.083) to (Example 21.089) [The names of the compounds of each Example are described in the above [Table 1-15] to [Table 1-16]] (Reference Examples) 14-) 2- (2- (4-Chloro-6- (pyrrolidin-1-yl) pyrimidin-2-yl) cyclopropyl) -5,8-dimethyl- [1,2,4] triazolo [ 1,5-a] pyrazine (enantiomer B) was used and synthesized from the corresponding amine in the same manner as in (Example 21.079) or a method analogous thereto.
(実施例21.090)
2-(2-(5,8-ジメチル-[1,2,4]トリアゾロ[1,5-a]ピラジン-2-イル)シクロプロピル)-N-(2-メトキシメチル)-6-(ピロリジン-1-イル)ピリミジン-4-カルボキサミドの合成
(実施例19.040)で得られた(Z)-2-(2-(5,8-ジメチル-[1,2,4]トリアゾロ[1,5-a]ピラジン-2-イル)ビニル)-N-(2-メトキシエチル)-6-(ピロリジン-1-イル)ピリミジン-4-カルボキサミド(38mg)のジメチルスルホキシド(1ml)溶液に、100℃でカリウム-tert-ブトキシド(18mg)及びトリメチルスルホキソニウムヨージド(39mg)のジメチルスルホキシド(0.3ml)混合溶液を加え、同温度で5分攪拌した。さらにカリウム-tert-ブトキシド(18mg)、トリメチルスルホキソニウムヨージド(39mg)のジメチルスルホキシド(0.3ml)混合溶液を加え、5分攪拌した後、再度カリウム-tert-ブトキシド(18mg)、トリメチルスルホキソニウムヨージド(39mg)のジメチルスルホキシド(0.3ml)混合溶液を加え、5分攪拌した。反応液をLC/MSにて分取精製し、標記化合物(10mg)を灰色固体として得た。
 
(実施例21.091)
2-(2-(5,8-ジメチル-[1,2,4]トリアゾロ[1,5-a]ピラジン-2-イル)シクロプロピル)-N-メチル-6-(ピロリジン-1-イル)-N-(テトラヒドロ-2H-ピラン-4-イル)ピリミジン-4-カルボキサミドの合成
(参考例7)<工程4>の方法で得られた((Z)-2-(2-(5,8-ジメチル-[1,2,4]トリアゾロ[1,5-a]ピラジン-2-イル)ビニル)-6-(ピロリジン-1-イル)ピリミジン-4-カルボン酸(52mg)と対応するアミン(16mg)用いて、(実施例19.039)及び(実施例21.090)と同様の方法、もしくはこれに準ずる方法で標記化合物(5.6mg)を得た。
 
(実施例21.092)
2-(2-(5,8-ジメチル-[1,2,4]トリアゾロ[1,5-a]ピラジン-2-イル)シクロプロピル)-N-(ピリジン-3-イル)-6-(ピロリジン-1-イル)ピリミジン-4-カルボキサミド
(参考例15)で得られた、2-(2-(5,8-ジメチル-[1,2,4]トリアゾロ[1,5-a]ピラジン-2-イル)シクロプロピル)-6-(ピロリジン-1-イル)ピリミジン-4-カルボン酸(20mg)のN,N-ジメチルホルムアミド(2ml)溶液に、3-アミノピリジン(7.6mg)、1-ヒドロキシベンゾトリアゾール一水和物(7.3mg)、1-エチル-3-(3-ジメチルアミノプロピル)カルボジイミド塩酸塩(15mg)を加え、室温で18時間攪拌した。反応液をLC/MSにて分取精製し、標記化合物(7.5mg)をアモルファスとして得た。
 
(実施例21.093)及び(実施例21.094)の化合物[各実施例化合物名は前述の[表1-16]に記載してある]を、(実施例21.092)と同様の方法、もしくはこれに準ずる方法で、各々対応するアミンを用いて合成した。
 
(Example 21.090)
2- (2- (5,8-Dimethyl- [1,2,4] triazolo [1,5-a] pyrazin-2-yl) cyclopropyl) -N- (2-methoxymethyl) -6- (pyrrolidine (1) -yl) pyrimidine-4-carboxamide (Z) -2- (2- (5,8-dimethyl- [1,2,4] triazolo [1, 5-a] pyrazin-2-yl) vinyl) -N- (2-methoxyethyl) -6- (pyrrolidin-1-yl) pyrimidine-4-carboxamide (38 mg) in dimethyl sulfoxide (1 ml) at 100 ° C. Then, a mixed solution of potassium tert-butoxide (18 mg) and trimethylsulfoxonium iodide (39 mg) in dimethylsulfoxide (0.3 ml) was added, and the mixture was stirred at the same temperature for 5 minutes. Further, a mixed solution of potassium tert-butoxide (18 mg) and trimethylsulfoxonium iodide (39 mg) in dimethyl sulfoxide (0.3 ml) was added and stirred for 5 minutes, and then again potassium-tert-butoxide (18 mg), trimethylsulfone. A mixed solution of xonium salt (39 mg) in dimethyl sulfoxide (0.3 ml) was added and stirred for 5 minutes. The reaction solution was separated and purified by LC / MS to obtain the title compound (10 mg) as a gray solid.

(Example 21.091)
2- (2- (5,8-dimethyl- [1,2,4] triazolo [1,5-a] pyrazin-2-yl) cyclopropyl) -N-methyl-6- (pyrrolidin-1-yl) Synthesis of —N- (tetrahydro-2H-pyran-4-yl) pyrimidine-4-carboxamide (Reference Example 7) obtained by the method of <Step 4> ((Z) -2- (2- (5,8 -Dimethyl- [1,2,4] triazolo [1,5-a] pyrazin-2-yl) vinyl) -6- (pyrrolidin-1-yl) pyrimidine-4-carboxylic acid (52 mg) and the corresponding amine ( 16 mg) was used to give the title compound (5.6 mg) in the same manner as in (Example 19.039) and (Example 21.090) or a method analogous thereto.

(Example 21.092)
2- (2- (5,8-dimethyl- [1,2,4] triazolo [1,5-a] pyrazin-2-yl) cyclopropyl) -N- (pyridin-3-yl) -6- ( 2- (2- (5,8-dimethyl- [1,2,4] triazolo [1,5-a] pyrazine-) obtained with pyrrolidin-1-yl) pyrimidine-4-carboxamide (Reference Example 15) To a solution of 2-yl) cyclopropyl) -6- (pyrrolidin-1-yl) pyrimidine-4-carboxylic acid (20 mg) in N, N-dimethylformamide (2 ml), 3-aminopyridine (7.6 mg), 1 -Hydroxybenzotriazole monohydrate (7.3 mg) and 1-ethyl-3- (3-dimethylaminopropyl) carbodiimide hydrochloride (15 mg) were added, and the mixture was stirred at room temperature for 18 hours. The reaction solution was separated and purified by LC / MS to obtain the title compound (7.5 mg) as amorphous.

The compounds of (Example 21.093) and (Example 21.094) [the names of the compounds of each Example are described in [Table 1-16] above] are the same as those of (Example 21.092). Each of these was synthesized using the corresponding amine by the method or a method equivalent thereto.
(実施例21.095)および(実施例21.096)
2-(2-(5,8-ジメチル-[1,2,4]トリアゾロ[1,5-a]ピラジン-2-イル)シクロプロピル)-N-(ピリジン-3-イル)-6-(ピロリジン-1-イル)ピリミジン-4-アミンの光学分割
(実施例21.006)で得られた2-(2-(5,8-ジメチル-[1,2,4]トリアゾロ[1,5-a]ピラジン-2-イル)シクロプロピル)-N-(ピリジン-3-イル)-6-(ピロリジン-1-イル)ピリミジン-4-アミン(60mg)を分取クロマトグラフィー(カラム:(株)ダイセル化学工業製 CHIRALCEL OD(2cm×25cm)、溶出液;n-ヘキサン:エタノール:ジエチルアミン=90:10:0.1(V/V)、流速:7.5ml/分、UV:254nm検出、カラム温度:40℃)を用いて光学分割を行うことで、標記化合物のエナンチオマーを得た。
第一分画(20mg、淡黄色固体、光学純度>99%ee、保持時間12.4分、エナンチオマーA:実施例21.095)
第二分画(22mg、淡黄色固体、光学純度>99%ee、保持時間19.2分、エナンチオマーB:実施例21.096)
光学純度及び保持時間は、下記条件で決定した。(カラム:(株)ダイセル化学工業製 CHIRALPAK AY-H (0.46cm×15cm)、溶出液;n-ヘキサン:エタノール:ジエチルアミン=90:10:0.1(V/V)、流速:2ml/分、UV:254nm検出、カラム温度:40℃)。
 
(実施例21.097)
2-(2-(4-(2-メトキシエトキシ)-6-(ピロリジン-1-イル)ピリミジン-2-イル)シクロプロピル)-5,8-ジメチル-[1,2,4]トリアゾロ[1,5-c]ピリミジンの合成
(参考例13)で得られた、2-(2-(4-クロロ-6-(ピロリジン-1-イル)ピリミジン‐2‐イル)シクロプロピル)-5,8-ジメチル-[1,2,4]トリアゾロ[1,5-a]ピラジン(30mg)に2-メトキシエタノール(1ml)及び炭酸カリウム(56mg)を加え、150℃にて12時間攪拌した。反応溶液に水(10ml)を加え、酢酸エチル(10ml)で3回抽出した。有機層を硫酸ナトリウムで乾燥し、溶媒を減圧留去した。得られた残渣をLC/MS分取で精製し、標記化合物(6mg)を無色アモルファスとして得た。
 
(実施例21.098)
5,8-ジメチル-2-(2-(4-(ピリジン-3-イルオキシ)-6-(ピロリジン-1-イル)ピリミジン-2-イル)シクロプロピル)-[1,2,4]トリアゾロ[1,5-c]ピリミジンの合成
(参考例13)で得られた、2-(2-(4-クロロ-6-(ピロリジン-1-イル)ピリミジン‐2‐イル)シクロプロピル)-5,8-ジメチル-[1,2,4]トリアゾロ[1,5-a]ピラジン(30mg)のN-メチルピロリドン(2ml)溶液に、ピリジン-3-オール(17mg)、炭酸カリウム(17mg)を加え、150℃にて12時間攪拌した。反応溶液に水(10ml)を加え酢酸エチル(10ml)で3回抽出した。有機層を硫酸ナトリウムで乾燥し、溶媒を減圧留去した。得られた残渣をLC/MS分取で精製したのち、酢酸エチルを加え、飽和重曹水で洗浄した後、溶媒を減圧留去し、標記化合物(10mg)を淡黄色アモルファスとして得た。
 
(実施例21.099)
N-シクロプロピル-2-(2-(5,8-ジメチル-[1,2,4]トリアゾロ[1,5-c]ピラジン-2-イル)シクロプロピル)-6-(ピロリジン-1-イル)-N-((S)-テトラヒドロフラン-3-イル)ピリミジン-4-アミンの合成
(実施例21.021)で得られた、2-(2-(5,8-ジメチル-[1,2,4]トリアゾロ[1,5-a]ピラジン-2-イル)シクロプロピル)-6-(ピロリジン-1-イル)-N-((S)-テトラヒドロフラン-3-イル)ピリミジン-4-アミン(30mg)の1、2-ジクロロエタン(2ml)溶液に、シクロプロピルボロン酸(12mg)、2、2-ビピリジン(6mg)、炭酸ナトリウム(15mg)、酢酸銅(II)(6mg)を加え、酸素雰囲気下70℃で12時間攪拌した。反応溶液をセライト濾過し、塩化メチレンで洗浄した。ろ液に水(20ml)を加え、塩化メチレン(10ml)で3回抽出した。有機層を硫酸ナトリウムで乾燥し、溶媒を減圧留去し、得られた残渣をシリカゲルカラムクロマトグラフィー(溶出液;n-ヘキサン:酢酸エチル=70:30~50:50~20:80)で精製し、標記化合物(13mg)を無色アモルファスとして得た。
(Example 21.095) and (Example 21.096)
2- (2- (5,8-dimethyl- [1,2,4] triazolo [1,5-a] pyrazin-2-yl) cyclopropyl) -N- (pyridin-3-yl) -6- ( 2- (2- (5,8-dimethyl- [1,2,4] triazolo [1,5-] obtained by optical resolution of pyrrolidin-1-yl) pyrimidin-4-amine (Example 21.006) a] Pyrazin-2-yl) cyclopropyl) -N- (pyridin-3-yl) -6- (pyrrolidin-1-yl) pyrimidin-4-amine (60 mg) (preparative chromatography) CHIRALCEL OD (2 cm × 25 cm) manufactured by Daicel Chemical Industries, eluent; n-hexane: ethanol: diethylamine = 90: 10: 0.1 (V / V), flow rate: 7.5 ml / min, UV: 254 nm detection, column Temperature: 40 ° C ) Was used for optical resolution to obtain the enantiomer of the title compound.
First fraction (20 mg, pale yellow solid, optical purity> 99% ee, retention time 12.4 minutes, enantiomer A: Example 21.095)
Second fraction (22 mg, pale yellow solid, optical purity> 99% ee, retention time 19.2 minutes, enantiomer B: Example 21.996)
The optical purity and retention time were determined under the following conditions. (Column: CHIRALPAK AY-H (0.46 cm × 15 cm), manufactured by Daicel Chemical Industries, Ltd.), eluent: n-hexane: ethanol: diethylamine = 90: 10: 0.1 (V / V), flow rate: 2 ml / Min, UV: 254 nm detection, column temperature: 40 ° C.).

(Example 21.097)
2- (2- (4- (2-methoxyethoxy) -6- (pyrrolidin-1-yl) pyrimidin-2-yl) cyclopropyl) -5,8-dimethyl- [1,2,4] triazolo [1 , 5-c] pyrimidine (Reference Example 13), 2- (2- (4-chloro-6- (pyrrolidin-1-yl) pyrimidin-2-yl) cyclopropyl) -5,8 To 2-dimethyl- [1,2,4] triazolo [1,5-a] pyrazine (30 mg) were added 2-methoxyethanol (1 ml) and potassium carbonate (56 mg), and the mixture was stirred at 150 ° C. for 12 hours. Water (10 ml) was added to the reaction solution, and the mixture was extracted 3 times with ethyl acetate (10 ml). The organic layer was dried over sodium sulfate, and the solvent was distilled off under reduced pressure. The obtained residue was purified by LC / MS fractionation to obtain the title compound (6 mg) as a colorless amorphous.

(Example 21.098)
5,8-dimethyl-2- (2- (4- (pyridin-3-yloxy) -6- (pyrrolidin-1-yl) pyrimidin-2-yl) cyclopropyl)-[1,2,4] triazolo [ 2- (2- (4-Chloro-6- (pyrrolidin-1-yl) pyrimidin-2-yl) cyclopropyl) -5, obtained by synthesis of 1,5-c] pyrimidine (Reference Example 13), Pyridin-3-ol (17 mg) and potassium carbonate (17 mg) were added to a solution of 8-dimethyl- [1,2,4] triazolo [1,5-a] pyrazine (30 mg) in N-methylpyrrolidone (2 ml). , And stirred at 150 ° C. for 12 hours. Water (10 ml) was added to the reaction solution, and the mixture was extracted 3 times with ethyl acetate (10 ml). The organic layer was dried over sodium sulfate, and the solvent was distilled off under reduced pressure. The resulting residue was purified by LC / MS fractionation, ethyl acetate was added, and the mixture was washed with saturated aqueous sodium hydrogen carbonate. The solvent was evaporated under reduced pressure to give the title compound (10 mg) as a pale yellow amorphous product.

(Example 21.0099)
N-cyclopropyl-2- (2- (5,8-dimethyl- [1,2,4] triazolo [1,5-c] pyrazin-2-yl) cyclopropyl) -6- (pyrrolidin-1-yl ) -N-((S) -Tetrahydrofuran-3-yl) pyrimidin-4-amine (Example 21.021), 2- (2- (5,8-dimethyl- [1,2 , 4] triazolo [1,5-a] pyrazin-2-yl) cyclopropyl) -6- (pyrrolidin-1-yl) -N-((S) -tetrahydrofuran-3-yl) pyrimidin-4-amine ( 30 mg) in 1,2-dichloroethane (2 ml) was added cyclopropylboronic acid (12 mg), 2,2-bipyridine (6 mg), sodium carbonate (15 mg), and copper (II) acetate (6 mg) in an oxygen atmosphere. 1 at 70 ° C Time and the mixture was stirred. The reaction solution was filtered through celite and washed with methylene chloride. Water (20 ml) was added to the filtrate and extracted three times with methylene chloride (10 ml). The organic layer is dried over sodium sulfate, the solvent is distilled off under reduced pressure, and the resulting residue is purified by silica gel column chromatography (eluent; n-hexane: ethyl acetate = 70: 30-50: 50-20: 80). The title compound (13 mg) was obtained as a colorless amorphous.
(実施例21.100)
(2S)-メチル 1-(2-(2-(5,8-ジメチル-[1,2,4]トリアゾロ[1,5-a]ピラジン-2-イル)シクロプロピル)-6-(ピロリジン-1-イル)ピリミジン-4-イル)ピロリジン-2-カルボキシレートの合成
(参考例13)で得られた2-(2-(4-クロロ-6-(ピロリジン-1-イル)ピリミジン-2-イル)シクロプロピル)-5,8-ジメチル-[1,2,4]トリアゾロ[1,5-a]ピラジン(50mg)のN-メチルピロリドン(1ml)溶液に、(S)-メチル  ピロリジン-2-カルボキシレート塩酸塩(0.11g)、1,8-ジアザビシクロ(5.4.0)ウンデク-7-エン(0.2ml)を加え、150℃で13時間加熱撹拌した。反応液を室温に冷却し、ヨウ化メチル(0.10ml)と炭酸カリウム(0.22g)を加え、80℃で5時間加熱撹拌した。反応液を室温に冷却し、酢酸エチル(30ml)で希釈し、水(20ml)で2回、飽和食塩水(20 ml)で洗浄し、無水硫酸ナトリウムで乾燥した。減圧下溶媒を留去し、残渣をNH-シリカゲルカラムクロマトグラフィー(溶出液;n-ヘキサン:酢酸エチル=3:2)で精製し、標記化合物(43mg)を淡黄色固体として得た。
 
(実施例21.101)
(2R)-メチル 1-(2-(2-(5,8-ジメチル-[1,2,4]トリアゾロ[1,5-a]ピラジン-2-イル)シクロプロピル)-6-(ピロリジン-1-イル)ピリミジン-4-イル)ピロリジン-2-カルボキシレートの合成
(実施例21.100)と同様の方法、もしくはこれに準ずる方法で、対応するアミンを用いて合成した。
(Example 21.100)
(2S) -methyl 1- (2- (2- (5,8-dimethyl- [1,2,4] triazolo [1,5-a] pyrazin-2-yl) cyclopropyl) -6- (pyrrolidine- 2- (2- (4-Chloro-6- (pyrrolidin-1-yl) pyrimidine-2-) obtained by the synthesis of 1-yl) pyrimidin-4-yl) pyrrolidine-2-carboxylate (Reference Example 13) Yl) cyclopropyl) -5,8-dimethyl- [1,2,4] triazolo [1,5-a] pyrazine (50 mg) in N-methylpyrrolidone (1 ml) and (S) -methylpyrrolidine-2 -Carboxylate hydrochloride (0.11 g) and 1,8-diazabicyclo (5.4.0) undec-7-ene (0.2 ml) were added, and the mixture was heated with stirring at 150 ° C. for 13 hours. The reaction solution was cooled to room temperature, methyl iodide (0.10 ml) and potassium carbonate (0.22 g) were added, and the mixture was heated and stirred at 80 ° C. for 5 hours. The reaction mixture was cooled to room temperature, diluted with ethyl acetate (30 ml), washed twice with water (20 ml), saturated brine (20 ml), and dried over anhydrous sodium sulfate. The solvent was evaporated under reduced pressure, and the residue was purified by NH-silica gel column chromatography (eluent; n-hexane: ethyl acetate = 3: 2) to obtain the title compound (43 mg) as a pale yellow solid.

(Example 21.101)
(2R) -methyl 1- (2- (2- (5,8-dimethyl- [1,2,4] triazolo [1,5-a] pyrazin-2-yl) cyclopropyl) -6- (pyrrolidine- 1-yl) pyrimidin-4-yl) pyrrolidine-2-carboxylate was synthesized in the same manner as in Example 21.100 or a method analogous thereto, using the corresponding amine.
(実施例21.102)
4-(2-(2-(5,8-ジメチル-[1,2,4]トリアゾロ[1,5-a]ピラジン-2-イル)シクロプロピル)-6-(ピロリジン-1-イル)ピリミジン-4-イル)-1-メチルピペラジン-2-オンの合成
(実施例21.085)で得られた4-(2-(2-(5,8-ジメチル-[1,2,4]トリアゾロ[1,5-a]ピラジン-2-イル)シクロプロピル)-6-(ピロリジン-1-イル)ピリミジン-4-イル)ピペラジン-2-オン(25mg)のN,N-ジメチルホルムアミド(1ml)溶液に、室温で60%水素化ナトリウム(7mg)を加え20分撹拌した。同温でヨウ化メチル(7μl)を加え、30分撹拌した。飽和塩化アンモニウム水溶液(10ml)を加え、酢酸エチル(20ml)で抽出した。有機層を水(15ml)で2回、飽和食塩水(15ml)で順次洗浄し、無水硫酸ナトリウムで乾燥した。減圧下溶媒を留去し、残渣をNH-シリカゲルカラムクロマトグラフィー(溶出液;n-ヘキサン:酢酸エチル=1:4)で精製し、標記化合物(4mg)を無色油状物質として得た。
 
(実施例21.103)
4-(2-(2-(5、8-ジメチル-[1,2,4]トリアゾロ[1,5-c]ピリミジン-2-イル)シクロプロピル)-6-(ピロリジン-1-イル)ピリミジン-4-イル)モルフォリンの合成の合成
(参考例16)<工程5>で得られた2-(2-(4-クロロ-6-(ピロリジン-1-イル)ピリミジン‐2‐イル)シクロプロピル)-5,8-ジメチル-[1,2,4]トリアゾロ[1,5-c]ピリミジン(90mg)及びモルフォリン(0.11ml)を用いて、(実施例19.022)と同様の方法、もしくはこれに準ずる方法で、標記化合物(88mg)を得た。
 
(実施例21.104)
4-(6-(ピロリジン-1-イル)-2-(2-(5,7,8-トリメチル-[1,2,4]トリアゾロ[1,5-c]ピリミジン-2-イル)シクロプロピル)ピリミジン-4-イル)モルフォリンの合成
(実施例19.054)で得られた(E)-4-(6-(ピロリジン-1-イル)-2-(2-(5,7,8-トリメチル-[1,2,4]トリアゾロ[1,5-c]ピリミジン-2-イル)ビニル)ピリミジン-4-イル)モルフォリンを用いて、(実施例21.090)と同様の方法、もしくはこれに準ずる方法で、標記化合物を合成した。
 
(実施例21.105)
4-(2-(2-(5,8ジメチル-[1,2,4]トリアゾロ[1,5-a]ピリジン-2-イル)シクロプロピル)-6-(ピロリジン1-イル)ピリミジン-4-イル)モルフォリンの合成
(参考例17)<工程5>で得られた2-(2-(4-クロロ-6-(ピロリジン-1-イル)ピリミジン‐2‐イル)シクロプロピル)-5,8-ジメチル-[1,2,4]トリアゾロ[1,5-a]ピリジン(50mg)及びモルフォリン(59μl)を用いて、(実施例19.022)と同様の方法で標記化合物(37mg)を得た。
(Example 21.102)
4- (2- (2- (5,8-dimethyl- [1,2,4] triazolo [1,5-a] pyrazin-2-yl) cyclopropyl) -6- (pyrrolidin-1-yl) pyrimidine 4- (2- (2- (5,8-dimethyl- [1,2,4] triazolo) obtained by the synthesis of -4-yl) -1-methylpiperazin-2-one (Example 21.085) [1,5-a] pyrazin-2-yl) cyclopropyl) -6- (pyrrolidin-1-yl) pyrimidin-4-yl) piperazin-2-one (25 mg) N, N-dimethylformamide (1 ml) To the solution, 60% sodium hydride (7 mg) was added at room temperature and stirred for 20 minutes. Methyl iodide (7 μl) was added at the same temperature and stirred for 30 minutes. Saturated aqueous ammonium chloride solution (10 ml) was added, and the mixture was extracted with ethyl acetate (20 ml). The organic layer was washed successively with water (15 ml) twice and saturated brine (15 ml), and dried over anhydrous sodium sulfate. The solvent was evaporated under reduced pressure, and the residue was purified by NH-silica gel column chromatography (eluent; n-hexane: ethyl acetate = 1: 4) to obtain the title compound (4 mg) as a colorless oil.

(Example 21.103)
4- (2- (2- (5,8-dimethyl- [1,2,4] triazolo [1,5-c] pyrimidin-2-yl) cyclopropyl) -6- (pyrrolidin-1-yl) pyrimidine Synthesis of Synthesis of -4-yl) morpholine (Reference Example 16) 2- (2- (4-Chloro-6- (pyrrolidin-1-yl) pyrimidin-2-yl) cyclo obtained in <Step 5> Propyl) -5,8-dimethyl- [1,2,4] triazolo [1,5-c] pyrimidine (90 mg) and morpholine (0.11 ml) as in (Example 19.022) By the method or a method analogous thereto, the title compound (88 mg) was obtained.

(Example 21.104)
4- (6- (pyrrolidin-1-yl) -2- (2- (5,7,8-trimethyl- [1,2,4] triazolo [1,5-c] pyrimidin-2-yl) cyclopropyl ) Pyrimidin-4-yl) morpholine (E) -4- (6- (pyrrolidin-1-yl) -2- (2- (5,7,8) obtained in Example 19.054) Using trimethyl- [1,2,4] triazolo [1,5-c] pyrimidin-2-yl) vinyl) pyrimidin-4-yl) morpholine, a method similar to (Example 21.090), Alternatively, the title compound was synthesized by a method analogous thereto.

(Example 21.105)
4- (2- (2- (5,8dimethyl- [1,2,4] triazolo [1,5-a] pyridin-2-yl) cyclopropyl) -6- (pyrrolidin1-yl) pyrimidine-4 Synthesis of -yl) morpholine (Reference Example 17) 2- (2- (4-Chloro-6- (pyrrolidin-1-yl) pyrimidin-2-yl) cyclopropyl) -5 obtained in <Step 5> , 8-dimethyl- [1,2,4] triazolo [1,5-a] pyridine (50 mg) and morpholine (59 μl) in the same manner as in Example 19.022, the title compound (37 mg )
(実施例21.106)および(実施例21.107)
4-(2-(2-(5,8ジメチル-[1,2,4]トリアゾロ[1,5-a]ピリジン-2-イル)シクロプロピル)-6-(ピロリジン1-イル)ピリミジン-4-イル)モルフォリンの光学分割
(実施例21.105)で得られた4-(2-(2-(5,8ジメチル-[1,2,4]トリアゾロ[1,5-a]ピリジン-2-イル)シクロプロピル)-6-(ピロリジン1-イル)ピリミジン-4-イル)モルフォリン(28mg)を分取クロマトグラフィー(カラム:(株)ダイセル化学工業製 CHIRALPAK AY-H(2cm×25cm)、溶出液;エタノール、流速:2ml/分、UV:254nm検出、カラム温度:40℃)を用いて光学分割を行うことで、標記化合物のエナンチオマーA及びエナンチオマーBを得た。
第一分画(4.2mg、白色アモルファス、>99%ee、リテンションタイム5.9分(エナンチオマーA:実施例21.106)
第一分画(4.3mg、白色アモルファス、>99%ee、リテンションタイム7.4分(エナンチオマーB:実施例21.107)
光学純度とリテンションタイムは、下記条件で決定した。(カラム:(株)ダイセル化学工業製 CHIRALPAK AY-H (0.46cm×25cm)、溶出液;エタノール、流速:0.8ml/分、UV:254nm検出、カラム温度:40℃)。
 
(実施例21.108)
6-(アゼチジン-1-イル)-2-(2-(5,8-ジメチル-[1,2,4]トリアゾロ[1,5-a]ピラジン-2-イル)シクロプロピル)-N-(ピリジン-2-イル)ピリミジン-4-アミンの合成
(参考例18)<工程3>で得られた2-(2-(4-(アゼチジン-1-イル)-6-クロロピリミジン-2-イル)シクロプロピル)-5,8-ジメチル-[1,2,4]トリアゾロ[1,5-a]ピラジン及び2-アミノピリジンを用いて、(実施例9)と同様の方法、もしくはこれに準ずる方法で、標記化合物を合成した。
 
(実施例21.109)
7-(6-(アゼチジン-1-イル)-2-(2-(5,8-ジメチル-[1,2,4]トリアゾロ[1,5-a]ピラジン-2-イル)シクロプロピル)ピリミジン-4-イル)-2-オキサ-7-アザスピロ(3.5)ノナンの合成
(実施例21.108)と同様の方法、もしくは、これに準ずる方法で、対応するアミンを用いて標記化合物を合成した。
(Example 21.106) and (Example 21.107)
4- (2- (2- (5,8dimethyl- [1,2,4] triazolo [1,5-a] pyridin-2-yl) cyclopropyl) -6- (pyrrolidin1-yl) pyrimidine-4 4- (2- (2- (5,8dimethyl- [1,2,4] triazolo [1,5-a] pyridine-) obtained by optical resolution of (yl) morpholine (Example 21.105) 2-yl) cyclopropyl) -6- (pyrrolidin-1-yl) pyrimidin-4-yl) morpholine (28 mg) was subjected to preparative chromatography (column: CHIRALPAK AY-H (2 cm × 25 cm, manufactured by Daicel Chemical Industries, Ltd.) ), Eluent; ethanol, flow rate: 2 ml / min, UV: 254 nm detection, column temperature: 40 ° C.) to perform optical resolution to obtain the enantiomer A and the enantiomer B of the title compound.
First fraction (4.2 mg, white amorphous,> 99% ee, retention time 5.9 minutes (enantiomer A: Example 21.106)
First fraction (4.3 mg, white amorphous,> 99% ee, retention time 7.4 minutes (enantiomer B: Example 21.107)
The optical purity and retention time were determined under the following conditions. (Column: CHIRALPAK AY-H (0.46 cm × 25 cm) manufactured by Daicel Chemical Industries, Ltd., eluent: ethanol, flow rate: 0.8 ml / min, UV: 254 nm detection, column temperature: 40 ° C.).

(Example 21.108)
6- (azetidin-1-yl) -2- (2- (5,8-dimethyl- [1,2,4] triazolo [1,5-a] pyrazin-2-yl) cyclopropyl) -N- ( Synthesis of Pyridin-2-yl) pyrimidin-4-amine (Reference Example 18) 2- (2- (4- (azetidin-1-yl) -6-chloropyrimidin-2-yl) obtained in <Step 3> ) Cyclopropyl) -5,8-dimethyl- [1,2,4] triazolo [1,5-a] pyrazine and 2-aminopyridine, or the same method as in (Example 9) The title compound was synthesized by this method.

(Example 21.109)
7- (6- (azetidin-1-yl) -2- (2- (5,8-dimethyl- [1,2,4] triazolo [1,5-a] pyrazin-2-yl) cyclopropyl) pyrimidine In the same manner as in the synthesis of (-4-yl) -2-oxa-7-azaspiro (3.5) nonane (Example 21.108) or a method analogous thereto, the title compound was prepared using the corresponding amine. Synthesized.
(実施例21.110)
4-(2-(2-(5,8-ジメチル-[1,2,4]トリアゾロ[1,5-a]ピラジン-2-イル)シクロプロピル)-6-((S)-2-メチルピロリジン-1-イル)ピリミジン-4-イル)モルフォリンの合成
(参考例19)で得られた4-(6-クロロ-2-(2-(5,8-ジメチル-[1,2,4]トリアゾロ[1,5-a]ピラジン-2-イル)シクロプロピル)ピリミジン-4-イル)モルフォリン(20mg)のN-メチルピロリドン(0.5ml)溶液に、(S)-2-メチルピロリジン(26μl)、1,8-ジアザビシクロ(5.4.0)ウンデカ-7-エン(39μl)を加え、150℃で84時間加熱撹拌した。反応液を室温に冷却し、メタノール(1.5ml)で希釈し、メンブランフィルター(DISMIC(登録商標)-13JP)でろ過したのち、LC/MSにて分取精製した。得られた粗生成物をシリカゲル分取TLC(展開層:酢酸エチル100%)で精製し、標記化合物(3mg)を無色油状物質として得た。
 
(実施例21.111)
((2R)-1-(2-(2-(5,8-ジメチル-[1,2,4]トリアゾロ[1,5-a]ピラジン-2-イル)シクロプロピル)-6-モルホリノピリミジン-4-イル)ピロリジン-2-イル)メタノールの合成
(実施例21.110)と同様の方法、もしくは、これに準ずる方法で、対応するアミンを用いて、標記化合物を合成した。
 
(実施例22.001)
4-(2-(2-(5,8-ジメチル-[1,2,4]トリアゾロ[1,5-a]ピラジン-2-イル)シクロプロピル)-6-(ピロリジン-1-イル)ピリジン-4-イル)モルフォリンの合成
(参考例20)<工程5>で得られた、2-(2-(4-クロロ-6-(ピロリジン-1-イル)ピリジン-2-イル)シクロプロピル)-5,8-ジメチル-[1,2,4]トリアゾロ[1,5-a]ピラジン及びモルフォリンを用いて、(参考例20)<工程3>と同様の方法、もしくはこれに準ずる方法で標記化合物を合成した。
 
(実施例22.002)及び(実施例22.003)
4-(2-(2-(5,8-ジメチル-[1,2,4]トリアゾロ[1,5-a]ピラジン-2-イル)シクロプロピル)-6-(ピロリジン-1-イル)ピリジン-4-イル)モルフォリンの光学分割
(実施例22.001)で得られた4-(2-(2-(5,8-ジメチル-[1,2,4]トリアゾロ[1,5-a]ピラジン-2-イル)シクロプロピル)-6-(ピロリジン-1-イル)ピリジン-4-イル)モルフォリン(18mg)をキラルカラムクロマトグラフィー(カラム:(株)ダイセル化学工業製 CHIRALPAK AD-H (2.0cm×25.0cm)、溶出液;エタノール、流速:1.5ml/分、UV:254nm検出)を用いて光学分割を行うことで標記化合物の各エナンチオマーを第一分画(3.0mg、白色固体、光学純度:>98%ee、保持時間:10.7分、エナンチオマーA:実施例22.002)、および第二分画(2.0mg、白色固体、光学純度:>98%ee、保持時間:13.7分、エナンチオマーB:実施例22.003)として得た。光学純度はキラルカラムで決定した。(カラム:(株) ダイセル化学工業製 CHIRALPAK AD-H (0.46cm×15.0cm)、溶出液;エタノール、流速:1.0ml/分、UV:254nm検出)。
 
(実施例23.001)
(E)-6-(2-(5,8-ジメチル-[1,2,4]トリアゾロ[1,5-a]ピラジン-2-イル)ビニル)-2-(ピロリジン-1-イル)-N-(テトラヒドロ-2H-ピラン-4-イル)ピリミジン-4-アミンの合成
(参考例21)<工程2>で得られた、(E)-2-クロロ-6-(2-(5,8-ジメチル-[1,2,4]トリアゾロ[1,5-a]ピラジン-2-イル)ビニル)-N-(テトラヒドロフラン-2H-ピラン-4-イル)ピリミジン-4-アミン(10mg)及びピロリジン(11μl)を用いて、(実施例19.056)と同様な方法、もしくは、これに準ずる方法で、標記化合物(9.4mg)を得た。
 
(実施例23.002)
6-(2-(5,8-ジメチル-[1,2,4]トリアゾロ[1,5-a]ピラジン-2-イル)シクロプロピル)-2-(ピロリジン-1-イル)-N-(テトラヒドロ-2H-ピラン-4-イル)ピリミジン-4-アミンの合成
(参考例22)で得られた、2-クロロ-6-(2-(5,8-ジメチル-[1,2,4]トリアゾロ[1,5-a]ピラジン-2-イル)シクロプロピル)-N-(テトラヒドロ-2H-ピラン-4-イル)ピリミジン-4-アミン(40mg)及びピロリジン(42μl)を用いて、(実施例19.056)と同様な方法、もしくはこれに準ずる方法で、標記化合物(6mg)を得た。
(Example 21.110)
4- (2- (2- (5,8-dimethyl- [1,2,4] triazolo [1,5-a] pyrazin-2-yl) cyclopropyl) -6-((S) -2-methyl 4- (6-Chloro-2- (2- (5,8-dimethyl- [1,2,4]) obtained by synthesis of pyrrolidin-1-yl) pyrimidin-4-yl) morpholine (Reference Example 19) ] To a solution of triazolo [1,5-a] pyrazin-2-yl) cyclopropyl) pyrimidin-4-yl) morpholine (20 mg) in N-methylpyrrolidone (0.5 ml), (S) -2-methylpyrrolidine (26 μl) and 1,8-diazabicyclo (5.4.0) undec-7-ene (39 μl) were added, and the mixture was stirred with heating at 150 ° C. for 84 hours. The reaction solution was cooled to room temperature, diluted with methanol (1.5 ml), filtered through a membrane filter (DISMIC (registered trademark) -13JP), and then fractionated and purified by LC / MS. The obtained crude product was purified by silica gel preparative TLC (developing layer: ethyl acetate 100%) to obtain the title compound (3 mg) as a colorless oily substance.

(Example 21.111)
((2R) -1- (2- (2- (5,8-dimethyl- [1,2,4] triazolo [1,5-a] pyrazin-2-yl) cyclopropyl) -6-morpholinopyrimidine- 4-yl) pyrrolidin-2-yl) Methanol (Example 21.110) The title compound was synthesized in a similar manner or a method analogous thereto using the corresponding amine.

(Example 22.001)
4- (2- (2- (5,8-dimethyl- [1,2,4] triazolo [1,5-a] pyrazin-2-yl) cyclopropyl) -6- (pyrrolidin-1-yl) pyridine Synthesis of -4-yl) morpholine (Reference Example 20) 2- (2- (4-Chloro-6- (pyrrolidin-1-yl) pyridin-2-yl) cyclopropyl obtained in <Step 5> ) -5,8-dimethyl- [1,2,4] triazolo [1,5-a] pyrazine and morpholine, (Reference Example 20) The same method as in <Step 3> or a method analogous thereto The title compound was synthesized.

(Example 22.002) and (Example 22.003)
4- (2- (2- (5,8-dimethyl- [1,2,4] triazolo [1,5-a] pyrazin-2-yl) cyclopropyl) -6- (pyrrolidin-1-yl) pyridine 4- (2- (2- (5,8-dimethyl- [1,2,4] triazolo [1,5-a) obtained by optical resolution of -4-yl) morpholine (Example 22.001) ] Pyrazin-2-yl) cyclopropyl) -6- (pyrrolidin-1-yl) pyridin-4-yl) morpholine (18 mg) was subjected to chiral column chromatography (column: CHIRALPAK AD-H (produced by Daicel Chemical Industries, Ltd.) 2.0 cm × 25.0 cm), eluent; ethanol, flow rate: 1.5 ml / min, UV: 254 nm detection) to perform optical resolution, whereby each enantiomer of the title compound is first fractionated (3.0 mg). White solid, optical Degree:> 98% ee, retention time: 10.7 minutes, enantiomer A: Example 22.002), and second fraction (2.0 mg, white solid, optical purity:> 98% ee, retention time: 13 .7 minutes, enantiomer B: Example 22.003). The optical purity was determined with a chiral column. (Column: CHIRALPAK AD-H (0.46 cm × 15.0 cm) manufactured by Daicel Chemical Industries, Ltd., eluent: ethanol, flow rate: 1.0 ml / min, UV: 254 nm detection).

(Example 23.001)
(E) -6- (2- (5,8-dimethyl- [1,2,4] triazolo [1,5-a] pyrazin-2-yl) vinyl) -2- (pyrrolidin-1-yl)- Synthesis of N- (tetrahydro-2H-pyran-4-yl) pyrimidin-4-amine (Reference Example 21) (E) -2-chloro-6- (2- (5,5) obtained in <Step 2> 8-dimethyl- [1,2,4] triazolo [1,5-a] pyrazin-2-yl) vinyl) -N- (tetrahydrofuran-2H-pyran-4-yl) pyrimidin-4-amine (10 mg) and The title compound (9.4 mg) was obtained using pyrrolidine (11 μl) in the same manner as in (Example 19.056) or a method analogous thereto.

(Example 23.002)
6- (2- (5,8-Dimethyl- [1,2,4] triazolo [1,5-a] pyrazin-2-yl) cyclopropyl) -2- (pyrrolidin-1-yl) -N- ( 2-chloro-6- (2- (5,8-dimethyl- [1,2,4]) obtained by synthesis of tetrahydro-2H-pyran-4-yl) pyrimidin-4-amine (Reference Example 22) Triazolo [1,5-a] pyrazin-2-yl) cyclopropyl) -N- (tetrahydro-2H-pyran-4-yl) pyrimidin-4-amine (40 mg) and pyrrolidine (42 μl) The title compound (6 mg) was obtained in the same manner as in Example 19.056) or a method analogous thereto.
(実施例24.001)
(E)-5,8-ジメチル-2-(2-(3-メチル-6-(ピロリジン-1-イル)ピリジン-2-イル)ビニル)-[1,2,4]トリアゾロ[1,5-a]ピラジンの合成
(参考例24)<工程3>で得られた(E)-2-(2-(6-クロロ-3-メチルピリジン-2-イル)ビニル)-5,8-ジメチル-[1,2,4]トリアゾロ[1,5-a]ピラジンを用いて、(参考例20)<工程3>と同様な方法、もしくはこれに準ずる方法で標記化合物を合成した。
 
(実施例24.002)
5,8-ジメチル-2-(2-(3-メチル-6-(ピロリジン-1-イル)ピリジン-2-イル)シクロプロピル)-[1,2,4]トリアゾロ[1,5-a]ピラジンの合成
(参考例25)で得られた(E)-2-(2-(6-クロロ-3-メチルピリジン-2-イル)ビニル)-5,8-ジメチル-[1,2,4]トリアゾロ[1,5-a]ピラジン及びピロリジンを用いて、(参考例20)<工程3>と同様な方法、もしくはこれに準ずる方法で、標記化合物を合成した。
 
(実施例25.001)
4-(2-(1-(5,8-ジメチル-[1,2,4]トリアゾロ[1,5-a]ピラジン-2-イル)プロパン-2-イル)-6-(ピロリジン-1-イル)ピリミジン-4-イル)モルフォリンの合成 
(参考例26)で得られた1-(4-モルホリノ-6-(ピロリジン-1-イル)ピリミジン-2-イル)エタノン(13mg)及び(参考例4)で得られた((5,8-ジメチル-[1,2,4]トリアゾロ[1,5-a]ピラジン-2-イル)メチル)ホスホン酸ジエチル(15mg)から、(参考例1)の方法に準じて、粗生成物(7mg)を得た。得られた粗生成物から(実施例2)の方法を用いて、標記化合物(1.7mg)を得た。
 
(実施例25.002)
(Z)-2-(5,8-ジメチル-[1,2,4]トリアゾロ[1,5-a]ピラジン‐2‐イル)-1-(4-モルホリノ-6-(ピロリジン-1-イル)ピリミジン-2-イル)エテノールの合成
(参考例27)で得られた4-モルホリノ-(6-(ピロリジン-1-イル)ピリミジン-2-イル)(フェニルアミノメチル)ホスホン酸ジフェニル(140mg)および(参考例2)<工程2>で得られた5,8-ジメチル-[1,2,4]トリアゾロ[1,5-a]ピラジン-2-カルボキシアルデヒド(47mg)のテトラヒドロフラン(4ml)及びイソプロパノール(1ml)混合溶液に、室温にて炭酸セシウム(160mg)を加え、室温にて2時間攪拌した。その後、同温にて3規定塩酸(0.6ml)を加え室温にて18時間攪拌した。反応溶液をろ過し、得られた固体を酢酸エチル(3ml)で洗浄し、標記化合物(86mg)を淡黄色固体として得た。
 
(実施例25.003)
(E)-2-(2-(5,8-ジメチル-[1,2,4]トリアゾロ[1,5-a]ピラジン-2-イル)1-プロぺン-2-イル)-6-(ピロリジン-1-イル)-N-(テトラヒドロ-2H-ピラン-4-イル)ピリミジン-4-アミンの合成 
(参考例28)<工程3>で得られた(E)-2-(1-(4-クロロ-6-(ピロリジン-1-イル)ピリミジン-2-イル)1-プロぺン-2-イル)-5,8-ジメチル-[1,2,4]トリアゾロ[1,5-a]ピラジン(12mg)から、(実施例)9と同様な方法、もしくは、これに準ずる方法で、標記化合物(5.1mg)を淡黄色固体として得た。
(Example 24.001)
(E) -5,8-dimethyl-2- (2- (3-methyl-6- (pyrrolidin-1-yl) pyridin-2-yl) vinyl)-[1,2,4] triazolo [1,5 -A] Synthesis of pyrazine (Reference Example 24) (E) -2- (2- (6-Chloro-3-methylpyridin-2-yl) vinyl) -5,8-dimethyl obtained in <Step 3> The title compound was synthesized in the same manner as in (Reference Example 20) <Step 3> or a method analogous thereto using [1,2,4] triazolo [1,5-a] pyrazine.

(Example 24.002)
5,8-Dimethyl-2- (2- (3-methyl-6- (pyrrolidin-1-yl) pyridin-2-yl) cyclopropyl)-[1,2,4] triazolo [1,5-a] (E) -2- (2- (6-Chloro-3-methylpyridin-2-yl) vinyl) -5,8-dimethyl- [1,2,4] obtained by synthesis of pyrazine (Reference Example 25) The title compound was synthesized using triazolo [1,5-a] pyrazine and pyrrolidine in the same manner as in (Reference Example 20) <Step 3> or a method analogous thereto.

(Example 25.001)
4- (2- (1- (5,8-dimethyl- [1,2,4] triazolo [1,5-a] pyrazin-2-yl) propan-2-yl) -6- (pyrrolidin-1- Synthesis of yl) pyrimidin-4-yl) morpholine
1- (4-morpholino-6- (pyrrolidin-1-yl) pyrimidin-2-yl) ethanone obtained in (Reference Example 26) (13 mg) and (Reference Example 4) ((5,8 -Dimethyl- [1,2,4] triazolo [1,5-a] pyrazin-2-yl) methyl) from diethyl diethyl phosphonate (15 mg) according to the method of Reference Example 1 (7 mg ) The title compound (1.7 mg) was obtained from the obtained crude product using the method of (Example 2).

(Example 25.002)
(Z) -2- (5,8-Dimethyl- [1,2,4] triazolo [1,5-a] pyrazin-2-yl) -1- (4-morpholino-6- (pyrrolidin-1-yl) ) Pyrimidin-2-yl) ethenol Synthesis (Reference Example 27) 4-morpholino- (6- (pyrrolidin-1-yl) pyrimidin-2-yl) (phenylaminomethyl) phosphonic acid diphenyl (140 mg) (Reference Example 2) 5,8-dimethyl- [1,2,4] triazolo [1,5-a] pyrazine-2-carboxaldehyde (47 mg) obtained in <Step 2> in tetrahydrofuran (4 ml) and Cesium carbonate (160 mg) was added to a mixed solution of isopropanol (1 ml) at room temperature, and the mixture was stirred at room temperature for 2 hours. Thereafter, 3N hydrochloric acid (0.6 ml) was added at the same temperature, and the mixture was stirred at room temperature for 18 hours. The reaction solution was filtered, and the resulting solid was washed with ethyl acetate (3 ml) to obtain the title compound (86 mg) as a pale yellow solid.

(Example 25.003)
(E) -2- (2- (5,8-dimethyl- [1,2,4] triazolo [1,5-a] pyrazin-2-yl) 1-propen-2-yl) -6- Synthesis of (pyrrolidin-1-yl) -N- (tetrahydro-2H-pyran-4-yl) pyrimidin-4-amine
Reference Example 28 (E) -2- (1- (4-Chloro-6- (pyrrolidin-1-yl) pyrimidin-2-yl) 1-propene-2- obtained in <Step 3> Yl) -5,8-dimethyl- [1,2,4] triazolo [1,5-a] pyrazine (12 mg) in the same manner as in Example 9 or a method analogous thereto, the title compound (5.1 mg) was obtained as a pale yellow solid.
(実施例25.004)
2-(2-(5,8-ジメチル-[1,2,4]トリアゾロ[1,5-a]ピラジン-2-イル)プロピル)-6-(ピロリジン-1-イル)-N-(テトラヒドロ-2H-ピラン-4-イル)ピリミジン-4-アミンの合成 
(実施例25.003)で得られた(E)-2-(2-(5,8-ジメチル-[1,2,4]トリアゾロ[1,5-a]ピラジン-2-イル)1-プロぺン-2-イル)-6-(ピロリジン-1-イル)-N-(テトラヒドロ-2H-ピラン-4-イル)ピリミジン-4-アミン(7.0mg)を用いて、(実施例2)の方法に準じて、標記化合物(6.9mg)を得た。
 
(実施例25.005)
2-(5,8-ジメチル-[1,2,4]トリアゾロ[1,5-a]ピラジン‐2‐イル)-1-(4-モルホリノ-6-(ピロリジン-1-イル)ピリミジン-2-イル)エタノールの合成
(実施例25.002)で得られた(Z)-2-(5,8-ジメチル-[1,2,4]トリアゾロ[1,5-a]ピラジン-2-イル)-1-(4-モルホリノ-6-(ピロリジン-1-イル)ピリミジン-2-イル)エテノール(65mg)のメタノール(5ml)溶液に、氷冷下、水素化ホウ素ナトリウム(12mg)を加え同温にて2時間攪拌した。25℃まで昇温した後、同温にて2時間攪拌した。飽和塩化アンモニウム水溶液を加え、酢酸エチル(10ml)で3回抽出した。飽和食塩水(20ml)で洗浄した後、硫酸ナトリウムで乾燥させ、減圧下溶媒を留去した。得られた残渣をシリカゲルカラムクロマトグラフィー(溶出液;塩化メチレン:メタノール=100:0~95:5~90:10~70:30~50:50)で精製し、標記化合物(65mg)を得た。
 
(実施例25.006)
4-(2-2-(5,8-ジメチル-[1,2,4]トリアゾロ[1,5-a]ピラジン-2-イル)-1-フルオロエチル)-6-(ピロリジン-1-イル)ピリミジン-4-イル)モルホリンの合成
(実施例25.005)で得られた2-(5,8-ジメチル-[1,2,4]トリアゾロ[1,5-a]ピラジン‐2‐イル)-1-(4-モルホリノ-6-(ピロリジン-1-イル)ピリミジン-2-イル)エタノール(20mg)の塩化メチレン(5ml)溶液に、氷冷下、4-tert-ブチル-2,6-ジメチルフェニルサルファートリフルオリド(18mg)を加え、同温にて2時間攪拌し、さらに4-tert-ブチル-2,6-ジメチルフェニルサルファートリフルオリド(125mg)を加えた。飽和重曹水をゆっくりと加え、反応を停止させ、塩化メチレン(10ml)で3回抽出した。飽和食塩水で洗浄した後、硫酸ナトリウムで乾燥させ、減圧下溶媒を留去して得られた残渣をシリカゲルカラムクロマトグラフィー(溶出液;n-ヘキサン:酢酸エチル=50:50~0:100)および分取薄層クロマトグラフィー(展開液;酢酸エチルx2)で精製し、標記化合物(0.7mg)を無色アモルファスとして得た。
 
(実施例25.007)
2-((5,8-ジメチル-[1,2,4]トリアゾロ[1,5-a]ピラジン-2-イル)メトキシ)-6-(ピロリジン-1-イル)-N-(テトラヒドロ-2H-ピラン-4-イル)ピリミジン-4-アミンの合成
(参考例29)<工程2>で得られた、2-(((4-クロロ-6-(ピロリジン-1-イル)ピリミジン-2-イル)オキシ)メチル)-5,8-ジメチル-[1,2,4]トリアゾロ[1,5-a]ピラジン(40mg)を用いて、(実施例9)の方法に準じて、標記化合物(12mg)を白色固体として得た。
(Example 25.004)
2- (2- (5,8-Dimethyl- [1,2,4] triazolo [1,5-a] pyrazin-2-yl) propyl) -6- (pyrrolidin-1-yl) -N- (tetrahydro -2H-pyran-4-yl) pyrimidin-4-amine
(E) -2- (2- (5,8-dimethyl- [1,2,4] triazolo [1,5-a] pyrazin-2-yl) 1- obtained in (Example 25.003) Using propen-2-yl) -6- (pyrrolidin-1-yl) -N- (tetrahydro-2H-pyran-4-yl) pyrimidin-4-amine (7.0 mg) (Example 2) ) To give the title compound (6.9 mg).

(Example 25.005)
2- (5,8-Dimethyl- [1,2,4] triazolo [1,5-a] pyrazin-2-yl) -1- (4-morpholino-6- (pyrrolidin-1-yl) pyrimidine-2 -Yl) (Z) -2- (5,8-dimethyl- [1,2,4] triazolo [1,5-a] pyrazin-2-yl obtained in the synthesis of ethanol (Example 25.002) ) -1- (4-morpholino-6- (pyrrolidin-1-yl) pyrimidin-2-yl) ethenol (65 mg) in methanol (5 ml) was added with sodium borohydride (12 mg) under ice cooling. Stir at temperature for 2 hours. After heating up to 25 degreeC, it stirred at the same temperature for 2 hours. Saturated aqueous ammonium chloride solution was added, and the mixture was extracted 3 times with ethyl acetate (10 ml). The extract was washed with saturated brine (20 ml), dried over sodium sulfate, and the solvent was removed under reduced pressure. The obtained residue was purified by silica gel column chromatography (eluent; methylene chloride: methanol = 100: 0 to 95: 5 to 90:10 to 70:30 to 50:50) to obtain the title compound (65 mg). .

(Example 25.006)
4- (2-2 (5,8-Dimethyl- [1,2,4] triazolo [1,5-a] pyrazin-2-yl) -1-fluoroethyl) -6- (pyrrolidin-1-yl ) 2- (5,8-Dimethyl- [1,2,4] triazolo [1,5-a] pyrazin-2-yl obtained in the synthesis of (pyrimidin-4-yl) morpholine (Example 25.005) ) -1- (4-morpholino-6- (pyrrolidin-1-yl) pyrimidin-2-yl) ethanol (20 mg) in methylene chloride (5 ml) under ice-cooling, 4-tert-butyl-2,6 -Dimethylphenylsulfur trifluoride (18 mg) was added, stirred at the same temperature for 2 hours, and further 4-tert-butyl-2,6-dimethylphenylsulfur trifluoride (125 mg) was added. Saturated aqueous sodium bicarbonate was slowly added to stop the reaction, and the mixture was extracted 3 times with methylene chloride (10 ml). The extract was washed with saturated brine, dried over sodium sulfate, and the solvent was distilled off under reduced pressure. The resulting residue was subjected to silica gel column chromatography (eluent; n-hexane: ethyl acetate = 50: 50-0: 100) The product was purified by preparative thin layer chromatography (developing solution; ethyl acetate x2) to obtain the title compound (0.7 mg) as a colorless amorphous.

(Example 25.007)
2-((5,8-dimethyl- [1,2,4] triazolo [1,5-a] pyrazin-2-yl) methoxy) -6- (pyrrolidin-1-yl) -N- (tetrahydro-2H Synthesis of -pyran-4-yl) pyrimidin-4-amine (Reference Example 29) 2-(((4-Chloro-6- (pyrrolidin-1-yl) pyrimidin-2-) obtained in <Step 2> Yl) oxy) methyl) -5,8-dimethyl- [1,2,4] triazolo [1,5-a] pyrazine (40 mg) according to the method of (Example 9) and the title compound ( 12 mg) was obtained as a white solid.
(実施例25.008)
4-((5,8-ジメチル-[1,2,4]トリアゾロ[1,5-a]ピラジン-2-イル)メトキシ)-6-(ピロリジン-1-イル)-N-(テトラヒドロ-2H-ピラン-4-イル)ピリミジン-2-アミンの合成
(参考例29)<工程2>で得られた、2-(((2-クロロ-6-(ピロリジン-1-イル)ピリミジン-2-イル)オキシ)メチル)-5,8-ジメチル-[1,2,4]トリアゾロ[1,5-a]ピラジン(10mg)を用いて、(実施例9)の方法に準じて、標記化合物(5mg)を淡黄色固体として得た。
 
(実施例25.009)
-((5,8-ジメチル-[1,2,4]トリアゾロ[1,5-a]ピラジン-2-イル)メチル)-6-(ピロリジン-1-イル)-N-(テトラヒドロ-2H-ピラン-4-イル)ピリミジン-2,4-ジアミンの合成
(参考例30)<工程3> で得られた、4-クロロ-N-((5,8-ジメチル-[1,2,4]トリアゾロ[1,5-a]ピラジン-2-イル)メチル)-6-(ピロリジン-1-イル)ピリミジン-2-アミン(20mg)を用いて、(実施例9)の方法に準じて、標記化合物(4mg)を淡黄色固体として得た。
 
(実施例25.010)
(Z)-1-(5,8-ジメチル-[1,2,4]トリアゾロ[1,5-a]ピラジン-2-イル)-2-(4-モルホリノ-6-(ピロリジン-1-イル)ピリミジン-2-イル)エテノールの合成
(参考例31)で得られた、ジフェニル((5,8-ジメチル-[1,2,4]トリアゾロ[1,5-a]ピラジン-2-イル)(フェニルアミノ)メチル)ホスホネート(56mg)のイソプロパノール(1ml)-テトラヒドロフラン(1ml)混合溶液に、(参考例9)<工程4>で得られた4-モルホリノ-6-(ピロリジン-1-イル)ピリミジン-2-カルバアルデヒド(30mg)、炭酸セシウム(75mg)を順次加え、室温で18時間攪拌した。反応溶液に1規定塩酸(3ml)を加え、室温で1時間攪拌した後、飽和炭酸水素ナトリウム水溶液で中和した。反応液を塩化メチレンで抽出し、有機層を無水硫酸ナトリウムで乾燥し、減圧下溶媒を留去した。得られた残渣をシリカゲルカラムクロマトグラフィー(溶出液;n-ヘキサン:酢酸エチル=50:50-0:100)で精製し、標記化合物(40mg)を黄色固体として得た。
 
(実施例25.011)
1-(5,8-ジメチル-[1,2,4]トリアゾロ[1,5-a]ピラジン-2-イル)-2-(4-モルホリノ-6-(ピロリジン-1-イル)ピリミジン-2-イル)エタノール
の合成
(実施例25.010)で得られた、(Z)-1-(5,8-ジメチル-[1,2,4]トリアゾロ[1,5-a]ピラジン-2-イル)-2-(4-モルホリノ-6-(ピロリジン-1-イル)ピリミジン-2-イル)エテノール(61mg)のメタノール(5ml)に、氷冷下水素化ホウ素ナトリウム(11mg)を加え、室温で18時間攪拌した。反応溶液に水(5ml)を加え、酢酸エチルで抽出した。有機層を無水硫酸ナトリウムで乾燥し、減圧下溶媒を留去した。得られた残渣をシリカゲルカラムクロマトグラフィー(溶出液;n-ヘキサン:酢酸エチル=50:50-0:100)で精製し、標記化合物(54mg)を無色油状物質として得た。
 
(実施例25.012)
4-(2-(2-(5,8-ジメチル-[1,2,4]トリアゾロ[1,5-a]ピラジン-2-イル)-2-メトキシエチル)-6-(ピロリジン-1-イル)ピリミジン-4-イル)モルフォリンの合成
(実施例25.011)で得られた、1-(5,8-ジメチル-[1,2,4]トリアゾロ[1,5-a]ピラジン-2-イル)-2-(4-モルホリノ-6-(ピロリジン-1-イル)ピリミジン-2-イル)エタノール(10mg)のテトラヒドロフラン(1ml)溶液に、氷冷下60%水素化ナトリウム(1.9mg)、ヨウ化メチル(1.8μl)を順次加え、室温で1時間攪拌した。反応溶液に水(1ml)を加え、減圧下溶媒を留去した。得られた残渣をシリカゲルカラムクロマトグラフィー(溶出液;n-ヘキサン:酢酸エチル=50:50-0:100)で精製し、標記化合物(9.9mg)を無色油状物質として得た。
 
(実施例25.013)
4-(2-(2-(5,8-ジメチル-[1,2,4]トリアゾロ[1,5-a]ピラジン-2-イル)-2-フルオロエチル)-6-(ピロリジン-1-イル)ピリミジン-4-イル)モルフォリン
(実施例25.011)で得られた、1-(5,8-ジメチル-[1,2,4]トリアゾロ[1,5-a]ピラジン-2-イル)-2-(4-モルホリノ-6-(ピロリジン-1-イル)ピリミジン-2-イル)エタノール(20mg)のテトラヒドロフラン(2ml)溶液に、-78℃でビス(2-メトキシエチル)アミノサルファートリフルオリド(43μl)、を加え、同温度で2時間攪拌した。反応溶液に水(1ml)を加え、減圧下溶媒を留去した。得られた残渣をLC/MSにて分取精製し、標記化合物(0.5mg)をアモルファス固体として得た。
 
(実施例26.001)
5,8-ジメチル-2-(2-(4-(ピロリジン-1-イル)ピリミジン-2-イル)エチル)-[1,2,4]トリアゾロ[1,5-a]ピラジンの合成
 (実施例8)で得られた、(E)-2-(2-(4-クロロ-6-(ピロリジン-1-イル)ピリミジン-2-イル)ビニル)5,8-ジメチル-[1,2,4]トリアゾロ[1,5-a]ピラジン(10mg)から、(実施例2)と同様な方法、もしくは、これに準ずる方法にて、標記化合物(7.5mg)を合成した。
 
(実施例26.002)
(S)-4-(2-(2-(5,8-ジメチル-[1,2,4]トリアゾロ[1,5-a]ピラジン-2-イル)エチル)-6-(3-フルオロピロリジン-1-イル)ピリミジン-4-イル)モルフォリンの合成
(実施例19.056)で得られた(S,E)-4-(2-(2-(5,8-ジメチル-[1,2,4]トリアゾロ[1,5-a]ピラジン-2-イル)ビニル)-6-(3-フルオロピロリジン-1-イル)ピリミジン-4-イル)モルフォリン(12.3mg)から、(実施例2)と同様な方法、もしくはこれに準ずる方法を用いて、標記化合物(6.2mg)を得た。
 
(実施例26.003)から(実施例26.015)の化合物[各実施例化合物名は前述の[表1-20]から[表1-21]に記載してある]を、対応するリンカー(-L1-L2-部位)が二重結合の誘導体から、(実施例2)と同様な方法、もしくは、この方法に準じて合成した。
 
(Example 25.008)
4-((5,8-dimethyl- [1,2,4] triazolo [1,5-a] pyrazin-2-yl) methoxy) -6- (pyrrolidin-1-yl) -N- (tetrahydro-2H Synthesis of -pyran-4-yl) pyrimidin-2-amine (Reference Example 29) 2-(((2-chloro-6- (pyrrolidin-1-yl) pyrimidin-2-) obtained in <Step 2> Yl) oxy) methyl) -5,8-dimethyl- [1,2,4] triazolo [1,5-a] pyrazine (10 mg) according to the method of (Example 9) and the title compound ( 5 mg) was obtained as a pale yellow solid.

(Example 25.09)
N2 - ((5,8-dimethyl - [1,2,4] triazolo [1,5-a] pyrazin-2-yl) methyl) -6- (pyrrolidin-1-yl) -N4 - (tetrahydro Synthesis of -2H-pyran-4-yl) pyrimidine-2,4-diamine (Reference Example 30) <Step 3> 4-chloro-N-((5,8-dimethyl- [1,2 , 4] triazolo [1,5-a] pyrazin-2-yl) methyl) -6- (pyrrolidin-1-yl) pyrimidin-2-amine (20 mg) according to the method of (Example 9) The title compound (4 mg) was obtained as a pale yellow solid.

(Example 25.010)
(Z) -1- (5,8-Dimethyl- [1,2,4] triazolo [1,5-a] pyrazin-2-yl) -2- (4-morpholino-6- (pyrrolidin-1-yl) Diphenyl ((5,8-dimethyl- [1,2,4] triazolo [1,5-a] pyrazin-2-yl) obtained by the synthesis of) pyrimidin-2-yl) ethenol (Reference Example 31) To a mixed solution of (phenylamino) methyl) phosphonate (56 mg) in isopropanol (1 ml) -tetrahydrofuran (1 ml) (Reference Example 9) 4-morpholino-6- (pyrrolidin-1-yl) obtained in <Step 4> Pyrimidine-2-carbaldehyde (30 mg) and cesium carbonate (75 mg) were sequentially added, and the mixture was stirred at room temperature for 18 hours. 1N Hydrochloric acid (3 ml) was added to the reaction solution, and the mixture was stirred at room temperature for 1 hr, and neutralized with saturated aqueous sodium hydrogen carbonate solution. The reaction solution was extracted with methylene chloride, the organic layer was dried over anhydrous sodium sulfate, and the solvent was distilled off under reduced pressure. The obtained residue was purified by silica gel column chromatography (eluent; n-hexane: ethyl acetate = 50: 50-0: 100) to obtain the title compound (40 mg) as a yellow solid.

(Example 25. 011)
1- (5,8-Dimethyl- [1,2,4] triazolo [1,5-a] pyrazin-2-yl) -2- (4-morpholino-6- (pyrrolidin-1-yl) pyrimidine-2 -Yl) (Z) -1- (5,8-dimethyl- [1,2,4] triazolo [1,5-a] pyrazine-2- obtained in the synthesis of ethanol (Example 25.010) Yl) -2- (4-morpholino-6- (pyrrolidin-1-yl) pyrimidin-2-yl) ethenol (61 mg) in methanol (5 ml) was added with sodium borohydride (11 mg) under ice-cooling. For 18 hours. Water (5 ml) was added to the reaction solution, and the mixture was extracted with ethyl acetate. The organic layer was dried over anhydrous sodium sulfate, and the solvent was distilled off under reduced pressure. The obtained residue was purified by silica gel column chromatography (eluent; n-hexane: ethyl acetate = 50: 50-0: 100) to give the title compound (54 mg) as a colorless oil.

(Example 25.010)
4- (2- (2- (5,8-dimethyl- [1,2,4] triazolo [1,5-a] pyrazin-2-yl) -2-methoxyethyl) -6- (pyrrolidine-1- 1- (5,8-dimethyl- [1,2,4] triazolo [1,5-a] pyrazine-, obtained by the synthesis of (yl) pyrimidin-4-yl) morpholine (Example 25.0101) 2-Iyl) -2- (4-morpholino-6- (pyrrolidin-1-yl) pyrimidin-2-yl) ethanol (10 mg) in tetrahydrofuran (1 ml) was added to 60% sodium hydride (1. 9 mg) and methyl iodide (1.8 μl) were sequentially added, and the mixture was stirred at room temperature for 1 hour. Water (1 ml) was added to the reaction solution, and the solvent was distilled off under reduced pressure. The obtained residue was purified by silica gel column chromatography (eluent; n-hexane: ethyl acetate = 50: 50-0: 100) to give the title compound (9.9 mg) as a colorless oil.

(Example 25.015)
4- (2- (2- (5,8-dimethyl- [1,2,4] triazolo [1,5-a] pyrazin-2-yl) -2-fluoroethyl) -6- (pyrrolidine-1- 1- (5,8-Dimethyl- [1,2,4] triazolo [1,5-a] pyrazine-2-, obtained with (yl) pyrimidin-4-yl) morpholine (Example 25.0101) Yl) -2- (4-morpholino-6- (pyrrolidin-1-yl) pyrimidin-2-yl) ethanol (20 mg) in tetrahydrofuran (2 ml) at −78 ° C. at bis (2-methoxyethyl) aminosulfur Trifluoride (43 μl) was added and stirred at the same temperature for 2 hours. Water (1 ml) was added to the reaction solution, and the solvent was distilled off under reduced pressure. The resulting residue was separated and purified by LC / MS to obtain the title compound (0.5 mg) as an amorphous solid.

(Example 26.001)
Synthesis of 5,8-dimethyl-2- (2- (4- (pyrrolidin-1-yl) pyrimidin-2-yl) ethyl)-[1,2,4] triazolo [1,5-a] pyrazine (E) -2- (2- (4-Chloro-6- (pyrrolidin-1-yl) pyrimidin-2-yl) vinyl) 5,8-dimethyl- [1,2,4] obtained in Example 8) 4] The title compound (7.5 mg) was synthesized from triazolo [1,5-a] pyrazine (10 mg) by the same method as in (Example 2) or a method analogous thereto.

(Example 26.002)
(S) -4- (2- (2- (5,8-dimethyl- [1,2,4] triazolo [1,5-a] pyrazin-2-yl) ethyl) -6- (3-fluoropyrrolidine) 1-yl) pyrimidin-4-yl) morpholine (S, E) -4- (2- (2- (5,8-dimethyl- [1, 2,4] triazolo [1,5-a] pyrazin-2-yl) vinyl) -6- (3-fluoropyrrolidin-1-yl) pyrimidin-4-yl) morpholine (12.3 mg) Using the same method as in Example 2) or a method analogous thereto, the title compound (6.2 mg) was obtained.

The compounds of (Example 26.003) to (Example 26.015) [the names of the compounds of each Example are described in [Table 1-20] to [Table 1-21] above] and the corresponding linker It was synthesized from a derivative having a double bond at the (-L1-L2- moiety) in the same manner as in (Example 2) or according to this method.
(実施例26.016)
5,8-ジメチル-2-(2-(4-(ピペリジン-4-イル)-6-(ピロリジン-1-イル)ピリミジン-2-イル)エチル)-[1,2,4]トリアゾロ[1,5-a]ピラジン塩酸塩の合成
(参考例32)<工程2>で得られた、tert-ブチル 4-(2-(2-(5,8-ジメチル-[1,2,4]トリアゾロ[1,5-a]ピラジン-2-イル)エチル)-6-(ピロリジン-1-イル)ピリミジン-4-イル)ピペリジン-1-カーボキシレート(37mg)の4規定塩酸-1,4-ジオキサン(1ml)溶液を室温で2時間撹拌し、減圧下溶媒を留去した。得られた残渣を1,4-ジオキサン(3ml)で共沸し、標記化合物(55mg)を白色固体として得た。
 
(実施例26.017)
1-(4-(2-(2-(5,8-ジメチル-[1,2,4]トリアゾロ[1,5-a]ピラジン-2-イル)エチル)-6-(ピロリジン-1-イル)ピリミジン-4-イル)ピペリジン-1-イル)エタノンの合成
(実施例26.016)で得られた5,8-ジメチル-2-(2-(4-(ピペリジン-4-イル)-6-(ピロリジン-1-イル)ピリミジン-2-イル)エチル)-[1,2,4]トリアゾロ[1,5-a]ピラジン塩酸塩(10mg)のピリジン(1ml)溶液に、無水酢酸(4μl)とN,N-ジメチル-4-アミノピリジン(0.3mg)を加え、室温で15時間撹拌した。減圧下溶媒を留去し、残渣に酢酸エチル(15ml)を加え、水(10ml)、飽和食塩水(10 ml)で順次洗浄し、無水硫酸ナトリウムで乾燥した。減圧下溶媒を留去し、標記化合物(2mg)を淡茶色油状物質として得た。
 
(実施例26.018)
4-(6-アゼチジン-1-イル)-2-(2-(5,8-ジメチル-[1,2,4]トリアゾロ[1,5-a]ピラジン-2-イル)エチル)ピリミジン-4-イル)モルフォリンの合成
(参考例33)<工程3>で得られた(E)-4-(6-(アゼチジン-1-イル)-2-(2-(5,8-ジメチル-[1,2,4]トリアゾロ[1,5-a]ピラジン-2-イル)ビニル)ピリミジン-4-イル)モルフォリン(23mg)から、(実施例2)と同様な方法、もしくはこれに準ずる方法を用いて、標記化合物(8mg)を白色固体として得た。
 
(実施例26.019)
6-(アゼチジン-1-イル)-2-(2-(5,8-ジメチル-[1,2,4]トリアゾロ[1,5-a]ピラジン-2-イル)エチル)-N-(2-メトキシエチル)ピリミジン-4-アミンの合成
(参考例34)で得られた、(E)-6-(アゼチジン-1-イル)-2-(2-(5,8-ジメチル-[1,2,4]トリアゾロ[1,5-a]ピラジン-2-イル)ビニル)-N-(2-メトキシエチル)ピリミジン-4-アミン(23mg)から、(実施例2)と同様な方法を用いて、標記化合物(7mg)を白色固体として得た。
 
(実施例26.020)
4-(2-(2-(5,8-ジメチル-[1,2,4]トリアゾロ[1,5-c]ピリミジン-2-イル)エチル)-6-(ピロリジン-1-イル)ピリミジン-4-イル)モルフォリンの合成
(実施例19.050)で得られた、(E)-4-(2-(2-(7-クロロ-5,8-ジメチル-[1,2,4]トリアゾロ[1,5-c]ピリミジン-2-イル)ビニル)-6-(ピロリジン-1-イル)ピリミジン-4-イル)モルフォリン(10mg)のメタノール(1ml)溶液に、10%Pd/C(2mg)を加え、水素雰囲気下室温で18時間攪拌した。反応溶液をセライトろ過した後、減圧下溶媒を留去し、標記化合物(8.5mg)をアモルファス固体として得た。
 
(実施例27.001)から(実施例27.004)の化合物[各実施例化合物名は前述の[表1-21]から[表1-22]に記載してある]を、(実施例2)と同様な方法、もしくは、これに準じた方法で、対応するリンカー(-L1-L2-部位)が二重結合である誘導体から合成した。
 
(Example 26.016)
5,8-dimethyl-2- (2- (4- (piperidin-4-yl) -6- (pyrrolidin-1-yl) pyrimidin-2-yl) ethyl)-[1,2,4] triazolo [1 , 5-a] pyrazine hydrochloride (Reference Example 32) tert-butyl 4- (2- (2- (5,8-dimethyl- [1,2,4] triazolo) obtained in <Step 2> [1,5-a] pyrazin-2-yl) ethyl) -6- (pyrrolidin-1-yl) pyrimidin-4-yl) piperidine-1-carboxylate (37 mg) The dioxane (1 ml) solution was stirred at room temperature for 2 hours, and the solvent was distilled off under reduced pressure. The obtained residue was azeotroped with 1,4-dioxane (3 ml) to obtain the title compound (55 mg) as a white solid.

(Example 26.017)
1- (4- (2- (2- (5,8-dimethyl- [1,2,4] triazolo [1,5-a] pyrazin-2-yl) ethyl) -6- (pyrrolidin-1-yl) 5,8-Dimethyl-2- (2- (4- (piperidin-4-yl) -6 obtained in Example 26.016) Synthesis of) pyrimidin-4-yl) piperidin-1-yl) ethanone To a solution of-(pyrrolidin-1-yl) pyrimidin-2-yl) ethyl)-[1,2,4] triazolo [1,5-a] pyrazine hydrochloride (10 mg) in pyridine (1 ml) was added acetic anhydride (4 μl ) And N, N-dimethyl-4-aminopyridine (0.3 mg) were added, and the mixture was stirred at room temperature for 15 hours. The solvent was distilled off under reduced pressure, ethyl acetate (15 ml) was added to the residue, washed successively with water (10 ml) and saturated brine (10 ml), and dried over anhydrous sodium sulfate. The solvent was distilled off under reduced pressure to obtain the title compound (2 mg) as a pale brown oily substance.

(Example 26.018)
4- (6-Azetidin-1-yl) -2- (2- (5,8-dimethyl- [1,2,4] triazolo [1,5-a] pyrazin-2-yl) ethyl) pyrimidine-4 Synthesis of (-yl) morpholine (Reference Example 33) (E) -4- (6- (azetidin-1-yl) -2- (2- (5,8-dimethyl-[[ 1,2,4] triazolo [1,5-a] pyrazin-2-yl) vinyl) pyrimidin-4-yl) morpholine (23 mg), a method similar to (Example 2) or a method analogous thereto To give the title compound (8 mg) as a white solid.

(Example 26.019)
6- (Azetidin-1-yl) -2- (2- (5,8-dimethyl- [1,2,4] triazolo [1,5-a] pyrazin-2-yl) ethyl) -N- (2 (E) -6- (azetidin-1-yl) -2- (2- (5,8-dimethyl- [1, -methoxyethyl) pyrimidin-4-amine synthesized in Reference Example 34) 2,4] Triazolo [1,5-a] pyrazin-2-yl) vinyl) -N- (2-methoxyethyl) pyrimidin-4-amine (23 mg) was used in the same manner as in (Example 2). The title compound (7 mg) was obtained as a white solid.

(Example 26.020)
4- (2- (2- (5,8-dimethyl- [1,2,4] triazolo [1,5-c] pyrimidin-2-yl) ethyl) -6- (pyrrolidin-1-yl) pyrimidine- (E) -4- (2- (2- (7-chloro-5,8-dimethyl- [1,2,4]) obtained in the synthesis of 4-yl) morpholine (Example 19.050). To a solution of triazolo [1,5-c] pyrimidin-2-yl) vinyl) -6- (pyrrolidin-1-yl) pyrimidin-4-yl) morpholine (10 mg) in methanol (1 ml), 10% Pd / C (2 mg) was added, and the mixture was stirred at room temperature for 18 hours under a hydrogen atmosphere. The reaction solution was filtered through celite, and the solvent was evaporated under reduced pressure to obtain the title compound (8.5 mg) as an amorphous solid.

The compounds of (Example 27.001) to (Example 27.004) [The names of the compounds of each Example are described in the above [Table 1-21] to [Table 1-22]], The compound was synthesized from a derivative in which the corresponding linker (-L1-L2-site) is a double bond by a method similar to 2) or a method analogous thereto.
(実施例27.005)
2-(2-(6-(アゼチジン-1-イル)-4-((テトラヒドロ-2H-ピラン-4-イル)オキシ)ピリジン-2-イル)エチル)-5,8-ジメチル-[1,2,4]トリアゾロ[1,5-a]ピラジンの合成 
(参考例12)<工程2>で得られた(E)-2-(アゼチジン-1-イル)-6-(2-(5,8-ジメチル-[1,2,4]トリアゾロ[1,5-a]ピラジン-2-イル)ビニル)ピリジン-4-オール(23mg)を(実施例2)の方法に準じて還元した。得られた粗生成物とテトラヒドロ-2H-ピラン-4-オール(14mg)、トリフェニルホスフィン(37mg)をテトラヒドロフラン(1ml)に溶解した。氷冷下、アゾジカルボン酸ジエチル(64μl、2.2Mトルエン溶液)を滴下し、室温で終夜撹拌した。反応液を減圧下濃縮し、得られた残渣をLC/MSにて分取精製することによって、標記化合物(3.2mg)を得た。
 
(実施例28.001)
(E)-4-(6-(アゼチジン-1-イル)-2-(2-(5,7-ジメチル-[1,2,4]トリアゾロ[1,5-a]ピリミジン-2-イル)ビニル)ピリミジン-4-イル)モルフォリンの合成
(参考例35)<工程2>で得られた、2-(2-(4-(アゼチジン-1-イル)-6-クロロピリミジン-2-イル)ビニル)-5,7-ジメチル-[1,2,4]トリアゾロ[1,5-a]ピリミジン(30mg)の1-ブタノール(2ml)溶液に、モルフォリン(15μl)、1,8-ジアザビシクロ(5.4.0)ウンデカ-7-エン(DBU:39μl)を加え、150℃で18時間攪拌した。減圧下溶媒を留去し、得られた残渣をシリカゲルカラムクロマトグラフィー(溶出液;n-ヘキサン:酢酸エチル=50:50-0:100)で精製し、標記化合物(22mg)を白色固体として得た。
 
(実施例29.001)
(E)-4-(2-(2-(5,8-ジメチルイミダゾ[1,2-a]ピリジン-2-イル)ビニル)-6-(ピロリジン-1-イル)ピリミジン-4-イル)モルフォリンの合成
(参考例36)<工程4>で得られた(E)-2-(2-(4-クロロ-6-(ピロリジン1-イル)ピリミジン-2-イル)ビニル)-5,8-ジメチルイミダゾ[1,2-a]ピリジン(50mg)から、(実施例11)に準じた方法によって、標記化合物(19mg)を淡黄色固体として得た。
 
(実施例30.001)から(実施例30.006)の化合物を、(実施例21.036)と同様の方法、もしくはこれに準ずる方法で、各々対応するアミンを用いて合成した。
 
(実施例30.001)
2-(2-(5,8-ジメチル-[1,2,4]トリアゾロ[1,5-a]ピラジン-2-イル)シクロプロピル)-N-(5-メチルピリジン-3-イル)-6-(ピロリジン-1-イル)ピリミジン-4-アミン
 
(実施例30.002)
2-(2-(5,8-ジメチル-[1,2,4]トリアゾロ[1,5-a]ピラジン-2-イル)シクロプロピル)-N-(5-メトキシピリジン-3-イル)-6-(ピロリジン-1-イル)ピリミジン-4-アミン
 
(実施例30.003)
N-(5-クロロピリジン-3-イル)-2-(2-(5,8-ジメチル-[1,2,4]トリアゾロ[1,5-a]ピラジン-2-イル)シクロプロピル)-6-(ピロリジン-1-イル)ピリミジン-4-アミン
 
(実施例30.004)
(3S)-4-(2-(2-(5,8-ジメチル-[1,2,4]トリアゾロ[1,5-a]ピラジン-2-イル)シクロプロピル)-6-(ピロリジン-1-イル)ピリミジン-4-イル)-3-メチルモルホリン
 
(実施例30.005)
(3R)-4-(2-(2-(5,8-ジメチル-[1,2,4]トリアゾロ[1,5-a]ピラジン-2-イル)シクロプロピル)-6-(ピロリジン-1-イル)ピリミジン-4-イル)-3-メチルモルホリン
 
(実施例30.006)
4-(2-(2-(5,8-ジメチル-[1,2,4]トリアゾロ[1,5-a]ピラジン-2-イル)シクロプロピル)-6-(ピロリジン-1-イル)ピリミジン-4-イル)チオモルホリン 1,1-ジオキシド
 
(実施例30.007)
N-(2-(2-(5,8-ジメチル-[1,2,4]トリアゾロ[1,5-a]ピラジン-2-イル)シクロプロピル)-6-(ピロリジン-1-イル)ピリミジン-4-イル)キノリン-8-アミンの合成
 
 (参考例13)で得られた2-(2-(4-クロロ-6-(ピロリジン-1-イル)ピリミジン-2-イル)シクロプロピル)-5,8-ジメチル-[1,2,4]トリアゾロ[1,5-a]ピラジン(70mg)のtert-ブタノール(1.9ml)溶液に、キノリン-8-アミン(54.6mg)、酢酸パラジウム(8.5mg)、2-(ジシクロヘキシルホスフィノ)-2’,4’,6’-トリイソプロピルビフェニル(X-Phos:18mg)及びナトリウムtert-ブトキシド(54.6mg)を加え、窒素雰囲気下、95℃で16時間20分撹拌した。反応溶液に、tert-ブタノール(2ml)、酢酸パラジウム(17mg)、2-(ジシクロヘキシルホスフィノ)-2’,4’,6’-トリイソプロピルビフェニル(X-Phos:36mg)を加え、95℃で2時間撹拌した。さらに、マイクロウェーブで100℃で1時間撹拌した後、反応溶液を室温に冷却し、セライトろ過した。ろ液を減圧下濃縮し、残渣をLC/MSで分取精製し、標記化合物(9.3mg)を茶色固体として得た。
 
(実施例30.008)及び(実施例30.009)の化合物を、<参考例14>で得られた2-(2-(4-クロロ-6-(ピロリジン-1-イル)ピリミジン-2-イル)シクロプロピル)-5,8-ジメチル-[1,2,4]トリアゾロ[1,5-a]ピラジン(エナンチオマーB)及び各々対応するアルコールを用いて、(実施例21.098)と同様の方法、もしくはこれに準ずる方法で合成した。
 
(実施例30.008)
2-(2-(4-((6-メトキシピリジン-3-イル)オキシ)-6-(ピロリジン-1-イル)ピリミジン-2-イル)シクロプロピル)-5,8-ジメチル-[1,2,4]トリアゾロ[1,5-a]ピラジン
 
(実施例30.009)
5,8-ジメチル-2-(2-(4-((ピリジン-3-イルオキシ)-6-(ピロリジン-1-イル)ピリミジン-2-イル)シクロプロピル-[1,2,4]トリアゾロ[1,5-a]ピラジン
 
(実施例30.010)から(実施例30.018)の化合物を、(参考例14)で得られた2-(2-(4-クロロ-6-(ピロリジン-1-イル)ピリミジン-2-イル)シクロプロピル)-5,8-ジメチル-[1,2,4]トリアゾロ[1,5-a]ピラジン(エナンチオマーB)を用いて、(実施例21.074)と同様の方法、もしくはこれに準ずる方法で、各々対応するアミンから合成した。
 
(実施例30.010)
4-(2-(2-(5,8-ジメチル-[1,2,4]トリアゾロ[1,5-a]ピラジン-2-イル)シクロプロピル)-6-(ピロリジン-1-イル)ピリミジン-4-イル)-2,2-ジメチルモルホリン
 
(実施例30.011)
4-(2-(2-(5,8-ジメチル-[1,2,4]トリアゾロ[1,5-a]ピラジン-2-イル)シクロプロピル)-6-(ピロリジン-1-イル)ピリミジン-4-イル)-1-メチルピペラジン-2-オン
 
(実施例30.012)
4-(2-(2-(5,8-ジメチル-[1,2,4]トリアゾロ[1,5-a]ピラジン-2-イル)シクロプロピル)-6-(ピロリジン-1-イル)ピリミジン-4-イル)-2,6-ジメチルモルホリン
 
(実施例30.013)
1-(4-(2-(2-(5,8-ジメチル-[1,2,4]トリアゾロ[1,5-a]ピラジン-2-イル)シクロプロピル)-6-(ピロリジン-1-イル)ピリミジン-4-イル)ピペラジン-1-イル)エタノン
 
(実施例30.014)
1-(2-(2-(5,8-ジメチル-[1,2,4]トリアゾロ[1,5-a]ピラジン-2-イル)シクロプロピル)-6-(ピロリジン-1-イル)ピリミジン-4-イル)ピペリジン-4-オール
 
(実施例30.015)
2-(2-(4-((3-メトキシアゼチジン-1-イル)-6-(ピロリジン-1-イル)ピリミジン-2-イル)シクロプロピル)-(5,8-ジメチル-[1,2,4]トリアゾロ[1,5-a]ピラジン
 
(実施例30.016)
2-(2-(4-(3-エトキシアゼチジン-1-イル)-6-(ピロリジン-1-イル)ピリミジン-2-イル)シクロプロピル)-5,8-ジメチル-[1,2,4]トリアゾロ[1,5-a]ピラジン
 
(実施例30.017)
1-(2-(2-(5,8-ジメチル-[1,2,4]トリアゾロ[1,5-a]ピラジン-2-イル)シクロプロピル)-6-(ピロリジン-1-イル)ピリミジン-4-イル)アゼチジン-3-オール
 
(実施例30.018)
1-(2-(2-(5,8-ジメチル-[1,2,4]トリアゾロ[1,5-a]ピラジン-2-イル)シクロプロピル)-6-(ピロリジン-1-イル)ピリミジン-4-イル)-3-メチルアゼチジン-3-オール
 
(実施例30.019)及び(実施例30.020)の化合物を、(参考例19)で得られた4-(6-クロロ-2-(2-(5,8-ジメチル-[1,2,4]トリアゾロ[1,5-a]ピラジン-2-イル)シクロプロピル)ピリミジン-4-イル)モルホリン及び対応するアミンを用いて、(実施例21.074)と同様の方法、もしくはこれに準ずる方法によりそれぞれ得た。
 
(実施例30.019)
4-(2-(2-(5,8-ジメチル-[1,2,4]トリアゾロ[1,5-a]ピラジン-2-イル)シクロプロピル)-6-((S)-2-メチルピロリジン-1-イル)ピリミジン-4-イル)モルホリン
 
(実施例30.020)
4-(2-(2-(5,8-ジメチル-[1,2,4]トリアゾロ[1,5-a]ピラジン-2-イル)シクロプロピル)-6-((S)-3-フルオロピロリジン-1-イル)ピリミジン-4-イル)モルホリン
 
(実施例30.021)から(実施例30.023)の化合物を、(参考例14)で得られた2-(2-(4-クロロ-6-(ピロリジン-1-イル)ピリミジン‐2‐イル)シクロプロピル)-5,8-ジメチル-[1,2,4]トリアゾロ[1,5-a]ピラジン(エナンチオマーB)を用いて、(実施例21.079)と同様の方法、もしくはこれに準ずる方法で、各々対応するアミンから合成した。
 
(実施例30.021)
8-(2-(2-(5,8-ジメチル-[1,2,4]トリアゾロ[1,5-a]ピラジン-2-イル)シクロプロピル)-6-(ピロリジン-1-イル)ピリミジン-4-イル)-1-オキサ-8-アザスピロ[4,5]デカン
 
(実施例30.022)
2-(2-(4-((S)-ヘキサヒドロピロロ[1,2-a]ピラジン-2(1H)-イル)-6-(ピロリジン-1-イル)ピリミジン-2-イル)シクロプロピル)-5,8-ジメチル-[1,2,4]トリアゾロ[1,5-a]ピラジン
(実施例30.023)
2-(2-(4-((R)-ヘキサヒドロピロロ[1,2-a]ピラジン-2(1H)-イル)-6-(ピロリジン-1-イル)ピリミジン-2-イル)シクロプロピル)-5,8-ジメチル-[1,2,4]トリアゾロ[1,5-a]ピラジン
 
(実施例30.024)及び(実施例30.025)の化合物を、(実施例21.050)と同様な方法、もしくはこれに準ずる方法で、各々対応するアミンを用いて合成した。
 
(実施例30.024)
(3S)-4-(2-(2-(5,8-ジメチル-[1,2,4]トリアゾロ[1,5-a]ピラジン-2-イル)シクロプロピル)-6-(ピロリジン-1-イル)ピリミジン-4-イル)-3-メチルモルホリン
 
(実施例30.025)
2-(2-(5,8-ジメチル-[1,2,4]トリアゾロ[1,5-a]ピラジン-2-イル)シクロプロピル)-N-((S)-1-メトキシプロパン-2-イル)-6-(ピロリジン-1-イル)ピリミジン-4-アミン
 
(実施例30.026)
4-(2-(2-(5,8-ジメチル-[1,2,4]トリアゾロ[1,5-a]ピラジン-2-イル)シクロプロピル)-6-(ピロリジン-1-イル)ピリミジン-4-イル)-3,3-ジメトキシモルホリンの合成
 
(参考例14)で得られた2-(2-(4-クロロ-6-(ピロリジン-1-イル)ピリミジン‐2‐イル)シクロプロピル)-5,8-ジメチル-[1,2,4]トリアゾロ[1,5-a]ピラジン(エナンチオマーB)を用いて、(実施例21.065)と同様の方法、もしくはこれに準ずる方法で、対応するアミンから合成した。
(実施例30.027)
2-(2-(2-(5,8-ジメチル-[1,2,4]トリアゾロ[1,5-a]ピラジン-2-イル)シクロプロピル)-6-(ピロリジン-1-イル)ピリミジン-4-イル)-ヘキサヒドロピロロ[1,2-a]ピラジン-6(2H)-オンの合成
(参考例14)で得られた2-(2-(4-クロロ-6-(ピロリジン-1-イル)ピリミジン-2-イル)シクロプロピル)-5,8-ジメチル-[1,2,4]トリアゾロ[1,5-a]ピラジン(エナンチオマーB)を用いて、(実施例21.074)と同様の方法、もしくはこれに準ずる方法で、対応するアミンを用いて合成した。
 
(実施例30.028)及び(実施例30.029)
2-(2-(2-(5,8-ジメチル-[1,2,4]トリアゾロ[1,5-a]ピラジン-2-イル)シクロプロピル)-6-(ピロリジン-1-イル)ピリミジン-4-イル)-ヘキサヒドロピロロ[1,2-a]ピラジン-6(2H)-オンの分割
(実施例30.027)で得られた、2-(2-(2-(5,8-ジメチル-[1,2,4]トリアゾロ[1,5-a]ピラジン-2-イル)シクロプロピル)-6-(ピロリジン-1-イル)ピリミジン-4-イル)-ヘキサヒドロピロロ[1,2-a]ピラジン-6(2H)-オン(100mg)を分取クロマトグラフィー(カラム:(株)ダイセル化学工業製 CHIRALPAK IA(2cm×25cm)、溶出液;n-ヘキサン:エタノール:ジエチルアミン=90:10:0.1(V/V)、流速:8ml/分、UV:254nm検出、カラム温度:40℃)を用いて分割を行うことで、標記化合物のジアステレオマーを得た。
第一分画(28.1mg、淡黄色固体、光学純度100%ee、保持時間6.7分、ジアステレオマーA:実施例30.028)
第二分画(31.6mg、淡黄色固体、光学純度97%ee、保持時間8.2分、ジアステレオマーB:実施例30.029)
光学純度及び保持時間は、下記条件で決定した。(カラム:(株)ダイセル化学工業製 CHIRALPAK IC (0.46cm×15cm)、溶出液;n-ヘキサン:エタノール:ジエチルアミン=90:10:0.1(V/V)、流速:2ml/分、UV:254nm検出、カラム温度:40℃)。
 
(実施例30.030)
2-((2S)-1-(2-(2-(5,8-ジメチル-[1,2,4]トリアゾロ[1,5-a]ピラジン-2-イル)シクロプロピル)-6-(ピロリジン-1-イル)ピリミジン-4-イル)-ピロリジン-2-イル)プロパン-2-オールの合成
(実施例21.100)で得られた、(2S)-メチル 1-(2-(2-(5,8-ジメチル-[1,2,4]トリアゾロ[1,5-a]ピラジン-2-イル)シクロプロピル)-6-(ピロリジン-1-イル)ピリミジン-4-イル)ピロリジン-2-カルボキシレート(36mg)のテトラヒドロフラン(1ml)溶液に、氷冷下、メチルマグネシウムブロマイド(0.065ml、3Mジメチルエーテル溶液)を加え、1時間撹拌した。反応溶液に、水冷下、メチルマグネシウムブロマイド(0.13ml)を加え、同温度にて30分撹拌した。さらに、反応溶液に、水冷下、メチルマグネシウムブロマイド(0.065ml)を加え、室温に昇温して、1時間撹拌した。反応溶液に、飽和塩化アンモニウム水溶液(20ml)を加え、塩化メチレン(50ml)で抽出した。有機層を硫酸ナトリウムで乾燥したのち、減圧下溶媒を留去した。得られた残差をシリカゲルカラムクロマトグラフィー(溶出液;酢酸エチル:n-ヘキサン=25:75~75:25)、LC/MS分取及びシリカゲル分取TLC(溶出液;酢酸エチル:ヘキサン=3:1)で順次精製し、標記化合物(5mg)を淡黄色アモルファスとして得た。
 
(実施例30.031)
(2S)-1-(2-(2-(5,8-ジメチル-[1,2,4]トリアゾロ[1,5-a]ピラジン-2-イル)シクロプロピル)-6-(ピロリジン-1-イル)ピリミジン-4-イル)ピロリジン-2-カルボン酸の合成
(実施例21.100)で得られた、(2S)-メチル 1-(2-(2-(5,8-ジメチル-[1,2,4]トリアゾロ[1,5-a]ピラジン-2-イル)シクロプロピル)-6-(ピロリジン-1-イル)ピリミジン-4-イル)ピロリジン-2-カルボキシレート(360mg)のメタノール(7ml)溶液に、2規定水酸化ナトリウム水溶液(0.78ml)を加え、40℃にて14.5時間撹拌した。減圧下溶媒を留去し、得られた残渣に水(5ml)を加え、1規定塩酸にて中和した。イソプロパノール/塩化メチレン混合溶液(20:80、30ml)で3回抽出した。有機層を合わせて、硫酸ナトリウムで乾燥したのち、減圧下溶媒を留去し、標記化合物(365mg)を淡黄色アモルファスとして得た。
 
(実施例30.032)
(2S)-1-(2-(2-(5,8-ジメチル-[1,2,4]トリアゾロ[1,5-a]ピラジン-2-イル)シクロプロピル)-6-(ピロリジン-1-イル)ピリミジン-4-イル)ピロリジン-2-カルボキサミドの合成
(実施例30.031)で得られた(2S)-1-(2-(2-(5,8-ジメチル-[1,2,4]トリアゾロ[1,5-a]ピラジン-2-イル)シクロプロピル)-6-(ピロリジン-1-イル)ピリミジン-4-イル)ピロリジン-2-カルボン酸(100mg)から、対応するアミン及び(実施例21.092)と同様の方法、もしくはこれに準ずる方法を用いて、対応するアミンから標記化合物(60mg)を灰色固体として得た。
 
(実施例30.033)
(2S)-1-(2-(2-(5,8-ジメチル-[1,2,4]トリアゾロ[1,5-a]ピラジン-2-イル)シクロプロピル)-6-(ピロリジン-1-イル)ピリミジン-4-イル)-N,N-ジメチルピロリジン-2-カルボキサミドの合成
(実施例30.031)で得られた((2S)-1-(2-(2-(5,8-ジメチル-[1,2,4]トリアゾロ[1,5-a]ピラジン-2-イル)シクロプロピル)-6-(ピロリジン-1-イル)ピリミジン-4-イル)ピロリジン-2-カルボン酸(30mg)、1-ヒドロキシベンゾトリアゾール一水和物(1.02mg)及びジメチルアミン塩酸塩(8.18mg)の混合物に、N,N-ジメチルホルムアミド(1ml)、トリエチルアミン(13.98μl)、及び1-エチル-3-(3-ジメチルアミノプロピル)カルボジイミド塩酸塩(15.4mg)を順次加え、室温にて22.5時間撹拌した。反応溶液をLC/MSで分取精製し、標記化合物(17mg)を得た。
 
(実施例30.034)及び(実施例30.035)
4-(2-(2-(5,8-ジメチル-[1,2,4]トリアゾロ[1,5-c]ピリミジン-2-イル)シクロプロピル)-6-(ピロリジン-1-イル)ピリミジン-4-イル)モルホリンの光学分割
(実施例21.103)で得られた4-(2-(2-(5,8-ジメチル-[1,2,4]トリアゾロ[1,5-c]ピリミジン-2-イル)シクロプロピル)-6-(ピロリジン-1-イル)ピリミジン-4-イル)モルホリン(80mg)を分取クロマトグラフィー(カラム:(株)ダイセル化学工業製 CHIRALPAK AD-H(2cm×25cm)、溶出液;n-ヘキサン:エタノール:ジエチルアミン=90:10:0.1(V/V)、流速:6ml/分、UV:254nm検出、カラム温度:40℃)を用いて光学分割を行うことで、標記化合物のエナンチオマーを得た。
第一分画(28.7mg、白色固体、光学純度100%ee、保持時間15.09分、エナンチオマーA:実施例30.034)
第二分画(30.2mg、白色固体、光学純度92.7%ee、保持時間30.14分、エナンチオマーB:実施例30.035)
光学純度及び保持時間は、下記条件で決定した。(カラム:(株)ダイセル化学工業製 CHIRALPAK AY-H (0.46cm×15cm)、溶出液;n-ヘキサン:エタノール:ジエチルアミン=90:10:0.1(V/V)、流速:1ml/分、UV:254nm検出、カラム温度:40℃)。
 
(実施例30.036)
2-(2-(4-(4-(ジフルオロメトキシ)ピペリジン-1-イル)-6-(ピロリジン-1-イル)ピリミジン-2-イル)シクロプロピル)-5,8-ジメチル-[1,2,4]トリアゾロ[1,5-a]ピラジンの合成
(実施例30.014)で得られた1-(2-(2-(5,8-ジメチル-[1,2,4]トリアゾロ[1,5-a]ピラジン-2-イル)シクロプロピル)-6-(ピロリジン-1-イル)ピリミジン-4-イル)ピペリジン-4-オール(40mg)のアセトニトリル(2ml)溶液に、45℃にてヨウ化銅(17.5mg)及び2-(フルオロスルフォニル)ジフルオロ酢酸(95.1μl)のアセトニトリル(0.5ml)溶液を加え、同温度にて1時間撹拌した。反応溶液に飽和炭酸水素ナトリウム水溶液(30ml)を加え、酢酸エチル(60ml)で抽出した。硫酸ナトリウムで乾燥したのち、減圧下溶媒を留去した。得られた残渣をシリカゲルカラムクロマトグラフィー(溶出液;酢酸エチル:n-ヘキサン=35:65~70:30)及びシリカゲル分取TLC(溶出液;酢酸エチル:n-ヘキサン=2:1)で順次精製し、標記化合物(11mg)を淡黄色アモルファスとして得た。
 
(実施例30.037)
5,8-ジメチル-2-(2-(4-(ピロリジン-1-イル)-6-((テトラヒドロ-2H-ピラン-4-イル)ピリミジン-2-イル)シクロプロピル-[1,2,4]トリアゾロ[1,5-a]ピラジンの合成
水素化ナトリウム(36mg)のN,N-ジメチルホルムアミド(4ml)溶液に、(参考例14)で得られた、2-(2-(4-クロロ-6-(ピロリジン-1-イル)ピリミジン-2-イル)シクロプロピル)-5,8-ジメチル-[1,2,4]トリアゾロ[1,5-a]ピラジン(エナンチオマーB、100mg)を氷冷下加え、室温にて1時間撹拌した。反応溶液を氷冷下に戻し、テトラヒドロ-4-ピラノール(55.2mg)を加え、室温にて2日間撹拌した。反応溶液に飽和塩化アンモニウム水溶液を加え、酢酸エチル(10ml)で3回抽出した。有機層を合わせて、飽和食塩水で洗浄したのち、硫酸ナトリウムで乾燥した。減圧下溶媒を留去し、得られた残渣をシリカゲルカラムクロマトグラフィー(溶出液;n-ヘキサン:酢酸エチル=30:70~50:50~80:20)で精製し、標記化合物(44.2mg)を淡黄色アモルファスとして得た。
 
(実施例30.038)
(2S)-1-(2-(2-(5,8-ジメチル-[1,2,4]トリアゾロ[1,5-a]ピラジン-2-イル)シクロプロピル)-6-(ピロリジン-1-イル)ピリミジン-4-イル)ピロリジン-2-カルボニトリルの合成
(工程1)(2S)-1-(2-(2-(5,8-ジメチル-[1,2,4]トリアゾロ[1,5-a]ピラジン-2-イル)シクロプロピル)-6-(ピロリジン-1-イル)ピリミジン-4-イル)ピロリジン-2-カルボン酸の合成
(参考例14)で得られた、2-(2-(4-クロロ-6-(ピロリジン-1-イル)ピリミジン-2-イル)シクロプロピル)-5,8-ジメチル-[1,2,4]トリアゾロ[1,5-a]ピラジン(エナンチオマーB、300mg)のN-メチルピロリドン(1.2ml)溶液に、L-プロリン(0.67g)及び1,8-ジアザビシクロ(5.4.0)ウンデカ-7-エン(DBU:1,21ml)を加え、150℃で3時間撹拌した。室温に冷却し、反応溶液に水(5ml)を加え、2規定塩酸水溶液でpH=4とした。イソプロパノール/塩化メチレン混合溶液(20:80、30ml及び20ml)でそれぞれ抽出し、有機層を合わせて硫酸ナトリウムで乾燥した。減圧下溶媒を留去し、標記化合物の粗精製物(1.58g)を得た。
 
(工程2)(2S)-1-(2-(2-(5,8-ジメチル-[1,2,4]トリアゾロ[1,5-a]ピラジン-2-イル)シクロプロピル)-6-(ピロリジン-1-イル)ピリミジン-4-イル)ピロリジン-2-カルボキサミドの合成
(実施例30.038)<工程1>で得られた(2S)-1-(2-(2-(5,8-ジメチル-[1,2,4]トリアゾロ[1,5-a]ピラジン-2-イル)シクロプロピル)-6-(ピロリジン-1-イル)ピリミジン-4-イル)ピロリジン-2-カルボン酸(0.36g)のN,N-ジメチルホルムアミド(4ml)溶液に、8規定アンモニウム-メタノール溶液(0.15ml)及び4-(4,6-ジメトキシ-1,3,5-トリアジン-2-イル)-4-メチルモルホリニウムクロライド(0.33g)を加え、室温にて63時間撹拌した。反応溶液に酢酸エチル(150ml)を加え、水(30ml)で3回洗浄し、有機層を硫酸ナトリウムで乾燥した。減圧下溶媒を留去し、得られた残渣をシリカゲルカラムクロマトグラフィー(溶出液;酢酸エチル:n-ヘキサン=50:50~80:20)で精製し、標記化合物(160mg)を得た。
<工程3>(2S)-1-(2-(2-(5,8-ジメチル-[1,2,4]トリアゾロ[1,5-a]ピラジン-2-イル)シクロプロピル)-6-(ピロリジン-1-イル)ピリミジン-4-イル)ピロリジン-2-カルボニトリルの合成
(実施例30.038)<工程2>で得られた、((2S)-1-(2-(2-(5,8-ジメチル-[1,2,4]トリアゾロ[1,5-a]ピラジン-2-イル)シクロプロピル)-6-(ピロリジン-1-イル)ピリミジン-4-イル)ピロリジン-2-カルボキサミド(0.10g)のテトラヒドロフラン(2ml)溶液に、氷冷下、ピリジン(0.11ml)及び無水トリフルオロ酢酸(0.093ml)を加え1時間撹拌した。反応溶液に、酢酸エチル(50ml)を加え、水(30ml)で洗浄した。硫酸ナトリウムで乾燥したのち、減圧下溶媒を留去した。得られた残渣をシリカゲルカラムクロマトグラフィー(溶出液;酢酸エチル:n-ヘキサン=35:65~60:40~75:35)で精製し、標記化合物(42mg)を得た。
 
(実施例30.039)
N-(tert-ブチル)-2-(2-(5,8-ジメチル-[1,2,4]トリアゾロ[1,5-a]ピラジン-2-イル)シクロプロピル)-N-メチル-6-(ピロリジン-1-イル)ピリミジン-4-カルボキサミドの合成
(参考例14)で得られた2-(2-(4-クロロ-6-(ピロリジン-1-イル)ピリミジン-2-イル)シクロプロピル)-5,8-ジメチル-[1,2,4]トリアゾロ[1,5-a]ピラジン(エナンチオマーB、200mg)を用いて、(参考例15)と同様な方法、もしくはこれに準ずる方法で合成した、2-(2-(5,8-ジメチル-[1,2,4]トリアゾロ[1,5-a]ピラジン-2-イル)シクロプロピル)-6-(ピロリジン-1-イル)ピリミジン-4-カルボン酸(70mg)のN,N-N,N-ジメチルホルムアミド(3.7ml)溶液に、1-エチル-3-(3-ジメチルアミノプロピル)カルボジイミド塩酸塩(79.6 mg),1-ヒドロキシベンゾトリアゾール一水和物(37.4mg)及びN-メチル-TERT-ブチルアミン(36.2mg)を加え、4時間撹拌した。反応溶液に、水(20ml)、飽和炭酸水素ナトリウム水溶液(20ml)を加え、酢酸エチル(20ml)で3回抽出した。有機層を合わせて、飽和食塩水(20ml)で洗浄し、硫酸ナトリウムで乾燥した。減圧下溶媒を留去し、得られた残渣をLC/MSにて分取精製し、標記化合物(38.6mg)を無色アモルファスとして得た。
 
(実施例30.040)
(2R)-1-(2-(2-(5,8-ジメチル-[1,2,4]トリアゾロ[1,5-a]ピラジン-2-イル)シクロプロピル)-6-モルホリノピリミジン-4-イル)ピロリジン-2-カルボキサミドの合成
(参考例19)で得られた、4-(6-クロロ-2-(2-(5,8-ジメチル-[1,2,4]トリアゾロ[1,5-a]ピラジン-2-イル)シクロプロピル)ピリミジン-4-イル)モルホリン(0.70g)のN-メチルピロリドン(2.6ml)溶液に、D-プロリンメチルエステル塩酸塩(1.50g)及び1,8-ジアザビシクロ(5.4.0)ウンデカ-7-エン(DBU:2.71ml)を加え、150℃にて5時間40分加熱撹拌した。反応溶液を室温に冷却し、水(10ml)を加え、2規定塩酸水溶液を加え、pH=4としたのち、イソプロパノール/塩化メチレン混合溶液(20:80、30ml及び20ml)でそれぞれ抽出した。有機層を合わせて硫酸ナトリウムで乾燥し、減圧下溶媒を留去し、粗生成物(4g)を得た。得られた租生成物の一部(2g)を(実施例30.039)と同様な方法、もしくはこれに準ずる方法でアミド化し、標記化合物(110mg)を得た。
 
(実施例30.041)
(2R)-1-(2-(2-(5,8-ジメチル-[1,2,4]トリアゾロ[1,5-a]ピラジン-2-イル)シクロプロピル)-6-モルホリノピリミジン-4-イル)ピロリジン-2-カルボニトリルの合成
(実施例30.040)で得られた(2R)-1-(2-(2-(5,8-ジメチル-[1,2,4]トリアゾロ[1,5-a]ピラジン-2-イル)シクロプロピル)-6-モルホリノピリミジン-4-イル)ピロリジン-2-カルボキサミド(105mg)を用いて、(実施例30.038)<工程3>と同様な方法、もしくはこれに準ずる方法を用いて、標記化合物(51mg)を得た。
 
(実施例30.042)
N-((2-(2ー(5,8-ジメチル-[1,2,4]トリアゾロ[1,5-a]ピラジン-2-イル)シクロプロピル)-6-(ピロリジン-1-イル)ピリミジン-4-イル)メチル)テトラヒドロー2H-ピランー4-アミンの合成
(参考例43)で得られた((2-(2-(5,8-ジメチル-[1,2,4]トリアゾロ[1,5-a]ピラジン-2-イル)シクロプロピル)-6-(ピロリジン-1-イル)ピリミジン-4-カルボアルデヒド(55mg)の塩化メチレン(15.1ml)溶液に酢酸(1.7μl)を加え、5分間撹拌した。反応溶液に、4-アミノテトラヒドロピラン(23mg)を加え、10分間撹拌した。反応溶液にトリアセトキシ水素化ホウ素ナトリウム(48.1mg)を加え、15時間30分撹拌した。反応溶液に、飽和炭酸水素ナトリウム水溶液(20ml)を加え、酢酸エチル(20ml)で3回抽出した。有機層を合わせて、飽和食塩水(20ml)で洗浄し、硫酸ナトリウムで乾燥した。減圧下溶媒を留去し、得られた残渣をLC/MSで分取精製し、標記化合物(41.9mg)を橙色固体として得た。
 
(実施例30.043)
4-(5-クロロー2-(2-(5,8-ジメチル-[1,2,4]トリアゾロ[1,5-a]ピラジン-2-イル)シクロプロピル)-6-(ピロリジン-1-イル)ピリミジン-4-イル)モルホリンの合成
(実施例21.077)で得られた、4-(2-(2-(5、8-ジメチル-[1,2,4]トリアゾロ[1,5-a]ピラジン-2-イル)シクロプロピル)-6-(ピロリジン-1-イル)ピリミジン-4-イル)モルホリン(20mg)のクロロホルム(1ml)溶液に、氷冷下、N-クロルスクシイミド(7.62mg)を加え、室温にて3日間撹拌した。反応溶液に飽和炭酸水素ナトリウム水溶液(60ml)を加え、酢酸エチル(20ml)で3回抽出した。有機層を合わせて硫酸ナトリウムで乾燥し、減圧下溶媒を留去した。得られた残渣をシリカゲルカラムクロマトグラフィー(溶出液;n-ヘキサン:酢酸エチル=80:20~50:50)で精製し、標記化合物(6.5mg)を無色アモルファスとして得た。
 
(実施例30.044)
2-(2-(5,8-ジメチル-[1,2,4]トリアゾロ[1,5-a]ピラジン-2-イル)シクロプロピル)-4-モルホリノ-6-(ピロリジン-1-イル)ピリミジン-5-イル)アセテートの合成
(実施例21.077)で得られた、4-(2-(2-(5,8-ジメチル-[1,2,4]トリアゾロ[1,5-a]ピラジン-2-イル)シクロプロピル)-6-(ピロリジン-1-イル)ピリミジン-4-イル)モルホリン(100mg)のクロロホルム(2ml)溶液に、氷冷下、酢酸(2ml)及びN-ブロモスクシイミド(44.4mg)を加え、室温で22時間30分撹拌した。反応溶液に飽和炭酸水素ナトリウム水溶液(20ml)、1規定水酸化ナトリウム水溶液(10ml)を順次加え、酢酸エチル(10ml)で3回抽出した。有機層を合わせて、飽和食塩水(15ml)で洗浄後、硫酸ナトリウムで乾燥した。減圧下溶媒を留去し、得られた残渣をシリカゲルカラムクロマトグラフィー(溶出液;n-ヘキサン:酢酸エチル=88:12~0:100)で精製し、標記化合物(39.2mg)を無色固体として得た。
 
(実施例30.045)
4-(2-(2-(5,8-ジメチル-[1,2,4]トリアゾロ[1,5-a]ピラジン-2-イル)シクロプロピル)-5-メトキシ-6-(ピロリジン-1-イル)ピリミジン-4-イル)モルホリンの合成
(実施例30.044)で得られた2-(2-(5,8-ジメチル-[1,2,4]トリアゾロ[1,5-a]ピラジン-2-イル)シクロプロピル)-4-モルホリノ-6-(ピロリジン-1-イル)ピリミジン-5-イル)アセテート(17.5mg)のテトラヒドロフラン(3ml)溶液に、tert-ブトキシカリウム(9.03mg)、ヨウ化メチル(15.57mg)及び水(1滴)を加え室温にて終夜撹拌した。反応溶液に、1規定水酸化ナトリウム水溶液(2ml)を加え1時間撹拌したのち、メタノール(3ml)を加え、さらに6時間撹拌した。反応溶液に、飽和塩化アンモニウム水溶液(30ml)を加え、酢酸エチル(10ml)で3回抽出した。有機層を合わせて減圧下溶媒を留去し、得られた残渣をシリカゲルカラムクロマトグラフィー(溶出液;酢酸エチル:n-ヘキサン=20:80~50:50~0:100)で精製し、標記化合物(3.5mg)を淡黄色固体として得た。
 
(実施例31.001)
2-(2-(5,8-ジメチル-[1,2,4]トリアゾロ[1,5-a]ピラジン-2-イル)シクロプロピル)-6-(ピロリジン-1-イル)-N-(テトラヒドロ-2H-ピラン-4-イル)ピリジン-4-アミンの合成
(参考例20)<工程5>で得られた2-(2-(4-クロロ-6-(ピロリジン-1-イル)ピリジン-2-イル)シクロプロピル)-5,8-ジメチル-[1,2,4]トリアゾロ[1,5-a]ピラジンに対して、(実施例30.007)と同様な方法、もしくはこれに準ずる方法を用いて、対応するアミンから標記化合物(17.8 mg)を無色固体として得た。
 
(実施例31.002)
N-(2-(2-(5,8-ジメチル-[1,2,4]トリアゾロ[1,5-a]ピラジン-2-イル)シクロプロピル)-6-(ピロリジン-1-イル)ピリジン-4-イル-)-6-メチルピリジン-3-アミンの合成
(実施例31.001)と同様な方法、もしくは、これに準ずる方法を用いて、対応するアミンから合成した。
 
(実施例31.003)
2-(2-(4-(3-メトキシフェニル)-6-(ピロリジン-1-イル)ピリジン-2-イル)シクロプロピル)-5,8-ジメチル-[1,2,4]トリアゾロ[1,5-a]ピラジンの合成
(参考例20)<工程5>で得られた2-(2-(4-クロロ-6-(ピロリジン-1-イル)ピリジン-2-イル)シクロプロピル)-5,8-ジメチル-[1,2,4]トリアゾロ[1,5-a]ピラジン(20mg)のエタノール(1.4ml)及び水(0.7ml)の混合溶液に、3-メトキシフェニルボロン酸(8.7mg)、テトラキストリフェニルフォスフィンパラジウム(6.3mg)を加え、窒素雰囲気下、90℃で15時間30分撹拌した。反応溶液に3-メトキシフェニルボロン酸(8.7mg)、テトラキストリフェニルフォスフィンパラジウム(18.9mg)を追加し、90℃で23時間20分撹拌した。反応溶液を室温に冷却後、セライトろ過し、酢酸エチル(40ml)で洗浄した。ろ液を減圧下濃縮し、得られた残渣を、LC/MSにて分取精製し、標記化合物(3.4mg)を淡黄色固体として得た。
 
 
(実施例31.004)
2-(2-(4-(4-メトキシフェニル)-6-(ピロリジン-1-イル)ピリジン-2-イル)シクロプロピル)-5,8-ジメチル-[1,2,4]トリアゾロ[1,5-a]ピラジンの合成
(実施例31.003)と同様な方法、もしくはこれに準ずる方法を用いて、対応するボロン酸から合成した。
 
 
(実施例31.005)
5,8-ジメチル-2-(2-(6-(ピロリジン-1-イル)-4-((テトラヒドロ-2H-ピラン-4-イル)オキシ)ピリジン-2-イル)シクロプロピル)-[1,2,4]トリアゾロ[1,5-a]ピラジンの合成
(参考例20)<工程4>で得られた2-(2-(5,8-ジメチル-[1,2,4]トリアゾロ[1,5-a]ピラジン-2-イル)シクロプロピル)-6-(ピロリジン-1-イル)ピリジン-4-オール(30mg)のテトラヒドロフラン(1.7ml)溶液に、テトラヒドロ-2H-ピラン-4-オール(17.5mg)、トリフェニルフォスフィン(44.9mg)及びアゾジカルボン酸ジエチル(78μl,40%トルエン溶液, 約2.2mol/L)を加え、2時間撹拌した。反応溶液にトリフェニルフォスフィン(44.9mg)及びアゾジカルボン酸ジエチル(78μl,40%トルエン溶液, 約2.2mol/L)を追加し、14時間撹拌した。反応溶液を減圧下濃縮し、得られた残渣をLC/MSで分取精製して、標記化合物(7.1mg)を無色固体として得た。
 
(実施例31.006)及び(実施例31.007)
5,8-ジメチル-2-(2-(6-(ピロリジン-1-イル)-4-((テトラヒドロ-2H-ピラン-4-イル)オキシ)ピリジン-2-イル)シクロプロピル)-[1,2,4]トリアゾロ[1,5-a]ピラジンの光学分割
(実施例31.005)で得られた5,8-ジメチル-2-(2-(6-(ピロリジン-1-イル)-4-((テトラヒドロ-2H-ピラン-4-イル)オキシ)ピリジン-2-イル)シクロプロピル)-[1,2,4]トリアゾロ[1,5-a]ピラジン(42mg)を分取クロマトグラフィー(カラム:(株)ダイセル化学工業製 CHIRALPAK IC(2cm×25cm)、溶出液;n-ヘキサン:エタノール:ジエチルアミン=90:10:0.1(V/V)、流速:8ml/分、UV:254nm検出、カラム温度:40℃)を用いて光学分割を行うことで、標記化合物のエナンチオマーを得た。
第一分画(9.5mg、光学純度100%ee、保持時間14.6分、エナンチオマーA:実施例31.006)
第二分画(9mg、光学純度95.8%ee、保持時間18.5分、エナンチオマーB:実施例31.007)
光学純度及び保持時間は、下記条件で決定した。(カラム:(株)ダイセル化学工業製 CHIRALPAK IC (0.46cm×25cm)、溶出液;n-ヘキサン:イソプロパノール:ジエチルアミン=90:10:0.1(V/V)、流速:1ml/分、UV:254nm検出、カラム温度:40℃)。
 
(実施例31.008)
5,8-ジメチル-2-(2-(4-(ピリジン-3-イルオキシ)-6-(ピロリジン-1-イル)ピリジン-2-イル)シクロプロピル)-[1,2,4]トリアゾロ[1,5-a]ピラジンの合成
(参考例20)<工程4>で得られた2-(2-(5,8-ジメチル-[1,2,4]トリアゾロ[1,5-a]ピラジン-2-イル)シクロプロピル)-6-(ピロリジン-1-イル)ピリジン-4-オール(30mg)のN-メチルピロリドン(0.4ml)溶液に、3-ブロモピリジン(14.9mg)、ヨウ化銅(4.1mg)、2,2,6,6-テトラメチル-3,5-ヘプタンジオン(13.6μl)及び炭酸セシウム(69.7mg)を加え、100℃で5時間撹拌した。反応溶液に、3-ブロモピリジン(29.8mg)、ヨウ化銅(4.1mg)及び2,2,6,6-テトラメチル-3,5-ヘプタンジオン(13.6μl)を加え、100℃で16時間加熱撹拌した。反応溶液を室温に冷却し、セライトろ過した。セライトを酢酸エチル(40ml)で洗浄し、ろ液を減圧下濃縮した。得られた残渣をLC/MSにて分取精製し、標記化合物(1.9mg)を茶色固体として得た。
 
(実施例31.009)
5,8-ジメチル-2-(2-(6-(ピロリジン-1-イル)-4-(((S)-テトラヒドロフラン-3-イル)オキシ)ピリジン-2-イル)シクロプロピル)-[1,2,4]トリアゾロ[1,5-a]ピラジンの合成
(実施例31.005)と同様な方法、もしくはこれに準ずる方法を用いて、対応するアルコールから合成した。
 
(実施例31.010)及び(実施例31.011)
5,8-ジメチル-2-(2-(6-(ピロリジン-1-イル)-4-(((S)-テトラヒドロフラン-3-イル)オキシ)ピリジン-2-イル)シクロプロピル)-[1,2,4]トリアゾロ[1,5-a]ピラジンの分割
(実施例31.009)で得られた、5,8-ジメチル-2-(2-(6-(ピロリジン-1-イル)-4-(((S)-テトラヒドロフラン-3-イル)オキシ)ピリジン-2-イル)シクロプロピル)-[1,2,4]トリアゾロ[1,5-a]ピラジン(100mg)を分取クロマトグラフィー(カラム:(株)ダイセル化学工業製 CHIRALCEL OD(2cm×25cm)、溶出液;n-ヘキサン:エタノール:ジエチルアミン=90:10:0.1(V/V)、流速:7.5ml/分、UV:254nm検出、カラム温度:40℃)を用いて分割を行うことで、標記化合物のジアステレオーを得た。
第一分画(21mg、光学純度100%ee、保持時間11.6分、ジアステレオーA:実施例31.010)
第二分画(27mg、光学純度99.6%ee、保持時間13.7分、ジアステレオマーB:実施例31.011)
光学純度及び保持時間は、下記条件で決定した。(カラム:(株)ダイセル化学工業製 CHIRALPAK IC (0.46cm×15cm)、溶出液;n-ヘキサン:エタノール:ジエチルアミン=90:10:0.1(V/V)、流速:3ml/分、UV:254nm検出、カラム温度:40℃)。
 
(実施例31.012)
5,8-ジメチル-2-(2-(6-(ピロリジン-1-イル)-3-((テトラヒドロ-2H-ピランー4-イル)オキシ)ピリジン-2-イル)シクロプロピル)-[1,2,4]トリアゾロ[1,5-a]ピラジンの合成
(参考例39)<工程5>で得れた2-(2-(5,8-ジメチル-[1,2,4]トリアゾロ[1,5-a]ピラジン-2-イル)シクロプロピル)-6-(ピロリジン-1-イル)ピリジン-3-オール(30mg)のN,N-ジメチルホルムアミド(0.9ml)溶液に、氷冷下、水素化ナトリウム(6.8mg)を加え、室温に昇温して1時間撹拌した。反応溶液に、テトラヒドロ-2H-ピラン-4-イル-メタンスルフォネート(18.5mg)を加え、2時間20分撹拌した後、反応溶液を50℃に加熱して、19時間撹拌した。室温に冷却し、水(10ml)、飽和炭酸水素ナトリウム水溶液(20ml)を加え、ジクロロメタン(20ml)で抽出した。水層に飽和食塩水(20ml)を加え、塩化メチレン(30ml)で3回抽出した。有機層を合わせて、飽和食塩水(40ml)で洗浄し、硫酸ナトリウムで乾燥した。減圧下溶媒を留去し、得られた残渣をLC/MSで分取精製し、標記化合物(2.8mg)を茶色固体として得た。
 
(実施例31.013)
2-(2-(3-イソプロポキシ-6-(ピロリジン-1-イル)ピリジン-2-イル)シクロプロピル)-5,8-ジメチル-[1,2,4]トリアゾロ[1,5-a]ピラジンの合成
(参考例39)<工程5>で得られた、2-(2-(5,8-ジメチル-[1,2,4]トリアゾロ[1,5-a]ピラジン-2-イル)シクロプロピル)-6-(ピロリジン-1-イル)ピリジン-3-オール(30mg)のN,N-ジメチルホルムアミド(0.9ml)溶液に、氷冷下、水素化ナトリウム(6.8mg)を加え、室温に昇温して1時間撹拌した。反応溶液に、2-ヨ-ドプロパン(12.8μl)を加え、50℃で1時間45分撹拌した。反応溶液を冷却し、水(10ml)、飽和炭酸水素ナトリウム水溶液(20ml)及び塩化メチレン(30ml)を加え、有機層を抽出した。水層をさらに塩化メチレン(30ml)で2回抽出し、有機層を合わせて、飽和食塩水(40ml)で洗浄した。有機層を硫酸ナトリウムで乾燥し、減圧下溶媒を留去した。残渣をLC/MSで分取精製することによって、標記化合物(22.5mg)を茶色固体として得た。
 
(実施例32.001)及び(実施例32.002)
6-(2-(5,8-ジメチル-[1,2,4]トリアゾロ[1,5-a]ピラジン-2-イル)シクロプロピル)-2-(ピロリジン-1-イル)-N-(テトラヒドロ-2H-ピラン-4-イル)ピリミジン-4-アミンの光学分割
(実施例23.002)で得られた、6-(2-(5,8-ジメチル-[1,2,4]トリアゾロ[1,5-a]ピラジン-2-イル)シクロプロピル)-2-(ピロリジン-1-イル)-N-(テトラヒドロ-2H-ピラン-4-イル)ピリミジン-4-アミン(74mg)を分取クロマトグラフィー(カラム:(株)ダイセル化学工業製 CHIRALPAK IC(2cm×25cm)、溶出液;n-ヘキサン:エタノール:ジエチルアミン=90:10:0.1(V/V)、流速:6ml/分、UV:254nm検出、カラム温度:40℃)を用いて光学分割を行うことで、標記化合物のエナンチオマーを得た。
第一分画(29.7mg、白色固体、光学純度100%ee、保持時間14.8分、エナンチオマーA:実施例32.001)
第二分画(29.5mg、白色固体、光学純度100%ee、保持時間21.4分、エナンチオマーB:実施例32.002)
光学純度及び保持時間は、下記条件で決定した。(カラム:(株)ダイセル化学工業製 CHIRALPAK IC (0.46cm×15cm)、溶出液;n-ヘキサン:イソプロパノール:ジエチルアミン=90:10:0.1(V/V)、流速:2.5ml/分、UV:254nm検出、カラム温度:40℃)。
 
(実施例32.003)
4-(6-(2-(5,8-ジメチル-[1,2,4]トリアゾロ[1,5-a]ピラジン-2-イル)シクロプロピル)-2-(ピロリジン-1-イル)ピリミジン-4-イル)モルホリンの合成
(参考例21)及び(参考例22)と同様な方法、もしくはこれに準ずる方法にて、対応するアミンから合成した4-(2-クロロ-6-(2-(5,8-ジメチル-[1,2,4]トリアゾロ[1,5-a]ピラジン-2-イル)シクロプロピル)ピリミジン-4-イル)モルホリン(210mg)及びピロリジンを用いて、(実施例19.056)と同様な方法、もしくは、これに準ずる方法で標記化合物(191mg)を合成した。
 
(実施例32.004)及び(実施例32.005)
4-(6-(2-(5,8-ジメチル-[1,2,4]トリアゾロ[1,5-a]ピラジン-2-イル)シクロプロピル)-2-(ピロリジン-1-イル)ピリミジン-4-イル)モルホリンの光学分割
(実施例32.003)で得られた4-(6-(2-(5,8-ジメチル-[1,2,4]トリアゾロ[1,5-a]ピラジン-2-イル)シクロプロピル)-2-(ピロリジン-1-イル)ピリミジン-4-イル)モルホリン(171.9mg)を分取クロマトグラフィー(カラム:(株)ダイセル化学工業製 CHIRALPAK IC(2cm×25cm)、溶出液;n-ヘキサン:エタノール:ジエチルアミン=90:10:0.1(V/V)、流速:12ml/分、UV:254nm検出、カラム温度:40℃)を用いて光学分割を行うことで、標記化合物のエナンチオマーを得た。
第一分画(66mg、光学純度99.9%ee、保持時間9.9分、エナンチオマーA:実施例32.004)
第二分画(68.8mg、淡黄色固体、光学純度99.9%ee、保持時間12.9分、エナンチオマーB:実施例32.005)
光学純度及び保持時間は、下記条件で決定した。(カラム:(株)ダイセル化学工業製 CHIRALPAK IC (0.46cm×15cm)、溶出液;n-ヘキサン:エタノール:ジエチルアミン=90:10:0.1(V/V)、流速:2ml/分、UV:254nm検出、カラム温度:40℃)。
 
(実施例33.001)
(E)-2-(2-(4-(3-メトキシ-3-メチルアゼチジン-1-イル)-6-(ピロリジン-1-イル)ピリミジン-2-イル)ビニル)-5,8-ジメチル-[1,2,4]トリアゾロ[1,5-a]ピラジンの合成
(実施例8)で得られた(E)-2-(2-(4-クロロ-6-(ピロリジン-1-イル)ピリミジン-2-イル)ビニル)5,8-ジメチル-[1,2,4]トリアゾロ[1,5-a]ピラジン(100mg)のN-メチルピロリドン(2.8ml)溶液に、3-メトキシ-3-メチルアゼチジン塩酸塩(193.4mg)及び1,8-ジアザビシクロ(5.4.0)ウンデカ-7-エン(DBU:267.4μl)を加え、150℃で22時間30分加熱撹拌した。反応溶液をLC/MSにて分取精製し、標記化合物(21mg)を茶色固体として得た。
 
(実施例33.002)から(実施例33.013)の化合物を、(実施例33.001)と同様の方法、もしくはこれに準ずる方法で、各々対応するアミンを用いて合成した。
(実施例33.002)
(E)-2-(2-(4-(3-メトキシ-3-メチルアゼチジン-1-イル)-6-(ピロリジン-1-イル)ピリミジン-2-イル)ビニル)-5,8-ジメチル-[1,2,4]トリアゾロ[1,5-a]ピラジン
(実施例33.003)
(E)-2-(2-(4-(3-エトキシアゼチジン-1-イル)-6-(ピロリジン-1-イル)ピリミジン-2-イル)ビニル)-5,8-ジメチル-[1,2,4]トリアゾロ[1,5-a]ピラジン
(実施例33.004)
(E)-1-((2-(2-(5,8-ジメチル-[1,2,4]トリアゾロ[1,5-a]ピラジン-2-イル)ビニル)-6-(ピロリジン-1-イル)ピリミジン-4-イル)-3-メチルアゼチジン-3-オール
(実施例33.005)
(R,E)-2-(2-(4-(ヘキサヒドロピロロ[1,2-a]ピラジン-2(1H)-イル)-6-(ピロリジン-1-イル)ピリミジン-2-イル)ビニル)-5,8-ジメチル-[1,2,4]トリアゾロ[1,5-a]ピラジン
(実施例33.006)
(S,E)-2-(2-(4-(ヘキサヒドロピロロ[1,2-a]ピラジン-2(1H)-イル)-6-(ピロリジン-1-イル)ピリミジン-2-イル)ビニル)-5,8-ジメチル-[1,2,4]トリアゾロ[1,5-a]ピラジン
(実施例33.007)
 (1R,4R)-5-(2-(E)-2-(5,8-ジメチル-[1,2,4]トリアゾロ[1,5-a]ピラジン-2-イル)ビニル)-6-(ピロリジン-1-イル)ピリミジン-4-イル)-2-オキソ-5-アザビシクロ[2,2,1]ヘプタン
(実施例33.008)
(E)-1-((2-(2-(5,8-ジメチル-[1,2,4]トリアゾロ[1,5-a]ピラジン-2-イル)ビニル)-6-(ピロリジン-1-イル)ピリミジン-4-イル)-4-メチルピペリジン-4-オール
(実施例33.009)
 4-(2-((E)-2-(5,8-ジメチル-[1,2,4]トリアゾロ[1,5-a]ピラジン-2-イル)ビニル)-6-(ピロリジン-1-イル)ピリミジン-4-イル)-2,6-ジメチルモルホリン
(実施例33.010)
 (E)-4-((2-(2-(5,8-ジメチル-[1,2,4]トリアゾロ[1,5-a]ピラジン-2-イル)ビニル)-6-(ピロリジン-1-イル)ピリミジン-4-イル)-2,2-ジメチルモルリン
(実施例33.011)
 (E)-1-(4-(2-(2-(5,8-ジメチル-[1,2,4]トリアゾロ[1,5-a]ピラジン-2-イル)ビニル)-6-(ピロリジン-1-イル)ピリミジン-4-イル)ピペラジン-1-イル)エタノン
(実施例33.012)
(E)-1-((2-(2-(5,8-ジメチル-[1,2,4]トリアゾロ[1,5-a]ピラジン-2-イル)ビニル)-6-(ピロリジン-1-イル)ピリミジン-4-イル)ピペリジン-4-オール
(実施例33.013)
 (E)-4-(2-(2-(5,8-ジメチル-[1,2,4]トリアゾロ[1,5-a]ピラジン-2-イル)ビニル)-6-(ピロリジン-1-イル)ピリミジン-4-イル)-1-メチルピペラジン-2-オン トリフルオロ酢酸塩
(実施例33.014)
 (S,E)-2-(2-(5,8-ジメチル-[1,2,4]トリアゾロ[1,5-a]ピラジン-2-イル)ビニル)-6-(ピロリジン-1-イル)-N-(テトラヒドロフラン-3-イル)ピリミジン-4-アミンの合成
(実施例8)で得られた(E)-2-(2-(4-クロロ-6-(ピロリジン-1-イル)ピリミジン-2-イル)ビニル)5,8-ジメチル-[1,2,4]トリアゾロ[1,5-a]ピラジン(100mg)のtert-ブタノール(2.8ml)溶液に(R)-テトラヒドロフラン-3-アミン(49mg)、ナトリウムtert-ブトキシド(40.5mg)、トリス(ジベンジリデンアセトン)ジパラジウム-クロロホルム付加体(51.5mg)、2-ジシクロヘキシルホスフィノ-2’-(N,N-ジメチルアミノ)ビフェニル(Dave-Phos:22.1mg)を加え、90℃で2時間30分撹拌した。反応溶液をLC/MSにて分取精製し、標記化合物(47.7mg)を茶色固体として得た。
 
(実施例33.015)から(実施例33.018)の化合物を、実施例(33.014)と同様の方法、もしくはこれに準ずる方法で、対応するアミンを用いて合成した。
(実施例33.015)
 (E)-3-((2-(2-(5,8-ジメチル-[1,2,4]トリアゾロ[1,5-a]ピラジン-2-イル)ビニル)-6-(ピロリジン-1-イル)ピリミジン-4-イル)アミノ)プロパンニトリル
(実施例33.016)
(R,E)-2-(2-(5,8-ジメチル-[1,2,4]トリアゾロ[1,5-a]ピラジン-2-イル)ビニル)-6-(ピロリジン-1-イル)-N-(テトラヒドロフラン-3-イル)ピリミジン-4-アミン
(実施例33.017)
 (S,E)-4-(2-(2-(5,8-ジメチル-[1,2,4]トリアゾロ[1,5-a]ピラジン-2-イル)ビニル)-6-(ピロリジン-1-イル)ピリミジン-4-イル)-3-メチルモルホリン
(実施例33.018)
 (R,E)-4-(2-(2-(5,8-ジメチル-[1,2,4]トリアゾロ[1,5-a]ピラジン-2-イル)ビニル)-6-(ピロリジン-1-イル)ピリミジン-4-イル)-3-メチルモルホリン
(実施例33.019)
(E)-4-(5-クロロ-2-(2-(5,8-ジメチル-[1,2,4]トリアゾロ[1,5-a]ピラジン-2-イル)ビニル)-6-(ピロリジン-1-イル)ピリミジン-4-イル)モルホリンの合成
(実施例11)で得られた(E)-4-(2-(2-(5,8-ジメチル-[1,2,4]トリアゾロ[1,5-a]ピラジン-2-イル)ビニル)-6-(ピロリジン-1-イル)ピリミジン-4-イル)モルホリン(100mg)のクロロホルム(2ml)溶液に、氷冷下、N-クロルスクシイミド(36.1mg)を加え、1時間45分撹拌した。反応溶液に、飽和炭酸水素ナトリウム水溶液(10ml)を加え、酢酸エチル(10ml)で3回抽出した。有機層を合わせて、飽和食塩水(10ml)で洗浄して、硫酸ナトリウムで乾燥した。得られた残渣をシリカゲルカラムクロマトグラフィー(溶出液;酢酸エチル:n-ヘキサン=7:93~60:40)で精製し、標記化合物(88.5mg)を淡黄色固体として得た。
 
(実施例34.001)
4-(2-(2-(6-クロロ-5,8-ジメチル-[1,2,4]トリアゾロ[1,5-a]ピラジン-2-イル)シクロプロピル)-6-(ピロリジン-1-イル)ピリミジン-4-イル)モルホリンの合成
(参考例40)<工程2>で得られた、1-アミノ-5-クロロ-3,6-ジメチルピラジン-2(1H)-イミニウム 2,4,6-トリメチルベンゼンスルフォネート(40mg)のアセトニトリル(0.5ml)溶液に、トリエチルアミン(22.4μl)を加え、20℃で30分間撹拌した。別途、(参考例41)で得られた2-(4-モルホリノ-6-(ピロリジン-1-イル)ピリミジン-2-イル)シクロプロパンンカルボン酸(34.2mg)のアセトニトリル(1ml)溶液に、氷冷下、トリエチルアミン(74.8μl)及びプロピルホスホン酸無水物(76μl、50%酢酸エチル溶液)を加えて溶液を調整した。この溶液を上記反応溶液に加え、50℃で14時間30分撹拌した。反応溶液に水(20ml)、飽和炭酸水素ナトリウム水溶液(20ml)を加え、酢酸エチル(20ml)で3回抽出した。有機層を合わせて、飽和食塩水(20ml)で洗浄し、硫酸ナトリウムで乾燥した。減圧下溶媒を留去し、得られた残渣をシリカゲルカラムクロマトグラフィー(溶出液;n-ヘキサン:酢酸エチル=94:6~50:50)で精製し、標記化合物(19.7mg)を橙色アモルファスとして得た。
 
(実施例34.002)
4-(6-(ピロリジン-1-イル)-2-(2-(5,6,8-トリメチル-[1,2,4]トリアゾロ[1,5-a]ピラジン-2-イル)シクロプロピル)ピリミジン-4-イル)モルホリンの合成
(実施例34.001)で得られた4-(2-(2-(6-クロロ-5,8-ジメチル-[1,2,4]トリアゾロ[1,5-a]ピラジン-2-イル)シクロプロピル)-6-(ピロリジン-1-イル)ピリミジン-4-イル)モルホリン(19mg)のN,N-ジメチルホルムアミド(0.4ml)溶液に、2,4,6-トリメチルボロキシン(23.3μl)、1,1′-ビス(ジフェニルホスフィノ)フェロセン-パラジウム(II)ジクロリド-ジクロロメタン錯体(17.1mg)及び炭酸カリウム(28.9mg)を加え、マイクロウェーブにて110℃で2時間加熱撹拌した。反応溶液をセライトろ過し、酢酸エチル(40ml)で洗浄した。減圧下溶媒を留去し、得られた残渣をシリカゲルカラムカラムクロマトグラフィー(溶出液;酢酸エチル:n-ヘキサン=12:88~100:0)で精製し、標記化合物(15.6mg)を茶色固体として得た。
 
(実施例34.003)及び(実施例34.004)
4-(6-(ピロリジン-1-イル)-2-(2-(5,6,8-トリメチル-[1,2,4]トリアゾロ[1,5-a]ピラジン-2-イル)シクロプロピル)ピリミジン-4-イル)モルホリンの光学分割
(実施例34.002)で得られた4-(6-(ピロリジン-1-イル)-2-(2-(5,6,8-トリメチル-[1,2,4]トリアゾロ[1,5-a]ピラジン-2-イル)シクロプロピル)ピリミジン-4-イル)モルホリン(15mg)を分取クロマトグラフィー(カラム:(株)ダイセル化学工業製 CHIRALPAK AY-H(2cm×25cm)、溶出液;n-ヘキサン:エタノール:ジエチルアミン=90:10:0.1(V/V)、流速:8ml/分、UV:254nm検出、カラム温度:40℃)を用いて光学分割を行うことで、標記化合物のエナンチオマーを得た。
第一分画(1mg、光学純度100%ee、保持時間6.0分、エナンチオマーA:実施例34.003)
第二分画(4mg、淡黄色固体、光学純度99%ee、保持時間8.0分、エナンチオマーB:実施例34.004)
光学純度及び保持時間は、下記条件で決定した。(カラム:(株)ダイセル化学工業製 CHIRALPAK AY-H (0.46cm×15cm)、溶出液;n-ヘキサン:エタノール:ジエチルアミン=90:10:0.1(V/V)、流速:3ml/分、UV:254nm検出、カラム温度:40℃)。
 
(実施例35.001)
4-(2-(2-(6-ブロモ-8-メトキシ-5-メチル-[1,2,4]トリアゾロ[1,5-a]ピラジン-2-イル)シクロプロピル)-6-(ピロリジン-1-イル)ピリミジン-4-イル)モルホリンの合成
(参考例42)で得れらた1-アミノ-5-ブロモ-3-メトキシ-6-メチルピラジン-2(1H)-イミニウム 2,4,6-トリメチルベンゼンスルフォネート(140mg)を用いて、(実施例34.001)と同様の方法、もしくはこれに準ずる方法を用いて、標記化合物(49.6mg)を白色固体として得た。
 
(実施例35.002)
4-(2-(2-(8-メトキシ-5-メチル-[1,2,4]トリアゾロ[1,5-a]ピラジン-2-イル)シクロプロピル)-6-(ピロリジン-1-イル)ピリミジン-4-イル)モルホリンの合成
(実施例35.001)で得られた4-(2-(2-(6-ブロモ-8-メトキシ-5-メチル-[1,2,4]トリアゾロ[1,5-a]ピラジン-2-イル)シクロプロピル)-6-(ピロリジン-1-イル)ピリミジン-4-イル)モルホリン(48mg)のメタノール(3ml)溶液に、10%パラジウム-炭素(5mg)を加え、水素雰囲気下、25℃で4時間撹拌した。反応溶液をセライトろ過し、ろ液を減圧下濃縮することで、標記化合物の粗生成物(45mg)を得た。
 
(実施例35.003)及び(実施例35.004)
4-(2-(2-(8-メトキシ-5-メチル-[1,2,4]トリアゾロ[1,5-a]ピラジン-2-イル)シクロプロピル)-6-(ピロリジン-1-イル)ピリミジン-4-イル)モルホリンの光学分割
(実施例35.002)で得られた4-(2-(2-(8-メトキシ-5-メチル-[1,2,4]トリアゾロ[1,5-a]ピラジン-2-イル)シクロプロピル)-6-(ピロリジン-1-イル)ピリミジン-4-イル)モルホリン(50mg)を分取クロマトグラフィー(カラム:(株)ダイセル化学工業製 CHIRALPAK AY-H(2cm×25cm)、溶出液;n-ヘキサン:エタノール:ジエチルアミン=90:10:0.1(V/V)、流速:8ml/分、UV:254nm検出、カラム温度:40℃)を用いて光学分割を行うことで、標記化合物のエナンチオマーを得た。
第一分画(6.1mg、光学純度100%ee、保持時間7.3分、エナンチオマーA:実施例35.003)
第二分画(6.7mg、淡黄色固体、光学純度97.4%ee、保持時間9.3分、エナンチオマーB:実施例35.004)
光学純度及び保持時間は、下記条件で決定した。(カラム:(株)ダイセル化学工業製 CHIRALPAK IC (0.46cm×15cm)、溶出液;n-ヘキサン:エタノール:ジエチルアミン=90:10:0.1(V/V)、流速:3ml/分、UV:254nm検出、カラム温度:40℃)。
 
(実施例36.001)
(1S,2R,4S,5R)-1-((4-クロロ-6-(ピロリジン-1-イル)ピリミジン-2-イル)メチル)-2-((S)-メトキシ(6-メトキシキノリン-4-イル)メチル-5-ビニルキヌクリジン-1-イウム クロライドの合成
文献既知の方法で合成した、(1S、2R、4S、5R)-2-((S)-メトキシ(6-メトキシキノリン-4-イル)メチル-5-ビニルキヌクリジン(0.74g)の2-ブタノン(20ml)溶液に、[US2011/160206号パンフレット 13頁]に記載された方法に準じて合成した4-クロロ-2-(クロロメチル)-6-(ピロリジン-1-イル)ピリミジン(0.51g)を加え、5日間加熱還流した。反応溶液を室温に冷却した後、析出した固体をろ取した。酢酸エチル(5ml)で洗浄した後、乾燥して標記化合物(860mg)をベージュ固体として得た。
 
(実施例36.002)
2-(4-クロロ-6-(ピロリジン-1-イル)ピリミジン-2-イル)シクロプロパンカルボン酸の合成
(実施例36.001)で得られた、(1S,2R,4S,5R)-1-((4-クロロ-6-(ピロリジン-1-イル)ピリミジン-2-イル)メチル)-2-((S)-メトキシ(6-メトキシキノリン-4-イル)メチル-5-ビニルキヌクリジン-1-イウム クロライド(0.85g)及び炭酸セシウム(0.63g)のアセトニトリル(10ml)溶液に、アクリル酸メチル(0.44ml)を加えて8時間加熱還流し、その後室温に冷却し、終夜時間撹拌した。反応溶液を、再度5時間加熱還流し、室温に冷却した。反応溶液を減圧下濃縮し、得られた残渣をトルエン(10ml)で希釈した。この溶液に、1規定塩酸水溶液(3ml)を加え、10分間撹拌した。有機層を分離して、水(3ml)で洗浄した。有機層をシリカゲル(1g)と混ぜ、有機溶媒で洗浄した後、ろ液を濃縮した。残渣のメタノール(2.5ml)溶液に、1規定水酸化ナトリウム水溶液(2.5ml)を加え、反応溶液を終夜撹拌した。減圧下溶媒を留去し、得られた残渣を酢酸エチル(5ml)で希釈し、有機層を0.5規定水酸化ナトリウム水溶液(2ml)で抽出した。水層を1規定塩酸でpH=4~5に調整し、酢酸エチル(20ml)で抽出した。水層を再度pH=4に調整し、酢酸エチル(5ml)で2回抽出した。有機層を合わせて、硫酸ナトリウムで乾燥した。減圧下溶媒を留去し、乾燥することで標記化合物(300mg、75%ee)を白色固体として得た。
光学純度及び保持時間は、下記条件で決定した。(カラム:(株)ダイセル化学工業製 CHIRALPAK AY-H (0.46cm×15cm)、溶出液;n-ヘキサン:エタノール:ジエチルアミン=90:10:0.1(V/V)、流速:2ml/分、UV:254nm検出、カラム温度:40℃)。
 
(実施例36.003)
2-(2-(4-クロロ-6-(ピロリジン-1-イル)ピリミジン-2-イル)シクロプロピル)-(5,8-ジメチル-[1,2,4]トリアゾロ[1,5-a]ピラジンの合成
(実施例36.002)で得られた、2-(4-クロロ-6-(ピロリジン-1-イル)ピリミジン-2-イル)シクロプロパンカルボン酸(0.15g)及びトリエチルアミン(0.51ml)のアセトニトリル(2ml)溶液に、氷冷下、プロピルホスホン酸無水物(0.4ml,50%酢酸エチル溶液)を加え、室温で1時間撹拌した。反応溶液に、[WO2009/152825号パンフレット 44頁]に記載された方法に準じて合成した1-アミノ-3,6-ジメチルピラジン-2(1H)-イミニウム 2,4,6-トリメチルベンゼンスルフォネート(0.19g)を加え、終夜撹拌した。反応溶液を0.5規定水酸化ナトリウム水溶液(6ml)でクエンチして、塩化メチレン(10ml)で抽出した。有機層を硫酸ナトリウムで乾燥した後、減圧下溶媒を留去した。得られた残渣を0.2規定塩酸水溶液(0.5ml)中で1時間撹拌した。析出した不溶物をろ過により除去した後、ろ液を1規定水酸化ナトリウム水溶液(2ml)で希釈し、酢酸エチル(5ml)で抽出した。有機層を10%クエン酸水溶液及び飽和炭酸水素ナトリウム水溶液で洗浄した後、硫酸ナトリウムで乾燥した。減圧下溶媒を留去し、標記化合物の租生成物(50mg、98%ee)を得た。得られた租生成物を酢酸エチル(1ml)で溶解し、4規定塩酸-酢酸エチル(0.1ml)を加えた。酢酸エチルを減圧下濃縮により除去し、得られた残渣をアセトンでトリチュレートした後、ろ取し、標記化合物の塩酸塩をベージュ固体として得た。この化合物を飽和炭酸水素ナトリウム水溶液(1ml)で希釈し、酢酸エチル(3ml)で抽出した。有機層を合わせて、乾燥した後、減圧下溶媒を留去し、標記化合物(34mg、99%ee)を無色アモルファスとして得た。光学純度及び保持時間は、下記条件で決定した。(カラム:(株)ダイセル化学工業製 CHIRALPAK AY-H (0.46cm×15cm)、溶出液;n-ヘキサン:エタノール:ジエチルアミン=90:10:0.1(V/V)、流速:2ml/分、UV:254nm検出、カラム温度:40℃)。
(Example 27.005)
2- (2- (6- (azetidin-1-yl) -4-((tetrahydro-2H-pyran-4-yl) oxy) pyridin-2-yl) ethyl) -5,8-dimethyl- [1, Synthesis of 2,4] triazolo [1,5-a] pyrazine
Reference Example 12 (E) -2- (azetidin-1-yl) -6- (2- (5,8-dimethyl- [1,2,4] triazolo [1, 5-a] pyrazin-2-yl) vinyl) pyridin-4-ol (23 mg) was reduced according to the method of (Example 2). The obtained crude product, tetrahydro-2H-pyran-4-ol (14 mg) and triphenylphosphine (37 mg) were dissolved in tetrahydrofuran (1 ml). Under ice-cooling, diethyl azodicarboxylate (64 μl, 2.2 M toluene solution) was added dropwise and stirred overnight at room temperature. The reaction solution was concentrated under reduced pressure, and the resulting residue was separated and purified by LC / MS to obtain the title compound (3.2 mg).
 
(Example 28.001)
(E) -4- (6- (azetidin-1-yl) -2- (2- (5,7-dimethyl- [1,2,4] triazolo [1,5-a] pyrimidin-2-yl) Synthesis of vinyl) pyrimidin-4-yl) morpholine
Reference Example 35 2- (2- (4- (azetidin-1-yl) -6-chloropyrimidin-2-yl) vinyl) -5,7-dimethyl- [1 obtained in <Step 2> , 2,4] triazolo [1,5-a] pyrimidine (30 mg) in 1-butanol (2 ml), morpholine (15 μl), 1,8-diazabicyclo (5.4.0) undec-7-ene (DBU: 39 μl) was added and stirred at 150 ° C. for 18 hours. The solvent was evaporated under reduced pressure, and the obtained residue was purified by silica gel column chromatography (eluent; n-hexane: ethyl acetate = 50: 50-0: 100) to give the title compound (22 mg) as a white solid. It was.
 
(Example 29.001)
(E) -4- (2- (2- (5,8-dimethylimidazo [1,2-a] pyridin-2-yl) vinyl) -6- (pyrrolidin-1-yl) pyrimidin-4-yl) Synthesis of morpholine
Reference Example 36 (E) -2- (2- (4-Chloro-6- (pyrrolidin-1-yl) pyrimidin-2-yl) vinyl) -5,8-dimethylimidazo obtained in <Step 4> The title compound (19 mg) was obtained as a pale yellow solid from [1,2-a] pyridine (50 mg) by a method according to (Example 11).
 
The compounds of (Example 30.001) to (Example 30.006) were synthesized in the same manner as in (Example 21.036) or a method analogous thereto, using each corresponding amine.
 
(Example 30.001)
2- (2- (5,8-dimethyl- [1,2,4] triazolo [1,5-a] pyrazin-2-yl) cyclopropyl) -N- (5-methylpyridin-3-yl)- 6- (Pyrrolidin-1-yl) pyrimidin-4-amine
 
(Example 30.002)
2- (2- (5,8-dimethyl- [1,2,4] triazolo [1,5-a] pyrazin-2-yl) cyclopropyl) -N- (5-methoxypyridin-3-yl)- 6- (Pyrrolidin-1-yl) pyrimidin-4-amine
 
(Example 30.003)
N- (5-chloropyridin-3-yl) -2- (2- (5,8-dimethyl- [1,2,4] triazolo [1,5-a] pyrazin-2-yl) cyclopropyl)- 6- (Pyrrolidin-1-yl) pyrimidin-4-amine
 
(Example 30.004)
(3S) -4- (2- (2- (5,8-dimethyl- [1,2,4] triazolo [1,5-a] pyrazin-2-yl) cyclopropyl) -6- (pyrrolidine-1 -Yl) pyrimidin-4-yl) -3-methylmorpholine
 
(Example 30.005)
(3R) -4- (2- (2- (5,8-dimethyl- [1,2,4] triazolo [1,5-a] pyrazin-2-yl) cyclopropyl) -6- (pyrrolidine-1 -Yl) pyrimidin-4-yl) -3-methylmorpholine
 
(Example 30.006)
4- (2- (2- (5,8-dimethyl- [1,2,4] triazolo [1,5-a] pyrazin-2-yl) cyclopropyl) -6- (pyrrolidin-1-yl) pyrimidine -4-yl) thiomorpholine 1,1-dioxide
 
(Example 30.007)
N- (2- (2- (2,8-dimethyl- [1,2,4] triazolo [1,5-a] pyrazin-2-yl) cyclopropyl) -6- (pyrrolidin-1-yl) pyrimidine Synthesis of -4-yl) quinolin-8-amine
 
2- (2- (4-Chloro-6- (pyrrolidin-1-yl) pyrimidin-2-yl) cyclopropyl) -5,8-dimethyl- [1,2,4 obtained in (Reference Example 13) ] To a solution of triazolo [1,5-a] pyrazine (70 mg) in tert-butanol (1.9 ml), quinolin-8-amine (54.6 mg), palladium acetate (8.5 mg), 2- (dicyclohexylphosphino) ) -2 ′, 4 ′, 6′-triisopropylbiphenyl (X-Phos: 18 mg) and sodium tert-butoxide (54.6 mg) were added, and the mixture was stirred at 95 ° C. for 16 hours and 20 minutes under a nitrogen atmosphere. To the reaction solution were added tert-butanol (2 ml), palladium acetate (17 mg), 2- (dicyclohexylphosphino) -2 ′, 4 ′, 6′-triisopropylbiphenyl (X-Phos: 36 mg) at 95 ° C. Stir for 2 hours. Furthermore, after stirring at 100 ° C. for 1 hour in a microwave, the reaction solution was cooled to room temperature and filtered through celite. The filtrate was concentrated under reduced pressure, and the residue was purified by preparative LC / MS to obtain the title compound (9.3 mg) as a brown solid.
 
2- (2- (4-Chloro-6- (pyrrolidin-1-yl) pyrimidine-2) obtained in <Reference Example 14> was obtained by converting the compounds of (Example 30.008) and (Example 30.000). -Yl) cyclopropyl) -5,8-dimethyl- [1,2,4] triazolo [1,5-a] pyrazine (enantiomer B) and the corresponding alcohol, respectively (Example 21.098) and It was synthesized by the same method or a method analogous thereto.
 
(Example 30.008)
2- (2- (4-((6-methoxypyridin-3-yl) oxy) -6- (pyrrolidin-1-yl) pyrimidin-2-yl) cyclopropyl) -5,8-dimethyl- [1, 2,4] Triazolo [1,5-a] pyrazine
 
Example 30.09
5,8-dimethyl-2- (2- (4-((pyridin-3-yloxy) -6- (pyrrolidin-1-yl) pyrimidin-2-yl) cyclopropyl- [1,2,4] triazolo [ 1,5-a] pyrazine
 
2- (2- (4-Chloro-6- (pyrrolidin-1-yl) pyrimidine-2) obtained in (Reference Example 14) from the compound of (Example 30.010) to (Example 30.018). -Yl) cyclopropyl) -5,8-dimethyl- [1,2,4] triazolo [1,5-a] pyrazine (enantiomer B) in the same manner as in (Example 21.074), or Each of these was synthesized from the corresponding amine by a similar method.
 
(Example 30.010)
4- (2- (2- (5,8-dimethyl- [1,2,4] triazolo [1,5-a] pyrazin-2-yl) cyclopropyl) -6- (pyrrolidin-1-yl) pyrimidine -4-yl) -2,2-dimethylmorpholine
 
(Example 30.111)
4- (2- (2- (5,8-dimethyl- [1,2,4] triazolo [1,5-a] pyrazin-2-yl) cyclopropyl) -6- (pyrrolidin-1-yl) pyrimidine -4-yl) -1-methylpiperazin-2-one
 
(Example 3 0.012)
4- (2- (2- (5,8-dimethyl- [1,2,4] triazolo [1,5-a] pyrazin-2-yl) cyclopropyl) -6- (pyrrolidin-1-yl) pyrimidine -4-yl) -2,6-dimethylmorpholine
 
(Example 3 0.013)
1- (4- (2- (2- (5,8-dimethyl- [1,2,4] triazolo [1,5-a] pyrazin-2-yl) cyclopropyl) -6- (pyrrolidine-1- Yl) pyrimidin-4-yl) piperazin-1-yl) ethanone
 
(Example 30.014)
1- (2- (2- (5,8-dimethyl- [1,2,4] triazolo [1,5-a] pyrazin-2-yl) cyclopropyl) -6- (pyrrolidin-1-yl) pyrimidine -4-yl) piperidin-4-ol
 
(Example 30.015)
2- (2- (4-((3-methoxyazetidin-1-yl) -6- (pyrrolidin-1-yl) pyrimidin-2-yl) cyclopropyl)-(5,8-dimethyl- [1, 2,4] Triazolo [1,5-a] pyrazine
 
(Example 30.016)
2- (2- (4- (3-Ethoxyazetidin-1-yl) -6- (pyrrolidin-1-yl) pyrimidin-2-yl) cyclopropyl) -5,8-dimethyl- [1,2, 4] Triazolo [1,5-a] pyrazine
 
(Example 30.17)
1- (2- (2- (5,8-dimethyl- [1,2,4] triazolo [1,5-a] pyrazin-2-yl) cyclopropyl) -6- (pyrrolidin-1-yl) pyrimidine -4-yl) azetidin-3-ol
 
(Example 30.018)
1- (2- (2- (5,8-dimethyl- [1,2,4] triazolo [1,5-a] pyrazin-2-yl) cyclopropyl) -6- (pyrrolidin-1-yl) pyrimidine -4-yl) -3-methylazetidin-3-ol
 
The compounds of (Example 30.19) and (Example 30.020) were converted into 4- (6-chloro-2- (2- (5,8-dimethyl- [1, 2,4] Triazolo [1,5-a] pyrazin-2-yl) cyclopropyl) pyrimidin-4-yl) morpholine and the corresponding amine, or a method similar to (Example 21.074) or Obtained by the method according to the above.
 
(Example 30.19)
4- (2- (2- (5,8-dimethyl- [1,2,4] triazolo [1,5-a] pyrazin-2-yl) cyclopropyl) -6-((S) -2-methyl Pyrrolidin-1-yl) pyrimidin-4-yl) morpholine
 
(Example 30.020)
4- (2- (2- (5,8-dimethyl- [1,2,4] triazolo [1,5-a] pyrazin-2-yl) cyclopropyl) -6-((S) -3-fluoro Pyrrolidin-1-yl) pyrimidin-4-yl) morpholine
 
2- (2- (4-Chloro-6- (pyrrolidin-1-yl) pyrimidine-2) obtained in (Reference Example 14) from the compound of (Example 30.021) to (Example 30.023). -Yl) cyclopropyl) -5,8-dimethyl- [1,2,4] triazolo [1,5-a] pyrazine (enantiomer B) in the same manner as in (Example 21.079), or Each of these was synthesized from the corresponding amine by a similar method.
 
(Example 30.021)
8- (2- (2- (5,8-dimethyl- [1,2,4] triazolo [1,5-a] pyrazin-2-yl) cyclopropyl) -6- (pyrrolidin-1-yl) pyrimidine -4-yl) -1-oxa-8-azaspiro [4,5] decane
 
(Example 30.024)
2- (2- (4-((S) -Hexahydropyrrolo [1,2-a] pyrazin-2 (1H) -yl) -6- (pyrrolidin-1-yl) pyrimidin-2-yl) cyclopropyl ) -5,8-Dimethyl- [1,2,4] triazolo [1,5-a] pyrazine
(Example 30.024)
2- (2- (4-((R) -Hexahydropyrrolo [1,2-a] pyrazin-2 (1H) -yl) -6- (pyrrolidin-1-yl) pyrimidin-2-yl) cyclopropyl ) -5,8-Dimethyl- [1,2,4] triazolo [1,5-a] pyrazine
 
The compounds of (Example 30.024) and (Example 30.005) were synthesized in the same manner as in (Example 21.050) or a method analogous thereto, using each corresponding amine.
 
(Example 30.024)
(3S) -4- (2- (2- (5,8-dimethyl- [1,2,4] triazolo [1,5-a] pyrazin-2-yl) cyclopropyl) -6- (pyrrolidine-1 -Yl) pyrimidin-4-yl) -3-methylmorpholine
 
(Example 30.025)
2- (2- (5,8-dimethyl- [1,2,4] triazolo [1,5-a] pyrazin-2-yl) cyclopropyl) -N-((S) -1-methoxypropane-2 -Yl) -6- (pyrrolidin-1-yl) pyrimidin-4-amine
 
(Example 30.026)
4- (2- (2- (5,8-dimethyl- [1,2,4] triazolo [1,5-a] pyrazin-2-yl) cyclopropyl) -6- (pyrrolidin-1-yl) pyrimidine Synthesis of -4-yl) -3,3-dimethoxymorpholine
 
2- (2- (4-Chloro-6- (pyrrolidin-1-yl) pyrimidin-2-yl) cyclopropyl) -5,8-dimethyl- [1,2,4 obtained in (Reference Example 14) The compound was synthesized from the corresponding amine using triazolo [1,5-a] pyrazine (enantiomer B) in the same manner as in (Example 21.065) or a method analogous thereto.
(Example 30. 027)
2- (2- (2- (5,8-dimethyl- [1,2,4] triazolo [1,5-a] pyrazin-2-yl) cyclopropyl) -6- (pyrrolidin-1-yl) pyrimidine Synthesis of -4-yl) -hexahydropyrrolo [1,2-a] pyrazin-6 (2H) -one
2- (2- (4-Chloro-6- (pyrrolidin-1-yl) pyrimidin-2-yl) cyclopropyl) -5,8-dimethyl- [1,2,4 obtained in (Reference Example 14) It was synthesized using the corresponding amine using triazolo [1,5-a] pyrazine (enantiomer B) in the same manner as in (Example 21.074) or a method analogous thereto.
 
(Example 30.028) and (Example 30.029)
2- (2- (2- (5,8-dimethyl- [1,2,4] triazolo [1,5-a] pyrazin-2-yl) cyclopropyl) -6- (pyrrolidin-1-yl) pyrimidine Resolution of -4-yl) -hexahydropyrrolo [1,2-a] pyrazin-6 (2H) -one
2- (2- (2- (5,8-Dimethyl- [1,2,4] triazolo [1,5-a] pyrazin-2-yl) cyclopropyl obtained in (Example 30.027) ) -6- (Pyrrolidin-1-yl) pyrimidin-4-yl) -hexahydropyrrolo [1,2-a] pyrazin-6 (2H) -one (100 mg) (preparative chromatography) CHIRALPAK IA (2 cm × 25 cm), manufactured by Daicel Chemical Industries, eluent; n-hexane: ethanol: diethylamine = 90: 10: 0.1 (V / V), flow rate: 8 ml / min, UV: 254 nm detection, column temperature: (40 ° C.) to obtain the diastereomer of the title compound.
First fraction (28.1 mg, pale yellow solid, optical purity 100% ee, retention time 6.7 minutes, diastereomer A: Example 30.080)
Second fraction (31.6 mg, pale yellow solid, optical purity 97% ee, retention time 8.2 minutes, diastereomer B: Example 30.029)
The optical purity and retention time were determined under the following conditions. (Column: CHIRALPAK IC (0.46 cm × 15 cm) manufactured by Daicel Chemical Industries, Ltd., eluent; n-hexane: ethanol: diethylamine = 90: 10: 0.1 (V / V), flow rate: 2 ml / min, UV: 254 nm detection, column temperature: 40 ° C.).
 
(Example 30.030)
2-((2S) -1- (2- (2- (5,8-dimethyl- [1,2,4] triazolo [1,5-a] pyrazin-2-yl) cyclopropyl) -6- ( Synthesis of pyrrolidin-1-yl) pyrimidin-4-yl) -pyrrolidin-2-yl) propan-2-ol
(2S) -Methyl 1- (2- (2- (5,8-dimethyl- [1,2,4] triazolo [1,5-a] pyrazine-2) obtained in (Example 21.100) To a solution of -yl) cyclopropyl) -6- (pyrrolidin-1-yl) pyrimidin-4-yl) pyrrolidine-2-carboxylate (36 mg) in tetrahydrofuran (1 ml) under ice-cooling, methylmagnesium bromide (0.065 ml) 3M dimethyl ether solution) was added and stirred for 1 hour. Methyl magnesium bromide (0.13 ml) was added to the reaction solution under water cooling, and the mixture was stirred at the same temperature for 30 minutes. Furthermore, methylmagnesium bromide (0.065 ml) was added to the reaction solution under water cooling, and the mixture was warmed to room temperature and stirred for 1 hour. To the reaction solution was added saturated aqueous ammonium chloride solution (20 ml), and the mixture was extracted with methylene chloride (50 ml). After drying the organic layer with sodium sulfate, the solvent was distilled off under reduced pressure. The obtained residue was subjected to silica gel column chromatography (eluent; ethyl acetate: n-hexane = 25: 75 to 75:25), LC / MS fractionation and silica gel preparative TLC (eluent; ethyl acetate: hexane = 3). : 1) to give the title compound (5 mg) as a pale yellow amorphous.
 
(Example 30.031)
(2S) -1- (2- (2- (5,8-dimethyl- [1,2,4] triazolo [1,5-a] pyrazin-2-yl) cyclopropyl) -6- (pyrrolidine-1 Synthesis of -yl) pyrimidin-4-yl) pyrrolidine-2-carboxylic acid
(2S) -Methyl 1- (2- (2- (5,8-dimethyl- [1,2,4] triazolo [1,5-a] pyrazine-2) obtained in (Example 21.100) 2-yl) cyclopropyl) -6- (pyrrolidin-1-yl) pyrimidin-4-yl) pyrrolidine-2-carboxylate (360 mg) in methanol (7 ml) and 2N aqueous sodium hydroxide solution (0.78 ml) And stirred at 40 ° C. for 14.5 hours. The solvent was distilled off under reduced pressure, water (5 ml) was added to the resulting residue, and the mixture was neutralized with 1N hydrochloric acid. Extraction was performed 3 times with an isopropanol / methylene chloride mixed solution (20:80, 30 ml). The organic layers were combined and dried over sodium sulfate, and then the solvent was distilled off under reduced pressure to obtain the title compound (365 mg) as a pale yellow amorphous.
 
(Example 30.032)
(2S) -1- (2- (2- (5,8-dimethyl- [1,2,4] triazolo [1,5-a] pyrazin-2-yl) cyclopropyl) -6- (pyrrolidine-1 Synthesis of -yl) pyrimidin-4-yl) pyrrolidine-2-carboxamide
(2S) -1- (2- (2- (5,8-dimethyl- [1,2,4] triazolo [1,5-a] pyrazin-2-yl) obtained in (Example 30.031) ) Cyclopropyl) -6- (pyrrolidin-1-yl) pyrimidin-4-yl) pyrrolidine-2-carboxylic acid (100 mg) from the corresponding amine and (Example 21.092), or Using an analogous method, the title compound (60 mg) was obtained as a gray solid from the corresponding amine.
 
(Example 30.033)
(2S) -1- (2- (2- (5,8-dimethyl- [1,2,4] triazolo [1,5-a] pyrazin-2-yl) cyclopropyl) -6- (pyrrolidine-1 Synthesis of -yl) pyrimidin-4-yl) -N, N-dimethylpyrrolidine-2-carboxamide
((2S) -1- (2- (2- (5,8-dimethyl- [1,2,4] triazolo [1,5-a] pyrazine-2-) obtained in Example 30.031) Yl) cyclopropyl) -6- (pyrrolidin-1-yl) pyrimidin-4-yl) pyrrolidine-2-carboxylic acid (30 mg), 1-hydroxybenzotriazole monohydrate (1.02 mg) and dimethylamine hydrochloride (8.18 mg), N, N-dimethylformamide (1 ml), triethylamine (13.98 μl), and 1-ethyl-3- (3-dimethylaminopropyl) carbodiimide hydrochloride (15.4 mg) in this order. The mixture was stirred at room temperature for 22.5 hours, and the reaction solution was separated and purified by LC / MS to obtain the title compound (17 mg).
 
(Example 30.034) and (Example 30.035)
4- (2- (2- (2- (5,8-dimethyl- [1,2,4] triazolo [1,5-c] pyrimidin-2-yl) cyclopropyl) -6- (pyrrolidin-1-yl) pyrimidine) -4-yl) morpholine optical resolution
4- (2- (2- (5,8-dimethyl- [1,2,4] triazolo [1,5-c] pyrimidin-2-yl) cyclopropyl) obtained in (Example 21.103)) -6- (Pyrrolidin-1-yl) pyrimidin-4-yl) morpholine (80 mg) was subjected to preparative chromatography (column: CHIRALPAK AD-H (2 cm × 25 cm), manufactured by Daicel Chemical Industries, Ltd.), eluent; Enantiomer of the title compound by optical resolution using hexane: ethanol: diethylamine = 90: 10: 0.1 (V / V), flow rate: 6 ml / min, UV: 254 nm detection, column temperature: 40 ° C.) Got.
First fraction (28.7 mg, white solid, optical purity 100% ee, retention time 15.09 minutes, enantiomer A: Example 30.03)
Second fraction (30.2 mg, white solid, optical purity 92.7% ee, retention time 30.14 min, enantiomer B: Example 30.035)
The optical purity and retention time were determined under the following conditions. (Column: CHIRALPAK AY-H (0.46 cm × 15 cm), manufactured by Daicel Chemical Industries, Ltd.), eluent: n-hexane: ethanol: diethylamine = 90: 10: 0.1 (V / V), flow rate: 1 ml / Min, UV: 254 nm detection, column temperature: 40 ° C.).
 
(Example 30.036)
2- (2- (4- (4- (Difluoromethoxy) piperidin-1-yl) -6- (pyrrolidin-1-yl) pyrimidin-2-yl) cyclopropyl) -5,8-dimethyl- [1, Synthesis of 2,4] triazolo [1,5-a] pyrazine
1- (2- (2- (5,8-dimethyl- [1,2,4] triazolo [1,5-a] pyrazin-2-yl) cyclopropyl) obtained in Example 30.014) To a solution of -6- (pyrrolidin-1-yl) pyrimidin-4-yl) piperidin-4-ol (40 mg) in acetonitrile (2 ml) at 45 ° C., copper iodide (17.5 mg) and 2- (fluorosulfonyl) ) A solution of difluoroacetic acid (95.1 μl) in acetonitrile (0.5 ml) was added and stirred at the same temperature for 1 hour. A saturated aqueous sodium hydrogen carbonate solution (30 ml) was added to the reaction solution, and the mixture was extracted with ethyl acetate (60 ml). After drying with sodium sulfate, the solvent was distilled off under reduced pressure. The obtained residue was sequentially subjected to silica gel column chromatography (eluent; ethyl acetate: n-hexane = 35: 65 to 70:30) and silica gel preparative TLC (eluent; ethyl acetate: n-hexane = 2: 1). Purification gave the title compound (11 mg) as a pale yellow amorphous.
 
(Example 30.037)
5,8-Dimethyl-2- (2- (4- (pyrrolidin-1-yl) -6-((tetrahydro-2H-pyran-4-yl) pyrimidin-2-yl) cyclopropyl- [1,2, 4] Synthesis of triazolo [1,5-a] pyrazine
2- (2- (4-Chloro-6- (pyrrolidin-1-yl) pyrimidine-) obtained in (Reference Example 14) was added to a solution of sodium hydride (36 mg) in N, N-dimethylformamide (4 ml). 2-yl) cyclopropyl) -5,8-dimethyl- [1,2,4] triazolo [1,5-a] pyrazine (enantiomer B, 100 mg) was added under ice cooling, and the mixture was stirred at room temperature for 1 hour. The reaction solution was returned to ice-cooling, tetrahydro-4-pyranol (55.2 mg) was added, and the mixture was stirred at room temperature for 2 days. Saturated aqueous ammonium chloride solution was added to the reaction solution, and the mixture was extracted 3 times with ethyl acetate (10 ml). The organic layers were combined, washed with saturated brine, and dried over sodium sulfate. The solvent was evaporated under reduced pressure, and the obtained residue was purified by silica gel column chromatography (eluent; n-hexane: ethyl acetate = 30: 70-50: 50-80: 20) to give the title compound (44.2 mg ) Was obtained as a pale yellow amorphous.
 
(Example 30.038)
(2S) -1- (2- (2- (5,8-dimethyl- [1,2,4] triazolo [1,5-a] pyrazin-2-yl) cyclopropyl) -6- (pyrrolidine-1 Synthesis of -yl) pyrimidin-4-yl) pyrrolidine-2-carbonitrile
(Step 1) (2S) -1- (2- (2- (5,8-dimethyl- [1,2,4] triazolo [1,5-a] pyrazin-2-yl) cyclopropyl) -6- Synthesis of (pyrrolidin-1-yl) pyrimidin-4-yl) pyrrolidine-2-carboxylic acid
2- (2- (4-Chloro-6- (pyrrolidin-1-yl) pyrimidin-2-yl) cyclopropyl) -5,8-dimethyl- [1,2,4] obtained in (Reference Example 14) 4] To a solution of triazolo [1,5-a] pyrazine (enantiomer B, 300 mg) in N-methylpyrrolidone (1.2 ml) was added L-proline (0.67 g) and 1,8-diazabicyclo (5.4.0). ) Undec-7-ene (DBU: 1,21 ml) was added, and the mixture was stirred at 150 ° C. for 3 hours. After cooling to room temperature, water (5 ml) was added to the reaction solution, and the pH was adjusted to 4 with a 2N aqueous hydrochloric acid solution. Extraction was performed with an isopropanol / methylene chloride mixed solution (20:80, 30 ml and 20 ml), and the organic layers were combined and dried over sodium sulfate. The solvent was distilled off under reduced pressure to obtain a crude product (1.58 g) of the title compound.
 
(Step 2) (2S) -1- (2- (2- (5,8-dimethyl- [1,2,4] triazolo [1,5-a] pyrazin-2-yl) cyclopropyl) -6- Synthesis of (pyrrolidin-1-yl) pyrimidin-4-yl) pyrrolidine-2-carboxamide
Example 30.038 (2S) -1- (2- (2- (5,8-Dimethyl- [1,2,4] triazolo [1,5-a] pyrazine obtained in <Step 1>) -2-yl) cyclopropyl) -6- (pyrrolidin-1-yl) pyrimidin-4-yl) pyrrolidine-2-carboxylic acid (0.36 g) in N, N-dimethylformamide (4 ml) Add ammonium-methanol solution (0.15 ml) and 4- (4,6-dimethoxy-1,3,5-triazin-2-yl) -4-methylmorpholinium chloride (0.33 g) at room temperature. Stir for 63 hours. Ethyl acetate (150 ml) was added to the reaction solution, washed 3 times with water (30 ml), and the organic layer was dried over sodium sulfate. The solvent was evaporated under reduced pressure, and the obtained residue was purified by silica gel column chromatography (eluent; ethyl acetate: n-hexane = 50: 50-80: 20) to give the title compound (160 mg).
<Step 3> (2S) -1- (2- (2- (5,8-dimethyl- [1,2,4] triazolo [1,5-a] pyrazin-2-yl) cyclopropyl) -6- Synthesis of (pyrrolidin-1-yl) pyrimidin-4-yl) pyrrolidine-2-carbonitrile
Example 30.038 ((2S) -1- (2- (2- (5,8-dimethyl- [1,2,4] triazolo [1,5-a] obtained in <Step 2>) ] To a solution of pyrazin-2-yl) cyclopropyl) -6- (pyrrolidin-1-yl) pyrimidin-4-yl) pyrrolidine-2-carboxamide (0.10 g) in tetrahydrofuran (2 ml) under ice-cooling, pyridine ( 0.11 ml) and trifluoroacetic anhydride (0.093 ml) were added, and the mixture was stirred for 1 hour, ethyl acetate (50 ml) was added to the reaction solution, washed with water (30 ml), dried over sodium sulfate, and then reduced in pressure. The residue obtained was purified by silica gel column chromatography (eluent; ethyl acetate: n-hexane = 35: 65-60: 40-75: 35) to give the title compound (42 mg It was obtained.
 
(Example 30.039)
N- (tert-butyl) -2- (2- (5,8-dimethyl- [1,2,4] triazolo [1,5-a] pyrazin-2-yl) cyclopropyl) -N-methyl-6 Synthesis of-(pyrrolidin-1-yl) pyrimidine-4-carboxamide
2- (2- (4-Chloro-6- (pyrrolidin-1-yl) pyrimidin-2-yl) cyclopropyl) -5,8-dimethyl- [1,2,4 obtained in (Reference Example 14) 2- (2- (5,8-dimethyl) synthesized by a method similar to (Reference Example 15) or a method analogous thereto using triazolo [1,5-a] pyrazine (Enantiomer B, 200 mg) -[1,2,4] triazolo [1,5-a] pyrazin-2-yl) cyclopropyl) -6- (pyrrolidin-1-yl) pyrimidine-4-carboxylic acid (70 mg) N, NN , N-dimethylformamide (3.7 ml) to a solution of 1-ethyl-3- (3-dimethylaminopropyl) carbodiimide hydrochloride (79.6 mg), 1-hydroxybenzotriazole monohydrate (37.4 mg) And N- Methyl-TERT-butylamine (36.2 mg) was added and stirred for 4 hours. Water (20 ml) and saturated aqueous sodium hydrogen carbonate solution (20 ml) were added to the reaction solution, and the mixture was extracted 3 times with ethyl acetate (20 ml). The organic layers were combined, washed with saturated brine (20 ml), and dried over sodium sulfate. The solvent was distilled off under reduced pressure, and the resulting residue was purified by preparative LC / MS to obtain the title compound (38.6 mg) as a colorless amorphous.
 
(Example 30.040)
(2R) -1- (2- (2- (5,8-dimethyl- [1,2,4] triazolo [1,5-a] pyrazin-2-yl) cyclopropyl) -6-morpholinopyrimidine-4 Synthesis of -yl) pyrrolidine-2-carboxamide
4- (6-Chloro-2- (2- (5,8-dimethyl- [1,2,4] triazolo [1,5-a] pyrazin-2-yl) obtained in Reference Example 19) To a solution of cyclopropyl) pyrimidin-4-yl) morpholine (0.70 g) in N-methylpyrrolidone (2.6 ml) was added D-proline methyl ester hydrochloride (1.50 g) and 1,8-diazabicyclo (5.4). 0.0) Undec-7-ene (DBU: 2.71 ml) was added, and the mixture was stirred with heating at 150 ° C. for 5 hours and 40 minutes. The reaction solution was cooled to room temperature, water (10 ml) was added, 2N aqueous hydrochloric acid was added to adjust to pH = 4, and the mixture was extracted with isopropanol / methylene chloride mixed solution (20:80, 30 ml and 20 ml). The organic layers were combined and dried over sodium sulfate, and the solvent was distilled off under reduced pressure to obtain a crude product (4 g). A part (2 g) of the obtained crude product was amidated by the same method as in (Example 30.039) or a method analogous thereto to give the title compound (110 mg).
 
(Example 30.041)
(2R) -1- (2- (2- (5,8-dimethyl- [1,2,4] triazolo [1,5-a] pyrazin-2-yl) cyclopropyl) -6-morpholinopyrimidine-4 Synthesis of -yl) pyrrolidine-2-carbonitrile
(2R) -1- (2- (2- (5,8-dimethyl- [1,2,4] triazolo [1,5-a] pyrazin-2-yl) obtained in (Example 30.040) ) Cyclopropyl) -6-morpholinopyrimidin-4-yl) pyrrolidine-2-carboxamide (105 mg) (Example 30.038) Using the same method as in <Step 3> or a method analogous thereto, the title compound (51 mg) was obtained.
 
(Example 30.042)
N-((2- (2- (5,8-dimethyl- [1,2,4] triazolo [1,5-a] pyrazin-2-yl) cyclopropyl) -6- (pyrrolidin-1-yl) Synthesis of pyrimidin-4-yl) methyl) tetrahydro-2H-pyran-4-amine
((2- (2- (5,8-dimethyl- [1,2,4] triazolo [1,5-a] pyrazin-2-yl) cyclopropyl) -6-) obtained in (Reference Example 43) Acetic acid (1.7 μl) was added to a solution of (pyrrolidin-1-yl) pyrimidine-4-carbaldehyde (55 mg) in methylene chloride (15.1 ml), and the mixture was stirred for 5 minutes. The reaction solution was added with sodium triacetoxyborohydride (48.1 mg) and stirred for 15 hours and 30 minutes, and the reaction solution was added with saturated aqueous sodium hydrogen carbonate solution (20 ml). Extracted three times with ethyl (20 ml) The organic layers were combined, washed with saturated brine (20 ml) and dried over sodium sulfate, the solvent was distilled off under reduced pressure, and the resulting residue was converted to L. / Prep purified by MS, to give the title compound (41.9 mg) as an orange solid.
 
(Example 30.043)
4- (5-Chloro-2- (2- (5,8-dimethyl- [1,2,4] triazolo [1,5-a] pyrazin-2-yl) cyclopropyl) -6- (pyrrolidine-1- Synthesis of yl) pyrimidin-4-yl) morpholine
4- (2- (2- (5,8-dimethyl- [1,2,4] triazolo [1,5-a] pyrazin-2-yl) cyclopropyl obtained in (Example 21.077) ) -6- (Pyrrolidin-1-yl) pyrimidin-4-yl) morpholine (20 mg) in chloroform (1 ml) was added with N-chlorosuccinimide (7.62 mg) under ice-cooling at room temperature. Stir for 3 days. Saturated aqueous sodium hydrogen carbonate solution (60 ml) was added to the reaction solution, and the mixture was extracted 3 times with ethyl acetate (20 ml). The organic layers were combined and dried over sodium sulfate, and the solvent was distilled off under reduced pressure. The obtained residue was purified by silica gel column chromatography (eluent; n-hexane: ethyl acetate = 80: 20-50: 50) to give the title compound (6.5 mg) as a colorless amorphous.
 
(Example 30.044)
2- (2- (5,8-dimethyl- [1,2,4] triazolo [1,5-a] pyrazin-2-yl) cyclopropyl) -4-morpholino-6- (pyrrolidin-1-yl) Synthesis of pyrimidin-5-yl) acetate
4- (2- (2- (5,8-dimethyl- [1,2,4] triazolo [1,5-a] pyrazin-2-yl) cyclopropyl obtained in (Example 21.077) ) -6- (Pyrrolidin-1-yl) pyrimidin-4-yl) morpholine (100 mg) in chloroform (2 ml) was added acetic acid (2 ml) and N-bromosuccinimide (44.4 mg) under ice cooling. In addition, the mixture was stirred at room temperature for 22 hours and 30 minutes. Saturated aqueous sodium hydrogen carbonate solution (20 ml) and 1N aqueous sodium hydroxide solution (10 ml) were sequentially added to the reaction solution, and the mixture was extracted 3 times with ethyl acetate (10 ml). The organic layers were combined, washed with saturated brine (15 ml), and dried over sodium sulfate. The solvent was evaporated under reduced pressure, and the obtained residue was purified by silica gel column chromatography (eluent; n-hexane: ethyl acetate = 88: 12-0: 100) to give the title compound (39.2 mg) as a colorless solid Got as.
 
(Example 30.045)
4- (2- (2- (5,8-dimethyl- [1,2,4] triazolo [1,5-a] pyrazin-2-yl) cyclopropyl) -5-methoxy-6- (pyrrolidine-1 Synthesis of -yl) pyrimidin-4-yl) morpholine
2- (2- (5,8-dimethyl- [1,2,4] triazolo [1,5-a] pyrazin-2-yl) cyclopropyl) -4- obtained in (Example 30.04) To a solution of morpholino-6- (pyrrolidin-1-yl) pyrimidin-5-yl) acetate (17.5 mg) in tetrahydrofuran (3 ml) was added potassium tert-butoxy (9.03 mg), methyl iodide (15.57 mg) and Water (1 drop) was added and stirred overnight at room temperature. To the reaction solution was added 1N aqueous sodium hydroxide solution (2 ml), and the mixture was stirred for 1 hour, methanol (3 ml) was added, and the mixture was further stirred for 6 hours. To the reaction solution was added saturated aqueous ammonium chloride solution (30 ml), and the mixture was extracted 3 times with ethyl acetate (10 ml). The organic layers were combined, the solvent was distilled off under reduced pressure, and the resulting residue was purified by silica gel column chromatography (eluent; ethyl acetate: n-hexane = 20: 80-50: 50-0: 100) to give the title The compound (3.5 mg) was obtained as a pale yellow solid.
 
(Example 31.001)
2- (2- (5,8-dimethyl- [1,2,4] triazolo [1,5-a] pyrazin-2-yl) cyclopropyl) -6- (pyrrolidin-1-yl) -N- ( Synthesis of tetrahydro-2H-pyran-4-yl) pyridin-4-amine
Reference Example 20 2- (2- (4-Chloro-6- (pyrrolidin-1-yl) pyridin-2-yl) cyclopropyl) -5,8-dimethyl- [1 obtained in <Step 5> , 2,4] triazolo [1,5-a] pyrazine using the same method as in (Example 30.007) or a method analogous thereto, the corresponding compound from the corresponding amine (17.8 mg ) Was obtained as a colorless solid.
 
(Example 31.002)
N- (2- (2- (5,8-dimethyl- [1,2,4] triazolo [1,5-a] pyrazin-2-yl) cyclopropyl) -6- (pyrrolidin-1-yl) pyridine Synthesis of -4-yl-)-6-methylpyridin-3-amine
Using a method similar to (Example 31.001) or a method analogous thereto, the compound was synthesized from the corresponding amine.
 
(Example 31.003)
2- (2- (4- (3-methoxyphenyl) -6- (pyrrolidin-1-yl) pyridin-2-yl) cyclopropyl) -5,8-dimethyl- [1,2,4] triazolo [1 , 5-a] pyrazine synthesis
Reference Example 20 2- (2- (4-Chloro-6- (pyrrolidin-1-yl) pyridin-2-yl) cyclopropyl) -5,8-dimethyl- [1 obtained in <Step 5> , 2,4] triazolo [1,5-a] pyrazine (20 mg) in a mixed solution of ethanol (1.4 ml) and water (0.7 ml), 3-methoxyphenylboronic acid (8.7 mg), tetrakistri Phenylphosphine palladium (6.3 mg) was added, and the mixture was stirred at 90 ° C. for 15 hours and 30 minutes under a nitrogen atmosphere. To the reaction solution were added 3-methoxyphenylboronic acid (8.7 mg) and tetrakistriphenylphosphine palladium (18.9 mg), and the mixture was stirred at 90 ° C. for 23 hours and 20 minutes. The reaction solution was cooled to room temperature, filtered through celite, and washed with ethyl acetate (40 ml). The filtrate was concentrated under reduced pressure, and the resulting residue was separated and purified by LC / MS to obtain the title compound (3.4 mg) as a pale yellow solid.
 
 
(Example 31.004)
2- (2- (4- (4-Methoxyphenyl) -6- (pyrrolidin-1-yl) pyridin-2-yl) cyclopropyl) -5,8-dimethyl- [1,2,4] triazolo [1 , 5-a] pyrazine synthesis
Using a method similar to (Example 31.003) or a method analogous thereto, the compound was synthesized from the corresponding boronic acid.
 
 
(Example 31.005)
5,8-dimethyl-2- (2- (6- (pyrrolidin-1-yl) -4-((tetrahydro-2H-pyran-4-yl) oxy) pyridin-2-yl) cyclopropyl)-[1 , 2,4] Triazolo [1,5-a] pyrazine synthesis
Reference Example 20 2- (2- (5,8-dimethyl- [1,2,4] triazolo [1,5-a] pyrazin-2-yl) cyclopropyl) -obtained in <Step 4>- To a solution of 6- (pyrrolidin-1-yl) pyridin-4-ol (30 mg) in tetrahydrofuran (1.7 ml) was added tetrahydro-2H-pyran-4-ol (17.5 mg), triphenylphosphine (44.9 mg). ) And diethyl azodicarboxylate (78 μl, 40% toluene solution, about 2.2 mol / L) were added and stirred for 2 hours. Triphenylphosphine (44.9 mg) and diethyl azodicarboxylate (78 μl, 40% toluene solution, about 2.2 mol / L) were added to the reaction solution, and the mixture was stirred for 14 hours. The reaction solution was concentrated under reduced pressure, and the resulting residue was separated and purified by LC / MS to obtain the title compound (7.1 mg) as a colorless solid.
 
(Example 31.006) and (Example 31.007)
5,8-dimethyl-2- (2- (6- (pyrrolidin-1-yl) -4-((tetrahydro-2H-pyran-4-yl) oxy) pyridin-2-yl) cyclopropyl)-[1 , 2,4] Triazolo [1,5-a] pyrazine optical resolution
5,8-Dimethyl-2- (2- (6- (pyrrolidin-1-yl) -4-((tetrahydro-2H-pyran-4-yl) oxy) pyridine obtained in Example 31.005) -2-yl) cyclopropyl)-[1,2,4] triazolo [1,5-a] pyrazine (42 mg) was subjected to preparative chromatography (column: CHIRALPAK IC (2 cm × 25 cm) manufactured by Daicel Chemical Industries, Ltd.) And optical elution using n-hexane: ethanol: diethylamine = 90: 10: 0.1 (V / V), flow rate: 8 ml / min, UV: 254 nm detection, column temperature: 40 ° C.) Gave the enantiomer of the title compound.
First fraction (9.5 mg, optical purity 100% ee, retention time 14.6 minutes, enantiomer A: Example 31.006)
Second fraction (9 mg, optical purity 95.8% ee, retention time 18.5 minutes, enantiomer B: Example 31.007)
The optical purity and retention time were determined under the following conditions. (Column: CHIRALPAK IC (0.46 cm × 25 cm) manufactured by Daicel Chemical Industries, Ltd., eluent; n-hexane: isopropanol: diethylamine = 90: 10: 0.1 (V / V), flow rate: 1 ml / min, UV: 254 nm detection, column temperature: 40 ° C.).
 
(Example 31.008)
5,8-Dimethyl-2- (2- (4- (pyridin-3-yloxy) -6- (pyrrolidin-1-yl) pyridin-2-yl) cyclopropyl)-[1,2,4] triazolo [ Synthesis of 1,5-a] pyrazine
Reference Example 20 2- (2- (5,8-dimethyl- [1,2,4] triazolo [1,5-a] pyrazin-2-yl) cyclopropyl) -obtained in <Step 4>- To a solution of 6- (pyrrolidin-1-yl) pyridin-4-ol (30 mg) in N-methylpyrrolidone (0.4 ml), 3-bromopyridine (14.9 mg), copper iodide (4.1 mg), 2 , 2,6,6-tetramethyl-3,5-heptanedione (13.6 μl) and cesium carbonate (69.7 mg) were added and stirred at 100 ° C. for 5 hours. To the reaction solution, 3-bromopyridine (29.8 mg), copper iodide (4.1 mg) and 2,2,6,6-tetramethyl-3,5-heptanedione (13.6 μl) were added, and 100 ° C. And stirred for 16 hours. The reaction solution was cooled to room temperature and filtered through celite. Celite was washed with ethyl acetate (40 ml), and the filtrate was concentrated under reduced pressure. The obtained residue was separated and purified by LC / MS to obtain the title compound (1.9 mg) as a brown solid.
 
(Example 31.09)
5,8-dimethyl-2- (2- (6- (pyrrolidin-1-yl) -4-(((S) -tetrahydrofuran-3-yl) oxy) pyridin-2-yl) cyclopropyl)-[1 , 2,4] Triazolo [1,5-a] pyrazine synthesis
Using a method similar to (Example 31.005) or a method analogous thereto, the compound was synthesized from the corresponding alcohol.
 
(Example 31.010) and (Example 31.010)
5,8-dimethyl-2- (2- (6- (pyrrolidin-1-yl) -4-(((S) -tetrahydrofuran-3-yl) oxy) pyridin-2-yl) cyclopropyl)-[1 , 2,4] Triazolo [1,5-a] pyrazine resolution
5,8-Dimethyl-2- (2- (6- (pyrrolidin-1-yl) -4-(((S) -tetrahydrofuran-3-yl) oxy) obtained in Example 31.09) Pyridin-2-yl) cyclopropyl)-[1,2,4] triazolo [1,5-a] pyrazine (100 mg) was subjected to preparative chromatography (column: manufactured by Daicel Chemical Industries, Ltd. CHIRALCEL OD (2 cm × 25 cm ), Eluent; n-hexane: ethanol: diethylamine = 90: 10: 0.1 (V / V), flow rate: 7.5 ml / min, UV: 254 nm detection, column temperature: 40 ° C.) This gave the diastereomer of the title compound.
First fraction (21 mg, optical purity 100% ee, retention time 11.6 minutes, diastereomer A: Example 31.010)
Second fraction (27 mg, optical purity 99.6% ee, retention time 13.7 minutes, diastereomer B: Example 31.011)
The optical purity and retention time were determined under the following conditions. (Column: CHIRALPAK IC (0.46 cm × 15 cm) manufactured by Daicel Chemical Industries, Ltd., eluent; n-hexane: ethanol: diethylamine = 90: 10: 0.1 (V / V), flow rate: 3 ml / min, UV: 254 nm detection, column temperature: 40 ° C.).
 
(Example 31.010)
5,8-Dimethyl-2- (2- (6- (pyrrolidin-1-yl) -3-((tetrahydro-2H-pyran-4-yl) oxy) pyridin-2-yl) cyclopropyl)-[1, Synthesis of 2,4] triazolo [1,5-a] pyrazine
(Reference Example 39) 2- (2- (5,8-dimethyl- [1,2,4] triazolo [1,5-a] pyrazin-2-yl) cyclopropyl) -obtained in <Step 5>- To a solution of 6- (pyrrolidin-1-yl) pyridin-3-ol (30 mg) in N, N-dimethylformamide (0.9 ml) was added sodium hydride (6.8 mg) under ice cooling, and the mixture was warmed to room temperature. Warmed and stirred for 1 hour. Tetrahydro-2H-pyran-4-yl-methanesulfonate (18.5 mg) was added to the reaction solution and stirred for 2 hours and 20 minutes, and then the reaction solution was heated to 50 ° C. and stirred for 19 hours. After cooling to room temperature, water (10 ml) and saturated aqueous sodium hydrogen carbonate solution (20 ml) were added, and the mixture was extracted with dichloromethane (20 ml). To the aqueous layer was added saturated brine (20 ml), and the mixture was extracted 3 times with methylene chloride (30 ml). The organic layers were combined, washed with saturated brine (40 ml), and dried over sodium sulfate. The solvent was distilled off under reduced pressure, and the resulting residue was purified by preparative LC / MS to obtain the title compound (2.8 mg) as a brown solid.
 
(Example 31.013)
2- (2- (3-Isopropoxy-6- (pyrrolidin-1-yl) pyridin-2-yl) cyclopropyl) -5,8-dimethyl- [1,2,4] triazolo [1,5-a Synthesis of pyrazine
(Reference Example 39) 2- (2- (5,8-dimethyl- [1,2,4] triazolo [1,5-a] pyrazin-2-yl) cyclopropyl) obtained in <Step 5> Sodium hydride (6.8 mg) was added to a solution of −6- (pyrrolidin-1-yl) pyridin-3-ol (30 mg) in N, N-dimethylformamide (0.9 ml) under ice-cooling, and the mixture was brought to room temperature. The mixture was warmed and stirred for 1 hour. To the reaction solution was added 2-iodopropane (12.8 μl), and the mixture was stirred at 50 ° C. for 1 hour and 45 minutes. The reaction solution was cooled, water (10 ml), saturated aqueous sodium hydrogen carbonate solution (20 ml) and methylene chloride (30 ml) were added, and the organic layer was extracted. The aqueous layer was further extracted twice with methylene chloride (30 ml), and the organic layers were combined and washed with saturated brine (40 ml). The organic layer was dried over sodium sulfate, and the solvent was distilled off under reduced pressure. The residue was purified by preparative LC / MS to give the title compound (22.5 mg) as a brown solid.
 
(Example 32.001) and (Example 32.002)
6- (2- (5,8-Dimethyl- [1,2,4] triazolo [1,5-a] pyrazin-2-yl) cyclopropyl) -2- (pyrrolidin-1-yl) -N— ( Optical resolution of tetrahydro-2H-pyran-4-yl) pyrimidin-4-amine
6- (2- (5,8-dimethyl- [1,2,4] triazolo [1,5-a] pyrazin-2-yl) cyclopropyl) -2 obtained in (Example 23.002) -(Pyrrolidin-1-yl) -N- (tetrahydro-2H-pyran-4-yl) pyrimidin-4-amine (74 mg) was subjected to preparative chromatography (column: CHIRALPAK IC (2 cm × 25 cm), eluent; n-hexane: ethanol: diethylamine = 90: 10: 0.1 (V / V), flow rate: 6 ml / min, UV: 254 nm detection, column temperature: 40 ° C.) This gave the enantiomer of the title compound.
First fraction (29.7 mg, white solid, optical purity 100% ee, retention time 14.8 minutes, enantiomer A: Example 32.001)
Second fraction (29.5 mg, white solid, optical purity 100% ee, retention time 21.4 minutes, enantiomer B: Example 32.002)
The optical purity and retention time were determined under the following conditions. (Column: CHIRALPAK IC (0.46 cm × 15 cm), manufactured by Daicel Chemical Industries, Ltd.), eluent; n-hexane: isopropanol: diethylamine = 90: 10: 0.1 (V / V), flow rate: 2.5 ml / Min, UV: 254 nm detection, column temperature: 40 ° C.).
 
(Example 32.003)
4- (6- (2- (5,8-dimethyl- [1,2,4] triazolo [1,5-a] pyrazin-2-yl) cyclopropyl) -2- (pyrrolidin-1-yl) pyrimidine Synthesis of -4-yl) morpholine
4- (2-Chloro-6- (2- (5,8-dimethyl- [) synthesized from the corresponding amine by a method similar to (Reference Example 21) and (Reference Example 22) or a method analogous thereto. 1,2,4] Triazolo [1,5-a] pyrazin-2-yl) cyclopropyl) pyrimidin-4-yl) morpholine (210 mg) and a method similar to (Example 19.056) using pyrrolidine Alternatively, the title compound (191 mg) was synthesized according to a method analogous thereto.
 
(Example 32.004) and (Example 32.005)
4- (6- (2- (5,8-dimethyl- [1,2,4] triazolo [1,5-a] pyrazin-2-yl) cyclopropyl) -2- (pyrrolidin-1-yl) pyrimidine -4-yl) morpholine optical resolution
4- (6- (2- (5,8-dimethyl- [1,2,4] triazolo [1,5-a] pyrazin-2-yl) cyclopropyl) obtained in Example 32.003) -2- (Pyrrolidin-1-yl) pyrimidin-4-yl) morpholine (171.9 mg) was subjected to preparative chromatography (column: CHIRALPAK IC (2 cm × 25 cm), manufactured by Daicel Chemical Industries, Ltd.), eluent; n- Enantiomer of the title compound by optical resolution using hexane: ethanol: diethylamine = 90: 10: 0.1 (V / V), flow rate: 12 ml / min, UV: 254 nm detection, column temperature: 40 ° C.) Got.
First fraction (66 mg, optical purity 99.9% ee, retention time 9.9 minutes, enantiomer A: Example 32.004)
Second fraction (68.8 mg, pale yellow solid, optical purity 99.9% ee, retention time 12.9 minutes, enantiomer B: Example 32.005)
The optical purity and retention time were determined under the following conditions. (Column: CHIRALPAK IC (0.46 cm × 15 cm) manufactured by Daicel Chemical Industries, Ltd., eluent; n-hexane: ethanol: diethylamine = 90: 10: 0.1 (V / V), flow rate: 2 ml / min, UV: 254 nm detection, column temperature: 40 ° C.).
 
(Example 33.001)
(E) -2- (2- (4- (3-Methoxy-3-methylazetidin-1-yl) -6- (pyrrolidin-1-yl) pyrimidin-2-yl) vinyl) -5,8- Synthesis of dimethyl- [1,2,4] triazolo [1,5-a] pyrazine
(E) -2- (2- (4-Chloro-6- (pyrrolidin-1-yl) pyrimidin-2-yl) vinyl) 5,8-dimethyl- [1,2] obtained in Example 8 , 4] triazolo [1,5-a] pyrazine (100 mg) in N-methylpyrrolidone (2.8 ml), 3-methoxy-3-methylazetidine hydrochloride (193.4 mg) and 1,8-diazabicyclo (5.4.0) Undec-7-ene (DBU: 267.4 μl) was added, and the mixture was heated with stirring at 150 ° C. for 22 hours and 30 minutes. The reaction solution was separated and purified by LC / MS to obtain the title compound (21 mg) as a brown solid.
 
The compounds of (Example 33.002) to (Example 33.003) were synthesized in the same manner as (Example 33.001) or a method analogous thereto, using each corresponding amine.
(Example 33.002)
(E) -2- (2- (4- (3-Methoxy-3-methylazetidin-1-yl) -6- (pyrrolidin-1-yl) pyrimidin-2-yl) vinyl) -5,8- Dimethyl- [1,2,4] triazolo [1,5-a] pyrazine
(Example 33.003)
(E) -2- (2- (4- (3-Ethoxyazetidin-1-yl) -6- (pyrrolidin-1-yl) pyrimidin-2-yl) vinyl) -5,8-dimethyl- [1 , 2,4] triazolo [1,5-a] pyrazine
(Example 33.004)
(E) -1-((2- (2- (5,8-dimethyl- [1,2,4] triazolo [1,5-a] pyrazin-2-yl) vinyl) -6- (pyrrolidine-1 -Yl) pyrimidin-4-yl) -3-methylazetidin-3-ol
(Example 33.005)
(R, E) -2- (2- (4- (Hexahydropyrrolo [1,2-a] pyrazin-2 (1H) -yl) -6- (pyrrolidin-1-yl) pyrimidin-2-yl) Vinyl) -5,8-dimethyl- [1,2,4] triazolo [1,5-a] pyrazine
(Example 33.006)
(S, E) -2- (2- (4- (Hexahydropyrrolo [1,2-a] pyrazin-2 (1H) -yl) -6- (pyrrolidin-1-yl) pyrimidin-2-yl) Vinyl) -5,8-dimethyl- [1,2,4] triazolo [1,5-a] pyrazine
(Example 33.007)
(1R, 4R) -5- (2- (E) -2- (5,8-dimethyl- [1,2,4] triazolo [1,5-a] pyrazin-2-yl) vinyl) -6- (Pyrrolidin-1-yl) pyrimidin-4-yl) -2-oxo-5-azabicyclo [2,2,1] heptane
(Example 33.008)
(E) -1-((2- (2- (5,8-dimethyl- [1,2,4] triazolo [1,5-a] pyrazin-2-yl) vinyl) -6- (pyrrolidine-1 -Yl) pyrimidin-4-yl) -4-methylpiperidin-4-ol
(Example 33.09)
4- (2-((E) -2- (5,8-dimethyl- [1,2,4] triazolo [1,5-a] pyrazin-2-yl) vinyl) -6- (pyrrolidine-1- Yl) pyrimidin-4-yl) -2,6-dimethylmorpholine
(Example 33.010)
(E) -4-((2- (2- (5,8-dimethyl- [1,2,4] triazolo [1,5-a] pyrazin-2-yl) vinyl) -6- (pyrrolidine-1 -Yl) pyrimidin-4-yl) -2,2-dimethylmorulin
(Example 33.010)
(E) -1- (4- (2- (2- (5,8-dimethyl- [1,2,4] triazolo [1,5-a] pyrazin-2-yl) vinyl) -6- (pyrrolidine -1-yl) pyrimidin-4-yl) piperazin-1-yl) ethanone
(Example 33.010)
(E) -1-((2- (2- (5,8-dimethyl- [1,2,4] triazolo [1,5-a] pyrazin-2-yl) vinyl) -6- (pyrrolidine-1 -Yl) pyrimidin-4-yl) piperidin-4-ol
(Example 33.003)
(E) -4- (2- (2- (5,8-dimethyl- [1,2,4] triazolo [1,5-a] pyrazin-2-yl) vinyl) -6- (pyrrolidine-1- Yl) pyrimidin-4-yl) -1-methylpiperazin-2-one trifluoroacetate
(Example 33.014)
(S, E) -2- (2- (5,8-dimethyl- [1,2,4] triazolo [1,5-a] pyrazin-2-yl) vinyl) -6- (pyrrolidin-1-yl ) -N- (Tetrahydrofuran-3-yl) pyrimidin-4-amine
(E) -2- (2- (4-Chloro-6- (pyrrolidin-1-yl) pyrimidin-2-yl) vinyl) 5,8-dimethyl- [1,2] obtained in Example 8 , 4] triazolo [1,5-a] pyrazine (100 mg) in tert-butanol (2.8 ml) was added to (R) -tetrahydrofuran-3-amine (49 mg), sodium tert-butoxide (40.5 mg), tris (Dibenzylideneacetone) dipalladium-chloroform adduct (51.5 mg) and 2-dicyclohexylphosphino-2 ′-(N, N-dimethylamino) biphenyl (Dave-Phos: 22.1 mg) were added at 90 ° C. Stir for 2 hours 30 minutes. The reaction solution was separated and purified by LC / MS to obtain the title compound (47.7 mg) as a brown solid.
 
The compound of (Example 33.015) to (Example 33.018) was synthesized using the corresponding amine in the same manner as in Example (33.014) or a method analogous thereto.
(Example 33.015)
(E) -3-((2- (2- (5,8-dimethyl- [1,2,4] triazolo [1,5-a] pyrazin-2-yl) vinyl) -6- (pyrrolidine-1 -Yl) pyrimidin-4-yl) amino) propanenitrile
(Example 33.016)
(R, E) -2- (2- (5,8-dimethyl- [1,2,4] triazolo [1,5-a] pyrazin-2-yl) vinyl) -6- (pyrrolidin-1-yl ) -N- (Tetrahydrofuran-3-yl) pyrimidin-4-amine
(Example 33.018)
(S, E) -4- (2- (2- (5,8-dimethyl- [1,2,4] triazolo [1,5-a] pyrazin-2-yl) vinyl) -6- (pyrrolidine- 1-yl) pyrimidin-4-yl) -3-methylmorpholine
(Example 33.018)
(R, E) -4- (2- (2- (5,8-dimethyl- [1,2,4] triazolo [1,5-a] pyrazin-2-yl) vinyl) -6- (pyrrolidine- 1-yl) pyrimidin-4-yl) -3-methylmorpholine
(Example 33.019)
(E) -4- (5-Chloro-2- (2- (5,8-dimethyl- [1,2,4] triazolo [1,5-a] pyrazin-2-yl) vinyl) -6- ( Synthesis of pyrrolidin-1-yl) pyrimidin-4-yl) morpholine
(E) -4- (2- (2- (5,8-dimethyl- [1,2,4] triazolo [1,5-a] pyrazin-2-yl) vinyl obtained in Example 11) ) -6- (Pyrrolidin-1-yl) pyrimidin-4-yl) morpholine (100 mg) in chloroform (2 ml) was added with N-chlorosuccinimide (36.1 mg) under ice cooling for 1 hour 45 Stir for minutes. To the reaction solution was added saturated aqueous sodium hydrogen carbonate solution (10 ml), and the mixture was extracted 3 times with ethyl acetate (10 ml). The organic layers were combined, washed with saturated brine (10 ml), and dried over sodium sulfate. The obtained residue was purified by silica gel column chromatography (eluent; ethyl acetate: n-hexane = 7: 93-60: 40) to obtain the title compound (88.5 mg) as a pale yellow solid.
 
(Example 34.001)
4- (2- (2- (6- (5-Chloro-5,8-dimethyl- [1,2,4] triazolo [1,5-a] pyrazin-2-yl) cyclopropyl) -6- (pyrrolidine-1 Synthesis of -yl) pyrimidin-4-yl) morpholine
Reference Example 40 1-amino-5-chloro-3,6-dimethylpyrazine-2 (1H) -iminium 2,4,6-trimethylbenzenesulfonate (40 mg) obtained in <Step 2> Triethylamine (22.4 μl) was added to an acetonitrile (0.5 ml) solution, and the mixture was stirred at 20 ° C. for 30 minutes. Separately, in a solution of 2- (4-morpholino-6- (pyrrolidin-1-yl) pyrimidin-2-yl) cyclopropanecarboxylic acid (34.2 mg) obtained in (Reference Example 41) in acetonitrile (1 ml). Under ice-cooling, triethylamine (74.8 μl) and propylphosphonic anhydride (76 μl, 50% ethyl acetate solution) were added to prepare a solution. This solution was added to the reaction solution and stirred at 50 ° C. for 14 hours and 30 minutes. Water (20 ml) and saturated aqueous sodium hydrogen carbonate solution (20 ml) were added to the reaction solution, and the mixture was extracted 3 times with ethyl acetate (20 ml). The organic layers were combined, washed with saturated brine (20 ml), and dried over sodium sulfate. The solvent was distilled off under reduced pressure, and the obtained residue was purified by silica gel column chromatography (eluent; n-hexane: ethyl acetate = 94: 6-50: 50) to give the title compound (19.7 mg) as an orange amorphous product. Got as.
 
(Example 34.002)
4- (6- (Pyrrolidin-1-yl) -2- (2- (5,6,8-trimethyl- [1,2,4] triazolo [1,5-a] pyrazin-2-yl) cyclopropyl Synthesis of) pyrimidin-4-yl) morpholine
4- (2- (2- (6-Chloro-5,8-dimethyl- [1,2,4] triazolo [1,5-a] pyrazin-2-yl) obtained in (Example 34.001) ) Cyclopropyl) -6- (pyrrolidin-1-yl) pyrimidin-4-yl) morpholine (19 mg) in N, N-dimethylformamide (0.4 ml) was added 2,4,6-trimethylboroxine (23 .3 μl), 1,1′-bis (diphenylphosphino) ferrocene-palladium (II) dichloride-dichloromethane complex (17.1 mg) and potassium carbonate (28.9 mg) were added and microwaved at 110 ° C. for 2 hours. Stir with heating. The reaction solution was filtered through celite and washed with ethyl acetate (40 ml). The solvent was evaporated under reduced pressure, and the obtained residue was purified by silica gel column chromatography (eluent; ethyl acetate: n-hexane = 1: 88-100: 0) to give the title compound (15.6 mg) as brown Obtained as a solid.
 
(Example 34.003) and (Example 34.004)
4- (6- (Pyrrolidin-1-yl) -2- (2- (5,6,8-trimethyl- [1,2,4] triazolo [1,5-a] pyrazin-2-yl) cyclopropyl Optical resolution of pyrimidin-4-yl) morpholine
4- (6- (pyrrolidin-1-yl) -2- (2- (5,6,8-trimethyl- [1,2,4] triazolo [1,5] obtained in Example 34.002) -A] pyrazin-2-yl) cyclopropyl) pyrimidin-4-yl) morpholine (15 mg) was subjected to preparative chromatography (column: CHIRALPAK AY-H (2 cm × 25 cm), manufactured by Daicel Chemical Industries, Ltd.), eluent; The title compound was obtained by optical resolution using n-hexane: ethanol: diethylamine = 90: 10: 0.1 (V / V), flow rate: 8 ml / min, UV: 254 nm detection, column temperature: 40 ° C.) The enantiomer of was obtained.
First fraction (1 mg, optical purity 100% ee, retention time 6.0 minutes, enantiomer A: Example 34.003)
Second fraction (4 mg, pale yellow solid, optical purity 99% ee, retention time 8.0 minutes, enantiomer B: Example 34.004)
The optical purity and retention time were determined under the following conditions. (Column: CHIRALPAK AY-H (0.46 cm × 15 cm), manufactured by Daicel Chemical Industries, Ltd.), eluent: n-hexane: ethanol: diethylamine = 90: 10: 0.1 (V / V), flow rate: 3 ml / Min, UV: 254 nm detection, column temperature: 40 ° C.).
 
(Example 35.001)
4- (2- (2- (6-Bromo-8-methoxy-5-methyl- [1,2,4] triazolo [1,5-a] pyrazin-2-yl) cyclopropyl) -6- (pyrrolidine Synthesis of -1-yl) pyrimidin-4-yl) morpholine
Using 1-amino-5-bromo-3-methoxy-6-methylpyrazine-2 (1H) -iminium 2,4,6-trimethylbenzenesulfonate (140 mg) obtained in (Reference Example 42) Using the same method as in (Example 34.001) or a method analogous thereto, the title compound (49.6 mg) was obtained as a white solid.
 
(Example 35.002)
4- (2- (2- (8-methoxy-5-methyl- [1,2,4] triazolo [1,5-a] pyrazin-2-yl) cyclopropyl) -6- (pyrrolidin-1-yl) Synthesis of) pyrimidin-4-yl) morpholine
4- (2- (2- (6-Bromo-8-methoxy-5-methyl- [1,2,4] triazolo [1,5-a] pyrazine-2 obtained in Example 35.001) To a solution of -yl) cyclopropyl) -6- (pyrrolidin-1-yl) pyrimidin-4-yl) morpholine (48 mg) in methanol (3 ml) was added 10% palladium-carbon (5 mg) and 25% under a hydrogen atmosphere. Stir at 4 ° C. for 4 hours. The reaction solution was filtered through Celite, and the filtrate was concentrated under reduced pressure to obtain a crude product of the title compound (45 mg).
 
(Example 35.003) and (Example 35.004)
4- (2- (2- (8-methoxy-5-methyl- [1,2,4] triazolo [1,5-a] pyrazin-2-yl) cyclopropyl) -6- (pyrrolidin-1-yl) Optical resolution of pyrimidin-4-yl) morpholine
4- (2- (2- (8-methoxy-5-methyl- [1,2,4] triazolo [1,5-a] pyrazin-2-yl) cyclo obtained in Example 35.002) Propyl) -6- (pyrrolidin-1-yl) pyrimidin-4-yl) morpholine (50 mg) was subjected to preparative chromatography (column: CHIRALPAK AY-H (2 cm × 25 cm), manufactured by Daicel Chemical Industries, Ltd.), eluent; The title compound was obtained by optical resolution using n-hexane: ethanol: diethylamine = 90: 10: 0.1 (V / V), flow rate: 8 ml / min, UV: 254 nm detection, column temperature: 40 ° C.) The enantiomer of was obtained.
First fraction (6.1 mg, optical purity 100% ee, retention time 7.3 minutes, enantiomer A: Example 35.003)
Second fraction (6.7 mg, pale yellow solid, optical purity 97.4% ee, retention time 9.3 minutes, enantiomer B: Example 35.004)
The optical purity and retention time were determined under the following conditions. (Column: CHIRALPAK IC (0.46 cm × 15 cm) manufactured by Daicel Chemical Industries, Ltd., eluent; n-hexane: ethanol: diethylamine = 90: 10: 0.1 (V / V), flow rate: 3 ml / min, UV: 254 nm detection, column temperature: 40 ° C.).
 
(Example 36.001)
(1S, 2R, 4S, 5R) -1-((4-Chloro-6- (pyrrolidin-1-yl) pyrimidin-2-yl) methyl) -2-((S) -methoxy (6-methoxyquinoline- Synthesis of 4-yl) methyl-5-vinylquinuclidine-1-ium chloride
Of (1S, 2R, 4S, 5R) -2-((S) -methoxy (6-methoxyquinolin-4-yl) methyl-5-vinylquinuclidine (0.74 g) synthesized by methods known in the literature. 4-chloro-2- (chloromethyl) -6- (pyrrolidin-1-yl) pyrimidine synthesized in accordance with the method described in [US2011 / 160206 pamphlet, page 13] into a 2-butanone (20 ml) solution ( The reaction solution was cooled to room temperature, and the precipitated solid was collected by filtration, washed with ethyl acetate (5 ml) and dried to give the title compound (860 mg) as beige. Obtained as a solid.
 
(Example 36.002)
Synthesis of 2- (4-chloro-6- (pyrrolidin-1-yl) pyrimidin-2-yl) cyclopropanecarboxylic acid
(1S, 2R, 4S, 5R) -1-((4-Chloro-6- (pyrrolidin-1-yl) pyrimidin-2-yl) methyl) -2-, obtained in (Example 36.001) To a solution of ((S) -methoxy (6-methoxyquinolin-4-yl) methyl-5-vinylquinuclidin-1-ium chloride (0.85 g) and cesium carbonate (0.63 g) in acetonitrile (10 ml), Methyl acrylate (0.44 ml) was added and the mixture was heated to reflux for 8 hours, then cooled to room temperature and stirred overnight, and the reaction solution was heated to reflux again for 5 hours and cooled to room temperature. The obtained residue was diluted with toluene (10 ml), 1N aqueous hydrochloric acid solution (3 ml) was added to the solution, and the mixture was stirred for 10 minutes.The organic layer was separated and washed with water (3 ml). Silica layer After mixing with gel (1 g) and washing with organic solvent, the filtrate was concentrated, 1N aqueous sodium hydroxide solution (2.5 ml) was added to a solution of the residue in methanol (2.5 ml), and the reaction solution was stirred overnight. The solvent was distilled off under reduced pressure, the resulting residue was diluted with ethyl acetate (5 ml), and the organic layer was extracted with 0.5 N aqueous sodium hydroxide solution (2 ml). = 4 to 5 and extracted with ethyl acetate (20 ml) The aqueous layer was again adjusted to pH = 4 and extracted twice with ethyl acetate (5 ml) The organic layers were combined and dried over sodium sulfate. The solvent was distilled off under reduced pressure and dried to obtain the title compound (300 mg, 75% ee) as a white solid.
The optical purity and retention time were determined under the following conditions. (Column: CHIRALPAK AY-H (0.46 cm × 15 cm), manufactured by Daicel Chemical Industries, Ltd.), eluent: n-hexane: ethanol: diethylamine = 90: 10: 0.1 (V / V), flow rate: 2 ml / Min, UV: 254 nm detection, column temperature: 40 ° C.).
 
(Example 36.003)
2- (2- (4-Chloro-6- (pyrrolidin-1-yl) pyrimidin-2-yl) cyclopropyl)-(5,8-dimethyl- [1,2,4] triazolo [1,5-a Synthesis of pyrazine
2- (4-Chloro-6- (pyrrolidin-1-yl) pyrimidin-2-yl) cyclopropanecarboxylic acid (0.15 g) and triethylamine (0.51 ml) obtained in (Example 36.002) To an acetonitrile (2 ml) solution was added propylphosphonic anhydride (0.4 ml, 50% ethyl acetate solution) under ice-cooling, and the mixture was stirred at room temperature for 1 hour. To the reaction solution, 1-amino-3,6-dimethylpyrazine-2 (1H) -iminium 2,4,6-trimethylbenzenesulfo synthesized according to the method described in [WO2009 / 152825, page 44] was prepared. Nate (0.19 g) was added and stirred overnight. The reaction solution was quenched with 0.5N aqueous sodium hydroxide solution (6 ml) and extracted with methylene chloride (10 ml). After drying the organic layer with sodium sulfate, the solvent was distilled off under reduced pressure. The obtained residue was stirred in 0.2N aqueous hydrochloric acid solution (0.5 ml) for 1 hour. The precipitated insoluble material was removed by filtration, and the filtrate was diluted with 1N aqueous sodium hydroxide solution (2 ml) and extracted with ethyl acetate (5 ml). The organic layer was washed with a 10% aqueous citric acid solution and a saturated aqueous sodium hydrogen carbonate solution and then dried over sodium sulfate. The solvent was distilled off under reduced pressure to obtain the title compound as a crude product (50 mg, 98% ee). The obtained crude product was dissolved in ethyl acetate (1 ml), and 4N hydrochloric acid-ethyl acetate (0.1 ml) was added. Ethyl acetate was removed by concentration under reduced pressure, and the resulting residue was triturated with acetone and collected by filtration to give the hydrochloride of the title compound as a beige solid. The compound was diluted with saturated aqueous sodium bicarbonate (1 ml) and extracted with ethyl acetate (3 ml). The organic layers were combined and dried, and then the solvent was distilled off under reduced pressure to obtain the title compound (34 mg, 99% ee) as a colorless amorphous. The optical purity and retention time were determined under the following conditions. (Column: CHIRALPAK AY-H (0.46 cm × 15 cm), manufactured by Daicel Chemical Industries, Ltd.), eluent: n-hexane: ethanol: diethylamine = 90: 10: 0.1 (V / V), flow rate: 2 ml / Min, UV: 254 nm detection, column temperature: 40 ° C.).
 上記の実施例1から実施例18で合成したこれら実施例の参考例のLC/MSデータを表4に、実施例のLC/MSデータを表5に、上記以外の参考例等のLC/MSデータを表6に、代表参考例及び化合物のNMRデータを表7に示す。核磁気共鳴スペクトル(NMR)の測定には、ジェオールJNM-ECX400(JEOL JNM-ECX400)FT-NMR(日本電子(株)製)、ジェオールJNM-ECX300(JEOL JNM-ECX300)FT-NMR(日本電子(株)製)、ジェオールJNM-EX270(JEOL JNM-EX270)FT-NMR(日本電子(株)製)を用いた。LC-Massは以下のいずれかの方法で測定した。Waters FractionLynx MSシステム(Waters製)を用い、カラムはWaters製、SunFireカラム(4.6mm×5cm、5μm)を用い、移動相は、[メソッドA]メタノール:0.05%酢酸水溶液=10:90(0分)~100:0(5分)~100:0(7分)、または[メソッドB]メタノール:0.05%トリフルオロ酢酸水溶液=10:90(0分)~100:0(5分)~100:0(7分)のグラジエント条件を用いる方法。UPLC/MSはWaters UPLC-ZQ MSシステム(Waters製)を用い、カラムは資生堂製、MGIII-H(2.1mm×5cm、3μm)を用い、移動層は、[メソッドC]メタノール:0.05%トリフルオロ酢酸水溶液=5:95(0分)~100:0(1分)~100:0(2分)のグラジエント条件を用いた。
分取系には化合物により適宜変更したグラジエント条件を用いた。
 
LC / MS data of the reference examples of these examples synthesized in Examples 1 to 18 are shown in Table 4, LC / MS data of the examples are shown in Table 5, and LC / MS of Reference Examples other than the above. Data are shown in Table 6, and NMR data of representative reference examples and compounds are shown in Table 7. For the measurement of nuclear magnetic resonance spectrum (NMR), Geol JNM-ECX400 (JEOL JNM-ECX400) FT-NMR (manufactured by JEOL Ltd.), Geol JNM-ECX300 (JEOL JNM-ECX300) FT-NMR (JEOL) GEOL JNM-EX270 (JEOL JNM-EX270) FT-NMR (manufactured by JEOL Ltd.) was used. LC-Mass was measured by one of the following methods. A Waters FractionLynx MS system (manufactured by Waters) was used, a column manufactured by Waters and a SunFire column (4.6 mm × 5 cm, 5 μm) were used, and the mobile phase was [Method A] methanol: 0.05% acetic acid aqueous solution = 10: 90. (0 min) to 100: 0 (5 min) to 100: 0 (7 min), or [Method B] methanol: 0.05% aqueous trifluoroacetic acid = 10: 90 (0 min) to 100: 0 (5 Min) to 100: 0 (7 min) gradient conditions. The UPLC / MS uses a Waters UPLC-ZQ MS system (manufactured by Waters), the column is manufactured by Shiseido, MGIII-H (2.1 mm × 5 cm, 3 μm), and the moving bed is [Method C] methanol: 0.05. % Trifluoroacetic acid aqueous solution = 5: 95 (0 min) to 100: 0 (1 min) to 100: 0 (2 min) gradient conditions were used.
For the preparative system, gradient conditions appropriately changed depending on the compound were used.
Figure JPOXMLDOC01-appb-T000264
Figure JPOXMLDOC01-appb-T000264
Figure JPOXMLDOC01-appb-T000265
Figure JPOXMLDOC01-appb-T000265
Figure JPOXMLDOC01-appb-T000266
Figure JPOXMLDOC01-appb-T000266
Figure JPOXMLDOC01-appb-T000267
Figure JPOXMLDOC01-appb-T000267
Figure JPOXMLDOC01-appb-T000268
Figure JPOXMLDOC01-appb-T000268
Figure JPOXMLDOC01-appb-T000269
Figure JPOXMLDOC01-appb-T000269
Figure JPOXMLDOC01-appb-T000270
Figure JPOXMLDOC01-appb-T000270
Figure JPOXMLDOC01-appb-T000271
Figure JPOXMLDOC01-appb-T000271
Figure JPOXMLDOC01-appb-T000272
Figure JPOXMLDOC01-appb-T000272
Figure JPOXMLDOC01-appb-T000273
Figure JPOXMLDOC01-appb-T000273
Figure JPOXMLDOC01-appb-T000274
Figure JPOXMLDOC01-appb-T000274
Figure JPOXMLDOC01-appb-T000275
Figure JPOXMLDOC01-appb-T000275
Figure JPOXMLDOC01-appb-T000276
Figure JPOXMLDOC01-appb-T000276
Figure JPOXMLDOC01-appb-T000277
Figure JPOXMLDOC01-appb-T000277
Figure JPOXMLDOC01-appb-T000278
Figure JPOXMLDOC01-appb-T000278
Figure JPOXMLDOC01-appb-T000279
Figure JPOXMLDOC01-appb-T000279
Figure JPOXMLDOC01-appb-T000280
Figure JPOXMLDOC01-appb-T000280
Figure JPOXMLDOC01-appb-T000281
Figure JPOXMLDOC01-appb-T000281
Figure JPOXMLDOC01-appb-T000282
Figure JPOXMLDOC01-appb-T000282
Figure JPOXMLDOC01-appb-T000283
Figure JPOXMLDOC01-appb-T000283
Figure JPOXMLDOC01-appb-T000284
Figure JPOXMLDOC01-appb-T000284
Figure JPOXMLDOC01-appb-T000285
Figure JPOXMLDOC01-appb-T000285
Figure JPOXMLDOC01-appb-T000286
Figure JPOXMLDOC01-appb-T000286
Figure JPOXMLDOC01-appb-T000287
Figure JPOXMLDOC01-appb-T000287
Figure JPOXMLDOC01-appb-T000288
Figure JPOXMLDOC01-appb-T000288
Figure JPOXMLDOC01-appb-T000289
Figure JPOXMLDOC01-appb-T000289
Figure JPOXMLDOC01-appb-T000290
Figure JPOXMLDOC01-appb-T000290
Figure JPOXMLDOC01-appb-T000291
Figure JPOXMLDOC01-appb-T000291
Figure JPOXMLDOC01-appb-T000292
Figure JPOXMLDOC01-appb-T000292
Figure JPOXMLDOC01-appb-T000293
Figure JPOXMLDOC01-appb-T000293
Figure JPOXMLDOC01-appb-T000294
Figure JPOXMLDOC01-appb-T000294
Figure JPOXMLDOC01-appb-T000295
Figure JPOXMLDOC01-appb-T000295
Figure JPOXMLDOC01-appb-T000296
Figure JPOXMLDOC01-appb-T000296
Figure JPOXMLDOC01-appb-T000297
Figure JPOXMLDOC01-appb-T000297
Figure JPOXMLDOC01-appb-T000298
Figure JPOXMLDOC01-appb-T000298
Figure JPOXMLDOC01-appb-T000299
Figure JPOXMLDOC01-appb-T000299
Figure JPOXMLDOC01-appb-T000300
Figure JPOXMLDOC01-appb-T000300
Figure JPOXMLDOC01-appb-T000301
Figure JPOXMLDOC01-appb-T000301
Figure JPOXMLDOC01-appb-T000302
Figure JPOXMLDOC01-appb-T000302
Figure JPOXMLDOC01-appb-T000303
Figure JPOXMLDOC01-appb-T000303
Figure JPOXMLDOC01-appb-T000304
Figure JPOXMLDOC01-appb-T000304
Figure JPOXMLDOC01-appb-T000305
Figure JPOXMLDOC01-appb-T000305
Figure JPOXMLDOC01-appb-T000306
Figure JPOXMLDOC01-appb-T000306
Figure JPOXMLDOC01-appb-T000307
Figure JPOXMLDOC01-appb-T000307
Figure JPOXMLDOC01-appb-T000308
Figure JPOXMLDOC01-appb-T000308
Figure JPOXMLDOC01-appb-T000309
Figure JPOXMLDOC01-appb-T000309
Figure JPOXMLDOC01-appb-T000310
Figure JPOXMLDOC01-appb-T000310
Figure JPOXMLDOC01-appb-T000311
Figure JPOXMLDOC01-appb-T000311
Figure JPOXMLDOC01-appb-T000312
Figure JPOXMLDOC01-appb-T000312
Figure JPOXMLDOC01-appb-T000313
Figure JPOXMLDOC01-appb-T000313
Figure JPOXMLDOC01-appb-T000314
Figure JPOXMLDOC01-appb-T000314
Figure JPOXMLDOC01-appb-T000315
Figure JPOXMLDOC01-appb-T000315
Figure JPOXMLDOC01-appb-T000316
Figure JPOXMLDOC01-appb-T000316
Figure JPOXMLDOC01-appb-T000317
Figure JPOXMLDOC01-appb-T000317
Figure JPOXMLDOC01-appb-T000318
Figure JPOXMLDOC01-appb-T000318
Figure JPOXMLDOC01-appb-T000319
Figure JPOXMLDOC01-appb-T000319
Figure JPOXMLDOC01-appb-T000320
Figure JPOXMLDOC01-appb-T000320
Figure JPOXMLDOC01-appb-T000321
Figure JPOXMLDOC01-appb-T000321
Figure JPOXMLDOC01-appb-T000322
Figure JPOXMLDOC01-appb-T000322
Figure JPOXMLDOC01-appb-T000323
Figure JPOXMLDOC01-appb-T000323
Figure JPOXMLDOC01-appb-T000324
Figure JPOXMLDOC01-appb-T000324
Figure JPOXMLDOC01-appb-T000325
Figure JPOXMLDOC01-appb-T000325
Figure JPOXMLDOC01-appb-T000326
Figure JPOXMLDOC01-appb-T000326
Figure JPOXMLDOC01-appb-T000327
Figure JPOXMLDOC01-appb-T000327
Figure JPOXMLDOC01-appb-T000328
Figure JPOXMLDOC01-appb-T000328
Figure JPOXMLDOC01-appb-T000329
Figure JPOXMLDOC01-appb-T000329
Figure JPOXMLDOC01-appb-T000330
Figure JPOXMLDOC01-appb-T000330
Figure JPOXMLDOC01-appb-T000331
Figure JPOXMLDOC01-appb-T000331
Figure JPOXMLDOC01-appb-T000332
Figure JPOXMLDOC01-appb-T000332
Figure JPOXMLDOC01-appb-T000333
Figure JPOXMLDOC01-appb-T000333
Figure JPOXMLDOC01-appb-T000334
Figure JPOXMLDOC01-appb-T000334
Figure JPOXMLDOC01-appb-T000335
Figure JPOXMLDOC01-appb-T000335
Figure JPOXMLDOC01-appb-T000336
Figure JPOXMLDOC01-appb-T000336
Figure JPOXMLDOC01-appb-T000337
Figure JPOXMLDOC01-appb-T000337
 本明細書に開示される特定の実施形態は本発明のいくつかの態様を例示するためのものであるため、本明細書に記載および請求される本発明は、それらの実施形態の範囲に限定されるものではない。任意の等価の実施形態は、本発明の範囲内であることが意図される。実際、本明細書に示され記載されたものに加えて、本発明の様々な変更が前述の説明から当業者には明らかとなるである。そのような変更も、添付の請求の範囲内であることが意図される。Since the specific embodiments disclosed herein are for the purpose of illustrating some aspects of the invention, the invention described and claimed herein is limited to the scope of those embodiments. Is not to be done. Any equivalent embodiments are intended to be within the scope of this invention. Indeed, various modifications of the invention in addition to those shown and described herein will become apparent to those skilled in the art from the foregoing description. Such modifications are also intended to fall within the scope of the appended claims.

Claims (8)

  1.  下記式(I)
    Figure JPOXMLDOC01-appb-C000001
    (式中、
    X1, X5はそれぞれ独立してはCR3又はNを表し、R3は水素原子、ハロゲン、C1-6アルキル又はOR6’ ’を表し、
    L1及びL2は、それぞれ独立してC、CH2、CH、O、S、SO、SO2、NH、C(O)、又はNを表し、環Aを含むヘテロ縮合環と含窒素6員環との間にあるリンカー(-L1-L2-部位)は、
    Figure JPOXMLDOC01-appb-C000002
    として、-CH2-CH2-、-CH=CH-、-C≡C-、-O-CH2-、-CH2-O-、-NH-CH2-、-CH2-NH-、-N=CH-、-CH=N-、-S-CH2-、-CH2-S-、-SO-CH2-、-CH2-SO-、-SO2-CH2-、-CH2-SO2-、-C(O)NH-、又は-NHC(O)-を表し、
    L1、L2のそれぞれにおけるCH, CH2はC1-6アルキル、C1-6ハロアルキル、C2-6アルケニル、オキソ、ヒドロキシ、C1-6アルコキシ、NR4’R5’で1-2個置換されていてもよく、二つのアルキル基が互いに結合して3-6員シクロ環を形成してもよく、又はハロゲンで1-4個置換されていてもよく、当該C1-6アルキルは更にヒドロキシ、オキソ、NR4’R5’で独立して1-3個置換されていてもよく、L1、L2のそれぞれにおけるNHはC1-6アルキルで置換されていてもよく、当該C1-6アルキルは更にオキソ、ヒドロキシで1-2個置換されていてもよく、
    或いは以下に示すシクロプロパン環若しくはシクロブタン環を形成してもよく、
    当該シクロプロパン環又はシクロブタン環はハロゲン原子又はC1-6アルキルで1-2個置換されていてもよく、
    Figure JPOXMLDOC01-appb-C000003
    Figure JPOXMLDOC01-appb-C000004
    Figure JPOXMLDOC01-appb-C000005
     R1は、水素原子、ハロゲン、シアノ、フェニル、フェニルC1-6アルキル、5-6員ヘテロアリール、5-6員ヘテロアリールC1-6アルキル、3-6員脂肪族環、1-2個の炭素原子で架橋されていてもよい4-10員ヘテロ脂肪族環、C1-6アルキル、C1-6アルキルスルホニル、C1-6アルコキシ、NR4R5、OR6、COR7、又はCONR8R9を表し、
    R1における当該フェニル、フェニルC1-6アルキル、5-6員ヘテロアリール、5-6員ヘテロアリールC1-6アルキル、3-6員脂肪族環、1-2個の炭素原子で架橋されていてもよい4-10員ヘテロ脂肪族環、における各環はそれぞれハロゲン、C1-6アルキル、C1-6ハロアルキル、シアノ、ヒドロキシ、C1-6アルコキシカルボニル、NR4’R5’、C1-6アルキルスルホニル、C1-6アルコキシC1-6アルキル、C2-6アルカノイル、COR7、CONR8R9又はC1-6アルコキシで独立して1-2個置換されていてもよく、当該各環は置換可能であればオキソで1-2個置換されていてもよく、
    R1における、1-2個の炭素原子で架橋されていてもよい4-10員ヘテロ脂肪族環は、更に3-6員脂肪族環又は含酸素4-6員脂肪族環と共に全体として構成員数が7-12員のスピロ環を形成してもよく、当該スピロ環はハロゲン又はC1-6アルキルで1-2個置換されていてもよく、
    R1における当該C1-6アルキル、C1-6アルキルスルホニル、C1-6アルコキシの各アルキル部位は更にハロゲン、オキソ、ヒドロキシ、フェニル、C1-6アルコキシ、-NR4’R5’でそれぞれ独立して1-3個置換されていてもよく
    R1における当該NR4R5におけるR4及びR5は、それぞれ独立して水素原子、フェニル、フェニルC1-6アルキル、5-6員ヘテロアリール、縮環式のヘテロアリール、5-6員ヘテロアリールC1-6アルキル、4-6員ヘテロ脂肪族環、3-6員脂肪族環、C1-6アルキル、C1-6アルコキシC1-6アルキル、C1-6アルコキシ、又はC1-6アルキルスルホニルを表し、
    当該R4又はR5におけるフェニル、5-6員ヘテロアリール、縮環式のヘテロアリール、4-6員ヘテロ脂肪族環、3-6員脂肪族環、フェニルC1-6アルキル、5-6員ヘテロアリールC1-6アルキルにおける各環はハロゲン、シアノ、ヒドロキシ、NR4’R5’、C1-6アルキル、C1-6アルキルスルホニル、ヒドロキシC1-6アルキル、C1-6アルコキシC1-6アルキル、又はC1-6アルコキシで独立して1-3個置換されていてもよく、当該各環は置換可能であればオキソで1-2個置換されていてもよく、各環における当該C1-6アルキル、C1-6アルキルスルホニル又はC1-6アルコキシは更にハロゲン、オキソ、ヒドロキシ、C1-6アルコキシ、-NR4’R5’でそれぞれ独立して1-3個置換されていてもよく、
    当該R4又はR5におけるC1-6アルキル、C1-6アルキルスルホニル、C1-6アルコキシC1-6アルキル、又はC1-6アルコキシの各アルキル部位はそれぞれ更にハロゲン、オキソ、シアノ、ヒドロキシ、C1-6アルキル、C1-6アルコキシ、フェニル、C1-6アルキルアミノカルボニル、-NR4’R5’、4-10員ヘテロ脂肪族環、又は5-6員ヘテロアリールでそれぞれ独立して1-3個置換されていてもよく、
    R4又はR5における当該C1-6アルキルにおいて、ジェミナル位置にある二つのアルキル基やアルコキシ基が置換されている場合には、これらが互いに結合して3-6員シクロ環又は4-10員ヘテロ脂肪族環を形成してもよく、
    ただしR1におけるR4及びR5は同時に水素原子ではなく、
    R1における当該OR6におけるR6は、フェニル、5-6員ヘテロアリール、4-6員ヘテロ脂肪族環、3-6員脂肪族環、C1-6アルキル、又は水素原子を表し、
    R6における当該フェニル、4-6員ヘテロ脂肪族環、5-6員ヘテロアリール、3-6員脂肪族環はハロゲン、ヒドロキシ、NR4’R5’、C1-6アルキル、C1-6アルキルスルホニル又はC1-6アルコキシで独立して1-2個置換されていてもよく、当該各環は置換可能であればオキソで1-2個置換されていてもよく、各環における当該C1-6アルキル、C1-6アルキルスルホニル又はC1-6アルコキシは更にハロゲン、オキソ、ヒドロキシ、C1-6アルコキシ、-NR4’R5’でそれぞれ独立して1-3個置換されていてもよく、
    OR6における当該C1-6アルキルは、更にハロゲン、オキソ、ヒドロキシ、C1-6アルコキシ、フェニル、5-6員ヘテロアリール、-NR4’R5’でそれぞれ独立して1-3個置換されていてもよく、
    R1における当該OR6におけるC1-6アルキルにおける、当該フェニル、5-6員ヘテロアリールは、それぞれヒドロキシ、C1-6アルコキシでそれぞれ独立して1-3個置換されていてもよく、
    R1およびR1における前記各環における当該COR7におけるR7は、フェニル、4-6員ヘテロ脂肪族環、5-6員ヘテロアリール、3-6員脂肪族環、C1-6アルキル、C1-6アルコキシ、又はヒドロキシを表し、
    R7における当該フェニル、4-6員ヘテロ脂肪族環、5-6員ヘテロアリール、3-6員脂肪族環はハロゲン、オキソ、ヒドロキシ、NR4’R5’、C1-6アルキル、C1-6アルキルスルホニル又はC1-6アルコキシで独立して1-2個置換されていてもよく、各環における当該C1-6アルキル、C1-6アルキルスルホニル又はC1-6アルコキシは更にハロゲン、オキソ、ヒドロキシ、C1-6アルコキシ、-NR4’R5’でそれぞれ独立して1-3個置換されていてもよく、
    R1およびR1における前記各環における当該CONR8R9におけるR8、R9は、それぞれ独立して水素原子、フェニル、5-6員ヘテロアリール、4-6員ヘテロ脂肪族環、C1-6アルキル、又はC1-6アルキルスルホニルを表し、
    R8、R9における当該フェニル、5-6員ヘテロアリール、4-6員ヘテロ脂肪族環、はハロゲン、C1-6アルキル、ヒドロキシ、NR4’R5’、C1-6アルキルスルホニル又はC1-6アルコキシで独立して1-2個置換されていてもよく、当該各環は置換可能であればオキソで1-2個置換されていてもよく、
    R8、R9におけるC1-6アルキル、C1-6アルキルスルホニルは更にハロゲン、オキソ、ヒドロキシ、C1-6アルコキシ、-NR4’R5’でそれぞれ独立して1-3個置換されていてもよく、
    R2は4-7員ヘテロ脂肪族環、5-6員ヘテロアリール、フェニル、NR4’ ’R5’ ’、又はOR6’、を表し、
    R2における4-7員ヘテロ脂肪族環、5-6員ヘテロアリール、フェニルの各環はハロゲン、シアノ、ヒドロキシ、C1-6アルコキシ、NR4’R5’、COR7’、C1-6アルキル、C1-6アルキルスルホニルで1-2個置換されていてもよく、当該各環は置換可能であればオキソで1-2個置換されていてもよく、
    R2の各環におけるCOR7’におけるR7’は、フェニル、4-6員ヘテロ脂肪族環、C1-6アルキル、C1-6アルコキシ、又はヒドロキシを表し、R2の各環における当該C1-6アルコキシ、C1-6アルキルは更にハロゲン、ヒドロキシ、シアノ、オキソ、C1-6アルコキシで1-3個置換されていてもよく、
    R2における当該NR4’ ’R5’ ’におけるR4’ ’及びR5’ ’は、それぞれ独立して水素原子、フェニル、5-6員ヘテロアリール、4-6員ヘテロ脂肪族環、3-6員脂肪族環、C1-6アルキル、又はC1-6アルキルスルホニルを表し、
    当該R4’ ’又はR5’ ’におけるフェニル、5-6員ヘテロアリール、4-6員ヘテロ脂肪族環、3-6員脂肪族環はハロゲン、ヒドロキシ、NR4’R5’、C1-6アルキル、C1-6アルキルスルホニル又はC1-6アルコキシで独立して1-2個置換されていてもよく、当該各環は置換可能であればオキソで1-2個置換されていてもよく、
    当該C1-6アルキル、C1-6アルキルスルホニル、又はC1-6アルコキシは更にハロゲン、オキソ、ヒドロキシ、C1-6アルコキシ、-NR4’R5’でそれぞれ独立して1-3個置換されていてもよく、
    当該R4’ ’又はR5’ ’におけるC1-6アルキル、C1-6アルキルスルホニル、又はC1-6アルコキシはそれぞれ更にハロゲン、オキソ、ヒドロキシ、C1-6アルコキシ、-NR4’R5’でそれぞれ独立して1-3個置換されていてもよく、
    ただしR2におけるR4’ ’及びR5’ ’は同時に水素原子ではなく、
    R2における当該OR6’におけるR6’はフェニル、5-6員ヘテロアリール、4-6員ヘテロ脂肪族環、又は3-6員脂肪族環を表し、
    R2におけるR6’における当該フェニル、5-6員ヘテロアリール、4-6員ヘテロ脂肪族環、3-6員脂肪族環の各環はハロゲン、ヒドロキシ、NR4’R5’、C1-6アルキル、C1-6アルキルスルホニル又はC1-6アルコキシで独立して1-2個置換されていてもよく、当該各環は置換可能であればオキソで1-2個置換されていてもよく、
    各環における当該C1-6アルキル、C1-6アルキルスルホニル又はC1-6アルコキシは更にハロゲン、オキソ、ヒドロキシ、C1-6アルコキシ、-NR4’R5’でそれぞれ独立して1-3個置換されていてもよく、
    R3における当該OR6’ ’におけるR6’ ’は、フェニル、5-6員ヘテロアリール、縮環式のヘテロアリール、4-6員ヘテロ脂肪族環、3-6員脂肪族環、C1-6アルキル、C2-6アルカノイル、又は水素原子を表し、
    R6’ ’における当該フェニル、4-6員ヘテロ脂肪族環、5-6員ヘテロアリール、縮環式のヘテロアリール、3-6員脂肪族環はハロゲン、ヒドロキシ、NR4’R5’、C1-6アルキル、C1-6アルキルスルホニル又はC1-6アルコキシで独立して1-2個置換されていてもよく、当該各環は置換可能であればオキソで1-2個置換されていてもよく、各環における当該C1-6アルキル、C1-6アルキルスルホニル又はC1-6アルコキシは更にハロゲン、オキソ、ヒドロキシ、C1-6アルコキシ、-NR4’R5’でそれぞれ独立して1-3個置換されていてもよく、
    R6’ ’における当該C1-6アルキル、又はC2-6アルカノイルの各置換基は、更にハロゲン、オキソ、ヒドロキシ、C1-6アルコキシ、フェニル、5-6員ヘテロアリール、-NR4’R5’でそれぞれ独立して1-3個置換されていてもよく、
    R6’ ’におけるC1-6アルキル又はC2-6アルカノイルの各置換基における、当該フェニル、5-6員ヘテロアリールは、それぞれヒドロキシ、C1-6アルコキシでそれぞれ独立して1-3個置換されていてもよく、
     環Aを含むヘテロ縮合環においてX2、X3及びX4はそれぞれ独立してC, CH、NH又はNを表し、当該縮合環は以下からなる群より選択され、
    Figure JPOXMLDOC01-appb-C000006
    それぞれにおける6員環A部位、又は隣接する含窒素5員環はC1-6アルキル、C2-6アルケニル、ハロゲン、シアノ、C1-6ハロアルキル、-NR4’R5’、C1-6アルコキシで1-3個置換されていてもよく、
    以上におけるNR4’R5’におけるR4’及びR5’は、それぞれ独立して水素原子、C1-6アルキル、4-6員ヘテロ脂肪族環を表す。)で表される含窒素化合物、または薬学的に許容できるその塩またはそれらの溶媒和物であり、
    ただし、以下に示す部分構造A,B,C又はD(いずれも、縮合複素環上の置換基の有無によらない)を有する化合物、または薬学的に許容できるその塩またはそれらの溶媒和物は除く。
    Figure JPOXMLDOC01-appb-C000007
    部分構造A
    Figure JPOXMLDOC01-appb-C000008
    部分構造B
    Figure JPOXMLDOC01-appb-C000009
    部分構造C
    Figure JPOXMLDOC01-appb-C000010
    部分構造D
    Formula (I)
    Figure JPOXMLDOC01-appb-C000001
    (Where
    X1, X5 each independently represents CR3 or N, R3 represents a hydrogen atom, halogen, C1-6 alkyl or OR6 ′ ′,
    L1 and L2 each independently represent C, CH2, CH, O, S, SO, SO2, NH2, C (O), or N, and a hetero condensed ring containing ring A and a nitrogen-containing 6-membered ring The linker in between (-L1-L2-site)
    Figure JPOXMLDOC01-appb-C000002
    -CH2-CH2-, -CH = CH-, -C≡C-, -O-CH2-, -CH2-O-, -NH-CH2-, -CH2-NH-, -N = CH-, -CH = N-, -S-CH2-, -CH2-S-, -SO-CH2-, -CH2-SO-, -SO2-CH2-, -CH2-SO2-, -C (O) NH-, Or -NHC (O)-
    CH and CH2 in each of L1 and L2 may be substituted with 1-2 by C1-6 alkyl, C1-6 haloalkyl, C2-6 alkenyl, oxo, hydroxy, C1-6 alkoxy, NR4′R5 ′, Two alkyl groups may be bonded to each other to form a 3-6 membered cyclocycle, or may be substituted with 1-4 halogen atoms, and the C1-6 alkyl may be further substituted with hydroxy, oxo, NR4'R5 1 to 3 may be independently substituted with ', and NH in each of L1 and L2 may be substituted with C1-6 alkyl, and the C1-6 alkyl is further substituted with oxo and hydroxy with 1-2 May be replaced,
    Alternatively, the following cyclopropane ring or cyclobutane ring may be formed,
    The cyclopropane ring or cyclobutane ring may be substituted with 1-2 halogen atoms or C1-6 alkyl,
    Figure JPOXMLDOC01-appb-C000003
    Figure JPOXMLDOC01-appb-C000004
    Figure JPOXMLDOC01-appb-C000005
    R1 is a hydrogen atom, halogen, cyano, phenyl, phenyl C1-6 alkyl, 5-6 membered heteroaryl, 5-6 membered heteroaryl C1-6 alkyl, 3-6 membered aliphatic ring, 1-2 carbons Represents a 4-10 membered heteroaliphatic ring optionally bridged by atoms, C1-6 alkyl, C1-6 alkylsulfonyl, C1-6 alkoxy, NR4R5, OR6, COR7, or CONR8R9;
    R1 may be bridged with phenyl, phenyl C1-6 alkyl, 5-6 membered heteroaryl, 5-6 membered heteroaryl C1-6 alkyl, 3-6 membered aliphatic ring, 1-2 carbon atoms Each ring in a good 4-10 membered heteroaliphatic ring is halogen, C1-6 alkyl, C1-6 haloalkyl, cyano, hydroxy, C1-6 alkoxycarbonyl, NR4'R5 ', C1-6 alkylsulfonyl, C1- 6 alkoxy C1-6 alkyl, C2-6 alkanoyl, COR7, CONR8R9 or C1-6 alkoxy may be independently substituted with 1-2, each ring being substituted with 1-2 oxo May be replaced,
    The 4- to 10-membered heteroaliphatic ring which may be bridged with 1 to 2 carbon atoms in R1 is further composed of a total of 3 to 6-membered aliphatic rings or oxygen-containing 4 to 6-membered aliphatic rings. May form a 7-12 membered spiro ring, which may be substituted with 1-2 halogens or C1-6 alkyl,
    Each alkyl part of the C1-6 alkyl, C1-6 alkylsulfonyl, and C1-6 alkoxy in R1 is further independently selected from halogen, oxo, hydroxy, phenyl, C1-6 alkoxy, and —NR4′R5 ′. May be replaced
    R4 and R5 in NR4R5 in R1 are each independently a hydrogen atom, phenyl, phenyl C1-6 alkyl, 5-6 membered heteroaryl, condensed heteroaryl, 5-6 membered heteroaryl C1-6 alkyl, 4-6 membered heteroaliphatic ring, 3-6 membered aliphatic ring, C1-6 alkyl, C1-6 alkoxy, C1-6 alkyl, C1-6 alkoxy, or C1-6 alkylsulfonyl,
    Phenyl, 5-6 membered heteroaryl, condensed heteroaryl, 4-6 membered heteroaliphatic ring, 3-6 membered aliphatic ring, phenyl C1-6 alkyl, 5-6 membered heteroaryl in the R4 or R5 Each ring in C1-6 alkyl is halogen, cyano, hydroxy, NR4'R5 ', C1-6 alkyl, C1-6 alkylsulfonyl, hydroxy C1-6 alkyl, C1-6 alkoxy C1-6 alkyl, or C1-6 alkoxy 1 to 3 may be independently substituted with each other, and each ring may be substituted with 1 to 2 oxo groups if possible, and the C1-6 alkyl and C1-6 alkyl in each ring may be substituted. The sulfonyl or C1-6 alkoxy may be further independently substituted with 1-3 of halogen, oxo, hydroxy, C1-6 alkoxy, —NR4′R5 ′,
    Each alkyl part of C1-6 alkyl, C1-6 alkylsulfonyl, C1-6 alkoxy C1-6 alkyl, or C1-6 alkoxy in R4 or R5 is further halogen, oxo, cyano, hydroxy, C1-6 alkyl, C1-6 alkoxy, phenyl, C1-6 alkylaminocarbonyl, -NR4'R5 ', 4-10 membered heteroaliphatic ring, or 5-6 membered heteroaryl, each independently 1-3 substituted Often,
    In the C1-6 alkyl in R4 or R5, when two alkyl groups or alkoxy groups at the geminal position are substituted, these are bonded to each other to form a 3-6 membered cyclocycle or a 4-10 membered heterofatty acid. May form a family ring,
    However, R4 and R5 in R1 are not hydrogen atoms at the same time,
    R6 in the OR6 in R1 represents phenyl, 5-6 membered heteroaryl, 4-6 membered heteroaliphatic ring, 3-6 membered aliphatic ring, C1-6 alkyl, or a hydrogen atom,
    The phenyl in R6, 4-6 membered heteroaliphatic ring, 5-6 membered heteroaryl, 3-6 membered aliphatic ring is halogen, hydroxy, NR4'R5 ', C1-6 alkyl, C1-6 alkylsulfonyl or C1 -6 alkoxy may be independently substituted with 1-2, and each ring may be substituted with 1-2 oxo if possible, and the C1-6 alkyl, C1 -6 alkylsulfonyl or C1-6 alkoxy may be further independently substituted with 1-3 of halogen, oxo, hydroxy, C1-6 alkoxy, -NR4'R5 ',
    The C1-6 alkyl in OR6 may be further independently substituted with halogen, oxo, hydroxy, C1-6 alkoxy, phenyl, 5-6 membered heteroaryl, or —NR4′R5 ′, each independently. ,
    In the C1-6 alkyl in the OR6 in R1, the phenyl and the 5-6 membered heteroaryl may be independently substituted with 1-3 of hydroxy and C1-6 alkoxy, respectively.
    R7 in the COR7 in each ring in R1 and R1 is phenyl, 4-6 membered heteroaliphatic ring, 5-6 membered heteroaryl, 3-6 membered aliphatic ring, C1-6 alkyl, C1-6 alkoxy, Or represents hydroxy,
    The phenyl in R7, 4-6 membered heteroaliphatic ring, 5-6 membered heteroaryl, 3-6 membered aliphatic ring is halogen, oxo, hydroxy, NR4'R5 ', C1-6 alkyl, C1-6 alkylsulfonyl Or C1-6 alkoxy may be independently substituted by 1-2, and the C1-6 alkyl, C1-6 alkylsulfonyl or C1-6 alkoxy in each ring is further halogen, oxo, hydroxy, C1-6 Each may be independently substituted with 1-3 of alkoxy and -NR4'R5 ',
    R8 and R9 in CONR8R9 in each ring in R1 and R1 are each independently a hydrogen atom, phenyl, 5-6 membered heteroaryl, 4-6 membered heteroaliphatic ring, C1-6 alkyl, or C1-6 Represents alkylsulfonyl,
    The phenyl, 5-6 membered heteroaryl, 4-6 membered heteroaliphatic ring in R8 and R9 are independently halogen, C1-6 alkyl, hydroxy, NR4′R5 ′, C1-6 alkylsulfonyl or C1-6 alkoxy. And each ring may be substituted with 1-2 oxo groups if possible,
    C1-6 alkyl and C1-6 alkylsulfonyl in R8 and R9 may be further independently substituted with 1-3 of halogen, oxo, hydroxy, C1-6 alkoxy, and —NR4′R5 ′,
    R2 represents a 4-7 membered heteroaliphatic ring, 5-6 membered heteroaryl, phenyl, NR4 '' R5 '', or OR6 ',
    Each ring of 4-7 membered heteroaliphatic ring, 5-6 membered heteroaryl and phenyl in R2 is halogen, cyano, hydroxy, C1-6 alkoxy, NR4'R5 ', COR7', C1-6 alkyl, C1-6 1-2 may be substituted with alkylsulfonyl, and each ring may be substituted with 1-2 oxo if possible,
    R7 ′ in COR7 ′ in each ring of R2 represents phenyl, 4-6 membered heteroaliphatic ring, C1-6 alkyl, C1-6 alkoxy, or hydroxy, and the C1-6 alkoxy in each ring of R2, C1 -6 alkyl may be further substituted 1-3 by halogen, hydroxy, cyano, oxo, C1-6 alkoxy,
    R4 ′ ′ and R5 ′ ′ in NR4′′R5 ′ ′ in R2 are each independently a hydrogen atom, phenyl, 5-6 membered heteroaryl, 4-6 membered heteroaliphatic ring, 3-6 membered aliphatic Represents a ring, C1-6 alkyl, or C1-6 alkylsulfonyl;
    In the R4 ′ ′ or R5 ′ ′, phenyl, 5-6 membered heteroaryl, 4-6 membered heteroaliphatic ring, 3-6 membered aliphatic ring is halogen, hydroxy, NR4′R5 ′, C1-6 alkyl, C1 -6 alkylsulfonyl or C1-6 alkoxy may be independently substituted with 1-2, and each ring may be substituted with oxo if it can be substituted,
    The C1-6 alkyl, C1-6 alkylsulfonyl, or C1-6 alkoxy may be further independently substituted with 1-3 of halogen, oxo, hydroxy, C1-6 alkoxy, and —NR4′R5 ′. ,
    C1-6 alkyl, C1-6 alkylsulfonyl, or C1-6 alkoxy in the R4 ′ ′ or R5 ′ ′ is independently independently halogen, oxo, hydroxy, C1-6 alkoxy, or —NR4′R5 ′. -3 may be replaced,
    However, R4 ′ ′ and R5 ′ ′ in R2 are not hydrogen atoms at the same time,
    R6 ′ in the OR6 ′ in R2 represents phenyl, 5-6 membered heteroaryl, 4-6 membered heteroaliphatic ring, or 3-6 membered aliphatic ring,
    Each of the phenyl, 5-6 membered heteroaryl, 4-6 membered heteroaliphatic ring, 3-6 membered aliphatic ring in R6 ′ in R2 is halogen, hydroxy, NR4′R5 ′, C1-6 alkyl, C1 -6 alkylsulfonyl or C1-6 alkoxy may be independently substituted with 1-2, and each ring may be substituted with oxo if it can be substituted,
    The C1-6 alkyl, C1-6 alkylsulfonyl or C1-6 alkoxy in each ring is further independently substituted with 1-3 of halogen, oxo, hydroxy, C1-6 alkoxy, and —NR4′R5 ′. Well,
    R6 ′ ′ in the OR6 ′ ′ in R3 is phenyl, 5-6 membered heteroaryl, condensed heteroaryl, 4-6 membered heteroaliphatic ring, 3-6 membered aliphatic ring, C1-6 alkyl, C2-6 represents an alkanoyl or hydrogen atom,
    The phenyl in R6 ′ ′, 4-6 membered heteroaliphatic ring, 5-6 membered heteroaryl, condensed heteroaryl, 3-6 membered aliphatic ring is halogen, hydroxy, NR4′R5 ′, C1-6 It may be independently substituted with 1-2 alkyl, C1-6 alkylsulfonyl, or C1-6 alkoxy, and each ring may be substituted with 1-2 oxo if it can be substituted. The C1-6 alkyl, C1-6 alkylsulfonyl or C1-6 alkoxy in the ring may be further independently substituted with 1-3 of halogen, oxo, hydroxy, C1-6 alkoxy, or —NR4′R5 ′. Often,
    Each substituent of the C1-6 alkyl or C2-6 alkanoyl in R6 ′ ′ is further independently halogen, oxo, hydroxy, C1-6 alkoxy, phenyl, 5-6 membered heteroaryl, or —NR4′R5 ′. 1-3 may be substituted,
    In each substituent of C1-6 alkyl or C2-6 alkanoyl in R6 ′ ′, the phenyl and 5-6-membered heteroaryl are each independently substituted with 1-3 of hydroxy and C1-6 alkoxy. Well,
    X2, X3 and X4 in the hetero condensed ring containing ring A each independently represent C, CH, NH or N, and the condensed ring is selected from the group consisting of:
    Figure JPOXMLDOC01-appb-C000006
    6-membered ring A site in each, or adjacent nitrogen-containing 5-membered ring is 1-3 by C1-6 alkyl, C2-6 alkenyl, halogen, cyano, C1-6 haloalkyl, -NR4'R5 ', C1-6 alkoxy May be replaced,
    In the above, R4 ′ and R5 ′ in NR4′R5 ′ each independently represent a hydrogen atom, C1-6 alkyl, or a 4-6 membered heteroaliphatic ring. ), Or a pharmaceutically acceptable salt or solvate thereof,
    However, a compound having the partial structure A, B, C or D shown below (which does not depend on the presence or absence of a substituent on the condensed heterocyclic ring), or a pharmaceutically acceptable salt or solvate thereof is except.
    Figure JPOXMLDOC01-appb-C000007
    Partial structure A
    Figure JPOXMLDOC01-appb-C000008
    Partial structure B
    Figure JPOXMLDOC01-appb-C000009
    Substructure C
    Figure JPOXMLDOC01-appb-C000010
    Substructure D
  2.  下記式(I-3)
    Figure JPOXMLDOC01-appb-C000011
    (式中、
    L1及びL2は、それぞれ独立してCH2、CH、O、S、SO、SO2、N、又はNHを表し、環Aを含むヘテロ縮合環と含窒素6員環とのリンカーは、
    Figure JPOXMLDOC01-appb-C000012
    として、-CH2-CH2-、-CH=CH-、-O-CH2-、-CH2-O-、-NH-CH2-、-CH2-NH-、-N=CH-、-CH=N-、-S-CH2-、-CH2-S-、-SO-CH2-、-CH2-SO-、-SO2-CH2-、又は-CH2-SO2-を表し、或いはシクロプロパン環若しくはシクロブタン環を形成してもよく、
    L1、L2のそれぞれにおけるCH, CH2はC1-6アルキル、C1-6ハロアルキル、C1-6アルケニル、オキソ、ヒドロキシ、ハロゲン、NR4’R5’で1-2個置換されていてもよく、当該C1-6アルキルは更にヒドロキシ、オキソ、NR4’R5’で独立して1-3個置換されていてもよく、L1、L2のそれぞれにおけるNHはC1-6アルキルで置換されていてもよく、当該C1-6アルキルは更にオキソ、ヒドロキシで1-2個置換されていてもよく、
    R1は、水素原子、NR4R5、OR6、ハロゲン、シアノ、フェニル、4-6員ヘテロ脂肪族環、3-6員脂肪族環、5-6員ヘテロアリール、C1-6アルキル、C1-6アルキルスルホニル、C1-6アルコキシ、COR7、又はCONR8R9を表し、
    R1における当該フェニル、4-6員ヘテロ脂肪族環、3-6員脂肪族環、5-6員ヘテロアリールにおける各環はそれぞれハロゲン、オキソ、C1-6アルキル、ヒドロキシ、NR4’R5’、C1-6アルキルスルホニル、C1-6アルコキシ、シアノ、C2-6アルカノイル、COR7、又はCONR8R9で独立して1-2個置換されていてもよく、
    R1における当該C1-6アルキル、C1-6アルコキシ、C1-6アルキルスルホニルは更にハロゲン、オキソ、ヒドロキシ、C1-6アルコキシ、-NR4’R5’でそれぞれ独立して1-3個置換されていてもよく
    R1における当該NR4R5におけるR4及びR5は、それぞれ独立して水素原子、フェニル、5-6員ヘテロアリール、縮環式のヘテロアリール、4-6員ヘテロ脂肪族環、3-6員脂肪族環、C1-6アルキル、又はC1-6アルキルスルホニルを表し、
    当該R4又はR5におけるフェニル、5-6員ヘテロアリール、縮環式のヘテロアリール、4-6員ヘテロ脂肪族環、3-6員脂肪族環はハロゲン、オキソ、ヒドロキシ、NR4’R5’、C1-6アルキル、C1-6アルキルスルホニル又はC1-6アルコキシで独立して1-2個置換されていてもよく、当該C1-6アルキル、C1-6アルキルスルホニル又はC1-6アルコキシは更にハロゲン、オキソ、ヒドロキシ、C1-6アルコキシ、-NR4’R5’でそれぞれ独立して1-3個置換されていてもよく、
    当該R4又はR5におけるC1-6アルキル、C1-6アルキルスルホニル又はC1-6アルコキシはそれぞれ更にハロゲン、オキソ、ヒドロキシ、C1-6アルコキシ、-NR4’R5’でそれぞれ独立して1-3個置換されていてもよく、
    ただしR1におけるR4及びR5は同時に水素原子ではなく、
    R1における当該OR6におけるR6はフェニル、5-6員ヘテロアリール、4-6員ヘテロ脂肪族環、3-6員脂肪族環、又はC1-6アルキルを表し、
    R6における当該フェニル、4-6員ヘテロ脂肪族環、5-6員ヘテロアリール、3-6員脂肪族環はハロゲン、オキソ、ヒドロキシ、NR4’R5’、C1-6アルキル、C1-6アルキルスルホニル又はC1-6アルコキシで独立して1-2個置換されていてもよく、当該C1-6アルキル、C1-6アルキルスルホニル又はC1-6アルコキシは更にハロゲン、オキソ、ヒドロキシ、C1-6アルコキシ、-NR4’R5’でそれぞれ独立して1-3個置換されていてもよく、
    R1における当該OR6におけるC1-6アルキルは、更にハロゲン、オキソ、ヒドロキシ、C1-6アルコキシ、-NR4’R5’でそれぞれ独立して1-3個置換されていてもよく、
    R1及びR1における前記各環における当該COR7におけるR7は、フェニル、4-6員ヘテロ脂肪族環、C1-6アルキル、C1-6アルコキシ、又はヒドロキシを表し、
    R7における当該フェニル、4-6員ヘテロ脂肪族環はハロゲン、オキソ、ヒドロキシ、NR4’R5’、C1-6アルキル、C1-6アルキルスルホニル又はC1-6アルコキシで独立して1-2個置換されていてもよく、当該C1-6アルキル、C1-6アルキルスルホニル又はC1-6アルコキシは更にハロゲン、オキソ、ヒドロキシ、C1-6アルコキシ、-NR4’R5’でそれぞれ独立して1-3個置換されていてもよく、
    R1及びR1における前記各環における当該CONR8R9におけるR8、R9は、それぞれ独立して水素原子、フェニル、5-6員ヘテロアリール、C1-6アルキル、又はC1-6アルキルスルホニルを表し、
    R8、R9における当該フェニル、5-6員ヘテロアリールはハロゲン、オキソ、C1-6アルキル、ヒドロキシ、NR4’R5’、C1-6アルキルスルホニル又はC1-6アルコキシで独立して1-2個置換されていてもよく、
    R8、R9におけるC1-6アルキル、C1-6アルキルスルホニルは更にハロゲン、オキソ、ヒドロキシ、C1-6アルコキシ、-NR4’R5’でそれぞれ独立して1-3個置換されていてもよく、
    R2は4-6員ヘテロ脂肪族環、NR4’ ’R5’ ’、OR6’、フェニル、又は5-6員ヘテロアリールを表し、
    R2における4-6員ヘテロ脂肪族環、5-6員ヘテロアリールの各環はハロゲン、オキソ、ヒドロキシ、C1-6アルコキシ、NR4’R5’、COR7’、C1-6アルキルで1-2個置換されていてもよく、当該C1-6アルコキシ、C1-6アルキルはハロゲン、ヒドロキシ、シアノで1-2個置換されていてもよく、
    R2における当該COR7’におけるR7’は、フェニル、4-6員ヘテロ脂肪族環、C1-6アルキル、C1-6アルコキシ、又はヒドロキシを表し、
    R2における当該OR6’におけるR6’はフェニル、5-6員ヘテロアリール、4-6員ヘテロ脂肪族環、又は3-6員脂肪族環を表し、
    R6’における当該フェニル、4-6員ヘテロ脂肪族環、5-6員ヘテロアリール、3-6員脂肪族環の各環はハロゲン、オキソ、ヒドロキシ、NR4’R5’、C1-6アルキル、C1-6アルキルスルホニル又はC1-6アルコキシで独立して1-2個置換されていてもよく、当該C1-6アルキル、C1-6アルキルスルホニル又はC1-6アルコキシは更にハロゲン、オキソ、ヒドロキシ、C1-6アルコキシ、-NR4’R5’でそれぞれ独立して1-3個置換されていてもよく、
    R2における当該NR4’ ’R5’ ’におけるR4’ ’及びR5’ ’は、それぞれ独立して水素原子、フェニル、5-6員ヘテロアリール、4-6員ヘテロ脂肪族環、3-6員脂肪族環、C1-6アルキル、又はC1-6アルキルスルホニルを表し、
    当該R4’ ’又はR5’ ’におけるフェニル、5-6員ヘテロアリール、4-6員ヘテロ脂肪族環、3-6員脂肪族環はハロゲン、オキソ、ヒドロキシ、NR4’R5’、C1-6アルキル、C1-6アルキルスルホニル又はC1-6アルコキシで独立して1-2個置換されていてもよく、当該C1-6アルキル、C1-6アルキルスルホニル又はC1-6アルコキシは更にハロゲン、オキソ、ヒドロキシ、C1-6アルコキシ、-NR4’R5’でそれぞれ独立して1-3個置換されていてもよく、
    当該R4’ ’又はR5’ ’におけるC1-6アルキル、C1-6アルキルスルホニル又はC1-6アルコキシはそれぞれ更にハロゲン、オキソ、ヒドロキシ、C1-6アルコキシ、-NR4’R5’でそれぞれ独立して1-3個置換されていてもよく、
    ただしR2におけるR4’ ’及びR5’ ’は同時に水素原子ではなく、
    X1はCR3又はNを表し、R3は水素原子、C1-6アルキル又はOR6’ ’を表し、
    R3における当該OR6’ ’におけるR6’ ’は、フェニル、5-6員ヘテロアリール、縮環式のヘテロアリール、4-6員ヘテロ脂肪族環、3-6員脂肪族環、C1-6アルキル、C2-6アルカノイル、又は水素原子を表し、
    R6’ ’における当該フェニル、4-6員ヘテロ脂肪族環、5-6員ヘテロアリール、縮環式のヘテロアリール、3-6員脂肪族環はハロゲン、ヒドロキシ、NR4’R5’、C1-6アルキル、C1-6アルキルスルホニル又はC1-6アルコキシで独立して1-2個置換されていてもよく、当該各環は置換可能であればオキソで1-2個置換されていてもよく、各環における当該C1-6アルキル、C1-6アルキルスルホニル又はC1-6アルコキシは更にハロゲン、オキソ、ヒドロキシ、C1-6アルコキシ、-NR4’R5’でそれぞれ独立して1-3個置換されていてもよく、
    R6’ ’における当該C1-6アルキル、又はC2-6アルカノイルの各置換基は、更にハロゲン、オキソ、ヒドロキシ、C1-6アルコキシ、フェニル、5-6員ヘテロアリール、-NR4’R5’でそれぞれ独立して1-3個置換されていてもよく、
    R6’ ’におけるC1-6アルキル又はC2-6アルカノイルの各置換基における、当該フェニル、5-6員ヘテロアリールは、それぞれヒドロキシ、C1-6アルコキシでそれぞれ独立して1-3個置換されていてもよく、
    以上における-NR4’R5’におけるR4’及びR5’は、それぞれ独立して水素原子、又はC1-6アルキルを表し、
    環Aを含むヘテロ縮合環においてX2、X3及びX4はそれぞれ独立してC, CH又はNを表し、当該縮合環は以下からなる群より選択され、
    Figure JPOXMLDOC01-appb-C000013
    それぞれにおける6員環A部位、又は隣接する含窒素5員環はC1-6アルキル、ハロゲン、C1-6ハロアルキル、C1-6アルコキシで1-2個置換されていてもよい。)で表される、請求項1に記載の含窒素化合物、または薬学的に許容できるその塩またはそれらの溶媒和物であり、ただし、2-((イミダゾ[1,2-a]ピリミジン-2-イルメチル)チオ)-6-メチルーN-フェニルピリミジンー4-アミン、4-(2-((イミダゾ[1,2-a]ピリミジンー2-イルメチル)チオ)-6-メチルピリミジンー4-イル)モルホリン、または薬学的に許容できるその塩またはそれらの溶媒和物は除く。
    The following formula (I-3)
    Figure JPOXMLDOC01-appb-C000011
    (Where
    L1 and L2 each independently represent CH2, CH, O, S, SO, SO2, N, or NH, and the linker between the hetero-fused ring containing ring A and the nitrogen-containing 6-membered ring is
    Figure JPOXMLDOC01-appb-C000012
    -CH2-CH2-, -CH = CH-, -O-CH2-, -CH2-O-, -NH-CH2-, -CH2-NH-, -N = CH-, -CH = N-, -S-CH2-, -CH2-S-, -SO-CH2-, -CH2-SO-, -SO2-CH2-, or -CH2-SO2-, or forming a cyclopropane ring or a cyclobutane ring Well,
    CH1 and CH2 in each of L1 and L2 may be substituted by C1-6 alkyl, C1-6 haloalkyl, C1-6 alkenyl, oxo, hydroxy, halogen, or NR4′R5 ′, and the C1- 6 alkyl may further be independently substituted with 1-3 hydroxy, oxo, NR4′R5 ′, NH in each of L1, L2 may be substituted with C1-6 alkyl, the C1- 6 alkyl may be further substituted with 1-2 oxo, hydroxy,
    R1 is a hydrogen atom, NR4R5, OR6, halogen, cyano, phenyl, 4-6 membered heteroaliphatic ring, 3-6 membered aliphatic ring, 5-6 membered heteroaryl, C1-6 alkyl, C1-6 alkylsulfonyl , C1-6 alkoxy, COR7, or CONR8R9,
    The ring in R1, phenyl, 4-6 membered heteroaliphatic ring, 3-6 membered aliphatic ring, and 5-6 membered heteroaryl are each halogen, oxo, C1-6 alkyl, hydroxy, NR4'R5 ', C1 Optionally substituted with 1-2 alkylsulfonyl, C1-6 alkoxy, cyano, C2-6 alkanoyl, COR7, or CONR8R9,
    The C1-6 alkyl, C1-6 alkoxy and C1-6 alkylsulfonyl in R1 may be further independently substituted with 1-3 of halogen, oxo, hydroxy, C1-6 alkoxy, and —NR4′R5 ′. Often
    R4 and R5 in NR4R5 in R1 are each independently a hydrogen atom, phenyl, 5-6 membered heteroaryl, condensed heteroaryl, 4-6 membered heteroaliphatic ring, 3-6 membered aliphatic ring, Represents C1-6 alkyl, or C1-6 alkylsulfonyl,
    In the R4 or R5, phenyl, 5-6 membered heteroaryl, condensed heteroaryl, 4-6 membered heteroaliphatic ring, 3-6 membered aliphatic ring are halogen, oxo, hydroxy, NR4′R5 ′, C1 -6 alkyl, C1-6 alkylsulfonyl or C1-6 alkoxy may be independently 1-2 substituted, and the C1-6 alkyl, C1-6 alkylsulfonyl or C1-6 alkoxy is further substituted with halogen, oxo , Hydroxy, C1-6 alkoxy, and -NR4'R5 'each independently may be substituted 1-3,
    C1-6 alkyl, C1-6 alkylsulfonyl or C1-6 alkoxy in R4 or R5 is further independently substituted with 1-3 of halogen, oxo, hydroxy, C1-6 alkoxy, or —NR4′R5 ′. You may,
    However, R4 and R5 in R1 are not hydrogen atoms at the same time,
    R6 in OR6 in R1 represents phenyl, 5-6 membered heteroaryl, 4-6 membered heteroaliphatic ring, 3-6 membered aliphatic ring, or C1-6 alkyl,
    The phenyl in R6, 4-6 membered heteroaliphatic ring, 5-6 membered heteroaryl, 3-6 membered aliphatic ring is halogen, oxo, hydroxy, NR4'R5 ', C1-6 alkyl, C1-6 alkylsulfonyl Alternatively, C1-6 alkoxy may be independently substituted with 1-2, and the C1-6 alkyl, C1-6 alkylsulfonyl or C1-6 alkoxy is further halogen, oxo, hydroxy, C1-6 alkoxy,- Each of NR4′R5 ′ may be independently substituted 1-3,
    C1-6 alkyl in OR6 in R1 may be further independently substituted with 1-3 of halogen, oxo, hydroxy, C1-6 alkoxy, —NR4′R5 ′,
    R7 in COR7 in each ring in R1 and R1 represents phenyl, 4-6 membered heteroaliphatic ring, C1-6 alkyl, C1-6 alkoxy, or hydroxy;
    The phenyl, 4-6 membered heteroaliphatic ring in R7 is independently substituted with 1-2 halogen, oxo, hydroxy, NR4'R5 ', C1-6 alkyl, C1-6 alkylsulfonyl or C1-6 alkoxy. The C1-6 alkyl, C1-6 alkylsulfonyl or C1-6 alkoxy is further independently substituted with 1-3 of halogen, oxo, hydroxy, C1-6 alkoxy, and —NR4′R5 ′. You may,
    R8 and R9 in CONR8R9 in each ring in R1 and R1 each independently represent a hydrogen atom, phenyl, 5-6 membered heteroaryl, C1-6 alkyl, or C1-6 alkylsulfonyl,
    The phenyl and 5-6 membered heteroaryl in R8 and R9 are independently substituted with 1-2 halogen, oxo, C1-6 alkyl, hydroxy, NR4′R5 ′, C1-6 alkylsulfonyl or C1-6 alkoxy. You may,
    C1-6 alkyl and C1-6 alkylsulfonyl in R8 and R9 may be further independently substituted with 1-3 of halogen, oxo, hydroxy, C1-6 alkoxy, and —NR4′R5 ′,
    R2 represents a 4-6 membered heteroaliphatic ring, NR4′′R5 ′ ′, OR6 ′, phenyl, or 5-6 membered heteroaryl,
    Each ring of 4-6 membered heteroaliphatic ring and 5-6 membered heteroaryl in R2 is substituted with 1-2 halogen, oxo, hydroxy, C1-6 alkoxy, NR4'R5 ', COR7', C1-6 alkyl The C1-6 alkoxy, C1-6 alkyl may be substituted with 1-2 halogen, hydroxy, cyano,
    R7 ′ in the COR7 ′ in R2 represents phenyl, a 4-6 membered heteroaliphatic ring, C1-6 alkyl, C1-6 alkoxy, or hydroxy,
    R6 ′ in the OR6 ′ in R2 represents phenyl, 5-6 membered heteroaryl, 4-6 membered heteroaliphatic ring, or 3-6 membered aliphatic ring,
    Each of the phenyl, 4-6 membered heteroaliphatic ring, 5-6 membered heteroaryl, 3-6 membered aliphatic ring in R6 ′ is halogen, oxo, hydroxy, NR4′R5 ′, C1-6 alkyl, C1 -6 alkylsulfonyl or C1-6 alkoxy may be independently substituted with 1-2, and the C1-6 alkyl, C1-6 alkylsulfonyl or C1-6 alkoxy is further halogen, oxo, hydroxy, C1- Each may be independently substituted with 6 alkoxy, -NR4'R5 ',
    R4 ′ ′ and R5 ′ ′ in NR4′′R5 ′ ′ in R2 are each independently a hydrogen atom, phenyl, 5-6 membered heteroaryl, 4-6 membered heteroaliphatic ring, 3-6 membered aliphatic Represents a ring, C1-6 alkyl, or C1-6 alkylsulfonyl;
    Phenyl, 5-6 membered heteroaryl, 4-6 membered heteroaliphatic ring and 3-6 membered aliphatic ring in the R4 ′ ′ or R5 ′ ′ are halogen, oxo, hydroxy, NR4′R5 ′, C1-6 alkyl , C1-6 alkylsulfonyl or C1-6 alkoxy may be independently 1-2 substituted, and the C1-6 alkyl, C1-6 alkylsulfonyl or C1-6 alkoxy is further halogen, oxo, hydroxy, Each may be independently substituted with 1-3 of C1-6 alkoxy and -NR4'R5 ',
    C1-6 alkyl, C1-6 alkylsulfonyl or C1-6 alkoxy in the R4 ′ ′ or R5 ′ ′ is further independently halogen, oxo, hydroxy, C1-6 alkoxy, or —NR4′R5 ′. 3 may be replaced,
    However, R4 ′ ′ and R5 ′ ′ in R2 are not hydrogen atoms at the same time,
    X1 represents CR3 or N, R3 represents a hydrogen atom, C1-6 alkyl or OR6 ′ ′,
    R6 ′ ′ in the OR6 ′ ′ in R3 is phenyl, 5-6 membered heteroaryl, condensed heteroaryl, 4-6 membered heteroaliphatic ring, 3-6 membered aliphatic ring, C1-6 alkyl, C2-6 represents an alkanoyl or hydrogen atom,
    The phenyl in R6 ′ ′, 4-6 membered heteroaliphatic ring, 5-6 membered heteroaryl, condensed heteroaryl, 3-6 membered aliphatic ring is halogen, hydroxy, NR4′R5 ′, C1-6 It may be independently substituted with 1-2 alkyl, C1-6 alkylsulfonyl, or C1-6 alkoxy, and each ring may be substituted with 1-2 oxo if it can be substituted. The C1-6 alkyl, C1-6 alkylsulfonyl or C1-6 alkoxy in the ring may be further independently substituted with 1-3 of halogen, oxo, hydroxy, C1-6 alkoxy, or —NR4′R5 ′. Often,
    Each substituent of the C1-6 alkyl or C2-6 alkanoyl in R6 ′ ′ is further independently halogen, oxo, hydroxy, C1-6 alkoxy, phenyl, 5-6 membered heteroaryl, or —NR4′R5 ′. 1-3 may be substituted,
    In each substituent of C1-6 alkyl or C2-6 alkanoyl in R6 ′ ′, the phenyl and 5-6-membered heteroaryl are each independently substituted with 1-3 of hydroxy and C1-6 alkoxy. Well,
    R4 ′ and R5 ′ in —NR4′R5 ′ in the above each independently represent a hydrogen atom or C1-6 alkyl,
    X2, X3 and X4 each independently represent C, CH or N in the hetero condensed ring containing ring A, and the condensed ring is selected from the group consisting of:
    Figure JPOXMLDOC01-appb-C000013
    Each 6-membered ring A site or adjacent nitrogen-containing 5-membered ring may be substituted with 1-2 C1-6 alkyl, halogen, C1-6 haloalkyl, C1-6 alkoxy. Or a pharmaceutically acceptable salt or solvate thereof, wherein 2-((imidazo [1,2-a] pyrimidine-2 -Ylmethyl) thio) -6-methyl-N-phenylpyrimidin-4-amine, 4- (2-((imidazo [1,2-a] pyrimidin-2-ylmethyl) thio) -6-methylpyrimidin-4-yl) Excludes morpholine or a pharmaceutically acceptable salt or solvate thereof.
  3.  下記式(I-4)
    Figure JPOXMLDOC01-appb-C000014
    (式(I-4)中、環Aを含むヘテロ縮合環、X1, X2, X3, X4, X5, R1はそれぞれ前記式(I)に記載の定義と同じであり、
    R10は、ハロゲン、シアノ、ヒドロキシ、C1-6アルコキシ、NR4’R5’、COR7’ ’、ヒドロキシC1-6アルキル、又はC1-6アルキルを表し、
    当該COR7’ ’におけるR7’ ’は、C1-6アルキル、C1-6アルコキシ、ヒドロキシを表し、
    R4’、R5’はそれぞれ前記式(I)に記載の定義と同じであり、
    環Aを含むヘテロ縮合環と含窒素6員環との間にあるリンカー(-L1-L2-部位)は、-CH=CH-(E体)を表す)で表される、請求項1に記載の含窒素化合物、または薬学的に許容できるその塩またはそれらの溶媒和物。
    The following formula (I-4)
    Figure JPOXMLDOC01-appb-C000014
    (In the formula (I-4), the hetero-fused ring containing ring A, X1, X2, X3, X4, X5, R1 is the same as defined in the formula (I),
    R10 represents halogen, cyano, hydroxy, C1-6 alkoxy, NR4′R5 ′, COR7 ′ ′, hydroxy C1-6 alkyl, or C1-6 alkyl,
    R7 ′ ′ in the COR7 ′ ′ represents C1-6 alkyl, C1-6 alkoxy, hydroxy,
    R4 ′ and R5 ′ are the same as defined in the formula (I),
    The linker (-L1-L2-site) between the hetero-condensed ring containing ring A and the nitrogen-containing 6-membered ring is represented by -CH = CH- (E form)). The described nitrogen-containing compound, or a pharmaceutically acceptable salt or solvate thereof.
  4.  下記式(I-5)
    Figure JPOXMLDOC01-appb-C000015
    (式(I-5)中、*は不斉中心を表わし、環Aを含むヘテロ縮合環、X1, X2, X3, X4, X5, R1はそれぞれ前記式(I)に記載の定義と同じであり、
    R10は、ハロゲン、シアノ、ヒドロキシ、C1-6アルコキシ、NR4’R5’、COR7’ ’、ヒドロキシC1-6アルキル、又はC1-6アルキルを表し、
    当該COR7’ ’におけるR7’ ’は、C1-6アルキル、C1-6アルコキシ、ヒドロキシを表し、
    R4’、R5’はそれぞれ前記式(I)に記載の定義と同じであり、
    環Aを含むヘテロ縮合環と含窒素6員環との間にあるリンカー(-L1-L2-部位)は、シクロプロパン環を表す)で表される、請求項1に記載の含窒素化合物、または薬学的に許容できるその塩またはそれらの溶媒和物である。
    Following formula (I-5)
    Figure JPOXMLDOC01-appb-C000015
    (In formula (I-5), * represents an asymmetric center, hetero-fused ring including ring A, and X1, X2, X3, X4, X5, and R1 are the same as defined in formula (I), respectively. Yes,
    R10 represents halogen, cyano, hydroxy, C1-6 alkoxy, NR4′R5 ′, COR7 ′ ′, hydroxy C1-6 alkyl, or C1-6 alkyl,
    R7 ′ ′ in the COR7 ′ ′ represents C1-6 alkyl, C1-6 alkoxy, hydroxy,
    R4 ′ and R5 ′ are the same as defined in the formula (I),
    The nitrogen-containing compound according to claim 1, represented by a linker (-L1-L2-site) between the hetero-fused ring containing ring A and the nitrogen-containing 6-membered ring (representing a cyclopropane ring), Or a pharmaceutically acceptable salt thereof or a solvate thereof.
  5.  下記式(II-III-1)
    Figure JPOXMLDOC01-appb-C000016
    (式(II-III-1)中、*は不斉中心を、Halはハロゲン原子を表わす)の化合物またはそれらの溶媒和物。
    The following formula (II-III-1)
    Figure JPOXMLDOC01-appb-C000016
    (In formula (II-III-1), * represents an asymmetric center and Hal represents a halogen atom) or a solvate thereof.
  6.  下記式(II-V-1)
    Figure JPOXMLDOC01-appb-C000017
    (式(II-V-1)中、*は不斉中心を、Halはハロゲン原子、R=C1~6アルキル、C7~11アラルキル、フェニル、トリチル、置換シリル、又はC2~6アルケニルを表わす)の化合物、またはその塩またはそれらの溶媒和物。
    The following formula (II-V-1)
    Figure JPOXMLDOC01-appb-C000017
    (In formula (II-V-1), * represents an asymmetric center, Hal represents a halogen atom, R = C1-6 alkyl, C7-11 aralkyl, phenyl, trityl, substituted silyl, or C2-6 alkenyl) Or a salt or solvate thereof.
  7.  下記式(II-1)
    Figure JPOXMLDOC01-appb-C000018
    (式(II-1)中、*は不斉中心を、Halはハロゲン原子を表わす)の化合物、またはその塩またはそれらの溶媒和物。
    The following formula (II-1)
    Figure JPOXMLDOC01-appb-C000018
    A compound of the formula (II-1), wherein * represents an asymmetric center and Hal represents a halogen atom, or a salt or solvate thereof.
  8.  下記式(II-VI-1)
    Figure JPOXMLDOC01-appb-C000019
    (式(II-VI-1)中、*は不斉中心、
    環Aを含む縮合環は以下からなる群より選択され、
    Figure JPOXMLDOC01-appb-C000020
    Halはハロゲン原子を表わす)で表わされる光学活性なアゾール誘導体の、またはその塩またはそれらの溶媒和物。
    The following formula (II-VI-1)
    Figure JPOXMLDOC01-appb-C000019
    (In the formula (II-VI-1), * is an asymmetric center,
    The fused ring comprising ring A is selected from the group consisting of:
    Figure JPOXMLDOC01-appb-C000020
    Hal represents a halogen atom), or a salt thereof or a solvate thereof.
PCT/JP2012/0612882011-04-272012-04-26Novel azole derivativeWO2012147890A1 (en)

Applications Claiming Priority (4)

Application NumberPriority DateFiling DateTitle
JP20111002462011-04-27
JP2011-1002462011-04-27
JP2011-2214162011-10-05
JP20112214162011-10-05

Publications (1)

Publication NumberPublication Date
WO2012147890A1true WO2012147890A1 (en)2012-11-01

Family

ID=47072405

Family Applications (1)

Application NumberTitlePriority DateFiling Date
PCT/JP2012/061288WO2012147890A1 (en)2011-04-272012-04-26Novel azole derivative

Country Status (1)

CountryLink
WO (1)WO2012147890A1 (en)

Cited By (39)

* Cited by examiner, † Cited by third party
Publication numberPriority datePublication dateAssigneeTitle
JP2011201873A (en)*2010-03-032011-10-13Mitsubishi Tanabe Pharma CorpTrisubstituted pyrimidine compound and use thereof as pde10 inhibitor
WO2014072261A1 (en)*2012-11-072014-05-15F. Hoffmann-La Roche AgTriazolo compounds
WO2014078220A1 (en)*2012-11-152014-05-22Merck Sharp & Dohme Corp.Secondary alcohol subsituted triazoles as pde10 inhibitors
WO2014078217A1 (en)*2012-11-152014-05-22Merck Sharp & Dohme Corp.Cyclopropyl imidazopyridine pde10 inhibitors
WO2014078216A1 (en)*2012-11-152014-05-22Merck Sharp & Dohme Corp.Cyclobutyl benzimidazoles as pde10 inhibitors
JP2015520238A (en)*2012-06-192015-07-16スノビオン プハルマセウトイカルス インコーポレイテッド Heteroaryl compounds and methods of use thereof
US9493450B2 (en)2014-02-132016-11-15Incyte CorporationCyclopropylamines as LSD1 inhibitors
US9493442B2 (en)2014-02-132016-11-15Incyte CorporationCyclopropylamines as LSD1 inhibitors
US9527835B2 (en)2014-02-132016-12-27Incyte CorporationCyclopropylamines as LSD1 inhibitors
US9670210B2 (en)2014-02-132017-06-06Incyte CorporationCyclopropylamines as LSD1 inhibitors
US9695167B2 (en)2014-07-102017-07-04Incyte CorporationSubstituted triazolo[1,5-a]pyridines and triazolo[1,5-a]pyrazines as LSD1 inhibitors
US9695180B2 (en)2014-07-102017-07-04Incyte CorporationSubstituted imidazo[1,2-a]pyrazines as LSD1 inhibitors
US9695168B2 (en)2014-07-102017-07-04Incyte CorporationSubstituted imidazo[1,5-α]pyridines and imidazo[1,5-α]pyrazines as LSD1 inhibitors
US9758523B2 (en)2014-07-102017-09-12Incyte CorporationTriazolopyridines and triazolopyrazines as LSD1 inhibitors
US9944647B2 (en)2015-04-032018-04-17Incyte CorporationHeterocyclic compounds as LSD1 inhibitors
US9951069B1 (en)2017-01-112018-04-24Rodin Therapeutics, Inc.Bicyclic inhibitors of histone deacetylase
US10166221B2 (en)2016-04-222019-01-01Incyte CorporationFormulations of an LSD1 inhibitor
WO2019036641A1 (en)*2017-08-172019-02-21Board Of Regents, The University Of Texas SystemHeterocyclic inhibitors of atr kinase
US10329255B2 (en)2015-08-122019-06-25Incyte CorporationSalts of an LSD1 inhibitor
US10421756B2 (en)2015-07-062019-09-24Rodin Therapeutics, Inc.Heterobicyclic N-aminophenyl-amides as inhibitors of histone deacetylase
EP2854804B1 (en)*2012-05-302019-11-20F.Hoffmann-La Roche AgPyrrolidino heterocycles
US10683293B2 (en)2014-08-042020-06-16Nuevolution A/SOptionally fused heterocyclyl-substituted derivatives of pyrimidine useful for the treatment of inflammatory, metabolic, oncologic and autoimmune diseases
US10745420B2 (en)2017-05-262020-08-18Board Of Regents, The University Of Texas SystemTetrahydropyrido[4,3-d]pyrimidine inhibitors of ATR kinase
US10800782B2 (en)2016-08-312020-10-13Agios Pharmaceutical, Inc.Inhibitors of cellular metabolic processes
US10800769B2 (en)2017-07-132020-10-13Board Of Regents, The University Of Texas SystemHeterocyclic inhibitors of ATR kinase
US10894052B2 (en)2018-03-162021-01-19Board Of Regents, The University Of Texas SystemHeterocyclic inhibitors of ATR kinase
US10919902B2 (en)2015-07-062021-02-16Alkermes, Inc.Hetero-halo inhibitors of histone deacetylase
US10968200B2 (en)2018-08-312021-04-06Incyte CorporationSalts of an LSD1 inhibitor and processes for preparing the same
US11161850B2 (en)2018-07-052021-11-02Incyte CorporationFused pyrazine derivatives as A2A / A2B inhibitors
US11168089B2 (en)2018-05-182021-11-09Incyte CorporationFused pyrimidine derivatives as A2A / A2B inhibitors
US11225475B2 (en)2017-08-072022-01-18Alkermes, Inc.Substituted pyridines as inhibitors of histone deacetylase
US11390624B2 (en)2019-01-292022-07-19Incyte CorporationPyrazolopyridines and triazolopyridines as A2A / A2B inhibitors
US11447479B2 (en)2019-12-202022-09-20Nuevolution A/SCompounds active towards nuclear receptors
US11613532B2 (en)2020-03-312023-03-28Nuevolution A/SCompounds active towards nuclear receptors
US11673894B2 (en)2018-02-272023-06-13Incyte CorporationImidazopyrimidines and triazolopyrimidines as A2A / A2B inhibitors
US11780843B2 (en)2020-03-312023-10-10Nuevolution A/SCompounds active towards nuclear receptors
JP2024518530A (en)*2021-05-142024-05-01ビーエム ファーマ コンサルティング ピーティーワイ リミテッド Bicyclic heterocyclic compounds for the prevention and treatment of viral infections - Patents.com
WO2025016314A1 (en)*2023-07-142025-01-23InventisBio Co., Ltd.Compounds, preparation methods and uses thereof
US12441704B2 (en)2023-05-052025-10-14Nuevolution A/SCompounds active towards nuclear receptors

Citations (5)

* Cited by examiner, † Cited by third party
Publication numberPriority datePublication dateAssigneeTitle
JPS4954396A (en)*1973-06-071974-05-27
US4036840A (en)*1972-06-071977-07-19Icn Pharmaceuticals2-Substituted-s-triazolo[1,5a]pyrimidines
JP2010523668A (en)*2007-04-102010-07-15ハー・ルンドベック・アクチエゼルスカベット Heteroarylamide analogs as P2X7 antagonists
JP2011508762A (en)*2008-01-022011-03-17サノフイ−アベンテイス N-heterocycle-6-heterocycle-imidazo [L, 2-A] -pyridine-2-carboxamide derivatives, their preparation and their therapeutic use
JP2011509250A (en)*2008-01-022011-03-24サノフイ−アベンテイス N-heterocyclic imidazo [1,2-a] pyridine-2-carboxamide derivatives, their preparation and therapeutic use

Patent Citations (5)

* Cited by examiner, † Cited by third party
Publication numberPriority datePublication dateAssigneeTitle
US4036840A (en)*1972-06-071977-07-19Icn Pharmaceuticals2-Substituted-s-triazolo[1,5a]pyrimidines
JPS4954396A (en)*1973-06-071974-05-27
JP2010523668A (en)*2007-04-102010-07-15ハー・ルンドベック・アクチエゼルスカベット Heteroarylamide analogs as P2X7 antagonists
JP2011508762A (en)*2008-01-022011-03-17サノフイ−アベンテイス N-heterocycle-6-heterocycle-imidazo [L, 2-A] -pyridine-2-carboxamide derivatives, their preparation and their therapeutic use
JP2011509250A (en)*2008-01-022011-03-24サノフイ−アベンテイス N-heterocyclic imidazo [1,2-a] pyridine-2-carboxamide derivatives, their preparation and therapeutic use

Non-Patent Citations (4)

* Cited by examiner, † Cited by third party
Title
ARAI,S. ET AL.: "Asymmetric cyclopropanation reaction under phase-transfer catalyzed conditions", TETRAHEDRON LETT, vol. 40, no. 22, 1999, pages 4215 - 4218*
BELYK,K.M. ET AL.: "Enantioselective synthesis Of (lR,25)-1-amino-2- vinylcyclopropanecarboxylic acid ethyl ester (Vinyl-ACCA-OEt) by asymmetric phase-transfer catalyzed cyclopropanation of (E)-N- phenylmethyleneglycine ethyl ester", ORGANIC PROCESS RESEARCH & DEVELOPMENT, vol. 14, no. 3, 2010, pages 692 - 700*
COREY,E.J. ET AL.: "A Rational Approach to Catalytic Enantioselective Enolate Alkylation Using a Structurally Rigidified and Defined Chiral Quaternary Ammonium Salt under Phase Transfer Conditions", J AM CHEM SOC, vol. 119, no. 50, 1997, pages 12414 - 12415*
PAPAGEORGIOU,C.D. ET AL.: "Enantioselective organocatalytic cyclopropanation via ammonium ylides", ANGEW CHEM INT ED ENGL, vol. 43, no. 35, 2004, pages 4641 - 4644*

Cited By (81)

* Cited by examiner, † Cited by third party
Publication numberPriority datePublication dateAssigneeTitle
JP2011201873A (en)*2010-03-032011-10-13Mitsubishi Tanabe Pharma CorpTrisubstituted pyrimidine compound and use thereof as pde10 inhibitor
EP2854804B1 (en)*2012-05-302019-11-20F.Hoffmann-La Roche AgPyrrolidino heterocycles
JP2015520238A (en)*2012-06-192015-07-16スノビオン プハルマセウトイカルス インコーポレイテッド Heteroaryl compounds and methods of use thereof
US9994590B2 (en)2012-06-192018-06-12Sunovion Pharmaceuticals Inc.Substituted [1,2,4]triazolo[1,5-a]pyrazines as phosphodiesterase inhibitors
CN104768554B (en)*2012-11-072018-04-17霍夫曼-拉罗奇有限公司Triazol compound
CN104768554A (en)*2012-11-072015-07-08霍夫曼-拉罗奇有限公司 Triazolo compounds
WO2014072261A1 (en)*2012-11-072014-05-15F. Hoffmann-La Roche AgTriazolo compounds
US9617271B2 (en)2012-11-072017-04-11Hoffmann-La Roche Inc.Triazolo compounds
WO2014078216A1 (en)*2012-11-152014-05-22Merck Sharp & Dohme Corp.Cyclobutyl benzimidazoles as pde10 inhibitors
US9428492B2 (en)2012-11-152016-08-30Merck Sharp & Dohme Corp.Secondary alcohol substituted triazoles as PDE10 inhibitors
WO2014078220A1 (en)*2012-11-152014-05-22Merck Sharp & Dohme Corp.Secondary alcohol subsituted triazoles as pde10 inhibitors
WO2014078217A1 (en)*2012-11-152014-05-22Merck Sharp & Dohme Corp.Cyclopropyl imidazopyridine pde10 inhibitors
US10513493B2 (en)2014-02-132019-12-24Incyte CorporationCyclopropylamines as LSD1 inhibitors
US9670210B2 (en)2014-02-132017-06-06Incyte CorporationCyclopropylamines as LSD1 inhibitors
US9527835B2 (en)2014-02-132016-12-27Incyte CorporationCyclopropylamines as LSD1 inhibitors
US10676457B2 (en)2014-02-132020-06-09Incyte CorporationCyclopropylamines as LSD1 inhibitors
US9493442B2 (en)2014-02-132016-11-15Incyte CorporationCyclopropylamines as LSD1 inhibitors
US11247992B2 (en)2014-02-132022-02-15Incyte CorporationCyclopropylamines as LSD1 inhibitors
US10174030B2 (en)2014-02-132019-01-08Incyte CorporationCyclopropylamines as LSD1 inhibitors
US11155532B2 (en)2014-02-132021-10-26Incyte CorporationCyclopropylamines as LSD1 inhibitors
US9493450B2 (en)2014-02-132016-11-15Incyte CorporationCyclopropylamines as LSD1 inhibitors
US9994546B2 (en)2014-02-132018-06-12Incyte CorporationCyclopropylamines as LSD1 inhibitors
US10300051B2 (en)2014-02-132019-05-28Incyte CorporationCyclopropylamines as LSD1 inhibitors
US10717737B2 (en)2014-02-132020-07-21Incyte CorporationCyclopropylamines as LSD1 inhibitors
US9758523B2 (en)2014-07-102017-09-12Incyte CorporationTriazolopyridines and triazolopyrazines as LSD1 inhibitors
US10138249B2 (en)2014-07-102018-11-27Incyte CorporationTriazolopyridines and triazolopyrazines as LSD1 inhibitors
US10968221B2 (en)2014-07-102021-04-06Incyte CorporationSubstituted [1,2,4]triazolo[1,5-a]pyrazines as LSD1 inhibitors
US10125133B2 (en)2014-07-102018-11-13Incyte CorporationSubstituted [1,2,4]triazolo[1,5-a]pyridines and substituted [1,2,4]triazolo[1,5-a]pyrazines as LSD1 inhibitors
US10112950B2 (en)2014-07-102018-10-30Incyte CorporationSubstituted imidazo[1,2-a]pyrazines as LSD1 inhibitors
US10047086B2 (en)2014-07-102018-08-14Incyte CorporationImidazopyridines and imidazopyrazines as LSD1 inhibitors
US10556908B2 (en)2014-07-102020-02-11Incyte CorporationSubstituted imidazo[1,2-a]pyrazines as LSD1 inhibitors
US9695168B2 (en)2014-07-102017-07-04Incyte CorporationSubstituted imidazo[1,5-α]pyridines and imidazo[1,5-α]pyrazines as LSD1 inhibitors
US9695180B2 (en)2014-07-102017-07-04Incyte CorporationSubstituted imidazo[1,2-a]pyrazines as LSD1 inhibitors
US9695167B2 (en)2014-07-102017-07-04Incyte CorporationSubstituted triazolo[1,5-a]pyridines and triazolo[1,5-a]pyrazines as LSD1 inhibitors
US10640503B2 (en)2014-07-102020-05-05Incyte CorporationImidazopyridines and imidazopyrazines as LSD1 inhibitors
US10689383B2 (en)2014-08-042020-06-23Nuevolution A/SOptionally fused heterocyclyl-substituted derivatives of pyrimidine useful for the treatment of inflammatory, metabolic, oncologic and autoimmune diseases
US10683293B2 (en)2014-08-042020-06-16Nuevolution A/SOptionally fused heterocyclyl-substituted derivatives of pyrimidine useful for the treatment of inflammatory, metabolic, oncologic and autoimmune diseases
US11254681B2 (en)2014-08-042022-02-22Nuevolution A/SOptionally fused heterocyclyl-substituted derivatives of pyrimidine useful for the treatment of inflammatory, metabolic, oncologic and autoimmune diseases
US10800779B2 (en)2015-04-032020-10-13Incyte CorporationHeterocyclic compounds as LSD1 inhibitors
US9944647B2 (en)2015-04-032018-04-17Incyte CorporationHeterocyclic compounds as LSD1 inhibitors
US11401272B2 (en)2015-04-032022-08-02Incyte CorporationHeterocyclic compounds as LSD1 inhibitors
US10421756B2 (en)2015-07-062019-09-24Rodin Therapeutics, Inc.Heterobicyclic N-aminophenyl-amides as inhibitors of histone deacetylase
US10919902B2 (en)2015-07-062021-02-16Alkermes, Inc.Hetero-halo inhibitors of histone deacetylase
US11858939B2 (en)2015-07-062024-01-02Alkermes, Inc.Hetero-halo inhibitors of histone deacetylase
US10329255B2 (en)2015-08-122019-06-25Incyte CorporationSalts of an LSD1 inhibitor
US10723700B2 (en)2015-08-122020-07-28Incyte CorporationSalts of an LSD1 inhibitor
US11498900B2 (en)2015-08-122022-11-15Incyte CorporationSalts of an LSD1 inhibitor
US10166221B2 (en)2016-04-222019-01-01Incyte CorporationFormulations of an LSD1 inhibitor
USRE49934E1 (en)2016-08-312024-04-23Servier Pharmaceuticals LlcInhibitors of cellular metabolic processes
US10800782B2 (en)2016-08-312020-10-13Agios Pharmaceutical, Inc.Inhibitors of cellular metabolic processes
US11325914B1 (en)2016-08-312022-05-10Servier Pharmaceuticals LlcInhibitors of cellular metabolic processes
US10519149B2 (en)2017-01-112019-12-31Rodin Therapeutics, Inc.Bicyclic inhibitors of histone deacetylase
US10793567B2 (en)2017-01-112020-10-06Rodin Therapeutics, Inc.Bicyclic inhibitors of histone deacetylase
US9951069B1 (en)2017-01-112018-04-24Rodin Therapeutics, Inc.Bicyclic inhibitors of histone deacetylase
US11987580B2 (en)2017-01-112024-05-21Alkermes, Inc.Bicyclic inhibitors of histone deacetylase
US11286256B2 (en)2017-01-112022-03-29Alkermes, Inc.Bicyclic inhibitors of histone deacetylase
US11225479B2 (en)2017-01-112022-01-18Alkermes, Inc.Bicyclic inhibitors of histone deacetylase
US10696673B2 (en)2017-01-112020-06-30Rodin Therapeutics, Inc.Bicyclic inhibitors of histone deacetylase
US10745420B2 (en)2017-05-262020-08-18Board Of Regents, The University Of Texas SystemTetrahydropyrido[4,3-d]pyrimidine inhibitors of ATR kinase
US10800769B2 (en)2017-07-132020-10-13Board Of Regents, The University Of Texas SystemHeterocyclic inhibitors of ATR kinase
US11434233B2 (en)2017-07-132022-09-06Board Of Regents, The University Of Texas SystemHeterocyclic inhibitors of ATR kinase
US11912702B2 (en)2017-08-072024-02-27Alkermes, Inc.Substituted pyridines as inhibitors of histone deacetylase
US11225475B2 (en)2017-08-072022-01-18Alkermes, Inc.Substituted pyridines as inhibitors of histone deacetylase
US10800774B2 (en)2017-08-172020-10-13Board Of Regents, The University Of Texas SystemHeterocyclic inhibitors of ATR kinase
WO2019036641A1 (en)*2017-08-172019-02-21Board Of Regents, The University Of Texas SystemHeterocyclic inhibitors of atr kinase
US11673894B2 (en)2018-02-272023-06-13Incyte CorporationImidazopyrimidines and triazolopyrimidines as A2A / A2B inhibitors
US10894052B2 (en)2018-03-162021-01-19Board Of Regents, The University Of Texas SystemHeterocyclic inhibitors of ATR kinase
US11168089B2 (en)2018-05-182021-11-09Incyte CorporationFused pyrimidine derivatives as A2A / A2B inhibitors
US11873304B2 (en)2018-05-182024-01-16Incyte CorporationFused pyrimidine derivatives as A2A/A2B inhibitors
US11161850B2 (en)2018-07-052021-11-02Incyte CorporationFused pyrazine derivatives as A2A / A2B inhibitors
US11999740B2 (en)2018-07-052024-06-04Incyte CorporationFused pyrazine derivatives as A2A / A2B inhibitors
US11512064B2 (en)2018-08-312022-11-29Incyte CorporationSalts of an LSD1 inhibitor and processes for preparing the same
US10968200B2 (en)2018-08-312021-04-06Incyte CorporationSalts of an LSD1 inhibitor and processes for preparing the same
US11884665B2 (en)2019-01-292024-01-30Incyte CorporationPyrazolopyridines and triazolopyridines as A2A / A2B inhibitors
US11390624B2 (en)2019-01-292022-07-19Incyte CorporationPyrazolopyridines and triazolopyridines as A2A / A2B inhibitors
US11447479B2 (en)2019-12-202022-09-20Nuevolution A/SCompounds active towards nuclear receptors
US11780843B2 (en)2020-03-312023-10-10Nuevolution A/SCompounds active towards nuclear receptors
US11613532B2 (en)2020-03-312023-03-28Nuevolution A/SCompounds active towards nuclear receptors
JP2024518530A (en)*2021-05-142024-05-01ビーエム ファーマ コンサルティング ピーティーワイ リミテッド Bicyclic heterocyclic compounds for the prevention and treatment of viral infections - Patents.com
US12441704B2 (en)2023-05-052025-10-14Nuevolution A/SCompounds active towards nuclear receptors
WO2025016314A1 (en)*2023-07-142025-01-23InventisBio Co., Ltd.Compounds, preparation methods and uses thereof

Similar Documents

PublicationPublication DateTitle
WO2012147890A1 (en)Novel azole derivative
JP6496376B2 (en) Inhibitor compound
US8962596B2 (en)5,7-substituted-imidazo[1,2-C]pyrimidines as inhibitors of JAK kinases
TWI622587B (en)Biheteroaryl compounds and uses thereof
JP6800885B2 (en) Imidazopyrazine and pyrazolopyrimidine, and their use as AMPA receptor regulators
CN117903140A (en)Imidazopyrimidines and triazolopyrimidines as A2A/A2B inhibitors
EP4370515A1 (en)Tricyclic compounds as inhibitors of kras
CA3107365A1 (en)Pyrazine compounds and uses thereof
EP3357921A2 (en)Biaryl compounds useful for the treatment of human diseases in oncology, neurology and immunology
EP4161927B9 (en)Spiro compounds as melanocortin 4 receptor antagonists and uses thereof
KR20150059647A (en)Imidazotriazinecarbonitriles useful as kinase inhibitors
TW201427978A (en) Azaquinazoline inhibitor of atypical protein kinase C
TWI744866B (en)Anti-proliferative agents for treating pah
JP5957526B2 (en) 6-Substituted 3- (quinolin-6-ylthio)-[1,2,4] triazolo [4,3-A] pyrazine as tyrosine kinase
US20160296514A1 (en)Pharmacologically active compounds
CN117964620A (en)AKT inhibitors
WO2023006013A1 (en)Novel parp7 inhibitor and use thereof
KR102598203B1 (en) Heterocyclic compounds as delta-5 desaturase inhibitors and methods of use
EP3074387B1 (en)Imidazole derivatives
HK40041129A (en)Tetrahydroquinoline derivatives for use as bet inhibitors
HK40064263A (en)Anti-proliferative agents for treating pah
CN118369317A (en) Melanocortin 4 receptor antagonists and uses thereof
OA21024A (en)Spiro compounds as melanocortin 4 receptor antagonists and uses thereof.
HK1213560B (en)C-linked heterocycloalkyl substituted pyrimidines and their uses
HK1228786A1 (en)Tetrahydroquinoline compositions as bet bromodomain inhibitors

Legal Events

DateCodeTitleDescription
121Ep: the epo has been informed by wipo that ep was designated in this application

Ref document number:12777127

Country of ref document:EP

Kind code of ref document:A1

NENPNon-entry into the national phase

Ref country code:DE

122Ep: pct application non-entry in european phase

Ref document number:12777127

Country of ref document:EP

Kind code of ref document:A1

NENPNon-entry into the national phase

Ref country code:JP


[8]ページ先頭

©2009-2025 Movatter.jp