Movatterモバイル変換


[0]ホーム

URL:


WO2011039118A1 - Method for determining the inner structure of a sample - Google Patents

Method for determining the inner structure of a sample
Download PDF

Info

Publication number
WO2011039118A1
WO2011039118A1PCT/EP2010/064166EP2010064166WWO2011039118A1WO 2011039118 A1WO2011039118 A1WO 2011039118A1EP 2010064166 WEP2010064166 WEP 2010064166WWO 2011039118 A1WO2011039118 A1WO 2011039118A1
Authority
WO
WIPO (PCT)
Prior art keywords
sample
refractive index
coordinates
determined
optical
Prior art date
Application number
PCT/EP2010/064166
Other languages
German (de)
French (fr)
Inventor
Carsten Glasenapp
Werner Pöltinger
Original Assignee
Carl Zeiss Ag
Priority date (The priority date is an assumption and is not a legal conclusion. Google has not performed a legal analysis and makes no representation as to the accuracy of the date listed.)
Filing date
Publication date
Application filed by Carl Zeiss AgfiledCriticalCarl Zeiss Ag
Publication of WO2011039118A1publicationCriticalpatent/WO2011039118A1/en

Links

Classifications

Definitions

Landscapes

Abstract

The invention relates to a method for determining the inner structure of a sample, wherein sectional views in at least one first plane extending into the sample are generated by means of images capturing optical path lengths, wherein along a first imaging direction a first sectional view of the sample is generated, which is located in the plane extending into the sample, along a second imaging direction a second sectional view of the sample is generated, which is likewise located in the plane extending into the sample, first optical coordinates of at least one structural element are determined in the first sectional image and second optical coordinates of the at least one structural element are determined in the second sectional image, and the refractive index effective for the images is determined from the first and second coordinates, and in this way refractive index influence-corrected physical coordinates of the at least one structural element are determined.

Description

Verfahren zur Bestimmung der inneren Struktur einer Probe Method for determining the internal structure of a sample
Die Erfindung bezieht sich auf ein Verfahren zur Bestimmung einer inneren Struktur einer Probe, wobei mittels optischer Weglängen erfassender Abbildungen Schnittbilder in mindestens einer, in die Probe hineinverlaufenden Ebene erzeugt werden.The invention relates to a method for determining an internal structure of a sample, wherein images formed by optical path lengths of images are produced in at least one plane extending into the sample.
Für die berührungslose und zerstörungsfreie Analyse der inneren Struktur einer Probe stehen tomographische Verfahren zur Verfügung. Die dem Fachmann bekannte konfokale Raster- Scanning-Mikroskopie (in Anlehnung an deren lasergestützte Variante auch LSM abgekürzt) erlaubt eine dreidimensionale Abbildung der Probe. Exemplarisch sei hier auf die Veröffentlichung Sharpe et al. (2001 ), "3D confocal reconstruction of gene expression in mouse", Mech. Dev. 100, 59-63, verwiesen. Aber auch andere optische Verfahren werden verwendet, wie beispielsweise die optische Kohärenztomographie, die z. B. in D. Huang et al. (1991 ), "Optical Coherence Tomography", Science, 1 178-81 , beschrieben ist. Optische Kohärenztomographie (OCT) und Raster-Scanning-Mikroskopie (LSM) liefern ein hochaufgelöstes dreidimensionales Bild oder Schnittbildern einer Probe. Nachteilig bei diesen Verfahren ist die brechzahlabhängige Verzerrung der Meßdaten in der Tiefe der Probe, die darauf beruht, daß diese Verfahren immer optische Weglängen messen, welche das Produkt aus geometrischem Weg und Brechzahl des Mediums sind.For the non-contact and non-destructive analysis of the internal structure of a sample tomographic methods are available. The confocal scanning scanning microscopy known to those skilled in the art (LSM abbreviated to their laser-assisted variant) allows a three-dimensional image of the sample. As an example, the publication Sharpe et al. (2001), "3D confocal reconstruction of gene expression in mouse", Mech. Dev. 100, 59-63. However, other optical techniques are also used, such as optical coherence tomography, e.g. In D. Huang et al. (1991), "Optical Coherence Tomography", Science, 1178-81. Optical Coherence Tomography (OCT) and Scanning Scanning Microscopy (LSM) provide a high-resolution three-dimensional image or sectional images of a sample. A disadvantage of these methods is the refractive index-dependent distortion of the measurement data in the depth of the sample, which is based on the fact that these methods always measure optical path lengths, which are the product of geometric path and refractive index of the medium.
Am längsten etabliert ist zur Strukturaufklärung die Verwendung von Röntgenstrahlung, wie sie beispielsweise in der Computertomographie erfolgt und beschrieben ist in Flannery B P et al. (1987), "Three-dimensional x-ray microtomography", Science 237, 1439-44. Analog zur röntgenstrahlbasierten Computertomographie können auch optische Verfahren aus Projektionen unter verschiedenen Blickwinkeln ein dreidimensionales Probenbild erzeugen. Dabei kommt, wie bei der Röntgenstrahlcomputertomographie auch, die inverse Radontransformation zur rechnerischen Bilderzeugung aus den verschiedenen Projektionen zur Anwendung. Ein Beispiel für eine optische Projektionstomographie findet sich in der EP 1410090 B1 oder der WO 02/095476 A2. Eine weitere Möglichkeit für eine solche projektionsbasierte Bildgewinnung findet sich in der Tomographie Phase Microscopy (z. B. W. Choi et al. (2007), "Tomographie phase microscopy", Nat. Methode 4, 717-719). Dieses Verfahren überlagert Projektionsbilder des Phasenversatzes von dünnen Proben, die unter verschiedenen Blickwinkeln gewonnen werden. Auch A.M. Zysk et al. (2003),„Projected index computed tomography", Opt. Lett. 28, 701 -703, schildert ein projektionsbasiertes Bildgebungsverfahren, die Projected Index Computed Tomography. Dort wird eine dreidimensionale Brechzahlverteilung aus der Projektion der mittleren Brechzahl der Probe erzeugt.The longest established structure elucidation is the use of X-radiation, as is done, for example, in computed tomography and described in Flannery BP et al. (1987), Three-dimensional x-ray microtomography, Science 237, 1439-44. Analogous to X-ray-based computed tomography, optical methods from projections can generate a three-dimensional sample image from different angles. In this case, as in X-ray computer tomography, the inverse radon transformation for computational image generation from the various projections is used. An example of an optical projection tomography can be found in EP 1410090 B1 or WO 02/095476 A2. Another possibility for such projection-based image acquisition can be found in the tomography phase microscopy (eg. W. Choi et al. (2007), "Tomography phase microscopy", Nat. Method 4, 717-719). This method overlays projection images of the phase shift of thin samples obtained from different angles. Also AM Zysk et al. (2003), "Projected index computed tomography", Opt. Lett 28, 701-703, describes a projection-based imaging method, the Projected Index Computed Tomography, where a three-dimensional refractive index distribution is generated from the projection of the mean refractive index of the sample.
Nachteilig bei allen Projektionsverfahren sind eingeschränkte Ortsauf lösungen.A disadvantage of all projection methods are limited Ortsauf solutions.
Für die optische Kohärenztomographie ist eine Dispersionsentzerrung in F. Büchinger, „Dispersionsentzerrung in der optischen Kohärenztomographie", Diplomarbeit TU Wien, Fakultät für Elektrotechnik und Informationstechnik, 2006, bekannt. Dort wird die Dispersion 1 . Ordnung in OCT-Daten korrigiert, wobei eine räumliche konstante Dispersion vorausgesetzt wird. Es werden Eigenschaften der optischen Kohärenztomographie im Zusammenhang mit der Wellenlängenabhängigkeit der Brechzahl ausgenutzt, um ein OCT-Bild durch geeignete Filterung zu verbessern.For optical coherence tomography, dispersion equalization is known in F. Büchinger, "Dispersion equalization in optical coherence tomography", Diploma thesis TU Vienna, Faculty of Electrical Engineering and Information Technology, 2006. There the 1st order dispersion is corrected into OCT data, where a spatial Optical coherence tomography properties in connection with the wavelength dependence of the refractive index are exploited in order to improve an OCT image by suitable filtering.
Die Diplomarbeit A. Dölemeyer, „Modellbasierte dreidimensionale Fundusrekonstruktion: Ein genereller Ansatz zur Integration multi-modaler Daten des menschlichen Augenhintergrundes", Diplomarbeit RWTH Aachen, Fakultät für Elektrotechnik und Informationstechnik, Aachen 2005, beschreibt, wie Daten aus verschiedenen Meßverfahren lagerichtig am Auge zusammengeführt werden können. Dabei wird ein dreidimensionales Modell des Auges verwendet und Überlappstellen aus verschiedenen Messungen diesen dazu, die entsprechenden abgebildeten Teilbereiche des Auges an der richtigen Stelle eines Gesamtbildes einzugliedern. Es geht darum, verschieden liegende Bildfelder am Augenhintergrund an der richtigen Stelle bezogen auf den Fundus in das Bild einzufügen. Eine Korrektur von Bildfehlern findet nicht statt.The Diploma Thesis A. Dölemeyer, "Model-based Three-dimensional Fundus Reconstruction: A General Approach to the Integration of Multi-modal Data of the Human Ocular Background", Diploma Thesis RWTH Aachen, Faculty of Electrical Engineering and Information Technology, Aachen 2005, describes how data from different measurement methods are brought together in the correct position on the eye A three-dimensional model of the eye is used and overlapping points from different measurements are used to integrate the corresponding imaged parts of the eye in the correct position of an overall image to insert the image, a correction of image errors does not take place.
Der Erfindung liegt die Aufgabe zugrunde, die genannten Nachteile des Standes der Technik zu beheben und das eingangs genannte Verfahren als hochauflösendes, nicht von der Brechzahlverteilung der Probe beeinflußtes Bildgebungsverfahren weiterzubilden.The invention has for its object to overcome the disadvantages of the prior art and to improve the aforementioned method as a high-resolution, not influenced by the refractive index distribution of the sample imaging method.
Dieser Aufgabe wird mit einem Verfahren zur Bestimmung der inneren Struktur einer Probe, wobei mittels optischer Weglängen erfassender Abbildungen Schnittbilder in mindestens einer ersten, in die Probe hinein verlaufenden Ebene erzeugt werden, gelöst, wobei längs einer ersten Abbildungsrichtung ein erstes Schnittbild der Probe das in der in die Probe hineinverlaufenden Ebene liegt, erzeugt wird, längs einer zweiten Abbildungsrichtung ein zweites Schnittbild der Probe, das ebenfalls in der in die Probe hineinverlaufenden Ebene liegt, erzeugt wird, erste optische Koordinaten mindestens eines Strukturelementes oder Punktes im ersten Schnittbild und zweite optische Koordinaten desselben Strukturelementes oder Punktes im zweiten Schnittbild ermittelt werden, und aus ersten und zweiten Koordinaten die bei den Abbildungen wirksame Brechzahl ermittelt und damit brechzahlbeeinflussungskorrigierte physikalische Koordinaten des mindestens einen Strukturelementes oder Punktes bestimmt werden.This object is achieved by a method for determining the internal structure of a sample, wherein images are generated by means of optical path length imaging images in at least a first, extending into the sample plane, wherein along a first imaging direction, a first sectional image of the sample in the a second sectional image of the sample, which is also located in the plane extending into the sample, is generated along a second imaging direction, is generated, first optical coordinates of at least one structural element or point in the first sectional image and second optical coordinates of the same structural element or point in the second sectional image are determined, and determined from first and second coordinates the effective refractive index in the images and thus Brechzahlbeeinflussungskorrigierte physical coordinates of the at least one structural element or point.
Die Erfindung kompensiert brechzahlverteilungsbedingte Fehler also durch die Auswertung mindestens zweier Schnittbilder, die dieselbe Ebene in der Probe aus verschiedenen Abbildungsrichtungen erfassen. Dabei beruht die Erfindung auf der Erkenntnis, daß Schnittbilder aus optischen Weglängen erfassende Abbildungsverfahren, z. B. OCT- oder LSM- Datensätze, in den beiden kartesischen Achsen senkrecht zur Abbildungsrichtung durch die Brechzahlverteilung in der Probe nicht beeinflußt werden, ein brechzahlverteilungsbedingter Fehler also im wesentlichen längs der Abbildungsrichtung auftritt. Ein optische Weglängen erfassendes Abbildungsverfahren im Sinne der hier beschriebenen Erfindung ist also ein Verfahren, das längs der Abbildungsrichtung Brechzahleinflüssen unterliegt, quer zur Abbildungsrichtung hingegen nicht, solange keine Brechungseffekte auftreten. Orientiert man die optische Achse der Abbildung (wie üblich) längs einer z-Achse eines kartesischen Koordinatensystems, so beeinflußt die Brechzahl dann (nur) die z-Koordinate und nicht die x- und y-Koordinaten einer Messung. Eine Verzeichnung durch Brechung an Brechzahlgrenzflächen, die nicht senkrecht durchlaufen werden, kann eine optische Weglängenmessung ebenfalls stören.The invention therefore compensates for errors due to refractive index distribution by evaluating at least two sectional images which detect the same plane in the sample from different imaging directions. In this case, the invention is based on the finding that sectional images of optical path lengths detecting imaging method, z. B. OCT or LSM data sets, are not affected in the two Cartesian axes perpendicular to the imaging direction by the refractive index distribution in the sample, a refractive index distribution error thus occurs substantially along the imaging direction. An optical path length detecting imaging method in the sense of the invention described here is thus a method which is subject to refractive index influences along the imaging direction, but not transverse to the imaging direction, as long as no refraction effects occur. If the optical axis of the image is oriented (as usual) along a z-axis of a Cartesian coordinate system, the refractive index then influences (only) the z-coordinate and not the x and y coordinates of a measurement. Distortion at refractive index interfaces that are not traversed vertically can also interfere with optical path length measurement.
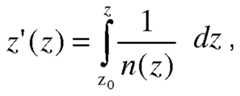
Die Lage jedes Meßpunktes muß deshalb mit dem Brechzahlverlauf zwischen dem Eindringpunkt der Beleuchtungsstrahlung in die Probe und der Position des Meßobjektes auf der optischen Achse (z-Achse) gewichtet werden. Die hinsichtlich der Brechzahlbeeinflussung entzerrte z-Achse z' läßt sich berechnen aus
Figure imgf000005_0001
The position of each measuring point must therefore be weighted with the refractive index profile between the penetration point of the illumination radiation into the sample and the position of the object to be measured on the optical axis (z-axis). The z-axis z 'equalized with respect to the refractive index influencing can be calculated
Figure imgf000005_0001
wobei n(z) der Brechzahlverlauf entlang der z-Achse ist. Ersichtlicherweise benötigt man für diese Art der Korrektur den Brechzahlverlauf längs der z-Achse. Er ist jedoch in der Regel nicht bekannt.where n (z) is the refractive index curve along the z-axis. Evidently, one needs for this type of correction the refractive index profile along the z-axis. However, he is usually unknown.
Die Erfindung setzt deshalb mehrere Schnittbilder in derselben Ebene ein, wobei die Schnittbilder aus unterschiedlichen Abbildungsrichtungen gewonnen sind. Die Erfindung dreht die z-Achse in der ausgewählten Ebene, so daß eine Korrektur aufgrund der nicht durch die Brechzahlbeeinflussung verzerrten anderen Koordinatenachsen erfolgen kann. Aufgrund der brechzahlabhängigen optischen Weglänge können sich deshalb z. B. bei OCT oder LSM die optischen Koordinaten, die aus dem optisch gewonnenen Schnittbild abgelesen werden können, von den physikalischen, d. h. tatsächlich in der Probe vorliegenden, unterscheiden. Soweit in dieser Beschreibung brechzahlverteilungsbeeinflußte Koordinaten von tatsächlichen Koordinaten unterschieden werden sollen, wird von optischen Koordinaten bzw. physikalischen Koordinaten gesprochen.The invention therefore uses several sectional images in the same plane, wherein the sectional images are obtained from different imaging directions. The invention rotates the z-axis in the selected plane, so that a correction can be made due to the other coordinate axes not distorted by the refractive index influencing. Due to the refractive index-dependent optical path length can therefore z. B. in OCT or LSM, the optical coordinates that can be read from the optically obtained sectional image, from the physical, ie actually present in the sample, distinguish. Insofar as refractive index distribution-related coordinates are to be distinguished from actual coordinates in this description, we speak of optical coordinates or physical coordinates.
Die Brechzahl der Probe wirkt sich auf den Eintritt von Beleuchtungsstrahlung dann aus, wenn dieser nicht rechtwinklig zur Probenoberfläche verläuft. Bei schrägem Einfall auf die Probenoberfläche erfolgt eine Ablenkung des einfallenden Beleuchtungsstrahlbündels. Um hierdurch entstehenden Korrekturaufwand zu vermeiden, ist es zu bevorzugen, die zwei Abbildungsrichtungen so zu wählen, daß sie zueinander senkrecht und auch senkrecht zur Probenoberfläche bei den jeweiligen Abbildungen liegen. Dies ist ein Anwendungsfall der Erfindung, bei dem Koordinatenangaben aus den beiden Schnittbildern lediglich kombiniert werden müssen, um brechzahlbedingte Fehler zu mindern oder korrigieren. Bei der Kombination werden aus den Schnittbildern diejenigen Koordinatenangaben kombiniert, die keiner oder einer, verglichen mit dem jeweiligen anderen Schnittbild, geringeren Brechzahlbeeinflussung unterliegen. Die stärker verfälschten Koordinaten(achsen) eines Schnittbildes werden also durch geringer verfälschte Koordinaten(achsen) aus dem anderen Schnittbild ersetzt. Das wird durch die unterschiedlichen Abbildungsrichtungen möglich.The refractive index of the sample has an effect on the entry of illumination radiation if it does not run at right angles to the sample surface. At an oblique incidence on the sample surface is a deflection of the incident illumination beam. In order to avoid the resulting correction effort, it is preferable to choose the two imaging directions so that they are perpendicular to each other and perpendicular to the sample surface in the respective images. This is an application of the invention, in which coordinate information from the two sectional images only have to be combined in order to reduce or correct refractive index-related errors. In the combination, the coordinate images are combined from the sectional images, which are subject to no or one, compared to the respective other sectional image, lower refractive index influence. The more distorted coordinates (axes) of a sectional image are thus replaced by a small falsified coordinates (axes) from the other sectional image. This is made possible by the different imaging directions.
Die Erfindung ist aber auch auf Fälle anwendbar, bei denen eine solche Wahl der Abbildungsrichtung nicht möglich ist, beispielsweise wegen mangelnder Zugänglichkeit der Probe oder aufgrund der Struktur der Probenoberfläche. Für solche Fälle ist eine Weiterbildung bevorzugt, bei der für beide Schnittbilder der Verlauf einer Grenzfläche der Probe, insbesondere der Probenoberfläche bestimmt wird. Weiter wird für jedes Schnittbild der Eintrittspunkt bestimmt, an dem während der jeweiligen Abbildung die Beleuchtungsstrahlung durch die Grenzfläche trat. Aus dem Eintrittspunkt, dem Verlauf der Grenzfläche und der optischen Weglänge der Beleuchtungsstrahlung bis zum Strukturelement bzw. fraglichen Punkt, können die physikalischen Koordinaten des Strukturelementes/Punktes ebenfalls brechzahlbeeinflussungskorrigiert bestimmt werden.However, the invention is also applicable to cases where such a choice of imaging direction is not possible, for example because of the lack of accessibility of the sample or due to the structure of the sample surface. For such cases, a development is preferred in which the course of an interface of the sample, in particular of the sample surface, is determined for both sectional images. Furthermore, the entry point at which the illumination radiation passed through the interface during the respective imaging is determined for each sectional image. From the entry point, the course of the interface and the optical path length of the illumination radiation to the structural element or point in question, the physical coordinates of the structural element / point can also be determined by the correction of the refractive index.
Diese Ausgestaltung macht sich also zu Nutze, daß aus dem Eintrittspunkt und dem Verlauf der Grenzfläche der Eintrittswinkel der Beleuchtungsstrahlung in die Probe ermittelt werden kann. Somit können die Brechungseffekte, die an der Oberfläche auftreten auf einfache Weise ermittelt und berücksichtigt werden, und zusammen mit der optischen Weglänge der Beleuchtungsstrahlung werden die physikalischen Koordinaten des Strukturelementes erhalten. Mit diesem Verfahren kann iterativ auch die Form und die Lage weiterer, tiefer liegender Strukturelemente oder Brechzahl-Grenzflächen ermittelt werden, so daß beliebige Proben mit beliebigen Brechzahlverteilungen auf ihre physikalischen Abmessungen hin vermessen werden können.This embodiment therefore makes use of the fact that the angle of incidence of the illumination radiation into the sample can be determined from the entry point and the course of the interface. Thus, the refraction effects occurring at the surface can be easily detected and taken into consideration, and together with the optical path length of the illumination radiation, the physical coordinates of the feature are obtained. With this method, it is also possible to determine iteratively the shape and position of further, lower-lying structural elements or refractive index interfaces, so that any samples with arbitrary refractive index distributions can be measured in terms of their physical dimensions.
Das erfindungsgemäße Konzept läßt sich auch auf die dreidimensionale Strukturbestimmung erweitern, wenn mindestens eine zweite, in die Probe hinein verlaufende Ebene für Schnittbilder ausgewählt wird, die die mindestens eine erste Ebene schneidet. Eine weitere Ergänzung des erfindungsgemäßen Verfahrens ergibt sich dadurch, daß mehrere, parallel zueinander liegende erste und gegebenenfalls auch zweite Ebenen verwendet werden, so daß durch eine Vielzahl von Schnitten eine tomographische Aufklärung der Probenstruktur unter Bereinigung der Brechzahleinflüsse erreicht wird.The concept according to the invention can also be extended to the three-dimensional structure determination if at least one second plane extending into the specimen is selected for cross-sectional images which intersect the at least one first plane. A further supplement to the method according to the invention results from the fact that a plurality of mutually parallel first and optionally also second planes are used, so that a tomographic elucidation of the sample structure is achieved by a large number of sections while the refractive index influences are adjusted.
Die Einstellung der Abbildungsrichtung kann besonders einfach durch Drehen der Probe erhalten werden.The adjustment of the imaging direction can be obtained particularly easily by rotating the sample.
Es versteht sich , daß die vorstehend genannten und die nachstehend noch zu erläuternden Merkmale nicht nur in den angegebenen Kombinationen, sondern auch in anderen Kombinationen oder in Alleinstellung einsetzbar sind, ohne den Rahmen der vorliegenden Erfindung zu verlassen.It is understood that the features mentioned above and those yet to be explained below can be used not only in the specified combinations but also in other combinations or alone, without departing from the scope of the present invention.
Nachfolgend wird die Erfindung beispielsweise anhand der beigefügten Zeichnungen , die auch erfindungswesentliche Merkmale offenbaren, noch näher erläutert. Es zeigen : Fig. 1 zeigt schematisch einen Schnitt durch eine Probe mit vier eingebetteten Partikeln,The invention will be explained in more detail for example with reference to the accompanying drawings, which also disclose characteristics essential to the invention. 1 shows schematically a section through a sample with four embedded particles,
Fig. 2 eine Schnittdarstellung der Probe der Figur 1 , wie sie sich mittels optischer Kohärenztomographie aus einer ersten Abbildungsrichtung ergibt, Fig. 3 eine weitere Abbildung ähnlich der Figur 2, jedoch aus einer anderen Abbildungsrichtung,2 is a sectional view of the sample of FIG. 1, as it results from a first imaging direction by means of optical coherence tomography, FIG. 3 is a further illustration similar to FIG. 2, but from a different imaging direction, FIG.
Fig. 4 eine Schemadarstellung der Probe der Figur 1 zur Verdeutlichung eines brechzahlverteilungsbedingten Fehlers und dessen Korrektur,4 shows a schematic representation of the sample of FIG. 1 for clarifying a refractive index distribution-related error and its correction, FIG.
Fig. 5 eine weitere Darstellung ähnlich der Figur 4 für eine Probe mir nicht gerader Oberfläche und Fig. 6 eine Schemadarstellung einer Vorrichtung zur Durchführung der Messungen für das anhand der Figuren 1 bis 5 geschilderte Korrekturverfahren.Fig. 5 is another illustration similar to Figure 4 for a sample me not straight surface and 6 is a schematic representation of a device for carrying out the measurements for the correction method described with reference to FIGS. 1 to 5.
Figur 1 zeigt schematisch einen Schnitt durch eine Probe P, die zu Erläuterungszwecken Partikel a, b, c und d enthält. Die Probe P hat eine optische Brechzahl n, die über die Probe hinweg nicht konstant ist. Zur Vereinfachung der Erläuterung ist hier ein zweidimensionaler Schnitt in einer z/x-Ebene eingezeichnet. In diesem Schnitt haben die Partikel entsprechende Koordinaten (χ,, z,), welche die physikalische Lage der Partikel angeben. Für das Partikel a sind exemplarisch die Koordinaten (xa, za) eingezeichnet.FIG. 1 schematically shows a section through a sample P which contains particles a, b, c and d for explanatory purposes. The sample P has an optical refractive index n which is not constant over the sample. To simplify the explanation, a two-dimensional section in a z / x plane is shown here. In this section, the particles have corresponding coordinates (χ ,, z,) which indicate the physical position of the particles. For the particle a, the coordinates (xa , za ) are shown by way of example.
Bildet man die Probe mit einem optischen Verfahren ab, bewirkt die Brechzahl der Probe P eine Verzerrung entlang der Abbildungsachse. Dieser Sachverhalt ist in Figur 2 dargestellt, die schematisch die Abbildung der Probe P mittels optischer Kohärenztomographie (OCT) zeigt. Der in Figur 1 dargestellte Schnitt ist dann längs der z-Achse aufgrund der Brechzahlverteilung n(z) der Probe P verzerrt. Dies führt dazu, daß anstelle der Koordinate z die Koordinate z' tritt. Kennt man die Brechzahlverteilung, läßt sich die entzerrte z-Achse aus den optischen Werten längs der verzerrten z'-Achse durch die eingangs genannte Gleichung einfach berechnen. Die Gleichung zeigt auch, daß bei konstantem Brechzahlverlauf n(z) = n0, automatisch folgt z = z7n0. Liegt jedoch ein nicht-konstanter Verlauf der Brechzahl n vor, was gemeinhin der Fall ist, muß für jede Meßlinie längs der z-Achse das Integral der genannten Gleichung ausgewertet werden, um die z-Koordinaten für die Partikel a, b, c, d zu entzerren.If the sample is formed using an optical method, the refractive index of the sample P causes a distortion along the imaging axis. This situation is illustrated in FIG. 2, which schematically shows the image of the sample P by means of optical coherence tomography (OCT). The section shown in FIG. 1 is then distorted along the z-axis due to the refractive index distribution n (z) of the sample P. As a result, instead of the coordinate z, the coordinate z 'occurs. Knowing the refractive index distribution, the equalized z-axis can be easily calculated from the optical values along the distorted z'-axis by the equation mentioned at the outset. The equation also shows that at constant refractive index n (z) = n0 , z = z7n0 . However, if there is a non-constant course of the refractive index n, which is generally the case, the integral of the equation has to be evaluated for each measuring line along the z axis in order to obtain the z coordinates for the particles a, b, c, d to equalize.
Da jedoch der Brechzahlverlauf längs der z-Achse üblicherweise nicht bekannt ist, wird eine zweite OCT-Messung längs der anderen Koordinate des Schnittes, nämlich der x-Achse in Figuren 1 und 2 ausgeführt. Dann stellen sich die in Figur 3 schematisch dargestellten Verhältnisse ein. Aufgrund der um 90° Grad verdreht gegenüber der Figur 2 liegenden Abbildungsrichtung der zweiten OCT-Abbildung, die in Figur 3 durch den Doppelpfeil mit der Bezeichnung OCT2 verdeutlicht ist, ist nun die z-Achse unverzerrt, da sie senkrecht zur Aufnahmerichtung OCT2 liegt. Verzerrt ist hingegen die x-Achse.However, since the refractive index characteristic along the z-axis is usually not known, a second OCT measurement along the other coordinate of the section, namely the x-axis in Figures 1 and 2 is performed. Then the ratios shown schematically in FIG. 3 are established. Because of the imaging direction of the second OCT image, which is rotated by 90 degrees relative to FIG. 2 and is illustrated in FIG. 3 by the double arrow labeled OCT2, the z-axis is undistorted, since it lies perpendicular to the recording direction OCT2. Distorted, however, is the x-axis.
Aus dem ersten Schnittbild, das längs der Abbildungsrichtung OCT1 abgebildet wurde, läßt sich nun die x-Koordinate der einzelnen Partikel a, b, c, d bestimmen. Aus der zweiten, rechtwinklig dazu erfolgten Abbildung ergibt sich die z-Koordinate der Partikel. Im Ergebnis sind nun aus zwei optischen Schnittbildern die physikalischen, d. h. die brechzahlbeeinflussungsfreien Koordinaten der Partikel a, b, c, d ermittelt. Der Bezug auf Partikel ist natürlich beispielhaft zu verstehen für die Korrektur von Koordinaten. Voraussetzung für dieses Vorgehen ist, daß zum einen die Abbildungsrichtungen der zwei optischen Abbildungen zur Erzeugung der Schnittbilder parallel zu den Hauptachsen des gewählten Koordinatensystems liegen. Handelt es sich um ein kartesisches Koordinatensystem wie in den Figuren 2 und 3, müssen die Abbildungsrichtungen senkrecht zueinander liegen. Zum anderen ist es anzustreben, daß die beiden Abbildungsrichtungen senkrecht zur Oberfläche der Probe P liegen , um Beugungseffekte aufgrund des Brechzahlsprunges beim Eintritt in die Probe zu vermeiden. Das geschilderte Verfahren setzt also entsprechend geformte oder präparierte Proben P voraus. Dabei ist natürlich eine senkrechte Lage der Probe P in dem Bereich, in dem die OCT-Abbildung erfolgt, ausreichend.The x-coordinate of the individual particles a, b, c, d can now be determined from the first sectional image, which was imaged along the imaging direction OCT1. The second, rectangular figure shows the z-coordinate of the particles. As a result, the physical, ie the refractive-index-free, coordinates of the particles a, b, c, d are now determined from two optical sectional images. Of course, the reference to particles is to be understood as exemplary for the correction of coordinates. The prerequisite for this procedure is that, on the one hand, the imaging directions of the two optical images for generating the sectional images are parallel to the main axes of the selected coordinate system. If it is a Cartesian coordinate system as in Figures 2 and 3, the imaging directions must be perpendicular to each other. On the other hand, it is desirable that the two imaging directions are perpendicular to the surface of the sample P in order to avoid diffraction effects due to the refractive index jump when entering the sample. The described method thus requires correspondingly shaped or prepared samples P. Of course, a vertical position of the sample P in the area in which the OCT imaging is sufficient, is sufficient.
Figur 4 zeigt eine Korrektur für den Fall, daß nur eine der beiden Abbildungsrichtungen senkrecht zur Probenoberfläche verlaufen kann. In der Darstellung der Figur 4 handelt es sich dabei um die Abbildungsrichtung OCT1 . Die Abbildungsrichtung OCT2 liegt hingegen in einem Winkel α zum Lot L auf die Oberfläche der Probe P.Figure 4 shows a correction for the case that only one of the two imaging directions can be perpendicular to the sample surface. In the representation of FIG. 4, this is the imaging direction OCT1. The imaging direction OCT2, however, is at an angle α to the solder L on the surface of the sample P.
Bei der Abbildung längs der Abbildungsrichtung OCT1 ist die x-Koordinate (das Koordinatensystem ist wie in Figur 2 gewählt) von Einflüssen durch die Brechzahlverteilung frei, wie bereits zuvor erläutert. Problematisch ist hingegen die Tiefenlage eines Partikels bei der Abbildungsrichtung OCT1 . Es ist deshalb in Figur 4 zur Übersichtlichkeit lediglich das Partikel a eingezeichnet. Dabei bezeichnet a das Partikel an seiner physikalisch richtigen Lage, die optische Position des Teilchens unter Betrachtung aus der Abbildungsrichtung OCT1 , a2 die optische Position des Teilchens unter Betrachtung aus der Abbildungsrichtung OCT2 bei Berücksichtigung der Brechzahl des Mediums und a3 die optische Position des Teilchens unter Betrachtung aus Abbildungsrichtung OCT3 unter Berücksichtigung der Brechzahl der Probe P und der Schnell'schen Brechung in die Probe mit der Brechzahl n. Weiter steht die Abkürzung OPD für den optischen Weglängenunterschied (Optical Path Difference) und die Abkürzung PPD für die geometrische Länge (Physical Path Difference).When imaging along the imaging direction OCT1, the x-coordinate (the coordinate system is selected as in FIG. 2) is free from influences due to the refractive index distribution, as already explained above. The problem is, however, the depth of a particle in the imaging direction OCT1. It is therefore shown in Figure 4 for clarity, only the particle a. Here, a denotes the particle at its physically correct position, the optical position of the particle as viewed from the imaging direction OCT1, a2 the optical position of the particle as viewed from the imaging direction OCT 2 taking into account the refractive index of the medium and a3 the optical position of the particle when viewed from the imaging direction OCT3 taking into account the refractive index of the sample P and the Schnell'schen refraction in the sample with the refractive index n. Next is the abbreviation OPD for the optical path difference (Optical Path Difference) and the abbreviation PPD for the geometric length (Physical Path difference).
Durch die Abbildung des Schnittbildes aus zwei Raumrichtungen, wobei nur eine senkrecht zur Oberfläche der Probe ausgerichtet sein mu ß, läßt sich nun sowohl die physikalische Morphologie (also die innere Struktur) als auch die Brechzahl der Probe bestimmen.By imaging the cross-sectional image of two spatial directions, with only one must be aligned perpendicular to the surface of the sample ß, now both the physical morphology (ie the internal structure) and the refractive index of the sample can be determined.
Aus der ersten Messung längs der Abbildungsrichtung OCT1 ist die x-Koordinate des Teilchens a sicher bestimmt. Die z-Koordinate ist um den Faktor der Brechzahl verzerrt, da diese nicht bekannt ist, kann die genaue Position des Teilchens a in der z-Koordinate aus der Schnittabbildung längs der Abbildungsrichtung OCT1 nicht bestimmt werden. Bei der zweiten Messung werden aus dem Einfallswinkel α die Koordinaten (x2: z2) bestimmt. Beide Koordinaten sind optische Koordinaten und geben nicht die physikalische Lage des Teilchens a wieder, da aufgrund der Brechung der optischen Grenzfläche der Probe P die Lichtstrahlen bei der Abbildung längs der Abbildungsrichtung OCT2 abgelenkt werden. Zusätzlich wird die optische Weglänge im Material durch die effektive Brechzahl des Medium um den effektiven Brechzahlfaktor n erhöht.From the first measurement along the imaging direction OCT1, the x-coordinate of the particle a is surely determined. The z-coordinate is distorted by the factor of the refractive index, since this is not known, the exact position of the particle a in the z-coordinate from the sectional image along the imaging direction OCT1 can not be determined. In the second measurement, the coordinates (x2: z2 ) are determined from the angle of incidence α. Both coordinates are optical coordinates and do not reflect the physical position of the particle a, because due to the refraction of the optical interface of the sample P, the light rays are deflected in imaging along the imaging direction OCT2. In addition, the optical path length in the material is increased by the effective refractive index of the medium by the effective refractive index factor n.
Der Auftreffpunkt der Strahlung längs der Abbildungsrichtung OCT2 an der Oberfläche kann in x-Richtung durch x20 = x2/cosa direkt aus dem Meßwert x2 und dem (bekannten) Einfallswinkel zum Lot der Oberfläche (Winkel a) berechnet werden. Die physikalische Weglänge PPD = p2 = (z2a + (xa - x205 ist um den Faktor n der gemessenen optischen Weglänge OPD verzerrt. Da xa = X! aus der Abbildung längs der Abbildungsrichtung OCT1 bekannt ist, folgtThe impact point of the radiation along the imaging direction OCT2 at the surface can be calculated in the x-direction by x20 = x2 / cosa directly from the measured value x2 and the (known) angle of incidence to the perpendicular of the surface (angle a). The physical path length PPD = p2 = (z2a + (xa - x20) °5 is distorted by the factor n of the measured optical path length OPD Since xa = X is known from the figure along the imaging directionOCT1.! follows
z2 = OPD = PPD■ n = n■ p2. Da aus der ersten Messung za = z^n und xa = x-t bekannt ist, kann die Brechzahl durch n2 = (z22 - z )l(x^ - x20)2 bestimmt werden. Ist die Brechzahl somit bekannt, können aus den optischen Weglängen ζ und *\ direkt die physikalischen Koordinaten (x, z) des Strukturelementes a bestimmt werden.z2 = OPD = PPD ■ n = n ■ p2 . Since za = z ^ n and xa = xt are known from the first measurement, the refractive index can be determined by n2 = (z22 -z) 1 (x 1-x20 )2 . If the refractive index is thus known, the physical coordinates (x, z) of the structural element a can be determined directly from the optical path lengths ζ and *\ .
Natürlich gilt dieser Ansatz nicht nur für ein bestimmtes Strukturelement a, sondern für jeden Punkt in der Probe P. Weiter ist die in obigem Ansatz geschilderte Brechzahl n die effektive Brechzahl längs der Strahlungsausbreitung, berücksichtigt also auch eine variierende Brechzahl in der Probe P.Of course, this approach applies not only to a particular structural element a, but for each point in the sample P. Further, the refractive index n described in the above approach is the effective refractive index along the radiation propagation, thus also takes into account a varying refractive index in the sample P.
Der Ansatz der Figur 4 geht davon aus, daß die Oberfläche in dem Bereich, in dem die Strahlung der Abbildungsrichtung OCT1 und die Strahlung der Abbildungsrichtung OCT2 einfällt, hinreichend eben ist und senkrecht zur Abbildungsrichtung OCT1 liegt. Bei einem beliebigem Oberflächenverlauf ist dies oftmals nicht der Fall. Um die Lage eines Partikels (oder Punktes) bestimmen zu können, ohne die Randbedingung, daß die Probe eine bestimmte Ausrichtung und Oberfläche zur Abbildung hin aufweist, kann der in Figur 5 schematisch dargestellte Ansatz verwendet werden. In Figur 5 sind drei Abbildungsrichtungen OCT1 , OCT2 und OCT3 eingezeichnet, was bei der Vermessung dreidimensional strukturierter Proben erforderlich sein kann. Zur Vereinfachung sei das Prinzip jedoch hier für zwei Dimensionen beschrieben, wodurch die Messung OCT3 nicht erforderlich ist.The approach of Figure 4 assumes that the surface in the region in which the radiation of the imaging direction OCT1 and the radiation of the imaging direction OCT2 incident, is sufficiently flat and is perpendicular to the imaging direction OCT1. With an arbitrary surface course this is often not the case. In order to be able to determine the position of a particle (or point) without the boundary condition that the sample has a certain orientation and surface for imaging, the approach shown schematically in FIG. 5 can be used. In FIG. 5, three imaging directions OCT1, OCT2 and OCT3 are shown, which may be necessary when measuring three-dimensionally structured samples. For simplicity, however, the principle is described here for two dimensions, which means that OCT3 measurement is not required.
In Figur 5, die hinsichtlich des Koordinatensystems der Konvention der Figuren 1 bis 4 folgt, bezeichnen die Punkte ST und S2 (sowie S3) die Eintrittspunkte der für die Abbildung verwendeten Strahlung OCT1 , OCT2 (und OCT3) an der Oberfläche der Probe P, für die in Figur 3 der Einfachheit halber die Grenzfläche zwischen zwei Brechzahlbereichen, nämlich Brechzahl n und Brechzahl n', eingetragen ist, die Lage der Eintrittspunkte S, kann ohne brechzahlbedingte Beeinflussung aus jedem Schnittbild bezogen werden. Ist die Brechzahl n, d. h. die Brechzahl aus der die Strahlung längs der Abbildungsrichtungen 0CT1 -3 einfällt, bekannt, kann durch Translation der Probe P die Form und Lage der Grenzfläche (z. B. der Oberfläche beim Eintritt in die Probe) bestimmt werden. Daraus folgen automatisch die Winkel ψι , φ2 (und φ3), welche den Winkel zwischen der Oberflächennormale am Eintrittspunkt S^ S2 (und S3) und der z-Raumachse bezeichnen. Bezeichnet man die Strecken S, - a als Vektoren Pi, folgen die Vektorbeziehungen (xa,ya,za) = S, + p, (mit i = 1 , 2 oder 3), wobei (xa,ya,za) die physikalischen Koordinaten des Punktes a im dreidimensionalen Raum beschreiben. Im zweidimensionalen Fall der nachfolgend exemplarische erläutert wird, fällt die y-Koordinate weg.In Figure 5, which follows with respect to the coordinate system of the convention of Figures 1 to 4, the points ST and S2 (as well as S3 ) denote the entry points of the radiation used for the imaging OCT1, OCT2 (and OCT3) on the surface of the sample P. , for the sake of simplicity in Figure 3, the interface between two refractive index regions, namely refractive index n and refractive index n ', registered, the position of the entry points S, can without related to the refractive index from each sectional drawing. If the refractive index n, ie the refractive index from which the radiation is incident along the imaging directions 0CT1-3, is known, the shape and position of the interface (eg the surface on entry into the sample) can be determined by translation of the sample P. From this automatically follow the angles ψι, φ2 (and φ3 ), which denote the angle between the surface normal at the entry point S ^ S2 (and S3 ) and the z-space axis. If we denote the distances S, - a as vectors Pi, then the vector relations (xa , ya , za ) = S, + p, (with i = 1, 2 or 3), where (xa , ya , za ) describe the physical coordinates of the point a in three-dimensional space. In the two-dimensional case of exemplifying below, the y coordinate is omitted.
Die Winkel α, , α2 und α3 repräsentieren die Einfallswinkel zum Lot auf die Probenoberfläche am jeweiligen Eintrittspunkt. Die Winkel αΊ , α'2 und α'3 bezeichnen die aufgrund der Brechung folgenden Winkel im Medium mit der Brechzahl n', also in der Probe P. Die in der Zeichnung verwendete Vorzeichenkonvektion der Winkel ist auf die z-Achse bezogen mit im Uhrzeigersinn positiven Vorzeichen.The angles α, α, α2 and α3 represent the angles of incidence to the solder on the sample surface at the respective entry point. The angles αΊ, α '2 and α'3 denote the angles following the refraction in the medium with the refractive index n ', ie in the sample P. The sign convection of the angles used in the drawing is based on the z-axis in a clockwise direction positive sign.
Folglich gelten folgende Beziehungen:Consequently, the following relationships apply:
1 . (xa„za)=S1+ p!1 . (xa " za ) = S1 + p!
2. (xaza) =S2+ p22. (xa za ) = S2 + p2
Die Vektoren p^2 = |ρ,|* (sin(cpi + α ,), cos(cpi + a ,)= |Zi/n'|*(sin(cpi + a ,.2), cos(cpi + a ,)) lassen sich aus den Winkeln des Meßstrahls bzgl. der z-Achse im Medium der Brechzahl n' und dem Maß der optischen Weglänge z, aus dem Schnittbild bestimmen (mit i=1 , 2). Die Winkel a , können nach dem Snell'schen Gesetz n' sin α' = n sin a und den Additionstheoremen sin(cp+a )=sin(cp)cos(a )+sin(a )cos(cp)The vectors p ^2 = | ρ, |* (sin (cpi + α,), cos (cpi + a,) = | Zi / n '|* (sin (cpi + a,.2 ), cos (cpi + a,)) can be calculated from the angles of the Determine the measuring beam with respect to the z-axis in the medium of the refractive index n 'and the optical path length z from the sectional image (with i = 1, 2) The angles a, can according to Snell's law n' sin α ' = n sin a and the addition theorems sin (cp + a) = sin (cp) cos (a) + sin (a) cos (cp)
cos(cp+a )=sin(cp)sin(a')-cos(cp)cos(a ) durch den Einfallswinkel α und der Brechzahl n beschreiben werden. Die beiden Gleichungen zusammengefaßt ergeben:
Figure imgf000011_0001
cos (cp + a) = sin (cp) sin (a ') - cos (cp) cos (a) by the angle of incidence α and the refractive index n. The two equations summarized result:
Figure imgf000011_0001
2. (χ33)=(8χ2,8ζ2)+|ζ2/η'|*(5ίη(φ22),005(φ22)2. (χ3 , ζ3 ) = (8χ2 , 8ζ2 ) + | ζ2 / η '| * (5ίη (φ2 + α2 ), 005 (φ2 + α2 )
Die in diesem Gleichungssystem existierenden 3 Unbekannten xa za und n' können somit sicher aus den 4 Gleichungen bestimmt werden. Folglich wird aus einem Medium 1 kommend mit bekannter Brechzahl n, die Form und die Lage einer optischen Grenzfläche zum Medium 2 der Brechzahl n' genau bestimmt werden. Mit dem oben beschriebenen Verfahren wird die Lage von Partikeln (oder Koordinatenkorrektur) im Medium 2 sowie die Brechzahl n' genau bestimmt. Folglich wird auch die Form und die Lage einer weiteren optischen Grenzfläche zu einem Medium 3 mit der Brechzahl n" bestimmt, da n' bekannt ist. Durch diese Strahlverfolgung können beliebige Proben mit Brechzahlverteilungen auf ihre physikalischen Abmaße vermessen werden.The 3 unknowns xa za and n 'existing in this system of equations can thus be reliably determined from the 4 equations. Consequently, coming from a medium 1 coming with a known refractive index n, the shape and the position of an optical interface to the medium 2 of the refractive index n 'can be determined exactly. With the method described above, the position of particles (or coordinate correction) in the medium 2 and the refractive index n 'is determined exactly. Consequently, the shape and the position of a further optical interface to a medium 3 with the refractive index n ", since n 'is known, can also be measured by means of this ray tracing with the aid of refractive index distributions to their physical dimensions.
Vorgehend wurde die Erfindung unter Bezugnahme auf optische Kohärenztomographie beschrieben. Ein Beispiel für einen dafür tauglichen Aufbau zeigt als Schema die Figur 6. Mit einem dem Fachmann für die optische Kohärenztomographie bekannten Michelson- Interferometer-Aufbau wird unter Verwendung eines Detektors 1 , der ein Meßsignal erfaßt und einer Strahlungsquelle 2, welche beispielsweise kurzkohärente Strahlung abgibt, ein Tiefenprofil der Probe (üblicherweise auch als A-Scan bezeichnet) gewonnen. Der Michelson- Interferometer-Aufbau verfügt dabei über einen Strahlteiler 4 sowie einen Referenzstrahlengang 6. Von der Strahlungsquelle 3 kommende Strahlung wird vom Strahlteiler 4 in den Referenzstrahlengang zum Reflektor 6 und in eine Detektionsstrahlengang zur Probe P hin aufgeteilt. Aus dem Referenzstrahlengang, d. h. vom Reflektor 6 zurückkehrende Referenzstrahlung und von der Probe P zurückreflektierte oder -gestreute Me ßstrahlung wird am Strahlteiler 4 überlagert und zum Detektor 1 geleitet. Ist die optische Weglänge für einen Reflex bzw. eine RückStreuung innerhalb der optischen Kohärenzlänge der Strahlung der Strahlungsquelle 3 nach Durchlauf zwischen Referenzstrahlengang und Meßstrahlengang gleich, tritt am Detektor Interferenz auf. Das Meßprinzip der optischen Kohärenztomographie ist dem Fachmann bekannt, beispielsweise aus einer der eingangs genannten Publikationen.The invention has been described above with reference to optical coherence tomography. An example of a construction suitable for this purpose is shown in FIG. 6 with a Michelson interferometer construction known to the person skilled in the art for optical coherence tomography, using a detector 1 which detects a measurement signal and a radiation source 2 which emits, for example, short-coherent radiation. a depth profile of the sample (commonly referred to as A-scan) won. In this case, the Michelson interferometer structure has a beam splitter 4 and a reference beam path 6. Radiation coming from the radiation source 3 is split by the beam splitter 4 into the reference beam path to the reflector 6 and into a detection beam path to the sample P. From the reference beam path, d. H. Reflecting from the reflector 6 reference radiation and reflected back from the sample P or scattered Me ßstrahlung is superimposed on the beam splitter 4 and passed to the detector 1. If the optical path length for a reflection or a backscatter within the optical coherence length of the radiation of the radiation source 3 after passing between the reference beam path and the measuring beam path is the same, interference occurs at the detector. The measurement principle of optical coherence tomography is known to the person skilled in the art, for example from one of the aforementioned publications.
Um die verschiedenen Abbildungsrichtungen zu realisieren, kann eine Relativdrehung zwischen Probe P und Meßstrahlengang ausgeführt werden. Dies ist durch einen entsprechenden Pfeil in der Figur 6 veranschaulicht. Optional kann auch eine Relativverschiebung zwischen Probe P und Meßstrahlengang ausgeführt werden, beispielsweise um einen Oberflächenbereich an der Probe P als Einfallsbereich für die Meßstrahlung einzustellen, der den oben genannten Bedingungen genügt.In order to realize the different imaging directions, a relative rotation between sample P and measurement beam path can be performed. This is illustrated by a corresponding arrow in FIG. Optionally, a relative displacement between sample P and measurement beam path can also be carried out, for example in order to set a surface region on the sample P as the incidence region for the measurement radiation, which satisfies the conditions mentioned above.
Das erfindungsgemäße Verfahren ist jedoch nicht auf die optische Kohärenztomographie als Abbildung eingeschränkt. Es ist auch für andere Abbildungsverfahren geeignet, die in Tiefenrichtung einer Brechzahlbeeinflussung in der Abbildung unterliegen, in den senkrecht dazu liegenden Raumrichtungen jedoch nicht. Ein Beispiel für ein solches Abbildungsverfahren ist beispielsweise die schon eingangs genannte Raster-Scanning-Mikroskopie, die deshalb gleichermaßen als Abbildungsverfahren zur Erzeugung der Schnittbilder in Frage kommt.However, the method according to the invention is not restricted to optical coherence tomography as an image. It is also suitable for other imaging methods which are subject to a refractive index influence in the depth direction in the image, but not in the perpendicular spatial directions. An example of such an imaging method is, for example, the raster scanning microscopy already mentioned at the outset, which therefore likewise comes into question as an imaging method for generating the sectional images.

Claims

Patentansprüche claims
1 . Verfahren zur Bestimmung der inneren Struktur einer Probe, wobei mittels optischer Weglängen erfassender Abbildungen Schnittbilder in mindestens einer ersten, in die Probe hineinverlaufenden Ebene erzeugt werden, dadurch gekennzeichnet, daß1 . Method for determining the internal structure of a sample, wherein images formed by optical path lengths of images are produced in at least one first plane extending into the sample, characterized in that
längs einer ersten Abbildungsrichtung ein erstes Schnittbild der Probe das in der in die Probe hineinverlaufenden Ebene liegt, erzeugt wird, längs einer zweiten Abbildungsrichtung ein zweites Schnittbild der Probe, das ebenfalls in der in die Probe hineinverlaufenden Ebene liegt, erzeugt wird, along a first imaging direction, a first slice image of the sample lying in the plane extending into the sample is generated, along a second imaging direction a second slice image of the sample, which also lies in the plane extending into the sample, is generated,
erste optische Koordinaten mindestens eines Strukturelementes oder Punktes im ersten Schnittbild und zweite optische Koordinaten desselben Strukturelementes oder Punktes im zweiten Schnittbild ermittelt werden, und first optical coordinates of at least one structural element or point in the first sectional image and second optical coordinates of the same structural element or point in the second sectional image are determined, and
aus ersten und zweiten Koordinaten die bei den Abbildungen wirksame Brechzahl ermittelt und damit brechzahlbeeinflussungskorrigierte physikalische Koordinaten des mindestens einen Strukturelementes oder Punktes bestimmt werden. the effective refractive index of the images is determined from first and second coordinates and thus physical coordinates of the at least one structural element or point which are corrected for refractive index influence are determined.
2. Verfahren nach Anspruch 1 , dadurch gekennzeichnet, daß die zwei Abbildungsrichtungen so gewählt werden, daß Strahlung bei der jeweiligen Abbildung senkrecht auf die Probe einfällt.2. The method according to claim 1, characterized in that the two imaging directions are chosen so that radiation incident on the sample perpendicular to the sample.
3. Verfahren nach Anspruch 1 oder 2, dadurch gekennzeichnet, daß für jede Koordinatenachse das Schnittbild ausgewählt wird, dessen Abbildung der geringsten Brechzahlbeeinflussung unterliegt und daß die Koordinatenangaben aus den ausgewählten Schnittbildern zu einem brechzahlbeeinflussungskorrigierten Koordinatensatz kombiniert werden.3. The method according to claim 1 or 2, characterized in that for each coordinate axis, the cross-sectional image is selected, the image of the lowest refractive index influencing is subject and that the coordinate data from the selected sectional images are combined to a Brechzahlbeeinflussungskorrigierten coordinate set.
4. Verfahren nach Anspruch 1 , dadurch gekennzeichnet, daß in erstem und zweitem Schnittbild jeweils der Verlauf einer Grenzfläche der Probe, insbesondere der Probenoberfläche, bestimmt wird, und4. The method according to claim 1, characterized in that in the first and second sectional image in each case the course of an interface of the sample, in particular the sample surface is determined, and
jeweils Koordinaten eines Eintrittspunktes bestimmt werden, an dem während der jeweiligen Abbildung ein Beleuchtungsstrahl, der auf das Strukturelement bzw. den Punkt fällt, durch die Grenzfläche tritt, und in each case coordinates of an entry point are determined at which, during the respective imaging, an illumination beam incident on the structural element or the point passes through the interface, and
daß aus den Koordinaten der Eintrittspunkte, aus dem Verlauf der Grenzfläche und aus einer optischen Weglänge der Beleuchtungsstrahlen die brechzahlbeeinflussungskorrigierten physikalischen Koordinaten des Strukturelementes bzw. des Punktes bestimmt werden. from the coordinates of the entry points, from the course of the boundary surface and from an optical path length of the illumination beams, the refractive-index-corrected physical coordinates of the structural element or of the point are determined.
5. Verfahren nach Anspruch 4, dadurch gekennzeichnet, daß iterativ die Lagen mehrerer, in Tiefenrichtung der optischen Abbildungen hintereinanderliegender Grenzflächen und Strukturelemente bzw. Punkte bestimmt werden.5. The method according to claim 4, characterized in that the iterative layers of several, in the depth direction of the optical images consecutive interfaces and structural elements or points are determined.
6. Verfahren nach einem der obigen Ansprüche, dadurch gekennzeichnet, daß zur Bestimmung der dreidimensionalen Struktur der Probe das Verfahren des Anspruchs 1 auch für mindestens eine zweite, in die Probe hineinverlaufende Ebene ausgeführt wird, die die mindestens eine erste Ebene schneidet.6. The method according to any one of the above claims, characterized in that for determining the three-dimensional structure of the sample, the method of claim 1 is also carried out for at least a second, extending into the sample level, which intersects the at least one first level.
7. Verfahren nach einem der obigen Ansprüche, dadurch gekennzeichnet, daß die Probe zum Einstellen der Abbildungsrichtungen gedreht wird.7. The method according to any one of the above claims, characterized in that the sample is rotated to set the imaging directions.
8. Verfahren nach einem der obigen Ansprüche, dadurch gekennzeichnet, daß die Abbildung durch optische Kohärenztomographie oder konfokale Raster-Scanning-Mikroskopie erfolgt.8. The method according to any one of the above claims, characterized in that the imaging is carried out by optical coherence tomography or confocal scanning scanning microscopy.
PCT/EP2010/0641662009-09-292010-09-24Method for determining the inner structure of a sampleWO2011039118A1 (en)

Applications Claiming Priority (2)

Application NumberPriority DateFiling DateTitle
DE200910045130DE102009045130B3 (en)2009-09-292009-09-29 Method for determining the internal structure of a sample
DE102009045130.72009-09-29

Publications (1)

Publication NumberPublication Date
WO2011039118A1true WO2011039118A1 (en)2011-04-07

Family

ID=43105078

Family Applications (1)

Application NumberTitlePriority DateFiling Date
PCT/EP2010/064166WO2011039118A1 (en)2009-09-292010-09-24Method for determining the inner structure of a sample

Country Status (2)

CountryLink
DE (1)DE102009045130B3 (en)
WO (1)WO2011039118A1 (en)

Cited By (2)

* Cited by examiner, † Cited by third party
Publication numberPriority datePublication dateAssigneeTitle
CN113892024A (en)*2019-05-302022-01-04株式会社拓普康Optical interference measuring device and optical interference measuring method
US20230334731A1 (en)*2020-04-222023-10-19Zumbach Electronic AgMethod and device for correcting coherence tomography images

Families Citing this family (1)

* Cited by examiner, † Cited by third party
Publication numberPriority datePublication dateAssigneeTitle
DE102011081192B4 (en)2011-08-182016-03-24Carl Zeiss Ag Microscopy for determining an indication of a refractive index inside at least a portion of a sample

Citations (7)

* Cited by examiner, † Cited by third party
Publication numberPriority datePublication dateAssigneeTitle
DE19814070A1 (en)*1998-03-301999-10-07Zeiss Carl Jena GmbhOptical coherence tomography with dynamic coherent focal point for use with short coherence interferometer
US5975697A (en)*1998-11-251999-11-02Oti Ophthalmic Technologies, Inc.Optical mapping apparatus with adjustable depth resolution
WO2002095476A2 (en)2001-05-222002-11-28Medical Research CouncilRotary stage for imaging a specimen
US20040036838A1 (en)*2002-06-282004-02-26Podoleanu Adrian Gh.Optical mapping apparatus with adjustable depth resolution and multiple functionality
US20060058682A1 (en)*2002-06-122006-03-16Miller Donald TMethod and apparatus for improving both lateral and axial resolution in ophthalmoscopy
WO2008000078A1 (en)*2006-06-302008-01-03Oti Ophthalmic Technologies Inc.Compact high resolution imaging apparatus
EP1962050A1 (en)*2007-02-212008-08-27Agfa HealthCare N.V.System and method for optical coherence tomography and method for calibrating such a system

Family Cites Families (1)

* Cited by examiner, † Cited by third party
Publication numberPriority datePublication dateAssigneeTitle
IL127359A0 (en)*1998-12-011999-10-28Yeda Res & DevComputerized adaptive imaging

Patent Citations (8)

* Cited by examiner, † Cited by third party
Publication numberPriority datePublication dateAssigneeTitle
DE19814070A1 (en)*1998-03-301999-10-07Zeiss Carl Jena GmbhOptical coherence tomography with dynamic coherent focal point for use with short coherence interferometer
US5975697A (en)*1998-11-251999-11-02Oti Ophthalmic Technologies, Inc.Optical mapping apparatus with adjustable depth resolution
WO2002095476A2 (en)2001-05-222002-11-28Medical Research CouncilRotary stage for imaging a specimen
EP1410090B1 (en)2001-05-222005-09-28Medical Research CouncilRotary stage for imaging a specimen
US20060058682A1 (en)*2002-06-122006-03-16Miller Donald TMethod and apparatus for improving both lateral and axial resolution in ophthalmoscopy
US20040036838A1 (en)*2002-06-282004-02-26Podoleanu Adrian Gh.Optical mapping apparatus with adjustable depth resolution and multiple functionality
WO2008000078A1 (en)*2006-06-302008-01-03Oti Ophthalmic Technologies Inc.Compact high resolution imaging apparatus
EP1962050A1 (en)*2007-02-212008-08-27Agfa HealthCare N.V.System and method for optical coherence tomography and method for calibrating such a system

Non-Patent Citations (5)

* Cited by examiner, † Cited by third party
Title
A.M. ZYSK ET AL.: "Projected index computed tomography", OPT. LETT., vol. 28, 2003, pages 701 - 703, XP001166523
D. HUANG ET AL.: "Optical Coherence Tomography", SCIENCE, 1991, pages 1178 - 81
FLANNERY B P ET AL.: "Three-dimensional x-ray microtomography", SCIENCE, vol. 237, 1987, pages 1439 - 44
SHARPE ET AL.: "3D confocal reconstruction of gene expression in mouse", MECH. DEV., vol. 100, 2001, pages 59 - 63, XP008078302, DOI: doi:10.1016/S0925-4773(00)00508-6
W. CHOI ET AL.: "Tomographic phase microscopy", NAT. METHODS, vol. 4, 2007, pages 717 - 719, XP003030798, DOI: doi:10.1038/nmeth1078

Cited By (2)

* Cited by examiner, † Cited by third party
Publication numberPriority datePublication dateAssigneeTitle
CN113892024A (en)*2019-05-302022-01-04株式会社拓普康Optical interference measuring device and optical interference measuring method
US20230334731A1 (en)*2020-04-222023-10-19Zumbach Electronic AgMethod and device for correcting coherence tomography images

Also Published As

Publication numberPublication date
DE102009045130B3 (en)2011-03-31

Similar Documents

PublicationPublication DateTitle
DE102015113465B4 (en) Method and device for scanning at least one cut surface in the interior of a light-scattering object
DE102012223878A1 (en) Compensation of a chromatic point sensor with effects of the workpiece material
DE3422144A1 (en) DEVICE FOR DISPLAYING AREA AREAS OF THE HUMAN EYE
WO2006032561A1 (en)Optical measuring device for measuring several surfaces of a measuring object
WO2009124676A1 (en)Method for the tomographic measurement of mechanical workpieces
DE102007016370A1 (en) Method and a measuring arrangement for generating three-dimensional images of test objects by means of invasive radiation
DE102011011277A1 (en) Optimized device for swept source Optical Coherence Domain Reflectometry and Tomography
DE102013207987A1 (en) Procedure and analysis system for eye examination
EP3899424B1 (en)Device and method for optical measurement of an internal contour of a spectacle frame
EP3585245B1 (en)Method and arrangement for high-resolution topography of the cornea of an eye
DE102014115153A1 (en) Optical coherence tomography
EP1931941A1 (en)Interferometric determination of a layer thickness
DE102009045130B3 (en) Method for determining the internal structure of a sample
DE112010002787T5 (en) Electromagnetic wave meter, measuring method, program and recording medium
DE102018007757A1 (en) Method for compensating the artifacts generated by moving measurement objects in measurement signals from swept source OCT systems
WO2008138317A1 (en)Method for linear optical coherence tomography
WO2017045982A1 (en)Device and method for chromatic confocal examination of a sample
WO2019206371A1 (en)Method and device for testing geometric properties of optical components
DE102010044826B4 (en) Detector and measuring device and method for determining the thickness of a sample
EP1805476B1 (en)Interferometer comprising a mirror assembly for measuring an object to be measured
EP3154431A1 (en)Method for determining the points of origin of radiation signals in a measurement zone, and measuring apparatus for simultaneously detecting radiation events of decaying radionuclides in the measurement zone
DE102013220601A1 (en) Apparatus and method for testing layer homogeneities of a surface
DE102009037397B3 (en) Three-dimensional image of a sample structure
DE102020129792B4 (en) Computer-implemented method for determining a value of a geometric parameter
WO2009124569A1 (en)Optical coherence tomography system and optical coherence tomography method

Legal Events

DateCodeTitleDescription
121Ep: the epo has been informed by wipo that ep was designated in this application

Ref document number:10770517

Country of ref document:EP

Kind code of ref document:A1

NENPNon-entry into the national phase

Ref country code:DE

122Ep: pct application non-entry in european phase

Ref document number:10770517

Country of ref document:EP

Kind code of ref document:A1


[8]ページ先頭

©2009-2025 Movatter.jp