Movatterモバイル変換


[0]ホーム

URL:


WO2012013577A1 - Composition for coating medical devices containing lae and a polycationic amphoteric polymer - Google Patents

Composition for coating medical devices containing lae and a polycationic amphoteric polymer
Download PDF

Info

Publication number
WO2012013577A1
WO2012013577A1PCT/EP2011/062580EP2011062580WWO2012013577A1WO 2012013577 A1WO2012013577 A1WO 2012013577A1EP 2011062580 WEP2011062580 WEP 2011062580WWO 2012013577 A1WO2012013577 A1WO 2012013577A1
Authority
WO
WIPO (PCT)
Prior art keywords
lae
poly
polycationic
devices
medical devices
Prior art date
Application number
PCT/EP2011/062580
Other languages
French (fr)
Inventor
Abdul Gaffar
Xavier Rocabayera Bonvila
Original Assignee
Laboratorios Miret, S.A.
Priority date (The priority date is an assumption and is not a legal conclusion. Google has not performed a legal analysis and makes no representation as to the accuracy of the date listed.)
Filing date
Publication date
Application filed by Laboratorios Miret, S.A.filedCriticalLaboratorios Miret, S.A.
Publication of WO2012013577A1publicationCriticalpatent/WO2012013577A1/en

Links

Classifications

Definitions

Landscapes

Abstract

The invention relates to antimicrobial compositions containing LAE, a polycationic or amphoteric polymer material and optionally an auxiliary material from the group consisting of cationic and amphoteric surfactants. The antimicrobial composition preferably contains polycationic material or amphoteric polymer material which is selected from the group consisting of poly(allylamine hydrochloride) (PAH), poly(ethyleneimine) (PAI), poly(vinylbenzyltrimethylamine) (PVBT), polyaniline (PAN), polypyrrole and poly(pyridinium acetylene) ) for the polycationic and octylacrylamide/acrylates/butylaminoethyl methylacrylate polymer ( Amphomer®).

Description

COMPOSITION FOR COATING MEDICAL DEVICES CONTAINING LAE AND A POLYCATIONIC AMPHOTERIC POLYMER
TECHNICAL FIELD
The present invention relates to novel combinations for the treatment of medical devices. BACKGROUND ART
A large number of medical devices such as urinary catheters, endotracheal tubes, central venous catheters are used in patient care and are a leading cause of hospital-acquired infections in high risk patients. Such high-risk patients include critically ill patients admitted to intensive care units (ICU), cancer patients and patients with chronic diseases requiring long term care, such as those on total parenteral nutrition. Anti-infective devices coated with antimicrobial agents have been shown to significantly decrease the risk of device-related and hospital- acquired infections. Most nosocomial (hospital-acquired) infections are caused by contamination of medical devices. In addition, patients undergo a vast number of surgical procedures in the United States. Current data show 27 million procedures performed per year and post-surgical site infections occur in approximately 2-3 % of these cases. Whenever medical devices are used in surgical settings the risk of infection is increased.
Many medical devices could not exist without today's advanced coating
technologies. First, without antimicrobial coating, the rate of nosocomial infection would sky-rocket. Second, without proper biocompatible coatings, any device exposed to blood for more than a few minutes could lead to thrombi and third, upon contamination most of these devices form microbial biofilms, and antibiotics and antimicrobials are not very effective in preventing the formation and proliferation of such microbial films, since their activities are primarily robust against free floating bacteria, but not on biofilms. Fourth, even if the bacteria are killed at the sites of devices, this can leave toxins released from the action of the antibacterial at the surface, which might lead to toxic shock and sepsis. Many devices are coated with technologies which handle one or two of the above problems but which do not include all treatments.
Significant prior art exists on the use of antimicrobial agents in coating devices. US 2006/ 02633404A1 provides an assembly of preparations of medical devices having a porous coating comprising hydrogen peroxide for catheters, such as urinary catheters, endoscopes, laryngoscopes, tubes for feeding, tubes for drainage, guidewires, condoms, urisheets, barrier coatings, for example gloves, stents and other implants, extracorporeal blood conduits, membranes, for example for dialysis, blood filters, devices for circulatory assistance, dressings for wound care and ostomy bags. WO2007/062330682 discloses methods for coatings or impregnating surfaces with antimicrobial agents that involve coating the surface with a composition including antimicrobial agents and solvents, in curing surfaces by applying heat. W01 /95876 teaches the coating of medical devices with antibiotics and quaternary ammonium compounds to prevent bacteria from growing on the devices. European Patent Application 0590348A1 teaches the coating of venous catheters with lipodalbahepatide antibiotics for preventing development of catheter-related infections. WO2007/050565A2 relates to the coating of medical devices with bactericidal and bacteriostatic coatings to prevent infection. US Patent 5752941 discloses central venous polyurethane catheters with a thin hydrophilic coating loaded with antibiotics to prevent catheter related infection. US 2008/0020127A1 describes the coating using the bridged polycyclic compounds with quaternary ammonium moieties to prevent infection.
US2008/026080482A1 provides a composition containing polyquat to coat medical devices preferably contact lens to prevent bacterial infection. US2006/0263444A1 describes compositions containing cationic surfactants lauric arginate and antimicrobial metals such as silver and silver compounds for coating medical devices. US2007/02252220A1 discloses compositions containing cationic surfactants lauric arginate and antibiotics for coating medical devices.
DISCLOSURE OF THE INVENTION
PROBLEMS TO BE SOLVED BY THE INVENTION As indicated above the prior art does not cover multiple problems such as infection, formation of thrombi, biofilm formation proliferation and bacterial toxins left over by the antibacterial action on the devices. In addition, most antibacterial coatings disclosed in the prior art teach the use of antibiotics and metals, which tend to form resistant microorganisms which could lead to serious infections. This invention relates to a multifunctional coating of medical devices to provide control of bacterial infection, prevention of the formation of biofilms, to inhibit local thrombosis and to bind and neutralize toxins.
This is achieved through the use of broad spectrum antibacterial ethyl lauroyl arginate in combination with polycationic materials to enhance the retention and prevention of elution of LAE from such devices. Cationic surfactants are known as preservatives used in food, cosmetic and pharmaceutical industry. Cationic surfactants have turned out to be highly effective against microbial proliferation and at the same time safe for intake in humans and mammals in general. For all of this, cationic surfactants are an attractive tool in the industry.
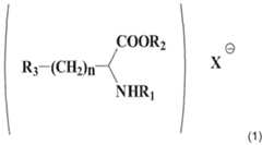
It has been demonstrated that cationic surfactants according to formula (1 ) derived from the condensation of fatty acids and esterified dibasic amino acids are highly effective protective substances against microorganisms.
Figure imgf000004_0001
where: X" is a counter ion derived from an organic or inorganic acid, preferably Br", CI" or HS04", or an anion on the basis of a phenolic compound;
R-i: is a straight a Iky I chain from a saturated fatty acid or hydroxy I acid having from 8 to 14 atoms linked to the a-amino acid group via an amidic bond;
R2: is a straight or branched a Iky I chain from 1 to 18 carbon atoms or an aromatic group;
R3: is
— NH3
Figure imgf000005_0001
or
Figure imgf000005_0002
where n is from 0 to 4.
The organic acids which may be the source of the counter ion X" can be citric acid, lactic acid, acetic acid, fumaric acid, maleic acid, gluconic acid, propionic acid, sorbic acid, benzoic acid, carbonic acid, glutamic acid or other amino acids, lauric acid and fatty acids such as oleic acid and linoleic acid, whereas the inorganic acids can be phosphoric acid, nitric acid and thiocyanic acid. The phenolic compound which may be the basis of the anion X" is for instance butylated hydroxyanisole (BHA) and the related butylated hydroxytoluene, tertiary butyl hydroquinone and parabens such as methylparaben, ethylparaben, propylparaben and butylparaben. The most preferred compound of the above class of compounds is the ethyl ester of the lauramide of the arginine monohydrochloride, hereafter referred to as LAE (CAS No. 60372-77-2). This compound is now well-known for its use as an antimicrobial agent. In practical use LAE turned out to be well tolerated and to display a very low toxicity to human beings. LAE has the chemical structure of formula (2) displayed hereafter.
Figure imgf000006_0001
The compound LAE is remarkable for its activity against different micro-organisms, like bacteria, moulds and yeasts which can be present in food products (WO 03/034842) and also in cosmetic formulations and preparations (WO 03/013453, WO 03/013454 and WO 03/043593). The compound has been furthermore described for its effect on parasites in fish, such as on the larvae of Anisakis or other species (European application 07 382 004.5). Its preservative action is particularly pronounced in a combination with a polyene fungicide such as natamycin (PCT/EP2007/060598). It has furthermore been shown to be effective for killing endospores and for having an effect in virus infections (European application 08 382 025.8). The specific use for the protection of teeth against dental erosion has been described (European application 08 382 007.6).
The general preparation of the cationic surfactants is described in Spanish patent ES 512643 and international patent applications WO 96/21642, WO 01/94292 and WO 03/064669.
LAE, also known as lauric arginate, is manufactured by Laboratories Miret, S.A. (LAMIRSA, Spain). Lauric arginate is listed by the FDA (Food and Drug Administration) as being a GRAS substance (Generally Recognized As Safe) under GRN 000164. The USDA (United States Department of Agriculture) has approved its use in meat and poultry products (FSIS Directive 7120.1 ) and also as a processing aid for fresh meat and poultry products.
The metabolism of the above cationic surfactant of formula (2) in rats has been studied; these studies have shown a fast absorption and metabolisation into naturally-occurring amino acids and the fatty acid lauric acid, which are eventually excreted as carbon dioxide and urea. Toxicological studies have demonstrated that LAE is completely harmless to animals and humans. Therefore, LAE and related compounds are particularly suitable to be used in the preservation of all perishable food products. LAE and related compounds are equally suitable for use in cosmetic or medical products and in medical devices where growth of microorganisms is common. As has been remarked above, the cationic surfactants are remarkable for their inhibitory action over the proliferation of different microorganisms, such as bacteria, fungi and yeasts. The minimum inhibitory concentrations of LAE are shown in the following table 1 . Table 1
Kind Microorganism M.I.C. (ppm)
Arthrobacter oxydans ATCC 8010 64
Bacillus cereus var mycoide ATCC 1 1778 32
Bacillus subtilis ATCC 6633 16
Clostridium perfringens ATCC 77454 16
Gram + Bacteria Listeria monocytogenes ATCC 7644 10
Staphylococcus aureus ATCC 6538 32
Micrococcus luteus ATCC 9631 128
Lactobacillus delbrueckii ssp 1 act is CECT 372 16
Leuconostoc mesenteroides CETC 912 32
Alcaligenes faecalis ATCC 8750 64
Gram - Bacteria
Bordetella bronchiseptica ATCC 4617 128
Figure imgf000008_0001
It is preferred to dissolve the compound directly before use in one of the following preferred solvents of food grade: water, ethanol, propylene glycol, isopropyl alcohol, other glycols, mixtures of glycols and mixtures of glycols and water, diacetin, triacetin, glycerol, sorbitol, mannitol and xylitol. If the treatment shall be performed at a specific pH value the use of a corresponding buffer solution may be recommendable. On the other hand the compound can be easily used in its solid form or formulated with solid carriers such as salt, sugar, maltodextrine, hydrocolloids and sorbitol. For the cationic surfactants of the above formula (1 ) the antibacterial activity and the biological activity against other microorganisms such as fungi and yeasts is well documented. LAE as the preferred species of the cationic surfactants has been investigated intensively in the past. The compound is characterized through a combination of different properties.
The compound LAE has been proven to be highly suitable for the coating of surfaces. There is a large body of published literature supporting the mechanism of preventing bacterial attachment and subsequent plaque growth by the reduction of the surface energy, especially the polar component of this surface energy. The anti-attachment mechanism in the oral cavity provides a non-specific protection against bacterial adhesion. It is an advantage of this approach, that there is no risk, that the bacteria will become resistant. Measurement of the contact angle of sessile drops from liquids with a range of polarities was used to determine the polar component of the surface energy, ysp. In this case, ys is reduced to 1 1 .5 dynes/cm on an LAE-coated surface, less than half of the original ysp of 23 dynes/cm on a bare or saliva-coated substrate (fig. 1 ). This reduction is expected to make the surface more resistant to bacterial attachment. These results indicate, that LAE was very effective at low concentration in reducing surface energy at protein coated surfaces such as mouth environment and resulting in the inhibition of bacterial attachment. Since the formation of antibiotic resistance is a major problem for the use of antibiotic and antibacterial products on devices, it was important to demonstrate that LAE was effective against known resistant organisms. A standard
antimicrobial test was run to assess this and the data showed that minimum inhibitory concentrations (MIC values) for susceptible and resistant strains were the same. For a MRSA (methicillin resistance Staphylococcus aureus) resistance strain of E. coli, the MIC of LAE was 16 tig/ml, for Staphylococcus aureus (MRSA) the MIC value was 8 ng/ml and for Acinetobacter Baumanii (MRSA) it was 16 iig/ml. This indicates, that LAE was effective against resistant strains and unlikely to suffer the deficiencies of antibiotic and metal ions such as silvers, which cause the development of resistant organisms resulting in the loss of efficacy of the devices in preventing infections. It is known in the art, that medical devices coming in contact with blood in the body will cause formation of thrombi. This could result in serious complications. Some devices have used immobilized heparin to control thrombi. However, the safety margin of heparin is very narrow and it also elutes from the surfaces rapidly. It has already been described, that LAE is highly effective in the inhibition of thrombus formation at 2.0 millimoles (Polyarkov, Ukr.Biochem.J, 2007; 79: 124-128.).
The polycationic materials used in the present invention with LAE have a plurality of positively charged groups along a polymer chain. For instance, suitable examples of such polycationic materials include, but are not limited to,
poly(allylamine hydrochloride) (PAH), poly(ethyleneimine) (PAI),
poly(vinylbenzyltrimethylamine) (PVBT), polyaniline (PAN), polypyrrole and poly(pyridinium acetylene). Other cationic polymers include poly quaternium-6 and polyquaternium-7. In addition an amphoteric polymer having positive and negative charges such as Amphomer®, octylacrylamide/acrylates/butylaminoethyl methylacrylate polymer, is a preferred embodiment.
The effect of the addition of polycationic polymers according to the present invention is believed to be the enhancement of the retention of LAE on the surfaces.
A preferred combination is the combination of LAE with Amphomer® at 0.2%. Preparations for the treatment of the medical devices are usually solutions containing LAE and the polycationic material, such as for instance poly(allylamine hydrochloride) (PAH), poly(ethyleneimine) (PAI), poly(vinylbenzyltrimethylamine) (PVBT), polyaniline (PAN), polypyrrole and poly(pyridinium acetylene). The solution usually contains LAE in a concentration within the range of 0.0001 to 5% and the polycationic material in a concentration range of 0.1 to 10% . A preferred range for the concentration of LAE is 0.005 to 1 %. A preferred range for the concentration of the polycationic material is 0.005 to 1 % . It is particularly preferred to prepare a solution of LAE and the polycationic material which contains the two components in a ratio of LAE:polycationic material of 1 : 1 , 2.5 : 1 and 1 : 2.5. Preferred ratio values are 2.5: 1 and 1 :1 .
For instance for the preferred combination of LAE with Amphomer® ,the solution shall contain the two components in a ratio of 2.5 : 1 .
Optionally an auxiliary material from the group consisting of cationic and amphoteric surfactants is present.
Suitable cationic surfactants to be added as auxiliary material may be selected from quaternary ammonium salts, amines with amide linkages, polyoxyethylene a Iky I amines, polyoxyethylene alicyclic amines, N , N , N ' , N '-tetrakis-su bstituted ethylenediamines and 2-alkyl-1 -hydroxyethyl-2-imidazoles.
Suitable amphoteric surfactants to be added as auxiliary material may be selected from glycinates, betaines and propionates or dipropionates. Suitable products are N-coco-3-aminopropionic acid or its sodium salt, N-tallow-3-iminodipropionic acid or its disodium salt, and N-carboxymethyl-N-dimethyl-N-9-octadecenyl ammonium hydroxide and N-cocoamidethyl-N-hydroxyethylglycine or its sodium salt.
The amount of the auxiliary material in the antimicrobial composition is between 0 and 10 parts by weight relative to 100 parts by weight of the antimicrobial composition, preferably between 0.1 and 5 parts by weight per 100 parts by weight of the antimicrobial composition, more preferably between 0.5 and 2.0 parts by weight per 100 parts by weight of the antimicrobial composition.
The manner of treatment of the medical devices is usually the application of a LAE solution (0.1 to 10%) for 1 to 5 minutes for killing bacteria, pathogenic fungi and viruses on hard surfaces. Medical devices which have been treated in this manner shall normally be kept in a dry and cool place. Under such circumstances the treated medical devices maintain their activity for at least 12 months. The novel and unobvious utility of this coating for multifunctional coating of medical devices will be obvious from the examples given below.
REFERENCE EXAMPLE. 1
EFFECT OF LAE ON URINARY CATHETER BIOFILMS:
A Drip-Flow Reactor (DFR) model described below was used to evaluate LAE on urinary and venous catheters:
In this experiment the effect of N"-lauroyl-L-arginine ethyl ester HCI (LAE) in the context of urinary catheter and central venous catheter biofilms was investigated. The efficacy of the compound was assessed on single species biofilms formed by Escherichia coli and Pseudomonas aeruginosa .
Single species biofilms were grown in an in-vitro model system consisting of the drip flow reactor (DFR) (fig. 2) which is designed to model a low shear
environment.
Inoculum and biofilm growth.
Single species biofilms were grown using isolates of Escherichia coli and
Pseudomonas aeruginosa. E. coli BDH 6057 and P. aeruginosa BDH 5990 were both isolated by Bozeman Deaconess Hospital from urine and are maintained at - 80°C as frozen stock cultures by the Medical Biofilms Laboratory at the CBE. The test organisms were cultured overnight from frozen stocks at 37°C in the test medium.
The DFRs were run in a 37°C incubator under aerobic conditions.
Approximately 20 minutes prior to inoculation, sterile medium was dripped-in and allowed to collect over coupons to form conditioning layer on the surface of HA- coated glass surfaces because biofilms are better retained on the slide surfaces for treatment and analysis. Each of the channel reactor was then inoculated with 1 .0 ml of an overnight culture. DFR was maintained in a horizontal position for two hours with no flow to enable bacterial attachment to the substratum. The reactor was set at 10 degree angle and sterile medium dripped through the reactor at 40 ml/hr, total 10 ml/hr per coupon. Initially the reactor was run for 3 days, this was reduced to one day. For urinary biofilm E. coli in artificial urine medium was used. For venous catheters P. aeruginosa in 10% brain heart infusion was used.
The effect of LAE on urinary catheter (E.coli ) biofilm is disclosed in the following table 2.
Table 2
Cone, of LAE ng/ml CFUIogl O, (20h post treatment)
0 4.4E10
20 1 .03E08
40 2.1 E07
50 1 .1 E07 The results indicated that LAE treatment was very effective (3 log difference) in reducing pre-formed E. coli biofilm (simulating urinary catheter contamination).
REFERENCE EXAMPLE 2:
INACTIVATION OF ENDOTOXIN PRODUCED BY E.COLI BIOFILM:
The amount of endotoxins in the above biofilms was also measured to assess whether LAE has concomitant effect on the endotoxins produced by the films. The results in the following table indicated that LAE was effective in neutralizing the toxins in addition to reducing biofilms: Table 3
CONC. LAE (ng/ml) Endotoxin(EU)
0 120000
20 60000
40 55000
50 40100 These results indicated the dual effect of LAE on disrupting biofilms and deactivating toxins produced by E.coli.
Polymixin B is a well known deactivator of endotoxins used clinically. Therefore, it was of interest to see how LAE compares with Polymixin B. Data from binding studies showed, that LAE was as effective as Polymixin B, already proven to be an inactivator of endotoxin, in deactivating endotoxins.
REFERENCE EXAMPLE 3.
EFFECT OF LAE ON VENOUS CATHETER BIOFILM:
Above flow reactor was used to assess the effect of LAE on P. aeruginosa strain 5990 biofilm, representing venous catheters biofilms. The results in the following table below indicated efficacy against those films: Table 4
CONC. LAE (,ug/ml) CFU/ML
0 7.9E03
10 3.4E03
15 3.24E03
40 4.4E02
The effect of LAE was more than 3 log difference on venous catheter biofilms. EXAMPLE 1 .
INHIBITION OF MICROBIAL BIOFILMS BY LAE.
A multi-species biofilm model (Guggenheim, J. Dental Res. 2001 ; 80, 363-370) was used to assess the effect of LAE in combinations with polycationic polymers to prevent growth and proliferation of microbial biofilms. This model simulated conditions in vivo of biofilms on protein coated surfaces in the human body.
Briefly, multi-species of bacteria and yeast were used in batch culture process, with multiple exposures to microbes and treatment. The organisms used were Streptococcus oralis, Streptococcus sobrinus, Actinomyces naeslundii, Veillonelia dispar, Fusobacterium nucleatum and Candida albicans. The substrate used for the biofilm formation consisted of hydroxyapatite (bone mineral) disc coated with saliva proteins to simulate body fluids like saliva and serum. Organisms were maintained alive by adding 100% saliva and bacteria growth medium. The sampling was done at 30 min, 16.5 hrs, 40.5 hrs and 65.5 hrs. The composition of the film was analyzed by culture technique, dead/live bacteria by Sytox stain and automated image analyses (IBES) of immunofluorescence. The solutions tested were control (vehicle), LAE combined with polycationic materials which included poly(allylamine hydrochloride) (PAH), poly(ethyleneimine) (PAI),
poly(vinylbenzyltrimethylamine) (PVBT), polyaniline (PAN), polypyrrole and poly(pyridinium acetylene). The other cationic polymers included poly quaternium- 6 and polyquaternium-7. In addition, an amphoteric polymer having positive and negative charges such as octylacrylamide/acrylates/-butylaminoethyl
methylacrylate polymer (Amphomer ® ) was also tested.
The results are in the following table, counting of the microorganisms was conducted 65.5 hours after treatment. Table 5
Figure imgf000016_0001
The results indicate, that the combination of LAE + Amphomer® was effective in suppressing on a sustained basis (65.5h) the growth and proliferation of microbial biofilm on surfaces simulating human body conditions.
Similar results were obtained when Amphomer® was replaced by PAH, PAI, PVBT and PAN.
EXAMPLE 2.
METHODS OF COATING MEDICAL DEVICES WITH LAE AND POLYCATIONICS.
A combination of 1 % LAE solution with polycationics in the cone, of 0.5% either PAH, or PAI, or PVBT or PAN, was prepared in water, glycerin or propylene glycol at pH from 4 -7 for coating. The coating was accomplished via several ways. One coating process embodiment involved solely dip-coating and dip-rinsing steps. Another embodiment of coating process was by spray-coating and spray rinsing steps. However, a number of alternatives which involves various combinations of spraying and dip-coating and rinsing steps may be designed by a person ordinarily skilled in the art. One dip-coating alternative involved steps applying polycationic material to the material of the medical device by immersing said device in a solution of a polycationic material, optionally drying, followed by coating with LAE solutions. This bi-layered process can be repeated to achieve the desired film thickness of LAE on the surfaces.
Thus, the combination of LAE plus polycationics for coating medical devices provides antimicrobial activity, prevents proliferation and growth of biofilms, kills antibiotic resistant organisms, inactivates bacterial toxins and prevent thrombi when the devices are exposed to blood.

Claims

1 . Antimicrobial composition containing LAE, a polycationic or amphoteric polymer material and optionally an auxiliary material from the group consisting of cationic and amphoteric surfactants.
2. The antimicrobial composition of claim 1 , in which the polycationic material or amphoteric polymer material is selected from the group consisting of
poly(allylamine hydrochloride) (PAH), poly(ethyleneimine) (PAI),
poly(vinylbenzyltrimethylamine) (PVBT), polyaniline (PAN), polypyrrole and poly(pyridinium acetylene) ) for the polycationic and Amphomer®,
octylacrylamide/acrylates/butylaminoethyl methylacrylate polymer.
3. The antimicrobial composition of claim 1 , containing LAE in a concentration within the range of 0.0001 to 5% and the polycationic material or amphoteric material in a concentration range of 0.1 to 10%.
4. The antimicrobial composition of claim 1 , in the combination of LAE with Amphomer® at the ratio value of 2.5: 1 .
5. Solution of the antibacterial composition of claim 1 in a suitable solvent.
6. Use of the antibacterial composition of any of claims 1 to 3 or the solution of claim 5 for the treatment of medical devices.
7. The use of claim 6, wherein said device is a urinary catheter.
8. The use of claim 6, wherein said device is a venous catheter.
9. The use of claim 6, wherein said device is a contact lense.
10. The use of claim 6, wherein said device is an endoscope.
1 1 . The use of claim 6, wherein said device is tubes for feeding and drainage.
12. The use of claim 6, wherein said devices are guide wires, stents and implants and extra corporeal blood conduits such as membranes for dialysis filters, blood filters.
13. The use of claim 6, wherein said devices wound closure covering such as staples, meshes, wound coverings filier sutures, tissue adhesives and tissue sealants and absorbable and non-absorbable hemostats.
14. The use of claim 6, wherein said devices are tracheal devices and prosthetic devices such as for hips, knees and heart valves.
PCT/EP2011/0625802010-07-262011-07-21Composition for coating medical devices containing lae and a polycationic amphoteric polymerWO2012013577A1 (en)

Applications Claiming Priority (4)

Application NumberPriority DateFiling DateTitle
EP103822062010-07-26
EP10382206.02010-07-26
US38709810P2010-09-282010-09-28
US61/387,0982010-09-28

Publications (1)

Publication NumberPublication Date
WO2012013577A1true WO2012013577A1 (en)2012-02-02

Family

ID=44532801

Family Applications (1)

Application NumberTitlePriority DateFiling Date
PCT/EP2011/062580WO2012013577A1 (en)2010-07-262011-07-21Composition for coating medical devices containing lae and a polycationic amphoteric polymer

Country Status (1)

CountryLink
WO (1)WO2012013577A1 (en)

Cited By (444)

* Cited by examiner, † Cited by third party
Publication numberPriority datePublication dateAssigneeTitle
EP3135209A2 (en)2015-08-262017-03-01Ethicon Endo-Surgery, LLCSurgical staples for minimizing staple roll
US10105139B2 (en)2015-09-232018-10-23Ethicon LlcSurgical stapler having downstream current-based motor control
US10111679B2 (en)2014-09-052018-10-30Ethicon LlcCircuitry and sensors for powered medical device
US10117653B2 (en)2014-03-262018-11-06Ethicon LlcSystems and methods for controlling a segmented circuit
US10130366B2 (en)2011-05-272018-11-20Ethicon LlcAutomated reloading devices for replacing used end effectors on robotic surgical systems
US10149679B2 (en)2005-11-092018-12-11Ethicon LlcSurgical instrument comprising drive systems
US10149680B2 (en)2013-04-162018-12-11Ethicon LlcSurgical instrument comprising a gap setting system
US10149682B2 (en)2010-09-302018-12-11Ethicon LlcStapling system including an actuation system
US10149683B2 (en)2008-10-102018-12-11Ethicon LlcPowered surgical cutting and stapling apparatus with manually retractable firing system
US10159483B2 (en)2015-02-272018-12-25Ethicon LlcSurgical apparatus configured to track an end-of-life parameter
US10172620B2 (en)2015-09-302019-01-08Ethicon LlcCompressible adjuncts with bonding nodes
US10172616B2 (en)2006-09-292019-01-08Ethicon LlcSurgical staple cartridge
US10172619B2 (en)2015-09-022019-01-08Ethicon LlcSurgical staple driver arrays
US10180463B2 (en)2015-02-272019-01-15Ethicon LlcSurgical apparatus configured to assess whether a performance parameter of the surgical apparatus is within an acceptable performance band
US10188385B2 (en)2014-12-182019-01-29Ethicon LlcSurgical instrument system comprising lockable systems
US10194910B2 (en)2010-09-302019-02-05Ethicon LlcStapling assemblies comprising a layer
US10201363B2 (en)2006-01-312019-02-12Ethicon LlcMotor-driven surgical instrument
US10201349B2 (en)2013-08-232019-02-12Ethicon LlcEnd effector detection and firing rate modulation systems for surgical instruments
US10201364B2 (en)2014-03-262019-02-12Ethicon LlcSurgical instrument comprising a rotatable shaft
US10206605B2 (en)2015-03-062019-02-19Ethicon LlcTime dependent evaluation of sensor data to determine stability, creep, and viscoelastic elements of measures
US10211586B2 (en)2017-06-282019-02-19Ethicon LlcSurgical shaft assemblies with watertight housings
US10206678B2 (en)2006-10-032019-02-19Ethicon LlcSurgical stapling instrument with lockout features to prevent advancement of a firing assembly unless an unfired surgical staple cartridge is operably mounted in an end effector portion of the instrument
US10206677B2 (en)2014-09-262019-02-19Ethicon LlcSurgical staple and driver arrangements for staple cartridges
US10206676B2 (en)2008-02-142019-02-19Ethicon LlcSurgical cutting and fastening instrument
US10213262B2 (en)2006-03-232019-02-26Ethicon LlcManipulatable surgical systems with selectively articulatable fastening device
US10213201B2 (en)2015-03-312019-02-26Ethicon LlcStapling end effector configured to compensate for an uneven gap between a first jaw and a second jaw
US10226249B2 (en)2013-03-012019-03-12Ethicon LlcArticulatable surgical instruments with conductive pathways for signal communication
US20190083367A1 (en)*2017-05-162019-03-21Johnson & Johnson Consumer Inc.Coated Particles and Their Uses
US10238391B2 (en)2013-03-142019-03-26Ethicon LlcDrive train control arrangements for modular surgical instruments
US10238386B2 (en)2015-09-232019-03-26Ethicon LlcSurgical stapler having motor control based on an electrical parameter related to a motor current
US10245029B2 (en)2016-02-092019-04-02Ethicon LlcSurgical instrument with articulating and axially translatable end effector
US10245027B2 (en)2014-12-182019-04-02Ethicon LlcSurgical instrument with an anvil that is selectively movable about a discrete non-movable axis relative to a staple cartridge
US10245032B2 (en)2005-08-312019-04-02Ethicon LlcStaple cartridges for forming staples having differing formed staple heights
US10245035B2 (en)2005-08-312019-04-02Ethicon LlcStapling assembly configured to produce different formed staple heights
US10245033B2 (en)2015-03-062019-04-02Ethicon LlcSurgical instrument comprising a lockable battery housing
US10258331B2 (en)2016-02-122019-04-16Ethicon LlcMechanisms for compensating for drivetrain failure in powered surgical instruments
US10258332B2 (en)2010-09-302019-04-16Ethicon LlcStapling system comprising an adjunct and a flowable adhesive
US10258333B2 (en)2012-06-282019-04-16Ethicon LlcSurgical fastening apparatus with a rotary end effector drive shaft for selective engagement with a motorized drive system
US10258418B2 (en)2017-06-292019-04-16Ethicon LlcSystem for controlling articulation forces
US10265065B2 (en)2013-12-232019-04-23Ethicon LlcSurgical staples and staple cartridges
US10265074B2 (en)2010-09-302019-04-23Ethicon LlcImplantable layers for surgical stapling devices
US10265068B2 (en)2015-12-302019-04-23Ethicon LlcSurgical instruments with separable motors and motor control circuits
US10271846B2 (en)2005-08-312019-04-30Ethicon LlcStaple cartridge for use with a surgical stapler
US10271849B2 (en)2015-09-302019-04-30Ethicon LlcWoven constructs with interlocked standing fibers
US10278702B2 (en)2004-07-282019-05-07Ethicon LlcStapling system comprising a firing bar and a lockout
US10278780B2 (en)2007-01-102019-05-07Ethicon LlcSurgical instrument for use with robotic system
USD847989S1 (en)2016-06-242019-05-07Ethicon LlcSurgical fastener cartridge
US10292704B2 (en)2015-12-302019-05-21Ethicon LlcMechanisms for compensating for battery pack failure in powered surgical instruments
US10293100B2 (en)2004-07-282019-05-21Ethicon LlcSurgical stapling instrument having a medical substance dispenser
US10299792B2 (en)2014-04-162019-05-28Ethicon LlcFastener cartridge comprising non-uniform fasteners
US10299787B2 (en)2007-06-042019-05-28Ethicon LlcStapling system comprising rotary inputs
US10299878B2 (en)2015-09-252019-05-28Ethicon LlcImplantable adjunct systems for determining adjunct skew
USD850617S1 (en)2016-06-242019-06-04Ethicon LlcSurgical fastener cartridge
US10307163B2 (en)2008-02-142019-06-04Ethicon LlcDetachable motor powered surgical instrument
US10307170B2 (en)2017-06-202019-06-04Ethicon LlcMethod for closed loop control of motor velocity of a surgical stapling and cutting instrument
US10314589B2 (en)2006-06-272019-06-11Ethicon LlcSurgical instrument including a shifting assembly
USD851762S1 (en)2017-06-282019-06-18Ethicon LlcAnvil
US10327769B2 (en)2015-09-232019-06-25Ethicon LlcSurgical stapler having motor control based on a drive system component
US10327767B2 (en)2017-06-202019-06-25Ethicon LlcControl of motor velocity of a surgical stapling and cutting instrument based on angle of articulation
US10335145B2 (en)2016-04-152019-07-02Ethicon LlcModular surgical instrument with configurable operating mode
USD854151S1 (en)2017-06-282019-07-16Ethicon LlcSurgical instrument shaft
US10357247B2 (en)2016-04-152019-07-23Ethicon LlcSurgical instrument with multiple program responses during a firing motion
US10363037B2 (en)2016-04-182019-07-30Ethicon LlcSurgical instrument system comprising a magnetic lockout
US10363036B2 (en)2015-09-232019-07-30Ethicon LlcSurgical stapler having force-based motor control
US10363031B2 (en)2010-09-302019-07-30Ethicon LlcTissue thickness compensators for surgical staplers
US10368865B2 (en)2015-12-302019-08-06Ethicon LlcMechanisms for compensating for drivetrain failure in powered surgical instruments
US10368864B2 (en)2017-06-202019-08-06Ethicon LlcSystems and methods for controlling displaying motor velocity for a surgical instrument
US10376263B2 (en)2016-04-012019-08-13Ethicon LlcAnvil modification members for surgical staplers
US10390841B2 (en)2017-06-202019-08-27Ethicon LlcControl of motor velocity of a surgical stapling and cutting instrument based on angle of articulation
US10398433B2 (en)2007-03-282019-09-03Ethicon LlcLaparoscopic clamp load measuring devices
US10398434B2 (en)2017-06-292019-09-03Ethicon LlcClosed loop velocity control of closure member for robotic surgical instrument
US10405859B2 (en)2016-04-152019-09-10Ethicon LlcSurgical instrument with adjustable stop/start control during a firing motion
US10413294B2 (en)2012-06-282019-09-17Ethicon LlcShaft assembly arrangements for surgical instruments
US10420550B2 (en)2009-02-062019-09-24Ethicon LlcMotor driven surgical fastener device with switching system configured to prevent firing initiation until activated
US10420549B2 (en)2008-09-232019-09-24Ethicon LlcMotorized surgical instrument
US10426471B2 (en)2016-12-212019-10-01Ethicon LlcSurgical instrument with multiple failure response modes
US10426467B2 (en)2016-04-152019-10-01Ethicon LlcSurgical instrument with detection sensors
US10426481B2 (en)2014-02-242019-10-01Ethicon LlcImplantable layer assemblies
US10426463B2 (en)2006-01-312019-10-01Ehticon LLCSurgical instrument having a feedback system
US10441285B2 (en)2012-03-282019-10-15Ethicon LlcTissue thickness compensator comprising tissue ingrowth features
US10448948B2 (en)2016-02-122019-10-22Ethicon LlcMechanisms for compensating for drivetrain failure in powered surgical instruments
US10448950B2 (en)2016-12-212019-10-22Ethicon LlcSurgical staplers with independently actuatable closing and firing systems
US10456137B2 (en)2016-04-152019-10-29Ethicon LlcStaple formation detection mechanisms
US10463370B2 (en)2008-02-142019-11-05Ethicon LlcMotorized surgical instrument
US10485536B2 (en)2010-09-302019-11-26Ethicon LlcTissue stapler having an anti-microbial agent
US10485539B2 (en)2006-01-312019-11-26Ethicon LlcSurgical instrument with firing lockout
US10485543B2 (en)2016-12-212019-11-26Ethicon LlcAnvil having a knife slot width
US10492785B2 (en)2016-12-212019-12-03Ethicon LlcShaft assembly comprising a lockout
US10492783B2 (en)2016-04-152019-12-03Ethicon, LlcSurgical instrument with improved stop/start control during a firing motion
US10499914B2 (en)2016-12-212019-12-10Ethicon LlcStaple forming pocket arrangements
US10517596B2 (en)2016-12-212019-12-31Ethicon LlcArticulatable surgical instruments with articulation stroke amplification features
US10517594B2 (en)2014-10-292019-12-31Ethicon LlcCartridge assemblies for surgical staplers
US10517590B2 (en)2007-01-102019-12-31Ethicon LlcPowered surgical instrument having a transmission system
US10524787B2 (en)2015-03-062020-01-07Ethicon LlcPowered surgical instrument with parameter-based firing rate
US10524790B2 (en)2011-05-272020-01-07Ethicon LlcRobotically-controlled surgical stapling devices that produce formed staples having different lengths
US10531887B2 (en)2015-03-062020-01-14Ethicon LlcPowered surgical instrument including speed display
US10537324B2 (en)2016-12-212020-01-21Ethicon LlcStepped staple cartridge with asymmetrical staples
US10537325B2 (en)2016-12-212020-01-21Ethicon LlcStaple forming pocket arrangement to accommodate different types of staples
US10542979B2 (en)2016-06-242020-01-28Ethicon LlcStamped staples and staple cartridges using the same
US10568625B2 (en)2016-12-212020-02-25Ethicon LlcStaple cartridges and arrangements of staples and staple cavities therein
US10568652B2 (en)2006-09-292020-02-25Ethicon LlcSurgical staples having attached drivers of different heights and stapling instruments for deploying the same
US10568626B2 (en)2016-12-212020-02-25Ethicon LlcSurgical instruments with jaw opening features for increasing a jaw opening distance
US10575868B2 (en)2013-03-012020-03-03Ethicon LlcSurgical instrument with coupler assembly
US10588633B2 (en)2017-06-282020-03-17Ethicon LlcSurgical instruments with open and closable jaws and axially movable firing member that is initially parked in close proximity to the jaws prior to firing
US10588623B2 (en)2010-09-302020-03-17Ethicon LlcAdhesive film laminate
US10588632B2 (en)2016-12-212020-03-17Ethicon LlcSurgical end effectors and firing members thereof
US10588626B2 (en)2014-03-262020-03-17Ethicon LlcSurgical instrument displaying subsequent step of use
USD879808S1 (en)2017-06-202020-03-31Ethicon LlcDisplay panel with graphical user interface
USD879809S1 (en)2017-06-202020-03-31Ethicon LlcDisplay panel with changeable graphical user interface
US10617418B2 (en)2015-08-172020-04-14Ethicon LlcImplantable layers for a surgical instrument
US10617412B2 (en)2015-03-062020-04-14Ethicon LlcSystem for detecting the mis-insertion of a staple cartridge into a surgical stapler
US10617416B2 (en)2013-03-142020-04-14Ethicon LlcControl systems for surgical instruments
US10617413B2 (en)2016-04-012020-04-14Ethicon LlcClosure system arrangements for surgical cutting and stapling devices with separate and distinct firing shafts
US10617417B2 (en)2014-11-062020-04-14Ethicon LlcStaple cartridge comprising a releasable adjunct material
US10624633B2 (en)2017-06-202020-04-21Ethicon LlcSystems and methods for controlling motor velocity of a surgical stapling and cutting instrument
US10624861B2 (en)2010-09-302020-04-21Ethicon LlcTissue thickness compensator configured to redistribute compressive forces
US10631859B2 (en)2017-06-272020-04-28Ethicon LlcArticulation systems for surgical instruments
US10639115B2 (en)2012-06-282020-05-05Ethicon LlcSurgical end effectors having angled tissue-contacting surfaces
US10646220B2 (en)2017-06-202020-05-12Ethicon LlcSystems and methods for controlling displacement member velocity for a surgical instrument
US10660640B2 (en)2008-02-142020-05-26Ethicon LlcMotorized surgical cutting and fastening instrument
US10667808B2 (en)2012-03-282020-06-02Ethicon LlcStaple cartridge comprising an absorbable adjunct
US10667809B2 (en)2016-12-212020-06-02Ethicon LlcStaple cartridge and staple cartridge channel comprising windows defined therein
US10675028B2 (en)2006-01-312020-06-09Ethicon LlcPowered surgical instruments with firing system lockout arrangements
US10682142B2 (en)2008-02-142020-06-16Ethicon LlcSurgical stapling apparatus including an articulation system
US10682134B2 (en)2017-12-212020-06-16Ethicon LlcContinuous use self-propelled stapling instrument
US10687813B2 (en)2017-12-152020-06-23Ethicon LlcAdapters with firing stroke sensing arrangements for use in connection with electromechanical surgical instruments
US10687806B2 (en)2015-03-062020-06-23Ethicon LlcAdaptive tissue compression techniques to adjust closure rates for multiple tissue types
US10687810B2 (en)2016-12-212020-06-23Ethicon LlcStepped staple cartridge with tissue retention and gap setting features
US10695062B2 (en)2010-10-012020-06-30Ethicon LlcSurgical instrument including a retractable firing member
US10695058B2 (en)2014-12-182020-06-30Ethicon LlcSurgical instrument systems comprising an articulatable end effector and means for adjusting the firing stroke of a firing member
US10695063B2 (en)2012-02-132020-06-30Ethicon LlcSurgical cutting and fastening instrument with apparatus for determining cartridge and firing motion status
US10702267B2 (en)2007-03-152020-07-07Ethicon LlcSurgical stapling instrument having a releasable buttress material
USD890784S1 (en)2017-06-202020-07-21Ethicon LlcDisplay panel with changeable graphical user interface
US10716565B2 (en)2017-12-192020-07-21Ethicon LlcSurgical instruments with dual articulation drivers
US10716614B2 (en)2017-06-282020-07-21Ethicon LlcSurgical shaft assemblies with slip ring assemblies with increased contact pressure
US10729501B2 (en)2017-09-292020-08-04Ethicon LlcSystems and methods for language selection of a surgical instrument
US10729509B2 (en)2017-12-192020-08-04Ethicon LlcSurgical instrument comprising closure and firing locking mechanism
US10736636B2 (en)2014-12-102020-08-11Ethicon LlcArticulatable surgical instrument system
US10736630B2 (en)2014-10-132020-08-11Ethicon LlcStaple cartridge
US10736628B2 (en)2008-09-232020-08-11Ethicon LlcMotor-driven surgical cutting instrument
US10743873B2 (en)2014-12-182020-08-18Ethicon LlcDrive arrangements for articulatable surgical instruments
US10743870B2 (en)2008-02-142020-08-18Ethicon LlcSurgical stapling apparatus with interlockable firing system
US10743872B2 (en)2017-09-292020-08-18Ethicon LlcSystem and methods for controlling a display of a surgical instrument
US10743874B2 (en)2017-12-152020-08-18Ethicon LlcSealed adapters for use with electromechanical surgical instruments
US10743849B2 (en)2006-01-312020-08-18Ethicon LlcStapling system including an articulation system
US10743851B2 (en)2008-02-142020-08-18Ethicon LlcInterchangeable tools for surgical instruments
US10743875B2 (en)2017-12-152020-08-18Ethicon LlcSurgical end effectors with jaw stiffener arrangements configured to permit monitoring of firing member
USD894389S1 (en)2016-06-242020-08-25Ethicon LlcSurgical fastener
US10751076B2 (en)2009-12-242020-08-25Ethicon LlcMotor-driven surgical cutting instrument with electric actuator directional control assembly
US10758230B2 (en)2016-12-212020-09-01Ethicon LlcSurgical instrument with primary and safety processors
US10758233B2 (en)2009-02-052020-09-01Ethicon LlcArticulatable surgical instrument comprising a firing drive
US10758229B2 (en)2016-12-212020-09-01Ethicon LlcSurgical instrument comprising improved jaw control
US10765429B2 (en)2017-09-292020-09-08Ethicon LlcSystems and methods for providing alerts according to the operational state of a surgical instrument
US10765425B2 (en)2008-09-232020-09-08Ethicon LlcRobotically-controlled motorized surgical instrument with an end effector
US10765427B2 (en)2017-06-282020-09-08Ethicon LlcMethod for articulating a surgical instrument
US10772629B2 (en)2017-06-272020-09-15Ethicon LlcSurgical anvil arrangements
US10772625B2 (en)2015-03-062020-09-15Ethicon LlcSignal and power communication system positioned on a rotatable shaft
US10780539B2 (en)2011-05-272020-09-22Ethicon LlcStapling instrument for use with a robotic system
US10779903B2 (en)2017-10-312020-09-22Ethicon LlcPositive shaft rotation lock activated by jaw closure
US10779820B2 (en)2017-06-202020-09-22Ethicon LlcSystems and methods for controlling motor speed according to user input for a surgical instrument
US10779826B2 (en)2017-12-152020-09-22Ethicon LlcMethods of operating surgical end effectors
US10779825B2 (en)2017-12-152020-09-22Ethicon LlcAdapters with end effector position sensing and control arrangements for use in connection with electromechanical surgical instruments
US10779821B2 (en)2018-08-202020-09-22Ethicon LlcSurgical stapler anvils with tissue stop features configured to avoid tissue pinch
US10779824B2 (en)2017-06-282020-09-22Ethicon LlcSurgical instrument comprising an articulation system lockable by a closure system
US10796471B2 (en)2017-09-292020-10-06Ethicon LlcSystems and methods of displaying a knife position for a surgical instrument
US10806448B2 (en)2014-12-182020-10-20Ethicon LlcSurgical instrument assembly comprising a flexible articulation system
US10813639B2 (en)2017-06-202020-10-27Ethicon LlcClosed loop feedback control of motor velocity of a surgical stapling and cutting instrument based on system conditions
US10828033B2 (en)2017-12-152020-11-10Ethicon LlcHandheld electromechanical surgical instruments with improved motor control arrangements for positioning components of an adapter coupled thereto
US10828028B2 (en)2016-04-152020-11-10Ethicon LlcSurgical instrument with multiple program responses during a firing motion
US10835330B2 (en)2017-12-192020-11-17Ethicon LlcMethod for determining the position of a rotatable jaw of a surgical instrument attachment assembly
US10842492B2 (en)2018-08-202020-11-24Ethicon LlcPowered articulatable surgical instruments with clutching and locking arrangements for linking an articulation drive system to a firing drive system
US10842491B2 (en)2006-01-312020-11-24Ethicon LlcSurgical system with an actuation console
US10842490B2 (en)2017-10-312020-11-24Ethicon LlcCartridge body design with force reduction based on firing completion
US10849324B2 (en)2017-04-292020-12-01Necada Naturals Inc.Biofilm penetrating compositions and methods
US10856869B2 (en)2017-06-272020-12-08Ethicon LlcSurgical anvil arrangements
US10856870B2 (en)2018-08-202020-12-08Ethicon LlcSwitching arrangements for motor powered articulatable surgical instruments
US10869666B2 (en)2017-12-152020-12-22Ethicon LlcAdapters with control systems for controlling multiple motors of an electromechanical surgical instrument
USD906355S1 (en)2017-06-282020-12-29Ethicon LlcDisplay screen or portion thereof with a graphical user interface for a surgical instrument
US10881399B2 (en)2017-06-202021-01-05Ethicon LlcTechniques for adaptive control of motor velocity of a surgical stapling and cutting instrument
US10881396B2 (en)2017-06-202021-01-05Ethicon LlcSurgical instrument with variable duration trigger arrangement
USD907647S1 (en)2017-09-292021-01-12Ethicon LlcDisplay screen or portion thereof with animated graphical user interface
USD907648S1 (en)2017-09-292021-01-12Ethicon LlcDisplay screen or portion thereof with animated graphical user interface
US10888321B2 (en)2017-06-202021-01-12Ethicon LlcSystems and methods for controlling velocity of a displacement member of a surgical stapling and cutting instrument
US10903685B2 (en)2017-06-282021-01-26Ethicon LlcSurgical shaft assemblies with slip ring assemblies forming capacitive channels
US10898183B2 (en)2017-06-292021-01-26Ethicon LlcRobotic surgical instrument with closed loop feedback techniques for advancement of closure member during firing
US10905418B2 (en)2014-10-162021-02-02Ethicon LlcStaple cartridge comprising a tissue thickness compensator
US10912559B2 (en)2018-08-202021-02-09Ethicon LlcReinforced deformable anvil tip for surgical stapler anvil
US10912575B2 (en)2007-01-112021-02-09Ethicon LlcSurgical stapling device having supports for a flexible drive mechanism
USD910847S1 (en)2017-12-192021-02-16Ethicon LlcSurgical instrument assembly
US10918380B2 (en)2006-01-312021-02-16Ethicon LlcSurgical instrument system including a control system
US10925599B2 (en)2013-12-232021-02-23Ethicon LlcModular surgical instruments
US10932772B2 (en)2017-06-292021-03-02Ethicon LlcMethods for closed loop velocity control for robotic surgical instrument
US10945727B2 (en)2016-12-212021-03-16Ethicon LlcStaple cartridge with deformable driver retention features
US10945731B2 (en)2010-09-302021-03-16Ethicon LlcTissue thickness compensator comprising controlled release and expansion
US10945728B2 (en)2014-12-182021-03-16Ethicon LlcLocking arrangements for detachable shaft assemblies with articulatable surgical end effectors
US10959725B2 (en)2012-06-152021-03-30Ethicon LlcArticulatable surgical instrument comprising a firing drive
USD914878S1 (en)2018-08-202021-03-30Ethicon LlcSurgical instrument anvil
US10966718B2 (en)2017-12-152021-04-06Ethicon LlcDynamic clamping assemblies with improved wear characteristics for use in connection with electromechanical surgical instruments
US10980539B2 (en)2015-09-302021-04-20Ethicon LlcImplantable adjunct comprising bonded layers
US10980537B2 (en)2017-06-202021-04-20Ethicon LlcClosed loop feedback control of motor velocity of a surgical stapling and cutting instrument based on measured time over a specified number of shaft rotations
US10987102B2 (en)2010-09-302021-04-27Ethicon LlcTissue thickness compensator comprising a plurality of layers
USD917500S1 (en)2017-09-292021-04-27Ethicon LlcDisplay screen or portion thereof with graphical user interface
US10993716B2 (en)2017-06-272021-05-04Ethicon LlcSurgical anvil arrangements
US10993715B2 (en)2016-12-212021-05-04Ethicon LlcStaple cartridge comprising staples with different clamping breadths
US11007022B2 (en)2017-06-292021-05-18Ethicon LlcClosed loop velocity control techniques based on sensed tissue parameters for robotic surgical instrument
US11006951B2 (en)2007-01-102021-05-18Ethicon LlcSurgical instrument with wireless communication between control unit and sensor transponders
US11006955B2 (en)2017-12-152021-05-18Ethicon LlcEnd effectors with positive jaw opening features for use with adapters for electromechanical surgical instruments
US11007004B2 (en)2012-06-282021-05-18Ethicon LlcPowered multi-axial articulable electrosurgical device with external dissection features
US11013511B2 (en)2007-06-222021-05-25Ethicon LlcSurgical stapling instrument with an articulatable end effector
US11020109B2 (en)2013-12-232021-06-01Ethicon LlcSurgical stapling assembly for use with a powered surgical interface
US11020112B2 (en)2017-12-192021-06-01Ethicon LlcSurgical tools configured for interchangeable use with different controller interfaces
US11020115B2 (en)2014-02-122021-06-01Cilag Gmbh InternationalDeliverable surgical instrument
US11033267B2 (en)2017-12-152021-06-15Ethicon LlcSystems and methods of controlling a clamping member firing rate of a surgical instrument
US11039836B2 (en)2007-01-112021-06-22Cilag Gmbh InternationalStaple cartridge for use with a surgical stapling instrument
US11039834B2 (en)2018-08-202021-06-22Cilag Gmbh InternationalSurgical stapler anvils with staple directing protrusions and tissue stability features
US11045270B2 (en)2017-12-192021-06-29Cilag Gmbh InternationalRobotic attachment comprising exterior drive actuator
US11045192B2 (en)2018-08-202021-06-29Cilag Gmbh InternationalFabricating techniques for surgical stapler anvils
US11051813B2 (en)2006-01-312021-07-06Cilag Gmbh InternationalPowered surgical instruments with firing system lockout arrangements
US11051807B2 (en)2019-06-282021-07-06Cilag Gmbh InternationalPackaging assembly including a particulate trap
US11071545B2 (en)2014-09-052021-07-27Cilag Gmbh InternationalSmart cartridge wake up operation and data retention
US11071543B2 (en)2017-12-152021-07-27Cilag Gmbh InternationalSurgical end effectors with clamping assemblies configured to increase jaw aperture ranges
US11071554B2 (en)2017-06-202021-07-27Cilag Gmbh InternationalClosed loop feedback control of motor velocity of a surgical stapling and cutting instrument based on magnitude of velocity error measurements
US11076853B2 (en)2017-12-212021-08-03Cilag Gmbh InternationalSystems and methods of displaying a knife position during transection for a surgical instrument
US11083458B2 (en)2018-08-202021-08-10Cilag Gmbh InternationalPowered surgical instruments with clutching arrangements to convert linear drive motions to rotary drive motions
US11090075B2 (en)2017-10-302021-08-17Cilag Gmbh InternationalArticulation features for surgical end effector
US11090046B2 (en)2017-06-202021-08-17Cilag Gmbh InternationalSystems and methods for controlling displacement member motion of a surgical stapling and cutting instrument
US11123065B2 (en)2013-12-232021-09-21Cilag Gmbh InternationalSurgical cutting and stapling instruments with independent jaw control features
US11133106B2 (en)2013-08-232021-09-28Cilag Gmbh InternationalSurgical instrument assembly comprising a retraction assembly
US11129680B2 (en)2017-12-212021-09-28Cilag Gmbh InternationalSurgical instrument comprising a projector
US11134944B2 (en)2017-10-302021-10-05Cilag Gmbh InternationalSurgical stapler knife motion controls
US11134942B2 (en)2016-12-212021-10-05Cilag Gmbh InternationalSurgical stapling instruments and staple-forming anvils
US11141153B2 (en)2014-10-292021-10-12Cilag Gmbh InternationalStaple cartridges comprising driver arrangements
US11147551B2 (en)2019-03-252021-10-19Cilag Gmbh InternationalFiring drive arrangements for surgical systems
US11147553B2 (en)2019-03-252021-10-19Cilag Gmbh InternationalFiring drive arrangements for surgical systems
US11154301B2 (en)2015-02-272021-10-26Cilag Gmbh InternationalModular stapling assembly
US11172929B2 (en)2019-03-252021-11-16Cilag Gmbh InternationalArticulation drive arrangements for surgical systems
US11179150B2 (en)2016-04-152021-11-23Cilag Gmbh InternationalSystems and methods for controlling a surgical stapling and cutting instrument
US11197670B2 (en)2017-12-152021-12-14Cilag Gmbh InternationalSurgical end effectors with pivotal jaws configured to touch at their respective distal ends when fully closed
US11197671B2 (en)2012-06-282021-12-14Cilag Gmbh InternationalStapling assembly comprising a lockout
US11202633B2 (en)2014-09-262021-12-21Cilag Gmbh InternationalSurgical stapling buttresses and adjunct materials
US11207065B2 (en)2018-08-202021-12-28Cilag Gmbh InternationalMethod for fabricating surgical stapler anvils
US11207064B2 (en)2011-05-272021-12-28Cilag Gmbh InternationalAutomated end effector component reloading system for use with a robotic system
US11213293B2 (en)2016-02-092022-01-04Cilag Gmbh InternationalArticulatable surgical instruments with single articulation link arrangements
US11213295B2 (en)2015-09-022022-01-04Cilag Gmbh InternationalSurgical staple configurations with camming surfaces located between portions supporting surgical staples
US11219456B2 (en)2015-08-262022-01-11Cilag Gmbh InternationalSurgical staple strips for permitting varying staple properties and enabling easy cartridge loading
US11219455B2 (en)2019-06-282022-01-11Cilag Gmbh InternationalSurgical instrument including a lockout key
US11224497B2 (en)2019-06-282022-01-18Cilag Gmbh InternationalSurgical systems with multiple RFID tags
US11224423B2 (en)2015-03-062022-01-18Cilag Gmbh InternationalSmart sensors with local signal processing
US11224428B2 (en)2016-12-212022-01-18Cilag Gmbh InternationalSurgical stapling systems
US11224427B2 (en)2006-01-312022-01-18Cilag Gmbh InternationalSurgical stapling system including a console and retraction assembly
US11224426B2 (en)2016-02-122022-01-18Cilag Gmbh InternationalMechanisms for compensating for drivetrain failure in powered surgical instruments
US11229437B2 (en)2019-06-282022-01-25Cilag Gmbh InternationalMethod for authenticating the compatibility of a staple cartridge with a surgical instrument
US11234698B2 (en)2019-12-192022-02-01Cilag Gmbh InternationalStapling system comprising a clamp lockout and a firing lockout
US11241230B2 (en)2012-06-282022-02-08Cilag Gmbh InternationalClip applier tool for use with a robotic surgical system
US11246592B2 (en)2017-06-282022-02-15Cilag Gmbh InternationalSurgical instrument comprising an articulation system lockable to a frame
US11246678B2 (en)2019-06-282022-02-15Cilag Gmbh InternationalSurgical stapling system having a frangible RFID tag
US11246590B2 (en)2005-08-312022-02-15Cilag Gmbh InternationalStaple cartridge including staple drivers having different unfired heights
US11253254B2 (en)2019-04-302022-02-22Cilag Gmbh InternationalShaft rotation actuator on a surgical instrument
US11253256B2 (en)2018-08-202022-02-22Cilag Gmbh InternationalArticulatable motor powered surgical instruments with dedicated articulation motor arrangements
US11259799B2 (en)2014-03-262022-03-01Cilag Gmbh InternationalInterface systems for use with surgical instruments
US11259803B2 (en)2019-06-282022-03-01Cilag Gmbh InternationalSurgical stapling system having an information encryption protocol
US11259805B2 (en)2017-06-282022-03-01Cilag Gmbh InternationalSurgical instrument comprising firing member supports
US11266405B2 (en)2017-06-272022-03-08Cilag Gmbh InternationalSurgical anvil manufacturing methods
US11266409B2 (en)2014-04-162022-03-08Cilag Gmbh InternationalFastener cartridge comprising a sled including longitudinally-staggered ramps
US11272927B2 (en)2008-02-152022-03-15Cilag Gmbh InternationalLayer arrangements for surgical staple cartridges
US11278279B2 (en)2006-01-312022-03-22Cilag Gmbh InternationalSurgical instrument assembly
US11284898B2 (en)2014-09-182022-03-29Cilag Gmbh InternationalSurgical instrument including a deployable knife
US11291447B2 (en)2019-12-192022-04-05Cilag Gmbh InternationalStapling instrument comprising independent jaw closing and staple firing systems
US11291440B2 (en)2018-08-202022-04-05Cilag Gmbh InternationalMethod for operating a powered articulatable surgical instrument
US11291449B2 (en)2009-12-242022-04-05Cilag Gmbh InternationalSurgical cutting instrument that analyzes tissue thickness
US11291451B2 (en)2019-06-282022-04-05Cilag Gmbh InternationalSurgical instrument with battery compatibility verification functionality
US11291441B2 (en)2007-01-102022-04-05Cilag Gmbh InternationalSurgical instrument with wireless communication between control unit and remote sensor
US11298132B2 (en)2019-06-282022-04-12Cilag GmbH InlernationalStaple cartridge including a honeycomb extension
US11298125B2 (en)2010-09-302022-04-12Cilag Gmbh InternationalTissue stapler having a thickness compensator
US11298127B2 (en)2019-06-282022-04-12Cilag GmbH InterationalSurgical stapling system having a lockout mechanism for an incompatible cartridge
US11304695B2 (en)2017-08-032022-04-19Cilag Gmbh InternationalSurgical system shaft interconnection
US11304696B2 (en)2019-12-192022-04-19Cilag Gmbh InternationalSurgical instrument comprising a powered articulation system
US11311290B2 (en)2017-12-212022-04-26Cilag Gmbh InternationalSurgical instrument comprising an end effector dampener
US11311294B2 (en)2014-09-052022-04-26Cilag Gmbh InternationalPowered medical device including measurement of closure state of jaws
US11317913B2 (en)2016-12-212022-05-03Cilag Gmbh InternationalLockout arrangements for surgical end effectors and replaceable tool assemblies
US11317917B2 (en)2016-04-182022-05-03Cilag Gmbh InternationalSurgical stapling system comprising a lockable firing assembly
US11324501B2 (en)2018-08-202022-05-10Cilag Gmbh InternationalSurgical stapling devices with improved closure members
US11324503B2 (en)2017-06-272022-05-10Cilag Gmbh InternationalSurgical firing member arrangements
US11350928B2 (en)2016-04-182022-06-07Cilag Gmbh InternationalSurgical instrument comprising a tissue thickness lockout and speed control system
US11376098B2 (en)2019-06-282022-07-05Cilag Gmbh InternationalSurgical instrument system comprising an RFID system
US11382638B2 (en)2017-06-202022-07-12Cilag Gmbh InternationalClosed loop feedback control of motor velocity of a surgical stapling and cutting instrument based on measured time over a specified displacement distance
US11382627B2 (en)2014-04-162022-07-12Cilag Gmbh InternationalSurgical stapling assembly comprising a firing member including a lateral extension
US11399837B2 (en)2019-06-282022-08-02Cilag Gmbh InternationalMechanisms for motor control adjustments of a motorized surgical instrument
US11399829B2 (en)2017-09-292022-08-02Cilag Gmbh InternationalSystems and methods of initiating a power shutdown mode for a surgical instrument
WO2022162078A1 (en)2021-01-272022-08-04Pharmiva AbComposition for use in degradation of biofilm or prevention of biofilm formation
US11419606B2 (en)2016-12-212022-08-23Cilag Gmbh InternationalShaft assembly comprising a clutch configured to adapt the output of a rotary firing member to two different systems
US11426251B2 (en)2019-04-302022-08-30Cilag Gmbh InternationalArticulation directional lights on a surgical instrument
US11426167B2 (en)2019-06-282022-08-30Cilag Gmbh InternationalMechanisms for proper anvil attachment surgical stapling head assembly
US11432816B2 (en)2019-04-302022-09-06Cilag Gmbh InternationalArticulation pin for a surgical instrument
US11446029B2 (en)2019-12-192022-09-20Cilag Gmbh InternationalStaple cartridge comprising projections extending from a curved deck surface
US11452526B2 (en)2020-10-292022-09-27Cilag Gmbh InternationalSurgical instrument comprising a staged voltage regulation start-up system
US11452528B2 (en)2019-04-302022-09-27Cilag Gmbh InternationalArticulation actuators for a surgical instrument
US11464512B2 (en)2019-12-192022-10-11Cilag Gmbh InternationalStaple cartridge comprising a curved deck surface
US11464601B2 (en)2019-06-282022-10-11Cilag Gmbh InternationalSurgical instrument comprising an RFID system for tracking a movable component
US11464513B2 (en)2012-06-282022-10-11Cilag Gmbh InternationalSurgical instrument system including replaceable end effectors
USD966512S1 (en)2020-06-022022-10-11Cilag Gmbh InternationalStaple cartridge
US11471157B2 (en)2019-04-302022-10-18Cilag Gmbh InternationalArticulation control mapping for a surgical instrument
USD967421S1 (en)2020-06-022022-10-18Cilag Gmbh InternationalStaple cartridge
US11471155B2 (en)2017-08-032022-10-18Cilag Gmbh InternationalSurgical system bailout
US11478247B2 (en)2010-07-302022-10-25Cilag Gmbh InternationalTissue acquisition arrangements and methods for surgical stapling devices
US11478241B2 (en)2019-06-282022-10-25Cilag Gmbh InternationalStaple cartridge including projections
US11484312B2 (en)2005-08-312022-11-01Cilag Gmbh InternationalStaple cartridge comprising a staple driver arrangement
US20220354486A1 (en)*2021-05-102022-11-10Cilag Gmbh InternationalSystem of surgical staple cartridges comprising absorbable staples
US11497492B2 (en)2019-06-282022-11-15Cilag Gmbh InternationalSurgical instrument including an articulation lock
US11504122B2 (en)2019-12-192022-11-22Cilag Gmbh InternationalSurgical instrument comprising a nested firing member
US11504116B2 (en)2011-04-292022-11-22Cilag Gmbh InternationalLayer of material for a surgical end effector
US11517390B2 (en)2020-10-292022-12-06Cilag Gmbh InternationalSurgical instrument comprising a limited travel switch
US11517325B2 (en)2017-06-202022-12-06Cilag Gmbh InternationalClosed loop feedback control of motor velocity of a surgical stapling and cutting instrument based on measured displacement distance traveled over a specified time interval
US11523821B2 (en)2014-09-262022-12-13Cilag Gmbh InternationalMethod for creating a flexible staple line
US11523823B2 (en)2016-02-092022-12-13Cilag Gmbh InternationalSurgical instruments with non-symmetrical articulation arrangements
US11523822B2 (en)2019-06-282022-12-13Cilag Gmbh InternationalBattery pack including a circuit interrupter
US11529139B2 (en)2019-12-192022-12-20Cilag Gmbh InternationalMotor driven surgical instrument
US11529137B2 (en)2019-12-192022-12-20Cilag Gmbh InternationalStaple cartridge comprising driver retention members
US11534259B2 (en)2020-10-292022-12-27Cilag Gmbh InternationalSurgical instrument comprising an articulation indicator
USD974560S1 (en)2020-06-022023-01-03Cilag Gmbh InternationalStaple cartridge
USD975278S1 (en)2020-06-022023-01-10Cilag Gmbh InternationalStaple cartridge
USD975851S1 (en)2020-06-022023-01-17Cilag Gmbh InternationalStaple cartridge
USD975850S1 (en)2020-06-022023-01-17Cilag Gmbh InternationalStaple cartridge
US11553971B2 (en)2019-06-282023-01-17Cilag Gmbh InternationalSurgical RFID assemblies for display and communication
US11559304B2 (en)2019-12-192023-01-24Cilag Gmbh InternationalSurgical instrument comprising a rapid closure mechanism
USD976401S1 (en)2020-06-022023-01-24Cilag Gmbh InternationalStaple cartridge
US11564682B2 (en)2007-06-042023-01-31Cilag Gmbh InternationalSurgical stapler device
US11564686B2 (en)2017-06-282023-01-31Cilag Gmbh InternationalSurgical shaft assemblies with flexible interfaces
US11571215B2 (en)2010-09-302023-02-07Cilag Gmbh InternationalLayer of material for a surgical end effector
US11576672B2 (en)2019-12-192023-02-14Cilag Gmbh InternationalSurgical instrument comprising a closure system including a closure member and an opening member driven by a drive screw
USD980425S1 (en)2020-10-292023-03-07Cilag Gmbh InternationalSurgical instrument assembly
US11607219B2 (en)2019-12-192023-03-21Cilag Gmbh InternationalStaple cartridge comprising a detachable tissue cutting knife
US11607239B2 (en)2016-04-152023-03-21Cilag Gmbh InternationalSystems and methods for controlling a surgical stapling and cutting instrument
US11617577B2 (en)2020-10-292023-04-04Cilag Gmbh InternationalSurgical instrument comprising a sensor configured to sense whether an articulation drive of the surgical instrument is actuatable
US11622766B2 (en)2012-06-282023-04-11Cilag Gmbh InternationalEmpty clip cartridge lockout
US11622763B2 (en)2013-04-162023-04-11Cilag Gmbh InternationalStapling assembly comprising a shiftable drive
US11627960B2 (en)2020-12-022023-04-18Cilag Gmbh InternationalPowered surgical instruments with smart reload with separately attachable exteriorly mounted wiring connections
US11627959B2 (en)2019-06-282023-04-18Cilag Gmbh InternationalSurgical instruments including manual and powered system lockouts
US11638587B2 (en)2019-06-282023-05-02Cilag Gmbh InternationalRFID identification systems for surgical instruments
US11638582B2 (en)2020-07-282023-05-02Cilag Gmbh InternationalSurgical instruments with torsion spine drive arrangements
US11648005B2 (en)2008-09-232023-05-16Cilag Gmbh InternationalRobotically-controlled motorized surgical instrument with an end effector
US11648009B2 (en)2019-04-302023-05-16Cilag Gmbh InternationalRotatable jaw tip for a surgical instrument
US11653920B2 (en)2020-12-022023-05-23Cilag Gmbh InternationalPowered surgical instruments with communication interfaces through sterile barrier
US11653915B2 (en)2020-12-022023-05-23Cilag Gmbh InternationalSurgical instruments with sled location detection and adjustment features
US11653914B2 (en)2017-06-202023-05-23Cilag Gmbh InternationalSystems and methods for controlling motor velocity of a surgical stapling and cutting instrument according to articulation angle of end effector
US11660163B2 (en)2019-06-282023-05-30Cilag Gmbh InternationalSurgical system with RFID tags for updating motor assembly parameters
US11678882B2 (en)2020-12-022023-06-20Cilag Gmbh InternationalSurgical instruments with interactive features to remedy incidental sled movements
US11678877B2 (en)2014-12-182023-06-20Cilag Gmbh InternationalSurgical instrument including a flexible support configured to support a flexible firing member
US11684434B2 (en)2019-06-282023-06-27Cilag Gmbh InternationalSurgical RFID assemblies for instrument operational setting control
US11684367B2 (en)2016-12-212023-06-27Cilag Gmbh InternationalStepped assembly having and end-of-life indicator
US11690619B2 (en)2016-06-242023-07-04Cilag Gmbh InternationalStaple cartridge comprising staples having different geometries
US11696761B2 (en)2019-03-252023-07-11Cilag Gmbh InternationalFiring drive arrangements for surgical systems
US11696757B2 (en)2021-02-262023-07-11Cilag Gmbh InternationalMonitoring of internal systems to detect and track cartridge motion status
US11701113B2 (en)2021-02-262023-07-18Cilag Gmbh InternationalStapling instrument comprising a separate power antenna and a data transfer antenna
US11701111B2 (en)2019-12-192023-07-18Cilag Gmbh InternationalMethod for operating a surgical stapling instrument
US11717289B2 (en)2020-10-292023-08-08Cilag Gmbh InternationalSurgical instrument comprising an indicator which indicates that an articulation drive is actuatable
US11717294B2 (en)2014-04-162023-08-08Cilag Gmbh InternationalEnd effector arrangements comprising indicators
US11717291B2 (en)2021-03-222023-08-08Cilag Gmbh InternationalStaple cartridge comprising staples configured to apply different tissue compression
US11723658B2 (en)2021-03-222023-08-15Cilag Gmbh InternationalStaple cartridge comprising a firing lockout
US11723657B2 (en)2021-02-262023-08-15Cilag Gmbh InternationalAdjustable communication based on available bandwidth and power capacity
US11723662B2 (en)2021-05-282023-08-15Cilag Gmbh InternationalStapling instrument comprising an articulation control display
US11730473B2 (en)2021-02-262023-08-22Cilag Gmbh InternationalMonitoring of manufacturing life-cycle
US11737749B2 (en)2021-03-222023-08-29Cilag Gmbh InternationalSurgical stapling instrument comprising a retraction system
US11737751B2 (en)2020-12-022023-08-29Cilag Gmbh InternationalDevices and methods of managing energy dissipated within sterile barriers of surgical instrument housings
US11744581B2 (en)2020-12-022023-09-05Cilag Gmbh InternationalPowered surgical instruments with multi-phase tissue treatment
US11744603B2 (en)2021-03-242023-09-05Cilag Gmbh InternationalMulti-axis pivot joints for surgical instruments and methods for manufacturing same
US11749877B2 (en)2021-02-262023-09-05Cilag Gmbh InternationalStapling instrument comprising a signal antenna
US11744583B2 (en)2021-02-262023-09-05Cilag Gmbh InternationalDistal communication array to tune frequency of RF systems
US11751869B2 (en)2021-02-262023-09-12Cilag Gmbh InternationalMonitoring of multiple sensors over time to detect moving characteristics of tissue
US11759202B2 (en)2021-03-222023-09-19Cilag Gmbh InternationalStaple cartridge comprising an implantable layer
US11766259B2 (en)2016-12-212023-09-26Cilag Gmbh InternationalMethod of deforming staples from two different types of staple cartridges with the same surgical stapling instrument
US11766260B2 (en)2016-12-212023-09-26Cilag Gmbh InternationalMethods of stapling tissue
US11771419B2 (en)2019-06-282023-10-03Cilag Gmbh InternationalPackaging for a replaceable component of a surgical stapling system
US11779330B2 (en)2020-10-292023-10-10Cilag Gmbh InternationalSurgical instrument comprising a jaw alignment system
US11786239B2 (en)2021-03-242023-10-17Cilag Gmbh InternationalSurgical instrument articulation joint arrangements comprising multiple moving linkage features
US11786243B2 (en)2021-03-242023-10-17Cilag Gmbh InternationalFiring members having flexible portions for adapting to a load during a surgical firing stroke
US11793518B2 (en)2006-01-312023-10-24Cilag Gmbh InternationalPowered surgical instruments with firing system lockout arrangements
US11793522B2 (en)2015-09-302023-10-24Cilag Gmbh InternationalStaple cartridge assembly including a compressible adjunct
US11793516B2 (en)2021-03-242023-10-24Cilag Gmbh InternationalSurgical staple cartridge comprising longitudinal support beam
US11793514B2 (en)2021-02-262023-10-24Cilag Gmbh InternationalStaple cartridge comprising sensor array which may be embedded in cartridge body
US11806011B2 (en)2021-03-222023-11-07Cilag Gmbh InternationalStapling instrument comprising tissue compression systems
US11812964B2 (en)2021-02-262023-11-14Cilag Gmbh InternationalStaple cartridge comprising a power management circuit
US11826132B2 (en)2015-03-062023-11-28Cilag Gmbh InternationalTime dependent evaluation of sensor data to determine stability, creep, and viscoelastic elements of measures
US11826042B2 (en)2021-03-222023-11-28Cilag Gmbh InternationalSurgical instrument comprising a firing drive including a selectable leverage mechanism
US11826012B2 (en)2021-03-222023-11-28Cilag Gmbh InternationalStapling instrument comprising a pulsed motor-driven firing rack
US11826048B2 (en)2017-06-282023-11-28Cilag Gmbh InternationalSurgical instrument comprising selectively actuatable rotatable couplers
US11832816B2 (en)2021-03-242023-12-05Cilag Gmbh InternationalSurgical stapling assembly comprising nonplanar staples and planar staples
US11844518B2 (en)2020-10-292023-12-19Cilag Gmbh InternationalMethod for operating a surgical instrument
US11844520B2 (en)2019-12-192023-12-19Cilag Gmbh InternationalStaple cartridge comprising driver retention members
US11849941B2 (en)2007-06-292023-12-26Cilag Gmbh InternationalStaple cartridge having staple cavities extending at a transverse angle relative to a longitudinal cartridge axis
US11849943B2 (en)2020-12-022023-12-26Cilag Gmbh InternationalSurgical instrument with cartridge release mechanisms
US11849945B2 (en)2021-03-242023-12-26Cilag Gmbh InternationalRotary-driven surgical stapling assembly comprising eccentrically driven firing member
US11849952B2 (en)2010-09-302023-12-26Cilag Gmbh InternationalStaple cartridge comprising staples positioned within a compressible portion thereof
US11849944B2 (en)2021-03-242023-12-26Cilag Gmbh InternationalDrivers for fastener cartridge assemblies having rotary drive screws
US11877745B2 (en)2021-10-182024-01-23Cilag Gmbh InternationalSurgical stapling assembly having longitudinally-repeating staple leg clusters
USD1013170S1 (en)2020-10-292024-01-30Cilag Gmbh InternationalSurgical instrument assembly
US11883026B2 (en)2014-04-162024-01-30Cilag Gmbh InternationalFastener cartridge assemblies and staple retainer cover arrangements
US11890012B2 (en)2004-07-282024-02-06Cilag Gmbh InternationalStaple cartridge comprising cartridge body and attached support
US11890010B2 (en)2020-12-022024-02-06Cllag GmbH InternationalDual-sided reinforced reload for surgical instruments
US11896219B2 (en)2021-03-242024-02-13Cilag Gmbh InternationalMating features between drivers and underside of a cartridge deck
US11896218B2 (en)2021-03-242024-02-13Cilag Gmbh InternationalMethod of using a powered stapling device
US11896217B2 (en)2020-10-292024-02-13Cilag Gmbh InternationalSurgical instrument comprising an articulation lock
US11903581B2 (en)2019-04-302024-02-20Cilag Gmbh InternationalMethods for stapling tissue using a surgical instrument
US11903582B2 (en)2021-03-242024-02-20Cilag Gmbh InternationalLeveraging surfaces for cartridge installation
US11911032B2 (en)2019-12-192024-02-27Cilag Gmbh InternationalStaple cartridge comprising a seating cam
US11925349B2 (en)2021-02-262024-03-12Cilag Gmbh InternationalAdjustment to transfer parameters to improve available power
US11931033B2 (en)2019-12-192024-03-19Cilag Gmbh InternationalStaple cartridge comprising a latch lockout
US11931025B2 (en)2020-10-292024-03-19Cilag Gmbh InternationalSurgical instrument comprising a releasable closure drive lock
US11937816B2 (en)2021-10-282024-03-26Cilag Gmbh InternationalElectrical lead arrangements for surgical instruments
US11944296B2 (en)2020-12-022024-04-02Cilag Gmbh InternationalPowered surgical instruments with external connectors
US11944338B2 (en)2015-03-062024-04-02Cilag Gmbh InternationalMultiple level thresholds to modify operation of powered surgical instruments
US11944336B2 (en)2021-03-242024-04-02Cilag Gmbh InternationalJoint arrangements for multi-planar alignment and support of operational drive shafts in articulatable surgical instruments
US11944300B2 (en)2017-08-032024-04-02Cilag Gmbh InternationalMethod for operating a surgical system bailout
US11950777B2 (en)2021-02-262024-04-09Cilag Gmbh InternationalStaple cartridge comprising an information access control system
US11950779B2 (en)2021-02-262024-04-09Cilag Gmbh InternationalMethod of powering and communicating with a staple cartridge
US11957337B2 (en)2021-10-182024-04-16Cilag Gmbh InternationalSurgical stapling assembly with offset ramped drive surfaces
US11963682B2 (en)2015-08-262024-04-23Cilag Gmbh InternationalSurgical staples comprising hardness variations for improved fastening of tissue
US11974742B2 (en)2017-08-032024-05-07Cilag Gmbh InternationalSurgical system comprising an articulation bailout
US11980362B2 (en)2021-02-262024-05-14Cilag Gmbh InternationalSurgical instrument system comprising a power transfer coil
US11980363B2 (en)2021-10-182024-05-14Cilag Gmbh InternationalRow-to-row staple array variations
US11980366B2 (en)2006-10-032024-05-14Cilag Gmbh InternationalSurgical instrument
US11986183B2 (en)2008-02-142024-05-21Cilag Gmbh InternationalSurgical cutting and fastening instrument comprising a plurality of sensors to measure an electrical parameter
US11998198B2 (en)2004-07-282024-06-04Cilag Gmbh InternationalSurgical stapling instrument incorporating a two-piece E-beam firing mechanism
US12004740B2 (en)2019-06-282024-06-11Cilag Gmbh InternationalSurgical stapling system having an information decryption protocol
US12004745B2 (en)2016-12-212024-06-11Cilag Gmbh InternationalSurgical instrument system comprising an end effector lockout and a firing assembly lockout
US12035913B2 (en)2019-12-192024-07-16Cilag Gmbh InternationalStaple cartridge comprising a deployable knife
US12053175B2 (en)2020-10-292024-08-06Cilag Gmbh InternationalSurgical instrument comprising a stowed closure actuator stop
US12089841B2 (en)2021-10-282024-09-17Cilag CmbH InternationalStaple cartridge identification systems
US12102323B2 (en)2021-03-242024-10-01Cilag Gmbh InternationalRotary-driven surgical stapling assembly comprising a floatable component
US12108951B2 (en)2021-02-262024-10-08Cilag Gmbh InternationalStaple cartridge comprising a sensing array and a temperature control system
US12137913B2 (en)2015-08-262024-11-12Cilag Gmbh InternationalStaple cartridge assembly comprising various tissue compression gaps and staple forming gaps
US12171507B2 (en)2016-08-162024-12-24Cilag Gmbh InternationalSurgical tool with manual control of end effector jaws
US12213666B2 (en)2010-09-302025-02-04Cilag Gmbh InternationalTissue thickness compensator comprising layers
US12232723B2 (en)2014-03-262025-02-25Cilag Gmbh InternationalSystems and methods for controlling a segmented circuit
US12239317B2 (en)2021-10-182025-03-04Cilag Gmbh InternationalAnvil comprising an arrangement of forming pockets proximal to tissue stop
US12245764B2 (en)2016-12-212025-03-11Cilag Gmbh InternationalShaft assembly comprising a lockout
US12262888B2 (en)2018-08-202025-04-01Cilag Gmbh InternationalSurgical instruments with progressive jaw closure arrangements
US12274442B2 (en)2016-12-212025-04-15Cilag Gmbh InternationalSurgical staple cartridge alignment features
US12324580B2 (en)2021-02-262025-06-10Cilag Gmbh InternationalMethod of powering and communicating with a staple cartridge
US12336705B2 (en)2017-12-212025-06-24Cilag Gmbh InternationalContinuous use self-propelled stapling instrument
US12383267B2 (en)2012-06-282025-08-12Cilag Gmbh InternationalRobotically powered surgical device with manually-actuatable reversing system
US12432790B2 (en)2021-10-282025-09-30Cilag Gmbh InternationalMethod and device for transmitting UART communications over a security short range wireless communication
US12433590B2 (en)2016-06-242025-10-07Cilag Gmbh InternationalStapling system for use with wire staples and stamped staples
US12440209B2 (en)2023-05-092025-10-14Cilag Gmbh InternationalSurgical instrument with multiple program responses during a firing motion

Citations (19)

* Cited by examiner, † Cited by third party
Publication numberPriority datePublication dateAssigneeTitle
US2252220A (en)1939-04-261941-08-12Trost JohnIngot casting apparatus
US2633404A (en)1946-04-221953-03-31Claude M HathawayEngine data recorder
EP0590348A1 (en)1992-09-261994-04-06GRUPPO LEPETIT S.p.A.Central venous catheters loaded with lipodalbaheptide antibiotics preventing development of catheter related infections
WO1996021642A1 (en)1995-01-101996-07-18Laboratorios Miret, S.A.Process for the synthesis of cationic surfactants obtained from the condensation of fatty acids with esterified dibasic aminoacids, and their application as antimicrobial agents
EP0738200A1 (en)1994-11-091996-10-23Amada Company LimitedShear force sensing system
US5752941A (en)1994-02-151998-05-19Gruppo Lepetit S.P.A.Central venous catheters loaded with antibiotics of the ramoplanin group preventing development of catheter related infections
WO2001094292A1 (en)2000-06-032001-12-13Lamirsa (Laboratorios Miret, S.A.)Process for the preparation of cationic surfactants
WO2001095876A1 (en)2000-06-092001-12-20Baylor College Of MedicineThe combination of antimicrobial agents and bacterial interference to coat medical devices
WO2003013454A1 (en)2001-08-092003-02-20Lamirsa S.A.New preservative systems and their use in cosmetic preparations
WO2003013453A1 (en)2001-08-092003-02-20Lamirsa S.A.Use of cationic surfactants in cosmetic preparations
WO2003034842A1 (en)2001-10-252003-05-01Laboratorios Miret, S.A.Use of cationic preservative in food products
WO2003043593A1 (en)2001-11-152003-05-30Laboratorios Miret S.A.Use of cationic surfactant as antimicrobial activity enhancer in deodorants and oral care
WO2003064669A1 (en)2002-02-012003-08-07Laboratorios Miret, S.A.ENZYMATIC SYNTHESIS OF Nα-ACYL-L-ARGININE ESTERS
US20060263444A1 (en)2005-05-192006-11-23Xintian MingAntimicrobial composition
WO2007000006A2 (en)2005-06-292007-01-04Plansee SeHalogen filament lamp comprising a dimming cover consisting of an mo alloy
WO2007050565A2 (en)2005-10-252007-05-03Baylor College Of MedicineIncorporation of antimicrobial combinations onto devices to reduce infection
US20070225220A1 (en)*2006-03-272007-09-27Xintian MingAntimicrobial composition
US20080020127A1 (en)2005-12-122008-01-24Allaccem, Inc.Methods and systems for coating a medical device
US20080260804A1 (en)2001-11-142008-10-23Carol Ann MorrisMedical devices having antimicrobial coatings thereon

Patent Citations (19)

* Cited by examiner, † Cited by third party
Publication numberPriority datePublication dateAssigneeTitle
US2252220A (en)1939-04-261941-08-12Trost JohnIngot casting apparatus
US2633404A (en)1946-04-221953-03-31Claude M HathawayEngine data recorder
EP0590348A1 (en)1992-09-261994-04-06GRUPPO LEPETIT S.p.A.Central venous catheters loaded with lipodalbaheptide antibiotics preventing development of catheter related infections
US5752941A (en)1994-02-151998-05-19Gruppo Lepetit S.P.A.Central venous catheters loaded with antibiotics of the ramoplanin group preventing development of catheter related infections
EP0738200A1 (en)1994-11-091996-10-23Amada Company LimitedShear force sensing system
WO1996021642A1 (en)1995-01-101996-07-18Laboratorios Miret, S.A.Process for the synthesis of cationic surfactants obtained from the condensation of fatty acids with esterified dibasic aminoacids, and their application as antimicrobial agents
WO2001094292A1 (en)2000-06-032001-12-13Lamirsa (Laboratorios Miret, S.A.)Process for the preparation of cationic surfactants
WO2001095876A1 (en)2000-06-092001-12-20Baylor College Of MedicineThe combination of antimicrobial agents and bacterial interference to coat medical devices
WO2003013454A1 (en)2001-08-092003-02-20Lamirsa S.A.New preservative systems and their use in cosmetic preparations
WO2003013453A1 (en)2001-08-092003-02-20Lamirsa S.A.Use of cationic surfactants in cosmetic preparations
WO2003034842A1 (en)2001-10-252003-05-01Laboratorios Miret, S.A.Use of cationic preservative in food products
US20080260804A1 (en)2001-11-142008-10-23Carol Ann MorrisMedical devices having antimicrobial coatings thereon
WO2003043593A1 (en)2001-11-152003-05-30Laboratorios Miret S.A.Use of cationic surfactant as antimicrobial activity enhancer in deodorants and oral care
WO2003064669A1 (en)2002-02-012003-08-07Laboratorios Miret, S.A.ENZYMATIC SYNTHESIS OF Nα-ACYL-L-ARGININE ESTERS
US20060263444A1 (en)2005-05-192006-11-23Xintian MingAntimicrobial composition
WO2007000006A2 (en)2005-06-292007-01-04Plansee SeHalogen filament lamp comprising a dimming cover consisting of an mo alloy
WO2007050565A2 (en)2005-10-252007-05-03Baylor College Of MedicineIncorporation of antimicrobial combinations onto devices to reduce infection
US20080020127A1 (en)2005-12-122008-01-24Allaccem, Inc.Methods and systems for coating a medical device
US20070225220A1 (en)*2006-03-272007-09-27Xintian MingAntimicrobial composition

Non-Patent Citations (2)

* Cited by examiner, † Cited by third party
Title
GUGGENHEIM, J. DENTAL RES., vol. 80, 2001, pages 363 - 370
POLYARKOV, UKR.BIOCHEM.J, vol. 79, 2007, pages 124 - 128

Cited By (1115)

* Cited by examiner, † Cited by third party
Publication numberPriority datePublication dateAssigneeTitle
US10485547B2 (en)2004-07-282019-11-26Ethicon LlcSurgical staple cartridges
US12011165B2 (en)2004-07-282024-06-18Cilag Gmbh InternationalSurgical stapling instrument comprising replaceable staple cartridge
US12029423B2 (en)2004-07-282024-07-09Cilag Gmbh InternationalSurgical stapling instrument comprising a staple cartridge
US11083456B2 (en)2004-07-282021-08-10Cilag Gmbh InternationalArticulating surgical instrument incorporating a two-piece firing mechanism
US10278702B2 (en)2004-07-282019-05-07Ethicon LlcStapling system comprising a firing bar and a lockout
US10292707B2 (en)2004-07-282019-05-21Ethicon LlcArticulating surgical stapling instrument incorporating a firing mechanism
US10293100B2 (en)2004-07-282019-05-21Ethicon LlcSurgical stapling instrument having a medical substance dispenser
US10314590B2 (en)2004-07-282019-06-11Ethicon LlcArticulating surgical stapling instrument incorporating a two-piece e-beam firing mechanism
US11135352B2 (en)2004-07-282021-10-05Cilag Gmbh InternationalEnd effector including a gradually releasable medical adjunct
US10799240B2 (en)2004-07-282020-10-13Ethicon LlcSurgical instrument comprising a staple firing lockout
US11998198B2 (en)2004-07-282024-06-04Cilag Gmbh InternationalSurgical stapling instrument incorporating a two-piece E-beam firing mechanism
US11963679B2 (en)2004-07-282024-04-23Cilag Gmbh InternationalArticulating surgical stapling instrument incorporating a two-piece E-beam firing mechanism
US10383634B2 (en)2004-07-282019-08-20Ethicon LlcStapling system incorporating a firing lockout
US10716563B2 (en)2004-07-282020-07-21Ethicon LlcStapling system comprising an instrument assembly including a lockout
US10687817B2 (en)2004-07-282020-06-23Ethicon LlcStapling device comprising a firing member lockout
US11116502B2 (en)2004-07-282021-09-14Cilag Gmbh InternationalSurgical stapling instrument incorporating a two-piece firing mechanism
US11684365B2 (en)2004-07-282023-06-27Cilag Gmbh InternationalReplaceable staple cartridges for surgical instruments
US11896225B2 (en)2004-07-282024-02-13Cilag Gmbh InternationalStaple cartridge comprising a pan
US11882987B2 (en)2004-07-282024-01-30Cilag Gmbh InternationalArticulating surgical stapling instrument incorporating a two-piece E-beam firing mechanism
US10568629B2 (en)2004-07-282020-02-25Ethicon LlcArticulating surgical stapling instrument
US11812960B2 (en)2004-07-282023-11-14Cilag Gmbh InternationalMethod of segmenting the operation of a surgical stapling instrument
US11890012B2 (en)2004-07-282024-02-06Cilag Gmbh InternationalStaple cartridge comprising cartridge body and attached support
US11576673B2 (en)2005-08-312023-02-14Cilag Gmbh InternationalStapling assembly for forming staples to different heights
US11399828B2 (en)2005-08-312022-08-02Cilag Gmbh InternationalFastener cartridge assembly comprising a fixed anvil and different staple heights
US11839375B2 (en)2005-08-312023-12-12Cilag Gmbh InternationalFastener cartridge assembly comprising an anvil and different staple heights
US10932774B2 (en)2005-08-312021-03-02Ethicon LlcSurgical end effector for forming staples to different heights
US11484312B2 (en)2005-08-312022-11-01Cilag Gmbh InternationalStaple cartridge comprising a staple driver arrangement
US10271846B2 (en)2005-08-312019-04-30Ethicon LlcStaple cartridge for use with a surgical stapler
US11179153B2 (en)2005-08-312021-11-23Cilag Gmbh InternationalStaple cartridges for forming staples having differing formed staple heights
US11246590B2 (en)2005-08-312022-02-15Cilag Gmbh InternationalStaple cartridge including staple drivers having different unfired heights
US11090045B2 (en)2005-08-312021-08-17Cilag Gmbh InternationalStaple cartridges for forming staples having differing formed staple heights
US10463369B2 (en)2005-08-312019-11-05Ethicon LlcDisposable end effector for use with a surgical instrument
US11172927B2 (en)2005-08-312021-11-16Cilag Gmbh InternationalStaple cartridges for forming staples having differing formed staple heights
US11272928B2 (en)2005-08-312022-03-15Cilag GmbH IntemationalStaple cartridges for forming staples having differing formed staple heights
US10420553B2 (en)2005-08-312019-09-24Ethicon LlcStaple cartridge comprising a staple driver arrangement
US11793512B2 (en)2005-08-312023-10-24Cilag Gmbh InternationalStaple cartridges for forming staples having differing formed staple heights
US11771425B2 (en)2005-08-312023-10-03Cilag Gmbh InternationalStapling assembly for forming staples to different formed heights
US10729436B2 (en)2005-08-312020-08-04Ethicon LlcRobotically-controlled surgical stapling devices that produce formed staples having different lengths
US10245035B2 (en)2005-08-312019-04-02Ethicon LlcStapling assembly configured to produce different formed staple heights
US10321909B2 (en)2005-08-312019-06-18Ethicon LlcStaple cartridge comprising a staple including deformable members
US11730474B2 (en)2005-08-312023-08-22Cilag Gmbh InternationalFastener cartridge assembly comprising a movable cartridge and a staple driver arrangement
US11484311B2 (en)2005-08-312022-11-01Cilag Gmbh InternationalStaple cartridge comprising a staple driver arrangement
US10869664B2 (en)2005-08-312020-12-22Ethicon LlcEnd effector for use with a surgical stapling instrument
US10842488B2 (en)2005-08-312020-11-24Ethicon LlcFastener cartridge assembly comprising a fixed anvil and different staple heights
US10278697B2 (en)2005-08-312019-05-07Ethicon LlcStaple cartridge comprising a staple driver arrangement
US11134947B2 (en)2005-08-312021-10-05Cilag Gmbh InternationalFastener cartridge assembly comprising a camming sled with variable cam arrangements
US10271845B2 (en)2005-08-312019-04-30Ethicon LlcFastener cartridge assembly comprising a cam and driver arrangement
US10245032B2 (en)2005-08-312019-04-02Ethicon LlcStaple cartridges for forming staples having differing formed staple heights
US10842489B2 (en)2005-08-312020-11-24Ethicon LlcFastener cartridge assembly comprising a cam and driver arrangement
US10149679B2 (en)2005-11-092018-12-11Ethicon LlcSurgical instrument comprising drive systems
US10806449B2 (en)2005-11-092020-10-20Ethicon LlcEnd effectors for surgical staplers
US10993713B2 (en)2005-11-092021-05-04Ethicon LlcSurgical instruments
US11793511B2 (en)2005-11-092023-10-24Cilag Gmbh InternationalSurgical instruments
US10299817B2 (en)2006-01-312019-05-28Ethicon LlcMotor-driven fastening assembly
US10653417B2 (en)2006-01-312020-05-19Ethicon LlcSurgical instrument
US12433584B2 (en)2006-01-312025-10-07Cilag Gmbh InternationalRobotically-controlled end effector
US10959722B2 (en)2006-01-312021-03-30Ethicon LlcSurgical instrument for deploying fasteners by way of rotational motion
US10842491B2 (en)2006-01-312020-11-24Ethicon LlcSurgical system with an actuation console
US10806479B2 (en)2006-01-312020-10-20Ethicon LlcMotor-driven surgical cutting and fastening instrument with tactile position feedback
US10463384B2 (en)2006-01-312019-11-05Ethicon LlcStapling assembly
US10993717B2 (en)2006-01-312021-05-04Ethicon LlcSurgical stapling system comprising a control system
US11000275B2 (en)2006-01-312021-05-11Ethicon LlcSurgical instrument
US10426463B2 (en)2006-01-312019-10-01Ehticon LLCSurgical instrument having a feedback system
US11793518B2 (en)2006-01-312023-10-24Cilag Gmbh InternationalPowered surgical instruments with firing system lockout arrangements
US11801051B2 (en)2006-01-312023-10-31Cilag Gmbh InternationalAccessing data stored in a memory of a surgical instrument
US11278279B2 (en)2006-01-312022-03-22Cilag Gmbh InternationalSurgical instrument assembly
US11058420B2 (en)2006-01-312021-07-13Cilag Gmbh InternationalSurgical stapling apparatus comprising a lockout system
US10743849B2 (en)2006-01-312020-08-18Ethicon LlcStapling system including an articulation system
US11224454B2 (en)2006-01-312022-01-18Cilag Gmbh InternationalMotor-driven surgical cutting and fastening instrument with tactile position feedback
US10463383B2 (en)2006-01-312019-11-05Ethicon LlcStapling instrument including a sensing system
US10485539B2 (en)2006-01-312019-11-26Ethicon LlcSurgical instrument with firing lockout
US10893853B2 (en)2006-01-312021-01-19Ethicon LlcStapling assembly including motor drive systems
US11612393B2 (en)2006-01-312023-03-28Cilag Gmbh InternationalRobotically-controlled end effector
US10952728B2 (en)2006-01-312021-03-23Ethicon LlcPowered surgical instruments with firing system lockout arrangements
US11224427B2 (en)2006-01-312022-01-18Cilag Gmbh InternationalSurgical stapling system including a console and retraction assembly
US10709468B2 (en)2006-01-312020-07-14Ethicon LlcMotor-driven surgical cutting and fastening instrument
US11890029B2 (en)2006-01-312024-02-06Cilag Gmbh InternationalMotor-driven surgical cutting and fastening instrument
US11648008B2 (en)2006-01-312023-05-16Cilag Gmbh InternationalSurgical instrument having force feedback capabilities
US11648024B2 (en)2006-01-312023-05-16Cilag Gmbh InternationalMotor-driven surgical cutting and fastening instrument with position feedback
US11364046B2 (en)2006-01-312022-06-21Cilag Gmbh InternationalMotor-driven surgical cutting and fastening instrument with tactile position feedback
US11890008B2 (en)2006-01-312024-02-06Cilag Gmbh InternationalSurgical instrument with firing lockout
US11051811B2 (en)2006-01-312021-07-06Ethicon LlcEnd effector for use with a surgical instrument
US10278722B2 (en)2006-01-312019-05-07Ethicon LlcMotor-driven surgical cutting and fastening instrument
US12161329B2 (en)2006-01-312024-12-10Cilag Gmbh InternationalSurgical systems comprising a control circuit including a timer
US11166717B2 (en)2006-01-312021-11-09Cilag Gmbh InternationalSurgical instrument with firing lockout
US11020113B2 (en)2006-01-312021-06-01Cilag Gmbh InternationalSurgical instrument having force feedback capabilities
US11883020B2 (en)2006-01-312024-01-30Cilag Gmbh InternationalSurgical instrument having a feedback system
US11660110B2 (en)2006-01-312023-05-30Cilag Gmbh InternationalMotor-driven surgical cutting and fastening instrument with tactile position feedback
US11051813B2 (en)2006-01-312021-07-06Cilag Gmbh InternationalPowered surgical instruments with firing system lockout arrangements
US10918380B2 (en)2006-01-312021-02-16Ethicon LlcSurgical instrument system including a control system
US10653435B2 (en)2006-01-312020-05-19Ethicon LlcMotor-driven surgical cutting and fastening instrument with tactile position feedback
US10201363B2 (en)2006-01-312019-02-12Ethicon LlcMotor-driven surgical instrument
US11944299B2 (en)2006-01-312024-04-02Cilag Gmbh InternationalSurgical instrument having force feedback capabilities
US10675028B2 (en)2006-01-312020-06-09Ethicon LlcPowered surgical instruments with firing system lockout arrangements
US11350916B2 (en)2006-01-312022-06-07Cilag Gmbh InternationalEndoscopic surgical instrument with a handle that can articulate with respect to the shaft
US11246616B2 (en)2006-01-312022-02-15Cilag Gmbh InternationalMotor-driven surgical cutting and fastening instrument with tactile position feedback
US11103269B2 (en)2006-01-312021-08-31Cilag Gmbh InternationalMotor-driven surgical cutting and fastening instrument with tactile position feedback
US10213262B2 (en)2006-03-232019-02-26Ethicon LlcManipulatable surgical systems with selectively articulatable fastening device
US12171508B2 (en)2006-03-232024-12-24Cilag Gmbh InternationalRobotically-controlled surgical instrument with selectively articulatable end effector
US11272938B2 (en)2006-06-272022-03-15Cilag Gmbh InternationalSurgical instrument including dedicated firing and retraction assemblies
US10314589B2 (en)2006-06-272019-06-11Ethicon LlcSurgical instrument including a shifting assembly
US10420560B2 (en)2006-06-272019-09-24Ethicon LlcManually driven surgical cutting and fastening instrument
US10448952B2 (en)2006-09-292019-10-22Ethicon LlcEnd effector for use with a surgical fastening instrument
US10595862B2 (en)2006-09-292020-03-24Ethicon LlcStaple cartridge including a compressible member
US11571231B2 (en)2006-09-292023-02-07Cilag Gmbh InternationalStaple cartridge having a driver for driving multiple staples
US10172616B2 (en)2006-09-292019-01-08Ethicon LlcSurgical staple cartridge
US11622785B2 (en)2006-09-292023-04-11Cilag Gmbh InternationalSurgical staples having attached drivers and stapling instruments for deploying the same
US10568652B2 (en)2006-09-292020-02-25Ethicon LlcSurgical staples having attached drivers of different heights and stapling instruments for deploying the same
US10206678B2 (en)2006-10-032019-02-19Ethicon LlcSurgical stapling instrument with lockout features to prevent advancement of a firing assembly unless an unfired surgical staple cartridge is operably mounted in an end effector portion of the instrument
US11980366B2 (en)2006-10-032024-05-14Cilag Gmbh InternationalSurgical instrument
US11382626B2 (en)2006-10-032022-07-12Cilag Gmbh InternationalSurgical system including a knife bar supported for rotational and axial travel
US10342541B2 (en)2006-10-032019-07-09Ethicon LlcSurgical instruments with E-beam driver and rotary drive arrangements
US11877748B2 (en)2006-10-032024-01-23Cilag Gmbh InternationalRobotically-driven surgical instrument with E-beam driver
US12178434B2 (en)2006-10-032024-12-31Cilag Gmbh InternationalSurgical stapling system including control circuit to monitor clamping pressure
US10517682B2 (en)2007-01-102019-12-31Ethicon LlcSurgical instrument with wireless communication between control unit and remote sensor
US11064998B2 (en)2007-01-102021-07-20Cilag Gmbh InternationalSurgical instrument with wireless communication between a control unit of a robotic system and remote sensor
US10952727B2 (en)2007-01-102021-03-23Ethicon LlcSurgical instrument for assessing the state of a staple cartridge
US11291441B2 (en)2007-01-102022-04-05Cilag Gmbh InternationalSurgical instrument with wireless communication between control unit and remote sensor
US11812961B2 (en)2007-01-102023-11-14Cilag Gmbh InternationalSurgical instrument including a motor control system
US11666332B2 (en)2007-01-102023-06-06Cilag Gmbh InternationalSurgical instrument comprising a control circuit configured to adjust the operation of a motor
US11771426B2 (en)2007-01-102023-10-03Cilag Gmbh InternationalSurgical instrument with wireless communication
US10441369B2 (en)2007-01-102019-10-15Ethicon LlcArticulatable surgical instrument configured for detachable use with a robotic system
US11918211B2 (en)2007-01-102024-03-05Cilag Gmbh InternationalSurgical stapling instrument for use with a robotic system
US12082806B2 (en)2007-01-102024-09-10Cilag Gmbh InternationalSurgical instrument with wireless communication between control unit and sensor transponders
US10945729B2 (en)2007-01-102021-03-16Ethicon LlcInterlock and surgical instrument including same
US12004743B2 (en)2007-01-102024-06-11Cilag Gmbh InternationalStaple cartridge comprising a sloped wall
US10918386B2 (en)2007-01-102021-02-16Ethicon LlcInterlock and surgical instrument including same
US10517590B2 (en)2007-01-102019-12-31Ethicon LlcPowered surgical instrument having a transmission system
US10433918B2 (en)2007-01-102019-10-08Ethicon LlcSurgical instrument system configured to evaluate the load applied to a firing member at the initiation of a firing stroke
US11166720B2 (en)2007-01-102021-11-09Cilag Gmbh InternationalSurgical instrument including a control module for assessing an end effector
US11844521B2 (en)2007-01-102023-12-19Cilag Gmbh InternationalSurgical instrument for use with a robotic system
US11931032B2 (en)2007-01-102024-03-19Cilag Gmbh InternationalSurgical instrument with wireless communication between a control unit of a robotic system and remote sensor
US11000277B2 (en)2007-01-102021-05-11Ethicon LlcSurgical instrument with wireless communication between control unit and remote sensor
US10751138B2 (en)2007-01-102020-08-25Ethicon LlcSurgical instrument for use with a robotic system
US11134943B2 (en)2007-01-102021-10-05Cilag Gmbh InternationalPowered surgical instrument including a control unit and sensor
US11849947B2 (en)2007-01-102023-12-26Cilag Gmbh InternationalSurgical system including a control circuit and a passively-powered transponder
US11006951B2 (en)2007-01-102021-05-18Ethicon LlcSurgical instrument with wireless communication between control unit and sensor transponders
US11350929B2 (en)2007-01-102022-06-07Cilag Gmbh InternationalSurgical instrument with wireless communication between control unit and sensor transponders
US11937814B2 (en)2007-01-102024-03-26Cilag Gmbh InternationalSurgical instrument for use with a robotic system
US10278780B2 (en)2007-01-102019-05-07Ethicon LlcSurgical instrument for use with robotic system
US10912575B2 (en)2007-01-112021-02-09Ethicon LlcSurgical stapling device having supports for a flexible drive mechanism
US11839352B2 (en)2007-01-112023-12-12Cilag Gmbh InternationalSurgical stapling device with an end effector
US11039836B2 (en)2007-01-112021-06-22Cilag Gmbh InternationalStaple cartridge for use with a surgical stapling instrument
US10702267B2 (en)2007-03-152020-07-07Ethicon LlcSurgical stapling instrument having a releasable buttress material
US11337693B2 (en)2007-03-152022-05-24Cilag Gmbh InternationalSurgical stapling instrument having a releasable buttress material
US10398433B2 (en)2007-03-282019-09-03Ethicon LlcLaparoscopic clamp load measuring devices
US10368863B2 (en)2007-06-042019-08-06Ethicon LlcRobotically-controlled shaft based rotary drive systems for surgical instruments
US11134938B2 (en)2007-06-042021-10-05Cilag Gmbh InternationalRobotically-controlled shaft based rotary drive systems for surgical instruments
US10327765B2 (en)2007-06-042019-06-25Ethicon LlcDrive systems for surgical instruments
US11147549B2 (en)2007-06-042021-10-19Cilag Gmbh InternationalStapling instrument including a firing system and a closure system
US11648006B2 (en)2007-06-042023-05-16Cilag Gmbh InternationalRobotically-controlled shaft based rotary drive systems for surgical instruments
US11857181B2 (en)2007-06-042024-01-02Cilag Gmbh InternationalRobotically-controlled shaft based rotary drive systems for surgical instruments
US10441280B2 (en)2007-06-042019-10-15Ethicon LlcRobotically-controlled shaft based rotary drive systems for surgical instruments
US11911028B2 (en)2007-06-042024-02-27Cilag Gmbh InternationalSurgical instruments for use with a robotic surgical system
US12035906B2 (en)2007-06-042024-07-16Cilag Gmbh InternationalSurgical instrument including a handle system for advancing a cutting member
US11672531B2 (en)2007-06-042023-06-13Cilag Gmbh InternationalRotary drive systems for surgical instruments
US10299787B2 (en)2007-06-042019-05-28Ethicon LlcStapling system comprising rotary inputs
US11564682B2 (en)2007-06-042023-01-31Cilag Gmbh InternationalSurgical stapler device
US11559302B2 (en)2007-06-042023-01-24Cilag Gmbh InternationalSurgical instrument including a firing member movable at different speeds
US11154298B2 (en)2007-06-042021-10-26Cilag Gmbh InternationalStapling system for use with a robotic surgical system
US11992208B2 (en)2007-06-042024-05-28Cilag Gmbh InternationalRotary drive systems for surgical instruments
US10363033B2 (en)2007-06-042019-07-30Ethicon LlcRobotically-controlled surgical instruments
US12023024B2 (en)2007-06-042024-07-02Cilag Gmbh InternationalRobotically-controlled shaft based rotary drive systems for surgical instruments
US11013511B2 (en)2007-06-222021-05-25Ethicon LlcSurgical stapling instrument with an articulatable end effector
US11998200B2 (en)2007-06-222024-06-04Cilag Gmbh InternationalSurgical stapling instrument with an articulatable end effector
US11925346B2 (en)2007-06-292024-03-12Cilag Gmbh InternationalSurgical staple cartridge including tissue supporting surfaces
US11849941B2 (en)2007-06-292023-12-26Cilag Gmbh InternationalStaple cartridge having staple cavities extending at a transverse angle relative to a longitudinal cartridge axis
US12023025B2 (en)2007-06-292024-07-02Cilag Gmbh InternationalSurgical stapling instrument having a releasable buttress material
US10898195B2 (en)2008-02-142021-01-26Ethicon LlcDetachable motor powered surgical instrument
US11986183B2 (en)2008-02-142024-05-21Cilag Gmbh InternationalSurgical cutting and fastening instrument comprising a plurality of sensors to measure an electrical parameter
US11484307B2 (en)2008-02-142022-11-01Cilag Gmbh InternationalLoading unit coupleable to a surgical stapling system
US11998206B2 (en)2008-02-142024-06-04Cilag Gmbh InternationalDetachable motor powered surgical instrument
US11717285B2 (en)2008-02-142023-08-08Cilag Gmbh InternationalSurgical cutting and fastening instrument having RF electrodes
US10639036B2 (en)2008-02-142020-05-05Ethicon LlcRobotically-controlled motorized surgical cutting and fastening instrument
US10238387B2 (en)2008-02-142019-03-26Ethicon LlcSurgical instrument comprising a control system
US10925605B2 (en)2008-02-142021-02-23Ethicon LlcSurgical stapling system
US10874396B2 (en)2008-02-142020-12-29Ethicon LlcStapling instrument for use with a surgical robot
US10463370B2 (en)2008-02-142019-11-05Ethicon LlcMotorized surgical instrument
US10806450B2 (en)2008-02-142020-10-20Ethicon LlcSurgical cutting and fastening instrument having a control system
US10238385B2 (en)2008-02-142019-03-26Ethicon LlcSurgical instrument system for evaluating tissue impedance
US11464514B2 (en)2008-02-142022-10-11Cilag Gmbh InternationalMotorized surgical stapling system including a sensing array
US11446034B2 (en)2008-02-142022-09-20Cilag Gmbh InternationalSurgical stapling assembly comprising first and second actuation systems configured to perform different functions
US10470763B2 (en)2008-02-142019-11-12Ethicon LlcSurgical cutting and fastening instrument including a sensing system
US10307163B2 (en)2008-02-142019-06-04Ethicon LlcDetachable motor powered surgical instrument
US10660640B2 (en)2008-02-142020-05-26Ethicon LlcMotorized surgical cutting and fastening instrument
US10888329B2 (en)2008-02-142021-01-12Ethicon LlcDetachable motor powered surgical instrument
US11801047B2 (en)2008-02-142023-10-31Cilag Gmbh InternationalSurgical stapling system comprising a control circuit configured to selectively monitor tissue impedance and adjust control of a motor
US10779822B2 (en)2008-02-142020-09-22Ethicon LlcSystem including a surgical cutting and fastening instrument
US11571212B2 (en)2008-02-142023-02-07Cilag Gmbh InternationalSurgical stapling system including an impedance sensor
US10682142B2 (en)2008-02-142020-06-16Ethicon LlcSurgical stapling apparatus including an articulation system
US10765432B2 (en)2008-02-142020-09-08Ethicon LlcSurgical device including a control system
US12213671B2 (en)2008-02-142025-02-04Cilag Gmbh InternationalMotorized system having a plurality of power sources
US10682141B2 (en)2008-02-142020-06-16Ethicon LlcSurgical device including a control system
US10905427B2 (en)2008-02-142021-02-02Ethicon LlcSurgical System
US10265067B2 (en)2008-02-142019-04-23Ethicon LlcSurgical instrument including a regulator and a control system
US10888330B2 (en)2008-02-142021-01-12Ethicon LlcSurgical system
US10905426B2 (en)2008-02-142021-02-02Ethicon LlcDetachable motor powered surgical instrument
US11638583B2 (en)2008-02-142023-05-02Cilag Gmbh InternationalMotorized surgical system having a plurality of power sources
US10716568B2 (en)2008-02-142020-07-21Ethicon LlcSurgical stapling apparatus with control features operable with one hand
US10743851B2 (en)2008-02-142020-08-18Ethicon LlcInterchangeable tools for surgical instruments
US10898194B2 (en)2008-02-142021-01-26Ethicon LlcDetachable motor powered surgical instrument
US11612395B2 (en)2008-02-142023-03-28Cilag Gmbh InternationalSurgical system including a control system having an RFID tag reader
US10542974B2 (en)2008-02-142020-01-28Ethicon LlcSurgical instrument including a control system
US10743870B2 (en)2008-02-142020-08-18Ethicon LlcSurgical stapling apparatus with interlockable firing system
US10206676B2 (en)2008-02-142019-02-19Ethicon LlcSurgical cutting and fastening instrument
US10722232B2 (en)2008-02-142020-07-28Ethicon LlcSurgical instrument for use with different cartridges
US10856866B2 (en)2008-02-152020-12-08Ethicon LlcSurgical end effector having buttress retention features
US11154297B2 (en)2008-02-152021-10-26Cilag Gmbh InternationalLayer arrangements for surgical staple cartridges
US11998194B2 (en)2008-02-152024-06-04Cilag Gmbh InternationalSurgical stapling assembly comprising an adjunct applicator
US11058418B2 (en)2008-02-152021-07-13Cilag Gmbh InternationalSurgical end effector having buttress retention features
US10390823B2 (en)2008-02-152019-08-27Ethicon LlcEnd effector comprising an adjunct
US11272927B2 (en)2008-02-152022-03-15Cilag Gmbh InternationalLayer arrangements for surgical staple cartridges
US11517304B2 (en)2008-09-232022-12-06Cilag Gmbh InternationalMotor-driven surgical cutting instrument
US11684361B2 (en)2008-09-232023-06-27Cilag Gmbh InternationalMotor-driven surgical cutting instrument
US11617576B2 (en)2008-09-232023-04-04Cilag Gmbh InternationalMotor-driven surgical cutting instrument
US10898184B2 (en)2008-09-232021-01-26Ethicon LlcMotor-driven surgical cutting instrument
US11648005B2 (en)2008-09-232023-05-16Cilag Gmbh InternationalRobotically-controlled motorized surgical instrument with an end effector
US10456133B2 (en)2008-09-232019-10-29Ethicon LlcMotorized surgical instrument
US12029415B2 (en)2008-09-232024-07-09Cilag Gmbh InternationalMotor-driven surgical cutting instrument
US11812954B2 (en)2008-09-232023-11-14Cilag Gmbh InternationalRobotically-controlled motorized surgical instrument with an end effector
US10420549B2 (en)2008-09-232019-09-24Ethicon LlcMotorized surgical instrument
US11617575B2 (en)2008-09-232023-04-04Cilag Gmbh InternationalMotor-driven surgical cutting instrument
US10765425B2 (en)2008-09-232020-09-08Ethicon LlcRobotically-controlled motorized surgical instrument with an end effector
US10485537B2 (en)2008-09-232019-11-26Ethicon LlcMotorized surgical instrument
US11406380B2 (en)2008-09-232022-08-09Cilag Gmbh InternationalMotorized surgical instrument
US11871923B2 (en)2008-09-232024-01-16Cilag Gmbh InternationalMotorized surgical instrument
US11103241B2 (en)2008-09-232021-08-31Cilag Gmbh InternationalMotor-driven surgical cutting instrument
US11045189B2 (en)2008-09-232021-06-29Cilag Gmbh InternationalRobotically-controlled motorized surgical instrument with an end effector
US10736628B2 (en)2008-09-232020-08-11Ethicon LlcMotor-driven surgical cutting instrument
US10980535B2 (en)2008-09-232021-04-20Ethicon LlcMotorized surgical instrument with an end effector
US10149683B2 (en)2008-10-102018-12-11Ethicon LlcPowered surgical cutting and stapling apparatus with manually retractable firing system
US11793521B2 (en)2008-10-102023-10-24Cilag Gmbh InternationalPowered surgical cutting and stapling apparatus with manually retractable firing system
US11583279B2 (en)2008-10-102023-02-21Cilag Gmbh InternationalPowered surgical cutting and stapling apparatus with manually retractable firing system
US10932778B2 (en)2008-10-102021-03-02Ethicon LlcPowered surgical cutting and stapling apparatus with manually retractable firing system
US11730477B2 (en)2008-10-102023-08-22Cilag Gmbh InternationalPowered surgical system with manually retractable firing system
US11129615B2 (en)2009-02-052021-09-28Cilag Gmbh InternationalSurgical stapling system
US10758233B2 (en)2009-02-052020-09-01Ethicon LlcArticulatable surgical instrument comprising a firing drive
US10420550B2 (en)2009-02-062019-09-24Ethicon LlcMotor driven surgical fastener device with switching system configured to prevent firing initiation until activated
US12207835B2 (en)2009-12-242025-01-28Cilag Gmbh InternationalMotor-driven surgical cutting instrument with electric actuator directional control assembly
US11291449B2 (en)2009-12-242022-04-05Cilag Gmbh InternationalSurgical cutting instrument that analyzes tissue thickness
US10751076B2 (en)2009-12-242020-08-25Ethicon LlcMotor-driven surgical cutting instrument with electric actuator directional control assembly
US11478247B2 (en)2010-07-302022-10-25Cilag Gmbh InternationalTissue acquisition arrangements and methods for surgical stapling devices
US11684360B2 (en)2010-09-302023-06-27Cilag Gmbh InternationalStaple cartridge comprising a variable thickness compressible portion
US10258330B2 (en)2010-09-302019-04-16Ethicon LlcEnd effector including an implantable arrangement
US10945731B2 (en)2010-09-302021-03-16Ethicon LlcTissue thickness compensator comprising controlled release and expansion
US10463372B2 (en)2010-09-302019-11-05Ethicon LlcStaple cartridge comprising multiple regions
US11737754B2 (en)2010-09-302023-08-29Cilag Gmbh InternationalSurgical stapler with floating anvil
US10835251B2 (en)2010-09-302020-11-17Ethicon LlcSurgical instrument assembly including an end effector configurable in different positions
US12213666B2 (en)2010-09-302025-02-04Cilag Gmbh InternationalTissue thickness compensator comprising layers
US10869669B2 (en)2010-09-302020-12-22Ethicon LlcSurgical instrument assembly
US10624861B2 (en)2010-09-302020-04-21Ethicon LlcTissue thickness compensator configured to redistribute compressive forces
US10335148B2 (en)2010-09-302019-07-02Ethicon LlcStaple cartridge including a tissue thickness compensator for a surgical stapler
US10182819B2 (en)2010-09-302019-01-22Ethicon LlcImplantable layer assemblies
US11925354B2 (en)2010-09-302024-03-12Cilag Gmbh InternationalStaple cartridge comprising staples positioned within a compressible portion thereof
US10987102B2 (en)2010-09-302021-04-27Ethicon LlcTissue thickness compensator comprising a plurality of layers
US11298125B2 (en)2010-09-302022-04-12Cilag Gmbh InternationalTissue stapler having a thickness compensator
US11540824B2 (en)2010-09-302023-01-03Cilag Gmbh InternationalTissue thickness compensator
US11911027B2 (en)2010-09-302024-02-27Cilag Gmbh InternationalAdhesive film laminate
US11406377B2 (en)2010-09-302022-08-09Cilag Gmbh InternationalAdhesive film laminate
US11559496B2 (en)2010-09-302023-01-24Cilag Gmbh InternationalTissue thickness compensator configured to redistribute compressive forces
US10149682B2 (en)2010-09-302018-12-11Ethicon LlcStapling system including an actuation system
US10588623B2 (en)2010-09-302020-03-17Ethicon LlcAdhesive film laminate
US10335150B2 (en)2010-09-302019-07-02Ethicon LlcStaple cartridge comprising an implantable layer
US10485536B2 (en)2010-09-302019-11-26Ethicon LlcTissue stapler having an anti-microbial agent
US10194910B2 (en)2010-09-302019-02-05Ethicon LlcStapling assemblies comprising a layer
US11571215B2 (en)2010-09-302023-02-07Cilag Gmbh InternationalLayer of material for a surgical end effector
US12178432B2 (en)2010-09-302024-12-31Cilag Gmbh InternationalTissue thickness compensator comprising laterally offset layers
US11154296B2 (en)2010-09-302021-10-26Cilag Gmbh InternationalAnvil layer attached to a proximal end of an end effector
US11583277B2 (en)2010-09-302023-02-21Cilag Gmbh InternationalLayer of material for a surgical end effector
US11883025B2 (en)2010-09-302024-01-30Cilag Gmbh InternationalTissue thickness compensator comprising a plurality of layers
US10888328B2 (en)2010-09-302021-01-12Ethicon LlcSurgical end effector
US11602340B2 (en)2010-09-302023-03-14Cilag Gmbh InternationalAdhesive film laminate
US11812965B2 (en)2010-09-302023-11-14Cilag Gmbh InternationalLayer of material for a surgical end effector
US11672536B2 (en)2010-09-302023-06-13Cilag Gmbh InternationalLayer of material for a surgical end effector
US10743877B2 (en)2010-09-302020-08-18Ethicon LlcSurgical stapler with floating anvil
US11083452B2 (en)2010-09-302021-08-10Cilag Gmbh InternationalStaple cartridge including a tissue thickness compensator
US10398436B2 (en)2010-09-302019-09-03Ethicon LlcStaple cartridge comprising staples positioned within a compressible portion thereof
US10258332B2 (en)2010-09-302019-04-16Ethicon LlcStapling system comprising an adjunct and a flowable adhesive
US11395651B2 (en)2010-09-302022-07-26Cilag Gmbh InternationalAdhesive film laminate
US11857187B2 (en)2010-09-302024-01-02Cilag Gmbh InternationalTissue thickness compensator comprising controlled release and expansion
US11944292B2 (en)2010-09-302024-04-02Cilag Gmbh InternationalAnvil layer attached to a proximal end of an end effector
US11849952B2 (en)2010-09-302023-12-26Cilag Gmbh InternationalStaple cartridge comprising staples positioned within a compressible portion thereof
US10363031B2 (en)2010-09-302019-07-30Ethicon LlcTissue thickness compensators for surgical staplers
US11850310B2 (en)2010-09-302023-12-26Cilag Gmbh InternationalStaple cartridge including an adjunct
US11957795B2 (en)2010-09-302024-04-16Cilag Gmbh InternationalTissue thickness compensator configured to redistribute compressive forces
US10898193B2 (en)2010-09-302021-01-26Ethicon LlcEnd effector for use with a surgical instrument
US10265072B2 (en)2010-09-302019-04-23Ethicon LlcSurgical stapling system comprising an end effector including an implantable layer
US10548600B2 (en)2010-09-302020-02-04Ethicon LlcMultiple thickness implantable layers for surgical stapling devices
US10265074B2 (en)2010-09-302019-04-23Ethicon LlcImplantable layers for surgical stapling devices
US10695062B2 (en)2010-10-012020-06-30Ethicon LlcSurgical instrument including a retractable firing member
US11529142B2 (en)2010-10-012022-12-20Cilag Gmbh InternationalSurgical instrument having a power control circuit
US11504116B2 (en)2011-04-292022-11-22Cilag Gmbh InternationalLayer of material for a surgical end effector
US12239316B2 (en)2011-05-272025-03-04Cilag Gmbh InternationalAutomated end effector component reloading system for use with a robotic system
US10335151B2 (en)2011-05-272019-07-02Ethicon LlcRobotically-driven surgical instrument
US10231794B2 (en)2011-05-272019-03-19Ethicon LlcSurgical stapling instruments with rotatable staple deployment arrangements
US10426478B2 (en)2011-05-272019-10-01Ethicon LlcSurgical stapling systems
US10420561B2 (en)2011-05-272019-09-24Ethicon LlcRobotically-driven surgical instrument
US12290261B2 (en)2011-05-272025-05-06Cilag Gmbh InternationalRobotically-driven surgical instrument with E-beam driver
US10617420B2 (en)2011-05-272020-04-14Ethicon LlcSurgical system comprising drive systems
US11918208B2 (en)2011-05-272024-03-05Cilag Gmbh InternationalRobotically-controlled shaft based rotary drive systems for surgical instruments
US10524790B2 (en)2011-05-272020-01-07Ethicon LlcRobotically-controlled surgical stapling devices that produce formed staples having different lengths
US10736634B2 (en)2011-05-272020-08-11Ethicon LlcRobotically-driven surgical instrument including a drive system
US10980534B2 (en)2011-05-272021-04-20Ethicon LlcRobotically-controlled motorized surgical instrument with an end effector
US10383633B2 (en)2011-05-272019-08-20Ethicon LlcRobotically-driven surgical assembly
US10813641B2 (en)2011-05-272020-10-27Ethicon LlcRobotically-driven surgical instrument
US11439470B2 (en)2011-05-272022-09-13Cilag Gmbh InternationalRobotically-controlled surgical instrument with selectively articulatable end effector
US11129616B2 (en)2011-05-272021-09-28Cilag Gmbh InternationalSurgical stapling system
US12256930B2 (en)2011-05-272025-03-25Cilag Gmbh InternationalRobotically-driven surgical instrument with E-beam driver
US11612394B2 (en)2011-05-272023-03-28Cilag Gmbh InternationalAutomated end effector component reloading system for use with a robotic system
US11583278B2 (en)2011-05-272023-02-21Cilag Gmbh InternationalSurgical stapling system having multi-direction articulation
US10130366B2 (en)2011-05-272018-11-20Ethicon LlcAutomated reloading devices for replacing used end effectors on robotic surgical systems
US11974747B2 (en)2011-05-272024-05-07Cilag Gmbh InternationalSurgical stapling instruments with rotatable staple deployment arrangements
US10485546B2 (en)2011-05-272019-11-26Ethicon LlcRobotically-driven surgical assembly
US11207064B2 (en)2011-05-272021-12-28Cilag Gmbh InternationalAutomated end effector component reloading system for use with a robotic system
US11266410B2 (en)2011-05-272022-03-08Cilag Gmbh InternationalSurgical device for use with a robotic system
US10780539B2 (en)2011-05-272020-09-22Ethicon LlcStapling instrument for use with a robotic system
US12059154B2 (en)2011-05-272024-08-13Cilag Gmbh InternationalSurgical instrument with detachable motor control unit
US10695063B2 (en)2012-02-132020-06-30Ethicon LlcSurgical cutting and fastening instrument with apparatus for determining cartridge and firing motion status
US10667808B2 (en)2012-03-282020-06-02Ethicon LlcStaple cartridge comprising an absorbable adjunct
US11406378B2 (en)2012-03-282022-08-09Cilag Gmbh InternationalStaple cartridge comprising a compressible tissue thickness compensator
US11793509B2 (en)2012-03-282023-10-24Cilag Gmbh InternationalStaple cartridge including an implantable layer
US12121234B2 (en)2012-03-282024-10-22Cilag Gmbh InternationalStaple cartridge assembly comprising a compensator
US10441285B2 (en)2012-03-282019-10-15Ethicon LlcTissue thickness compensator comprising tissue ingrowth features
US11918220B2 (en)2012-03-282024-03-05Cilag Gmbh InternationalTissue thickness compensator comprising tissue ingrowth features
US11707273B2 (en)2012-06-152023-07-25Cilag Gmbh InternationalArticulatable surgical instrument comprising a firing drive
US10959725B2 (en)2012-06-152021-03-30Ethicon LlcArticulatable surgical instrument comprising a firing drive
US10413294B2 (en)2012-06-282019-09-17Ethicon LlcShaft assembly arrangements for surgical instruments
US11779420B2 (en)2012-06-282023-10-10Cilag Gmbh InternationalRobotic surgical attachments having manually-actuated retraction assemblies
US11806013B2 (en)2012-06-282023-11-07Cilag Gmbh InternationalFiring system arrangements for surgical instruments
US11197671B2 (en)2012-06-282021-12-14Cilag Gmbh InternationalStapling assembly comprising a lockout
US12343013B2 (en)2012-06-282025-07-01Cilag Gmbh InternationalInterconnected joint segments forming drive tube for stapling assembly
US11241230B2 (en)2012-06-282022-02-08Cilag Gmbh InternationalClip applier tool for use with a robotic surgical system
US11007004B2 (en)2012-06-282021-05-18Ethicon LlcPowered multi-axial articulable electrosurgical device with external dissection features
US10420555B2 (en)2012-06-282019-09-24Ethicon LlcHand held rotary powered surgical instruments with end effectors that are articulatable about multiple axes
US11602346B2 (en)2012-06-282023-03-14Cilag Gmbh InternationalRobotically powered surgical device with manually-actuatable reversing system
US11083457B2 (en)2012-06-282021-08-10Cilag Gmbh InternationalSurgical instrument system including replaceable end effectors
US11058423B2 (en)2012-06-282021-07-13Cilag Gmbh InternationalStapling system including first and second closure systems for use with a surgical robot
US10383630B2 (en)2012-06-282019-08-20Ethicon LlcSurgical stapling device with rotary driven firing member
US11202631B2 (en)2012-06-282021-12-21Cilag Gmbh InternationalStapling assembly comprising a firing lockout
US11154299B2 (en)2012-06-282021-10-26Cilag Gmbh InternationalStapling assembly comprising a firing lockout
US10639115B2 (en)2012-06-282020-05-05Ethicon LlcSurgical end effectors having angled tissue-contacting surfaces
US10687812B2 (en)2012-06-282020-06-23Ethicon LlcSurgical instrument system including replaceable end effectors
US11540829B2 (en)2012-06-282023-01-03Cilag Gmbh InternationalSurgical instrument system including replaceable end effectors
US11857189B2 (en)2012-06-282024-01-02Cilag Gmbh InternationalSurgical instrument including first and second articulation joints
US11278284B2 (en)2012-06-282022-03-22Cilag Gmbh InternationalRotary drive arrangements for surgical instruments
US11141156B2 (en)2012-06-282021-10-12Cilag Gmbh InternationalSurgical stapling assembly comprising flexible output shaft
US10932775B2 (en)2012-06-282021-03-02Ethicon LlcFiring system lockout arrangements for surgical instruments
US10485541B2 (en)2012-06-282019-11-26Ethicon LlcRobotically powered surgical device with manually-actuatable reversing system
US11534162B2 (en)2012-06-282022-12-27Cilag GmbH InlernationalRobotically powered surgical device with manually-actuatable reversing system
US11039837B2 (en)2012-06-282021-06-22Cilag Gmbh InternationalFiring system lockout arrangements for surgical instruments
US11464513B2 (en)2012-06-282022-10-11Cilag Gmbh InternationalSurgical instrument system including replaceable end effectors
US10258333B2 (en)2012-06-282019-04-16Ethicon LlcSurgical fastening apparatus with a rotary end effector drive shaft for selective engagement with a motorized drive system
US10874391B2 (en)2012-06-282020-12-29Ethicon LlcSurgical instrument system including replaceable end effectors
US11622766B2 (en)2012-06-282023-04-11Cilag Gmbh InternationalEmpty clip cartridge lockout
US12369911B2 (en)2012-06-282025-07-29Cilag Gmbh InternationalFiring system lockout arrangements for surgical instruments
US11918213B2 (en)2012-06-282024-03-05Cilag Gmbh InternationalSurgical stapler including couplers for attaching a shaft to an end effector
US11109860B2 (en)2012-06-282021-09-07Cilag Gmbh InternationalSurgical end effectors for use with hand-held and robotically-controlled rotary powered surgical systems
US11141155B2 (en)2012-06-282021-10-12Cilag Gmbh InternationalDrive system for surgical tool
US11510671B2 (en)2012-06-282022-11-29Cilag Gmbh InternationalFiring system lockout arrangements for surgical instruments
US12383267B2 (en)2012-06-282025-08-12Cilag Gmbh InternationalRobotically powered surgical device with manually-actuatable reversing system
US11373755B2 (en)2012-08-232022-06-28Cilag Gmbh InternationalSurgical device drive system including a ratchet mechanism
US11529138B2 (en)2013-03-012022-12-20Cilag Gmbh InternationalPowered surgical instrument including a rotary drive screw
US10226249B2 (en)2013-03-012019-03-12Ethicon LlcArticulatable surgical instruments with conductive pathways for signal communication
US10285695B2 (en)2013-03-012019-05-14Ethicon LlcArticulatable surgical instruments with conductive pathways
US11957345B2 (en)2013-03-012024-04-16Cilag Gmbh InternationalArticulatable surgical instruments with conductive pathways for signal communication
US10575868B2 (en)2013-03-012020-03-03Ethicon LlcSurgical instrument with coupler assembly
US12433627B2 (en)2013-03-012025-10-07Cilag Gmbh InternationalSurgical instrument soft stop
US11246618B2 (en)2013-03-012022-02-15Cilag Gmbh InternationalSurgical instrument soft stop
US10893867B2 (en)2013-03-142021-01-19Ethicon LlcDrive train control arrangements for modular surgical instruments
US10617416B2 (en)2013-03-142020-04-14Ethicon LlcControl systems for surgical instruments
US10238391B2 (en)2013-03-142019-03-26Ethicon LlcDrive train control arrangements for modular surgical instruments
US11992214B2 (en)2013-03-142024-05-28Cilag Gmbh InternationalControl systems for surgical instruments
US11266406B2 (en)2013-03-142022-03-08Cilag Gmbh InternationalControl systems for surgical instruments
US10470762B2 (en)2013-03-142019-11-12Ethicon LlcMulti-function motor for a surgical instrument
US10149680B2 (en)2013-04-162018-12-11Ethicon LlcSurgical instrument comprising a gap setting system
US10405857B2 (en)2013-04-162019-09-10Ethicon LlcPowered linear surgical stapler
US12178429B2 (en)2013-04-162024-12-31Cilag Gmbh InternationalSurgical instruments having modular end effector selectively coupleable to housing assembly
US12161320B2 (en)2013-04-162024-12-10Cilag Gmbh InternationalPowered surgical stapler
US10702266B2 (en)2013-04-162020-07-07Ethicon LlcSurgical instrument system
US11395652B2 (en)2013-04-162022-07-26Cilag Gmbh InternationalPowered surgical stapler
US11638581B2 (en)2013-04-162023-05-02Cilag Gmbh InternationalPowered surgical stapler
US11633183B2 (en)2013-04-162023-04-25Cilag International GmbHStapling assembly comprising a retraction drive
US11564679B2 (en)2013-04-162023-01-31Cilag Gmbh InternationalPowered surgical stapler
US11406381B2 (en)2013-04-162022-08-09Cilag Gmbh InternationalPowered surgical stapler
US11622763B2 (en)2013-04-162023-04-11Cilag Gmbh InternationalStapling assembly comprising a shiftable drive
US10888318B2 (en)2013-04-162021-01-12Ethicon LlcPowered surgical stapler
US11690615B2 (en)2013-04-162023-07-04Cilag Gmbh InternationalSurgical system including an electric motor and a surgical instrument
US11134940B2 (en)2013-08-232021-10-05Cilag Gmbh InternationalSurgical instrument including a variable speed firing member
US11109858B2 (en)2013-08-232021-09-07Cilag Gmbh InternationalSurgical instrument including a display which displays the position of a firing element
US11918209B2 (en)2013-08-232024-03-05Cilag Gmbh InternationalTorque optimization for surgical instruments
US11504119B2 (en)2013-08-232022-11-22Cilag Gmbh InternationalSurgical instrument including an electronic firing lockout
US11701110B2 (en)2013-08-232023-07-18Cilag Gmbh InternationalSurgical instrument including a drive assembly movable in a non-motorized mode of operation
US11026680B2 (en)2013-08-232021-06-08Cilag Gmbh InternationalSurgical instrument configured to operate in different states
US11000274B2 (en)2013-08-232021-05-11Ethicon LlcPowered surgical instrument
US10624634B2 (en)2013-08-232020-04-21Ethicon LlcFiring trigger lockout arrangements for surgical instruments
US10869665B2 (en)2013-08-232020-12-22Ethicon LlcSurgical instrument system including a control system
US10441281B2 (en)2013-08-232019-10-15Ethicon Llcsurgical instrument including securing and aligning features
US11133106B2 (en)2013-08-232021-09-28Cilag Gmbh InternationalSurgical instrument assembly comprising a retraction assembly
US10898190B2 (en)2013-08-232021-01-26Ethicon LlcSecondary battery arrangements for powered surgical instruments
US11376001B2 (en)2013-08-232022-07-05Cilag Gmbh InternationalSurgical stapling device with rotary multi-turn retraction mechanism
US12053176B2 (en)2013-08-232024-08-06Cilag Gmbh InternationalEnd effector detention systems for surgical instruments
US10828032B2 (en)2013-08-232020-11-10Ethicon LlcEnd effector detection systems for surgical instruments
US11389160B2 (en)2013-08-232022-07-19Cilag Gmbh InternationalSurgical system comprising a display
US10201349B2 (en)2013-08-232019-02-12Ethicon LlcEnd effector detection and firing rate modulation systems for surgical instruments
US11950776B2 (en)2013-12-232024-04-09Cilag Gmbh InternationalModular surgical instruments
US10588624B2 (en)2013-12-232020-03-17Ethicon LlcSurgical staples, staple cartridges and surgical end effectors
US11364028B2 (en)2013-12-232022-06-21Cilag Gmbh InternationalModular surgical system
US11020109B2 (en)2013-12-232021-06-01Ethicon LlcSurgical stapling assembly for use with a powered surgical interface
US10265065B2 (en)2013-12-232019-04-23Ethicon LlcSurgical staples and staple cartridges
US11583273B2 (en)2013-12-232023-02-21Cilag Gmbh InternationalSurgical stapling system including a firing beam extending through an articulation region
US11123065B2 (en)2013-12-232021-09-21Cilag Gmbh InternationalSurgical cutting and stapling instruments with independent jaw control features
US11246587B2 (en)2013-12-232022-02-15Cilag Gmbh InternationalSurgical cutting and stapling instruments
US11026677B2 (en)2013-12-232021-06-08Cilag Gmbh InternationalSurgical stapling assembly
US10925599B2 (en)2013-12-232021-02-23Ethicon LlcModular surgical instruments
US11779327B2 (en)2013-12-232023-10-10Cilag Gmbh InternationalSurgical stapling system including a push bar
US11759201B2 (en)2013-12-232023-09-19Cilag Gmbh InternationalSurgical stapling system comprising an end effector including an anvil with an anvil cap
US11896223B2 (en)2013-12-232024-02-13Cilag Gmbh InternationalSurgical cutting and stapling instruments with independent jaw control features
US11020115B2 (en)2014-02-122021-06-01Cilag Gmbh InternationalDeliverable surgical instrument
US10426481B2 (en)2014-02-242019-10-01Ethicon LlcImplantable layer assemblies
US10117653B2 (en)2014-03-262018-11-06Ethicon LlcSystems and methods for controlling a segmented circuit
US12285166B2 (en)2014-03-262025-04-29Cilag Gmbh InternationalFeedback algorithms for manual bailout systems for surgical instruments
US10136889B2 (en)2014-03-262018-11-27Ethicon LlcSystems and methods for controlling a segmented circuit
US10588626B2 (en)2014-03-262020-03-17Ethicon LlcSurgical instrument displaying subsequent step of use
US12023023B2 (en)2014-03-262024-07-02Cilag Gmbh InternationalInterface systems for use with surgical instruments
US10863981B2 (en)2014-03-262020-12-15Ethicon LlcInterface systems for use with surgical instruments
US11259799B2 (en)2014-03-262022-03-01Cilag Gmbh InternationalInterface systems for use with surgical instruments
US12023022B2 (en)2014-03-262024-07-02Cilag Gmbh InternationalSystems and methods for controlling a segmented circuit
US12232723B2 (en)2014-03-262025-02-25Cilag Gmbh InternationalSystems and methods for controlling a segmented circuit
US10201364B2 (en)2014-03-262019-02-12Ethicon LlcSurgical instrument comprising a rotatable shaft
US10898185B2 (en)2014-03-262021-01-26Ethicon LlcSurgical instrument power management through sleep and wake up control
US11497488B2 (en)2014-03-262022-11-15Cilag Gmbh InternationalSystems and methods for controlling a segmented circuit
US11717294B2 (en)2014-04-162023-08-08Cilag Gmbh InternationalEnd effector arrangements comprising indicators
US11944307B2 (en)2014-04-162024-04-02Cilag Gmbh InternationalSurgical stapling system including jaw windows
US10561422B2 (en)2014-04-162020-02-18Ethicon LlcFastener cartridge comprising deployable tissue engaging members
US11883026B2 (en)2014-04-162024-01-30Cilag Gmbh InternationalFastener cartridge assemblies and staple retainer cover arrangements
US10299792B2 (en)2014-04-162019-05-28Ethicon LlcFastener cartridge comprising non-uniform fasteners
US12324585B2 (en)2014-04-162025-06-10Cilag Gmbh InternationalFastener cartridges including extensions having different configurations
US12285171B2 (en)2014-04-162025-04-29Cilag Gmbh InternationalFastener cartridges including extensions having different configurations
US10327776B2 (en)2014-04-162019-06-25Ethicon LlcSurgical stapling buttresses and adjunct materials
US11596406B2 (en)2014-04-162023-03-07Cilag Gmbh InternationalFastener cartridges including extensions having different configurations
US10470768B2 (en)2014-04-162019-11-12Ethicon LlcFastener cartridge including a layer attached thereto
US11298134B2 (en)2014-04-162022-04-12Cilag Gmbh InternationalFastener cartridge comprising non-uniform fasteners
US11185330B2 (en)2014-04-162021-11-30Cilag Gmbh InternationalFastener cartridge assemblies and staple retainer cover arrangements
US11517315B2 (en)2014-04-162022-12-06Cilag Gmbh InternationalFastener cartridges including extensions having different configurations
US10542988B2 (en)2014-04-162020-01-28Ethicon LlcEnd effector comprising an anvil including projections extending therefrom
US11918222B2 (en)2014-04-162024-03-05Cilag Gmbh InternationalStapling assembly having firing member viewing windows
US12274445B2 (en)2014-04-162025-04-15Cilag Gmbh InternationalFastener cartridges including extensions having different configurations
US11925353B2 (en)2014-04-162024-03-12Cilag Gmbh InternationalSurgical stapling instrument comprising internal passage between stapling cartridge and elongate channel
US12256931B2 (en)2014-04-162025-03-25Cilag Gmbh InternationalFastener cartridges including extensions having different configurations
US11382625B2 (en)2014-04-162022-07-12Cilag Gmbh InternationalFastener cartridge comprising non-uniform fasteners
US11266409B2 (en)2014-04-162022-03-08Cilag Gmbh InternationalFastener cartridge comprising a sled including longitudinally-staggered ramps
US11382627B2 (en)2014-04-162022-07-12Cilag Gmbh InternationalSurgical stapling assembly comprising a firing member including a lateral extension
US11974746B2 (en)2014-04-162024-05-07Cilag Gmbh InternationalAnvil for use with a surgical stapling assembly
US11963678B2 (en)2014-04-162024-04-23Cilag Gmbh InternationalFastener cartridges including extensions having different configurations
US12089849B2 (en)2014-04-162024-09-17Cilag Gmbh InternationalStaple cartridges including a projection
US10111679B2 (en)2014-09-052018-10-30Ethicon LlcCircuitry and sensors for powered medical device
US12336709B2 (en)2014-09-052025-06-24Cilag Gmbh InternationalSmart cartridge wake up operation and data retention
US11653918B2 (en)2014-09-052023-05-23Cilag Gmbh InternationalLocal display of tissue parameter stabilization
US11389162B2 (en)2014-09-052022-07-19Cilag Gmbh InternationalSmart cartridge wake up operation and data retention
US11076854B2 (en)2014-09-052021-08-03Cilag Gmbh InternationalSmart cartridge wake up operation and data retention
US12042147B2 (en)2014-09-052024-07-23Cllag GmbH InternationalSmart cartridge wake up operation and data retention
US12414768B2 (en)2014-09-052025-09-16Cilag Gmbh InternationalStaple cartridge electrical contacts
US11071545B2 (en)2014-09-052021-07-27Cilag Gmbh InternationalSmart cartridge wake up operation and data retention
US11311294B2 (en)2014-09-052022-04-26Cilag Gmbh InternationalPowered medical device including measurement of closure state of jaws
US11717297B2 (en)2014-09-052023-08-08Cilag Gmbh InternationalSmart cartridge wake up operation and data retention
US11406386B2 (en)2014-09-052022-08-09Cilag Gmbh InternationalEnd effector including magnetic and impedance sensors
US10135242B2 (en)2014-09-052018-11-20Ethicon LlcSmart cartridge wake up operation and data retention
US10905423B2 (en)2014-09-052021-02-02Ethicon LlcSmart cartridge wake up operation and data retention
US11284898B2 (en)2014-09-182022-03-29Cilag Gmbh InternationalSurgical instrument including a deployable knife
US12076017B2 (en)2014-09-182024-09-03Cilag Gmbh InternationalSurgical instrument including a deployable knife
US11523821B2 (en)2014-09-262022-12-13Cilag Gmbh InternationalMethod for creating a flexible staple line
US12016564B2 (en)2014-09-262024-06-25Cilag Gmbh InternationalCircular fastener cartridges for applying radially expandable fastener lines
US10751053B2 (en)2014-09-262020-08-25Ethicon LlcFastener cartridges for applying expandable fastener lines
US10206677B2 (en)2014-09-262019-02-19Ethicon LlcSurgical staple and driver arrangements for staple cartridges
US10327764B2 (en)2014-09-262019-06-25Ethicon LlcMethod for creating a flexible staple line
US10426477B2 (en)2014-09-262019-10-01Ethicon LlcStaple cartridge assembly including a ramp
US11202633B2 (en)2014-09-262021-12-21Cilag Gmbh InternationalSurgical stapling buttresses and adjunct materials
US12383259B2 (en)2014-09-262025-08-12Cilag Gmbh InternationalMethod for creating a flexible staple line
US10426476B2 (en)2014-09-262019-10-01Ethicon LlcCircular fastener cartridges for applying radially expandable fastener lines
US10736630B2 (en)2014-10-132020-08-11Ethicon LlcStaple cartridge
US10905418B2 (en)2014-10-162021-02-02Ethicon LlcStaple cartridge comprising a tissue thickness compensator
US12004741B2 (en)2014-10-162024-06-11Cilag Gmbh InternationalStaple cartridge comprising a tissue thickness compensator
US11701114B2 (en)2014-10-162023-07-18Cilag Gmbh InternationalStaple cartridge
US11918210B2 (en)2014-10-162024-03-05Cilag Gmbh InternationalStaple cartridge comprising a cartridge body including a plurality of wells
US11185325B2 (en)2014-10-162021-11-30Cilag Gmbh InternationalEnd effector including different tissue gaps
US11931031B2 (en)2014-10-162024-03-19Cilag Gmbh InternationalStaple cartridge comprising a deck including an upper surface and a lower surface
US11141153B2 (en)2014-10-292021-10-12Cilag Gmbh InternationalStaple cartridges comprising driver arrangements
US11864760B2 (en)2014-10-292024-01-09Cilag Gmbh InternationalStaple cartridges comprising driver arrangements
US11457918B2 (en)2014-10-292022-10-04Cilag Gmbh InternationalCartridge assemblies for surgical staplers
US11931038B2 (en)2014-10-292024-03-19Cilag Gmbh InternationalCartridge assemblies for surgical staplers
US11241229B2 (en)2014-10-292022-02-08Cilag Gmbh InternationalStaple cartridges comprising driver arrangements
US10517594B2 (en)2014-10-292019-12-31Ethicon LlcCartridge assemblies for surgical staplers
US10617417B2 (en)2014-11-062020-04-14Ethicon LlcStaple cartridge comprising a releasable adjunct material
US11337698B2 (en)2014-11-062022-05-24Cilag Gmbh InternationalStaple cartridge comprising a releasable adjunct material
US10736636B2 (en)2014-12-102020-08-11Ethicon LlcArticulatable surgical instrument system
US12114859B2 (en)2014-12-102024-10-15Cilag Gmbh InternationalArticulatable surgical instrument system
US11382628B2 (en)2014-12-102022-07-12Cilag Gmbh InternationalArticulatable surgical instrument system
US10945728B2 (en)2014-12-182021-03-16Ethicon LlcLocking arrangements for detachable shaft assemblies with articulatable surgical end effectors
US11571207B2 (en)2014-12-182023-02-07Cilag Gmbh InternationalSurgical system including lateral supports for a flexible drive member
US11083453B2 (en)2014-12-182021-08-10Cilag Gmbh InternationalSurgical stapling system including a flexible firing actuator and lateral buckling supports
US11517311B2 (en)2014-12-182022-12-06Cilag Gmbh InternationalSurgical instrument systems comprising an articulatable end effector and means for adjusting the firing stroke of a firing member
US10806448B2 (en)2014-12-182020-10-20Ethicon LlcSurgical instrument assembly comprising a flexible articulation system
US11547404B2 (en)2014-12-182023-01-10Cilag Gmbh InternationalSurgical instrument assembly comprising a flexible articulation system
US11812958B2 (en)2014-12-182023-11-14Cilag Gmbh InternationalLocking arrangements for detachable shaft assemblies with articulatable surgical end effectors
US11547403B2 (en)2014-12-182023-01-10Cilag Gmbh InternationalSurgical instrument having a laminate firing actuator and lateral buckling supports
US11553911B2 (en)2014-12-182023-01-17Cilag Gmbh InternationalSurgical instrument assembly comprising a flexible articulation system
US10188385B2 (en)2014-12-182019-01-29Ethicon LlcSurgical instrument system comprising lockable systems
US10743873B2 (en)2014-12-182020-08-18Ethicon LlcDrive arrangements for articulatable surgical instruments
US12108950B2 (en)2014-12-182024-10-08Cilag Gmbh InternationalSurgical instrument assembly comprising a flexible articulation system
US11399831B2 (en)2014-12-182022-08-02Cilag Gmbh InternationalDrive arrangements for articulatable surgical instruments
US11678877B2 (en)2014-12-182023-06-20Cilag Gmbh InternationalSurgical instrument including a flexible support configured to support a flexible firing member
US10245027B2 (en)2014-12-182019-04-02Ethicon LlcSurgical instrument with an anvil that is selectively movable about a discrete non-movable axis relative to a staple cartridge
US10695058B2 (en)2014-12-182020-06-30Ethicon LlcSurgical instrument systems comprising an articulatable end effector and means for adjusting the firing stroke of a firing member
US12029419B2 (en)2014-12-182024-07-09Cilag Gmbh InternationalSurgical instrument including a flexible support configured to support a flexible firing member
US10245028B2 (en)2015-02-272019-04-02Ethicon LlcPower adapter for a surgical instrument
US11324506B2 (en)2015-02-272022-05-10Cilag Gmbh InternationalModular stapling assembly
US11744588B2 (en)2015-02-272023-09-05Cilag Gmbh InternationalSurgical stapling instrument including a removably attachable battery pack
US10321907B2 (en)2015-02-272019-06-18Ethicon LlcSystem for monitoring whether a surgical instrument needs to be serviced
US10159483B2 (en)2015-02-272018-12-25Ethicon LlcSurgical apparatus configured to track an end-of-life parameter
US10180463B2 (en)2015-02-272019-01-15Ethicon LlcSurgical apparatus configured to assess whether a performance parameter of the surgical apparatus is within an acceptable performance band
US12076018B2 (en)2015-02-272024-09-03Cilag Gmbh InternationalModular stapling assembly
US11154301B2 (en)2015-02-272021-10-26Cilag Gmbh InternationalModular stapling assembly
US10182816B2 (en)2015-02-272019-01-22Ethicon LlcCharging system that enables emergency resolutions for charging a battery
US10687806B2 (en)2015-03-062020-06-23Ethicon LlcAdaptive tissue compression techniques to adjust closure rates for multiple tissue types
US10772625B2 (en)2015-03-062020-09-15Ethicon LlcSignal and power communication system positioned on a rotatable shaft
US10617412B2 (en)2015-03-062020-04-14Ethicon LlcSystem for detecting the mis-insertion of a staple cartridge into a surgical stapler
US11350843B2 (en)2015-03-062022-06-07Cilag Gmbh InternationalTime dependent evaluation of sensor data to determine stability, creep, and viscoelastic elements of measures
US10245033B2 (en)2015-03-062019-04-02Ethicon LlcSurgical instrument comprising a lockable battery housing
US10966627B2 (en)2015-03-062021-04-06Ethicon LlcTime dependent evaluation of sensor data to determine stability, creep, and viscoelastic elements of measures
US11109859B2 (en)2015-03-062021-09-07Cilag Gmbh InternationalSurgical instrument comprising a lockable battery housing
US11426160B2 (en)2015-03-062022-08-30Cilag Gmbh InternationalSmart sensors with local signal processing
US10548504B2 (en)2015-03-062020-02-04Ethicon LlcOverlaid multi sensor radio frequency (RF) electrode system to measure tissue compression
US11224423B2 (en)2015-03-062022-01-18Cilag Gmbh InternationalSmart sensors with local signal processing
US10206605B2 (en)2015-03-062019-02-19Ethicon LlcTime dependent evaluation of sensor data to determine stability, creep, and viscoelastic elements of measures
US11826132B2 (en)2015-03-062023-11-28Cilag Gmbh InternationalTime dependent evaluation of sensor data to determine stability, creep, and viscoelastic elements of measures
US10531887B2 (en)2015-03-062020-01-14Ethicon LlcPowered surgical instrument including speed display
US11944338B2 (en)2015-03-062024-04-02Cilag Gmbh InternationalMultiple level thresholds to modify operation of powered surgical instruments
US10729432B2 (en)2015-03-062020-08-04Ethicon LlcMethods for operating a powered surgical instrument
US10524787B2 (en)2015-03-062020-01-07Ethicon LlcPowered surgical instrument with parameter-based firing rate
US10213201B2 (en)2015-03-312019-02-26Ethicon LlcStapling end effector configured to compensate for an uneven gap between a first jaw and a second jaw
US10390825B2 (en)2015-03-312019-08-27Ethicon LlcSurgical instrument with progressive rotary drive systems
US11918212B2 (en)2015-03-312024-03-05Cilag Gmbh InternationalSurgical instrument with selectively disengageable drive systems
US10433844B2 (en)2015-03-312019-10-08Ethicon LlcSurgical instrument with selectively disengageable threaded drive systems
US11058425B2 (en)2015-08-172021-07-13Ethicon LlcImplantable layers for a surgical instrument
US10835249B2 (en)2015-08-172020-11-17Ethicon LlcImplantable layers for a surgical instrument
US10617418B2 (en)2015-08-172020-04-14Ethicon LlcImplantable layers for a surgical instrument
US12137913B2 (en)2015-08-262024-11-12Cilag Gmbh InternationalStaple cartridge assembly comprising various tissue compression gaps and staple forming gaps
US10166026B2 (en)2015-08-262019-01-01Ethicon LlcStaple cartridge assembly including features for controlling the rotation of staples when being ejected therefrom
US10980538B2 (en)2015-08-262021-04-20Ethicon LlcSurgical stapling configurations for curved and circular stapling instruments
EP3858258A1 (en)2015-08-262021-08-04Ethicon LLCSurgical staples comprising features for improved fastening of tissue
US11963682B2 (en)2015-08-262024-04-23Cilag Gmbh InternationalSurgical staples comprising hardness variations for improved fastening of tissue
WO2017034803A2 (en)2015-08-262017-03-02Ethicon Endo-Surgery, LlcStaple cartridge assembly comprising staple alignment features on a firing member
US12035915B2 (en)2015-08-262024-07-16Cilag Gmbh InternationalSurgical staples comprising hardness variations for improved fastening of tissue
EP3854319A1 (en)2015-08-262021-07-28Ethicon LLCStaple cartridge assembly comprising staple alignment features on a firing member
US10433845B2 (en)2015-08-262019-10-08Ethicon LlcSurgical staple strips for permitting varying staple properties and enabling easy cartridge loading
EP3607890A1 (en)2015-08-262020-02-12Ethicon LLCStaples configured to support an implantable adjunct
EP3135209A2 (en)2015-08-262017-03-01Ethicon Endo-Surgery, LLCSurgical staples for minimizing staple roll
EP3556302A1 (en)2015-08-262019-10-23Ethicon LLCStaple cartridge assembly comprising staple cavities for providing better staple guidance
US10213203B2 (en)2015-08-262019-02-26Ethicon LlcStaple cartridge assembly without a bottom cover
US10517599B2 (en)2015-08-262019-12-31Ethicon LlcStaple cartridge assembly comprising staple cavities for providing better staple guidance
EP3581118A1 (en)2015-08-262019-12-18Ethicon LLCSurgical staple strips for permitting varying staple properties and enabling easy cartridge loading
US12336713B2 (en)2015-08-262025-06-24Cilag Gmbh InternationalSurgical staples comprising hardness variations for improved fastening of tissues
EP3895629A1 (en)2015-08-262021-10-20Ethicon LLCStaple cartridge assembly comprising various tissue compression gaps and staple forming gaps
WO2017034889A1 (en)2015-08-262017-03-02Ethicon Endo-Surgery, LlcStaple cartridge assembly comprising various tissue compression gaps and staple forming gaps
US10390829B2 (en)2015-08-262019-08-27Ethicon LlcStaples comprising a cover
US10966724B2 (en)2015-08-262021-04-06Ethicon LlcSurgical staples comprising a guide
EP3578114A1 (en)2015-08-262019-12-11Ethicon LLCSurgical staple strips for permitting varying staple properties and enabling easy cartridge loading
WO2017034888A1 (en)2015-08-262017-03-02Ethicon Endo-Surgery, LlcStaple cartridge assembly including features for controlling the rotation of staples when being ejected therefrom
US11219456B2 (en)2015-08-262022-01-11Cilag Gmbh InternationalSurgical staple strips for permitting varying staple properties and enabling easy cartridge loading
EP3135211A1 (en)2015-08-262017-03-01Ethicon Endo-Surgery, LLCStaple cartridge assembly including features for controlling the rotation of staples when being ejected therefrom
US10188394B2 (en)2015-08-262019-01-29Ethicon LlcStaples configured to support an implantable adjunct
EP3135210A1 (en)2015-08-262017-03-01Ethicon Endo-Surgery, LLCSurgical staple strips for permitting varying staple properties and enabling easy cartridge loading
US10470769B2 (en)2015-08-262019-11-12Ethicon LlcStaple cartridge assembly comprising staple alignment features on a firing member
WO2017034802A2 (en)2015-08-262017-03-02Ethicon Endo-Surgery, LlcSurgical staples for minimizing staple roll
US11058426B2 (en)2015-08-262021-07-13Cilag Gmbh InternationalStaple cartridge assembly comprising various tissue compression gaps and staple forming gaps
US10357251B2 (en)2015-08-262019-07-23Ethicon LlcSurgical staples comprising hardness variations for improved fastening of tissue
EP3417812A1 (en)2015-08-262018-12-26Ethicon LLCStaple cartridge assembly without a bottom cover
EP3135207A1 (en)2015-08-262017-03-01Ethicon Endo-Surgery, LLCSurgical stapling configurations for curved and circular stapling instruments
EP3135316A1 (en)2015-08-262017-03-01Ethicon Endo-Surgery, LLCStaples comprising a cover
EP3135217A1 (en)2015-08-262017-03-01Ethicon Endo-Surgery, LLCStaple cartridge assembly comprising staple cavities for providing better staple guidance
EP4324493A2 (en)2015-08-262024-02-21Ethicon LLCSurgical staples comprising hardness variations for improved fastening of tissue
US11051817B2 (en)2015-08-262021-07-06Cilag Gmbh InternationalMethod for forming a staple against an anvil of a surgical stapling instrument
US11510675B2 (en)2015-08-262022-11-29Cilag Gmbh InternationalSurgical end effector assembly including a connector strip interconnecting a plurality of staples
US10098642B2 (en)2015-08-262018-10-16Ethicon LlcSurgical staples comprising features for improved fastening of tissue
EP3135219A1 (en)2015-08-262017-03-01Ethicon Endo-Surgery, LLCStaple cartridge assembly without a bottom cover
US10028744B2 (en)2015-08-262018-07-24Ethicon LlcStaple cartridge assembly including staple guides
EP3143948A2 (en)2015-08-262017-03-22Ethicon Endo-Surgery, LLCStaple cartridge assembly comprising staple alignment features on a firing member
EP3135218A1 (en)2015-08-262017-03-01Ethicon Endo-Surgery, LLCStaple cartridge assembly including staple guides
EP3143945A2 (en)2015-08-262017-03-22Ethicon Endo-Surgery, LLCSurgical staples comprising features for improved fastening of tissue
EP3141194A1 (en)2015-08-262017-03-15Ethicon Endo-Surgery, LLCStaple cartridge assembly comprising various tissue compression gaps and staple forming gaps
EP3135208A2 (en)2015-08-262017-03-01Ethicon Endo-Surgery, LLCStaples configured to support an implantable adjunct
EP3138508A1 (en)2015-08-262017-03-08Ethicon Endo-Surgery, LLCSurgical staples comprising hardness variations for improved fastening of tissue
US11103248B2 (en)2015-08-262021-08-31Cilag Gmbh InternationalSurgical staples for minimizing staple roll
WO2017034890A1 (en)2015-08-262017-03-02Ethicon Endo-Surgery, LlcStaple cartridge assembly including staple guides
US10172619B2 (en)2015-09-022019-01-08Ethicon LlcSurgical staple driver arrays
US11213295B2 (en)2015-09-022022-01-04Cilag Gmbh InternationalSurgical staple configurations with camming surfaces located between portions supporting surgical staples
US11382624B2 (en)2015-09-022022-07-12Cilag Gmbh InternationalSurgical staple cartridge with improved staple driver configurations
US12156656B2 (en)2015-09-022024-12-03Cilag Gmbh InternationalSurgical staple configurations with camming surfaces located between portions supporting surgical staples
US11589868B2 (en)2015-09-022023-02-28Cilag Gmbh InternationalSurgical staple configurations with camming surfaces located between portions supporting surgical staples
US10238390B2 (en)2015-09-022019-03-26Ethicon LlcSurgical staple cartridges with driver arrangements for establishing herringbone staple patterns
US10251648B2 (en)2015-09-022019-04-09Ethicon LlcSurgical staple cartridge staple drivers with central support features
US10314587B2 (en)2015-09-022019-06-11Ethicon LlcSurgical staple cartridge with improved staple driver configurations
US10357252B2 (en)2015-09-022019-07-23Ethicon LlcSurgical staple configurations with camming surfaces located between portions supporting surgical staples
US10327769B2 (en)2015-09-232019-06-25Ethicon LlcSurgical stapler having motor control based on a drive system component
US11344299B2 (en)2015-09-232022-05-31Cilag Gmbh InternationalSurgical stapler having downstream current-based motor control
US10238386B2 (en)2015-09-232019-03-26Ethicon LlcSurgical stapler having motor control based on an electrical parameter related to a motor current
US10105139B2 (en)2015-09-232018-10-23Ethicon LlcSurgical stapler having downstream current-based motor control
US11490889B2 (en)2015-09-232022-11-08Cilag Gmbh InternationalSurgical stapler having motor control based on an electrical parameter related to a motor current
US11849946B2 (en)2015-09-232023-12-26Cilag Gmbh InternationalSurgical stapler having downstream current-based motor control
US11026678B2 (en)2015-09-232021-06-08Cilag Gmbh InternationalSurgical stapler having motor control based on an electrical parameter related to a motor current
US10363036B2 (en)2015-09-232019-07-30Ethicon LlcSurgical stapler having force-based motor control
US10863986B2 (en)2015-09-232020-12-15Ethicon LlcSurgical stapler having downstream current-based motor control
US12245901B2 (en)2015-09-252025-03-11Cilag Gmbh InternationalImplantable layer comprising boundary indicators
US10299878B2 (en)2015-09-252019-05-28Ethicon LlcImplantable adjunct systems for determining adjunct skew
US11076929B2 (en)2015-09-252021-08-03Cilag Gmbh InternationalImplantable adjunct systems for determining adjunct skew
US11553916B2 (en)2015-09-302023-01-17Cilag Gmbh InternationalCompressible adjunct with crossing spacer fibers
US11793522B2 (en)2015-09-302023-10-24Cilag Gmbh InternationalStaple cartridge assembly including a compressible adjunct
US10327777B2 (en)2015-09-302019-06-25Ethicon LlcImplantable layer comprising plastically deformed fibers
US11903586B2 (en)2015-09-302024-02-20Cilag Gmbh InternationalCompressible adjunct with crossing spacer fibers
US10561420B2 (en)2015-09-302020-02-18Ethicon LlcTubular absorbable constructs
US10433846B2 (en)2015-09-302019-10-08Ethicon LlcCompressible adjunct with crossing spacer fibers
US10524788B2 (en)2015-09-302020-01-07Ethicon LlcCompressible adjunct with attachment regions
US10307160B2 (en)2015-09-302019-06-04Ethicon LlcCompressible adjunct assemblies with attachment layers
US10603039B2 (en)2015-09-302020-03-31Ethicon LlcProgressively releasable implantable adjunct for use with a surgical stapling instrument
US12137912B2 (en)2015-09-302024-11-12Cilag Gmbh InternationalCompressible adjunct with attachment regions
US10285699B2 (en)2015-09-302019-05-14Ethicon LlcCompressible adjunct
US11690623B2 (en)2015-09-302023-07-04Cilag Gmbh InternationalMethod for applying an implantable layer to a fastener cartridge
US10980539B2 (en)2015-09-302021-04-20Ethicon LlcImplantable adjunct comprising bonded layers
US11890015B2 (en)2015-09-302024-02-06Cilag Gmbh InternationalCompressible adjunct with crossing spacer fibers
US10932779B2 (en)2015-09-302021-03-02Ethicon LlcCompressible adjunct with crossing spacer fibers
US10172620B2 (en)2015-09-302019-01-08Ethicon LlcCompressible adjuncts with bonding nodes
US11712244B2 (en)2015-09-302023-08-01Cilag Gmbh InternationalImplantable layer with spacer fibers
US10736633B2 (en)2015-09-302020-08-11Ethicon LlcCompressible adjunct with looping members
US10478188B2 (en)2015-09-302019-11-19Ethicon LlcImplantable layer comprising a constricted configuration
US11944308B2 (en)2015-09-302024-04-02Cilag Gmbh InternationalCompressible adjunct with crossing spacer fibers
US10271849B2 (en)2015-09-302019-04-30Ethicon LlcWoven constructs with interlocked standing fibers
US10292704B2 (en)2015-12-302019-05-21Ethicon LlcMechanisms for compensating for battery pack failure in powered surgical instruments
US11058422B2 (en)2015-12-302021-07-13Cilag Gmbh InternationalMechanisms for compensating for battery pack failure in powered surgical instruments
US10368865B2 (en)2015-12-302019-08-06Ethicon LlcMechanisms for compensating for drivetrain failure in powered surgical instruments
US11129613B2 (en)2015-12-302021-09-28Cilag Gmbh InternationalSurgical instruments with separable motors and motor control circuits
US12156653B2 (en)2015-12-302024-12-03Cilag Gmbh InternationalSurgical instruments with motor control circuits
US11083454B2 (en)2015-12-302021-08-10Cilag Gmbh InternationalMechanisms for compensating for drivetrain failure in powered surgical instruments
US10265068B2 (en)2015-12-302019-04-23Ethicon LlcSurgical instruments with separable motors and motor control circuits
US11484309B2 (en)2015-12-302022-11-01Cilag Gmbh InternationalSurgical stapling system comprising a controller configured to cause a motor to reset a firing sequence
US12324579B2 (en)2015-12-302025-06-10Cilag Gmbh InternationalMechanisms for compensating for battery pack failure in powered surgical instruments
US11759208B2 (en)2015-12-302023-09-19Cilag Gmbh InternationalMechanisms for compensating for battery pack failure in powered surgical instruments
US10245030B2 (en)2016-02-092019-04-02Ethicon LlcSurgical instruments with tensioning arrangements for cable driven articulation systems
US10433837B2 (en)2016-02-092019-10-08Ethicon LlcSurgical instruments with multiple link articulation arrangements
US10245029B2 (en)2016-02-092019-04-02Ethicon LlcSurgical instrument with articulating and axially translatable end effector
US10413291B2 (en)2016-02-092019-09-17Ethicon LlcSurgical instrument articulation mechanism with slotted secondary constraint
US10588625B2 (en)2016-02-092020-03-17Ethicon LlcArticulatable surgical instruments with off-axis firing beam arrangements
US10653413B2 (en)2016-02-092020-05-19Ethicon LlcSurgical instruments with an end effector that is highly articulatable relative to an elongate shaft assembly
US11730471B2 (en)2016-02-092023-08-22Cilag Gmbh InternationalArticulatable surgical instruments with single articulation link arrangements
US11523823B2 (en)2016-02-092022-12-13Cilag Gmbh InternationalSurgical instruments with non-symmetrical articulation arrangements
US11213293B2 (en)2016-02-092022-01-04Cilag Gmbh InternationalArticulatable surgical instruments with single articulation link arrangements
US10470764B2 (en)2016-02-092019-11-12Ethicon LlcSurgical instruments with closure stroke reduction arrangements
US11344303B2 (en)2016-02-122022-05-31Cilag Gmbh InternationalMechanisms for compensating for drivetrain failure in powered surgical instruments
US11779336B2 (en)2016-02-122023-10-10Cilag Gmbh InternationalMechanisms for compensating for drivetrain failure in powered surgical instruments
US10448948B2 (en)2016-02-122019-10-22Ethicon LlcMechanisms for compensating for drivetrain failure in powered surgical instruments
US10258331B2 (en)2016-02-122019-04-16Ethicon LlcMechanisms for compensating for drivetrain failure in powered surgical instruments
US11826045B2 (en)2016-02-122023-11-28Cilag Gmbh InternationalMechanisms for compensating for drivetrain failure in powered surgical instruments
US11224426B2 (en)2016-02-122022-01-18Cilag Gmbh InternationalMechanisms for compensating for drivetrain failure in powered surgical instruments
US10617413B2 (en)2016-04-012020-04-14Ethicon LlcClosure system arrangements for surgical cutting and stapling devices with separate and distinct firing shafts
US10376263B2 (en)2016-04-012019-08-13Ethicon LlcAnvil modification members for surgical staplers
US11311292B2 (en)2016-04-152022-04-26Cilag Gmbh InternationalSurgical instrument with detection sensors
US10492783B2 (en)2016-04-152019-12-03Ethicon, LlcSurgical instrument with improved stop/start control during a firing motion
US10828028B2 (en)2016-04-152020-11-10Ethicon LlcSurgical instrument with multiple program responses during a firing motion
US11179150B2 (en)2016-04-152021-11-23Cilag Gmbh InternationalSystems and methods for controlling a surgical stapling and cutting instrument
US12144500B2 (en)2016-04-152024-11-19Cilag Gmbh InternationalSurgical instrument with multiple program responses during a firing motion
US11026684B2 (en)2016-04-152021-06-08Ethicon LlcSurgical instrument with multiple program responses during a firing motion
US11317910B2 (en)2016-04-152022-05-03Cilag Gmbh InternationalSurgical instrument with detection sensors
US11517306B2 (en)2016-04-152022-12-06Cilag Gmbh InternationalSurgical instrument with detection sensors
US11191545B2 (en)2016-04-152021-12-07Cilag Gmbh InternationalStaple formation detection mechanisms
US11350932B2 (en)2016-04-152022-06-07Cilag Gmbh InternationalSurgical instrument with improved stop/start control during a firing motion
US10405859B2 (en)2016-04-152019-09-10Ethicon LlcSurgical instrument with adjustable stop/start control during a firing motion
US10426467B2 (en)2016-04-152019-10-01Ethicon LlcSurgical instrument with detection sensors
US10456137B2 (en)2016-04-152019-10-29Ethicon LlcStaple formation detection mechanisms
US10335145B2 (en)2016-04-152019-07-02Ethicon LlcModular surgical instrument with configurable operating mode
US11771454B2 (en)2016-04-152023-10-03Cilag Gmbh InternationalStapling assembly including a controller for monitoring a clamping laod
US11051810B2 (en)2016-04-152021-07-06Cilag Gmbh InternationalModular surgical instrument with configurable operating mode
US11284891B2 (en)2016-04-152022-03-29Cilag Gmbh InternationalSurgical instrument with multiple program responses during a firing motion
US10357247B2 (en)2016-04-152019-07-23Ethicon LlcSurgical instrument with multiple program responses during a firing motion
US11931028B2 (en)2016-04-152024-03-19Cilag Gmbh InternationalSurgical instrument with multiple program responses during a firing motion
US11642125B2 (en)2016-04-152023-05-09Cilag Gmbh InternationalRobotic surgical system including a user interface and a control circuit
US11607239B2 (en)2016-04-152023-03-21Cilag Gmbh InternationalSystems and methods for controlling a surgical stapling and cutting instrument
US11559303B2 (en)2016-04-182023-01-24Cilag Gmbh InternationalCartridge lockout arrangements for rotary powered surgical cutting and stapling instruments
US11147554B2 (en)2016-04-182021-10-19Cilag Gmbh InternationalSurgical instrument system comprising a magnetic lockout
US11317917B2 (en)2016-04-182022-05-03Cilag Gmbh InternationalSurgical stapling system comprising a lockable firing assembly
US10426469B2 (en)2016-04-182019-10-01Ethicon LlcSurgical instrument comprising a primary firing lockout and a secondary firing lockout
US11811253B2 (en)2016-04-182023-11-07Cilag Gmbh InternationalSurgical robotic system with fault state detection configurations based on motor current draw
US10363037B2 (en)2016-04-182019-07-30Ethicon LlcSurgical instrument system comprising a magnetic lockout
US10368867B2 (en)2016-04-182019-08-06Ethicon LlcSurgical instrument comprising a lockout
US12261471B2 (en)2016-04-182025-03-25Cilag Gmbh InternationalTechnologies for detection of drive train failures in a surgical instrument
US11350928B2 (en)2016-04-182022-06-07Cilag Gmbh InternationalSurgical instrument comprising a tissue thickness lockout and speed control system
US10433840B2 (en)2016-04-182019-10-08Ethicon LlcSurgical instrument comprising a replaceable cartridge jaw
US10478181B2 (en)2016-04-182019-11-19Ethicon LlcCartridge lockout arrangements for rotary powered surgical cutting and stapling instruments
US10675024B2 (en)2016-06-242020-06-09Ethicon LlcStaple cartridge comprising overdriven staples
US10702270B2 (en)2016-06-242020-07-07Ethicon LlcStapling system for use with wire staples and stamped staples
US12161328B2 (en)2016-06-242024-12-10Cilag Gmbh InternationalStaple cartridge comprising wire staples and stamped staples
US11786246B2 (en)2016-06-242023-10-17Cilag Gmbh InternationalStapling system for use with wire staples and stamped staples
USD894389S1 (en)2016-06-242020-08-25Ethicon LlcSurgical fastener
US10893863B2 (en)2016-06-242021-01-19Ethicon LlcStaple cartridge comprising offset longitudinal staple rows
USD847989S1 (en)2016-06-242019-05-07Ethicon LlcSurgical fastener cartridge
USD896380S1 (en)2016-06-242020-09-15Ethicon LlcSurgical fastener cartridge
USD948043S1 (en)2016-06-242022-04-05Cilag Gmbh InternationalSurgical fastener
USD896379S1 (en)2016-06-242020-09-15Ethicon LlcSurgical fastener cartridge
US10542979B2 (en)2016-06-242020-01-28Ethicon LlcStamped staples and staple cartridges using the same
US12433590B2 (en)2016-06-242025-10-07Cilag Gmbh InternationalStapling system for use with wire staples and stamped staples
US11000278B2 (en)2016-06-242021-05-11Ethicon LlcStaple cartridge comprising wire staples and stamped staples
USD850617S1 (en)2016-06-242019-06-04Ethicon LlcSurgical fastener cartridge
US11690619B2 (en)2016-06-242023-07-04Cilag Gmbh InternationalStaple cartridge comprising staples having different geometries
US12171507B2 (en)2016-08-162024-12-24Cilag Gmbh InternationalSurgical tool with manual control of end effector jaws
US10568626B2 (en)2016-12-212020-02-25Ethicon LlcSurgical instruments with jaw opening features for increasing a jaw opening distance
US10517596B2 (en)2016-12-212019-12-31Ethicon LlcArticulatable surgical instruments with articulation stroke amplification features
US10835245B2 (en)2016-12-212020-11-17Ethicon LlcMethod for attaching a shaft assembly to a surgical instrument and, alternatively, to a surgical robot
US12185946B2 (en)2016-12-212025-01-07Cilag Gmbh InternationalArticulatable surgical stapling instruments
US10588630B2 (en)2016-12-212020-03-17Ethicon LlcSurgical tool assemblies with closure stroke reduction features
US10588631B2 (en)2016-12-212020-03-17Ethicon LlcSurgical instruments with positive jaw opening features
US10582928B2 (en)2016-12-212020-03-10Ethicon LlcArticulation lock arrangements for locking an end effector in an articulated position in response to actuation of a jaw closure system
US11992213B2 (en)2016-12-212024-05-28Cilag Gmbh InternationalSurgical stapling instruments with replaceable staple cartridges
US10813638B2 (en)2016-12-212020-10-27Ethicon LlcSurgical end effectors with expandable tissue stop arrangements
US10588632B2 (en)2016-12-212020-03-17Ethicon LlcSurgical end effectors and firing members thereof
US10667811B2 (en)2016-12-212020-06-02Ethicon LlcSurgical stapling instruments and staple-forming anvils
US10568624B2 (en)2016-12-212020-02-25Ethicon LlcSurgical instruments with jaws that are pivotable about a fixed axis and include separate and distinct closure and firing systems
US10603036B2 (en)2016-12-212020-03-31Ethicon LlcArticulatable surgical instrument with independent pivotable linkage distal of an articulation lock
US11224428B2 (en)2016-12-212022-01-18Cilag Gmbh InternationalSurgical stapling systems
US10568625B2 (en)2016-12-212020-02-25Ethicon LlcStaple cartridges and arrangements of staples and staple cavities therein
US11179155B2 (en)2016-12-212021-11-23Cilag Gmbh InternationalAnvil arrangements for surgical staplers
US10779823B2 (en)2016-12-212020-09-22Ethicon LlcFiring member pin angle
US11497499B2 (en)2016-12-212022-11-15Cilag Gmbh InternationalArticulatable surgical stapling instruments
US12226100B2 (en)2016-12-212025-02-18Cilag Gmbh InternationalMethod of deforming staples from two different types of staple cartridges with the same surgical stapling instrument
US10856868B2 (en)2016-12-212020-12-08Ethicon LlcFiring member pin configurations
US11160553B2 (en)2016-12-212021-11-02Cilag Gmbh InternationalSurgical stapling systems
US10610224B2 (en)2016-12-212020-04-07Ethicon LlcLockout arrangements for surgical end effectors and replaceable tool assemblies
US10542982B2 (en)2016-12-212020-01-28Ethicon LlcShaft assembly comprising first and second articulation lockouts
US12245764B2 (en)2016-12-212025-03-11Cilag Gmbh InternationalShaft assembly comprising a lockout
US10537325B2 (en)2016-12-212020-01-21Ethicon LlcStaple forming pocket arrangement to accommodate different types of staples
US10881401B2 (en)2016-12-212021-01-05Ethicon LlcStaple firing member comprising a missing cartridge and/or spent cartridge lockout
US10537324B2 (en)2016-12-212020-01-21Ethicon LlcStepped staple cartridge with asymmetrical staples
US11766260B2 (en)2016-12-212023-09-26Cilag Gmbh InternationalMethods of stapling tissue
US11564688B2 (en)2016-12-212023-01-31Cilag Gmbh InternationalRobotic surgical tool having a retraction mechanism
US11766259B2 (en)2016-12-212023-09-26Cilag Gmbh InternationalMethod of deforming staples from two different types of staple cartridges with the same surgical stapling instrument
US10426471B2 (en)2016-12-212019-10-01Ethicon LlcSurgical instrument with multiple failure response modes
US11571210B2 (en)2016-12-212023-02-07Cilag Gmbh InternationalFiring assembly comprising a multiple failed-state fuse
US12274442B2 (en)2016-12-212025-04-15Cilag Gmbh InternationalSurgical staple cartridge alignment features
US11160551B2 (en)2016-12-212021-11-02Cilag Gmbh InternationalArticulatable surgical stapling instruments
US11849948B2 (en)2016-12-212023-12-26Cilag Gmbh InternationalMethod for resetting a fuse of a surgical instrument shaft
US11134942B2 (en)2016-12-212021-10-05Cilag Gmbh InternationalSurgical stapling instruments and staple-forming anvils
US11957344B2 (en)2016-12-212024-04-16Cilag Gmbh InternationalSurgical stapler having rows of obliquely oriented staples
US10617414B2 (en)2016-12-212020-04-14Ethicon LlcClosure member arrangements for surgical instruments
US11419606B2 (en)2016-12-212022-08-23Cilag Gmbh InternationalShaft assembly comprising a clutch configured to adapt the output of a rotary firing member to two different systems
US10524789B2 (en)2016-12-212020-01-07Ethicon LlcLaterally actuatable articulation lock arrangements for locking an end effector of a surgical instrument in an articulated configuration
US12004745B2 (en)2016-12-212024-06-11Cilag Gmbh InternationalSurgical instrument system comprising an end effector lockout and a firing assembly lockout
US10758229B2 (en)2016-12-212020-09-01Ethicon LlcSurgical instrument comprising improved jaw control
US10758230B2 (en)2016-12-212020-09-01Ethicon LlcSurgical instrument with primary and safety processors
US12011166B2 (en)2016-12-212024-06-18Cilag Gmbh InternationalArticulatable surgical stapling instruments
US10888322B2 (en)2016-12-212021-01-12Ethicon LlcSurgical instrument comprising a cutting member
US10893864B2 (en)2016-12-212021-01-19EthiconStaple cartridges and arrangements of staples and staple cavities therein
US10517595B2 (en)2016-12-212019-12-31Ethicon LlcJaw actuated lock arrangements for preventing advancement of a firing member in a surgical end effector unless an unfired cartridge is installed in the end effector
US10835247B2 (en)2016-12-212020-11-17Ethicon LlcLockout arrangements for surgical end effectors
US11090048B2 (en)2016-12-212021-08-17Cilag Gmbh InternationalMethod for resetting a fuse of a surgical instrument shaft
US10898186B2 (en)2016-12-212021-01-26Ethicon LlcStaple forming pocket arrangements comprising primary sidewalls and pocket sidewalls
US10905422B2 (en)2016-12-212021-02-02Ethicon LlcSurgical instrument for use with a robotic surgical system
US10499914B2 (en)2016-12-212019-12-10Ethicon LlcStaple forming pocket arrangements
US10918385B2 (en)2016-12-212021-02-16Ethicon LlcSurgical system comprising a firing member rotatable into an articulation state to articulate an end effector of the surgical system
US10736629B2 (en)2016-12-212020-08-11Ethicon LlcSurgical tool assemblies with clutching arrangements for shifting between closure systems with closure stroke reduction features and articulation and firing systems
US10492785B2 (en)2016-12-212019-12-03Ethicon LlcShaft assembly comprising a lockout
US10485543B2 (en)2016-12-212019-11-26Ethicon LlcAnvil having a knife slot width
US10624635B2 (en)2016-12-212020-04-21Ethicon LlcFiring members with non-parallel jaw engagement features for surgical end effectors
US10945727B2 (en)2016-12-212021-03-16Ethicon LlcStaple cartridge with deformable driver retention features
US10959727B2 (en)2016-12-212021-03-30Ethicon LlcArticulatable surgical end effector with asymmetric shaft arrangement
US11369376B2 (en)2016-12-212022-06-28Cilag Gmbh InternationalSurgical stapling systems
US10639034B2 (en)2016-12-212020-05-05Ethicon LlcSurgical instruments with lockout arrangements for preventing firing system actuation unless an unspent staple cartridge is present
US11350935B2 (en)2016-12-212022-06-07Cilag Gmbh InternationalSurgical tool assemblies with closure stroke reduction features
US10639035B2 (en)2016-12-212020-05-05Ethicon LlcSurgical stapling instruments and replaceable tool assemblies thereof
US11350934B2 (en)2016-12-212022-06-07Cilag Gmbh InternationalStaple forming pocket arrangement to accommodate different types of staples
US11191539B2 (en)2016-12-212021-12-07Cilag Gmbh InternationalShaft assembly comprising a manually-operable retraction system for use with a motorized surgical instrument system
US11000276B2 (en)2016-12-212021-05-11Ethicon LlcStepped staple cartridge with asymmetrical staples
US11096689B2 (en)2016-12-212021-08-24Cilag Gmbh InternationalShaft assembly comprising a lockout
US10973516B2 (en)2016-12-212021-04-13Ethicon LlcSurgical end effectors and adaptable firing members therefor
US10675026B2 (en)2016-12-212020-06-09Ethicon LlcMethods of stapling tissue
US10993715B2 (en)2016-12-212021-05-04Ethicon LlcStaple cartridge comprising staples with different clamping breadths
US10667809B2 (en)2016-12-212020-06-02Ethicon LlcStaple cartridge and staple cartridge channel comprising windows defined therein
US11684367B2 (en)2016-12-212023-06-27Cilag Gmbh InternationalStepped assembly having and end-of-life indicator
US11931034B2 (en)2016-12-212024-03-19Cilag Gmbh InternationalSurgical stapling instruments with smart staple cartridges
US10695055B2 (en)2016-12-212020-06-30Ethicon LlcFiring assembly comprising a lockout
US10687810B2 (en)2016-12-212020-06-23Ethicon LlcStepped staple cartridge with tissue retention and gap setting features
US10687809B2 (en)2016-12-212020-06-23Ethicon LlcSurgical staple cartridge with movable camming member configured to disengage firing member lockout features
US10980536B2 (en)2016-12-212021-04-20Ethicon LlcNo-cartridge and spent cartridge lockout arrangements for surgical staplers
US11317913B2 (en)2016-12-212022-05-03Cilag Gmbh InternationalLockout arrangements for surgical end effectors and replaceable tool assemblies
US11701115B2 (en)2016-12-212023-07-18Cilag Gmbh InternationalMethods of stapling tissue
US11191543B2 (en)2016-12-212021-12-07Cilag Gmbh InternationalAssembly comprising a lock
US11653917B2 (en)2016-12-212023-05-23Cilag Gmbh InternationalSurgical stapling systems
US11191540B2 (en)2016-12-212021-12-07Cilag Gmbh InternationalProtective cover arrangements for a joint interface between a movable jaw and actuator shaft of a surgical instrument
US11918215B2 (en)2016-12-212024-03-05Cilag Gmbh InternationalStaple cartridge with array of staple pockets
US10448950B2 (en)2016-12-212019-10-22Ethicon LlcSurgical staplers with independently actuatable closing and firing systems
US10667810B2 (en)2016-12-212020-06-02Ethicon LlcClosure members with cam surface arrangements for surgical instruments with separate and distinct closure and firing systems
US10682138B2 (en)2016-12-212020-06-16Ethicon LlcBilaterally asymmetric staple forming pocket pairs
US10675025B2 (en)2016-12-212020-06-09Ethicon LlcShaft assembly comprising separately actuatable and retractable systems
US12035718B2 (en)2017-04-292024-07-16Nevada Naturals Inc.Biofilm penetrating compositions and methods
US11191274B2 (en)2017-04-292021-12-07Nevada Naturals Inc.Biofilm penetrating compositions and methods
US10849324B2 (en)2017-04-292020-12-01Necada Naturals Inc.Biofilm penetrating compositions and methods
US11648186B2 (en)2017-05-162023-05-16Johnson & Johnson Consumer Inc.Coated particles and their uses
US20190083367A1 (en)*2017-05-162019-03-21Johnson & Johnson Consumer Inc.Coated Particles and Their Uses
US11291613B2 (en)*2017-05-162022-04-05Johnson & Johnson Consumer Inc.Coated particles and their uses
US10595882B2 (en)2017-06-202020-03-24Ethicon LlcMethods for closed loop control of motor velocity of a surgical stapling and cutting instrument
US10624633B2 (en)2017-06-202020-04-21Ethicon LlcSystems and methods for controlling motor velocity of a surgical stapling and cutting instrument
USD1039559S1 (en)2017-06-202024-08-20Cilag Gmbh InternationalDisplay panel with changeable graphical user interface
US11672532B2 (en)2017-06-202023-06-13Cilag Gmbh InternationalTechniques for adaptive control of motor velocity of a surgical stapling and cutting instrument
US10888321B2 (en)2017-06-202021-01-12Ethicon LlcSystems and methods for controlling velocity of a displacement member of a surgical stapling and cutting instrument
US11871939B2 (en)2017-06-202024-01-16Cilag Gmbh InternationalMethod for closed loop control of motor velocity of a surgical stapling and cutting instrument
US12274438B2 (en)2017-06-202025-04-15Cilag Gmbh InternationalSystems and methods for controlling motor velocity of a surgical stapling and cutting instrument according to articulation angle of end effector
US10881396B2 (en)2017-06-202021-01-05Ethicon LlcSurgical instrument with variable duration trigger arrangement
US10881399B2 (en)2017-06-202021-01-05Ethicon LlcTechniques for adaptive control of motor velocity of a surgical stapling and cutting instrument
US10368864B2 (en)2017-06-202019-08-06Ethicon LlcSystems and methods for controlling displaying motor velocity for a surgical instrument
US11653914B2 (en)2017-06-202023-05-23Cilag Gmbh InternationalSystems and methods for controlling motor velocity of a surgical stapling and cutting instrument according to articulation angle of end effector
US11090046B2 (en)2017-06-202021-08-17Cilag Gmbh InternationalSystems and methods for controlling displacement member motion of a surgical stapling and cutting instrument
US10390841B2 (en)2017-06-202019-08-27Ethicon LlcControl of motor velocity of a surgical stapling and cutting instrument based on angle of articulation
US10646220B2 (en)2017-06-202020-05-12Ethicon LlcSystems and methods for controlling displacement member velocity for a surgical instrument
US11382638B2 (en)2017-06-202022-07-12Cilag Gmbh InternationalClosed loop feedback control of motor velocity of a surgical stapling and cutting instrument based on measured time over a specified displacement distance
US11517325B2 (en)2017-06-202022-12-06Cilag Gmbh InternationalClosed loop feedback control of motor velocity of a surgical stapling and cutting instrument based on measured displacement distance traveled over a specified time interval
US10813639B2 (en)2017-06-202020-10-27Ethicon LlcClosed loop feedback control of motor velocity of a surgical stapling and cutting instrument based on system conditions
USD890784S1 (en)2017-06-202020-07-21Ethicon LlcDisplay panel with changeable graphical user interface
USD879808S1 (en)2017-06-202020-03-31Ethicon LlcDisplay panel with graphical user interface
US11793513B2 (en)2017-06-202023-10-24Cilag Gmbh InternationalSystems and methods for controlling motor speed according to user input for a surgical instrument
US11213302B2 (en)2017-06-202022-01-04Cilag Gmbh InternationalMethod for closed loop control of motor velocity of a surgical stapling and cutting instrument
US10327767B2 (en)2017-06-202019-06-25Ethicon LlcControl of motor velocity of a surgical stapling and cutting instrument based on angle of articulation
USD879809S1 (en)2017-06-202020-03-31Ethicon LlcDisplay panel with changeable graphical user interface
US10779820B2 (en)2017-06-202020-09-22Ethicon LlcSystems and methods for controlling motor speed according to user input for a surgical instrument
US10980537B2 (en)2017-06-202021-04-20Ethicon LlcClosed loop feedback control of motor velocity of a surgical stapling and cutting instrument based on measured time over a specified number of shaft rotations
US11071554B2 (en)2017-06-202021-07-27Cilag Gmbh InternationalClosed loop feedback control of motor velocity of a surgical stapling and cutting instrument based on magnitude of velocity error measurements
US10307170B2 (en)2017-06-202019-06-04Ethicon LlcMethod for closed loop control of motor velocity of a surgical stapling and cutting instrument
US11141154B2 (en)2017-06-272021-10-12Cilag Gmbh InternationalSurgical end effectors and anvils
US10772629B2 (en)2017-06-272020-09-15Ethicon LlcSurgical anvil arrangements
US11090049B2 (en)2017-06-272021-08-17Cilag Gmbh InternationalStaple forming pocket arrangements
US11266405B2 (en)2017-06-272022-03-08Cilag Gmbh InternationalSurgical anvil manufacturing methods
US10993716B2 (en)2017-06-272021-05-04Ethicon LlcSurgical anvil arrangements
US10856869B2 (en)2017-06-272020-12-08Ethicon LlcSurgical anvil arrangements
US11324503B2 (en)2017-06-272022-05-10Cilag Gmbh InternationalSurgical firing member arrangements
US12207820B2 (en)2017-06-272025-01-28Cilag Gmbh InternationalSurgical anvil arrangements
US10631859B2 (en)2017-06-272020-04-28Ethicon LlcArticulation systems for surgical instruments
US12161326B2 (en)2017-06-272024-12-10Cilag Gmbh InternationalSurgical anvil manufacturing methods
US11766258B2 (en)2017-06-272023-09-26Cilag Gmbh InternationalSurgical anvil arrangements
US11083455B2 (en)2017-06-282021-08-10Cilag Gmbh InternationalSurgical instrument comprising an articulation system ratio
US10779824B2 (en)2017-06-282020-09-22Ethicon LlcSurgical instrument comprising an articulation system lockable by a closure system
US11696759B2 (en)2017-06-282023-07-11Cilag Gmbh InternationalSurgical stapling instruments comprising shortened staple cartridge noses
US10765427B2 (en)2017-06-282020-09-08Ethicon LlcMethod for articulating a surgical instrument
US10695057B2 (en)2017-06-282020-06-30Ethicon LlcSurgical instrument lockout arrangement
US11564686B2 (en)2017-06-282023-01-31Cilag Gmbh InternationalSurgical shaft assemblies with flexible interfaces
US11678880B2 (en)2017-06-282023-06-20Cilag Gmbh InternationalSurgical instrument comprising a shaft including a housing arrangement
USD1018577S1 (en)2017-06-282024-03-19Cilag Gmbh InternationalDisplay screen or portion thereof with a graphical user interface for a surgical instrument
US11000279B2 (en)2017-06-282021-05-11Ethicon LlcSurgical instrument comprising an articulation system ratio
US10903685B2 (en)2017-06-282021-01-26Ethicon LlcSurgical shaft assemblies with slip ring assemblies forming capacitive channels
US11259805B2 (en)2017-06-282022-03-01Cilag Gmbh InternationalSurgical instrument comprising firing member supports
USD906355S1 (en)2017-06-282020-12-29Ethicon LlcDisplay screen or portion thereof with a graphical user interface for a surgical instrument
US10211586B2 (en)2017-06-282019-02-19Ethicon LlcSurgical shaft assemblies with watertight housings
US10716614B2 (en)2017-06-282020-07-21Ethicon LlcSurgical shaft assemblies with slip ring assemblies with increased contact pressure
US12324581B2 (en)2017-06-282025-06-10Cilag Gmbh InternationalSurgical instrument comprising selectively actuatable rotatable couplers
US11389161B2 (en)2017-06-282022-07-19Cilag Gmbh InternationalSurgical instrument comprising selectively actuatable rotatable couplers
US11058424B2 (en)2017-06-282021-07-13Cilag Gmbh InternationalSurgical instrument comprising an offset articulation joint
USD851762S1 (en)2017-06-282019-06-18Ethicon LlcAnvil
US11826048B2 (en)2017-06-282023-11-28Cilag Gmbh InternationalSurgical instrument comprising selectively actuatable rotatable couplers
US11484310B2 (en)2017-06-282022-11-01Cilag Gmbh InternationalSurgical instrument comprising a shaft including a closure tube profile
US11478242B2 (en)2017-06-282022-10-25Cilag Gmbh InternationalJaw retainer arrangement for retaining a pivotable surgical instrument jaw in pivotable retaining engagement with a second surgical instrument jaw
US11246592B2 (en)2017-06-282022-02-15Cilag Gmbh InternationalSurgical instrument comprising an articulation system lockable to a frame
US10786253B2 (en)2017-06-282020-09-29Ethicon LlcSurgical end effectors with improved jaw aperture arrangements
US11020114B2 (en)2017-06-282021-06-01Cilag Gmbh InternationalSurgical instruments with articulatable end effector with axially shortened articulation joint configurations
US10758232B2 (en)2017-06-282020-09-01Ethicon LlcSurgical instrument with positive jaw opening features
US11642128B2 (en)2017-06-282023-05-09Cilag Gmbh InternationalMethod for articulating a surgical instrument
USD854151S1 (en)2017-06-282019-07-16Ethicon LlcSurgical instrument shaft
US10588633B2 (en)2017-06-282020-03-17Ethicon LlcSurgical instruments with open and closable jaws and axially movable firing member that is initially parked in close proximity to the jaws prior to firing
US11529140B2 (en)2017-06-282022-12-20Cilag Gmbh InternationalSurgical instrument lockout arrangement
US10639037B2 (en)2017-06-282020-05-05Ethicon LlcSurgical instrument with axially movable closure member
US10898183B2 (en)2017-06-292021-01-26Ethicon LlcRobotic surgical instrument with closed loop feedback techniques for advancement of closure member during firing
US10932772B2 (en)2017-06-292021-03-02Ethicon LlcMethods for closed loop velocity control for robotic surgical instrument
US10398434B2 (en)2017-06-292019-09-03Ethicon LlcClosed loop velocity control of closure member for robotic surgical instrument
US11890005B2 (en)2017-06-292024-02-06Cilag Gmbh InternationalMethods for closed loop velocity control for robotic surgical instrument
US10258418B2 (en)2017-06-292019-04-16Ethicon LlcSystem for controlling articulation forces
US11007022B2 (en)2017-06-292021-05-18Ethicon LlcClosed loop velocity control techniques based on sensed tissue parameters for robotic surgical instrument
US11974742B2 (en)2017-08-032024-05-07Cilag Gmbh InternationalSurgical system comprising an articulation bailout
US11304695B2 (en)2017-08-032022-04-19Cilag Gmbh InternationalSurgical system shaft interconnection
US11471155B2 (en)2017-08-032022-10-18Cilag Gmbh InternationalSurgical system bailout
US11944300B2 (en)2017-08-032024-04-02Cilag Gmbh InternationalMethod for operating a surgical system bailout
US11998199B2 (en)2017-09-292024-06-04Cllag GmbH InternationalSystem and methods for controlling a display of a surgical instrument
USD907648S1 (en)2017-09-292021-01-12Ethicon LlcDisplay screen or portion thereof with animated graphical user interface
US10796471B2 (en)2017-09-292020-10-06Ethicon LlcSystems and methods of displaying a knife position for a surgical instrument
US10743872B2 (en)2017-09-292020-08-18Ethicon LlcSystem and methods for controlling a display of a surgical instrument
US10729501B2 (en)2017-09-292020-08-04Ethicon LlcSystems and methods for language selection of a surgical instrument
US11399829B2 (en)2017-09-292022-08-02Cilag Gmbh InternationalSystems and methods of initiating a power shutdown mode for a surgical instrument
US10765429B2 (en)2017-09-292020-09-08Ethicon LlcSystems and methods for providing alerts according to the operational state of a surgical instrument
USD907647S1 (en)2017-09-292021-01-12Ethicon LlcDisplay screen or portion thereof with animated graphical user interface
USD917500S1 (en)2017-09-292021-04-27Ethicon LlcDisplay screen or portion thereof with graphical user interface
US12076011B2 (en)2017-10-302024-09-03Cilag Gmbh InternationalSurgical stapler knife motion controls
US11134944B2 (en)2017-10-302021-10-05Cilag Gmbh InternationalSurgical stapler knife motion controls
US11090075B2 (en)2017-10-302021-08-17Cilag Gmbh InternationalArticulation features for surgical end effector
US11478244B2 (en)2017-10-312022-10-25Cilag Gmbh InternationalCartridge body design with force reduction based on firing completion
US11963680B2 (en)2017-10-312024-04-23Cilag Gmbh InternationalCartridge body design with force reduction based on firing completion
US10842490B2 (en)2017-10-312020-11-24Ethicon LlcCartridge body design with force reduction based on firing completion
US10779903B2 (en)2017-10-312020-09-22Ethicon LlcPositive shaft rotation lock activated by jaw closure
US10779825B2 (en)2017-12-152020-09-22Ethicon LlcAdapters with end effector position sensing and control arrangements for use in connection with electromechanical surgical instruments
US10779826B2 (en)2017-12-152020-09-22Ethicon LlcMethods of operating surgical end effectors
US11071543B2 (en)2017-12-152021-07-27Cilag Gmbh InternationalSurgical end effectors with clamping assemblies configured to increase jaw aperture ranges
US10966718B2 (en)2017-12-152021-04-06Ethicon LlcDynamic clamping assemblies with improved wear characteristics for use in connection with electromechanical surgical instruments
US10743875B2 (en)2017-12-152020-08-18Ethicon LlcSurgical end effectors with jaw stiffener arrangements configured to permit monitoring of firing member
US10743874B2 (en)2017-12-152020-08-18Ethicon LlcSealed adapters for use with electromechanical surgical instruments
US10687813B2 (en)2017-12-152020-06-23Ethicon LlcAdapters with firing stroke sensing arrangements for use in connection with electromechanical surgical instruments
US11006955B2 (en)2017-12-152021-05-18Ethicon LlcEnd effectors with positive jaw opening features for use with adapters for electromechanical surgical instruments
US11033267B2 (en)2017-12-152021-06-15Ethicon LlcSystems and methods of controlling a clamping member firing rate of a surgical instrument
US10869666B2 (en)2017-12-152020-12-22Ethicon LlcAdapters with control systems for controlling multiple motors of an electromechanical surgical instrument
US11896222B2 (en)2017-12-152024-02-13Cilag Gmbh InternationalMethods of operating surgical end effectors
US11197670B2 (en)2017-12-152021-12-14Cilag Gmbh InternationalSurgical end effectors with pivotal jaws configured to touch at their respective distal ends when fully closed
US10828033B2 (en)2017-12-152020-11-10Ethicon LlcHandheld electromechanical surgical instruments with improved motor control arrangements for positioning components of an adapter coupled thereto
US11045270B2 (en)2017-12-192021-06-29Cilag Gmbh InternationalRobotic attachment comprising exterior drive actuator
US10835330B2 (en)2017-12-192020-11-17Ethicon LlcMethod for determining the position of a rotatable jaw of a surgical instrument attachment assembly
USD910847S1 (en)2017-12-192021-02-16Ethicon LlcSurgical instrument assembly
US12076096B2 (en)2017-12-192024-09-03Cilag Gmbh InternationalMethod for determining the position of a rotatable jaw of a surgical instrument attachment assembly
US11020112B2 (en)2017-12-192021-06-01Ethicon LlcSurgical tools configured for interchangeable use with different controller interfaces
US10729509B2 (en)2017-12-192020-08-04Ethicon LlcSurgical instrument comprising closure and firing locking mechanism
US11284953B2 (en)2017-12-192022-03-29Cilag Gmbh InternationalMethod for determining the position of a rotatable jaw of a surgical instrument attachment assembly
US10716565B2 (en)2017-12-192020-07-21Ethicon LlcSurgical instruments with dual articulation drivers
US11364027B2 (en)2017-12-212022-06-21Cilag Gmbh InternationalSurgical instrument comprising speed control
US11179152B2 (en)2017-12-212021-11-23Cilag Gmbh InternationalSurgical instrument comprising a tissue grasping system
US11129680B2 (en)2017-12-212021-09-28Cilag Gmbh InternationalSurgical instrument comprising a projector
US11311290B2 (en)2017-12-212022-04-26Cilag Gmbh InternationalSurgical instrument comprising an end effector dampener
US11849939B2 (en)2017-12-212023-12-26Cilag Gmbh InternationalContinuous use self-propelled stapling instrument
US10682134B2 (en)2017-12-212020-06-16Ethicon LlcContinuous use self-propelled stapling instrument
US11076853B2 (en)2017-12-212021-08-03Cilag Gmbh InternationalSystems and methods of displaying a knife position during transection for a surgical instrument
US10743868B2 (en)2017-12-212020-08-18Ethicon LlcSurgical instrument comprising a pivotable distal head
US11883019B2 (en)2017-12-212024-01-30Cilag Gmbh InternationalStapling instrument comprising a staple feeding system
US11337691B2 (en)2017-12-212022-05-24Cilag Gmbh InternationalSurgical instrument configured to determine firing path
US11583274B2 (en)2017-12-212023-02-21Cilag Gmbh InternationalSelf-guiding stapling instrument
US12336705B2 (en)2017-12-212025-06-24Cilag Gmbh InternationalContinuous use self-propelled stapling instrument
US11369368B2 (en)2017-12-212022-06-28Cilag Gmbh InternationalSurgical instrument comprising synchronized drive systems
US11576668B2 (en)2017-12-212023-02-14Cilag Gmbh InternationalStaple instrument comprising a firing path display
US11751867B2 (en)2017-12-212023-09-12Cilag Gmbh InternationalSurgical instrument comprising sequenced systems
US11179151B2 (en)2017-12-212021-11-23Cilag Gmbh InternationalSurgical instrument comprising a display
USD914878S1 (en)2018-08-202021-03-30Ethicon LlcSurgical instrument anvil
US11039834B2 (en)2018-08-202021-06-22Cilag Gmbh InternationalSurgical stapler anvils with staple directing protrusions and tissue stability features
US10779821B2 (en)2018-08-202020-09-22Ethicon LlcSurgical stapler anvils with tissue stop features configured to avoid tissue pinch
US11957339B2 (en)2018-08-202024-04-16Cilag Gmbh InternationalMethod for fabricating surgical stapler anvils
US11291440B2 (en)2018-08-202022-04-05Cilag Gmbh InternationalMethod for operating a powered articulatable surgical instrument
US10842492B2 (en)2018-08-202020-11-24Ethicon LlcPowered articulatable surgical instruments with clutching and locking arrangements for linking an articulation drive system to a firing drive system
US11207065B2 (en)2018-08-202021-12-28Cilag Gmbh InternationalMethod for fabricating surgical stapler anvils
US11324501B2 (en)2018-08-202022-05-10Cilag Gmbh InternationalSurgical stapling devices with improved closure members
US11045192B2 (en)2018-08-202021-06-29Cilag Gmbh InternationalFabricating techniques for surgical stapler anvils
US11083458B2 (en)2018-08-202021-08-10Cilag Gmbh InternationalPowered surgical instruments with clutching arrangements to convert linear drive motions to rotary drive motions
US10856870B2 (en)2018-08-202020-12-08Ethicon LlcSwitching arrangements for motor powered articulatable surgical instruments
US10912559B2 (en)2018-08-202021-02-09Ethicon LlcReinforced deformable anvil tip for surgical stapler anvil
US12262888B2 (en)2018-08-202025-04-01Cilag Gmbh InternationalSurgical instruments with progressive jaw closure arrangements
US12076008B2 (en)2018-08-202024-09-03Cilag Gmbh InternationalMethod for operating a powered articulatable surgical instrument
US11253256B2 (en)2018-08-202022-02-22Cilag Gmbh InternationalArticulatable motor powered surgical instruments with dedicated articulation motor arrangements
US11147551B2 (en)2019-03-252021-10-19Cilag Gmbh InternationalFiring drive arrangements for surgical systems
US11147553B2 (en)2019-03-252021-10-19Cilag Gmbh InternationalFiring drive arrangements for surgical systems
US11696761B2 (en)2019-03-252023-07-11Cilag Gmbh InternationalFiring drive arrangements for surgical systems
US11172929B2 (en)2019-03-252021-11-16Cilag Gmbh InternationalArticulation drive arrangements for surgical systems
US12290259B2 (en)2019-03-252025-05-06Cilag Gmbh InternationalFiring drive arrangements for surgical systems
US11432816B2 (en)2019-04-302022-09-06Cilag Gmbh InternationalArticulation pin for a surgical instrument
US11253254B2 (en)2019-04-302022-02-22Cilag Gmbh InternationalShaft rotation actuator on a surgical instrument
US11648009B2 (en)2019-04-302023-05-16Cilag Gmbh InternationalRotatable jaw tip for a surgical instrument
US11471157B2 (en)2019-04-302022-10-18Cilag Gmbh InternationalArticulation control mapping for a surgical instrument
US11452528B2 (en)2019-04-302022-09-27Cilag Gmbh InternationalArticulation actuators for a surgical instrument
US11426251B2 (en)2019-04-302022-08-30Cilag Gmbh InternationalArticulation directional lights on a surgical instrument
US11903581B2 (en)2019-04-302024-02-20Cilag Gmbh InternationalMethods for stapling tissue using a surgical instrument
US11464601B2 (en)2019-06-282022-10-11Cilag Gmbh InternationalSurgical instrument comprising an RFID system for tracking a movable component
US11219455B2 (en)2019-06-282022-01-11Cilag Gmbh InternationalSurgical instrument including a lockout key
US11051807B2 (en)2019-06-282021-07-06Cilag Gmbh InternationalPackaging assembly including a particulate trap
US11241235B2 (en)2019-06-282022-02-08Cilag Gmbh InternationalMethod of using multiple RFID chips with a surgical assembly
US11246678B2 (en)2019-06-282022-02-15Cilag Gmbh InternationalSurgical stapling system having a frangible RFID tag
US11229437B2 (en)2019-06-282022-01-25Cilag Gmbh InternationalMethod for authenticating the compatibility of a staple cartridge with a surgical instrument
US11259803B2 (en)2019-06-282022-03-01Cilag Gmbh InternationalSurgical stapling system having an information encryption protocol
US11684434B2 (en)2019-06-282023-06-27Cilag Gmbh InternationalSurgical RFID assemblies for instrument operational setting control
US11660163B2 (en)2019-06-282023-05-30Cilag Gmbh InternationalSurgical system with RFID tags for updating motor assembly parameters
US11291451B2 (en)2019-06-282022-04-05Cilag Gmbh InternationalSurgical instrument with battery compatibility verification functionality
US11298132B2 (en)2019-06-282022-04-12Cilag GmbH InlernationalStaple cartridge including a honeycomb extension
US11298127B2 (en)2019-06-282022-04-12Cilag GmbH InterationalSurgical stapling system having a lockout mechanism for an incompatible cartridge
US11638587B2 (en)2019-06-282023-05-02Cilag Gmbh InternationalRFID identification systems for surgical instruments
US11627959B2 (en)2019-06-282023-04-18Cilag Gmbh InternationalSurgical instruments including manual and powered system lockouts
US11350938B2 (en)2019-06-282022-06-07Cilag Gmbh InternationalSurgical instrument comprising an aligned rfid sensor
US11553971B2 (en)2019-06-282023-01-17Cilag Gmbh InternationalSurgical RFID assemblies for display and communication
US11553919B2 (en)2019-06-282023-01-17Cilag Gmbh InternationalMethod for authenticating the compatibility of a staple cartridge with a surgical instrument
US11376098B2 (en)2019-06-282022-07-05Cilag Gmbh InternationalSurgical instrument system comprising an RFID system
US11399837B2 (en)2019-06-282022-08-02Cilag Gmbh InternationalMechanisms for motor control adjustments of a motorized surgical instrument
US11224497B2 (en)2019-06-282022-01-18Cilag Gmbh InternationalSurgical systems with multiple RFID tags
US11426167B2 (en)2019-06-282022-08-30Cilag Gmbh InternationalMechanisms for proper anvil attachment surgical stapling head assembly
US11744593B2 (en)2019-06-282023-09-05Cilag Gmbh InternationalMethod for authenticating the compatibility of a staple cartridge with a surgical instrument
US12004740B2 (en)2019-06-282024-06-11Cilag Gmbh InternationalSurgical stapling system having an information decryption protocol
US11771419B2 (en)2019-06-282023-10-03Cilag Gmbh InternationalPackaging for a replaceable component of a surgical stapling system
US11523822B2 (en)2019-06-282022-12-13Cilag Gmbh InternationalBattery pack including a circuit interrupter
US11478241B2 (en)2019-06-282022-10-25Cilag Gmbh InternationalStaple cartridge including projections
US11497492B2 (en)2019-06-282022-11-15Cilag Gmbh InternationalSurgical instrument including an articulation lock
US11684369B2 (en)2019-06-282023-06-27Cilag Gmbh InternationalMethod of using multiple RFID chips with a surgical assembly
US11504122B2 (en)2019-12-192022-11-22Cilag Gmbh InternationalSurgical instrument comprising a nested firing member
US11844520B2 (en)2019-12-192023-12-19Cilag Gmbh InternationalStaple cartridge comprising driver retention members
US11234698B2 (en)2019-12-192022-02-01Cilag Gmbh InternationalStapling system comprising a clamp lockout and a firing lockout
US11701111B2 (en)2019-12-192023-07-18Cilag Gmbh InternationalMethod for operating a surgical stapling instrument
US12035913B2 (en)2019-12-192024-07-16Cilag Gmbh InternationalStaple cartridge comprising a deployable knife
US11291447B2 (en)2019-12-192022-04-05Cilag Gmbh InternationalStapling instrument comprising independent jaw closing and staple firing systems
US11464512B2 (en)2019-12-192022-10-11Cilag Gmbh InternationalStaple cartridge comprising a curved deck surface
US11931033B2 (en)2019-12-192024-03-19Cilag Gmbh InternationalStaple cartridge comprising a latch lockout
US11529139B2 (en)2019-12-192022-12-20Cilag Gmbh InternationalMotor driven surgical instrument
US11529137B2 (en)2019-12-192022-12-20Cilag Gmbh InternationalStaple cartridge comprising driver retention members
US11304696B2 (en)2019-12-192022-04-19Cilag Gmbh InternationalSurgical instrument comprising a powered articulation system
US11911032B2 (en)2019-12-192024-02-27Cilag Gmbh InternationalStaple cartridge comprising a seating cam
US11607219B2 (en)2019-12-192023-03-21Cilag Gmbh InternationalStaple cartridge comprising a detachable tissue cutting knife
US11576672B2 (en)2019-12-192023-02-14Cilag Gmbh InternationalSurgical instrument comprising a closure system including a closure member and an opening member driven by a drive screw
US11559304B2 (en)2019-12-192023-01-24Cilag Gmbh InternationalSurgical instrument comprising a rapid closure mechanism
US11446029B2 (en)2019-12-192022-09-20Cilag Gmbh InternationalStaple cartridge comprising projections extending from a curved deck surface
USD975278S1 (en)2020-06-022023-01-10Cilag Gmbh InternationalStaple cartridge
USD966512S1 (en)2020-06-022022-10-11Cilag Gmbh InternationalStaple cartridge
USD967421S1 (en)2020-06-022022-10-18Cilag Gmbh InternationalStaple cartridge
USD974560S1 (en)2020-06-022023-01-03Cilag Gmbh InternationalStaple cartridge
USD975850S1 (en)2020-06-022023-01-17Cilag Gmbh InternationalStaple cartridge
USD976401S1 (en)2020-06-022023-01-24Cilag Gmbh InternationalStaple cartridge
USD975851S1 (en)2020-06-022023-01-17Cilag Gmbh InternationalStaple cartridge
US12161323B2 (en)2020-07-282024-12-10Cilag Gmbh InternationalSurgical instruments with torsion spine drive arrangements
US11737748B2 (en)2020-07-282023-08-29Cilag Gmbh InternationalSurgical instruments with double spherical articulation joints with pivotable links
US12220126B2 (en)2020-07-282025-02-11Cilag Gmbh InternationalSurgical instruments with double pivot articulation joint arrangements
US11871925B2 (en)2020-07-282024-01-16Cilag Gmbh InternationalSurgical instruments with dual spherical articulation joint arrangements
US11638582B2 (en)2020-07-282023-05-02Cilag Gmbh InternationalSurgical instruments with torsion spine drive arrangements
US11826013B2 (en)2020-07-282023-11-28Cilag Gmbh InternationalSurgical instruments with firing member closure features
US11660090B2 (en)2020-07-282023-05-30Cllag GmbH InternationalSurgical instruments with segmented flexible drive arrangements
US11974741B2 (en)2020-07-282024-05-07Cilag Gmbh InternationalSurgical instruments with differential articulation joint arrangements for accommodating flexible actuators
US12064107B2 (en)2020-07-282024-08-20Cilag Gmbh InternationalArticulatable surgical instruments with articulation joints comprising flexible exoskeleton arrangements
US11883024B2 (en)2020-07-282024-01-30Cilag Gmbh InternationalMethod of operating a surgical instrument
US11864756B2 (en)2020-07-282024-01-09Cilag Gmbh InternationalSurgical instruments with flexible ball chain drive arrangements
US11857182B2 (en)2020-07-282024-01-02Cilag Gmbh InternationalSurgical instruments with combination function articulation joint arrangements
US12226099B2 (en)2020-10-292025-02-18Cilag Gmbh InternationalSurgical stapler with pulse width modulated driven adjustable speed staple firing stroke
US12029421B2 (en)2020-10-292024-07-09Cilag Gmbh InternationalSurgical instrument comprising a staged voltage regulation start-up system
US11896217B2 (en)2020-10-292024-02-13Cilag Gmbh InternationalSurgical instrument comprising an articulation lock
US11931025B2 (en)2020-10-292024-03-19Cilag Gmbh InternationalSurgical instrument comprising a releasable closure drive lock
USD980425S1 (en)2020-10-292023-03-07Cilag Gmbh InternationalSurgical instrument assembly
US12053175B2 (en)2020-10-292024-08-06Cilag Gmbh InternationalSurgical instrument comprising a stowed closure actuator stop
US11534259B2 (en)2020-10-292022-12-27Cilag Gmbh InternationalSurgical instrument comprising an articulation indicator
US11717289B2 (en)2020-10-292023-08-08Cilag Gmbh InternationalSurgical instrument comprising an indicator which indicates that an articulation drive is actuatable
US11617577B2 (en)2020-10-292023-04-04Cilag Gmbh InternationalSurgical instrument comprising a sensor configured to sense whether an articulation drive of the surgical instrument is actuatable
US11779330B2 (en)2020-10-292023-10-10Cilag Gmbh InternationalSurgical instrument comprising a jaw alignment system
US12076194B2 (en)2020-10-292024-09-03Cilag Gmbh InternationalSurgical instrument comprising an articulation indicator
USD1013170S1 (en)2020-10-292024-01-30Cilag Gmbh InternationalSurgical instrument assembly
US11517390B2 (en)2020-10-292022-12-06Cilag Gmbh InternationalSurgical instrument comprising a limited travel switch
US11452526B2 (en)2020-10-292022-09-27Cilag Gmbh InternationalSurgical instrument comprising a staged voltage regulation start-up system
US11844518B2 (en)2020-10-292023-12-19Cilag Gmbh InternationalMethod for operating a surgical instrument
US11849943B2 (en)2020-12-022023-12-26Cilag Gmbh InternationalSurgical instrument with cartridge release mechanisms
US11627960B2 (en)2020-12-022023-04-18Cilag Gmbh InternationalPowered surgical instruments with smart reload with separately attachable exteriorly mounted wiring connections
US11653920B2 (en)2020-12-022023-05-23Cilag Gmbh InternationalPowered surgical instruments with communication interfaces through sterile barrier
US11653915B2 (en)2020-12-022023-05-23Cilag Gmbh InternationalSurgical instruments with sled location detection and adjustment features
US12232724B2 (en)2020-12-022025-02-25Cilag Gmbh InternationalSurgical instruments with sled location detection and adjustment features
US11737751B2 (en)2020-12-022023-08-29Cilag Gmbh InternationalDevices and methods of managing energy dissipated within sterile barriers of surgical instrument housings
US11944296B2 (en)2020-12-022024-04-02Cilag Gmbh InternationalPowered surgical instruments with external connectors
US12016559B2 (en)2020-12-022024-06-25Cllag GmbH InternationalPowered surgical instruments with communication interfaces through sterile barrier
US11678882B2 (en)2020-12-022023-06-20Cilag Gmbh InternationalSurgical instruments with interactive features to remedy incidental sled movements
US12133648B2 (en)2020-12-022024-11-05Cilag Gmbh InternationalSurgical instrument with cartridge release mechanisms
US11890010B2 (en)2020-12-022024-02-06Cllag GmbH InternationalDual-sided reinforced reload for surgical instruments
US12369912B2 (en)2020-12-022025-07-29Cilag Gmbh InternationalSurgical instruments with interactive features to remedy incidental sled movements
US12171427B2 (en)2020-12-022024-12-24Cilag Gmbh InternationalPowered surgical instruments with smart reload with separately attachable exteriorly mounted wiring connections
US11744581B2 (en)2020-12-022023-09-05Cilag Gmbh InternationalPowered surgical instruments with multi-phase tissue treatment
WO2022162078A1 (en)2021-01-272022-08-04Pharmiva AbComposition for use in degradation of biofilm or prevention of biofilm formation
US12324580B2 (en)2021-02-262025-06-10Cilag Gmbh InternationalMethod of powering and communicating with a staple cartridge
US12357309B2 (en)2021-02-262025-07-15Cilag Gmbh InternationalStaple cartridge comprising a power management circuit
US12035912B2 (en)2021-02-262024-07-16Cilag Gmbh InternationalAdjustable communication based on available bandwidth and power capacity
US11749877B2 (en)2021-02-262023-09-05Cilag Gmbh InternationalStapling instrument comprising a signal antenna
US11744583B2 (en)2021-02-262023-09-05Cilag Gmbh InternationalDistal communication array to tune frequency of RF systems
US11751869B2 (en)2021-02-262023-09-12Cilag Gmbh InternationalMonitoring of multiple sensors over time to detect moving characteristics of tissue
US12144501B2 (en)2021-02-262024-11-19Cilag Gmbh InternationalMonitoring of manufacturing life-cycle
US11950779B2 (en)2021-02-262024-04-09Cilag Gmbh InternationalMethod of powering and communicating with a staple cartridge
US11696757B2 (en)2021-02-262023-07-11Cilag Gmbh InternationalMonitoring of internal systems to detect and track cartridge motion status
US11701113B2 (en)2021-02-262023-07-18Cilag Gmbh InternationalStapling instrument comprising a separate power antenna and a data transfer antenna
US12108951B2 (en)2021-02-262024-10-08Cilag Gmbh InternationalStaple cartridge comprising a sensing array and a temperature control system
US11980362B2 (en)2021-02-262024-05-14Cilag Gmbh InternationalSurgical instrument system comprising a power transfer coil
US12369909B2 (en)2021-02-262025-07-29Cilag Gmbh InternationalMonitoring of multiple sensors over time to detect moving characteristics of tissue
US11730473B2 (en)2021-02-262023-08-22Cilag Gmbh InternationalMonitoring of manufacturing life-cycle
US11950777B2 (en)2021-02-262024-04-09Cilag Gmbh InternationalStaple cartridge comprising an information access control system
US11723657B2 (en)2021-02-262023-08-15Cilag Gmbh InternationalAdjustable communication based on available bandwidth and power capacity
US11793514B2 (en)2021-02-262023-10-24Cilag Gmbh InternationalStaple cartridge comprising sensor array which may be embedded in cartridge body
US11812964B2 (en)2021-02-262023-11-14Cilag Gmbh InternationalStaple cartridge comprising a power management circuit
US11925349B2 (en)2021-02-262024-03-12Cilag Gmbh InternationalAdjustment to transfer parameters to improve available power
US12035911B2 (en)2021-02-262024-07-16Cilag Gmbh InternationalStapling instrument comprising a separate power antenna and a data transfer antenna
US12035910B2 (en)2021-02-262024-07-16Cllag GmbH InternationalMonitoring of internal systems to detect and track cartridge motion status
US11806011B2 (en)2021-03-222023-11-07Cilag Gmbh InternationalStapling instrument comprising tissue compression systems
US11717291B2 (en)2021-03-222023-08-08Cilag Gmbh InternationalStaple cartridge comprising staples configured to apply different tissue compression
US11737749B2 (en)2021-03-222023-08-29Cilag Gmbh InternationalSurgical stapling instrument comprising a retraction system
US12042146B2 (en)2021-03-222024-07-23Cilag Gmbh InternationalSurgical stapling instrument comprising a retraction system
US12023026B2 (en)2021-03-222024-07-02Cilag Gmbh InternationalStaple cartridge comprising a firing lockout
US11826042B2 (en)2021-03-222023-11-28Cilag Gmbh InternationalSurgical instrument comprising a firing drive including a selectable leverage mechanism
US11826012B2 (en)2021-03-222023-11-28Cilag Gmbh InternationalStapling instrument comprising a pulsed motor-driven firing rack
US11759202B2 (en)2021-03-222023-09-19Cilag Gmbh InternationalStaple cartridge comprising an implantable layer
US11723658B2 (en)2021-03-222023-08-15Cilag Gmbh InternationalStaple cartridge comprising a firing lockout
US11793516B2 (en)2021-03-242023-10-24Cilag Gmbh InternationalSurgical staple cartridge comprising longitudinal support beam
US12102323B2 (en)2021-03-242024-10-01Cilag Gmbh InternationalRotary-driven surgical stapling assembly comprising a floatable component
US11849945B2 (en)2021-03-242023-12-26Cilag Gmbh InternationalRotary-driven surgical stapling assembly comprising eccentrically driven firing member
US11896218B2 (en)2021-03-242024-02-13Cilag Gmbh InternationalMethod of using a powered stapling device
US11849944B2 (en)2021-03-242023-12-26Cilag Gmbh InternationalDrivers for fastener cartridge assemblies having rotary drive screws
US11786239B2 (en)2021-03-242023-10-17Cilag Gmbh InternationalSurgical instrument articulation joint arrangements comprising multiple moving linkage features
US11832816B2 (en)2021-03-242023-12-05Cilag Gmbh InternationalSurgical stapling assembly comprising nonplanar staples and planar staples
US11786243B2 (en)2021-03-242023-10-17Cilag Gmbh InternationalFiring members having flexible portions for adapting to a load during a surgical firing stroke
US11903582B2 (en)2021-03-242024-02-20Cilag Gmbh InternationalLeveraging surfaces for cartridge installation
US11744603B2 (en)2021-03-242023-09-05Cilag Gmbh InternationalMulti-axis pivot joints for surgical instruments and methods for manufacturing same
US11944336B2 (en)2021-03-242024-04-02Cilag Gmbh InternationalJoint arrangements for multi-planar alignment and support of operational drive shafts in articulatable surgical instruments
US11896219B2 (en)2021-03-242024-02-13Cilag Gmbh InternationalMating features between drivers and underside of a cartridge deck
US11890004B2 (en)*2021-05-102024-02-06Cilag Gmbh InternationalStaple cartridge comprising lubricated staples
US20220354486A1 (en)*2021-05-102022-11-10Cilag Gmbh InternationalSystem of surgical staple cartridges comprising absorbable staples
US20220361874A1 (en)*2021-05-102022-11-17Cilag Gmbh InternationalStaple cartridge comprising lubricated staples
US11998201B2 (en)2021-05-282024-06-04Cilag CmbH InternationalStapling instrument comprising a firing lockout
US11826047B2 (en)2021-05-282023-11-28Cilag Gmbh InternationalStapling instrument comprising jaw mounts
US11918217B2 (en)2021-05-282024-03-05Cilag Gmbh InternationalStapling instrument comprising a staple cartridge insertion stop
US11723662B2 (en)2021-05-282023-08-15Cilag Gmbh InternationalStapling instrument comprising an articulation control display
US12239317B2 (en)2021-10-182025-03-04Cilag Gmbh InternationalAnvil comprising an arrangement of forming pockets proximal to tissue stop
US11980363B2 (en)2021-10-182024-05-14Cilag Gmbh InternationalRow-to-row staple array variations
US11877745B2 (en)2021-10-182024-01-23Cilag Gmbh InternationalSurgical stapling assembly having longitudinally-repeating staple leg clusters
US11957337B2 (en)2021-10-182024-04-16Cilag Gmbh InternationalSurgical stapling assembly with offset ramped drive surfaces
US11937816B2 (en)2021-10-282024-03-26Cilag Gmbh InternationalElectrical lead arrangements for surgical instruments
US12432790B2 (en)2021-10-282025-09-30Cilag Gmbh InternationalMethod and device for transmitting UART communications over a security short range wireless communication
US12089841B2 (en)2021-10-282024-09-17Cilag CmbH InternationalStaple cartridge identification systems
US12440213B2 (en)2022-12-052025-10-14Cilag Gmbh InternationalSurgical instrument having a power control circuit
US12440209B2 (en)2023-05-092025-10-14Cilag Gmbh InternationalSurgical instrument with multiple program responses during a firing motion
US12440208B2 (en)2023-08-232025-10-14Cilag Gmbh InternationalPowered surgical instrument

Similar Documents

PublicationPublication DateTitle
WO2012013577A1 (en)Composition for coating medical devices containing lae and a polycationic amphoteric polymer
AU2007230597B2 (en)Antimicrobial composition
Percival et al.Antiseptics for treating infected wounds: efficacy on biofilms and effect of pH
US7314857B2 (en)Synergistic antimicrobial compositions and methods of inhibiting biofilm formation
US7446089B2 (en)Methods of inhibiting and treating bacterial biofilms by metal chelators
EP1888054B1 (en)Antimicrobial composition
US20060099237A1 (en)Antimicrobial medical articles containing a combination of anti-infective compounds, octoxyglycerin, salicylic acid, and sesquiterpenoids
US20060263444A1 (en)Antimicrobial composition
US20140178447A1 (en)Reduction of biofilms on medical devices
BG109402A (en)Antiseptic compositions, methods and systems
WO2008141416A1 (en)Antimicrobial compositions and uses thereof
EP2600927B1 (en)Antimicrobial hydrochloric acid catheter lock solution and method of use
JP2022527332A (en) Antibacterial composition
JP7138110B2 (en) Antimicrobial compositions comprising antimicrobial hydrogels effective against mature biofilms
JP5930044B2 (en) Percutaneous venous access lock solution
CA2452032C (en)Synergistic antimicrobial compositions and methods of inhibiting biofilm formation
WO2024054115A1 (en)Antimicrobial compositions

Legal Events

DateCodeTitleDescription
121Ep: the epo has been informed by wipo that ep was designated in this application

Ref document number:11737931

Country of ref document:EP

Kind code of ref document:A1

NENPNon-entry into the national phase

Ref country code:DE

122Ep: pct application non-entry in european phase

Ref document number:11737931

Country of ref document:EP

Kind code of ref document:A1


[8]ページ先頭

©2009-2025 Movatter.jp