Movatterモバイル変換


[0]ホーム

URL:


WO2012121677A1 - Method for depositing gradient films on a substrate surface by atomic layer deposition - Google Patents

Method for depositing gradient films on a substrate surface by atomic layer deposition
Download PDF

Info

Publication number
WO2012121677A1
WO2012121677A1PCT/SG2012/000078SG2012000078WWO2012121677A1WO 2012121677 A1WO2012121677 A1WO 2012121677A1SG 2012000078 WSG2012000078 WSG 2012000078WWO 2012121677 A1WO2012121677 A1WO 2012121677A1
Authority
WO
WIPO (PCT)
Prior art keywords
precursor
exposure dosage
oxide
substrate
cycles
Prior art date
Application number
PCT/SG2012/000078
Other languages
French (fr)
Inventor
Alfred Iing Yoong TOK
Siva Krishna KARUTURI
Liap Tat SU
Lijun Liu
Original Assignee
Nanyang Technological University
Priority date (The priority date is an assumption and is not a legal conclusion. Google has not performed a legal analysis and makes no representation as to the accuracy of the date listed.)
Filing date
Publication date
Application filed by Nanyang Technological UniversityfiledCriticalNanyang Technological University
Publication of WO2012121677A1publicationCriticalpatent/WO2012121677A1/en

Links

Classifications

Definitions

Landscapes

Abstract

The present invention is directed to a method for depositing gradient films on a substrate surface by atomic layer deposition (ALD), the method including (a) exposing the substrate to a vapour of a first precursor that is reactive with the surface of the substrate thereby forming a layer of first precursor molecules on the surface of the substrate, (b) removing non-reacted first precursor, (c) exposing the substrate to a vapour of a second precursor that is reactive with the first precursor, thereby forming a film of reacted first and second precursors on the surface of the substrate, (d) removing non-reacted second precursor, and (e) repeating steps (a)-(d) in a plurality of cycles, wherein (i) in a first number of cycles of the plurality of cycles, the exposure dosage of the first precursor and the exposure dosage of the second precursor is equal to or above a respective saturation exposure dosage of the respective precursor, and in subsequent cycles, the exposure dosage of the first precursor or the exposure dosage of the second precursor is reduced to below the respective saturation exposure dosage of the respective precursor, or (ii) in a first number of cycles of the plurality of cycles, the exposure dosage of the first precursor and the exposure dosage of the second precursor is below the respective saturation exposure dosage of the respective precursor, and in subsequent cycles, the exposure dosage of the first precursor or the exposure dosage of the second precursor is increased to be equal to or above the respective saturation exposure dosage of the respective precursor. The present invention also relates to the substrates thus obtained. The present invention also further relates to a substrate and an inverse photonic crystal.

Description

METHOD FOR DEPOSITING GRADIENT FILMS ON A SUBSTRATE SURFACE
BY ATOMIC LAYER DEPOSITION
Cross-Reference To Related Application
[0001] This application claims the benefit of priority of US provisional application No. 61/450,724, filed 9 March 2011, the content of it being hereby incorporated by reference in its entirety for all purposes. Technical Field
[0002] Various embodiments relate to a method for depositing gradient films on a substrate surface by atomic layer deposition (ALD). Various embodiments further relate to a substrate and an inverse photonic crystal.
Background
[0003] Atomic layer deposition (ALD) is often considered as a variant of chemical vapor deposition (CVD). CVD has been a predominant technique to provide even coating and to coat relatively uneven features in wafers. In recent years, the driving force in the electronic industry is to increase the device density and create more complicated geometries. ALD has been considered superior to CVD to obtain uniformity and conformality, especially for depositing ultrathin nanofilms on either flat or high aspect ratio (AR) substrates. ALD is a process wherein the CVD process is divided into several single monolayer deposition reactions, wherein each deposition step theoretically goes to saturation at a single molecular or an atomic layer thickness. Ultra low thickness control and the ability to deposit conformal films in ultra high AR substrates are salient features of ALD when compared with all other physical vapor deposition methods.
[0004] Atomic Layer Deposition (ALD) is a thin film deposition technique that uses sequential and self-limiting surface reactions to deposit a binary compound film onto a surface. Film deposition with precise thickness control at Angstrom or atomic level is achievable with ALD. Because of the self-limiting feature of ALD, conformal deposition with excellent step coverage on high aspect ratio nanostructures is routinely obtained. The ability of ALD to deposit a wide range of materials with exceptional conformality in nanoporous materials has led to the realization of nanostructured materials with novel electrical, optical, catalytic, and magnetic properties. Nanotubes and nanowires are produced by partial or complete filling and replication of high aspect ratio anodic aluminum oxide (AAO) templates. ALD is also employed to produce photonic crystals by replicating high aspect ratio self-assembled opal structures. In addition, ALD on aerosols and highly porous materials has opened novel routes for high surface area catalysis.
[0005] However, the existing ALD process methods only allow deposition of films with uniform thickness, on a substrate or in porous materials.
Summary [0006] In a first aspect of the invention, a method for depositing gradient films on a substrate surface by atomic layer deposition (ALD) is provided. The method may include (a) exposing the substrate to a vapour of a first precursor that is reactive with the surface of the substrate thereby forming a layer of first precursor molecules on the surface of the substrate, (b) removing non-reacted first precursor, (c) exposing the substrate to a vapour of a second precursor that is reactive with the first precursor, thereby forming a film of reacted first and second precursors on the surface of the substrate, (d) removing non- reacted second precursor, and (e) repeating steps (a)-(d) in a plurality of cycles, wherein (i) in a first number of cycles of the plurality of cycles, the exposure dosage of the first precursor and the exposure dosage of the second precursor is equal to or above a respective saturation exposure dosage of the respective precursor, and in subsequent cycles, the exposure dosage of the first precursor or the exposure dosage of the second precursor is reduced to below the respective saturation exposure dosage of the respective precursor, or (ii) in a first number of cycles of the plurality of cycles, the exposure dosage of the first precursor and the exposure dosage of the second precursor is below the respective saturation exposure dosage of the respective precursor, and in subsequent cycles, the exposure dosage of the first precursor or the exposure dosage of the second precursor is increased to be equal to or above the respective saturation exposure dosage of the respective precursor.
[0007] In a second aspect of the invention, a substrate is provided. The substrate may be obtained according to the method as described above.
[0008] In a third aspect of the invention, a substrate is provided. The substrate may include at least one void extending at least partially through the substrate, and a plurality of films of a material, the plurality of films disposed on an internal surface of the void, wherein the plurality of films have a total thickness that decreases along a length of the void.
[0009] In a fourth aspect of the invention, an inverse photonic crystal is provided. The inverse photonic crystal may include a plurality of substantially spherical voids arranged in a lattice arrangement, and a plurality of films of a material, the plurality of films disposed in at least one interstitial space bounded by the plurality of substantially spherical voids, wherein the plurality of films have a total thickness that decreases along a length of the interstitial space.
Brief Description of the Drawings
[0010] In the drawings, like reference characters generally refer to the same parts throughout the different views. The drawings are not necessarily to scale, emphasis instead generally being placed upon illustrating the principles of the invention. In the following description, various embodiments of the invention are described with reference to the following drawings, in which:
[0011] FIG. 1 shows a flow chart illustrating a method for depositing gradient films on a substrate surface by atomic layer deposition (ALD), according to various embodiments.
[0012] FIG. 2 shows a schematic of the deposition of gradient atomic films on a high aspect ratio surface within a pore via Knudsen diffusion-limited ALD in three successive cycles, according to various embodiments.
[0013] FIG. 3 shows a schematic of the deposition of gradient atomic films of material within a pore, according to various embodiments. [0014] FIG. 4 shows a schematic of the deposition of gradient laminate films of materials within a pore, according to various embodiments.
[0015] FIG. 5 shows a schematic view of an atomic layer deposition system.
[0016] FIG. 6 shows a plot of exposure dosages as a function of the number of cycles for performing the gradient deposition process of various embodiments.
[0017] FIGS. 7A and 7B show respectively field emission scanning electron microscopy (FESEM) images of a cross-sectional view and a top view of an opal template.
[0018] FIG. 8A shows a plot of transmission spectra of stepwise ALD infiltrated opals with an increment of 25 ALD cycles.
[0019] FIG. 8B shows a plot of calculated filling fraction as a function of the number of infiltration cycles based on Bragg diffraction peaks.
[0020] FIG. 9 shows a plot of transmittance spectra for an opal template, a gradient infiltrated opal template and a uniformly infiltrated opal template.
[0021] FIG. 10 shows a field emission scanning electron microscopy (FESEM) image of a top view of an opal template gradient infiltrated with ALD of titanium dioxide.
[0022] FIG. 11 shows a plot of transmittance spectra for gradient infiltrated opals when infiltrated with different initial exposures.
[0023] FIG. 12A shows a plot of measured Rutherford backscattering spectra (data points) along with SIMNRA simulations (solid lines).
[0024] FIG. 12B shows the results for the titanium dioxide depth profile for different samples.
[0025] FIG. 13 shows field emission scanning electron microscopy (FESEM) images of a gradient inverse opal infiltrated at En, = 20 mbar sec; (a) cross-sectional view, and magnified cross-sectional views taken at (b) the top, (c) the middle, and (d) the base.
[0026] FIG. 14A shows plots of measured transmittance spectra for uniform and gradient inverse opals.
[0027] FIG. 14B shows the theoretically predicted band diagrams for uniform and gradient inverse opals using scattering matrix methods. Detailed Description
[0028] The following detailed description refers to the accompanying drawings that show, by way of illustration, specific details and embodiments in which the invention may be practiced. These embodiments are described in sufficient detail to enable those skilled in the art to practice the invention. Other embodiments may be utilized and structural, and logical changes may be made without departing from the scope of the invention. The various embodiments are not necessarily mutually exclusive, as some embodiments can be combined with one or more other embodiments to form new embodiments.
[0029] As used herein, the term "and/or" includes any and all combinations of one or more of the associated listed items.
[0030] Various embodiments relate to methods for gradient atomic layer or film deposition in nanoporous materials. Various embodiments may provide methods of formation or growth of gradient thickness films/nanofilms in nanoporous materials, in particular methods of attaining gradient thickness films using atomic layer deposition through dynamic tuning of precursor exposure during the deposition.
[0031] In various embodiments, the nanoporous material may be a self-assembled opal photonic crystal. Opals are composed of closely packed monodispersed spherical particles with a periodicity that is comparable to the wavelength of visible light. Therefore, opals are photonic crystals in which photons may be manipulated three- dimensionally.
[0032] Various embodiments may also provide methods for controlling the degree of thickness gradient of films for a given depth of the surface of a substrate or a nanoporous substrate.
[0033] Various embodiments may provide a method of spatially controlled atomic layer deposition (ALD) in nanoporous materials. In various embodiments, the spatial control of the deposition may be attained by carrying ALD, for example in dynamic mode, where exposure of one or more of the precursors may be reduced (e.g. gradually reduced, e.g. by a regular value) below saturation with the progress of the deposition. In other words, as the deposition progresses, exposure of one or more of the precursors may be reduced to below saturation and further reduced as the deposition progresses.
[0034] In various embodiments, the spatial control of the deposition may be attained by carrying out ALD, for example in dynamic mode, where exposure of one or more of the precursors may be increased (e.g. gradually increased, e.g. by a regular value) from an initial respective exposure dosage of the respective precursor that is below the respective saturation exposure dosage of the respective precursor to be equal to or above the respective saturation exposure dosage of the respective precursor. In other words, as the deposition progresses, exposure of one or more of the precursors may be increased to be equal to or above saturation as the deposition progresses.
[0035] In various embodiments, a plurality of cycles of atomic layer deposition (ALD) may be carried out to deposit layers of materials to form films of the materials. In various embodiments, one or two films of materials may be deposited in each cycle. In embodiments where two films are deposited, the films have different materials or compositions, where one of the films may react with and may be deposited, for example on a surface that is unaffected or unreacted by the other film so as to form gradient laminate films. Therefore, the methods of various embodiments may be used to deposit laminate films, for example of two different materials, with a gradient thickness for each film, where the gradient thicknesses for the two films are in opposite directions.
[0036] Various embodiments may provide methods of depositing materials with gradient thickness into the nanopores of porous materials by atomic layer deposition (ALD) technique. Various embodiments may advantageously deposit films with gradient thickness in nanoporous materials to produce nanostructured materials with novel functional properties due to their geometries.
[0037] For example, nanotubes with conical shape (conical nanotubes) fabricated by gradient filling of cylindrical nanopores may ¾e useful for their superior or improved nanofluidic, sensing and electrical properties.
[0038] Similarly, photonic crystals (PCs) with gradient material distribution may enable an extra degree of control over the photonic bandgap properties. PCs are multidimensional materials possessing periodicity on the order of optical wavelengths. PCs have been studied as a media in which photons may be manipulated in a similar manner to electrons in semiconductors. As the structural diversity increases, PCs provide increased opportunities to control the light-matter interactions, and thus are very useful for photocatalysis and solar cell applications. PCs with gradients in the lattice constant or the effective index have been studied for several novel optical phenomena such as slow group velocity in a wider spectral range, wider photonic band gaps, mirage and focusing effects. However, attempts to create gradients in either the effective index or lattice constant of opal based PCs are rendered ineffective for further investigation largely due to the failure of existing fabrication technologies for producing smoothly varying gradients in a specific direction. Therefore, there is a need for film deposition methods that produce smoothly varying gradient films or nanofilms in nanoporous materials, as provided by the methods of various embodiments.
[0039] Methods of various embodiments may also be used to develop gradient photonic crystals (GPCs), which are promising for various applications, with the possibility to widen and tune the band-gap widths and to slow down the photons in wider wavelength regions. In addition, GPCs have the ability to bend the flow of light and focus the light similar to an optical lens. Wider band gaps of GPCs may be useful for optical filters and devices such as reflective photonic displays. GPCs may also be applied as a light management technique in solar cells in order to improve the light harvesting efficiency by light localization and back reflections. Three-dimensional (3D) GPCs where photons may be slowed down in three dimensional space is also of interest for further enhancing the efficiency of numerous photochemical reactions.
[0040] In addition, it may also be useful to produce nanoporous membranes with conical pores for catalytic and gas separation functions, as may be achieved by the methods of various embodiments.
[0041] In contrast to conventional ALD in porous materials which produced conformal deposition of the materials for forming a film or films with a uniform thickness over the entire surface, the methods of various embodiments may allow the gradient deposition of films in nanoporous materials using ALD. The methods of various embodiments rely on the gradual reduction of the diffusion path length of the precursor gases or vapours into the nanoporous materials, for example through the pores or nanopores of the nanoporous materials, by controlling the exposure time and/or the partial pressure of the precursor during the deposition cycles of the ALD. In various embodiments, the exposure time and/or the partial pressure of the precursor may be reduced or increased during the deposition cycles of the ALD, for example continuously between successive cycles or continually after a number of cycles (e.g. repeatedly maintaining the exposure time and/or the partial pressure for a number of cycles and then reducing or increasing the exposure time and/or the partial pressure over one or more cycles).
[0042] In contrast to ALD over flat surfaces where the deposition is mainly limited by the surface reactions, ALD in nanoporous materials is limited by the flow of precursor gases into and out of the high aspect ratio pores. Gaseous flow may be described as Knudsen flow or molecular flow when the Knudsen number, Kn, which is a dimensionless ratio of the mean free path of the gas molecules to the characteristic dimension (e.g. diameter of the pores), is greater than one. In most of the ALD processes, the pressure in the reactor for ALD is of the order of a few mbars so that the mean free path of the gases is larger than the characteristic diameter of the submicron pores. Therefore, under stable precursor chemistry, deposition on high aspect ratio surfaces is diffusion-limited, i.e., limited by the Knudsen flow of precursor gases from the top to the bottom of the holes/voids/pores.
[0043] In Knudsen flow, the flow may be entirely determined by the wall collisions (e.g. the inner wall or internal surface of the voids or pores/nanopores), and the resistance to the flow of precursor gases is much higher than in continuum flow. Each gaseous particle arrives at the opening (e.g. entrance) of the voids or holes or pores, sticks/adheres, and rattles around due to surface imperfections and may be re-emitted in a direction independent of its initial velocity. Therefore, deposition by ALD on the surfaces of high aspect ratio structures (e.g. pores) is limited by the Knudsen flow of the precursor gases from the top to the bottom of the holes (i.e. from the entrance to the exit of the holes; i.e. along the length of the holes/voids/pores).
[0044] Deposition by ALD requires a certain minimum value of the exposure dosage, Emin, in order to complete the chemisorptions of the precursor molecules on the entire surface of a substrate or an entire internal surface of a void or pore/nanopore, thereby forming a layer of precursor molecules on the entire surface of a substrate or an entire internal surface of a void or pore/nanopore. The exposure dosage, Emin, may also be referred to as the saturation exposure dosage. The exposure dosage, E, may be defined as the product of the partial pressure, P, of the precursor or the vapour of the precursor, and the exposure time, t.
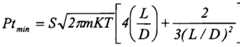
[0045] The minimum exposure dosage required for the deposition over the entire internal surface of a cylindrical pore with length, L, and diameter, D, may be approximated by Equation (1) below: min (Equation 1)
Figure imgf000011_0001
where S is the saturation exposure, m is the molecular mass, K is the Boltzmann's constant and Tis the temperature.
[0046] Assuming that the precursors or reactants react with the surface at their first opportunity, surface saturation occurs along the direction of the precursor gas (vapour) flow. When the precursor exposure is less than the minimum required value Emi„ (i.e. less than the saturation exposure dosage), the surface may be chemisorbed with the precursor molecules only up to the depths dictated by the path length of the Knudsen diffusion, and therefore deeper surface (i.e. surface in the deeper regions) remains unaffected or not chemisorbed with the precursor molecules.
[0047] Therefore, when ALD is operated within the diffusion-limited regime in high aspect ratio surfaces and the exposure for one of the precursors, e.g. either metallic or non-metallic precursor, is gradually reduced below the minimum required exposure dosage, Em!„, for a finite number of cycles on surfaces of a substrate or surfaces of high aspect ratio structures, deposition in subsequent cycles takes place at reduced depths from the surface (e.g. below the pore entrance) where one or more precursors reach first, because of the gradual reduction of the diffusion path lengths, thereby forming films with gradient films with a gradient thickness.
[0048] This means that as the exposure dosage of the precursor gas that flows from one end of the surface (proximal end; entrance) to the other end of the surface (distal end; exit) is reduced, deposition takes place at progressively reduced depths from the proximal end of the surface, thereby forming gradient films having a total thickness that decreases in the direction from the proximal end to the distal end of the surface. [0049] In further embodiments, when ALD is operated within the diffusion-limited regime in high aspect ratio surfaces and the exposure for one of the precursors, e.g. either metallic or non-metallic precursor, is gradually increased to be equal to or above the minimum required exposure dosage, Emin, for a finite number of cycles on surfaces of a substrate or surfaces of high aspect ratio structures, deposition in subsequent cycles takes place at increased depths from the surface (e.g. below the pore entrance) where one or more precursors reach first, because of the gradual increase of the diffusion path lengths, thereby forming gradient films with a gradient thickness.
[0050] This means that as the exposure dosage of the precursor gas that flows from one end of the surface (proximal end; entrance) to the other end of the surface (distal end; exit) is increased, deposition takes place at progressively increased depths from the proximal end of the surface, thereby forming gradient films having a total thickness that increases in the direction from the proximal end to the distal end of the surface.
[0051] In various embodiments, the methods of various embodiments may be used to deposit films with a gradient thickness in nanoporous materials including but not limited to self-assembled opal photonic crystals, anodic alumina templates or membranes and aerogels.
[0052] The methods of various embodiments may be used to deposit films of metals, metal oxides (including but not limited to titanium oxide (Ti02), zinc oxide (ZnO) and aluminium oxide (A1203)), metal nitrides, metal phosphides, metal sulfides or metal carbides, by dynamic tuning of the precursor exposure with deposition cycles, by controlling the exposure dosage of the precursor.
[0053] Various embodiments provide an extra degree of dimensional control for film or nanofilm deposition in nanoporous materials over the conventional deposition process, and also enables fabrication of nanostructured materials such as gradient photonic crystals and conical nanotubes with improved functional properties. The methods of various embodiments (1) allow the deposition of films of a single material or a superlattice of several materials with gradient thicknesses within a nanoporous material, (2) allow the infiltration of self-assembled opals and two dimensional (2D) photonic waveguides with gradient filling of metal oxides and other ALD materials for realizing gradient filling photonic crystals, (3) allow the formation of a superlattice of two materials with gradient thicknesses in opposite directions in the voids (e.g. nanopores or interstitial spaces) of nanoporous material or opal template, thereby producing gradient index photonic crystals, and (4) allow the fabrication of nanostructures such as conical nanotubes based on gradient deposition in nanoporous templates with cylindrical pores such as but not limited to anodic alumina templates.
[0054] Nanostructures fabricated by the ALD process methods of various embodiments may be used for applications in photonics, catalysis, solar cells and electronics industries, for example in the form of photonic crystals, nanocatalysts and nanofilms.
[00551 The photonic crystals formed by the methods of various embodiments may be employed for band pass filters and optical reflectors, where the bandwidth of gradient inverse opals may be tuned to as much as double that of inverse opals with uniform thickness, which may be useful for optical band pass filters and color display devices such as reflective photonic displays.
[0056] The photonic crystals formed by the methods of various embodiments may be employed as optical elements for solar cell efficiency enhancement. Photonic crystals are applied as a light management technique in specific parts of the spectrum in order to improve the light confinement while retaining the cell transparency. Gradient photonic crystals (GPCs) are non periodic photonic crystals which possess superior or improved photonic properties as compared to the periodic or regular photonic crystals. The wider photonic band gaps and slow group velocities at the band edges of gradient photonic crystals (GPCs) provide the basis for enhancing solar cell efficiency.
[0057] The gradient inverse opal structures formed by the methods of various embodiments may be employed in photocatalysis applications. Gradient inverse opal structures have the ability to reduce the group velocity of light in a broader wavelength range because of the smoothly shifted photonic bandgap characteristics. Reducing the group velocity to the fraction of light speed in vacuum in a wider frequency regime facilitates a largely increased yield of photochemical processes due to enhanced light- matter interactions.
[0058] In order that the invention may be readily understood and put into practical effect, particular embodiments will now be described by way of examples and not limitations, and with reference to the figures. [0059] FIG. 1 shows a flow chart 100 illustrating method for depositing gradient films on a substrate surface by atomic layer deposition (ALD), according to various embodiments.
[0060] At 102, the substrate is exposed to a vapour of a first precursor that is reactive with the surface of the substrate thereby forming a layer of first precursor molecules on the surface of the substrate.
[0061] At 104, non-reacted first precursor is removed.
[0062] At 106, the substrate is exposed to a vapour of a second precursor that is reactive with the first precursor, thereby forming a film of reacted first and second precursors on the surface of the substrate
[0063] At 108, non-reacted second precursor is removed.
[0064] At 110, steps at 102, 104, 106, 108, are repeated in a plurality of cycles.
[0065] In a first number of cycles of the plurality of cycles, the exposure dosage of the first precursor and the exposure dosage of the second precursor is equal to or above (e.g. equal to or more than) a respective saturation exposure dosage of the respective precursor, and in subsequent cycles, the exposure dosage of the first precursor or the exposure dosage of the second precursor is reduced to below (e.g. less than) the respective saturation exposure dosage of the respective precursor, or in a first number of cycles of the plurality of cycles, the exposure dosage of the first precursor and the exposure dosage of the second precursor is below (e.g. less than) the respective saturation exposure dosage of the respective precursor, and in subsequent cycles, the exposure dosage of the first precursor or the exposure dosage of the second precursor is increased to be equal to or above (e.g. equal to or more than) the respective saturation exposure dosage of the respective precursor.
[0066] In further embodiments, in a first number of cycles of the plurality of cycles, the exposure dosage of the first precursor and the exposure dosage of the second precursor is below the respective saturation exposure dosage of the respective precursor, and in subsequent cycles, the exposure dosage of the first precursor or the exposure dosage of the second precursor is decreased, or the exposure dosage of the first precursor or the exposure dosage of the second precursor is increased. In embodiments where the respective exposure dosage is increased, the respective exposure dosage may not reach the respective saturation dosage of the respective precursor. [0067] Each complete cycle of atomic layer deposition (ALD) includes the steps at 102, 104, 106, 108, or at least these four steps.
[0068] In various embodiments, at steps 104 and 108, removing each of the non-reacted first precursor and the non-reacted second precursor may include purging the non-reacted first and second precursors with an inert gas. The inert gas may include argon, nitrogen or carbon dioxide.
[0069] In various embodiments, the substrate includes at least one void and the gradient film is deposited in the voids of the substrate.
[0070] In various embodiments, the substrate comprises or consists of a nanoporous material (e.g. the substrate may include or may be a nanoporous material) and the void is a nanopore. The nanoporous material may be or may include anodic alumina (e.g. anodic alumina template or membrane) or aerogel.
[0071] In various embodiment, the substrate includes a matrix of nanostructures arranged in a lattice arrangement (e.g. a self-assembled opal photonic crystal), and the void is an interstitial space bounded by the nanostructures. The nanostructures may be substantially spherical. In various embodiments, the method may further include removing the matrix of nanostructures, for example by heating the substrate.
[0072] In the context of various embodiments, the method may further include determining at least one of the saturation exposure dosage of the first precursor or the saturation exposure dosage the second precursor.
[0073] In the context of various embodiments, in the subsequent cycles, the method includes gradually reducing or increasing the exposure dosage of the first precursor or the exposure dosage of the second precursor by a regular value, e.g. by a regular amount or a regular factor. For example, starting with an initial exposure dosage, Ein, the exposure dosage may be reduced or increased by a regular amount of x mbar sec (e.g. E!M, E;„ - x, Ein - 2J , etc.) or by a regular factor of y (e.g. Ein, Ein/y, Einly2, etc)
[0074] The method may include linearly reducing or increasing the exposure dosage of the first precursor or the exposure dosage of the second precursor, for example by a regular amount. It should be appreciated that the method may include non-linearly (e.g. exponentially) reducing or increasing the exposure dosage of the first precursor or the exposure dosage of the second precursor, for example by a regular factor. [0075] In the context of various embodiments, reducing or increasing the exposure dosage of the first precursor or the second precursor may include reducing or increasing a partial pressure of the first precursor or a partial pressure of the second precursor.
[0076] In the context of various embodiments, reducing or increasing the exposure dosage of the first precursor or the second precursor may include reducing or increasing an exposure time of the substrate to the first precursor or the second precursor.
[0077] In the context of various embodiments, in the subsequent cycles, the method may include reducing or increasing the exposure dosage of the first precursor or the exposure dosage of the second precursor between successive or consecutive cycles.
[0078] In the context of various embodiments, in the subsequent cycles, the method may include reducing or increasing the exposure dosage of the first precursor and the exposure dosage of the second precursor.
[0079] In the context of various embodiments, the exposure dosage of the second precursor may be essentially the same throughout the plurality of cycles of atomic layer deposition.
[0080] In the context of various embodiments, in each cycle, the method may further include after the step at 108 and before repeating the complete cycle (e.g. steps at 102, 104, 106 and 108), the steps of exposing the substrate to a vapour of a third precursor, the third precursor being substantially non reactive with the first precursor and being substantially reactive with the second precursor, and removing non-reacted third precursor.
[0081] An exposure dosage of the third precursor may be essentially the same throughout the plurality of cycles of atomic layer deposition. The exposure dosage of the third precursor may be equal to or above a saturation exposure dosage of the third precursor or the exposure dosage of the third precursor may be below a saturation exposure dosage of the third precursor.
[0082] In the context of various embodiments, the third precursor is a metallic precursor.
[0083] In the context of various embodiments, the first precursor is a metallic precursor.
[0084] In the context of various embodiments, the metallic precursors may include metal elements, metal halides, metal organic compounds, metal alkoxides, metal alkylamides, metal amidinates and metal alkyls. [0085] In the context of various embodiments, the second precursor is a non-metallic precursor. Non-metallic precursors may include water, hydrogen peroxide (H202), deuterium oxide (D20), alcohols, ammonia (NH3), silane (SiH4), disilane (Si2H6), and hydrocarbon compounds (e.g. alkanes, alkenes and alkynes).
[0086] In the context of various embodiments, the material formed by reaction of the first and second precursors or first, second and third precursors may be selected from the group consisting of a metal, metal oxide, metal nitride, metal phosphide, metal sulfide and metal carbide.
[0087] The metal may be selected from the group consisting of tungsten (W), ruthenium (Ru), iridium (Ir), platinum (Pt), palladium (Pd), rhodium (Rh), silver (Ag), copper (Cu), cobalt (Co), iron (Fe), nickel (Ni), molybdenum (Mo), tantalum (Ta), titanium (Ti), aluminium (Al), silicon (Si), and germanium (Ge).
[0088] The metal oxide may be selected from the group consisting of titanium oxide (Ti02), zinc oxide (ZnO), aluminum oxide (A1203), tin oxide (Sn02), hafnium oxide (Hf02), zirconium oxide (ΖιΌ2), tantalum oxide (Ta205), hafnium oxide (Hf02), niobium oxide (Nb205), scandium oxide (Sc203), yttrium oxide (Y203), magnesium oxide (MgO), boron oxide (B203), silicon oxide (Si02), germanium oxide (Ge02), lanthanum oxide (La203), cerium oxide (Ce02), neodymium oxide (Nd203), samarium oxide (Sm203), gadolinium oxide (Gd203), dysprosium oxide (Dy203), holmium oxide (Ho203), erbium oxide (Er203), thulium oxide (Tm203), ytterbium oxide (Yb203), and lutetium oxide (Lu203).
[0089] The metal nitride may be selected from the group consisting of titanium nitride (TiN), tantalum nitride (TaN), tungsten nitride (WN), niobium nitride (NbN), gallium nitride (GaN), indium nitride (InN), molybdenum nitride (MoN), boron nitride (BN), aluminium nitride (A1N), gallium nitride (GaN), tantalum nitride (Ta3N5), zirconium nitride (Zr3N4), hafnium nitride (Hf3N4), and copper nitride (Cu3N).
[0090] The metal phosphide may be selected from the group consisting of indium phosphide (InP) and gallium phosphide (GaP).
[0091] The metal sulfide may be selected from the group consisting of zinc sulfide (ZnS), copper sulfide (Cu2S), calcium sulfide (CaS), barium sulfide (BaS), lead sulfide (PbS), lanthanum sulfide (La2S3), indium sulfide (In2S3), copper sulfide (CuxS), tungsten sulfide (WS2), and titanium sulfide (TiS2).
[0092] The metal carbide may be selected from the group consisting of tantalum carbide (TaC), tungsten carbide (WC), silicon carbide (SiC), and titanium carbide (TiCx).
[0093] In the context of various embodiments, the method for depositing gradient films on a substrate surface by atomic layer deposition (ALD) is performed in an ALD process chamber.
[0094] In the context of various embodiments, the term "gradient films" may mean films that continuously or continually (e.g. in steps) increases or decreases in thickness in at least one direction. In other words, gradient films have a total thickness that continuously or continually increases or decreases in thickness in at least one direction.
[0095] In the context of various embodiments, the term "a first number of cycles" may include one (single cycle) or more cycles (plurality of cycles). For example, the exposure dosage of the first precursor and the exposure dosage of the second precursor may be equal to or above a respective saturation exposure dosage of the respective precursor for one cycle or a number of cycles.
[0096] In the context of various embodiments, the term "exposure dosage" as applied to a precursor refers to the product of the partial pressure of the precursor (i.e. precursor partial pressure) and the exposure time of the substrate to the precursor (i.e. precursor exposure time).
[0097] In the context of various embodiments, the term "saturation exposure dosage" means the amount of exposure dosage required to saturate or complete the chemisorption of the precursor molecules on the entire surface of the substrate (e.g. entire internal surface of the void). In other words, the term "saturation exposure dosage" also means the minimum amount or value of the precursor exposure dosage required to saturate or complete the chemisorption of the precursor molecules on the entire surface of the substrate or the entire internal surface of the void.
[0098] In the context of various embodiments, the term "internal surface" as applied to a void (e.g. nanopore, interstitial space) means the surface of the void that communicates with external environment, for example with precursors) or reactant(s). [0099] In the context of various embodiments, the term "opal" may mean an arrangement of closely packed monodispersed spherical particles with a periodicity comparable to the wavelength of visible light.
[0100] In the context of various embodiments, a reference to a "pore" may include a reference to a "nanopore".
[0101] In the context of various embodiments, a substrate may be obtained according to the method as described above.
[0102] Various embodiments may further provide a substrate including at least one void extending at least partially through the substrate, and a plurality of films of a material, the plurality of films disposed on an internal surface of the void, wherein the plurality of films have a total thickness that decreases along a length of the void. The substrate may be or may include a nanoporous material (e.g. the substrate comprises or consists of a nanoporous material) and the void is a nanopore. In various embodiments, the plurality of films are formed by means of a plurality of cycles of atomic layer deposition.
[0103] Various embodiments may further provide an inverse photonic crystal including a plurality of substantially spherical voids arranged in a lattice arrangement, and a plurality of films of a material, the plurality of films disposed in at least one interstitial space bounded by the plurality of substantially spherical voids, wherein the plurality of films have a total thickness that decreases along a length of the interstitial space. In various embodiments, the inverse photonic crystal is an inverse opal photonic crystal.
[0104] FIG. 2 shows a schematic of the deposition of gradient atomic films on a high aspect ratio surface within a pore via Knudsen diffusion-limited ALD in three successive cycles, according to various embodiments. The deposition of titanium oxide (Ti02) is used as a non-limiting example in FIG. 2.
[0105] During deposition, the vapours or gases of the precursors reach the proximal end of the pore first and flows within the pore towards the distal end of the pore. The direction of the precursor flow is represented by the arrows 220.
[0106] As shown in FIG. 2, after a first cycle of ALD, a first film 202 of material is deposited on an internal surface 200 of the pore. During the first cycle of deposition, the exposure dosage of at least one precursor may be at saturation exposure dosage such that the entire internal surface 200 of the pore may be chemisorbed by the precursor molecules to deposit a film of material over the entire internal surface 200 between the proximal end and the distal end of the pore.
[0107] During the second cycle of ALD, the exposure dosage of one of the precursors may be reduced such that a second film 204 of material is deposited at a reduced depth into the pore, along the length of the pore.
[0108] During the third cycle of ALD, the exposure dosage of one of the precursors may be further reduced such that a third film 206 of material is deposited at a further reduced depth into the pore, along the length of the pore.
[0109] As shown in FIG. 2, gradient atomic films 208 may be deposited on the internal surface 200 of the pore, the gradient atomic films having a gradient thickness that decreases along the length of the pore, from the proximal end to the distal end of the pore.
[0110] While three cycles of ALD are illustrated in FIG. 2, it should be appreciated that any number of cycles of ALD may be carried out, depending on the gradient thickness of the films to be obtained.
[0111] It should be appreciated that the amount of reduction in the exposure dosage may be the same throughout the plurality of cycles or may vary from cycle to cycle.
[0112] Furthermore, it should be appreciated that the exposure dosage of one or more of the precursors may not be reduced between successive or consecutive cycles. As an example, the respective exposure dosage of the precursors may be maintained (i.e. not reduced) during the second cycle such that after the second cycle of ALD, two films of materials having substantially the same depth are deposited.
[0113] In various embodiments, one film of material may be deposited in each cycle of ALD. During deposition in a plurality of cycles, the thickness of the films deposited along the depth/length of the pores of a substrate may be varied by exposing the porous substrate to a reducing exposure for one of the precursors. The exposure may be gradually reduced.
[0114] In various embodiments, the method of depositing materials or films of materials by atomic layer deposition (ALD) for a nanoporous substrate may include:
• providing a first metallic precursor reactive with the surface of the nanoporous material, • providing a second non-metallic precursor reactive with the surface of the nanoporous material as well as the first precursor, to form at least one of a metal, metal oxide, metal nitride, metal phosphide, metal sulfide or metal carbide, when reacted with the first precursor,
• exposing the substrate to the first metallic precursor within an ALD system with gradually reduced exposures below the saturating amount or dosage in subsequent or successive cycles, wherein the first precursor reacts with the internal surface portion at reduced depths in the subsequent or successive cycles, and
• exposing the substrate to the second non-metallic precursor within the ALD system with saturating exposures in all the deposition cycles, wherein the non- metallic precursor reacts with the entire internal surface that reacted with the metallic precursor.
[0115] The exposure for the first metallic precursor may be reduced gradually from a predetermined initial value (initial exposure dosage) above the saturation amount that allows the metallic precursor to react with the entire internal surface for a certain number of cycles, and to react with the internal surface at gradually reduced depths thereafter, thereby controlling the degree of gradient of the deposited films. The exposure for the first metallic precursor may be gradually reduced either linearly or nonlinearly as a function of the number of cycles so that the gradient thickness may be tuned with a linear profile or a nonlinear profile.
[0116] In alternative embodiments, the exposure for the second non-metallic precursor may be reduced gradually below the saturating amount (that allows it to react with the internal surface portions at gradually reduced depths) in subsequent or successive cycles and the exposure for the first metallic precursor may be maintained above the saturating value or amount which allows it to react with the entire internal surface that reacted with the non-metallic precursor. The exposure for the second non-metallic precursor may be gradually reduced either linearly or nonlinearly as a function of the number of cycles so that the gradient thickness may be tuned with a linear profile or a nonlinear profile.
[0117] FIG. 3 shows a schematic of the deposition of gradient atomic films of material within a pore, according to various embodiments. In various embodiments, the schematic shown in FIG. 3 illustrates a gradient ALD process for forming gradient binary compound films in cylindrical voids/holes/pores/nanopores.
[0118] FIG. 3 shows a plot 300 showing the parameters for the deposition of the two precursors, PI and P2, for forming the gradient atomic films, for example within a void, such as a nanopore of a nanoporous substrate. For illustrative purposes, the plot 300 shows three consecutive cycles of deposition, beginning with Cycle A, followed by Cycle B and then Cycle C. However, it should be appreciated that any number of cycles may be carried out. In addition, it should be appreciated that any sequence of exposures to PI and P2 respectively may be carried out in a cycle, for example exposure to PI followed ¾y exposure to P2 or vice versa in a cycle. In addition, it should be appreciated that the exposure sequence may be the same for some or all cycles or may differ from cycle to cycle.
[0119] In various embodiments, one of the precursors is a metallic precursor while the other is a non-metallic precursor. Therefore, for each complete cycle or full cycle, one half cycle of exposure to the metallic precursor in combination with another half cycle of exposure to the non metallic precursor forms a film.
[0120] As shown, the pressure (partial pressure) of the precursor PI and the exposure time to the precursor PI are at least substantially constant for all of Cycle A, Cycle B and Cycle C. Therefore, the exposure dosage of the precursor PI is fixed or essentially the same throughout the three cycles. In various embodiments, this exposure dosage may be the saturation exposure dosage.
[0121] In addition, as shown in the plot 300, the pressure (partial pressure) of the precursor P2 and the exposure time to the precursor P2 are reduced from Cycle A to Cycle B and then further reduced in Cycle C, so that the exposure dosage of the precursor P2 is reduced from Cycle A to Cycle C. While the plot 300 illustrates that both the pressure of the precursor P2 and the exposure time to the precursor P2 are reduced, it should be appreciated that either one of the pressure of the precursor P2 or the exposure time to the precursor P2 may be reduced to reduce the exposure dosage of the precursor P2.
[0122] As shown in FIG. 3, gradient atomic films 302 may be deposited on the internal surface 304 of the nanopore 306. The gradient atomic films 302 has a total thickness that decreases along the depth/length of the nanopore 306. The deposition of titanium oxide (Ti02) is used as a non-limiting example in FIG. 3.
[0123] FIG. 3 also shows a cross-sectional view of the nanopore 306 having gradient atomic films 302, including a conical-shaped gap (e.g. air gap) 308 through the gradient atomic films 302, as a result of the Knudsen diffusion effects.
[0124] In various embodiments, the precursor PI may be a non-metallic precursor while the precursor P2 may be a metallic precursor.
[0125] In various embodiments, two films of different materials may be deposited in each cycle of ALD. One film may react with and may be deposited, for example on an internal surface of a void, such as a nanopore of a nanoporous substrate, that is unaffected or unreacted by the other film so as to form gradient laminate films, for example a superlattice of films of two materials with gradient thicknesses in opposite directions.
[0126] The thickness of each film deposited along the depth/length of the pores of a substrate may be varied by exposing the porous substrate to a reducing exposure for one of the precursors. The exposure may be gradually reduced.
[0127] In various embodiments, the method of depositing gradient films by atomic layer deposition (ALD) for a nanoporous substrate may include:
• providing a first metallic precursor reactive with the surface of the nanoporous material,
· providing a second metallic precursor reactive with the surface of the nanoporous material, but substantially not reactive with the first metallic precursor,
• providing a third non-metallic precursor reactive with the surface of the nanoporous material as well as the first metallic precursor and the second metallic precursor, to form at least one of a metal, metal oxide, metal nitride, metal phosphide, metal sulfide or metal carbide when reacted with each of the first metallic precursor or the second metallic precursor,
• exposing the substrate to the first metallic precursor within an ALD system with gradually reduced exposure below the saturation amount in subsequent or successive cycles, wherein the first precursor reacts with the surface portion at reduced depths in the subsequent or successive cycles, • exposing the substrate to the second metallic precursor within the ALD system with saturating exposures in all the deposition cycles, wherein the second metallic precursor reacts with the entire internal surface that is not reacted with the first metallic precursor, and
• exposing the substrate to the third non-metallic precursor within the ALD system with saturating exposures in all the deposition cycles, wherein the non-metallic precursor reacts with the entire internal surface that reacted with the first metallic precursor and the second metallic precursor.
[0128] The exposure for the first metallic precursor may be reduced gradually from a predetermined initial value (initial exposure dosage) above the saturation amount that allows the first metallic precursor to react with the entire internal surface for a certain number of cycles, and to react with the internal surface at gradually reduced depths thereafter, thereby controlling the degree of gradients of the superlattice films deposited. In this way, the superlattice films include two separate films, where each respective film corresponds to the respective metallic precursors, which are formed with gradient thicknesses in opposite directions. The exposure for the first metallic precursor may be gradually reduced either linearly or nonlinearly as a function of the number of cycles so that the gradient thickness may be tuned with a linear profile or a nonlinear profile.
[0129] FIG. 4 shows a schematic of the deposition of gradient laminate films of materials with gradient thicknesses in opposite directions within a pore, according to various embodiments. In various embodiments, the schematic shown in FIG. 4 illustrates a gradient ALD process for forming a superlattice of gradient binary compound films in cylindrical voids/holes/pores/nanopores.
[0130] FIG. 4 shows a plot 400 showing the parameters for the deposition of the three precursors, PI, P2 and P3, for forming the gradient laminate films, for example within a void, such as a nanopore of a nanoporous substrate. For illustrative purposes, the plot 400 shows three consecutive cycles of deposition, beginning with Cycle A, followed by Cycle B and then Cycle C. However, it should be appreciated that any number of cycles may be carried out. In addition, it should be appreciated that any sequence of exposures to PI, P2 and P3 respectively may be carried out in a cycle, for example exposure to PI, followed by exposure to P2 and followed by P3 or exposure to P3, followed by exposure to P2 and followed by PI in a cycle. In addition, it should be appreciated that the exposure sequence may be the same for some or all cycles or may differ from cycle to cycle.
[0131] In various embodiments, two of the precursors are metallic precursors while the third precursor is a non-metallic precursor. Therefore, for each complete cycle or full cycle, one half cycle of exposure to the non-metallic precursor is used in combination with half cycles of exposures to the respective two metallic precursors.
[0132] As shown, the pressure (partial pressure) of the precursor PI and the exposure time to the precursor PI are at least substantially constant for all Cycle A, Cycle B and Cycle C. Therefore, the exposure dosage of the precursor PI is fixed or essentially the same throughout the three cycles. In various embodiments, this exposure dosage may be the saturation exposure dosage.
[0133] As shown in the plot 400, the pressure (partial pressure) of the precursor P2 and the exposure time to the precursor P2 are reduced from Cycle A to Cycle B and then further reduced in Cycle C, so that the exposure dosage of the precursor P2 is reduced from Cycle A to Cycle C. While the plot 400 illustrates that both the pressure of the precursor P2 and the exposure time to the precursor P2 are reduced, it should be appreciated that either one of the pressure of the precursor P2 or the exposure time to the precursor P2 may be reduced to reduce the exposure dosage of the precursor P2.
[0134] In addition, the pressure (partial pressure) of the precursor P3 and the exposure time to the precursor P3 are at least substantially constant for all of Cycle A, Cycle B and Cycle C. Therefore, the exposure dosage of the precursor P3 is fixed or essentially the same throughout the three cycles. In various embodiments, this exposure dosage may be the saturation exposure dosage.
[0135] FIG. 4 also shows a cross-sectional view of a nanopore 402 having a gradient laminate of two films 404, 406, of materials with gradient thicknesses in opposite directions. For example, the gradient films 404 has a total thickness that decreases along the depth/length of the nanopore 402 in the direction represented by the arrow 420, while the gradient films 406 has a total thickness that increases along the depth/length of the nanopore 402 in the direction represented by the arrow 420, thereby forming superlattice films. [0136] In various embodiments, the precursor PI may be a non-metallic precursor while each of the precursors P2 and P3 may be a metallic precursor. Therefore, two metallic precursors (P2 and P3) may be used with a common non-metallic precursor (PI). The metallic precursors P2 and P3 may be substantially non reactive with each other. As the exposure (i.e. exposure dosage) for one of the metallic precursors (e.g. P2) is continuously or continually reduced, for example based on plot 400, below the saturating exposure for a plurality of cycles of ALD, a superlattice of gradient films of two materials with gradient thicknesses in opposite directions may be deposited. As the exposure dosage of the precursor P2 is reduced, the molecules of the precursor P2"is chemisorbed at increasingly reduced depths along the length of the nanopore 402 due to insufficient diffusion path length, while the precursor P3 reacts with deeper surface regions (i.e. molecules of precursor P3 are chemisorbed on deeper surface regions) which are unreacted by the precursor P2 (i.e. not chemisorbed by the molecules of the precursor P2) in each cycle of deposition.
[0137] In various embodiments, as a non-limiting example, the non-metallic precursor may be water (H20), one of the metallic precursors may be titanium tetrachloride (TiCl4) while the other metallic precursor may be diethyl zinc ((C2H5)2Zn, or DEZn). The metallic precursors are substantially non reactive with each other. For a complete cycle of exposure or deposition, in a first half cycle, H20 reacts with all the surface (e.g. internal surface of a void), forming -OH bonds. In a second half cycle, TiCl4 with exposure dosages below the saturation dosage reacts with a portion of the surface to form Ti02, leaving the deeper surface portion with the -OH bonds unreacted. In a third half cycle, diethyl zinc with exposure dosages equal to or above the saturation dosage reacts with the deeper surface portion that is unreacted by TiCl4, forming ZnO. As exposures for diethyl zinc is equal to or above saturation, diethyl zinc molecules diffuse into the deeper surface portion (e.g. of a void) and are chemisorbed at the deeper surface portion. Accordingly, a complete cycle with three half cycles of the non-metallic (H20), first metallic (TiCl4), and second metallic ((C2¾)2Zn, or DEZn) precursors form a single film on the entire surface which is compositionally different at different depths, e.g. a Ti02 film deposited on a surface of the void proximate the top or entrance of a void and extending into the void to a depth dependent on the exposure dosage and a ZnO film on the surface portion that is unreacted or not chemisorbed with the T1CI4 precursor molecules, in each cycle.
[0138] The atomic layer deposition (ALD) equipment/system for the gradient deposition methods of various embodiments will now be described by way of the following non- limiting example.
[0139] FIG. 5 shows a schematic view of an atomic layer deposition system 500. The system 500 includes a custom-made viscous flow atomic layer deposition (ALD) reactor or process chamber 502 having a first end (e.g. entrance) 504 and a second end (e.g. exit) 506, a hold valve 508, an isolation valve 510 and a vacuum pump 512. Ultra high purity nitrogen gas and precursors or reactants enter the reactor or process chamber 502 from the first end 504. Also shown in FIG. 5 is a substrate (e.g. a nanoporous substrate, e.g. opal template) 514 placed inside the reactor 502.
[0140] The hold valve 508 is coupled to the first end 504 of the reactor 502 and may control the flow of one or more precursors into the reactor 502. The isolation valve 510 is coupled between the second end 506 of the reactor 502 and the vacuum pump 512. The isolation valve 510 and the vacuum pump 512 may be used to evacuate the reactor 502, for example to remove any unreacted precursors) or any reaction by-product(s) that are in the reactor 502 during or at the end of the deposition process. In order to remove non- reacted precursor(s) or any reaction by-product(s) that are in the reactor 502, purging of the reactor 502 (i.e. the non-reacted precursor(s) or any reaction by-product(s) are purged from the reactor 502) may be performed by supplying an inert gas (e.g. argon, nitrogen or carbon dioxide) through the hold valve 508 and the first end 504 of the reactor 502. The inert gas, the non-reacted precursors) or any reaction by-product(s) may then be evacuated or removed from the reactor 502 via the isolation valve 510.
[0141] The hold valve 508 and the isolation valve 510 are high speed diaphragm valves for ALD to precisely control the precursor exposure to the predetermined values for deposition.
[0142] During deposition, each precursor exposure dosage may be varied linearly with the number of cycles of ALD from a number of different initial exposure dosages. A non- limiting example of the deposition process may be performed based on the change in the exposure dosage with the number of cycles of ALD as that shown in FIG. 6, for different initial exposure dosages, Εύ,, of 10 mbar sec, 15 mbar sec, 20 mbar sec and 25 mbar sec. Lab VIEW based programming software has been developed for recording and controlling or varying the precursor exposures for the gradient ALD process.
[0143] A precursor vapor delivery system (not shown) has been designed and custom- made to control and maintain substantially constant precursor gas flow rates into the reaction chamber or reactor 502 in all the deposition cycles. The precursor vapor delivery system may be coupled to the hold valve 508.
[0144] In various embodiments, the ALD process may be operated in a stop-flow process (e.g. fill-hold-purge method) to enable control for high aspect ratio (AR) deposition. The pulse step of conventional continuous flow process may be divided into fill and hold where the precursor gases or vapours are filled up to the set pressures and held for a set time at this pressure in each cycle. The precursor exposure may be calculated as the sum of the product of precursor partial pressure and precursor exposure time during the fill and hold steps.
[0145] The infiltration of opal templates with gradient Ti02 filling based on the gradient deposition methods of various embodiments will now be described by way of the following non-limiting example. The precursors used for the gradient Ti02 filling may be titanium tetrachloride and water.
[0146] High quality opal templates may be prepared by vertical self assembly technique using highly monodispersed polystyrene (PS) spheres of about 420 nm diameter. The glass substrate on which the self-assembled opal template is to be deposited is kept in vials filled with diluted PS sphere solution and heated in a temperature controlled oven at at temperature of about 90°C. The thickness and structural perfection of the opal templates may be controlled by controlling the concentration of the PS spheres and the thermal environment during evaporative self-assembly.
[0147] FIGS. 7A and 7B show respectively field emission scanning electron microscopy (FESEM) images (using field emission scanning electron microscopy, JEOL JSM 6340F) of a cross-sectional view and a top view of an opal template 700. The opal template is of a thickness of about 20 μιη. As shown in FIG. 7B, the PS nanospheres, as indicated by 702 for one nanosphere, are arranged in a lattice arrangement. Each nanosphere 702 has a diameter of about 420 nm. [0148] In order to perform ALD, the opal template 700 may be placed in the ALD reactor 502 (FIG. 5) at the position of the substrate 514 (FIG. 5). Depositions were performed at a temperature of about 70°C.
[0149] The thickness of the film deposition along the depth/length of the voids (interstitial spaces) in the opal template 700 may be gradually varied by exposing the opal template 700 to a gradually reducing exposure for one or more of the precursors.
[0150] Depositions may be performed, for example, based on the schematic illustrated in FIG. 3. When the exposure (i.e. dosage) for one of the precursors (e.g. P2) is gradually reduced below the saturating exposure for a finite number of cycles in the high aspect ratio surfaces of the interstitial spaces, deposition in subsequent or consecutive cycles takes place at reduced depths below the top surface of the voids due to the gradual reduction of the diffusion path lengths of the precursor, thereby forming films with a gradient thickness, which may be similar to that illustrated in FIG. 3, due to the Knudsen diffusion effects.
[0151] Deposition in high aspect ratio nanopores or voids is limited by the Knudsen diffusion of precursor gases from the top to the bottom of the pores, which requires a certain minimum value of the precursor exposure dosage (i.e. product of the partial pressure of the precursor and the exposure time of the precursor to the nanopores) to saturate or complete the chemisorption of the precursor molecules on the entire internal surface of the voids (e.g. entire internal surface of the nanopores). The saturation value of the exposure may depend on the length and diameter of the pores or nanopores, the mass of the precursor molecules and the temperature of the deposition.
[0152] In addition, the ALD reactants or precursors tend to react with the internal surface of the nanopores in order starting from the entrance (top) of the pore which the precursor vapours reach first. Therefore, when the exposure is less than the saturation amount or dosage, the internal surface gets chemisorbed with the precursor gases only up to the depths dictated by the Knudsen diffusion path length and therefore surface remains unaffected in the deeper portions or regions of the nanopores, for example the surfaces near the bottom of the pore.
[0153] One or more conformal films may be deposited into the void spaces of the opal templates (interstitial spaces between the nanospheres). For example, titanium dioxide films may be deposited by exposing the opal template (e.g. 700, FIGS. 7 A and 7B) to a titanium tetrachloride (T1CI4) precursor, which reacts with the entire internal surface of the void spaces of the opal template when the exposure is above the saturation value. Subsequently, when the opal template is exposed to a saturating water exposure, a monolayer or film of titanium oxide is produced. Such sequential exposures of metallic and non-metallic precursors may be repeated for a desired number of times to produce titanium dioxide films with the desired thickness.
[0154] Due to the highly periodic arrangement of polystyrene spheres, opals are three- dimensional (3D) photonic crystals exhibiting photonic band gaps (PBGs), where propagation of light within certain frequency ranges is prohibited. The position and width of the PBG may depend on the size and the dielectric constant of the spheres. When infiltrated with a high refractive index material, the position of the band gaps shift to higher wavelengths due to an increased average index. In order to tune the photonic band gap properties, opal templates are infiltrated with high index materials and the resulting structures may be replicated by removing the polystyrene template to form inverse opal photonic crystals. Such opal-based photonic crystals may be useful for enhancement of energy harvesting as a back reflector for thin film and dye-sensitized solar cells (DSCs), manipulation of emission and absorption by enhancement of light matter interactions, and other photonic applications.
[0155] Progressive infiltrations with a stepwise increment of 25 cycles were first conducted using a conventional ALD process in order to determine the total number of cycles required for complete infiltration of the opal substrate or template 700 to set-up cycle dependent precursor exposures for the gradient deposition processes. FIG. 8A shows a plot of transmission spectra of the stepwise ALD infiltrated opals. UV-VIS-NIR Cary 5000 spectrophotometer (from Varian Inc.) was used to measure transmittance data of the infiltrated opals.
[0156] As can be seen from FIG. 8A, the photonic band gap peak red-shifted (i.e. changed to a longer wavelength) continuously with the number of deposition cycles until complete infiltration is attained at 275 cycles. The closing and reopening of the band gap at about 1020 nm may be seen. [0157] With increasing Ti02 ALD fillings, the intensity of the band gap gradually decreases to a point where it may completely disappear due to the dielectric constant of the background (which may be approximated by averaging the dielectric constants of Ti02 and the remaining air) of the photonic crystal becoming equal to that of the polystyrene spheres and then increased gradually with further filling.
[0158] FIG. 8B shows a plot of calculated filling fraction as a function of the number of infiltration cycles based on Bragg diffraction peaks. The filling fraction calculations indicate that the maximum possible filling value by conformal filling may be achieved when infiltrated with 275 cycles.
[0159] The total number of cycles in the infiltration of opal templates with gradient Ti02 filling was optimized to achieve full infiltration to the top of the opal templates. The exposure for the water precursor was kept above the saturation exposure (about 120 mbar sec) for achieving complete saturation of the internal surface in all the deposition cycles. The exposure dosage of the titanium tetrachloride precursor was gradually reduced from the initial exposure (about 10 mbar sec) as a function of the number of cycles to the lowest possible exposure control (about 0.2 mbar sec). However, it should be appreciated that the exposure dosage may be reduced to below 0.2 mbar sec.
[0160] The opal templates were deposited with 275 cycles of a gradient ALD process using an initial exposure dosage of about 10 mbar sec, and also with a conventional ALD process for obtaining step coverage of Ti02. For deposition with step coverage, exposure for TiCU was maintained above saturation throughout the deposition. FIG. 9 shows a plot 900 of transmittance spectra for an opal template 902 (i.e. without infiltration), a gradient infiltrated opal template 904, with Em = 10 mbar sec, and a uniformly infiltrated opal template 906 (i.e. step coverage of Ti02).
[0161] As shown in FIG. 9, the result for the opal template 902 shows a photonic band gap (PBG) peak at about 890 nm. When infiltrated uniformly with titanium dioxide using the conventional ALD process method, the result for the uniformly infiltrated opal template 906 shows that the PBG peak has shifted to about 1040 nm. When the opal template was infiltrated using the gradient ALD process, e.g. by linearly reducing the precursor exposure or precursor diffusion path length with the number of cycles, the result for the gradient infiltrated opal template 904 shows that the width of the bandgap has increased, spanning all the way from the PBG peak of the opal template 902 to the PBG peak of the fully uniformly infiltrated opal template 906, indicating overlapping of the peaks at different positions.
[0162] FIG. 10 shows a field emission scanning electron microscopy (FESEM) image of a top view of an opal template gradient infiltrated with ALD of titanium dioxide.
[0163] Use of the methods of various embodiments for opal infiltration may advantageously enhance the corresponding photonic properties. As shown in FIG. 9, the width of the photonic bandgap of the gradient infiltrated opal is more than doubled when compared with the photonic bandgap of the uniformly infiltrated opal. The ability "to increase the width of the band gaps may be beneficial for photonic crystal applications such as back reflectors and optical filters. In addition, as high quality gradient photonic crystals may reduce the group velocity of light with a larger bandwidth, gradient photonic crystals may be able to enhance light matter interactions of several photochemical processes.
[0164] The process of controlling the degree of gradients during deposition will now be described by way of the following non-limiting example.
[0165] The opal templates were deposited with 275 cycles of a gradient ALD process using various initial exposures. Tunability of the gradients during the gradient deposition was determined by infiltrating the opal templates with different initial exposure dosages above the saturation value (saturation exposure dosage) for the titanium tetrachloride precursor.
[0166] FIG. 1 1 shows a plot 1 100 of transmittance spectra for gradient infiltrated opals when infiltrated with different initial exposure dosages, Em. The different initial exposure dosages of about 10 mbar sec, about 15 mbar sec, about 20 mbar sec and about 25 mbar sec, produce different degrees of gradients, leading to different photonic band gaps and transmission spectra. The plot 1 100 of transmission spectra also shows a peak discontinuity due to index matching at about 1020 nm.
[0167] For the smallest initial exposure (Em = 10 mbar sec), the width of the PBG is the maximum, covering a large spectral range overlapping with the opal PBG to the left and the uniformly infiltrated opal PBG to the right (see also FIG. 9), indicating the highest Ti02 index gradient. The results further suggest that the thickness of the film deposition decreased from the maximum value at the top of the pore (pore entrance) to zero at the bottom of the pore for the gradient infiltrated opal template with the initial exposure dosage of about 10 mbar sec. The wavelength position of the bandgap is dependent on refractive index. When the opal template is infiltrated with Ti02, the bandgap shifts to a higher wavelength due to an increased refractive index. As can be seen in Fig. 9, when the initial exposure is about 10 mbar sec, the left edge of the bandgap of the gradient infiltrated opal template overlaps with the left edge of the bandgap of the original opal template. This means that at the deeper most surfaces (i.e. surfaces in the deeper regions/portions of the interstitial voids), no Ti02 deposition occurred. Therefore, effectively, surfaces in the deeper regions remain as opal, without Ti02 infiltration. This illustrates that the initial exposure dosage of 10 mbar sec is not sufficient to deposit on the entire surface/deeper most surface of the interstitial voids, meaning that the exposure dosage of 10 mbar sec is below the saturation exposure dosage, or in other words the saturating exposure dosage for the opal templates should be more than 10 mbar sec.
[0168] When the initial exposure dosage was above the saturating value (i.e. above the saturation dosage), for example when the initial exposure dosage was over 10 mbar sec, deposition proceeded with step coverage for a number of cycles. Thereafter, progressive reduction in the exposure as well as the gradual shrinkage or decrease of the pore/void size with the progress of the deposition gives rise to the gradient nature of the deposition.
[0169] When the initial value of the exposure dosage (Ein) was increased above 10 mbar sec, the bottom portions of the opal templates were infiltrated with increasing thickness of Ti02 films, as evident from the decreasing width of the PBG as shown in FIG. 11. In other words, as the initial value of the exposure dosage (Εύ,) increases above the minimum required exposure for saturation, the number of cycles of step coverage deposition increases and therefore the thickness of the Ti02 film at the bottom portions of the interstitial spaces (void spaces) of the opal templates inceases, thereby reducing the infilling gradients as well as the width of the band gap. The reduction in the extent of the gradient with increasing initial exposure indicates the excellent tunability of the methods of various embodiments for controlling the degree of gradients. [0170] Therefore, FIG. 11 shows that gradient infiltrated opals with varying degrees of filling gradients, illustrated by the different photonic band gap widths, may be achieved by varying the initial exposure dosage.
[0171] Accordingly, various embodiments may also provide methods for the facile control of the degree of gradients. For example, the initial value of the exposure dosages in the gradient deposition process may be predetermined in a manner which may allow the saturative depositions for a finite number of cycles and gradient depositions thereafter for the remaining cycles. By varying the initial exposure dosage, the thickness of the films deposited may be varied, thereby varying the degree of the thickness gradient of the deposited films.
[0172] Quantitative characterization of Ti02 depth profile will now be described by way of the following non-limiting example.
[0173] Rutherford backscattering spectroscopy (RBS) was employed to quantitatively evaluate the depth profile of the infiltrated opals with gradient Ti02 deposition. A beam of 2.5 MeV H+ ions was generated using a 3.5 MV HVE Singletron accelerator, and was subsequently passed through a series of collimators. Ions backscattered at 160° were measured with an ORTEC-Ultra Si surface-barrier detector, and a backscattering spectrum was collected for each sample.
[0174] FIG. 12A shows a plot of measured Rutherford backscattering spectra (data points) along with SIMNRA simulations (solid lines), for three infiltrated opal samples of uniform thickness deposition, gradient deposition 1 having a lower degree of thickness gradient (lower magnitude of gradient) with Em = Ptu, = 25 mbar sec, and gradient deposition 2 having a higher degree of thickness gradient (higher magnitude of gradient) with Ejn = Ptjn = 20 mbar sec.
[0175] Backscattered Ti signal for uniformly infiltrated opal sample showed a higher intensity when compared to the gradient infiltrated opal samples. SIMNRA simulations were performed to calculate the depth profile of Ti02 for all the samples. The areal thickness (in at/cm2) of each layer or film from calculations was converted into an interim thickness for a solid layer, using the weighted average of the bulk densities for Ti02 (4.26 g cm3) and C8H8 (1.06 g/cm3). The interim thickness is the thickness of a solid layer of a Ti02-C8H8 mixture. The approximate true thickness or depth was calculated from the interim thickness by including the void % to account for the empty space within each layer based on the face centered cubic structure.
[0176] FIG. 12B shows the results for the titanium dioxide depth profile for different samples, which shows different depth profiles for the different infiltrated opal samples. The depth profile represents the normalized Ti02 depth profile calculated from the RBS spectra.
[0177] As shown in FIG. 12B, the Ti concentration remains constant for uniformly infiltrated opals within the depths determinable by RBS. For the gradient infiltrated opals, nonlinear Ti concentration gradient profiles with depth may be observed. The Ti concentration decreased more sharply with depth for the sample with a higher degree of gradient (i.e. infiltrated sample with Ejn = Ptin = 20 mbar sec) when compared to the infiltrated opal samples with a lower degree of gradient. In other words, the gradient sample with the higher degree of gradient showed a higher Ti concentration drop with depth. The results illustrated in FIGS. 12A and 12B indicate that RBS quantitatively confirms the smooth and controllable gradient depositions by the methods of various embodiments.
[0178] The dependence of the degree of gradient filling on the initial exposure demonstrates the facile control of the gradient ALD process of various embodiments for tuning of photonic bandwidths.
[0179] Formation of gradient inverse opal photonic crystals will now be described by way of the following non-limiting example.
[0180] Infiltrated opals were heat treated at a temperature of about 450°C to remove the polystyrene template, by burning the polystyrene spheres, and convert the amorphous Ti02 into polycrystalline anatase in order to develop inverse opals.
[0181] FIG. 13 shows field emission scanning electron microscopy (FESEM) images of a gradient inverse opal infiltrated at Ei„ = 20 mbar sec; (a) cross-sectional view, and magnified cross-sectional views taken at (b) the top, (c) the middle, and (d) the base. The FESEM images show that the thickness of the deposited film decreases from the top to the base. [0182] For the infiltrated opal with the highest degree of gradient filling (e.g. Em = 10 mbar sec), the inverse opal structure was self-stripped from the substrate after the heat treatment due to the absence of interfacial contact with the substrate.
[0183] FIG. 14A shows plots of measured transmittance spectra for uniform gradient inverse opals and gradient inverse opals with different degrees of gradients when infiltrated with different initial exposures. The inset shows a FESEM image of a cross sectional view of a uniformly infiltrated inverse opal.
[0184] The width of the PBG increases with decreasing precursor initial exposure dosage, showing the same trend with that of infiltrated opals as illustrated in FIG. 11. The bandwidth of the inverse opal with the highest degree of gradient among the three gradient inverse opal samples (i.e. Em = 15 mbar sec) is larger by almost 100 nm when compared to that of the uniformly infiltrated opals. The smooth overlapping of the band edges or the PBGs for the gradient inverse opals indicates the well-controlled and continuous gradient depositions. These results represent the demonstration of high quality gradient inverse opals with tunable bandwidths.
[0185] In addition, transmission spectra were theoretically calculated using scattering matrix methods to theoretically predict the band diagrams of the gradient inverse opals.
[0186] FIG. 14B shows the theoretically predicted or calculated band diagrams for uniform gradient inverse opals and gradient inverse opals for different index gradients using scattering matrix methods.
[0187] As shown in FIG. 14B, the band width increases with index gradients (i.e. decreasing Em). The full width at half maximum for the gradient inverse opal with Em = 15 mbar sec corresponds to an index gradient of 2.25, which is increased by about 90 nm or 75% as compared to that of the uniformly infiltrated inverse opals.
[0188] The calculations made enable the range of index gradients (or filling gradients) required to be determined in order to obtain the specific width of the band gaps. Comparing FIGS. 14A and 14B, it is noted that the band gaps from the calculations closely match that of the measurement results obtained. However, there are observable discrepancies in the attenuation at the band edges which may be attributed to the approximations used in the calculations for the gradient index profile. [0189] While the invention has been particularly shown and described with reference to specific embodiments, it should be understood by those skilled in the art that various changes in form and detail may be made therein without departing from the spirit and scope of the invention as defined by the appended claims. The scope of the invention is thus indicated by the appended claims and all changes which come within the meaning and range of equivalency of the claims are therefore intended to be embraced.

Claims

1. A method for depositing gradient films on a substrate surface by atomic layer deposition (ALD), the method comprising:
(a) exposing the substrate to a vapour of a first precursor that is reactive with the surface of the substrate thereby forming a layer of first precursor molecules on the surface of the substrate;
(b) removing non-reacted first precursor;
(c) exposing the substrate to a vapour of a second precursor that is reactive with the first precursor, thereby forming a film of reacted first and second precursors on the surface of the substrate;
(d) removing non-reacted second precursor; and
(e) repeating steps (a)-(d) in a plurality of cycles,
wherein (i) in a first number of cycles of the plurality of cycles, the exposure dosage of the first precursor and the exposure dosage of the second precursor is equal to or above a respective saturation exposure dosage of the respective precursor, and in subsequent cycles, the exposure dosage of the first precursor or the exposure dosage of the second precursor is reduced to below the respective saturation exposure dosage of the respective precursor; or
(ii) in a first number of cycles of the plurality of cycles, the exposure dosage of the first precursor and the exposure dosage of the second precursor is below the respective saturation exposure dosage of the respective precursor, and in subsequent cycles, the exposure dosage of the first precursor or the exposure dosage of the second precursor is increased to be equal to or above the respective saturation exposure dosage of the respective precursor.
2. The method as claimed in claim 1, wherein the substrate comprises at least one void and the gradient film is deposited in the voids of said substrate.
3. The method as claimed in claim 2, wherein the substrate comprises or consists of a nanoporous material and the void is a nanopore.
4. The method as claimed in claim 3, wherein the nanoporous material comprises anodic alumina or aerogel.
5. The method as claimed in claim 2, wherein the substrate comprises a matrix of nanostructures arranged in a lattice arrangement, and the void is an interstitial space bounded by the nanostructures.
6. The method as claimed in claim 5, wherein the nanostructures are substantially spherical.
7. The method as claimed in claim 5 or 6, further comprising removing the matrix of nanostructures.
8. The method as claimed in claim 7, wherein removing the matrix of nanostructures comprises heating the substrate.
9. The method as claimed in any one of claims 5 to 8, wherein the substrate is a self- assembled opal photonic crystal.
10. The method as claimed in any one of claims 1 to 9, further comprising determining at least one of the saturation exposure dosage of the first precursor or the saturation exposure dosage the second precursor.
11. The method as claimed in any one of claims 1 to 10, wherein in subsequent cycles, the method comprises gradually reducing or increasing the exposure dosage of the first precursor or the exposure dosage of the second precursor by a regular value.
12. The method as claimed in claim 1 1, comprising linearly reducing or increasing the exposure dosage of the first precursor or the exposure dosage of the second precursor.
13. The method as claimed in any one of claims 1 to 12, wherein reducing or increasing the exposure dosage of the first precursor or the second precursor comprises reducing or increasing a partial pressure of the first precursor or a partial pressure of the second precursor.
14. The method as claimed in any one of claims 1 to 13, wherein reducing or increasing the exposure dosage of the first precursor or the second precursor comprises reducing or increasing an exposure time of the substrate to the first precursor or the second precursor.
15. The method as claimed in any one of claims 1 to 14, wherein in subsequent cycles, the method comprises reducing or increasing the exposure dosage of the first precursor or the exposure dosage of the second precursor between successive cycles.
16. The method as claimed in any one of claims 1 to 15, wherein in subsequent cycles, the method comprises reducing or increasing the exposure dosage of the first precursor and the exposure dosage of the second precursor.
17. The method as claimed in any one of claims 1 to 15, wherein the exposure dosage of the second precursor is essentially the same throughout the plurality of cycles of atomic layer deposition.
18. The method as claimed in any one of claims 1 to 17, wherein in each cycle, the method further comprises after step (d) and before repeating the complete cycle, the steps of exposing the substrate to a vapour of a third precursor, the third precursor being substantially non reactive with the first precursor and being substantially reactive with the second precursor, and removing non-reacted third precursor.
19. The method as claimed in claim 18, wherein an exposure dosage of the third precursor is essentially the same throughout the plurality of cycles of atomic layer deposition.
20. The method as claimed in claim 18 or 19, wherein the exposure dosage of the third precursor is equal to or above a saturation exposure dosage of the third precursor.
21. The method as claimed in claim 18 or 19, wherein the exposure dosage of the third precursor is below a saturation exposure dosage of the third precursor.
22. The method as claimed in any one of claims 18 to 21, wherein the third precursor is a metallic precursor.
23. The method as claimed in any one of claims 1 to 22, wherein the first precursor is a metallic precursor.
24. The method as claimed in claim 22 or 23, wherein the metallic precursor is selected from the group consisting of a metal element, a metal halide, a metal organic compound, a metal alkoxide, a metal alkylamide, a metal amidinate and a metal alkyl.
25. The method as claimed in any one of claims 1 to 24, wherein the second precursor is a non-metallic precursor.
26. The method as claimed in claim 25, wherein the non-metallic precursor is selected from the group consisting of water, deuterium oxide, hydrogen peroxide, an alcohol, ammonia, silane, disilane and a hydrocarbon compound.
27. The method as claimed in any one of claims 1 to 26, wherein the material formed by reaction of the first and second precursors or first, second and third precursors is selected from the group consisting of a metal, metal oxide, metal nitride, metal phosphide, metal sulfide and metal carbide.
28. The method as claimed in claim 27, wherein the metal is selected from the group consisting of tungsten, ruthenium, iridium, platinum, palladium, rhodium, silver, copper, cobalt, iron, nickel, molybdenum, tantalum, titanium, aluminium, silicon, and germanium.
29. The method as claimed in claim 27, wherein the metal oxide is selected from the group consisting of titanium oxide, zinc oxide, aluminum oxide, tin oxide, hafnium oxide, zirconium oxide, tantalum oxide, hafnium oxide, niobium oxide, scandium oxide, yttrium oxide, magnesium oxide, boron oxide, silicon oxide, germanium oxide, lanthanum oxide, cerium oxide, neodymium oxide, samarium oxide, gadolinium oxide, dysprosium oxide, holmium oxide, erbium oxide, thulium oxide, ytterbium oxide, and lutetium oxide.
30. The method as claimed in claim 27, wherein the metal nitride is selected from the group consisting of titanium nitride, tantalum nitride, tungsten nitride, niobium nitride, gallium nitride, indium nitride, molybdenum nitride, boron nitride, aluminium nitride, gallium nitride, tantalum nitride, zirconium nitride, hafnium nitride, and copper nitride.
31. The method as claimed in claim 27, wherein the metal phosphide is selected from the group consisting of indium phosphide and gallium phosphide.
32. The method as claimed in claim 27, wherein the metal sulfide is selected from the group consisting of zinc sulfide, copper sulfide, calcium sulfide, barium sulfide, lead sulfide, lanthanum sulfide, indium sulfide, copper sulfide, tungsten sulfide, and titanium sulfide.
33. The method as claimed in claim 27, wherein the metal carbide is selected from the group consisting of tantalum carbide, tungsten carbide, silicon carbide, and titanium carbide.
34. The method as claimed in any one of claims 1 to 33, wherein removing non- reacted respective first and second precursors comprises purging the non-reacted respective first and second precursors with an inert gas.
35. The method as claimed in claim 34, wherein the inert gas comprises argon, nitrogen or carbon dioxide.
36. The method as claimed in claims 1-35, wherein the method is performed in an ALD process chamber.
37. A substrate obtained according to the method as claimed in any one of claims 1 to 36.
38. A substrate comprising:
at least one void extending at least partially through the substrate; and
a plurality of films of a material, the plurality of films disposed on an internal surface of the void, wherein the plurality of films have a total thickness that decreases along a length of the void.
39. The substrate as claimed in claim 38, wherein the substrate is a nanoporous material and the void is a nanopore.
40. The substrate as claimed in claim 38 or 39, wherein the plurality of films are formed by means of a plurality of cycles of atomic layer deposition.
41. An inverse photonic crystal comprising:
a plurality of substantially spherical voids arranged in a lattice arrangement; and a plurality of films of a material, the plurality of films disposed in at least one interstitial space bounded by the plurality of substantially spherical voids,
wherein the plurality of films have a total thickness that decreases along a length of the interstitial space.
42. The inverse photonic crystal as claimed in claim 41, wherein the inverse photonic crystal is an inverse opal photonic crystal.
PCT/SG2012/0000782011-03-092012-03-09Method for depositing gradient films on a substrate surface by atomic layer depositionWO2012121677A1 (en)

Applications Claiming Priority (2)

Application NumberPriority DateFiling DateTitle
US201161450724P2011-03-092011-03-09
US61/450,7242011-03-09

Publications (1)

Publication NumberPublication Date
WO2012121677A1true WO2012121677A1 (en)2012-09-13

Family

ID=46798467

Family Applications (1)

Application NumberTitlePriority DateFiling Date
PCT/SG2012/000078WO2012121677A1 (en)2011-03-092012-03-09Method for depositing gradient films on a substrate surface by atomic layer deposition

Country Status (1)

CountryLink
WO (1)WO2012121677A1 (en)

Cited By (17)

* Cited by examiner, † Cited by third party
Publication numberPriority datePublication dateAssigneeTitle
CN103361631A (en)*2013-06-282013-10-23上海纳米技术及应用国家工程研究中心有限公司Preparation method of zinc oxide doped titanium oxide film for photocatalysis
CN104226302A (en)*2014-09-202014-12-24桂林理工大学 Visible light responsive photocatalyst Nd2ZnW3O13 and its preparation method
CN104624182A (en)*2015-01-132015-05-20三峡大学 A visible light responsive photocatalyst Sr3Li3BiW2O12 and its preparation method
CN104857980A (en)*2015-04-212015-08-26江苏大学Preparation method of hexagonal boron nitride ceramic material stable silver carbonate semiconductor
CN104874391A (en)*2015-05-232015-09-02桂林理工大学 Visible light responsive photocatalyst SrLiBi3W5O21 and its preparation method
WO2016109202A1 (en)*2014-12-312016-07-07Alphabet Energy, Inc.Electrical and thermal contacts for bulk tetrahedrite material, and methods of making the same
WO2017166028A1 (en)*2016-03-282017-10-05深圳大学Tungsten sulfide film and preparation method therefor
CN107469741A (en)*2017-08-102017-12-15浙江大学A kind of method that copper sulfide aeroge is prepared using anion exchange method
CN108893727A (en)*2018-06-192018-11-27南昌大学A kind of preparation method of gallium nitride/aluminium oxide nano composite corrosion proof coating
CN109161868A (en)*2018-11-092019-01-08东南大学A kind of atomic layer deposition tungsten disulfide soft coating cutter and preparation method thereof
CN109321892A (en)*2018-10-102019-02-12西安近代化学研究所A kind of resistive layer and preparation method thereof
CN112062147A (en)*2020-09-212020-12-11山东大学Low-cost and high-efficiency preparation method of lutetium oxide film
CN113013084A (en)*2019-12-192021-06-22Asm Ip私人控股有限公司Method for filling gap features on a substrate and related semiconductor structure
US11155490B1 (en)2020-04-222021-10-26Waymo LlcSuperomniphobic thin film
US20230074081A1 (en)*2020-01-292023-03-09Universität HamburgDevice and method for coating channels of a sample by means of vapor deposition
US11603329B2 (en)2020-04-222023-03-14Waymo LlcMethods for preparing a superomniphobic coating
CN117727695A (en)*2024-02-072024-03-19中国科学院长春光学精密机械与物理研究所CMOS device for reducing electric leakage and preparation method thereof

Citations (4)

* Cited by examiner, † Cited by third party
Publication numberPriority datePublication dateAssigneeTitle
WO2004094695A2 (en)*2003-04-232004-11-04Genus, Inc.Transient enhanced atomic layer deposition
US20070026540A1 (en)*2005-03-152007-02-01Nooten Sebastian E VMethod of forming non-conformal layers
WO2010019490A1 (en)*2008-08-132010-02-18International Business Machines CorporationConformal adhesion promoter liner for metal interconnects
US20110008955A1 (en)*2009-07-072011-01-13Hitachi-Kokusai Electric Inc.Method of manufacturing semiconductor device and substrate processing apparatus

Patent Citations (4)

* Cited by examiner, † Cited by third party
Publication numberPriority datePublication dateAssigneeTitle
WO2004094695A2 (en)*2003-04-232004-11-04Genus, Inc.Transient enhanced atomic layer deposition
US20070026540A1 (en)*2005-03-152007-02-01Nooten Sebastian E VMethod of forming non-conformal layers
WO2010019490A1 (en)*2008-08-132010-02-18International Business Machines CorporationConformal adhesion promoter liner for metal interconnects
US20110008955A1 (en)*2009-07-072011-01-13Hitachi-Kokusai Electric Inc.Method of manufacturing semiconductor device and substrate processing apparatus

Non-Patent Citations (2)

* Cited by examiner, † Cited by third party
Title
LIU, L ET AL.: "TiO2 inverse-opal electrode fabricated by atomic layer deposition for dye-sensitized solar cell applications", ENERGY & ENVIRONMENTAL SCIENCE, vol. 4, 2011, pages 209 - 215*
SECHRIST, ZA ET AL.: "Modification of Opal Photonic Crystals Using A12O3 Atomic Layer Deposition", CHEMISTRY OF MATERIALS, vol. 18, 2006, pages 3562 - 3570*

Cited By (22)

* Cited by examiner, † Cited by third party
Publication numberPriority datePublication dateAssigneeTitle
CN103361631B (en)*2013-06-282015-10-28上海纳米技术及应用国家工程研究中心有限公司A kind of preparation method for light-catalysed Zinc oxide doped thin film of titanium oxide
CN103361631A (en)*2013-06-282013-10-23上海纳米技术及应用国家工程研究中心有限公司Preparation method of zinc oxide doped titanium oxide film for photocatalysis
CN104226302A (en)*2014-09-202014-12-24桂林理工大学 Visible light responsive photocatalyst Nd2ZnW3O13 and its preparation method
WO2016109202A1 (en)*2014-12-312016-07-07Alphabet Energy, Inc.Electrical and thermal contacts for bulk tetrahedrite material, and methods of making the same
CN104624182A (en)*2015-01-132015-05-20三峡大学 A visible light responsive photocatalyst Sr3Li3BiW2O12 and its preparation method
CN104857980A (en)*2015-04-212015-08-26江苏大学Preparation method of hexagonal boron nitride ceramic material stable silver carbonate semiconductor
CN104874391A (en)*2015-05-232015-09-02桂林理工大学 Visible light responsive photocatalyst SrLiBi3W5O21 and its preparation method
WO2017166028A1 (en)*2016-03-282017-10-05深圳大学Tungsten sulfide film and preparation method therefor
CN107469741A (en)*2017-08-102017-12-15浙江大学A kind of method that copper sulfide aeroge is prepared using anion exchange method
CN108893727A (en)*2018-06-192018-11-27南昌大学A kind of preparation method of gallium nitride/aluminium oxide nano composite corrosion proof coating
CN109321892B (en)*2018-10-102021-05-18西安近代化学研究所Resistance layer and preparation method thereof
CN109321892A (en)*2018-10-102019-02-12西安近代化学研究所A kind of resistive layer and preparation method thereof
CN109161868A (en)*2018-11-092019-01-08东南大学A kind of atomic layer deposition tungsten disulfide soft coating cutter and preparation method thereof
CN113013084A (en)*2019-12-192021-06-22Asm Ip私人控股有限公司Method for filling gap features on a substrate and related semiconductor structure
US12119220B2 (en)2019-12-192024-10-15Asm Ip Holding B.V.Methods for filling a gap feature on a substrate surface and related semiconductor structures
US20230074081A1 (en)*2020-01-292023-03-09Universität HamburgDevice and method for coating channels of a sample by means of vapor deposition
US11155490B1 (en)2020-04-222021-10-26Waymo LlcSuperomniphobic thin film
US11603329B2 (en)2020-04-222023-03-14Waymo LlcMethods for preparing a superomniphobic coating
CN112062147A (en)*2020-09-212020-12-11山东大学Low-cost and high-efficiency preparation method of lutetium oxide film
CN112062147B (en)*2020-09-212021-11-09山东大学Low-cost and high-efficiency preparation method of lutetium oxide film
CN117727695A (en)*2024-02-072024-03-19中国科学院长春光学精密机械与物理研究所CMOS device for reducing electric leakage and preparation method thereof
CN117727695B (en)*2024-02-072024-05-07中国科学院长春光学精密机械与物理研究所CMOS device for reducing electric leakage and preparation method thereof

Similar Documents

PublicationPublication DateTitle
WO2012121677A1 (en)Method for depositing gradient films on a substrate surface by atomic layer deposition
Shkondin et al.Large-scale high aspect ratio Al-doped ZnO nanopillars arrays as anisotropic metamaterials
Mullings et al.Tin oxide atomic layer deposition from tetrakis (dimethylamino) tin and water
Ritala et al.Atomic layer epitaxy-a valuable tool for nanotechnology?
Ratzsch et al.Influence of the oxygen plasma parameters on the atomic layer deposition of titanium dioxide
CN103764387B (en)Gas barrier film
Elam et al.Atomic layer deposition of tin oxide films using tetrakis (dimethylamino) tin
Li et al.Aluminum oxide nanoparticle films deposited from a nonthermal plasma: Synthesis, characterization, and crystallization
US20080050525A1 (en)Mechanical stability enhancement by pore size connectivity control in colloidal crystals by layer-by-layer growth of oxide
Budiman et al.Control of optical bandgap energy and optical absorption coefficient by geometric parameters in sub-10 nm silicon-nanodisc array structure
CN102952418B (en) Diffractive Pigments Produced by Fluidized Bed Chemical Vapor Deposition
Nguyen et al.Atmospheric plasma-enhanced spatial chemical vapor deposition of SiO2 using trivinylmethoxysilane and oxygen plasma
Sparks et al.Conformal coating by high pressure chemical deposition for patterned microwires of II–VI semiconductors
Yazdani et al.Modeling and optimization of atomic layer deposition processes on vertically aligned carbon nanotubes
Hameed et al.Optimization of preparation conditions to control structural characteristics of silicon dioxide nanostructures prepared by magnetron plasma sputtering
Furlan et al.Low‐temperature mullite formation in ternary oxide coatings deposited by ALD for high‐temperature applications
Sempel et al.Ultrathin ZrO2 thickness control on TiO2/ZrO2 core/shell nanoparticles using ZrO2 atomic layer deposition and etching
CN102656292B (en) Method of forming decorative coating, decorative coating and application thereof
Liu et al.Uniform coating of TiO 2 on high aspect ratio substrates with complex morphology by vertical forced-flow atomic layer deposition
Ko et al.A new nanoparticle heterostructure strategy with highly tunable morphology via sequential infiltration synthesis
Wang et al.Modification and resonance tuning of optical microcavities by atomic layer deposition
CN102666914B (en)Form the method for electroconductive oxide film, electroconductive oxide film and application thereof
Zhao et al.Growth and characterization of titanium oxide by plasma enhanced atomic layer deposition
Moon et al.Room temperature chemical vapor deposition for fabrication of titania inverse opals: Fabrication, morphology analysis and optical characterization
Karuturi et al.Gradient inverse opal photonic crystals via spatially controlled template replication of self-assembled opals

Legal Events

DateCodeTitleDescription
121Ep: the epo has been informed by wipo that ep was designated in this application

Ref document number:12755086

Country of ref document:EP

Kind code of ref document:A1

DPE1Request for preliminary examination filed after expiration of 19th month from priority date (pct application filed from 20040101)
NENPNon-entry into the national phase

Ref country code:DE

122Ep: pct application non-entry in european phase

Ref document number:12755086

Country of ref document:EP

Kind code of ref document:A1


[8]ページ先頭

©2009-2025 Movatter.jp