Novel & improved Processes for the preparation of indoline derivatives and its pharmaceutical composition
Related Application:
 This application claims the benefit of priority of our Indian patent application numbers 1480/CHE/201 1 filed on 29th April 2011, 588/CHE/2012 filed on 17th Feb. 2012 & 1628 /CHE/2012 filed on 25th April 2012 which are incorporated herein by reference.
Field of the Invention:
 The present invention relates to novel & improved processes for the preparation of 1 -(3-hydroxypropyl)-5-[(2R)-2-( {2-[2-(2,2,2-trifluoroethoxy)phenoxy]ethyl} amino) propyl]-2,3-dihydro-lH-indole-7-carboxamide compound represented by the following structural formula- 1 and it's pharmaceutical composition.
 Formula- 1
 The present invention also relates to polymorphic forms of intermediate compounds as well as l-(3-hydroxypropyl)-5-[(2R)-2-({2-[2-(2,2,2-trifluoroethoxy) phenoxy]ethyl} amino)propyl]-2,3-dihydro-lH-indole-7-carboxamide compound of formula- 1 and process for their preparation.
Background of the Invention:
 l-(3-Hydroxypropyl)-5-[(2R)-2-({2-[2-(2,2,2-trifluoroethoxy)phenoxy]ethyl} amino)propyl]-2,3-dihydro-lH-indole-7-carboxamide is a selective alpha- 1 adrenergic receptor antagonist and is currently marketed under the brand name RAPAFLO in United States, Silodyx in Europe and Rapilif in India (Ipca Urosciences). It is indicated for the treatment of the signs and symptoms of benign prostatic hyperplasia (BPH). l-(3-Hydroxypropyl)-5-[(2R)-2-({2-[2-(2,2,2-trifluoroethoxy)phenoxy]ethyl} amino) propyl]-2,3-dihydro-lH-indole-7-carboxamide and its pharmaceutically acceptable salts were first disclosed in US5387603A. This patent disclosed a multi-step  process for the preparation of .l-(3-hydroxypropyl)-5-[(2R)-2-({2-[2-(2,2,2-trifluoro ethoxy)phenoxy] ethyl} amino)propyl]-2,3-dihydro-lH-indole-7-carboxamide from 2-[2- (2,2,2-trifluoroethoxy)phenoxy]ethyl methanesulfonate and l-acetyl-5-(2-aminopropyl) indoline-7-carbonitrile. It also disclosed a multi-step process for the synthesis of 2-[2- (2,2,2-trifIuoroethoxy)phenoxy]ethanol and its mesylate salt from 2-methoxy phenol using expensive and hazardous reagents like l ,l,l-trifluoro-2-iodo ethane, boron tribromide and lithium aluminium hydride.
Various processes for the preparation of l-(3-hydroxypropyl)-5-[(2R)-2-({2-[2- (2,2,2-trifluoroethoxy)phenoxy]ethyl}amino)propyl]-2,3-dihydro-lH-indole-7- carboxamide and its intermediates have been disclosed in JP2001-199956, JP2002- 265444, JP2006- 188470, WO201 1030356A2, WO2011 101864A1 and WO2011124704A1.
 One of the major disadvantages with the prior-art processes is the formation of the dimer impurity represented by the structural formula
 Dimer impurity
during the condensation of the 3-{7-cyano-5-[(2R)-2-aminopropyl]-2,3-dihydro-lH- indol-l-yl} propyl benzoate or its tartrate salt with 2-[2-(2,2,2- trifluoroethoxy)phenoxy]ethyl methanesulfonate. This impurity is formed due to the reaction of one molecule of benzoate compound with two molecules of methanesulfonate compound. The content of the dimer impurity in the condensation product is found to be nearly 10-15%. Due to the formation of this dimer impurity the yield and purity of the product becomes very low. In order to meet the ICH purity levels the content of the dimer impurity must be reduced to meet the regulatory requirements.
 As the above said dimer impurity is not removed by the general purification techniques such as recrystallization, there is a significant need in the art to develop a process for the removal of dimer impurity formed in the condensation step.
 Another disadvantage is the process for the preparation of 2-[2-(2,2,2-  trifluoroethoxy)phenoxy]ethanol. Japanese patents/patent applications JP3331047, JP3331048 and JP09221473 discloses the synthesis of 2-[2-(2,2,2-trifluoroethoxy) phenoxyjethanol from 2-methoxy phenol and l, l, l-trifluoro-2-iodo ethane using boron tribromide.
The 1 , 1 , 1 -trifluoro-2-iodo ethane utilized in the above said processes is a low- boiling reagent (Boiling point: 53-55°C) and hence is very difficult to handle at reflux conditions.
 Also the usage of expensive reagents like l , l , l-trifluoro-2-iodo ethane and boron tribromide makes the process uneconomical and hence is not commercially feasible.
Almost all the prior-art processes involves the usage of either expensive or difficult to handle or both the types of reagents for the synthesis of l-(3-hydroxypropyl)- 5-[(2R)-2-({2-[2-(2,2,2-trifluoroethoxy)phenoxy]ethyl} amino)propyl]-2,3-dihydro-lH- indole- 7-carboxamide.
The pharmaceutical compositions comprising, l-(3-hydroxypropyl)-5-[(2i?)-({2- [2-[2-(2,2,2-trifluoroethoxy)phenoxy]ethyl}amino)propyl]-2,3-dihydro-lH-indole-7- carboxamide, and its pharmaceutically acceptable salt or pharmaceutically acceptable solvate thereof as an active ingredient, are known in the prior-art.
In US 5387603 patent, which discloses indoline compounds including l-(3- hydroxypropyl)-5-[(27?)-( {2-[2-[2-(2,2,2-trifluoroethoxy)phenoxy]ethyl}amino)propyl]- 2,3-dihydro-lH-indole-7-carboxamide, several dosage forms are exemplified as an oral solid formulation. It is also reported therein as a general description that such dosage forms may be prepared by formulating indoline compounds according to conventional formulation procedures. However, US 5387603 has not disclosed a specific formulation comprising, 1 -(3-hydroxypropyl)-5-[(2i?)-( {2-[2-[2-(2,2,2-trifluoroethoxy)phenoxy]ethyl} amino) propyl]-2,3-dihydro-lH-indole-7-carboxamide as an active ingredient.
 In US Patent application 2004072851, which discloses a medicament comprising, as an active ingredient, an [alpha] 1 -AR blocking agent including l-(3-hydroxypropyl)-5- [(2R)-( {2-[2-[2-(2,2,2-trifluoroethoxy)phenoxy]ethyl} amino)propyl]-2,3-dihydro- 1H- indole-7-carboxamide for treating lower urinary tract disorders, several dosage forms are  exemplified as an oral solid formulation. It is also reported that such dosage forms may be prepared using ordinary pharmaceutical additives according to conventional formulation procedures. However, US2G04072851A1 has not disclosed a specific pharmaceutical composition comprising, l -(3-hydroxypropyl)-5-[(2JR)-({2-[2-[2-(2,2,2- trifluoroethoxy)phenoxy]ethyl} amino)propyl]-2,3-dihydro- lH-indole-7-carboxamide as an active ingredient.
 As per the available literature l -(3-hydroxypropyl)-5-[(2i?)-({2-[2-[2-(2,2,2- trifluoroethoxy)phenoxy]ethyl} amino)propyl]-2,3-dihydro- lH-indole-7-carboxamide is relatively unstable when exposed to light. Admixing some kind of pharmaceutical additives with l-(3-hydroxypropyl)-5-[(2i?)-({2-[2-[2-(2,2,2-trifluoroethoxy)phenoxy] ethyl} amino)propyl]-2,3-dihydro-lH-indole-7-carboxamide results in incompatibility and yields degradation products. For example, compatibility between l-(3-hydroxypropyl)-5- [(2R)-( {2-[2-[2-(2,2,2-trifluoro ethoxy)phenoxy] ethyl} amino) propyl]-2,3-dihydro- 1H- indole-7-carboxamide and lactose, were most popularly used as a filler, which is not recommended, and use of lactose as a filler gives undesirable dissolution properties and unsatisfactory hardness of tablets. Moreover, l-(3-hydroxypropyl)-5-[(2R)-({2-[2-[2- (2,2,2-trifluoroethoxy)phenoxy]ethyl} amino)piOpyl]-2,3-dihydro-lH-indole-7- carboxamide has a potent adhesive property, and in the case of preparing a tablet or capsule, use of a lubricant is inevitable. On the contrary, the addition of such lubricants causes the problem of delaying in dissolution time. Accordingly, it is extremely difficult to prepare practically usable solid oral dosage form pharmaceuticals comprising, l-(3- hydroxypropyl)-5-[(2 ?)-( {2-[2-[2-(2,2,2-trifluoroethoxy)phenoxy]ethyl} amino)propyl]- 2,3-dihydro-lH-indole-7-carboxamide, its prodrug, pharmaceutically acceptable salt or pharmaceutically acceptable solvate thereof as an active ingredient, by conventional formulation methods.
In US Patent application 20060142374 discloses the medicament of crystalline form a of the compound of formula- 1 and process for the preparation of crystalline forms of the compound of formul a- 1.
In US Patent application 2006018959 discloses the dissolution of l-(3- hydroxypropyl)-5-[(2R)-( {2-[2-[2-(2,2,2-trifluoroethoxy)phenoxy]ethyl} amino)propyl]-  2,3-dihydro-lH-indole-7-carboxamide wherein the said oral solid dosage form has 85% dissolution time, which is not more than 60 minutes in a dissolution test according to method 2 (paddle method) of Japanese pharmacopoeia in a condition using water as a dissolution medium with 50 rpm paddle speed.
 Hence there is a significant need in the art to develop a simple, safe, industrially and commercially feasible process by utilizing cheap, safer and easy to handle reagents.
 The present in venters surprisingly found that the dimer impurity levels has come down by treatment with acetic acid.
 The present invention overcomes all the above said problems and provides a novel process for the preparation of l -(3-hydroxypropyl)-5-[(2R)-2-({2-[2-(2,2,2- trifluoroethoxy)phenoxy] ethyl} amino)propyl]-2,3-dihydro-lH-indole-7-carboxamide through novel intermediates by utilizing simple and cost-effective reagents.
 The present invention also discloses the novel process for the preparation of stable β- crystalline form of 7-(3-hydroxy propyl)-5-[(2R)-({2-[2-[2-(2,2,2-trifluoroethoxy) phenoxy] ethyl}amino)propyl]-2,3-dihydro-lH-indole-7-carboxamide from its crude.
In the present invention our inventor carried the dissolution of l-(3-hydroxy propyl)-5-[(2R)-({2-[2-[2-(2,2,2-trifluoroethoxy)phenoxy]ethyl}amino)propyl]-2,3- dihydro-lH-indole-7-carboxamide by using method- 1 (Basket method) according to United States of Pharmacopoeia in a condition using the 0.0 IN HC1 as dissolution medium, with a basket speed of 100 rpm wherein, 85% drug release with in 60 minutes.
 It has been reported in prior-art that the crystalline a-form of 7-(3-hydroxy propyl)-5-[(2R)-({2-[2-[2-(2,2,2-trifluoroethoxy) phenoxy] ethyl} amino)propyl]-2,3- dihydro- 1 H-indole-7-carboxamide is more stable form and β-crystalline form is comparatively less stable. In the present invention, the most preferable polymorph used for the preparation of pharmaceutical formulation is a-crystalline form.
Without being bound by any particular theory, it would appear by the data gathered and presented herein that the "initial burst release" at 5 min of /-(3-hydroxy propyl)-5-[(2R)-({2-[2-[2-(2,2,2-trifluoroethoxy) phenoxy] ethyl} amino)propyl]-2,3- dihydro-lH-indole-7-carboxamide formulation of the present invention has better dissolution profile, which inturns gives a better therapeutic effect. Such stable oral dosage  form of the compound of formula-1, prepared as herein described, can be used for the treatment of the signs and symptoms of benign prostatic hyperplasia.
Brief Description the Invention:
 The first aspect of the present invention is to provide a novel intermediate (R)-3-
(7-cyano-5-(2-(2-(2-(2,2,2-trifluoroethoxy)phenoxy)acetamido)propyl)indolin-l-yl) propyl benzoate compound of formula-4, which can be used in the synthesis of l-(3- hydroxypropyl)-5-[(2R)-2-({2-[2-(2,2,2-trifluoroethoxy)phenoxy]ethyl}amino)propyl]- 2,3-dihydro-lH-indole-7-carboxamide compound of formula-1.
The second aspect of the present invention is to provide a process for the preparation of (R)-3-(7-cyano-5-(2-(2-(2-(2,2,2-trifluoroethoxy)phenoxy)acetamido) propyl)indolin-l-yl)propyl benzoate compound of formula-4, comprising of condensing the (R)-3-(5-(2-aminopropyl)-7-cyanoindolin-l-yl)propyl benzoate compound of formula-2 or its tartrate salt compound of formula-2a with 2-(2-(2,2,2- trifluoroethoxy)phenoxy)acetic acid compound of formula-3 in presence of a suitable condensing agent and a suitable base in a suitable solvent to provide (R)-3-(7-cyano-5-(2- (2-(2-(2,2,2-trifluoroethoxy) phenoxy)acetamido)propyl)indolin- 1 -yl)propyl benzoate compound of formula-4.
The third aspect of the present invention is to provide a novel process for the preparation of (R)-3-(7-cyano-5-(2-(2-(2-(2,2,2-trifluoroethoxy)phenoxy)ethylamino) propyl)indolin-l-yl)propyl benzoate compound of formula-5, comprising of reducing the (R)-3-(7-cyano-5-(2-(2-(2-(2,2,2-trifluoroethoxy)phenoxy)acetamido)propyl)indolin-l- yl)propyl benzoate compound of formula-4 with a suitable reducing agent in a suitable solvent to provide (R)-3-(7-cyano-5-(2-(2-(2-(2,2,2-trifluoroethoxy)phenoxy)ethylamino) propyl)indolin-l-yl)propyl benzoate compound of formula-5.
The fourth aspect of the present invention is to provide a novel process for the preparation of l-(3-hydroxypropyl)-5-[(2R)-2-({2-[2-(2,2,2-trifluoroethoxy)phenoxy] ethyl} amino)propyl]-2,3-dihydro-l H-indole-7-carboxamide compound of formula-1, comprising of;  a) Condensing the (R)-3-(5-(2-aminopropyl)-7-cyanoindolin-l-yl)propyl benzoate compound of formula-2 or its tartrate salt compound of formula-2a with 2-(2-(2,2,2- trifluoroethoxy)phenoxy) acetic acid compound of formula-3 in presence of a suitable condensing agent and a suitable base in a suitable solvent to provide (R)-3-(7-cyano- 5-(2-(2-(2-(2,2,2-trifluoroethoxy)phenoxy) acetamido)propyl)indolin- 1 -yl)propyl benzoate compound of formula-4,
b) reducing the compound of formula-4 with a suitable reducing agent in a suitable solvent to provide (R)-3-(7-cyano-5-(2-(2-(2-(2,2,2-trifluoroethoxy)phenoxy) ethylamino)propyl)indolin-l-yl)propyl benzoate compound of formula-5,
c) hydrolyzing the compound of formula-5 in presence of a suitable base in a suitable solvent to provide (R)-l-(3-hydroxypropyl)-5-(2-(2-(2-(2,2,2-trifluoroethoxy) phenoxy)ethylamino)propyl) indoline-7-carbonitrile compound of fonnula-6, d) hydrolyzing the compound of formula-6 in presence of a suitable oxidizing agent and a suitable base in a suitable solvent to provide l-(3-hydroxypropyl)-5-[(2R)-2-({2-[2- (2,2,2-trifluoroethoxy)phenoxy]ethyl} amino)propyl]-2,3-dihydro- 1 H-indole-7- carboxamide compound of formula- 1,
e) optionally purifying the compound of formula- 1 from a suitable solvent.
The fifth aspect of the present invention is to provide a process for the preparation of l-(3-hydroxypropyl)-5-[(2R)-2-( {2-[2-(2,2,2-trifluoroethoxy)phenoxy]ethyl} amino) propyl]-2,3-dihydro-lH-indole-7-carboxamide compound of formula- 1, comprising of; a) Condensing the (R)-3-(5-(2-aminopropyl)-7-cyanoindolin-l-yl)propyl benzoate compound of formula-2 or its tartrate salt compound of formula-2a with 2-(2-(2,2,2- trifluoroethoxy)phenoxy) ethyl methanesulfonate compound of formula-7 in presence of a suitable base in a suitable solvent to provide (R)-3-(7-cyano-5-(2-(2-(2-(2,2,2- trifluoroethoxy)phenoxy)ethylamino) propyl)indolin-l-yl)propyl benzoate compound of formula-5,
b) hydrolyzing the compound of formula-5 in presence of a suitable base in a suitable solvent to provide (R)-l -(3-hydroxypropyl)-5-(2-(2-(2-(2,2,2-trifluoroethoxy) phenoxy)ethylamino)propyl) indoline-7-carbonitrile compound of fonnula-6, c) hydrolyzing the compound of fonnula-6 in presence of a suitable oxidizing agent and  a suitable base in a suitable solvent to provide l-(3-hydroxypropyl)-5-[(2R)-2-({2-[2- (2,2,2-trifluoroethoxy)phenoxy]ethyl} amino)propyl]-2,3-dihydro- 1 H-indole-7- carboxamide compound of formula- 1.
The sixth aspect of the present invention is to provide a process for the preparation of 1 -(3-hydroxypropyl)-5-[(2R)-2-( {2-[2-(2,2,2-trifluoroethoxy)phenoxy] ethyl} amino)propyl]-2,3-dihydro-lH-indole-7-carboxamide compound of formula- 1, comprising of;
a) Condensing the (R)-3-(5-(2-aminopropyl)-7-cyanoindolin-l-yl)propyl benzoate compound of formula-2 with 2-(2-(2,2,2-trifluoroethoxy)phenoxy)ethyl methane sulfonate compound of formula-7 in presence of a suitable base in a suitable solvent to provide (R)-3-(7-cyano-5-(2-(2-(2-(2,2,2-trifluoroethoxy)phenoxy)ethylamino) propyl)indolin-l-yl)propyl benzoate compound of formula-5,
b) hydrolyzing the compound of formula-5 in presence of a suitable base in a suitable solvent to provide (R)-l-(3-hydroxypropyl)-5-(2-(2-(2-(2,2,2-trifluoroethoxy) phenoxy)ethylamino)propyl) indoline-7-carbonitrile compound of formula-6, c) converting the compound of formula-6 into its pharmaceutically acceptable acid addition salt by treating with a suitable acid in a suitable solvent,
d) hydrolyzing the acid addition salt compound obtained in step-c) in presence of a suitable base and a suitable oxidizing agent in a suitable solvent to provide 1 -(3- hydroxypropyl)-5-[(2R)-2-({2-[2-(2,2,2-trifluoroethoxy)phenoxy]ethyl} amino) propyl]-2,3-dihydro-lH-indole-7-carboxamide compound of formula-1.
The seventh aspect of the present invention is to provide a process for the preparation of (R)-3-(5-(2-aminopropyl)-7-cyanoindolin-l-yl)propyl benzoate 2,3- dihydroxysuccinate compound of formula-2 a, comprising of;
a) Reducing the 3-(7-cyano-5-(2-nitropropyl)indolin-l-yl)propyl benzoate compound of formula-8 with a suitable reducing agent in a suitable solvent to provide 3-(5-(2- aminopropyl)-7-cyanoindolin- 1 -yl)propyl benzoate compound of formula- 16, b) resolving the compound of formula- 16 using L(+)-tartaric acid in a suitable solvent to provide (R)-3-(5-(2-aminopropyl)-7-cyanoindolin-l-yl)propyl benzoate 2,3- dihydroxysuccinate compound of formula-2a.  The eighth aspect of the present invention is to provide a process for the preparation of 3-(5-(2-aminopropyl)-7-cyanoindolin-l-yl)propyl benzoate compound of formula-16, comprising of reducing the 3-(7-cyano-5-(2-nitropropyl)indolin-l-yl)propyl benzoate compound of formula-8 with a suitable reducing agent in a suitable solvent to provide 3-(5-(2-aminopropyI)-7-cyanoindolin-l-yl)propyl benzoate compound of formula-16.
The ninth aspect of the present invention is to provide a novel process for the preparation of 2-(2-(2,2,2-trifluoroethoxy)phenoxy)acetic acid compound of formula-3, comprising of reacting the 2-(2,2,2-trifluoroethoxy)phenol compound of formula-9 with sodium 2-chloroacetate in presence of a suitable base in a suitable solvent to provide sodium 2-(2-(2,2,2-trifluoroethoxy)phenoxy)acetate, which on in-situ treated with a suitable acid to provide 2-(2-(2,2,2-trifluoroethoxy)phenoxy)acetic acid compound of formula-3.
The tenth aspect of the present invention is to provide a process for the preparation of 2-(2-(2,2,2-trifIuoroethoxy)phenoxy)ethanol compound of formula-11, comprising of reducing the ethyl 2-(2-(2,2,2-trifluoroethoxy)phenoxy)acetate compound of formula-10 with a suitable reducing agent in a suitable solvent to provide 2-(2-(2,2,2- trifluoroethoxy)phenoxy)ethanol compound of formula- 1 1.
The eleventh aspect of the present invention is to provide an improved process for the preparation of 2-(2-(2,2,2-trifluoroethoxy)phenoxy)ethyl methanesulfonate compound of formula-7, comprising of;
a) Reacting the 2-(2,2,2-trifluoroethoxy)phenol compound of formula-9 with ethyl 2- bromoacetate in presence of a suitable base in a suitable solvent to provide ethyl 2-(2- (2,2,2-trifluoroethoxy)phenoxy)acetate compound of formula-10,
b) reducing the compound of formula-10 with a suitable reducing agent in a suitable solvent to provide 2-(2-(2,2,2-trifluoroethoxy)phenoxy)ethanol compound of formula-1 ,  c) treating the compound of formula- 1 1 with methane sulfonyl chloride in presence of a suitable base in a suitable solvent to provide 2-(2-(2,2,2-trifluoroethoxy) phenoxy)ethyl methanesulfonate compound of formula-7.
The twelfth aspect of the present invention is to provide a process for the preparation of 2-(2-(2,2,2-trifluoroethoxy)phenoxy)ethyl methanesulfonate compound of formula-7, comprising of;
a) Reacting the 2,2,2-trifluoroethanol compound of formula- 12 with p-toluene sulfonyl chloride in presence of a suitable base in a suitable solvent to provide 2,2,2- trifluoroethyl 4-methylbenzenesulfonate compound of formula- 13,
b) reacting the compound of formula- 13 with 2-methoxy phenol compound of formula- 14 in presence of a suitable base in a suitable solvent to provide l-methoxy-2-(2,2,2- trifluoroethoxy)benzene compound of formula- 15,
c) demethylating the compound of formula- 15 by treating with a suitable demethylating agent in a suitable solvent to provide 2-(2,2,2-trifluoroethoxy)phenol compound of formula-9,
d) reacting the compound of formula-9 with sodium 2-chloroacetate in presence of a suitable base in a suitable solvent, followed by in-situ treating with a suitable acid to provide 2-(2-(2,2,2-trifluoroethoxy)phenoxy)acetic acid compound of formula-3, e) reducing the compound of formula-3 with a suitable reducing agent in a suitable solvent to provide 2-(2-(2,2,2-trifluoroethoxy)phenoxy)ethanol compound of formula-1 1,
f) treating the compound of formula- 1 1 with methane sulfonyl chloride in presence of a suitable base in a suitable solvent to provide 2-(2-(2,2,2-trifluoroethoxy)phenoxy) ethyl methanesulfonate compound of formula-7.
The thirteenth aspect of the present invention is to provide an improved process for the preparation of l-(3-hydroxypropyl)-5-[(2R)-2-({2-[2-(2,2,2-trifluoroethoxy) phenoxy]ethyl} amino)propyl]-2,3-dihydro- 1 H-indole-7-carbonitrile compound of formula-5 as a solid, comprising of;
a) Condensing the 3-{7-cyano-5-[(2R)-2-aminopropyl]-2,3-dihydro-lH-indol-l - yl}propyl benzoate compound of formula-2 with 2-[2-(2,2,2-trifluoroethoxy)  phenoxy]ethyl methanesulfonate compound of formula-7 in presence of dipotassium hydrogen phosphate and optionally in presence of a phase transfer catalyst in a suitable solvent to provide 3-{7-cyano-5-[(2R)-2-({2-[2-(2,2,2-trifluoroethoxy) phenoxy] ethyl} amino)propyl]-2,3-dihydro- 1 H-indol- 1 -yl}propyl benzoate compound of formula-5,
b) in-situ hydrolyzing the compound of formula-5 in presence of a suitable base and optionally in presence of a phase transfer catalyst in a suitable solvent to provide 1- (3-hydroxypropyl)-5-[(2R)-2-({2-[2-(2,2,2-trifluoroethoxy)phenoxy]ethyl}amino) propyl]-2,3-dihydro-lH-indole-7-carbonitrile compound of formula-6,
c) treating the compound of formula-6 by in-situ with a suitable acid in a suitable solvent provides corresponding acid addition salt of compound of formula-6, d) treating the compound obtained in step c) with a suitable base in a suitable solvent followed by isolating the obtained compound from a suitable solvent to provide pure l-(3-hydroxypropyl)-5-[(2R)-2-({2-[2-(2,2,2-trifluoroethoxy)phenoxy]ethyl}amino) propyl]-2,3-dihydro-lH-indole-7-carbonitrile compound of formula-6 as a solid:
The fourteenth aspect of the present invention is to provide an improved process for the preparation of l-(3-hydroxypropyl)-5-[(2R)-2-({2-[2-(2,2,2-trifluoroethoxy) phenoxy]ethyl}amino)propyl]-2,3-dihydro-lH-indole-7-carboxamide compound of formula- 1, comprising of;
a) Condensing the 3-{7-cyano-5-[(2R)-2-aminopropyl]-2,3-dihydro-lH-indol-l-yl} propyl benzoate compound of formula-2 or its tartrate salt compound of formula-2a with 2-[2-(2,2,2-trifluoroethoxy)phenoxy]ethyl methanesulfonate compound of formula-7 in presence of a suitable base in a suitable solvent to provide 3-{7-cyano-5- [(2R)-2-({2-[2-(2,2,2-trifluoroethoxy)phenoxy]ethyl}amino)propyl]-2,3-dihydro-lH- indol-l-yl} propyl benzoate compound of formula-5,
b) in-situ hydrolyzing the compound of formula-5 in presence of a suitable base and optionally in presence of a phase transfer catalyst in a suitable solvent to provide 1- (3-hydroxypropyl)-5-[(2R)-2-( {2-[2-(2,2,2-trifluoroethoxy)phenoxy]ethyl} amino) propyl]-2,3-dihydro-lH-indole-7-carbonitrile compound of formula-6,  c) treating the compound of formula-6 by in-situ with a suitable acid in a suitable solvent provides corresponding acid addition salt of compound of formula-6, d) treating the compound obtained in step c) with a suitable base in a suitable solvent followed by isolating the obtained compound from a suitable solvent to provide pure 1 -(3-hydroxypropyl)-5-[(2R)-2-( {2-[2-(2,2,2-trifluoroethoxy)phenoxy]ethyl} amino) propyl]-2,3-dihydro-lH-indole-7-carbonitrile compound of formula-6 as a solid e) hydrolyzing the compound of formula-6 in presence of a suitable base in a suitable solvent to provide l-(3-hydroxypropyl)-5-[(2R)-2-({2-[2-(2,2,2-trifluoroethoxy) phenoxy] ethyl} amino) propyl]-2,3-dihydro-lH-indole-7-carboxamide compound of formula- 1,
f) optionally purifying the compound of formula- 1 from a suitable solvent.
The fifteenth aspect of the present invention is to provide a purification process for l-(3-hydroxypropyl)-5-[(2R)-2-( {2-[2-(2,2,2-trifluoroethoxy)phenoxy]ethyl} amino) propyl]-2,3-dihydro-lH-indole-7-carbonitrile compound of formula-6 comprising of treating the compound of formula-6 with a suitable acid followed by treating with a suitable base in a suitable solvent to provide highly pure l-(3-hydroxypropyl)-5-[(2R)-2- ({2-[2-(2,2,2-trifluoroethoxy)phenoxy]ethyl}amino)piOpyl]-2,3-dihydro- lH-indole-7- carbonitrile compound of formula-6.
The sixteenth aspect of the present invention is to provide l-(3-hydiOxypropyl)-5- [(2R)-2-({2-[2-(2,2,2-trifluoroethoxy)phenoxy]ethyl}amino)propyl]-2,3-dihydro-lH- indole-7-carbonitrile compound of formula-6 in crystalline form.
 The seventeenth aspect of' the present invention is to provide crystalline l-(3- hydroxypropyl)-5-[(2R)-2-({2-[2-(2,2,2-trifluoroethoxy)phenoxy]ethyl}amino)piOpyl]- 2,3-dihydro-lH-indole-7-carbonitrile hydrochloride salt compound of formula-6a.
The eighteenth aspect of the present invention is to provide a process for the preparation of l-(3-hydroxypropyl)-5-[(2R)-2-({2-[2-(2,2,2-trifluoroethoxy)phenoxy] ethyl} amino)propyl]-2,3-dihydro-lH-indole-7-carboxamide compound of formula- 1 in β- crystalline form.  In aspect of the present invention relates to the novel process for the preparation of stable crystalline β form of l-(3-hydi xypropyl)-5-[(2R)-({2-[2-[2-(2,2,2-trifluoro ethoxy)phenoxy]ethyl} amino)propyl]-2,3-dihydro-lH-indole-7-carboxamide.
The nineteenth aspect of the present invention relates to an oral solid dosage form of l-(3-hydroxypropyl)-5-[(2R)-({2-[2-[2-(2,2,2-trifluoroethoxy)phenoxy]ethyl}amino)- propyl]-2,3-dihydro-lH-indole-7-carboxamide and process for its preparation thereof, wherein the said oral solid dosage form has 85% drug release with in 60 minutes time by using USP apparatus 1 (basket) at 100 rpm in dissolution medium as 0.0 IN HC1.
The twentieth aspect of the present invention relates to the pharmaceutical composition of oral solid dosage form of l-(3-hydroxypropyl)-5-[(2R)-({2-[2-[2-(2,2,2- trifluoroethoxy)phenoxy] ethyl} amino)-propyl]-2,3-dihydro- 1 H-indole-7-carboxamide.
The twenty-first aspect of the present invention relates to the process for the preparation of oral solid dosage form of l-(3-hydroxypropyl)-5-[(2R)-( {2-[2-[2-(2,2,2- trifluoro ethoxy)phenoxy] ethyl} amino)-propyl]-2,3-dihydro- lH-indole-7-carboxamide.
The twenty-second aspect of the present invention relates to a solid oral dosage form comprising the compound of formula- 1 or its salts having an initial burst release of about 65% in 0.01 N HC1, 100 RPM, USP apparatus-I (Basket), 900 ml in about 5 minutes.
The twenty-third aspect of the present invention relates to a solid oral dosage form comprising the compound of formula- 1 or its salts prepared by a direct compression technique. The twenty-fourth aspect of the present invention relates to a pharmaceutical formulation exhibiting storage stability at a temperature of about 40 °C and a relative humidity of about 75% for a period of at least 3 months, and contains not more than 2% w/w total impurities (based on total weight of the formulation) formed upon storage.  The twenty-fifth another aspect, the pharmaceutical formulation of present invention is stable at accelerated conditions for a period of at least 3 months. The formulations of were stored at about 40°C temperature and a relative humidity of about 75% after packing into Alu-Alu blister packs and/or HDPE containers.
Brief description of the Figures:
 Figure-1: Illustrates the X-Ray powder diffraction pattern of crystalline form- β of l-(3- hydroxypropyl)-5-[(2R)-2-({2-[2-(2,2,2-trifluoroethoxy)phenoxy]ethyl}amino)propyl]- 2,3-dihydro-lH-indole-7-carboxamide compound of formula- 1
Figure-2: Illustrates the X-Ray powder diffraction pattern of crystalline form-M of l-(3- hydroxypropyl)-5-[(2R)-2-({2-[2-(2,2,2-trifluoroethoxy)phenoxy]ethyl}amino)propyl]- 2,3-dihydro-lH-indole-7-carbonitrile compound of formula-6
 Figure-3: Illustrates the X-Ray powder diffraction pattern of crystalline form-S of l-(3- hydroxypropyl)-5-[(2R)-2-({2-[2-(2,2,2-trifluoroethoxy)phenoxy]ethyl}amino)propyl]- 2,3-dihydro- 1 H-indole-7-carbonitrile hydrochloride salt compound of formula-6a
 Figure-4: shows comparative dissolution diagram of RAPAFLO ©capsules 8mg (Innovator product) with Compound of formula- 1 capsule 8mg (Test product).
Figure-5: shows comparative dissolution diagram of RAPAFLO ©capsules 8mg (Innovator product) with Compound of formula- 1 capsule 4mg (Test product).
Detailed Description of the Invention:
 As used herein the present invention, the term "suitable solvent" refers to the solvent selected from "polar solvents" such as water; "polar aprotic solvents" such as dimethylsulfoxide, dimethylacetamide, dimethyl formamide and the like; "nitrile solvents" such as acetonitrile, propionitrile, butyronitrile and isobutyronitrile and the like; "ether solvents" such as di-tert-butyl ether, diethylether, diisopropyl ether, 1,4-dioxane, methyltert-butylether, ethyl tert-butyl ether, tetrahydrofuran and dimethoxyethane; "alcohol solvents" such as methanol, ethanol, n-propanol, isopropanol and n-butanol and the like; "chloro solvents" such as methylene chloride, ethylene dichloride, carbon tetra chloride, chloroform and the like; "hydrocarbon solvents" such as benzene, toluene, xylene, heptane, hexane and cyclohexane; "ketone solvents" such as acetone, ethyl  methyl ketone, diethyl ketone, methyl tert-butyl ketone, isopropyl ketone and the like; "esters solvents" such as ethyl acetate, methyl acetate, n-butyl acetate, isobutyl acetate, sec-butyl acetate, isopropyl acetate and the like; and their mixtures thereof.
As used herein the present invention the term "suitable base" refers to the bases selected from "alkali metal hydroxides" such as sodium hydroxide, potassium hydroxide and the like; "alkali metal carbonates" such as sodium carbonate, potassium carbonate, cesium carbonate and the like; "alkali metal bicarbonates" such as sodium bicarbonate, potassium bicarbonate and the like; "alkali metal alkoxide" such as sodium methoxide, potassium methoxide, sodium tertiary butoxide and potassium tertiary butoxide and the like;
 The term "suitable acid" herein the present invention is selected from organic acids such as benzene sulfonic acid, maleic acid, oxalic acid, fumaric acid, succinic acid, p-toluene sulfonic acid, malic acid and the like; or inorganic acids such as hydrochloric acid, hydrobromic acid, sulfuric acid, nitric acid and the like.
The first aspect of the present invention is to provide a novel intermediate compound (R)-3-(7-cyano-5-(2-(2-(2-(2,2,2-trifluoroethoxy)phenoxy)acetamido) propyl) indolin-l-yl)propyl benzoate of formula-4,
 Formula-4
which can be used in the synthesis of l-(3-hydroxypropyl)-5-[(2R)-2-({2-[2-(2,2,2- trifluoroethoxy) phenoxy]ethyl} amino)propyl]-2,3-dihydro- lH-indole-7-carboxamide compound of formula- 1.
The second aspect of the present invention is to provide a process for the preparation of (R)-3-(7-cyano-5-(2-(2-(2-(2,2,2-trifluoroethoxy)phenoxy)acetamido) propyl)indolin-l-yl)propyl benzoate compound of formula-4, comprising of condensing the (R)-3-(5-(2-aminopropyl)-7-cyanoindolin- l-yl)propyl benzoate compound of formula-2
Formula-2
or its tartrate salt compound of formula-2a
 Formula-2 a
with 2-(2-(2,2,2-trifluoroethoxy)phenoxy)acetic acid compound of formula-3
 Formula-3
in presence of a suitable condensing agent and a suitable base in a suitable solvent to provide (R)-3-(7-cyano-5-(2-(2-(2-(2,2,2-trifluoroethoxy)phenoxy)acetamido)propyl) indolin- 1 -yl)propyl benzoate compound of formula-4.
 Wherein, the suitable condensing agent is selected from thionyl chloride, phosphorous oxychloride, phosphorous trichloride, phosphorous pentachloride, Ν,Ν'- dicyclohexyl carbodiimide(DCC) in presence of N-hydroxybenzotriazole (HOBt) or 1- Hydroxy-7-azabenzotriazole(HOAt), or N-hydroxysuccinimide(NHS) or sulfo-NHS or pentafluorophenol, N,N'-diisopropylcarbodiimide(DIC), N,N'-Carbonyldiimidazole (CDI), l-ethyl-3-(3-dimethylaminopropyl) carbodiimide hydrochloride (EDC.HCl or EDAC.HC1), benzotriazole- l-yl-oxy-tris-(dimethylamino)-phosphonium hexafiuoro phosphate(BOP), 0-(lH-benzotriazol-l-yl)-N,N,N',N'-tetramethyl-uronium hexafiuoro phosphate(HBTU), 0-(lH-benzotriazol-l -yl)-N,N,N',N'-tetramethyl-uronium tetrafluoro borate(TBTU) and the like; the suitable base is selected from alkali metal hydroxides, alkali metal carbonates and alkali metal bicarbonates; the suitable solvent is selected from chloro solvents, ether solvents, polar-aprotic solvents, ester solvents and alcoholic solvents.  The third aspect of the present invention is to provide a novel process for the preparation of (R)-3-(7-cyano-5-(2-(2-(2-(2,2,2-trifluoroethoxy)phenoxy)ethylamino) propyl)indolin-l-yl)propyl benzoate compound of formula-5,

 Formula-5
 comprising of reducing the (R)-3-(7-cyano-5-(2-(2-(2-(2,2,2-trifluoroethoxy)phenoxy) acetamido) propyl)indolin- 1 -yl)propyl benzoate compound of formula-4 with a suitable reducing agent in a suitable solvent.
 Wherein, the suitable reducing agent is selected from sodium borohydride-
BF3.ethertae, triethylsilane in combination with trifluoroacetic acid, Pd/C, Pt/C, Ru/C, , Zn-Hg/HCl, FeCl3.6H20, diisobutylaluminium hydride (DIBAL), lithium aluminium hydride, L-selectride, Raney-Ni, boron trifluoride or titanium tetrachloride; and the suitable solvent is selected from chloro solvents, alcoholic solvents, ether solvents and hydrocarbon solvents.
The fourth aspect of the present invention is to provide a novel process for the preparation of l-(3-hydiOxypropyl)-5-[(2R)-2-({2-[2-(2,2,2-trifluoroethoxy)phenoxy] ethyl} amino)propyl]-2,3-dihydro-lH-indole-7-carboxamide compound of formula-1, comprising of;
 a) Condensing the (R)-3-(5-(2-aminopropyl)-7-cyanoindolin-l-yl)propyl benzoate compound of formula-2 or its tartrate salt compound of formula-2a with 2-(2-(2,2,2- trifluoroethoxy)phenoxy) acetic acid compound of formula-3 in presence of a suitable condensing agent and a suitable base in a suitable solvent to provide (R)-3-(7-cyano- 5-(2-(2-(2-(2,2,2-trifluoroethoxy)phenoxy) acetamido)propyl)indolin- l-yl)propyl benzoate compound of formula-4,
 b) reducing the compound of formula-4 with a suitable reducing agent in a suitable solvent to provide (R)-3-(7-cyano-5-(2-(2-(2-(2,2,2-trifluoroethoxy)phenoxy) ethylamino)propyl)indolm-l-yl)propyl benzoate compound of formula-5,
 c) hydrolyzing the compound of formula-5 in presence of a suitable base in a suitable  solvent to provide (R)-l-(3-hydroxypropyl)-5-(2-(2-(2-(2,2,2-trifluoroethoxy) phenoxy)ethylamino ropyl) indoline-7-carbonitrile compound of formula-6,
 Formula-6
d) hydrolyzing the compound of formula-6 in presence of a suitable oxidizing agent and a suitable base in a suitable solvent to provide l-(3-hydroxypropyl)-5-[(2R)-2-({2-[2- (2,2,2-trifluoroethoxy)phenoxy]ethyl}amino)propyl]-2,3-dihydro-lH-indole-7- carboxamide compound of formula- 1,
e) optionally purifying the compound of formula- 1 from a suitable solvent.
 Wherein, in step-a) the suitable condensing agent, the suitable base and the suitable solvent are same as described in second aspect.
 In step-b) the suitable reducing agent and the suitable solvent are same as described in third aspect.
 In step-c) the suitable base is selected from alkali metal hydroxides and alkali metal carbonates; the suitable solvent is selected from water, alcoholic solvents, polar- aprotic solvents, hydrocarbon solvents and ketone solvents.
 In step-d) the suitable oxidizing agent is hydrogen peroxide; and the suitable base is selected from alkali metal hydroxides and alkali metal carbonates; and the suitable solvent is selected from water, polar-aprotic solvents, ketone solvents, alcoholic solvents and ether solvents.
 In step-e) the suitable solvent is selected from ester solvents.
The fifth aspect of the present invention is to provide a process for the preparation of l-(3-hydroxypropyl)-5-[(2R)-2-( {2-[2-(2,2,2-trifluoroethoxy)phenoxy]ethyl} amino) propyl]-2,3-dihydro-lH-indole-7-carboxamide compound of formula- 1, comprising of; a) Condensing the (R)-3-(5-(2-aminopropyl)-7-cyanoindolin-l-yl)propyl benzoate 2,3- dihydroxysuccinate compound of formula-2a with 2-(2-(2,2,2-trifluoroethoxy) phenoxy)ethyl methanesulfonate compound of formula-7  F3C^O »
 Formula-7
 in presence of a suitable base in a suitable solvent to provide (R)-3-(7-cyano-5-(2-(2- (2-(2,2,2-trifluoroethoxy)phenoxy)ethylamino)propyl)indolin- 1 -yl)propyl benzoate compound of formula-5,
b) hydrolyzing the compound of formula-5 in presence of a suitable base in a suitable solvent to provide (R)-l-(3-hydroxypropyl)-5-(2-(2-(2-(2,2,2-trifluoroethoxy) phenoxy)ethylamino)propyl) indoline-7-carbonitrile compound of formula-6, c) hydrolyzing the compound of formula-6 in presence of a suitable oxidizing agent and a suitable base in a suitable solvent to provide l-(3-hydroxypropyl)-5-[(2R)-2-({2-[2-
(2,2,2-trifluoroethoxy)phenoxy]ethyl}amino)propyl]-2,3-dihydro-lH-indole-7- carboxamide compound of formula- 1.
 Wherein, in step-a) the suitable base is selected from inorganic bases such as alkali metal hydroxides, alkali metal carbonates and bicarbonates; and the suitable solvent is selected from alcoholic solvents, chloro solvents, ether solvents, ester solvents and polar-aprotic solvents.
 The suitable reagents used in step-b) and step-c) are same as described for step-c) & step-d) of the fourth aspect. The sixth aspect of the present invention provides a process for the preparation of l-(3-hydroxypropyl)-5-[(2R)-2-({2-[2-(2,2,2-trifluoroethoxy)phenoxy]ethyl} amino) propyl]-2,3-dihydro-lH-indole-7-carboxamide compound of formula- 1, comprising of; a) Condensing the (R)-3-(5-(2-aminopropyl)-7-cyanoindolin-l-yl)propyl benzoate compound of formula-2 . with 2-(2-(2,2,2-trifluoroethoxy)phenoxy)ethyl methane sulfonate compound of formula-7 in presence of a suitable base in a suitable solvent to provide (R)-3-(7-cyano-5-(2-(2-(2-(2,2,2-trifluoroethoxy)phenoxy)ethylamino) propyl)indolin- l-yl)propyl benzoate compound of formula-5,
b) hydrolyzing the compound of formula-5 in presence of a suitable base in a suitable solvent to provide (R)-l-(3-hydroxypropyl)-5-(2-(2-(2-(2,2,2-trifluoroethoxy) phenoxy)ethylamino)propyl) indoline-7-carbonitrile compound of formula-6,  c) converting the compound of formula-6 into its pharmaceutically acceptable acid addition salt by treating with a suitable acid in a suitable solvent,
d) hydrolyzing the acid addition salt compound obtained in step-c) in presence of a suitable base and a suitable oxidizing agent in a suitable solvent to provide l-(3- hydroxypropyl)-5-[(2R)-2-({2-[2-(2,2,2-trifluoroethoxy)phenoxy]ethyl} amino) propyl]-2,3-dihydro-lH-indole-7-carboxamide compound of formula-1.
Wherein, in step-a), step-b) & step-d) the reagents are same as used for step-a), step-b) & step-c) of the fifth aspect.
 In step-c) the suitable acid is selected from hydrochloric acid and oxalic acid; and the suitable solvent is selected from ketone solvents, alcoholic solvents, chloro solvents, ether solvents, ester solvents, hydrocarbon solvents and polar-aprotic solvents.
The (R)-3-(5-(2-aminopropyl)-7-cyanoindolin-l-yl)propyl benzoate 2,3- dihydroxysuccinate compound of formula-2a utilized in the above condensation step can be synthesized by the process mentioned in the seventh aspect of the present invention.
The seventh aspect of the present invention is to provide a process for the preparation of (R)-3-(5-(2-aminopropyl)-7-cyanoindolin-l-yl)propyl benzoate 2,3- dihydroxysuccinate compound of formula-2a, comprising of;
a) Reducing the 3-(7-cyano-5-(2-nitropropyl)indolin-l-yl)propyl benzoate compound of formula-8
 Formula-8
 with a suitable reducing agent in a suitable solvent to provide 3-(5-(2-aminopr 7-cyanoindolin- l-yl)propyl benzoate com ound of formula- 16,
 Formula- 16  b) resolving the compound of formula- 16 using L(+)-tartaric acid in a suitable solvent to provide (R)-3-(5-(2-aminopropyl)-7-cyanoindolin-l-yl)propyl benzoate 2,3- dihydroxysuccinate compound of formula-2a.
 The obtained compound of formula-2a further converted into compound of formula-2 by treating it with a suitable base in a suitable solvent.
Wherein, in step-a) the suitable reducing agent is preferably Raney-Ni, lithium aluminium hydride, FeCl3.6H20, Pt02, Sn-HCl, Fe-HCl, NaBH4 in presence of charcoal; and the suitable solvent is selected from alcoholic solvents, chloro solvents, ether solvents and ester solvents.
 In step-b) the suitable solvent is selected from ketone solvents, alcoholic solvents, chloro solvents, ether solvents, ester solvents and water.
 The 3-(7-cyano-5-(2-nitropropyl)indolin-l-yl)propyl benzoate compound of formula-8 utilized in the above aspect can be synthesized as follows.
 Condensation of 3-chloropropyl benzoate with indoline in presence of triethylamine in Ν,Ν-dimethylformamide followed by treating with cone, hydrochloric acid provides 3-(indolin-l-yl) propyl benzoate hydrochloride, which is treated with phosphorus oxychloride in Ν,Ν-dimethylformamide to provide 3-(5-formylindolin-l- yl)propyl benzoate and is then treated with nitroethane in presence of ammonium acetate to provide (E)-3-(5-(2-nitroprop-l-enyl)indolin-l-yl)propyl benzoate. The obtained nitro propenyl compound is reduced with sodium borohydride in a mixture of tetrahydrofuran and ethanol to provide 3-(5-(2-nitropropyl)indolin-l-yl)propyl benzoate, which is then treated with phosphorus oxychloride in Ν,Ν-dimethylformamide to provide 3-(7-formyl- 5-(2-nitropropyl)indolin-l-yl)propyl benzoate. The resulting aldehyde is treated with hydroxylamine hydrochloride in presence of pyridine in tetrahydrofuran followed by heating in the presence of acetic anhydride to provide 3-(7-cyano-5-(2- nitropropyl)indolin- 1 -yl)propyl benzoate compound of formula-8.
The eighth aspect of the present invention is to provide a process for the preparation of 3-(5-(2-aminopropyl)-7-cyanoindolin-l-yl)propyl benzoate compound of formula- 16, comprising of reducing the 3-(7-cyano-5-(2-nitropropyl)indolin-l-yl)propyl benzoate compound of formula-8 with a suitable reducing agent in a suitable solvent.  Wherein, the suitable reducing agent and the suitable solvent are same as described for step-a) of the seventh aspect of the present invention.
The ninth aspect of the present invention is to provide a novel process for the preparation of 2-(2-(2,2,2-trifluoroethoxy)phenoxy)acetic acid compound of formula-3, comprising of reacting the 2-(2,2,2-trifluoroethoxy)phenol compound of formula-9
 Formula-9
with sodium 2-chloroacetate in presence of a suitable base in a suitable solvent to provide sodium 2-(2-(2,2,2-trifiuoroethoxy) phenoxy)acetate, which on treated with a suitable acid to provide 2-(2-(2,2,2-trifluoroethoxy)phenoxy)acetic acid compound of formula-3.
 Wherein, the suitable base is selected from alkali metal hydroxides and alkali metal alkoxides; and the suitable solvent is selected from ether solvents, ester solvents, polar-aprotic solvents, hydrocarbon solvents and ketone solvents; and the suitable acid is preferably hydrochloric acid.
The 2-(2-(2,2,2-trifluoroethoxy)phenoxy)acetic acid compound of formula-3 obtained in the above aspect can be further reduced with a suitable reducing agent like sodium borohydride-BF3.etherate in a suitable solvent to provide 2-(2-(2,2,2- trifluoroethoxy)phenoxy)ethanol compound of formula- 1 1.
 The tenth aspect of the present invention is to provide a process for the preparation of 2-(2-(2,2,2-trifluoroethoxy)phenoxy)ethanol compound of formula- 11 ,
 Formula- 1 1
comprising of reducing the ethyl 2-(2-(2,2,2-trifluoroethoxy)phenoxy)acetate compound of formula- 10
 Formula- 10  with a suitable reducing agent in a suitable solvent to provide 2-(2-(2,2,2- trifluoroethoxy)phenoxy) ethanol compound of formula-11, wherein, the suitable reducing agent is selected from sodium borohydride, diisobutylaluminium hydride (DIBAL), diborane, lithium triethylborohydride and the like; and the suitable solvent is selected from alcoholic solvents, chloro solvents, ether solvents, hydrocarbon solvents and ester solvents.
The eleventh aspect of the present invention is to provide an improved process for the preparation of 2-(2-(2,2,2-trifluoroethoxy)phenoxy)ethyl methanesulfonate compound of formula-7, comprising of;
a) Reacting the 2-(2,2,2-trifluoroethoxy)phenol compound of formula-9 with ethyl 2- bromoacetate in presence of a suitable base in a suitable solvent to provide ethyl 2-(2- (2,2,2-trifluoroethoxy)phenoxy)acetate compound of formula- 10,
b) reducing the compound of formula- 10 with a suitable reducing agent in a suitable solvent to provide 2-(2-(2,2,2-trifluoroethoxy)phenoxy)ethanol compound of formula-1 1,
c) treating the compound of formula- 1 1 with methane sulfonyl chloride in presence of a suitable base in a suitable solvent to provide 2-(2-(2,2,2-trifluoroethoxy)phenoxy) ethyl methanesulfonate compound of formula-7.
Wherein, in. step-a) the suitable base is selected from inorganic bases such as alkali metal carbonates and bicarbonates; and the suitable solvent is selected from polar- aprotic solvents, ether solvents, chloro solvents and hydrocarbon solvents.
 In step-b) the suitable reagents are same as described in tenth aspect.
 In step-c) the suitable base is selected from organic bases such as triethylamine, diisopropyl amine, diisopropylethylamine, diisobutylamine and pyridine; and the suitable solvent is selected from chloro solvents, ether solvents, ester solvents and hydrocarbon solvents. The twelfth aspect of the present invention is to provide a process for the preparation of 2-(2-(2,2,2-trifluoroethoxy)phenoxy)ethyl methanesulfonate compound of formula-7, comprising of;  a) Reacting the 2,2,2-trifluoroethanol compound of formula- 12
Formula- 12
 with p-toluene sulfonyl chloride in presence of a suitable base in a suitable solvent to provide 2,2,2-trifluoroethyl 4-meth lbenzenesulfonate compound of formula- 13,
 Formula- 13
b) reacting the compound of formula- 13 with 2-methoxy phenol compound of formula- 14
 Formula- 14
 in presence of a suitable base in a suitable solvent to provide l-methoxy-2-(2,2,2- trifluoroethoxy)benzene compound of formula- 15,
 Formula- 15
c) demethylating the compound of formula- 15 by treating with a suitable demethylating agent in a suitable solvent to provide 2-(2,2,2-trifluoroethoxy)phenol compound of formula-9,
d) reacting the compound of formula-9 with sodium 2-chloroacetate in presence of a suitable base in a suitable solvent, followed by in-situ treating with a suitable acid to provide 2-(2-(2,2,2-trifluoroethoxy)phenoxy)acetic acid compound of formula-3, e) reducing the compound of formula-3 with a suitable reducing agent in a suitable solvent to provide 2-(2-(2,2,2-trifluoroethoxy)phenoxy)ethanol compound of formul a-1 1,  f) treating the compound of formula- 1 1 with methane sulfonyl chloride in presence of a suitable base in a suitable solvent to provide 2-(2-(2,2,2- trifluoroethoxy)phenoxy)ethyl methanesulfonate compound of formula-7. Wherein, in step-a) the suitable base is selected from organic bases like diisopropyl amine, diisopropylethylamine, diisobutylamine, triethylamine, pyridine and 4-dimethylaminopyridine; and the suitable solvent is selected from chloro solvents, hydrocarbon solvents and ether solvents.
 In step-b) the suitable base is selected from alkali metal hydroxides, alkali metal alkoxides, alkali metal carbonates and alkali metal bicarbonates; the suitable solvent is selected from polar-aprotic solvents, chloro solvents, hydrocarbon solvents and ether solvents.
 In step-c) the suitable demethylating agent is aq.hydrobromic acid and the suitable solvent is selected from chloro solvents, hydrocarbon solvents, ether solvents.
 In step-d) the suitable base is selected from alkali metal hydroxides, alkali metal alkoxides, alkali metal carbonates and alkali metal bicarbonates; the suitable solvent is selected from hydrocarbon solvents, chloro solvents, ether solvents; and the suitable acid is preferably hydrochloric acid.
 In step-e) the suitable reducing agent is sodium borohydride-BF3.etherate, lithium aluminiumhydride, diborane, borane-dimethylsulfide (BH3-DMS); and the suitable solvent is selected from ether solvents, hydrocarbon solvents, alcoholic solvents and chloro solvents.
 In step-f) the suitable base is selected from organic bases like diisopropyl amine, diisopropylethylamine, diisobutylamine, triethylamine, pyridine and 4- dimethylaminopyridine; and the suitable solvent is selected from chloro solvents, ether solvents and hydrocarbon solvents.
The thirteenth aspect of the present invention provides an improved process for the preparation of l-(3-hydroxypropyl)-5-[(2R)-2-({2-[2-(2,2,2-trifluoroethoxy)phenoxy] ethyl} amino)propyl]-2,3-dihydro-lH-indole-7-carbonitrile compound of formula-6 as a solid, comprising of;  Condensing the 3-{7-cyano-5-[(2R)-2-aminopropyl]-2,3-dihydro- lH-indol-l-yl} propyl benzoate compound of formula-2
 Formula-2
with 2-[2-(2,2,2-trifluoroethoxy)phenoxy]ethyl methanesulfonate compound of formula-7
F3CvO O
 Formula-7
in presence of dipotassium hydrogen phosphate and optionally in presence of a phase transfer catalyst in a suitable solvent to provide 3-{7-cyano-5-[(2R)-2-({2-[2-(2,2,2- trifluoroethoxy) phenoxy] ethyl} amino)propyl]-2,3-dihydro- lH-indol- 1 -yl}propyl benzoate compound of formula-5,
 Formula-5
in-situ hydrolyzing the compound of formula-5 in presence of a suitable base and optionally in presence of a phase transfer catalyst in a suitable solvent to provide 1- (3-hydroxypropyl)-5-[(2R)-2-({2-[2-(2,2,2-trifluoroethoxy)phenoxy]ethyl} amino) propyl]-2,3-dihydro-lH-indole-7-carbonitrile compound of formula-6,
Formula-6
treating the compound of formula-6 by in-situ with a suitable acid in a suitable solvent provides corresponding acid addition salt of compound of formula-6 treating the compound obtained in step c) with a suitable base in a suitable solvent and isolating from a suitable solvent to provide pure l-(3-hydroxypropyl)-5-[(2R)-2-  ( {2-[2-(2,2,2-trifluoroethoxy)phenoxy]ethyl} amino)propyl]-2,3-dihydro- 1 H-indole-7- carbonitrile compound of formula-6 as a solid.
 Wherein, in step-a) and step-b) the phase transfer catalyst is selected from tetra butyl ammonium bromide (TBAB), tetrabutyl ammonium iodide, tetramethyl ammonium chloride, preferably tetra butyl ammonium bromide; the suitable solvent is selected from hydrocarbon solvents, alcoholic solvents, polar-aprotic solvents and/or their mixtures thereof;
 In step-b) and step-d) the suitable base is selected form hydroxides and carbonates of alkali metals;
 In step-c) & step-d) the suitable acid is acetic acid and the suitable solvent is selected from hydrocarbon solvents, alcoholic solvents, ester solvents, ketone solvents, polar-aprotic solvents and/or their mixtures thereof;
 A preferred embodiment of the present invention provides an improved process for the preparation of l-(3-hydroxypropyl)-5-[(2R)-2-({2-[2-(2,2,2-trifluoroethoxy) phenoxy] ethyl} amino) propyl]-2,3-dihydro-lH-indole-7-carbonitrile compound of formula-6 as a solid, comprising of;
a) Condensing the 3-{7-cyano-5-[(2R)-2-aminopropyl]-2,3-dihydro- lH-indol-l- yl} propyl benzoate compound of formula-2 with 2-[2-(2,2,2-trifluoroethoxy) phenoxyjethyl methanesulfonate compound of formula-7 in presence of dipotassium hydrogen phosphate and tetra butyl ammonium bromide in toluene to provide 3-{7- cyano-5-[(2R)-2-( {2-[2-(2,2,2-trifluoroethoxy)phenoxy]ethyl} amino) propy}]-2,3- dihydro-lH-indol-l-yl} propyl benzoate compound of formula-5,
b) in-situ hydrolyzing the compound of formula-5 in presence of sodium hydroxide in toluene to provide l-(3-hydroxypropyl)-5-[(2R)-2-({2-[2-(2,2,2-trifluoroethoxy) phenoxyjethyl} amino) propyl]-2,3-d ydro-lH-indole-7-carbonitrile compound of formula-6,
c) treating the compound of formula-6 by in-situ with acetic acid in toluene provides acetic acid salt of compound of formula 6,
d) treating the obtained acetic acid salt of compound of formula-6 with sodium hydroxide and followed by isolating from a mixture of cyclohexane and water to  provide pure 1 -(3-hydroxypropyl)-5-[(2R)-2-( {2-[2-(2,2,2-trifluoroethoxy)phenoxy] ethyl} amino)propyl]-2,3-dihydro-lH-indole-7-carbonitrile compound of formula-6.
 The 1 -(3-hydroxypropyl)-5-[(2R)-2-( {2-[2-(2,2,2-trifluoroethoxy)phenoxy]ethyl} amino) propyl]-2,3-dihydro-lH-indole-7-carbonitrile compound of formula-6 obtained in step-d) can be further hydrolyzed in presence of a suitable base and a suitable oxidizing agent such as hydrogen peroxide to provide l-(3-hydroxypropyl)-5-[(2R)-2-({2-[2-(2,2,2- trifluoroethoxy)phenoxy]ethyl} amino)propyl]-2,3-dihydro- 1 H-indole-7-carboxamide compound of formula- 1.
 3- {7-Cyano-5-[(2R)-2-aminopropyl]-2,3-dihydro-lH-indol-l-yl}propyl benzoate compound of formula-2 utilized in the above condensation step-a) can be obtained by neutralizing its tartrate salt compound of formula-2a with a suitable base selected from hydroxides and carbonates of alkali metals in a suitable solvent. US7834193B2 patent disclosed another process for the synthesis of l-(3- hydroxypropyl)-5-[(2R)-2-({2-[2-(2,2,2-trifluoroethoxy)phenoxy]ethyl} amino )propyl]- 2,3-dihydro-lH-indole-7-carboxamide comprising of refluxing a mixture of 3-[5-((2R)-2- aminopropyl)-7-cyano-2,3-dihydro-lH-indol-l-yl]propyl benzoate (2R,3R)-monotartrate and 2-[2-(2,2,2-trifluoi ethoxy)phenoxy]ethyl methanesulfonate for 24 hrs in presence of sodium carbonate to provide 3-{7-cyano-5-[(2R)-2-({2-[2-(2,2,2-trifluoroethoxy) phenoxy]ethyl}amino)propyl]-2,3-dihydro-lH-indol-l-yl}propyl benzoate. Treating the obtained compound with oxalic acid to provide its oxalate salt, hydrolyzing the oxalate salt to provide l-(3-hydroxypropyl)-5-[(2R)-2-({2-[2-(2,2,2-trifluoroethoxy)phenoxy] ethyl}amino)piOpyl]-2,3-dihydro-lH-indole-7-carbonitrile which on further hydrolysis provides 1 -(3-hydroxypropyl)-5-[(2R)-2-( {2-[2-(2,2,2-trifluoroethoxy)phenoxy]ethyl} amino)propyl]-2,3-dihydro- 1 H-indole-7-carboxamide.
In all the prior reported processes, the condensation reaction of benzoate compound of formula-2 with methanesulfonate compound of formula-7 takes longer time for completion of the reaction, i.e., around 24 hrs. The present inventors observed that when the base is changed the reaction time is very less when compared to the prior- art processes. It was surprisingly found that when dipotassium hydrogen phosphate is used as a base the reaction completes in 10-12 hrs only.  Also the usage of dipotassium hydrogen phosphate reduces the formation of dimer impurity in the condensation step when compared to the prior reported processes, thereby increasing the yield and purity of the condensation product and makes the process economic. The condensation product on further purification leads to highly pure compound with good yields. Thus the present invention is more advantageous over the prior-art.
 The dimer impurity substantially come down to very minimum level after acetic acid treatment of compound of formula-6 which is unexpected/substantial result makes the present process more economic & commercially viable.
 The 2-[2-(2,2,2-trifluoroethoxy)phenoxy]ethyl methanesulfonate compound of formula-7 utilized in the above condensation step can be synthesized by any of the methods known in the art.
The fourteenth aspect of the present invention provides an improved process for the preparation of l-(3-hydroxypropyl)-5-[(2R)-2-({2-[2-(2,2,2-trifluoroethoxy)phenoxy] ethyl} amino)propyl]-2,3-dihydro-lH-indole-7-carboxamide compound of formula- 1, comprising of;
a) Condensing the 3-{7-cyano-5-[(2R)-2-aminopropyl]-2,3-dihydro-lH-indol-l- yl} propyl benzoate compound of formula-2 or its tartrate salt compound of formula- 2a with 2-[2-(2,2,2-trifluoroethoxy)phenoxy]ethyl methanesulfonate compound of formula-7 in presence of a suitable base in a suitable solvent to provide 3-{7-cyano-5- [(2R)-2-({2-[2-(2,2,2-trifluoroethoxy)phenoxy]ethyl}amino)propyl]-2,3-dihydro-lH- indol-l-yl}propyl benzoate compound of formula-5,
b) in-situ hydrolyzing the compound of formula-5 in presence of a suitable base and optionally in presence of a phase transfer catalyst in a suitable solvent to provide 1- (3-hydroxypropyl)-5-[(2R)-2-( {2-[2-(2,2,2-trifluoroethoxy)phenoxy]ethyl} amino) propyl]-2,3-dihydro-lH-indole-7-carbonitrile compound of formula-6,
c) treating the compound of formula-6 by in-situ treating with a suitable acid in a suitable solvent provides corresponding acid addition salt of compound of formula-6, d) treating the compound obtained in step-c) with a suitable base in a suitable solvent and followed by isolating from a suitable solvent to provide pure l-(3-  hydroxypropyl)-5-[(2R)-2-({2-[2-(2,2,2-trifluoroethoxy)phenoxy]ethyl} amino) propyl]-2,3-dihydro-lH-indole-7-carbonitrile compound of formula-6 as a solid, e) hydrolyzing the compound of formula-6 in presence of a suitable base in a suitable solvent to provide l-(3-hydroxypropyl)-5-[(2R)-2-({2-[2-(2,2,2-trifluoroethoxy) phenoxy] ethyl} amino) propyl]-2,3-dihydro-lH-indole-7-carboxamide compound of formula- 1,
f) optionally purifying the compound of formula- 1 from a suitable solvent.
 Wherein, in step-a), step-b), step-d) and step-e) the suitable base is selected form hydroxides and carbonates of alkali metals; the suitable solvent is selected from hydrocarbon solvents, alcoholic solvents, polar-aprotic solvents, ketone solvents, ester solvents, ether solvents and/or their mixtures thereof;
 In step-b) the phase transfer catalyst is same as defined for step-b) of the first aspect of the present invention; and the suitable acid used in step-c) is acetic acid;
 In step-f) the suitable solvent is selected from ester solvents.
Another preferred embodiment of the present invention provides an improved process for the preparation of l-(3-hydroxypropyl)-5-[(2R)-2-({2-[2-(2,2,2-trifluoro ethoxy)phenoxy]ethyl} amino)pi pyl]-2,3-dihydro-l H-indole-7-carboxamide compound of formula- 1, comprising of;
a) Condensing the 3-{7-cyano-5-[(2R)-2-aminopropyl]-2,3-dihydro-lH-indol-l-yl} propyl benzoate compound of formula-2 or its tartrate salt compound of formula-2a with 2-[2-(2,2,2-trifluoroethoxy)phenoxy]ethyl methanesulfonate compound of formula-7 in presence of sodium carbonate in tert-butanol to provide 3-{7-cyano-5- [(2R)-2-( {2-[2-(2,2,2-trifluoroethoxy) phenoxy]ethyl}amino)propyl]-2,3-dihydro-lH- indol-l-yl}propyl benzoate compound of formula-5,
b) in-situ hydrolyzing the compound of formula-5 in presence of sodium hydroxide and tetra butyl ammonium bromide in tert-butanol to provide l-(3-hydroxypropyl)-5- [(2R)-2-({2-[2-(2,2,2-trifluoroethoxy)phenoxy]ethyl}amino)propyl]-2,3-dihydro-lH- indole-7-carbonitrile compound of formula-6,
c) treating the compound of formula-6 by in-situ with acetic acid provides acetic acid salt of compound of formula-6,  d) treating the compound obtained in step-c) with sodium hydroxide in toluene and followed by isolating from a mixture of cyclohexane and water to provide pure l-(3- hydroxypropyl)-5-[(2R)-2-({2-[2-(2,2,2-trifluoroethoxy)phenoxy]ethyl} amino) propyl]-2,3-dihydro-lH-indole-7-carbonitrile compound of formula-6 as a solid, e) hydrolyzing the compound of formula-6 in presence of sodium hydroxide in dimethyl ' sulfoxide to provide l-(3-hydroxypropyl)-5-[(2R)-2-({2-[2-(2,2,2-trifluoroethoxy) phenoxy] ethyl} amino) propyl]-2,3-dihydro-lH-indole-7-carboxamide compound of formula- 1,
f) optionally purifying the compound of formula- 1 from a suitable ester solvent.
 The hydrolysis of the compound of formula-6 in step-e) is generally carried out in presence of an oxidizing agent, preferably hydrogen peroxide.
The 1 -(3-hydroxypropyl)-5-[(2R)-2-( {2-[2-(2,2,2-trifluoroethoxy)phenoxy]ethyl} amino)propyl]-2,3-dihydro-lH-indole-7-carbonitrile compound of formula-6 obtained by the process of the present invention can be further converted to its acid addition slats by treating with a suitable acid in a suitable solvent.
 Another embodiment of the present invention provides a process for the preparation of 1 -(3-hydroxypropyl)-5-[(2R)-2-( {2-[2-(2,2,2-trifluoroethoxy)phenoxy] ethyl} amino)propyl]-2,3-dihydro-lH-indole-7-carbonitrile hydrochloride salt compound of formula-6a
 Formula-6a
 comprising of;
a) Dissolving l-(3-hydroxypropyl)-5-[(2R)-2-({2-[2-(2,2,2-trifluoroethoxy)phenoxy] ethyl} amino)propyl]-2,3-dihydro-l H-indole-7-carbonitrile compound of formula-6 in a suitable solvent,
b) adding cone, hydrochloric acid to the reaction mixture,
c) stirring the reaction mixture,
d) filtering the compound and washing with a suitable solvent,  e) drying the compound to provide l-(3-hydroxypropyl)-5-[(2R)-2-({2-[2-(2,2,2- trifluoroethoxy) phenoxyjethyl} amino )propyl]-2,3-dihydiO-lH-indole-7-carbonitrile hydrochloride salt compound of formula-6a.
 Wherein in step a) & step d) the suitable solvent is selected from alcohol solvents, ester solvents, ether solvents, ketone solvents, hydrocarbon solvents, preferably methyl tert. butyl ether.
The (R)-3-(5-(2-aminopropyl)-7-cyanoindolin-l-yl)propyl benzoate 2,3- dihydroxysuccinate compound of formula-2a utilized in the present invention can be synthesized as follows;
a) Condensing the 3-chloro propyl benzoate with indoline in presence of triethylamine in dimethyl formamide to provide 3-(indolin-l-yl)propyl benzoate hydrochloride, b) formylation of the obtained hydrochloride salt with phosphorous oxychloride followed by reaction with nitroethane in presence of ammonium acetate to provide (E)-3-(5-(2-nitroprop- 1 -enyl)indolin- 1 -yl)propyl benzoate,
c) reducing the nitro alkene compound with sodium borohydride, followed by formylation of the obtained compound with phosphorous oxychloride in dimethyl formamide to provide 3-(7-formyl-5-(2-nitropropyl)indolin-l-yl)propyl benzoate, d) treating the aldehyde compound obtained in step-c) with hydroxylamine hydrochloride in presence of pyridine followed by reducing the nitro group of the resulting compound with Raney-Ni to provide 3-(5-(2-aminopropyl)-7-cyanoindolin- l-yl)propyl benzoate,
e) resolution of the amine compound with L(+)-tartaric acid in acetone provides (R)-3- (5-(2-aminopropyl)-7-cyanoindolin-l-yl)propyl benzoate 2,3-dihydroxysuccinate compound of formula-2a.
 One of the main objects of the present invention is to provide a process for the removal of dimer impurity formed in the condensation of benzoate compound of formula- 2 or its tartrate salt compound of formula-2a with methanesulfonate compound of formula-7. The present inventors intensely studied and developed a simple but effective process for the removal of above said dimer impurity. The process involves the treatment of the hydroxy compound of formula-6 which is obtained by the removal of benzoyl group from the condensation product of formula-5 with a suitable acid followed by  treating with a suitable base. By adopting siich process for the purification of compound of formula-6 the content of dimer impurity in compound of formula-6 is reduced from 10-15% to minimum levels. Thus such purification process forms the basis of the present invention.
The fifteenth aspect of the present invention provides a purification process for 1 - (3-hydroxypropyl)-5-[(2R)-2-({2-[2-(2,2,2-trifluoroethoxy)phenoxy]ethyl} amino)propyl] -2,3-dihydro-lH-indole-7-carbonitrile compound of formula-5, comprising of treating the compound of formula-6 with a suitable acid followed by treating with a suitable base in a suitable solvent to provide highly pure l-(3-hydroxypropyl)-5-[(2R)-2-({2-[2-(2,2,2- trifluoroethoxy)phenoxy]ethyl} amino) propyl]-2,3-dihydro- lH-indole-7-carbonitrile compound of formula-6. Optionally the obtained pure compound was isolating as a crystalline solid from a suitable solvent.
 Wherein, the suitable acid is selected from inorganic acids like hydrochloride, hydro bromide, sulfuric acid and organic acids like acetic acid, citric acid, para toluene sulfonic acid, malic acid, maleic acid, succinic acid and the like; the suitable base is selected form hydroxides and carbonates of alkali metals; the suitable solvent is selected from hydrocarbon solvents, alcoholic solvents, polar-aprotic solvents, ketone solvents and/or their mixtures thereof;
 A preferred embodiment of the present invention provides a purification process for 1 -(3-hydroxypropyl)-5-[(2R)-2-( {2-[2-(2,2,2-trifluoroethoxy)phenoxy]ethyl} amino) propyl]-2,3-dihydro-lH-indole-7-carbonitrile compound of formula-6, comprising of treating the compound of formula-6 with acetic acid followed by treating with sodium hydroxide in toluene provides highly pure l-(3-hydroxypropyl)-5-[(2R)-2-({2-[2-(2,2,2- trifluoroethoxy)phenoxy]ethyl} amino)propyl]-2,3-dihydro-lH-indole-7-carbonitrile compound of formula-6.
The sixteenth aspect of the present invention provides l-(3-hydroxypropyl)-5- [(2R)-2-({2-[2-(2,2,2-trifluoroethoxy)phenoxy]ethyl}amino)propyl]-2,3-dihydro-lH- indole-7-carbonitrile compound of fonnula-6 as a crystalline solid which is characterized by its X-Ray powder diffraction pattern having peaks at about 5.2, 5.8, 11.5, 12.6, 13.1, 17.2, 18.3, 18.5, 20.1, 20.4, 20.9, 26.5, 28.4 ± 0.2 degrees of 2-theta. The said crystalline  form is herein designated as crystalline form-M and is further characterized by the PXRD pattern as depicted in figure-2.
The seventeenth aspect of the present invention provides l-(3-hydroxypropyl)-5- [(2R)-2-({2-[2-(2,2,2-trifluoroethoxy)phenoxy]ethyl}amino)propyl]-2,3-dihydro-lH- indole-7-carbonitrile hydrochloride salt compound of formula-6a in crystalline form designated as form-S characterized by the X-Ray powder diffraction pattern having peaks at about 5.0, 5.8, 10.6, 14.2, 17.7, 21.0, 24.8± 0.2 degrees of 2-theta as depicted in figure- 3.
 The eighteenth aspect of the present invention provides a process for the preparation of 1 -(3-hydroxypropyl)-5-[(2R)-2-( {2-[2-(2,2,2-trifluoroethoxy)phenoxy] ethyl }amino)propyl]-2,3-dihydro-lH-indole-7-carboxamide compound of formula- 1 in β- crystalline form, comprising of;
a) Adding isopropyl acetate to l-(3-hydroxypropyl)-5-[(2R)-2-({2-[2-(2,2,2- trifluoroethoxy) phenoxy]ethyl}amino)propyl]-2,3-dihydro-lH-indole-7-carboxamide of formula- 1 ,
b) heating the reaction mixture,
c) stirring the reaction mixture,
d) filtering the reaction mixture and cooling the filtrate,
e) adding isopropyl acetate to the filtrate,
f) stirring the reaction mixture for 2-3 hrs,
g) filtering the precipitated solid and washing with isopropyl acetate,
h) drying the compound to provide l-(3-hydroxypropyl)-5-[(2R)-2-({2-[2-(2,2,2- trifluoroethoxy) phenoxy] ethyl} amino)propyl]-2,3-dihydro- 1 H-indole-7-carboxamide compound of formula- 1 in β-crystalline form.
 The another embodiment of the present invention is to provide a process for the preparation of stable crystalline β form of the compound of formula- 1 , comprises of following steps;
a) Dissolving the compound of formula- 1 in methyl isobutyl ketone,
b) heating and stirring the reaction mixture,
c) filtering the obtained reaction mixture,
d) slowly cooling the reaction mixture,  e) stirring the reaction mixture,
f) filtering the reaction mixture and washing with methyl isobutyl ketone,
g) drying the solid to get β form of indoline compound of formula- 1.
The present crystalline β form of compound of formula- 1 is more stable under the following conditions:
a) pressure up to ten tons,
b) at a temperature of 60°C for 24 hours,
c) under UV light for 24 hours, and
d) in presence of moisture, confirmed by the fact that there is no change in the PXRD pattern under these conditions.
In US application 2006/0142374 Al discloses a process for the preparation of crystalline β form of the compound of formula- 1 using alcohol solvents. Wherein crude crystals are dissolved in appropriate amount of methanol or ethanol under heating, adding a non polar solvent like petroleum ether and stirring vigorously to precipitate the crystals forcibly and suddenly. It has a manufacturing issue in industrial preparation and it may be difficult to get consistent quality of the crystal. The present invention overcomes the above said problems and provides an improved process for the preparation of crystalline β form of the compound of formula- 1 by using single solvent.
 The compound of formula- 1 obtained according to the processes of the present invention as described above, may contain the impurity less than about 0.1 % at 1.28 RRT, as determined by HPLC. The said impurity may have the following structure:
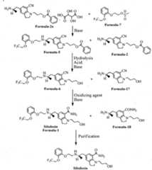
In the synthesis of l-(3-hydroxypropyl)-5-[(2R)-2-({2-[2-(2,2,2-trifluoroethoxy) phenoxy]ethyl}amino)propyl]-2,3-dihydro-lH-indole-7-carboxamide compound of formula-1 during the condensation of 3-{7-cyano-5-[(2R)-2-aminopropyl]-2,3-dihydro- lH-indol-l-yl} propyl benzoate compound of formula-2 with 2-[2-(2,2,2-trifluoroethoxy) phenoxyjethyl methanesulfonate compound of formula-7 the unreacted compound of  formula-2 is remained as an impurity and it is converted to compound of formula- 17 & formula- 18 in consequent process steps of hydrolysis stages and finally compound of formula- 18 is eliminated during workup and which has been well controlled under the unknown impurity category in the final pharma stage. This path way is schematically depicted as follows.
 Formula-1
 Further the present invention relates pharmaceutical composition of l-(3- hydroxypropyl)-5-[(2/?)-( {2-[2-[2-(2,2,2-trifluoroethoxy)phenoxy]ethyl} amino) propyl]- 2,3-dihydro-lH-indole-7-carboxamide compound of formula-1. The compound of  formula- 1 or its salts exists in different polymorphic forms, which are well known in the art. In the present invention, the most preferable polymorph used for the preparation of pharmaceutical formulation is a-crystalline form.
 By "salt" or "pharmaceutically acceptable salt", it is meant those salts and esters which are, within the scope of sound medical judgment, suitable for oral use for humans to commensurate with a reasonable benefit to risk ratio, and effective for their intended use. Representative acid additions salts include the hydrochloride, hydrobromide, sulphate, and bisulphate. Representative alkali or alkaline earth metal salts include the sodium, calcium, potassium and magnesium salts. The term "pharmaceutically acceptable" as used in connection with components includes those components approved by a governmental regulatory agency or listed in the U.S. Pharmacopeia or other generally recognized pharmacopeia for use in mammals, such as humans.
 The term "pharmaceutical formulation" (synonymously, "pharmaceutical composition") is used herein to refer to a pharmaceutical preparation intended for oral administration for the treatment of the signs and symptoms of benign prostatic hyperplasia of a subject in need thereof.
The term "solid oral dosage form" (synonymously, "dosage form") is used herein to refer to a pharmaceutical preparation intended for oral administration, includes such dosage forms as tablets, capsules, minitablets, pellets, granules, powders & spheroids. Preferably, solid oral dosage form is in the form of a tablet or a capsule.
Direct compression is the preferred technique since it is considered that fewer chemical stability problems are associated with this technique in comparison with the wet granulation process as moisture is considered to be a primary cause of instability in tablet dosage forms. In addition to the advantage of improved active ingredient stability, the use of direct compression makes it unnecessary to use applied heat to dry the damp granule. Other benefits associated with direct compression are related to particle size uniformity. This invention therefore is directed towards a direct compression pharmaceutical formulation of an active pharmaceutical ingredient.
The nineteenth aspect of the present invention relates to an oral solid composition of l-(3-hydroxypropyl)-5-[(2 ?)-( {2-[2-[2-(2,2,2-trifluoroethoxy)phenoxy]ethyl} amino)  propyl]-2,3-dihydro-lH-indole-7-carboxamide, wherein the said oral solid dosage form has 85% drug release with in 60 minutes time by using USP apparatus 1 (basket) at 100 rpm in 0.0 IN HC1.
The twentieth aspect of the present invention provides the pharmaceutical composition comprising:
 a) Crystalline form of l-(3-hydroxypropyl)-5-[(27?)-( {2-[2-[2-(2,2,2-trifluoroethoxy) phenoxy] ethyl} amino) propyl]-2,3-dihydro- lH-indole-7-carboxamide
 . b) at least one diluent,
 c) at least one disintegrant,
 d) at least one surfactant,
 e) and at least one lubricant.
 The diluents are generally used to increase the bulk of the tablet or capsule, the diluent preferred in the present formulation are Mannitol and/or dicalcium phosphate. Preferably mannitol.
 Disintegrants are included in the tablet or capsule formulations to promote the breakup of the tablet or capsule into smaller fragments thereby increasing the available surface area and promoting a more rapid dissolution of the active ingredient. This will enhance the bio availability of the active pharmaceutical ingredients. The various disintegrants include starch, low-substituted hydroxyethylcellulose, and partially pregelatinized starch but the preferable one is pregelatinized starch.
 Surfactants are included to improve the drug release rate. The improved release rate is often associated with the effect of surfactant increasing the hydrophilicity of the dosage form thereby promoting the drug dissolution. Various surfactants include polyethylene glycol, polyoxyethylene, sodium lauryl sulphate, polyoxypropylene glycol and triethylcitrate, docusate sodium. Preferable surfactant is sodium lauryl sulphate.
Lubricants are used in the tablet or capsule formulation to reduce the friction during the compression and capsule filling operations. Lubricants include stearic acid (calcium stearate and magnesium stearate), sodium steryl fumerate, vegetable oils(corn oil), mineral oils, polyethylene glycol, inorganic salts(such as sodium chloride), and  polyvinyl alcohols. Preferred lubricant is magnesium stearate or steric acid; most preferably magnesium sterate.
The twenty-first aspect of the present invention relates to the process for the preparation of oral solid dosage form of l-(3-hydroxypropyl)-5-[(2i?)-({2-[2-[2-(2,2,2- trifluoroethoxy)phenoxy]ethyl}amino)propyl]-2,3-dihydro-lH-indole-7-carboxamide comprises of the following steps:
 a) Sifting all excipients,
 b) mixing l-(3-hydroxypropyl)-5-[(2/?)-({2-[2-[2-(2,2,2-trifluoroethoxy)
 phenoxy]ethyl}amino)propyl]-2,3-dihydro-lH-indole-7-carboxamide with mannitol, pregelatinized starch and sodium lauryl sulphate,
 c) lubricating the above mixture with magnesium stearate,
 d) filling the above mixture into a capsule shell. The twenty-second aspect of the present invention provides a solid oral dosage form comprising 1 -(3-hydroxypropyl)-5-[(2 ?)-( {2-[2-[2-(2,2,2-trifluoroethoxy)phenoxy] ethyl} amino)propyl]-2,3-dihydro-lH-indole-7-carboxamide compound of formula-1 or its salts having an initial burst release of about 65% in 0.01 N HC1, 100 rpm, USP apparatus-I (Basket), 900 ml in about 5 minutes.
 Wherein "Initial burst release" refers to the release of a active pharmaceutical ingredient from the pharmaceutical formulation in the first 5 minutes.
The twenty-third aspect of the present invention provides a solid oral dosage form of active pharmaceutical ingredient obtained by the direct compression technique comprising: (a) sifting active pharmaceutical ingredient, surfactant & disintegrant (b) blend the step (a) material in a octagonal blender, (c) lubricating the step (b) with lubricant (d) fill the resultant mixture of step (c) into a capsules or optionally compressed into a tablets.
According to the invention there is provided a solid oral dosage fonn comprising l-(3-hydroxypropyl)-5-[(2 ?)-({2-[2-[2-(2,2,2-trifluoroethoxy)phenoxy]ethyl}amino) propyl]-2,3-dihydro-lH-indole-7-carboxamide compound of formula-1 and a  pharmaceutically acceptable carrier, of which are in finely divided form, wherein the final blend has a poured bulk density of about 0.40 to about 0.65 g ml, preferably about 0.45 to about 0.60 g/ml. The twenty-fourth aspect of the present invention relates to a pharmaceutical formulation exhibiting storage stability at a temperature of about 40 °C and a relative humidity of about 75% for a period of at least 3 months, and contains not more than 2% w/w total impurities (based on total weight of the formulation) formed upon storage. The twenty-fifth aspect of the present invention relates to a pharmaceutical formulation is stable at accelerated conditions for a period of at least 3 months. The formulations of were stored at about 40°C temperature and a relative humidity of about 75% after packing into Alu-Alu blister packs and/or HDPE containers. PXRD analysis of crystalline l-(3-hydroxypropyl)-5-[(2R)-2-({2-[2-(2,2,2- trifluoroethoxy) phenoxy] ethyl } amino)propyl]-2,3-dihydro- 1 H-indole-7-carbonitrile compound of formula-5 and its hydrochloride salt compound of formula-6a were carried out using BRUKER AXS X-Ray diffractometer using Cu K radiation of wavelength 1.5406 A° and continuous scan speed of 0.03°/min.
The 1 -(3-hydroxypropyl)-5-[(2R)-2-( {2-[2-(2,2,2-trifluoroethoxy)phenoxy]ethyl} amino)propyl]-2,3-dihydro-lH-indole-7-carbonitrile compound of formula-6 obtained by the process of the present invention was analyzed by HPLC under the following conditions;
Apparatus: A liquid chromatographic system equipped with variable wavelength UV detector and integrator; Column: Sunfire C I 8, 250x4.6 mm, 5μ (or) equivalent; Flow rate: 1.0 mL/min; Wavelength: 225 nm; Column temperature: 30°C; Injection volume: 10 uL; Run time: 55 min; Diluent: acetonitrile:buffer (1 : 1 v/v); Elution: gradient; Buffer: 1 mL of orthophosphoric acid (85%) and 1.0 gm of anhydrous 1 -octane sulphonic acid sodium salt in 1000 ml of milli-Q-water; Mobile phase-A: Buffer; Mobile phase-B: acetonitrile: water (90: 10 v/v); concentration: 1.0 mg/mL.
 Related substances of l -(3-hydroxypropyl)-5-[(2R)-2-({2-[2-(2,2,2-trifluoro ethoxy)phenoxy]ethyl} amino)propyl]-2,3-dihydro- 1 H-indole-7-carboxamide compound  of formula- 1 and its pharmaceutically acceptable salts were measured by High Performance Liquid Chromatography (HPLC) using the following conditions.
Apparatus: A liquid chromatographic system equipped with variable wavelength UV detector and integrator; Column: Unison C8, 150x4.6 mm, 5μ (or) equivalent; Flow rate: 1.0 mL/min; Wavelength: 225 nm; Column temperature: Ambient; Injection volume: 10 uL; Run time: 47 min; Diluent: water: acetonitrile (50:50)v/v; Elution: gradient; Buffer: 2.72 gm of potassium dihydrogen orthophosphate and 1.0 gm of anhydrous 1 -octane sulphonic acid sodium salt in 1000 ml of water and adjust the pH to 3.0 with orthophosphoric acid.
Mobile Phase-A: Buffer; Mobile Phase-B: Acetonitrile: Methanol (80:20)v/v,
The particle size distribution of l-(3-hydroxypropyl)-5-[(2R)-2-({2-[2-(2,2,2- trifluoroethoxy)phenoxy]ethyl}amino) propyl]-2,3-dihydro-lH-indole-7-carboxamide compound of formula- 1 is measured under the following conditions:
Instrument: Malvern Mastersizer 2000; Measuring range: 0.02 to 2000 μπι; Wet sampler: Hydro 2000S (A); Dispersant: cyclohexane; Refractive Index of cyclohexane: 1.427; Refractive index of particle: 1.650; Obscuration range: 14.65%; Sensitivity: normal. l-(3-hydroxypropyl)-5-[(2R)-2-({2-[2-(2,2,2-trifluoro ethoxy)phenoxy]ethyl} amino)propyl]-2,3-dihydro-lH-indole-7-carboxamide as produced by the present invention can be further micronized or milled to get the desired particle size to achieve desired solubility profile based on different forms of pharmaceutical composition requirements. Techniques that may be used for particle size reduction include, but not limited to ball, roller and hammer mills, and jet mills. Milling or micronization may be performed before drying, or after the completion of drying of the product.
The present invention is schematically represented as follows. Scheme-I:
 Formiila-7
 Scheme-IV:
 FormuIa-6
 Formula-1  The best mode of carrying out the present invention is illustrated by the below mentioned examples. These examples are provided as illustration only and hence should not be construed as limitation to the scope of the invention.
Examples:
 Example-1: Preparation of 2,2,2-trifluoroethyl 4-methylbenzenesulfonate
 Triethylamine (126.5 gm) is added to a mixture of toluene (200 ml) and 2,2,2- trifluoroethanol (100 gm) at 30-35°C. Slowly added p-toluene sulfonyl chloride (190.5 gm) to the reaction mixture at 30-35°C and stirred for 3 hrs at the same temperature. After completion of the reaction, 200 ml of water was added to the reaction mixture. Both the organic and aqueous layers were separated and the aqueous layer is extracted with toluene. Combined the organic layers and washed with water. Distilled off the solvent completely from the organic layer under reduced pressure to get the title compound. Yield: 254 gm.
ExampIe-2: Preparation of l-methoxy-2-(2,2,2-trifluoroethoxy)benzene
 Ν,Ν-Dimethyl formamide (250 ml), 2-methoxy phenol (118 gm) and potassium carbonate (276 gm) were added to 2,2,2-trifluoroethyl 4-methylbenzenesulfonate (254 gm) obtained in example-1 in a clean and dry RBF at 25-30°C. Heated the reaction mixture to 135-140°C and stirred for 8 hrs at the same temperature. After completion of the reaction, cooled the reaction mixture to 25-35°C and cyclohexane (300 ml) was added. Filtered the reaction mixture, washed with cyclohexane and 250 ml of water was added to the filtrate. Both the organic and aqueous layers were separated and the aqueous layer was extracted with cyclohexane. Combined the organic layers and washed with water. Distilled off the solvent completely from the organic layer under reduced pressure to get the title compound. Yield: 160 gm.
Example-3: Preparation of 2-(2,2,2-trifluoroethoxy)phenoI
 l-Methoxy-2-(2,2,2-trifluoroethoxy)benzene (100 gm), acetic acid (100 ml) and aq. HBr (200 ml) were charged into a clean and dry RBF at 25-30°C. Heated the reaction mixture to 105-1 10°C and stirred for 12 hrs at the same temperature. After completion of the reaction, cooled the reaction mixture to 30-35°C and water (300 ml) was added. Extracted the reaction mixture with cyclohexane. Washed the organic layer with water  and sodium bicarbonate solution. Distilled off the solvent completely under reduced pressure to get the title compound. Yield: 93.2 gm.
Example-4: Preparation of 2-(2-(2,2,2-trifluoroethoxy)phenoxy)acetic acid
 Toluene (400 ml), sodium monochloro acetate (84.7 gm), sodium hydroxide (38.8 gm) and potassium iodide (3.0 gm) were added to 2-(2,2,2-trifluoroethoxy)phenol (93.2 gm)obtained in example-3. Heated the reaction mixture to reflux and stirred for 2 hrs at the same temperature. After completion of the reaction, cooled the reaction mixture to 30-35°C. Filtered the reaction mixture and 100 ml of water was added. Both the organic and aqueous layers were separated and the pH of the aqueous layer was adjusted to 2 using hydrochloric acid. Stirred the reaction mixture for 2 hrs and filtered. The wet compound was washed with water and then dried to get the title compound.
 Yield: 69.0 gm. Example-5: Preparation of 2-(2-(2,2,2-trifluoroethoxy)phenoxy)ethanol
 Tetrahydrofuran (500 ml) and sodium borohydride (22.7 gm) were charged into a clean and dry RBF at 25-30°C under nitrogen atmosphere. Cooled the reaction mixture to 0-5°C, boron trifluoride-etherate (102 gm) was slowly added and stirred for 60 min at the same temperature. A solution of 2-(2-(2,2,2-trif)uoroethoxy)phenoxy)acetic acid (100 gm) in tetrahydrofuran (300 ml) was slowly added to the reaction mixture at 0-5°C and stirred for 2 hrs at the same temperature. After completion of the reaction, aqueous hydrochloric acid was added to the reaction mixture at below 20°C. Heated the reaction mixture to 25-35°C, dichloromethane (500 ml) was added and stirred for 10 min at the same temperature. Both the organic and aqueous layers were separated and the aqueous layer was extracted with dichloromethane. The combined organic layer was washed with sodium chloride solution and the solvent was completely distilled off under reduced pressure to get the title compound.
Yield: 94.5 gm. Example-6: Preparation of 2-(2-(2,2,2-trifluoroethoxy)phenoxy)ethyl methane sulfonate  To the solution of 2-(2-(2,2,2-trifluoroethoxy)phenoxy)ethanol (95 gm) dissolved in dichloromethane (500 ml), triethylamine (101 gm) was added at 25-35°C. Cooled the reaction mixture to 10-15°C and slowly added methane sulfonyl chloride (57.2 gm) at same temperature. Raised the temperature of the reaction mixture to 25-35°C and stirred for 3 hrs at the same temperature. After completion of the reaction, 500 ml of water was added to the reaction mixture. Both the organic and aqueous layers were separated and the aqueous layer was extracted with dichloromethane. The combined organic layer was washed with water, distilled off the solvent completely from the organic layer under reduced pressure and co-distilled with isopropyl alcohol. 150 ml of Isopropyl alcohol was added to the reaction mixture at 25-35°Cand stirred for 45 min at the same temperature. Cooled the reaction mixture to 20-25°C and stirred for 2 hrs at the same temperature. Filtered the precipitated solid, washed with isopropyl alcohol and dried to get the title compound.
Yield: 85.0 gm.
Example-7: Preparation of (R)-3-(7-cyano-5-(2-(2-(2-(2,2,2-trifluoroethoxy) phenoxy)acetamido)propyl)indolin-l-yl)propyl benzoate
 Slowly added a solution of 2-(2-(2,2,2-trifluoroethoxy)phenoxy)acetic acid (1.44 gm) in dichloromethane (15 ml) to a pre-cooled mixture of dichloromethane (15 ml), (R)- 3-(5-(2-aminopropyl)-7-cyanoindolin-l-yl)propyl benzoate (1.4 gm) and N-hydroxy benzotriazole (0.045 gm) at 0-5°C. A solution of Ν,Ν'-dicyclohexyl carbodiimide (1.19 gm) in dichloromethane (10 ml) was slowly added to the reaction mixture at 0-5°C and stirred for 60 min at the same temperature. After completion of the reaction, filtered the reaction mixture and washed with dichloromethane. Washed the filtrate with 10% sodium bicarbonate solution and saturated sodium chloride solution. Dried the organic layer over sodium sulfate and distilled off the solvent completely under reduced pressure to get the title compound.
Yield: 2.0 gm.
 Example-8: Preparation of (R)-3-(7-cyano-5-(2-(2-(2-(2,2,2-trifluoroethoxy) phenoxy)acetamido) propyl)indolin-l-yl)propyl benzoate  To 2 gm of 2-(2-(2,2,2-trifluoroethoxy)phenoxy)acetic acid added 10 ml of thionyl chloride and heated the reaction mixture to reflux temperature. Cooled the reaction mixture and distilled off the remaining thionyl chloride. The obtained compound was dissolved in 12 ml of dichloromethane and added 4 ml of triethylamine and (R)-3-(5- (2-aminopropyl)-7-cyanoindolin-l-yl)propyl benzoate (2.7 gm) at 25-30°C and stirred for 60 min at the same temperature. After the completion of the reaction, water was added to the reaction mixture. Separated the both aqueous and organic layers and the organic layer was washed with sodium chloride solution. Dried the organic layer over sodium sulfate and distilled off the solvent completely under reduced pressure to get the title compound. Yield: 3.0 gm.
Example-9: Preparation of (R)-3-(7-cyano-5-(2-(2-(2-(2,2,2-trifIuoroethoxy) phenoxy)ethylamino)propyl)indolin-l-yl)propyl benzoate
 Boron trifluoride-etherate (0.92 gm) was slowly added to a pre-cooled solution of sodium borohydride (0.2 gm) in tetrahydrofuran (6 ml) at 0-5°C and stirred the reaction mixture for 2 hrs at the same temperature. A solution of (R)-3-(7-cyano-5-(2-(2-(2-(2,2,2- trifluoroethoxy) phenoxy)acetamido)propyl)indolin-l-yl)propyl benzoate (1.2 gm) in tetrahydrofuran (6 ml) was slowly added to the reaction mixture at 0-5°C. Heated the reaction mixture to 40-45°C and stirred for 4 hrs at the same temperature. After completion of the reaction, cooled the reaction mixture to 0-5°C. Slowly added the reaction mixture to a pre-cooled solution of hydrochloric acid (6 ml) at 10-15°C. Raised the temperature of the reaction mixture to 25-35°C and stirred for 3 hrs at the same temperature. Cooled the reaction mixture to 0-5°C and adjusted the pH of the reaction mixture to 10 with 30% sodium hydroxide solution. Distilled of the solvent completely from the reaction mixture under reduced pressure and extracted with methyl tertiary butyl ether. Washed the organic layer with 10% sodium chloride solution and distilled off the solvent from organic layer completely under reduced pressure to get the title compound. Yield: 1.0 gm. Example-10: Preparation of 3-(indolin-l-yl)propyl benzoate hydrochloride
 A mixture of N,N -dimethyl formamide (504 ml), indoline ( 140 gm), triethyl amine (148 gm) and 3-chloropropyl benzoate (280 gm) was heated to 95-100°C and  stirred for 14 hrs at the same temperature. After completion of the reaction, cooled the reaction mixture to 25-30°C and water (700 ml) was added. Extracted the reaction mixture with ethyl acetate. The organic layer was washed with saturated sodium bicarbonate solution followed by saturated sodium chloride solution. Dried the organic layer over sodium sulfate and distilled off the solvent completely from the organic layer. Ethyl acetate-HCl (280 ml) was added to the obtained residue at 25-30°C and stirred for 15 min. Distilled off the solvent completely from the reaction mixture and co-distilled with acetone. To the obtained crude compound, acetone (350 ml) was added at 25-30°C and stirred the reaction mixture for 2 hrs at the same temperature. Filtered the compound, washed with acetone and then dried to get the title compound. Yield: 270 gm.
Example-11: Preparation of 3-(5-formylindolin-l-yl)propyl benzoate
 Phosphorous oxychloride (79.2 gm) was slowly added to a pre-cooled solution of Ν,Ν-dimethyl formamide (375 ml) at 0-5°C and stirred for 30 min at the same temperature. 3-(Indolin-l-yl)propyl benzoate hydrochloride (150 gm) was slowly added to the reaction mixture at 0-5°C. The temperature of the reaction mixture was raised to 25-30°C and stirred for 3 hrs at the same temperature. After completion of the reaction, the reaction mixture was poured into pre-cooled water (1500 ml) at 5-10°C. The temperature of the reaction mixture was raised to 25-30°C and stirred for 30 min at the same temperature. Adjusted the pH of the reaction mixture to 8.0 with sodium carbonate and stirred the reaction mixture for 30 min at 25-30°C. Extracted the reaction mixture with ethyl acetate and the organic layer was washed with saturated sodium bicarbonate solution followed by saturated sodium chloride solution. Dried the organic layer over sodium sulfate and distilled off the solvent completely. Ethyl acetate-HCl (450 ml) was added to the obtained residue at 0-5°C and stirred for 60 min at the same temperature. Filtered the compound, washed with acetone and then spin-dried for 30 min. Water (150 ml) and ethyl acetate (300 ml) were added to the obtained wet compound and the pH of the reaction mixture was adjusted to 9.0 with IN sodium bicarbonate solution. Both the organic and aqueous layers were separated and washed the organic layer with saturated sodium chloride solution. Distilled off the solvent completely to get the title compound. Yield: 125 gm.  Example-12: Preparation of (E)-3-(5-(2-nitroprop-l-enyi)indolin-l-yl)propyI benzoate
 A mixture of nitroethane (84 gm), 3-(5-formylindolin-l-yl)propyl benzoate (115 gm) and ammonium acetate (37 gm) was heated to 80-90°C and stirred for 3 hrs at the same temperature. After the completion of the reaction, cooled the reaction mixture to 25- 30°C and sodium bicarbonate solution (575 ml) was slowly added. Extracted the reaction mixture with ethyl acetate and the organic layer was washed with saturated sodium bicarbonate solution and saturated sodium chloride solution. Dried the organic layer over sodium sulfate and distilled off the solvent completely under reduced pressure. Isopropyl alcohol (575 ml) was added to the obtained residue, cooled the reaction mixture to 10- 15°C and then stirred for 3 hrs at the same temperature. Filtered the precipitated solid, washed with isopropyl alcohol and then dried to get the title compound. Yield: 96.5 gm.
Example-13: Preparation of 3-(5-(2-nitropropyl)indoIin-l-yl)propyl benzoate
 Ethanol (50 ml) followed by a solution of (E)-3-(5-(2-nitroprop-l-enyl)indolin-l- yl)propyl benzoate (50 gm) in tetrahydrofuran (200 ml) were slowly added to a pre- cooled solution of tetrahydrofuran (150 ml) and sodium borohydride (15.5 gm) at 0-5°C and stirred the reaction mixture for 3 hrs at the same temperature. After completion of the reaction, poured the reaction mixture into ice- water (350 ml). Adjusted the pH of the reaction mixture to 5.0 with acetic acid and neutralize the reaction mixture with sodium bicarbonate solution (100 ml). Both the organic and aqueous layers were separated and washed the organic layer with sodium bicarbonate solution and saturated sodium chloride solution. Dried the organic layer over sodium sulfate and distilled off the solvent completely to get the title compound. Yield: 50.0 gm.
Example-14: Preparation of 3-(7-formyl-5-(2-nitropropyI)indolin-l-yl)propyl benzoate
 Phosphorous oxychloride (41.6 gm) was slowly added to pre-cooled N,N- dimethyl formamide (50 ml) at 0-5°C and stirred for 30 min at the same temperature. Slowly added a solution of 3-(5-(2-nitropropyl)indolin-l-yl)propyl benzoate (50 gm) in Ν,Ν-dimethyl formamide (50 ml) to the reaction mixture at 0-5°C. Heated the reaction mixture to 45-50°C and stined for 3 hrs at the same temperature. After completion of the  reaction, poured the reaction mixture into ice-water (500 ml) and adjusted the pH of the reaction mixture to 8.0 using 10% sodium bicarbonate solution. Extracted the reaction mixture with ethyl acetate and the organic layer was washed with 10% sodium chloride solution and distilled off the solvent. Methanol (100 ml) was added to the obtained residue and the reaction mixture was heated to reflux. Cooled the reaction mixture to 10- 15°C and stirred for 30 min at the same temperature. Filtered the compound, washed with methanol and then dried to get the title compound.
Yield: 24.0 gm. Example-15: Preparation of 3-(7-cyano-5-(2-nitropropyl)indolin-l-yl)propyI benzoate
 A mixture of tetrahydrofuran (150 ml), 3-(7-formyl-5-(2-nitropropyl)indolin-l- yl)propyl benzoate (50 gm), hydroxyl amine hydrochloride (10.5 gm) and pyridine (37.5 gm) was heated to 50°C and stirred for 2 hrs at the same temperature. After completion of the reaction, acetic anhydride (51.5 gm) was slowly added to the reaction mixture at 50°C and stirred for 4 hrs at the same temperature. After completion of the reaction, cooled the reaction mixture to 25-30°C and 500 ml of water was slowly added. Extracted the reaction mixture with ethyl acetate and washed the organic layer with HC1 solution, 10% sodium bicarbonate solution followed by 10% sodium chloride solution. Dried the organic layer over sodium sulfate and distilled off the solvent under reduced pressure. Added acetone (50 ml) to the obtained residue and stirred the reaction mixture to get clear solution. Isopropyl alcohol (150 ml) was added to the reaction mixture at 25-30°C and stirred for 3 hrs at the same temperature. Filtered the compound, washed with a mixture of acetone and isopropyl alcohol and then dried to get the title compound.
Yield: 40.0 gm.
Example-16: Preparation of 3-(5-(2-aminopropyl)-7-cyanoindolin-l-yl)propyl benzoate
 A mixture of methanol (500 ml), 3-(7-Cyano-5-(2-nitropropyl)indolin-l-yl)propyl benzoate (50 gm), Raney-Ni (20 ml) and calcium carbonate (5 gm) was heated to 50- 55°C in a clean and dry autoclave vessel and stirred for 10 hrs under 4-5 kg of hydrogen gas pressure. After completion of the reaction, filtered the reaction mixture through  hyflow bed, washed with methanol and distilled off methanol completely under reduced pressure to get the title compound. Yield: 40.0 gm.
Example-17: Preparation of (R)-3-(5-(2-aminopropyl)-7-cyanoindoIin-l-yl)propyI benzoate 2,3-dihydroxysuccinate (FormuIa-2a)
 A mixture of acetone (45 ml) and 3-(5-(2-aminopropyl)-7-cyanoindolin-l- yl)propyl benzoate (15 gm) was heated to reflux and stirred for 10 min at the same temperature. L(+)-tartaric acid solution (prepared by dissolving 3.4 gm of L(+)-tartaric acid in 10 ml of water) was slowly added to the reaction mixture at reflux temperature and stirred for 15 min at the same temperature. Cooled the reaction mixture to 25-35°C and stirred for 3 his at the same temperature. Filtered the precipitated compound, washed with a mixture of acetone and water and then dried to get the title compound. Yield: 6.5 gm. Example-18: Purification of (R)-3-(5-(2-aminopropyl)-7-cyanoindolin-l-yl)propyl benzoate 2,3-dihydroxysuccinate (FormuIa-2a)
 (R)-3-(5-(2-Aminopropyl)-7-cyanoindolin-l-yl)propyl benzoate 2,3- dihydroxysuccinate (Formula-2a) (6.5 gm) in a 1 : 1 mixture of acetone and water (15 ml) was heated to reflux to get clear solution. Cooled the reaction mixture to 25-35°C and stirred for 3 hrs at the same temperature. Filtered the precipitated compound and washed with a mixture of acetone and water to get the title compound. Yield: 4.5 gm;
Example-19: Preparation of l-(3-hydroxypropyl)-5-|(2R)-2-({2-[2-(2,2,2- trifluoroethoxy) phenoxy]ethyl}amino)propyl)-2,3-dihydro-lH-indole-7-carbonitriIe Toluene (400 ml) and 100 gm of 3-{7-cyano-5-[(2R)-2-aminopropyl]-2,3- dihydro-lH-indol-l-yl}propyl benzoate tartrate salt (formula-2a) were charged into a clean and dry RBF at 25-35°C. Adjusted the pH of the reaction mixture to 1 1 using IN sodium carbonate solution and stirred the reaction mixture for 45 min at the same temperature. Both the organic and aqueous layers were separated and the aqueous layer was extracted with toluene. Combined toluene layers and heated to reflux temperature and water was removed by azeotropic distillation. Cooled the reaction mixture to 25- 35°C and 76.5 gm of 2-[2-(2,2,2-trifluoroethoxy) phenoxyjethyl methanesulfonate  (formula-7), dipotassium hydrogen phosphate (101.6 gm) and tetra butyl ammonium bromide (12.5 gm) were added. Heated the reaction mixture to reflux temperature and stirred for 12 hrs at the same temperature. 200 ml of water was added to the reaction mixture at 25-35°C and both the organic and aqueous layers were separated. Methanol (50 ml), tetra butyl ammonium bromide (12.5 gm) and sodium hydroxide solution (9.8 gm) were added to the organic layer at 25-35°C. Heated the reaction mixture to 50°C and stirred for 3 hrs at the same temperature. After completion of the reaction, cooled the reaction mixture to 25-35°C. 150 ml of water was added to the reaction mixture at 25- 35°C and stirred for 15 min at the same temperature. Both the organic and aqueous layers were separated and the organic layer was utilized in the next purification step.
Dimer impurity: 10-11%.
Example-20: Preparation of l-(3-hydroxypropyl)-5-[(2R)-2-({2-[2-(2,2,2- trifluoroethoxy) phenoxy]ethyl}amino)propyl]-2,3-dihydro-lH-indole-7-carbonitrile (Formula-6)
 Toluene (300 ml) and 3-{7-cyano-5-[(2R)-2-ammopropyl]-2,3-dihydro-lH-indol- 1-yl} propyl benzoate tartrate salt (formula-2a) (100 gm) were charged into a clean and dry RBF at 25-35°C. The pH of the reaction mixture was adjusted to 1 1 with IN sodium carbonate solution and stirred for 30 min at the same temperature. Both the organic and aqueous layers were separated and distilled off the solvent completely from the organic layer under reduced pressure and co-distilled with tert-butanol. The obtained residue was dissolved in tert-butanol (500 ml) and 2-[2-(2,2,2-trifluoroethoxy)phenoxy]ethyl methanesulfonate (formula-7) (91.5 gm) followed by sodium carbonate (31 gm) were added. Heated the reaction mixture to 85-90°C and stirred for 30 hrs at the same temperature. After completion of the reaction, cooled the reaction mixture to 25-35°C and filtered the reaction mixture. Aq. sodium hydroxide solution (9.8 gm) followed by tetra butyl ammonium bromide (12.5 gm) were added to the filtrate. Heated the reaction mixture to 50-52°C and stirred for 3 hrs at the same temperature. After completion of the. reaction, distilled off the solvent completely from the reaction mixture under reduced pressure. To the obtained crude compound, toluene (400 ml) was added at 25-35°C and stirred for 15 min at the same temperature. To the resulting reaction mixture, 150 ml of  water was added at 25-35°C and stirred for 15 min at the same temperature. Both the organic and aqueous layers were separated and the organic layer was utilized in the next purification step. Dimer impurity: 10-1 1%. Example-21: Purification of l-(3-hydroxypropyl)-5-[(2R)-2-({2-(2-(2,2,2- trifluoroethoxy) phenoxy]ethyl}amino)propyl]-2,3-dihydro-lH-indole-7-carbonitrile
Acetic acid solution (500 ml) was added to the organic layer obtained in example- 18 or example- 19 at 25-35°C and stirred for 15 min at the same temperature. Both the organic and aqueous layers were separated and toluene (250 ml) was added to the aqueous layer. Adjusted the pH of the reaction mixture to 11 using IN sodium hydroxide solution. Both the organic and aqueous layers were separated and extracted the aqueous layer with toluene. Combined the organic layers and washed with water and distilled off the solvent completely under reduced pressure. To the obtained crude compound water (60 ml) followed by cyclohexane (240 ml) were added at 25-35°C and stirred the reaction mixture for 90 min at the same temperature. Filtered the precipitated solid, washed with water and then dried to get the title compound. The PXRD of the obtained compound is similar to figure-2.
 Yield: 60.0 gm; M.R:58-62°C; Dimer impurity: 0.6%. Example-22: Preparation of l-(3-hydroxypropyl)-5-[(2R)-2-({2-l2-(2,2,2- trifluoroethoxy) phenoxy]ethyl}amino)propyl]-2,3-dihydro-lH-indole-7-carbonitrile hydrochloride salt
 A mixture of l-(3-hydroxypropyl)-5-[(2R)-2-({2-[2-(2,2,2-trifluoroethoxy) phenoxy]ethyl}amino)propyl]-2,3-dihydro-lH-indole-7-carbonitrile (10.0 gm), methyl tert. butyl ether (20 ml) and cone, hydrochloric acid (10 ml) was stirred for 1-2 hrs at 25- 35°C. Filtered the precipitated solid, washed with water and then dried under reduced pressure to get the title compound. Yield: 8.0gm. MR: 95-100°C
Example-23: Preparation of l-(3-hydroxypropyl)-5-[(2R)-2-({2-[2-(2,2,2-trifluoro ethoxy)phenoxyJethyl}arnino)propyl]-2,3-dihydro-lH-indoIe-7-carboxamide
 50% Hydrogen peroxide solution (21.4 ml) was added to a pre-cooled solution of dimethyl sulfoxide (150 ml), l-(3-hydroxypropyl)-5-[(2R)-2-({2-[2-(2,2,2-trifluoi  ethoxy)phenoxy]ethyl}amino)propyl]-2,3-dihydro-lH-indole-7-carbonitrile (50 gm) and sodium hydroxide (6.3 gm) at 15-25°C and stirred for 12 hrs at the same temperature. After the completion of the reaction, slowly added sodium sulfite solution (prepared by dissolving 17.5 gm of sodium sulfite in 300 ml of water) followed by ethyl acetate (250 ml) to the reaction mixture at 25-35°C and stirred for 20 min at the same temperature. Both the organic and aqueous layers were separated and washed the organic layer with sodium chloride solution and distilled off the solvent completely under reduced pressure. Ethyl acetate (200 ml) was added to the obtained compound, heated the reaction mixture to reflux and stirred for 10 min at the same temperature. Cooled the reaction mixture to 25-30°C and stirred for 45 min at the same temperature. Filtered the compound, washed with ethyl acetate and then dried to get the title compound.
Yield: 35.0 gm
 Purity by HPLC: 97.04%. Example-24: Purification of l-(3-hydroxypropyl)-5-[(2R)-2-({2-[2-(2,2,2-trifluoro ethoxy)phenoxy]ethyl}amino)propyl]-2,3-dihydro-lH-indole-7-carboxamide
 A mixture of ethyl acetate (250 ml) and l-(3-hydroxypropyl)-5-[(2R)-2-({2-[2- (2,2,2-trifluoroethoxy)phenoxy]ethyl} amino)propyl]-2,3-dihydro- 1 H-indole-7- carboxamide (50 gm) was heated to 70-75°C and stirred for 10 min at the same temperature. Carbon (5.0 gm) was added to the reaction mixture at 70-75°C and stirred for 15 min at the same temperature. Filtered the reaction mixture through hyflow bed and washed with ethyl acetate. Cooled the filtrate to 25-30°C and stirred for 3 hrs at the same temperature. Filtered the precipitated solid, washed with ethyl acetate and spin dry the material for 45 min. Ethyl acetate (200 ml) was added to the wet compound and heated the reaction mixture to 70-75°C and stirred for 10 min at the same temperature. Cooled the reaction mixture to 25-30°C and stirred for 3 hrs at the same temperature. Filtered the precipitated solid and dried to get the pure title compound.
Yield: 45.0 gm;
Purity by HPLC: 99.72%.
Particle Size Distribution: D(0.1): 1.898 μηι; D(0.5):8.164 μιη; D(0.9):38.92 μιη; D(l.0):150.75 μιη.  Example-25: Preparation of β-crystalline form of l-(3-hydroxypropyI)-5-[(2R)-2- ({2-[2-(2,2,2-trifluoro ethoxy)phenoxy]ethyl}amino)propyl]-2,3-dihydro-lH-indole- 7-carboxamide
 50% Hydrogen peroxide solution (21.4 ml) was added to a pre-cooled solution of dimethyl sulfoxide (150 ml), l-(3-hydroxypropyl)r5-[(2R)-2-({2-[2-(2,2,2-trifluoro ethoxy)phenoxy]ethyl} amino)propyl]-2,3-dihydro-lH-indole-7-carbonitrile (50 gm) and sodium hydroxide (6.3 gm) at 20-30°C and stirred for 12 hrs at the same temperature. After the completion of the reaction, slowly added sodium sulfite solution (prepared by dissolving 17.5 gm of sodium sulfite in 300 ml of water) followed by isopropyl acetate (250 ml) to the reaction mixture at 25-35°C and stirred for 20 min at the same temperature. Both the organic and aqueous layers were separated and washed the organic layer with sodium chloride solution and distilled off the solvent completely under reduced pressure. Isopropyl acetate (200 ml) was added to the obtained compound, heated the reaction mixture to reflux and stirred for 10 min at the same temperature. Cooled the reaction mixture to 25-30°C and stirred for 45 min at the same temperature. Filtered the compound, washed with isopropyl acetate and then dried to get the title compound.
Yield: 35.0 gm
 The PXRD of the obtained compound is similar to figure- 1.
Example-26: Preparation of l-(3-hydroxypropyl)-5-[(2R)-2-({2-[2-(2,2,2-trifluoro ethoxy)phenoxy]ethyl}amino)propyI]-2,3-dihydro-lH-indole-7-carboxamide in β- crystalline form
 A mixture of isopropyl acetate (400 ml) and l-(3-hydroxypropyl)-5-[(2R)-2-({2- [2-(2,2,2-trifluoroethoxy)phenoxy]ethyl}amino)propyl]-2,3-dihydiO-lH-indole-7- carboxamide (formula- 1) (50 gm) was heated to 70-75°C and stirred for 10 min at the same temperature. Filtered the reaction mixture and cooled the filtrate to 25-35°C. Isopropyl acetate (200 ml) was added to the reaction mixture at 25-35°C and stirred for 3 hrs at the same temperature. Filtered the compound, washed with isopropyl acetate and then spin dried the material for 45 min. Dried the compound at 30-35°C under reduced pressure to get the title compound in β-crystalline form.  The PXRD of the obtained compound is similar to figure-1.
Yield: 40.0 gm.
Example 27: Preparation of crystalline β-form of l-(3-hydroxypropyl)-5-[(2R)-2-({2- [2-(2,2,2-trifluoroethoxy)phenoxy]ethyl}amino)propyl]-2,3-dihydro-lH-indole-7- carboxamide
 Methyl isobutyl ketone (1000 ml) was added to the compound of formula- 1 (100 g) and heated to 70-75°C. Stirred the reaction mixture for 10-15 min at 70-75°C and filtered the reaction mixture through the hyflow bed. The obtained filtrate was slowly cooled to 25-30°C for 3-5 hrs and then stirred the reaction mixture for 3-4 hrs at 25-30°C. Filtered the obtained solid, washed the wet compound with methyl isobutyl ketone to get the crystalline β form of the compound of formula- 1.
Yield: 60-65 grams.
 Purity by HPLC: 99.8%, Impurity at 1.28 RRT: 0.06%
Example-28: Compositions of l-(3-hydroxypropyl)-5-[(2R)-2-({2-[2-(2,2,2-trifluoro ethoxy)phenoxy]ethyl}amino)propyl]-2,3-dihydro-lH-indole-7-carboxamide compound of formula-1 {8mg capsules}
 Table: 1
Sifting of Ingredients:
 Table: 2
The above materials were sifted separately in a double lined poly bags.
 a) Compound of formula- 1 & sodium lauryl sulphate were sifted in a poly bag & mixed for 2 min.
 b) To the above blend pregelatinized starch was added and mixed for 3 min.
 c) To the above blend, Mannitol (partial amount) was added and mixed for 3 min. d) To the above blend, remaining quantity of Mannitol was added into blender and mixed for 20min.
 e) Magnesium stearate was mixed with pre-blended granules in a Poly bag and loaded into the Octagonal blender and mixed for 5 minutes.
 f) Resultant blend of step 5 was filled into capsules.
Dissolution Method:
In vitro dissolution studies on capsules prepared as per example-26 are carried out using USP apparatus 1 (basket) at 100 rpm in 900ml of 0.01N HCl as a dissolution medium maintained at a temperature of 37±0.5°c, aliquot was withdrawn at the specified time intervals and assayed spectrophotometrically, wherein 85% dissolution profile is obtained in not more than 60 minutes.
Table-3: Comparative dissolution profile of RAPAFLO ®capsules Vs 8 mg capsules prepared as per exampIe-28:  Table-3
Example-29: Compositions of l-(3-hydroxypropyl)-5-[(2R)-2-({2-[2-(2,2,2-trifluoro ethoxy)phenoxy]ethyl}amino)propyl]-2,3-dihydro-lH-indole-7-carboxamide compound of formula-l{4mg capsules}
Table-4
Manufacturing Process:
 Manufacturing process is same as Example  Table-5: Comparative dissolution profile of RAPAFLO® capsules 8mg Vs 4 mg capsules prepared as per example-29:
 Table-5
Stability data:
The formulations of Examples 28 & 29 were stored at about 40°C temperature and a relative humidity of about 75% after packing into Alu-Alu blister packs and/or HDPE containers. For three months at monthly intervals, the formulations were analyzed for impurities and an assay of l-(3-hydroxypropyl)-5-[(2./?)-({2-[2-[2-(2,2,2- trifluoroethoxy) phenoxy] ethyl} amino) propyl]-2,3-dihydro- lH-indole-7-carboxamide was performed. The results of this stability study are tabulated below.
 Table:6