Movatterモバイル変換


[0]ホーム

URL:


WO2011003218A1 - Acceleration motion identify method and system thereof - Google Patents

Acceleration motion identify method and system thereof
Download PDF

Info

Publication number
WO2011003218A1
WO2011003218A1PCT/CN2009/000770CN2009000770WWO2011003218A1WO 2011003218 A1WO2011003218 A1WO 2011003218A1CN 2009000770 WCN2009000770 WCN 2009000770WWO 2011003218 A1WO2011003218 A1WO 2011003218A1
Authority
WO
WIPO (PCT)
Prior art keywords
data
motion
acceleration
module
action
Prior art date
Application number
PCT/CN2009/000770
Other languages
French (fr)
Chinese (zh)
Inventor
韩铮
Original Assignee
Han Zheng
Priority date (The priority date is an assumption and is not a legal conclusion. Google has not performed a legal analysis and makes no representation as to the accuracy of the date listed.)
Filing date
Publication date
Application filed by Han ZhengfiledCriticalHan Zheng
Priority to CN200980161332.5ApriorityCriticalpatent/CN102667672B/en
Priority to PCT/CN2009/000770prioritypatent/WO2011003218A1/en
Publication of WO2011003218A1publicationCriticalpatent/WO2011003218A1/en

Links

Classifications

Definitions

Landscapes

Abstract

An acceleration motion identification method and a system thereof, said motion identification method comprises the following steps: collecting effective data signals of a motion through a three-dimensional acceleration sensor; confirming quiescency data of the start and the end of the motion; separating the gravitational acceleration from the data collected through the three-dimensional acceleration sensor by using the gravitational acceleration separating arithmetic so as to obtain the movement acceleration data of the motion, based on the effective data signals collected through the three-dimensional and the quiescency data of the start and the end of the motion; calculating the speed and the path of the motion based on the movement acceleration data of the motion.

Description

一种加速度动作识别系统及其方法 技术领域 Acceleration action recognition system and method thereof
本发明涉及一种加速度动作识别系统及其方法, 特别涉及一种基 于非陀螺仪技术的加速度动作识别系统及其方法。 背景技术 The present invention relates to an acceleration motion recognition system and method thereof, and more particularly to an acceleration motion recognition system based on non-gyro technology and a method thereof. Background technique
目前, 绝大多数的动作识别设备可以分别用光学传感定位方法和 运动加速度传感定位算法, 虽然这两种方法已经可以实现基本的动作 定位和识别, 但是都分别存在一定的技术局限性。 基于光学传感定位方法的动作识别 At present, most motion recognition devices can use optical sensing positioning methods and motion acceleration sensing positioning algorithms respectively. Although these two methods can achieve basic motion positioning and recognition, they all have certain technical limitations. Motion recognition based on optical sensing positioning method
以任天堂生产的 Wii 游戏机为代表, 参见美国专利公开号为 us Represented by the Wii game console produced by Nintendo, see US Patent Publication No.
2008/0119269 A1; 标题为 " GAME SYSTEM AND STORAGE MEDIUM STORING GAME PROGRAM"专利文献, 其利用设备上的 红外线接收传感器接收到来自设备两端的红外线发生器所产生信号的 强弱不同以及两个投射点的相对距离, 计算出二维的运动轨迹。 但这种实现方法存在着一些固有的不足: 由于必须在操作设备两 端各安装一个红外线发射器, 并且为了保证接收传感器上的两个投射 点距离足够分辨, 两个传感器必须分离开一定的距离, 造成了设备的 尺寸较大的缺陷。 并且受到红外线接收传感器的信号强度分辨率限制, 设备仅在 1米到 5米的范围内可以达到足够的精度, 无法适应 1米内 的近距离操作和 5米以上的远距离操作。 基于磁体在地磁场中定位的动作识别2008/0119269 A1; entitled "GAME SYSTEM AND STORAGE MEDIUM STORING GAME PROGRAM" patent document, which uses the infrared receiving sensor on the device to receive the difference in the strength of the signal generated by the infrared generator from both ends of the device and the two projection points Relative distance, calculate the two-dimensional motion trajectory. However, there are some inherent deficiencies in this implementation: Since an infrared emitter must be installed at each end of the operating device, and in order to ensure that the distance between the two projection points on the receiving sensor is sufficiently resolved, the two sensors must be separated by a certain distance. , resulting in a large size defect of the device. Moreover, it is limited by the signal intensity resolution of the infrared receiving sensor. The device can achieve sufficient accuracy only in the range of 1 meter to 5 meters, and can not adapt to the close distance operation within 1 meter and the long distance operation of 5 meters or more. Motion recognition based on magnet positioning in the earth's magnetic field
以美国 Sixense的磁体定位系统和方法为代表。系统利用一个产生 1/50 地磁场强度的磁基站与地磁场组成一个正交的磁场坐标系, 控制 设备在这个磁场坐标系中运动时, 能够实时反映出物体在磁场坐标系 中的相对坐标和空间姿态, 有较高的定位精度和实时性。 这种方法存在的不足是, 系统体积较大并不方便携带, 并且磁场 的有效范围受制于产生磁场基站的发射功率强度, 并不适用与普通的 计算机用户。 基于运动加速度传感器和陀螺仪的动作识别It is represented by the magnet positioning system and method of Sixense of the United States. The system uses a magnetic base station that generates 1/50 of the magnetic field strength to form an orthogonal magnetic field coordinate system. When the control device moves in this magnetic field coordinate system, it can reflect the relative coordinates of the object in the magnetic field coordinate system in real time. Spatial attitude, with high positioning accuracy and real-time. The disadvantage of this method is that the larger the system is not convenient to carry, and the effective range of the magnetic field is subject to the transmission power intensity of the magnetic field generating base station, and is not suitable for ordinary computer users. Motion recognition based on motion acceleration sensor and gyroscope
以韩国三星 Samsung的运动识别系统和方法为代表, 参见美国专 利公幵号为 US 2008/0049102 A1; 标题为 " MOTION DETECTION SYSTEM AND METHOD"专利文献, 其为了获得完整的 6维运动信息 ( 3维运动和 3维转动), 系统采集数据必须同时使用加速度传感器和 陀螺仪 , 或者是用固定间隔距离的两个加速度传感器 (其中一个模拟 陀螺仪) , 来获取所需要的 6维度运动信息。 但这种方法也存在着一定的局限性, 主要体现在以下几点: Represented by Samsung Samsung's motion recognition system and method, see US Patent Publication No. US 2008/0049102 A1; titled "MOTION DETECTION SYSTEM AND METHOD" patent document, in order to obtain complete 6-dimensional motion information (3D) Motion and 3D rotation), the system must collect acceleration data and gyroscopes at the same time, or use two acceleration sensors (one of which simulates a gyroscope) with a fixed separation distance to obtain the required 6-dimensional motion information. However, this method also has certain limitations, mainly reflected in the following points:
(1) 由于使用了陀螺仪,设备的制造工艺、产品体积以及器件种类 有很大限制, 在这种方法下, 如果仅使用一个三轴加速度传感器, 系 统无法将重力加速度和运动加速度分离开来, 也无法提供运动中设备 的转动信息, 无法计算出运动的轨迹。(1) Due to the use of the gyroscope, the manufacturing process, product volume, and device type of the device are greatly limited. Under this method, if only one three-axis acceleration sensor is used, the system cannot separate the gravitational acceleration from the motion acceleration. It is also impossible to provide the rotation information of the equipment in motion, and the trajectory of the motion cannot be calculated.
(2) 由于这类系统数据处理算法的局限性, 无法滤除传感器的误 差和其他传导到加速度传感器和陀螺仪的小幅震动, 无法检测出设备 的正常运动过程的起始过程, 需要利用其他的按键辅助,即用户在开始 和结束动作的时候需要按住后松开一个特定的按钮, 来标记运动的起 始, 这样虽然解决的动作起始的标识问题, 但是却要求用户按键的操 作, 无法实现无附加操作的动作识别体验, 影响了用户的使用效果。 (2) Due to the limitations of the data processing algorithms of this type of system, it is impossible to filter out the error of the sensor and other small vibrations transmitted to the acceleration sensor and the gyroscope, and the initial process of the normal motion process of the device cannot be detected, and other Key assist, that is, the user needs to press and hold a specific button to start and end the action to mark the start of the movement, so that although the problem of the initial identification of the action is solved, the operation of the user is required, Achieving a motion recognition experience without additional operations affects the user's use.
(3) 由于受到制造工艺的限制, 陀螺仪的成本较高, 体积较大, 并 且在加速度变化剧烈的情况下数据可靠性很低。 发明内容 (3) Due to the limitations of the manufacturing process, the gyroscope is costly, bulky, and has low data reliability under severe acceleration changes. Summary of the invention
本发明的目的在于提供一种基于非陀螺仪技术的加速度动作识别 系统及方法,其能够将重力加速度和运动加速度分离开来, 并提供运动 中设备的转动信息, 计算出运动的轨迹。 本发明的另一目的在于提供一种基于非陀螺仪技术的加速度动作 识别系统及方法,其无需光学传感器和红外、 射频发射器, 也无需附加 机械连杆机构, 能够滤除传感器的误差和其他传导到加速度传感器和 陀螺仪的小幅震动, 检测出设备的正常运动过程的起始过程,并减少制 造成本和提高系统的可靠性。 本发明是基于非陀螺仪技术的加速度动作识别系统及方法, 其中 一种核心算法基于三轴加速度传感器的有效数据信号, 通过运动转角 极小优化算法, 求解出一段完整动作在从开始到结束过程中, 绕某方 向转动的最小角度及方向矢量, 并利用求解出的轴的矢量方向和转角 的大小, 将转动分量分离到每一个采样点上, 将每一点的姿态和重力 加速度建立相应的映射, 去除不同姿态下重力加速度对信号的影响, 得到准确的运动加速度信息; 并结合对加速度信号的匹配滤波处理, 得到静止检测和动作起止识别算法, 实现无人为外在干预的高精度动 作识别。 同时这种基于非陀螺仪技术的加速度动作识别系统及方法, 也可 以釆用其它的算法来实现。 通过静止运动检测模块感知到运动的开始 后, 首先将运动开始之前的静止数据作为初始化的第一组静止姿态, 并用这个姿态的数据把接下来较短固定时间内的加速度数据去除重力 加速度, 得到这段时间内的运动加速度数值、 运动速度和轨迹, 并且 与模式匹配数据库当中的有限组运动指令进行匹配, 得出一组确定的 运动方向。 当静止运动检测模块检测到运动结束时, 将结束时的静止 姿态作为第二组静止姿态, 并对运动结束之前的较短固定时间内的数 据去重力加速度, 得到这段时间内的运动加速度数值、 运动速度和轨 迹, 并且再次与模式匹配数据库当中的有限组运动指令进行匹配, 得 出另一组确定的运动方向。 在计算出前后两组运动方向后, 系统将方 向的变化分割并分配到完整运动数据中每一点, 对运动速度进行修正, 最后得到完整的运动速度和轨迹。 一种典型的技术方案应用是对人体动作感知(体感)的游戏控制, 将基于三轴加速度传感器的硬件固定在使用者的手掌、 腿部以及其他 关节部分, 当用户从静止幵始做一个有特定意义的动作时 (比如挥拍 击球) , 静止运动检测模块通过对信号进行处理, 分离出完整运动过 程中加速度传感器釆集到的数据, 通过上述非陀螺仪加速度动作识别 算法, 对数据进行处理后, 得到整个运动过程的运动轨迹、 轨迹上每 点的速度以及设备相对笛卡尔坐标系 (地球重力坐标系) 的姿态。 附图说明It is an object of the present invention to provide an acceleration motion recognition system and method based on non-gyro technology capable of separating gravity acceleration and motion acceleration and providing motion The rotation information of the device is used to calculate the trajectory of the motion. Another object of the present invention is to provide an acceleration motion recognition system and method based on non-gyro technology, which does not require an optical sensor and an infrared or radio frequency transmitter, and does not require an additional mechanical linkage mechanism, and can filter out sensor errors and other Small vibrations transmitted to the accelerometer and gyroscope detect the initial process of the normal motion of the device, reducing manufacturing costs and increasing system reliability. The invention is an acceleration motion recognition system and method based on non-gyro technology, wherein a core algorithm is based on an effective data signal of a three-axis acceleration sensor, and a complete motion motion algorithm is used to solve a complete motion from start to finish. Medium, the minimum angle and direction vector that rotates in a certain direction, and uses the vector direction and the angle of the obtained axis to separate the rotational component to each sampling point, and establish a corresponding mapping between the attitude of each point and the acceleration of gravity. The influence of gravity acceleration on the signal in different attitudes is removed, and the accurate motion acceleration information is obtained. Combined with the matching filter processing of the acceleration signal, the static detection and motion start and end recognition algorithms are obtained, and the high-precision motion recognition without external intervention is realized. At the same time, the acceleration motion recognition system and method based on non-gyro technology can also be implemented by other algorithms. After the motion detection module senses the start of the motion, the static data before the motion start is first used as the initial set of static attitudes, and the data of the attitude is used to remove the acceleration data of the next shorter fixed time to obtain the gravity acceleration. The motion acceleration values, motion speeds, and trajectories during this time are matched with a limited set of motion commands in the pattern matching database to derive a determined set of motion directions. When the stationary motion detecting module detects the end of the motion, the static attitude at the end is taken as the second group of the stationary posture, and the gravity acceleration is obtained for the data in the shorter fixed time before the end of the motion, and the motion acceleration value during the period is obtained. , the speed of motion and the trajectory, and again match the finite set of motion instructions in the pattern matching database to derive another set of determined motion directions. After calculating the direction of motion between the two groups, the system divides and distributes the change in direction to each point in the complete motion data, and corrects the motion speed. Finally, the complete motion speed and trajectory are obtained. A typical technical solution is the game control of human motion perception (sense), which fixes the hardware based on the three-axis acceleration sensor on the palm, leg and other joint parts of the user. In the action of specific meaning (such as swing shot), the stationary motion detection module separates the data collected by the acceleration sensor during the complete motion by processing the signal, and performs data on the non-gyro acceleration motion recognition algorithm. After processing, the motion trajectory of the entire motion process, the velocity of each point on the trajectory, and the attitude of the device relative to the Cartesian coordinate system (the Earth's gravity coordinate system) are obtained. DRAWINGS
图 1 是本发明的加速度动作识别系统的结构图; 1 is a structural view of an acceleration motion recognition system of the present invention;
图 2 是加速度动作识别系统的数据采集传输模块的结构图; 图 3 是加速度动作识别系统的驱动程序模块的结构图; 2 is a structural diagram of a data acquisition and transmission module of the acceleration motion recognition system; FIG. 3 is a structural diagram of a driver module of the acceleration motion recognition system;
图 4 是加速度动作识别系统的静止 -运动检测模块的结构图; 图 5是加速度动作识别系统的人体常规运动的姿态变化图; 图 6 是加速度动作识别系统的加速度计的姿态用固联在加速度计 上的坐标系表示; 4 is a structural diagram of a stationary-motion detecting module of an acceleration motion recognition system; FIG. 5 is a posture change diagram of a conventional motion of an acceleration motion recognition system; FIG. 6 is an acceleration of an accelerometer of an acceleration motion recognition system. The coordinate system representation on the meter;
图 7 是加速度动作识别系统的重力加速度分离模块的结构图; 图 8是加速度动作识别系统的动作匹配应用接口; 7 is a structural diagram of a gravity acceleration separation module of the acceleration motion recognition system; FIG. 8 is an action matching application interface of the acceleration motion recognition system;
图 9 是加速度动作识别系统的动作显示模块。 具体实施方式 Figure 9 is an action display module of the acceleration motion recognition system. detailed description
本发明的以上这些和其他一些目的、 功能和优点结合以上附图所 作的详细说明中可以看得更加清楚。 请参照图 1,图 1是本发明的动作识别系统的结构图, 由图 1可以 看出, 本动作识别系统由数据采集传输模块、 数据接收模块、 驱动程 序模块、 数据处理模块、 动作模式匹配模块以及动作显示模块共 6 部 分组成, 其中数据采集传输模块、 数据处理模块、 动作匹配模块是系 统的核心。 本发明的数据采集传输模块包括三轴加速度传感器、 微型处理器 和数据传输模块。 该数据采集传输模块主要负责将三轴加速度传感器 采集的数据根据一定的传输协议, 通过有线或者无线信道将数据发送 到数据接收模块, 同时在微型处理器上将数据从加速度传感器读取到 的数据在微型处理器中缓存时, 对数据进行加密, 然后将加密的数据 传输到数据传输模块, 而数据传输模块将加密的数据发送到数据接收 模块。 相比于光学动作识别系统和已有的加速度传感器系统, 数据采 集传输模块的实现更为简洁, 对用户的使用体验、 系统体积和复杂度, 都有很大的改善。 数据接收模块将接收到的有线或无线数据解调后, 上传到驱动程 序模块。 驱动程序模块注册设备端口, 并顺序将解调后的数据缓存, 之后利用对应于数据采集模块中的加密协议和密钥, 对数据进行解密。 将解密后的加速度数据传输到数据处理模块。 经过数据处理模块、 动 作模式匹配模块、 动作显示模块处理后, 计算出运动的速度、 轨迹以 及动作匹配后的操作, 分别传输回驱动程序模块, 经过驱动程序模块 中的显示驱动和人机交互设备驱动, 向上层提供系统应用接口。 需要说明的是,数据采集传输模块也可以不对数据进行加密。这样, 在程序驱动模块中也无需解密过滤驱动处理。 数据在加密 /解密过滤驱动处理后, 将解密后的数据传输到数据处 理模块中的静止-运动检测模块 (或直接将从数据接收模块接收的数据 直接送到静止-运动检测模块) 。 在静止-运动检测模块当中, 模块通过 计算信号的大小以及对应的方差,并通过静止-运动检测算法 (在下文中 具体描述)判断信号是否属于大幅度运动状态过程中的数据, 并将运动 过程中的完整数据存储下来。 将初始运动的信息通知动作显示模块, 之后由重力加速度分离模块将运动有效数据中所有采样点的重力加速 度分量与运动加速度分离, 计算出每一个采样点在笛卡尔坐标系中的 相对空间运动所产生的加速度, 并利用每一点重力加速度在三轴的分 布情况计算出每一点在笛卡儿坐标系中所处的姿态 (在静止-运动捡测 模块和重力加速度分离模块中, 都使用了新的算法取得了更好的效 果) 。 将经过重力加速度分离处理后的数据发送到动作模式匹配模块, 在各种场景中的人体动作数据和操作指令的映射集中, 进行匹配查找, 并将匹配后的操作指令发送到人机交互设备驱动用来实现应用程序中 点击选择等操作指令,或者娱乐游戏中击打敌人等操作指令。 同时将重 力加速度分离处理后的人体运动加速度数据发送到动作显示模块, 连 同来自静止-运动检测模块的人体运动的初始运动信息, 通过运动方程The above and other objects, features and advantages of the present invention will become more apparent from Please refer to FIG. 1. FIG. 1 is a structural diagram of a motion recognition system according to the present invention. As can be seen from FIG. 1, the motion recognition system is composed of a data acquisition and transmission module, a data receiving module, a driver module, a data processing module, and an action pattern matching. The module and the action display module are composed of 6 parts, wherein the data acquisition and transmission module, the data processing module, and the motion matching module are The core of the system. The data acquisition and transmission module of the present invention comprises a three-axis acceleration sensor, a micro processor and a data transmission module. The data acquisition and transmission module is mainly responsible for transmitting data collected by the three-axis acceleration sensor to the data receiving module through a wired or wireless channel according to a certain transmission protocol, and simultaneously reading data from the acceleration sensor on the micro processor. When buffering in the microprocessor, the data is encrypted, and then the encrypted data is transmitted to the data transmission module, and the data transmission module transmits the encrypted data to the data receiving module. Compared with the optical motion recognition system and the existing acceleration sensor system, the data acquisition and transmission module is more compact, and the user experience, system size and complexity are greatly improved. The data receiving module demodulates the received wired or wireless data and uploads it to the driver module. The driver module registers the device port and sequentially buffers the demodulated data, and then decrypts the data using the encryption protocol and key corresponding to the data acquisition module. The decrypted acceleration data is transmitted to the data processing module. After processing by the data processing module, the action pattern matching module, and the motion display module, the motion speed, the trajectory, and the action after the motion matching are calculated, and respectively transmitted back to the driver module, and the display driver and the human-machine interaction device in the driver module are respectively transmitted. Drive, provide system application interface to the upper layer. It should be noted that the data collection and transmission module may also not encrypt the data. Thus, there is no need to decrypt the filter driver process in the program driver module. After the data is processed by the encryption/decryption filter driver, the decrypted data is transmitted to the still-motion detection module in the data processing module (or directly sent from the data receiving module to the stationary-motion detection module). In the static-motion detection module, the module calculates the signal size and the corresponding variance, and determines whether the signal belongs to the data during the large motion state by the static-motion detection algorithm (described in detail below), and during the motion The complete data is stored. Notifying the action display module of the initial motion information, and then accelerating the gravity of all the sample points in the motion effective data by the gravity acceleration separation module The degree component is separated from the motion acceleration, and the acceleration generated by the relative spatial motion of each sampling point in the Cartesian coordinate system is calculated, and each point is calculated in the Cartesian coordinate system by the distribution of the gravity acceleration in each of the three axes. The posture in the middle (in the static-motion measurement module and the gravity acceleration separation module, the new algorithm is used to achieve better results). Sending the data after the gravity acceleration separation processing to the action pattern matching module, performing matching matching on the mapping of human motion data and operation instructions in various scenarios, and transmitting the matched operation instructions to the human-machine interaction device driver It is used to implement operation commands such as click selection in the application, or to hit an enemy in an entertainment game. At the same time, the human body motion acceleration data after the gravity acceleration separation process is sent to the action display module, together with the initial motion information of the human body motion from the static-motion detection module, through the motion equation
V=VQ+a*t (速度-初速度 +加速度 *时间),S - Vcn+0.5*a*t2(位移 -初速 度 *时间 + 0.5 * 加速度 * 时间平方)来计算出对于笛卡尔坐标系的运 动速度和轨迹 (示例, 本发明也可以采用其他算法), 并将速度和轨迹的 结果发送到计算机的显示驱动, 实时显示出人体动作。 下面结合附图具体描述每个模块的结构和作用:V=VQ +a*t (speed - initial velocity + acceleration * time), S - Vc n+0.5*a*t2 (displacement - initial velocity * time + 0.5 * acceleration * time squared) to calculate The velocity and trajectory of the Cartesian coordinate system (example, other algorithms can be used in the present invention), and the results of the velocity and trajectory are sent to the display driver of the computer to display the human motion in real time. The structure and function of each module will be described in detail below with reference to the accompanying drawings:
( 1 ) 数据釆集传输模块 (1) Data collection transmission module
图 2是数据采集传输模块的结构图,该模块主要由三部分组成:三 轴加速度传感器、 微型处理器和数据传输模块, 各模块之间通过总线 通信, 其中各个子模块的功能如下: Figure 2 is a structural diagram of the data acquisition and transmission module. The module is mainly composed of three parts: a three-axis acceleration sensor, a micro-processor and a data transmission module. Each module communicates via a bus. The functions of each sub-module are as follows:
三轴加速度传感器 Triaxial acceleration sensor
三轴加速度传感器以固定的频率 F釆集士 N(g) 范围内的加速度数 据 (g代表标准重力加速度的大小, 即采集负 N倍重力加速度到正 N倍 重力加速度范围内的运动加速度数据), 并且以固定频率 F更新加速度 传感器中固定的内存地址空间, 每组数据分别由 X\Y\Z轴的加速度值 和釆样点的温度组成, 并将每组数据存储在三轴加速度传感器中的数 据存储单元中。 微型控制器The triaxial acceleration sensor uses a fixed frequency F acceleration data in the range of N(g) (g represents the magnitude of the standard gravitational acceleration, that is, the motion acceleration data in the range of negative N times gravitational acceleration to positive N times gravitational acceleration) And updating the fixed memory address space in the acceleration sensor at a fixed frequency F, each set of data consisting of the acceleration value of the X\Y\Z axis and the temperature of the sample point, and storing each set of data in the three-axis acceleration sensor In the data storage unit. Micro controller
采用低功耗的单片机或 ARM处理器,通过总线接口与加速度传感 器模块进行通信连接。 此外微型控制单元同样以固定频率 F去读取加速度传感器的数据 存储单元, 同时根据芯片内的公共密钥和加密算法对每组数据进行加 密, 并且将加密过的数据在微型控制器的数据存储单元缓存起来。 并 将加密过的数据发送到数据传输模块。 数据传输模块 The low-power single-chip microcomputer or ARM processor is used to communicate with the acceleration sensor module through the bus interface. In addition, the micro control unit also reads the data storage unit of the acceleration sensor at a fixed frequency F, encrypts each set of data according to the public key and encryption algorithm in the chip, and stores the encrypted data in the data of the microcontroller. The unit is cached. And send the encrypted data to the data transmission module. Data transmission module
支持有线和无线两种通信传输方式。有线接口可使用 USB, 串口, 并口, 火线 (fire wire) 等多种协议。 无线接口利用射频基带芯片, 支 持远距离和低功耗的 100Kbps的数据传输。可以采用蓝牙、红外、 Zigbee 以及其他简单传输协议。 Supports both wired and wireless communication transmission methods. The wired interface can use various protocols such as USB, serial port, parallel port, and fire wire. The wireless interface utilizes a RF baseband chip to support 100Kbps of data transmission over long distances and low power consumption. Bluetooth, infrared, Zigbee, and other simple transport protocols are available.
( 2 ) 数据接收模块(2) Data receiving module
将数据接收并缓存到指定内存区域, 并通知驱动程序模块读取。 同样对应数据传输模块的传输格式, 支持支持有线和无线两种通信传 输方式。 Receive and cache data to the specified memory area and notify the driver module to read. It also supports the transmission format of the data transmission module and supports both wired and wireless communication transmission methods.
( 3 ) 驱动程序模块(3) Driver module
参见附图 3,其为驱动程序模块结构图,驱动程序模块结构主要分 为三层: 数据总线驱动; 加密解密过滤驱动; 人机交互设备驱动和图 形显示驱动。 数据总线驱动 Referring to Figure 3, which is a block diagram of the driver module, the driver module structure is mainly divided into three layers: data bus driver; encryption and decryption filter driver; human-computer interaction device driver and graphic display driver. Data bus driver
数据总线驱动负责将传感器加速度数据和中断控制指令从硬件总 线上读取并传输, 根据数据传输方式的不同, 分为有线传输和无线射 频传输, 对应的数据总线驱动分别为有线设备驱动和无线接收端驱动。 在读取解调数据后, 数据总线驱动将数据缓存至计算机内存中。 加密 /解密过滤驱动The data bus driver is responsible for reading and transmitting the sensor acceleration data and the interrupt control command from the hardware bus. According to different data transmission modes, it is divided into wired transmission and wireless radio transmission, and the corresponding data bus drivers are wired device driving and wireless receiving respectively. End drive. After reading the demodulated data, the data bus driver caches the data into the computer's memory. Encryption/decryption filter driver
由于所有数据都会根据硬件微型处理器中的加密算法和公共密钥 进行了加密 (例如釆用 RSA加密算法和密钥) , 在加密解密过滤驱动 中, 用对应的私有密钥进行数据解密, 并对解密后的数据进行校验。 当数据符合要求并且数据量达到触发发送的门限时, 将数据发送至静 止-运动检测模块。 人机交互设备驱动 Since all data is encrypted according to the encryption algorithm and public key in the hardware microprocessor (for example, using RSA encryption algorithm and key), in the encryption and decryption filter driver, the data is decrypted with the corresponding private key, and The decrypted data is verified. When the data meets the requirements and the amount of data reaches the threshold for triggering transmission, the data is sent to the static-motion detection module. Human-computer interaction device driver
当处理完毕后, 动作模式匹配模块将匹配得到的操作指令发送到 人机交互设备驱动, 人机交互设备驱动遵循操作系统中标准的输入设 备驱动模型要求, 提供了面向应用程序的通用控制接口, 这样可以在 计算机操作系统的图形操作界面上模拟鼠标、 键盘以及游戏动作识别 控制设备的功能。 显示驱动 After the processing is completed, the action pattern matching module sends the matched operation instruction to the human-machine interaction device driver, and the human-machine interaction device driver follows the standard input device driver model requirement in the operating system, and provides a general control interface for the application program. This simulates the functions of the mouse, keyboard, and game motion recognition control device on the graphical user interface of the computer operating system. Display driver
动作显示模块把来自于静止-运动检测模块和重力加速度分离模 块分别得到的完整运动和初始运动的加速度值, 计算出笛卡尔坐标系 下的运动速度和轨迹, 发送给显示驱动, 显示驱动负责在计算机屏幕 上显示人体的运动。 The motion display module calculates the motion speed and the trajectory of the complete motion and the initial motion obtained from the stationary-motion detection module and the gravity acceleration separation module respectively, and calculates the motion velocity and the trajectory in the Cartesian coordinate system, and sends the motion to the display driver. The movement of the human body is displayed on the computer screen.
( 4 ) 数据处理模块(4) Data processing module
数据处理模块包括静止 -运动检测模块和重力加速度分离模块, 动 作识别系统能够精确识别的动作, 都符合人体由静止状态开始变速运 动后再次静止的过程, 这是因为符合这一过程的运动数据起始、 结束 两部分都属于近似静止状态的数据, 中间的各组数据是变速运动中的 三轴加速度传感器的采样数据。 参见附图 1。 在传统的基于加速度传感和陀螺仪的动作识别系统 中, 检测静止运动的技术有着较大的周限, 主要是由于传感器的数据 受到物体的固有振动以及传感器自身的固有误差影响, 无法对使用者 的运动动作发生与否做出正确的判断。 本系统在处理静止 -运动检测方 面, 综合利用了信号处理和机器学习相关技术, 静止-运动状态检测可 以达到 90%以上的精度。 图 4给出了静止-运动检测模块工作流程图。 从图 4中可以看到, 静 止-运动检测模块有两种状态, 即预静止状态和预运动状态 (状态标识符 为 Π, Π=0,表示预静止, Π=1, 表示预运动。 并不是表示数据一定是 属于静止状态或运动状态, 而是作为临时的系统检测状态标识)。 驱动程序模块将连续的 Ν帧数据封装成一组,发送到静止-运动检 测模块。 当此时静止-运动检测模块检测状态 Π为预静止状态时, 进入 判断条件 i, 如果这组数据的方差大于阈值 θ, 系统检测状态 Π进入预 运动状态。 此时前一组 Ν帧数据连同本组预运动状态的数据存储到缓 存, 并且将这段预运动状态的数据绕过重力加速度分离模块, 直接发 送到动作显示模块, 同时通知动作显示模块启动运动初始状态的绘制, 即在人体开始运动时, 系统无需等待运动完成, 就能将运动初始的方 向和速度显示出来。 当静止 -运动检测模块状态 Π变为预运动状态时(上一段已经提到 何时进入预运动状态)跳转到判断条件 ii, 如果此时的数据方差大于阈 值 θ,或者数据的均值与标准重力加速度 g差值的模大于 Δ时,此数据 继续发送到缓存。 如果本组数据两个条件都不满足, 即组内方差小于 阈值 Θ并且数据均值与标准重力加速度 g差值的模小于 Δ,系统进入预 静止状态。 (Θ和 Δ的值, 是通过对人体动作实验得出的经验值, 采用 的三轴加速度传感器不同, Θ和 Δ的值也不相同。例如博世的 BMA150 传感器, 此处的 Θ和 Δ分别取 0.25 (ra/s2)2和 2m/s2) 当进入预静止状态时, 静止-运动检测模块对缓存中数据长度进行 最后的判断, 即检测数据长度是否大于 T时间内以频率 F (即动作的持 续时间要大于 T, 例如 Τ可以取 0.5秒)采样的数据的大小, 并且判断 数据中是否存在一组数据它的均值与标准重力加速度之差的模大于有 效运动的加速度幅度 Ω。 如果这两个条件不都满足, 系统将缓存当中 的数据清空; 如果同时满足两个条件, 系统将数据发送到重力加速度 分离模块, 同时通知绘图模块等待有效数据的发送。 (Ω是通过对人体 动作实验得出的经验值, 釆用的三轴加速度传感器不同, Ω 的值也不 相同。 例如博世的 BMA150传感器, 此处的 Ω取 lm/s2) 整个静止 -运动检测模块是基于实验中对运动数据特性的分析设 计的, 能够检测出持续时间大于 T的人体运动, 并能将外界的高频率 振动、 人体血管流动和心跳的噪声以及一些人体无意识的抖动从信号 中滤除。 同时, 在进入预运动状态时就通知动作显示模块准备绘制初 始运动方向, 达到了较高的实时性。 重力加速度分离模块The data processing module includes a stationary-motion detecting module and a gravity acceleration separating module, and the action that the motion recognition system can accurately recognize is in accordance with the process in which the human body starts to shift again after the shifting motion in a stationary state, because the motion data conforming to the process starts from Both the beginning and the end belong to the data of the approximate stationary state, and the data in the middle is the sampling data of the three-axis acceleration sensor in the shifting motion. See Figure 1. In traditional motion recognition systems based on acceleration sensing and gyroscopes, the technique of detecting static motion has a large margin, mainly due to sensor data. Due to the natural vibration of the object and the inherent error of the sensor itself, it is impossible to make a correct judgment on whether the user's motion is generated or not. The system comprehensively utilizes signal processing and machine learning related technologies in the processing of static-motion detection, and the static-motion state detection can achieve an accuracy of more than 90%. Figure 4 shows the working flow chart of the static-motion detection module. As can be seen from Figure 4, the stationary-motion detection module has two states, a pre-quiescent state and a pre-motion state (the state identifier is Π, Π = 0, indicating pre-quiescence, Π = 1, indicating pre-motion). It does not mean that the data must be in a static state or a motion state, but as a temporary system detection state identifier). The driver module encapsulates the continuous frame data into a group and sends it to the stationary-motion detection module. When the stationary-motion detecting module detects that the state is the pre-stationary state, the determination condition i is entered. If the variance of the set of data is greater than the threshold θ, the system detects that the state Π enters the pre-motion state. At this time, the previous group of frame data is stored in the buffer together with the data of the pre-motion state of the group, and the data of the pre-motion state is bypassed by the gravity acceleration separation module, and directly sent to the action display module, and the action display module is notified to start the motion. The initial state is drawn, that is, when the human body starts to move, the system can display the initial direction and speed of the motion without waiting for the motion to complete. When the state of the stationary-motion detection module becomes the pre-motion state (when the previous paragraph has already mentioned when to enter the pre-motion state) jumps to the judgment condition ii, if the data variance at this time is greater than the threshold θ, or the mean and standard of the data When the modulus of the gravitational acceleration g difference is greater than Δ, this data continues to be sent to the cache. If the two conditions of the data in this group are not satisfied, that is, the variance within the group is less than the threshold Θ and the modulus of the difference between the data mean and the standard gravity acceleration g is less than Δ, the system enters the pre-stationary state. (The values of Θ and Δ are empirical values derived from experiments on human motion. The three-axis accelerometers used are different, and the values of Θ and Δ are also different. For example, Bosch's BMA150 sensor, where Θ and Δ are taken separately 0.25 (ra/s2 )2 and 2m/s2 ) When entering the pre-quiescent state, the static-motion detection module makes a final judgment on the length of the data in the buffer, that is, whether the detected data length is greater than the frequency F in the T time (ie Action The continuation time is greater than T, for example, 0.5 can take 0.5 seconds) the size of the sampled data, and it is determined whether there is a set of data in the data. The modulus of the difference between the mean value and the standard gravity acceleration is greater than the acceleration amplitude Ω of the effective motion. If these two conditions are not met, the system will clear the data in the cache; if both conditions are met, the system will send the data to the gravity acceleration separation module, and notify the drawing module to wait for the transmission of valid data. (Ω is an empirical value derived from experiments on human motion. Unlike the three-axis accelerometer, the value of Ω is different. For example, Bosch's BMA150 sensor, where Ω takes lm/s2 ) The entire stationary-motion The detection module is designed based on the analysis of the characteristics of the motion data in the experiment. It can detect the human motion with a duration longer than T, and can transmit the high frequency vibration of the outside world, the noise of the human blood vessels and the heartbeat, and some unconscious jitter of the human body. Filtered out. At the same time, when entering the pre-motion state, the action display module is notified to prepare to draw the initial motion direction, and a high real-time performance is achieved. Gravity acceleration separation module
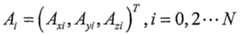
由于加速度传感器采集的数据是由重力加速度和运动加速度线性 叠加组成的, 要想得到人体运动相关信息, 需要得到单纯的运动加速 度数据。 重力加速度分离模块可 W实现将重力加速度从三轴加速度传 感器采样的数据中分离出去, 得到单纯的运动加速度数据。 算法 (一) - 加速度动作识别系统捕捉的运动是由三维直线运动和三维自转运 动组成的, 做出对运动的准确识别, 识别系统要计算出运动的轨迹和 每一点的姿态, 这需要求解一个六维方程,同时传感器的数据是由重力 加速度矢量和运动加速度矢量线性相加组成的, 需要将传感器采集数 据与重力加速度矢量线性相减, 才能得到运动加速度矢量。 而单独的三轴加速度传感器只能实时的提供三维加速度数据, 无 法求出运动的唯一解, 这也是传统运动检测系统必须要使用转动惯性 陀螺仪的原因。 更详细的来看, 传统系统需要利用转动惯性陀螺仪来 给出每一采样时刻的系统空间姿态, 从而将重力加速度矢量与运动加 速度矢量分离开来。 而本系统只采用了单一的三轴加速度传感器, 便可计算出常见的 运动姿态和轨迹, 这是因为本动作识别系统主要是针对人体运动特性, 提出了以下约束条件和算法:Since the data collected by the acceleration sensor is composed of linear superposition of gravity acceleration and motion acceleration, in order to obtain information about human motion, it is necessary to obtain simple motion acceleration data. The gravity acceleration separation module can separate the gravity acceleration from the data sampled by the triaxial acceleration sensor to obtain simple motion acceleration data. Algorithm (1) - The motion captured by the acceleration motion recognition system is composed of three-dimensional linear motion and three-dimensional rotation motion, and the motion recognition is accurately recognized. The recognition system calculates the motion trajectory and the attitude of each point. The six-dimensional equation, while the sensor data is composed of the linear acceleration of the gravity acceleration vector and the motion acceleration vector, the sensor acquisition data and the gravity acceleration vector need to be linearly subtracted to obtain the motion acceleration vector. The separate three-axis accelerometer can only provide three-dimensional acceleration data in real time, and cannot find the unique solution of motion. This is why traditional motion detection systems must use rotating inertial gyroscopes. In more detail, traditional systems need to use a rotating inertial gyroscope The system space pose at each sampling instant is given, thereby separating the gravity acceleration vector from the motion acceleration vector. The system uses only a single three-axis accelerometer to calculate common motion poses and trajectories. This motion recognition system is mainly for human motion characteristics, and the following constraints and algorithms are proposed:
约束条件一: 人的关节运动是从静止经过加速, 再减速到静止组 成的 (这里称为运动动作单元) , 再复杂的运动也是由重复上面的过 程而产生的。 因此系统针对每一组完整的运动动作单元进行计算, 系 统釆集的有效数据通过静止运动检测模块处理为以下格式: 数据的开 始和结束分别包括一组静止状态的数据, 中间的各组数据是人体运动 中三轴加速度传感器采样得到的有效数据。 约束条件二: 人体运动学研究证明, 人的自然动作是最为优化省 力的方式, 这也是适应自然环境形成的。 因此系统利用每一组完整的 运动动作起始和结束的静止状态数据 (标量值与重力加速度 g近似, 此时只有地球引力作用于加速度传感器) , 计算出运动幵始和结束的 系统空间姿态分别标记为姿态开始(Posture— Start)和姿态结束(Posture _End) , 此处系统假设两种姿态在整个运动中的转化是用户沿着某一 个对应的转轴转动最小的角度, 即人体在做功最小的方法下达到相同 的运动效果, 固定转轴和最小转角这个两个假设为系统求解仅有三维 数据输入的六维超越方程, 提供了额外的两维度的约束条件,可以得到 六维超越方程的解。 因此本运动识别系统及方法, 可以仅使用三轴加速度传感器就可 以计算出人体的常规运动轨迹和姿态。 参见附图 5,其为使用三轴加速度传感器得到的人体常规运动轨迹 和姿态。 当加速度计水平放置 时, 根据其测量加速的方向建立固定坐标系 一"^ '^。 当加速度计姿Constraint 1: The joint motion of a person is composed of acceleration from acceleration, then deceleration to rest (herein referred to as a motion action unit), and complex motion is also generated by repeating the above process. Therefore, the system performs calculations for each complete set of motion action units. The valid data collected by the system is processed by the static motion detection module into the following format: The start and end of the data respectively comprise a set of data in a static state, and the data in the middle group is Effective data sampled by a three-axis accelerometer in human motion. Constraint 2: Human kinematics research proves that human natural movement is the most optimized and labor-saving way, which is also adapted to the natural environment. Therefore, the system uses the static state data of each group of complete motion movements starting and ending (the scalar value is similar to the gravitational acceleration g, at which time only the earth's gravity acts on the acceleration sensor), and the system space attitude of the beginning and end of the motion is calculated. Marked as Posture-Start and Posture_End respectively, the system assumes that the transformation of the two poses in the whole motion is the minimum angle at which the user rotates along a corresponding rotation axis, that is, the human body is doing the least work. The same motion effect is achieved by the method. The two assumptions of the fixed rotation axis and the minimum rotation angle are that the system solves the six-dimensional transcendental equation with only three-dimensional data input, and provides an additional two-dimensional constraint condition, and the solution of the six-dimensional transcendental equation can be obtained. . Therefore, the motion recognition system and method can calculate the normal motion trajectory and posture of the human body using only the three-axis acceleration sensor. Referring to Figure 5, it is a conventional human motion trajectory and attitude obtained using a three-axis acceleration sensor. When the accelerometer is placed horizontally When establishing a fixed coordinate system based on the direction in which the measurement is accelerated, a "^'^.
)— Y Y 7 ) — Y Y 7
态变化时, 坐标系随加速度计一起转动, 得到j j j。 在固定坐 标系。― ^ζ' '下, 重力加速度的测量值等于重力加速度矢量在 o- xiYiz.的^坐标。 显然此时测量的重力加速度为When the state changes, the coordinate system rotates with the accelerometer to getjjj . In a fixed coordinate system. ― ^ζ '', the measured value of gravity acceleration is equal to the coordinate of the gravity acceleration vector at o- xi Yi z. Obviously the gravitational acceleration measured at this time is
当加速度计在。— 姿态下静止的时候, 测量的重力加速度
Figure imgf000014_0001
的变换矩阵When the accelerometer is at. — measured gravitational acceleration when the position is stationary
Figure imgf000014_0001
Transformation matrix
。 则根据坐标变换有,. Then according to the coordinate transformation,
Figure imgf000014_0002
这样得到:
Figure imgf000014_0002
This gives:
Figure imgf000014_0004
所以这样可以求出
Figure imgf000014_0003
Figure imgf000014_0004
So you can find this
Figure imgf000014_0003
a. a.
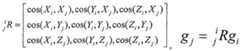
cos(Zi, Zj) =Cos(Zi , Zj ) =
g 按照坐标变换的标准记法, 定义一组参数 RPY角(α,Α , 表示 — ^Ζ坐标系先绕其Ζ轴转 , 再绕其 F轴 ^, 最后绕其 Z轴; 得 到 。 这样得到由固定坐标系 o一XjYjZj到0X'YiZi的变换 矩阵 的另一个表示如下。 于是同样可以得到一个方程组, 求解这个 方程可以得到加速度计姿态。 但这个方程组的解有多组。 当加速度计 初始姿态和最终姿态都有多解时, 问题变得很复杂。 因此, 简化问题, 固定初始姿态。 假设为水平放置或竖直放置。g According to the standard notation of coordinate transformation, define a set of parameters RPY angle (α , Α, denote - ^Ζ coordinate system first around itsΖ axis, then around its F axis ^, and finally around its Z axis; get. Transformation from a fixed coordinate system o -X jY jZ j to0 -X 'Y iZ i Another representation of the matrix is as follows. So you can also get a system of equations, and solve this equation to get the accelerometer pose. But there are many sets of solutions for this system of equations. When the initial attitude and final pose of the accelerometer have multiple solutions, the problem becomes complicated. Therefore, the problem is simplified and the initial pose is fixed. It is assumed to be placed horizontally or vertically.
Figure imgf000015_0001
Figure imgf000015_0001
另外, 也可以认为从0xjYjZj到 o— i的变换是绕In addition, it can also be considered that the transformation from0x jYjZj to o — i is
X γζ k = (kv, k„, k_X γζ k = (kv , k„, k_
下的一个固定向量' - y^ -y--= , 转动 角得到,变换 矩阵^ ^的另一种表示方法为: kxkxv rs(0)sk{<9)+cos(0) kykxvefs{6) ~ sin( k:kxvers{0) +ky svc(9) 风 Κ,θ)= kxkyvers(0)+k:s 9) kykyvers(0)+coe e) k,kyvers{e)-kxsvc e)
Figure imgf000015_0002
当已知初始姿态时, 矩阵方程求解后的最终姿态存在多解。 此时
The next fixed vector ' - y^ -y--= , the rotation angle is obtained, and another representation of the transformation matrix ^ ^ is: kx kx v rs(0)sk{<9)+cos(0) ky kx vefs{6) ~ sin( k: kx vers{0) +ky svc(9) 风Κ,θ)= kx ky vers(0)+k: s 9) ky ky Vers(0)+coe e) k,ky vers{e)-kx svc e)
Figure imgf000015_0002
When the initial pose is known, there are multiple solutions to the final pose after the matrix equation is solved. at this time
(¾, ) = 1, 2· · . (3⁄4, ) = 1, 2· · .
个最终姿态, 都能找到一个对应的 a final gesture, you can find a corresponding
令:
Figure imgf000015_0003
。 则加速计由初始姿态经过 变变换换得得到到最最终终姿姿态态。。这这样样可可以以认认为为整整个个过过程程中中,,变变换换都都是是绕绕"j 轴进行。 于是整个转动过程可以差分成很多绕^'进行的一连串小角度
make:
Figure imgf000015_0003
. Then, the accelerometer is converted from the initial attitude to the final final attitude state. . This can be considered as a whole process, and the transformation is performed around the "j axis. So the whole rotation process can be differentiated into a series of small angles around the ^'
算法如下: 加速度计的姿态用固联在加速度计上的坐标系表示, 假设初始姿态为7^ 终止姿态为 。 示意图参见附图 6。 从图 6 可以看出 , 初始时刻测量的加速度矢量为 T N2009/000770The algorithm is as follows: The attitude of the accelerometer is represented by the coordinate system fixed on the accelerometer, assuming that the initial pose is7 ^ and the end pose is . See Figure 6 for a schematic diagram. As can be seen from Figure 6, the acceleration vector measured at the initial moment is T N2009/000770
。 终止时刻测量的加速度矢量为 lxN 'ayN a. N. The acceleration vector measured at the end time is lxN 'a yN a. N
。 假设初始姿态 到终止姿态 ^的变换矩阵为 . Suppose the transformation matrix from initial pose to termination pose ^ is
, 终止姿态^到初始姿态 的变换矩阵为 贝 IJ:, the transformation matrix of the termination pose ^ to the initial pose is the shell IJ:
N On-1N On-1
0R = NR0R = NR
SN二
Figure imgf000016_0001
假设终止姿态 变换到初始姿态 的 RPY角为(α, , 则 cacfi,c asfisy一 sacy, c as cy + sasy
Figure imgf000016_0002
sa c β, sasfisy + cacy, sasficy一 easy
SN II
Figure imgf000016_0001
Assume that the RPY angle of the termination pose to the initial pose is (α , , then cacfi, c asfisy - sacy, c as cy + sasy
Figure imgf000016_0002
Sa c β, sasfisy + cacy, sasficy an easy
Figure imgf000016_0005
Figure imgf000016_0003
得方程组-
Figure imgf000016_0005
Figure imgf000016_0003
Equations -
Figure imgf000016_0004
此方程组有多解, 针对方程组的每一组(tt,A 代入姿态矩阵 'R, 对其求逆, 得到矩阵 。 70 假设由初始姿态^。变换到姿态 等效于绕 坐标系内固定单位向
Figure imgf000016_0004
This system of equations has multiple solutions. For each group of equations (tt , A is substituted into the attitude matrix 'R , invert it to get the matrix. 70 assumed by the initial pose ^. Transform to pose is equivalent to a fixed unit in the coordinate system
=(k k k ) n=(k k k ) n
λ"y'j 转动 ^角得到, 贝 IJ
Figure imgf000017_0001
Figure imgf000017_0004
λ"y 'j turns ^ corner to get, Bei IJ
Figure imgf000017_0001
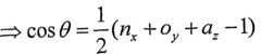
Figure imgf000017_0004
则得到如下方程组: Then get the following equations:
nx +o y +azz = (kx + k + kz )vers6 + 3c0
Figure imgf000017_0002
于是得到- sin<9 =士^ ~ayf +{ax ~nzf + {ny-oJ
nx +oy +az z = (kx + k + kz )vers6 + 3c0
Figure imgf000017_0002
Then get - sin<9 =士^~ay f +{ax ~nz f + {ny -oJ
Figure imgf000017_0003
k 二。:k 二 ―":k =ny -°X
Figure imgf000017_0003
k II. :k二―":k =n y -°X
x 2sin6> 'y 2 sin (9 ' '" 2sin^ 由于方程存在病态解情况,实际中系统要求 偏离 0和 180°, 这是 因为方程此时无法准确快速收敛。x 2sin6>'y 2 sin (9 ''" 2sin^ Due to the ill-conditioned solution of the equation, the actual system requirements deviate from 0 and 180°, because the equation cannot be accurately and quickly converge at this time.
方程组 (1) 的解有多组, 对每一组解 都能求出唯一 的一组^, )。 则^^η(6>'), 对应的存在( , )。 设加速度计在每次采样得到的加速度信息中, 重力加速度的影响 值依次为=(/,^''^-_)= ()Ν。 每个釆样点时, 加速度计 的姿态为7^ '= ()2'''^, 从7^到初始姿态7 ^的变换矩阵为。^。 显然There are multiple sets of solutions for equation (1), and a unique set of ^, ) can be obtained for each set of solutions. Then ^= Ι ^η(6> '), the corresponding existence ( , ). In the acceleration information obtained by each accelerometer, the influence value of gravity acceleration is= (/ , ^''^-_ )= ()Ν . For each sample point, the attitude of the accelerometer is7 ^ '= () ,2 '''^, and the transformation matrix from7 ^ to the initial pose of7 ^ is . ^. Obviously
00R = /(单位阵)。 则 &二 oR~lSo。00 R = / (unit array). Then & two oR ~l So.
利用 估计每个变换矩阵。' , 这里采用的方法是认定
Figure imgf000018_0001
在 每 个 釆 样 点 , 采 集 到 的 加 速 度 为
Figure imgf000018_0002
Use to estimate each transformation matrix. ' , the method used here is to identify
Figure imgf000018_0001
At each sample point, the acceleration is
Figure imgf000018_0002
则去除重力在各轴上产生的影响后, 运动加速度为 二^一&。此时的 A '是在姿态 η下的信息, 需要转化到初始姿态 rfl下, 则在每个采样点, 在初始姿态下的加速度信息为-Then, after removing the influence of gravity on each axis, the motion acceleration is two ^ one. At this time, A ' is the information under the attitude η, and needs to be converted to the initial attitude rfl . At each sampling point, the acceleration information in the initial attitude is -
= ( =Q!R («/ 一 g i ) = 0R ai ― g o 如图 7所示, 来自静止-运动检测模块的完整运动数据在重力加速 度分离模块中被两次使用。 首先被用于计算运动的最小转角以及对应 的转轴方向, 得到每一个数据采样点的姿态转换矩阵 之后利用 ^ 计算重力加速度在 X/Y/Z轴的分量, 从来自静止-运动检测模块的完整 运动数据中每一个釆样点数据 [ax,ay,az]中分离, 得到实际完整人体运动 过程中的加速度数据, 最后利用实际完整人体运动过程中的加速度数 据, 经过一次积分计算出运动速度, 再经过一次积分计算出运动轨迹。 同时利用 ^计算重力加速度在 X/Y/Z轴的分量同地心引力产生的重力 加速度的分布情况, 计算出每一个数据采样点时刻设备的空间姿态。 最终实际完整人体运动过程中的加速度、 速度、 位移, 连同设备的空 间姿态, 共同组成了完整运动数据。 算法 (二) := ( =Q !R («/ a gi ) = 0R a i ― go As shown in Figure 7, the complete motion data from the stationary-motion detection module is used twice in the gravity acceleration separation module. Calculate the minimum rotation angle of the motion and the corresponding rotation axis direction, obtain the attitude transformation matrix of each data sampling point and calculate the component of the gravity acceleration in the X/Y/Z axis by ^, from the complete motion data from the static-motion detection module. A sample point data [ax , ay , az ] is separated to obtain the acceleration data of the actual complete human motion process. Finally, the acceleration data in the actual complete human motion process is used to calculate the motion speed after one integral, and then After one integral, the motion trajectory is calculated. At the same time, the distribution of the gravity acceleration generated by the gravity acceleration in the X/Y/Z axis and the gravity of the gravity is calculated, and the spatial attitude of the device at each data sampling point is calculated. The acceleration, velocity, and displacement of the complete human motion, together with the spatial attitude of the device, together form the complete motion data. Algorithm (2):
除了上述算法 (一) 夕卜, 也可以通过其他算法将重力加速度从传 感器釆集的数据中分离。 通过静止-运动检测模块检测到运动幵始后, 首先将运动开始之前 的静止数据作为初始化的第一组静止姿态 μ1, 并用这个姿态 μΐ的传感 器数据,作为重力加速度 gl在姿态 μΐ时在 x/y/z轴的分量 (gxl,gyl,gzl), 并把接下来较短固定时间内的三轴加速度数据 (axi,ayi,azi)去除重力加 速度 gl此时的 x/y/z轴的分量 (gxl,gyl,gzl), In addition to the above algorithm (1), gravity acceleration can also be separated from the data collected by the sensor by other algorithms. After detecting the start of the motion by the stationary-motion detecting module, the static data before the start of the motion is first used as the initial set of the stationary pose μ1, and the sensor data of the pose μΐ is used as the gravity acceleration gl at the attitude μΐ at x/ The components of the y/z axis (gxl, gyl, gzl), and remove the triaxial acceleration data (axi, ayi, azi) of the next shorter fixed time to remove the component of the x/y/z axis of the gravitational acceleration gl at this time. (gxl, gyl, gzl),
(Axi,Ayi,Azi) = (axi,ayi,azi) - (gxl,gyl,gzl) (Axi, Ayi, Azi) = (axi,ayi,azi) - (gxl,gyl,gzl)
(Axi,Ayi,Azi)是这段时间内的运动加速度数值,计算出运动速度和 轨迹, 并与模式匹配数据库当中的有限组运动指令进行匹配, 得出一 组确定的运动方向 al(kxl,kyl,kzl)。 (Axi, Ayi, Azi) is the motion acceleration value during this time, calculates the motion velocity and trajectory, and matches with the finite set of motion instructions in the pattern matching database to obtain a certain set of motion directions a1 (kxl, Kyl,kzl).
(Axj,Ayj,Azj) = (axj,ayj,azj) - (gx2,gy2,gz2);(Axj, Ayj, Azj) = (axj, ayj, azj) - (gx2, gy2, gz2);
当静止-运动检测模块检测到运动结束时, 将结束时的静止姿态作 为第二组静止姿态 μ2, 并用这个姿态 μ2的三轴加速度传感器数据, 作 为重力加速度 g2在姿态 μ2时在 x/y/z轴的分量 (gx2,gy2,gz2), 并对运 动结束之前的较短固定时间内的三轴加速度数据 (axj,ayj,azj),去重力加 速度 (gx2,gy2,gz2),When the stationary-motion detecting module detects the end of the motion, the stationary posture at the end is taken as the second group of stationary postures μ2, and the triaxial acceleration sensor data of the posture μ2 is used as the gravitational acceleration g2 at the attitude μ2 at x/y/ The z-axis component (gx2, gy2, gz2), and the triaxial acceleration data (axj, ayj, azj), and the gravitational acceleration (g x2, gy2, gz2) for a short fixed time before the end of the motion,
(Axj,Ayj,Azj)得到这段时间内的运动加速度数值、 运动速度和轨 迹, 并且再次与模式匹配数据库当中的有限组运动指令进行匹配, 得 出另一组确定的运动方向 cc2(kx2,ky2,kz2)。 在计算出前后两组运动方向 αΐ 和 α2后,计算 αΐ 到 α2的转换矩 阵 Tr,(Axj, Ayj, Azj) obtains the motion acceleration values, motion speeds and trajectories during this time, and again matches the finite set of motion instructions in the pattern matching database to obtain another set of determined motion directions cc2 (kx2, Ky2, kz2). After calculating the motion directions αΐ and α2 of the two groups before and after, the conversion matrix Tr of αΐ to α2 is calculated,
(kx2,ky2,kz2) = (kxl,kyl,kzl) * Tr; (kx2, ky2, kz2) = (kxl,kyl,kzl) * Tr;
在运动开始到结束共有 M个釆样点, 将方向的变化矩阵 Tr分配 为 M份 Tri, (Tri) = Tr, 计算出每个采样点时刻设备的空间姿态 μί。 用 Tri得到的 μί,对完整运动数据中每一点运动加速度进行转化修 正, 得到最后得到完整运动加速度数据, 经过一次积分计算出运动速 度, 再经过一次积分计算出运动轨迹。 。 最终实际完整人体运动过程中的加速度、 速度、 位移, 连同设备 的空间姿态 μί, 共同组成了完整运动数据。There are a total of M sample points from the beginning to the end of the motion, and the direction change matrix Tr is assigned to M parts Tri, (Tri) = Tr, and the spatial attitude μί of the device at each sampling point time is calculated. Using the μί obtained by Tri, the motion acceleration of each point in the complete motion data is transformed and corrected, and the complete motion acceleration data is obtained finally. After one integral, the motion speed is calculated, and then the motion trajectory is calculated after one integral. . Finally, the acceleration, velocity, and displacement during the actual complete human motion, together with the spatial attitude of the device, constitute the complete motion data.
(5) 动作模式匹配模块:(5) Action mode matching module:
参见图 8,其为动作模式匹配模块。动作模式匹配模块利用处理后 传入的完整运动数据。 根据计算机模式匹配理论, 模式匹配模块在操 作指令数据库与运动速度轨迹数据库中进行匹配度计算查询并建立映 射, 得到操作指令数据库中对应的动作操作模式, 并向应用程序提供 操作指令。 针对体感游戏应用的需求, 本发明中的解决方案可以将计算出的 速度和轨迹信息, 通过数据训练和实验得到的先验数据组成匹配数据 库, 将速度和轨迹映射为游戏场景中的有限组动作操作。 例如: 体育 运动类游戏中的挥臂、 抛投、 脚步触球等动作模式; 第一人称射击游 戏中的瞄准、 射击等动作模式, 即在不改变游戏程序传统的逻辑和流 程的前提下对人四肢、 头部以及躯干部分的运动进行跟踪识别, 从而 实现无按键、 实时、 真实的体感游戏体验。 对于拟人类型机器人控制应用的需求, 可以通过数据训练和实验 得到的先验数据组成匹配数据库, 将人体动作映射为机器人操作指令, 例如: 抬臂、 挥臂、 降臂等, 本发明的解决方案可以大大简化控制设 备的体积, 增强交互控制的流畅性和仿真性, 使得人对于机器人的控 制能力和体验大大提高。 针对触觉交互应用, 本发明可用于采集操作末端姿态信息, 将计 算出的姿态信息映射到虚拟场景中, 与虚拟场景进行动态实时碰撞检 测, 实现实时触觉交互。 对于传统的个人计算机桌面应用场景, 本发明可以实现二维平面 和三维立体视界内的鼠标控制功能, 不但可以完全替代现有传统鼠标 的操作功能, 而且更适应未来三维立体桌面环境的应用需求。Referring to Figure 8, it is an action pattern matching module. The action pattern matching module utilizes the complete motion data passed in after processing. According to the computer pattern matching theory, the pattern matching module performs a matching degree calculation query and establishes a mapping in the operation instruction database and the motion speed trajectory database, obtains a corresponding action operation mode in the operation instruction database, and provides an operation instruction to the application program. For the needs of the somatosensory game application, the solution in the present invention can compose the calculated speed and trajectory information, the a priori data obtained through data training and experiment into a matching database, and map the speed and trajectory into a limited set of actions in the game scene. operating. For example: sporting games, swinging, throwing, footsteps and other action modes; first-person shooter games, aiming, shooting and other action modes, that is, without changing the logic and flow of the game program tradition The movements of the limbs, head and torso are tracked and identified to achieve a buttonless, real-time, realistic somatosensory gaming experience. For the needs of anthropomorphic robot control applications, a priori data obtained through data training and experiments can be combined to form a matching database, and human motion can be mapped to robot operation instructions, such as: lifting arm, swing arm, descending arm, etc., the solution of the present invention It can greatly simplify the volume of the control device, enhance the fluency and simulation of the interactive control, and greatly improve the control ability and experience of the robot. For haptic interaction applications, the present invention can be used to collect operational end pose information, The calculated posture information is mapped into the virtual scene, and dynamic real-time collision detection is performed with the virtual scene to realize real-time tactile interaction. For the traditional personal computer desktop application scenario, the invention can realize the mouse control function in the two-dimensional plane and the three-dimensional stereoscopic horizon, which can completely replace the operation function of the existing traditional mouse, and is more suitable for the application requirements of the future three-dimensional desktop environment.
(6) 动作显示模块(6) Action display module
参见附图 9,其为动作显示模块。动作显示模块有两个并行的数据 处理模块: 实时预动作显示模块和完整动作显示模块, 对应的输入数 据分别来自静止-运动检测模块的预运动数据, 以及重力加速度分离模 块的完整运动速度、 轨迹数据。 实时预动作显示模块是将静止运动检测模块进入预运动状态后的 前一组静止数据和当前组的运动数据进行简单的去重力加速度处理 (即 假设在运动的初始状态, 重力加速度在三轴 X/Y/Z的分布不变, 即将 前面静止状态下 X/Y/Z的加速度数据值作为重力加速度 g在三轴上的 分量, 将接收到的加速度数据减去重力加速度 g的三轴上的分量), 计 算速度、 轨迹得到起始运动的方向, 并将数据发送到显示驱动以开始 绘图。 这样设计的目的在于, 当用户使用设备开始运动时, 初始运动 的方向和速度即能够显示出来, 无需数据要等到完整动作结束后, 经 过重力加速度分离模块处理才能显示。 这样给用户一种近似实时性的 用户体验效果。 完整动作显示模块负责将重力加速度分离模块的加速度数据根据 采样时间间隔, 计算出速度和运动轨迹, 将计算得到的数据发送到显 示驱动, 并在三维动画中绘制和重建用户的运动。 可编程系统应用接口 (图 1上) Referring to Figure 9, it is an action display module. The motion display module has two parallel data processing modules: a real-time pre-action display module and a complete motion display module, and the corresponding input data are respectively from the pre-motion data of the stationary-motion detection module, and the complete motion speed and trajectory of the gravity acceleration separation module. data. The real-time pre-action display module performs simple de-gravity acceleration processing on the previous set of still data and the current group of motion data after the static motion detecting module enters the pre-motion state (ie, assumes that the initial state of motion, the gravitational acceleration is on the three-axis X The distribution of /Y/Z is constant, that is, the acceleration data value of X/Y/Z in the front stationary state is used as the component of the gravitational acceleration g on the three axes, and the received acceleration data is subtracted from the three axes of the gravitational acceleration g. Component), calculate the speed, the trajectory to get the direction of the starting motion, and send the data to the display driver to start the drawing. The purpose of this design is that when the user starts using the device to start motion, the direction and speed of the initial motion can be displayed, and the data does not need to wait until the completion of the complete motion, and can be displayed after being processed by the gravity acceleration separation module. This gives the user an approximate real-time user experience. The complete motion display module is responsible for calculating the velocity and motion trajectory of the acceleration data of the gravity acceleration separation module according to the sampling time interval, sending the calculated data to the display driver, and drawing and reconstructing the user's motion in the three-dimensional animation. Programmable System Application Interface (Figure 1)
参见图 1,本发明所设计的系统架构和算法解决方案, 面对开发者 提供了可编程系统应用接口, 具备很好的扩展性和应用性。 只需针对 应用场景, 建立模式匹配数据库, 并提供硬件方案, 则任何有能力的 幵发者均可以方便的使用该接口进行编程, 用于开发各类应用 (体感 游戏、 机器人遥控器、 3D桌面控制器等) , 因而本发明具备良好的商 业应用前景。 结合上述的描述, 我们可以得到本发明的有益效果, 即可以精确 的定位和识别人体的动作, 方便的在游戏控制、 机器人控制、 计算机 桌面操作中提供动作识别, 该识别系统的数据采集传输模块仅釆用三 轴加速度传感器, 避免了使用陀螺仪带来的体积和成本的限制, 并且 在实时性和精度上都达到了很好的效果。 本发明中的主要技术在于下面几点 - 1、 非陀螺仪去重力加速度算法Referring to Figure 1, the system architecture and algorithm solution designed by the present invention face the developer. Provides a programmable system application interface with excellent scalability and applicability. Just create a pattern matching database for the application scenario, and provide a hardware solution, so any capable sender can easily use this interface for programming, for developing various applications (soso games, robot remote control, 3D desktop) The controller, etc.), thus the present invention has a good commercial application prospect. Combined with the above description, we can obtain the beneficial effects of the present invention, that is, it can accurately locate and recognize the movement of the human body, and conveniently provide motion recognition in game control, robot control, computer desktop operation, and the data acquisition and transmission module of the identification system. The use of a three-axis accelerometer alone avoids the size and cost constraints of using a gyroscope, and achieves good results in both real-time and precision. The main technology in the present invention lies in the following points - 1. Non-gyro de-gravity acceleration algorithm
( 1 )基于三轴加速度传感器的有效数据信号, 通过运动转角极小 优化算法, 求解出一段完整动作从开始到结束过程中, 绕某方向转动 的最小角度, 并利用求解出的轴的矢量方向和转角的大小, 将转动分 量分离到每一个采样点上, 将每一点的姿态和重力加速度建立相应的 映射, 去除不同姿态下重力加速度对信号的影响, 得到准确的运动加 速度信息, 再计算运动的速度和轨迹。 (1) Based on the effective data signal of the three-axis accelerometer, the minimum angle of rotation of a complete motion from the beginning to the end is calculated by the motion angle mini-optimization algorithm, and the vector direction of the solved axis is utilized. And the size of the corner, the rotation component is separated into each sampling point, the attitude of each point and the gravity acceleration are mapped accordingly, the influence of gravity acceleration on the signal in different postures is removed, the accurate motion acceleration information is obtained, and the motion is calculated. Speed and trajectory.
( 2 ) 基于三轴加速度传感器的有效数据信号, 将运动开始之前, 结束后的静止数据作为初始和结束的两组静止姿态, 并用这个姿态的 数据把临近较短固定时间内的加速度数据去除重力加速度, 得到这段 时间内的运动加速度数值、 运动速度和轨迹, 并且与模式匹配数据库 当中的有限数量的运动指令进行匹配, 得出确定的运动方向。 在计算 出前后两组运动方向后, 系统将方向的变化分割并修正完整运动数据 中各点速度和轨迹, 得到运动信息。 对加速度信号进行匹配滤波处理, 对连续的数据根据图 4中判断 条件 I/II 的对应使用, 即判断条件 I触发运动开始状态的检测, 判断 条件 II触发运动结束状态的检测, 避免了人手的小幅震颤以及物体固 有震动的干扰, 从而识别静止检测和动作起止的算法。 下面描述本发明的加速度动作识别系统和方法的具体应用。 游戏动作识别设备:(2) Based on the effective data signal of the three-axis acceleration sensor, the static data before the start of the motion is used as the initial and final two sets of static attitudes, and the acceleration data of the shorter fixed time is removed from the gravity using the data of the attitude. Acceleration, the motion acceleration value, motion velocity and trajectory during this time are obtained, and matched with a limited number of motion commands in the pattern matching database to obtain a determined motion direction. After calculating the motion directions of the two groups, the system divides the change of direction and corrects the velocity and trajectory of each point in the complete motion data to obtain motion information. The acceleration signal is matched and filtered, and the continuous data is used according to the corresponding condition of the judgment condition I/II in FIG. 4, that is, the condition I triggers the detection of the motion start state, and the condition II triggers the motion end state detection, thereby avoiding the human hand. A small tremor and interference from the inherent vibration of the object, thereby identifying algorithms for stationary detection and motion start and stop. Specific applications of the acceleration motion recognition system and method of the present invention are described below. Game action recognition device:
本发明可以用于计算机游戏或家庭游戏机游戏中, 二维及三维动 作的识别。 当用户做出模拟真实场景的动作时, 具有非陀螺仪技术的 加速度动作识别技术的游戏动作识别设备将用户做出的动作通过计算 在计算机上重建出来, 并与游戏中的控制指令建立映射。 对于游戏中二维动作识别,例如扑克牌游戏中对于扑克牌的选取, 用户可以将设备佩戴于手背上方, 当用户左右平移时, 可以对游戏当 中手中持有的扑克牌进行选择, 当用户希望打出或需选取指定的扑克 牌时, 用户只需要向前或向后快速移动佩戴有设备的手, 即可让计算 机识别出相应的操作。 这种方式更接近于真实场景中打扑克牌的手部 动作。 对于三维动作识别, 例如打网球的挥拍动作, 用户可以将设备佩 戴于手背上方, 并且可以选择手握网球拍或其他任何物体, 当用户根 据游戏画面的提示做出一次完整的挥拍动作时, 游戏动作识别设备将 挥拍过程中的有效数据通过静止 -运动检测模块分离出来, 并经过系统 计算得到用户挥动球拍的完整轨迹、 速度等相关信息。 动作模式匹配 模块根据运动速度、 轨迹信息, 计算得到击球的方向、 力量以及旋转。 具有三维鼠标功能的设备: The present invention can be used for the recognition of two-dimensional and three-dimensional motions in computer games or home game console games. When the user makes an action simulating a real scene, the game motion recognition device having the acceleration motion recognition technology of the non-gyro technology reconstructs the action made by the user on the computer by calculation and maps with the control command in the game. For in-game two-dimensional motion recognition, such as the selection of playing cards in a poker game, the user can wear the device above the back of the hand, and when the user pans left and right, the playing cards held in the hand of the game can be selected, when the user wishes When playing or selecting a designated playing card, the user only needs to quickly move the device-worn hand forward or backward to allow the computer to recognize the corresponding operation. This approach is closer to the hand movements of playing cards in real scenes. For three-dimensional motion recognition, such as a swing action of playing tennis, the user can wear the device above the back of the hand, and can choose to hold the tennis racket or any other object, when the user makes a complete swing action according to the prompt of the game screen. The game motion recognition device separates the valid data in the swing process by the stationary-motion detection module, and obtains the complete trajectory, speed and other related information of the user waving the racket through the system calculation. The motion pattern matching module calculates the direction, strength, and rotation of the shot based on the motion speed and the trajectory information. A device with a three-dimensional mouse function:
传统的鼠标是在二维平面上通过机械或光学解析, 得到用户在水 平平面上的平移。 具有非陀螺仪技术的加速度动作识别技术的鼠标设 备, 具有在三维空间内精确定位的功能。 当用户将持有设备的手向三 维空间中某一个方向运动时, 鼠标的光标也会随之移动。 对于传统的 二维操作界面, 设备和系统能够将三维运动转化为二维平面的投影, 对于鼠标左右键点击的动作, 用户可以通过快速甩动手掌或者在垂直 于二维平面的方向上下移动, 就可以实现相应的点击功能。 同时, 具有非陀螺仪技术的加速度动作识别技术的鼠标不会像传 统的机械或光学鼠标, 受到接触表面的限制。 具有本发明技术的鼠标 可以在任何表面, 甚至空中控制计算机桌面的鼠标光标。 机器人动作控制输入设备:Conventional mice are mechanically or optically resolved on a two-dimensional plane to give the user a translation in a horizontal plane. Mouse setting with acceleration motion recognition technology with non-gyro technology It has the function of precise positioning in three-dimensional space. When the user moves the hand holding the device to one of the three-dimensional directions, the mouse cursor moves with it. For the traditional two-dimensional operation interface, the device and system can convert the three-dimensional motion into a two-dimensional plane projection. For the left and right mouse click actions, the user can quickly move the palm or move up and down in a direction perpendicular to the two-dimensional plane. You can achieve the corresponding click function. At the same time, the mouse with the acceleration motion recognition technology of non-gyro technology is not limited by the contact surface like a conventional mechanical or optical mouse. A mouse having the technology of the present invention can control the mouse cursor of a computer desktop on any surface, even in the air. Robot motion control input device:
对于拟人类型机器人控制应用的需求, 用户可以通过移动佩戴有 机器人动作控制输入设备的手臂, 将人体动作映射为机器人操作指令, 例如: 抬臂、 挥臂、 降臂等。 当用户想要对机器人的四肢动作进行控 制时, 不再需要输入大量复杂的指令, 仅仅需要做出相应的动作, 就 可以控制机器人做出一致的复杂手臂动作。 具有本发明技术的机器人 动作控制输入设备, 相对于 6 维机械传动输入设备等传统解决方案, 可以大大简化控制设备的体积, 增强交互控制的流畅性和仿真性, 使 得人对于机器人的控制能力和体验大大提高。 对于本领域技术人员显而易见的是, 在本发明中可以进行多种修 改和变化, 而不脱离本发明的精神和范围。 因此, 本发明意图覆盖落 在所附权利要求及其等效范围内的本发明的修改和变化。 For the needs of anthropomorphic robot control applications, the user can map the human motion to robot operation commands by moving the arm with the robot motion control input device, such as: raising the arm, swinging the arm, descending arm, and the like. When the user wants to control the movements of the robot's limbs, it is no longer necessary to input a large number of complicated instructions, and only need to make corresponding actions, the robot can be controlled to make consistent and complex arm movements. The robot motion control input device with the technology of the present invention can greatly simplify the volume of the control device, enhance the fluency and simulation of the interaction control, and improve the control ability of the robot with respect to the conventional solution such as the 6-dimensional mechanical transmission input device. The experience has greatly improved. It will be apparent to those skilled in the art that various modifications and changes can be made in the present invention without departing from the spirit and scope of the invention. Therefore, it is intended that the present invention cover the modifications and modifications of the invention

Claims

权 利 要 求 Rights request
1. 一种动作识别方法, 包括下列步骤: 1. A motion recognition method, comprising the following steps:
通过三轴加速度传感器采集一个动作的有效数据信号; Acquiring an effective data signal of an action through a three-axis acceleration sensor;
确定该动作的起始和结束的静止状态数据; Determining the quiescent state data of the start and end of the action;
基于三轴加速度传感器釆集的有效数据信号和该动作的起始和结 束的静止状态数据, 通过去重力加速度分离算法, 将重力加速度从三 轴加速度传感器采样的数据中分离出去, 得到动作的运动加速度数据; 以及 Based on the effective data signal of the triaxial acceleration sensor and the static state data of the start and end of the action, the gravity acceleration is separated from the data sampled by the triaxial acceleration sensor by the de-gravity acceleration separation algorithm to obtain the motion of the action. Acceleration data;
基于该动作的运动加速度数据计算出该动作的速度和轨迹。 The speed and trajectory of the motion are calculated based on the motion acceleration data of the motion.
2. 根据权利要求 1的方法,其中所述去重力加速度分离算法包括: 求解出所述动作从开始到结束过程中, 所述动作的轴的矢量方向 和该轴绕某方向转动的转角的最小角度;2. The method according to claim 1, wherein said de-gravity acceleration separation algorithm comprises: solving a minimum of a vector direction of an axis of said motion and a rotation angle of said axis about a direction from said beginning to the end of said action Angle
利用求解出的轴的矢量方向和转角的角度, 将转动分量分离到每 一个釆样点上; 以及 Separating the rotational component to each of the sample points using the vector direction of the solved axis and the angle of the corner; and
将每一点的姿态和重力加速度建立相应的映射, 去除不同姿态下 重力加速度对信号的影响, 得到准确的运动加速度信息。 Corresponding mapping is established between the attitude of each point and the acceleration of gravity, and the influence of gravity acceleration on the signal in different postures is removed, and accurate motion acceleration information is obtained.
3. 根据权利要求 1的方法,其中所述去重力加速度分离算法包括: 基于三轴加速度传感器的有效数据信号, 将运动开始之前, 结束 后的静止状态数据作为初始和结束的两组静止姿态;3. The method according to claim 1, wherein the de-gravity acceleration separation algorithm comprises: based on the effective data signal of the triaxial acceleration sensor, the stationary state data before the start of the motion as the initial and ending two sets of stationary postures;
利用所述两组静止的姿态的数据将临近较短固定时间内的加速度 数据去除重力加速度, 得到这段时间内的运动加速度数值、 运动速度 和轨迹; Using the data of the two sets of static attitudes to remove the acceleration data of the acceleration signal for a short fixed time, the motion acceleration value, the motion speed and the trajectory during this period are obtained;
将上述运动加速度数值、 运动速度和轨迹与模式匹配数据库当中 的有限数量的运动指令进行匹配, 得出确定的运动方向; 以及 Matching the above-described motion acceleration values, motion speeds, and trajectories with a limited number of motion commands in the pattern matching database to derive a determined direction of motion;
基于计算出的前后两组运动方向, 将方向的变化分割并修正完整 运动数据中各点速度和轨迹, 得到运动信息。Based on the calculated two groups of motion directions, the direction changes are segmented and the velocity and trajectory of each point in the complete motion data are corrected to obtain motion information.
4. 根据权利要求 2或 3的方法, 其中所述动作的有效数据信号 和动作的起始和结束的静止状态数据具有如下格式: 数据的开始和结 束分别包括一组静止状态的数据, 中间的各组数据是人体运动中三轴 加速度传感器采样得到的有效数据。4. A method according to claim 2 or 3, wherein the active data signal of the action and the quiescent state data of the start and end of the action have the following format: the beginning and the end of the data respectively comprise a set of data of the quiescent state, the middle Each group of data is valid data obtained by sampling a three-axis acceleration sensor in human motion.
5. 根据权利要求 2或 3的方法, 其中所述确定该动作的起始和结 束的静止状态数据的步骤进一步包括静止-运动检测步骤, 用于检测动 作的预静止和预运动状态。The method according to claim 2 or 3, wherein said step of determining the start and end of the motion state data further comprises a stationary-motion detecting step for detecting a pre-stationary and pre-motion state of the motion.
6. 根据权利要求 5的方法, 其中所述静止-运动检测步骤包括: 当动作为预静止状态时, 将连续的 N帧数据封装成一组; 判断该组数据的方差大于预定的阈值 Θ ;6. The method according to claim 5, wherein said stationary-motion detecting step comprises: encapsulating successive N frames of data into a group when the action is in a pre-quiescent state; determining that a variance of the set of data is greater than a predetermined threshold Θ;
如果该组数据饿方差大于预定的阈值 Θ,则使检测状态进入预运动 状态, 将前一组 N帧数据连同本组预运动状态的数据存储到缓存, 并 且将这段预运动状态的数据直接发送以计算出该动作的速度和轨迹; 当动作为预运动状态时, 判断此时的数据方差大于预定的阈值, 或者判断数据的均值与标准重力加速度的差值的模是否大于预定的差 值 Δ ; If the group of data hungry variance is greater than a predetermined threshold Θ, the detection state is entered into the pre-motion state, the data of the previous group of N frames together with the data of the pre-motion state of the group is stored in the buffer, and the data of the pre-motion state is directly Sending to calculate the speed and trajectory of the action; when the action is a pre-motion state, determining whether the data variance at this time is greater than a predetermined threshold, or determining whether the modulus of the difference between the mean value of the data and the standard gravity acceleration is greater than a predetermined difference Δ ;
当该数据的方差小于预定的阈值 θ,并且数据均值与标准重力加速 度的差值的模小于预定的差值 Δ, 则使检测状态进入预静止状态。 When the variance of the data is less than the predetermined threshold θ, and the modulus of the difference between the data mean and the standard gravity acceleration is less than the predetermined difference Δ, the detected state is brought into the pre-rest state.
7. 根据权利要求 6的方法,其中所述静止-运动检测步骤进一步包 括- 当检测状态进入预静止状态时, 对缓存中数据长度进行最后的判 断, 检测数据长度是否大于 Τ时间内以频率 F釆样的数据的大小, 并 且判断数据中是否存在一组数据它的均值与标准重力加速度之差的模 大于有效运动幅度 Ω;7. The method according to claim 6, wherein said still-motion detecting step further comprises - when the detected state enters a pre-quiescent state, performing a final determination on the length of the data in the buffer, and detecting whether the data length is greater than the time F by the frequency F The size of the data, and whether there is a set of data in the data, the modulus of the difference between its mean value and the standard gravity acceleration is greater than the effective motion amplitude Ω;
如果这两个条件不都满足, 将缓存当中的数据清空; If these two conditions are not met, the data in the cache is cleared;
如果同时满足两个条件, 发送数据并通过去重力加速度分离算法 将数据中的重力加速度分离。If both conditions are met, the data is sent and the gravitational acceleration in the data is separated by a de-gravity acceleration separation algorithm.
8. 一种动作识别系统, 包括. ·8. A motion recognition system, including:
数据采集传输模块,其包括三轴加速度传感器,用于发送三轴加速 度传感器采集的一个动作的有效数据信号; a data acquisition transmission module comprising a three-axis acceleration sensor for transmitting an effective data signal of an action acquired by the three-axis acceleration sensor;
驱动程序模块,用于将来自所述数据采集传输模块发送的数据信 号缓存, 并接收来自数据处理模块的数据, 用于显示驱动和人机交互 设备的驱动; a driver module, configured to buffer a data signal sent from the data acquisition and transmission module, and receive data from the data processing module, for driving the display driver and the human-machine interaction device;
数据处理模块, 其包括重力加速度分离模块, 所述数据处理模块 用于确定三轴加速度传感器所对应的动作的起始和结束的静止状态数 据, 并基于三轴加速度传感器采集的有效数据信号和该动作的起始和 结束的静止状态数据, 通过重力加速度分离模块, 将重力加速度从三 轴加速度传感器采样的数据中分离出去, 得到动作的运动加速度数据, 并基于该动作的运动加速度数据计算出该动作的速度和轨迹, 并将数 据传送到所述驱动程序模块。 a data processing module, comprising: a gravity acceleration separation module, wherein the data processing module is configured to determine the start and end static state data of the action corresponding to the three-axis acceleration sensor, and based on the valid data signal collected by the three-axis acceleration sensor and the The static state data of the start and end of the motion is separated from the data sampled by the triaxial acceleration sensor by the gravity acceleration separation module, and the motion acceleration data of the motion is obtained, and the motion acceleration data is calculated based on the motion acceleration data of the motion The speed and trajectory of the action and transfer the data to the driver module.
9. 根据权利要求 8的动作识别系统, 其中所述重力加速度分离模 块,9. The motion recognition system according to claim 8, wherein said gravity acceleration separation module,
求解出所述动作从开始到结束过程中, 所述动作的轴的矢量方向 和动作绕该轴转动的转角的最小角度; Solving a minimum angle of a vector direction of the axis of the motion and a rotation angle of the motion about the axis from the beginning to the end of the action;
利用求解出的轴的矢量方向和转角的角度, 将转动分量分离到每 一个釆样点上; 以及 Separating the rotational component to each of the sample points using the vector direction of the solved axis and the angle of the corner; and
将每一点的姿态和重力加速度建立相应的映射, 去除不同姿态下 重力加速度对信号的影响, 得到准确的运动加速度信息。 Corresponding mapping is established between the attitude of each point and the acceleration of gravity, and the influence of gravity acceleration on the signal in different postures is removed, and accurate motion acceleration information is obtained.
10. 根据权利要求 8 的动作识别系统, 其中所述重力加速度分离 模块,10. The motion recognition system according to claim 8, wherein said gravity acceleration separation module,
基于三轴加速度传感器的有效数据信号, 将运动开始之前, 结束 后的静止状态数据作为初始和结束的两组静止姿态; Based on the effective data signal of the three-axis acceleration sensor, the stationary state data before the start of the motion is taken as the initial and final two sets of stationary postures;
利用所述两组静止的姿态的数据将临近较短固定时间内的加速度 数据去除重力加速度, 得到这段时间内的运动加速度数值、 运动速度 和轨迹;Using the data of the two sets of stationary postures to remove the acceleration data of the acceleration data in a short fixed time, and obtain the motion acceleration value and the motion speed during the period. And trajectory;
将上述运动加速度数值、 运动速度和轨迹与模式匹配数据库当中 的有限数量的运动指令进行匹配, 得出确定的运动方向; 以及 Matching the above-described motion acceleration values, motion speeds, and trajectories with a limited number of motion commands in the pattern matching database to derive a determined direction of motion;
基于计算出的前后两组运动方向, 将方向的变化分割并修正完整 运动数据中各点速度和轨迹, 得到运动信息。 Based on the calculated two groups of motion directions, the direction changes are segmented and the velocity and trajectory of each point in the complete motion data are corrected to obtain motion information.
1 1. 根据权利要求 9或 10所述的动作识别系统, 其中所述动作 的有效数据信号和动作的起始和结束的静止状态数据具有如下格式: 数据的幵始和结束分别包括一组静止状态的数据, 中间的各组数据是 人体运动中三轴加速度传感器采样得到的有效数据。1 1. The motion recognition system according to claim 9 or 10, wherein the active data signal of the action and the quiescent state data of the start and end of the action have the following format: the start and end of the data respectively comprise a group of still The data of the state, the data of each group in the middle is the valid data obtained by sampling the three-axis acceleration sensor in human motion.
12. 根据权利要求 9或 10所述的动作识别系统, 其中所述数据处 理模块进一步包括静止-运动检测模块, 用于检测动作的预静止和预运 动状态。12. The motion recognition system of claim 9 or 10, wherein the data processing module further comprises a stationary-motion detection module for detecting pre-stationary and pre-motion states of the motion.
13. 根据权利要求 1 1的动作识别系统,其中所述静止 -运动检测模 块,13. The motion recognition system of claim 1 wherein said stationary motion detection module,
当动作为预静止状态时, 将连续的 N帧数据封装成一组; 判断该组数据的方差大于预定的阔值 Θ; When the action is in a pre-quiescent state, the continuous N frame data is encapsulated into a group; determining that the variance of the group of data is greater than a predetermined threshold Θ;
如果该组数据饿方差大于预定的阈值 θ,则使检测状态进入预运动 状态, 将前一组 Ν帧数据连同本组预运动状态的数据存储到缓存, 并 且将这段预运动状态的数据直接发送以计算出该动作的速度和轨迹; 当动作为预运动状态时, 判断此时的数据方差大于预定的阈值, 或者判断数据的均值与标准重力加速度的差值的模是否大于预定的差 值 Δ; If the group of data is greater than the predetermined threshold θ, the detection state is entered into the pre-motion state, the data of the previous group of frame data is stored in the buffer together with the data of the pre-motion state of the group, and the data of the pre-motion state is directly Sending to calculate the speed and trajectory of the action; when the action is a pre-motion state, determining whether the data variance at this time is greater than a predetermined threshold, or determining whether the modulus of the difference between the mean value of the data and the standard gravity acceleration is greater than a predetermined difference Δ;
当该数据的方差小于预定的阈值 θ,并且数据均值与标准重力加速 度的差值的模小于预定的差值 Δ, 则使检测状态进入预静止状态。 When the variance of the data is less than the predetermined threshold θ, and the modulus of the difference between the data mean and the standard gravity acceleration is less than the predetermined difference Δ, the detected state is brought into the pre-rest state.
14. 根据权利要求 13的动作识别系统,其中所述静止 -运动检测模 块进一步包括, 当检测状态进入预静止状态时, 对缓存中数据长度进行最后的判 断, 检测数据长度是否大于 T时间内以频率 F采样的数据的大小, 并 且判断数据中是否存在一组数据它的均值与标准重力加速度之差的模 大于有效运动幅度 Ω;14. The motion recognition system of claim 13 wherein said stationary-motion detection module further comprises When the detection state enters the pre-stationary state, the final judgment is made on the length of the data in the buffer, whether the length of the detected data is greater than the size of the data sampled by the frequency F in the T time, and whether there is a set of data in the data, and the mean and standard of the data. The modulus of the difference in gravitational acceleration is greater than the effective motion amplitude Ω;
如果这两个条件不都满足, 将缓存当中的数据清空; If these two conditions are not met, the data in the cache is cleared;
如果同时满足两个条件, 发送数据并通过去重力加速度分离算法 将数据中的重力加速度分离。 If both conditions are met, the data is sent and the gravitational acceleration in the data is separated by a de-gravity acceleration separation algorithm.
15. 根据权利要求 8 的动作识别系统, 其中所述数据采集传输模 块进一步包括:15. The motion recognition system of claim 8, wherein the data acquisition transmission module further comprises:
微型处理器, 其以固定频率 F去读取三轴加速度传感器的数据存 储单元, 同时根据公共密钥和加密算法对每组数据进行加密, 并且将 加密过的数据在微型控制器的数据存储单元缓存起来, 然后将加密过 的数据发送到数据传输模块; a microprocessor that reads the data storage unit of the triaxial acceleration sensor at a fixed frequency F, encrypts each set of data according to a public key and an encryption algorithm, and encrypts the data in a data storage unit of the microcontroller Cache up, and then send the encrypted data to the data transmission module;
数据传输模块, 其接收来自微型处理器的数据, 采用无线或有线 方式发送数据。 A data transmission module that receives data from the microprocessor and transmits the data wirelessly or by wire.
16. 根据权利要求 8 的动作识别系统, 其中所述动作识别系统进 一步包括:16. The motion recognition system of claim 8 wherein said motion recognition system further comprises:
数据接收模块, 用于接收来自数据传输模块的数据, 并将其发送 到驱动程序模块。 A data receiving module, configured to receive data from the data transmission module and send it to the driver module.
17. 根据权利要求 8 的动作识别系统, 其中所述驱动程序模块进 一步包括加密 /解密过滤驱动模块, 基于微型处理器中的加密算法和公 共密钥对所接收的数据进行解密, 并对解密后的数据进行校验, 当数 据量达到触发发送的门限吋, 将数据发送至静止-运动检测模块。17. The motion recognition system according to claim 8, wherein said driver module further comprises an encryption/decryption filter driver module, decrypting the received data based on an encryption algorithm and a public key in the microprocessor, and after decrypting The data is verified, and when the amount of data reaches the threshold for triggering transmission, the data is sent to the stationary-motion detection module.
18. 根据权利要求 8 的动作识别系统, 其中所述动作识别系统进 一步包括:18. The motion recognition system of claim 8 wherein said motion recognition system further comprises:
动作模式匹配模块, 用于接收来自重力加速度分离模块的运动加 速度数据, 计算出动作的速度及空间轨迹, 在操作指令数据库与运动 速度轨迹数据库中进行匹配度计算査询并建立映射, 得到操作指令数 据库中对应的动作操作模式数据, 并将其发送到驱动程序模块。An action pattern matching module for receiving motion from the gravity acceleration separation module Speed data, calculate the speed and space trajectory of the action, perform the matching degree calculation query in the operation command database and the motion speed trajectory database and establish a mapping, obtain the corresponding action operation mode data in the operation instruction database, and send it to the driver Program module.
19. 根据权利要求 18的动作识别系统, 其中所述动作识别系统进 一步包括:19. The motion recognition system of claim 18, wherein said motion recognition system further comprises:
动作显示模块, 其包括两个并行的数据处理模块, 实时预动作显 示模块和完整动作显示模块, 分别接收来自静止-运动检测模块的预运 动数据, 以及重力加速度分离模块的完整运动速度、 轨迹数据, 用于 显示动作的运动方向和速度。 The action display module comprises two parallel data processing modules, a real-time pre-action display module and a complete action display module, respectively receiving pre-motion data from the static-motion detection module, and the complete motion speed and trajectory data of the gravity acceleration separation module , used to display the direction and speed of motion of the action.
20. 根据权利要求 19的动作识别系统, 其中所述驱动程序模块进 一步包括:20. The motion recognition system of claim 19, wherein said driver module further comprises:
人机交互设备驱动模块, 用于接收来自动作模式匹配模块的动作 操作模式数据, 遵循操作系统中标准的输入设备驱动模型要求, 提供 了面向应用程序的通用控制接口; The human-machine interaction device driving module is configured to receive the action operation mode data from the action mode matching module, and follow a standard input device driver model requirement in the operating system, and provide a general control interface for the application program;
显示驱动模块, 用于接收来自所述动作显示模块的动作的运动方 向和速度信号, 用于驱动在显示屏上动作的显示。 And a display driving module, configured to receive a motion direction and a speed signal from the action display module for driving the display of the action on the display screen.
PCT/CN2009/0007702009-07-072009-07-07Acceleration motion identify method and system thereofWO2011003218A1 (en)

Priority Applications (2)

Application NumberPriority DateFiling DateTitle
CN200980161332.5ACN102667672B (en)2009-07-072009-07-07Acceleration motion identify method and system thereof
PCT/CN2009/000770WO2011003218A1 (en)2009-07-072009-07-07Acceleration motion identify method and system thereof

Applications Claiming Priority (1)

Application NumberPriority DateFiling DateTitle
PCT/CN2009/000770WO2011003218A1 (en)2009-07-072009-07-07Acceleration motion identify method and system thereof

Publications (1)

Publication NumberPublication Date
WO2011003218A1true WO2011003218A1 (en)2011-01-13

Family

ID=43428719

Family Applications (1)

Application NumberTitlePriority DateFiling Date
PCT/CN2009/000770WO2011003218A1 (en)2009-07-072009-07-07Acceleration motion identify method and system thereof

Country Status (2)

CountryLink
CN (1)CN102667672B (en)
WO (1)WO2011003218A1 (en)

Cited By (7)

* Cited by examiner, † Cited by third party
Publication numberPriority datePublication dateAssigneeTitle
CN103685401A (en)*2012-09-172014-03-26联想(北京)有限公司Information exchange method, terminal equipment and information exchange system
US8989441B2 (en)2013-02-072015-03-24Zepp Labs, Inc.Data acquisition method and device for motion recognition, motion recognition system and computer readable storage medium
CN104898831A (en)*2015-05-082015-09-09中国科学院自动化研究所北仑科学艺术实验中心Human action collection and action identification system and control method therefor
CN105664454A (en)*2016-04-112016-06-15深圳市酷浪云计算有限公司Method and device for measurement of speed of sports equipment
CN106491138A (en)*2016-10-262017-03-15歌尔科技有限公司A kind of motion state detection method and device
CN107036568A (en)*2017-06-012017-08-11中国计量大学Space large scale track detection device and method
CN116603237A (en)*2023-06-052023-08-18深圳十米网络科技有限公司Somatosensory tennis game method based on function fitting

Families Citing this family (21)

* Cited by examiner, † Cited by third party
Publication numberPriority datePublication dateAssigneeTitle
CN104246516B (en)2013-12-052018-02-02华为终端有限公司A kind of method and device for determining vehicle acceleration
CN103902015A (en)*2014-04-082014-07-02苏州本控电子科技有限公司Handheld remote controller with power saving function and power saving method thereof
KR102141367B1 (en)*2014-05-302020-08-05닛토덴코 가부시키가이샤Device and method for classifying the activity and/or counting steps of a user
EP3190475B1 (en)*2014-09-042022-06-01Leomo, Inc.Information terminal device
CN105630195B (en)*2014-10-282019-12-27欧姆龙健康医疗事业株式会社Motion recognition device, portable motion detection apparatus, and motion recognition method thereof
SG11201707278SA (en)*2015-03-202017-10-30Ricoh Co LtdDisplay apparatus, display control method, display control program, and display system
CN106618584B (en)*2015-11-102019-11-22北京纳通科技集团有限公司 A method for monitoring the movement of a user's lower body
CN105866473B (en)*2016-02-242019-06-04安徽华米信息科技有限公司The measurement method and device of motor vibrations acceleration
CN106371587A (en)*2016-08-282017-02-01深圳市爱华兴模具有限公司Simple and effective gesture identification method
CN107976559A (en)*2017-10-112018-05-01常州信息职业技术学院Acceleration of gravity method is filtered out based on rest point detection
CN107865662A (en)*2017-10-192018-04-03张滇A kind of method and device for identifying limb action
CN109758154B (en)*2019-01-092022-02-25北京卡路里信息技术有限公司Motion state determination method, device, equipment and storage medium
CN110721473B (en)*2019-10-102022-10-04深圳市瑞立视多媒体科技有限公司Object throwing method, device, equipment and computer readable storage medium
CN111449681B (en)*2020-04-082023-09-08深圳开立生物医疗科技股份有限公司 Shear wave imaging method, device, equipment and readable storage medium
CN112075940A (en)*2020-09-212020-12-15哈尔滨工业大学 A Tremor Detection System Based on Bidirectional Long Short-Term Memory Neural Network
CN112767782B (en)*2021-01-192022-08-19武汉理工大学Intelligent pointer system for detecting emotion of teacher in real time
CN114041723A (en)*2021-11-182022-02-15苏州精源创智能科技有限公司Dust collector motion sensor module and method for detecting motion state of dust collector
CN114176576B (en)*2021-12-112024-05-24江苏智恒文化科技有限公司Method for identifying human motion state based on acceleration
CN114692691B (en)*2022-03-312025-05-06维沃移动通信有限公司 Motion state recognition method, device, electronic device and storage medium
CN115014256A (en)*2022-06-212022-09-06中国电建集团中南勘测设计研究院有限公司Space displacement meter and hole displacement measuring method
CN118837113B (en)*2024-08-122025-04-08浙江迅达工业股份有限公司Method and system for detecting speed of input shaft of engine

Citations (5)

* Cited by examiner, † Cited by third party
Publication numberPriority datePublication dateAssigneeTitle
US20050253806A1 (en)*2004-04-302005-11-17Hillcrest Communications, Inc.Free space pointing devices and methods
US20080262772A1 (en)*2007-03-152008-10-23Xsens-Technologies B.V.Sytem and a Method for Motion Tracking Using a Calibration Unit
CN101317188A (en)*2006-02-222008-12-03索尼株式会社 Body motion detection device, body motion detection method, and body motion detection program
WO2009008372A1 (en)*2007-07-062009-01-15Sony CorporationInput device, controller, control system, control method, and hand-held device
CN201203853Y (en)*2008-05-282009-03-04上海悦微堂网络科技有限公司Body sense remote-control input game device

Patent Citations (5)

* Cited by examiner, † Cited by third party
Publication numberPriority datePublication dateAssigneeTitle
US20050253806A1 (en)*2004-04-302005-11-17Hillcrest Communications, Inc.Free space pointing devices and methods
CN101317188A (en)*2006-02-222008-12-03索尼株式会社 Body motion detection device, body motion detection method, and body motion detection program
US20080262772A1 (en)*2007-03-152008-10-23Xsens-Technologies B.V.Sytem and a Method for Motion Tracking Using a Calibration Unit
WO2009008372A1 (en)*2007-07-062009-01-15Sony CorporationInput device, controller, control system, control method, and hand-held device
CN201203853Y (en)*2008-05-282009-03-04上海悦微堂网络科技有限公司Body sense remote-control input game device

Cited By (8)

* Cited by examiner, † Cited by third party
Publication numberPriority datePublication dateAssigneeTitle
CN103685401A (en)*2012-09-172014-03-26联想(北京)有限公司Information exchange method, terminal equipment and information exchange system
US8989441B2 (en)2013-02-072015-03-24Zepp Labs, Inc.Data acquisition method and device for motion recognition, motion recognition system and computer readable storage medium
CN104898831A (en)*2015-05-082015-09-09中国科学院自动化研究所北仑科学艺术实验中心Human action collection and action identification system and control method therefor
CN105664454A (en)*2016-04-112016-06-15深圳市酷浪云计算有限公司Method and device for measurement of speed of sports equipment
US10363471B2 (en)2016-04-112019-07-30Shenzhen Coollang Cloud Computing Co., LtdMethod and device for measuring speed of moving device
CN106491138A (en)*2016-10-262017-03-15歌尔科技有限公司A kind of motion state detection method and device
CN107036568A (en)*2017-06-012017-08-11中国计量大学Space large scale track detection device and method
CN116603237A (en)*2023-06-052023-08-18深圳十米网络科技有限公司Somatosensory tennis game method based on function fitting

Also Published As

Publication numberPublication date
CN102667672A (en)2012-09-12
CN102667672B (en)2014-04-02

Similar Documents

PublicationPublication DateTitle
WO2011003218A1 (en)Acceleration motion identify method and system thereof
US8655622B2 (en)Method and apparatus for interpreting orientation invariant motion
US9229540B2 (en)Deriving input from six degrees of freedom interfaces
US8933931B2 (en)Distributed asynchronous localization and mapping for augmented reality
US20130010071A1 (en)Methods and systems for mapping pointing device on depth map
US10086282B2 (en)Tracking device for use in obtaining information for controlling game program execution
US20140009384A1 (en)Methods and systems for determining location of handheld device within 3d environment
JP7546116B2 (en) Systems and methods for augmented reality - Patents.com
US20160098095A1 (en)Deriving Input from Six Degrees of Freedom Interfaces
US20150070274A1 (en)Methods and systems for determining 6dof location and orientation of head-mounted display and associated user movements
JP2009535173A (en) Three-dimensional input control system, method, and apparatus
US20060287084A1 (en)System, method, and apparatus for three-dimensional input control
KR20130116910A (en)Motion parameter determination method and device and motion auxiliary equipment
US8555205B2 (en)System and method utilized for human and machine interface
CN108037827A (en)The virtual objects throwing emulation mode and its system of Virtual actual environment
CN101438340A (en)System, method and apparatus for three-dimensional input control
US11448884B2 (en)Image based finger tracking plus controller tracking
JP2013027458A (en)Information processing apparatus, information processing method, and program
JP5878438B2 (en) Display control device, display control system, and program
WO2014185808A1 (en)System and method for controlling multiple electronic devices
JPWO2018051592A1 (en) INFORMATION PROCESSING APPARATUS, INFORMATION PROCESSING METHOD, AND PROGRAM
JP5536510B2 (en) Program and image generation system
JP5638592B2 (en) System and method for analyzing game control input data
KR20120037739A (en)User interface device and method based on hand gesture recognition
US9352230B1 (en)Method and system for tracking motion-sensing device

Legal Events

DateCodeTitleDescription
WWEWipo information: entry into national phase

Ref document number:200980161332.5

Country of ref document:CN

121Ep: the epo has been informed by wipo that ep was designated in this application

Ref document number:09846969

Country of ref document:EP

Kind code of ref document:A1

NENPNon-entry into the national phase

Ref country code:DE

122Ep: pct application non-entry in european phase

Ref document number:09846969

Country of ref document:EP

Kind code of ref document:A1


[8]ページ先頭

©2009-2025 Movatter.jp