Movatterモバイル変換


[0]ホーム

URL:


WO2011031032A2 - 터치스크린의 리드아웃 회로부 - Google Patents

터치스크린의 리드아웃 회로부
Download PDF

Info

Publication number
WO2011031032A2
WO2011031032A2PCT/KR2010/005905KR2010005905WWO2011031032A2WO 2011031032 A2WO2011031032 A2WO 2011031032A2KR 2010005905 WKR2010005905 WKR 2010005905WWO 2011031032 A2WO2011031032 A2WO 2011031032A2
Authority
WO
WIPO (PCT)
Prior art keywords
touch screen
roic
analog
voltage
touch
Prior art date
Application number
PCT/KR2010/005905
Other languages
English (en)
French (fr)
Other versions
WO2011031032A3 (ko
Inventor
손영석
오형석
한대근
조규형
양준혁
정승철
Original Assignee
(주)실리콘웍스
한국과학기술원
Priority date (The priority date is an assumption and is not a legal conclusion. Google has not performed a legal analysis and makes no representation as to the accuracy of the date listed.)
Filing date
Publication date
Application filed by (주)실리콘웍스, 한국과학기술원filedCritical(주)실리콘웍스
Priority to US13/394,696priorityCriticalpatent/US20120169701A1/en
Publication of WO2011031032A2publicationCriticalpatent/WO2011031032A2/ko
Publication of WO2011031032A3publicationCriticalpatent/WO2011031032A3/ko

Links

Images

Classifications

Definitions

Landscapes

Abstract

본 발명에 따른 터치 스크린의 리드아웃 회로부는, 복수의 터치 센서가 터치 스크린 패널(TSP) 내부 또는 외부에 행과 열의 매트릭스 형태로 배열된 터치 센서부; 상기 터치 센서 각각의 전기적 변화를 감지한 후 이를 전압값으로 변환하여 저장하는 센싱 블록; 일정 간격을 두고 선택된 2개의 상기 센싱 블록에 각각 저장된 2개의 센싱 전압값의 차이를 인가 받아 델타(△) 전압을 만들어 내는 델타 회로부; 상기 델타회로부에서 출력된 아날로그 신호를 N(자연수) 비트의 디지털 신호로 변환하는 아날로그-디지털 변환기(ADC)를 제공함에 기술적 특징이 있다.

Description

터치스크린의 리드아웃 회로부
본 발명은 터치 스크린의 리드아웃 회로부 에 관한 것으로, 더욱 상세하게는 시그마-델타 원리에 의해 터치영역의 에지를 검출하는 터치 스크린의 리드아웃 회로부에 관한 것이다.
최근 디스플레이 시장에는 키보드나 마우스, 버튼과 같은 거추장스런 입력장치를 제거하고 보다 넓은 면적의 디스플레이의 활용을 가능하도록 하기 위해 터치 기능을 포함하고 있는 제품들이 많이 나와 있다. 이러한 터치 스크린 패널(touch screen pannel,이하 TSP)은 터치센서의 방식에 따라 저항방식과 정전용량 방식, 포토센서 방식 등으로 구분된다.
터치 스크린 패널(touch screen pannel,이하 TSP)로 저항 방식의 터치스크린은 사용자가 터치 스크린 패널의 일부 영역을 터치하는 경우, 저항 막에 의한 전압값을 검출하여 위치정보를 찾는 기술로서, 가격이 싸고 소형화에 유리하다는 점으로 지금까지 터치 스크린 시장의 대부분을 차지 해왔으나, 다수의 아이티오(Indium Tin Oxide, ITO) 층으로 인해 명암비(Contrast Ratio)가 낮고 표면의 마모나 긁힘에 취약하며 멀티터치의 구현이 어렵다는 단점이 있었다.
따라서 최근에는 정전용량 방식이나 포토센서 방식 등이 저항 방식을 대체할 터치스크린 방식으로써 많은 조명을 받고 있다.
도 1은 종래의 정전용량 방식 또는 포토 센서 방식에 사용되는 터치 스크린의 리드아웃 회로부(ROIC)의 개념을 도시한 것이다.
도1을 참조하면, 종래의 터치 스크린의 리드아웃 회로부(Read Out Intergrated Circuit ; 이하 ROIC)는 터치 스크린 패널(TSP, 110), 행과 열의 매트릭스 형태로 배열된 터치 센서(113), 아날로그-디지털 변환기(ADC,130)를 구비한다.
종래에는 터치 센서(113) 좌표에 대한 아날로그 값을 아날로그-디지털 변환기(ADC,130)를 통해 디지털 값으로 일대일 맵핑시키는 방식으로 터치 유무를 알아냈다.
아날로그-디지털 변환기(ADC,130)를 모든 칼럼(Column) 마다 사용할 경우 전력소모나 면적 등 여러 가지 단점이 있으므로 보통 하나의 아날로그-디지털 변환기(ADC,130)가 상당수의 터치 센서(113)를 커버하게 된다. 즉, 제 1단계는 한 행(Row)이 선택되면 그 행(Row)의 터치 센서 전체(115)가 센싱블록에 의해 아날로그 전압값이 생성되어 이 아날로그 전압값을 샘플링 커패시터(Sampling Capacitor)에 저장해 놓는다. 제 2단계는 순차적으로 상기 행(Row)에 해당하는 칼럼(Column)을 하나씩 스캔(scan) 해나가는 방식으로 샘플링 커패시터(Sampling Capacitor)에 저장된 전압값을 가져와 아날로그-디지털 변환하여 터치영역을 검출해 나가며 제 2단계가 수행될 때 다음 행(Row)은 상기 제 1단계를 수행하고 있다. 제 3 단계는 다음 행(Row)이 선택되어 상기 제 2단계에 해당하는 동작을 수행 하고 상기 단계들이 모든 행(Row)에 대해 반복된다.
도 2는 종래의 정전용량 방식 또는 포토 센서 방식에 사용되는 터치 스크린의 리드아웃 회로부(ROIC)를 구성하는 회로를 도시한 것이다.
도 2를 참조하면, 종래의 터치 스크린의 리드아웃 회로부(200)는 터치 스크린 패널의 각각의 칼럼에 배열된 칼럼 리드아웃 회로(column readout circuit, 210a, 210b), 글로벌 전하 증폭기(global, charge amplifier, 220) 및 아날로그-디지털 변환기(ADC,230)를 구비 한다.
글로벌 전하 증폭기(220)는 공통라인의 상부라인(nx1)과 공통라인의 하부 라인(nx2)에 다수의 칼럼 센싱 블록(Column Sensing Block)들이 연결되어 있음으로 인해 샘플링 커패시터(Cs, Cr)에 저장된 전하가 아날로그-디지털 변환기(ADC,230)로 들어가기 전에 상부 라인의 기생 커패시턴스(Cx1, 213a)과 하부 라인의 기생 커
패시턴스(Cx2, 213b)에 의해 전하 손실이 발생하므로 이러한 손실을 보상하기 위해 사용 된다.
글로벌 전하 증폭기(220)는 피드백 연결된 연산 증폭기(Opamp)를 사용하여 샘플링 커패시터(Cs, Cr)의 전하가 각각 상부 라인(nx1)과 하부 라인(nx2)을 충전하여 공통 라인의 공통 모드 전압(Common mode voltage)이 변화되는 것을 막는다.
도 3은 종래의 글로벌 전하 증폭기의 원리를 설명하기 위해 등가회로를 도시한 것이다.
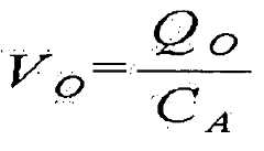
도 3을 참조하면, 밀러 효과(Miller Effect)로 인해 CA가 ACA로 보이기 때문에 상부의 회로와 하부의 회로는 등가 회로로 해석되므로 증폭기의 출력전압(V0)는 아래의 수학식처럼 표현된다.
[규칙 제91조에 의한 정정 28.10.2010] 
수학식 1
Figure WO-DOC-MATHS-1
여기서, CS는 센싱 블록(Sensing Block) 출력단의 저장 커패시터(Storage Capacitor) 이고 CP는 공통 라인의 기생 커패시턴스 이며 CA는 글로벌 전하증폭기의 피드백 커패시터(Feedback Capacitor)이고, A는 글로벌 전하 증폭기의 이득(gain)을 나타낸다.
하지만, 종래의 글로벌 전하 증폭기는 하기와 같은 문제점이 있다.
첫째, 글로벌 전하 증폭기는 연산증폭기(Opamp)의 대역폭(Bandwidth)이 커야 하고, 차동(Differential) 구조의 특성상 출력단의 공통모드(Common Mode)를 잡아주기 위해 공통모드 피드백 (Common Mode FeedBack, CMFB) 회로가 포함되어야 하므로 연산 증폭기(Opamp)의 설계가 까다롭다는 문제가 있다.
둘째, 공통라인의 노드 임피던스(Node Impedance)는 공통라인 노드가 안정화 되기 위해서 작은 값이 요구되는데, 증폭기를 일반 오티에이(Operational Transconductance Amplifier, OTA)로 구성할 경우 임피던스(Impedance)는 1/Gm 정도를 벗어나지 못하는 문제가 있다. 여기서 Gm은 오티에이(OTA) 자체의 트랜스컨덕턴스(Transconductance)를 의미한다.
본 발명이 해결하고자 하는 기술적 과제는, 시그마-델타 원리에 의해 센싱동작에 영향을 끼치는 노이즈 성분을 최대한 줄이면서 터치된 영역의 에지를 검출하고, ADC의 레졸루션(resolution)을 상당히 줄여 저 전력화 및 저 면적화가 가능하게 하고, 간단하면서 넓은 대역폭을 가지는 새로운 구조의 전하증폭기를 포함하는 터치 스크린의 리드아웃 회로부(ROIC)를 제공하는데 있다.
상기 기술적 과제를 이루기 위한 본 발명에 따른 터치 스크린의 리드아웃 회로부는, 복수의 터치 센서가 터치 스크린 패널(TSP) 내부 또는 외부에 행과 열의 매트릭스 형태로 배열된 터치 센서부; 상기 터치 센서 각각의 전기적 변화를 감지한 후 이를 전압값으로 변환하여 저장하는 센싱 블록; 일정 간격을 두고 선택된 2개의 상기 센싱 블록에 각각 저장된 2개의 센싱 전압값의 차이를 인가 받아 델타(△) 전압을 만들어 내는 델타 회로부; 상기 델타회로부에서 출력된 아날로그 신호를 N(자연수) 비트의 디지털 신호로 변환하는 아날로그-디지털 변환기(ADC)를 제공한다.
본 발명은 공통 노이즈나 센서 간 부정합 등의 영향을 효과적으로 제거하여 감응도(Sensitivity)를 향상시키고 아날로그-디지털변환기(ADC)의 레졸루션(Resolution)을 획기적으로 줄일 수 있는 장점이 있다.
또한 본 발명은 공통라인의 노드 임피던스를 기존보다 현저히 작게 할 수 있어서 넓은 대역폭(Bandwidth)을 갖는 전하 증폭기를 용이하게 설계할 수 있는 장점이 있다.
도 1은 종래의 정전용량 방식 또는 포토 센서 방식에 사용되는 터치 스크린의 리드아웃 회로부(ROIC)의 개념을 도시한 것이다.
도 2는 종래의 정전용량 방식 또는 포토 센서 방식에 사용되는 터치 스크린의 리드아웃 회로부(ROIC)를 구성하는 회로를 도시한 것이다.
도 3은 종래의 글로벌 전하 증폭기의 원리를 설명하기 위해 등가회로를 도시한 것이다.
도 4는 본 발명의 시그마_델타 원리에 의한 터치 스크린의 리드아웃 회로부(ROIC)의 개념도 이다.
도 5는 본 발명의 1bit 신호 처리를 위한 시그마-델타 원리에 의한 터치 스크린의 리드아웃 회로부(ROIC)를 구성하는 회로를 도시한 것이다.
도 6은 본 발명의 전류를 가변시켜 데드존을 조절 할 수 있는 데드존 비교기 회로를 도시한 것이다.
도 7은 본 발명의 2bit 이상의 멀티 비트(multi bit) 신호처리를 위한 시그마-델타 원리에 의한 터치 스크린의 리드아웃 회로부(ROIC)를 구성하는 회로를 도시한 것이다.
도 8은 본 발명의 센싱 블록의 동작을 설명하는 회로도 이다.
도 9는 본 발명의 전하 증폭기의 동작 원리를 설명하기 위해 도시한 것이다.
도 10은 본 발명의 전하 증폭기의 일 실시예를 회로로 도시한 것이다.
도 11은 본 발명의 전하 증폭기의 피드백 동작을 설명하기 위해 도시한 것이다.
도 12는 본 발명의 1 비트 레졸루션을 갖는 비교기인 경우 터치 영역에 대한 리드 아웃을 도시한 것이다.
이하에서는 본 발명의 구체적인 실시 예를 도면을 참조하여 상세히 설명하도록 한다.
도 4는 본 발명의 시그마_델타 원리에 의한 터치 스크린의 리드아웃 회로부(ROIC)의 개념도 이다.
도 4를 참조하면, 종래와 같이 터치 스크린 패널(TSP, 410), 행과 열의 매트릭스 형태로 배열된 터치 센서(413), 아날로그-디지털 변환기(ADC,430)를 구비한다.
하지만 종래와 달리 모든 터치 센서(413) 좌표에 대해 하나씩 스캔하는 방식이 아니라, 선택된 2개의 터치 센서(415a, 415b) 사이에 일정 간격을 두고, 한 컬럼( Column) 씩 이동하면서, 2개의 터치 센서의 전압 출력값을 순차적으로 비교해 상기 각각의 전압 출력값의 차이값(이하, '델타(△) 전압' 라 함)에 대해 아날로그_디지털 변환을 수행(430) 한다.
좀 더 구체적으로 설명하면, 상기 일정한 간격은 바로 옆의 인접한 터치센서를 제외한 다른 터치센서와의 일정 간격을 의미하며, 일정 간격을 두고 한칸 씩 순차적으로 이동하면서 행(Row)의 끝까지 읽어 나가며, 선택된 한 행(Row)에 대해 스캐닝이 끝나면 다음 행(Row)에 대해서 대해서도 마찬가지로 방식으로 스캐닝을 한다.
도 5는 본 발명의 1bit 신호 처리를 위한 시그마-델타 원리에 의한 터치 스크린의 리드아웃 회로부(ROIC)를 구성하는 회로를 도시한 것이다.
도 5를 참조하면, 본 발명의 터치 스크린의 리드아웃 회로부(500)는 터치 스크린 패널(TSP, 510), 복수의 터치 센서가 터치 스크린 패널(TSP, 510) 내부 또는 외부에 행과 열의 매트릭스 형태로 배열된 터치 센서부(513), 터치센서 각각의 전기적 변화를 감지한 후 이를 전압값으로 변환하여 저장하는 센싱 블록(517a...517b)을 포함하는 센싱 블록부(517), 일정 간격을 두고 선택된 2개의 상기 센싱 블록에 각각 저장된 2개의 센싱 전압값의 차이를 인가 받아 델타(△) 전압을 만들어 내는 델타 회로부(520); 상기 델타회로부에서 출력된 아날로그 신호를 1bit디지털 신호로 변환하여 신호 처리하는 1비트 비교기(530); 및 상기 1비트 비교기(530)에서 출력된 디지털 신호를 누적하여 가산 또는 감산 하는 카운터(540)를 구비한다.
이하 상기 델타 회로부(520)는 델타 회로부에서 생긴 델타(△)가 아날로그-디지털 변환기(ADC)의 입력에 인가될 때, 기생성분에 의한 델타(△) 전압의 손실을 방지하도록 전하 증폭기를 더 구비하는 형태로 실시할 수 있지만, 이에 한정하지 아니하고 다양하게 변경하여 실시 할 수 있음은 당연하다.
이하, 센싱 블록부(517) 및 카운터(540)의 구성을 통해 시그마_델타 원리가 구현되어 터치 영역의 에지를 검출하는 방법에 대해 상세히 설명 한다.
센싱 블록부(517)는 한 행(Row)의 모든 터치 센서가 각각 감지한 터치정보에 대한 전기적 변화를 전압으로 변환하여 각각 공통라인의 상부 라인과 연결된 상부 샘플링 커패시터(Cs1) 및 공통라인의 하부 라인과 연결된 하부 샘플링 커패시터(Cs2)에 저장한다.
여기서, 상기 같은 값을 갖는 출력값의 차이(△)를 굳이 상부 샘플링 커패시터(Cs1) 및 하부 샘플링 커패시터(Cs2)에 모두 저장하는 이유는 하나의 터치센서가 스캐닝이 진행됨에 따라 왼쪽으로 일정간격 떨어진 터치센서와 한번, 그리고 오른쪽으로 일정간격 떨어진 터치센서와 또 한 번 비교되어 총 두 번 비교되기 때문이다.
복수의 센싱 블록(517a, 517b) 중 일정 간격 떨어진 2개의 센싱 블록에 저장된 전압값의 차이를 가져오기 위해, 스위치를 동시에 열어 상기 상부 샘플링 커패시터(Cs1) 및 상기 하부 샘플링 커패시터(Cs2)에 저장된 각각의 상기 2개의 센싱블록 출력 전압값의 차이(△)를 전하 증폭기로 인가 한 후 이를 증폭하여 비교기(530)에 입력 시킨다.
본 발명은 2개의 터치센서를 비교하는데, 상기 2개의 비교 포인트가 모두 터치영역 내에 있거나 모두 터치영역 밖에 있을 경우 이상적으로 두 터치센서에 대한 센싱 블록의 출력 전압값이 동일할 것이므로 델타(△)가 0이 된다.
하지만, 실제적으로 센서 간 부정합이나 공통 노이즈 등으로 인해 델타(△)가 0이 되지 않으며, 일반 비교기를 사용할 경우 델타가 0보다 조금만 커도 트리거링(triggering) 되기 때문에 일반 비교기를 사용하는 대신 비교기의 트리거링(triggering)에 데드존(dead zone)을 넣은 데드존 비교기(530)를 사용하는 것이 바람직하다.
카운터(540)는 상기 데드존 비교기(530)에 입력된 델타(△) 값 중에서 데드존의 범위를 넘는 델타(△) 값에 대해서만 비교기의 출력이 나오게 되므로 상기 델타(△) 값에 대해서만 누적하여 가산 또는 감산을 한다.
본 발명의 데드 존(Dead zone)은 일정 구간의 작은 입력에 대해서는 비교기를 동작시키지 않는 비교기 입력전압의 범위를 의미한다. 상기 데드 존(Dead zone)은 노이즈에 의한 델타(△) 값 보다 큰 값이어야 하며, 외부환경이나 터치 패널 환경에 대해 가변적으로 변하도록 하는 것이 바람직하다.
도 6은 본 발명의 전류를 가변시켜 데드존을 조절 할 수 있는 데드존 비교기 회로를 도시한 것이다.
도 6을 참조하면, TR1과 TR2는 전류 미러(current mirror)를 형성하여 동일한 크기의 정전류 Ia, Id를 각각 트랜지스터 A와 노드 D로 흘려보내며, TR3과 TR4역시 전류 미러(current mirror)를 형성하여 동일한 크기의 정전류 Ib, Ic를 각각 트랜지스터 B와 노드 C로 흘려보낸다.
이하 데드존 정전류(Idz)를 변화시켜 데드존을 조절하는 동작을 설명한다.
예를 들어, 입력 트랜지스터 A의 전류 Ia와 입력 트랜지스터 B의 전류 Ib를 합한 테일 커런트(Tale Current) It에 5uA 전류가 흐르고, 노드 C와 노드 D를 각각 통과 하여 흐르는 제1데드존 정전류(Idz)와 제2 데드존 정전류(Idz)가 3uA의 동일한 크기의 전류가 흐르도록 한 경우를 고려한다.
입력 트랜지스터A, B 아래쪽에 테일 커런트(Tale Current) It 가 5uA 전류가 흐르므로 Ia, Ib 모두 2.5 uA가 흐르며, 전류 미러를 통해 오른쪽에도 Ic, Id가 2.5 uA씩 흐른다. 그러나 아래쪽의 데드존 정전류(Idz)에 3 uA가 흐르고 있으므로 노드 C와 노드 D는 각각 로우(Low) 레벨로 떨어진다.
만일 입력 트랜지스터A의 Ia는 4uA, 입력 트랜지스터B의 Ib는 1uA의 전류가 흐르는 경우, 전류 미러에 의해 Ic는 1uA, Id는 4uA가 흐르므로, 여전히 노드 C는 데드존 정전류(Idz)의 3uA 보다 작으므로 로우(Low) 상태 이지만, 노드 D는 데드존 정전류(Idz)의 3uA 보다 커지는 순간 하이(High) 상태로 된다.
즉 데드존 정전류(Idz)의 3uA 보다 작은 입력이 있는 경우 노드 C 와 노드 D는 항상 출력이 로우(Low) 상태로 되며, 입력이 점점 커져서 Ia 혹은 Ib 가 3uA 보다 크게 되는 경우 노드C 또는 노드D 중 하나가 하이(High) 상태가 된다.
여기서 데드존 정전류(Idz)의 크기를 3uA에 한정하여 설명했지만, 노이즈에 의해 생기는 델타 레벨을 고려해서 최적의 수치를 갖도록 다양하게 변형 실시 할 수 있음은 당연하다.
바람직하게 노드 C와 노드 D의 출력전압을 더 샤프하게 만들어주기 위해 출력 쪽에 인버터(Inverter)를 설치할 수 있다.
도 7은 본 발명의 2bit 이상의 멀티 비트(multi bit) 신호처리를 위한 시그마-델타 원리에 의한 터치 스크린의 리드아웃 회로부(ROIC)를 구성하는 회로를 도시한 것이다.
도 7을 도 5와 연계하여 설명하면, 더 높은 감응도를 위해 도 5의 1bit 레졸루션을 갖는 비교기 대신 2bit 이상의 레졸루션을 갖는 아날로그-디지털 컨버터(ADC, 535), 카운터(540) 대신 가산기(Adder, 545)를 사용하는 것 외에는 도 5와 동일하므로 중복되는 부분에 대해서는 설명을 생략한다.
이 경우 도 5의 데드존 개념과 유사하게, 가산기(Adder, 545)는 노이즈에 의해 발생되는 아날로그-디지털 컨버터(ADC, 535)의 출력 값들을 필터링(filtering) 할 수 있는 문턱값(Threshold)을 설정하고, 아날로그-디지털 컨버터(ADC, 535)에서 출력된 값이 미리 정한 문턱값(Threshold) 보다 큰 값에 대하여만 가산 또는 감산하도록 설계하는 것이 바람직하다.
도 8은 본 발명의 센싱 블록의 동작을 설명하는 회로도이다.
도 8을 참조하면, 본 발명의 센싱 블록은 연산증폭기(Opamp)와 커패시터로 이루어진 증폭회로로서, 게이트 스위치(S1, S2)가 열리면 전하(Qin)가 터치 패널 방향으로 들어가거나, 터치 패널로부터 나오면서 그 흐름에 따라 피드백 커패시터(CF)에 전압을 충전한다.
상기 전하의 이동 량은 터치된 영역과 터치하지 않은 영역에서 차이가 있게 된다. 만약 터치된 영역에서 전하의 흐름이 더 크다면 터치하지 않은 영역에 비해 상대적으로 많은 양의 전하가 피드백 커패시터(CF)에 충전되고, 이로 인해 연산증폭기(Opamp) 출력단의 전압이 터치했을 때와 터치 하지 않았을 때가 서로 차이가 있게 된다.
상기의 과정은 선택된 행(Row)의 모든 터치 센서에 대해 동시에 이루어지며, 이로 인해 연산증폭기(Opamp) 출력단의 전압 또한 동시에 상부 샘플링 커패시터(Sampling Capacitor) CS1및 하부 샘플링 커패시터(Sampling Capacitor) CS2각각에 저장된다.
도 9는 본 발명의 전하 증폭기의 동작 원리를 설명하기 위해 도시한 것이다.
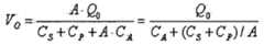
도 9를 참조하면, 본 발명의 전하 증폭기는 연산증폭기(Opamp)를 사용하지 않고, 공통라인의 상부라인과 공통라인의 하부 라인의 공통모드 전압(Vcm)을 내부 피드백 회로를 이용해 상기 공통모드 전압(Vcm)으로 유지시키고, 상기 상부라인으로부터 오는 제1 전하량(Q1)과 상기 하부라인으로부터 오는 제2 전하량(Q2)의 차이 전하량(Q0) 만큼만 외동 출력단의 저장 커패시터(CA)에 충전한 후 전압을 만든다. 이로 인해 센싱 블록의 상부 샘플링 커패시터(Sampling Capacitor) CS1및 하부 샘플링 커패시터(Sampling Capacitor) CS2로부터의 전하가 공통라인에 기생하는 기생 커패시턴스(CP)를 충전하지 않으며, 노드 전압이 순간적으로 높아지더라도 피드백에 의해 무조건 공통모드 전압(VCM)으로 수렴하게 된다.
상기 전하 증폭기의 출력(Vo)은 하기의 [수학식2]로 표현되며, [수학식2]를 참조하면 전하 증폭기의 출력은 기생 커패시턴스(CP)의 영향을 받지 않는다는 것을 알 수 있다.
[규칙 제91조에 의한 정정 28.10.2010] 
수학식 2
Figure WO-DOC-MATHS-2
도 10은 본 발명의 전하 증폭기를 회로로 도시한 것이고, 도 11은 본 발명의 전하 증폭기의 피드백 동작을 설명하기 위해 도시한 것이다.
도 10을 참조하면, 노드 Nt는 상부라인과 연결된 노드이고, 노드 Nb는 하부 라인과 연결된 노드를 나타낸다.
게이트가 Vcm으로 인가되는 제1 피모스(PMOS) 트랜지스터(T1)와 그 양 옆에 제2, 제3 피모스(PMOS) 트랜지스터(T2, T3)가 구비된다. 제1, 제2 및 제3 피모스(PMOS) 각각에 흐르는 바이어스 전류가 같다면 게이트(G), 소스(S) 간 걸리는 전압(Vgs)이 같을 것이므로 피드백에 의해 노드 Nt 및 노드 Nb도 항상 공통 모드 전압(Vcm)과 동일한 전압이 된다.
본 발명에서는 제1, 제2, 제3 피모스(PMOS) 트랜지스터를 사용하여 노드 Nt 및 노드 Nb를 항상 공통전압(Vcm)으로 잡히게 하는 방법에 대해서 설명했지만, 이에 한정되지 아니하고, 제1, 제2, 제3 엔모스(NMOS) 트랜지스터를 사용하여 실시 할 수 있음은 당연하다.
이하 도 11을 참조하여 본 발명의 전하증폭기의 피드백 동작의 예를 설명한다.
우선 오른쪽의 노드 Nt에 대해 피드백 동작을 설명한다.
노드 Nt 쪽으로 센싱 블록 저장커패시터(Cp)로부터 전하가 이동해 노드 Nt 전압이 갑자기 높아졌다고 판단하면 빨간색 경로를 따라 노란색 화살표와 같이 전압이 변하게 되고 결국 높아졌던 노드 Nt가 다시 전압이 낮아지는 쪽으로 회로가 동작하게 되며 이동했던 전하들은 저장 커패시터(Storing Capacitor, CA)로 이동해 충전된다.
왼쪽의 노드 Nb의 피드백 동작은 오른쪽의 노드 Nt의 피드백 동작과 같지만,저장 커패시터(Storing Capacitor, CA)로 들어가는 전하의 방향이 종전의 반대이므로, 결국 저장 커패시터(Storing Capacitor, CA)에 Nt와 Nb로 들어온 전하의 차이(Q0) 즉 상부라인과 하부라인을 통해서 온 두 전하의 차이(Q0)만큼 충전된다.
본 발명의 전하증폭기는 출력단의 커패시터 아랫단을 기준전압(Vref)이 연결되어 있으므로 전하가 저장 커패시터(Storing Capacitor, CA)에 충전될 경우저장 커패시터(Storing Capacitor, CA)의 위쪽 전압만 변하는 외동 출력 증폭기의 구조를 가지게 된다. 따라서 종전의 차동 출력 증폭기에서 요구되는 공통모드 피드백(Common Mode FeedBack, CMFB) 회로가 불필요함을 알 수 있다.
본 발명의 전하 증폭기에 따르면 내부에서 큰 루프 이득을 갖도록 네거티브 피드백(Negative Feedback)을 인가함에 의해 공통라인을 종래의 전하증폭기를 사용할 때 보다 공통라인을 훨씬 작은 로우 임피던스 노드(Low Impedance Node)로 만들 수 있다. 즉 공통라인의 공통모드 전압(VCM)이 거의 흔들리지 않는 안정한 값으로 유지할 수 있다.
[규칙 제91조에 의한 정정 28.10.2010] 
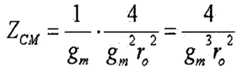
이를 좀 더 상세히 설명하면, 종래의 전하증폭기의 경우 오티에이(OTA) 자체 트랜스컨덕턴스(Transconductance)를 Gm이라고 할 때 공통라인의 노드 임피던스(Node Impedance)가
Figure WO-DOC-83
정도밖에 되지 않는다.
반면, 본 발명의 전하증폭기 회로의 네거티브 루프(Negative Loop)에 대한 루프 게인(Loop Gain)은 하기의 [수학식3]로 표현 된다.
[규칙 제91조에 의한 정정 28.10.2010] 
수학식 3
Figure WO-DOC-MATHS-3
피드백이 걸리지 않은 공통 라인 노드의 임피던스는 대략 1/gm이 되므로 피드백에 의해 1/gm 이 1 + LG, 즉 근사적으로 거의 LG 만큼 나눠지는 효과가 있다. 따라서 공통라인 노드 임피던스 ZCM 은 하기 [수학식4]로 표현된다.
[규칙 제91조에 의한 정정 28.10.2010] 
수학식 4
Figure WO-DOC-MATHS-4
이로써, 본 발명의 전하 증폭기는 내부에 피드백을 걸어 굉장히 큰 루프게인(Loop Gain)을 얻을 수 있기 때문에 임피던스(Impedance)가 종래 보다 현저히 낮아져 공통 라인의 공통모드 전압(VCM)이 안정된 값을 갖게 됨을 알 수 있다.
도 12는 본 발명의 1 비트 레졸루션을 갖는 비교기인 경우 터치 영역에 대한 리드 아웃을 도시한 것이다.
도 12를 참조하면, 본 발명의 1 비트 레졸루션을 갖는 비교기(530)는 터치된 영역(910)이나 터치되지 않은 영역에서는 동작하지 않고 두 터치 영역의 경계부(911a, 911b)에서 동작한다. 즉 터치영역 경계부의 양쪽에 양 펄스(Positive Pulse) 군과 음 펄스(Negative Pulse) 군이 형성되며, 비교기를 통해 출력된 양 펄스(Positive Pulse) 군(920a)에 대하여는 카운터(540)를 통해 누적하여 가산하며(930a), 비교기를 통해 출력된 음 펄스(Negative Pulse) 군(920b)에 대하여는 카운터(540)를 통해 누적하여 감산 한다(930b).
상기 과정은 1 비트 레졸루션을 갖는 비교기에 대해 설명했지만, 이에 한정 되지 아니하고, '2비트 이상의 레졸루션을 갖는 ADC'에 대해서도 유사하게 적용할 수 있음은 당연하다. '2비트 이상의 레졸루션을 갖는 ADC'를 사용할 경우 앞에서 상술한 바처럼, 가산기(Adder)에 비교기의 데드존 기능처럼 ADC의 출력 중 노이즈에 해당하는 디지털 출력은 걸러낼 수 있도록 데드존 기능을 넣는 것이 바람직하다.
이상에서는 본 발명에 대한 기술사상을 첨부 도면과 함께 서술하였지만 이는 본 발명의 바람직한 실시 예를 예시적으로 설명한 것이지 본 발명을 한정하는 것은 아니다. 또한 본 발명이 속하는 기술 분야에서 통상의 지식을 가진 이라면 누구나 본 발명의 기술적 사상의 범주를 이탈하지 않는 범위 내에서 다양한 변형 및 모방이 가능함은 명백한 사실이다.

Claims (17)

  1. 복수의 터치 센서가 터치 스크린 패널(TSP) 내부 또는 외부에 행과 열의 매트릭스 형태로 배열된 터치 센서부;
    상기 터치 센서 각각의 전기적 변화를 감지한 후 이를 전압값으로 변환하여 저장하는 센싱 블록;
    일정 간격을 두고 선택된 2개의 상기 센싱 블록에 각각 저장된 2개의 센싱 전압값의 차이를 인가 받아 델타(△) 전압을 만들어 내는 델타 회로부;
    상기 델타 회로부에서 출력된 아날로그 신호를 N(자연수) 비트의 디지털 신호로 변환하는 아날로그-디지털 변환기(ADC)를 구비하는 것을 특징으로 하는 터치 스크린의 리드아웃 회로부(ROIC).
  2. 제 1항에 있어서, 상기 델타 회로부에서 생긴 상기 델타(△) 전압이 상기 아날로그-디지털 변환기(ADC)의 입력에 인가될 때, 기생성분에 의한 상기 델타(△) 전압의 손실을 방지하도록 전하 증폭기를 더 포함 하는 것을 특징으로 하는 터치 스크린의 리드아웃 회로부(ROIC).
  3. 제 2항에 있어서, 상기 전하 증폭기는,
    상기 센싱 전압값의 차이를 순차적으로 한 컬럼(Column) 씩 이동하면서 공통라인을 통해 인가 받아 증폭하는 것을 특징으로 하는 터치 스크린의 리드아웃 회로부(ROIC).
  4. 제 1항에 있어서, 상기 아날로그-디지털 변환기(ADC)에서 출력된 N(자연수) 비트의 디지털 신호를 받아 연산할 수 있는 디지털처리 블록을 더 포함하는 것을 특징으로 하는 터치 스크린의 리드아웃 회로부(ROIC).
  5. 제 4항에 있어서, 상기 디지털처리 블록은,
    가산 또는 감산을 수행하는 계산기를 사용하는 것을 특징으로 하는 터치 스크린의 리드아웃 회로부(ROIC).
  6. 제 1항에 있어서, 상기 센싱 블록은,
    상기 터치 센서 각각에 대한 출력전압을 공통라인의 상부 라인과 연결된 상부 샘플링 커패시터 및 공통라인의 하부 라인과 연결된 하부 샘플링 커패시터에 각각 저장하는 것을 특징으로 하는 터치 스크린의 리드아웃 회로부(ROIC).
  7. 제 1항에 있어서, 상기 일정 간격은,
    이웃 인접한 터치센서를 제외한 다른 터치센서와 간격으로 정의되는 것을 특징으로 하는 터치 스크린의 리드아웃 회로부(ROIC).
  8. 제 2항에 있어서, 상기 전하 증폭기는,
    연산증폭기(Opamp)를 사용하지 않고, 공통라인의 상부라인과 상기 공통라인의 하부라인의 공통모드 전압(Vcm)을 내부 피드백 회로를 이용해 상기 공통모드 전압(Vcm)으로 유지시키고, 상기 상부라인으로부터 오는 제1 전하량(Q1)과 상기 하부라인으로부터 오는 제2 전하량(Q2)의 차이 전하량(Q0) 만큼만 외동 출력단의 저장 커패시터에 충전한 후 전압을 만들어내는 것을 특징으로 하는 터치스크린의 리드아웃 회로부(ROIC).
  9. 제 1항에 있어서, 상기 N(자연수) 비트의 디지털 신호가 1 비트 인 경우,
    상기 아날로그-디지털 변환기(ADC)는 1 비트 레졸루션을 갖는 비교기를 사용하는 것을 특징으로 하는 터치 스크린의 리드아웃 회로부(ROIC).
  10. 제 5항에 있어서, 상기 N(자연수) 비트의 디지털 신호가 1 비트 인 경우,
    상기 계산기는 카운터를 사용하는 것을 특징으로 하는 터치 스크린의 리드아웃 회로부(ROIC).
  11. 제 9항에 있어서, 상기 비교기는,
    일정 범위의 작은 입력에 대해서는 비교기를 동작시키지 않는 데드 존(Dead zone)이 설정된 것을 특징으로 하는 터치 스크린의 리드아웃 회로부(ROIC).
  12. 제 11항에 있어서, 상기 데드 존(Dead zone)은,
    상기 비교기의 제1 출력 노드 및 제2 출력 노드에 각각 연결된 동일한 크기를 갖는 제1 데드존 정전류 및 제2 데드존 정전류를 구비하여 상기 제1 출력 노드 또는 상기 제2 출력 노드를 로우(low) 또는 하이(high)로 작동하도록 하는 것을 특징으로 하는 터치 스크린의 리드아웃 회로부(ROIC).
  13. 제 12항에 있어서, 상기 제 1출력 노드 또는 상기 제2 출력 노드는,
    상기 제1 출력 노드에 흐르는 제1 출력노드 전류가 상기 제1 데드존 정전류보다 크거나, 상기 제2 출력 노드에 흐르는 제2 출력 노드 전류가 상기 제2 데드존 정전류 보다 큰 경우만 각각 하이(high)로 작동하도록 하는 것을 특징으로 하는 터치 스크린의 리드아웃 회로부(ROIC).
  14. 제 12항에 있어서, 상기 제1 데드존 정전류 및 제2 데드존 정전류의 크기는 조절하여 변경 할 수 있는 것을 특징으로 하는 터치 스크린의 리드아웃 회로부(ROIC).
  15. 제 1항에 있어서, 상기 N(자연수) 비트의 디지털 신호가 2비트 이상인 경우,
    상기 아날로그-디지털 변환기(ADC)는 2 비트 이상의 레졸루션을 갖는 아날로그-디지털 변환기(ADC)를 사용하는 것을 특징으로 하는 터치 스크린의 리드아웃 회로부(ROIC).
  16. 제 5항에 있어서, 상기 N(자연수) 비트의 디지털 신호가 2비트 이상인 경우,
    상기 계산기는 가산기(Adder)를 사용하는 것을 특징으로 하는 터치 스크린의 리드아웃 회로부(ROIC).
  17. 제 16항에 있어서, 상기 가산기(Adder)는,
    노이즈에 의해 발생되는 아날로그-디지털 컨버터(ADC)의 출력값 들을 필터링 할 수 있는 문턱값(Threshold)을 설정하고, 아날로그-디지털 컨버터(ADC)에서 출력된 값이 미리 정한 문턱값(Threshold) 보다 큰 값에 대하여만 가산 또는 감산 하도록 하는 것을 특징으로 하는 터치 스크린의 리드아웃 회로부(ROIC).
PCT/KR2010/0059052009-09-082010-09-01터치스크린의 리드아웃 회로부WO2011031032A2 (ko)

Priority Applications (1)

Application NumberPriority DateFiling DateTitle
US13/394,696US20120169701A1 (en)2009-09-082010-09-01Readout integrated circuit for a touch screen

Applications Claiming Priority (2)

Application NumberPriority DateFiling DateTitle
KR10-2009-00846092009-09-08
KR1020090084609AKR101040925B1 (ko)2009-09-082009-09-08터치스크린의 리드아웃 회로부

Publications (2)

Publication NumberPublication Date
WO2011031032A2true WO2011031032A2 (ko)2011-03-17
WO2011031032A3 WO2011031032A3 (ko)2011-06-30

Family

ID=43732916

Family Applications (1)

Application NumberTitlePriority DateFiling Date
PCT/KR2010/005905WO2011031032A2 (ko)2009-09-082010-09-01터치스크린의 리드아웃 회로부

Country Status (4)

CountryLink
US (1)US20120169701A1 (ko)
KR (1)KR101040925B1 (ko)
TW (1)TWI428799B (ko)
WO (1)WO2011031032A2 (ko)

Families Citing this family (13)

* Cited by examiner, † Cited by third party
Publication numberPriority datePublication dateAssigneeTitle
US20130300690A1 (en)*2012-04-252013-11-14Silicon Works Co., Ltd.Control circuit of touch screen and noise removing method
KR101449490B1 (ko)*2012-12-062014-10-14포항공과대학교 산학협력단센싱 장치
KR20140076023A (ko)*2012-12-122014-06-20삼성디스플레이 주식회사리드아웃 유닛 및 이를 포함하는 유기 발광 표시 장치
KR101496812B1 (ko)*2013-03-152015-02-27삼성전기주식회사접촉 감지 장치 및 터치스크린 장치
EP2902888B1 (en)*2014-02-042022-10-05Semtech CorporationTouch panel calibration system
TW201602877A (zh)*2014-07-012016-01-16義隆電子股份有限公司觸碰感測裝置以及其使用之方法
WO2018143653A1 (ko)*2017-02-032018-08-09주식회사 인터메트릭스터치 입력 및 지문 입력을 인식하는 장치 및 방법
KR101949390B1 (ko)2017-07-202019-05-08울산과학기술원멀티 센싱 리드아웃 회로
CN212569813U (zh)*2019-12-172021-02-19神盾股份有限公司指纹感测装置
KR102416605B1 (ko)*2021-08-172022-07-05한국과학기술원비트라인 멀티 레벨 전압 센싱 회로
KR20230045817A (ko)2021-09-292023-04-05주식회사 엘엑스세미콘터치 센싱 신호 처리 회로
KR20230048932A (ko)2021-10-052023-04-12주식회사 엘엑스세미콘레벨 쉬프터, 레벨 쉬프터의 구동 방법, 레벨 쉬프터를 포함하는 게이트 드라이버, 및 게이트 드라이버의 구동 방법
KR20230103560A (ko)*2021-12-312023-07-07엘지디스플레이 주식회사발광표시장치 및 이의 구동방법

Family Cites Families (5)

* Cited by examiner, † Cited by third party
Publication numberPriority datePublication dateAssigneeTitle
JP2001306259A (ja)2000-04-202001-11-02Nec Infrontia Corpタッチパネルスキャン方式
KR101225083B1 (ko)*2006-12-212013-01-22삼성전자주식회사스캔 영역을 조정하는 장치 및 방법
KR20080104638A (ko)*2007-05-282008-12-03엘지디스플레이 주식회사액정표시장치 및 그의 구동방법
KR20090027948A (ko)*2007-09-132009-03-18삼성전자주식회사표시 패널 및 이 표시 패널을 갖는 표시 장치
US8451233B2 (en)2008-02-132013-05-28Himax Technologies LimitedSensor pixel and touch panel thereof

Also Published As

Publication numberPublication date
TWI428799B (zh)2014-03-01
KR101040925B1 (ko)2011-06-17
TW201112088A (en)2011-04-01
KR20110026812A (ko)2011-03-16
US20120169701A1 (en)2012-07-05
WO2011031032A3 (ko)2011-06-30

Similar Documents

PublicationPublication DateTitle
WO2011031032A2 (ko)터치스크린의 리드아웃 회로부
US10136083B1 (en)Electronic circuit having dynamic resistance element
US9716510B2 (en)Comparator circuits with constant input capacitance for a column-parallel single-slope ADC
WO2013100688A2 (ko)수신 주파수 밴드를 조절할 수 있는 터치감지회로 및 상기 터치감지회로를 구비하는 터치감지시스템
WO2019144305A1 (zh)电容检测电路、触摸检测装置和终端设备
US20180349666A1 (en)Capacitive image sensing device
CN104568169B (zh)带有失调消除功能的红外焦平面读出电路
CN101232286A (zh)A/d转换器
WO2016182347A1 (ko)압력 센싱 장치, 압력 검출기 및 이들을 포함하는 장치
WO2015133773A1 (ko)용량방식의 터치입력 감지회로
CN111095915A (zh)暗电流相关双采样器、图像传感器和暗电流补偿方法
TWI818459B (zh)指紋檢測放大電路以及指紋識別裝置
WO2018043902A2 (ko)터치 검출 방법 및 이를 이용하는 터치 검출 장치
TWI406032B (zh)觸控面板的讀取裝置與多通道讀取裝置
CN221804673U (zh)触控信噪比增大电路、芯片及电子设备
WO2017116082A1 (ko)하나의 감지 회로로 복수의 모드들을 구현하는 터치 패널용 구동 회로 및 이를 이용한 터치 감지 방법
WO2018235997A1 (ko)스위치드-커패시터 d/a 변환기를 사용한 축차 비교형 a/d 변환기
CN114629497A (zh)用于列并行单斜坡模数转换器的比较器失调电压消除电路
KR102816992B1 (ko)터치 이벤트 처리 회로
Yang et al.A novel readout IC with high noise immunity for charge-based touch screen panels
CN110798195A (zh)差分触摸检测电路以及采用该差分触摸检测电路的触摸判断方法
TWI812959B (zh)指紋採集電路、晶片及電子設備
TWI795803B (zh)影像感測器
WO2019088783A1 (ko)디스플레이 영역에서의 생체 이미지 판독 장치
CN117836746B (zh)触控信噪比增大电路、芯片及电子设备

Legal Events

DateCodeTitleDescription
121Ep: the epo has been informed by wipo that ep was designated in this application

Ref document number:10815577

Country of ref document:EP

Kind code of ref document:A1

WWEWipo information: entry into national phase

Ref document number:13394696

Country of ref document:US

NENPNon-entry into the national phase

Ref country code:DE

122Ep: pct application non-entry in european phase

Ref document number:10815577

Country of ref document:EP

Kind code of ref document:A2


[8]ページ先頭

©2009-2025 Movatter.jp