Movatterモバイル変換


[0]ホーム

URL:


WO2010149277A2 - Non-stationary reciprocating solar thermal heat engine driven by pulsed concentrated solar irradiation - Google Patents

Non-stationary reciprocating solar thermal heat engine driven by pulsed concentrated solar irradiation
Download PDF

Info

Publication number
WO2010149277A2
WO2010149277A2PCT/EP2010/003509EP2010003509WWO2010149277A2WO 2010149277 A2WO2010149277 A2WO 2010149277A2EP 2010003509 WEP2010003509 WEP 2010003509WWO 2010149277 A2WO2010149277 A2WO 2010149277A2
Authority
WO
WIPO (PCT)
Prior art keywords
engine
cylinder
cylinders
absorber
solar
Prior art date
Application number
PCT/EP2010/003509
Other languages
French (fr)
Other versions
WO2010149277A3 (en
Inventor
Konstantinos Boulouchos
Christoph Gebald
Hansulrich Hoerler
Aldo Steinfeld
Jan André WURZBACHER
Original Assignee
Eth Zurich
Priority date (The priority date is an assumption and is not a legal conclusion. Google has not performed a legal analysis and makes no representation as to the accuracy of the date listed.)
Filing date
Publication date
Application filed by Eth ZurichfiledCriticalEth Zurich
Publication of WO2010149277A2publicationCriticalpatent/WO2010149277A2/en
Publication of WO2010149277A3publicationCriticalpatent/WO2010149277A3/en

Links

Classifications

Definitions

Landscapes

Abstract

A reciprocating piston engine comprising a plurality of at least two cylinders converts concentrated solar irradiation into useful mechanical power. The cylinder heads of the engine contain transparent windows through which a concentrated beam of solar radiation is directed into the compression volume of the cylinders during a portion of each cylinder's thermodynamic cycle. A device redirects the concentrated solar beam from cylinder to cylinder during operation of the engine. The concentrated radiation is absorbed within the compression volume of the cylinders of the engine by means of a volumetric absorber characterized by a small total heat capacity compared to the heat capacity of the working gas contained in the cylinder.

Description

TITLE
Non-Stationary Reciprocating Solar Thermal Heat Engine Driven by Pulsed Concentrated Solar
Irradiation
TECHNICAL FIELD
The present invention relates to a method for converting concentrated solar irradiation into useful mechanical work by means of a reciprocating piston engine driven by pulses of concentrated solar irradiation, to the characteristic design of such an engine and to the inclusion of such an engine into a system of a topping and a bottoming cycle.
PRIOR ART
To meet the challenges imposed by the world-wide increasing energy demand in the presence of limited fossil fuel resources and the ecological problems arising caused by increasing CO2 emissions, concentrated solar power (CSP) technology is discussed by many as a very promising if not the most promising option. Different forms of CSP technology used to drive solar-thermal power cycles have already been well established in practice.
The solar-thermal power plants that have been in commercial operation so far use either steam cycles (Rankine cycles) or Stirling cycles, the latter mostly in connection with the dish-concentrating technology. Due to their characteristics, the achieved top temperatures in these cycles are relatively low (below about 600ºC). However, with today's technologies for concentrating the sunlight, much higher absorption temperatures far above 1000ºC (later referred to as high temperature absorption) can be realized.
A lot of research has therefore been carried out in the last two decades on the development of combined solar-thermal power cycles analogous to conventional combined cycles, which merge a topping Brayton cycle with a bottoming Rankine cycle. The goal of this research is to take advantage of the high temperatures provided by modern CSP technologies by operating heat engines on a larger temperature range and hence obtain higher thermal efficiencies.
Various technologies for concentrating solar radiation exist. For high temperature absorption purposes, as exclusively of relevance for the disclosed invention, only technologies providing concentration ratios in the range of C = 1000 - 10, 000 and more are suitable. The common technologies available for this range use solar tower central receivers, solar dishes or tower reflector systems as primary concentrators in combination with different forms of secondary concentrators, like compound parabolic concentrators (CPC) or dielectric total internal reflection concentrators together with light extractors. Using the solar tower central receiver concept (the most common one used for high temperature air heating), concentration ratios of C = 1000 and more can be obtained already after the primary concentrator. By using different combinations of secondary concentrators, concentration ratios of up to C = 10, 000 have been demonstrated. With a tower reflector system (beam down tower) as primary concentrator, even higher concentration ratios are to be expected.
Calculations show that with solar concentration rations of C = 5000 and C = 10,000 absorption with an efficiency of 90% (assuming a purely radiative equilibrium, i.e. neglecting any convective and conductive losses, with absorber absorptivity and emissivity equal to one) can be reached at absorption temperatures of 1450ºC and 1776°C, respectively.
The configuration of a solar combined cycle that has been widely discussed, analyzed and experimentally investigated so far is the combination of a solar gas turbine as topping Brayton cycle combined with a steam bottoming cycle.
In all cases, the challenge of absorbing solar heat at very high temperatures and high pressures of the gaseous working fluid at the same time has to be overcome. Further, utilization of a volumetric absorber rather than a surface absorber is desirable. The advantages of a volumetric absorber are (i) low convection losses from the absorber front, (H) low radiation reflection losses thanks to the volumetric nature of the absorber (the volumetric absorber forms a kind of cavity by itself, due to multiple reflections within the absorber) and (Hi) low radiation emission losses thanks to a relatively low surface temperature of the absorber material (direct heat transfer from the absorber surface to the working fluid, no need for large temperature gradients).
However, using a volumetric absorber requires a transparent window at the front of the absorber (usually quartz glass is used), through which the incoming concentrated solar radiation has to pass, to separate the working fluid from the environment. If the working fluid is under high pressure, very demanding requirements on the window result: On the one hand it has to withstand the mechanical stresses imposed by the fluid pressure; hence it has to have a certain thickness. On the other hand, it has to be as thin as possible since the thicker the window is, the more radiation (incoming solar and thermal reradiation) is absorbed in the window and the more difficult it becomes to cool the window convectively in order to keep it at the maximum allowable temperature for long-term operation.
In this context, two major designs for a solar receiver meeting these challenges have been presented so far: The so-called DIAPR system has been developed by the Weizmann Institute of Science. The so- called REFOS system has been developed by the German Aerospace Center (DLR).
Both systems have been implemented and tested successfully; however, the maximum performance in terms of maximum achievable fluid temperatures and pressures is limited by the material and durability issues described above. Hence, a technical solution for absorbing solar heat into a pressurized working fluid, preferably at higher temperatures than achieved so far, while avoiding or reducing some of the material problems described above has the potential of increasing the possible solar-to-electricity efficiency as well as the cost of electricity of solar combined cycles.
The idea of directly introducing concentrated solar irradiation into the cylinders of a reciprocating piston engine has already been proposed by Richard W. Gurtler in US 4,173,123. However, this proposition is rather theoretical and speculative, since no feasible measure for efficiently absorbing the concentrated irradiation inside the cylinder and transferring the heat to the working fluid has been specified. Further, the proposed design comprises flat glass windows in the cylinder head that will be exposed to high tensile stresses caused by the working fluid pressure. This implies the need for glass thicknesses which are not feasible for practical application, since excessive glass overheating will occur for too high glass thickness.
Further (see US 4,452,047) it was suggested to absorb radiant energy into a working gas within the cylinders of a reciprocating piston engine by particles suspended in the working gas. This method, however, comes with larger technical complications such as soiling of the window in the cylinder and mechanical erosion due to particles being deposited between the moving parts of the engine.
SUMMARY OF THE INVENTION
The following conceptual ideas (i) to (iv) lead to the invention of a highly efficient engine turning concentrated solar radiation into useful mechanical work, which is disclosed here.
(i) A volumetric absorber (as defined above) is used for absorption of the incoming radiation owing to the advantages of this absorber type described above. Therefore, a window transparent to solar radiation is used to separate the working fluid passing through the absorber from the environment. A volumetric absorber is generally an open porous structure that is permeable to and can be flown through by a working fluid. Incoming concentrated radiation is not only absorbed at the front surface/area of this absorber structure facing said incoming radiation but within the volume of the structure, meaning that the radiation can at least partly penetrate the structure. Preferably, the structure is constructed the way that the radiation can indeed penetrate it, however, only a small portion of the radiation can completely pass through it, i.e., the transmissibility of the structure for the incoming radiation is small, preferably less than 20%, more preferably less than 10%. The heat resulting from the absorption of the radiation within the open porous structure is then transferred to the working fluid via convection.
(H) In order to minimize thermal stresses on the engine components, especially on the window, the non-stationary principle of internal combustion engines is taken advantage of. Internal combustion engines are the heat engines with the highest occurring cycle top temperatures (far beyond 2000ºC) and hence featuring the highest thermal efficiencies within a single cycle (up to 52%). These high temperatures are possible because of the non-stationary character of internal combustion engines. Since at any location within the engine the peak temperature occurs only for a very short time within one cycle, no part of the engine is constantly exposed to this peak temperature. Hence the operating temperature of all engine components can be kept well below the cycle top temperature and within the range of material limits.
For all stationary cycles this can only be accomplished up to certain limits and only with high technical complexity (like air film cooling of gas turbine blades).
(Ui) Applying this concept to a solar-driven system, one of the key features of such a system is that no part under high mechanical stress imposed by the working gas pressure is continuously exposed to the top temperature of the cycle or to highly concentrated radiation. Therefore, the component temperatures, especially the temperature of the window, can be kept significantly below the maximum absorption temperature. This concept allows for much higher differences between component temperatures and maximum absorption temperature than it can be accomplished by any cooling means within a stationary system.
Within the solar system, one component will be indeed exposed to the cycle's peak temperature, namely the absorber material. However, this component will not have to withstand the mechanical stress imposed by the gas pressure, but only minor stresses caused by the pressure drop of the flow through it. Also, it does not have to fulfill such optical requirements as it is the case for the glass window and can therefore be made from a material that is able to resist the very high peak temperatures.
(iv) With such a system, in principle solar power cycles with very high top temperatures (significantly higher than 1000..1200 °C, possibly up to 2000 °C and more) can be realized, allowing for very high Carnot efficiencies. At the same time, such systems can operate with relatively high peak pressures, preferably more than 20 bars, more preferably more than 40 bars.
Therefore, the invention disclosed here is a reciprocating piston engine that is driven by concentrated solar radiation and converts this radiation into useful mechanical work. Similar to a conventional internal combustion engine, the engine comprises a plurality of, namely at least two, cylinders in each of which a piston performs a linear motion, which is preferably converted to a rotary motion via a crank shaft. Each cylinder of the engine operates in a thermodynamic cycle comprising the steps of intake of a working gas through suitable intake components, preferably ports or valves, compression of the working gas, heat addition to the working gas, expansion of the working gas while the working gas is doing work on the piston and exhaust of the working gas through suitable exhaust components, preferably ports or valves. The process of heat addition is carried out by absorption of concentrated sunlight directly within the cylinder. The concept is schematically illustrated in Figure 1.
The cylinders have a transparent window in the cylinder head, allowing for concentrated solar radiation to pass through. A redirection device - in Figure 1 symbolized by a moving mirror 1 - redirects the concentrated solar beam from one cylinder to the next one, synchronized with the piston strokes. In the cylinder there is a volumetric absorber structure absorbing the incoming irradiation and passing it to the working fluid via convection. This absorber structure is permanently mounted within the compression volume of the cylinder and fills parts of or the entire compression volume of the cylinder. Thereby, the compression volume is the remaining engine volume containing the working gas when the piston is in top dead center position.
The volumetric absorber structure is an open porous structure that is flown through by a working gas. Incoming concentrated radiation is not only absorbed at the front area of this absorber structure facing the incoming radiation but within the volume of the structure, meaning that the radiation can partly penetrate the structure. Preferably, the structure is constructed the way that the radiation can indeed penetrate it, however, only a small portion of the radiation can completely pass through it, i.e., the transmissibility of the structure for the incoming radiation is small, preferably less than 20%, more preferably less than 10%.
The following list of specifications applies to the absorber structure and material: (i) It should be volumetric as defined above. (H) It should be resistant to high temperatures, preferably up to 1500- 2000 °C. If possible, these temperatures shall be withstood in air atmosphere for simplicity. However, if this is not possible, also inert atmospheres can be considered, implying that an inert gas will be used as the working fluid of the cycle. (Hi) The relative surface area (per unit volume) of the structure should be as high as possible (while obeying all other requirements) in order to ensure efficient absorption of the incoming solar irradiation and very high heat transfer rates to the working fluid, (iv) The absolute heat capacity and therefore the absolute mass of the absorber structure should be small compared to the absolute heat capacity of the working gas contained in the cylinder as discussed in detail further below.
The preferred structures and materials fulfilling these specifications are: Porous structures like metallic or non-metallic wire mesh, wire cloth, wire bundle, wire gauze, wire screens, wire wool, or, ceramic or non-ceramic foams or fins.
Out of these options, a structure made from a ceramic material is preferred, since ceramics are not affected by air atmosphere up to very high temperatures. That is why ceramic foams or fins are used in virtually all recently developed solar high temperature receivers. Further, a wire mesh, wire cloth, wire bundle, wire gauze, wire screens or wire wool structure is preferred over a foam or fin structure because of its higher specific surface area and therefore lower thermal mass for a given surface area. Hence, the most preferred absorber structure is a wire mesh, wire cloth, wire bundle, wire gauze, wire screens or wire wool structure, made from a ceramic material. One option is to use wires made from silicon carbide which are commercially available. Silicon carbide is especially preferred because of its small heat capacity per unit volume.
However, also a wire mesh, wire cloth, wire bundle, wire gauze, wire screens or wire wool structure, made from a metallic material is a preferred option. Tungsten is a preferred material for such a structure, since it can withstand very high temperatures in an inert atmosphere. In this case, an inert gas should be used as working gas of the engine.
Results show that, if any form of wires is used to build up the absorber structure, the wire diameters have to be relatively small in order to fulfill the above discussed specifications for a small total heat capacity at constant pressure of the absorber material. A lower limit is only given by the mechanical feasibility of the wires. The thinnest tungsten wires commercially available today have a diameter of about 7 micrometers. The preferred diameter of the wires is therefore in the range of 2 micrometers to 150 micrometers, more preferably in the range of 5 micrometers to 40 micrometers.
If an absorber structure that is able to withstand high temperatures up to 1050ºC, preferably up to 1800ºC, more preferably up to 2200ºC in the presence of air, air is the preferred working gas because of its vast availability. If this is not the case and an inert gas has to be used as working fluid, nitrogen or noble gases are preferred working fluids. Out of the noble gases, helium is the preferred working fluid, since it causes very low pressure drops (thanks to its small atoms) when flowing to structures like valves or the absorber structure.
The timing of the beam redirecting is preferably arranged the way that the number of cylinders multiplied by the average irradiation interval length of one cylinder adds up to one cycle time of the engine, i.e., the time needed for one revolution in case of a two-stroke engine and the time needed for two revolutions in case of a four-stroke engine. In simple words one can imagine the engine as a conventional diesel engine in which the step of fuel injection and combustion is replaced by the "injection of a concentrated solar light flash". Further, the timing of the beam redirecting is preferably controlled the way that a maximum thermal efficiency of the thermodynamic cycle taking place within the cylinder volume is obtained.
One complete cycle is shown for one cylinder in Figure 2. The two-stroke variant is depicted here. Around top dead center (TDC) the concentrated beam is introduced into the cylinder, absorbed and the absorbed heat is transferred to the working fluid. The expansion, scavenging and compression process work the same way as in a conventional two-stroke engine. The hot exhaust gas is utilized to drive a bottoming cycle as explained below. In conventional internal combustion engines and also in the two documents of the state of the art given above, US 4,173,123 and US 4,452,047, the compression volume is located within the uppermost part of the hollow cylinder structure in which the piston travels and is essentially given by the space just above the piston if it is in its top centre position. Also in the above-mentioned state-of-the-art such a compression volume confined to the cross-sectional area of the cylinder is used for harvesting the energy of irradiated solar beams. According to a preferred embodiment of the present invention, at least a part of the compression volume, preferably more than half of the compression volume, even more preferably more than 75% of the total compression volume is however not located within the cross-sectional area of the cylinder but is located in a different place. Preferably the compression volume in which the volumetric absorber is located is provided as a bowl or pot-shaped cavity, into which the light beam is directed. The walls of the bowl or pot shaped cavity (the cylinder head) are given by double walled structures in the interspace of which the working medium is located, so the interspace between this double walled structure is part of the compression volume. So on top of the actual cylinder in which the piston travels the compression volume is given by this bowl or pot shaped cavity the interspace of which is fluidly connected with the space oval or preferably circular cross- section. Preferably the inner wall of the structure is given by a glass tube with oval or circular cross- section.
One preferred structure / geometric design of one cylinder of the proposed engine is shown in Figure 5. Herein - as opposed to the common geometrical structure of the cylinders of conventional internal combustion engines - the cylinder head of each cylinder of the engine has a concave form 6 (seen from the outside of the engine) and the inner wall of this concave structure of the cylinder head is a window 6 transparent to solar irradiation, having a cylindrical shape. The compression volume, which is located behind the window (seen from the outside of the engine) and which is partly or completely filled with the volumetric absorber structure 9, has a hollow-cylindrical shape.
Here, the "cylinder head" shall refer to the part of the cylinder that houses its compression volume. The window which forms the inner wall of this structure is preferably made from fused silica, preferably in the form of a cylindrical glass tube . Other preferred shapes of the window are semi- spherical shapes or frustum shapes. It is also possible that the outer wall of this structure is irradiated by solar irradiation, in this case also the outer wall can be made of glass tube. So generally speaking a structure is possible, in which two concentrical glass tubes border the compression volume which is given by the interspace between the glass tubes. Solar energy is directed into the interior of this structure from the open side and distributed (e.g. by means of a conical mirror on the closed side bottom of the structure) to the inner wall and penetrates through the glass to the volumetric absorber. In addition solar irradiation can be directed from the outside through the outer glass cylinder into the compression volume. The outer glass tube can be replaced e.g. by a metal wall if there is no irradiation from the outer side. Such a concave form of the cylinder head (glass cylinder) with the window transparent to solar radiation located at the inner surface only of the concave form has the advantages that the major stresses imposed on the window by the working fluid are compression stresses (which is favorable for a window made from a brittle material like fused silica since tolerable compression stresses of such a material are much higher than the tolerable tensile stresses) and that the concave shape forms a cavity for the incoming radiation hindering the incoming ray from being reflected back out of the cavity, due to multiple reflections inside.
Preferably, the described engine is used as a topping cycle being combined with a bottoming cycle within a combined cycle setup in order to increase the obtained work output of the complete system for a given solar heat input. A steam Rankine cycle is one preferred option for the bottoming cycle. The bottoming cycle is driven by the heat contained in the gas leaving the topping reciprocating piston engine. The working gas of the topping reciprocating piston engine can either by circulated within a closed cycle between the topping reciprocating piston engine and a heat exchanger transferring the heat in the working gas leaving the topping reciprocating piston engine to the bottoming cycle. Or, the working gas can pass first through the topping reciprocating piston engine and then through and a heat exchanger transferring the heat in the working gas leaving the topping reciprocating piston engine to the bottoming cycle without closing the cycle. In the latter case, the working fluid is preferably air.
Three preferred designs for redirecting the concentrated solar beam are the following:
(i) A rotating, curved, water-cooled mirror redirects the beam, which has already been concentrated by a primary concentrating device, for instance a beam down solar tower, to the array of cylinders located below, above or next to it. With this construction, no jerky mirror movements are necessary. The beam is smoothly redirected from one cylinder to the next. Preferably, on each cylinder a secondary concentrating device is mounted, more preferably a compound parabolic concentrator, further concentrating the irradiation before it enters the cylinders through the windows. Further, the entrances of these secondary concentrating devices have preferably a rectangular form and the cylinders together with their secondary concentration devices are arranged in a way that the edges of the entrances of two adjacent secondary concentration devices are located directly next to each other and parallel to each other so that the major share, preferably more than 80%, more preferably more than 90%, of a beam being smoothly redirected from one cylinder to the next one, is always directed into some cylinder.
(H) The concentrated beam is redirected to the cylinders (possibly even after the secondary concentrator) via fiber optics. Thus, the cylinders can be arranged arbitrarily and only a very small optical construction (mirror / dielectric total internal reflection device) will redirect the beam at the entrance of the fibers.
(in) A revolving cylinder engine is used, i.e. an engine in which the cylinders itself rotate around a center (where the drive shaft is located). This type of engine renders a further redirecting device for the beam unnecessary, since a static beam can be directed to the engine (see Figure 7) and, since the cylinders turn around the center when the engine is running, the beam is automatically redirected from cylinder to cylinder.
The major advantages of the engine described above are:
(i) Theoretically, higher top temperatures than in any other known solar thermal cycle can be achieved.
(U) Less material problems are to be expected compared to present designs of high temperature, high pressure solar receivers.
(Hi) It is expected that the glass window can be constructed significantly thicker than in present design of solar receivers, due to a substantial reduction of the thermal load on the window. Thus, much higher pressures will be tolerable than in other designs.
(iv) There will be no significant start up time for the engine, since no fluid or other thermal mass has to be heated up. Clearly, continuous operation will be desirable for component durability reasons as well as for minimizing the engine friction caused by too cold lubricant. Nevertheless, like an internal combustion engine, the engine will be able to start up, as soon as there is radiation available.
(v) Compared to a gas turbine topping cycle, the proposed heat engine can feature advantages in efficiency, complexity and investment costs.
A thermodynamic investigation of the cycle of the invented engine disclosed here, the details of which will be explained further below in this document, has revealed an important constraint on the characteristic properties of the volumetric absorber to be used. It has been shown that the total heat capacity at constant pressure of the absorber (unit J/K), i.e. the specific heat at constant pressure of the absorber material multiplied by its mass, has to be significantly smaller than the total heat capacity at constant pressure of the working gas (unit J/K) contained in the cylinder during compression, heat addition and expansion, i.e. the specific heat at constant pressure of the working gas multiplied by the mass of working gas in the cylinder during the respective phases.
Since the heat capacity at constant pressure of the absorber material and the working gas slightly vary with temperature, the respective heat capacities at room temperature (300K) are referred to in the following in order to compare the value of the absorber material to the one of the working gas. This is acceptable since the values of the heat capacities at constant pressure vary at the most only by a factor of 2 within the operating temperatures of the engine, while a difference between the values of the absorber material and the working gas respectively of substantially more than 5 will be required.
Exemplary, Table 1 shows the determined indicated thermal efficiencies of the engine cycle for a certain set of parameters and a certain thermodynamic model (specified further below) of the engine for different ratios of the total heat capacity at constant pressure of the absorber Cj5 to the total heat capacity at constant pressure of the working gas Cpgas. Herein, the indicated thermal efficiency is the indicated work output of the engine calculated from the indicated mean effective pressure of the engine cycle (without considering friction losses) divided by the total heat input to the engine being the energy of the radiant solar energy passing through the window in the cylinder
Figure imgf000012_0004
The corresponding temperature-entropy diagram of the working fluid of the engine cycle for the case °f Cbs/Cιr = 0.053 is shown in Figure 3. It has a shape similar to the desired temperature- entropy diagram of a conventional internal combustion engine.
The corresponding temperature-entropy diagram of the working fluid of the engine cycle for the case of CbsjClr = 1.1 is shown in Figure 4. It can be clearly seen that, compared to the diagram in
Figure 3, the temperature-entropy diagram of Figure 4 is degenerated. Especially the fact that the working fluid is heated up during compression by the heat stored in the absorber material from the previous cycle (corresponding path marked with "1" in Figure 4) points out. This fact majorly contributes to the decreasing in efficiency of the cycle for high values of the total heat capacity at constant pressure of the absorber. Further, the fact that a large portion of heat is stored in the absorber, only a share of which is transferred to the working fluid during the expansion phase (marked with "2" in Figure 4) contributes to a decrease in efficiency.
From these results it can be concluded that a ratio of C smaller than 0.4, preferably smaller
Figure imgf000012_0001
than 0.2, more preferably smaller than 0.1 is highly desirable for an efficient engine.
To illustrate the meaning of the ratio , an example is given: Assuming that at the beginning
Figure imgf000012_0002
of the compression stroke, the cylinder contains 300 liters of working gas at a density of 1.2 kg/m3 and with a heat capacity at constant pressure of 1000 J / (kg*K). Therefore the total heat capacity at constant pressure of the working gas is 360 J / K. Assuming further that the absorber structure is made from 200 km of tungsten wire of a diameter of 10 micrometers, a density of 19.3 kg / dm3 and a heat capacity at constant pressure of 130 J/ (kg*K). Therefore the total heat capacity at constant pressure of the absorber structure is 39.4 J / K. Hence, the ratio is 0.11.
Figure imgf000012_0003
However, at the same time, the absorber must have a porous structure with a relatively high specific surface area in order to feature a high absorptivity for incoming solar irradiation, as explained above. The porous structure implying a correspondingly high specific surface area is a well known concept used for the construction of volumetric absorbers. In past designs, absorptivities above 90% have been obtained. Therefore, also for the absorber included in the present invention, the structure shall be chosen so high that absorptivities for incoming solar irradiation of more than 60%, preferably more than 80%, more preferably more than 90% are obtained.
Compared to previously presented similar engines being driven by direct solar irradiation passing through a flat window perpendicular to the axis of the cylinder into the cylinder (see US 4,173,123 and US 4,452,047), the present invention is novel, inventive and represents a technical improvement at least for the following reasons:
In US 4,173,123, a rough surface of the piston has been declared for absorbing the incoming radiation, entering the space within the cylinder essentially in a direction parallel to the axis of the cylinder. However, such an absorber has a non-volumetric character and will therefore not be able to ensure a fast and sufficiently efficient heat transfer of the absorbed heat to the working fluid which is necessary for a reasonably fast engine operation.
In US 4,452,047, it is suggested to use a particle suspension for absorption of the incoming solar irradiation, also penetrating into the cylinder through a flat window. Such a particle suspension has indeed a volumetric character being able to ensure fast heat transfer to the working fluid but it comes with large technical complications, some of which are (i) general need for particle supply, (H) possible soiling of the window in the cylinder, (Hi) mechanical erosion within the cylinder due to particles being deposited between the moving parts of the engine.
In both cases solar irradiation is directed into the volume just above the piston which moves in the actual cylinder structure so the possibilities of absorption are limited by the cross-sectional area of the cylinder in which the piston moves.
In the engine proposed here, a volumetric absorber being fixedly mounted within the compression volume of the cylinder is used, providing a volumetric character of the absorber ensuring fast transfer of the absorbed heat to the working fluid and at the same time avoiding the complications that arise when particles are used for absorption. According to a preferred variant the compression volume is not confined to the cross-sectional area of the cylinder in which the piston moves but is located above this cylinder so the cylinder head provides a bowl or pot-shaped structure into the cavity of which the solar irradiation is directed, and the double walled structure of which forms the cylinder head.
The concept of fixedly mounted volumetric absorbers has as such been known before and is actually used for stationary solar receivers. However, in none of these applications the total heat capacity at constant pressure of the absorber material has such an important influence of the efficiency of the device as in the present invention. A volumetric absorber fixedly mounted within the compression volume of an engine's cylinder and constructed according to the above stated specifications concerning its total heat capacity at constant pressure, which have been derived from thermodynamic analyses of the disclosed engine, is therefore novel.
BRIEF DESCRIPTION OF THE DRAWINGS
Preferred embodiments of the invention are described in the following with reference to the drawings, which are for the purpose of illustrating the present preferred embodiments of the invention and not for the purpose of limiting the same. In the drawings,
Fig. 1 shows the operating principle of a reciprocating piston engine driven by a beam of concentrated solar radiation that is redirected from cylinder to cylinder of the engine during operation of the engine.
Fig. 2 shows one thermodynamic cycle carried out within one cylinder of the proposed engine.
Fig. 3 shows the calculated temperature entropy diagram of the thermodynamic cycle taking place in one cylinder for ratios of the total heat capacity at constant pressure of the absorber structure to the total heat capacity at constant pressure of the working gas of 0.053.
Fig. 4 shows the calculated temperature entropy diagram of the thermodynamic cycle taking place in one cylinder for ratios of the total heat capacity at constant pressure of the absorber structure to the total heat capacity at constant pressure of the working gas of 1.1.
Fig. 5 shows a preferred design of one cylinder of the proposed engine, in particular of the cylinder head containing the window transparent for solar radiation and the compression volume filled with the absorber structure.
Fig. 6 shows the definition of characteristic properties of a square mesh wire mesh.
Fig. 7 shows a preferred design of the complete engine being designed as revolving cylinder engine eliminating the need for beam redirecting.
Fig. 8 shows an illustration of the model used for a thermodynamic simulation of the proposed engine.
Fig. 9 shows the definition of geometric parameters used for modelling the proposed engine.
Fig. 10 shows simulated state evolutions during one engine cycle (temperatures in zone 1 / 2, absorber temperature and cylinder pressure).
Fig. 11 shows an experimental setup to investigate the highly transient absorption of pulses of concentrated radiation in a volumetric absorber. Fig. 12 show measured data of highly transient absorption processes of pulses of concentrated radiation in a volumetric absorber.
DESCRIPTION OF THE PREFERRED EMBODIMENTS
Preferred solar concentration ratios:
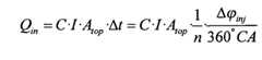
Apart from all detailed heat transfer, material and durability issues the proposed engiene relies on the concentrated solar beam being capable of introducing enough heat into a cylinder to heat up the working gas to a high temperature within a fraction of one engine cycle time, while maintaining a reasonable engine speed. This is verified in the following by a calculation.
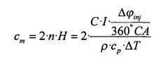
The calculation is carried out for the geometry of a cylinder of a typical conventional internal combustion engine with bore D and stroke H. It is assumed that the cylinder top surface A1 = |-£) is transparent and available for input of concentrated solar irradiation. With this assumption, the achievable rotational and hence mean piston speed of the engine is calculated under the condition that the working gas contained in the cylinder is to be heated up by AT = 1000 AT through solar heat input within a crank angle interval of Aφιnj = 60 CA . (An injection interval from -10 to +50 around
TDC is typical for conventional diesel engines.) It turns out that the resulting mean piston speeds are independent of the absolute dimensions of the engine within a first approximation.
Neglecting the compression volume, the cylinder volume V can be written as
Figure imgf000015_0003
Then, with the time interval Δt for radiation input being (rotational speed n)
Figure imgf000015_0002
the incoming radiative heat Q1n can be calculated as (solar concentration ratio C)
Figure imgf000015_0001
Assuming an approximately constant pressure process, the heat QAT needed to heat up the air is
Figure imgf000015_0004
With the condition
Figure imgf000016_0001
the resulting mean piston speed C1n can be expressed as
Figure imgf000016_0002
Using the properties of air at room temperature,
Figure imgf000016_0003
and and
Figure imgf000016_0004
assuming solar irradiation of / = 100OW / m the calculated mean piston speeds are displayed in Table 2 for different solar concentration ratios.
Figure imgf000016_0005
As a rule of thumb, a mean piston speed around 10 m/s is considered as target value for almost all conventional internal combustion engines, independent of their dimensions, in terms of being the best compromise between heat losses through the engine walls and mechanical friction losses. However, for large two-stroke engines, the solar engine is likely to be, even smaller values in the range of 3 to 8 m/s apply.
Specific geometric designs of the disclosed engine can potentially yield even higher values for the mean piston speed. Moreover, the conditions in a solar heated engine will be different than those within a conventional engine. Especially the wall heat losses are expected to be smaller due to less turbulence, which implies that lower mean piston speeds will be tolerable. Therefore, even if neglected losses will further reduce the values displayed in Table 2, the achievable mean piston speed is within a feasible range for solar concentration ratios of more than 1000, preferably more than 2500, more preferably more than 4000.
Preferred design of the engine:
A preferred design of the reciprocating piston engine of the disclosed invention is shown in Figure 5. The piston 11 performs a linear motion within the cylinder, just like in a conventional internal combustion engine. In this design, a cylindrical shape has been chosen for the window 8 transparent to solar radiation forming the inner wall of the concave cylinder head. Further, a conical mirror 10 is located within the interior of the concave form of the cylinder head 6, in order to distribute the incoming radiation within the compression volume of the cylinder.
This design is a preferred design for the following reasons: (i) Its construction is relatively close to the construction of conventional internal combustion engines. (H) The concave form of the glass window (tube under external pressure) induces hardly any tensile stresses on the glass, (in) The diameter of the solar receiver in the cylinder head can be chosen the way that a desired amount of solar irradiation is absorbed for a chosen diameter of the engine's piston.
As shown in Figure 5, a secondary concentration device 7 can be mounted on top of the cylinder. This device has to be designed in detail together with the other concentration and the beam redirecting devices. Possibly, the secondary concentrator can also be placed in front of the beam redirecting device.
Example: Possible design of an absorber structure from wire mesh
A preferred wire mesh structure is described in the following:
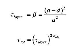
A square wire mesh configuration has been chosen since this is the most simple one and also the one supplied by UNIQUE Wire Weaving Co., Inc., which has been used for experimental studies described below. In Figure 6 the geometric parameters of the wire mesh are defined. The open area ratio β of the mesh can be calculated as
Figure imgf000017_0001
In a previous study, two sorts of wire mesh have been used for the preparation of a volumetric absorber, a "thin" one and a "thick" one. The "thin" mesh uses wire with a diameter of 0.1mm and a pitch of 3mm, i.e. a pitch-diameter ratio of 30. This ratio, corresponding to an open area ratio of around 93.4 % is adopted for this example. However, since the requirement of a small absorber mass compared to the air mass can only be achieved with wires thinner than 0.1mm, the wire diameter is reduced here. Two cases of wire mesh parameters are illustrated in the following, a "thin" mesh with
Figure imgf000017_0002
and a "thick" mesh with
Figure imgf000017_0003
To determine the necessary number of layers of wire mesh, previously presented values are taken as indication. A total number of 41 layers was chosen in a previous design, while using a receiver design in which all radiation leaving the wire mesh pack at the back is lost.
In the design discussed here it can be assumed that the inner wall of the absorption chamber (see Figure 5) will have diffusely reflective character. Therefore, most of the radiation passing through the wire mesh will be reflected and is therefore "trapped" within the volumetric absorber. Hence, besides using one conservative scenario with a total number of
Figure imgf000018_0002
layers of wire mesh, a more progressive scenario with a total number of
Figure imgf000018_0001
layers of wire mesh is discussed here.
The layers of wire mesh will be arranged in the absorption chamber either as concentric cylinders or - if this is more suitable from a construction point of view — in form of a spiral.
An estimation of the total transmittance τm of these absorber structures, according to the equations
Figure imgf000018_0003
yields values of τtot = 0.4% for nabs - 40 and T101 = 6.6% for nabs = 20 , which shows that these numbers are within a reasonable range. (The assumption that the transmittance of one layer T1 is equal to its open area ratio β is used here.) Factor 2 in the exponent of the second equation results from the fact that due to reflection at the inner wall of the absorption chamber, the radiation can at least pass two times through the wire mesh pack.
Example 1: Thermodynamic model of the reciprocating piston engine
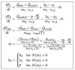
A thermodynamic model of the engine has been built, incorporating the following phenomena: Radiative heat transfer in the absorber, i.e. incoming solar irradiation and thermal reradiation of the absorber, heat losses to the walls of the cylinder, heat transfer between absorber and working gas. The engine has been partitioned into two zones for the modeling purpose: Zone 1, 12, containing the volumetric absorber in the cylinder heat and zone 2, 13, making up the rest of the cylinder volume. A schematic of the states as well of the heat, mass, work and enthalpy flows used in the model is shown in Figure 8. The geometrical parameters used for the modeling are shown in Figure 9, further parameters are shown in Table 3.
The following set of equations describing the state evolutions of the model result:
Figure imgf000019_0001
Figure imgf000020_0001
Example 2: Simulation of the engine performance
Using the model described above the results of the performance of the engine for a certain set of parameters is shown. The most important parameters used are:
Figure imgf000021_0002
The results of the simulation are shown in Table 4. In the stated "effective thermal efficiency", friction losses of the engine have already been considered assuming friction and gas exchange mean effective pressure to sum up to 0.7 bars.
Figure imgf000021_0001
The state evolutions during the simulated engine cycle (temperatures in zone 1 / 2, absorber temperature and cylinder pressure) are shown in Figure 10. It turns out that (i) the distinction between the two zones is important for an accurate modeling (temperature differences of up to around 500 K) and (H) the heat transfer between the working gas and the absorber structure takes place very fast relatively to the duration of one cycle of the engine since the temperature of the absorber structure and the temperature of the working gas in zone 1 are almost equal at all times.
Evaluation of the expected engine performance
The outcome of the thermodynamic simulations after a parameter optimization yields an engine with an effective thermal efficiency of around 30% at a solar concentration ratio of C = 5000. The obtained indicated mean effective pressure of 3.48 bar is relatively low compared to conventional internal combustion engines, but assumed to be reasonable within a solar driven engine. Only if the parasitic losses of the engine (friction and gas exchange) are much higher than assumed, this would lead to a large efficiency drop. However, in this case, other parameter configurations with higher indicated mean effective pressures could be constructed, leading only to minor efficiency drops.
It is pointed out that the "effective thermal efficiency" that is calculated here includes already the following losses: (i) Losses caused by imperfect absorption in the absorber, (H) losses due to thermal reradiation, (Ui) parasitic losses of the engine, i.e. engine friction and pump work.
Therefore, the only major losses that have not been considered in the "effective thermal efficiency" are the optical losses in the radiation concentrating devices and the beam redirecting device. Except for the effects caused by the beam redirecting device, all CSP systems have to equally deal with these losses, though.
Having this in mind, the obtained effective thermal efficiency of 30% is a very satisfactory value when considering that the bottoming cycle has not been accounted for, so far. From Figure 10, it can be concluded that the exhaust gas temperatures of the engine are in the range of 700 to 800K. By looking at the energy balance in Table 4, it can be further assumed that around 35% of the total incoming radiative energy are contained in the gas leaving the piston engine. If this energy can be transformed to mechanical work with an efficiency of around 25% (which is a reasonable value for a bottoming steam Rankine cycle) in a bottoming cycle, another roughly 9% additional efficiency is gained.
Comparing these values to projected and demonstrated efficiencies of other CSP cycles, it can be concluded that the solar driven non-stationary heat engine disclosed in this invention has indeed the potential of producing efficiencies higher than other techniques available so far.
Clearly, the power density of the disclosed engine is relatively small. The scenario for which simulation results are stated above produces 53.5 kW of mechanical power per cylinder at a displacement volume of 324 liter per cylinder. However, the needed size for the solar receiver to produce the corresponding power output is an inherent characteristic of CSP technology. On the other hand, it can be stated that the needed engine is indeed large, however, the occurring peak pressures are very low compared to large conventional internal combustion engines and the engine construction can be much more lightweight.
Finally, it can be concluded that the needed peak pressures and temperatures (see Table 4) in order to obtain satisfactory efficiencies are relatively low. A peak pressure of less than 30 bars is clearly feasible for a quartz glass window in the cylinder. Also, a peak temperature of around 1400ºC should pose no severe problem on an absorber made either from tungsten or from silicon carbide.
Example 3: Experimental results With a special experimental setup the feasibility of highly transient absorption of pulses of concentrated radiation has been investigated using a solar simulator producing radiation up to a concentration of around 1500 suns. A schematic of the experimental setup is shown in Figure 1 1. A portion of tungsten wire mesh 24 (UNIQUE Wire Weaving Co., Inc., USA, wire diameter d = 0.025mm, pitch a = 0.51 mm) was positioned within a closed quartz glass tube 26 and concentrated radiation pulses were directed to it. The transient pressure evolution within the tube 26, which was previously filled with nitrogen, was recorded with a pressure sensor 23 and from the pressure measurements the corresponding temperature of the nitrogen within the tube was calculated using the ideal gas law.
The results of six different experimental runs are shown in Figure 12. The initial pressure in the tube was 2 bars.
It can be seen, that temperature gradients of up to 450K per cycle could be obtained for an arc current of the solar simulator of 300A (which corresponds to a concentration of the radiation of roughly 1000 suns) and for rotational speeds in the range of 60 to 160 rpm. This shows that the simulation results indicating temperature gradients in a similar range are indeed feasible.
Figure imgf000023_0001

Claims

1. A reciprocating piston engine comprising a plurality of at least two cylinders for converting concentrated solar radiation into useful mechanical power characterized by
a. Each cylinder of the engine operating in a thermodynamic cycle comprising the steps of intake of a working gas through suitable intake components, preferably ports or valves, compression of the working gas, heat addition to the working gas, expansion of the working gas while the working gas is doing work on the piston and exhaust of the working gas through suitable exhaust components, preferably ports or valves.
b. The heat being introduced into the compression volume of the cylinders of the engine during their respective phases of heat addition via a beam of concentrated solar irradiation (2) passing through a window in the respective cylinder head (3), transparent to solar irradiation, into the compression volume of the cylinders.
c. Said beam providing the energy for the process of heat addition for each of the cylinders being produced by a device concentrating the solar irradiation and being redirected consecutively into the different cylinders of the engine by a means in a way that (i) it is directed into the compression volume of each cylinder only during the respective phase of heat addition, which makes up only a portion of the cylinder's complete cycle, and (ii) at any time the major share of the beam is directed into at least one cylinder and thus the major share of its radiant energy is being constantly used for heat addition into at least one cylinder.
d. Said means for redirecting said beam into the different cylinders of the engine being synchronized with the motion of the engine in order to control the thermodynamic cycles in each of the cylinders.
e. The concentrated radiation in the form of said beam, passing through said window in the cylinder head, being directly absorbed by a volumetric absorber (9), which is permanently mounted inside the compression volume of the cylinder and fills parts of the or the entire compression volume of the cylinder, and subsequently being transferred via convection to the working gas of the engine.
2. An engine according to claim 1 wherein the material and structure of the volumetric absorber mounted inside the compression volume of the cylinders of the engine is characterized by a. A small total heat capacity of the absorber structure so that the total heat capacity at constant pressure (unit: J/K) of the volumetric absorber structure at room temperature is less than 40%, preferably less than 20%, more preferably less than 10% of the total heat capacity at constant pressure (unit: J/K) of the working gas contained in the cylinder at the beginning of the compression stroke at room temperature.
b. Preferably at the same time an absorptivity of the complete absorber structure for the incoming solar radiation so that, for a given absorptivity of the absorber material in the solar spectrum, for all temperatures within the operating range of the absorber more than 60%, preferably more than 80%, more preferably more than 90% of the incoming solar radiation are absorbed by the volumetric absorber, either directly, or after one or multiple reflections within the structure of the volumetric absorber and/or at the walls of the cylinder or the piston.
3. An engine according to claim 1 or 2 wherein the volumetric absorber is made from any porous structure like metallic or non-metallic wire mesh, wire cloth, wire bundle, wire gauze, wire screens, wire wool, or, ceramic or non-ceramic foams or fins, however, preferably made from wire mesh, wire cloth, wire bundle, wire gauze, wire screens or wire wool made from wires of a diameter in the range of 2 micrometers to 150 micrometers, preferably in the range of 5 micrometers to 40 micrometers, yet, more preferably made from wire mesh, wire cloth, wire bundle, wire gauze, wire screens or wire wool, which are made from wires of silicon carbide (SiC) or of tungsten of a diameter in the range of 2 micrometers to 150 micrometers, preferably in the range of 5 micrometers to 40 micrometers.
4. An engine according to any of the preceding claims in which the cylinder head of each cylinder of the engine, i.e. the part of the cylinder housing the compression volume, has a concave form (seen from the outside of the engine) and wherein the inner walls of this concave structure of the cylinder head or parts of the inner walls of this concave structure of the cylinder head is a window transparent to solar irradiation (8), wherein said window is preferably of a cylindrical, semi-spherical or frustum shape and wherein said window is preferably made from fused silica, more preferably wherein the compression volume, which is located behind the window (seen from the outside of the engine) and which is partly or completely filled with the volumetric absorber structure (9), has a ring shape.
5. An engine according to any of the preceding claims in which the heat contained in the working gas leaving the cylinders after the expansion stroke is partly converted to mechanical work by means of a bottoming heat engine connected to said engine, preferably a Ranking steam cycle, increasing the total work output of the complete system consisting of reciprocating piston engine and bottoming cycle for a given solar irradiation input.
6. An engine according to claim 4 in which the working gas of the engine is circulating within a closed cycle between the engine and a heat exchanger transferring the heat, contained in the working gas leaving the cylinders of the engine after the expansion stroke, to the bottoming cycle.
7. An engine according to any of the preceding claims, wherein the material of the volumetric absorber is able to withstand temperatures up to 1050ºC, preferably up to 1800ºC, more preferably up to 2200ºC in the presence of air without major corrosion affecting the functionality of the engine for operating times of more than 5000 hours and in which the working gas of the engine is air.
8. An engine according to any of the claims 1 to 6, wherein the working gas of the engine is a gas that is stable in the range of operating temperatures of the absorber structure and does not react with materials contained in the engine, preferably nitrogen or a noble gas, more preferably nitrogen or helium.
9. An engine according to any of the preceding claims which is designed as revolving cylinder engine, i.e. an engine in which the radially arranged cylinders rotate about a center point during operation (18), the beam of concentrated irradiation is statically directed to one side of the engine in a radial direction and the process of redirecting the beam consecutively into the different cylinders of the engine happens automatically when the engine and therefore its cylinders are turning.
10. An engine according to any of the preceding claims in which the beam of concentrated irradiation is directed from cylinder to cylinder by means of a rotating curved mirror wherein the curved shape of the mirror is designed the way that
a. either the transition from the beam being directed into one cylinder to the beam being directed into the next cylinder happens relatively fast, so that the beam is directed into one single cylinder only for more than 70%, preferably more than 80% more preferably more than 90% of the operating time of the engine,
b. or the transition from the beam being directed into one cylinder to the beam being directed into the next cylinder happens relatively smooth so that for a large portion in the range of 10% to 95% of the operating time of the engine the beam is directed partially into two cylinders.
11. An engine according to any of the preceding claims wherein the solar irradiation is first concentrated by primary concentrating devices, such as but not limited to a solar tower (with the receiver in the top) together with a field of heliostats, a beam down tower together with a field of heliostats or a parabolic dish concentrator, then directed consecutively into the different cylinders of the engine and wherein further secondary concentrating devices, preferably compound parabolic concentrators, are mounted on top of the windows within the cylinder heads of the cylinders, further concentrating the irradiation before it enters the compression volumes of the cylinders through the windows.
12. A method according to claim 11 wherein the entrances of the secondary concentrating devices have a rectangular form and the cylinders together with their secondary concentration devices are arranged in a way that the edges of the entrances of two adjacent secondary concentration devices are located directly next to each other and parallel to each other so that the major share, preferably more than 80%, more preferably more than 90%, of a beam being smoothly redirected from one cylinder to the next one, is always directed into some cylinder.
PCT/EP2010/0035092009-06-222010-06-11Non-stationary reciprocating solar thermal heat engine driven by pulsed concentrated solar irradiationWO2010149277A2 (en)

Applications Claiming Priority (2)

Application NumberPriority DateFiling DateTitle
EP090081462009-06-22
EP09008146.42009-06-22

Publications (2)

Publication NumberPublication Date
WO2010149277A2true WO2010149277A2 (en)2010-12-29
WO2010149277A3 WO2010149277A3 (en)2012-09-13

Family

ID=43386942

Family Applications (1)

Application NumberTitlePriority DateFiling Date
PCT/EP2010/003509WO2010149277A2 (en)2009-06-222010-06-11Non-stationary reciprocating solar thermal heat engine driven by pulsed concentrated solar irradiation

Country Status (1)

CountryLink
WO (1)WO2010149277A2 (en)

Cited By (6)

* Cited by examiner, † Cited by third party
Publication numberPriority datePublication dateAssigneeTitle
EP2434135A1 (en)*2010-09-242012-03-28Neemat FremRotary expansion engine
GB2494140A (en)*2011-08-272013-03-06David Andrew JohnstonSolar-powered gas turbine engine with direct heating
US8844291B2 (en)2010-12-102014-09-30Vaporgenics Inc.Universal heat engine
ES2646996A1 (en)*2016-06-152017-12-18Universidade Da Coruña Thermosolar plant of direct heat supply solar thermal concentrators and operation procedure of said solar thermal plant
CN107859605A (en)*2017-10-302018-03-30黄丽贤A kind of solar energy inclined hole drive mechanism
US11137177B1 (en)2019-03-162021-10-05Vaporgemics, IncInternal return pump

Families Citing this family (1)

* Cited by examiner, † Cited by third party
Publication numberPriority datePublication dateAssigneeTitle
CN107327377B (en)*2016-04-292019-06-28时扬Small-sized complementary solar steam electricity generation system

Citations (2)

* Cited by examiner, † Cited by third party
Publication numberPriority datePublication dateAssigneeTitle
US4173123A (en)1976-07-161979-11-06Motorola, Inc.Optically driven solar engine
US4452047A (en)1982-07-301984-06-05Hunt Arlon JReciprocating solar engine

Family Cites Families (3)

* Cited by examiner, † Cited by third party
Publication numberPriority datePublication dateAssigneeTitle
US6979911B2 (en)*2003-05-082005-12-27United Technologies CorporationMethod and apparatus for solar power conversion
DE202005017622U1 (en)*2005-11-112006-01-12Carlguth, ManfredSolar thermal plant, has absorption pipe with parabolic trough concentrators to collect solar radiation which heats compressed air, where air upon heating expands in piston engine and plant components are designed as per thermodynamic laws
US7877999B2 (en)*2007-04-132011-02-01Cool Energy, Inc.Power generation and space conditioning using a thermodynamic engine driven through environmental heating and cooling

Patent Citations (2)

* Cited by examiner, † Cited by third party
Publication numberPriority datePublication dateAssigneeTitle
US4173123A (en)1976-07-161979-11-06Motorola, Inc.Optically driven solar engine
US4452047A (en)1982-07-301984-06-05Hunt Arlon JReciprocating solar engine

Cited By (6)

* Cited by examiner, † Cited by third party
Publication numberPriority datePublication dateAssigneeTitle
EP2434135A1 (en)*2010-09-242012-03-28Neemat FremRotary expansion engine
US8844291B2 (en)2010-12-102014-09-30Vaporgenics Inc.Universal heat engine
GB2494140A (en)*2011-08-272013-03-06David Andrew JohnstonSolar-powered gas turbine engine with direct heating
ES2646996A1 (en)*2016-06-152017-12-18Universidade Da Coruña Thermosolar plant of direct heat supply solar thermal concentrators and operation procedure of said solar thermal plant
CN107859605A (en)*2017-10-302018-03-30黄丽贤A kind of solar energy inclined hole drive mechanism
US11137177B1 (en)2019-03-162021-10-05Vaporgemics, IncInternal return pump

Also Published As

Publication numberPublication date
WO2010149277A3 (en)2012-09-13

Similar Documents

PublicationPublication DateTitle
WO2010149277A2 (en)Non-stationary reciprocating solar thermal heat engine driven by pulsed concentrated solar irradiation
AU753000B2 (en)Method and device for entropy transfer with a thermodynamic cyclic process
Zhu et al.A free-piston Stirling generator integrated with a parabolic trough collector for thermal-to-electric conversion of solar energy
US5735123A (en)Energy generating system
EP2131039A1 (en)Method and system for converting solar energy into mechanical or electrical energy
Aksoy et al.Performance testing of a Fresnel/Stirling micro solar energy conversion system
US11085424B2 (en)Solar power collection system and methods thereof
Gheith et al.Stirling engines
US8341959B2 (en)Heat engine using solar energy
US8397498B2 (en)Heat removal systems and methods for thermodynamic engines
StouffsHot air engines
AU2009293330B2 (en)Systems and methods for collecting solar energy for conversion to electrical energy
Kwasi-Effah et al.Stirling Engine Technology: A Technical Approach to Balance the Use of Renewable and Non-Renewable Energy Sources
AichmayerSolar receiver design and verification for small scale polygeneration unit
Trayser et al.A 50-Watt portable generator employing a solar-powered Stirling engine
CN1963591A (en)Method and apparatus for high-energy light gathering
Rui et al.Conceptual design of a new thermal‐electric conversion device in lightweight concentrating solar thermal power system
Awasthi et al.Solar Thermal Power Generation
Le RouxMaximum net power output from an integrated design of a small-scale open and direct solar thermal Brayton cycle
CN101078610A (en)High-energy light-gathering weapon system method and device
AbboudFINAL YEAR PROJECT
MingDevelopment of dish-Stirling concentrating solar thermal-electric energy conversion system
StineProgress in parabolic dish technology
AntonelliSmall-scale concentrated solar power plants
ManciniVolumetric Solar Receiver for a Parabolic Dish and Micro-Gas Turbine system: Design, modelling and validation using Multi-Objective Optimization

Legal Events

DateCodeTitleDescription
121Ep: the epo has been informed by wipo that ep was designated in this application

Ref document number:10730352

Country of ref document:EP

Kind code of ref document:A2

NENPNon-entry into the national phase

Ref country code:DE

122Ep: pct application non-entry in european phase

Ref document number:10730352

Country of ref document:EP

Kind code of ref document:A2


[8]ページ先頭

©2009-2025 Movatter.jp