Movatterモバイル変換


[0]ホーム

URL:


WO2012058269A2 - Methods of treating cancer and other diseases - Google Patents

Methods of treating cancer and other diseases
Download PDF

Info

Publication number
WO2012058269A2
WO2012058269A2PCT/US2011/057820US2011057820WWO2012058269A2WO 2012058269 A2WO2012058269 A2WO 2012058269A2US 2011057820 WUS2011057820 WUS 2011057820WWO 2012058269 A2WO2012058269 A2WO 2012058269A2
Authority
WO
WIPO (PCT)
Prior art keywords
alkyl
cancer
aryl
heterocyclyl
cell
Prior art date
Application number
PCT/US2011/057820
Other languages
French (fr)
Other versions
WO2012058269A3 (en
Inventor
Andrew S. Goldsborough
Andres Dulcey
Misty Handley
Matthew D. Hall
Kyle Brimacombe
Gary L. Griffiths
Michael M. Gottesman
Original Assignee
The United States Of America, As Represented By The Secretary, Department Of Health And Human Services
Priority date (The priority date is an assumption and is not a legal conclusion. Google has not performed a legal analysis and makes no representation as to the accuracy of the date listed.)
Filing date
Publication date
Application filed by The United States Of America, As Represented By The Secretary, Department Of Health And Human ServicesfiledCriticalThe United States Of America, As Represented By The Secretary, Department Of Health And Human Services
Publication of WO2012058269A2publicationCriticalpatent/WO2012058269A2/en
Publication of WO2012058269A3publicationCriticalpatent/WO2012058269A3/en

Links

Classifications

Definitions

Landscapes

Abstract

Disclosed are a method of treating cancer in a cell, a method of enhancing the chemotherapeutic treatment of a cancer treatment agent, a method of reducing resistance of a cancer cell to a chemotherapeutic agent, a method of reducing the amount or activity of an ABC-family mRNA and/or protein, a method of reducing the amount or activity of the ABCB1 mRNA and/or protein or the ABCC1 mRNA and/or protein in an animal cell undergoing cancer treatment, a method of reducing the amount or activity of glutathione and/or Bcl2 in the cancer cell, a method of treating other multidrug resistant diseases, and a method of treating a multidrug resistant cell such as a bacterial multidrug resistantStaphylococcus aureus (MRSA), tuberculosis, fungal infection, or MDR malaria, by administering a compound of the Formula (I): a diastereoisomer thereof, or a pharmaceutically acceptable salt thereof, wherein R1-R4 are as described herein. Also disclosed are pharmaceutical compositions comprising a compound of formula (I), a diastereoisomer thereof, or a pharmaceutically acceptable salt thereof, and a pharmaceutically acceptable carrier.

Description

METHODS OF TREATING CANCER AND OTHER DISEASES
CROSS-REFERENCE TO A RELATED APPLICATION
[0001] The present application claims the benefit of U.S. Provisional Patent Application No. 61/407,948, filed October 29, 2010, the disclosure of which is incorporated by reference.
BACKGROUND OF THE INVENTION
[0002] Cancer is a major world-wide health problem. Those afflicted with cancer suffer physically and emotionally, unless treated in a timely manner die an early death. There is also a tremendous burden on the families and friends of those afflicted as well as on society at large. Although many drugs are in use for cancer treatment, there is a desire for additional cancer treatment agents.
[0003] Multidrug resistance (MDR) refers to the ability of target cells and
microorganisms, particularly cancer cells and mycobacterial cells, to resist the effects of different - often structurally and functionally unrelated - cytotoxic compounds. MDR can develop after sequential or simultaneous exposure to various drugs. MDR also can develop before exposure to many compounds to which a cell or microorganism may be found to be resistant. Multidrug resistance is discussed in greater detail in Kusmich et al.,
"Detoxification Mechanisms and Tumor Cell Resistance to Anticancer Drugs," particularly section VII, "The Multi-drug Resistant Phenotype (MDR)," Medical Research Reviews, 1991, 11, 185-217, particularly 208-213; and in Georges et al, "Multidrug Resistance and Chemosensitization: Therapeutic Implications for Cancer Chemotherapy," Advances in Pharmacology, 1990, 21, 185-220.
[0004] Many anticancer agents fail to kill cancer cells after some time when the cancer cells become multidrug resistant. Studies have indicated that there could be three major mechanisms of drug resistance in cells: first, decreased uptake of water-soluble drugs such as folate antagonists, nucleoside analogs and cisplatin, which require transporters to enter cells; second, various changes in cells that affect the capacity of cytotoxic drugs to kill cells, including alterations in cell cycle, increased repair of DNA damage, reduced apoptosis and altered metabolism of drugs; and third, increased energy-dependent efflux of hydrophobic drugs that can easily enter the cells by diffusion through the plasma membrane. Szakacs, et al., Nature Reviews - Drug Discovery, 5, 219-234 (2006). Attempts have been made to address the increased efflux of a broad class of hydrophobic cytotoxic drugs that is mediated by one of a family of energy-dependent transporters, known as ATP -binding cassette (ABC) transporters. However, progress in this area has been rather slow.
[0005] The foregoing shows there is an unmet need for providing cancer treatment agents, particularly agents which are suitable for treating MDR cancers as well other MDR diseases.
BRIEF SUMMARY OF THE INVENTION
[0006] The invention provides compounds for treating a diseased cell, for example, a multidrug resistant diseased cell. In an embodiment, the cell is in an animal. In
embodiments, the invention provides a method for reducing the amount or activity of an ABC- family mRNA and/or protein, reducing the amount or activity of the ABCB1 mRNA and/or protein or the ABCC1 mRNA and/or protein in the cancer cell, and/or reducing the amount or activity of glutathione and/or Bcl2 in the cancer cell. The invention also provides a method of enhancing the chemotherapeutic treatment of a cancer treatment agent.
[0007] The invention also provides pharmaceutical compositions comprising a compound of the invention. The compounds of the invention increase the collateral sensitivity of
chemotherapy resistance cancer cells.
BRIEF DESCRIPTION OF THE SEVERAL VIEWS OF THE DRAWING(S)
[0008] Figure 1 depicts a reaction scheme to prepare compounds in accordance with an embodiment of the invention.
[0009] Figure 2 depicts the percent cell viability of cervical carcinoma KB 3-1 and KB- VI cell lines, as measured by the MTT (3-(4,5-dimethylthiazol-2-yl)-2,5-diphenyltetrazolium bromide) assay. KB- VI cells express ABCB1 protein. In Figure 2 A, the drug is tiopronin. In Figure 2B, the drug is the phenyl alanine analog of tiopronin. In Figure 2C, the drug is the serine analog of tiopronin. In Figure 2D, the drug is the methyl analog of tiopronin. In Figure 2E, the drug is the valine analog of Tiopronin. In Figure 2F, the drug is the alanine analog of tiopronin.
[0010] Figure 3 depicts the percent cell viability of MCF7 and MCF7-VP 16 cell lines, as measured by the MTT assay. MCF7-VP16 cells express ABCC1 protein. In Figure 3 A, the drug is tiopronin. In Figure 3B, the drug is the valine analog of tiopronin. In Figure 3C, the drug is the alanine analog of tiopronin.
[0011] Figure 4 depicts the concentration of glutathione as a function of tiopronin concentration in KB- VI cells.
[0012] Figure 5 depicts the percent cell viability of KB-V1 cells as a function of doxorubicin concentration with and without tiopronin pretreatment.
[0013] Figure 6 depicts a dose-response curve of tiopronin against the P-gp-expressing sublines KB-V1, KB-8-5-11, and KB-8-5 and their parental KB-3-1 human adenocarcinoma cell line treated with tiopronin for 72 hours.
[0014] Figure 7 depicts the effect of tiopronin on the transporter function of P-gp and MRPl . Figure 7 A shows that tiopronin does not interfere with P-gp function. Each cell line was incubated with the P-gp substrate Rhodamine 123 (4 μΜ) alone (solid line) or in the presence of 1 (20 mM, dotted line) or with the positive control P-gp inhibitor cyclosporin A (1 μΜ, dashed line) and compared with the fluorescence of the parental cell line KB-3-1 (black filled histogram). Figure 7B shows that tiopronin inhibits MRPl function at high concentrations. Each cell line was incubated with the MRPl substrate Calcein-AM (0.25 μΜ) alone (solid line) or in the presence of tiopronin (20 mM, dotted line) or with the positive control MRPl inhibitor MK-571 (50 μΜ, dashed line) and compared with the fluorescence of the parental cell line MCF-7 (black filled histogram).
[0015] Figure 8 shows that tiopronin significantly down regulates the amount of cellular ABCB1 mRNA. Figure 8 A depicts the Northern blotting analysis of HeLa MDR Tet-off cells grown in the absence (lanes 1-3) or presence of ImM tiopronin (lanes 4-6) for 24 hours (lanes 1 and 4), 48 hours (lanes 2 and 5) or 72 hours (lanes 3 and 6), prior to RNA extraction and northern blotting with an ABCB1 cDNA biotin labeled probe. Figure 8B depicts a quantitative analysis of the ABCB1 mRNA extracted from HeLa MDR Tet-off cells cultured for 8, 24 or 48 hours in the absence (line with triangles) or presence of ImM tiopronin (line with filled squares) prior to RNA extraction and Taqman Q-RT-PCR analysis. Figure 8C depicts a Western blot of protein extracts from HeLa Tet-off MDR (P-gp expressing) cells treated with 0 mM tiopronin (lane 1), 0.1 mM (lane 2), ImM (lane 3) or 10 mM tiopronin (lane 4) for 24 hours prior to harvesting and western blot analysis with the anti-P-gp antibody C219. GAPDH control was used to calibrate loading. Figure 8D depicts that tiopronin significantly down-regulates the amount of MRPl in MCF7/VP-16 cells. Cells were treated with OmM (lane 1), 0.1 mM (lane 2), lmM (lane 3) or lOmM (lane 4) tiopronin for 72 hours prior to harvesting, western blotting and analysis of the ABCCl/MRPl protein levels with the primary antibody QCRL and a loading control anti-GAPDH antibody.
[0016] Figure 9 depicts the long term culture and selection of KB-V1 cells with tiopronin leads to the partial reversal of the MDR phenotype and consequent resensitization of the cells to chemotherapeutics. Dose response curves of KB-V1 cells cultured either in the absence (line with triangles) or presence (line with filled squares) 5 mM tiopronin for 6 weeks prior to the cell viability assay with the chemotherapeutics; see Figure 9A for doxorubicin, Figure 9B for taxol, and Figure 9C for cisplatin. The IC50 values for each drug are shown below each graph.
DETAILED DESCRIPTION OF THE INVENTION
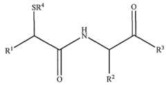
[0017] In accordance with an embodiment, the invention provides a compound of the formula (I):
Figure imgf000005_0001
wherein R1 is hydrogen, Ci-C6 alkyl, C2-C6 alkenyl, C2-C6 alkynyl, C3-C8 cycloalkyl, C3-C cycloalkenyl, C6-C20 aryl Ci-C6 alkyl, C6-C20 aryl, heterocyclyl, or heterocyclyl alkyl;
R2 is hydrogen, C C6 alkyl, C2-C6 alkenyl, C2-C6 alkynyl, C3-C8 cycloalkyl, C3-C8 cycloalkenyl, C6-C2o aryl Ci-C6 alkyl, C6-C20 aryl, heterocyclyl, heterocyclyl alkyl, or an amino acid fragment wherein the amino acid can be a natural or synthetic amino acid;
R3 is OR wherein R is hydrogen or Ci-C6 alkyl, C2-C6 alkenyl, C2-C6 alkynyl, C3-C8 cycloalkyl, C3-C8 cycloalkenyl, or C6-C20 aryl, or R3 is a fragment of an amino acid or of a polyamino acid wherein the amino acid can be a natural or synthetic amino acid; and
R4 is H or a moiety of the formula (II):
Figure imgf000006_0001
wherein each of R - R are optionally substituted with one or more substituents selected from the group consisting of halo, hydroxy, carboxy, phosphoryl, phosphonyl, phosphono Ci-C6 alkyl, carboxy Ci-C6 alkyl, dicarboxy Ci-C6 alkyl, dicarboxy halo CrC6 alkyl, sulfonyl, cyano, nitro, alkoxy, alkylthio, acyl, acyloxy, thioacyl, acylthio, aryloxy, amino, alkylamino, dialkylamino, trialkylamino, guanidine, aldehydo, ureido, aminocarbonyl, a cationic group, an anionic group, SR5, S(0)R5, S02R5, S02NR5R6, S02N(OH)R5, CR5=NR6, CR5=N(OR6), N3, NR5R6, N(OH)R5, C(0)R5, C(S)R5, C02R5, C(0)SR5, C(0)NR5R6, C(S)NR5R6,
C(0)N(OH)R5, C(S)N(OH)R5, NR5C(0)R6, NR5C(S)R6, N(OH)C(0)R5, N(OH)C(S)R5, NR5C02R6, N(OH)C02R5, NR5C(0)SR6, NR5C(0)NR6R7, NR5C(S)NR6R7,
N(OH)C(0)NR5R6, N(OH)C(S)NR5R6, NR5R6, N+R5R6R7, NR5C(0)N(OH)R6,
NR5C(S)N(OH)R6, NR5S02R6, NHS02NR5R6, NR5S02NHR6, and P(0)(OR5)(OR6); wherein R5-R7 are independently hydrogen, d-C6 alkyl, C2-C6 alkenyl, C2-C6 alkynyl, C3-C cycloalkyl, C3-C8 cycloalkenyl, C6-C20 aryl Q-Q alkyl, C -C20 aryl, heterocyclyl, or heterocyclyl alkyl; a diastereoisomer thereof; or pharmaceutically acceptable salt thereof;
with the proviso that when R is hydrogen, Ci-C6 alkyl, or C6-C2o aryl Ci-C6 alkyl, R is not OR where R is hydrogen.
[0018] The invention further provides a pharmaceutical composition comprising a compound described above, a diastereoisomer thereof, or a pharmaceutically acceptable salt thereof, and a pharmaceutically acceptable carrier.
[0019] The invention further provides a method for treating a diseased cell, which is a cancer cell or a multidrug resistant cell, for example, a multidrug resistant cancer cell, a bacterial multidrug resistant Staphylococcus aureus (MRSA) cell, tuberculosis cell, fungal infection cell, or MDR malaria cell, comprising administering to the cell an effective amount of a compound of the formula (I):
Figure imgf000007_0001
wherein R1 is hydrogen, C]-C6 alkyl, C2-C6 alkenyl, C2-C6 alkynyl, C3-C8 cycloalkyl, C3-C8 cycloalkenyl, C6-C20 aryl Ci-C6 alkyl, C6-C0 aryl, heterocyclyl, or heterocyclyl alkyl;
R is hydrogen, Ci-C6 alkyl, C2-C6 alkenyl, C2-C6 alkynyl, C3-C8 cycloalkyl, C3-C8 cycloalkenyl, C6-C20 aryl Ci-C6 alkyl, C6-C20 aryl, heterocyclyl, heterocyclyl alkyl, or an amino acid fragment wherein the amino acid can be a natural or synthetic amino acid;
R3 is OR wherein R is hydrogen or C[-C6 alkyl, C2-C6 alkenyl, C2-C6 alkynyl, C3-C8 cycloalkyl, C3-C8 cycloalkenyl, or C6-C20 aryl, or R3 is a fragment of an amino acid or of a polyamino acid wherein the amino acid can be a natural or synthetic amino acid; and
R4 is H or a moiety of the formula (II):
Figure imgf000007_0002
wherein each of R1- R3 are optionally substituted with one or more substituents selected from the group consisting of halo, hydroxy, carboxy, phosphoryl, phosphonyl, phosphono Ci-C6 alkyl, carboxy Ci-C6 alkyl, dicarboxy Q-C6 alkyl, dicarboxy halo Ci-C6 alkyl, sulfonyl, cyano, nitro, alkoxy, alkylthio, acyl, acyloxy, thioacyl, acylthio, aryloxy, amino, alkylamino, dialkylamino, trialkylamino, guanidine, aldehydo, ureido, aminocarbonyl, a cationic group, an anionic group, SR5, S(0)R5, S02R5, S02NR5R6, S02N(OH)R5, CR5=NR6, CR5=N(OR6), N3, NR5R6, N(OH)R5, C(0)R5, C(S)R5, C02R5, C(0)SR5, C(0)NR5R6, C(S)NR5R6,
C(0)N(OH)R5, C(S)N(OH)R5, NR5C(0)R6, NR5C(S)R6, N(OH)C(0)R5, N(OH)C(S)R5, NR5C02R6, N(OH)C02R5, NR5C(0)SR6, NR5C(0)NR6R7, NR5C(S)NR6R7,
N(OH)C(0)NR5R6, N(OH)C(S)NR5R6, NR5R6, N+R5R6R7, NR5C(0)N(OH)R6,
NR5C(S)N(OH)R6, NR5S02R6, NHS02NR5R6, NR5S02NHR6, and P(0)(OR5)(OR6); wherein R5-R7 are independently hydrogen, Ci-C6 alkyl, C2-C6 alkenyl, C2-C6 alkynyl, C3-C8 cycloalkyl, C3-C8 cycloalkenyl, C6-C2o aryl Ci-C6 alkyl, C6-C20 aryl, heterocyclyl, or heterocyclyl alkyl; a diastereoisomer thereof, or pharmaceutically acceptable salt thereof.
[0020] In an embodiment, the invention provides a compound of the formula (I):
Figure imgf000008_0001
wherein R! is hydrogen, C[-C6 alkyl, C2-C6 alkenyl, C2-C6 alkynyl, C3-C8 cycloalkyl, C3-C8 cycloalkenyl, C6-C20 aryl Ci-C6 alkyl, C6-C2o aryl, heterocyclyl, or heterocyclyl alkyl;
R2 is hydrogen, Q-C6 alkyl, C2-C6 alkenyl, C2-C6 alkynyl, C3-C8 cycloalkyl, C3-C8 cycloalkenyl, C6-C2o aryl C[-C6 alkyl, C6-C2o aryl, heterocyclyl, heterocyclyl alkyl, or an amino acid fragment wherein the amino acid can be a natural or synthetic amino acid;
R3 is OR wherein R is hydrogen or Ci-C6 alkyl, C2-C6 alkenyl, C2-C6 alkynyl, C3-C8 cycloalkyl, C3-C8 cycloalkenyl, or C6-C20 aryl, or R is a fragment of an amino acid or of a polyamino acid wherein the amino acid can be a natural or synthetic amino acid; and
R4 is H or a moiety of the formula (II):
Figure imgf000008_0002
wherein each of R1- R3 are optionally substituted with one or more substituents selected from the group consisting of halo, hydroxy, carboxy, phosphoryl, phosphonyl, phosphono Ci-C6 alkyl, carboxy Ci-C6 alkyl, dicarboxy Cj-C6 alkyl, dicarboxy halo C]-C6 alkyl, sulfonyl, cyano, nitro, alkoxy, alkylthio, acyl, acyloxy, thioacyl, acylthio, aryloxy, amino, alkylamino, dialkylamino, trialkylamino, guanidine, aldehydo, ureido, aminocarbonyl, a cationic group, an anionic group, SR5, S(0)R5, S02R5, S02NR5R6, S02N(OH)R5, CR5=NR6, CR5=N(OR6), N3, NR5R6, N(OH)R5, C(0)R5, C(S)R5, C02R5, C(0)SR5, C(0)NR5R6, C(S)NR5R6,
C(0)N(OH)R5, C(S)N(OH)R5, NR5C(0)R6, NR5C(S)R6, N(OH)C(0)R5, N(OH)C(S)R5, NR5C02R6, N(OH)C02R5, NR5C(0)SR6, NR5C(0)NR6R7, NR5C(S)NR6R7,
N(OH)C(0)NR5R6, N(OH)C(S)NR5R6, NR5R6, N+R5R6R7, NR5C(0)N(OH)R6,
NR5C(S)N(OH)R6, NR5S02R6, NHS02NR5R6, NR5S02NHR6, and P(0)(OR5)(OR6); wherein are independently hydrogen, Ci-C6 alkyl, C2-C6 alkenyl, C2-C6 alkynyl, C3-C8 cycloalkyl, C3-C8 cycloalkenyl, C6-C20 aryl Ci-C6 alkyl, C -C20 aryl, heterocyclyl, or heterocyclyl alkyl; a diastereoisomer thereof; or pharmaceutically acceptable salt thereof; for use in treating a diseased cell, which is a cancer cell or a cell carrying bacterial multidrug resistant Staphylococcus aureus (MRSA), tuberculosis, fungal infection, or MDR malaria.
[0021] In another embodiment, the invention provides a compound of the formula (I):
Figure imgf000009_0001
wherein R1 is hydrogen, Cj-C6 alkyl, C2-C6 alkenyl, C2-C6 alkynyl, C3-C8 cycloalkyl, C3-C8 cycloalkenyl, C6-C2o aryl Q-C6 alkyl, C6-C20 aryl, heterocyclyl, or heterocyclyl alkyl;
R2 is hydrogen, Ci-C6 alkyl, C2-C6 alkenyl, C2-C6 alkynyl, C3-C8 cycloalkyl, C3-C8 cycloalkenyl, C6-C20 aryl Ci-C6 alkyl, C6-C20 aryl, heterocyclyl, heterocyclyl alkyl, or an amino acid fragment wherein the amino acid can be a natural or synthetic amino acid;
R3 is OR wherein R is hydrogen or Ci-C6 alkyl, C2-C6 alkenyl, C2-C6 alkynyl, C3-C8 cycloalkyl, C3-C8 cycloalkenyl, or C6-C2o aryl, or R is a fragment of an amino acid or of a polyamino acid wherein the amino acid can be a natural or synthetic amino acid; and R4 is H or a moiety of the formula (II):
Figure imgf000010_0001
wherein each of R1- R3 are optionally substituted with one or more substituents selected from the group consisting of halo, hydroxy, carboxy, phosphoryl, phosphonyl, phosphono C]-C6 alkyl, carboxy Ci-C6 alkyl, dicarboxy Ci-C6 alkyl, dicarboxy halo Ci-C6 alkyl, sulfonyl, cyano, nitro, alkoxy, alkylthio, acyl, acyloxy, thioacyl, acylthio, aryloxy, amino, alkylamino, dialkylamino, trialkylamino, guanidine, aldehydo, ureido, aminocarbonyl, a cationic group, an anionic group, SR5, S(0)R5, S02R5, S02NR5R6, S02N(OH)R5, CR5=NR6, CR5=N(OR6), N3, NR5R6, N(OH)R5, C(0)R5, C(S)R5, C02R5, C(0)SR5, C(0)NR5R6, C(S)NR5R6,
C(0)N(OH)R5, C(S)N(OH)R5, NR5C(0)R6, NR5C(S)R6, N(OH)C(0)R5, N(OH)C(S)R5, NR5C02R6, N(OH)C02R5, NR5C(0)SR6, NR5C(0)NR6R7, NR5C(S)NR6R7,
N(OH)C(0)NR5R6, N(OH)C(S)NR5R6, NR5R6, N+R5R6R7, NR5C(0)N(OH)R6,
NR5C(S)N(OH)R6, NR5S02R6, NHS02NR5R6, NR5S02NHR6, and P(0)(OR5)(OR6); wherein R5-R7 are independently hydrogen, Ci-C6 alkyl, C2-C6 alkenyl, C2-C6 alkynyl, C3-C8 cycloalkyl, C3-C8 cycloalkenyl, C6-C2o aryl Q-Q alkyl, C6-C20 aryl, heterocyclyl, or heterocyclyl alkyl; a diastereoisomer thereof; or pharmaceutically acceptable salt thereof; for use in enhancing the chemotherapeutic treatment of a chemotherapeutic agent in an animal in conjunction with the use of the chemotherapeutic agent.
[0022] In embodiments of the invention, the compounds of the invention are
contemplated for use in a method of reducing the resistance of a cancer cell or other diseased cell to a chemotherapeutic agent by reducing the amount or activity of an ABC-family mRNA and/or protein in the cell.
[0023] In accordance with the invention, the cancer comprises multidrug resistant (MDR) cells, particularly wherein the multidrug resistance of the MDR cancer cells is mediated by one or more ATP -binding cassette (ABC) family proteins. The ABC transporters are a large group of membrane proteins found virtually in all species. They are capable of transporting a variety of compounds which include peptides, lipids, and anti-cancer agents. The common feature among them is their ability to transport substrates against a concentration gradient utilizing energy from ATP hydrolysis. The human genome has 48 ABC genes which are further characterized into seven distinct subfamilies, ABCA to ABCG, based on sequence homology and domain organization. Three members of the ABC transporter family, P- glycoprotein (Pgp, also known as ABCBl), multidrug resistance-associated protein 1 (MRPl, also known as ABCC1), and breast cancer resistance protein (BRCP, also known as ABCG2) have been associated with multidrug resistance in cancer cells.
[0024] P-glycoprotein is over-expressed in certain chemotherapy resistant tumors and is upregulated during disease progression following chemotherapy in other malignancies.
MRPl, another ABC family transporter, confers a multidrug resistance phenotype that includes many natural product drugs, but is distinct from the resistance phenotype that includes many natural product drugs, but is distinct from the resistance phenotype associated with P-gp. In addition to P-gp (ABCBl) and MRPl (ABCC1), there may be other transporters that are involved in cytotoxic drug resistance. In the case of natural product drugs, resistant cell lines have been described that display a multidrug resistant phenotype associated with a drug accumulation deficit, but do not overexpress P-gp or MR l .
[0025] In accordance with an embodiment of the invention, reducing the amount or activity of an ABC-family mRNA and/or protein can include reducing the amount or activity of the ABCBl mRNA and/or protein or the ABCC1 mRNA and/or protein in the cells, wherein the cells over-express the ABCBl mRNA and/or protein or the ABCC1 mRNA and/or protein. In another embodiment, the compounds of the invention are contemplated for use in a method comprising reducing the amount or activity of glutathione in a cell. In a further embodiment, the compounds of the invention are contemplated for use in a method comprising down regulating the mRNA of Bcl2 protein in a cell. In accordance with a further embodiment, the invention provides a method of down regulating the mRNA of Bcl2 protein in a cancer cell with cancer comprising administering to the cell an effective amount of a compound of formula (I).
[0026] Bcl-2 protein is known to inhibit apoptotic cell death. Bcl-2 protein serves as a check on apoptosis allowing healthy and useful cells to survive. Anti-apoptotic molecules, such as Bcl-2 are often over-expressed in cancer cells and their inhibition can lead to selective killing of tumor cells via induction of apoptosis. Bcl-2 overexpression and/or activation has been correlated with resistance to chemotherapy, to radiotherapy and to development of hormone-resistant tumors. Inhibition of apoptosis by BcI-2 contributes to cancer by inhibiting cell death. Thus, inhibiting the mRNA activity in cancer cells can reduce chemotherapeutic resistance and increase the killing of cancer cells. The mRNA
corresponding to Bcl-2 can be quantitated by known techniques such as Northern blots, ribonuclease protection, or quantitative RT-PCR.
[0027] In the above embodiments the mRNA of the ABC-family, e.g., ABCB1 or ABCCl, can be measured by methods known to those skilled in the art, for example, methods involving obtaining cancer cells undergoing treatment, extraction of the mRNA, PCR amplification, nucleic acid fragmentation and labeling, extension reactions and transcription reactions.
[0028] Methods of isolating total mRNA are well known to those of skill in the art; see, for example, US 2010/0105088 Al . The nucleic acid can be isolated from a given sample using, for example, an acid guanidinium-phenol-chloroform extraction method and poly A+ and mRNA can be isolated by hybridization methods using a poly(dT) matrix, which binds the polyadenylated 3 '-end of mRNA species for example by oligo dT column
chromatography or by using (dT)n magnetic beads (see, e.g., Sambrook et al., Molecular Cloning: A Laboratory Manual (2nd ed.), Vols. 1-3, Cold Spring Harbor Laboratory, (1989), or Current Protocols in Molecular Biology, F. Ausubel et al., ed. Greene Publishing and Wiley-Interscience, New York (1987)). The bound mRNAs can be washed and eluted from the matrix, and optionally precipitated.
[0029] The sample may be obtained from the cancer tissue and/or fluids. Before analyzing the sample, e.g., on an oligonucleotide array, it will often be desirable to perform one or more sample preparation operations upon the sample. Typically, these sample preparation operations will include such manipulations as extraction of intracellular material,
[0030] Following the isolation and purification, a variety of methods can be employed to quantify the particular mRNA, for example, Northern blots, ribonuclease protection, and quantitative RT-PCR. Sambrook et al., supra. The amount of a protein can be measured by techniques known in the art, for example, by separating the protein of interest and measuring its amount. The separation of the protein of interest can be carried out by employing the Western blot technique wherein after the mixture of protein is electrophoresced through an SDS gel, the separated bands are transferred (or blotted) from the gel onto a porous membrane. The membrane is then flooded with a solution of an antibody specific to the protein of interest. Only the band containing the protein binds to the antibody, forming a layer of antibody molecules. The membrane is then washed to remove unbound antibody. The membrane is then incubated with a second antibody (linked to a reporter enzyme) that binds to the bound first antibody. The membrane is then treated with a in substrate for the protein bound to the first antibody which itself is bound to the second antibody. The protein of interest is marked by a strong color.
[0031] In accordance with a further embodiment, the invention provides a method of reducing the amount or activity of glutathione. Cancer cells and normal cells respond differently to nutrients and drugs that affect glutathione levels in the cells. Studies have shown that tumor cells have elevated levels of glutathione, which confers resistance to
chemotherapeutic agents. In an embodiment, the present invention attempts to reduce the amount or activity of glutathione in cancer cells so as to make them susceptible to
chemotherapeutic agents while the normal cells remain relatively unaffected. Glutathione plays significant role in pathways that promote programmed cell death (apoptosis) in cancer cells. For example, it plays a critical role in cellular mechanisms that result in cell death, for example, cancer cells resistant to apoptosis had higher intracellular glutathione levels.
[0032] In accordance with the invention, "transporter" or "transport protein" refers to a protein that acts to remove chemotherapeutic substances from cells. Examples of transport proteins include, without limitation, P-glycoprotein, the protein product of the MDR1 gene. Expression of such transport proteins confers resistance to numerous chemotherapeutic agents and sometimes entire classes of chemo therapeutics, including Vinca alkaloids, anthracyclines, epipodophyllotoxins, actinomycin D and taxanes.
[0033] In accordance with another embodiment, the invention provides a method of enhancing the chemotherapeutic treatment of a chemotherapeutic agent in an animal comprising administering to the animal an effective amount of a compound of the formula (I):
Figure imgf000013_0001
wherein R1 is hydrogen, Ci-C6 alkyl, C2-C6 alkenyl, C2-C6 alkynyl, C3-C8 cycloalkyl, C3-C8 cycloalkenyl, C6-C20 aryl C!-C6 alkyl, C6-C20 aryl, heterocyclyl, or heterocyclyl alkyl;
R2 is hydrogen, Q-C6 alkyl, C2-C6 alkenyl, C2-C6 alkynyl, C3-C8 cycloalkyl, C3-Cg cycloalkenyl, C6-C20 aryl Cj-C alkyl, C6-C20 aryl, heterocyclyl, heterocyclyl alkyl, or an amino acid fragment wherein the amino acid can be a natural or synthetic amino acid;
R3 is OR wherein R is hydrogen or Q-Q alkyl, C2-C6 alkenyl, C2-C6 alkynyl, C3-C8 cycloalkyl, C3-C8 cycloalkenyl, or C6-C20 aryl, or R is a fragment of an amino acid or of a polyamino acid wherein the amino acid can be a natural or synthetic amino acid; and
R4 is H or a moiety of the formula (II):
Figure imgf000014_0001
wherein each of R - R are optionally substituted with one or more substituents selected from the group consisting of halo, hydroxy, carboxy, phosphoryl, phosphonyl, phosphono Ci-C6 alkyl, carboxy Ci-C6 alkyl, dicarboxy Ci-C6 alkyl, dicarboxy halo Ci-C6 alkyl, sulfonyl, cyano, nitro, alkoxy, alkylthio, acyl, acyloxy, thioacyl, acylthio, aryloxy, amino, alkylamino, dialkylamino, trialkylamino, guanidine, aldehydo, ureido, aminocarbonyl, a cationic group, an anionic group, SR5, S(0)R5, S02R5, S02NR5R6, S02N(OH)R5, CR5=NR6, CR5=N(OR6), N3, NR5R6, N(OH)R5, C(0)R5, C(S)R5, C02R5, C(0)SR5, C(0)NR5R6, C(S)NR5R6,
C(0)N(OH)R5, C(S)N(OH)R5, NR5C(0)R6, NR5C(S)R6, N(OH)C(0)R5, N(OH)C(S)R5, NR5C02R6, N(OH)C02R5, NR5C(0)SR6, NR5C(0)NR6R7, NR5C(S)NR6R7,
N(OH)C(0)NR5R6, N(OH)C(S)NR5R6, NR5R6, N+R5R6R7, NR5C(0)N(OH)R6,
NR5C(S)N(OH)R6, NR5S02R6, NHS02NR5R6, NR5S02NHR6, and P(0)(OR5)(OR6); wherein R5-R7 are independently hydrogen, C C6 alkyl, C2-C6 alkenyl, C2-C6 alkynyl, C3-C8 cycloalkyl, C3-C8 cycloalkenyl, C6-C20 aryl Q-Q alkyl, C6-C20 aryl, heterocyclyl, or heterocyclyl alkyl; a diastereoisomer thereof or a pharmaceutically acceptable salt thereof, in conjunction with the administration of the chemotherapeutic agent. [0034] In accordance with an embodiment, the above method comprises administering the chemotherapeutic agent before, after, or simultaneously with the administration of the compound of formula (I), a diastereoisomer thereof, or pharmaceutically acceptable salt thereof. In another embodiment, the method comprises administering the chemotherapeutic agent and the compound of formula (I), a diastereoisomer thereof, or a pharmaceutically acceptable salt thereof , cyclically.
[0035] In accordance with the above embodiment, the compound of formula (I), a stereoisomer or a pharmaceutically acceptable salt thereof is co-administered with a
chemotherapeutic agent. The term "enhancing" refers to increasing the efficacy of the chemotherapeutic treatment, i.e., the combination treatment provides a greater efficacy than treatment with the chemotherapeutic agent alone. The increase in efficacy can be any measurable increase, for example, 10%, 20%, 30%, 40%, 50%, 60%, 70%, 80%, 90%, or more.
[0036] In accordance with an embodiment, the chemotherapeutic agent is a compound or its pharmaceutically acceptable salt selected from the group consisting of adriamycin, anastrozole, arsenic trioxide, arsenite, asparaginase, azacytidine, BCG Live, bevacizumab, bexarotene capsules, bexarotene gel, bisantrene, bleomycin, bortezombi, busulfan
intravenous, busulfan oral, calusterone, campothecin, capecitabine, carboplatin, carmustine, carmustine with polifeprosan 20 implant, celecoxib, cetuximab, chlorambucil, cisplatin, cladribine, clofarabine, colchicines, cyclophosphamide, cytarabine, Cytoxan, cytarabine liposomal, dacarbazine, dactinomycin, actinomycin D, dalteparin sodium, darbepoetin alfa, dasatinib, daunorubicin liposomal, daunorubicin, daunomycin, decitabine, denileukin, denileukin diftitox, dexrazoxane, dexrazoxane, docetaxel, doxorubicin, doxorubicin liposomal, dolastatin 15, dromostanolone propionate, dihydropyridines, eculizumab, Elliott's B Solution, the epothilones, epirubicin, epirubicin HC1, epoetin alfa, erlotinib, estramustine, etoposide phosphate, etoposide VP- 16, exemestane, flavopyridol, fentanyl citrate, filgrastim, floxuridine (intraarterial), fludarabine, fluorouracil 5-FU, fluovinblastine, fulvestrant, 5- fluoro-5'-deoxyuridine, SFTI-1 , gefitinib, gemcitabine, gemcitabine HC1, geldanamycin, gemtuzumab ozogamicin, goserelin acetate, goserelin acetate, histrelin acetate, hydroxyurea, irinotecanetoposide, ibritumomab tiuxetan, idarubicin, ifosfamide, imatinib, imatinib mesylate, interferon alpha-2a, interferon alpha-2b, irinotecan, lapatinib ditosylate, lenalidomide, letrozole, leucovorin, leuprolide acetate, levamisole, lomustine CCNU, meclorethamine, nitrogen mustard, megestrol acetate, melphalan L-PAM, mercaptopurine 6- MP, mesna, methotrexate, methoxsalen, mitomycins, mitomycin C, mitotane, mitoxantrone, mitoantrone, medroxyprogesterone, mifepristone, nandrolone phenpropionate, nelarabine, nofetumomab, nocodazole podophyllotoxin, oprelvekin, oxaliplatin, paclitaxel, paclitaxel protein-bound particles, palifermin, pamidronate, panitumumab, pegademase, pegaspargase, pegfilgrastim, peginterferon alpha-2b, pemetrexed disodium, pentostatin, pipobroman, plicamycin, PMEA, mithramycin, prazosin, porfimer sodium, procarbazine, quinacrine, rasburicase, rituximab, rhizoxin, sargramostim, sorafenib, SN-38, streptozocin, sunitinib, sunitinib maleate, tamoxifen, temozolomide, teniposide VM-26, testolactone, thalidomide, 6- thiopurine, thioguanine 6-TG, thiotepa, topotecan, topotecan HC1, toremifene, tositumomab, tositumomab/I-131 tositumomab, trastuzumab, tretinoin ATRA, uracil mustard, valrubicin, vinblastine, vincristine, vindestine, vinorelbine, vorinostat, zoledronate, zoledronic acid, raloxifene, 5-azacytidine, 5-aza-2'-deoxycytidine, zebularine, 4-hydroxytamoxifen, apigenin, rapamycin, angiostatin Kl-3, L-asparaginase, staurosporine, genistein, fumagilin, endostatin, isophosphoramide mustard, thalidomide, and nilotinib, or a pharmaceutically salt and mixtures thereof.
[0037] Referring now to terminology used generically herein, the term "alkyl" means a straight-chain or branched alkyl substituent containing from, for example, 1 to about 6 carbon atoms, preferably from 1 to about 4 carbon atoms, more preferably from 1 to 2 carbon atoms. Examples of such substituents include methyl, ethyl, propyl, isopropyl, rc-butyl, sec-butyl, isobutyl, fert-butyl, pentyl, isoamyl, hexyl, and the like.
[0038] The term "alkylene," as used herein, means a straight-chain or branched alkyl substituent containing from, for example, 1 to about 6 carbon atoms, preferably from 1 to about 4 carbon atoms, and is connected to two or more substituents at two or more different positions on the alkylene group.
[0039] The term "alkenyl," as used herein, means a linear alkenyl substituent containing at least one carbon-carbon double bond and from, for example, about 2 to about 6 carbon atoms (branched alkenyls are about 3 to about 6 carbons atoms), preferably from about 2 to about 5 carbon atoms (branched alkenyls are preferably from about 3 to about 5 carbon atoms), more preferably from about 3 to about 4 carbon atoms. Examples of such
substituents include vinyl, propenyl, isopropenyl, n-butenyl, sec-butenyl, isobutenyl, tert- butenyl, pentenyl, isopentenyl, hexenyl, and the like. [0040] The term "alkenylene," as used herein, means a straight-chain or branched alkenyl substituent containing from, for example, 2 to about 6 carbon atoms, preferably from 2 to about 4 carbon atoms, and is connected to two or more substituents at two or more different positions on the alkenylene group.
[0041] The term "alkynyl," as used herein, means a linear alkynyl substituent containing at least one carbon-carbon triple bond and from, for example, 2 to about 6 carbon atoms (branched alkynyls are about 3 to about 6 carbons atoms), preferably from 2 to about 5 carbon atoms (branched alkynyls are preferably from about 3 to about 5 carbon atoms), more preferably from about 3 to about 4 carbon atoms. Examples of such substituents include ethynyl, propynyl, isopropynyl, rc-butynyl, sec-butynyl, isobutynyl, tert-butynyl, pentynyl, isopentynyl, hexynyl, and the like.
[0042] The term "alkynylene," as used herein, means a straight-chain or branched alkynyl substituent containing from, for example, 2 to about 6 carbon atoms, preferably from 2 to about 4 carbon atoms, and is connected to two or more substituents at two or more different positions on the alkynylene group.
[0043] The term "cycloalkyl," as used herein, means a cyclic alkyl substituent containing from, for example, about 3 to about 8 carbon atoms, preferably from about 4 to about 7 carbon atoms, and more preferably from about 4 to about 6 carbon atoms. Examples of such substituents include cyclopropyl, cyclobutyl, cyclopentyl, cyclohexyl, cycloheptyl, cyclooctyl, and the like. The term "cycloalkenyl," as used herein, means the same as the term "cycloalkyl," however one or more double bonds are present. Examples of such substituents include cyclopentenyl and cyclohexenyl. The cyclic alkyl groups may be unsubstituted or further substituted with alkyl groups such as methyl groups, ethyl groups, and the like.
[0044] The term "heterocyclyl," as used herein, refers to a monocyclic or bicyclic 5- or 6-membered ring system containing one or more heteroatoms selected from the group consisting of O, N, S, and combinations thereof. The heterocyclyl group can be any suitable heterocyclyl group and can be an aliphatic heterocyclyl group, an aromatic heterocyclyl group, or a combination thereof. The heterocyclyl group can be a monocyclic heterocyclyl group or a bicyclic heterocyclyl group. Suitable bicyclic heterocyclyl groups include monocylic heterocyclyl rings fused to a C6-Cio aryl ring. When the heterocyclyl group is a bicyclic heterocyclyl group, both ring systems can be aliphatic or aromatic, or one ring system can be aromatic and the other ring system can be aliphatic as in, for example, dihydrobenzofuran. Preferably, the heterocyclyl group is an aromatic heterocyclyl group. Non-limiting examples of suitable heterocyclyl groups include furanyl, thiopheneyl, pyrrolyl, pyrazolyl, imidazolyl, 1 ,2,3-triazolyl, 1 ,2,4-triazolyl, isoxazolyl, oxazolyl, isothiazolyl, thiazolyl, pyridinyl, pyrimidinyl, pyrazinyl, triazinyl, benzofuranyl, benzothiopheneyl, indolyl, quinolinyl, isoquinolinyl, benzimidazolyl, benzoxazolinyl, benzothiazolinyl, and quinazolinyl. The heterocyclyl group is optionally substituted with 1, 2, 3, 4, or 5
substituents as recited herein, wherein the optional substituent can be present at any open position on the heterocyclyl group.
[0045] Whenever a range of the number of atoms in a structure is indicated (e.g., a
C1-C12, Ci-C8, CrC6, C 1-C4, or C2-Ci2, C2-C8, C2-C6, C2-C4 alkyl, alkenyl, alkynyl, etc.), it is specifically contemplated that any sub-range or individual number of carbon atoms falling within the indicated range also can be used. Thus, for instance, the recitation of a range of 1- 8 carbon atoms (e.g., Ci-C8), 1-6 carbon atoms (e.g., Ci-C6), 1-4 carbon atoms (e.g., C1-C4), 1-3 carbon atoms (e.g., Ci-C3), or 2-8 carbon atoms (e.g., C2-C8) as used with respect to any chemical group (e.g., alkyl, alkylamino, etc.) referenced herein encompasses and specifically describes 1 , 2, 3, 4, 5, 6, 7, 8, 9, 10, 11 , and/or 12 carbon atoms, as appropriate, as well as any sub-range thereof (e.g., 1-2 carbon atoms, 1-3 carbon atoms, 1-4 carbon atoms, 1-5 carbon atoms, 1-6 carbon atoms, 1-7 carbon atoms, 1-8 carbon atoms, 1-9 carbon atoms, 1-10 carbon atoms, 1-11 carbon atoms, 1-12 carbon atoms, 2-3 carbon atoms, 2-4 carbon atoms, 2-5 carbon atoms, 2-6 carbon atoms, 2-7 carbon atoms, 2-8 carbon atoms, 2-9 carbon atoms, 2-10 carbon atoms, 2-1 1 carbon atoms, 2-12 carbon atoms, 3-4 carbon atoms, 3-5 carbon atoms, 3- 6 carbon atoms, 3-7 carbon atoms, 3-8 carbon atoms, 3-9 carbon atoms, 3-10 carbon atoms, 3-1 1 carbon atoms, 3-12 carbon atoms, 4-5 carbon atoms, 4-6 carbon atoms, 4-7 carbon atoms, 4-8 carbon atoms, 4-9 carbon atoms, 4-10 carbon atoms, 4-11 carbon atoms, and/or 4- 12 carbon atoms, etc., as appropriate). Similarly, the recitation of a range of 6-10 carbon atoms (e.g., C6-Ci0) as used with respect to any chemical group (e.g., aryl) referenced herein encompasses and specifically describes 6, 7, 8, 9, and/or 10 carbon atoms, as appropriate, as well as any sub-range thereof (e.g., 6-10 carbon atoms, 6-9 carbon atoms, 6-8 carbon atoms, 6-7 carbon atoms, 7-10 carbon atoms, 7-9 carbon atoms, 7-8 carbon atoms, 8-10 carbon atoms, and/or 8-9 carbon atoms, etc., as appropriate).
[0046] The term "halo" or "halogen," as used herein, means a substituent selected from Group VIIA, such as, for example, fluorine, bromine, chlorine, and iodine. [0047] The term "aryl" refers to an unsubstituted or substituted aromatic carbocyclic substituent, as commonly understood in the art, and the term "C6-Ci0 aryl" includes phenyl and naphthyl. It is understood that the term aryl applies to cyclic substituents that are planar and comprise 4n+2 π electrons, according to Hiickel's Rule.
[0048] In any of the embodiments, in the compound of formula (I), R1 is Ci-C6 alkyl, particularly methyl.
[0049] In any of the embodiments, in the compound of formula (I), R2 is hydrogen.
[0050] In certain embodiments, in the compound of formula (I), R2 is Ci-C6 alkyl, C6-C20 aryl Ci-C6 alkyl, or heterocyclyl alkyl, optionally substituted with one or more substituents selected from the group consisting of halo, hydroxy, carboxy, cyano, nitro, alkoxy, alkylthio, SH, acyl, acyloxy, thioacyl, acylthio, aryloxy, amino, alkylamino, dialkylamino, trialkylamino, guanidine, aldehydo, ureido, aminocarbonyl, a cationic group, and an anionic group; or particularly R2 is CpC3 alkyl, Q-Cto aryl Ci-C6 alkyl, or heterocyclyl alkyl, optionally substituted with one or more substituents selected from the group consisting of halo, hydroxy, carboxy, cyano, nitro, alkoxy, alkylthio, SH, acyl, acyloxy, thioacyl, acylthio, aryloxy, amino, alkylamino, dialkylamino, trialkylamino, guanidine, aldehydo, ureido, aminocarbonyl, a cationic group, and an anionic group.
[0051] In a specific embodiment, in the compound of formula (I), R is methyl, benzyl, pyrrolyl, indolyl, or pyrrolidinyl, optionally substituted with one or more substituents selected from the group consisting of halo, hydroxy, carboxy, cyano, nitro, alkoxy, alkylthio, SH, acyl, acyloxy, thioacyl, acylthio, aryloxy, amino, alkylamino, dialkylamino, trialkylamino, guanidine, aldehydo, ureido, aminocarbonyl, a cationic group, and an anionic group.
[0052] In another specific embodiment, in the compound of formula (I), R is optionally substituted with one or more substituents selected from the group consisting of hydroxy, carboxy, alkoxy, alkylthio, SH, amino, alkylamino, dialkylamino, trialkylamino, guanidine, aminocarbonyl, a cationic group, and an anionic group, more specifically wherein R is substituted with one or more substituents selected from the group consisting of hydroxy, carboxy, alkoxy, alkylthio, SH, amino, alkylamino, dialkylamino, trialkylamino, guanidine, aminocarbonyl, a cationic group, and an anionic group.
[0053] In any of the embodiments above, in the compound of formula (I), R3 is hydrogen. Alternatively, in any of the embodiments above, in the compound of formula (I), R is Ci-C6 alkyl or C6-C20 aryl, particularly Q-C3 alkyl or C6-Cio aryl. [0054] In any of the embodiments above, in the compound of formula (I), R4 is H.
Alternatively, in any of the embodiments above, in the compound of formula (I), R4 is a moiety of formula (II).
[0055] In specific embodiments, in the compound of formula (I), R1 is methyl, R2 is hydrogen, methyl, isopropyl, benzyl, or hydroxymethyl; R3 and R4 are hydrogen.
[0056] In embodiments of the compounds of formula (I) where R3 is a fragment of amino acid or of a polyamino acid, the fragment can be the amino acid or polyamino acid linked to the C(=0) through its amine end or its carboxyl end. For example, the fragment of an amino acid such as alanine can be -NH-CH(CH3)C(=0)OH, the fragment of a dipeptide Gly-Gly can be -NH-CH2-C(=0)-NHCH2C(=0)OH, and the fragment of a tripeptide Gly-Gly-Ala can be -NH-CH2-C(=0)-NHCH2C(=0)NH-CH(CH3)C(=0)OH.
[0057] Any of the compounds of the invention can be in any stereochemical
conformation, i.e., R, S, or R/S form. Thus, all possible enantiomers are encompassed by the present invention. Any of the amino acid fragment can be in the natural form or synthetic form, i.e., D, L, or D/L form. Any of the compounds of the invention can be phosphorylated, sulfonated, or carboxylated. In embodiments, the compounds of the invention can exist in zwitterionic form.
[0058] The compounds of the invention include Tiopronin and analogs thereof, as set forth below:
Figure imgf000020_0001
Alanine analog
Figure imgf000021_0001
[0059] Examples of compounds of the invention wherein R4 is a moiety of formula
(II) are:
Figure imgf000022_0001
Chemical Formula: C14H24N206S2 Chemical Formula: C18H32 206S2 Molecular Weight: 380.48 Molecular Weight: 436.59
Figure imgf000022_0002
Chemical Formula: C26H32N206S2 Chemical Formula: C H24N208S2
Molecular Weight: 532.67 Molecular Weight: 412.48and
Figure imgf000022_0003
Chemical Formula: C12H20N2O6S2
Molecular Weight: 352.43
[0060] The compounds of the invention can be prepared as shown in Figure 1. Thus, commercially available thiolactic acid (1) was oxidized to disulfide 2 in 70% yield with iodine under microwave irradiation. The bisacid disulfide 2 was then coupled with a series of amino acid methyl ester hydrochlorides (3a-e) via chlorodimethoxytriazine (CDMT) activation of 2 to cleanly afford bisamide disulfides 4a-e in 77-95% yield. Disulfide reduction mediated by tributylphosphine (Bu3P) and methyl ester saponification with 2M sodium hydroxide (NaOH) of 4a-d were carried out in a one-pot operation to afford the target tiopronin analogs 5a-d in 42-85%) yield, while tributylphosphine mediated disulfide reduction of 4e afforded the methyl ester analog 5e of tiopronin in 85% yield.
[0061] The phrase "pharmaceutically acceptable salt" is intended to include nontoxic salts synthesized from the parent compound which contains a basic or acidic moiety by conventional chemical methods. Generally, such salts can be prepared by reacting the free acid or base forms of these compounds with a stoichiometric amount of the appropriate base or acid in water or in an organic solvent, or in a mixture of the two. Generally, nonaqueous media such as ether, ethyl acetate, ethanol, isopropanol, or acetonitrile are preferred. Lists of suitable salts are found in Remington 's Pharmaceutical Sciences, 18th ed., Mack Publishing Company, Easton, PA, 1990, p. 1445, and Journal of Pharmaceutical Science, 66, 2-19 (1977).
[0062] Suitable bases include inorganic bases such as alkali and alkaline earth metal bases, e.g., those containing metallic cations such as sodium, potassium, magnesium, calcium and the like. Non-limiting examples of suitable bases include sodium hydroxide, potassium hydroxide, sodium carbonate, and potassium carbonate. Suitable acids include inorganic acids such as hydrochloric acid, hydrobromic acid, hydriodic acid, sulfuric acid, phosphoric acid, and the like, and organic acids such as p-toluenesulfonic, methanesulfonic acid, ethane sulfonic acid, benzenesulfonic acid, oxalic acid, p-bromophenylsulfonic acid, carbonic acid, succinic acid, citric acid, benzoic acid, acetic acid, propionic acid, glycolic acid, glucaric acid, glucuronic acid, citric acid, gluconic acid, hydroxymaleic acid, fumaric acid, maleic acid, malic acid, 4-aminosalicylic acid, cinnamic acid, acetoxybenzoic acid, succinic acid, tartaric acid, ascorbic acid, fatty acids, long chain fatty acids, salicylic acid, alpha amino acids, 2-hydroxymethane sulfonic acid, ethane 1 ,2-disulfonic acid, naphthalene-2-sulfonic acid, 4-methylbenzene sulfonic acid, sulfo acids, phospho acids, embonic acid, nicotinic acid, N-substituted sulfamic acids. Preferred pharmaceutically acceptable salts of inventive compounds having an acidic moiety include sodium and potassium salts. Preferred pharmaceutically acceptable salts of inventive compounds having a basic moiety (e.g., a dimethylaminoalkyl group) include hydrochloride and hydrobromide salts. The compounds of the present invention containing an acidic or basic moiety are useful in the form of the free base or acid or in the form of a pharmaceutically acceptable salt thereof.
[0063] It should be recognized that the particular counterion forming a part of any salt of this invention is usually not of a critical nature, so long as the salt as a whole is
pharmacologically acceptable and as long as the counterion does not contribute undesired qualities to the salt as a whole.
[0064] It is further understood that the above compounds and salts may form solvates, or exist in a substantially uncomplexed form, such as the anhydrous form. As used herein, the term "solvate" refers to a molecular complex wherein the solvent molecule, such as the crystallizing solvent, is incorporated into the crystal lattice. When the solvent incorporated in the solvate is water, the molecular complex is called a hydrate. Pharmaceutically acceptable solvates include hydrates, alcoholates such as methanolates and ethanolates, acetonitrilates and the like. These compounds can also exist in polymorphic forms.
[0065] The term "cancer" is used throughout the specification to refer to the pathological process that results in the formation and growth of a cancerous or malignant neoplasm, i.e., abnormal tissue that grows by cellular proliferation, often more rapidly than normal and continues to grow after the stimuli that initiated the new growth cease. Malignant neoplasms show partial or complete lack of structural organization and functional coordination with the normal tissue and most invade surrounding tissues, metastasize to several sites, and are likely to recur after attempted removal and to cause the death of the patient unless adequately treated. As used herein, the term neoplasia is used to describe all cancerous disease states and embraces or encompasses the pathological process associated with malignant
hematogenous, ascetic and solid tumors.
[0066] In accordance with an embodiment, the compounds of the invention reduce the amount or activity of P-glycoprotein mRNA and/or the protein (ABCB1) or MRP1 mRNA and/or protein (ABCC1).
[0067] In accordance with an embodiment, the compounds of the invention are targeted for treating any suitable cancer, for example, wherein the cancer is selected from the group consisting of adrenocortical carcinoma, AIDS-related lymphoma, AIDS-related malignancies, anal cancer, cerebellar astrocytoma, extrahepatic bile duct cancer, bladder cancer,
osteosarcoma/malignant fibrous histiocytoma, brain stem glioma, ependymoma, visual pathway and hypothalamic gliomas, breast cancer, bronchial adenomas/carcinoids, carcinoid tumors, gastrointestinal carcinoid tumors, carcinoma, adrenocortical, islet cell carcinoma, leukemias, lymphomas, myelomas, primary central nervous system lymphoma, cerebellar astrocytoma, cervical cancer, chronic lymphocytic leukemia, chronic myelogenous leukemia, clear cell sarcoma of tendon sheaths, colon cancer, colorectal cancer, cutaneous T-cell lymphoma, endometrial cancer, ependymoma, esophageal cancer, Ewing's sarcoma/family of tumors, extracranial germ cell tumors, extragonadal germ cell tumors, extrahepatic bile duct cancer, eye cancers, including intraocular melanoma, and retinoblastoma, gallbladder cancer, gastrointestinal carcinoid tumor, ovarian germ cell tumor, gestational trophoblastic tumor, hairy cell leukemia, head and neck cancer, Hodgkin's disease, hypopharyngeal cancer, hypothalamic and visual pathway glioma, intraocular melanoma, Kaposi's sarcoma, laryngeal cancer, acute lymphoblastic leukemia, acute myeloid leukemia, liver cancer, non-small cell lung cancer, small cell lung cancer, non-Hodgkin's lymphoma, Waldenstrom's
macroglobulinemia, malignant mesothelioma, malignant thymoma, medulloblastoma, melanoma, intraocular melanoma, merkel cell carcinoma, metastatic squamous neck cancer with occult primary, multiple endocrine neoplasia syndrome, multiple myeloma/plasma cell neoplasm, mycosis fungoides, myelodysplastic syndrome, chronic myelogenous leukemia, myeloid leukemia, multiple myeloma, myeloproliferative disorders, nasal cavity and paranasal sinus cancer, nasopharyngeal cancer, neuroblastoma, oral cancer, oral cavity and lip cancer, oropharyngeal cancer, osteosarcoma/malignant fibrous histiocytoma of bone, ovarian cancer, ovarian low malignant potential tumor, pancreatic cancer, paranasal sinus and nasal cavity cancer, parathyroid cancer, penile cancer, pheochromocytoma, pituitary tumor, pleuropulmonary blastoma, prostate cancer, rectal cancer, renal cell (kidney) cancer, transitional cell cancer (e.g. renal pelvis and ureter), retinoblastoma, rhabdomyosarcoma, salivary gland cancer, malignant fibrous histiocytoma of bone, soft tissue sarcoma, sezary syndrome, skin cancer, small intestine cancer, stomach (gastric) cancer, supratentorial primitive neuroectodermal and pineal tumors, cutaneous T-cell lymphoma, testicular cancer, malignant thymoma, thyroid cancer, gestational trophoblastic tumor, urethral cancer, uterine sarcoma, vaginal cancer, vulvar cancer, and Wilms' tumor.
[0068] In accordance with an embodiment, the cancer which is being treated by the compounds of the invention are resistant to chemotherapeutic agents, for example, a chemotherapeutic agent selected from the group consisting of paclitaxel, docetaxel, colchicines, vincristine, vinblastine, fluovinblastine, imatinib, flavopiridol, irinotecan, SN-38, topotecan, 6-mercaptopurine, 6-thiopurine, 5-FU, bisantrene, cisplatin, arsenite, estramustine, methotrexate, mitoxantrone, PMEA, actinomycin-D, doxorubicin, daunorubicin, etoposide, prazosin, dihydropyridines , gefitinib, temozolomide, carboplatin, oxaliplatin, dolastatin 15, nocodazole podophyllotoxin, rhizoxin, vindesine, vinorelbine (navelbine), the epothilones, the mitomycins, bleomycin, chlorambucil, carmustine, melphalan, mitoantrone, 5-fluoro-5'- deoxyuridine, camptothecin, SFTI-1, irinotecanetoposide, tenoposide, geldanamycin, adriamycin, actinomycin D, medroxyprogesterone, mifepristone, raloxifene, 5-azacytidine, 5- aza-2'-deoxycytidine, zebularine, tamoxifen, 4-hydroxytamoxifen, apigenin, rapamycin, angiostatin Kl-3, L-asparaginase, staurosporine, genistein, fumagilin, endostatin,
isophosphoramide mustard, thalidomide, and nilotinib.
[0069] The present invention is further directed to a pharmaceutical composition comprising a pharmaceutically acceptable carrier and at least one compound or salt described herein.
[0070] It is preferred that the pharmaceutically acceptable carrier be one that is chemically inert to the active compounds and one that has no detrimental side effects or toxicity under the conditions of use.
[0071] The choice of carrier will be determined in part by the particular compound of the present invention chosen, as well as by the particular method used to administer the composition. Accordingly, there is a wide variety of suitable formulations of the
pharmaceutical composition of the present invention. The following formulations for oral, aerosol, nasal, pulmonary, parenteral, subcutaneous, intravenous, intramuscular,
intraperitoneal, intrathecal, intratumoral, topical, rectal, and vaginal administration are merely exemplary and are in no way limiting.
[0072] The pharmaceutical composition can be administered parenterally, e.g., intravenously, subcutaneously, intradermally, or intramuscularly. Thus, the invention provides compositions for parenteral administration that comprise a solution or suspension of the inventive compound or salt dissolved or suspended in an acceptable carrier suitable for parenteral administration, including aqueous and non-aqueous isotonic sterile injection solutions.
[0073] Overall, the requirements for effective pharmaceutical carriers for parenteral compositions are well known to those of ordinary skill in the art. See, e.g., Banker and Chalmers, eds., Pharmaceutics and Pharmacy Practice, J. B. Lippincott Company,
Philadelphia, pp. 238-250 (1982), and Toissel, ASHP Handbook on Injectable Drugs, 4th ed., pp. 622-630 (1986). Such solutions can contain anti-oxidants, buffers, bacteriostats, and solutes that render the formulation isotonic with the blood of the intended recipient, and aqueous and non-aqueous sterile suspensions that can include suspending agents, solubilizers, thickening agents, stabilizers, and preservatives. The compound or salt of the present invention may be administered in a physiologically acceptable diluent in a pharmaceutical carrier, such as a sterile liquid or mixture of liquids, including water, saline, aqueous dextrose and related sugar solutions, an alcohol, such as ethanol, isopropanol, or hexadecyl alcohol, glycols, such as propylene glycol or polyethylene glycol, dimethylsulfoxide, glycerol ketals, such as 2,2-dimethyl-l ,3-dioxolane-4-methanol, ethers, such as poly(ethyleneglycol) 400, an oil, a fatty acid, a fatty acid ester or glyceride, or an acetylated fatty acid glyceride with or without the addition of a pharmaceutically acceptable surfactant, such as a soap or a detergent, suspending agent, such as pectin, carbomers, methylcellulose,
hydroxypropylmethylcellulose, or carboxymethylcellulose, or emulsifying agents and other pharmaceutical adjuvants.
[0074] Oils useful in parenteral formulations include petroleum, animal, vegetable, or synthetic oils. Specific examples of oils useful in such formulations include peanut, soybean, sesame, cottonseed, corn, olive, petrolatum, and mineral. Suitable fatty acids for use in parenteral formulations include oleic acid, stearic acid, and isostearic acid. Ethyl oleate and isopropyl myristate are examples of suitable fatty acid esters.
[0075] Suitable soaps for use in parenteral formulations include fatty alkali metal, ammonium, and triethanolamine salts, and suitable detergents include (a) cationic detergents such as, for example, dimethyl dialkyl ammonium halides, and alkyl pyridinium halides, (b) anionic detergents such as, for example, alkyl, aryl, and olefin sulfonates, alkyl, olefin, ether, and monoglyceride sulfates, and sulfosuccinates, (c) nonionic detergents such as, for example, fatty amine oxides, fatty acid alkanolamides, and polyoxyethylenepolypropylene copolymers, (d) amphoteric detergents such as, for example, alkyl-beta-aminopropionates, and 2-alkyl-imidazoline quaternary ammonium salts, and (e) mixtures thereof.
[0076] The parenteral formulations can contain preservatives and buffers. In order to minimize or eliminate irritation at the site of injection, such compositions may contain one or more nonionic surfactants having a hydrophile-lipophile balance (HLB) of from about 12 to about 17. The quantity of surfactant in such formulations will typically range from about 5 to about 15% by weight. Suitable surfactants include polyethylene sorbitan fatty acid esters, such as sorbitan monooleate and the high molecular weight adducts of ethylene oxide with a hydrophobic base, formed by the condensation of propylene oxide with propylene glycol. The parenteral formulations can be presented in unit-dose or multi-dose sealed containers, such as ampoules and vials, and can be stored in a freeze-dried (lyophilized) condition requiring only the addition of the sterile liquid excipient, for example, water, for injections, immediately prior to use. Extemporaneous injection solutions and suspensions can be prepared from sterile powders, granules, and tablets of the kind previously described. [0077] Topical formulations, including those that are useful for transdermal drug release, are well-known to those of skill in the art and are suitable in the context of the invention for application to skin. Topically applied compositions are generally in the form of liquids, creams, pastes, lotions and gels. Topical administration includes application to the oral mucosa, which includes the oral cavity, oral epithelium, palate, gingival, and the nasal mucosa. In some embodiments, the composition contains at least one active component and a suitable vehicle or carrier. It may also contain other components, such as an anti-irritant. The carrier can be a liquid, solid or semi-solid. In embodiments, the composition is an aqueous solution. Alternatively, the composition can be a dispersion, emulsion, gel, lotion or cream vehicle for the various components. In one embodiment, the primary vehicle is water or a biocompatible solvent that is substantially neutral or that has been rendered substantially neutral. The liquid vehicle can include other materials, such as buffers, alcohols, glycerin, and mineral oils with various emulsifiers or dispersing agents as known in the art to obtain the desired pH, consistency and viscosity. It is possible that the compositions can be produced as solids, such as powders or granules. The solids can be applied directly or dissolved in water or a biocompatible solvent prior to use to form a solution that is substantially neutral or that has been rendered substantially neutral and that can then be applied to the target site. In embodiments of the invention, the vehicle for topical application to the skin can include water, buffered solutions, various alcohols, glycols such as glycerin, lipid materials such as fatty acids, mineral oils, phosphoglycerides, collagen, gelatin and silicone based materials.
[0078] Formulations suitable for oral administration can consist of (a) liquid solutions, such as a therapeutically effective amount of the inventive compound dissolved in diluents, such as water, saline, or orange juice, (b) capsules, sachets, tablets, lozenges, and troches, each containing a predetermined amount of the active ingredient, as solids or granules, (c) powders, (d) suspensions in an appropriate liquid, and (e) suitable emulsions. Liquid formulations may include diluents, such as water and alcohols, for example, ethanol, benzyl alcohol, and the polyethylene alcohols, either with or without the addition of a
pharmaceutically acceptable surfactant, suspending agent, or emulsifying agent. Capsule forms can be of the ordinary hard- or soft-shelled gelatin type containing, for example, surfactants, lubricants, and inert fillers, such as lactose, sucrose, calcium phosphate, and corn starch. Tablet forms can include one or more of lactose, sucrose, mannitol, corn starch, potato starch, alginic acid, microcrystalline cellulose, acacia, gelatin, guar gum, colloidal silicon dioxide, croscarmellose sodium, talc, magnesium stearate, calcium stearate, zinc stearate, stearic acid, and other excipients, colorants, diluents, buffering agents, disintegrating agents, moistening agents, preservatives, flavoring agents, and pharmacologically compatible excipients. Lozenge forms can comprise the active ingredient in a flavor, usually sucrose and acacia or tragacanth, as well as pastilles comprising the active ingredient in an inert base, such as gelatin and glycerin, or sucrose and acacia, emulsions, gels, and the like containing, in addition to the active ingredient, such excipients as are known in the art.
[0079] The compound or salt of the present invention, alone or in combination with other suitable components, can be made into aerosol formulations to be administered via inhalation. The compounds are preferably supplied in finely divided form along with a surfactant and propellant. Typical percentages of active compound are 0.01%-20% by weight, preferably 1%-10%. The surfactant must, of course, be nontoxic, and preferably soluble in the propellant. Representative of such surfactants are the esters or partial esters of fatty acids containing from 6 to 22 carbon atoms, such as caproic, octanoic, lauric, palmitic, stearic, linoleic, linolenic, olesteric and oleic acids with an aliphatic polyhydric alcohol or its cyclic anhydride. Mixed esters, such as mixed or natural glycerides may be employed. The surfactant may constitute 0.1%-20% by weight of the composition, preferably 0.25%-5%. The balance of the composition is ordinarily propellant. A carrier can also be included as desired, e.g., lecithin for intranasal delivery. These aerosol formulations can be placed into acceptable pressurized propellants, such as dichlorodifluoromethane, propane, nitrogen, and the like. They also may be formulated as pharmaceuticals for non-pressured preparations, such as in a nebulizer or an atomizer. Such spray formulations may be used to spray mucosa.
[0080] Additionally, the compound or salt of the present invention may be made into suppositories by mixing with a variety of bases, such as emulsifying bases or water-soluble bases. Formulations suitable for vaginal administration may be presented as pessaries, tampons, creams, gels, pastes, foams, or spray formulas containing, in addition to the active ingredient, such carriers as are known in the art to be appropriate.
[0081] It will be appreciated by one of ordinary skill in the art that, in addition to the aforedescribed pharmaceutical compositions, the compound or salt of the present invention may be formulated as inclusion complexes, such as cyclodextrin inclusion complexes, or liposomes. Liposomes serve to target the compounds to a particular tissue, such as lymphoid tissue or cancerous hepatic cells. Liposomes can also be used to increase the half-life of the inventive compound. Liposomes useful in the present invention include emulsions, foams, micelles, insoluble monolayers, liquid crystals, phospholipid dispersions, lamellar layers and the like. In these preparations, the active agent to be delivered is incorporated as part of a liposome, alone or in conjunction with a suitable chemotherapeutic agent. Thus, liposomes filled with a desired inventive compound or salt thereof, can be directed to the site of a specific tissue type, hepatic cells, for example, where the liposomes then deliver the selected compositions. Liposomes for use in the invention are formed from standard vesicle-forming lipids, which generally include neutral and negatively charged phospholipids and a sterol, such as cholesterol. The selection of lipids is generally guided by consideration of, for example, liposome size and stability of the liposomes in the blood stream. A variety of methods are available for preparing liposomes, as described in, for example, Szoka et al., Ann. Rev. Biophys. Bioeng., 9, 467 (1980), and U.S. Patents 4,235,871, 4,501 ,728, 4,837,028, and 5,019,369. For targeting to the cells of a particular tissue type, a ligand to be
incorporated into the liposome can include, for example, antibodies or fragments thereof specific for cell surface determinants of the targeted tissue type. A liposome suspension containing a compound or salt of the present invention may be administered intravenously, locally, topically, etc. in a dose that varies according to the mode of administration, the agent being delivered, and the stage of disease being treated.
[0082] "Treatment" refers to a therapeutic intervention that ameliorates a sign or symptom of a disease or pathological condition after it has begun to develop. As used herein, the term "ameliorating," with reference to a disease or pathological condition, refers to any observable beneficial effect of the treatment. The beneficial effect can be evidenced, for example, by a delayed onset of clinical symptoms of the disease in a susceptible subject, a reduction in severity of some or all clinical symptoms of the disease, a slower progression of the disease, an improvement in the overall health or well-being of the subject, or by other parameters well known in the art that are specific to the particular disease. The phrase "treating a disease" refers to inhibiting the full development of a disease or condition, for example, in a subject who is at risk for a disease such as cancer, particularly a metastatic cancer.
[0083] By the term "coadminister" is meant that each of the at least two compounds be administered during a time frame wherein the respective periods of biological activity overlap. Thus, the term includes sequential as well as coextensive administration of two or more drug compounds. The compounds can be administered simultaneously, separately (chronologically staggered), or sequentially and in any order.
[0084] "Treating multidrug resistance" means increasing or restoring sensitivity of multidrug resistant cells to therapeutic agents. Treating multidrug resistance also may include inhibiting the development of multidrug resistance in nonresistant cells.
[0085] The therapeutically effective amount of the compound or compounds
administered can vary depending upon the desired effects and the factors noted above.
Typically, dosages will be between 0.01 mg/kg and 250 mg/kg of the subject's body weight, and more typically between about 0.05 mg/kg and 100 mg/kg, such as from about 0.2 to about 80 mg/kg, from about 5 to about 40 mg/kg or from about 10 to about 30 mg/kg of the subject's body weight. Thus, unit dosage forms can be formulated based upon the suitable ranges recited above and the subject's body weight. The term "unit dosage form" as used herein refers to a physically discrete unit of therapeutic agent appropriate for the subject to be treated.
[0086] Alternatively, dosages are calculated based on body surface area and from about 1 mg/m2 to about 200 mg/m2, such as from about 5 mg/m2 to about 100 mg/m2 will be administered to the subject per day. In particular embodiments, administration of the therapeutically effective amount of the compound or compounds involves administering to the subject from about 5 mg/m2 to about 50 mg/m2, such as from about 10 mg/m2 to about 40 mg/m2 per day. It is currently believed that a single dosage of the compound or compounds is suitable, however a therapeutically effective dosage can be supplied over an extended period of time or in multiple doses per day. Thus, unit dosage forms also can be calculated using a subject's body surface area based on the suitable ranges recited above and the desired dosing schedule.
[0087] The compounds of the invention find use in screening methods to test whether or not a compound is a substrate or inhibitor of an ABC family mRNA or protein, for example, ABCBl mRNA and/or protein or the ABCCl mRNA and/or protein, in cells over-expressing an ABC family mRNA and/or protein. Thus, for example, the sensitivity of a compound of interest can be measured by contacting it with a cell pre-treated with a compound of formula (I), a diastereoisomer thereof, or a pharmaceutically acceptable salt thereof. If the sensitivity of the compound is higher with a pre-treated cell than with a cell not pre-treated with a compound of formula (I), a diastereoisomer thereof, or a pharmaceutically acceptable salt thereof, then the increased sensitivity can be ascribed to the transporter expression.
[0088] The following examples further illustrate the invention but, of course, should not be construed as in any way limiting its scope.
EXAMPLE 1
[0089] This Example demonstrates a method of preparing compounds in accordance with an embodiment of the invention.
[0090] All commercially available organic precursors and dry solvents were obtained from Sigma- Aldrich and used as received unless otherwise noted. The amino acid methyl ester hydrochlorides were obtained from Bachem and used as received unless otherwise noted. Reactions were magnetically stirred under an argon atmosphere and monitored by thin layer chromatography (TLC) with 0.25 mm Sigma-Aldrich pre-coated aluminum-backed silica gel plates with fluorescent indicator. TLC visualization was achieved using 254 nm or 360 nm UV lamp detection and/or staining with cerium molybdate (Hannesian's stain), phosphomolybdic acid (PMA), or potassium permanganate. Flash column chromatography was performed on an Ana-Logix IntelliFlash 280 system, using Biotage® SNAP Cartridges and SNAP Samplet Cartridges with KP-Silica 60 μηι. Analytical HPLC analyses were performed on an Agilent 1200 Series instrument equipped with multi -wavelength detectors using a Zorbax Stable Bond C-18 column (4.6 x 50 mm, 3.5 μιη) with a flow rate of 0.5 mL/min or 1.0 mL/min. Solvent A was 0.05% trifluoroacetic acid (TFA) in water (H20), solvent B was 0.05% TFA in acetonitrile (ACN), and a linear gradient of 5% B to 95% B over 10 minutes was used. ESI or APCI mass spectrometry (MS) were performed on an LC/MSD TrapXCl Agilent Technologies instrument or on a 6130 Quadrupole LC/MS Agilent Technologies instrument equipped with a diode array detector. Microwave (μλ) irradiation was carried out in a CEM Discover Synthesizer with 150 watts max power. Ή and13C NMR spectra were recorded on a Varian spectrometer operating at 400 MHz and 100 MHz respectively. Chemical shifts are reported relative to either chloroform (δ 7.26), dichloromethane (δ 5.32) or deuterium oxide (δ 4.79) for Ή NMR and chloroform (δ 77.0) or dichloromethane (δ 54.0) for13C NMR. Che
Figure imgf000033_0001
C6H10O4S2
Molecular Weight: 210.27
[0091] 2,2'-Dithiobispropionic acid (2): Iodine (5.72 g, 22.5 mmol) was added in portions to a solution of thiolactic acid (2.39 g, 22.5 mmol) in water (H20) (12 mL). The resulting reaction mixture was heated to 100 °C under microwave (μλ) irradiation for 30 minutes, after which TLC (1 : 1 hexane (Hex): ethyl acetate (EtOAc)) showed completion. The reaction was quenched by addition of a saturated aqueous solution of sodium thiosulfate (Na2S203) and the mixture extracted with EtOAc twice. The combined organic layers were washed twice with Na2S203 and once with brine, dried over magnesium sulfate (MgS04) and concentrated. The crude mixture was purified by re-crystallization from toluene, affording 2 (1.61 g, 70% yield) as white crystals. Ή NMR (400 MHz, CDC13): δ 9.66 (bs, 2H), 3.57 (m, 2H), 1.50 (d, J= 7.2 Hz, 6H).I 3C NMR (100 MHz, CDC13): δ 178.8, 47.5, 46.8, 16.6. MS (m/z) = 210.1 (M+l)+.
[0092] General procedure for the coupling ofbisacid disulfide 2 with amino acid methyl ester hydrochlorides 3a-e - synthesis of compounds 4a-e: A mixture of bisacid disulfide 2 (1 eq.), the amino acid methyl ester hydrochloride 3a-e (2.05 eq.) and 2-chloro-4,6-dimethoxy- 1 ,3,5-triazine (CDMT) (2.05 eq.) in EtOAc was cooled to 0 °C. To this cooled mixture was added slowly a solution of N-methylmorpholine (NMM) (5 eq.) in EtOAc. The resulting reaction mixture was allowed to stir at 0 °C for 5 minutes and room temperature for 1-2 hours while monitored by TLC.
[0093] Workup A: Reaction mixture was diluted EtOAc and H20, the phases separated and the organic layer washed twice with 1M HC1, once with brine, dried over MgS04 and concentrated. Crude product was purified by flash column chromatography to afford the bisamide disulfide compound.
[0094] Workup B: Reaction mixture was filtered and the insoluble salts rinsed with EtOAc. The filtrate was concentrated and the residue purified by flash column
chromatography to afford the bisamide disulfide compound.
Figure imgf000034_0001
Chemical Formula: C1 H24206S2
Molecular Weight: 380.48
[0095] Bisamide disulfide 4a: Bisacid disulfide 2 (400 mg, 1.90 mmol), alanine derivative 3a (544 mg, 3.90 mmol), CDMT (685 mg, 3.90 mmol) in EtOAc (15 mL). NMM (962 mg, 9.51 mmol) in EtOAc (10 mL). TLC (1 : 1 Hex: EtOAc), 2 hours. Workup A, flash column chromatography: silica gel, 75% EtOAc in hexanes to afford 4a (714 mg, 95% yield) as a syrup. Ή NMR (400 MHz, CDC13): δ 7.16 (t, J= 9.6 Hz, 1H), 6.80 (bs, 1H), 4.65-4.58 (m, 2H), 3.76 (s, 6H), 3.63-3.52 (m, 2H), 1.54-1.41 (m, 12H).13C NMR (100 MHz, CDCI3): δ 174.3, 173.5, 173.2, 171.6, 171.5, 52.2, 49.6, 48.7, 48.5, 48.2, 18.2, 18.1 , 18.0, 17.9, 17.2, 16.7. MS (m/z) = 381.1 (M+l)+.
Figure imgf000034_0002
Chemical Formula: C18H32N206S2
Molecular Weight: 436.59
[0096] Bisamide disulfide 4b: Bisacid disulfide 2 (400 mg, 1.90 mmol), valine derivative 3b (654 mg, 3.90 mmol), CDMT (685 mg, 3.90 mmol) in EtOAc (15 mL). NMM (962 mg, 9.51 mmol) in EtOAc (10 mL). TLC (1 : 1 Hex: EtOAc), 2 hours. Workup A, flash column chromatography: silica gel, 40% EtOAc in hexanes to afford 4b (803 mg, 94% yield) as a syrup. Ή NMR (400 MHz, CDC13): δ 7.03 (t, J = 10.4 Hz, 1H), 6.93 (bs, 1H), 4.57-4.51 (m, 2H), 3.75 (s, 3H), 3.73 (s, 3H), 3.67-3.55 (m, 2H), 2.24-2.14 (m, 2H), 1.52-1.42 (m, 6H), 1.00-0.92 (m, 12H).13C NMR (100 MHz, CDC13): δ 172.9, 172.6, 172.4, 172.2, 171.8(x2), 171.5, 57.6, 52.2, 49.2, 48.8, 31.1 , 30.9, 19.0(x2), 17.9(x2), 17.8, 17.2. MS (m/z) = 437.2 (M+l)+.
Figure imgf000035_0001
Chemical Formula: C26H32N206S2
Molecular Weight: 532.67
[0097] Bisamide disulfide 4c: Bisacid disulfide 2 (400 mg, 1.90 mmol), phenylalanine derivative 3c (841 mg, 3.90 mmol), CDMT (685 mg, 3.90 mmol) in EtOAc (15 mL). NMM (962 mg, 9.51 mmol) in EtOAc (10 mL). TLC (EtOAc), 1 hour. Workup A, flash column chromatography: silica gel, 35% EtOAc in hexanes to afford 4c (945 mg, 94% yield) as a syrup. 'H NMR (400 MHz, CDC13): δ 7.31-7.12 (m, 10H), 6.98 (bs, 1H), 6.64 (bs, 1H), 4.93- 4.82 (m, 2H), 3.74-3.70 (m, 6H), 3.56-3.43 (m, 2H), 3.19-2.99 (m, 4H), 1.41-1.37 (m, 3H), 1.33- 1.23 (m, 3H).13C NMR (100 MHz, CDC13): δ 171.9, 171.6, 171.4, 129.3, 129.2, 128.5(x2), 127.1 , 53.6, 53.4, 52.4, 50.1 , 49.4, 48.8, 47.7, 37.9, 37.7(x2), 37.6, 17.3, 16.7(x2). MS (m/z) = 533.1 (M+l)+.
Figure imgf000035_0002
Chemical Formula: C4H24N208S2
Molecular Weight: 412.48
[0098] Bisamide disulfide 4d: Bisacid disulfide 2 (350 mg, 1.66 mmol), serine derivative 3d (531 mg, 3.41 mmol), CDMT (599 mg, 3.41 mmol) in EtOAc (15 mL). NMM (842 mg, 8.32 mmol) in EtOAc (10 mL). TLC (EtOAc), 1 hour. Workup B, flash column chromatography: silica gel, EtOAc to afford 4d (501 mg, 73% yield) as a waxy solid. Ή NMR (400 MHz, CDC13): δ 7.43-7.34 (m, 2H), 4.74-4.63 (m, 2H), 3.87-3.81 (m, 4H), 3.80 (s, 3H), 3.78 (s, 3H), 3.72-3.67 (m, 2H), 1.46-1.41 (m, 6H).13C NMR (100 MHz, CDC13): δ 173.4, 172.3, 171.8, 170.9(x2), 63.3, 62.5, 62.4, 56.1 , 55.1(x2), 52.8, 17.4, 16.7, 16.4. MS (m/z) = 437.3 (M+Na)+.
Figure imgf000036_0001
Chemical Formula: C2H2o206S2
Molecular Weight: 352.43
[0099] Bisamide disulfide 4e: Bisacid disulfide 2 (300 mg, 1.43 mmol), glycine derivative 3e (367 mg, 2.92 mmol), CDMT (513 mg, 2.92 mmol) in EtOAc (10 mL). NMM (722 mg, 7.13 mmol) in EtOAc (10 mL). TLC (3: 1 EtOAc: Hex), 2 hours. Workup B, flash column chromatography: silica gel, 75% EtOAc in hexanes to afford 4e (385 mg, 77% yield) as a syrup. Ή NMR (400 MHz, CDC13): δ 7.16 (bs, 2H), 4.23 (dd, J= 18 Hz, 6.0 Hz, 1H), 4.10 (d, J= 5.6 Hz, 1H), 3.77 (s, 3H), 3.76 (s, 3H), 3.67 (q, J= 7.2 Hz, 1H), 3.61 (q, J= 7.2 Hz, 1H), 1.49 (d, J= 7.2 Hz, 3H), 1.45 (d, J = 7.2 Hz, 1H).13C NMR (100 MHz, CDC13): δ 172.4, 172.2, 171.0(x2), 52.5, 49.6, 47.8, 41.4, 17.2, 16.7. MS (m/z) = 353.1 (M+l)+.
[00100] General procedure for the one-pot disulfide reduction, methyl ester saponification of compounds 4a-d - synthesis ofTiopronin analogs 5a-d: A solution of the bisamide disulfide compound 4a-d (1 eq.) in 20% H20 in tetrahydrofuran (THF) (v:v) was thoroughly degassed by bubbling argon through the solution for 5-10 minutes. Tributylphosphine (Bu3P) (3.5 eq.) was added slowly and the resulting reaction mixture allowed to stir at room temperature for 5 minutes and monitored by TLC. The reaction mixture was diluted with ethanol (EtOH), 2M sodium hydroxide (NaOH) added, and stirring continued for 1 hour.
[00101] Workup A: The reaction mixture was diluted with EtOH and concentrated under reduced pressure. The residue was taken up in H20, extracted twice with EtOAc and the organic layers discarded. The aqueous layer was acidified with 1M HC1 and extracted twice with EtOAc, the combined organic layers were dried over MgS04 and concentrated to afford the Tiopronin analog.
[00102] Workup B: The reaction mixture was diluted with EtOH and concentrated under reduced pressure. The residue was taken up in H20, extracted twice with EtOAc and the organic layers discarded. The aqueous layer was acidified with 1M HC1 and concentrated under reduced pressure. The solid residue was extracted with EtOH and the insoluble salts filtered, the filtrate was concentrated to afford the Tiopronin analog.
Figure imgf000037_0001
Chemical Formula: CgH^NOsS
Molecular Weight: 177.22
[00103] Ala-Tiopronin (5a): Bisamide disulfide 4a (700 mg, 1.84 mmol), 20% H20 in THF (v:v, 10 mL), Bu3P (1.30 g, 6.44 mmol). TLC (1 : 1 Hex:EtOAc) 5 minutes. EtOH (4 mL), 2M NaOH (5 mL), 1 hour. Workup A to afford Ala-Tiopronin analog 5a (271 mg, 42% yield) as a fluffy solid. Ή NMR (400 MHz, D20): δ 4.35 (q, J= 7.2 Hz, 1H), 3.67-3.58 (m, 1H), 1.49-1.42 (m, 6H),13C NMR (100 MHz, D20): δ 176.4(x2), 48.8, 36.2, 20.4, 15.9. MS (m/z) = 178.1 (M+l)+.
Figure imgf000037_0002
Chemical Formula: C8H5N03S
Molecular Weight: 205.27
[00104] Val-Tiopronin (5b): Bisamide disulfide 4b (800 mg, 1.83 mmol), 20% H20 in THF (v:v, 10 mL), Bu3P (1.30 g, 6.44 mmol). TLC (1 : 1 Hex:EtOAc) 5 minutes. EtOH (5 mL), 2M NaOH (5 mL), 1 hour. Workup A to afford Val-Tiopronin analog 5b (577 mg, 11% yield) as a white solid. 1H NMR (400 MHz, CD2C12): δ 6.86 (d, J= 8.0 Hz, 1H), 4.45 (td, J = 8.4, 4.8 Hz, 1H), 3.52-3.47 (m, 1H), 2.26-2.20 (m, 1H), 2.18-2.14 (m, 1H), 1.52 (d, J= 7.2 Hz, 3H), 0.97-0.94 (m, 6H).I3C NMR (100 MHz, CD2C12): δ 174.4, 173.4, 57.3, 37.9, 30.8, 21.8, 18.8, 17.3. MS (m/z) = 206.1 (M+l)+.
Figure imgf000037_0003
Chemical Formula: C12Hi5N03S
Molecular Weight: 253.32
[00105] Phe-Tiopronin (5c): Bisamide disulfide 4c (460 mg, 0.863 mmol), 20% H20 in THF (v:v, 6 mL), Bu3P (611 mg, 3.02 mmol). TLC (1 : 1 Hex:EtOAc) 10 minutes. EtOH (2 mL), 2M NaOH (2 mL), 1 hour. Workup A to afford Phe-Tiopronin analog 5c (371 mg, 85%) yield) as a thick syrup. 1H NMR (400 MHz, CDC13): δ 7.61 (bs, 1H), 7.31-7.23 (m, 3H), 7.18-7.14 (m, 2H), 6.93-6.86 (m, 1H), 4.86-4.79 (m, 1H), 3.43-3.39 (m, 1H), 3.26 (ddd, J= 14.4, 5.6, 2.8 Hz, 1H), 3.12 (dd, J= 14.0, 6.4 Hz, 1H), 1.96 (d, J= 8.0 Hz, 1H), 1.46 (d, J = 7.2 Hz, 3H).13C NMR (100 MHz, CDC13): δ 174.6, 173.3, 135.5, 129.4, 128.6, 127.3(x2), 53.3, 37.9, 37.2, 21.8(x2). MS (m/z) = 254.1 (M+l)+.
Figure imgf000038_0001
Chemical Formula: CgH-^NC^S
Molecular Weight: 193.22
[00106] Ser-Tiopronin (5d): Bisamide disulfide 4d (500 mg, 1.21 mmol), 20% H20 in THF (v:v, 8 mL), Bu3P (858 mg, 4.24 mmol). TLC (EtOAc) 5 minutes. EtOH (3 mL), 2M NaOH (3 mL), 1 hour. Workup B to afford Ser-Tiopronin analog 5d (305 mg, 65% yield) as a white solid. 1H NMR (400 MHz, D20): δ 4.58-4.52 (m, 1H), 4.04-3.97 (m, 1H), 3.96-3.91 (m, 1H), 3.72-3.67 (m, 1H), 1.51-1.49 (m, 3H).13C NMR (100 MHz, D20): δ 176.7, 173.3, 60.8, 54.9, 36.4, 20.5. MS (m/z) = 194.1 (M+l)+.
Figure imgf000038_0002
Chemical Formula: Cel-I^ C^S
Molecular Weight: 177.22
[0100] Tiopronin-Me Ester (5e): A solution of bisamide disulfide 4e (380 mg, 1.08 mmol) in 20% H20 in THF (v:v, 10 mL), was thoroughly degassed by bubbling argon through the solution for 10 minutes. Bu3P (763 mg, 3.77 mmol) was added slowly and the resulting reaction mixture stirred for 10 minutes under argon. TLC (EtOAc) showed complete reduction. Reaction mixture was concentrated under reduced pressure and the residue was subjected to flash column chromatography: silica gel, 1 : 1 Hex:EtOAc to afford the
Tiopronin-Me Ester analog 5e (332 mg, 85% yield) as a thick syrup. Ή NMR (400 MHz, D20): δ 4.05 (s, 1H), 3.79 (s, 3H), 3.68 (q, J= 7.2 Hz, 1H), 1.51 (d, J= 6.8 Hz, 3H).13C NMR (100 MHz, D20): δ 177.2, 171.9, 52.7, 41.3, 36.4, 20.6. MS (m/z) = 178.1 (M+l)+.
EXAMPLE 2
[0101] This Example illustrates some of the biological properties of compounds in accordance with an embodiment of the invention. [0102] This example describes evaluation of compounds using the MTT cytotoxicity assay. Cell survival was measured by the MTT (3-(4,5-dimethylthiazol-2-yl)-2,5- diphenyltetrazolium bromide) assay as previously described by Ludwig, J. A. et al.,
"Selective toxicity of NSC73306 in MDR1 -positive cells as a new strategy to circumvent multidrug resistance in cancer." Cancer Res 2006, 66, 4808-15, which is incorporated herein by reference.
[0103] Briefly, cells were seeded in 100 mL of growth medium at a density of 5000 cells/well in 96-well plates and allowed to establish for 24 hours, at which time serially diluted drugs were added in an additional 100 ih growth medium. Cells were then incubated for 72 hours at 37 °C in humidified 5% C02 at which time the growth media was drawn, and replaced with MTT in IMDM growth media and incubated for 4 hours. The MTT solution was then drawn from the wells, and 100 iL acidified ethanol solution was added to each well and after 15 minutes absorption at 560 nm was measured. IC50 cytotoxicity values were determined as the drug concentration that reduced the absorbance to 50% of that in untreated control wells.
[0104] Figure 2 depicts the effect of tiopronin, the phenyl alanine analog, the serine analog, methyl tiopronin, the valine analog, and the alanine analog on the viability of KB-V1 cells expressing ABCB1 protein. KB-3-1 cells which do not express ABCB1 protein are included for comparison. Figure 3 depicts the effect of tiopronin and its valine and alanine analogs on the viability of MCF-VP16 cells expressing ABCC1 protein. MCF7 cells which do not express ABCC1 protein are included for comparison.
EXAMPLE 3
[0105] This Example illustrates that a compound in accordance with the invention reduces glutathione.
[0106] Eight T25 flasks (25 cm2) were seeded either with 200,000, KB-3-1 or KB-V1 cells in 4 ml of DMEM media supplemented with 10% FBS and cell lines were grown at 37 °C in 5% C02 over-night. Tiopronin (Sigma- Aldrich Cat. No. M6635) was then added to give final concentrations of 0, 0.1, 1 or 10 mM and incubated for 72 hours at 37 °C in 5% C02. The cells were then removed from the flasks by treatment with 0.5% trypsin, pelleted by centrifugation and the pellets snap frozen in dry ice. The cell pellets were then used in the glutathione assay kit (Sigma- Aldrich cat. No. CS0260) according to the manufacturer's instructions. Glutathione concentrations (determined by a BCA assay, Pierce Cat. No.
23227) were then standardized against protein concentrations and plotted in comparison with the original tiopronin dose. Figure 4 depicts the glutathione level as a function of tiopronin concentration. It was found that the levels of glutathione in the ABCBl expressing MDR cell line KB-V1 were approximately 6-fold lower following the 10 mM Tiopronin treatment compared with the parental KB-3-1 cells indicating that tiopronin can lower glutathione levels preferentially in MDR cells.
EXAMPLE 4
[0107] This Example illustrates the ability of tiopronin to enhance the cytotoxic effect of doxorubicin in accordance with an embodiment of the invention.
[0108] T25 flasks each containing 200,000 of KB-3-1 or KB-V1 cells were grown at 37 °C in 5% C02 in the presence or absence of 1 mM tiopronin for 6 days. These treated and cultured cells (5000 cells per well of a 96-well plate) were then seeded for 24 hours and then incubated in two-fold dilutions (in DMEM media, 10% FBS) of doxorubicin (highest concentration in well was 5 μΜ) prior to a 3 day incubation and MTT assay as described in Example 2. It was found that the MDR cells KB-V1 when prior treated for 6 days with tiopronin lost a significant amount of their resistance against the chemotherapeutic drug doxorubicin. Figure 5 depicts the percent cell viability of KB-V1 cells as a function of doxorubicin concentration with and without tiopronin pretreatment.
EXAMPLE 5
[0109] This Example illustrates the role of the thiol group of tiopronin for its activity.
[0110] An MTT assay was carried out according to Example 2, the KB-3-1 and KB-V1 cells were dosed with two-fold serial dilutions of S-Methyl tiopronin (Toronto Research Chemicals Cat. No. M330280, CAS 87254-91-9) and incubated for 72 hours prior to the MTT assay. It was found that even at the highest S-Methyl tiopronin concentration (7.6 mM) there was no KB-3-1 or KB-V1 toxicity demonstrating that a free thiol group contributes to tiopronin activity.
EXAMPLE 6
[0111] This Example illustrates the experimental aspects of testing embodiments of the invention. [0112] Cell lines: The cell lines used were: the human epithelial adenocarcinoma cell line KB-3-1 (a HeLa derivative) and its P-gp-expressing MDR sub-lines KB-A1 , KB-V1 , KB-8- 5-1 1 and KB-8-5; the human breast cancer cell line MCF-7 and its MRP 1 -expressing MDR sub-line MCF-7/VP16; the human lung carcinoma cell line H460 and its ABCG2-expressing MDR sub-line H460/MX20 and P-gp-expressing variant H460/TX50; NIH-3T3 murine fibroblast cells and its mutant P-gp-expressing variant NIH-3T3 G185; OVCAR8 human ovarian carcinoma cells and its P-gp-expressing variant NCI/ADR-RES. Primary adult human dermal fibroblasts (HDFa) were obtained from Life Technologies (Carlsbad,
California, USA). The KB, NIH-3T3, HDFa and MCF-7 lines were cultured in Dulbecco's Modified Eagle's Medium (DMEM,) supplemented with 10% fetal bovine serum , 5 mM L- glutamine, 50 units/mL penicillin, and 50 μg/mL streptomycin, all obtained from Life Technologies (Carlsbad, California, USA) at 37°C in an atmosphere containing 5% C02., while the H460 lines were cultured in Roswell Park Memorial Institute (RPMI) 1640 medium from Life Technologies (Carlsbad, California, USA) supplemented with 10% FBS. Culture media were supplemented as previously reported, and cell lines were grown at 37°C in 5% C02. Resistant cell lines were additionally cultured in the following cytotoxic drugs to maintain transporter expression: KB-8-5: colchicine (10 ng/mL), KB-8-5-1 1 : colchicine (100 ng/mL); KB-V1 vinblastine (1 μg/mL); KB-A1 : adriamycin (1 μg/mL), NIH-3T3 G185: colchicine (60 ng/mL), H460/TX50: taxol (50 ng/mL), MCF-7/VP16: etoposide (4 μΜ), and H460/MX20: mitoxantrone (20 nM) 19, 25. The parental Clontech Hela "Tet-off and the HeLa "MDR Tet-off (American Type Culture Collection, Manassas, Virginia, USA) derived cell lines were grown in high glucose (DMEM) media supplemented with 10% Tetracycline free fetal bovine serum and 5 mM L-glutamine , 50 units/mL penicillin, and 50 μg/mL streptomycin from Life Technologies (Carlsbad, California, USA). The medium of the HeLa MDR Tet-off cell line was additionally supplemented with colchicines (20 ng/mL) to maintain P-gp expression.
[0113] ABCB1 and ABCC1 mR A Analysis. 1 x 106 MDR Tet-off cells were seeded for 24 hours before treating (in the absence of doxycycline), either with or without 1 (1 mM) for 8, 24 or 48 hours. Cells were then trypsinized, rinsed with PBS three times and the total RNA purified using an RNeasy mini kit according to the manufacturer's instructions (Qiagen, Germantown, Maryland, USA). First strand cDNA was prepared from ^g total RNA using the High Capacity cDNA reverse transcription kit (Applied Biosciences, Foster City, California, USA) followed by PCR analysis using either ABCB1 (Hs00184491_ml) or the PMCA4 control (0060808058_ml) Taqman probe sets using TaqMan Universal PCR Master Mix and loaded on an ABI Prism 7900 HT Sequence detection system according to manufacturers instructions (Applied Biosciences, Foster City, California, USA). The percentage of ABCB1 mRNA remaining was calculated from the PCR crossing threshold Ct values and the total amount of RNA adjusted using the RNA control.
[0114] Northern blotting. The pTMl plasmid containing the ABCB1 cDNA was digested with Xhol and Ncol restriction enzymes and following agarose gel electrophoresis the bands were purified using a QIAquick Gel extraction kit (Qiagen, Germantown,
Maryland, USA). The cDNA was biotinylated using the Brightstar Psoralen-Biotin Kit (Ambion, Austin, Texas, USA). 2 μg of total RNA from MDR Tet-off cells was resolved on a non-denaturing 1% TAE agarose gel. Equal loading of RNA in the gel was confirmed by ethidium bromide staining 18S and 28S rRNA bands. Northern blots were performed using NorthernMax membranes and detection with BrightStar BioDetect according to the manufacturers instructions (Ambion, Austin, Texas, USA).
[0115] Western Blot Analysis. The expression of ABC transporters in each cell line was visualized by western blot analysis. Protein samples were prepared and run on a gel as described by Brimacombe et al, Assay Drug Dev. Technol. 2009, 7, 233-249. In brief, lysed cells were incubated in sodium dodecyl sulfate (5x) buffer, loaded onto a 3-8% NuPAGE® Novex ® Tris- Acetate gel (Invitrogen Corp., Carlsbad, CA, USA), and transferred to nitrocellulose membranes. Dry blots were blocked in 20% milk for 30 min at 21 °C. Blots were then probed for expression of either P-gp, MRPl or ABCG2 protein using the three primary antibodies C219 (1 : 10,000), QCLR (1 :5,000), and BXP-21 (1 : 10,000), respectively for 60 min at 21 °C, washed 3 x 10 min, immunoprobed with a secondary antibody
(ImmunoPure Goat Anti-Mouse IgG, Peroxidase Conjugated (GAMP, Pierce Biotechnology, Rockford, Illinois, USA) (1 : 10,000) for 60 min at 21 °C, and washed again. Each blot was immunoprobed for glyceraldehyde 3 -phosphate dehydrogenase (GAPDH, Ambion, Austin, Texas, USA) as a loading control.
[0116] Resensitization Assay. KB-V1 cells were grown in tiopronin at 0.1 mM and then 1 mM and finally 5 mM over 6 weeks. In parallel, control KB-V1 cells were grown for the same period of time in the absence of selecting agent (vinblastine). Cells were then tested for resensitization to doxorubicin, paclitaxel, or cisplatin using a standard MTT cell viability assay.
[0117] Inhibition of Transporter Function. Since transporter substrates (at high concentrations) can inhibit ABC transporter function as competitive substrates, it was determined whether tiopronin could inhibit the function of P-gp. The inhibitory activity by the uptake of Rhodamine 123 was measured as described in Brimacombe et al., supra. For each condition, 2 xlO5 cells were suspended in 1 mL of Iscove's Modified Dulbecco's Medium (IMDM) supplemented with 5% fetal bovine serum. The cells were first pre-treated with a P-gp inhibitor (positive control, 200 nM tariquidar), tiopronin (20 mM) or media (negative control) for 10 min in a 37°C water bath. Cells were isolated by centrifugation, resuspended in 1 mL IMDM and incubated with 4μΜ rhodamine 123. Cells were then incubated in the dark for 45 min in a 37°C water bath, centrifuged, resuspended in 300 μΐ^ of 0.1% bovine serum albumin in lx PBS, and kept on ice until analysis. For each cell treatment fluorescence intensity (cellular uptake of fluorescent substrate) was recorded for a total of 10,000 cells using a FACS Calibur flow cytometer (Becton Dickinson Biosciences, San Jose, California, USA). FACS data were analyzed using FlowJo software (Tree Star, Inc., Ashland, Oregon, USA).
[0118] MTT cytotoxicity assay. Cytotoxicity was measured with a colorimetric viability assay using 3-(4,5-dimethylthiazol-2-yl)-2,5-diphenyltetrazolium bromide (MTT) (Molecular Probes, Eugene, OR) as previously described in Brimacombe et al., supra. Cells (5000 cells per well of a 96-well plate) were allowed to attach for 24 hours. Stock solutions of compounds (3M) were prepared in H20 and then two-fold serially diluted in media to give a range of final tissue culture concentrations of 20 mM to 78 DM. After 72 h, cell viability was examined. Cytotoxicity (IC50) was defined as the drug concentration that reduced cell viability to 50% of the untreated control. Resistance ratios (RR) are also reported for each cell line pair, determined by dividing the IC50 of the transporter-expressing cell line by that of the parental cell line. An RR value >1 indicates that the MDR cells that are collaterally sensitive to the tested drug, whilst an RR <1 indicates the MDR cells are resistant to the drug relative to the parental cell line 4.
EXAMPLE 7
[0119] This Example illustrates cytostatic properties of compounds in accordance with an embodiment of the invention. [0120] The cytotoxicity of tiopronin was assessed against parental KB-3-1 human adenocarcinoma cells and three MDR sub-lines expressing P-gp: KB-8-5, KB-8-5-1 1 and KB VI . The data obtained are set forth in Table 1. The cell lines express increasing levels of ABCB1 mRNA and P-gp protein in the order KB-8-5 < KB-8-5-11 < KB VI, resulting in greater resistance to toxic substrates, and increased sensitivity to the collateral sensitivity agent NSC73306, which is l-[(5,7-dichloro-2-oxo-indol-3-yl)amino]-3-(4- methoxyphenyl)thiourea (Ludwig, J. A., et al., Cancer Res. 2006, 66, 4808-4815).
[0121] Collateral sensitivity (enumerated as 'RR' for resistance ratio) is calculated as the ratio of a compound's IC50 against parental cells divided by its IC50 against MDR cells. An RR value > 1 indicates that the compound kills MDR cells more effectively than parental cells - so-called collateral sensitivity; Hall, M.D., et al., Trends Pharmacol. Sci. 2009, 30, 546-556. The cytotoxicity of tiopronin against parental KB-3-1 cells is relatively low
(7.54+0.2 mM), but it showed increasing cytotoxicity against the KB-8-5 (5.68±0.48 mM, 1.4-fold collaterally sensitive, hereafter termed 'selective'), KB-8-5-11 (0.349±0.09 mM, 13- fold selective) and KB-V1 cells (0.147±0.02 mM, 51-fold selective). Highly adriamycin- resistant KB-Al cells expressing P-gp also showed sensitivity to tiopronin (0.633±0.098 mM, 14-fold selective). Dose-response curves reveal a slight biphasic response of cells to tiopronin, with an initial strong response and a small population of cells surviving at higher concentrations before all cells are killed at -10 mM (Figure 6). This phenomenon is similar to the collateral sensitivity of P-gp expressing Chinese hamster ovary (CHO) cells to verapamil reported by Warr, J.R., at al., Cell Biol. Int. Rep. 1986, 10, 389-399.
[0122] Table 1. Determination of collateral sensitivity of cell lines to tiopronin.
Treatment of parental cells, or MDR cells lines (indented).
Resistance Cytotoxicity
Cell line Selection RR
mechanism (ICso, mM)
KB-3-1 7.54 ± 0.20
KB-8-5 P-gp colchicine selected 5.68 ± 0.48 1.4
KB-8-5-1 1 P-gp colchicine selected 0.35 ± 0.09 33
KB-V1 P-gp vinblastine selected 0.15 ± 0.02 51
KB-A1 P-gp adriamycin selected 0.63 ± 0.10 14
KAS pleiotropic arsenite selected 6.84 ± 1.27 1.2
CP20 pleiotropic cisplatin selected 9.61 ± 1.82 0.9
CHO 6.90 ± 1.30
C5 P-gp colchicine selected 8.27 ± 1.04 0.8
10001 - 17.2 ± 0.33
10193 tubulin mutant colcemid resistant 10.1 1 ± 1.63 1.7
10576 tubulin mutant taxol selected 4.84 ± 0.74 3.6
NIH 3T3 9.20 ± 2.12
G185 P-gp ABCB1 transfected 4.00 ± 0.26 2.3
HeLa Tet-off 6.43 ± 4.45
HeLa MDR Tet-off P-gp ABCB1 transfected 5.14 ± 1.31 1.25
OVCAR8 5.99 ± 1.28
NCI/ADR-RES P-gp adriamycin selected 9.05 ± 2.76 0.6
MCF-7 18.13 ± 1.43
VP- 16 MRP1 etoposide selected 0.14 ± 0.01 133
HEK-293 pc 0.15 ± 0.01
HEK-293 MRP 1 MRP1 ABCC1 transfected 0.26 ± 0.04 0.6
H460 5.34 ± 0.24
TX50 P-gp taxol selected 0.94 ± 0.25 5.7
MX20 ABCG2 mitoxantrone selected 5.60 ± 0.32 0.95
[0123] The cytotoxicity of tiopronin against a series of parental and MDR cells was examined by MTT cytotoxicity assay to examine whether P-gp was critical for mediating collateral sensitivity to tiopronin (Table 1). Cell line pairs with a range of MDR expression origins were chosen to assess the extent of activity. Relative to parental lines, tiopronin did not show strong selectivity towards other P-gp expressing lines: the transfected murine cell line NIH 3T3 G185 (expressing human P-gp,), adriamycin-selected NCI/ADR-RES human ovarian carcinoma cells, and colchicine-selected CHO C5 Chinese hamster ovary cells (Table 1) all showed less than 3 fold selectivity for the MDR subline, though the magnitude of cytotoxicity (mM IC50) was similar to that of parental KB cells. This data suggests that the expression of P-gp is not requisite for MDR cell sensitivity to tiopronin. MDR cell lines not expressing P-gp were also examined. The KB MDR sublines KAS (selected for resistance to arsenite) and CP20 (selected for resistance to cisplatin), neither of which express P-gp, did not show sensitivity to tiopronin. Two MDR cell lines (10193 and 10576) with tubulin mutations were also examined. While 10193 (colcemid-selected) did not show sensitivity, paclitaxel-selected 10576 cells showed modest collateral sensitivity (RR = 3.6) compared with the parental 10001 cell line.
[0124] A number of agents that demonstrate collateral sensitivity against MDR cells are substrates for P-gp. As such, it was examined whether tiopronin interacted with P-gp. This was assessed initially by testing whether tiopronin interfered with the efflux of the fluorescent substrate rhodamine 123 from P-gp-expressing KB-Vl cells (Figure 7A). At high concentrations tiopronin (20 mM) had no effect on efflux indicating that it did not act as either an inhibitor or competitive substrate. As a positive control, the P-gp inhibitor tariquidar was used, which was found to increase accumulation of rhodamine 123 in KB-Vl cells to levels similar to those of the parental KB 3-1 cells. This result was confirmed by P- gp ATPase assay (Promega, Wisconsin, USA) as tiopronin did not stimulate or suppress the activity of P-gp, suggesting it was not interacting as an inhibitor or substrate with P-gp (data not shown). When P-gp is inhibited, MDR cells lose sensitivity to the collateral sensitivity agent NSC73306 indicating that functional P-gp is required for selectivity. In contrast, inhibition of P-gp with the inhibitors cyclosporin A or tariquidar did not affect the activity of tiopronin against KB-Vl cells in an MTT cell toxicity assay. These data collectively suggest that tiopronin does not interact directly with P-gp, and the protein does not mediate sensitivity to tiopronin.
[0125] To assess whether tiopronin could also elicit collateral sensitivity in cells expressing other ABC transporters, or alternatively suffer from resistance to other
transporters, tiopronin was tested against MRPl - and ABCG2-expressing cell lines (see Table 1). MRPl -expressing MCF-7/VP-16 cells (IC50 = 0.136 ± 0.004 mM) selected for resistance with etoposide showed a 42.5-fold collateral sensitivity to tiopronin compared with parental MCF-7 cells (IC50 = 12.27 ± 2.34 mM) (Figure 3 A, Table 1). To assess whether this collateral sensitivity was mediated by MRP1 , cytotoxicity of tiopronin was also assessed against HEK- 293 human embryonic kidney cells transfected with ABCC1 (IC50 = 0.26 ± 0.04 mM) and plasmid control (IC50 = 0.15 ± 0.01 mM) which showed approximately equivalent sensitivity (Table 1). This indicated that MR 1 was not directly mediating collateral sensitivity, and was supported by the observation that the MRPl inhibitor MK-571 (3-[[3-[2-(7- chloroquinolin-2-yl)vinyl]phenyl]-(2-dimethylcarbamoylethylsulfanyl)methylsulfanyl] propionic acid) did not alter sensitivity of MRPl -expressing MCF-7/VP-16 cells (data not shown). Interestingly, while the HEK-293 cells were not collaterally sensitive, the pc line demonstrated an underlying sensitivity similar to that of P-gp- and MRPl -expressing lines.
[0126] Given that thiols and anionic compounds are common classes of MRPl substrates, it was examined whether tiopronin interfered with MRPl function. Tiopronin (20 mM) partially inhibited the efflux of the MRPl substrate calcein-AM, suggesting that it may be a substrate of MRPl (Figure 7B). Tiopronin did not show any selective activity (RR = 0.95) towards ABCG2-expressing H460 MX20 (IC50 = 5.6 ± 0.32 mM) cells compared with parental H460 cells (IC50 = 5.34 ± 0.24 mM).
[0127] In order to determine whether the re-sensitization by tiopronin of MDR cells to chemotherapy was due to a change in the levels of cellular P-gp, qRT-PCR, Northern blotting, Western blotting and flow cytometry analysis were carried out. A stably transfected tetracycline sensitive expression system (Tet-off) was used in order to separate the effects of tiopronin on the promoter regulation of ABCBl from a more direct effect on the stability of the ABCBl mRNA. Following treatment of Tet-off cells with tiopronin (1 mM), RNA and protein were isolated and analyzed (Figure 8). Northern blotting using RNA prepared from cells treated for 24, 48, or 72 hours demonstrated that there was a marked reduction in the amount of ABCBl message within 48 hours, but no further reduction at 72 hours (Figure 8A). No specific ABCBl mRNA cleavage products were evident in the Northern blot, suggesting a mechanism of mRNA destabilization that affects the entire message rather than a specific and discrete cleavage site. By qRT-PCR, standardized using PMCA4 mRNA, it was determined that the amount of ABCBl transcript was reduced by nearly 30% and 80% following a 24 or 48 hour tiopronin (1 mM) treatment, respectively (Figure 8B). ABCBl mRNA from KB-V1 cells was also down-regulated by treatment with tiopronin. [0128] The effect of tiopronin on P-gp protein expression levels was tested by western blotting. Tet-off cells were treated with 0.1, 1 or 10 niM of tiopronin for 72 hours prior to harvesting and western blotting, and band scan densities were subsequently standardized against GAPDH. Corresponding to the reduced ABCB1 mRNA abundance, P-gp protein was reduced by 50, 55 and 65% respectively compared with control (untreated) cells (Figure 9C). Western blot analysis of MCF-7/VP16 cells treated with tiopronin (1 mM) also showed a substantial reduction in MRP1 protein (Figure 8D).
[0129] Given that tiopronin down-regulates MDR1, it was assessed whether long-term treatment of KB- VI cells with tiopronin (6 weeks, 5 mM) could resensitize them to conventional chemo therapeutics. Results shown in Figure 9 demonstrate that surviving KB- VI cells treated with 5 mM of tiopronin are 5.0 and 2.0-fold more sensitive to the P-gp substrates doxorubicin and paclitaxel, respectively. Tiopronin-treated cells dosed with cisplatin (which is not a P-gp substrate) gave only a 1.5-fold sensitization compared with control nontreated KB- VI cells. Measurement of cell surface P-gp expression demonstrated diminished P-gp expression of cells cultured in tiopronin that corresponded with
sensitization.
[0130] To understand the molecular features of tiopronin essential for activity, S-methyl tiopronin (Figure 1, compound 5e, Table 2) in which the thiol functional group is converted to a thioether. The thiol group of tiopronin is essential for activity, as S-methyl tiopronin showed no collateral sensitivity or cytotoxicity against KB- VI cells; activity was entirely lost (IC50 > 20 mM). Complete loss of activity was also found with (isobutyrylamino)acetic acid where the thiol group of tiopronin is replaced with a methyl group (IC50 > 20 mM).
[0131] Given that the thiol group is essential for activity of tiopronin, it was examined whether collateral sensitivity observed was simply the result of a general property of a thiol or sulfur moiety. A number of thiol and thiol precursor compounds as well as disulfide compounds were tested against KB-3-1 and KB-V1 cells. The compounds stepronin, captopril, N-acetyl cysteine, Pro-cysteine, racecadotril, ^-penicillamine, thiorphan, Cys-Gly, Cystamine, Cystine, and glutathione (GSH) do not confer significant collateral sensitivity effects (Table 2). Interference with intracellular GSH levels by tiopronin is unlikely to account for the strong collateral sensitivity of KB- VI cells because treatment with buthionine sulfoximine, a strong inhibitor of GSH synthesis, had no significant collateral sensitivity activity either alone or in combination with tiopronin (data not shown). Of note is N-(3- Mercapto-2-methylpropanoyl) glycine which is also inactive (IC50 > 20 niM) despite that it only differs from tiopronin by the length (one -CH2- group) of the thiol arm. Neither of the two constituent components of tiopronin, glycine and thiolactic acid, are cytotoxic (RR = 1 and 1.05 respectively). Furthermore, agents that react with thiols or disulfides such as dithiothreitol, β-mercaptoethanol, N-ethylmaleimide and DTNB (5,5'-dithiobis-(2- nitrobenzoic acid) were not particularly selective (Table 2). A number of thiol-bearing drugs showed a small but consistent collateral sensitivity suggesting that there may be an underlying general activity of thiol compounds along with the more robust and specific activity associated with tiopronin and its analogs.
[0132] Table 2. Cytotoxicity of tiopronin and analogs and sulfur-containing compounds against parental KB-3-1 human adenocarcinoma cells and P-gp-expressing subline KB-Vl . Selectivity Selectivity (RR) is calculated as the ratio of a compound's IC50 against parental cells divided by its IC50 against resistant cells. IC50 values are mean ± SD from three independent experiments.
Cytotoxicity (IG so, mM)
IC50 KB 3-1 IC50 KB-Vl RR
Tiopronin 7.54 ± 0.2 0.147 ± 0.02 51
S-Methyl tiopronin >20 >20 -
7V-(3-mercapto-2- 11.78 ± 0.18 9.24 ± 0.23 1.28 methylpropanoyl)glycine
(Isobutyrylamino) acetic acid >20 >20 -
Glutathione >20 >20 -
Thio lactic acid 3.34 ± 0.21 3.5 ± 0.4 1.05
Glycine >50 >50 -
Thiol compounds
Stepronin 0.86 ± 0.12 0.89 ± 0.04 0.97
Captropril 15.67 ± 0.82 13.07 ± 0.51 1.2
/V-acetyl cysteine 29.9 ± 1.16 28.8 ± 2.1 1 1.04
Procysteine 28 ± 3.24 29.52 ± 3.13 0.95
Racecadotril 2.93 ± 0.47 1.27 ± 0.33 2.3
D-penicillamine 4.04 ± 0.37 6.93 ± 0.1 1 0.58
Thiorphan 4.87 ± 0.32 2.84 ± 0.16 1.71
Disulfide compounds
Cys-Gly 9.42 ± 0.43 4.23 ± 0.26 2.23
Cystamine 0.79 ± 0.07 1.55 ± 0.09 0.51
Cystine 3.12 ± 0.49 2.14 ± 0.23 1.45
Disulfide/Thiol reactive
Dithiothreitol 2.37 ± 0.24 1.89 ± 0.26 1.25
N-ethyl maleimide 0.030 ± 0.0004 0.016 ± 0.0003 1.97 Table 3. Cytotoxicity of tiopronin and analogs 5a-5e against parental and drug-resistant cell line pairs: B-3-1 human adenocarcinoma cells and the P-gp-expressing sub-line KB-Vl; MCF-7 human breast cancer cells at the MRP 1 -expressing sub-line MCF-7/VP-16; and the human large cell lung cancer cell line H460 and its ABCG2-expressing sub-line H460/MX20. Selectivity is calculated as the ratio of a compound's IC50 against parental cells divided by its IC50 against resistant cells. IC50 values are mean ± SD from three independent experiments.
Cytotoxicity (IC50, mM)
P-gp MRP] ABCG2
KB-3-1 KB-Vl RR MCF-7 VP- 16 RR H460 MX20 RR
tiopronin 7.54 ± 0.2 0.1510.02 51.0 12.2712.34 0.2910.17 42.5 5.34 ±0.24 5.60 ±0.32 0.95
5a 18.25 ±2.61 0.4910.02 37.1 20.2 ±2.58 0.51 ±0.05 39.5 18.38 ±0.57 15.38 ± 1.1 1.20
5b 12.77 ±3.84 0.36 ±0.10 36.0 14.2313.22 0.5510.03 26.0 6.3310.54 3.95 ± 0.26 1.60
5d 17.8510.25 0.24 ± 0.03 74.7 1.30 ±0.32 0.76 ± 0.45 1.7 >20 >20 -
5c 4.96 ± 1.26 0.3310.05 15.3 2.9213.13 0.3610.10 8.0 11.3211.58 7.2410.013 1.56
5e 0.51 ±0.26 0.08 ± 0.02 6.2 0.22 ±0.14 0.14 ±0.01 1.6 0.23 ± 0.03 0.25 ± 0.03 0.90
[0133] The analogs were tested against P-gp expressing (KB-V1), ABCG2-expressing (H460 MX20) and MRP 1 -expressing (MCF-7/VP-16) cells, and their respective parental cells (KB 3-1 , H460 and MCF-7). Analogs 5a-5d demonstrated collateral sensitivity towards P-gp- and MRP1 -expressing cells as shown in Table 3. Ser-tiopronin (5d) was the most effective analog tested against KB- VI cells and significantly more effective than tiopronin, but consequently showed only 1.7-fold selectivity for MRP 1 -expressing VP-16 cells.
[0134] All references, including publications, patent applications, and patents, cited herein are hereby incorporated by reference to the same extent as if each reference were individually and specifically indicated to be incorporated by reference and were set forth in its entirety herein.
[0135] The use of the terms "a" and "an" and "the" and similar referents in the context of describing the invention (especially in the context of the following claims) are to be construed to cover both the singular and the plural, unless otherwise indicated herein or clearly contradicted by context. The terms "comprising," "having," "including," and "containing" are to be construed as open-ended terms (i.e., meaning "including, but not limited to,") unless otherwise noted. Recitation of ranges of values herein are merely intended to serve as a shorthand method of referring individually to each separate value falling within the range, unless otherwise indicated herein, and each separate value is incorporated into the specification as if it were individually recited herein. All methods described herein can be performed in any suitable order unless otherwise indicated herein or otherwise clearly contradicted by context. The use of any and all examples, or exemplary language (e.g., "such as") provided herein, is intended merely to better illuminate the invention and does not pose a limitation on the scope of the invention unless otherwise claimed. No language in the specification should be construed as indicating any non-claimed element as essential to the practice of the invention.
[0136] Preferred embodiments of this invention are described herein, including the best mode known to the inventors for carrying out the invention. Variations of those preferred embodiments may become apparent to those of ordinary skill in the art upon reading the foregoing description. The inventors expect skilled artisans to employ such variations as appropriate, and the inventors intend for the invention to be practiced otherwise than as specifically described herein. Accordingly, this invention includes all modifications and equivalents of the subject matter recited in the claims appended hereto as permitted by applicable law. Moreover, any combination of the above-described elements in all possible variations thereof is encompassed by the invention unless otherwise indicated herein or otherwise clearly contradicted by context.

Claims

CLAIMS:
1. A compound of the formula (I):
Figure imgf000054_0001
wherein
R1 is hydrogen, Ci-C6 alkyl, C2-C6 alkenyl, C2-C6 alkynyl, C3-C8 cycloalkyl, C3-C8 cycloalkenyl, C6-C0 aryl C]-C6 alkyl, C6-C20 aryl, heterocyclyl, or heterocyclyl alkyl;
R is hydrogen, Ci-C6 alkyl, C2-C6 alkenyl, C2-C6 alkynyl, C3-C8 cycloalkyl, C3-C8 cycloalkenyl, C -C20aryl Ci-C6 alkyl, C6-C20 aryl, heterocyclyl, heterocyclyl alkyl, or an amino acid fragment wherein the amino acid can be a natural or synthetic amino acid;
R3 is OR wherein R is hydrogen or C]-C6 alkyl, C2-C6 alkenyl, C2-C6 alkynyl, C3-C8 cycloalkyl, C3-C8 cycloalkenyl, or C6-C20 aryl, or R3 is a fragment of an amino acid or of a polyamino acid wherein the amino acid can be a natural or synthetic amino acid; and
R4 is H or a moiety of the formula (II):
Figure imgf000054_0002
wherein each of R1- R3 are optionally substituted with one or more substituents selected from the group consisting of halo, hydroxy, carboxy, phosphoryl, phosphonyl, phosphono Ci-C6 alkyl, carboxy Ci-C6 alkyl, dicarboxy Ci-C6 alkyl, dicarboxy halo C]-C6 alkyl, sulfonyl, cyano, nitro, alkoxy, alkylthio, acyl, acyloxy, thioacyl, acylthio, aryloxy, amino, alkylamino, dialkylamino, trialkylamino, guanidine, aldehydo, ureido, aminocarbonyl, a cationic group, an anionic group, SR5, S(0)R5, S02R5, S02NRsR5, S02N(OH)R5, CR5=NR6, CR5-N(OR6), N3, NR5R6, N(OH)R5, C(0)R5, C(S)R5, C02R5, C(0)SR5, C(0)NR5R6, C(S)NR5R6,
C(0)N(OH)R5, C(S)N(OH)R5, NR5C(0)R6, NR5C(S)R6, N(OH)C(0)R5, N(OH)C(S)R5, NR5C02R6, N(OH)C02R5, NR5C(0)SR6, NR5C(0)NR6R7, NR5C(S)NR6R7,
N(OH)C(0)NR5R6, N(OH)C(S)NR5R6, NR5R6, N+R5R6R7, NR5C(0)N(OH)R6,
NR5C(S)N(OH)R6, NR5S02R6, NHS02NR5R6, NR5S02NHR6, and P(0)(OR5)(OR6); wherein are independently hydrogen, Ci-C6 alkyl, C2-C6 alkenyl, C2-C6 alkynyl, C3-C8 cycloalkyl, C3-C8 cycloalkenyl, C6-C2o aryl Q-Q alkyl, C6-C20 aryl, heterocyclyl, or heterocyclyl alkyl; a diastereoisomer thereof; or pharmaceutically acceptable salt thereof; with the proviso that when R1 is hydrogen, Ci-C6 alkyl, or C6-C2oaryl Ci-C6 alkyl, then R3 is not OR where R is hydrogen.
2. A pharmaceutical composition comprising a compound of claim 1, a
stereoisomer thereof; or pharmaceutically acceptable salt thereof, and a pharmaceutically acceptable carrier.
3. A method for treating a diseased cell, which is a cancer cell or a cell carrying bacterial multidrug resistant Staphylococcus aureus (MRSA), tuberculosis, fungal infection, or MDR malaria, comprising administering to the cell an effective amount of a compound of the formula (I):
Figure imgf000055_0001
wherein R1 is hydrogen, C -C6 alkyl, C2-C6 alkenyl, C2-C6 alkynyl, C3-C8 cycloalkyl, C3-C8 cycloalkenyl, C6-C20 aryl Ci-C6 alkyl, C6-C20 aryl, heterocyclyl, or heterocyclyl alkyl; R2 is hydrogen, Ci-C6 alkyl, C2-C6 alkenyl, C2-C6 alkynyl, C3-C8 cycloalkyl, C3-C8 cycloalkenyl, C6-C20 aryl C[-C6 alkyl, C6-C2o aryl, heterocyclyl, heterocyclyl alkyl, or an amino acid fragment wherein the amino acid can be a natural or synthetic amino acid;
R3 is OR wherein R is hydrogen or Ci-C6 alkyl, C2-C6 alkenyl, C2-C6 alkynyl, C3-C8 cycloalkyl, C3-C8 cycloalkenyl, or C -C2o aryl, or R is a fragment of an amino acid or of a polyamino acid wherein the amino acid can be a natural or synthetic amino acid; and
R4 is H or a moiety of the formula (II):
Figure imgf000056_0001
wherein each of R1- R3 are optionally substituted with one or more substituents selected from the group consisting of halo, hydroxy, carboxy, phosphoryl, phosphonyl, phosphono Ci-C6 alkyl, carboxy Ci-C6 alkyl, dicarboxy Ci-C6 alkyl, dicarboxy halo Ci-C6 alkyl, sulfonyl, cyano, nitro, alkoxy, alkylthio, acyl, acyloxy, thioacyl, acylthio, aryloxy, amino, alkylamino, dialkylamino, trialkylamino, guanidine, aldehydo, ureido, aminocarbonyl, a cationic group, an anionic group, SR5, S(0)R5, S02R5, S02NR5R6, S02N(OH)R5, CR5=NR6, CR5=N(OR6), N3, NR5R6, N(OH)R5, C(0)R5, C(S)R5, C02R5, C(0)SR5, C(0)NR5R6, C(S)NR5R6,
C(0)N(OH)R5, C(S)N(OH)R5, NR5C(0)R6, NR5C(S)R6, N(OH)C(0)R5, N(OH)C(S)R5, NR5C02R6, N(OH)C02R5, NR5C(0)SR6, NR5C(0)NR6R7, NR5C(S)NR6R7,
N(OH)C(0)NR5R6, N(OH)C(S)NR5R6, NR5R6, N+R5R6R7, NR5C(0)N(OH)R6,
NR5C(S)N(OH)R6, NR5S02R6, NHS02NR5R6, NR5S02NHR6, and P(0)(OR5)(OR6); wherein R5-R7 are independently hydrogen, Q-C6 alkyl, C2-C6 alkenyl, C2-C6 alkynyl, C3-C8 cycloalkyl, C3-C8 cycloalkenyl, C6-C20 aryl Ci-C6 alkyl, C6-C20 aryl, heterocyclyl, or heterocyclyl alkyl; a diastereoisomer thereof; or pharmaceutically acceptable salt thereof.
4. The method of claim 3, wherein the diseased cell is a cancer cell.
5. The method of claim 4, wherein the cancer cell is a multidrug resistant cancer cell.
6. The method of claim 5, comprising reducing the resistance of the multidrug resistant cancer cell to a chemotherapeutic agent by reducing the amount or activity of an ABC- family mRNA and/or protein in the cell.
7. The method of claim 5 or 6, comprising reducing the amount or activity of the ABCBl mRNA and/or protein or the ABCC1 mRNA and/or protein in the cancer cells undergoing cancer treatment, wherein the cancer cells over-express the ABCBl mRNA and/or protein or the ABCC1 mRNA and/or protein.
8. The method of claim 4, comprising reducing the amount or activity of glutathione in the cancer cell.
9. The method of claim 4, comprising down regulating the mRNA of Bcl2 protein in the cancer cell.
10. A method of enhancing the chemotherapeutic treatment of a chemotherapeutic agent in an animal comprising administering to the animal an effective amount of a compound of the formula (I):
Figure imgf000057_0001
wherein R1 is hydrogen, Cj-C6 alkyl, C2-C6 alkenyl, C -C6 alkynyl, C3-C8 cycloalkyl, C3-C8 cycloalkenyl, C6-C20 aryl Q-Q alkyl, C6-C20 aryl, heterocyclyl, or heterocyclyl alkyl;
R2 is hydrogen, Ci-C6 alkyl, C2-C6 alkenyl, C2-C6 alkynyl, C3-C8 cycloalkyl, C3-C8 cycloalkenyl, C6-C20 aryl C]-C6 alkyl, C6-C2o aryl, heterocyclyl, heterocyclyl alkyl, or an amino acid fragment wherein the amino acid can be a natural or synthetic amino acid; R3 is OR wherein R is hydrogen or Ci-C alkyl, C2-C6 alkenyl, C2-C6 alkynyl, C3-C8 cycloalkyl, C3-C8 cycloalkenyl, or C6-C20 aryl, or R is a fragment of an amino acid or of a polyamino acid wherein the amino acid can be a natural or synthetic amino acid; and
R4 is H or a moiety of the formula (II):
Figure imgf000058_0001
1 3
wherein each of R - R are optionally substituted with one or more substituents selected from the group consisting of halo, hydroxy, carboxy, phosphoryl, phosphonyl, phosphono C C6 alkyl, carboxy Ci-C6 alkyl, dicarboxy Q-C6 alkyl, dicarboxy halo Ci-C6 alkyl, sulfonyl, cyano, nitro, alkoxy, alkylthio, acyl, acyloxy, thioacyl, acylthio, aryloxy, amino, alkylamino, dialkylamino, trialkylamino, guanidine, aldehydo, ureido, aminocarbonyl, a cationic group, an anionic group, SR5, S(0)R5, S02R5, S02NR5R6, S02N(OH)R5, CR5=NR6, CR5=N(OR6), N3, NR5R6, N(OH)R5, C(0)R5, C(S)R5, C02R5, C(0)SR5, C(0)NR5R6, C(S)NR5R6,
C(0)N(OH)R5, C(S)N(OH)R5, NR5C(0)R6, NR5C(S)R6, N(OH)C(0)R5, N(OH)C(S)R5, NR5C02R6, N(OH)C02R5, NR5C(0)SR6, NR5C(0)NR6R7, NR5C(S)NR6R7,
N(OH)C(0)NR5R6, N(OH)C(S)NR5R6, NR5R6, N+R5R6R7, NR5C(0)N(OH)R6,
NR5C(S)N(OH)R6, NR5S02R6, NHS02NR5R6, NR5S02NHR6, and P(0)(OR5)(OR6); wherein R5-R7 are independently hydrogen, CrC6 alkyl, C2-C6 alkenyl, C2-C6 alkynyl, C3-C8 cycloalkyl, C3-C8 cycloalkenyl, C6-C20 aryl Ci-C6 alkyl, C6-C20 aryl, heterocyclyl, or heterocyclyl alkyl; a diastereoisomer thereof; or pharmaceutically acceptable salt thereof; in conjunction with the administration of the chemotherapeutic agent.
1 1. The method of claim 10, comprising administering the chemotherapeutic agent before, after, or simultaneously with the administration of the compound of formula (I), a diastereoisomer thereof; or pharmaceutically acceptable salt thereof.
12. The method of claim 10, comprising administering the chemo therapeutic agent and the compound of formula (I), a diastereoisomer thereof, or pharmaceutically acceptable salt thereof, cyclically.
13. The compound or method of any one of claims 1-12, wherein R1 is Ci-C6 alkyl.
14. The compound or method of any one of claims 1-13, wherein R1 is methyl.
15. The compound or method of any one of claims 1-14, wherein R2 is hydrogen.
16. The compound or method of any one of claims 1-14, wherein R2 is Ci-C6 alkyl, C6-C20 aryl Ci-C6 alkyl, or heterocyclyl alkyl, optionally substituted with one or more substituents selected from the group consisting of halo, hydroxy, carboxy, cyano, nitro, alkoxy, alkylthio, SH, acyl, acyloxy, thioacyl, acylthio, aryloxy, amino, alkylamino, dialkylamino, trialkylamino, guanidine, aldehydo, ureido, aminocarbonyl, a cationic group, and an anionic group.
17. The compound or method of claim 16, wherein R is C1-C3 alkyl, C6-Ci0 aryl Ci-C6 alkyl, or heterocyclyl alkyl, optionally substituted with one or more substituents selected from the group consisting of halo, hydroxy, carboxy, cyano, nitro, alkoxy, alkylthio, SH, acyl, acyloxy, thioacyl, acylthio, aryloxy, amino, alkylamino, dialkylamino, trialkylamino, guanidine, aldehydo, ureido, aminocarbonyl, a cationic group, and an anionic group.
18. The compound or method of claim 17, wherein R is methyl, benzyl, pyrrolyl, indolyl, or pyrrolidinyl, optionally substituted with one or more substituents selected from the group consisting of halo, hydroxy, carboxy, cyano, nitro, alkoxy, alkylthio, SH, acyl, acyloxy, thioacyl, acylthio, aryloxy, amino, alkylamino, dialkylamino, trialkylamino, guanidine, aldehydo, ureido, aminocarbonyl, a cationic group, and an anionic group.
19. The compound or method of any one of claims 16-18, wherein R is optionally substituted with one or more substituents selected from the group consisting of hydroxy, carboxy, alkoxy, alkylthio, SH, amino, alkylamino, dialkylamino, trialkylamino, guanidine, aminocarbonyl, a cationic group, and an anionic group.
20. The compound or method of claim 19, wherein R is substituted with one or more substituents selected from the group consisting of hydroxy, carboxy, alkoxy, alkylthio, SH, amino, alkylamino, dialkylamino, trialkylamino, guanidine, aminocarbonyl, a cationic group, and an anionic group.
21. The compound or method of any one of claims 1-20, wherein R is hydrogen.
22. The compound or method of any one of claims 1-20, wherein R is C]-C6 alkyl or C6-C20 aryl.
23. The compound or method of claim 22, wherein R is C)-C3 alkyl or C6-Cio aryl.
24. The compound or method of any one of claims 1-23, wherein R4 is H.
25. The compound or method of any one of claims 1-23, wherein R4 is a moiety of formula (II).
26. The method of claim 3, wherein R is methyl, R is hydrogen, methyl, isopropyl, benzyl, or hydroxymethyl; R and R4 are hydrogen.
27. The method of claim 6, wherein the ABC family mRNA or protein is P- glycoprotein mRNA or ABCB1 protein.
28. The method of claim 6, wherein the ABC family mRNA or protein is MRP1 mRNA or ABCC1 protein.
29. The method of any one of claims 4-28, wherein the cancer is selected from the group consisting of adrenocortical carcinoma, AIDS-related lymphoma, AIDS-related malignancies, anal cancer, cerebellar astrocytoma, extrahepatic bile duct cancer, bladder cancer, osteosarcoma/malignant fibrous histiocytoma, brain stem glioma, ependymoma, visual pathway and hypothalamic gliomas, breast cancer, bronchial adenomas/carcinoids, carcinoid tumors, gastrointestinal carcinoid tumors, carcinoma, adrenocortical, islet cell carcinoma, leukemias, lymphomas, myelomas, primary central nervous system lymphoma, cerebellar astrocytoma, cervical cancer, chronic lymphocytic leukemia, chronic myelogenous leukemia, clear cell sarcoma of tendon sheaths, colon cancer, colorectal cancer, cutaneous T- cell lymphoma, endometrial cancer, ependymoma, esophageal cancer, Ewing's sarcoma/family of tumors, extracranial germ cell tumors, extragonadal germ cell tumors, extrahepatic bile duct cancer, eye cancers, including intraocular melanoma, and
retinoblastoma, gallbladder cancer, gastrointestinal carcinoid tumor, ovarian germ cell tumor, gestational trophoblastic tumor, hairy cell leukemia, head and neck cancer, Hodgkin's disease, hypopharyngeal cancer, hypothalamic and visual pathway glioma, intraocular melanoma, Kaposi's sarcoma, laryngeal cancer, acute lymphoblastic leukemia, acute myeloid leukemia, liver cancer, non-small cell lung cancer, small cell lung cancer, non-Hodgkin's lymphoma, Waldenstrom's macroglobulinemia, malignant mesothelioma, malignant thymoma, medulloblastoma, melanoma, intraocular melanoma, merkel cell carcinoma, metastatic squamous neck cancer with occult primary, multiple endocrine neoplasia syndrome, multiple myeloma/plasma cell neoplasm, mycosis fungoides, myelodysplasia syndrome, chronic myelogenous leukemia, myeloid leukemia, multiple myeloma, myeloproliferative disorders, nasal cavity and paranasal sinus cancer, nasopharyngeal cancer, neuroblastoma, oral cancer, oral cavity and lip cancer, oropharyngeal cancer,
osteosarcoma/malignant fibrous histiocytoma of bone, ovarian cancer, ovarian low malignant potential tumor, pancreatic cancer, paranasal sinus and nasal cavity cancer, parathyroid cancer, penile cancer, pheochromocytoma, pituitary tumor, pleuropulmonary blastoma, prostate cancer, rectal cancer, renal cell (kidney) cancer, transitional cell cancer (e.g. renal pelvis and ureter), retinoblastoma, rhabdomyosarcoma, salivary gland cancer, malignant fibrous histiocytoma of bone, soft tissue sarcoma, sezary syndrome, skin cancer, small intestine cancer, stomach (gastric) cancer, supratentorial primitive neuroectodermal and pineal tumors, cutaneous T-cell lymphoma, testicular cancer, malignant thymoma, thyroid cancer, gestational trophoblastic tumor, urethral cancer, uterine sarcoma, vaginal cancer, vulvar cancer, and Wilms' tumor.
30. The method of claim 10, wherein the chemotherapeutic agent is a compound or its pharmaceutically acceptable salt selected from the group consisting of adriamycin, anastrozole, arsenic trioxide, arsenite, asparaginase, azacytidine, BCG Live, bevacizumab, bexarotene capsules, bexarotene gel, bisantrene, bleomycin, bortezombi, busulfan
intravenous, busulfan oral, calusterone, campothecin, capecitabine, carboplatin, carmustine, carmustine with polifeprosan 20 implant, celecoxib, cetuximab, chlorambucil, cisplatin, cladribine, clofarabine, colchicines, cyclophosphamide, cytarabine, Cytoxan, cytarabine liposomal, dacarbazine, dactinomycin, actinomycin D, dalteparin sodium, darbepoetin alfa, dasatinib, daunorubicin liposomal, daunorubicin, daunomycin, decitabine, denileukin, denileukin diftitox, dexrazoxane, dexrazoxane, docetaxel, doxorubicin, doxorubicin liposomal, dolastatin 15, dromostanolone propionate, dihydropyridines, eculizumab, Elliott's B Solution, the epothilones, epirubicin, epirubicin HC1, epoetin alfa, erlotinib, estramustine, etoposide phosphate, etoposide VP- 16, exemestane, flavopyridol, fentanyl citrate, filgrastim, floxuridine (intraarterial), fludarabine, fluorouracil 5-FU, fluovinblastine, fulvestrant, 5- fluoro-5'-deoxyuridine, SFTI-1, gefitinib, gemcitabine, gemcitabine HC1, geldanamycin, gemtuzumab ozogamicin, goserelin acetate, goserelin acetate, histrelin acetate, hydroxyurea, irinotecanetoposide, ibritumomab tiuxetan, idarubicin, ifosfamide, imatinib, imatinib mesylate, interferon alpha-2a, interferon alpha-2b, irinotecan, lapatinib ditosylate, lenalidomide, letrozole, leucovorin, leuprolide acetate, levamisole, lomustine CCNU, meclorethamine, nitrogen mustard, megestrol acetate, melphalan L-PAM, mercaptopurine 6- MP, mesna, methotrexate, methoxsalen, mitomycins, mitomycin C, mitotane, mitoxantrone, mitoantrone, medroxyprogesterone, mifepristone, nandrolone phenpropionate, nelarabine, nofetumomab, nocodazole podophyllotoxin, oprelvekin, oxaliplatin, paclitaxel, paclitaxel protein-bound particles, palifermin, pamidronate, panitumumab, pegademase, pegaspargase, pegfilgrastim, peginterferon alpha-2b, pemetrexed disodium, pentostatin, pipobroman, plicamycin, PMEA, mithramycin, prazosin, porfimer sodium, procarbazine, quinacrine, rasburicase, rituximab, rhizoxin, sargramostim, sorafenib, SN-38, streptozocin, sunitinib, sunitinib maleate, tamoxifen, temozolomide, teniposide VM-26, testolactone, thalidomide, 6- thiopurine, thioguanine 6-TG, thiotepa, topotecan, topotecan HC1, toremifene, tositumomab, tositumomab/I-131 tositumomab, trastuzumab, tretinoin ATRA, uracil mustard, valrubicin, vinblastine, vincristine, vindestine, vinorelbine, vorinostat, zoledronate, zoledronic acid, raloxifene, 5-azacytidine, 5-aza-2'-deoxycytidine, zebularine, 4-hydroxytamoxifen, apigenin, rapamycin, angiostatin Kl-3, L-asparaginase, staurosporine, genistein, fumagilin, endostatin, isophosphoramide mustard, thalidomide, and nilotinib, or a pharmaceutically salt and mixtures thereof.
31. The method of any one of claims 3-9 or 13-32, wherein the cell is in an animal.
32. The method of claim 31, wherein the animal is human.
33. The method of any one of claims 3-9 or 13-30, wherein cell is an animal cell.
34. The method of any one of claims 3-9 or 13-33, comprising administering an effective amount of a compound of formula (I), a diastereoisomer thereof, or a
pharmaceutically acceptable salt thereof before, after, or simultaneously with administering a chemotherapeutic agent.
35. The method of any one of claims 3-9 or 13-33, comprising administering an effective amount of a compound of formula (I), a diastereoisomer thereof, or a
pharmaceutically acceptable salt thereof cyclically with administering a chemotherapeutic agent.
36. A pharmaceutical composition comprising a compound of formula (I):
Figure imgf000063_0001
wherein R1 is hydrogen, Ci-C6 alkyl, C2-C6 alkenyl, C2-C6 alkynyl, C3-C8 cycloalkyl, C3-C8 cycloalkenyl, C6-C20 aryl CrC6 alkyl, C6-C20 aryl, heterocyclyl, or heterocyclyl alkyl;
R2 is hydrogen, Ci-C6 alkyl, C2-C6 alkenyl, C2-C6 alkynyl, C3-C8 cycloalkyl, C3-Cg cycloalkenyl, C6-C20 aryl Ci-C6 alkyl, C6-C20 aryl, heterocyclyl, heterocyclyl alkyl, or an amino acid fragment wherein the amino acid can be a natural or synthetic amino acid;
R3 is OR wherein R is hydrogen or Ci-C6 alkyl, C2-C6 alkenyl, C2-C6 alkynyl, C3-C8 cycloalkyl, C3-C8 cycloalkenyl, or C6-C20 aryl, or R is a fragment of an amino acid or of a polyamino acid wherein the amino acid can be a natural or synthetic amino acid; and
R4 is H or a moiety of the formula (II):
Figure imgf000064_0001
I 3
wherein each of R - R are optionally substituted with one or more substituents selected from the group consisting of halo, hydroxy, carboxy, phosphoryl, phosphonyl, phosphono C]-C6 alkyl, carboxy Ci-C6 alkyl, dicarboxy Ci-C6 alkyl, dicarboxy halo C]-C6 alkyl, sulfonyl, cyano, nitro, alkoxy, alkylthio, acyl, acyloxy, thioacyl, acylthio, aryloxy, amino, alkylamino, dialkylamino, trialkylamino, guanidine, aldehydo, ureido, aminocarbonyl, a cationic group, an anionic group, SR5, S(0)R5, S02R5, S02NR5R6, S02N(OH)R5, CR5=NR6, CR5=N(OR6), N3, NR5R6, N(OH)R5, C(0)R5, C(S)R5, C02R5, C(0)SR5, C(0)NR5R6, C(S)NR5R6,
C(0)N(OH)R5, C(S)N(OH)R5, NR5C(0)R6, NR5C(S)R6, N(OH)C(0)R5, N(OH)C(S)R5, NR5C02R6, N(OH)C02R5, NR5C(0)SR6, NR5C(0)NR6R7, NR5C(S)NR6R7,
N(OH)C(0)NR5R6, N(OH)C(S)NR5R6, NR5R6, N+R5R6R7, NR5C(0)N(OH)R6,
NR5C(S)N(OH)R6, NR5S02R6, NHS02NR5R6, NR5S02NHR6, and P(0)(OR5)(OR6); wherein R5-R7 are independently hydrogen, Cj-C6 alkyl, C2-C6 alkenyl, C2-C6 alkynyl, C3-C8 cycloalkyl, C3-C8 cycloalkenyl, C6-C20 aryl Ci-C6 alkyl, C -C20 aryl, heterocyclyl, or heterocyclyl alkyl; a diastereoisomer thereof; or pharmaceutically acceptable salt thereof; and a chemotherapeutic agent.
37. The pharmaceutical composition of claim 36, wherein the chemotherapeutic agent is a compound or its pharmaceutically acceptable salt selected from the group consisting of adriamycin, anastrozole, arsenic trioxide, arsenite, asparaginase, azacytidine, BCG Live, bevacizumab, bexarotene capsules, bexarotene gel, bisantrene, bleomycin, bortezombi, busulfan intravenous, busulfan oral, calusterone, campothecin, capecitabine, carboplatin, carmustine, carmustine with polifeprosan 20 implant, celecoxib, cetuximab, chlorambucil, cisplatin, cladribine, clofarabine, colchicines, cyclophosphamide, cytarabine, Cytoxan, cytarabine liposomal, dacarbazine, dactinomycin, actinomycin D, dalteparin sodium, darbepoetin alfa, dasatinib, daunorubicin liposomal, daunorubicin, daunomycin, decitabine, denileukin, denileukin diftitox, dexrazoxane, dexrazoxane, docetaxel, doxorubicin, doxorubicin liposomal, dolastatin 15, dromostanolone propionate, dihydropyridines, eculizumab, Elliott's B Solution, the epothilones, epirubicin, epirubicin HC1, epoetin alfa, erlotinib, estramustine, etoposide phosphate, etoposide VP- 16, exemestane, flavopyridol, fentanyl citrate, filgrastim, floxuridine (intraarterial), fludarabine, fluorouracil 5-FU, fluovinblastine, fulvestrant, 5-fluoro-5'-deoxyuridine, SFTI-1, gefitinib, gemcitabine, gemcitabine HC1, geldanamycin, gemtuzumab ozogamicin, goserelin acetate, goserelin acetate, histrelin acetate, hydroxyurea, irinotecanetoposide, ibritumomab tiuxetan, idarubicin, ifosfamide, imatinib, imatinib mesylate, interferon alpha-2a, interferon alpha-2b, irinotecan, lapatinib ditosylate, lenalidomide, letrozole, leucovorin, leuprolide acetate, levamisole, lomustine CCNU, meclorethamine, nitrogen mustard, megestrol acetate, melphalan L-PAM, mercaptopurine 6-MP, mesna, methotrexate, methoxsalen, mitomycins, mitomycin C, mitotane, mitoxantrone, mitoantrone, medroxyprogesterone, mifepristone, nandrolone phenpropionate, nelarabine, nofetumomab, nocodazole podophyllotoxin, oprelvekin, oxaliplatin, paclitaxel, paclitaxel protein-bound particles, palifermin, pamidronate, panitumumab, pegademase, pegaspargase, pegfilgrastim, peginterferon alpha-2b, pemetrexed disodium, pentostatin, pipobroman, plicamycin, PMEA, mithramycin, prazosin, porfimer sodium, procarbazine, quinacrine, rasburicase, rituximab, rhizoxin, sargramostim, sorafenib, SN-38, streptozocin, sunitinib, sunitinib maleate, tamoxifen, temozolomide, teniposide VM- 26, testolactone, thalidomide, 6-thiopurine, thioguanine 6-TG, thiotepa, topotecan, topotecan HC1, toremifene, tositumomab, tositumomab/I-131 tositumomab, trastuzumab, tretinoin ATRA, uracil mustard, valrubicin, vinblastine, vincristine, vindestine, vinorelbine, vorinostat, zoledronate, zoledronic acid, raloxifene, 5-azacytidine, 5-aza-2'-deoxycytidine, zebularine, 4- hydroxytamoxifen, apigenin, rapamycin, angiostatin Kl-3, L-asparaginase, staurosporine, genistein, fumagilin, endostatin, isophosphoramide mustard, thalidomide, and nilotinib, or a pharmaceutically salt and mixtures thereof.
38. A compound of the formula (I):
Figure imgf000066_0001
wherein R1 is hydrogen, C\-C alkyl, C2-C6 alkenyl, C2-C alkynyl, C3-C8 cycloalkyl, C3-C8 cycloalkenyl, C6-C2o aryl Cj-C6 alkyl, C6-C20 aryl, heterocyclyl, or heterocyclyl alkyl;
R2 is hydrogen, Ci-C6 alkyl, C2-C6 alkenyl, C2-C6 alkynyl, C3-C8 cycloalkyl, C3-C8 cycloalkenyl, C6-C2o aryl Cj-C6 alkyl, C6-C20 aryl, heterocyclyl, heterocyclyl alkyl, or an amino acid fragment wherein the amino acid can be a natural or synthetic amino acid;
R3 is OR wherein R is hydrogen or Ci-C6 alkyl, C2-C6 alkenyl, C2-C6 alkynyl, C3-C8 cycloalkyl, C3-C8 cycloalkenyl, or C6-C2o aryl, or R is a fragment of an amino acid or of a polyamino acid wherein the amino acid can be a natural or synthetic amino acid; and
R4 is H or a moiety of the formula (II):
Figure imgf000066_0002
wherein each of R1- R3 are optionally substituted with one or more substituents selected from the group consisting of halo, hydroxy, carboxy, phosphoryl, phosphonyl, phosphono Ci-C6 alkyl, carboxy Ci-C6 alkyl, dicarboxy C C6 alkyl, dicarboxy halo Ci-C6 alkyl, sulfonyl, cyano, nitro, alkoxy, alkylthio, acyl, acyloxy, thioacyl, acylthio, aryloxy, amino, alkylamino, dialkylamino, trialkylamino, guanidine, aldehydo, ureido, aminocarbonyl, a cationic group, an anionic group, SR5, S(0)R5, S02R5, S02NR5R6, S02N(OH)R5, CR5=NR6, CR5=N(OR6), N3, NR5R6, N(OH)R5, C(0)R5, C(S)R5, C02R5, C(0)SR5, C(0)NR5R6, C(S)NR5R6,
C(0)N(OH)R5, C(S)N(OH)R5, NR5C(0)R6, NR5C(S)R6, N(OH)C(0)R5, N(OH)C(S)R5, NR5C02R6, N(OH)C02Rs, NR5C(0)SR6, NRsC(0)NR6R7, NR5C(S)NR6R7, N(OH)C(0)NR5R6, N(OH)C(S)NR5R6, NR5R6, N+R5R6R7, NR5C(0)N(OH)R6, NR5C(S)N(OH)R6, NR5S02R6, NHS02NR5R6, NR5S02NHR6, and P(0)(OR5)(OR6); wherein R -R are independently hydrogen, Ci-C6 alkyl, C2-C6 alkenyl, C2-C6 alkynyl, C3-Cg cycloalkyl, C3-C8 cycloalkenyl, C6-C20 aryl Ci-C6 alkyl, C6-C20 aryl, heterocyclyl, or heterocyclyl alkyl; a diastereoisomer thereof; or pharmaceutically acceptable salt thereof; for use in treating a diseased cell, which is a cancer cell or a cell carrying bacterial multidrug resistant Staphylococcus aureus (MRSA), tuberculosis, fungal infection, or MDR malaria.
39. A compound of the formula (I):
Figure imgf000067_0001
wherein R1 is hydrogen, C\-C(, alkyl, C2-C6 alkenyl, C2-C6 alkynyl, C3-C8 cycloalkyl, C3-C8 cycloalkenyl, C6-C20 aryl Ci-C6 alkyl, C6-C20 aryl, heterocyclyl, or heterocyclyl alkyl;
R2 is hydrogen, Ci-C6 alkyl, C2-C6 alkenyl, C2-C6 alkynyl, C3-C8 cycloalkyl, C3-C8 cycloalkenyl, C6-C20 aryl C)-C6 alkyl, C6-C2o aryl, heterocyclyl, heterocyclyl alkyl, or an amino acid fragment wherein the amino acid can be a natural or synthetic amino acid;
R3 is OR wherein R is hydrogen or Ci-C6 alkyl, C2-C6 alkenyl, C2-C6 alkynyl, C3-C8 cycloalkyl, C3-C8 cycloalkenyl, or C6-C20 aryl, or R3 is a fragment of an amino acid or of a polyamino acid wherein the amino acid can be a natural or synthetic amino acid; and
R4 is H or a moiety of the formula (II):
Figure imgf000068_0001
1
wherein each of R - R are optionally substituted with one or more substituents selected from the group consisting of halo, hydroxy, carboxy, phosphoryl, phosphonyl, phosphono Cj-C6 alkyl, carboxy Ci-C alkyl, dicarboxy Ci-C6 alkyl, dicarboxy halo Ci-C6 alkyl, sulfonyl, cyano, nitro, alkoxy, alkylthio, acyl, acyloxy, thioacyl, acylthio, aryloxy, amino, alkylamino, dialkylamino, trialkylamino, guanidine, aldehydo, ureido, aminocarbonyl, a cationic group, an anionic group, SR5, S(0)R5, S02R5, S02NR5R6, S02N(OH)R5, CR5=NR6, CR5=N(OR6), N3, NR5R6, N(OH)R5, C(0)R5, C(S)R5, C02R5, C(0)SR5, C(0)NR5R6, C(S)NR5R6,
C(0)N(OH)R5, C(S)N(OH)R5, NR5C(0)R6, NR5C(S)R6, N(OH)C(0)R5, N(OH)C(S)R5, NR5C02R6, N(OH)C02R5, NR5C(0)SR6, NR5C(0)NR6R7, NR5C(S)NR6R7,
N(OH)C(0)NR5R6, N(OH)C(S)NR5R6, NR5R6, N+R5R6R7, NR5C(0)N(OH)R6,
NR5C(S)N(OH)R6, NR5S02R6, NHS02NR5R6, NR5S02NHR6, and P(0)(OR5)(OR6); wherein R5-R7 are independently hydrogen, Ci-C6 alkyl, C2-C alkenyl, C2-C6 alkynyl, C3-C8 cycloalkyl, C3-C8 cycloalkenyl, C6-C20 aryl Ci-C6 alkyl, C6-C20 aryl, heterocyclyl, or heterocyclyl alkyl; a diastereoisomer thereof; or pharmaceutically acceptable salt thereof; for use in enhancing the chemotherapeutic treatment of a chemotherapeutic agent in an animal in conjunction with the use of the chemotherapeutic agent.
PCT/US2011/0578202010-10-292011-10-26Methods of treating cancer and other diseasesWO2012058269A2 (en)

Applications Claiming Priority (2)

Application NumberPriority DateFiling DateTitle
US40794810P2010-10-292010-10-29
US61/407,9482010-10-29

Publications (2)

Publication NumberPublication Date
WO2012058269A2true WO2012058269A2 (en)2012-05-03
WO2012058269A3 WO2012058269A3 (en)2012-09-27

Family

ID=44971089

Family Applications (1)

Application NumberTitlePriority DateFiling Date
PCT/US2011/057820WO2012058269A2 (en)2010-10-292011-10-26Methods of treating cancer and other diseases

Country Status (1)

CountryLink
WO (1)WO2012058269A2 (en)

Cited By (3)

* Cited by examiner, † Cited by third party
Publication numberPriority datePublication dateAssigneeTitle
WO2017175018A2 (en)2016-04-052017-10-12Magyar Tudományos Akadémia Természettudományi KutatóközpontMdr-reversing 8-hydroxy-quinoline derivatives
CN107501390A (en)*2016-06-142017-12-22首都医科大学Tiopronin acyl-Met-AA, it is synthesized, activity and application
CN111063489A (en)*2019-12-252020-04-24蔡春锋Preparation method of corrosion-resistant scouring-resistant resistance reducing agent

Citations (5)

* Cited by examiner, † Cited by third party
Publication numberPriority datePublication dateAssigneeTitle
US4235871A (en)1978-02-241980-11-25Papahadjopoulos Demetrios PMethod of encapsulating biologically active materials in lipid vesicles
US4501728A (en)1983-01-061985-02-26Technology Unlimited, Inc.Masking of liposomes from RES recognition
US4837028A (en)1986-12-241989-06-06Liposome Technology, Inc.Liposomes with enhanced circulation time
US5019369A (en)1984-10-221991-05-28Vestar, Inc.Method of targeting tumors in humans
US20100105088A1 (en)2007-02-052010-04-29Aarhus Universitet method for diagnosing atherosclerotic plaques by measurement of cd36

Family Cites Families (4)

* Cited by examiner, † Cited by third party
Publication numberPriority datePublication dateAssigneeTitle
CA1009252A (en)*1972-10-031977-04-26Santen Pharmaceutical Co.N-(mercaptoacyl) aminoacids
IT1111384B (en)*1978-12-211986-01-13Sigma Tau Ind Farmaceuti GUAIACYL ESTERS OF MERCAPTOPROPIONIC ACID DERIVATIVES PROCEDURE FOR THEIR PREPARATION AND THERAPEUTIC USE
US5571687A (en)*1994-06-071996-11-05Duke UniversityModulators of multidrug resistance transporters
WO2009067489A1 (en)*2007-11-202009-05-28Lankenau Institute For Medical ResearchDisulfide chemotherapeutic agents and methods of use thereof

Patent Citations (5)

* Cited by examiner, † Cited by third party
Publication numberPriority datePublication dateAssigneeTitle
US4235871A (en)1978-02-241980-11-25Papahadjopoulos Demetrios PMethod of encapsulating biologically active materials in lipid vesicles
US4501728A (en)1983-01-061985-02-26Technology Unlimited, Inc.Masking of liposomes from RES recognition
US5019369A (en)1984-10-221991-05-28Vestar, Inc.Method of targeting tumors in humans
US4837028A (en)1986-12-241989-06-06Liposome Technology, Inc.Liposomes with enhanced circulation time
US20100105088A1 (en)2007-02-052010-04-29Aarhus Universitet method for diagnosing atherosclerotic plaques by measurement of cd36

Non-Patent Citations (15)

* Cited by examiner, † Cited by third party
Title
"Remington's Pharmaceutical Sciences, 18th ed.", 1990, MACK PUBLISHING COMPANY, pages: 1445
BANKER AND CHALMERS: "Pharmaceutics and Pharmacy Practice", 1982, J. B. LIPPINCOTT COMPANY, pages: 238 - 250
BRIMACOMBE ET AL., ASSAY DRUG DEV. TECHNOL., vol. 7, 2009, pages 233 - 249
F. AUSUBEL ET AL.: "Current Protocols in Molecular Biology", 1987, GREENE PUBLISHING AND WILEY-INTERSCIENCE
GEORGES ET AL.: "Multidrug Resistance and Chemosensitization: Therapeutic Implications for Cancer Chemotherapy", ADVANCES IN PHARMACOLOGY, vol. 21, 1990, pages 185 - 220, XP000957493
HALL, M.D. ET AL., TRENDS PHARMACOL. SCI., vol. 30, 2009, pages 546 - 556
JOURNAL OF PHARMACEUTICAL SCIENCE, vol. 66, 1977, pages 2 - 19
KUSMICH ET AL.: "Detoxification Mechanisms and Tumor Cell Resistance to Anticancer Drugs", THE MULTI-DRUG RESISTANT PHENOTYPE (MDR, vol. 77, 1991, pages 185 - 217
LUDWIG, J. A. ET AL.: "Selective toxicity ofNSC73306 in MDR1-positive cells as a new strategy to circumvent multidrug resistance in cancer", CANCER RES, vol. 66, 2006, pages 4808 - 15, XP055030711, DOI: doi:10.1158/0008-5472.CAN-05-3322
LUDWIG, J.A. ET AL., CANCER RES., vol. 66, 2006, pages 4808 - 4815
SAMBROOK ET AL.: "Molecular Cloning: A Laboratory Manual(2nd ed.)", vol. 1-3, 1989, COLD SPRING HARBOR LABORATORY
SZAKACS ET AL., NATURE REVIEWS - DRUG DISCOVERY, vol. 5, 2006, pages 219 - 234
SZOKA ET AL., ANN. REV. BIOPHYS. BIOENG., vol. 9, 1980, pages 467
TOISSEL: "ASHP Handbook on Injectable Drugs, 4th ed.", 1986, pages: 622 - 630
WARR, J.R., CELL BIOL. INT. REP., vol. 10, 1986, pages 389 - 399

Cited By (4)

* Cited by examiner, † Cited by third party
Publication numberPriority datePublication dateAssigneeTitle
WO2017175018A2 (en)2016-04-052017-10-12Magyar Tudományos Akadémia Természettudományi KutatóközpontMdr-reversing 8-hydroxy-quinoline derivatives
US10744127B2 (en)2016-04-052020-08-18Magyar Tudományos Akadémia Természettudományi KutatóközpontMDR-reversing 8-hydroxy-quinoline derivatives
CN107501390A (en)*2016-06-142017-12-22首都医科大学Tiopronin acyl-Met-AA, it is synthesized, activity and application
CN111063489A (en)*2019-12-252020-04-24蔡春锋Preparation method of corrosion-resistant scouring-resistant resistance reducing agent

Also Published As

Publication numberPublication date
WO2012058269A3 (en)2012-09-27

Similar Documents

PublicationPublication DateTitle
JP7474269B2 (en) Compositions and methods for treating cancer
AU2016238874A1 (en)Compositions and methods relating to proliferative diseases
EP3233071B1 (en)Method of treating or preventing ras-mediated diseases
JP6698089B2 (en) Indenyl compounds, pharmaceutical compositions, and medical uses thereof
WO2014105952A2 (en)Inhibitors of the usp1/uaf1 deubiquitinase complex and uses thereof
AU2017272101A1 (en)Pegylated carfilzomib compounds
Romagnoli et al.One-pot synthesis and biological evaluation of 2-pyrrolidinyl-4-amino-5-(3′, 4′, 5′-trimethoxybenzoyl) thiazole: a unique, highly active antimicrotubule agent
WO2015073802A1 (en)Protein phosphatase inhibitors that cross the blood brain barrier
WO2018204370A1 (en)Cx3cr1 small molecule antagonists, and methods using same
WO2012058269A2 (en)Methods of treating cancer and other diseases
AU2011352378B2 (en)Oxidosqualene cyclase as a protein target for anticancer therapeutics
JP2018501261A (en) RAS-inhibiting indenylacetamide compounds, compositions, and uses thereof
WO2017106520A1 (en)Compounds, compositions and methods of treating cancer
US10485769B2 (en)Cholesteryl ester transfer protein (CETP) inhibition in the treatment of cancer
EP3487490A1 (en)Compounds for targeting cancer stem cells
EP3436007B1 (en)Beta-amino pateamine a derivatives and methods for treating chronic lymphocytic leukemia
WO2016204988A1 (en)Autophagy modulators for treating neurodegenerative diseases
DK2809647T3 (en)MGlu 2/3 agonists
WO2023220355A1 (en)Pim-targeted protacs with pim-binding moieties sgi-1776, azd-1208 or pim-447, and a e3 ubiquitin ligase binding moiety for the treatment of cancer
EP4540224A1 (en)Compounds and method for upregulation of p53 through induction of mdm2 degradation
HK40029376A (en)Drug therapy to inhibit chemotherapy-induced adverse effects and screening techniques and kits
WO2018187551A1 (en)Stat3 inhibitor formulation
HK1254349B (en)Treatment of lung cancer with inhibitors of glutaminase

Legal Events

DateCodeTitleDescription
121Ep: the epo has been informed by wipo that ep was designated in this application

Ref document number:11782491

Country of ref document:EP

Kind code of ref document:A2

NENPNon-entry into the national phase

Ref country code:DE

122Ep: pct application non-entry in european phase

Ref document number:11782491

Country of ref document:EP

Kind code of ref document:A2


[8]ページ先頭

©2009-2025 Movatter.jp