
本発明は、各種ディスプレイ、表示装置及び照明等に適用される有機エレクトロルミネッセンス素子及び照明装置に関するものである。The present invention relates to an organic electroluminescence element and an illumination device applied to various displays, display devices, illuminations, and the like.
各種ディスプレイのバックライト、看板や非常灯等の表示板、照明等の光源として用いられる面発光体は、高輝度、高発光効率、薄型、軽量といった多くの優れた特徴を有することから、近年注目されている。このような面発光体の中でも、有機材料を用いて正負の各電極からの電気エネルギーによって発光させる有機エレクトロルミネッセンス素子(以下、「有機EL素子」ともいう。)は、数V~数十V程度の低電圧で発光が可能であり、薄膜型の完全固体素子であり、省スペースである等の理由から、特に近年注目されている。Surface light emitters used as backlights for various displays, display boards such as signboards and emergency lights, and light sources for lighting, etc. have attracted attention in recent years because they have many excellent features such as high brightness, high luminous efficiency, thinness, and light weight. Has been. Among such surface light emitters, an organic electroluminescence element (hereinafter also referred to as “organic EL element”) that emits light by using electric energy from positive and negative electrodes using an organic material is about several V to several tens V. It has been attracting attention in recent years because it is capable of emitting light at a low voltage, is a thin-film type complete solid-state device, and is space-saving.
有機EL素子の高効率化には光取り出し効率の向上が必須であるが、有機EL素子は発光層と金属電極との距離が数十nmオーダーと近いため、表面プラズモンモード光の導波損失が大きく、光取り出し効率が上がらないという問題を有している。表面プラズモンモード光の導波損失を少なくする手段としては、トップエミッション型の構成を取ることが挙げられる。In order to increase the efficiency of organic EL elements, it is essential to improve the light extraction efficiency. However, since the distance between the light emitting layer and the metal electrode is close to the order of several tens of nanometers, the waveguide loss of surface plasmon mode light is reduced. There is a problem that the light extraction efficiency does not increase. As a means for reducing the waveguide loss of the surface plasmon mode light, a top emission type configuration can be cited.
トップエミッション型有機EL素子の課題の一つとして、透明導電性層の透過率と導電性の両立があった。As one of the problems of the top emission type organic EL element, there was a balance between the transmittance of the transparent conductive layer and the conductivity.
特許文献1では、透明導電性金属層と透明導電性酸化物との積層から成るカソード電極が検討されている。これは薄膜金属層上に透明導電性酸化物を積層することで、カソード電極の透過率と導電性の両立を狙ったものであるが、透明導電性酸化物をスパッタ法で成膜するときに発光層にダメージを与える問題を有していた。また、別の課題として薄膜金属としてマグネシウム-銀合金が検討されているが、マグネシウム-銀合金は銀よりも電子注入性が改良されているが、その改良度が足りなく、駆動電圧が十分に下がらない問題があることがわかった。
特許文献2では、マグネシウム-銀合金の電子注入性のさらなる改良を狙ってカソード電極にマグネシウム-カルシウム合金を用いる検討が成されているがカルシウムは材料としての安定性が低いため、素子を高温で保存したときの性能変動が大きいことがわかった。In Patent Document 2, the use of a magnesium-calcium alloy for the cathode electrode has been studied with the aim of further improving the electron injection property of the magnesium-silver alloy. However, since calcium has low stability as a material, the element can be operated at a high temperature. It was found that the performance fluctuation when stored was large.
安定性が高い材料としては銀が挙げられるが、銀をカソード電極に用いる場合、銀から成る層の層厚を薄くして透過率を向上させる場合、銀から成る層の層厚を10nm以下にした場合、導電性の維持が困難になることがわかった。また、銀をカソード(陰極)に用いる場合の別の問題として、銀は仕事関数がマグネシウムやカルシウムよりも深いため、電子注入性の不足がより大きくなる問題を有していた。Silver is an example of a material having high stability. When silver is used for the cathode electrode, the layer thickness of the silver layer is reduced to 10 nm or less when the layer thickness of the silver layer is reduced to improve the transmittance. In this case, it has been found that it is difficult to maintain conductivity. Further, as another problem when silver is used for the cathode (cathode), since silver has a work function deeper than that of magnesium or calcium, there is a problem that the shortage of electron injectability becomes larger.
本発明は、上記問題・状況に鑑みてなされたものであり、その解決課題は、駆動電圧が低く、素子の透過率が高い有機エレクトロルミネッセンス素子及び照明装置を提供することである。The present invention has been made in view of the above-mentioned problems and situations, and a problem to be solved is to provide an organic electroluminescence element and a lighting device having a low driving voltage and a high element transmittance.
本発明に係る上記課題は、以下の手段により解決される。The above-mentioned problem according to the present invention is solved by the following means.
1.アノードとカソードの間に、有機化合物を含有する発光層を有する有機エレクトロルミネッセンス素子であって、当該カソードが前記発光層に近い側からカリウム又はカリウム化合物を含有する層と銀又は銀化合物を含有する層との積層構成になっており、かつ当該銀又は銀化合物を含有する層の層厚が1~10nmの範囲内にあることを特徴とする有機エレクトロルミネッセンス素子。1. An organic electroluminescent device having a light emitting layer containing an organic compound between an anode and a cathode, wherein the cathode contains a layer containing potassium or a potassium compound and silver or a silver compound from the side close to the light emitting layer An organic electroluminescence device characterized in that it has a laminated structure with a layer, and the layer thickness of the layer containing silver or a silver compound is in the range of 1 to 10 nm.
2.前記カリウム又はカリウム化合物を含有する層が、更に電子輸送性化合物を含有していることを特徴とする前記第1項に記載の有機エレクトロルミネッセンス素子。2. 2. The organic electroluminescence device according to
3.前記電子輸送性化合物が、下記一般式(1)で表される化合物であることを特徴とする前記第2項に記載の有機エレクトロルミネッセンス素子。
一般式(1):(Ar1)n1-Y1
〔式中、n1は、1以上の整数を表す。Y1は、n1が1の場合は置換基を表し、n1が2以上の場合は、単なる結合手又はn1価の連結基を表す。Ar1は、下記一般式(A)で表される基を表し、n1が2以上の場合、複数のAr1は同一でも異なっていてもよい。ただし、前記一般式(1)で表される化合物は、分子内に3環以上の環が縮合してなる縮合芳香族複素環を少なくとも二つ有する。〕3. The organic electroluminescence device according to item 2, wherein the electron transporting compound is a compound represented by the following general formula (1).
Formula (1): (Ar1) n1-Y1
[Wherein n1 represents an integer of 1 or more. Y1 represents a substituent when n1 is 1, and represents a simple bond or an n1-valent linking group when n1 is 2 or more. Ar1 represents a group represented by the following general formula (A). When n1 is 2 or more, a plurality of Ar1s may be the same or different. However, the compound represented by the general formula (1) has at least two condensed aromatic heterocycles in which three or more rings are condensed in the molecule. ]
〔式中、Xは、-N(R)-、-O-、-S-又はSi(R)(R’)-を表す。E1~E8は、-C(R1)=又はN=を表す。R、R’及びR1は、各々独立に、水素原子、置換基又はY1との連結部位を表す。記号*は、Y1との連結部位を表す。Y2は、単なる結合手又は2価の連結基を表す。Y3及びY4は、各々、5員又は6員の芳香族環から導出される基を表し、少なくとも一方は環構成原子として窒素原子を含む芳香族複素環から導出される基を表す。n2は、1~4の整数を表す。〕
4.前記一般式(1)で表される電子輸送性化合物が、下記一般式(2)で表される化合物であることを特徴とする前記第3項に記載の有機エレクトロルミネッセンス素子。[Wherein X represents —N (R) —, —O—, —S— or Si (R) (R ′) —. E1 to E8 each represent —C (R1) ═ or N═. R, R ′ and R1 each independently represent a hydrogen atom, a substituent or a linking site with Y1. The symbol * represents a connecting site with Y1. Y2 represents a simple bond or a divalent linking group. Y3 and Y4 each represent a group derived from a 5-membered or 6-membered aromatic ring, and at least one represents a group derived from an aromatic heterocycle containing a nitrogen atom as a ring-constituting atom. n2 represents an integer of 1 to 4. ]
4). 4. The organic electroluminescent device according to item 3, wherein the electron transporting compound represented by the general formula (1) is a compound represented by the following general formula (2).
〔式中、Y5は、アリーレン基、ヘテロアリーレン基又はそれらの組み合わせからなる2価の連結基を表す。E51~E66は、各々、-C(R3)=又はN=を表し、R3は水素原子又は置換基を表す。Y6~Y9は、各々芳香族炭化水素環から導出される基又は芳香族複素環から導出される基を表し、Y6又はY7の少なくとも一方、及びY8又はY9の少なくとも一方は、N原子を含む芳香族複素環から導出される基を表す。n3及びn4は、0~4の整数を表すが、n3+n4は、2以上の整数である。〕
5.前記一般式(2)で表される電子輸送性化合物が、下記一般式(3)で表される化合物であることを特徴とする前記第4項に記載の有機エレクトロルミネッセンス素子。[In formula, Y5 represents the bivalent coupling group which consists of an arylene group, heteroarylene group, or those combination. E51 to E66 each represent —C (R3) ═ or N═, and R3 represents a hydrogen atom or a substituent. Y6 to Y9 each represents a group derived from an aromatic hydrocarbon ring or a group derived from an aromatic heterocycle, and at least one of Y6 or Y7 and at least one of Y8 or Y9 is an aromatic group containing an N atom. Represents a group derived from a group heterocycle. n3 and n4 represent an integer of 0 to 4, and n3 + n4 is an integer of 2 or more. ]
5. 5. The organic electroluminescent device according to
〔式中、Y5は、アリーレン基、ヘテロアリーレン基又はそれらの組み合わせからなる2価の連結基を表す。E51~E66及びE71~E88は、各々、-C(R3)=又はN=を表し、R3は水素原子又は置換基を表す。ただし、E71~E79の少なくとも一つ及びE80~E88の少なくとも一つは、-N=を表す。n3及びn4は、0~4の整数を表すが、n3+n4は2以上の整数である。〕
6.前記発光層が、下記一般式(4)で表される化合物を含有していることを特徴とする前記第1項から第5項までのいずれか一項に記載の有機エレクトロルミネッセンス素子。[In formula, Y5 represents the bivalent coupling group which consists of an arylene group, heteroarylene group, or those combination. E51 to E66 and E71 to E88 each represent —C (R3) ═ or N═, and R3 represents a hydrogen atom or a substituent. However, at least one of E71 to E79 and at least one of E80 to E88 represents -N =. n3 and n4 represent an integer of 0 to 4, and n3 + n4 is an integer of 2 or more. ]
6). The said light emitting layer contains the compound represented by following General formula (4), The organic electroluminescent element as described in any one of said 1st term | claim to 5th term | claim characterized by the above-mentioned.
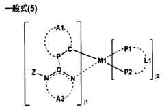
〔式中、P及びQは、各々、炭素原子又は窒素原子を表す。A1は、P-Cと共に芳香族炭化水素環又は芳香族複素環を形成する原子群を表す。A2は、Q-Nと共に芳香族複素環を形成する原子群を表す。P1-L1-P2はm2座の配位子を表し、P1、P2は各々独立に炭素原子、窒素原子又は酸素原子を表す。L1は、P1及びP2と共に2座の配位子を形成する原子群を表す。j1は1~3の整数を表し、j2は0~2の整数を表すが、j1+j2は2又は3である。M1は、元素周期表における8族~10族の遷移金属元素を表す。〕
7.前記一般式(4)で表される化合物が、下記一般式(5)で表される化合物であることを特徴とする前記第6項に記載の有機エレクトロルミネッセンス素子。[Wherein, P and Q each represent a carbon atom or a nitrogen atom. A1 represents an atomic group forming an aromatic hydrocarbon ring or an aromatic heterocyclic ring together with PC. A2 represents an atomic group that forms an aromatic heterocycle with QN. P1-L1-P2 represents an m2-dentate ligand, and P1 and P2 each independently represent a carbon atom, a nitrogen atom or an oxygen atom. L1 represents an atomic group that forms a bidentate ligand together with P1 and P2. j1 represents an integer of 1 to 3, j2 represents an integer of 0 to 2, and j1 + j2 is 2 or 3. M1 represents a transition metal element of
7. 7. The organic electroluminescence device according to item 6, wherein the compound represented by the general formula (4) is a compound represented by the following general formula (5).
〔式中、Zは、炭化水素環基又は複素環基を表す。P及びQは、各々、炭素原子又は窒素原子を表す。A1は、P-Cと共に芳香族炭化水素環又は芳香族複素環を形成する原子群を表す。A3は、-C(R01)=C(R02)-、-N=C(R02)-、-C(R01)=N-又はN=N-を表す。R01、R02は、各々、水素原子又は置換基を表す。P1-L1-P2は、2座の配位子を表し、P1、P2は各々独立に炭素原子、窒素原子、又は酸素原子を表す。L1は、P1、P2と共に2座の配位子を形成する原子群を表す。j1は1~3の整数を表し、j2は0~2の整数を表すが、j1+j2は2又は3である。M1は、m元素周期表における8族~10族の遷移金属元素を表す。〕
8.前記一般式(4)又は(5)におけるM1が、イリジウムを表すことを特徴とする前記第6項又は第7項に記載の有機エレクトロルミネッセンス素子。[Wherein, Z represents a hydrocarbon ring group or a heterocyclic group. P and Q each represent a carbon atom or a nitrogen atom. A1 represents an atomic group forming an aromatic hydrocarbon ring or an aromatic heterocyclic ring together with PC. A3 represents -C (R01) = C (R02)-, -N = C (R02)-, -C (R01) = N- or N = N-. R01 and R02 each represents a hydrogen atom or a substituent. P1-L1-P2 represents a bidentate ligand, and P1 and P2 each independently represent a carbon atom, a nitrogen atom, or an oxygen atom. L1 represents an atomic group that forms a bidentate ligand together with P1 and P2. j1 represents an integer of 1 to 3, j2 represents an integer of 0 to 2, and j1 + j2 is 2 or 3. M1 represents a group 8-10 transition metal element in the m-element periodic table. ]
8). 8. The organic electroluminescence device according to item 6 or 7, wherein M1 in the general formula (4) or (5) represents iridium.
9.前記銀又は銀化合物を含有する層上に、補助電極を有することを特徴とする前記第1項から第8項までのいずれか一項に記載の有機エレクトロルミネッセンス素子。9. The organic electroluminescence device according to any one of
10.両面エミッション型であることを特徴とする前記第1項から第9項までのいずれか一項に記載の有機エレクトロルミネッセンス素子。10. 10. The organic electroluminescence element according to any one of
11.前記第1項から第10項までのいずれか一項に記載の有機エレクトロルミネッセンス素子が具備されていることを特徴とする照明装置。11. The organic electroluminescent element as described in any one of said 1st term | claim-10th term | claim is comprised, The illuminating device characterized by the above-mentioned.
本発明の上記手段により、駆動電圧が低く、素子の透過率が高い有機エレクトロルミネッセンス素子及び照明装置を提供することができる。The above-mentioned means of the present invention can provide an organic electroluminescence element and a lighting device with low driving voltage and high element transmittance.
本発明の手段は、カリウム又はカリウム化合物を有する層と銀又は銀化合物から成る層が積層されたカソードとして用いることでカソードの透過率と導電性を両立し、更には電子注入性も満足する技術である。The means of the present invention is a technique in which both cathode transmittance and conductivity are satisfied by using a cathode in which a layer having potassium or a potassium compound and a layer made of silver or a silver compound are laminated, and further satisfying electron injection properties. It is.
一般的に、銀は、膜成長において、フォルマー・ウェーバー成長様式を取る傾向が強いため、連続膜よりも海島状になり易い特性を有しているが、本発明に係るカリウム又はカリウム化合物を含有する層上に銀又は銀化合物を含有する層を成膜すると連続膜を形成し易くなり、結果として、銀の層厚を薄くしても、導電性を維持できるので、透過率を高めることが可能となる。In general, since silver has a tendency to take the former-Weber growth mode in film growth, it has a characteristic that it is more likely to be a sea-island shape than a continuous film, but contains potassium or a potassium compound according to the present invention. When a layer containing silver or a silver compound is formed on the layer to be formed, it becomes easy to form a continuous film. As a result, even if the layer thickness of silver is reduced, conductivity can be maintained, so that the transmittance can be increased. It becomes possible.
また、本発明に係るカリウム又はカリウム化合物を有する層は、銀の電子注入性不足を補う効果を有し、結果として、銀からでも容易に電子注入が成されることが可能になる。Further, the layer having potassium or potassium compound according to the present invention has an effect of compensating for the lack of electron injection property of silver, and as a result, it becomes possible to easily inject electrons from silver.
本発明の有機エレクトロルミネッセンス素子は、アノードとカソードの間に、有機化合物を含有する発光層を有する有機エレクトロルミネッセンス素子であって、当該カソードが前記発光層に近い側からカリウム又はカリウム化合物を含有する層と銀又は銀化合物を含有する層との積層構成になっており、かつ当該銀又は銀化合物を含有する層の層厚が1~10nmの範囲内にあることを特徴とする。この特徴は、請求項1から請求項11までの請求項に係る発明に共通する技術的特徴である。The organic electroluminescent device of the present invention is an organic electroluminescent device having a light emitting layer containing an organic compound between an anode and a cathode, and the cathode contains potassium or a potassium compound from the side close to the light emitting layer. The layer is composed of a layer and a layer containing silver or a silver compound, and the layer thickness of the layer containing silver or a silver compound is in the range of 1 to 10 nm. This feature is a technical feature common to the inventions according to
本発明の実施態様としては、本発明の効果発現の観点から、前記カリウム又はカリウム化合物を含有する層が、更に電子輸送性化合物を含有していることが好ましい。さらに、前記電子輸送性化合物が、前記一般式(1)で表される化合物であることが好ましい。As an embodiment of the present invention, it is preferable that the layer containing potassium or a potassium compound further contains an electron transporting compound from the viewpoint of manifesting the effects of the present invention. Furthermore, the electron transporting compound is preferably a compound represented by the general formula (1).
本発明においては、前記一般式(1)で表される電子輸送性化合物が、前記一般式(2)で表される化合物であることが好ましい。また、当該一般式(2)で表される電子輸送性化合物が、前記一般式(3)で表される化合物であることが好ましい。In the present invention, the electron transporting compound represented by the general formula (1) is preferably a compound represented by the general formula (2). Moreover, it is preferable that the electron transport compound represented by the general formula (2) is a compound represented by the general formula (3).
本発明においては、前記発光層が、前記一般式(4)で表される化合物を含有していることが好ましい。また、当該一般式(4)で表される化合物が、前記一般式(5)で表される化合物であることが好ましい。さらに、前記一般式(4)又は(5)におけるM1が、イリジウムを表すことが好ましい。In the present invention, the light emitting layer preferably contains a compound represented by the general formula (4). Moreover, it is preferable that the compound represented by the said General formula (4) is a compound represented by the said General formula (5). Furthermore, it is preferable that M1 in the general formula (4) or (5) represents iridium.
本発明においては、前記銀又は銀化合物を含有する層上に、補助電極を有する態様であることが好ましい。また、両面エミッション型であることが好ましい。In the present invention, it is preferable that the auxiliary electrode is provided on the silver or silver compound-containing layer. Moreover, it is preferable that it is a double-sided emission type.
本発明の有機エレクトロルミネッセンス素子は、照明装置に好適に用いることができる。The organic electroluminescence element of the present invention can be suitably used for a lighting device.
以下、本発明とその構成要素、及び本発明を実施するための形態・態様について詳細な説明をする。なお、本願において、「~」は、その前後に記載される数値を下限値及び上限値として含む意味で使用する。Hereinafter, the present invention, its components, and modes and modes for carrying out the present invention will be described in detail. In the present application, “˜” is used to mean that the numerical values described before and after it are included as a lower limit value and an upper limit value.
《有機エレクトロルミネッセンス素子の構成概要》
本発明の有機エレクトロルミネッセンス素子(以下「有機EL素子」ともいう。)は、アノードとカソードの間に、有機化合物を含有する発光層を有する有機エレクトロルミネッセンス素子であって、当該カソードが前記発光層に近い側からカリウム又はカリウム化合物を含有する層と銀又は銀化合物を含有する層との積層構成になっており、かつ当該銀又は銀化合物を含有する層の層厚が1~10nmの範囲内にあることを特徴とする。<Outline of configuration of organic electroluminescence device>
The organic electroluminescence device of the present invention (hereinafter also referred to as “organic EL device”) is an organic electroluminescence device having a light emitting layer containing an organic compound between an anode and a cathode, and the cathode is the light emitting layer. A layer containing a layer containing potassium or a potassium compound and a layer containing silver or a silver compound from the side near the surface, and the layer thickness of the layer containing silver or a silver compound is in the range of 1 to 10 nm It is characterized by that.
本発明の有機EL素子の層構成は、種々の態様を採り得るが、好ましい具体例を以下に示す。The layer structure of the organic EL element of the present invention can take various forms, and preferred specific examples are shown below.
(i)アノード/正孔注入層/正孔輸送層発光層/電子輸送層/カソード(カリウム又はカリウム化合物を含有する層/銀又は銀化合物を含有する層)
(ii)アノード/正孔注入層/正孔輸送層発光層/電子輸送層/電子注入層/カソード(カリウム又はカリウム化合物を含有する層/銀又は銀化合物を含有する層)
(iii)アノード/正孔注入層/正孔輸送層発光層/電子輸送層/正孔阻止層/カソード(カリウム又はカリウム化合物を含有する層/銀又は銀化合物を含有する層)
(iv)アノード/正孔注入層/正孔輸送層発光層/電子輸送層/電子注入層/正孔阻止層/カソード(カリウム又はカリウム化合物を含有する層/銀又は銀化合物を含有する層)
本発明の有機EL素子はカソードが実質的に透明であることを特徴とし、対向する電極はアプリケーションによって透明、不透明のどちらも選択することができる。また、本発明の有機EL素子は、トップエミッション型又は両面エミッション型の構成を取ることが好ましい。(I) Anode / hole injection layer / hole transport layer light emitting layer / electron transport layer / cathode (layer containing potassium or potassium compound / layer containing silver or silver compound)
(Ii) Anode / hole injection layer / hole transport layer light emitting layer / electron transport layer / electron injection layer / cathode (layer containing potassium or potassium compound / layer containing silver or silver compound)
(Iii) Anode / hole injection layer / hole transport layer light emitting layer / electron transport layer / hole blocking layer / cathode (layer containing potassium or potassium compound / layer containing silver or silver compound)
(Iv) Anode / hole injection layer / hole transport layer light emitting layer / electron transport layer / electron injection layer / hole blocking layer / cathode (layer containing potassium or potassium compound / layer containing silver or silver compound)
The organic EL device of the present invention is characterized in that the cathode is substantially transparent, and the opposing electrode can be selected from either transparent or opaque depending on the application. The organic EL device of the present invention preferably has a top emission type or double side emission type configuration.
発光層は、少なくとも発光色の異なる二種以上の発光材料を含有していることが好ましく、単層でも複数の発光層からなる発光層ユニットを形成していてもよい。また、正孔輸送層には正孔注入層、電子阻止層も含まれる。The light emitting layer preferably contains at least two kinds of light emitting materials having different emission colors, and a single layer or a light emitting layer unit composed of a plurality of light emitting layers may be formed. The hole transport layer also includes a hole injection layer and an electron blocking layer.
《カソード》
本発明に係るカソード(以下「陰極」ともいう。)は、発光層に近い側からカリウム又はカリウム化合物を含有する層と銀又は銀化合物を含有する層との積層構成になっており、かつ該銀若しくは銀化合物から成る層の層厚が層厚1~10nmの範囲にあることを特徴とする。《Cathode》
The cathode according to the present invention (hereinafter also referred to as “cathode”) has a laminated structure of a layer containing potassium or a potassium compound and a layer containing silver or a silver compound from the side close to the light emitting layer, and The layer made of silver or a silver compound has a layer thickness in the range of 1 to 10 nm.
なお、当該カソードは必要に応じて、カリウム又はカリウム化合物を含有する層、銀又は銀化合物を含有する層の外側にさらに層を設けても良いし、カリウム又はカリウム化合物を含有する層、銀又は銀化合物を含有する層は複数層から構成されていても良い。If necessary, the cathode may be further provided outside the layer containing potassium or potassium compound, the layer containing silver or silver compound, the layer containing potassium or potassium compound, silver or The layer containing a silver compound may be composed of a plurality of layers.
《カリウム又はカリウム化合物がドープされた層》
本発明に係るカリウム又はカリウム化合物が含有された層は、蒸着法で成膜することが好ましい。本発明に係るカリウム化合物の例としては、塩化カリウムやフッ化カリウムなどのハロゲン化カリウムや炭酸カリウムなどのカリウム塩が挙げられる。本発明に係るカリウム化合物としてはフッ化カリウムが好ましい。<< Layer doped with potassium or potassium compound >>
The layer containing potassium or a potassium compound according to the present invention is preferably formed by a vapor deposition method. Examples of the potassium compound according to the present invention include potassium halides such as potassium chloride and potassium fluoride, and potassium salts such as potassium carbonate. As the potassium compound according to the present invention, potassium fluoride is preferred.
本発明に係るカリウム又はカリウム化合物を含有する層は、カリウム又はカリウム化合物と電子輸送性材料とを共蒸着して形成することが好ましい。The layer containing potassium or potassium compound according to the present invention is preferably formed by co-evaporation of potassium or potassium compound and an electron transporting material.
本発明に係る電子輸送性材料として好ましい材料は、後述する一般式(1)~(3)で表される化合物である。Preferred materials for the electron transporting material according to the present invention are compounds represented by the following general formulas (1) to (3).
本発明に係るカリウム又はカリウム化合物の含有量は、カリウム又はカリウム化合物が含有された層の総質量に対して1~50質量%の範囲内にあることが好ましい。当該カリウム又はカリウム化合物の含有量のより好ましい範囲は、5~20%である。The content of potassium or potassium compound according to the present invention is preferably in the range of 1 to 50% by mass relative to the total mass of the layer containing potassium or potassium compound. A more preferable range of the content of the potassium or potassium compound is 5 to 20%.
《銀又は銀化合物を含有する層》
本発明に係る銀又は銀化合物を含有する層は、蒸着法で成膜することが好ましい。また、当該銀又は銀化合物を含有する層層は、層厚が1~10nmの範囲内にあることを特徴とする。<< Layer containing silver or silver compound >>
The layer containing silver or a silver compound according to the present invention is preferably formed by vapor deposition. The layer containing the silver or silver compound has a layer thickness in the range of 1 to 10 nm.
層厚が10nmより厚いと、銀又は銀化合物を含有する層の吸収が多くなり、素子の透過率が下がるため望ましくない。また、層厚が1nmより薄いと、当該層の導電性が不足し、電圧が増加するため望ましくない。If the layer thickness is greater than 10 nm, the absorption of the layer containing silver or a silver compound increases, which is not desirable because the transmittance of the device decreases. On the other hand, if the layer thickness is less than 1 nm, the conductivity of the layer is insufficient and the voltage increases, which is not desirable.
本発明に係る銀又は銀化合物を含有する層層は、必要に応じて、他の金属元素を共蒸着しても良い。他の金属元素を共蒸着することによって、銀又は銀化合物を含有する層の形状を制御でき、共蒸着しない場合に比べて、より薄い層厚にしても導電性を維持でき、結果として透過率を向上させることが可能になる。The layer containing silver or a silver compound according to the present invention may be co-evaporated with other metal elements as necessary. By co-evaporating other metal elements, the shape of the layer containing silver or silver compound can be controlled, and the conductivity can be maintained even with a thinner layer thickness compared to the case without co-evaporation. It becomes possible to improve.
銀と共蒸着する金属元素としては、特に限定はないが、マグネシウムやインジウムや銅など蒸着温度が1000℃以下である金属元素が好ましい。The metal element co-deposited with silver is not particularly limited, but a metal element having a deposition temperature of 1000 ° C. or less, such as magnesium, indium, or copper, is preferable.
《一般式(1)で表される化合物》
本発明においては、前記電子輸送性化合物が、下記一般式(1)で表される化合物であることが好ましい。
一般式(1):(Ar1)n1-Y1
〔式中、n1は、1以上の整数を表す。Y1は、n1が1の場合は置換基を表し、n1が2以上の場合は、単なる結合手又はn1価の連結基を表す。Ar1は、下記一般式(A)で表される基を表し、n1が2以上の場合、複数のAr1は同一でも異なっていてもよい。ただし、前記一般式(1)で表される化合物は、分子内に3環以上の環が縮合してなる縮合芳香族複素環を少なくとも二つ有する。〕<< Compound Represented by Formula (1) >>
In the present invention, the electron transporting compound is preferably a compound represented by the following general formula (1).
Formula (1): (Ar1) n1-Y1
[Wherein n1 represents an integer of 1 or more. Y1 represents a substituent when n1 is 1, and represents a simple bond or an n1-valent linking group when n1 is 2 or more. Ar1 represents a group represented by the following general formula (A). When n1 is 2 or more, a plurality of Ar1s may be the same or different. However, the compound represented by the general formula (1) has at least two condensed aromatic heterocycles in which three or more rings are condensed in the molecule. ]
〔式中、Xは、-N(R)-、-O-、-S-又はSi(R)(R’)-を表す。E1~E8は、-C(R1)=又はN=を表す。R、R’及びR1は、各々独立に、水素原子、置換基又はY1との連結部位を表す。記号*は、Y1との連結部位を表す。Y2は、単なる結合手又は2価の連結基を表す。Y3及びY4は、各々、5員又は6員の芳香族環から導出される基を表し、少なくとも一方は環構成原子として窒素原子を含む芳香族複素環から導出される基を表す。n2は、1~4の整数を表す。〕
一般式(1)において、Y1で表される置換基の例としては、アルキル基(例えば、メチル基、エチル基、プロピル基、イソプロピル基、tert-ブチル基、ペンチル基、ヘキシル基、オクチル基、ドデシル基、トリデシル基、テトラデシル基、ペンタデシル基等)、シクロアルキル基(例えば、シクロペンチル基、シクロヘキシル基等)、アルケニル基(例えば、ビニル基、アリル基等)、アルキニル基(例えば、エチニル基、プロパルギル基等)、芳香族炭化水素基(芳香族炭素環基、アリール基等ともいい、例えば、フェニル基、p-クロロフェニル基、メシチル基、トリル基、キシリル基、ナフチル基、アントリル基、アズレニル基、アセナフテニル基、フルオレニル基、フェナントリル基、インデニル基、ピレニル基、ビフェニリル基)、芳香族複素環基(例えば、フリル基、チエニル基、ピリジル基、ピリダジニル基、ピリミジニル基、ピラジニル基、トリアジニル基、イミダゾリル基、ピラゾリル基、チアゾリル基、キナゾリニル基、カルバゾリル基、カルボリニル基、ジアザカルバゾリル基(前記カルボリニル基のカルボリン環を構成する任意の炭素原子の一つが窒素原子で置き換わったものを示す)、フタラジニル基等)、複素環基(例えば、ピロリジル基、イミダゾリジル基、モルホリル基、オキサゾリジル基等)、アルコキシ基(例えば、メトキシ基、エトキシ基、プロピルオキシ基、ペンチルオキシ基、ヘキシルオキシ基、オクチルオキシ基、ドデシルオキシ基等)、シクロアルコキシ基(例えば、シクロペンチルオキシ基、シクロヘキシルオキシ基等)、アリールオキシ基(例えば、フェノキシ基、ナフチルオキシ基等)、アルキルチオ基(例えば、メチルチオ基、エチルチオ基、プロピルチオ基、ペンチルチオ基、ヘキシルチオ基、オクチルチオ基、ドデシルチオ基等)、シクロアルキルチオ基(例えば、シクロペンチルチオ基、シクロヘキシルチオ基等)、アリールチオ基(例えば、フェニルチオ基、ナフチルチオ基等)、アルコキシカルボニル基(例えば、メチルオキシカルボニル基、エチルオキシカルボニル基、ブチルオキシカルボニル基、オクチルオキシカルボニル基、ドデシルオキシカルボニル基等)、アリールオキシカルボニル基(例えば、フェニルオキシカルボニル基、ナフチルオキシカルボニル基等)、スルファモイル基(例えば、アミノスルホニル基、メチルアミノスルホニル基、ジメチルアミノスルホニル基、ブチルアミノスルホニル基、ヘキシルアミノスルホニル基、シクロヘキシルアミノスルホニル基、オクチルアミノスルホニル基、ドデシルアミノスルホニル基、フェニルアミノスルホニル基、ナフチルアミノスルホニル基、2-ピリジルアミノスルホニル基等)、アシル基(例えば、アセチル基、エチルカルボニル基、プロピルカルボニル基、ペンチルカルボニル基、シクロヘキシルカルボニル基、オクチルカルボニル基、2-エチルヘキシルカルボニル基、ドデシルカルボニル基、フェニルカルボニル基、ナフチルカルボニル基、ピリジルカルボニル基等)、アシルオキシ基(例えば、アセチルオキシ基、エチルカルボニルオキシ基、ブチルカルボニルオキシ基、オクチルカルボニルオキシ基、ドデシルカルボニルオキシ基、フェニルカルボニルオキシ基等)、アミド基(例えば、メチルカルボニルアミノ基、エチルカルボニルアミノ基、ジメチルカルボニルアミノ基、プロピルカルボニルアミノ基、ペンチルカルボニルアミノ基、シクロヘキシルカルボニルアミノ基、2-エチルヘキシルカルボニルアミノ基、オクチルカルボニルアミノ基、ドデシルカルボニルアミノ基、フェニルカルボニルアミノ基、ナフチルカルボニルアミノ基等)、カルバモイル基(例えば、アミノカルボニル基、メチルアミノカルボニル基、ジメチルアミノカルボニル基、プロピルアミノカルボニル基、ペンチルアミノカルボニル基、シクロヘキシルアミノカルボニル基、オクチルアミノカルボニル基、2-エチルヘキシルアミノカルボニル基、ドデシルアミノカルボニル基、フェニルアミノカルボニル基、ナフチルアミノカルボニル基、2-ピリジルアミノカルボニル基等)、ウレイド基(例えば、メチルウレイド基、エチルウレイド基、ペンチルウレイド基、シクロヘキシルウレイド基、オクチルウレイド基、ドデシルウレイド基、フェニルウレイド基ナフチルウレイド基、2-ピリジルアミノウレイド基等)、スルフィニル基(例えば、メチルスルフィニル基、エチルスルフィニル基、ブチルスルフィニル基、シクロヘキシルスルフィニル基、2-エチルヘキシルスルフィニル基、ドデシルスルフィニル基、フェニルスルフィニル基、ナフチルスルフィニル基、2-ピリジルスルフィニル基等)、アルキルスルホニル基(例えば、メチルスルホニル基、エチルスルホニル基、ブチルスルホニル基、シクロヘキシルスルホニル基、2-エチルヘキシルスルホニル基、ドデシルスルホニル基等)、アリールスルホニル基又はヘテロアリールスルホニル基(例えば、フェニルスルホニル基、ナフチルスルホニル基、2-ピリジルスルホニル基等)、アミノ基(例えば、アミノ基、エチルアミノ基、ジメチルアミノ基、ブチルアミノ基、シクロペンチルアミノ基、2-エチルヘキシルアミノ基、ドデシルアミノ基、アニリノ基、ナフチルアミノ基、2-ピリジルアミノ基、ピペリジル基(ピペリジニル基ともいう)、2,2,6,6-テトラメチルピペリジニル基等)、ハロゲン原子(例えば、フッ素原子、塩素原子、臭素原子等)、フッ化炭化水素基(例えば、フルオロメチル基、トリフルオロメチル基、ペンタフルオロエチル基、ペンタフルオロフェニル基等)、シアノ基、ニトロ基、ヒドロキシ基、メルカプト基、シリル基(例えば、トリメチルシリル基、トリイソプロピルシリル基、トリフェニルシリル基、フェニルジエチルシリル基等)、リン酸エステル基(例えば、ジヘキシルホスホリル基等)、亜リン酸エステル基(例えばジフェニルホスフィニル基等)、ホスホノ基等が挙げられる。[Wherein X represents —N (R) —, —O—, —S— or Si (R) (R ′) —. E1 to E8 each represent —C (R1) ═ or N═. R, R ′ and R1 each independently represent a hydrogen atom, a substituent or a linking site with Y1. The symbol * represents a connecting site with Y1. Y2 represents a simple bond or a divalent linking group. Y3 and Y4 each represent a group derived from a 5-membered or 6-membered aromatic ring, and at least one represents a group derived from an aromatic heterocycle containing a nitrogen atom as a ring-constituting atom. n2 represents an integer of 1 to 4. ]
In the general formula (1), examples of the substituent represented by Y1 include an alkyl group (for example, methyl group, ethyl group, propyl group, isopropyl group, tert-butyl group, pentyl group, hexyl group, octyl group, Dodecyl group, tridecyl group, tetradecyl group, pentadecyl group etc.), cycloalkyl group (eg cyclopentyl group, cyclohexyl group etc.), alkenyl group (eg vinyl group, allyl group etc.), alkynyl group (eg ethynyl group, propargyl etc.) Group), aromatic hydrocarbon group (also called aromatic carbocyclic group, aryl group, etc.), for example, phenyl group, p-chlorophenyl group, mesityl group, tolyl group, xylyl group, naphthyl group, anthryl group, azulenyl group, Acenaphthenyl, fluorenyl, phenanthryl, indenyl, pyrenyl, biphenyl Group), aromatic heterocyclic group (for example, furyl group, thienyl group, pyridyl group, pyridazinyl group, pyrimidinyl group, pyrazinyl group, triazinyl group, imidazolyl group, pyrazolyl group, thiazolyl group, quinazolinyl group, carbazolyl group, carbolinyl group) , A diazacarbazolyl group (indicating that one of the carbon atoms constituting the carboline ring of the carbolinyl group is replaced by a nitrogen atom), a phthalazinyl group, etc.), a heterocyclic group (eg, pyrrolidyl group, imidazolidyl group) , Morpholyl group, oxazolidyl group, etc.), alkoxy group (eg, methoxy group, ethoxy group, propyloxy group, pentyloxy group, hexyloxy group, octyloxy group, dodecyloxy group, etc.), cycloalkoxy group (eg, cyclopentyloxy group) Group, cyclohexyloxy group, etc. , Aryloxy groups (for example, phenoxy group, naphthyloxy group, etc.), alkylthio groups (for example, methylthio group, ethylthio group, propylthio group, pentylthio group, hexylthio group, octylthio group, dodecylthio group, etc.), cycloalkylthio groups (for example, Cyclopentylthio group, cyclohexylthio group, etc.), arylthio group (eg, phenylthio group, naphthylthio group, etc.), alkoxycarbonyl group (eg, methyloxycarbonyl group, ethyloxycarbonyl group, butyloxycarbonyl group, octyloxycarbonyl group, dodecyl) Oxycarbonyl group, etc.), aryloxycarbonyl group (eg, phenyloxycarbonyl group, naphthyloxycarbonyl group, etc.), sulfamoyl group (eg, aminosulfonyl group, methylaminosulfur group) (Honyl group, dimethylaminosulfonyl group, butylaminosulfonyl group, hexylaminosulfonyl group, cyclohexylaminosulfonyl group, octylaminosulfonyl group, dodecylaminosulfonyl group, phenylaminosulfonyl group, naphthylaminosulfonyl group, 2-pyridylaminosulfonyl group, etc.) An acyl group (for example, acetyl group, ethylcarbonyl group, propylcarbonyl group, pentylcarbonyl group, cyclohexylcarbonyl group, octylcarbonyl group, 2-ethylhexylcarbonyl group, dodecylcarbonyl group, phenylcarbonyl group, naphthylcarbonyl group, pyridylcarbonyl group) Etc.), acyloxy group (for example, acetyloxy group, ethylcarbonyloxy group, butylcarbonyloxy group, octylcarbonyloxy group, Silcarbonyloxy group, phenylcarbonyloxy group, etc.), amide group (eg, methylcarbonylamino group, ethylcarbonylamino group, dimethylcarbonylamino group, propylcarbonylamino group, pentylcarbonylamino group, cyclohexylcarbonylamino group, 2-ethylhexyl) Carbonylamino group, octylcarbonylamino group, dodecylcarbonylamino group, phenylcarbonylamino group, naphthylcarbonylamino group, etc.), carbamoyl group (for example, aminocarbonyl group, methylaminocarbonyl group, dimethylaminocarbonyl group, propylaminocarbonyl group, Pentylaminocarbonyl group, cyclohexylaminocarbonyl group, octylaminocarbonyl group, 2-ethylhexylaminocarbonyl group, dodecylamino Carbonyl group, phenylaminocarbonyl group, naphthylaminocarbonyl group, 2-pyridylaminocarbonyl group, etc.), ureido group (eg, methylureido group, ethylureido group, pentylureido group, cyclohexylureido group, octylureido group, dodecylureido group, Phenylureido group naphthylureido group, 2-pyridylaminoureido group, etc.), sulfinyl group (for example, methylsulfinyl group, ethylsulfinyl group, butylsulfinyl group, cyclohexylsulfinyl group, 2-ethylhexylsulfinyl group, dodecylsulfinyl group, phenylsulfinyl group, Naphthylsulfinyl group, 2-pyridylsulfinyl group, etc.), alkylsulfonyl group (for example, methylsulfonyl group, ethylsulfonyl group, butylsulfonyl group) Cyclohexylsulfonyl group, 2-ethylhexylsulfonyl group, dodecylsulfonyl group, etc.), arylsulfonyl group or heteroarylsulfonyl group (eg, phenylsulfonyl group, naphthylsulfonyl group, 2-pyridylsulfonyl group, etc.), amino group (eg, amino Group, ethylamino group, dimethylamino group, butylamino group, cyclopentylamino group, 2-ethylhexylamino group, dodecylamino group, anilino group, naphthylamino group, 2-pyridylamino group, piperidyl group (also called piperidinyl group), 2 , 2,6,6-tetramethylpiperidinyl group, etc.), halogen atom (eg, fluorine atom, chlorine atom, bromine atom, etc.), fluorinated hydrocarbon group (eg, fluoromethyl group, trifluoromethyl group, penta) Fluoroethyl group, pentaf Orophenyl group, etc.), cyano group, nitro group, hydroxy group, mercapto group, silyl group (eg, trimethylsilyl group, triisopropylsilyl group, triphenylsilyl group, phenyldiethylsilyl group, etc.), phosphate ester group (eg, dihexyl) Phosphoryl group, etc.), phosphite group (for example, diphenylphosphinyl group, etc.), phosphono group and the like.
これらの置換基は、上記の置換基によって更に置換されていてもよい。また、これらの置換基は複数が互いに結合して環を形成していてもよい。These substituents may be further substituted with the above substituents. In addition, a plurality of these substituents may be bonded to each other to form a ring.
一般式(1)において、Y1で表されるn1価の連結基としては、具体的には、2価の連結基、3価の連結基、4価の連結基等が挙げられる。Specific examples of the n1-valent linking group represented by Y1 in the general formula (1) include a divalent linking group, a trivalent linking group, and a tetravalent linking group.
一般式(1)において、Y1で表される2価の連結基としては、アルキレン基(例えば、エチレン基、トリメチレン基、テトラメチレン基、プロピレン基、エチルエチレン基、ペンタメチレン基、ヘキサメチレン基、2,2,4-トリメチルヘキサメチレン基、ヘプタメチレン基、オクタメチレン基、ノナメチレン基、デカメチレン基、ウンデカメチレン基、ドデカメチレン基、シクロヘキシレン基(例えば、1,6-シクロヘキサンジイル基等)、シクロペンチレン基(例えば、1,5-シクロペンタンジイル基など)等)、アルケニレン基(例えば、ビニレン基、プロペニレン基、ブテニレン基、ペンテニレン基、1-メチルビニレン基、1-メチルプロペニレン基、2-メチルプロペニレン基、1-メチルペンテニレン基、3-メチルペンテニレン基、1-エチルビニレン基、1-エチルプロペニレン基、1-エチルブテニレン基、3-エチルブテニレン基等)、アルキニレン基(例えば、エチニレン基、1-プロピニレン基、1-ブチニレン基、1-ペンチニレン基、1-ヘキシニレン基、2-ブチニレン基、2-ペンチニレン基、1-メチルエチニレン基、3-メチル-1-プロピニレン基、3-メチル-1-ブチニレン基等)、アリーレン基(例えば、o-フェニレン基、p-フェニレン基、ナフタレンジイル基、アントラセンジイル基、ナフタセンジイル基、ピレンジイル基、ナフチルナフタレンジイル基、ビフェニルジイル基(例えば、[1,1′-ビフェニル]-4,4′-ジイル基、3,3′-ビフェニルジイル基、3,6-ビフェニルジイル基等)、テルフェニルジイル基、クアテルフェニルジイル基、キンクフェニルジイル基、セキシフェニルジイル基、セプチフェニルジイル基、オクチフェニルジイル基、ノビフェニルジイル基、デシフェニルジイル基等)、ヘテロアリーレン基(例えば、カルバゾール環、カルボリン環、ジアザカルバゾール環(モノアザカルボリン環ともいい、カルボリン環を構成する炭素原子のひとつが窒素原子で置き換わった構成の環構成を示す。)、トリアゾール環、ピロール環、ピリジン環、ピラジン環、キノキサリン環、チオフェン環、オキサジアゾール環、ジベンゾフラン環、ジベンゾチオフェン環、インドール環からなる群から導出される2価の基等)、酸素や硫黄などのカルコゲン原子、3環以上の環が縮合してなる縮合芳香族複素環から導出される基等(ここで、3環以上の環が縮合してなる縮合芳香族複素環としては、好ましくはN、O及びSから選択されたヘテロ原子を、縮合環を構成する元素として含有する芳香族複素縮合環であることが好ましく、具体的には、アクリジン環、ベンゾキノリン環、カルバゾール環、フェナジン環、フェナントリジン環、フェナントロリン環、カルボリン環、サイクラジン環、キンドリン環、テペニジン環、キニンドリン環、トリフェノジチアジン環、トリフェノジオキサジン環、フェナントラジン環、アントラジン環、ペリミジン環、ジアザカルバゾール環(カルボリン環を構成する炭素原子の任意の一つが窒素原子で置き換わったものを表す)、フェナントロリン環、ジベンゾフラン環、ジベンゾチオフェン環、ナフトフラン環、ナフトチオフェン環、ベンゾジフラン環、ベンゾジチオフェン環、ナフトジフラン環、ナフトジチオフェン環、アントラフラン環、アントラジフラン環、アントラチオフェン環、アントラジチオフェン環、チアントレン環、フェノキサチイン環、チオファントレン環(ナフトチオフェン環)等)が挙げられる。In the general formula (1), as the divalent linking group represented by Y1, an alkylene group (for example, ethylene group, trimethylene group, tetramethylene group, propylene group, ethylethylene group, pentamethylene group, hexamethylene group, 2,2,4-trimethylhexamethylene group, heptamethylene group, octamethylene group, nonamethylene group, decamethylene group, undecamethylene group, dodecamethylene group, cyclohexylene group (for example, 1,6-cyclohexanediyl group, etc.), Cyclopentylene group (for example, 1,5-cyclopentanediyl group and the like), alkenylene group (for example, vinylene group, propenylene group, butenylene group, pentenylene group, 1-methylvinylene group, 1-methylpropenylene group, 2-methylpropenylene group, 1-methylpentenylene group, 3-methyl Pentenylene group, 1-ethylvinylene group, 1-ethylpropenylene group, 1-ethylbutenylene group, 3-ethylbutenylene group, etc.), alkynylene group (for example, ethynylene group, 1-propynylene group, 1-butynylene group, 1-pentynylene group) 1-hexynylene group, 2-butynylene group, 2-pentynylene group, 1-methylethynylene group, 3-methyl-1-propynylene group, 3-methyl-1-butynylene group, etc.), arylene group (for example, o-phenylene group) P-phenylene group, naphthalenediyl group, anthracenediyl group, naphthacenediyl group, pyrenediyl group, naphthylnaphthalenediyl group, biphenyldiyl group (for example, [1,1′-biphenyl] -4,4′-diyl group, 3, 3'-biphenyldiyl group, 3,6-biphenyldiyl group, etc.), tellurium Phenyldiyl group, quaterphenyldiyl group, kinkphenyldiyl group, sexiphenyldiyl group, septiphenyldiyl group, octiphenyldiyl group, nobiphenyldiyl group, deciphenyldiyl group, etc.), heteroarylene group (for example, carbazole) Ring, carboline ring, diazacarbazole ring (also referred to as monoazacarboline ring, which indicates a ring structure in which one of carbon atoms constituting carboline ring is replaced by nitrogen atom), triazole ring, pyrrole ring, pyridine ring, A divalent group derived from the group consisting of a pyrazine ring, a quinoxaline ring, a thiophene ring, an oxadiazole ring, a dibenzofuran ring, a dibenzothiophene ring, and an indole ring), a chalcogen atom such as oxygen or sulfur, and three or more rings A group derived from a condensed aromatic heterocycle formed by condensation of (Here, the condensed aromatic heterocycle formed by condensation of three or more rings is preferably an aromatic heterocondensation containing a heteroatom selected from N, O and S as an element constituting the condensed ring. Ring, specifically, acridine ring, benzoquinoline ring, carbazole ring, phenazine ring, phenanthridine ring, phenanthroline ring, carboline ring, cyclazine ring, kindrin ring, tepenidine ring, quinindrin ring, triphenodi A thiazine ring, a triphenodioxazine ring, a phenanthrazine ring, an anthrazine ring, a perimidine ring, a diazacarbazole ring (representing any one of the carbon atoms constituting the carboline ring replaced by a nitrogen atom), a phenanthroline ring, Dibenzofuran ring, dibenzothiophene ring, naphthofuran ring, naphthothiophene , Benzodifuran ring, benzodithiophene ring, naphthodifuran ring, naphthodithiophene ring, anthrafuran ring, anthradifuran ring, anthrathiophene ring, anthradithiophene ring, thianthrene ring, phenoxathiin ring, thiophanthrene ring (naphthothiophene ring) Ring) and the like.
一般式(1)において、Y1で表される3価の連結基としては、例えば、エタントリイル基、プロパントリイル基、ブタントリイル基、ペンタントリイル基、ヘキサントリイル基、ヘプタントリイル基、オクタントリイル基、ノナントリイル基、デカントリイル基、ウンデカントリイル基、ドデカントリイル基、シクロヘキサントリイル基、シクロペンタントリイル基、ベンゼントリイル基、ナフタレントリイル基、ピリジントリイル基、カルバゾールトリイル基等が挙げられる。In the general formula (1), examples of the trivalent linking group represented by Y1 include ethanetriyl group, propanetriyl group, butanetriyl group, pentanetriyl group, hexanetriyl group, heptanetriyl group, and octanetriyl. Group, nonanetriyl group, decanetriyl group, undecanetriyl group, dodecanetriyl group, cyclohexanetriyl group, cyclopentanetriyl group, benzenetriyl group, naphthalenetriyl group, pyridinetriyl group, carbazoletriyl group, etc. Can be mentioned.
一般式(1)において、Y1で表される4価の連結基としては、上記の3価の基に更に一つ結合基がついたものであり、例えば、プロパンジイリデン基、1,3-プロパンジイル-2-イリデン基、ブタンジイリデン基、ペンタンジイリデン基、ヘキサンジイリデン基、ヘプタンジイリデン基、オクタンジイリデン基、ノナンジイリデン基、デカンジイリデン基、ウンデカンジイリデン基、ドデカンジイリデン基、シクロヘキサンジイリデン基、シクロペンタンジイリデン基、ベンゼンテトライル基、ナフタレンテトライル基、ピリジンテトライル基、カルバゾールテトライル基等が挙げられる。In the general formula (1), the tetravalent linking group represented by Y1 is a group in which one trivalent group is further added to the above trivalent group. For example, a propanediylidene group, 1,3- Propanadyl-2-ylidene group, butanediylidene group, pentanediylidene group, hexanediylidene group, heptanediylidene group, octanediylidene group, nonanediylidene group, decandiylidene group, undecandiylidene group, dodecandiylidene group, cyclohexanediylidene group Group, cyclopentanediylidene group, benzenetetrayl group, naphthalenetetrayl group, pyridinetetrayl group, carbazoletetrayl group and the like.
なお、上記の2価の連結基、3価の連結基、4価の連結基は、各々更に、一般式(1)において、Y1で表される置換基を有していても良い。Note that each of the divalent linking group, the trivalent linking group, and the tetravalent linking group may further have a substituent represented by Y1 in the general formula (1).
一般式(1)で表される化合物の好ましい態様としては、Y1が3環以上の環が縮合してなる縮合芳香族複素環から導出される基を表すことが好ましく、該3環以上の環が縮合してなる縮合芳香族複素環としては、ジベンゾフラン環又はジベンゾチオフェン環が好ましい。また、n1が2以上であることが好ましい。As a preferred embodiment of the compound represented by the general formula (1), Y1 preferably represents a group derived from a condensed aromatic heterocyclic ring formed by condensation of three or more rings, and the three or more rings. As the condensed aromatic heterocyclic ring formed by condensing, a dibenzofuran ring or a dibenzothiophene ring is preferable. Further, n1 is preferably 2 or more.
さらに、一般式(1)で表される化合物は、分子内に上記の3環以上の環が縮合してなる縮合芳香族複素環を少なくとも二つ有する。Furthermore, the compound represented by the general formula (1) has at least two condensed aromatic heterocycles formed by condensation of three or more rings in the molecule.
また、Y1がn1価の連結基を表す場合、一般式(1)で表される化合物の三重項励起エネルギーを高く保つために、Y1は非共役であることが好ましく、更にTg(ガラス転移点、ガラス転移温度ともいう)を向上させる点から、芳香環(芳香族炭化水素環+芳香族複素環)で構成されていることが好ましい。When Y1 represents an n1-valent linking group, Y1 is preferably non-conjugated in order to keep the triplet excitation energy of the compound represented by the general formula (1) high, and further Tg (glass transition point). From the point of improving the glass transition temperature, it is preferably composed of an aromatic ring (aromatic hydrocarbon ring + aromatic heterocycle).
ここで、非共役とは、連結基が単結合(一重結合ともいう)と二重結合の繰り返しによって表記できないか、又は連結基を構成する芳香環同士の共役が立体的に切断されている場合を意味する。Here, the term “non-conjugated” means that the linking group cannot be expressed by repeating a single bond (also referred to as a single bond) and a double bond, or the conjugate of aromatic rings constituting the linking group is sterically cleaved. Means.
(一般式(A)で表される基)
一般式(1)において、Ar1は、上記一般式(A)で表される基を表す。(Group represented by general formula (A))
In the general formula (1), Ar1 represents a group represented by the general formula (A).
一般式(A)のXで表される-N(R)-又はSi(R)(R’)-において、更に、E1~E8で表される-C(R1)=において、R、R’及びR1で各々表される置換基は、一般式(1)において、Y1で表される置換基と同義である。In —N (R) — or Si (R) (R ′) — represented by X in the general formula (A), R, R ′ is further substituted in —C (R1) = represented by E1 to E8. And the substituent represented by R1 has the same meaning as the substituent represented by Y1 in the general formula (1).
一般式(A)において、Y2で表される2価の連結基としては、一般式(1)において、Y1で表される2価の連結基と同義である。In the general formula (A), the divalent linking group represented by Y2 has the same meaning as the divalent linking group represented by Y1 in the general formula (1).
一般式(A)において、Y3及びY4で各々表される5員又は6員の芳香族環から導出される基の形成に用いられる5員又は6員の芳香族環としては、ベンゼン環、オキサゾール環、チオフェン環、フラン環、ピロール環、ピリジン環、ピリダジン環、ピリミジン環、ピラジン環、ジアジン環、トリアジン環、イミダゾール環、イソオキサゾール環、ピラゾール環、トリアゾール環等が挙げられる。In the general formula (A), a 5-membered or 6-membered aromatic ring used for forming a group derived from a 5-membered or 6-membered aromatic ring represented by Y3 and Y4, respectively, includes a benzene ring, oxazole Examples include a ring, a thiophene ring, a furan ring, a pyrrole ring, a pyridine ring, a pyridazine ring, a pyrimidine ring, a pyrazine ring, a diazine ring, a triazine ring, an imidazole ring, an isoxazole ring, a pyrazole ring, and a triazole ring.
さらに、Y3及びY4で各々表される5員又は6員の芳香族環から導出される基の少なくとも一方は、環構成原子として窒素原子を含む芳香族複素環から導出される基を表すが、該環構成原子として窒素原子を含む芳香族複素環としては、オキサゾール環、ピロール環、ピリジン環、ピリダジン環、ピリミジン環、ピラジン環、ジアジン環、トリアジン環、イミダゾール環、イソオキサゾール環、ピラゾール環、トリアゾール環等が挙げられる。Furthermore, at least one of the groups derived from a 5-membered or 6-membered aromatic ring represented by Y3 and Y4 represents a group derived from an aromatic heterocycle containing a nitrogen atom as a ring-constituting atom, Examples of the aromatic heterocycle containing a nitrogen atom as the ring atom include an oxazole ring, a pyrrole ring, a pyridine ring, a pyridazine ring, a pyrimidine ring, a pyrazine ring, a diazine ring, a triazine ring, an imidazole ring, an isoxazole ring, a pyrazole ring, Examples include a triazole ring.
(Y3で表される基の好ましい態様)
一般式(A)において、Y3で表される基としては、上記6員の芳香族環から導出される基であることが好ましく、更に好ましくは、ベンゼン環から導出される基である。(Preferred embodiment of the group represented by Y3)
In the general formula (A), the group represented by Y3 is preferably a group derived from the above 6-membered aromatic ring, and more preferably a group derived from a benzene ring.
(Y4で表される基の好ましい態様)
一般式(A)において、Y4で表される基としては、上記6員の芳香族環から導出される基であることが好ましく、更に好ましくは、窒素原子を環構成原子と含む芳香族複素環から導出される基であり、特に好ましくは、Y4がピリジン環から導出される基であることである。(Preferred embodiment of the group represented by Y4)
In general formula (A), the group represented by Y4 is preferably a group derived from the 6-membered aromatic ring, more preferably an aromatic heterocycle containing a nitrogen atom as a ring constituent atom. Particularly preferably, Y4 is a group derived from a pyridine ring.
(一般式(A)で表される基の好ましい態様)
一般式(A)で表される基の好ましい態様としては、下記一般式(A-1)、(A-2)、(A-3)又は(A-4)のいずれかで表される基が挙げられる。(Preferred embodiment of the group represented by the general formula (A))
As a preferred embodiment of the group represented by the general formula (A), a group represented by any of the following general formulas (A-1), (A-2), (A-3) or (A-4) Is mentioned.
式中、Xは、-N(R)-、-O-、-S-又はSi(R)(R’)-を表す。E1~E8は、-C(R1)=又はN=を表す。R、R’及びR1は、水素原子、置換基又はY1との連結部位を表す。Y2は、単なる結合手又は2価の連結基を表す。E11~E20は、-C(R2)=又はN=を表し、少なくとも一つは-N=を表す。R2は、水素原子、置換基又は連結部位を表す。ただし、E11、E12の少なくとも一つは、-C(R2)=を表し、R2は、連結部位を表す。n2は、1~4の整数を表す。*は、上記一般式(1)のY1との連結部位を表す。In the formula, X represents —N (R) —, —O—, —S— or Si (R) (R ′) —. E1 to E8 each represent —C (R1) ═ or N═. R, R ', and R1 represent a hydrogen atom, a substituent, or a connection part with Y1. Y2 represents a simple bond or a divalent linking group. E11 to E20 each represent —C (R2) ═ or N═, and at least one represents —N═. R2 represents a hydrogen atom, a substituent or a linking site. However, at least one of E11 and E12 represents —C (R2) ═, and R2 represents a linking site. n2 represents an integer of 1 to 4. * Represents a linking site with Y1 in the general formula (1).
式中、Xは、-N(R)-、-O-、-S-又はSi(R)(R’)-を表す。E1~E8は、-C(R1)=又はN=を表す。R、R’及びR1は、水素原子、置換基又はY1との連結部位を表す。Y2は、単なる結合手又は2価の連結基を表す。E21~E25は、-C(R2)=又はN=を表し、E26~E30は、-C(R2)=、-N=、-O-、-S-又はSi(R3)(R4)-を表し、E21~E30の少なくとも一つは-N=を表す。R2は、水素原子、置換基又は連結部位を表し、R3及びR4は、水素原子又は置換基を表す。ただし、E21又はE22の少なくとも一つは-C(R2)=を表し、R2は連結部位を表す。n2は、1~4の整数を表す。*は、上記一般式(1)のY1との連結部位を表す。In the formula, X represents —N (R) —, —O—, —S— or Si (R) (R ′) —. E1 to E8 each represent —C (R1) ═ or N═. R, R ', and R1 represent a hydrogen atom, a substituent, or a connection part with Y1. Y2 represents a simple bond or a divalent linking group. E21 to E25 represent -C (R2) = or N =, and E26 to E30 represent -C (R2) =, -N =, -O-, -S- or Si (R3) (R4)-. And at least one of E21 to E30 represents -N =. R2 represents a hydrogen atom, a substituent or a linking site, and R3 and R4 represent a hydrogen atom or a substituent. However, at least one of E21 or E22 represents —C (R2) ═, and R2 represents a linking site. n2 represents an integer of 1 to 4. * Represents a linking site with Y1 in the general formula (1).
式中、Xは-N(R)-、-O-、-S-又はSi(R)(R’)-を表す。E1~E8は、-C(R1)=又はN=を表す。R、R’及びR1は、水素原子、置換基又はY1との連結部位を表す。Y2は、単なる結合手又は2価の連結基を表す。E31~E35は、-C(R2)=、-N=、-O-、-S-又はSi(R3)(R4)-を表し、E36~E40は-C(R2)=又はN=を表し、E31~E40の少なくとも一つは-N=を表す。R2は、水素原子、置換基又は連結部位を表し、R3及びR4は、水素原子又は置換基を表す。ただし、E32又はE33の少なくとも一つは-C(R2)=で表され、R2は連結部位を表す。n2は、1~4の整数を表す。*は、上記一般式(1)のY1との連結部位を表す。In the formula, X represents —N (R) —, —O—, —S— or Si (R) (R ′) —. E1 to E8 each represent —C (R1) ═ or N═. R, R ', and R1 represent a hydrogen atom, a substituent, or a connection part with Y1. Y2 represents a simple bond or a divalent linking group. E31 to E35 represent -C (R2) =, -N =, -O-, -S- or Si (R3) (R4)-, and E36 to E40 represent -C (R2) = or N =. , At least one of E31 to E40 represents -N =. R2 represents a hydrogen atom, a substituent or a linking site, and R3 and R4 represent a hydrogen atom or a substituent. However, at least one of E32 or E33 is represented by —C (R2) ═, and R2 represents a linking site. n2 represents an integer of 1 to 4. * Represents a linking site with Y1 in the general formula (1).
式中、Xは-N(R)-、-O-、-S-又はSi(R)(R’)-を表す。E1~E8は、-C(R1)=又はN=を表す。R、R’及びR1は、水素原子、置換基又はY1との連結部位を表す。Y2は、単なる結合手又は2価の連結基を表す。E41~E50は-C(R2)=、-N=、-O-、-S-又はSi(R3)(R4)-を表し、少なくとも一つは-N=を表す。R2は、水素原子、置換基又は連結部位を表し、R3及びR4は、水素原子又は置換基を表す。ただし、E42又はE43の少なくとも一つは、-C(R2)=で表され、R2は、連結部位を表す。n2は、1~4の整数を表す。*は、上記一般式(1)のY1との連結部位を表す。In the formula, X represents —N (R) —, —O—, —S— or Si (R) (R ′) —. E1 to E8 each represent —C (R1) ═ or N═. R, R ', and R1 represent a hydrogen atom, a substituent, or a connection part with Y1. Y2 represents a simple bond or a divalent linking group. E41 to E50 each represents —C (R2) ═, —N═, —O—, —S— or Si (R3) (R4) —, and at least one of them represents —N═. R2 represents a hydrogen atom, a substituent or a linking site, and R3 and R4 represent a hydrogen atom or a substituent. However, at least one of E42 and E43 is represented by -C (R2) =, and R2 represents a linking site. n2 represents an integer of 1 to 4. * Represents a linking site with Y1 in the general formula (1).
以下、一般式(A-1)~(A-4)のいずれかで表される基について説明する。Hereinafter, the group represented by any one of the general formulas (A-1) to (A-4) will be described.
一般式(A-1)~(A-4)で表される基のいずれかのXで表される-N(R)-又は、Si(R)(R’)-において、更にE1~E8で表される-C(R1)=において、R、R’及びR1で各々表される置換基は、一般式(1)において、Y1で表される置換基と同義である。In any one of the groups represented by the general formulas (A-1) to (A-4), —N (R) — or Si (R) (R ′) — represented by X, E1 to E8 In —C (R1) ═ represented by the general formula (1), the substituent represented by each of R, R ′, and R1 has the same meaning as the substituent represented by Y1.
一般式(A-1)~(A-4)で表される基のいずれかにおいて、Y2で表される2価の連結基としては、一般式(1)において、Y1で表される2価の連結基と同義である。In any one of the groups represented by the general formulas (A-1) to (A-4), the divalent linking group represented by Y2 is a divalent group represented by Y1 in the general formula (1). It is synonymous with the linking group.
一般式(A-1)のE11~E20、一般式(A-2)のE21~E30、一般式(A-3)のE31~E40、一般式(A-4)のE41~E50で、各々表される-C(R2)=のR2で表される置換基は、一般式(1)においてY1で表される置換基と同義である。E11 to E20 in the general formula (A-1), E21 to E30 in the general formula (A-2), E31 to E40 in the general formula (A-3), E41 to E50 in the general formula (A-4), respectively. The substituent represented by R2 in —C (R2) ═ is synonymous with the substituent represented by Y1 in the general formula (1).
次に、本発明に係る一般式(1)で表される化合物の更に好ましい態様について説明する。Next, a further preferred embodiment of the compound represented by the general formula (1) according to the present invention will be described.
《一般式(2)で表される化合物》
本発明においては、上記一般式(1)で表される化合物の中でも、下記一般式(2)で表される化合物が好ましい。<< Compound Represented by Formula (2) >>
In the present invention, among the compounds represented by the general formula (1), a compound represented by the following general formula (2) is preferable.
〔式中、Y5は、アリーレン基、ヘテロアリーレン基又はそれらの組み合わせからなる2価の連結基を表す。E51~E66は、各々、-C(R3)=又はN=を表し、R3は水素原子又は置換基を表す。Y6~Y9は、各々芳香族炭化水素環から導出される基又は芳香族複素環から導出される基を表し、Y6又はY7の少なくとも一方、及びY8又はY9の少なくとも一方は、N原子を含む芳香族複素環から導出される基を表す。n3及びn4は、0~4の整数を表すが、n3+n4は、2以上の整数である。〕
一般式(2)において、Y5で表されるアリーレン基、ヘテロアリーレン基は、一般式(1)において、Y1で表される2価の連結基の一例として記載されているアリーレン基、ヘテロアリーレン基と各々同義である。[In formula, Y5 represents the bivalent coupling group which consists of an arylene group, heteroarylene group, or those combination. E51 to E66 each represent —C (R3) ═ or N═, and R3 represents a hydrogen atom or a substituent. Y6 to Y9 each represents a group derived from an aromatic hydrocarbon ring or a group derived from an aromatic heterocycle, and at least one of Y6 or Y7 and at least one of Y8 or Y9 is an aromatic group containing an N atom. Represents a group derived from a group heterocycle. n3 and n4 represent an integer of 0 to 4, and n3 + n4 is an integer of 2 or more. ]
In general formula (2), the arylene group and heteroarylene group represented by Y5 are the arylene group and heteroarylene group described as an example of the divalent linking group represented by Y1 in general formula (1). Are synonymous with each other.
Y5で表されるアリーレン基、ヘテロアリーレン基又はそれらの組み合わせからなる2価の連結基の好ましい態様としては、ヘテロアリーレン基の中でも、3環以上の環が縮合してなる縮合芳香族複素環から導出される基を含むことが好ましく、また、該3環以上の環が縮合してなる縮合芳香族複素環から導出される基としては、ジベンゾフラン環から導出される基又はジベンゾチオフェン環から導出される基が好ましい。As a preferred embodiment of the divalent linking group consisting of an arylene group, a heteroarylene group or a combination thereof represented by Y5, among the heteroarylene groups, a condensed aromatic heterocycle formed by condensation of three or more rings. A group derived from a condensed aromatic heterocycle formed by condensation of three or more rings is preferably included, and a group derived from a dibenzofuran ring or a dibenzothiophene ring is preferable. Are preferred.
一般式(2)において、E51~E66で各々表される-C(R3)=のR3で表される置換基は、一般式(1)において、Y1で表される置換基と同義である。In the general formula (2), the substituent represented by R3 of —C (R3) = represented by E51 to E66 has the same meaning as the substituent represented by Y1 in the general formula (1).
一般式(2)において、E51~E66で各々表される基としては、E51~E58のうちの6つ以上及びE59~E66のうちの6つ以上が、各々-C(R3)=で表されることが好ましい。In the general formula (2), as groups represented by E51 to E66, 6 or more of E51 to E58 and 6 or more of E59 to E66 are each represented by —C (R3) ═. It is preferable.
一般式(2)において、Y6~Y9は、各々芳香族炭化水素環から導出される基の形成に用いられる芳香族炭化水素環としては、ベンゼン環、ビフェニル環、ナフタレン環、アズレン環、アントラセン環、フェナントレン環、ピレン環、クリセン環、ナフタセン環、トリフェニレン環、o-テルフェニル環、m-テルフェニル環、p-テルフェニル環、アセナフテン環、コロネン環、フルオレン環、フルオラントレン環、ナフタセン環、ペンタセン環、ペリレン環、ペンタフェン環、ピセン環、ピレン環、ピラントレン環、アンスラアントレン環等が挙げられる。In the general formula (2), Y6 to Y9 are each an aromatic hydrocarbon ring used for forming a group derived from an aromatic hydrocarbon ring, such as a benzene ring, a biphenyl ring, a naphthalene ring, an azulene ring, an anthracene ring Phenanthrene ring, pyrene ring, chrysene ring, naphthacene ring, triphenylene ring, o-terphenyl ring, m-terphenyl ring, p-terphenyl ring, acenaphthene ring, coronene ring, fluorene ring, fluoranthrene ring, naphthacene ring , Pentacene ring, perylene ring, pentaphen ring, picene ring, pyrene ring, pyranthrene ring, anthraanthrene ring, and the like.
さらに、前記芳香族炭化水素環は、一般式(1)において、Y1で表される置換基を有してもよい。Furthermore, the aromatic hydrocarbon ring may have a substituent represented by Y1 in the general formula (1).
一般式(2)において、Y6~Y9は、各々芳香族複素環から導出される基の形成に用いられる芳香族複素環としては、例えば、フラン環、チオフェン環、オキサゾール環、ピロール環、ピリジン環、ピリダジン環、ピリミジン環、ピラジン環、トリアジン環、ベンゾイミダゾール環、オキサジアゾール環、トリアゾール環、イミダゾール環、ピラゾール環、チアゾール環、インドール環、インダゾール環、ベンゾイミダゾール環、ベンゾチアゾール環、ベンゾオキサゾール環、キノキサリン環、キナゾリン環、シンノリン環、キノリン環、イソキノリン環、フタラジン環、ナフチリジン環、カルバゾール環、カルボリン環、ジアザカルバゾール環(カルボリン環を構成する炭素原子の一つが更に窒素原子で置換されている環を示す)等が挙げられる。In the general formula (2), Y6 to Y9 are each an aromatic heterocycle used for forming a group derived from an aromatic heterocycle, such as a furan ring, a thiophene ring, an oxazole ring, a pyrrole ring, or a pyridine ring. , Pyridazine ring, pyrimidine ring, pyrazine ring, triazine ring, benzimidazole ring, oxadiazole ring, triazole ring, imidazole ring, pyrazole ring, thiazole ring, indole ring, indazole ring, benzimidazole ring, benzothiazole ring, benzoxazole Ring, quinoxaline ring, quinazoline ring, cinnoline ring, quinoline ring, isoquinoline ring, phthalazine ring, naphthyridine ring, carbazole ring, carboline ring, diazacarbazole ring (one of the carbon atoms constituting the carboline ring is further substituted with a nitrogen atom) Shows the ring that is) It is below.
さらに、前記芳香族炭化水素環は、一般式(1)において、Y1で表される置換基を有してもよい。Furthermore, the aromatic hydrocarbon ring may have a substituent represented by Y1 in the general formula (1).
一般式(2)において、Y6又はY7の少なくとも一方、及びY8又はY9の少なくとも一方で表されるN原子を含む芳香族複素環から導出される基の形成に用いられるN原子を含む芳香族複素環としては、例えば、例えば、オキサゾール環、ピロール環、ピリジン環、ピリダジン環、ピリミジン環、ピラジン環、トリアジン環、ベンゾイミダゾール環、オキサジアゾール環、トリアゾール環、イミダゾール環、ピラゾール環、チアゾール環、インドール環、インダゾール環、ベンゾイミダゾール環、ベンゾチアゾール環、ベンゾオキサゾール環、キノキサリン環、キナゾリン環、シンノリン環、キノリン環、イソキノリン環、フタラジン環、ナフチリジン環、カルバゾール環、カルボリン環、ジアザカルバゾール環(カルボリン環を構成する炭素原子の一つが更に窒素原子で置換されている環を示す)等が挙げられる。In the general formula (2), an aromatic heterocycle containing an N atom used for forming a group derived from an aromatic heterocycle containing an N atom represented by at least one of Y6 or Y7 and at least one of Y8 or Y9. Examples of the ring include, for example, oxazole ring, pyrrole ring, pyridine ring, pyridazine ring, pyrimidine ring, pyrazine ring, triazine ring, benzimidazole ring, oxadiazole ring, triazole ring, imidazole ring, pyrazole ring, thiazole ring, Indole ring, indazole ring, benzimidazole ring, benzothiazole ring, benzoxazole ring, quinoxaline ring, quinazoline ring, cinnoline ring, quinoline ring, isoquinoline ring, phthalazine ring, naphthyridine ring, carbazole ring, carboline ring, diazacarbazole ring ( Construct carboline ring That shows a ring in which one carbon atom is further substituted with a nitrogen atom), and the like.
一般式(2)において、Y7、Y9で表される基としては、各々ピリジン環から導出される基を表すことが好ましい。In general formula (2), the groups represented by Y7 and Y9 each preferably represent a group derived from a pyridine ring.
また、一般式(2)において、Y6及びY8で表される基としては、各々ベンゼン環から導出される基を表すことが好ましい。In the general formula (2), the groups represented by Y6 and Y8 each preferably represent a group derived from a benzene ring.
さらに、本発明に係る一般式(2)で表される化合物の中でも更に好ましい態様について説明する。Furthermore, among the compounds represented by the general formula (2) according to the present invention, a more preferred embodiment will be described.
《一般式(3)で表される化合物》
本発明においては、上記一般式(2)で表される化合物の中でも、更に下記一般式(3)で表される化合物が好ましい。<< Compound Represented by Formula (3) >>
In the present invention, among the compounds represented by the general formula (2), a compound represented by the following general formula (3) is preferred.
〔式中、Y5は、アリーレン基、ヘテロアリーレン基又はそれらの組み合わせからなる2価の連結基を表す。E51~E66及びE71~E88は、各々、-C(R3)=又はN=を表し、R3は水素原子又は置換基を表す。ただし、E71~E79の少なくとも一つ及びE80~E88の少なくとも一つは、-N=を表す。n3及びn4は、0~4の整数を表すが、n3+n4は2以上の整数である。〕
一般式(3)において、Y5で表されるアリーレン基、ヘテロアリーレン基は、一般式(1)において、Y1で表される2価の連結基の一例として記載されているアリーレン基、ヘテロアリーレン基と各々同義である。[In formula, Y5 represents the bivalent coupling group which consists of an arylene group, heteroarylene group, or those combination. E51 to E66 and E71 to E88 each represent —C (R3) ═ or N═, and R3 represents a hydrogen atom or a substituent. However, at least one of E71 to E79 and at least one of E80 to E88 represents -N =. n3 and n4 represent an integer of 0 to 4, and n3 + n4 is an integer of 2 or more. ]
In general formula (3), the arylene group and heteroarylene group represented by Y5 are the arylene group and heteroarylene group described as an example of the divalent linking group represented by Y1 in general formula (1). Are synonymous with each other.
Y5で表されるアリーレン基、ヘテロアリーレン基又はそれらの組み合わせからなる2価の連結基の好ましい態様としては、ヘテロアリーレン基の中でも、3環以上の環が縮合してなる縮合芳香族複素環から導出される基を含むことが好ましく、また、該3環以上の環が縮合してなる縮合芳香族複素環から導出される基としては、ジベンゾフラン環から導出される基又はジベンゾチオフェン環から導出される基が好ましい。As a preferred embodiment of the divalent linking group consisting of an arylene group, a heteroarylene group or a combination thereof represented by Y5, among the heteroarylene groups, a condensed aromatic heterocycle formed by condensation of three or more rings. A group derived from a condensed aromatic heterocycle formed by condensation of three or more rings is preferably included, and a group derived from a dibenzofuran ring or a dibenzothiophene ring is preferable. Are preferred.
一般式(3)において、E51~E66、E71~E78で各々表される-C(R3)=のR3で表される置換基は、一般式(1)において、Y1で表される置換基と同義である。In the general formula (3), the substituent represented by R3 of —C (R3) ═ represented by E51 to E66 and E71 to E78, respectively, is the substituent represented by Y1 in the general formula (1). It is synonymous.
一般式(3)において、E51~E58のうちの6つ以上及びE59~E66のうちの6つ以上が、各々-C(R3)=で表されることが好ましい。In the general formula (3), it is preferable that 6 or more of E51 to E58 and 6 or more of E59 to E66 are each represented by -C (R3) =.
一般式(3)において、E75~E79の少なくとも一つ及びE84~E88の少なくとも一つが-N=を表すことが好ましい。In the general formula (3), it is preferable that at least one of E75 to E79 and at least one of E84 to E88 represent -N =.
さらには、一般式(3)において、E75~E79のいずれか一つ及びE84~E88のいずれか一つが-N=を表すことが好ましい。Furthermore, in the general formula (3), any one of E75 to E79 and any one of E84 to E88 preferably represents -N =.
また、一般式(3)において、E71~E74及びE80~E83が、各々-C(R3)=で表されることが好ましい態様として挙げられる。In the general formula (3), it is preferable that E71 to E74 and E80 to E83 are each represented by -C (R3) =.
さらに、一般式(2)又は一般式(3)で表される化合物において、E53が-C(R3)=で表され、且つ、R3が連結部位を表すことが好ましく、更にE61も同時に-C(R3)=で表され、且つ、R3が連結部位を表すことが好ましい。Further, in the compound represented by the general formula (2) or the general formula (3), it is preferable that E53 is represented by —C (R3) = and R3 represents a linking site, and E61 is also —C (R3) = and it is preferable that R3 represents a linking site.
さらに、E75及びE84が-N=で表されることが好ましく、E71~E74及びE80~E83が、各々-C(R3)=で表されることが好ましい。Furthermore, E75 and E84 are preferably represented by -N =, and E71 to E74 and E80 to E83 are each preferably represented by -C (R3) =.
以下、本発明に係る一般式(1)、(2)又は(3)で表される化合物の具体例を示すが、本発明はこれらに限定されない。Hereinafter, specific examples of the compound represented by the general formula (1), (2) or (3) according to the present invention will be shown, but the present invention is not limited thereto.
以下に代表的な化合物の合成例を示すが、本発明はこれらに限定されない。Examples of synthesis of typical compounds are shown below, but the present invention is not limited thereto.
《化合物5の合成例》<< Synthesis Example of
工程1:(中間体1の合成)
窒素雰囲気下、3,6-ジブロモジベンゾフラン(1.0モル)、カルバゾール(2.0モル)、銅粉末(3.0モル)、炭酸カリウム(1.5モル)をDMAc(ジメチルアセトアミド)300ml中に混合し、130℃で24時間撹拌した。反応液を室温まで冷却後、トルエン1Lを加え、蒸留水で3回洗浄し、有機層を減圧下に溶媒を留去し、残渣をシリカゲルフラッシュクロマトグラフィー(n-ヘプタン:トルエン=4:1~3:1)にて精製し、中間体1を収率85%で得た。Step 1: (Synthesis of Intermediate 1)
Under a nitrogen atmosphere, 3,6-dibromodibenzofuran (1.0 mol), carbazole (2.0 mol), copper powder (3.0 mol) and potassium carbonate (1.5 mol) in 300 ml of DMAc (dimethylacetamide) And stirred at 130 ° C. for 24 hours. After cooling the reaction solution to room temperature, 1 L of toluene was added, washed with distilled water three times, the organic layer was evaporated under reduced pressure, and the residue was subjected to silica gel flash chromatography (n-heptane: toluene = 4: 1˜ 3: 1) to obtain
工程2:(中間体2の合成)
室温、大気下で中間体1(0.5モル)をDMF100mlに溶解し、NBS(2.0モル)を加え、一晩室温で撹拌した。得られた沈殿を濾過し、メタノールで洗浄し、中間体2を収率92%で得た。Step 2: (Synthesis of Intermediate 2)
Intermediate 1 (0.5 mol) was dissolved in 100 ml of DMF at room temperature under air, NBS (2.0 mol) was added, and the mixture was stirred overnight at room temperature. The resulting precipitate was filtered and washed with methanol, yielding intermediate 2 in 92% yield.
工程3:(化合物5の合成)
窒素雰囲気下、中間体2(0.25モル)、2-フェニルピリジン(1.0モル)、ルテニウム錯体[(η6-C6H6)RuCl2]2(0.05モル)、トリフェニルホスフィン(0.2モル)、炭酸カリウム(12モル)をNMP(N-メチル-2-ピロリドン)3L中で混合し、140℃で一晩撹拌した。Step 3: (Synthesis of Compound 5)
Under a nitrogen atmosphere, intermediate 2 (0.25 mol), 2-phenylpyridine (1.0 mol), ruthenium complex [(η6 -C6 H6 ) RuCl2 ]2 (0.05 mol), triphenyl Phosphine (0.2 mol) and potassium carbonate (12 mol) were mixed in 3 L of NMP (N-methyl-2-pyrrolidone) and stirred at 140 ° C. overnight.
反応液を室温まで冷却後、ジクロロメタン5Lを加え、反応液を濾過した。濾液は減圧下に溶媒を留去し(800Pa、80℃)、(N-メチル-2-ピロリドン)残渣をシリカゲルフラッシュクロマトグラフィー(CH2Cl2:Et3N=20:1~10:1)にて精製した。After cooling the reaction solution to room temperature, 5 L of dichloromethane was added, and the reaction solution was filtered. In the filtrate, the solvent was distilled off under reduced pressure (800 Pa, 80 ° C.), and the residue (N-methyl-2-pyrrolidone) was subjected to silica gel flash chromatography (CH2 Cl2 : Et3 N = 20: 1 to 10: 1). It refine | purified in.
各フラクションを集めて溶媒を減圧下に留去後、残渣をジクロロメタンに再び溶解し、水で3回洗浄後した。有機相を無水硫酸マグネシウムで乾燥後、溶媒を減圧下に留去して化合物5を収率68%で得た。Each fraction was collected and the solvent was distilled off under reduced pressure. The residue was dissolved again in dichloromethane and washed three times with water. The organic phase was dried over anhydrous magnesium sulfate, and then the solvent was distilled off under reduced pressure to obtain
《補助電極》
本発明の有機EL素子は、透明導電性層上に抵抗を下げる目的で補助電極を設けることができる。補助電極を形成する材料としては、金、白金、銀、銅、アルミ等の抵抗が低い金属が好ましい。補助電極の形成方法としては、蒸着法、スパッタリング法、印刷法、インクジェット法、エアロゾルジェット法などが挙げられる。本発明に係る補助電極の線幅は透明導電性層の開口率の観点から50μm以下であることが好ましく、補助電極の厚さは導電性の観点から、1μm以上であることが好ましい。《Auxiliary electrode》
In the organic EL device of the present invention, an auxiliary electrode can be provided on the transparent conductive layer for the purpose of reducing the resistance. As a material for forming the auxiliary electrode, a metal having low resistance such as gold, platinum, silver, copper, and aluminum is preferable. Examples of the method for forming the auxiliary electrode include a vapor deposition method, a sputtering method, a printing method, an ink jet method, and an aerosol jet method. The line width of the auxiliary electrode according to the present invention is preferably 50 μm or less from the viewpoint of the aperture ratio of the transparent conductive layer, and the thickness of the auxiliary electrode is preferably 1 μm or more from the viewpoint of conductivity.
〔発光層〕
本発明に係る発光層は発光材料としてリン光発光化合物が含有されていることを特徴とする。[Light emitting layer]
The light emitting layer according to the present invention is characterized in that a phosphorescent compound is contained as a light emitting material.
発光層は、電極又は電子輸送層、正孔輸送層から注入されてくる電子及び正孔が再結合して発光する層であり、発光する部分は発光層の層内であっても発光層と隣接層との界面であってもよい。The light-emitting layer is a layer that emits light by recombination of electrons and holes injected from the electrode, the electron transport layer, or the hole transport layer, and the light-emitting portion is the light-emitting layer even in the layer of the light-emitting layer. It may be an interface with an adjacent layer.
発光層としては、含まれる発光材料が発光要件を満たしていれば、その構成には特に制限はない。また、同一の発光スペクトルや発光極大波長を有する層が複数層あってもよい。また、各発光層間には非発光性の中間層を有していることが好ましい。The light emitting layer is not particularly limited in its configuration as long as the light emitting material included satisfies the light emission requirements. Moreover, there may be a plurality of layers having the same emission spectrum and emission maximum wavelength. Moreover, it is preferable to have a non-light emitting intermediate | middle layer between each light emitting layer.
発光層の層厚の総和は1~100nmの範囲にあることが好ましく、更に好ましくは、より低い駆動電圧を得ることができることから1nm以上、30nm以下である。なお、発光層の層厚の総和とは、発光層間に非発光性の中間層が存在する場合には、当該中間層も含む層厚である。The total thickness of the light emitting layers is preferably in the range of 1 to 100 nm, more preferably 1 nm or more and 30 nm or less because a lower driving voltage can be obtained. Note that the sum of the thicknesses of the light emitting layers is a layer thickness including the intermediate layers when a non-light emitting intermediate layer exists between the light emitting layers.
個々の発光層の層厚としては、1~50nmの範囲に調整することが好ましく、更に好ましくは1~20nmの範囲に調整することである。青、緑、赤の各発光層の層厚の関係については、特に制限はない。The layer thickness of each light emitting layer is preferably adjusted to a range of 1 to 50 nm, more preferably adjusted to a range of 1 to 20 nm. There is no particular limitation on the relationship between the thicknesses of the blue, green, and red light emitting layers.
発光層の作製には、後述する発光材料やホスト化合物を、例えば、真空蒸着法、スピンコート法、キャスト法、LB法、インクジェット法等の公知の薄膜形成方法により製膜して形成することができる。For the production of the light-emitting layer, a light-emitting material or a host compound, which will be described later, is formed by forming a film by a known thin film forming method such as a vacuum deposition method, a spin coating method, a casting method, an LB method, or an inkjet method. it can.
各発光層は複数の発光材料を混合してもよく、またリン光発光材料と蛍光発光材料を同一発光層中に混合して用いてもよい。Each light emitting layer may be a mixture of a plurality of light emitting materials, or a phosphorescent light emitting material and a fluorescent light emitting material may be mixed and used in the same light emitting layer.
発光層の構成として、ホスト化合物、発光材料(発光ドーパント化合物ともいう)を含有し、発光材料より発光させることが好ましい。The structure of the light emitting layer preferably contains a host compound and a light emitting material (also referred to as a light emitting dopant compound) and emits light from the light emitting material.
〈ホスト化合物〉
有機EL素子の発光層に含有されるホスト化合物としては、室温(25℃)におけるリン光発光のリン光量子収率が0.1未満の化合物が好ましい。更に好ましくはリン光量子収率が0.01未満である。また、発光層に含有される化合物の中で、その層中での体積比が50%以上であることが好ましい。<Host compound>
As the host compound contained in the light emitting layer of the organic EL device, a compound having a phosphorescence quantum yield of phosphorescence emission at room temperature (25 ° C.) of less than 0.1 is preferable. More preferably, the phosphorescence quantum yield is less than 0.01. Moreover, it is preferable that the volume ratio in the layer is 50% or more among the compounds contained in a light emitting layer.
ホスト化合物としては、公知のホスト化合物を単独で用いてもよく、又は複数種併用して用いてもよい。ホスト化合物を複数種用いることで、電荷の移動を調整することが可能であり、有機EL素子を高効率化することができる。また、後述する発光材料を複数種用いることで、異なる発光を混ぜることが可能となり、これにより任意の発光色を得ることができる。As the host compound, known host compounds may be used alone or in combination of two or more. By using a plurality of types of host compounds, it is possible to adjust the movement of charges, and the organic EL element can be made highly efficient. In addition, by using a plurality of kinds of light emitting materials described later, it is possible to mix different light emission, thereby obtaining an arbitrary light emission color.
用いられるホスト化合物としては、従来公知の低分子化合物でも、繰り返し単位をもつ高分子化合物でもよく、ビニル基やエポキシ基のような重合性基を有する低分子化合物(蒸着重合性発光ホスト)でもいい。The host compound used may be a conventionally known low molecular compound, a high molecular compound having a repeating unit, or a low molecular compound having a polymerizable group such as a vinyl group or an epoxy group (evaporation polymerizable light emitting host). .
公知のホスト化合物としては、正孔輸送能、電子輸送能を有しつつ、発光の長波長化を防ぎ、かつ高Tg(ガラス転移温度)化合物が好ましい。ここでいうガラス転移点(Tg)とは、DSC(Differential Scanning Colorimetry:示差走査熱量法)を用いて、JIS-K-7121に準拠した方法により求められる値である。As the known host compound, a compound having a high Tg (glass transition temperature) that has a hole transporting ability and an electron transporting ability and prevents the emission of light from being long-wavelength is preferable. The glass transition point (Tg) here is a value determined by a method based on JIS-K-7121 using DSC (Differential Scanning Colorimetry).
公知のホスト化合物の具体例としては、以下の文献に記載されている化合物が挙げられる。例えば、特開2001-257076号公報、同2002-308855号公報、同2001-313179号公報、同2002-319491号公報、同2001-357977号公報、同2002-334786号公報、同2002-8860号公報、同2002-334787号公報、同2002-15871号公報、同2002-334788号公報、同2002-43056号公報、同2002-334789号公報、同2002-75645号公報、同2002-338579号公報、同2002-105445号公報、同2002-343568号公報、同2002-141173号公報、同2002-352957号公報、同2002-203683号公報、同2002-363227号公報、同2002-231453号公報、同2003-3165号公報、同2002-234888号公報、同2003-27048号公報、同2002-255934号公報、同2002-260861号公報、同2002-280183号公報、同2002-299060号公報、同2002-302516号公報、同2002-305083号公報、同2002-305084号公報、同2002-308837号公報等が挙げられる。Specific examples of known host compounds include compounds described in the following documents. For example, Japanese Patent Laid-Open Nos. 2001-257076, 2002-308855, 2001-313179, 2002-319491, 2001-357777, 2002-334786, 2002-8860 Gazette, 2002-334787, 2002-15871, 2002-334788, 2002-43056, 2002-334789, 2002-75645, 2002-338579 No. 2002-105445, No. 2002-343568, No. 2002-141173, No. 2002-352957, No. 2002-203683, No. 2002-363227, No. 2002-231453. No. 2003-3165, No. 2002-234888, No. 2003-27048, No. 2002-255934, No. 2002-286061, No. 2002-280183, No. 2002-299060. No. 2002-302516, No. 2002-305083, No. 2002-305084, No. 2002-308837, and the like.
以下に、本発明に併用可能なホスト化合物の具体例を示すが、本発明はこれらに限定されない。Specific examples of host compounds that can be used in combination with the present invention are shown below, but the present invention is not limited thereto.
公知のホスト化合物の具体例としては、更に、以下の文献に記載されている化合物が挙げられる。Specific examples of known host compounds further include compounds described in the following documents.
特開2001-257076号公報、同2002-308855号公報、同2001-313179号公報、同2002-319491号公報、同2001-357977号公報、同2002-334786号公報、同2002-8860号公報、同2002-334787号公報、同2002-15871号公報、同2002-334788号公報、同2002-43056号公報、同2002-334789号公報、同2002-75645号公報、同2002-338579号公報、同2002-105445号公報、同2002-343568号公報、同2002-141173号公報、同2002-352957号公報、同2002-203683号公報、同2002-363227号公報、同2002-231453号公報、同2003-3165号公報、同2002-234888号公報、同2003-27048号公報、同2002-255934号公報、同2002-260861号公報、同2002-280183号公報、同2002-299060号公報、同2002-302516号公報、同2002-305083号公報、同2002-305084号公報、同2002-308837号公報等。JP-A-2001-257076, 2002-308855, 2001-313179, 2002-319491, 2001-357777, 2002-334786, 2002-8860, 2002-334787, 2002-15871, 2002-334788, 2002-43056, 2002-334789, 2002-75645, 2002-338579, 2002-105445, 2002-343568, 2002-141173, 2002-352957, 2002-203683, 2002-363227, 2002-231453, 2003-3165, 2002-234888, 2003-27048, 2002-255934, 2002-260861, 2002-280183, 2002-299060, 2002 -302516, 2002-305083, 2002-305084, 2002-308837, and the like.
〈発光材料〉
本発明において、発光材料として、リン光発光性化合物(リン光性化合物、リン光発光材料ともいう)を用いることができる。<Light emitting material>
In the present invention, a phosphorescent compound (also referred to as a phosphorescent compound or a phosphorescent material) can be used as the light-emitting material.
リン光発光性化合物とは、励起三重項からの発光が観測される化合物であり、具体的には室温(25℃)にてリン光発光する化合物であり、リン光量子収率が25℃において0.01以上の化合物であると定義されるが、好ましいリン光量子収率は0.1以上である。A phosphorescent compound is a compound in which light emission from an excited triplet is observed. Specifically, it is a compound that emits phosphorescence at room temperature (25 ° C.), and the phosphorescence quantum yield is 0 at 25 ° C. A preferred phosphorescence quantum yield is 0.1 or more, although it is defined as 0.01 or more compounds.
上記リン光量子収率は、第4版実験化学講座7の分光IIの398頁(1992年版、丸善)に記載の方法により測定できる。溶液中でのリン光量子収率は種々の溶媒を用いて測定できるが、本発明においてリン光発光性化合物を用いる場合、任意の溶媒のいずれかにおいて上記リン光量子収率(0.01以上)が達成されればよい。The phosphorescent quantum yield can be measured by the method described in Spectroscopic II, page 398 (1992 edition, Maruzen) of the Fourth Edition Experimental Chemistry Course 7. Although the phosphorescence quantum yield in a solution can be measured using various solvents, when the phosphorescent compound is used in the present invention, the above phosphorescence quantum yield (0.01 or more) is obtained in any solvent. It only has to be achieved.
リン光発光性化合物の発光の原理としては二種挙げられ、一つはキャリアが輸送されるホスト化合物上でキャリアの再結合が起こってホスト化合物の励起状態が生成し、このエネルギーをリン光発光性化合物に移動させることでリン光発光性化合物からの発光を得るというエネルギー移動型であり、もう一つはリン光発光性化合物がキャリアトラップとなり、リン光発光性化合物上でキャリアの再結合が起こりリン光発光性化合物からの発光が得られるというキャリアトラップ型であるが、いずれの場合においても、リン光発光性化合物の励起状態のエネルギーはホスト化合物の励起状態のエネルギーよりも低いことが条件である。There are two types of light emission principles of phosphorescent compounds. One is the recombination of carriers on the host compound to which carriers are transported, generating an excited state of the host compound, and this energy is phosphorescent. The energy transfer type is to obtain light emission from the phosphorescent compound by transferring to the phosphorescent compound, and the other is that the phosphorescent compound becomes a carrier trap, and recombination of carriers on the phosphorescent compound is performed. This is a carrier trap type in which light emission from the phosphorescent compound can be obtained, but in any case, the excited state energy of the phosphorescent compound must be lower than the excited state energy of the host compound. It is.
リン光発光性化合物は、有機EL素子の発光層に使用される公知のものの中から適宜選択して用いることができるが、好ましくは元素の周期表で8~10族の金属を含有する錯体系化合物であり、更に好ましくはイリジウム化合物、オスミウム化合物、又は白金化合物(白金錯体系化合物)、希土類錯体であり、中でも最も好ましいのはイリジウム化合物である。The phosphorescent compound can be appropriately selected from known compounds used for the light-emitting layer of the organic EL device, and preferably a complex system containing a metal of
本発明においては、少なくとも一つの発光層に二種以上のリン光発光性化合物を含有していてもよく、発光層におけるリン光発光性化合物の濃度比が発光層の厚さ方向で変化していてもよい。In the present invention, at least one phosphorescent compound may contain two or more phosphorescent compounds, and the concentration ratio of the phosphorescent compound in the phosphor layer varies in the thickness direction of the phosphor layer. May be.
リン光発光性化合物は好ましくは発光層の総量に対し0.1体積%以上30体積%未満である。The phosphorescent compound is preferably 0.1% by volume or more and less than 30% by volume with respect to the total amount of the light emitting layer.
《一般式(4)で表される化合物》
本発明に係るリン光発光性化合物は、下記一般式(4)で表される化合物であることが好ましい。<< Compound Represented by Formula (4) >>
The phosphorescent compound according to the present invention is preferably a compound represented by the following general formula (4).
〔式中、P及びQは、各々、炭素原子又は窒素原子を表す。A1は、P-Cと共に芳香族炭化水素環又は芳香族複素環を形成する原子群を表す。A2は、Q-Nと共に芳香族複素環を形成する原子群を表す。P1-L1-P2はm2座の配位子を表し、P1、P2は各々独立に炭素原子、窒素原子又は酸素原子を表す。L1は、P1及びP2と共に2座の配位子を形成する原子群を表す。j1は1~3の整数を表し、j2は0~2の整数を表すが、j1+j2は2又は3である。M1は、元素周期表における8族~10族の遷移金属元素を表す。〕
本発明の有機EL素子に係るリン光発光性化合物としては、上記一般式(4)で表される化合物が好ましい。[Wherein, P and Q each represent a carbon atom or a nitrogen atom. A1 represents an atomic group forming an aromatic hydrocarbon ring or an aromatic heterocyclic ring together with PC. A2 represents an atomic group that forms an aromatic heterocycle with QN. P1-L1-P2 represents an m2-dentate ligand, and P1 and P2 each independently represent a carbon atom, a nitrogen atom or an oxygen atom. L1 represents an atomic group that forms a bidentate ligand together with P1 and P2. j1 represents an integer of 1 to 3, j2 represents an integer of 0 to 2, and j1 + j2 is 2 or 3. M1 represents a transition metal element of
As the phosphorescent compound according to the organic EL device of the present invention, a compound represented by the general formula (4) is preferable.
以下、一般式(4)で表される化合物について説明する。尚、一般式(4)で表されるリン光発光性化合物(リン光発光性の金属錯体ともいう)は、本発明の有機EL素子の発光層に発光ドーパントとして含有されることが好ましい態様であるが、発光層以外の構成層(本発明の有機EL素子の構成層については後に詳細に説明する。)に含有されていても良い。Hereinafter, the compound represented by the general formula (4) will be described. The phosphorescent compound represented by the general formula (4) (also referred to as a phosphorescent metal complex) is preferably contained as a luminescent dopant in the light emitting layer of the organic EL device of the present invention. However, it may be contained in a constituent layer other than the light emitting layer (the constituent layer of the organic EL element of the present invention will be described in detail later).
一般式(4)において、A1がP-Cと共に形成する芳香族炭化水素環としては、ベンゼン環、ビフェニル環、ナフタレン環、アズレン環、アントラセン環、フェナントレン環、ピレン環、クリセン環、ナフタセン環、トリフェニレン環、o-テルフェニル環、m-テルフェニル環、p-テルフェニル環、アセナフテン環、コロネン環、フルオレン環、フルオラントレン環、ナフタセン環、ペンタセン環、ペリレン環、ペンタフェン環、ピセン環、ピレン環、ピラントレン環、アンスラアントレン環等が挙げられる。In the general formula (4), the aromatic hydrocarbon ring formed by A1 together with P—C includes a benzene ring, biphenyl ring, naphthalene ring, azulene ring, anthracene ring, phenanthrene ring, pyrene ring, chrysene ring, naphthacene ring, Triphenylene ring, o-terphenyl ring, m-terphenyl ring, p-terphenyl ring, acenaphthene ring, coronene ring, fluorene ring, fluoranthrene ring, naphthacene ring, pentacene ring, perylene ring, pentaphen ring, picene ring, Examples include a pyrene ring, a pyrantolen ring, and anthraanthrene ring.
これらの環は、更に一般式(1)において、Y1で表される置換基を有してもよい。These rings may further have a substituent represented by Y1 in the general formula (1).
一般式(4)において、A1が、P-Cと共に形成する芳香族複素環としては、フラン環、チオフェン環、オキサゾール環、ピロール環、ピリジン環、ピリダジン環、ピリミジン環、ピラジン環、トリアジン環、ベンゾイミダゾール環、オキサジアゾール環、トリアゾール環、イミダゾール環、ピラゾール環、チアゾール環、インドール環、ベンゾイミダゾール環、ベンゾチアゾール環、ベンゾオキサゾール環、キノキサリン環、キナゾリン環、フタラジン環、カルバゾール環、アザカルバゾール環等が挙げられる。In the general formula (4), the aromatic heterocycle formed by A1 together with P—C includes a furan ring, a thiophene ring, an oxazole ring, a pyrrole ring, a pyridine ring, a pyridazine ring, a pyrimidine ring, a pyrazine ring, a triazine ring, Benzimidazole ring, oxadiazole ring, triazole ring, imidazole ring, pyrazole ring, thiazole ring, indole ring, benzimidazole ring, benzothiazole ring, benzoxazole ring, quinoxaline ring, quinazoline ring, phthalazine ring, carbazole ring, azacarbazole A ring etc. are mentioned.
ここで、アザカルバゾール環とは、前記カルバゾール環を構成するベンゼン環の炭素原子が一つ以上窒素原子で置き換わったものを示す。Here, the azacarbazole ring refers to one in which one or more carbon atoms of the benzene ring constituting the carbazole ring are replaced with nitrogen atoms.
これらの環は、更に一般式(1)において、Y1で表される置換基を有してもよい。These rings may further have a substituent represented by Y1 in the general formula (1).
一般式(4)において、A2が、Q-Nと共に形成する芳香族複素環としては、オキサゾール環、オキサジアゾール環、オキサトリアゾール環、イソオキサゾール環、テトラゾール環、チアジアゾール環、チアトリアゾール環、イソチアゾール環、ピロール環、ピリジン環、ピリダジン環、ピリミジン環、ピラジン環、トリアジン環、イミダゾール環、ピラゾール環、トリアゾール環等が挙げられる。In the general formula (4), examples of the aromatic heterocycle formed by A2 together with QN include an oxazole ring, an oxadiazole ring, an oxatriazole ring, an isoxazole ring, a tetrazole ring, a thiadiazole ring, a thiatriazole ring, Examples include a thiazole ring, a pyrrole ring, a pyridine ring, a pyridazine ring, a pyrimidine ring, a pyrazine ring, a triazine ring, an imidazole ring, a pyrazole ring, and a triazole ring.
これらの環は、更に一般式(1)において、Y1で表される置換基を有してもよい。These rings may further have a substituent represented by Y1 in the general formula (1).
一般式(4)において、P1-L1-P2で表される2座の配位子としては、フェニルピリジン、フェニルピラゾール、フェニルイミダゾール、フェニルトリアゾール、フェニルテトラゾール、ピラザボール、アセチルアセトン、ピコリン酸等が挙げられる。In the general formula (4), examples of the bidentate ligand represented by P1-L1-P2 include phenylpyridine, phenylpyrazole, phenylimidazole, phenyltriazole, phenyltetrazole, pyrazabole, acetylacetone, and picolinic acid. .
一般式(4)において、j1は1~3の整数を表し、j2は0~2の整数を表すが、j1+j2は2又は3を表す、中でも、j2は0である場合が好ましい。In the general formula (4), j1 represents an integer of 1 to 3, j2 represents an integer of 0 to 2, j1 + j2 represents 2 or 3, and j2 is preferably 0.
一般式(4)において、M1は元素周期表における8族~10族の遷移金属元素(単に遷移金属ともいう)が用いられるが、中でも、イリジウム好ましい。In the general formula (4), M1 is a transition metal element of
本発明に係るリン光発光性化合物は下記一般式(5)で表される化合物であることがさらに好ましい。The phosphorescent compound according to the present invention is more preferably a compound represented by the following general formula (5).
《一般式(5)で表される化合物》
発明に係る一般式(4)で表される化合物の中でも、下記一般式(5)で表される化合物が好ましい。<< Compound Represented by Formula (5) >>
Among the compounds represented by the general formula (4) according to the invention, the compounds represented by the following general formula (5) are preferable.
〔式中、Zは、炭化水素環基又は複素環基を表す。P及びQは、各々、炭素原子又は窒素原子を表す。A1は、P-Cと共に芳香族炭化水素環又は芳香族複素環を形成する原子群を表す。A3は、-C(R01)=C(R02)-、-N=C(R02)-、-C(R01)=N-又はN=N-を表す。R01、R02は、各々、水素原子又は置換基を表す。
P1-L1-P2は、2座の配位子を表し、P1、P2は各々独立に炭素原子、窒素原子、又は酸素原子を表す。L1は、P1、P2と共に2座の配位子を形成する原子群を表す。j1は1~3の整数を表し、j2は0~2の整数を表すが、j1+j2は2又は3である。M1は、m元素周期表における8族~10族の遷移金属元素を表す。〕
一般式(5)において、Zで表される炭化水素環基としては、非芳香族炭化水素環基、芳香族炭化水素環基が挙げられ、非芳香族炭化水素環基としては、シクロプロピル基、シクロペンチル基、シクロヘキシル基等が挙げられる。これらの基は、無置換でも後述する置換基を有していてもよい。[Wherein, Z represents a hydrocarbon ring group or a heterocyclic group. P and Q each represent a carbon atom or a nitrogen atom. A1 represents an atomic group forming an aromatic hydrocarbon ring or an aromatic heterocyclic ring together with PC. A3 represents -C (R01) = C (R02)-, -N = C (R02)-, -C (R01) = N- or N = N-. R01 and R02 each represents a hydrogen atom or a substituent.
P1-L1-P2 represents a bidentate ligand, and P1 and P2 each independently represent a carbon atom, a nitrogen atom, or an oxygen atom. L1 represents an atomic group that forms a bidentate ligand together with P1 and P2. j1 represents an integer of 1 to 3, j2 represents an integer of 0 to 2, and j1 + j2 is 2 or 3. M1 represents a group 8-10 transition metal element in the m-element periodic table. ]
In the general formula (5), examples of the hydrocarbon ring group represented by Z include a non-aromatic hydrocarbon ring group and an aromatic hydrocarbon ring group, and examples of the non-aromatic hydrocarbon ring group include a cyclopropyl group. , Cyclopentyl group, cyclohexyl group and the like. These groups may be unsubstituted or have a substituent described later.
また、芳香族炭化水素環基(芳香族炭化水素基、アリール基等ともいう)としては、例えば、フェニル基、p-クロロフェニル基、メシチル基、トリル基、キシリル基、ナフチル基、アントリル基、アズレニル基、アセナフテニル基、フルオレニル基、フェナントリル基、インデニル基、ピレニル基、ビフェニリル基等が挙げられる。Examples of the aromatic hydrocarbon ring group (also referred to as aromatic hydrocarbon group, aryl group, etc.) include, for example, phenyl group, p-chlorophenyl group, mesityl group, tolyl group, xylyl group, naphthyl group, anthryl group, azulenyl. Group, acenaphthenyl group, fluorenyl group, phenanthryl group, indenyl group, pyrenyl group, biphenylyl group and the like.
これらの基は、無置換でもよく、一般式(1)において、Y1で表される置換基を有してもよい。These groups may be unsubstituted or may have a substituent represented by Y1 in the general formula (1).
一般式(5)において、Zで表される複素環基としては、非芳香族複素環基、芳香族複素環基等が挙げられ、非芳香族複素環基としては、例えば、エポキシ環、アジリジン環、チイラン環、オキセタン環、アゼチジン環、チエタン環、テトラヒドロフラン環、ジオキソラン環、ピロリジン環、ピラゾリジン環、イミダゾリジン環、オキサゾリジン環、テトラヒドロチオフェン環、スルホラン環、チアゾリジン環、ε-カプロラクトン環、ε-カプロラクタム環、ピペリジン環、ヘキサヒドロピリダジン環、ヘキサヒドロピリミジン環、ピペラジン環、モルホリン環、テトラヒドロピラン環、1,3-ジオキサン環、1,4-ジオキサン環、トリオキサン環、テトラヒドロチオピラン環、チオモルホリン環、チオモルホリン-1,1-ジオキシド環、ピラノース環、ジアザビシクロ[2,2,2]-オクタン環等から導出される基を挙げられる。In the general formula (5), examples of the heterocyclic group represented by Z include a non-aromatic heterocyclic group and an aromatic heterocyclic group. Examples of the non-aromatic heterocyclic group include an epoxy ring and an aziridine group. Ring, thiirane ring, oxetane ring, azetidine ring, thietane ring, tetrahydrofuran ring, dioxolane ring, pyrrolidine ring, pyrazolidine ring, imidazolidine ring, oxazolidine ring, tetrahydrothiophene ring, sulfolane ring, thiazolidine ring, ε-caprolactone ring, ε- Caprolactam ring, piperidine ring, hexahydropyridazine ring, hexahydropyrimidine ring, piperazine ring, morpholine ring, tetrahydropyran ring, 1,3-dioxane ring, 1,4-dioxane ring, trioxane ring, tetrahydrothiopyran ring, thiomorpholine Ring, thiomorpholine-1,1-dioxy And a group derived from a ring, a pyranose ring, a diazabicyclo [2,2,2] -octane ring, and the like.
これらの基は、無置換でもよく、一般式(1)において、Y1で表される置換基を有してもよい。These groups may be unsubstituted or may have a substituent represented by Y1 in the general formula (1).
芳香族複素環基としては、例えば、ピリジル基、ピリミジニル基、フリル基、ピロリル基、イミダゾリル基、ベンゾイミダゾリル基、ピラゾリル基、ピラジニル基、トリアゾリル基(例えば、1,2,4-トリアゾール-1-イル基、1,2,3-トリアゾール-1-イル基等)、オキサゾリル基、ベンゾオキサゾリル基、チアゾリル基、イソオキサゾリル基、イソチアゾリル基、フラザニル基、チエニル基、キノリル基、ベンゾフリル基、ジベンゾフリル基、ベンゾチエニル基、ジベンゾチエニル基、インドリル基、カルバゾリル基、カルボリニル基、ジアザカルバゾリル基(前記カルボリニル基のカルボリン環を構成する炭素原子の一つが窒素原子で置き換わったものを示す)、キノキサリニル基、ピリダジニル基、トリアジニル基、キナゾリニル基、フタラジニル基等が挙げられる。Examples of the aromatic heterocyclic group include a pyridyl group, pyrimidinyl group, furyl group, pyrrolyl group, imidazolyl group, benzoimidazolyl group, pyrazolyl group, pyrazinyl group, triazolyl group (for example, 1,2,4-triazol-1-yl). Group, 1,2,3-triazol-1-yl group, etc.), oxazolyl group, benzoxazolyl group, thiazolyl group, isoxazolyl group, isothiazolyl group, furazanyl group, thienyl group, quinolyl group, benzofuryl group, dibenzofuryl group , Benzothienyl group, dibenzothienyl group, indolyl group, carbazolyl group, carbolinyl group, diazacarbazolyl group (indicating that one of the carbon atoms constituting the carboline ring of the carbolinyl group is replaced by a nitrogen atom), quinoxalinyl Group, pyridazinyl group, triazinyl group, Nazoriniru group, phthalazinyl group, and the like.
これらの基は、無置換でもよく、一般式(1)において、Y1で表される置換基を有してもよい。These groups may be unsubstituted or may have a substituent represented by Y1 in the general formula (1).
好ましくは、Zで表される基は芳香族炭化水素環基又は芳香族複素環基である。Preferably, the group represented by Z is an aromatic hydrocarbon ring group or an aromatic heterocyclic group.
一般式(5)において、A1が、P-Cと共に形成する芳香族炭化水素環としては、ベンゼン環、ビフェニル環、ナフタレン環、アズレン環、アントラセン環、フェナントレン環、ピレン環、クリセン環、ナフタセン環、トリフェニレン環、o-テルフェニル環、m-テルフェニル環、p-テルフェニル環、アセナフテン環、コロネン環、フルオレン環、フルオラントレン環、ナフタセン環、ペンタセン環、ペリレン環、ペンタフェン環、ピセン環、ピレン環、ピラントレン環、アンスラアントレン環等が挙げられる。In the general formula (5), the aromatic hydrocarbon ring that A1 forms with P—C includes benzene ring, biphenyl ring, naphthalene ring, azulene ring, anthracene ring, phenanthrene ring, pyrene ring, chrysene ring, naphthacene ring , Triphenylene ring, o-terphenyl ring, m-terphenyl ring, p-terphenyl ring, acenaphthene ring, coronene ring, fluorene ring, fluoranthrene ring, naphthacene ring, pentacene ring, perylene ring, pentaphen ring, picene ring , Pyrene ring, pyranthrene ring, anthraanthrene ring and the like.
これらの環は、更に一般式(1)において、Y1で表される置換基を有してもよい。These rings may further have a substituent represented by Y1 in the general formula (1).
一般式(5)において、A1がP-Cと共に形成する芳香族複素環としては、フラン環、チオフェン環、オキサゾール環、ピロール環、ピリジン環、ピリダジン環、ピリミジン環、ピラジン環、トリアジン環、ベンゾイミダゾール環、オキサジアゾール環、トリアゾール環、イミダゾール環、ピラゾール環、チアゾール環、インドール環、ベンゾイミダゾール環、ベンゾチアゾール環、ベンゾオキサゾール環、キノキサリン環、キナゾリン環、フタラジン環、カルバゾール環、カルボリン環、アザカルバゾール環等が挙げられる。In the general formula (5), the aromatic heterocycle formed by A1 together with P—C includes furan ring, thiophene ring, oxazole ring, pyrrole ring, pyridine ring, pyridazine ring, pyrimidine ring, pyrazine ring, triazine ring, benzo Imidazole ring, oxadiazole ring, triazole ring, imidazole ring, pyrazole ring, thiazole ring, indole ring, benzimidazole ring, benzothiazole ring, benzoxazole ring, quinoxaline ring, quinazoline ring, phthalazine ring, carbazole ring, carboline ring, And azacarbazole ring.
ここで、アザカルバゾール環とは、前記カルバゾール環を構成するベンゼン環の炭素原子が一つ以上窒素原子で置き換わったものを示す。Here, the azacarbazole ring refers to one in which one or more carbon atoms of the benzene ring constituting the carbazole ring are replaced with nitrogen atoms.
これらの環は、更に一般式(1)において、Y1で表される置換基を有してもよい。These rings may further have a substituent represented by Y1 in the general formula (1).
一般式(5)のA3で表される、-C(R01)=C(R02)-、-N=C(R02)-、-C(R01)=N-において、R01、R02で各々表される置換基は、一般式(1)において、Y1で表される置換基と同義である。In -C (R01) = C (R02)-, -N = C (R02)-, and -C (R01) = N- represented by A3 in the general formula (5), each represented by R01 and R02 The substituent which is synonymous with the substituent represented by Y1 in General formula (1).
一般式(5)において、P1-L1-P2で表される2座の配位子としては、フェニルピリジン、フェニルピラゾール、フェニルイミダゾール、フェニルトリアゾール、フェニルテトラゾール、ピラザボール、アセチルアセトン、ピコリン酸等が挙げられる。In the general formula (5), examples of the bidentate ligand represented by P1-L1-P2 include phenylpyridine, phenylpyrazole, phenylimidazole, phenyltriazole, phenyltetrazole, pyrazabole, acetylacetone, and picolinic acid. .
また、j1は1~3の整数を表し、j2は0~2の整数を表すが、j1+j2は2又は3を表す、中でも、j2は0である場合が好ましい。J1 represents an integer of 1 to 3, j2 represents an integer of 0 to 2, j1 + j2 represents 2 or 3, and j2 is preferably 0.
一般式(5)において、M1で表される元素周期表における8族~10族の遷移金属元素(単に遷移金属ともいう)は、一般式(4)において、M1で表される元素周期表における8族~10族の遷移金属元素と同義である。In the general formula (5), the transition metal elements of
《一般式(6)で表される化合物》
上記一般式(5)で表される化合物の好ましい態様の一つとして、上記一般式(6)で表される化合物が挙げられる。<< Compound Represented by Formula (6) >>
One preferred embodiment of the compound represented by the general formula (5) is a compound represented by the general formula (6).
式中、R03は、置換基を表す。R04は水素原子又は置換基を表し、複数のR04は互いに結合して環を形成してもよい。n01は、1~4の整数を表す。R05は水素原子又は置換基を表し、複数のR05は互いに結合して環を形成してもよい。n02は、1~2の整数を表す。R06は、水素原子又は置換基を表し、互いに結合して環を形成してもよい。n03は、1~4の整数を表す。Z1は、C-Cと共に6員の芳香族炭化水素環もしくは、5員又は6員の芳香族複素環を形成するのに必要な原子群を表す。Z2は、炭化水素環基又は複素環基を形成するのに必要な原子群を表す。P1-L1-P2は、2座の配位子を表し、P1、P2は各々独立に炭素原子、窒素原子又は酸素原子を表す。L1は、P1、P2と共に2座の配位子を形成する原子群を表す。j1は1~3の整数を表し、j2は0~2の整数を表すが、j1+j2は2又は3である。M1は、元素周期表における8族~10族の遷移金属元素を表す。R03とR06、R04とR06及びR05とR06は互いに結合して環を形成していてもよい。In the formula, R03 represents a substituent. R04 represents a hydrogen atom or a substituent, and a plurality of R04 may be bonded to each other to form a ring. n01 represents an integer of 1 to 4. R05 represents a hydrogen atom or a substituent, and a plurality of R05 may be bonded to each other to form a ring. n02 represents an integer of 1 to 2. R06 represents a hydrogen atom or a substituent, and may combine with each other to form a ring. n03 represents an integer of 1 to 4. Z1 represents an atomic group necessary for forming a 6-membered aromatic hydrocarbon ring or a 5-membered or 6-membered aromatic heterocycle together with C—C. Z2 represents an atomic group necessary for forming a hydrocarbon ring group or a heterocyclic group. P1-L1-P2 represents a bidentate ligand, and P1 and P2 each independently represent a carbon atom, a nitrogen atom or an oxygen atom. L1 represents an atomic group that forms a bidentate ligand together with P1 and P2. j1 represents an integer of 1 to 3, j2 represents an integer of 0 to 2, and j1 + j2 is 2 or 3. M1 represents a transition metal element of
一般式(6)において、R03、R04、R05、R06で各々表される置換基は、一般式(1)において、Y1で表される置換基と同義である。In the general formula (6), each of the substituents represented by R03, R04, R05, and R06 has the same meaning as the substituent represented by Y1 in the general formula (1).
一般式(6)において、Z1がC-Cと共に形成する6員の芳香族炭化水素環としては、ベンゼン環等が挙げられる。In the general formula (6), examples of the 6-membered aromatic hydrocarbon ring formed by Z1 together with C—C include a benzene ring.
これらの環は、更に一般式(1)において、Y1で表される置換基を有してもよい。These rings may further have a substituent represented by Y1 in the general formula (1).
一般式(6)において、Z1がC-Cと共に形成する5員又は6員の芳香族複素環としては、例えば、オキサゾール環、オキサジアゾール環、オキサトリアゾール環、イソオキサゾール環、テトラゾール環、チアジアゾール環、チアトリアゾール環、イソチアゾール環、チオフェン環、フラン環、ピロール環、ピリジン環、ピリダジン環、ピリミジン環、ピラジン環、トリアジン環、イミダゾール環、ピラゾール環、トリアゾール環等が挙げられる。In the general formula (6), examples of the 5-membered or 6-membered aromatic heterocycle formed by Z1 together with C—C include oxazole ring, oxadiazole ring, oxatriazole ring, isoxazole ring, tetrazole ring, thiadiazole And a ring, a thiatriazole ring, an isothiazole ring, a thiophene ring, a furan ring, a pyrrole ring, a pyridine ring, a pyridazine ring, a pyrimidine ring, a pyrazine ring, a triazine ring, an imidazole ring, a pyrazole ring, and a triazole ring.
これらの環は、更に一般式(1)において、Y1で表される置換基を有してもよい。These rings may further have a substituent represented by Y1 in the general formula (1).
一般式(6)において、Z2で表される炭化水素環基としては、非芳香族炭化水素環基、芳香族炭化水素環基が挙げられ、非芳香族炭化水素環基としては、シクロプロピル基、シクロペンチル基、シクロヘキシル基等が挙げられる。これらの基は、無置換でも後述する置換基を有していてもよい。In the general formula (6), examples of the hydrocarbon ring group represented by Z2 include a non-aromatic hydrocarbon ring group and an aromatic hydrocarbon ring group, and examples of the non-aromatic hydrocarbon ring group include a cyclopropyl group. , Cyclopentyl group, cyclohexyl group and the like. These groups may be unsubstituted or have a substituent described later.
また、芳香族炭化水素環基(芳香族炭化水素基、アリール基等ともいう)としては、例えば、フェニル基、p-クロロフェニル基、メシチル基、トリル基、キシリル基、ナフチル基、アントリル基、アズレニル基、アセナフテニル基、フルオレニル基、フェナントリル基、インデニル基、ピレニル基、ビフェニリル基等が挙げられる。これらの基は、無置換でもよく、一般式(1)において、Y1で表される置換基を有してもよい。Examples of the aromatic hydrocarbon ring group (also referred to as aromatic hydrocarbon group, aryl group, etc.) include, for example, phenyl group, p-chlorophenyl group, mesityl group, tolyl group, xylyl group, naphthyl group, anthryl group, azulenyl. Group, acenaphthenyl group, fluorenyl group, phenanthryl group, indenyl group, pyrenyl group, biphenylyl group and the like. These groups may be unsubstituted or may have a substituent represented by Y1 in the general formula (1).
一般式(6)において、Z2で表される複素環基としては、非芳香族複素環基、芳香族複素環基等が挙げられ、非芳香族複素環基としては、例えば、エポキシ環、アジリジン環、チイラン環、オキセタン環、アゼチジン環、チエタン環、テトラヒドロフラン環、ジオキソラン環、ピロリジン環、ピラゾリジン環、イミダゾリジン環、オキサゾリジン環、テトラヒドロチオフェン環、スルホラン環、チアゾリジン環、ε-カプロラクトン環、ε-カプロラクタム環、ピペリジン環、ヘキサヒドロピリダジン環、ヘキサヒドロピリミジン環、ピペラジン環、モルホリン環、テトラヒドロピラン環、1,3-ジオキサン環、1,4-ジオキサン環、トリオキサン環、テトラヒドロチオピラン環、チオモルホリン環、チオモルホリン-1,1-ジオキシド環、ピラノース環、ジアザビシクロ[2,2,2]-オクタン環等から導出される基を挙げることができる。これらの基は無置換でもよく、また、一般式(1)において、Y1で表される置換基を有してもよい。In the general formula (6), examples of the heterocyclic group represented by Z2 include a non-aromatic heterocyclic group and an aromatic heterocyclic group. Examples of the non-aromatic heterocyclic group include an epoxy ring and an aziridine group. Ring, thiirane ring, oxetane ring, azetidine ring, thietane ring, tetrahydrofuran ring, dioxolane ring, pyrrolidine ring, pyrazolidine ring, imidazolidine ring, oxazolidine ring, tetrahydrothiophene ring, sulfolane ring, thiazolidine ring, ε-caprolactone ring, ε- Caprolactam ring, piperidine ring, hexahydropyridazine ring, hexahydropyrimidine ring, piperazine ring, morpholine ring, tetrahydropyran ring, 1,3-dioxane ring, 1,4-dioxane ring, trioxane ring, tetrahydrothiopyran ring, thiomorpholine Ring, thiomorpholine-1,1-dioxy Examples thereof include a group derived from a side ring, a pyranose ring, a diazabicyclo [2,2,2] -octane ring, and the like. These groups may be unsubstituted or may have a substituent represented by Y1 in the general formula (1).
芳香族複素環基としては、例えば、ピリジル基、ピリミジニル基、フリル基、ピロリル基、イミダゾリル基、ベンゾイミダゾリル基、ピラゾリル基、ピラジニル基、トリアゾリル基(例えば、1,2,4-トリアゾール-1-イル基、1,2,3-トリアゾール-1-イル基等)、オキサゾリル基、ベンゾオキサゾリル基、チアゾリル基、イソオキサゾリル基、イソチアゾリル基、フラザニル基、チエニル基、キノリル基、ベンゾフリル基、ジベンゾフリル基、ベンゾチエニル基、ジベンゾチエニル基、インドリル基、カルバゾリル基、カルボリニル基、ジアザカルバゾリル基(前記カルボリニル基のカルボリン環を構成する炭素原子の一つが窒素原子で置き換わったものを示す)、キノキサリニル基、ピリダジニル基、トリアジニル基、キナゾリニル基、フタラジニル基等が挙げられる。Examples of the aromatic heterocyclic group include a pyridyl group, pyrimidinyl group, furyl group, pyrrolyl group, imidazolyl group, benzoimidazolyl group, pyrazolyl group, pyrazinyl group, triazolyl group (for example, 1,2,4-triazol-1-yl). Group, 1,2,3-triazol-1-yl group, etc.), oxazolyl group, benzoxazolyl group, thiazolyl group, isoxazolyl group, isothiazolyl group, furazanyl group, thienyl group, quinolyl group, benzofuryl group, dibenzofuryl group , Benzothienyl group, dibenzothienyl group, indolyl group, carbazolyl group, carbolinyl group, diazacarbazolyl group (indicating that one of the carbon atoms constituting the carboline ring of the carbolinyl group is replaced by a nitrogen atom), quinoxalinyl Group, pyridazinyl group, triazinyl group, Nazoriniru group, phthalazinyl group, and the like.
これらの環は無置換でもよく、更に一般式(1)において、Y1で表される置換基を有してもよい。These rings may be unsubstituted and may further have a substituent represented by Y1 in the general formula (1).
一般式(6)において、Z1及びZ2で形成される基としては、ベンゼン環が好ましい。In the general formula (6), the group formed by Z1 and Z2 is preferably a benzene ring.
一般式(6)において、P1-L1-P2で表される2座の配位子は、一般式(4)において、P1-L1-P2で表される2座の配位子と同義である。In the general formula (6), the bidentate ligand represented by P1-L1-P2 has the same meaning as the bidentate ligand represented by P1-L1-P2 in the general formula (4). .
一般式(6)において、M1で表される元素周期表における8族~10族の遷移金属元素は、一般式(4)において、M1で表される元素周期表における8族~10族の遷移金属元素と同義である。In the general formula (6), the transition metal elements of
また、リン光発光性化合物は、有機EL素子の発光層に使用される公知のものの中から適宜選択して用いることができる。The phosphorescent compound can be appropriately selected from known compounds used for the light emitting layer of the organic EL device.
本発明に係るリン光発光性化合物は、好ましくは元素の周期表で8~10族の金属を含有する錯体系化合物であり、更に好ましくはイリジウム化合物、オスミウム化合物、又は白金化合物(白金錯体系化合物)、希土類錯体であり、中でも最も好ましいのはイリジウム化合物である。The phosphorescent compound according to the present invention is preferably a complex compound containing a group 8-10 metal in the periodic table of elements, more preferably an iridium compound, an osmium compound, or a platinum compound (platinum complex compound) ), Rare earth complexes, and most preferred are iridium compounds.
本発明に係るリン光発光性化合物の具体例を以下に示すが、本発明はこれらに限定されない。Specific examples of the phosphorescent compound according to the present invention are shown below, but the present invention is not limited thereto.
上記のリン光発光性化合物(リン光発光性金属錯体等ともいう)は、例えば、Organic Letter誌、vol3、No.16、2579~2581頁(2001)、Inorganic Chemistry,第30巻、第8号、1685~1687頁(1991年)、J.Am.Chem.Soc.,123巻、4304頁(2001年)、Inorganic Chemistry,第40巻、第7号、1704~1711頁(2001年)、Inorganic Chemistry,第41巻、第12号、3055~3066頁(2002年)、New Journal of Chemistry.,第26巻、1171頁(2002年)、European Journal of Organic Chemistry,第4巻、695~709頁(2004年)、更にこれらの文献中に記載の参考文献等の方法を適用することにより合成できる。The above phosphorescent compound (also referred to as a phosphorescent metal complex or the like) is described in, for example, Organic Letter, vol. 16, 2579-2581 (2001), Inorganic Chemistry, Vol. 30, No. 8, pp. 1685-1687 (1991), J. Am. Am. Chem. Soc. , 123, 4304 (2001), Inorganic Chemistry, Vol. 40, No. 7, pages 1704-1711 (2001), Inorganic Chemistry, Vol. 41, No. 12, pages 3055-3066 (2002) , New Journal of Chemistry. 26, 1171 (2002), European Journal of Organic Chemistry, Vol. 4, pages 695-709 (2004), and further synthesized by applying methods such as references described in these documents. it can.
〔中間層〕
各発光層間に非発光性の中間層(非ドープ領域等ともいう)を設ける場合について説明する。[Middle layer]
A case where a non-light emitting intermediate layer (also referred to as an undoped region or the like) is provided between the light emitting layers will be described.
非発光性の中間層とは、複数の発光層を有する場合、その発光層間に設けられる層である。非発光性の中間層の層厚としては1~20nmの範囲にあるのが好ましく、更には3~10nmの範囲にあることが隣接発光層間のエネルギー移動等相互作用を抑制し、且つ素子の電流電圧特性に大きな負荷を与えないということから好ましい。In the case of having a plurality of light emitting layers, the non-light emitting intermediate layer is a layer provided between the light emitting layers. The layer thickness of the non-light emitting intermediate layer is preferably in the range of 1 to 20 nm, and more preferably in the range of 3 to 10 nm to suppress interaction such as energy transfer between adjacent light emitting layers, and This is preferable because a large load is not applied to the voltage characteristics.
この非発光性の中間層に用いられる材料としては、発光層のホスト化合物と同一でも異なっていてもよいが、隣接する二つの発光層の少なくとも一方の発光層のホスト材料と同一であることが好ましい。The material used for the non-light emitting intermediate layer may be the same as or different from the host compound of the light emitting layer, but may be the same as the host material of at least one of the adjacent two light emitting layers. preferable.
非発光性の中間層は非発光層、各発光層と共通の化合物(例えば、ホスト化合物等)を含有していてもよく、各々共通ホスト材料(ここで、共通ホスト材料が用いられるとは、リン光発光エネルギー、ガラス転移点等の物理化学的特性が同一である場合やホスト化合物の分子構造が同一である場合等を示す。)を含有することにより、発光層-非発光層間の層間の注入障壁が低減され、電圧(電流)を変化させても正孔と電子の注入バランスが保ちやすいという効果を得ることができる。さらに、非ドープ発光層に各発光層に含まれるホスト化合物と同一の物理的特性又は同一の分子構造を有するホスト材料を用いることにより、従来の有機EL素子作製の大きな問題点である素子作製の煩雑さをも併せて解消することができる。The non-light-emitting intermediate layer may contain a non-light-emitting layer, a compound common to each light-emitting layer (for example, a host compound), and each common host material (where a common host material is used) In the case where the physicochemical characteristics such as phosphorescence emission energy and glass transition point are the same or the molecular structure of the host compound is the same, etc.) The injection barrier is reduced, and it is possible to obtain an effect that the injection balance of holes and electrons can be easily maintained even when the voltage (current) is changed. Furthermore, by using a host material having the same physical characteristics or the same molecular structure as the host compound contained in each light-emitting layer in the undoped light-emitting layer, device fabrication, which is a major problem in conventional organic EL device fabrication, is achieved. Complexity can also be eliminated.
ホスト材料はキャリアの輸送を担うため、キャリア輸送能を有する材料が好ましい。キャリア輸送能を表す物性としてキャリア移動度が用いられるが、有機材料のキャリア移動度は一般的に電界強度に依存性が見られる。電界強度依存性の高い材料は正孔と電子注入・輸送バランスを崩しやすいため、中間層材料、ホスト材料は移動度の電界強度依存性の少ない材料を用いることが好ましい。Since the host material is responsible for carrier transportation, a material having carrier transportation ability is preferable. Carrier mobility is used as a physical property representing carrier transport ability, but the carrier mobility of an organic material generally depends on the electric field strength. Since a material having a high electric field strength dependency easily breaks the balance between injection and transport of holes and electrons, it is preferable to use a material having a low electric field strength dependency of mobility for the intermediate layer material and the host material.
また、一方では、正孔や電子の注入バランスを最適に調整するためには、非発光性の中間層は後述する阻止層、即ち正孔阻止層、電子阻止層として機能することも好ましい態様として挙げられる。On the other hand, in order to optimally adjust the injection balance of holes and electrons, it is also preferable that the non-light emitting intermediate layer functions as a blocking layer described later, that is, a hole blocking layer and an electron blocking layer. Can be mentioned.
〔阻止層:正孔阻止層、電子阻止層〕
阻止層は、上記の如く有機化合物薄膜の基本構成層の他に必要に応じて設けられるものである。例えば、特開平11-204258号公報、同11-204359号公報、及び「有機EL素子とその工業化最前線(1998年11月30日エヌ・ティー・エス社発行)」の237頁等に記載されている正孔阻止(ホールブロック)層がある。[Blocking layer: hole blocking layer, electron blocking layer]
The blocking layer is provided as necessary in addition to the basic constituent layer of the organic compound thin film as described above. For example, it is described in JP-A Nos. 11-204258 and 11-204359, and “Organic EL elements and the forefront of industrialization (published by NTT Corporation on November 30, 1998)” on page 237. There is a hole blocking (hole blocking) layer.
正孔阻止層とは、広い意味では、電子輸送層の機能を有し、電子を輸送する機能を有しつつ正孔を輸送する能力が著しく小さい正孔阻止材料からなり、電子を輸送しつつ正孔を阻止することで電子と正孔の再結合確率を向上させることができる。また、後述する電子輸送層の構成を必要に応じて、本発明に係る正孔阻止層として用いることができる。正孔阻止層は、発光層に隣接して設けられていることが好ましい。In a broad sense, the hole blocking layer has a function of an electron transport layer and is composed of a hole blocking material having a function of transporting electrons and having a remarkably small ability to transport holes, while transporting electrons. By blocking holes, the recombination probability of electrons and holes can be improved. Moreover, the structure of the electron carrying layer mentioned later can be used as a hole-blocking layer concerning this invention as needed. The hole blocking layer is preferably provided adjacent to the light emitting layer.
一方、電子阻止層とは、広い意味では、正孔輸送層の機能を有し、正孔を輸送する機能を有しつつ電子を輸送する能力が著しく小さい材料からなり、正孔を輸送しつつ電子を阻止することで電子と正孔の再結合確率を向上させることができる。また、後述する正孔輸送層の構成を必要に応じて電子阻止層として用いることができる。本発明に係る正孔阻止層の層厚としては好ましくは3~100nmであり、更に好ましくは5~30nmである。On the other hand, the electron blocking layer, in a broad sense, has a function of a hole transport layer, and is made of a material having a function of transporting holes while having a remarkably small ability to transport electrons, while transporting holes. By blocking electrons, the probability of recombination of electrons and holes can be improved. Moreover, the structure of the positive hole transport layer mentioned later can be used as an electron blocking layer as needed. The layer thickness of the hole blocking layer according to the present invention is preferably 3 to 100 nm, and more preferably 5 to 30 nm.
〔正孔輸送層〕
正孔輸送層とは、正孔を輸送する機能を有する正孔輸送材料からなり、広い意味で正孔注入層、電子阻止層も正孔輸送層に含まれる。正孔輸送層は単層又は複数層設けることができる。(Hole transport layer)
The hole transport layer is made of a hole transport material having a function of transporting holes, and in a broad sense, a hole injection layer and an electron blocking layer are also included in the hole transport layer. The hole transport layer can be provided as a single layer or a plurality of layers.
正孔輸送材料としては、正孔の注入又は輸送、電子の障壁性のいずれかを有するものであり、有機物、無機物のいずれであってもよい。例えば、トリアゾール誘導体、オキサジアゾール誘導体、イミダゾール誘導体、ポリアリールアルカン誘導体、ピラゾリン誘導体及びピラゾロン誘導体、フェニレンジアミン誘導体、アリールアミン誘導体、アミノ置換カルコン誘導体、オキサゾール誘導体、スチリルアントラセン誘導体、フルオレノン誘導体、ヒドラゾン誘導体、スチルベン誘導体、シラザン誘導体、アニリン系共重合体、また導電性高分子オリゴマー、特にチオフェンオリゴマー等が挙げられる。The hole transport material has any of hole injection or transport and electron barrier properties, and may be either organic or inorganic. For example, triazole derivatives, oxadiazole derivatives, imidazole derivatives, polyarylalkane derivatives, pyrazoline derivatives and pyrazolone derivatives, phenylenediamine derivatives, arylamine derivatives, amino-substituted chalcone derivatives, oxazole derivatives, styrylanthracene derivatives, fluorenone derivatives, hydrazone derivatives, Examples thereof include stilbene derivatives, silazane derivatives, aniline copolymers, and conductive polymer oligomers, particularly thiophene oligomers.
正孔輸送材料としては上記のものを使用することができるが、ポルフィリン化合物、芳香族第3級アミン化合物及びスチリルアミン化合物、特に芳香族第3級アミン化合物を用いることが好ましい。The above-mentioned materials can be used as the hole transport material, but it is preferable to use a porphyrin compound, an aromatic tertiary amine compound and a styrylamine compound, particularly an aromatic tertiary amine compound.
芳香族第3級アミン化合物及びスチリルアミン化合物の代表例としては、N,N,N′,N′-テトラフェニル-4,4′-ジアミノフェニル;N,N′-ジフェニル-N,N′-ビス(3-メチルフェニル)-〔1,1′-ビフェニル〕-4,4′-ジアミン(TPD);2,2-ビス(4-ジ-p-トリルアミノフェニル)プロパン;1,1-ビス(4-ジ-p-トリルアミノフェニル)シクロヘキサン;N,N,N′,N′-テトラ-p-トリル-4,4′-ジアミノビフェニル;1,1-ビス(4-ジ-p-トリルアミノフェニル)-4-フェニルシクロヘキサン;ビス(4-ジメチルアミノ-2-メチルフェニル)フェニルメタン;ビス(4-ジ-p-トリルアミノフェニル)フェニルメタン;N,N′-ジフェニル-N,N′-ジ(4-メトキシフェニル)-4,4′-ジアミノビフェニル;N,N,N′,N′-テトラフェニル-4,4′-ジアミノジフェニルエーテル;4,4′-ビス(ジフェニルアミノ)クオードリフェニル;N,N,N-トリ(p-トリル)アミン;4-(ジ-p-トリルアミノ)-4′-〔4-(ジ-p-トリルアミノ)スチリル〕スチルベン;4-N,N-ジフェニルアミノ-(2-ジフェニルビニル)ベンゼン;3-メトキシ-4′-N,N-ジフェニルアミノスチルベンゼン;N-フェニルカルバゾール、更には米国特許第5,061,569号明細書に記載されている2個の縮合芳香族環を分子内に有するもの、例えば、4,4′-ビス〔N-(1-ナフチル)-N-フェニルアミノ〕ビフェニル(NPD)、特開平4-308688号公報に記載されているトリフェニルアミンユニットが3つスターバースト型に連結された4,4′,4″-トリス〔N-(3-メチルフェニル)-N-フェニルアミノ〕トリフェニルアミン(MTDATA)等が挙げられる。Representative examples of aromatic tertiary amine compounds and styrylamine compounds include N, N, N ′, N′-tetraphenyl-4,4′-diaminophenyl; N, N′-diphenyl-N, N′— Bis (3-methylphenyl)-[1,1′-biphenyl] -4,4′-diamine (TPD); 2,2-bis (4-di-p-tolylaminophenyl) propane; 1,1-bis (4-di-p-tolylaminophenyl) cyclohexane; N, N, N ′, N′-tetra-p-tolyl-4,4′-diaminobiphenyl; 1,1-bis (4-di-p-tolyl) Aminophenyl) -4-phenylcyclohexane; bis (4-dimethylamino-2-methylphenyl) phenylmethane; bis (4-di-p-tolylaminophenyl) phenylmethane; N, N'-diphenyl-N, N ' Di (4-methoxyphenyl) -4,4'-diaminobiphenyl; N, N, N ', N'-tetraphenyl-4,4'-diaminodiphenyl ether; 4,4'-bis (diphenylamino) quadriphenyl N, N, N-tri (p-tolyl) amine; 4- (di-p-tolylamino) -4 '-[4- (di-p-tolylamino) styryl] stilbene; 4-N, N-diphenylamino -(2-diphenylvinyl) benzene; 3-methoxy-4'-N, N-diphenylaminostilbenzene; N-phenylcarbazole, and also two described in US Pat. No. 5,061,569 Having a condensed aromatic ring of, for example, 4,4'-bis [N- (1-naphthyl) -N-phenylamino] biphenyl (NPD), JP-A-4-308 4,4 ′, 4 ″ -tris [N- (3-methylphenyl) -N-phenylamino] triphenylamine in which three triphenylamine units described in Japanese Patent No. 88 are linked in a starburst type ( MTDATA) and the like.
さらに、これらの材料を高分子鎖に導入した、又はこれらの材料を高分子の主鎖とした高分子材料を用いることもできる。また、p型-Si、p型-SiC等の無機化合物も正孔注入材料、正孔輸送材料として使用することができる。Furthermore, polymer materials in which these materials are introduced into polymer chains or these materials are used as polymer main chains can also be used. In addition, inorganic compounds such as p-type-Si and p-type-SiC can also be used as the hole injection material and the hole transport material.
また、特開平11-251067号公報、J.Huang et.al.著文献(Applied Physics Letters 80(2002),p.139)に記載されているような所謂、p型正孔輸送材料を用いることもできる。本発明においては、より高効率の発光素子が得られることから、これらの材料を用いることが好ましい。Also, JP-A-11-251067, J. Org. Huang et. al. A so-called p-type hole transport material described in a book (Applied Physics Letters 80 (2002), p. 139) can also be used. In the present invention, it is preferable to use these materials because a light-emitting element with higher efficiency can be obtained.
正孔輸送層は、上記正孔輸送材料を、例えば、真空蒸着法、スピンコート法、キャスト法、インクジェット法を含む印刷法、LB法等の公知の方法により、薄膜化することにより形成することができる。正孔輸送層の層厚については特に制限はないが、通常は5nm~5μm程度、好ましくは5~200nmである。この正孔輸送層は上記材料の一種又は二種以上からなる一層構造であってもよい。The hole transport layer is formed by thinning the hole transport material by a known method such as a vacuum deposition method, a spin coating method, a casting method, a printing method including an ink jet method, or an LB method. Can do. The layer thickness of the hole transport layer is not particularly limited, but is usually about 5 nm to 5 μm, preferably 5 to 200 nm. The hole transport layer may have a single layer structure composed of one or more of the above materials.
また、不純物をドープしたp性の高い正孔輸送層を用いることもできる。その例としては、特開平4-297076号公報、特開2000-196140号公報、同2001-102175号公報、J.Appl.Phys.,95,5773(2004)等に記載されたものが挙げられる。It is also possible to use a hole transport layer having a high p property doped with impurities. Examples thereof include JP-A-4-297076, JP-A-2000-196140, 2001-102175, J.A. Appl. Phys. 95, 5773 (2004), and the like.
このようなp型性の高い正孔輸送層を用いることが、より低消費電力の素子を作製することができるため好ましい。It is preferable to use such a hole transport layer having a high p-type property because an element with lower power consumption can be manufactured.
〔電子輸送層〕
電子輸送層とは、電子を輸送する機能を有する材料からなり、広い意味で電子注入層、正孔阻止層も電子輸送層に含まれる。電子輸送層は単層又は複数層設けることができる。(Electron transport layer)
The electron transport layer is made of a material having a function of transporting electrons, and in a broad sense, an electron injection layer and a hole blocking layer are also included in the electron transport layer. The electron transport layer can be provided as a single layer or a plurality of layers.
従来、単層の電子輸送層、及び複数層とする場合は発光層に対してカソード側に隣接する電子輸送層に用いられる電子輸送材料(正孔阻止材料を兼ねる。)としては、カソードより注入された電子を発光層に伝達する機能を有していればよく、その材料としては従来公知の化合物の中から任意のものを選択して用いることができ、例えば、ニトロ置換フルオレン誘導体、ジフェニルキノン誘導体、チオピランジオキシド誘導体、カルボジイミド、フレオレニリデンメタン誘導体、アントラキノジメタン及びアントロン誘導体、オキサジアゾール誘導体等が挙げられる。さらに、上記オキサジアゾール誘導体において、オキサジアゾール環の酸素原子を硫黄原子に置換したチアジアゾール誘導体、電子吸引基として知られているキノキサリン環を有するキノキサリン誘導体も、電子輸送材料として用いることができる。さらに、これらの材料を高分子鎖に導入した、又はこれらの材料を高分子の主鎖とした高分子材料を用いることもできる。Conventionally, in the case of a single electron transport layer and a plurality of layers, an electron transport material (also serving as a hole blocking material) used for an electron transport layer adjacent to the cathode side with respect to the light emitting layer is injected from the cathode. As long as it has a function of transmitting the generated electrons to the light-emitting layer, any material selected from conventionally known compounds can be selected and used. For example, nitro-substituted fluorene derivatives, diphenylquinone Derivatives, thiopyran dioxide derivatives, carbodiimides, fluorenylidenemethane derivatives, anthraquinodimethane and anthrone derivatives, oxadiazole derivatives, and the like. Furthermore, in the above oxadiazole derivative, a thiadiazole derivative in which the oxygen atom of the oxadiazole ring is substituted with a sulfur atom, and a quinoxaline derivative having a quinoxaline ring known as an electron withdrawing group can also be used as an electron transport material. Furthermore, a polymer material in which these materials are introduced into a polymer chain or these materials are used as a polymer main chain can also be used.
また、8-キノリノール誘導体の金属錯体、例えば、トリス(8-キノリノール)アルミニウム(Alq3)、トリス(5,7-ジクロロ-8-キノリノール)アルミニウム、トリス(5,7-ジブロモ-8-キノリノール)アルミニウム、トリス(2-メチル-8-キノリノール)アルミニウム、トリス(5-メチル-8-キノリノール)アルミニウム、ビス(8-キノリノール)亜鉛(Znq)等、及びこれらの金属錯体の中心金属がIn、Mg、Cu、Ca、Sn、Ga又はPbに置き替わった金属錯体も、電子輸送材料として用いることができる。その他、メタルフリーもしくはメタルフタロシアニン、又はそれらの末端がアルキル基やスルホン酸基等で置換されているものも、電子輸送材料として好ましく用いることができる。また、発光層の材料として例示したジスチリルピラジン誘導体も電子輸送材料として用いることができるし、正孔注入層、正孔輸送層と同様にn型-Si、n型-SiC等の無機半導体も電子輸送材料として用いることができる。In addition, metal complexes of 8-quinolinol derivatives such as tris (8-quinolinol) aluminum (Alq3 ), tris (5,7-dichloro-8-quinolinol) aluminum, tris (5,7-dibromo-8-quinolinol) Aluminum, tris (2-methyl-8-quinolinol) aluminum, tris (5-methyl-8-quinolinol) aluminum, bis (8-quinolinol) zinc (Znq), etc., and the central metals of these metal complexes are In, Mg Metal complexes replaced with Cu, Ca, Sn, Ga, or Pb can also be used as electron transport materials. In addition, metal-free or metal phthalocyanine, or those having terminal ends substituted with an alkyl group or a sulfonic acid group can be preferably used as the electron transporting material. Further, the distyrylpyrazine derivatives exemplified as the material of the light emitting layer can also be used as the electron transport material, and inorganic semiconductors such as n-type-Si and n-type-SiC can be used as well as the hole injection layer and the hole transport layer. It can be used as an electron transport material.
電子輸送層は、上記電子輸送材料を、例えば、真空蒸着法、スピンコート法、キャスト法、インクジェット法を含む印刷法、LB法等の公知の方法により、薄膜化することにより形成することができる。電子輸送層の層厚については特に制限はないが、通常は5nm~5μm程度、好ましくは5~200nmである。電子輸送層は上記材料の一種又は二種以上からなる一層構造であってもよい。The electron transport layer can be formed by thinning the electron transport material by a known method such as a vacuum deposition method, a spin coating method, a casting method, a printing method including an ink jet method, or an LB method. . The thickness of the electron transport layer is not particularly limited, but is usually about 5 nm to 5 μm, preferably 5 to 200 nm. The electron transport layer may have a single layer structure composed of one or more of the above materials.
また、不純物をドープしたn性の高い電子輸送層を用いることもできる。その例としては、特開平4-297076号公報、同10-270172号公報、特開2000-196140号公報、同2001-102175号公報、J.Appl.Phys.,95,5773(2004)等に記載されたものが挙げられる。It is also possible to use an electron transport layer having a high n property doped with impurities. Examples thereof include JP-A-4-297076, JP-A-10-270172, JP-A-2000-196140, 2001-102175, J.A. Appl. Phys. 95, 5773 (2004), and the like.
本発明においては、このようなn型性の高い電子輸送層を用いることがより低消費電力の素子を作製することができるため好ましい。In the present invention, it is preferable to use such an electron transport layer having a high n-type property because an element with lower power consumption can be produced.
〔注入層:電子注入層、正孔注入層〕
注入層は必要に応じて設け、電子注入層と正孔注入層があり、上記の如くアノード(以下「陽極」ともいう。)と発光層又は正孔輸送層の間、及びカソード(以下「陰極」ともいう。)と発光層又は電子輸送層との間に存在させてもよい。[Injection layer: electron injection layer, hole injection layer]
The injection layer is provided as necessary, and includes an electron injection layer and a hole injection layer. As described above, between the anode (hereinafter also referred to as “anode”) and the light emitting layer or hole transport layer, and a cathode (hereinafter referred to as “cathode”). And a light emitting layer or an electron transport layer.
注入層とは、駆動電圧低下や発光輝度向上のために電極と有機層間に設けられる層のことで、「有機EL素子とその工業化最前線(1998年11月30日エヌ・ティー・エス社発行)」の第2編第2章「電極材料」(123~166頁)に詳細に記載されており、正孔注入層と電子注入層とがある。An injection layer is a layer provided between an electrode and an organic layer in order to reduce drive voltage and improve light emission luminance. “Organic EL element and its forefront of industrialization (issued by NTT Corporation on November 30, 1998) ) ”, Chapter 2, Chapter 2,“ Electrode Materials ”(pages 123 to 166), which has a hole injection layer and an electron injection layer.
正孔注入層は、特開平9-45479号公報、同9-260062号公報、同8-288069号公報等にもその詳細が記載されており、具体例として、銅フタロシアニンに代表されるフタロシアニン層、酸化バナジウムに代表される酸化物層、アモルファスカーボン層、ポリアニリン(エメラルディン)やポリチオフェン等の導電性高分子を用いた高分子層等が挙げられる。The details of the hole injection layer are described in JP-A Nos. 9-45479, 9-260062, and 8-288069. Specific examples thereof include a phthalocyanine layer represented by copper phthalocyanine. And an oxide layer typified by vanadium oxide, an amorphous carbon layer, and a polymer layer using a conductive polymer such as polyaniline (emeraldine) or polythiophene.
電子注入層は、特開平6-325871号公報、同9-17574号公報、同10-74586号公報等にもその詳細が記載されており、具体的にはストロンチウムやアルミニウム等に代表される金属層、フッ化カリウムに代表されるアルカリ金属ハライド層、フッ化マグネシウムに代表されるアルカリ土類金属化合物層、酸化モリブデンに代表される酸化物層等が挙げられる。本発明に係わる電子注入層は金属層とアルカリ金属ハライド層との積層構成か酸化物層と金属層とアルカリ金属ハライド層との積層構成が好ましく、金属酸化物にアルカリ金属がドープされていても良い。金属酸化物にドープするアルカリ金属の量は1~10質量%が好ましい。上記電子注入層はごく薄い膜であることが望ましく、素材にもよるがその層厚は1nm~10μmの範囲が好ましい。The details of the electron injection layer are also described in JP-A-6-325871, JP-A-9-17574, JP-A-10-74586, and the like, and specifically, metals represented by strontium, aluminum and the like. Examples thereof include an alkali metal halide layer typified by potassium fluoride, an alkaline earth metal compound layer typified by magnesium fluoride, and an oxide layer typified by molybdenum oxide. The electron injection layer according to the present invention preferably has a laminated structure of a metal layer and an alkali metal halide layer or a laminated structure of an oxide layer, a metal layer and an alkali metal halide layer, and the metal oxide may be doped with an alkali metal. good. The amount of alkali metal doped in the metal oxide is preferably 1 to 10% by mass. The electron injection layer is preferably a very thin film, and the layer thickness is preferably in the range of 1 nm to 10 μm although it depends on the material.
〔アノード電極〕
カソード電極と対になるアノード電極(対向電極)としては、前述の透明導電性を構成する材料を用いても良いし、金属、合金、電気伝導性化合物及びこれらの混合物を電極物質とするものが用いることもできる。このような電極物質の具体例としては、ナトリウム、ナトリウム-カリウム合金、マグネシウム、リチウム、マグネシウム/銅混合物、マグネシウム/銀混合物、マグネシウム/アルミニウム混合物、マグネシウム/インジウム混合物、アルミニウム/酸化アルミニウム(Al2O3)混合物、インジウム、リチウム/アルミニウム混合物、希土類金属等が挙げられる。対向電極はこれらの電極物質を蒸着やスパッタリング等の方法により薄膜を形成させることにより、作製することができる。また、対向電極としてのシート抵抗は数百Ω/□以下が好ましく、膜厚は通常10nm~5μm、好ましくは50~200nmの範囲で選ばれる。[Anode electrode]
As the anode electrode (counter electrode) to be paired with the cathode electrode, the above-described material constituting the transparent conductivity may be used, or an electrode material made of a metal, an alloy, an electrically conductive compound, or a mixture thereof. It can also be used. Specific examples of such electrode materials include sodium, sodium-potassium alloy, magnesium, lithium, magnesium / copper mixture, magnesium / silver mixture, magnesium / aluminum mixture, magnesium / indium mixture, aluminum / aluminum oxide (Al2 O3 ) Mixtures, indium, lithium / aluminum mixtures, rare earth metals and the like. The counter electrode can be produced by forming a thin film of these electrode materials by a method such as vapor deposition or sputtering. Further, the sheet resistance as the counter electrode is preferably several hundred Ω / □ or less, and the film thickness is usually selected in the range of 10 nm to 5 μm, preferably 50 to 200 nm.
《用途》
本発明の有機EL素子は、表示デバイス、ディスプレイ、各種発光光源として用いることができる。発光光源として、例えば、家庭用照明、車内照明、時計や液晶用のバックライト、看板広告、信号機、光記憶媒体の光源、電子写真複写機の光源、光通信処理機の光源、光センサーの光源等が挙げられるがこれに限定するものではないが、特にカラーフィルターと組み合わせた液晶表示装置のバックライト、照明用光源としての用途に有効に用いることができる。<Application>
The organic EL element of the present invention can be used as a display device, a display, and various light emission sources. Examples of light sources include home lighting, interior lighting, clock and liquid crystal backlights, billboard advertisements, traffic lights, light sources for optical storage media, light sources for electrophotographic copying machines, light sources for optical communication processors, and light sources for optical sensors. Although it is not limited to this, it can be effectively used for a backlight of a liquid crystal display device combined with a color filter and a light source for illumination.
以下、実施例を挙げて本発明を具体的に説明するが、本発明はこれらに限定されるものではない。なお、実施例において「部」あるいは「%」の表示を用いるが、特に断りがない限り「質量部」あるいは「質量%」を表す。Hereinafter, the present invention will be specifically described with reference to examples, but the present invention is not limited thereto. In addition, although the display of "part" or "%" is used in an Example, unless otherwise indicated, "part by mass" or "mass%" is represented.
実施例1
《両面エミッション型有機EL素子の作製》
有機EL素子1~20は発光面積が5cm×5cmとなるように作製した。Example 1
<< Production of double-sided emission type organic EL elements >>
The
以下に図を用いて説明する。図1は、本発明の有機エレクトロルミネッセンス素子の構成の一例を示す概念図である。This will be described below with reference to the drawings. FIG. 1 is a conceptual diagram showing an example of the configuration of the organic electroluminescence element of the present invention.
〔有機EL素子1の作製〕
(アノード(陽極)の形成)
透明なガラスの基板の上に厚さ100nmとなる条件でITOをスパッタ法で成膜、パターニングして、ITO層から成るアノード(陽極)を形成した。次いで、ITO層を設けた基板を、イソプロピルアルコールで超音波洗浄し、乾燥窒素ガスで乾燥し、UVオゾン洗浄を5分間行った。[Production of Organic EL Element 1]
(Formation of anode (anode))
On a transparent glass substrate, an ITO film was formed by sputtering under the condition of a thickness of 100 nm and patterned to form an anode made of an ITO layer. Next, the substrate provided with the ITO layer was ultrasonically cleaned with isopropyl alcohol, dried with dry nitrogen gas, and subjected to UV ozone cleaning for 5 minutes.
(正孔注入層~電子輸送層の形成)
このITO層を設けた基板を市販の真空蒸着装置の基板ホルダーに固定し、タンタル製抵抗加熱ボードにα-NPD、H4、Ir-4、BAlq、Alq3、塩化カリウム、フッ化カリウム、フッ化リチウムをそれぞれ入れ、真空蒸着装置の第1真空槽に取り付けた。(Formation of hole injection layer to electron transport layer)
The substrate provided with the ITO layer is fixed to a substrate holder of a commercially available vacuum evaporation apparatus, and α-NPD, H4, Ir-4, BAlq, Alq3 , potassium chloride, potassium fluoride, fluoride fluoride are mounted on a tantalum resistance heating board. Lithium was added and attached to the first vacuum chamber of the vacuum deposition apparatus.
さらに、タングステン製抵抗加熱ボードに銀を入れ、真空蒸着装置の第2真空槽に取り付けた。Furthermore, silver was put into a resistance heating board made of tungsten and attached to the second vacuum chamber of the vacuum evaporation apparatus.
まず、第1真空槽を4×10-4Paまで減圧した後、α-NPDの入った前記加熱ボードに通電して加熱し、蒸着速度0.1nm/秒~0.2nm/秒でITO層上に層厚20nmの正孔注入兼正孔輸送層を設けた。First, after reducing the pressure of the first vacuum tank to 4 × 10−4 Pa, the heating board containing α-NPD was energized and heated, and the ITO layer was deposited at a deposition rate of 0.1 nm / second to 0.2 nm / second. A hole injection / hole transport layer having a layer thickness of 20 nm was provided thereon.
さらに、H4の入った前記加熱ボードとIr-4の入ったボードをそれぞれ独立に通電して、発光ホストであるH4と発光ドーパントであるIr-4の蒸着速度が100:6になるように調節し、層厚30nmの発光層を設けた。Furthermore, the heating board containing H4 and the board containing Ir-4 are energized independently to adjust the deposition rate of H4 as a light emitting host and Ir-4 as a light emitting dopant to 100: 6. Then, a light emitting layer having a layer thickness of 30 nm was provided.
次いで、BAlqの入った前記加熱ボードに通電して加熱し、蒸着速度0.1nm/秒~0.2nm/秒で層厚10nmの正孔阻止層を設けた。Next, the heating board containing BAlq was energized and heated to provide a hole blocking layer having a layer thickness of 10 nm at a deposition rate of 0.1 nm / second to 0.2 nm / second.
さらに、Alq3の入った前記加熱ボードを通電して加熱し蒸着速度0.1nm/秒~0.2nm/秒で層厚20nmの電子輸送層を設けた。Further, the heating board containing Alq3 was heated by energization to provide an electron transport layer having a layer thickness of 20 nm at a deposition rate of 0.1 nm / second to 0.2 nm / second.
(カソード(陰極)の形成)
次に、電子輸送層まで成膜した素子を真空のまま第2真空槽に移し、第2真空槽を4×10-4Paまで減圧した後、銀の入った前記加熱ボードに通電して、蒸着速度0.1~0.1nm/秒~0.2nm/秒で層厚15nmの銀から成る層を形成し、カソードを得た。(Formation of cathode (cathode))
Next, the element formed up to the electron transport layer was transferred to the second vacuum chamber while being vacuumed, and after the second vacuum chamber was depressurized to 4 × 10−4 Pa, the heating board containing silver was energized, A layer made of silver having a layer thickness of 15 nm was formed at a deposition rate of 0.1 to 0.1 nm / second to 0.2 nm / second to obtain a cathode.
このとき、銀薄膜まで成膜した素子を二つ作製しておき、一つは封止まで行い素子特性を評価し、残りの一つは銀薄膜の透過率とシート抵抗値をそれぞれ三菱化学製ロレスターGPの4端子4探針法、オーシャンオプティクス製ファイバマルチチャンネル分光器で測定した。得られた銀薄膜の透過率とシート抵抗値は表1に記載した。At this time, two elements formed up to the silver thin film were prepared, one was sealed until the element characteristics were evaluated, and the other one was the transmittance and sheet resistance value of the silver thin film respectively manufactured by Mitsubishi Chemical. The measurement was carried out using a 4-terminal 4-probe method of Lorester GP and a fiber multichannel spectrometer manufactured by Ocean Optics. The transmittance and sheet resistance value of the obtained silver thin film are shown in Table 1.
(素子の封止)
最後に、上記で得られた素子をガラスケースで覆い、厚さ300μmのガラス基板を封止用基板として用い、周囲にシール材としてエポキシ系光硬化型接着剤(東亞合成社製ラックストラックLC0629B)を適用し、これを前記透明支持基板と密着させ、ガラス基板側からUV光を照射して、硬化・封止して、有機EL素子1を得た。(Element sealing)
Finally, the device obtained above is covered with a glass case, a glass substrate having a thickness of 300 μm is used as a sealing substrate, and an epoxy-based photocurable adhesive (Lux Track LC0629B manufactured by Toagosei Co., Ltd.) is used as a sealing material around the periphery. Was applied to the transparent support substrate, irradiated with UV light from the glass substrate side, cured and sealed to obtain an
〔有機EL素子2の作製〕
銀の層厚を表1に記載した値に変更した以外は有機EL素子1と同様な方法で有機EL素子2を作製した。[Production of Organic EL Element 2]
An organic EL element 2 was produced in the same manner as the
〔有機EL素子3の作製〕
(アノード~電子輸送層の形成)
アノード~電子輸送層までは有機EL素子1と同様な方法で形成した。[Production of Organic EL Element 3]
(Formation of anode to electron transport layer)
The anode to the electron transport layer were formed by the same method as in the
(電子注入層の形成)
次に、フッ化リチウムの入った前記加熱ボードに通電して加熱し、蒸着速度0.01nm/秒~0.02nm/秒で電子輸送層上に層厚1nmの電子注入層を設けた。(Formation of electron injection layer)
Next, the heating board containing lithium fluoride was energized and heated to provide an electron injection layer having a thickness of 1 nm on the electron transport layer at a deposition rate of 0.01 nm / sec to 0.02 nm / sec.
(カソード(陰極)の形成)
次に、得られた素子を真空のまま第2真空槽に移し、第2真空槽を4×10-4Paまで減圧した後、銀の入った前記加熱ボードに通電して、蒸着速度0.1~0.1nm/秒~0.2nm/秒で層厚15nmの銀からなる層を形成し、カソードを得た。(Formation of cathode (cathode))
Next, the obtained element was transferred to the second vacuum chamber while maintaining a vacuum, and the second vacuum chamber was depressurized to 4 × 10−4 Pa, and then the heating board containing silver was energized to obtain a deposition rate of 0. A layer made of silver having a layer thickness of 15 nm was formed at 1 to 0.1 nm / second to 0.2 nm / second to obtain a cathode.
このとき銀薄膜まで成膜した素子を二つ作製しておき、一つは封止まで行い素子特性を評価し、残りの一つは銀薄膜の透過率とシート抵抗値をそれぞれ三菱化学製ロレスターGPの4端子4探針法、オーシャンオプティクス製ファイバマルチチャンネル分光器で測定した。得られた銀薄膜の透過率とシート抵抗値は表1に記載した。At this time, two elements formed up to the silver thin film were prepared, one was sealed and the element characteristics were evaluated, and the other was the transmittance and sheet resistance of the silver thin film, respectively. The measurement was performed using a 4-terminal 4-probe method of GP and a fiber multichannel spectrometer manufactured by Ocean Optics. The transmittance and sheet resistance value of the obtained silver thin film are shown in Table 1.
(素子の封止)
最後に、上記で得られた素子をガラスケースで覆い、厚さ300μmのガラス基板を封止用基板として用い、周囲にシール材としてエポキシ系光硬化型接着剤(東亞合成社製ラックストラックLC0629B)を適用し、これを前記透明支持基板と密着させ、ガラス基板側からUV光を照射して、硬化・封止して、有機EL素子3を得た。(Element sealing)
Finally, the device obtained above is covered with a glass case, a glass substrate having a thickness of 300 μm is used as a sealing substrate, and an epoxy-based photocurable adhesive (Lux Track LC0629B manufactured by Toagosei Co., Ltd.) is used as a sealing material around the periphery. Was applied to the transparent support substrate, irradiated with UV light from the glass substrate side, cured and sealed to obtain an organic EL element 3.
〔有機EL素子4の作製〕
銀の層厚を表1に記載した値に変更した以外は有機EL素子1と同様な方法で有機EL素子4を作製した。[Production of Organic EL Element 4]
An
〔有機EL素子5の作製〕
(アノード~電子輸送層の形成)
アノード~電子輸送層までは有機EL素子1と同様な方法で形成した。[Production of Organic EL Element 5]
(Formation of anode to electron transport layer)
The anode to the electron transport layer were formed by the same method as in the
(カソード(陰極)の形成)
次に、塩化カリウムの入った加熱ボードとAlq3の入った前記加熱ボードとをそれぞれ独立に通電して、塩化カリウムとAlq3との蒸着速度が1:4になるように調節し、層厚10nmの塩化カリウムがドープされたAlq3層を設けた。(Formation of cathode (cathode))
Next, the heating board containing potassium chloride and the heating board containing Alq3 were energized independently to adjust the deposition rate of potassium chloride and Alq3 to be 1: 4. An Alq3 layer doped with 10 nm potassium chloride was provided.
さらに、得られた素子を真空のまま第2真空槽に移し、第2真空槽を4×10-4Paまで減圧した後、銀の入った前記加熱ボードに通電して、蒸着速度0.1~0.1nm/秒~0.2nm/秒で層厚10nmの銀からなる層を形成し、カソードを得た。Further, the obtained element was transferred to the second vacuum chamber while being vacuumed, and the second vacuum chamber was depressurized to 4 × 10−4 Pa, and then the heating board containing silver was energized to obtain a deposition rate of 0.1. A layer made of silver having a layer thickness of 10 nm was formed at a thickness of ˜0.1 nm / second to 0.2 nm / second to obtain a cathode.
このとき銀薄膜まで成膜した素子を二つ作製しておき、一つは封止まで行い素子特性を評価し、残りの一つは銀薄膜の透過率とシート抵抗値をそれぞれ三菱化学製ロレスターGPの4端子4探針法、オーシャンオプティクス製ファイバマルチチャンネル分光器で測定した。得られた銀薄膜の透過率とシート抵抗値は表1に記載した。At this time, two elements formed up to the silver thin film were prepared, one was sealed and the element characteristics were evaluated, and the other was the transmittance and sheet resistance of the silver thin film, respectively. The measurement was performed using a 4-terminal 4-probe method of GP and a fiber multichannel spectrometer manufactured by Ocean Optics. The transmittance and sheet resistance value of the obtained silver thin film are shown in Table 1.
(素子の封止)
最後に、上記で得られた素子をガラスケースで覆い、厚み300μmのガラス基板を封止用基板として用い、周囲にシール材としてエポキシ系光硬化型接着剤(東亞合成社製ラックストラックLC0629B)を適用し、これを前記透明支持基板と密着させ、ガラス基板側からUV光を照射して、硬化・封止して、有機EL素子5を得た。(Element sealing)
Finally, the device obtained above is covered with a glass case, a glass substrate having a thickness of 300 μm is used as a sealing substrate, and an epoxy-based photocurable adhesive (Lux Track LC0629B, manufactured by Toagosei Co., Ltd.) is used as a sealing material around it. This was applied, adhered to the transparent support substrate, irradiated with UV light from the glass substrate side, cured and sealed to obtain an
〔有機EL素子6の作製〕
表1に記載の如く、塩化カリウムをフッ化カリウムに変更した以外は有機EL素子5と同様な方法で有機EL素子6を作製した。[Production of Organic EL Element 6]
As shown in Table 1, an organic EL element 6 was produced in the same manner as the
〔有機EL素子7の作製〕
表1に記載の如く、Alq3を化合物(99)に変更した以外は有機EL素子6と同様な方法で有機EL素子7を作製した。[Production of Organic EL Element 7]
As shown in Table 1, an organic EL device 7 was produced in the same manner as the organic EL device 6 except that Alq3 was changed to the compound (99).
〔有機EL素子8の作製〕
表1に記載の如く、Alq3の層厚を10nmから35nmに変更した以外は有機EL素子7と同様な方法で有機EL素子8を作製した。[Production of Organic EL Element 8]
As shown in Table 1, an
〔有機EL素子9、10の作製〕
表1に記載の如く、化合物(99)を化合物(94)、化合物(10)に変更した以外は有機EL素子8と同様な方法で有機EL素子9、10を作製した。[Preparation of
As shown in Table 1,
〔有機EL素子11~13の作製〕
表1に記載の如く、Ir-4をIr-12、Ir-24、Ir-26に変更した以外は有機EL素子10と同様な方法で有機EL素子11~13を作製した。[Production of
As shown in Table 1,
〔有機EL素子14~17の作製〕
銀の層厚を表1に記載した値に変更した以外は有機EL素子13と同様な方法で有機EL素子14~17を作製した。[Preparation of organic EL elements 14 to 17]
Organic EL elements 14 to 17 were produced in the same manner as the organic EL element 13 except that the silver layer thickness was changed to the value described in Table 1.
〔有機EL素子18の作製〕
(アノード~カソードの形成)
アノード~カソードまでは、有機EL素子17と同様な方法で形成した。[Production of Organic EL Element 18]
(Formation of anode to cathode)
The anode to cathode were formed by the same method as the organic EL element 17.
(補助電極の形成)
カソード上に、シャドーマスクを用いて蒸着法で線幅50μm、厚さ1μm、ピッチ1mmの間隔でライン状の銀パターンから成る補助電極を作製した。(Formation of auxiliary electrode)
On the cathode, an auxiliary electrode made of a line-shaped silver pattern was produced by a vapor deposition method using a shadow mask with a line width of 50 μm, a thickness of 1 μm, and a pitch of 1 mm.
(素子の封止)
最後に、上記で得られた素子をガラスケースで覆い、厚み300μmのガラス基板を封止用基板として用い、周囲にシール材としてエポキシ系光硬化型接着剤(東亞合成社製ラックストラックLC0629B)を適用し、これを前記透明支持基板と密着させ、ガラス基板側からUV光を照射して、硬化・封止して、有機EL素子18を得た。(Element sealing)
Finally, the device obtained above is covered with a glass case, a glass substrate having a thickness of 300 μm is used as a sealing substrate, and an epoxy-based photocurable adhesive (Lux Track LC0629B, manufactured by Toagosei Co., Ltd.) is used as a sealing material around it. This was applied, adhered to the transparent support substrate, irradiated with UV light from the glass substrate side, cured and sealed to obtain an organic EL element 18.
〔有機EL素子19の作製〕
表1に記載の如く、化合物(99)をAlq3に、銀の膜厚を10nmから0.5nmに変更した以外は有機EL素子8と同様な方法で有機EL素子19を作製した。[Production of Organic EL Element 19]
As shown in Table 1, an organic EL device 19 was produced in the same manner as the
〔有機EL素子20の作製〕
銀の膜厚を表1に記載した値に変更した以外は有機EL素子19と同様な方法で有機EL素子20を作製した。[Production of Organic EL Element 20]
An organic EL element 20 was produced in the same manner as the organic EL element 19 except that the film thickness of silver was changed to the value described in Table 1.
《有機EL素子の評価》
上記作製した各有機EL素子について、下記の方法に従って電圧の測定を行った。<< Evaluation of organic EL elements >>
About each produced said organic EL element, the voltage was measured in accordance with the following method.
〔駆動電圧の測定〕
上記で作製した各有機EL素子に対し、アノード側とカソード側の両側の正面輝度の和が1000cd/m2となるときの電圧を各素子の電圧とした。なお、輝度の測定には分光放射輝度計CS-1000(コニカミノルタセンシング製)を用いた。得られた電圧の数値が小さいほど、好ましい結果であることを表す。[Measurement of drive voltage]
With respect to each organic EL element produced as described above, the voltage at which the sum of the front luminances on both the anode side and the cathode side becomes 1000 cd / m2 was defined as the voltage of each element. For measurement of luminance, a spectral radiance meter CS-1000 (manufactured by Konica Minolta Sensing) was used. The smaller the numerical value of the voltage obtained, the better the result.
〔素子透過率の測定〕
上記作製した各有機EL素子に対し、オーシャンオプティクス製ファイバマルチチャンネル分光器を用いて、素子の透過率を測定した。(Measurement of element transmittance)
With respect to each organic EL element produced as described above, the transmittance of the element was measured using a fiber multichannel spectrometer manufactured by Ocean Optics.
以上により得られた結果を、表1に示す。Table 1 shows the results obtained as described above.
表1に記載の結果より明らかな様に、本発明に係る有機EL素子は、比較例に対し、駆動電圧が低く、素子透過率が高いことが分かる。As is clear from the results shown in Table 1, it can be seen that the organic EL device according to the present invention has a lower drive voltage and higher device transmittance than the comparative example.
1 基材
2 アノード(陽極)
3 正孔注入層
4 正孔輸送層
5 発光層
6 電子輸送層
7 電子注入層
8 薄膜金属層
9 カリウムを含有する層
10 金属酸化物を含有する層
11 透明導電性層
12 カソード(陰極)1 Substrate 2 Anode (Anode)
DESCRIPTION OF SYMBOLS 3
| Application Number | Priority Date | Filing Date | Title |
|---|---|---|---|
| JP2013511959AJP5821951B2 (en) | 2011-04-26 | 2012-02-21 | ORGANIC ELECTROLUMINESCENT ELEMENT AND LIGHTING DEVICE |
| Application Number | Priority Date | Filing Date | Title |
|---|---|---|---|
| JP2011-097984 | 2011-04-26 | ||
| JP2011097984 | 2011-04-26 |
| Publication Number | Publication Date |
|---|---|
| WO2012147397A1true WO2012147397A1 (en) | 2012-11-01 |
| Application Number | Title | Priority Date | Filing Date |
|---|---|---|---|
| PCT/JP2012/054124WO2012147397A1 (en) | 2011-04-26 | 2012-02-21 | Organic electroluminescent element and illuminating apparatus |
| Country | Link |
|---|---|
| JP (1) | JP5821951B2 (en) |
| WO (1) | WO2012147397A1 (en) |
| Publication number | Priority date | Publication date | Assignee | Title |
|---|---|---|---|---|
| WO2014147134A1 (en) | 2013-03-20 | 2014-09-25 | Basf Se | Azabenzimidazole carbene complexes as efficiency booster in oleds |
| JP2014182998A (en)* | 2013-03-21 | 2014-09-29 | Kaneka Corp | Organic EL module |
| WO2014177518A1 (en) | 2013-04-29 | 2014-11-06 | Basf Se | Transition metal complexes with carbene ligands and the use thereof in oleds |
| WO2015000955A1 (en) | 2013-07-02 | 2015-01-08 | Basf Se | Monosubstituted diazabenzimidazole carbene metal complexes for use in organic light emitting diodes |
| WO2015063046A1 (en) | 2013-10-31 | 2015-05-07 | Basf Se | Azadibenzothiophenes for electronic applications |
| WO2016016791A1 (en) | 2014-07-28 | 2016-02-04 | Idemitsu Kosan Co., Ltd (Ikc) | 2,9-functionalized benzimidazolo[1,2-a]benzimidazoles as hosts for organic light emitting diodes (oleds) |
| EP2982676A1 (en) | 2014-08-07 | 2016-02-10 | Idemitsu Kosan Co., Ltd. | Benzimidazo[2,1-B]benzoxazoles for electronic applications |
| EP2993215A1 (en) | 2014-09-04 | 2016-03-09 | Idemitsu Kosan Co., Ltd. | Azabenzimidazo[2,1-a]benzimidazoles for electronic applications |
| EP3015469A1 (en) | 2014-10-30 | 2016-05-04 | Idemitsu Kosan Co., Ltd. | 5-((benz)imidazol-2-yl)benzimidazo[1,2-a]benzimidazoles for electronic applications |
| WO2016079667A1 (en) | 2014-11-17 | 2016-05-26 | Idemitsu Kosan Co., Ltd. | Indole derivatives for electronic applications |
| WO2016079169A1 (en) | 2014-11-18 | 2016-05-26 | Basf Se | Pt- or pd-carbene complexes for use in organic light emitting diodes |
| EP3034506A1 (en) | 2014-12-15 | 2016-06-22 | Idemitsu Kosan Co., Ltd | 4-functionalized carbazole derivatives for electronic applications |
| EP3034507A1 (en) | 2014-12-15 | 2016-06-22 | Idemitsu Kosan Co., Ltd | 1-functionalized dibenzofurans and dibenzothiophenes for organic light emitting diodes (OLEDs) |
| EP3054498A1 (en) | 2015-02-06 | 2016-08-10 | Idemitsu Kosan Co., Ltd. | Bisimidazodiazocines |
| EP3053918A1 (en) | 2015-02-06 | 2016-08-10 | Idemitsu Kosan Co., Ltd | 2-carbazole substituted benzimidazoles for electronic applications |
| EP3061759A1 (en) | 2015-02-24 | 2016-08-31 | Idemitsu Kosan Co., Ltd | Nitrile substituted dibenzofurans |
| EP3070144A1 (en) | 2015-03-17 | 2016-09-21 | Idemitsu Kosan Co., Ltd. | Seven-membered ring compounds |
| EP3072943A1 (en) | 2015-03-26 | 2016-09-28 | Idemitsu Kosan Co., Ltd. | Dibenzofuran/carbazole-substituted benzonitriles |
| EP3075737A1 (en) | 2015-03-31 | 2016-10-05 | Idemitsu Kosan Co., Ltd | Benzimidazolo[1,2-a]benzimidazole carrying aryl- or heteroarylnitril groups for organic light emitting diodes |
| WO2016193243A1 (en) | 2015-06-03 | 2016-12-08 | Udc Ireland Limited | Highly efficient oled devices with very short decay times |
| EP3150604A1 (en) | 2015-10-01 | 2017-04-05 | Idemitsu Kosan Co., Ltd. | Benzimidazolo[1,2-a]benzimidazole carrying benzimidazolo[1,2-a]benzimidazolyl groups, carbazolyl groups, benzofurane groups or benzothiophene groups for organic light emitting diodes |
| EP3150606A1 (en) | 2015-10-01 | 2017-04-05 | Idemitsu Kosan Co., Ltd. | Benzimidazolo[1,2-a]benzimidazoles carrying benzofurane or benzothiophene groups for organic light emitting diodes |
| WO2017056055A1 (en) | 2015-10-01 | 2017-04-06 | Idemitsu Kosan Co., Ltd. | Benzimidazolo[1,2-a]benzimidazole carrying triazine groups for organic light emitting diodes |
| WO2017056053A1 (en) | 2015-10-01 | 2017-04-06 | Idemitsu Kosan Co., Ltd. | Benzimidazolo[1,2-a]benzimidazole carrying benzimidazolo[1,2-a]benzimidazolyl groups, carbazolyl groups, benzofurane groups or benzothiophene groups for organic light emitting diodes |
| WO2017078182A1 (en) | 2015-11-04 | 2017-05-11 | Idemitsu Kosan Co., Ltd. | Benzimidazole fused heteroaryls |
| WO2017093958A1 (en) | 2015-12-04 | 2017-06-08 | Idemitsu Kosan Co., Ltd. | Benzimidazolo[1,2-a]benzimidazole derivatives for organic light emitting diodes |
| EP3184534A1 (en) | 2015-12-21 | 2017-06-28 | UDC Ireland Limited | Transition metal complexes with tripodal ligands and the use thereof in oleds |
| WO2017109727A1 (en) | 2015-12-21 | 2017-06-29 | Idemitsu Kosan Co., Ltd. | Hetero-condensed phenylquinazolines and their use in electronic devices |
| WO2017178864A1 (en) | 2016-04-12 | 2017-10-19 | Idemitsu Kosan Co., Ltd. | Seven-membered ring compounds |
| CN107305908A (en)* | 2016-04-20 | 2017-10-31 | 三星显示有限公司 | Organic Light Emitting Diode and organic electroluminescence display panel |
| EP3239161A1 (en) | 2013-07-31 | 2017-11-01 | UDC Ireland Limited | Luminescent diazabenzimidazole carbene metal complexes |
| US9862739B2 (en) | 2014-03-31 | 2018-01-09 | Udc Ireland Limited | Metal complexes, comprising carbene ligands having an O-substituted non-cyclometalated aryl group and their use in organic light emitting diodes |
| EP3318566A1 (en) | 2012-09-20 | 2018-05-09 | UDC Ireland Limited | Azadibenzofurans for electronic applications |
| EP3418285A1 (en) | 2017-06-20 | 2018-12-26 | Idemitsu Kosan Co., Ltd. | Composition comprising a substituted ir complex and a phenylquinazoline bridged with a heteroatom |
| EP3466954A1 (en) | 2017-10-04 | 2019-04-10 | Idemitsu Kosan Co., Ltd. | Fused phenylquinazolines bridged with a heteroatom |
| EP3466957A1 (en) | 2014-08-08 | 2019-04-10 | UDC Ireland Limited | Oled comprising an electroluminescent imidazo-quinoxaline carbene metal complexes |
| US10347851B2 (en) | 2013-12-20 | 2019-07-09 | Udc Ireland Limited | Highly efficient OLED devices with very short decay times |
| Publication number | Priority date | Publication date | Assignee | Title |
|---|---|---|---|---|
| JP2000223277A (en)* | 1999-02-01 | 2000-08-11 | Minolta Co Ltd | Organic electroluminescent display device |
| JP2010225653A (en)* | 2009-03-19 | 2010-10-07 | Mitsubishi Chemicals Corp | Composition for charge transport film, organic electroluminescence device, organic EL display and organic EL lighting |
| JP2010251675A (en)* | 2008-05-13 | 2010-11-04 | Konica Minolta Holdings Inc | Organic electroluminescence element, display device and lighting device |
| Publication number | Priority date | Publication date | Assignee | Title |
|---|---|---|---|---|
| US6559594B2 (en)* | 2000-02-03 | 2003-05-06 | Semiconductor Energy Laboratory Co., Ltd. | Light-emitting device |
| JP2010080307A (en)* | 2008-09-26 | 2010-04-08 | Sumitomo Chemical Co Ltd | Organic electroluminescent element |
| GB2484054B (en)* | 2009-07-31 | 2014-09-03 | Sumitomo Chemical Co | Polymer light-emitting device |
| JP2011076795A (en)* | 2009-09-29 | 2011-04-14 | Sumitomo Chemical Co Ltd | Organic el device |
| JP5659478B2 (en)* | 2009-10-05 | 2015-01-28 | コニカミノルタ株式会社 | Organic electroluminescence element, lighting device and display device |
| Publication number | Priority date | Publication date | Assignee | Title |
|---|---|---|---|---|
| JP2000223277A (en)* | 1999-02-01 | 2000-08-11 | Minolta Co Ltd | Organic electroluminescent display device |
| JP2010251675A (en)* | 2008-05-13 | 2010-11-04 | Konica Minolta Holdings Inc | Organic electroluminescence element, display device and lighting device |
| JP2010225653A (en)* | 2009-03-19 | 2010-10-07 | Mitsubishi Chemicals Corp | Composition for charge transport film, organic electroluminescence device, organic EL display and organic EL lighting |
| Publication number | Priority date | Publication date | Assignee | Title |
|---|---|---|---|---|
| US10249827B2 (en) | 2012-09-20 | 2019-04-02 | Udc Ireland Limited | Azadibenzofurans for electronic applications |
| EP3318566A1 (en) | 2012-09-20 | 2018-05-09 | UDC Ireland Limited | Azadibenzofurans for electronic applications |
| WO2014147134A1 (en) | 2013-03-20 | 2014-09-25 | Basf Se | Azabenzimidazole carbene complexes as efficiency booster in oleds |
| JP2014182998A (en)* | 2013-03-21 | 2014-09-29 | Kaneka Corp | Organic EL module |
| WO2014177518A1 (en) | 2013-04-29 | 2014-11-06 | Basf Se | Transition metal complexes with carbene ligands and the use thereof in oleds |
| WO2015000955A1 (en) | 2013-07-02 | 2015-01-08 | Basf Se | Monosubstituted diazabenzimidazole carbene metal complexes for use in organic light emitting diodes |
| EP3266789A1 (en) | 2013-07-02 | 2018-01-10 | UDC Ireland Limited | Monosubstituted diazabenzimidazole carbene metal complexes for use in organic light emitting diodes |
| EP3608329A1 (en) | 2013-07-02 | 2020-02-12 | UDC Ireland Limited | Monosubstituted diazabenzimidazole carbene metal complexes for use in organic light emitting diodes |
| EP3239161A1 (en) | 2013-07-31 | 2017-11-01 | UDC Ireland Limited | Luminescent diazabenzimidazole carbene metal complexes |
| WO2015063046A1 (en) | 2013-10-31 | 2015-05-07 | Basf Se | Azadibenzothiophenes for electronic applications |
| US11075346B2 (en) | 2013-12-20 | 2021-07-27 | Udc Ireland Limited | Highly efficient OLED devices with very short decay times |
| EP3916822A1 (en) | 2013-12-20 | 2021-12-01 | UDC Ireland Limited | Highly efficient oled devices with very short decay times |
| EP4600326A2 (en) | 2013-12-20 | 2025-08-13 | UDC Ireland Limited | Highly efficient oled devices with very short decay times |
| US12342715B2 (en) | 2013-12-20 | 2025-06-24 | Udc Ireland Limited | Highly efficient OLED devices with very short decay times |
| US11765967B2 (en) | 2013-12-20 | 2023-09-19 | Udc Ireland Limited | Highly efficient OLED devices with very short decay times |
| US10347851B2 (en) | 2013-12-20 | 2019-07-09 | Udc Ireland Limited | Highly efficient OLED devices with very short decay times |
| US10370396B2 (en) | 2014-03-31 | 2019-08-06 | Udc Ireland Limited | Metal complexes, comprising carbene ligands having an O-substituted non-cyclometallated aryl group and their use in organic light emitting diodes |
| US9862739B2 (en) | 2014-03-31 | 2018-01-09 | Udc Ireland Limited | Metal complexes, comprising carbene ligands having an O-substituted non-cyclometalated aryl group and their use in organic light emitting diodes |
| US10118939B2 (en) | 2014-03-31 | 2018-11-06 | Udc Ireland Limited | Metal complexes, comprising carbene ligands having an o-substituted non-cyclometalated aryl group and their use in organic light emitting diodes |
| WO2016016791A1 (en) | 2014-07-28 | 2016-02-04 | Idemitsu Kosan Co., Ltd (Ikc) | 2,9-functionalized benzimidazolo[1,2-a]benzimidazoles as hosts for organic light emitting diodes (oleds) |
| EP2982676A1 (en) | 2014-08-07 | 2016-02-10 | Idemitsu Kosan Co., Ltd. | Benzimidazo[2,1-B]benzoxazoles for electronic applications |
| EP3466957A1 (en) | 2014-08-08 | 2019-04-10 | UDC Ireland Limited | Oled comprising an electroluminescent imidazo-quinoxaline carbene metal complexes |
| US10784448B2 (en) | 2014-08-08 | 2020-09-22 | Udc Ireland Limited | Electroluminescent imidazo-quinoxaline carbene metal complexes |
| EP2993215A1 (en) | 2014-09-04 | 2016-03-09 | Idemitsu Kosan Co., Ltd. | Azabenzimidazo[2,1-a]benzimidazoles for electronic applications |
| WO2016067261A1 (en) | 2014-10-30 | 2016-05-06 | Idemitsu Kosan Co., Ltd. | 5-((benz)imidazol-2-yl)benzimidazo[1,2-a]benzimidazoles for electronic applications |
| EP3015469A1 (en) | 2014-10-30 | 2016-05-04 | Idemitsu Kosan Co., Ltd. | 5-((benz)imidazol-2-yl)benzimidazo[1,2-a]benzimidazoles for electronic applications |
| WO2016079667A1 (en) | 2014-11-17 | 2016-05-26 | Idemitsu Kosan Co., Ltd. | Indole derivatives for electronic applications |
| WO2016079169A1 (en) | 2014-11-18 | 2016-05-26 | Basf Se | Pt- or pd-carbene complexes for use in organic light emitting diodes |
| EP3034506A1 (en) | 2014-12-15 | 2016-06-22 | Idemitsu Kosan Co., Ltd | 4-functionalized carbazole derivatives for electronic applications |
| EP3034507A1 (en) | 2014-12-15 | 2016-06-22 | Idemitsu Kosan Co., Ltd | 1-functionalized dibenzofurans and dibenzothiophenes for organic light emitting diodes (OLEDs) |
| WO2016097983A1 (en) | 2014-12-15 | 2016-06-23 | Idemitsu Kosan Co., Ltd. | 1-functionalized dibenzofurans and dibenzothiophenes for organic light emitting diodes (oleds) |
| WO2016125110A1 (en) | 2015-02-06 | 2016-08-11 | Idemitsu Kosan Co., Ltd. | Bisimidazolodiazocines |
| EP3054498A1 (en) | 2015-02-06 | 2016-08-10 | Idemitsu Kosan Co., Ltd. | Bisimidazodiazocines |
| EP3053918A1 (en) | 2015-02-06 | 2016-08-10 | Idemitsu Kosan Co., Ltd | 2-carbazole substituted benzimidazoles for electronic applications |
| EP3061759A1 (en) | 2015-02-24 | 2016-08-31 | Idemitsu Kosan Co., Ltd | Nitrile substituted dibenzofurans |
| EP3070144A1 (en) | 2015-03-17 | 2016-09-21 | Idemitsu Kosan Co., Ltd. | Seven-membered ring compounds |
| EP3072943A1 (en) | 2015-03-26 | 2016-09-28 | Idemitsu Kosan Co., Ltd. | Dibenzofuran/carbazole-substituted benzonitriles |
| EP3075737A1 (en) | 2015-03-31 | 2016-10-05 | Idemitsu Kosan Co., Ltd | Benzimidazolo[1,2-a]benzimidazole carrying aryl- or heteroarylnitril groups for organic light emitting diodes |
| WO2016157113A1 (en) | 2015-03-31 | 2016-10-06 | Idemitsu Kosan Co., Ltd. | Benzimidazolo[1,2-a]benzimidazole carrying aryl- or heteroarylnitril groups for organic light emitting diodes |
| EP4060757A1 (en) | 2015-06-03 | 2022-09-21 | UDC Ireland Limited | Highly efficient oled devices with very short decay times |
| WO2016193243A1 (en) | 2015-06-03 | 2016-12-08 | Udc Ireland Limited | Highly efficient oled devices with very short decay times |
| WO2017056053A1 (en) | 2015-10-01 | 2017-04-06 | Idemitsu Kosan Co., Ltd. | Benzimidazolo[1,2-a]benzimidazole carrying benzimidazolo[1,2-a]benzimidazolyl groups, carbazolyl groups, benzofurane groups or benzothiophene groups for organic light emitting diodes |
| EP3150604A1 (en) | 2015-10-01 | 2017-04-05 | Idemitsu Kosan Co., Ltd. | Benzimidazolo[1,2-a]benzimidazole carrying benzimidazolo[1,2-a]benzimidazolyl groups, carbazolyl groups, benzofurane groups or benzothiophene groups for organic light emitting diodes |
| EP3150606A1 (en) | 2015-10-01 | 2017-04-05 | Idemitsu Kosan Co., Ltd. | Benzimidazolo[1,2-a]benzimidazoles carrying benzofurane or benzothiophene groups for organic light emitting diodes |
| WO2017056055A1 (en) | 2015-10-01 | 2017-04-06 | Idemitsu Kosan Co., Ltd. | Benzimidazolo[1,2-a]benzimidazole carrying triazine groups for organic light emitting diodes |
| WO2017056052A1 (en) | 2015-10-01 | 2017-04-06 | Idemitsu Kosan Co., Ltd. | Benzimidazolo[1,2-a]benzimidazole carrying benzimidazolo[1,2-a]benzimidazolyl groups, carbazolyl groups, benzofurane groups or benzothiophene groups for organic light emitting diodes |
| WO2017078182A1 (en) | 2015-11-04 | 2017-05-11 | Idemitsu Kosan Co., Ltd. | Benzimidazole fused heteroaryls |
| WO2017093958A1 (en) | 2015-12-04 | 2017-06-08 | Idemitsu Kosan Co., Ltd. | Benzimidazolo[1,2-a]benzimidazole derivatives for organic light emitting diodes |
| WO2017109727A1 (en) | 2015-12-21 | 2017-06-29 | Idemitsu Kosan Co., Ltd. | Hetero-condensed phenylquinazolines and their use in electronic devices |
| EP3184534A1 (en) | 2015-12-21 | 2017-06-28 | UDC Ireland Limited | Transition metal complexes with tripodal ligands and the use thereof in oleds |
| US10490754B2 (en) | 2015-12-21 | 2019-11-26 | Udc Ireland Limited | Transition metal complexes with tripodal ligands and the use thereof in OLEDs |
| WO2017109722A1 (en) | 2015-12-21 | 2017-06-29 | Idemitsu Kosan Co., Ltd. | Nitrogen-containing heterocyclic compounds and organic electroluminescence devices containing them |
| WO2017178864A1 (en) | 2016-04-12 | 2017-10-19 | Idemitsu Kosan Co., Ltd. | Seven-membered ring compounds |
| CN107305908A (en)* | 2016-04-20 | 2017-10-31 | 三星显示有限公司 | Organic Light Emitting Diode and organic electroluminescence display panel |
| EP3418285A1 (en) | 2017-06-20 | 2018-12-26 | Idemitsu Kosan Co., Ltd. | Composition comprising a substituted ir complex and a phenylquinazoline bridged with a heteroatom |
| EP3466954A1 (en) | 2017-10-04 | 2019-04-10 | Idemitsu Kosan Co., Ltd. | Fused phenylquinazolines bridged with a heteroatom |
| Publication number | Publication date |
|---|---|
| JPWO2012147397A1 (en) | 2014-07-28 |
| JP5821951B2 (en) | 2015-11-24 |
| Publication | Publication Date | Title |
|---|---|---|
| JP5821951B2 (en) | ORGANIC ELECTROLUMINESCENT ELEMENT AND LIGHTING DEVICE | |
| US9871222B2 (en) | Organic electroluminescence element and illumination device | |
| JP5900351B2 (en) | Method for manufacturing organic electroluminescence element | |
| JP6070567B2 (en) | Transparent electrode and electronic device | |
| JP5600890B2 (en) | Organic electroluminescence element, display device and lighting device | |
| JP5888243B2 (en) | Organic electroluminescence device | |
| JP6003144B2 (en) | Manufacturing method of transparent electrode | |
| JP5943005B2 (en) | Transparent electrode, electronic device, organic electroluminescent element, and method for producing organic electroluminescent element | |
| US9112168B2 (en) | Organic electroluminescence element, illumination device and display device | |
| JP6137170B2 (en) | Organic electroluminescence device | |
| JP5938756B2 (en) | ORGANIC ELECTROLUMINESCENT ELEMENT AND LIGHTING DEVICE | |
| JP6241281B2 (en) | Transparent electrodes and electronic devices | |
| JP6119605B2 (en) | ORGANIC ELECTROLUMINESCENT ELEMENT AND LIGHTING DEVICE | |
| JP5708068B2 (en) | ORGANIC ELECTROLUMINESCENT ELEMENT AND LIGHTING DEVICE | |
| JP6241282B2 (en) | Transparent electrodes and electronic devices | |
| JP2012160632A (en) | Organic electroluminescent element and luminaire |
| Date | Code | Title | Description |
|---|---|---|---|
| 121 | Ep: the epo has been informed by wipo that ep was designated in this application | Ref document number:12776469 Country of ref document:EP Kind code of ref document:A1 | |
| ENP | Entry into the national phase | Ref document number:2013511959 Country of ref document:JP Kind code of ref document:A | |
| NENP | Non-entry into the national phase | Ref country code:DE | |
| 122 | Ep: pct application non-entry in european phase | Ref document number:12776469 Country of ref document:EP Kind code of ref document:A1 |