METHODS AND MATERIALS FOR OPTIMIZED HEPATITIS C
 THERAPEUTIC REGIMENS
CROSS REFERENCE TO RELATED APPLICATIONS
 This application claims priority under Section 119(e) from U.S. Provisional
Application Serial No. 61/255,992 filed October 29, 2009, the contents of which are incorporated herein by reference. This application is related to International Application Numbers PCT/US2010/44146; PCT/US2009/038617 (International Publication No. WO 2009/120991); PCT/US2009/060121 (International Publication No. WO 2010/047974); and PCT/US2008/078843 (International Publication No. WO 2009/046369), the contents of which are incorporated by reference.
FIELD OF THE INVENTION
 This invention relates to methods and systems used in the treatment of Hepatitis C virus infections. More particularly, it is related to methods and systems for designing patient-specific Hepatitis C drug delivery profiles.
BACKGROUND OF THE INVENTION
 Hepatitis C virus (HCV), the most deadly type of hepatitis virus, is characterized by liver inflammation and may lead to chronic liver diseases, such as liver cirrhosis and cancer. In the United States, chronic liver diseases account for about 25,000 deaths annually making it the tenth leading cause of death among adults in the United States. About 40% of these deaths are related to Hepatitis C.
 The ultimate goal of any antiviral therapy is complete eradication of the virus from the patient. Since the early days of the HIV/ AIDS therapy development, it has been clear that the pharmacokinetics of drugs is critical to achieving this goal (see, e.g. Perelson et al., Science 1996;271 (5255):1582-6). This is particularly true where viral replication rates are high, as is the case with HCV infection. The history of interferon- based therapy for HCV reflects efforts to improve the pharmacokinetics of interferon (IFN) delivery while maintaining tolerability of the therapy. The first interferon a-based  therapy regimens consisted of subcutaneous injections 3 times weekly of fully biopotent interferon. This regimen was chosen to minimize side effects, but it was known that more frequent administration could improve efficacy in highly motivated patients (see, e.g., Leevy CB. Consensus Interferon and Ribavirin in Patients with Chronic Hepatitis C Who Were Nonresponders to Pegylated Interferon alfa-2b and Ribavirin, Digestive Diseases and Sciences 2008: epublication).
 The current standard of care for chronic HCV infection is a combined medication regimen consisting of once-weekly subcutaneous injections of a pegylated interferon (e.g. PEGINTRON® or PEGASYS®) plus daily oral ribavirin. Pegylated interferons were developed to improve pharmacokinetics, reduce immunogenicity, and potentially improve compliance by allowing for less frequent injections. Pegylation was initially envisioned to decrease clearance, resulting in a longer plasma half-life that would, in turn, increase exposure of the HCV virus to the drug. However, pegylation also decreases both biological potency and volume of distribution of the interferons. HCV is known to be present and to replicate in a variety of non-hepatic as well as hepatic tissues. Therefore, increased volume of distribution of interferons is believed to be important for sustained viral clearance.
 Hepatitis C virus is a positively stranded RNA virus that exists in at least six genetically distinct genotypes. HCV genotype 1 infection is the most difficult viral genotype to treat. Even with current standard-of-care pegylated interferon a-based therapies, efficacy rates for treatment of this genotype remain between 40% and 45% (as measured by SVR) in controlled clinical trials (see, e.g., Manns et al., Lancet 2001;358(9286):958-65). There is clinical evidence (see, e.g., Keating et al., Drugs 2003; 63(7):701-30) that increasing the dose level of interferon improves the success rate of the therapy (as measured by sustained viral response, "SVR") and that continuous drug pressure on the virus is theoretically and clinically important (see, e.g., Shudo et al., J Viral Hepat 2008a;15(5):379-82). Thus, current interferon therapies for treatment of HCV appear limited by one or more of the following: 1) fluctuating blood levels of drug, which preclude continuous drug pressure on the virus; 2) limited biological potency; 3) limited systemic distribution of the drug; and/or 4) short half-lives relative to once-  weekly dosing regimens (see, e.g., Caliceti et al., Digestive and Liver Disease 2004;36 (Supplement 3):S334).
 In addition, all interferon therapies carry a risk of side effects, including neutropenia, thrombocytopenia, serious depression, and systemic flu-like symptoms. Interferon therapies can also exacerbate or induce fatigue in patients with chronic HCV infection and compromise quality of life. Clinical evidence suggests that the incidence and/or severity of certain AEs (adverse events) associated with interferon therapies correlate with peak blood levels or with rapidly changing blood levels of interferon (see, e.g., Arimura et al., J Neurovirol 2007;13(4):364-72, Bonnem et al., J Biol Response Mod 1984;3(6):580-98 and Budd et al., Cancer Chemother Pharmacol 1984;12(l):39-42).
 The continuous subcutaneous administration of a nonpegylated, fully biopotent interferon-α (e.g. INTRON A®) via an external pump infusion system (e.g. the Medtronic MiniMed Paradigm® Insulin Infusion System) will result in more constant blood interferon-a levels. As discussed below, near-constant blood levels combined with the maximal levels of penetration of the drug into non-hepatic and hepatic tissues achieved by nonpegylated interferons can improve efficacy by exposing the HCV to continuous, physiologically effective interferon-α levels in as many tissues as feasible. Furthermore, relatively stable blood interferon-α levels appear to allow patients to tolerate relatively high doses of interferon that can provide improved therapeutic efficacy (SVR rates). In such contexts, methods that facilitate the continuous administration of optimized doses of interferon-α are desirable.
SUMMARY OF THE INVENTION
 As disclosed herein, results from pharmacokinetic analyses on patients in a clinical trial for HCV infected individuals demonstrate that it is now possible to predict a concentration of exogenous interferon-α in the serum of a patient that will result from administering the interferon-α to the patient via a continuous administration regimen. Embodiments of the invention disclosed herein address important needs in this technology and, for example, allow medical personnel to administer optimized  interferon-α dosing regimens, including those designed to address the unique parameters of an individual patient's physiology.
 The invention disclosed herein has a number of embodiments. One embodiment of the invention is a method of predicting a concentration of exogenous interferon-a in serum of a patient that will result from administering exogenous interferon-α to the patient via a continuous administration regimen. In this embodiment, the method comprises administering exogenous interferon-α to the patient; observing concentrations of exogenous interferon-α present in the serum of the patient that result from administering exogenous interferon-α to the patient so as to obtain information on how concentrations of exogenous interferon-α present in the serum change over a period of time; using information on how concentrations of exogenous interferon-α present in the serum change over the period of time to estimate a rate of exogenous interferon-a clearance in the patient; and then using the estimate of the rate of exogenous interferon-a clearance in the patient to predict a concentration of exogenous interferon-α in the serum of the patient that will result from administering exogenous interferon-α to the patient via the continuous administration regimen.
 In typical embodiments of the invention, the exogenous interferon-α is first administered to the patient in a bolus comprising from 1 MIU to 100 MIU of interferon- α (e.g. 12 MIU as shown in the Example below). Optionally, the exogenous interferon-a used in an embodiment of the invention is not conjugated to a polyol. Alternatively, the exogenous interferon-α used in an embodiment of the invention is conjugated to a polyol. In certain embodiments of the invention, the concentrations of exogenous interferon-α present in the serum of the patient that result from administering exogenous interferon-α to the patient are sampled for a period of time comprising at least 24 or 36 or 48 hours. In other embodiments of the invention, the concentrations of exogenous interferon-α present in the serum of the patient that result from administering exogenous interferon-α to the patient are sampled for a period of time comprising not more than 24 or 36 or 48 hours. Optionally, the concentrations of exogenous interferon-α present in the serum of the patient that result from administering exogenous interferon-α to the  patient are observed by obtaining at least 2, 3, 4, 5 or 6 different samples from the patient over the period of time (e.g. samples taken from serum, plasma or whole blood).
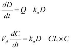
 In some embodiments of the invention, the concentrations of exogenous interferon-α in the serum of a patient that result from administering exogenous interferon-a to the patient via a continuous administration regimen are estimated by employing a compartmental pharmacokinetic model for subcutaneous interferon-a administration. Optionally this method further comprises the use of a correction factor which, without being bound by a specific scientific theory or principle, may address, for example, model under prediction of serum interferon-α concentrations that may result from the continuous administration of interferon-α. Optionally, the compartmental pharmacokinetic model for subcutaneous interferon-α administration includes analyses using the following equations:
 wherein D is the total interferon-α content at the injection site in IU; C is the interferon- α concentration in serum in IU/mL; V
d is the apparent volume of distribution of interferon-α in mL; Q is the subcutaneous infusion rate of interferon-α in IU/hour; an CL is the clearance in mL/hr; and k
a is the rate constant for interferon-α absorption per hour. In certain embodiments of the invention, the concentrations of exogenous interferon-α present in the serum of the patient that result from administering exogenous interferon-α to the patient are sampled at at least one time point comprising 0, 2, 4, 8, 12, 16 or 24 hours. In other embodiments of the invention, the changing concentrations of exogenous interferon-α present in the serum of the patient that result from administering exogenous interferon-α to the patient are analyzed by a methodology comprising an area- under-the-curve measurement (e.g. one comprising a compartmental, or alternatively a non-compartmental ( CA) model analyses).  Embodiments of the invention can further use the predictions on the concentrations of exogenous interferon-α in the serum of a patient that will result from administering exogenous interferon-a to the patient via the continuous administration regimen to design (and optionally administer) a patient-specific continuous administration regimen for the patient, for example one that is sufficient to maintain circulating levels of the interferon-α in the patient above a mean steady state concentration of at least 100, 200, 300, 400, 500, 600 or 700 pg/mL. Embodiments of the invention can also include the further steps of observing at least one patient- specific factor such as a patient's prior medical treatment history, a presence or degree of a side effect that results from administering exogenous interferon-α to the patient, or a polynucleotide sequence of the patient, wherein the polynucleotide sequence comprises a single nucleotide polymorphism (SNP) designated rsl2979860, rsl2980275, rs8099917, rsl2972991, rs8109886, rs4803223, rs8103142, rs28416813, rs4803219, rs4803217, rs581930, rs8105790, rsl 1881222, rs7248668 or rsl2980602. Embodiments of the invention can also include the further step of observing a genotype or quasispecies of a hepatitis C virus infecting the patient.
 Another embodiment of the invention is a method of administering interferon-a to a patient suffering from a Hepatitis C infection, the method comprising administering a bolus of exogenous interferon-α to the patient; observing concentrations of exogenous interferon-α present in the serum of the patient that result from administering the bolus of exogenous interferon-α to the patient so as to obtain information on how concentrations of exogenous interferon-α present in the serum change over a period of time; using information on how concentrations of exogenous interferon-α present in the serum change over the period of time to estimate a rate of exogenous interferon-a clearance in the patient; and using the estimate of the rate of exogenous interferon-a clearance in the patient to predict concentrations of exogenous interferon-α in the serum of the patient that will result from administering exogenous interferon-α to the patient via the continuous administration regimen; using the predicted concentrations of exogenous interferon-α in the serum of the patient that will result from administering  exogenous interferon-α to the patient via the continuous administration regimen to make a patient-specific therapeutic regimen; programming a controller operably coupled to a continuous infusion pump with patient-specific therapeutic regimen information; and then using the continuous infusion pump to administer interferon-a to the patient according to the controller programming. Optionally, the controller is programmed so that the continuous infusion pump administers interferon-α in a manner that modulates interferon-α concentrations in the patient so that the patient is administered different interferon dosing regimens during different phases of hepatitis C viral load decline. In certain embodiments of the invention, the controller is programmed so that the continuous infusion pump administers interferon-α in a manner that modulates interferon-α concentrations in the patient so as to reduce adverse side effects observed during the administration of interferon-a.
 In some embodiments of these methods of administering interferon-α to a patient suffering from a Hepatitis C infection, the exogenous interferon-α in the bolus is not conjugated to a polyol. Optionally in these methods, the bolus of exogenous interferon-α administered to the patient comprises from 1 MIU to 100 MIU of interferon-α. In certain embodiments, the concentrations of exogenous interferon-a present in the serum of the patient that result from administering the bolus of exogenous interferon-α to the patient are sampled for a period of time comprising at least 24 or 36 or 48 hours. Optionally, the concentrations of exogenous interferon-α present in the serum of the patient that result from administering the bolus of exogenous interferon-a to the patient are observed by obtaining at least 2, 3, 4, 5 or 6 different samples from the patient over the period of time (e.g. samples taken from serum, plasma or whole blood). In typical embodiments of the invention, the concentrations of exogenous interferon-a in the serum of a patient that result from administering the bolus of exogenous interferon-α to the patient via a continuous administration regimen are estimated by employing a compartmental pharmacokinetic model for subcutaneous interferon-a administration, wherein the estimate obtained from the compartmental pharmacokinetic model for subcutaneous interferon-α administration further comprises a correction  factor to address model under prediction of serum interferon-α concentrations that will result from the continuous administration of interferon-a.
 In certain embodiments of these methods of administering interferon-α to a patient suffering from a Hepatitis C infection, the controller is programmed so that the continuous infusion pump administers interferon-α at a dose and for a period of time selected to maintain a plasma interferon-α concentration above a set-point for the period of time. In one illustrative example of this, the controller is programmed so that the patient-specific therapeutic regimen is sufficient to maintain circulating levels of the interferon-α in the patient above a mean steady state concentration of at least 100, 200, 300, 400, 500, 600 or 700 pg/mL. Optionally, the patient-specific therapeutic regimen further comprises administering a nucleoside analog that interferes with Hepatitis C viral replication.
 A related embodiment of the invention is a system for administering interferon to a patient having a hepatitis C infection, the system comprising a continuous infusion pump having a medication reservoir comprising interferon-α; a processor operably connected to the continuous infusion pump and comprising a set of instructions that causes the continuous infusion pump to administer the interferon-α to the patient according to a patient-specific therapeutic regimen made by administering a bolus of exogenous interferon-α to the patient; observing concentrations of exogenous interferon- a present in the serum of the patient that result from administering the bolus of exogenous interferon-α to the patient so as to obtain information on how concentrations of exogenous interferon-α present in the serum change over a period of time; using information on how concentrations of exogenous interferon-α present in the serum change over the period of time to estimate a rate of exogenous interferon-α clearance in the patient; using the estimate of the rate of exogenous interferon-α clearance in the patient to predict concentrations of exogenous interferon-α in the serum of the patient that will result from administering exogenous interferon-α to the patient via the continuous administration regimen; and then using the predicted concentrations of exogenous interferon-α in the serum of the patient that will result from administering  exogenous interferon-α to the patient via the continuous administration regimen to make a patient-specific therapeutic regimen. Typically in this system, the continuous infusion pump has dimensions smaller than 15 x 15 centimeters and is operably coupled to an interface that facilitates the patient's movements while using the continuous infusion pump, wherein the interface comprises a clip, a strap, a clamp or tape.
 Yet another embodiment of the invention is a program code storage device comprising a computer-readable medium; a computer-readable program code, stored on the computer-readable medium, the computer-readable program code having instructions, which when executed cause a controller operably coupled to a medication infusion pump to administer the interferon-a to a patient infected with the hepatitis C virus according to a patient-specific therapeutic regimen made by administering a bolus of exogenous interferon-a to the patient; observing concentrations of exogenous interferon-a present in the serum of the patient that result from administering the bolus of exogenous interferon-α to the patient so as to obtain information on how concentrations of exogenous interferon-α present in the serum change over a period of time; using information on how concentrations of exogenous interferon-α present in the serum change over the period of time to estimate a rate of exogenous interferon-a clearance in the patient; using the estimate of the rate of exogenous interferon-a clearance in the patient to predict concentrations of exogenous interferon-α in the serum of the patient that will result from administering exogenous interferon-α to the patient via the continuous administration regimen; and then using the predicted concentrations of exogenous interferon-α in the serum of the patient that will result from administering exogenous interferon-α to the patient via the continuous administration regimen to make the patient- specific therapeutic regimen.
 Other objects, features and advantages of the present invention can become apparent to those skilled in the art from the following detailed description. It is to be understood, however, that the detailed description and specific examples, while indicating some embodiments of the present invention are given by way of illustration and not limitation. Many changes and modifications within the scope of the present  invention may be made without departing from the spirit thereof, and the invention includes all such modifications.
BRIEF DESCRIPTION OF THE FIGURES FIG. 1 provides a diagram of PK/PD substudy inpatient facility timelines which shows that several different time bases are used for describing the PK/PD substudy. For example, Inpatient Time = 0 Hours is defined as the time at which all subjects selected for the PK/PD substudy receive a single SC (subcutaneous) bolus injection of 12 MIU INTRON A at the beginning of the 0-24 hour period in the inpatient facility. This corresponds approximately to Study Time = -24 Hours. Inpatient Time = 0 Hours will not be exactly equal to Study Time = -24 Hours, if continuous INTRON A is not started exactly 24 hours (to the minute) after the administration of the INTRON A bolus. Study Time = 0 Hours is defined in this protocol, by convention, as the time at which all subjects in Stage 1 of the COPE-HCV study protocol either: 1) begin 1 of the 3 doses of continuous SC INTRON A therapy, or 2) receive their first SC bolus injection of PEGINTRON (control-arm subjects, not part of the PK/PD substudy). This approximately corresponds to Inpatient Time = 24 Hours. Study Time = 0 Hours will not be exactly equal to Inpatient Time = 24 Hours, if continuous INTRON A is not started exactly 24 hours (to the minute) after the administration of the INTRON A bolus. Study Time = 48 Hours is defined as the end of the 24-72 hour nominal time period in the inpatient facility (more specifically 48 hours after the initiation of continuous INTRON A). This corresponds approximately to Inpatient Time = 72 Hours. Study Time = 3 Days is defined as 3 days after initiation of continuous INTRON A treatment. This corresponds to Study Day 3 in the COPE-HCV study protocol. For all subjects in the study, including subjects who do and do not participate in the PK/PD substudy, Study Day 0 is defined as the time period, up to 36 hours, prior to administration of the first dose of randomized treatment (PEGINTRON or continuous INTRON A). For PK/PD substudy subjects, Day 0 includes admission to the inpatient facility, urine pregnancy test, Baseline blood draws, administration of the 12 MIU bolus INTRON A dose, and 24-hour post-dose monitoring. For all subjects in the  study, Study Day 1 begins when the first dose of randomized treatment is given (PEGINTRON or continuous INTRON A infusion). Inpatient Time is the measurement of time relative to the time at which the bolus of INTRON A bolus was administered (Study Time ~ -24 hours). In-Clinic Time is equivalent to Inpatient Time. Nominal Inpatient Time is defined as the scheduled collection time, per the COPE-HCV Study protocol. Actual Inpatient Time is defined as the recorded sample collection time relative to the recorded INTRON A bolus dosing time (Inpatient Time = 0 hours). For example, the blood draw scheduled to occur 4 hours after the INTRON A bolus may have been recorded as actually occurring 4 hours, 5 minutes after the actual dosing. The Actual Inpatient Time of this sample would be 4 hours, 5 minutes, while the Nominal Inpatient Time would be 4 hours.
 FIG. 2 shows a graph of anticipated Serum IFN Levels Following Dosing with SC Bolus INTRON A and SC Continuous INTRON A Infusion. Diamond marks indicate blood draw timepoints.
 FIG. 3 shows a graph that provides an estimation of the elimination rate constant for Intron A using the Phoenix™ WinNonlin® PK/PD Software, Version 6.x (Pharsight®, Cary, NC), (non-compartmental analysis) operational object. Concentration vs. time data is the average of 12 healthy male volunteers who received a 5xl06 IU/m2 subcutaneous bolus of INTRON A (see, e.g., Radwanski et al., J Clin Pharmacol 1987; 27(5):432-5).
 FIG. 4 shows a single-compartment pharmacokinetic model for subcutaneous injection. Complete bioavailability and first order rates of absorption and elimination are assumed. Previous studies reporting the PK profiles of un-pegylated IFN-alphas, such as INTRON A, via subcutaneous administration indicate that the pharmacokinetics are suitably modeled using a traditional 1 -compartment model with a depot at the administration site (see, e.g., Glue et al., Clin Pharmacol Ther 2000b;68(5):556-67 and Radwanski et al., J Clin Pharmacol 1987;27(5):432-5).
 FIG. 5 shows a graph that provides an example of a compartmental PK analysis performed by the Phoenix™ Model object. The concentration vs. time data is the same as presented in Figure 3 and is the average of 12 healthy male volunteers who received a  5x106 IU/m2 subcutaneous bolus of INTRON A (see, e.g., Radwanski et al., J Clin Pharmacol 1987;27(5):432-5). Only the nominal timepoints in the COPE-HCV Study are included. Model parameter estimates are: ka'= 0.1624 1/hr, k ' = 0.1622 1/hr, and V;= 9.209xl04 mL.
 FIG. 6 provides a graph showing how AUC calculations for the first two weeks of continuous INTRON A infusion can be performed. Anticipated serum IFN levels are the same as those presented in Figure 2.
 FIG. 7 provides a graph of an IFN Concentration time course predicted by the compartmental model and PK parameters. The PK parameters were estimated using the Compartmental Model (Equations 3-4) and the IFN concentration data for the 24-hour period following the INTRON A bolus. This observed data is the same as presented in Figures 3 and 5 (see, e.g., Radwanski et al., J Clin Pharmacol 1987;27(5):432-5).
 FIG. 8 provides a graph of a comparison of IFN concentrations predicted by the compartmental model for continuous INTRON A with contrived "observed" data. The compartmental model PK parameters were estimated using non-linear regression and the concentration data for the 24-hour period following the INTRON A bolus. This data is the same as presented in Figures 3 and 5 (see, e.g., Radwanski et al., J Clin Pharmacol 1987;27(5):432-5). The "observed" concentration data for the time period after the initiation of pump therapy (Study Time = 0-96 hours) is contrived for the purposes of this illustration. The magnitude, sign and/ or distribution of the residual errors between the "observed" vs. model-predicted IFN concentrations are not indented to be predictive of actual study outcomes.
 FIG. 9 provides a comparison of IFN concentrations predicted by the compartmental model for continuous INTRON A with contrived "observed" data. The compartmental model PK parameters were estimated using non-linear regression and the concentration data for the 24-hour period following the INTRON A bolus. This data is the same as presented in Figure 5. The "observed" concentration data for the time period after the initiation of pump therapy (Study Time = 0-96 hours) is contrived for the purposes of this illustration. The magnitude, sign and/ or distribution of the residual  errors between the "observed" vs. model-predicted IFN concentrations are not intended to necessarily be predictive of actual study outcomes.
 FIG. lOA-lOC provide a compartmental PK analysis of individual subject response to a 12 MIU subcutaneous bolus of INTRON A. For all 3 subjects, the pre- dose baseline concentration was below the reported range of the assay (5 IU/mL); therefore, a substitution value of 0 IU/ mL was used.
 FIG. 11A-11C provide a comparison of IFN concentrations predicted by the compartmental model for continuous INTRON A with actual observed IFN concentrations. INTRON A dosing arm assignments for Subjects A, B and C were 80, 120 and 160 klU/kg/day, respectively. Individual PK parameters were estimated through non-linear regression of the compartmental model (Equations 3-4) and the observed response to the 12 MIU bolus of INTRON (data points only). The model curve was calculated using the compartment model, individual PK parameters estimated from the bolus response and individual dosing information.
 FIG. 12A presents an exemplary generalized computer system 202 that can be used to implement elements of the present invention. FIG. 12B presents one embodiment of a specific illustrative computer system embodiment that can be used with embodiments of the invention in the treatment of Hepatitis C virus infection. DETAILED DESCRIPTION OF THE INVENTION
 Unless otherwise defined, all terms of art, notations and other scientific terms or terminology used herein are intended to have the meanings commonly understood by those of skill in the art to which this invention pertains. In some cases, terms with commonly understood meanings are defined herein for clarity and/or for ready reference, and the inclusion of such definitions herein should not necessarily be construed to represent a substantial difference over what is generally understood in the art. As appropriate, procedures involving the use of commercially available kits and reagents are generally carried out in accordance with manufacturer defined protocols and/or parameters unless otherwise noted. All publications mentioned herein are incorporated herein by reference to disclose and describe the methods and/or materials  in connection with which the publications are cited. Publications cited herein are cited for their disclosure prior to the filing date of the present application. Nothing here is to be construed as an admission that the inventors are not entitled to antedate the publications by virtue of an earlier priority date or prior date of invention. Further the actual publication dates may be different from those shown and require independent verification. All numbers recited in the specification and associated claims that refer to values that can be numerically characterized can be modified by the term "about".
DEFINITIONS:
 The term "pharmacokinetics" is used according to its art accepted meaning and refers to the study of the action of drugs in the body, for example the effect and duration of drug action, the rate at they are absorbed, distributed, metabolized, and eliminated by the body etc. (e.g. the study of a concentration of interferon-a in the serum of the patient following its administration via a specific dose or therapeutic regimen). The term "pharmacodynamics" is used according to its art accepted meaning and refers to the study of the biochemical and physiological effects of drugs on the body or on microorganisms or parasites within or on the body, the mechanisms of drug action and the relationship between drug concentration and effect etc. (e.g. the study of a concentration of hepatitis C virus RNA present in a patient's plasma following one or more therapeutic regimens). The terms "pharmacodynamic models" and "pharmacodynamic parameters" as used herein include interferon and/or viral kinetic models and interferon and/or viral kinetic parameters (e.g. in vivo concentration). Various models to estimate parameters associates with Hepatitis C infection have been developed, and may be adapted for use with methods described herein. Examples of viral kinetic models include, but are not limited to, models disclosed in the following references: International Application Number PCT/US2009/038617, the contents of which are incorporated by reference; Alan S. Perelson, et al. (2005). "New kinetic models for the hepatitis C virus." Hepatology 42(4): 749-754; Andrew H Talal, et al. (2006). "Pharmacodynamics of PEG-IFN a Differentiate HIV/HCV Coinfected Sustained  Virological Responders from Nonresponders." Hepatology 43(5): 943-953; Dahari, H., A. Lo, et al. (2007). "Modeling hepatitis C virus dynamics: liver regeneration and critical drug efficacy." J Theor Biol 247(2): 371-81; Dahari, H., R. M. Ribeiro, et al. (2007). "Triphasic decline of hepatitis C virus RNA during antiviral therapy." Hepatology 46(1): 16-21. Dixit, N. M., J. E. Layden- Aimer, et al. (2004). "Modelling how ribavirin improves interferon response rates in hepatitis C virus infection." Nature 432(7019): 922. Neumann, A. U., N. P. Lam, et al. (1998). "Hepatitis C viral dynamics in vivo and the antiviral efficacy of interferon-alpha therapy." Science 282(5386): 103-7. Powers, et al. (2003). "Modeling viral and drug kinetics: hepatitis C virus treatment with pegylated interferon alfa-2b." Semin Liver Dis 23 Suppl 1: 13-18. Powers, K. A., R. M. Ribeiro, et al. (2006). "Kinetics of hepatitis C virus reinfection after liver transplantation." Liver Transpl 12(2): 207-16; Bonate, P.L. (2006). Pharmacokinetic-Pharmacodynamic Modeling and Simulation. New York, Springer Science&Business Media; Gabrielsson, J. and D. Weiner (2000); and Pharmacokinetic and Pharmacodynamic Data Analysis: Concepts and Applications. Stockholm, Swedish Pharmaceutical Press.
 The terms "continuous administration" (e.g. as in a "continuous administration regimen") and "continuous infusion" (e.g. as in a "continuous infusion regimen") are used interchangeably herein, exclude administration or infusion of an agent via a bolus, and mean delivery of an agent such as interferon-a in a manner that, for example, avoids significant fluctuations in the in vivo concentrations of the agent throughout the course of a treatment period (e.g. as occur when administering an agent such as interferon-a via one or more boluses spaced over a periods of time such as 12 hours, 1 or 2 days). This can be accomplished by constantly or repeatedly injecting substantially identical amounts of interferon-α (typically with a continuous infusion pump device), e.g., at least every hour, 24 hours a day, seven days a week for a period such as at least 1 week to at least 48 weeks, such that a steady state serum level is achieved for the duration of treatment. Continuous interferon-α may be administered according to art accepted methods, for example via subcutaneous or intravenous injection at appropriate intervals, e.g. at least  hourly, for an appropriate period of time in an amount which will facilitate or promote in vivo inactivation of hepatitis C virus.
 The term "continuous infusion system" refers to a device for continuously administering a fluid to a patient parenterally for an extended period of time or for intermittently administering a fluid to a patient parenterally over an extended period of time without having to establish a new site of administration each time the fluid is administered. The fluid typically contains a therapeutic agent or agents. The device typically has one or more reservoir(s) for storing the fluid(s) before it is infused, a pump, a catheter, cannula, or other tubing for connecting the reservoir to the administration site via the pump, and control elements to regulate the pump. The device may be constructed for implantation, usually subcutaneously. In such a case, the reservoir will usually be adapted for percutaneous refilling. An exemplary "continuous infusion system" is the Medtronic MiniMed Paradigm® Insulin Infusion System.
 The term "administer" means to introduce a therapeutic agent into the body of a patient in need thereof to treat a disease or condition. The term "treating" and/or "treatment" refers to the management and care of a patient having a pathology such as a viral infection or other condition for which administration of one or more therapeutic compounds is indicated for the purpose of combating or alleviating symptoms and complications of those conditions. Treating includes administering one or more formulations of the present invention to prevent the onset of the symptoms or complications, alleviating the symptoms or complications, or eliminating the disease, condition, or disorder. As used herein, "treatment" or "therapy" refer to both therapeutic treatment and prophylactic or preventative measures. In addition, "treating" or "treatment" does not require complete alleviation of signs or symptoms, does not require a cure, and specifically includes protocols which have only a marginal effect on the patient.
 The term "therapeutically effective amount" refers to an amount of an agent (e.g. a cytokine such as interferon-a or small molecule inhibitors such as ribavirin) effective to treat at least one sign or symptom of a disease or disorder in a human.  Amounts of an agent for administration may vary based upon the desired activity, the diseased state of the patient being treated, the dosage form, method of administration, patient factors such as the patient's sex, genotype, weight and age, the underlying causes of the condition or disease to be treated, the route of administration and bioavailability, the persistence of the administered agent in the body, the formulation, and the potency of the agent. It is recognized that a therapeutically effective amount is provided in a broad range of concentrations. Such range can be determined based on in vitro and/ or in vivo assays.
 The term "therapeutic regimen" is used according to its art accepted meaning and refers to, for example, a part of treatment plan for an individual suffering from a pathological condition (e.g. chronic hepatitis C infection) that specifies factors such as the agent or agents to be administered to the patient, the doses of such agent(s), the schedule and duration of the treatment etc. Therapeutic regimens include, for example, a bolus (e.g. a single dose of interferon-a usually injected over a short period of time) administered according to embodiments of the invention. Therapeutic regimens also include, for example, the continuous administration of interferon-a according to embodiments of the invention.
 The term "profile" is used according to its art accepted meaning and refers to the collection of results of one or more analyses or examinations of: (1) the presence of; or (2) extent to which an observed phenomenon exhibits various characteristics. Illustrative profiles typically include the results from a series of observations which, in combination, offer information on factors such as, for example, the presence and/or levels and/or characteristics of one or more agents infecting a patient (e.g. the hepatitis C virus), as well as the pharmacokinetic and/or pharmacodynamic characteristics of one or more therapeutic agents administered to a patient as part of a treatment regimen (e.g. interferon-α), as well as the physiological status or functional capacity of one or more organs or organ systems in a patient (e.g. the liver), as well as the genotype of one or more single nucleotide polymorphisms in a patient etc.
 The term "no detectable HCV-RNA" in the context of the present invention  means that there are fewer than 500 and typically fewer than 50 copies of HCV-RNA per milliliter of serum of the patient as measured by quantitative, multi-cycle reverse transcriptase PCR methodology. HCV-RNA is typically measured in the present invention by research-based RT-PCR methodology well known to the skilled clinician. This methodology is referred to herein as HCV-RNA/ qPCR. As is known in the art, the lower limit of detection of HCV-RNA can depend upon the specific assay used. For example, art teaches that with the Versant HCV RNA 3.0 Assay [bDNA], the lower limit of quantitation is typically around 615 IU/mL (2.79 loglO IU/ml); and, with the COBAS AMPLICOR HCV test, v2.0, the lower limit of detection is typically is typically around 50 IU/mL (1.70 loglO IU/mL). Serum HCV-RNA/qPCR testing and HCV genotype testing can be performed by a central laboratory. See also J. G. McHutchinson et al. (N. Engl. J. Med., 1998, 339:1485-1492), and G. L. Davis et al. (N. Engl. J. Med. 339:1493- 1499, the contents of which are incorporated by reference).
 The term "patients or humans having hepatitis C infections" as used herein means any patient-including a pediatric patient-having hepatitis C and includes treatment- naive patients having hepatitis C infections and treatment-experienced patients having hepatitis C infections as well as those pediatric, treatment-naive, and treatment- experienced patients having chronic hepatitis C infections. These patients having chronic hepatitis C include those who are infected with multiple HCV genotypes including type 1 as well as those infected with, for example, HCV genotype 2 and/ or 3 and/ or 4 etc. The term "treatment-naive patients having hepatitis C infections" as used herein means patients with hepatitis C who have never been treated with ribavirin and/ or any interferon-a, including but not limited to interferon-a, or pegylated interferon-a. The term "treatment-experienced patients having hepatitis C infections" as used herein means patients with hepatitis C who have been treated with ribavirin and/or any interferon-α, including but not limited to interferon-a, or pegylated interferon-a, including relapsers and non-responders. The term "patients having chronic hepatitis C infections" as used herein means any patient having chronic hepatitis C and includes "treatment-naive patients" and "treatment-experienced patients" having chronic hepatitis  C infections, including but not limited to relapsers and non-responders. The term "relapsers" as used herein means treatment-experienced patients with hepatitis C who have relapsed after initial response to a conventional course of HCV therapy, e.g. 3-5 MIU pegylated interferon-a administered, for example, in thrice weekly or daily boluses, typically in combination with ribavirin for at least 12 weeks. The term "non-responders" as used herein means treatment-experienced patients with hepatitis C who have not responded to a conventional course of HCV therapy, e.g. e.g. 3-5 MIU pegylated interferon-a administered, for example, in thrice weekly or daily boluses, typically in combination with ribavirin for at least 12 weeks. For descriptions of conventional HCV therapies, see the National Institutes of Health Consensus Development Conference Statement: Management of hepatitis C 2002 (June 10-12, 2002), Gastroenterology 2002; 123(6):2082-2099.
ILLUSTRATIVE ASPECTS AND EMBODIMENTS OF THE INVENTION
 Hepatitis C virus (HCV) is a positively stranded RNA virus that exists in at least six genetically distinct genotypes. These genotypes are designated Type 1, 2, 3, 4, 5 and 6, and their full length genomes have been reported (see, e.g. Genbank/EMBL accession numbers Type la: M62321, AF009606, AF011753, Type lb: AF054250, D13558, L38318, U45476, D85516; Type 2b: D10988; Type 2c: D50409; Type 3a: AF046866; Type 3b: D49374; Type 4: WC-G6, WC-G11, WG29 (Li-Zhe Xu et al, J. Gen. Virol. 1994, 75: 2393-98), EG-21, EG-29, EG-33 (Simmonds et al, J. Gen. Virol. 1994, 74: 661-668), the contents of which are incorporated by reference). In addition, viruses in each genotype exist as differing "quasispecies" that exhibit minor genetic differences. The vast majority of infected individuals are infected with genotype 1, 2 or 3 HCV. HCV infection affects approximately 1.8% of the population in the USA and 3% of the population of the world. In over 85% of infected people, HCV causes a lifelong infection characterized by chronic hepatitis that varies in severity between individuals.
 Currently therapies for the treatment of HCV infection include interferon-a, typically in combination with ribavirin. Such combination therapy can be highly effective  for example in the treatment of HCV infection in patients previously treated with interferon alone and in patients never previously treated with interferon (see, e.g. Davis et al, NEJM, (1998), 339(21): 1493-99; Poynard et al, Lancet (1998) 352(9138): 1426-32, the contents of which are incorporated by reference). In the conventional therapeutic regimens, pegylated interferon-a is typically administered weekly (QW), twice a week (BIW) or three times a week (TIW). Unfortunately however, following the current standard-of-care pegylated interferon-a based therapies, efficacy rates for treatment of HCV genotype 1 remain between 40% and 45% (as measured by SVR) in controlled clinical trials (see, e.g., Manns et al., Lancet 2001;358(9286):958-65).
 Aspects of the invention disclosed herein relate to and are part of a clinical trial designed to compare the safety and efficacy of the continuous infusion of interferon with the current standard of care for chronic hepatitis C infection. This study is termed the "COPE-HCV" clinical trial, see, e.g. CUnicalTrials.gov: Identifier: NCT00919633. Briefly, this study includes patients who are diagnosed with chronic hepatitis C genotype 1 infection and who have received no previous interferon or other anti-HCV treatment. The safety objective in this study is to determine the tolerability and safety of continuous interferon infusion versus the standard of care, at the standard-of-care dose regimen when given with oral weight-based ribavirin. The efficacy objective in this study is to determine the virologic response to continuous interferon infusion in subjects with hepatitis C genotype 1 infection, and to test a selected continuous interferon dose against standard treatment. The COPE-HCV study has 4 treatment arms, as follows: Group 1 (n = 31): continuous Intron A 80,000 IU/kg/day for 48 weeks (up to 12 subjects will participate in the PK/PD substudy); Group 2 (n = 31): continuous Intron A 120,000 IU/kg/day for 48 weeks (up to 12 subjects will participate in the PK/PD substudy); Group 3 (n = 31): continuous Intron A 160,000 IU/kg/day for 48 weeks (up to 12 subjects will participate in the PK/PD substudy); and Group 4 (n = 31): Peglntron 1.5 g/kg SC weekly for 48 weeks (reference agent, active-control arm; up to 12 subjects will participate in the PK/PD substudy). All subjects will also receive oral ribavirin (1000 mg/day if weight <75 kg; 1200 mg/day if weight >75 kg). FIG. 13 shows a diagram of aspects of the study design. Intron A® (interferon alfa-2b, recombinant) from the  Schering Corporation is used as the non-pegylated interferon-α, while Peglntron® (peginterferon alfa-2b) from the Schering Corporation is used as the pegylated interferon-a. The interferon-a is continuously administered via the MiniMed Paradigm® Insulin Infusion System, Medtronic, Inc.
 Patients participating in the COPE-HCV study can have the following PK/PD marker blood levels measured, from Baseline through Week 72: interferon alpha, neopterin, 2', 5'- oligoadenylate synthetase ("OAS") and HCV RNA. The instant disclosure provides data obtained from an analysis of a subset of PK/PD data obtained from COPE-HCV Study Subjects. The data collected for PK/PD analysis consists of interferon-alpha, HCV RNA, neopterin, OAS and glucose level measurements obtained from blood or interstitial fluid. The subsequent PK/PD Analysis confirms that PK parameters obtained from an individual's response to a single bolus of INTRON A can predict the serum interferon levels that will result for that individual from continuous INTRON A. Nominal sampling times for obtaining data are listed by Table 1, Table 2 and Table 3.
 As is known in the art, individual patients do not have identical physiological characteristics, and for example, commonly exhibit differing responses to the same therapeutic agent (e.g. interferon-α). Such differing physiological characteristics include drug efficacy, tolerance as well as the clearance rate at which an agent is removed from the body. Consequently, the optimal dosing of a therapeutic agent can be very difficult to predict, particularly in situations where high levels of the drug are concurrently associated with high efficacy as well as unpleasant side effects (e.g. interferon-a).
 As disclosed herein, the results from preliminary analyses from patients in the COPE-HCV clinical trial demonstrate that it is possible to predict a concentration of exogenous interferon-α in serum of a patient that will result from administering exogenous interferon-α to the patient via a continuous administration regimen. In particular, as shown in Example 1 below, it has been discovered that certain methods useful in PK/PD analyses of patients infected with HCV (e.g. those in the COPE-HCV trails) can be used to predict a concentration of exogenous interferon-α in serum of a  patient that will result from administering exogenous interferon-α to the patient via a continuous administration regimen. Consequently, embodiments of the methods disclosed herein disclosed herein address an unresolved need, specifically the need for optimized interferon-α dosing regimens, in particular those that take into account aspects of a patient's unique physiology in order to optimize efficacy while minimizing any associated adverse reactions.
 The invention disclosed herein has a number of embodiments. One embodiment of the invention is a method of predicting a concentration of exogenous interferon-α in serum of a patient that will result from administering exogenous interferon-α to the patient via a continuous administration regimen. In this embodiment, the method comprises administering exogenous interferon-α to the patient (typically, but not necessarily, in a bolus); observing concentrations of exogenous interferon-α present in the serum of the patient that result from administering exogenous interferon-α to the patient so as to obtain information on how concentrations of exogenous interferon-a present in the serum change over a period of time; using information on how concentrations of exogenous interferon-α present in the serum change over the period of time to estimate a rate of exogenous interferon-α clearance in the patient; and then using the estimate of the rate of exogenous interferon-α clearance in the patient to predict a concentration of exogenous interferon-α in the serum of the patient that will result from administering exogenous interferon-α to the patient via the continuous administration regimen.
 In a related embodiment of the invention, the method comprises administering exogenous interferon-α to the patient; observing concentrations of exogenous interferon- α present in the serum of the patient that result from administering exogenous interferon-α to the patient so as to obtain information on the steady-state concentrations of exogenous interferon-α present in the serum; then using this information on steady- state concentrations of exogenous interferon-α present in the serum to estimate a rate of exogenous interferon-α clearance in the patient; and then using the estimate of the rate of exogenous interferon-α clearance in the patient to predict a concentration of exogenous  interferon-α in the serum of the patient that will result from administering exogenous interferon-α to the patient via the continuous administration regimen.
 In typical embodiments of the invention, the exogenous interferon-a is administered to the patient in a bolus comprising from 1 MIU to 100 MIU of interferon- a. Optionally, the exogenous interferon-α used in an embodiment of the invention is not conjugated to a polyol. In certain embodiments of the invention, the concentrations of exogenous interferon-α present in the serum of the patient that result from administering exogenous interferon-α to the patient are sampled for a period of time comprising at least (or alternatively not more than) 24 or 36 or 48 hours. In an alternative embodiment of the invention, the concentrations of exogenous interferon-a present in the serum of the patient that result from administering exogenous interferon-a to the patient are sampled for a period of time equal to a number of biological ½ lives of the interferon-α species administered to the patient (e.g. pegylated or non-pegylated interferon-α), for example for a period of time equal to between 3-20 e.g. 5, 10, 15, or 20) ½ lives of the interferon-α species administered to the patient. In an illustrative embodiment of the invention, one could start a patient on an initial dose of continuous interferon-α, wait approx 1-4 days for the subject to approach steady-state, and then calculate the AUC or Cavg (time-averaged interferon concentration) over a few days towards the end of the week (7 days). Based on this AUC value, one can then calculate the clearance [CL =

 and then use this clearance parameter to determine and/ or set the new interferon-α infusion rate [Q] .
 In some embodiments of the invention, the concentrations of exogenous interferon-α in the serum of a patient that result from administering exogenous interferon-α to the patient via a continuous administration regimen are estimated by employing a compartmental pharmacokinetic model for subcutaneous interferon-a administration. In addition to such compartmental models, other models or analysis methods can be used in embodiments of the invention in order to, for example, obtain estimates on the clearance of an interferon-α species in a patient. In particular, a variety of "Compartmental Models" and "non-compartmental analysis" techniques (e.g. non-  compartmental analysis involves using the trapezoidal rule or similar numerical methods etc.) are known to those skilled in the art of pharmacokinetic analysis which can be adapted for use with embodiments of the invention. In this context, a number of different illustrative models that can be adapted for use with embodiments of the invention are described in PHARMACOKINETIC & PHARMACODYNAMIC DATA ANALYSIS: CONCEPTS & APPLICATIONS. 4th edition. Authors: Johan Garbielsson & Dan Weiner (2000); Swedish Pharmaceutical Press: Stockholm (see, e.g. pages 161-177 for discussions of non-compartmental analysis), the contents of which are incorporated by reference.
 Optionally, embodiments of the invention such as the methods noted above further comprise the use of what is termed herein a "correction factor" which, without being bound by a specific scientific theory or principle, may address, for example, model under prediction of serum interferon-α concentrations that may result from the continuous administration of interferon-a. In certain embodiments of the invention for example, the correction factor may be useful to address what may be compartmental model under prediction of serum interferon-α levels that results from the continuous administration of interferon-α is between 1.5 and 2.5 (e.g. 2 as shown in the Example below). This assumes that a reason for utilizing the correction factor is that continuous PK is different than bolus PK. While this may be the case, alternatively, the clearance may be a function of the duration of exposure to interferon-α. In this scenario clearance is a function of time on interferon-α therapy, not changing from bolus administration to continuous. In addition, certain art suggests that the "correction factor" (accumulation ratio) is due to the duration of interferon-α exposure, not bolus vs. continuous administration (see, e.g. Glue et al., Clin Pharmacol Ther 2000b;68(5):556-67). In this context, the correction factor is useful to address/be a function of both the duration of therapy as well as the mode of interferon-α administration (i.e. bolus vs. continuous administration).
 Optionally, the compartmental pharmacokinetic model for subcutaneous interferon-α administration includes analyses using the following equations:
wherein D is the total interferon-a content at the injection site in IU; C is the interferon-a concentration in serum in IU/ mL; Vd is the apparent volume of distribution of interferon-α in mL;j2 is the subcutaneous infusion rate of interferon-α in IU/hour; an CL· is the clearance in mL/hr; and ka is the rate constant for interferon-α absorption per hour. In certain embodiments of the invention, the concentrations of exogenous interferon-α present in the serum of the patient that result from administering exogenous interferon-α to the patient are sampled at at least one time point comprising 0, 2, 4, 8, 12, 16 or 24 hours. In other embodiments of the invention, the changing concentrations of exogenous interferon-α present in the serum of the patient that result from administering exogenous interferon-α to the patient are analyzed by a methodology comprising an area- under- the-curve measurement (e.g. one comprising compartmental, or alternatively, non- compartmental ( CA) modeling analyses). Embodiments of the invention can further use the predictions on the concentrations of exogenous interferon-α in the serum of a patient that will result from administering exogenous interferon-α to the patient via the continuous administration regimen to design (and optionally administer) a patient- specific continuous administration regimen for the patient, for example one that is sufficient to maintain circulating levels of the interferon-α in the patient above a mean steady state concentration of at least 100, 200, 300, 400, 500, 600 or 700 pg/mL. In this context, the units "pg/mL" are used as merely one example and alternatives ways to characterize these levels such as IU/ mL are considered. For example, as is known in the art, different preparations of therapeutic molecules such as the interferons do not exhibit identical activities and such activities are therefore published by the manufacturer. Those of skill in the art understand that, information on the specific activity of an interferon-a (e.g. 2.6 x 108IU/mg for INTRON® A), readily allows one to characterize an interferon- α in terms of both picograms and IU per volume (e.g. mL).  Embodiments of the invention can also include the further steps of observing at least one patient-specific factor such as a patient's prior medical treatment history, a presence or degree of a side effect that results from administering exogenous interferon- α to the patient, or a polynucleotide sequence of the patient, wherein the polynucleotide sequence comprises a single nucleotide polymorphism (SNP) designated rsl2979860, rsl2980275, rs8099917, rsl2972991, rs8109886, rs4803223, rs8103142, rs28416813, rs4803219, rs4803217, rs581930, rs8105790, rsll881222, rs7248668 or rsl2980602. Embodiments of the invention can also include the further step of observing a genotype or quasispecies of a hepatitis C virus infecting the patient.
 Another embodiment of the invention is a method of administering interferon-a to a patient suffering from a Hepatitis C infection, the method comprising administering a bolus of exogenous interferon-α to the patient; observing concentrations of exogenous interferon-α present in the serum of the patient that result from administering the bolus of exogenous interferon-α to the patient so as to obtain information on how concentrations of exogenous interferon-α present in the serum change over a period of time; using information on how concentrations of exogenous interferon-α present in the serum change over the period of time to estimate a rate of exogenous interferon-a clearance in the patient; and using the estimate of the rate of exogenous interferon-a clearance in the patient to predict concentrations of exogenous interferon-α in the serum of the patient that will result from administering exogenous interferon-α to the patient via the continuous administration regimen; using the predicted concentrations of exogenous interferon-α in the serum of the patient that will result from administering exogenous interferon-α to the patient via the continuous administration regimen to make a patient-specific therapeutic regimen; programming a controller operably coupled to a continuous infusion pump with patient-specific therapeutic regimen information; and then using the continuous infusion pump to administer interferon-α to the patient according to the controller programming. Optionally, the controller is programmed so that the continuous infusion pump administers interferon-α in a manner that modulates interferon-α concentrations in the patient so that the patient is administered different  interferon dosing regimens during different phases of hepatitis C viral load decline. In certain embodiments of the invention, the controller is programmed so that the continuous infusion pump administers interferon-a in a manner that modulates interferon-a concentrations in the patient so as to reduce adverse side effects observed during the administration of interferon-a.
 In some embodiments of these methods of administering interferon-α to a patient suffering from a Hepatitis C infection, the exogenous interferon-α in the bolus is not conjugated to a polyol. Optionally in these methods, the bolus of exogenous interferon-α administered to the patient comprises from 1 MIU to 100 MIU of interferon-α. In certain embodiments, the concentrations of exogenous interferon-a present in the serum of the patient that result from administering the bolus of exogenous interferon-α to the patient are sampled for a period of time comprising at least 24 or 36 or 48 hours. Optionally, the concentrations of exogenous interferon-α present in the serum of the patient that result from administering the bolus of exogenous interferon-a to the patient are observed by obtaining at least 2, 3, 4, 5 or 6 different samples from the patient over the period of time (e.g. samples taken from serum, plasma or whole blood). In typical embodiments of the invention, the concentrations of exogenous interferon-a in the serum of a patient that result from administering the bolus of exogenous interferon-α to the patient via a continuous administration regimen are estimated by employing a compartmental pharmacokinetic model for subcutaneous interferon-a administration, wherein the estimate obtained from the compartmental pharmacokinetic model for subcutaneous interferon-α administration further comprises a correction factor to address model under prediction of serum interferon-α concentrations that will result from the continuous administration of interferon-a.
 Optionally in these methods of administering interferon-α to a patient suffering from a hepatitis C infection, the concentrations of exogenous interferon-α present in the serum of the patient that result from administering the bolus of exogenous interferon-a to the patient are sampled at at least one time point comprising 0, 2, 4, 8, 12, 16 or 24 hours. In some embodiments of these methods, the changing concentrations of  exogenous interferon-α present in the serum of the patient that result from administering the bolus of exogenous interferon-α to the patient are analyzed by a methodology comprising an area-under-the-curve measurement (e.g. one comprising a non- compartmental ( CA) analyses). In typical embodiments, the compartmental pharmacokinetic model for subcutaneous interferon-α administration includes analyses using the following equations:
- = Q - KD V,— = kaD - CL x C
 d dta wherein D is the total interferon-α content at the injection site in IU; C is the interferon- α concentration in serum in IU/mL; Vd is the apparent volume of distribution of interferon-α in mL; Q is the subcutaneous infusion rate of interferon-α in IU/hour; and CL is the clearance in mL/hr; and ka is the rate constant for interferon-α absorption per hour. In some embodiments of the invention, the correction factor used to address compartmental model under prediction of serum interferon-α that results from the continuous administration of interferon-α is between 1.5 and 2.5 (e.g. 1.5, 1.75, 2.0, 2.25 or 2.5). Illustrating this, a correction factor of 2 is appropriate for the embodiments of the invention shown in the Example below (e.g. using a bolus of interferon-a).
 In certain embodiments of these methods of administering interferon-α to a patient suffering from a Hepatitis C infection, the controller is programmed so that the continuous infusion pump administers interferon-α at a dose and for a period of time selected to maintain a plasma interferon-α concentration above a set-point for the period of time. In one illustrative example of this, the controlled is programmed so that the patient-specific therapeutic regimen is sufficient to maintain circulating levels of the interferon-α in the patient above a mean steady state concentration of at least 100, 200, 300, 400, 500, 600 or 700 pg/mL. Optionally, the patient-specific therapeutic regimen  further comprises administering a nucleoside analog that interferes with Hepatitis C viral replication.
 A related embodiment of the invention is a system for administering interferon to a patient having a hepatitis C infection, the system comprising a continuous infusion pump having a medication reservoir comprising interferon-a; a processor operably connected to the continuous infusion pump and comprising a set of instructions that causes the continuous infusion pump to administer the interferon-α to the patient according to a patient-specific therapeutic regimen made by administering a bolus of exogenous interferon-α to the patient; observing concentrations of exogenous interferon- a present in the serum of the patient that result from administering the bolus of exogenous interferon-α to the patient so as to obtain information on how concentrations of exogenous interferon-α present in the serum change over a period of time; using information on how concentrations of exogenous interferon-α present in the serum change over the period of time to estimate a rate of exogenous interferon-α clearance in the patient; using the estimate of the rate of exogenous interferon-α clearance in the patient to predict concentrations of exogenous interferon-α in the serum of the patient that will result from administering exogenous interferon-α to the patient via the continuous administration regimen; and then using the predicted concentrations of exogenous interferon-α in the serum of the patient that will result from administering exogenous interferon-α to the patient via the continuous administration regimen to make a patient-specific therapeutic regimen. Typically in this system, the continuous infusion pump has dimensions smaller than 15 x 15 centimeters and is operably coupled to an interface that facilitates the patient's movements while using the continuous infusion pump, wherein the interface comprises a clip, a strap, a clamp or a tape.
 As noted above, illustrative embodiments of the invention include methods of using a patient-specific regimen responsiveness profile obtained from a patient infected with hepatitis C virus (HCV) to design a patient-specific therapeutic regimen. As used herein, a "patient- specific regimen responsiveness profile" simply means an individual's unique response to a specific therapeutic regimen (e.g. a specific dose of interferon-a)  and a "patient- specific therapeutic regimen" simply means a therapeutic regimen designed in accordance with a patient's unique physiological characteristics (e.g. how quickly their body is able to clear a specific dose of interferon-a). In illustrative embodiments of the invention, the method comprises administering at least one therapeutic agent to the patient following a first therapeutic regimen and then obtaining pharmacokinetic or pharmacodynamic parameters from the patient in order to observe a patient-specific response to the first therapeutic regimen. Typically, pharmacokinetic or pharmacodynamic parameters observed comprise a concentration of the therapeutic agent in the blood of the patient that results from the first therapeutic regimen. In this embodiment of the invention, practitioners can then use the pharmacokinetic or pharmacodynamic parameters observed in the patient in response to the first therapeutic regimen to obtain a patient-specific regimen responsiveness profile. This patient- specific regimen responsiveness profile is based upon an HCV infected patient's individualized physiology and necessarily takes into account patient specific factors that can influence a patients' response to treatment such as the patient's genetic profile (e.g. the presence or absence of a SNP disclosed herein), the HCV genotype(s) infecting the patient, and/ or a patient's weight, treatment history, health status (e.g. if they suffer from diabetes), individual rate of exogenous interferon-a clearance, and the like. This patient-specific regimen responsiveness profile is then used to design a patient-specific therapeutic regimen.
 Another related embodiment of the invention is a system for administering interferon to a patient having a hepatitis C infection, the system comprising: a continuous infusion pump having a medication reservoir comprising interferon-α; and a processor operably connected to the continuous infusion pump that comprises a set of instructions that causes the continuous infusion pump to administer the interferon-α to the patient according to a patient-specific therapeutic regimen made by administering interferon-a to the patient following a first therapeutic regimen; obtaining pharmacokinetic or pharmacodynamic parameters from the patient so as to observe a patient- specific response to the first therapeutic regimen wherein the pharmacokinetic or  pharmacodynamic parameters comprise a concentration of interferon-a in the blood of the patient that results from the first therapeutic regimen; using the pharmacokinetic or pharmacodynamic parameters observed in the patient in response to the first therapeutic regimen to obtain a patient-specific regimen responsiveness profile; and then using the patient-specific regimen responsiveness profile to make the patient-specific therapeutic regimen. In certain embodiments of this system, the continuous infusion pump has dimensions smaller than 15 x 15 centimeters; and/or is operably coupled to an interface that facilitates the patient's movements while using the continuous infusion pump, wherein the interface comprises a clip, a strap, a clamp or a tape. In certain embodiment of this system the interferon-a delivered by this continuous infusion pump is not conjugated to a polyol.
 Illustrative non-pegylated and pegylated interferons for use in embodiments of the invention (e.g. in a bolus) include interferon a-2b (e.g. Intron A) (which is not pegylated) and pegylated interferon a-2b (e.g. Peglntron). Embodiments of the invention can include bolus doses of a nonpegylated interferon-α such as Intron A, for example those that range from about 1-15 million IU (e.g. 1, 2, 3, 4, 5, 6, 7, 8, 9, 10, 11, 12, 13, 14 or 15 million IU). Embodiments of the invention can include weight based bolus doses of a nonpegylated interferon-α such as Intron A, for example those that range from about 50,000 IU/kg - 200,000 IU/kg (e.g. 80,000 IU/kg, 120,000 IU/kg or 160,000 IU/kg). Continuous SC delivery of a nonpegylated interferon-α such as Intron A can be achieved via the Medtronic MiniMed Paradigm infusion system for 24, 26, 48 60, 72 etc. weeks of HCV therapy. Doses of interferon-α used in such continuous delivery schemes can be weight based, for example the continuous delivery of 80,000 IU/kg/day, 120,000 IU/kg/day, 160,000 IU/kg/day etc. of Intron A. Alternatively patients can receive a defined amount, for example 3, 6, 9, or 12 million IU/day. Typically, patients will also receive 1000-1600 mg/day oral ribavirin by mouth daily based upon weight (e.g. 1000 mg/day if weight≤75 kg; 1200 mg/day if weight >75 kg etc.). Individuals in such studies can include those infected with various HCV genotypes and  having various treatment histories, for example patients with HCV genotype 1 infection who have had no previous interferon treatment.
 Embodiments of the invention involve the continuous subcutaneous administration of interferon-a in order to maintain in vivo concentrations of this therapeutic agent above a critical efficacy threshold in vivo for a sustained period of time. For example, illustrative embodiments of the invention involve the continuous subcutaneous administration of interferon-a in order to maintain in vivo concentrations of this therapeutic agent above at least 100-700 pg/mL (e.g. 300 pg/mL) for at least 1 to at least 48 weeks (a 48-week course of therapy is conventionally recommended for patients infected with HCV genotype 1). By the term "at least 100-700 pg/mL" of interferon-α it is understood that values such as at least 100, 125, 150, 175, 200, 225, 250, 275, 300, 325, 350, 375, 400, 425, 450, 475, 500, 525, 550, 575, 600, 625, 650, 675 or 700 pg/mL can be used to create any specific range of values.
 In typical embodiments of the invention, the interferon-α concentrations (e.g. 100-700 pg/mL) refer to non-pegylated embodiments of interferon-α 2a or interferon-a 2b (e.g. INTRON®A made by the Schering Corporation). Alternatively, the interferon-a can be pegylated. For embodiments of the invention that comprise pegylated interferon- a, equivalent concentrations can be calculated using art accepted methodologies, for example by calculating the ratio of specific activities and/or molecular weights of: 1) non-pegylated interferon-α such as INTRON®A and 2) pegylated interferon-α such as Peglntron® and then using correlations from such analysis to determine appropriate concentrations of, for example, a pegylated interferon-a.
 In addition to factors such as the serum concentration of interferon-α that results from a dose of interferon-α administered as a bolus, embodiments of the invention consider additional factors such as a patient's genetic profile and/or physiology (e.g. Body Mass Index). Illustrating this, a number of genetic polymorphisms near the IL28B gene on chromosome 19 are observed to provide information on HCV infected individuals' response to therapeutic regimens comprising interferon-α and ribavirin (see, e.g. Ge et al., Nature 2009, 461(7262):399-401; Tanaka et al., Nat Genet. 2009  Oct;41(10):l 105-9; Thomas et al., Nature 2009, 461(7265):798-801; Rauch et al., Gastroenterology 2010 Apr;138(4):1338-45; and McCarthy et al., Gastroenterology. 2010 Jun;138(7):2307-14, the contents of which are incorporated by reference herein). In particular, a number of different SNPs that are predictive of factors associated with HCV infection including treatment induced viral clearance and the speed of a patients response to interferon-a have been identified (see, e.g. Ge et al., Nature 2009, 461 (7262):399-401; Tanaka et al., Nat Genet. 2009 41 (10):1105-9; Thomas et al., Nature 2009, 461(7265):798-801; Rauch et al., Gastroenterology 2010 138(4):1338-45; and McCarthy et al., Gastroenterology. 2010 138(7):2307-14, the contents of which are incorporated by reference herein). In this context, databases such as the Entrez Global Query Cross- Database Search System provide search engines that allow users to search databases at the National Center for Biotechnology Information (NCBI) website. Those of skill in this are aware, for example, that the Entrez SNP database provides a library of single nucleotide polymorphisms such as those disclosed in Ge et al., Nature. 2009; 461(7262): 399-401. In this database, the sequences of various polymorphism are cataloged with a SNP designation (e.g. rsl2979860). Illustrative SNPs are shown in Table 9.
 The presence or absence of specific polymorphic variants of the IL28B gene can be used to assess the likelihood of HCV viral clearance following a therapeutic regimen comprising a tailored dose of interferon-α and ribavirin as well as to predict the speed of the response to these therapeutic agents. Certain methods of the invention comprise the steps of determining a polynucleotide sequence of a region within 17 kilobases of the IL28B gene on chromosome 19 in the patient (e.g. See the NCBI Single Nucleotide Polymorphisms database (http: / / www.ncbi.nlm.nih.gov/ projects /SNP/) for rsl2979860, rsl2980275, rs8099917, rsl2972991, rs8109886, rs4803223, rsl2980602, rs8105790, rsl 1881222, rs8103142, rs28416813, rs4803219, rs8099917 or rs7248668); and then administering interferon-α to a patient infected with hepatitis C virus by a method comprising administering interferon-α (e.g. interferon-a not conjugated to a polyol) to the patient subcutaneously using a continuous infusion apparatus, wherein the interferon-α is administered to the patient using a therapeutic regimen sufficient to  maintain circulating levels of the interferon-a in the serum of the patient above a steady state concentration (e.g. at least 100, 125, 150, 175, 200, 225, 250, 275, 300, 325, 350, 375, 400, 425, 450, 475, 500, 525, 550, 575, 600, 625, 650, 675 or 700 pg/mL). TypicaUy, this therapeutic regimen is sufficient to maintain circulating levels of the interferon-a in the serum of the patient above a steady state concentration for at least 1 week to at least 48 weeks. In certain embodiments of the invention, information on the SNP genotype is used in methods of determining the duration of interferon-α administration (e.g. more than 48 weeks, less than 48 weeks etc.). In certain embodiments of the invention, information on the SNP genotype is used in methods of determining the dose of interferon-α to be administered to the patient. In other embodiments of the invention, information on the SNP genotype is used in methods of determining a target steady state concentration of interferon-α to be maintained in a patient's serum. In one illustrative embodiment of the invention, the SNP is rsl2979860 and the method comprises determining if the patient comprises a CC genotype, a TT genotype or a CT genotype. Optionally, the methods are performed on a plurality of patients infected with hepatitis C virus; and the genotype information obtained from the patients is used to stratify patients into different treatment groups (e.g. groups having different IFN dose or regimen duration parameters).
 A variety of well known methods for the detection of known SNPs are known in the art. Common SNP analysis methods include hybridization-based approaches (see, e.g., J. G. Hacia, Nature Genet, 1999, 21: 42-47), allele- specific polymerase chain reaction (R. K. Saiki et al., Proc. Natl. Acad. Sci. USA, 1989, 86: 6230-6234; W. M. Howell et al., Nature Biotechnol., 1999, 17: 87-88), primer extension (see, e.g., A. C. Syvanen et al., Genomics, 1990, 8: 684-692), oligonucleotide ligation (see, e.g., U. Landegren et al., Science, 1988, 24: 1077-1080) and enzyme-based methods such as restriction fragment length polymorphism and flap endonuclease digestion (see, e.g., V. Lyamichev et al., Nature Biotechnol., 1999, 17: 292-296). One common analysis method includes an initial target amplification step using polymerase chain reaction (PCR) in order to generate a PCR product (see, e.g. R. K. Saiki et al., Science, 1988), followed by  an analysis of this product, typically one that includes nucleic acid hybridization to or sequencing of the PCR product. In one such embodiment analysis to determine a person's SNP genotype can be performed for example by real-time polymerase chain reaction (RT-PCR); using Taqman custom designed SNP specific probes (Applied Biosystems) on an ABI HT-7900 instrument using commercially available reagents from Applied Biosystems.
 Embodiments of the invention include systems for administering interferon-α to a patient having a hepatitis C infection. In such embodiments of the invention, the system can comprise for example: a continuous infusion pump having a medication reservoir comprising interferon-α; a processor operably connected to the continuous infusion pump and comprising a set of instructions that causes the continuous infusion pump to administer the interferon-α to the patient according to a therapeutic regimen comprising administering interferon-α to the patient subcutaneously; wherein the therapeutic regimen is sufficient to maintain circulating levels of interferon-a in the serum of the patient above a steady state concentration of at least 100-700 pg/ mL for at least 1 week to at least 48 weeks. By the term "at least 1 to at least 48 weeks" it is understood that in some instances the therapeutic regimen is administered for a duration of at least 7, 14, 21 or 28 days, while time periods of at least 5, 6, 7, 8, 9, 10, 12, 14, 16, 18, 20, 24, 28, 32, 36, 40, 44, 48, 52, 54, 58, 62, 66, 70, 72 or more weeks can also be selected. In some embodiments of the invention, the therapeutic regimen is administered for a duration of at least 6, 8 or 10 weeks to at least 48 weeks. In other embodiments of the invention, the therapeutic regimen is administered for a duration of at least 6 weeks to at least 32, 36, 40 or 44 weeks. In other embodiments of the invention, the therapeutic regimen is administered for a duration of at least 6 weeks to at least 52, 54, 58, 62, 66, 70, 72 or more weeks.
 Embodiments of the invention disclosed herein can be performed for example, using one of the many computer systems known in the art (e.g. those associated with medication infusion pumps). FIG. 12A illustrates an exemplary generalized computer system 202 that can be used to implement elements the present invention, including the  user computer 102, servers 112, 122, and 142 and the databases 114, 124, and 144. The computer 202 typically comprises a general purpose hardware processor 204A and/or a special purpose hardware processor 204B (hereinafter alternatively collectively referred to as processor 204) and a memory 206, such as random access memory (RAM). The computer 202 may be coupled to other devices, including input/ output (Ί/ O) devices such as a keyboard 214, a mouse device 216 and a printer 228.
 In one embodiment, the computer 202 operates by the general purpose processor 204A performing instructions defined by the computer program 210 under control of an operating system 208. The computer program 210 and/ or the operating system 208 may be stored in the memory 206 and may interface with the user 132 and/ or other devices to accept input and commands and, based on such input and commands and the instructions defined by the computer program 210 and operating system 208 to provide output and results. Output/ results may be presented on the display 222 or provided to another device for presentation or further processing or action. In one embodiment, the display 222 comprises a liquid crystal display (LCD) having a plurality of separately addressable liquid crystals. Each liquid crystal of the display 222 changes to an opaque or translucent state to form a part of the image on the display in response to the data or information generated by the processor 204 from the application of the instructions of the computer program 210 and/or operating system 208 to the input and commands. The image may be provided through a graphical user interface (GUI) module 218A. Although the GUI module 218A is depicted as a separate module, the instructions performing the GUI functions can be resident or distributed in the operating system 208, the computer program 210, or implemented with special purpose memory and processors.
 Some or all of the operations performed by the computer 202 according to the computer program 110 instructions may be implemented in a special purpose processor 204B. In this embodiment, the some or all of the computer program 210 instructions may be implemented via firmware instructions stored in a read only memory (ROM), a programmable read only memory (PROM) or flash memory in within the special purpose processor 204B or in memory 206. The special purpose processor 204B may also be  hardwired through circuit design to perform some or all of the operations to implement the present invention. Further, the special purpose processor 204B may be a hybrid processor, which includes dedicated circuitry for performing a subset of functions, and other circuits for performing more general functions such as responding to computer program instructions. In one embodiment, the special purpose processor is an application specific integrated circuit (ASIC).
 The computer 202 may also implement a compiler 212 which allows an application program 210 written in a programming language such as COBOL, C++, FORTRAN, or other language to be translated into processor 204 readable code. After completion, the application or computer program 210 accesses and manipulates data accepted from 1/ O devices and stored in the memory 206 of the computer 202 using the relationships and logic that was generated using the compiler 212. The computer 202 also optionally comprises an external communication device such as a modem, satellite link, Ethernet card, or other device for accepting input from and providing output to other computers.
 In one embodiment, instructions implementing the operating system 208, the computer program 210, and the compiler 212 are tangibly embodied in a computer- readable medium, e.g., data storage device 220, which could include one or more fixed or removable data storage devices, such as a zip drive, floppy disc drive 224, hard drive, CD-ROM drive, tape drive, etc. Further, the operating system 208 and the computer program 210 are comprised of computer program instructions which, when accessed, read and executed by the computer 202, causes the computer 202 to perform the steps necessary to implement and/or use the present invention or to load the program of instructions into a memory, thus creating a special purpose data structure causing the computer to operate as a specially programmed computer executing the method steps described herein. Computer program 210 and/or operating instructions may also be tangibly embodied in memory 206 and/or data communications devices 230, thereby making a computer program product or article of manufacture according to the invention. As such, the terms "article of manufacture," "program storage device" and  "computer program product" as used herein are intended to encompass a computer program accessible from any computer readable device or media.
 Of course, those skilled in the art will recognize that any combination of the above components, or any number of different components, peripherals, and other devices, may be used with the computer 202. Although the term "user computer" is referred to herein, it is understood that a user computer 102 may include portable devices such as medication infusion pumps, analyte sensing apparatuses, cellphones, notebook computers, pocket computers, or any other device with suitable processing, communication, and input/ output capability.
 Fig. 12B presents a specific illustrative embodiment system 10 for performing methods disclosed herein. The interferon-a may be administered at a dosing rate Q(t) 12 from an infusion device 11 including, but not limited to, a pump, a depot, an infusion bag, or the like. Once the therapy is commenced, the interferon-a serum concentration 14, represented as C(t), may be determined by sampling a patient's blood by assay or sensor 16, and communicated to a controller 18, as represented by a concentration feedback loop 20. In addition to or instead of loop 20, the system 10 may also include a viral load feedback loop 22. According to the loop 22, patient's viral load 24, represented as V(t), may be determined by sampling patient's blood by assay or sensor 26 and may be communicated to the controller 18. Based on C(t), V(t) or both, controller 18 may calculate the dosing rate 12, which may then be adjusted if necessary either automatically by the controller or manually by an individual administering the therapy. In addition, patient-specific pK parameters 13 and pD parameters 15 may be determined from this data. Although the controller 18 may be a conventional process controller such as a PID controller, one can also utilize an adaptive model predictive process controller or model reference adaptive control. In general, a model predictive controller may be programmed with mathematical models of a "process" to predict "process" response to proposed changes in the inputs. These predictions are then used to calculate appropriate control actions. In response to control actions, the model predictions are continuously updated with measured information from the "process" to provide a  feedback mechanism for the controller. In addition, the mathematical models may be continuously optimized to match the performance of the "process."
 In the system shown in Fig. 12B, the controller 18 may be programmed with patient-specific pK or pD parameters, population or subpopulation averages, or a combination thereof together with pharmacokinetic and pharmacodynamic models to calculate the dosing rate necessary to achieve desired clinical outcome. During the therapy, the controller continuously processes the data received from the feedback loops to optimize the dosing rate based on a patient's response to the therapy. In some embodiments, the controller 18 may also manipulate the pharmacokinetic and pharmacodynamic parameters, as well as the mathematical models based on concentration and viral load data to adopt or customize the models for individual patients and specific conditions.
 In Fig. 12B, the controller 18 may use patient-specific pharmacokinetic or pharmacodynamic parameters, population or subpopulation averages, or combination thereof together with pharmacokinetic, pharmacodynamic, or viral kinetic models to calculate the dosing rate for desired efficacy based on C(t), V(t) or both. In Fig. 12B, pK refers to the physical pharmacokinetic system of a real patient. On the other hand, the parameter pK' 19 refers to the pharmacokinetic model and parameter values used by the controller to describe pK, and which may be drawn from the real patient, population, or subpopulation averages. Similar notation is used for pD, C, V and Q.
 In an embodiment of a system 10 having the loop 22 only, a given patient is assumed to have a set of individual pharmacokinetic parameters, represented as pK, and thus actual efficacy may be represented as a function of concentration, which is a function of the dosing rate Q(t). The controller 18 may use pharmacokinetic and pharmacodynamic models to calculate the suitable dosing rate for desired efficacy based on the concentration or other physiological characteristic data. Such models are known and are disclosed in, for example, Bonate, P.L. (2006). Pharmacokinetic- Pharmacodynamic Modeling and Simulation. New York, Springer Science&Business Media; Andrew H Talal, et al. (2006). "Pharmacodynamics of PEG-IFN a Differentiate HIV/HCV Coinfected Sustained Virological Responders from Nonresponders."  Hepatology 43(5): 943-953' Gabriels son, J. and D. Weiner (2000). Pharmacokinetic and Pharmacodynamic Data Analysis: Concepts and Applications. Stockholm, Swedish Pharmaceutical Press.
 As noted above, embodiments of the invention are designed to maintain circulating levels of interferon-a in the serum of the patient above a target steady state concentration (e.g. at least 100-700 pg/mL) so as to increase the efficacy of this polypeptide. The term "steady state" is used herein to describe situations in which a variable (e.g. the concentration of circulating interferon-α that results from a therapeutic regimen) remains above a set threshold and/ or essentially constant in spite of ongoing processes that strive to change them (e.g. in vivo clearance of exogenous interferon-α by the liver and kidneys). In the context of therapeutic regimens, a steady state is typically reached when the rate of elimination approximates the rate of administration. In this context, the term "above a steady state concentration of at least 100 pg/mL" is used to encompass situations where the patient may exhibit fluctuating interferon-α levels during the course of a therapeutic regimen but these fluctuations in vivo do not drop mean or median circulating levels of interferon-α below a targeted threshold (e.g. at least 100 pg/mL). A related embodiment of the invention is a method of administering an interferon-α to a patient infected with hepatitis C virus, the method comprising administering interferon-α to the patient subcutaneously using a continuous infusion apparatus, wherein the therapeutic regimen is sufficient to maintain circulating levels of interferon-α in the serum of the patient above a target concentration (e.g. 100-700 pg/mL). Such embodiments of the invention can be used, for example, to administer interferon-α for a period of at least 1 week to at least 48 weeks.
 Some embodiments of the invention include methods for obtaining patient- specific regimen responsiveness profiles based upon individualized patient factors such as infection parameters (e.g. hepatitis C viral load) and therapeutic agent responsiveness parameters (e.g. in vivo concentrations of interferon-α that result from its administration to the patient) and then using the regimen responsiveness profiles to design optimized therapeutic regimens for patients suffering from pathological conditions (e.g. Hepatitis C  infections). In particular embodiments, such methods comprise determining patient- specific pharmacokinetic (pK) and pharmacodynamic (pD) parameters (e.g. the concentration of circulating of interferon-a in vivo that results from a specific dose being administered to that patient) and then utilizing these parameters to design new therapeutic regimens. This is typically achieved by adjusting the dose of the therapeutic agent(s) used, or by adjusting the rate or duration of therapeutic agent administration in order to refine a therapeutic regimen and/or optimize the efficacy of a therapeutic regimen. In certain embodiments, the invention provides a computer implemented system for: (1) delivering interferon-α according to an initial dosing parameter (e.g. a 12 MIU bolus); and/or (2) constructing patient-specific regimen responsiveness profiles based upon a patient's response to the initial dosing parameters; and/or (3) delivering therapeutic agent(s) using optimized therapeutic regimens designed in response to such profiles (e.g. regimens that comprise variations of initial dosing parameters).
 Embodiments of the invention can also examine for example, levels of beta-2- microglobulin, levels of neopterin, levels of 2',5' oligo-adenylate synthetase in a patient as well as the other markers disclosed herein and/or known in the art. For example, embodiments of the invention can also examine, a level of alanine transaminase or aspartate transaminase in plasma of the patient; a genotype or quasispecies of the hepatitis C virus; a patient's prior medical treatment history; and/ or a presence or degree of a side effect that results from the first therapeutic regimen. In an illustrative embodiment where the therapeutic agent comprises interferon-α, one can also observe a presence or degree of a depression, a neutropenia, a thrombocytopenia, as well as one or more systemic flu-like symptoms that results from its administration.
 Artisans have a variety of methodologies for measuring markers observed in embodiments of the invention. Methods and materials used in the measurement of neopterin are described for example in Fernandez et al., J Clin Gastroenterol. 2000 30(2):181-6). Methods and materials used in the measurement of 2',5' oligo-adenylate synthetase are described for example in Podevin et al., J Hepatol. 1997 (2):265-71). Methods and materials used in the measurement of beta-2-microglobulin are described  for example in Malaquarnera Eur J Gastroenterol Hepatol. 2000 Aug;12(8):937-9. Methods and materials used in the measurement of neutropenia and thrombocytopenia are described for example in Koskinas et al., Med Virol. 2009 Mar 24;81 (5):848-852. Methods and materials used in the measurement of neutropenia are described for example in Koskinas et al., Med Virol. 2009 Mar 24;81 (5):848-852. Methods and materials used in the measurement of alanine transaminase and/ or aspartate transaminase are described for example in Sterling et al., Dig Dis Sci. 2008 May;53(5):1375-82 Epub 2007. A number of illustrative methods for examining various PK/PD markers are discussed below.
1. PK/PD MARKER MEASUREMENTS
 The PK/PD markers identified herein can be assesses by a wide variety of methodologies known in the art, including the illustrative methods discussed below. INTERFERON-a
 In vivo samples (e.g. blood, serum, plasma, tissue etc.) may be assayed for interferon-a concentrations using a variety of different methods known and used in the art. One suitable example is an electrochemiluminescence-based assay and an ORIGEN analyzer (IGEN International, Inc. Gaithersburg, MD) as disclosed for example in Obenauer-Kutner et al., Journal of Immunological Methods, Volume 206, Issues 1-2, 7 August 1997, Pages 25-33. Other methods used in the art include those disclosed for example in Niewold et al., Genes Immun. 2007; 8:492-502; Pirisi et al., Digestive Diseases and Sciences, 42(4): 767-7771 (1997); Christeff et al., European Journal of Clinical Investigation. 32(l):43-50, January 2002; Sibbitt et al., Arthritis & Rheumatism, Volume 28 Issue 6, Pages 624 - 629, 2005; and Lam et al., Digestive Diseases and Sciences, 42(l):178-85 (1997). In addition, ELISA kits designed to provide quantitative assays of interferon-a concentrations in serum (e.g. 100-700 pg/mL) are commercially available from vendors, including for example the Human IFN-alpha Platinum ELISA CE available from Bender MedSystems (e.g. Product # BMS216CE) and The Human IFN alpha colorimetric ELISA Kit (Serum Samples) available from Thermo Scientific  Life Science Research Products (e.g. Product # 411101). Those of skill in the art understand that, information on the specific activity of an interferon-a (e.g. 2.6 x 108 IU/mg for INTRON® A), readily allows one to characterize an interferon-a in terms of both picograms and IU. In some embodiments of the invention, interferon-a concentrations in human serum samples can be quantified using a ligand-binding assay that can be developed and validated for the COPE-HCV Study using current regulatory standards for quantitative bioanalysis of proteins (see, e.g., Desil et al., Pharm Res 2003;20(l l):1885-900). 2', 5'- OLIGOADENYLATE SYNTHETASE
 2', 5'- oligoadenylate synthetase ("OAS") is a transcription product of an interferon-stimulated gene (see, e.g., Feld et al., Nature 2005;436(7053):967-72) and its levels are measured in serum samples as a secondary pharmacodynamic (PD) marker. OAS expression levels can be measured, for example, using a radioimmunoassay (RIA) kit commercially available from the Eiken Chemical Company (Japan).
NEOPTERIN
 Neopterin is a biosynthetic precursor of a factor secreted by stimulated macrophages (see, e.g., Quiroga et al., Dig Dis Sci 1994;39(ll):2485-96) and its levels can be measured in serum samples as a secondary PD marker. Neopterin levels can be measured using an EIA (enzyme immunoassay) kit available from B.R.A.H.M.S. (Germany) and distributed in the U.S. by ALPCO.
GLUCOSE
 Patients with both chronic HCV infection and altered glucose metabolism have less robust sustained virologic response (SVR) rates after interferon treatment than do patients with normal glucose metabolism (see, e.g., Romero-Gomez et al., J Hepatol 2008;48(5):721-7). To help quantify the relationship between glucose metabolism and viral kinetics, interstitial fluid glucose levels of PK/PD Substudy subjects can be  monitored during the first 72 hours of INTRON A therapy (inpatient hours 0-72) using the Medtronic iPRO™ Continuous Glucose Monitoring System (CGMS®). The CGMS glucose sensor is a tiny electrode inserted just under the skin of the abdomen. It measures glucose levels in the interstitial fluid (fluid between the body's cells). The sensor is connected to a recorder, which stores a glucose reading every 5 minutes. The sensor is calibrated using less frequent blood glucose measurements obtained from finger-stick samples and a blood glucose meter.
HCV RNA
 A primary measure of pharmacodynamic effect can be the HCV RNA level following INTRON A treatment. The pharmacodynamic assessment of the data will attempt to correlate serum interferon levels with viral decay rates (or viral kinetics) using pharmacodynamic models similar or identical to those published by Dr. Alan Perelson and colleagues (see, e.g., Dahari et al., Hepatology 2007a;46(l):16-21, Neumann A et al., Science 1998;282(5386):103-7, and Talal et al., Hepatology 2006;43(5):943-53).
 HCV RNA levels can be measured using assays based on RT-PCR such as the FDA-approved in vitro diagnostic test from Roche: the COBAS® AmpliPrep / COBAS® TaqMan® HCV Test ("CAP/CTM" assay). This assay has a lower limit of quantification (LLOQ) of 43 IU/ mL and an overall lower limit of detection (LLOD) of 18 IU/mL (ROCHE MOLECULAR SYSTEMS. COBAS® AmpUPrep / COBAS® TaqMan® HCV Test Package Insert. 2008).
 HCV RNA levels can be used to calculate the viral decay as function of time for all COPE-HCV study subjects, including those in the PEGINTRON arm. Viral decay is Viral decay, defined as change from baseline in loglO HCV RNA, can be analyzed using a repeated measures model accounting for the following factors: age, gender, race (African American/Hispanic or not), BMI, baseline viral load, and treatment and by Equation 1.
VDt = logw(V0) -logl0(Vt) [1]  Here Vt is the viral load |1UHCV/ mL] at time /, V0 is the viral load [IUHCV/ mL] at pre- dose Baseline, and VDf is the viral decay [dimensionless]. 2. PK/PD SUBSTUDY ANALYSES
Baseline Characteristics
 Baseline characteristics of PK/PD subjects can be reported in the form of descriptive summary statistics, grouped by dosing arm, following the procedures described herein. The following baseline characteristics can be reported: sex, race, age, weight, baseline HCV RNA level (log10 IU/mL), hepatitis C genotype (subtype la, lb, or not identified), IL-28B genotype (e.g. SNP rsl2979860 C/C, C/T, T/T, or NA [not available]). Baseline characteristics can be compared between treatment groups using Fisher's exact test (for categorical variables) and ANOVA or Kruskal-Wallis tests (for continuous variables).
 In these analyses, software such as the Phoenix™ WinNonlin® PK/PD Software, Version 6.x (Pharsight®, Cary, NC), can be used to perform all calculations whenever feasible. Phoenix™ WinNonlin and WinNonMix is specifically designed for the statistical analysis and mathematical modeling of pharmacokinetic (PK) /pharmacodynamic data. MATLAB® (The MathWorks, Inc.; Natick, MA), Excel® (Microsoft®), R (Copyright © The R Foundation for Statistical Computing), SAS® (SAS Institute; Cary, NC) or other software packages may also be used.
Ability of Bolus PK to Predict Continuous PK
 The purpose of the single 12 MIU SC bolus injection of INTRON A at the beginning of the first 24-hour period in the inpatient facility is to determine each subject's individual PK parameters, including average concentration, Tma„ Cma„ serum half-lives, clearance rates, and volume of distribution of serum interferon during the first 24 hours. The data collected over the 24— 72 -hour period during the continuous INTRON A treatment phase of the PK/PD substudy along with the data collected through study Week 2 can be used to confirm that relatively stable serum interferon  levels can be obtained using a subcutaneous continuous infusion system, and that serum IFN levels can be predicted by knowing individual PK parameters and the infusion rate of INTRON A |1U/ day] .
 FIG. 1 provides an illustration of the PK/PD substudy sampling times compared with serum interferon (IFN) concentrations predicted by a pharmacokinetic model. Serum IFN concentrations were calculated using a single-compartment pharmacokinetic model and parameters for INTRON A taken from the literature (see, e.g., INTRON A. (Interferon-alfa-2b, recombinant) for Injection Product Insert. Schering-Plough; 2008, Zeuzem et al., Pharmacokinetics of Peginterferons. SEMINARS IN LIVER DISEASE 2003:023, Glue et al., Clin Pharmacol Ther 2000b;68(5):556-67, Radwanski et al., J Clin Pharmacol 1987;27(5):432-5, Rostaing et al., J Am Soc Nephrol 1998;9(12):2344-8 and Tsubota et al., Br J Clin Pharmacol 2003;55(4):360-7). Table 4 summarizes the ranges of selected PK parameters reported in the literature for INTRON A and PEGINTRON. Estimation of Individual PK Parameters from INTRON A Bolus
 The individual PK parameters for each PK/PD Substudy subject can be estimated using IFN serum concentration vs. actual inpatient time data from samples drawn at Baseline and the 24-hour nominal time period following the INTRON A bolus, prior to the initiation of continuous INTRON A. Per the COPE-HCV Study protocol, this data is to be drawn at Baseline and at inpatient hours: 2, 4, 8, 12, 16 and 24. Initial estimates for the clearance (CL) and apparent volume of distribution (V) can be obtained using Non-Compartmental Analysis (NCA). These initial parameter estimates can be used for the final estimation of individual PK parameters using Compartmental Modeling (CM).
Initial Estimates from Non-Compartmental Analysis
 The Phoenix™ NCA operational object (see, e.g., Pharsight Chapter 10: Noncompartmental Analysis. User's Guide: Phoenix™ WinNonlin(R) 6.1. 2009a. p 251- 302) can be used to provide initial estimates for the clearance (CL*) and the apparent volume of distribution (V ). Generating initial estimates for these two parameters by  NCA will require that initial estimates for two additional parameters are also generated: area-under-the-curve ( A UCbolus ) and the terminal slope (ke ). Table 5 summarizes the initial parameter estimates that can be generated via NCA.
 Area-under-the-curve can be estimated using the Plasma model with the linear Trapezoidal Linear Interpolation method. The same integration method can be used for all subjects. The terminal slope (k of each log- trans formed data set can be estimated using the "best fit" option in the NCA operational object, which requires at least 3 points and will not include C^°ax · Figure 3 provides an illustrative example of what these fits may look like. Initial estimates for the clearance (CL*) and the apparent volume of distribution (V ) for each subject can be calculated from A UCbolus and f using
CL
 [3]
Here D0 is the dose of the subcutaneous INTRON A bolus (12 x 106 IU). Median values for CL and Vd can be calculated using all available estimates for individual subjects. These median values for CL and Vd can be used as the initial estimates for subjects for which individual estimates are not available (i.e. the "best fit" option in the NCA operational object is not able to estimate k .
Compartmental Modeling
 Compartmental Modeling can be used to provide the final estimates of the individual PK parameters for the IFN levels that result from the 12 MIU INTRON A bolus (Baseline and at inpatient hours: 2, 4, 8, 12, 16 and 24). The a priori plan is to perform this analysis using the standard 1 -compartment PK model for subcutaneous drug  administration with first-order rates of absorption and elimination (see, e.g., Shargel et al., Applied Biopharmaceutics and pharmacokinetics. Norwalk, Connecticut: Appleton & Lange; 1992). This model is illustrated by Figure 4 and defined by Equations 4 and 5.
Here D is the total IFN content at the depot (i.e. the injection site) |1U], C is the IFN concentration in serum [IU/mL], V
d \s> the apparent volume of distribution of IFN [mL], Q is the subcutaneous infusion rate of INTRON A [IU/mL], CL is the clearance [mL/hr] and k
a is the rate constant for IFN absorption [hr
4]. The bio availability parameter, F, is lumped into CL and V
d because it cannot be estimated from the COPE- HCV study data. The elimination-rate constant, k„ does not appear in Equations 4 and 5, but can be readily calculated as a secondary parameter using Equation 6.
The Phoenix™ Model object can be used to estimate the PK model parameters CL, Vd, and ka for each subject through non-linear regression, using the "Clearance Parameterization" option setting. The PK parameter estimates obtained in this fashion are denoted herein with a prime symbol: " ' ". Figure 5 provides an illustrative example of what these fits may look like. Initial parameter estimates for V and CL' can be derived from the NCA results. The initial estimate for ka can be 0.2 hr"1, which is derived from a literature survey of published PK parameters for INTRON A (see Table 4).  Table 6 summarizes the primary (CL', V , k ) and secondary individual PK parameters (e.g. k ') that can be estimated and reported for the response to the 12 MIU INTRON A bolus.
 Characterization of Observed IFN Levels Resulting from Continuous INTRON A
 The Phoenix™ NCA object can be used to characterize the IFN levels that are observed during the 2 weeks following the initiation of continuous INTRON A therapy. This analysis will calculate the values of several parameters, including those listed in Table 7.
Area Under the Curve
 The serum interferon AUC for each subject can be calculated over 0 hour -14 day nominal study time interval. The Linear Trapezoidal linear Interpolation method can be used to calculate these AUC parameters. Figure 6 provides a graphical representation of how these calculations can be performed, neglecting errors in sampling and the IFN assay. IFN concentration vs. nominal study time data can be used to calculate AUC without interpolation. The AUC value will reported as "missing" for a given subject and time interval if either of the following criteria are met: 1) one or both of the integration time interval concentration measurements are missing, or 2) there are less than 3 measured concentrations within the integration time interval (including end-points).
Average Observed Concentration average observed concentration over a time interval can be calculated
using Equation 7.
 Here t and t
2 are the beginning and the end of the integration time interval, respectively [hr] . illustrative time intervals and AUC calculation methods that can be employed for this analysis are described herein.
Maximum Observed Concentration
 The maximum observed concentration over a time interval ^[max ];2 can be determined using the NCA operational object. Illustrative time intervals that can be employed for this analysis are described herein.
Percent Fluctuation
 The percent fluctuation (PF^ ), as defined by Equation 8, can be calculated for the 24 hour-14 day nominal study time interval.
Here C°^ J and C° .^ J are the maximum and minimum observed IFN concentrations over the time interval from tx to t2. Methods that can be used for calculating the ^ ^ J parameter values are described herein. IFN concentration vs. nominal study time data can be used to calculate PF2Ah (and y Cc°„nt J24¾ ), without interpolation.  Minimum Observed Concentration
 The minimum observed concentration over a time interval can be
determined using the NCA operational object.
3. Prediction of Individual IFN Levels Resulting from Continuous INTRON
A
 Compartmental Modeling
 The PK parameters estimated from the response to the INTRON A bolus can be used along with individual dosing information and the Compartmental Model to predict the IFN concentration vs. time profile
 that is expected to result from continuous INTRON A infusion. The 12 MIU bolus administered at -24 Study hours may also be modeled to account for a short wash-out period. The Phoenix™ Model object can be used to calculate predicted IFN concentration vs. time profiles. Figure 2 provides an illustration of what these IFN concentration profiles may look like. Table 8 summarizes the parameters that can be used to describe the IFN concentrations that are predicted to result from continuous INTRON A Infusion.
 The steady-state analytical solution for the compartmental PK model with continuous drug infusion is provided as Equation 10, where C'ss is the steady state IFN concentration.
 c ss Q [10]
 cv
The Phoenix NCA object can be used to calculate the AUC of the predicted response to continuous INTRON A for each subject 0 hour-14 day nominal study time interval. The calculation of these AUC parameters is analogous to that presented by Figure 6. These A UC parameters can be converted to average concentrations using Equation 11.
Comparison of Predicted vs. Observed IFN Levels from Continuous INTRON A
 The IFN concentrations predicted for each subject can be compared to the observed IFN concentrations that result from the first two weeks of continuous INTRON A therapy. As illustrated in Figure 7, the Compartmental Model can be used to predict the transient as well as the steady-state IFN concentrations that result from continuous INTRON A [C'(t)]. An illustrative comparison of IFN concentrations predicted by the compartmental model with contrived "observed" data is provided by Figure 8.
 Weighted residuals for each subject's predicted vs. observed IFN concentration profile can be calculated, as described by Equation 12, and plotted vs. time for exploratory purposes.
C'(t) - Cobs (t)
 w(t) [12]
 Cobs (t)
The ability of the PK model and individual PK parameters to predict the average serum IFN concentration during continuous INTRON A therapy over a specified time interval can be quantified by calculating the percent relative error, as described by Equation 13.
 Here REc |
f ^
s t^
ie P
ercent relative error of the average IFN concentration predicted over the time interval t
x to t
z. The parameters ^ ^]
2 and ^
0Bi ^|
2 , can be calculated as described above.
 An accumulation ratio (R¾°^) of the observed serum IFN relative to the level predicted by the Compartment Model, individual PK parameters from the bolus response and individual dosing information can be calculated as shown in the Example below.
EXAMPLES
EXAMPLE 1: ILLUSTRATIVE METHODS USING INTERFERON-oc BOLUS PK TO PREDICT INTERFERON-oc CONTINUOUS PK As described herein, a single 12 MIU SC bolus injection of INTRON A at the beginning of the first 24-hour period in the inpatient facility is useful to determine each PK/PD Substudy subject's individual pharmacokinetic (PK) parameters, including average concentration, Tma„ Cmax, serum half-live, clearance rate, and volume of distribution of serum interferon during the first 24 hours.
 The data collected over the 24— 72 -hour period during the continuous INTRON
A treatment phase of the PK/PD substudy along with the data collected through study Week 2 can be used to confirm that relatively stable serum interferon levels can be obtained using a subcutaneous continuous infusion system, and that serum IFN levels can be predicted by knowing individual PK parameters and the infusion rate of INTRON A pu/day].
 Figure 2 provides an illustration of the PK/PD substudy sampling times compared with serum interferon (IFN) concentrations predicted by a pharmacokinetic model. Serum IFN concentrations were calculated using a single-compartment pharmacokinetic model and parameters for INTRON A known in the art. Table 4  summarizes the ranges of selected PK parameters reported in the literature for INTRON A and PEGINTRON.
 Several different time bases are used for describing the COPE-HCV PK/PD Substudy, as illustrated by Figure 1.
Estimation of Individual PK Parameters from INTRON A Bolus
Individual PK parameters for each PK/PD Substudy subject were estimated using IFN serum concentration vs. actual inpatient time data from samples drawn at Baseline and the 24-hour nominal time period following the INTRON A bolus, prior to the initiation of continuous INTRON A. This data was drawn at Baseline and at inpatient hours: 2, 4, 8, 12, 16 and 24.
 Initial estimates for the clearance (CL) and apparent volume of distribution (V) were obtained using Non-Compartmental Analysis (NCA). These initial parameter estimates were subsequently used for the final estimation of individual PK parameters using Compartmental Modeling (CM).
Initial Estimates from Non-Compartmental Anayl sis The Phoenix™ WinNonlin v6.1 NCA operational object (see, e.g. PHARSIGHT.
Chapter 10: Noncompartmental Analysis. User's Guide: Phoenix™ WinNonlin(R) 6.1. 2009a. p 251 -302) was used to provide initial estimates for the clearance (CL*) and the apparent volume of distribution (V ). Generating initial estimates for these two parameters by NCA required that initial estimates for two additional parameters also be generated: area-under-the-curve ( A UCbolus ) and the terminal slope ( ke ). Table 5 summarizes the initial parameter estimates that were generated via NCA.
 Area-under-the-curve was estimated using the Plasma model with the Linear Trapezoidal Linear Interpolation method. The same integration method was used for all subjects. The terminal slope (k of each log- trans formed data set was estimated using the "best fit" option in the NCA operational object. Initial estimates for the clearance  (CL*) and the apparent volume of distribution (V ) for each subject were calculated from A UCbolus and ke using Equations 1 and 2 (note that while many of the equations described in this Example are identical to those discussed earlier in the specification, the numbering of equations is specific for this Example).
CL' =D\ [1]
 ^ ucbolus v ~ [2]
 K
Here D0 is the dose of the subcutaneous INTRON A bolus (12 x 106 IU).
 Compartmental Modeling
 Compartmental Modeling was used to provide the final estimates of the individual
PK parameters for the IFN levels that result from the 12 MIU INTRON A bolus
(Baseline and at inpatient hours: 2, 4, 8, 12, 16 and 24). For this preliminary analysis of a limited number of subjects ( =3), the standard 1-compartment PK model for subcutaneous drug administration with first-order rates of absorption and elimination was employed (see, e.g. SHARGEL L, YU ABC. Applied Biopharmaceutics and pharmacokinetics. Norwalk, Connecticut: Appleton & Lange; 1992a). This model is illustrated by Figure 4 and defined by Equations 3 and 4.
^r = Q-KD [3]
 at
Vd ^ = kaD- CL x C [4]
 dt Here D is the total IFN content at the depot (i.e. the injection site) [IU], C is the IFN concentration in serum [IU/mL], Vj is the apparent volume of distribution of IFN [mL], Q is the subcutaneous infusion rate of INTRON A [IU/mL], CL is the clearance [mL/hr] and ka is the rate constant for IFN absorption [hr ]. The bio availability parameter, F, is lumped into CL and Vd because it cannot be estimated from the COPE-  HCV study data. The elimination-rate constant, ke, does not appear in Equations 3 and 4 but was readily calculated as a secondary parameter using Equation 5.
CL
 [5]
The Phoenix Model object was used to estimate the PK model parameters CL, Vd, and ka for each subject through non-linear regression, using the "Clearance Parameterization" and "Multiplicative Residual Error" option settings. The PK parameter estimates obtained in this fashion are denoted herein with a prime symbol: " ' ". Figure 5 provides an illustrative example of what these fits were predicted to look like using data from the literature. Initial parameter estimates for VJ and CL' were derived from the NCA results. The initial estimate for ka was 0.2 hr1, which was derived from a literature survey of published PK parameters for INTRON A (see Table 4). Table 6 summarizes the primary (CL', VJ, kj) and secondary individual PK parameters (e.g. k ') that were estimated for the response to the 12 MIU INTRON A bolus.
Characterization of Observed IFN Levels Resulting from Continuous INTRON A
The Phoenix™ NCA object was used to characterize the IFN levels that were observed during the 2 (nominal) weeks following the initiation of continuous INTRON A therapy. This analysis calculated the values of the exposure variables listed in Table 7. Area Under the Curve
 The serum interferon AUC for each subject was calculated over a time interval corresponding to the first 2 (nominal) weeks of continuous INTRON A therapy. The Linear Trapezoidal Linear Interpolation method was used to calculate these AUC parameters. Figure 6 provides a graphical representation of how these calculations were to be performed, neglecting errors in sampling and the IFN assay. IFN concentration vs.  actual study time data was used to calculate AUC. For each individual subject, the integration period began (¾) with the actual pump dosing time (or the actual time at which continuous INTRON A therapy was initiated) and ended (¾) with the actual time at which the Week 2 IFN blood sample was collected. For subjects that did not have a measured IFN concentration with an actual collection time = t , the first measured IFN concentration with an actual collection time > was used for the IFN concentration at
Average Observed Concentration average observed concentration over a time interval
using Equation 6.
Here t and t2 are the beginning and the end of the integration time interval, respectively [hr]. Time intervals and AUC calculation methods that were employed for this analysis are described above.
Maximum Observed Concentration
The maximum observed concentration over a time interval
determined using the NCA operational object. Time intervals that were employed for this analysis are described above.  Percent Fluctuation
 The percent fluctuation (PF^ ), as defined by Equation 7, were calculated for the 24 hour- 14 day nominal study time interval.
Here C°^2 and C°*^2 are the maximum and minimum observed IFN concentrations over the time interval from t to tz. Methods that were used for
— obs~~ 2
 C°0 t parameter values are described above. IFN concentration vs.
 -' actual study time data was used to calculate PF24h (and C°5f ), following the methods described herein but with tx— 24 Study hours.
Minimum Observed Concentration
 The minimum observed concentration over a time interval ^[m-B ];2 was determined using the NCA operational object.
Prediction of Individual IFN Levels Resulting from Continuous INTRON A
 Compartmental Modeling
 The PK parameters estimated from the response to the INTRON A bolus were used along with individual dosing information and the Compartmental Model to predict the IFN concentration vs. time profile
 that was expected to result from continuous INTRON A infusion. The 12 MIU bolus administered at approximately -24 Study hours was also modeled to account for a relatively short wash-out period. The Phoenix™ Model object was used to calculate predicted IFN concentration vs. time profiles. Figure  7 provides an illustration of what these IFN concentration profiles were predicted to look like using data from the literature. Table 8 summarizes the exposure variables that were used to describe the IFN concentrations that were predicted to result from continuous INTRON A Infusion.
 The steady-state analytical solution for the compartmental PK model with continuous drug infusion is provided as Equation 8, where C'
ss is the steady state IFN concentration.
The Phoenix NCA object was used to calculate the AUC of the predicted response to continuous INTRON A for each subject 0 hour- 14 day nominal study time interval. The calculation of these AUC parameters is analogous to that presented by Figure 6. These A UC parameters were converted to average concentrations using Equation 9.
A detailed definition of the time interval from t to t2 is described above.
Comparison of Predicted vs. Observed IFN Levels from Continuous INTRON A
The IFN concentrations predicted for each subject were compared to the observed IFN concentrations that result from the first two weeks of continuous INTRON A therapy.
 As illustrated in Figure 7, the Compartmental Model was used to predict the transient as well as the steady-state IFN concentrations that result from continuous  INTRON A
 An illustrative comparison of IFN concentrations predicted by the compartmental model with contrived "observed" data is provided by Figure 9.
Percent Relative Error
 The ability of the PK model and individual PK parameters to predict the average serum IFN concentration during continuous INTRON A therapy over a specified time interval was quantified by calculating the percent relative error, as described by Equation
10.
Here RE^2 is the percent relative error of the average IFN concentration predicted over the time interval tx to tz. The parameters
described above.
Accumulation Ratio
 The accumulation ratio (Rb0°lnus) of the observed serum IFN relative to the level predicted by the Compartment Model (Equations 3 and 4) individual PK parameters from the bolus response and individual dosing information was calculated using
Equation 11.
  RESULTS & DISCUSSION
 Serum interferon concentration vs. time data was analyzed from 3 PK/PD subjects randomly selected from the data that was available at the time of this preliminary analysis. The INTRON A dosing arm assignments and baseline body weights for these 3 subjects are provided in Table 10. Here, and throughout this report, the numeric subject identification codes used in the COPE-HCV Study have been replaced with surrogate alphabetic identification codes.
 The observed serum IFN concentrations during the 24-hour nominal time period following the administration of the INTRON A bolus are provided in Figure 10 along with the IFN concentration vs. time profiles predicted by the Compartment Model (Equations3 and 4). The individual PK parameters and the exposure variables from the modeling of the bolus response are listed in Table 11 and Table 12.
 Visual inspection of Figure 10 indicates that the Compartmental Model fits the observed data from the 3 subjects reasonably well, similar to the fit of the model to data from known literature. Meanwhile, the individual estimates for k 'a, k '„ and V' wt that are reported in Table 11 are all within or close to the reference ranges from the literature summarized in Table 4.
 The observed serum IFN concentrations from the first 2 (nominal) weeks of INTRON A exposure (Baseline through Week 2 Study Visits) are presented in Figure 11 along with the concentration vs. time profiles that are predicted for each subject using individual PK parameters estimated from the bolus response and individual dosing information (actual time of 12 MIU bolus, actual start time of continuous INTRON A, baseline subject body weight, and dosing arm assignment). The observed and predicted exposure variables calculated for the first two weeks of pump therapy are summarized by Table 13 and Table 14. The predicted and observed time-averaged serum IFN concentrations Γ ~f~\l4d Γ— obs~\l4d
 ( C'on, L CZ L ) for the first 2 weeks of continuous INTRON A therapy are compared in Table 15.
 Γ— obs Ί14" r η14_? r , -AAd , Γ— ,"|14α
 C° L , C . I , , \ A UCm„t I , „ , „, ) all exhibit a consistent upward trend with increasing weight-based dose of continuous INTRON A. Meanwhile, the two exposure variables that are not expected to be dose-dependent Tmax, PF^ ) do not exhibit a clear trend with dosing arm. Furthermore, the percent fluctuation values reported in Table 13 for the investigational therapy (PF^ = 37-43 %) are significantly smaller than the estimates provided in Table 4 for either INTRON A (PF^ ~ 457 %) or PEGINTRON (PF^ ~ 268 %) administered by bolus injection according to their respective labels. These results support one of the main premises of the investigational therapy: that continuous infusion of INTRON A will result in blood levels that are relatively stable compared to PEGINTRON or INTRON A administered according to their package inserts.
 Visual inspection of Figure 11 reveals that, for the 3 subjects considered in this preliminary analysis, the model under-predicts the serum IFN concentrations that result from the continuous administration of INTRON A. This apparent bias in the model prediction is quantitatively described in Table 15 where the values of (the c \0h percent relative error of the average IFN concentration predicted for the first 2 weeks on continuous INTRON A therapy) range from -49% to -53%. The mean and coefficient of variation (CV%) for RE^

 are -51% and -4.6%, respectively. This indicates that, for the 3 subjects considered in this preliminary analysis, that the Compartment Model (Equations 3 and 4) used in combination with the individual PK parameters obtained from the bolus response and individual dosing information, is more precise than it is accurate in its ability to predict future IFN levels that will result from continuous INTRON A. This result is consistent with certain descriptions known in the art (e.g. see, e.g. Glue et al., Clin Pharmacol Ther 2000b;68(5):556-67) which report a mean  accumulation ratio (Accumulation ratio: R= (AUC Week 4 bolus) /(AUC first Week 1 bolus) of 2.1 for Week 4 vs. Week 1 of INTRON A monotherapy administered as 3 MIU TIW (N = 16 subjects). In the study noted above by Glue and co-workers, PK assessments were only performed during Weeks 1 and 4 of therapy, so it is not known if the accumulation of INTRON A occurred gradually over a few weeks or if it was immediate. The results of the preliminary PK/PD analysis presented in this report suggest that the accumulation is immediate, as the mean accumulation ratio for the first two weeks of continuous INTRON A vs. the initial bolus ( Rjj""^ ) is 2.0 (see Table 15).
TABLES
 Table 1: PK/PD Data Set available for the General COPE-HCV Study Subject
Table 2: PK/PD Substud Data: Nominal In atient Hours 0-24
 *This Baseline testing is the same as listed in Table 1.  Table 3: PK/PD Substudy Data: Nominal Study Hours 0-48 (Inpatient hours 24-72)
Table 4: Pharmacokinetic Parameter Values for INTRON A and PEGINTRON. Reported values were obtained via single-bolus administration to patients with normal renal function. Values for k
a and k
e were calculated using the formula:
 Reference ranges are from various sources, including package inserts and journal articles believed to describe the studies in the package inserts in greater detail.
* Estimated from data published by Glue and co-workers (see, e.g., GLUE et al., Clin Pharmacol Ther 2000b;68(5):556-67) for a single INTRON A bolus during the fourth week of INTRON A therapy, administered according to the package insert (3 MIU TIW (see, e.g., INTRON A. (Interferon-alfa-2b, recombinant) for Injection Product Insert. Schering-Plough; 2008)). Percent fluctuation (PF) was calculated using  the mean values reported in Table I (see, e.g., GLUE et al., Clin Pharmacol Ther 2000b;68(5):556-67) and the formula: PF = (100%)x(168 rs)x(Cmax-Cma)/(3xAU . It was inferred that Cm »0, since Tf (final quantifiable sampling time) < the dosing period («168/3 hours).
 "Estimated from data published by Glue and co-workers (see, e.g., GLUE et al.,
Clin Pharmacol Ther 2000b;68(5):556-67) for a single PEGINTRON bolus during the fourth week of PEGINTRON therapy, administered according to the package insert (1.5 mcg/kg QW (see, e.g., PEGINTRON. (Peginterferon-alfa-2b) Powder for Injection Product Insert. Schering-Plough; 2008). Percent fluctuation (PF) calculated using the mean values reported in Table I (see, e.g., GLUE et al., Clin Pharmacol Ther 2000b;68(5):556-67) and the formula: PF = (100%)x(168 hrs)x(Cmax-Cmin)/AUCtf. It was inferred that Cmin¾0, since Tf < the dosing period (168 hours).
Table 5: Initial Parameter Estimates to be Generated by NCA Analysis.
 Table 6: Parameter Estimates to be Generated by Compartmental Modeling of the res onse to the 12 MIU bolus of INTRON A.
  Compartmental Modeling.
 AUCb'olm x wt User-Defined Secondary IU-hr- A UCbolus normalized by individual
 Parameter kg/mL
 subject weight.
 cv tvCl mL/hr Total body clearance, the estimated values for ke, and Vd and the equation: CL' = ke'Vj
 CL'/wt User-Defined Secondary mL/hr/kg Total body clearance per unit body
 Parameter weight.
 C User-Defined Secondary IU/mL The maximum concentration max
 Parameter predicted to occur based on the compartment model and the estimate values for k'a, k'e, and V'd
 C ined Secondary IU-kg/mL The maximum concentration max x wt User-Def
 Parameter predicted to occur, normalized by individual subject weight.
 K tvKa 1/hr First-order absorption rate constant estimated by Compartmental Modeling
 K User-Defined Secondary 1/hr First-order elimination rate constant
 Parameter estimated by Compartmental
 Modeling
 r User-Defined Secondary hr Time at which C 'max maximum max
 Parameter concentration is predicted to occur by Compartmental Modeling tvV mL Apparent volume of distribution as estimated by Compartmental Modeling
 User-Defined Secondary mL kg Vd' normalized by individual Parameter
 subject weight.
 f
 TL User-Defined Secondary hr Elimination half- life estimated by
 Parameter Compartmental Modeling:
 T[ = ln(2) / ke'
Table 7: Parameters that can be used to Characterize the Observed IFN Levels
 Resultin from Continuous INTRQN A.
Γ _ -, {4d Cavg (or user-defined IU/mL The average observed IFN concentration parameter) over the 0 hour to 14 day nominal study time interval. See Equation 6.
  \ Γ Cmin IU/mL The minimum observed IFN concentration
Lc na . 24h over the 24 hour to 14 day nominal study time interval.
 ppUd %_Fluctuation (or % The percent fluctuation in the observed IFN
1 1 24k
 user-defined concentration over the 24 hour to 14 day parameter) nominal study time interval. See Equation
 7.
Table 8: Parameters that can be used to describe the IFN concentrations that are
Table 9: ILLUSTRATIVE SINGLE NUCLEOTIDE POLYMORPHISMS IN CHROMOSOME 19
 Illustrative SNP sequences obtained using such SNP designations (e.g.
 rsl2979860) as a query are provided in Table 9. In Table 9, the polymorphic nucleotide in these SNP sequences is bracketed (nucleotide position 27). rsl2979860:
 CTGAACCAGGGAGCTCCCCGAAGGCG [C/T] GAACCAGGGTTGAATTGCACTCCGC (SEQ ID NO 1)
 rsl2980275:
 CTGAGAGAAGTCAAATTCCTAGAAAC [A/G] GACGTGTCTAAATATTTGCCGGGGT (SEQ ID NO 2 )
 rs8099917 :
 CTTTTGTTTTCCTTTCTGTGAGCAAT [G/T] TCACCCAAATTGGAACCATGCTGTA (SEQ ID NO 3)
 rsl2972991
 AGAACAAATGCTGTATGATTCCCCCT [A/C] CATGAGGTGCTGAGAGAAGTCAAAT (SEQ ID NO 4)
 rs8109886  TATTCATTTTTCCAACAAGCATCCTG [A/C] CCCAGGTCGCTCTGTCTGTCTCAAT (SEQ ID NO: 5)
rs4803223
 CCTAAATATGATTTCCTAAATCATAC [A/G] GACATATTTCCTTGGGAGCTATACA (SEQ ID NO: 6)
rsl2980602:
 TCATATAACAATATGAAAGCCAGAGA [C/ ] AGCTCGTCTGAGACACAGATGAACA (SEQ ID NO: 7)
rs8103142 :
 TCCTGGGGAAGAGGCGGGAGCGGCAC [C/T] TGCAGTCCTTCAGCAGAAGCGACTC (SEQ ID NO: rs28416813:
 CAGAGAGAAAGGGAGCTGAGGGAATG [C/G] AGAGGCTGCCCACTGAGGGCAGGGG (SEQ ID NO 9)
rs4803219:
 CTGAGCTCCATGGGGCAGCTTTTATC [C/T ] CTGACAGAAGGGCAGTCCCAGCTGA ( SEQ ID NO: 10)
rs4803217 :
 TAGCGACTGGGTGACAATAAATTAAG [A/C] CAAGTGGCTAATTTATAAATAAAAT (SEQ ID NO: 11)
rs581930:
 CTGTGGAGCACAGAACTGCCAGGAAC [C/T ] AGGGCCCCTGGATGACTGAGTGGGG ( SEQ ID NO: 12)
rs8105790:
 CTTCCTGACATCACTCCAATGTCCTG [C/T ] TTCTGTGGTTACATCTTCCGCTAAT (SEQ ID NO: 13)
rsll881222 :
 AGAGGGCACAGCCAGTGTGGTCAGGT [A/G ] GGAGCAGAGGGAAGGGGTAGCAGGT (SEQ ID NO: 14)
rs7248668:
 CATGGTCTCAGTCTGTAGCCCAAGCT [A/G ] GAGCATAGTAGTGGCACAATCGCCA ( SEQ ID NO: 15)
Table 10: Example 1 subject characteristics.
Table 11: PK parameters from the compartmental modeling of the bolus response. All quantities are reported to 2 significant figures.
 CL' CL'/wt k'
a k v
d V
d/wt τ
Subject ID
 (mL/hr) (mL/hr/kg) (1/hr) (1/hr) (mL) (mL/kq) (hr)
A 11000 140 0.15 0.15 76000 890 4.6
B 9800 120 0.14 0.14 72000 910 5.1
C 9400 140 0.12 0.12 77000 1200 5.7
Table 12: Exposure variables from the compartmental modeling of the bolus response. All quantities are reported to 2 significant figures.
Table 13: Exposure variables characterizing the observed response to continuous INTRON A. Exposure variables were calculated using non-compartmental analysis. All quantities are reported to 2 significant figures.
 Table 14: Predicted exposure variables for continuous INTRON A. Exposure variables were calculated using the compartmental model and individual PK parameters estimated from the 12 MIU INTRON A bolus. All quantities are reported to 2 significant figures.
 Table 15: Comparison of the predicted vs. observed time-averaged IFN concentrations that result from the first 2 weeks of continuous INTRON A. All quantities are reported to 2 significant figures.